JP7566699B2 - スルホニル尿素及び関連化合物並びにその使用 - Google Patents
スルホニル尿素及び関連化合物並びにその使用 Download PDFInfo
- Publication number
- JP7566699B2 JP7566699B2 JP2021131251A JP2021131251A JP7566699B2 JP 7566699 B2 JP7566699 B2 JP 7566699B2 JP 2021131251 A JP2021131251 A JP 2021131251A JP 2021131251 A JP2021131251 A JP 2021131251A JP 7566699 B2 JP7566699 B2 JP 7566699B2
- Authority
- JP
- Japan
- Prior art keywords
- disease
- mmol
- disorder
- condition
- give
- Prior art date
- Legal status (The legal status is an assumption and is not a legal conclusion. Google has not performed a legal analysis and makes no representation as to the accuracy of the status listed.)
- Active
Links
Images
Classifications
-
- C—CHEMISTRY; METALLURGY
- C07—ORGANIC CHEMISTRY
- C07D—HETEROCYCLIC COMPOUNDS
- C07D309/00—Heterocyclic compounds containing six-membered rings having one oxygen atom as the only ring hetero atom, not condensed with other rings
- C07D309/02—Heterocyclic compounds containing six-membered rings having one oxygen atom as the only ring hetero atom, not condensed with other rings having no double bonds between ring members or between ring members and non-ring members
- C07D309/08—Heterocyclic compounds containing six-membered rings having one oxygen atom as the only ring hetero atom, not condensed with other rings having no double bonds between ring members or between ring members and non-ring members with hetero atoms or with carbon atoms having three bonds to hetero atoms with at the most one bond to halogen, e.g. ester or nitrile radicals, directly attached to ring carbon atoms
-
- A—HUMAN NECESSITIES
- A61—MEDICAL OR VETERINARY SCIENCE; HYGIENE
- A61K—PREPARATIONS FOR MEDICAL, DENTAL OR TOILETRY PURPOSES
- A61K31/00—Medicinal preparations containing organic active ingredients
- A61K31/64—Sulfonylureas, e.g. glibenclamide, tolbutamide, chlorpropamide
-
- A—HUMAN NECESSITIES
- A61—MEDICAL OR VETERINARY SCIENCE; HYGIENE
- A61P—SPECIFIC THERAPEUTIC ACTIVITY OF CHEMICAL COMPOUNDS OR MEDICINAL PREPARATIONS
- A61P1/00—Drugs for disorders of the alimentary tract or the digestive system
-
- A—HUMAN NECESSITIES
- A61—MEDICAL OR VETERINARY SCIENCE; HYGIENE
- A61P—SPECIFIC THERAPEUTIC ACTIVITY OF CHEMICAL COMPOUNDS OR MEDICINAL PREPARATIONS
- A61P11/00—Drugs for disorders of the respiratory system
-
- A—HUMAN NECESSITIES
- A61—MEDICAL OR VETERINARY SCIENCE; HYGIENE
- A61P—SPECIFIC THERAPEUTIC ACTIVITY OF CHEMICAL COMPOUNDS OR MEDICINAL PREPARATIONS
- A61P13/00—Drugs for disorders of the urinary system
- A61P13/12—Drugs for disorders of the urinary system of the kidneys
-
- A—HUMAN NECESSITIES
- A61—MEDICAL OR VETERINARY SCIENCE; HYGIENE
- A61P—SPECIFIC THERAPEUTIC ACTIVITY OF CHEMICAL COMPOUNDS OR MEDICINAL PREPARATIONS
- A61P17/00—Drugs for dermatological disorders
-
- A—HUMAN NECESSITIES
- A61—MEDICAL OR VETERINARY SCIENCE; HYGIENE
- A61P—SPECIFIC THERAPEUTIC ACTIVITY OF CHEMICAL COMPOUNDS OR MEDICINAL PREPARATIONS
- A61P17/00—Drugs for dermatological disorders
- A61P17/02—Drugs for dermatological disorders for treating wounds, ulcers, burns, scars, keloids, or the like
-
- A—HUMAN NECESSITIES
- A61—MEDICAL OR VETERINARY SCIENCE; HYGIENE
- A61P—SPECIFIC THERAPEUTIC ACTIVITY OF CHEMICAL COMPOUNDS OR MEDICINAL PREPARATIONS
- A61P17/00—Drugs for dermatological disorders
- A61P17/06—Antipsoriatics
-
- A—HUMAN NECESSITIES
- A61—MEDICAL OR VETERINARY SCIENCE; HYGIENE
- A61P—SPECIFIC THERAPEUTIC ACTIVITY OF CHEMICAL COMPOUNDS OR MEDICINAL PREPARATIONS
- A61P17/00—Drugs for dermatological disorders
- A61P17/10—Anti-acne agents
-
- A—HUMAN NECESSITIES
- A61—MEDICAL OR VETERINARY SCIENCE; HYGIENE
- A61P—SPECIFIC THERAPEUTIC ACTIVITY OF CHEMICAL COMPOUNDS OR MEDICINAL PREPARATIONS
- A61P19/00—Drugs for skeletal disorders
- A61P19/02—Drugs for skeletal disorders for joint disorders, e.g. arthritis, arthrosis
-
- A—HUMAN NECESSITIES
- A61—MEDICAL OR VETERINARY SCIENCE; HYGIENE
- A61P—SPECIFIC THERAPEUTIC ACTIVITY OF CHEMICAL COMPOUNDS OR MEDICINAL PREPARATIONS
- A61P19/00—Drugs for skeletal disorders
- A61P19/06—Antigout agents, e.g. antihyperuricemic or uricosuric agents
-
- A—HUMAN NECESSITIES
- A61—MEDICAL OR VETERINARY SCIENCE; HYGIENE
- A61P—SPECIFIC THERAPEUTIC ACTIVITY OF CHEMICAL COMPOUNDS OR MEDICINAL PREPARATIONS
- A61P25/00—Drugs for disorders of the nervous system
-
- A—HUMAN NECESSITIES
- A61—MEDICAL OR VETERINARY SCIENCE; HYGIENE
- A61P—SPECIFIC THERAPEUTIC ACTIVITY OF CHEMICAL COMPOUNDS OR MEDICINAL PREPARATIONS
- A61P25/00—Drugs for disorders of the nervous system
- A61P25/24—Antidepressants
-
- A—HUMAN NECESSITIES
- A61—MEDICAL OR VETERINARY SCIENCE; HYGIENE
- A61P—SPECIFIC THERAPEUTIC ACTIVITY OF CHEMICAL COMPOUNDS OR MEDICINAL PREPARATIONS
- A61P27/00—Drugs for disorders of the senses
- A61P27/02—Ophthalmic agents
-
- A—HUMAN NECESSITIES
- A61—MEDICAL OR VETERINARY SCIENCE; HYGIENE
- A61P—SPECIFIC THERAPEUTIC ACTIVITY OF CHEMICAL COMPOUNDS OR MEDICINAL PREPARATIONS
- A61P29/00—Non-central analgesic, antipyretic or antiinflammatory agents, e.g. antirheumatic agents; Non-steroidal antiinflammatory drugs [NSAID]
-
- A—HUMAN NECESSITIES
- A61—MEDICAL OR VETERINARY SCIENCE; HYGIENE
- A61P—SPECIFIC THERAPEUTIC ACTIVITY OF CHEMICAL COMPOUNDS OR MEDICINAL PREPARATIONS
- A61P3/00—Drugs for disorders of the metabolism
-
- A—HUMAN NECESSITIES
- A61—MEDICAL OR VETERINARY SCIENCE; HYGIENE
- A61P—SPECIFIC THERAPEUTIC ACTIVITY OF CHEMICAL COMPOUNDS OR MEDICINAL PREPARATIONS
- A61P3/00—Drugs for disorders of the metabolism
- A61P3/08—Drugs for disorders of the metabolism for glucose homeostasis
- A61P3/10—Drugs for disorders of the metabolism for glucose homeostasis for hyperglycaemia, e.g. antidiabetics
-
- A—HUMAN NECESSITIES
- A61—MEDICAL OR VETERINARY SCIENCE; HYGIENE
- A61P—SPECIFIC THERAPEUTIC ACTIVITY OF CHEMICAL COMPOUNDS OR MEDICINAL PREPARATIONS
- A61P31/00—Antiinfectives, i.e. antibiotics, antiseptics, chemotherapeutics
- A61P31/04—Antibacterial agents
-
- A—HUMAN NECESSITIES
- A61—MEDICAL OR VETERINARY SCIENCE; HYGIENE
- A61P—SPECIFIC THERAPEUTIC ACTIVITY OF CHEMICAL COMPOUNDS OR MEDICINAL PREPARATIONS
- A61P31/00—Antiinfectives, i.e. antibiotics, antiseptics, chemotherapeutics
- A61P31/12—Antivirals
-
- A—HUMAN NECESSITIES
- A61—MEDICAL OR VETERINARY SCIENCE; HYGIENE
- A61P—SPECIFIC THERAPEUTIC ACTIVITY OF CHEMICAL COMPOUNDS OR MEDICINAL PREPARATIONS
- A61P31/00—Antiinfectives, i.e. antibiotics, antiseptics, chemotherapeutics
- A61P31/12—Antivirals
- A61P31/14—Antivirals for RNA viruses
-
- A—HUMAN NECESSITIES
- A61—MEDICAL OR VETERINARY SCIENCE; HYGIENE
- A61P—SPECIFIC THERAPEUTIC ACTIVITY OF CHEMICAL COMPOUNDS OR MEDICINAL PREPARATIONS
- A61P31/00—Antiinfectives, i.e. antibiotics, antiseptics, chemotherapeutics
- A61P31/12—Antivirals
- A61P31/14—Antivirals for RNA viruses
- A61P31/16—Antivirals for RNA viruses for influenza or rhinoviruses
-
- A—HUMAN NECESSITIES
- A61—MEDICAL OR VETERINARY SCIENCE; HYGIENE
- A61P—SPECIFIC THERAPEUTIC ACTIVITY OF CHEMICAL COMPOUNDS OR MEDICINAL PREPARATIONS
- A61P33/00—Antiparasitic agents
- A61P33/10—Anthelmintics
-
- A—HUMAN NECESSITIES
- A61—MEDICAL OR VETERINARY SCIENCE; HYGIENE
- A61P—SPECIFIC THERAPEUTIC ACTIVITY OF CHEMICAL COMPOUNDS OR MEDICINAL PREPARATIONS
- A61P35/00—Antineoplastic agents
-
- A—HUMAN NECESSITIES
- A61—MEDICAL OR VETERINARY SCIENCE; HYGIENE
- A61P—SPECIFIC THERAPEUTIC ACTIVITY OF CHEMICAL COMPOUNDS OR MEDICINAL PREPARATIONS
- A61P35/00—Antineoplastic agents
- A61P35/02—Antineoplastic agents specific for leukemia
-
- A—HUMAN NECESSITIES
- A61—MEDICAL OR VETERINARY SCIENCE; HYGIENE
- A61P—SPECIFIC THERAPEUTIC ACTIVITY OF CHEMICAL COMPOUNDS OR MEDICINAL PREPARATIONS
- A61P37/00—Drugs for immunological or allergic disorders
-
- A—HUMAN NECESSITIES
- A61—MEDICAL OR VETERINARY SCIENCE; HYGIENE
- A61P—SPECIFIC THERAPEUTIC ACTIVITY OF CHEMICAL COMPOUNDS OR MEDICINAL PREPARATIONS
- A61P37/00—Drugs for immunological or allergic disorders
- A61P37/02—Immunomodulators
- A61P37/06—Immunosuppressants, e.g. drugs for graft rejection
-
- A—HUMAN NECESSITIES
- A61—MEDICAL OR VETERINARY SCIENCE; HYGIENE
- A61P—SPECIFIC THERAPEUTIC ACTIVITY OF CHEMICAL COMPOUNDS OR MEDICINAL PREPARATIONS
- A61P5/00—Drugs for disorders of the endocrine system
-
- A—HUMAN NECESSITIES
- A61—MEDICAL OR VETERINARY SCIENCE; HYGIENE
- A61P—SPECIFIC THERAPEUTIC ACTIVITY OF CHEMICAL COMPOUNDS OR MEDICINAL PREPARATIONS
- A61P9/00—Drugs for disorders of the cardiovascular system
-
- A—HUMAN NECESSITIES
- A61—MEDICAL OR VETERINARY SCIENCE; HYGIENE
- A61P—SPECIFIC THERAPEUTIC ACTIVITY OF CHEMICAL COMPOUNDS OR MEDICINAL PREPARATIONS
- A61P9/00—Drugs for disorders of the cardiovascular system
- A61P9/10—Drugs for disorders of the cardiovascular system for treating ischaemic or atherosclerotic diseases, e.g. antianginal drugs, coronary vasodilators, drugs for myocardial infarction, retinopathy, cerebrovascula insufficiency, renal arteriosclerosis
-
- A—HUMAN NECESSITIES
- A61—MEDICAL OR VETERINARY SCIENCE; HYGIENE
- A61P—SPECIFIC THERAPEUTIC ACTIVITY OF CHEMICAL COMPOUNDS OR MEDICINAL PREPARATIONS
- A61P9/00—Drugs for disorders of the cardiovascular system
- A61P9/12—Antihypertensives
-
- C—CHEMISTRY; METALLURGY
- C07—ORGANIC CHEMISTRY
- C07C—ACYCLIC OR CARBOCYCLIC COMPOUNDS
- C07C311/00—Amides of sulfonic acids, i.e. compounds having singly-bound oxygen atoms of sulfo groups replaced by nitrogen atoms, not being part of nitro or nitroso groups
- C07C311/50—Compounds containing any of the groups, X being a hetero atom, Y being any atom
- C07C311/52—Y being a hetero atom
- C07C311/54—Y being a hetero atom either X or Y, but not both, being nitrogen atoms, e.g. N-sulfonylurea
- C07C311/56—Y being a hetero atom either X or Y, but not both, being nitrogen atoms, e.g. N-sulfonylurea having sulfur atoms of the sulfonylurea groups bound to carbon atoms of rings other than six-membered aromatic rings
-
- C—CHEMISTRY; METALLURGY
- C07—ORGANIC CHEMISTRY
- C07C—ACYCLIC OR CARBOCYCLIC COMPOUNDS
- C07C311/00—Amides of sulfonic acids, i.e. compounds having singly-bound oxygen atoms of sulfo groups replaced by nitrogen atoms, not being part of nitro or nitroso groups
- C07C311/50—Compounds containing any of the groups, X being a hetero atom, Y being any atom
- C07C311/52—Y being a hetero atom
- C07C311/54—Y being a hetero atom either X or Y, but not both, being nitrogen atoms, e.g. N-sulfonylurea
- C07C311/57—Y being a hetero atom either X or Y, but not both, being nitrogen atoms, e.g. N-sulfonylurea having sulfur atoms of the sulfonylurea groups bound to carbon atoms of six-membered aromatic rings
- C07C311/60—Y being a hetero atom either X or Y, but not both, being nitrogen atoms, e.g. N-sulfonylurea having sulfur atoms of the sulfonylurea groups bound to carbon atoms of six-membered aromatic rings having nitrogen atoms of the sulfonylurea groups bound to carbon atoms of six-membered aromatic rings
-
- C—CHEMISTRY; METALLURGY
- C07—ORGANIC CHEMISTRY
- C07D—HETEROCYCLIC COMPOUNDS
- C07D207/00—Heterocyclic compounds containing five-membered rings not condensed with other rings, with one nitrogen atom as the only ring hetero atom
- C07D207/02—Heterocyclic compounds containing five-membered rings not condensed with other rings, with one nitrogen atom as the only ring hetero atom with only hydrogen or carbon atoms directly attached to the ring nitrogen atom
- C07D207/30—Heterocyclic compounds containing five-membered rings not condensed with other rings, with one nitrogen atom as the only ring hetero atom with only hydrogen or carbon atoms directly attached to the ring nitrogen atom having two double bonds between ring members or between ring members and non-ring members
- C07D207/34—Heterocyclic compounds containing five-membered rings not condensed with other rings, with one nitrogen atom as the only ring hetero atom with only hydrogen or carbon atoms directly attached to the ring nitrogen atom having two double bonds between ring members or between ring members and non-ring members with hetero atoms or with carbon atoms having three bonds to hetero atoms with at the most one bond to halogen, e.g. ester or nitrile radicals, directly attached to ring carbon atoms
- C07D207/36—Oxygen or sulfur atoms
- C07D207/38—2-Pyrrolones
-
- C—CHEMISTRY; METALLURGY
- C07—ORGANIC CHEMISTRY
- C07D—HETEROCYCLIC COMPOUNDS
- C07D213/00—Heterocyclic compounds containing six-membered rings, not condensed with other rings, with one nitrogen atom as the only ring hetero atom and three or more double bonds between ring members or between ring members and non-ring members
- C07D213/02—Heterocyclic compounds containing six-membered rings, not condensed with other rings, with one nitrogen atom as the only ring hetero atom and three or more double bonds between ring members or between ring members and non-ring members having three double bonds between ring members or between ring members and non-ring members
- C07D213/04—Heterocyclic compounds containing six-membered rings, not condensed with other rings, with one nitrogen atom as the only ring hetero atom and three or more double bonds between ring members or between ring members and non-ring members having three double bonds between ring members or between ring members and non-ring members having no bond between the ring nitrogen atom and a non-ring member or having only hydrogen or carbon atoms directly attached to the ring nitrogen atom
- C07D213/60—Heterocyclic compounds containing six-membered rings, not condensed with other rings, with one nitrogen atom as the only ring hetero atom and three or more double bonds between ring members or between ring members and non-ring members having three double bonds between ring members or between ring members and non-ring members having no bond between the ring nitrogen atom and a non-ring member or having only hydrogen or carbon atoms directly attached to the ring nitrogen atom with hetero atoms or with carbon atoms having three bonds to hetero atoms with at the most one bond to halogen, e.g. ester or nitrile radicals, directly attached to ring carbon atoms
- C07D213/62—Oxygen or sulfur atoms
- C07D213/70—Sulfur atoms
- C07D213/71—Sulfur atoms to which a second hetero atom is attached
-
- C—CHEMISTRY; METALLURGY
- C07—ORGANIC CHEMISTRY
- C07D—HETEROCYCLIC COMPOUNDS
- C07D213/00—Heterocyclic compounds containing six-membered rings, not condensed with other rings, with one nitrogen atom as the only ring hetero atom and three or more double bonds between ring members or between ring members and non-ring members
- C07D213/02—Heterocyclic compounds containing six-membered rings, not condensed with other rings, with one nitrogen atom as the only ring hetero atom and three or more double bonds between ring members or between ring members and non-ring members having three double bonds between ring members or between ring members and non-ring members
- C07D213/04—Heterocyclic compounds containing six-membered rings, not condensed with other rings, with one nitrogen atom as the only ring hetero atom and three or more double bonds between ring members or between ring members and non-ring members having three double bonds between ring members or between ring members and non-ring members having no bond between the ring nitrogen atom and a non-ring member or having only hydrogen or carbon atoms directly attached to the ring nitrogen atom
- C07D213/60—Heterocyclic compounds containing six-membered rings, not condensed with other rings, with one nitrogen atom as the only ring hetero atom and three or more double bonds between ring members or between ring members and non-ring members having three double bonds between ring members or between ring members and non-ring members having no bond between the ring nitrogen atom and a non-ring member or having only hydrogen or carbon atoms directly attached to the ring nitrogen atom with hetero atoms or with carbon atoms having three bonds to hetero atoms with at the most one bond to halogen, e.g. ester or nitrile radicals, directly attached to ring carbon atoms
- C07D213/72—Nitrogen atoms
- C07D213/74—Amino or imino radicals substituted by hydrocarbon or substituted hydrocarbon radicals
-
- C—CHEMISTRY; METALLURGY
- C07—ORGANIC CHEMISTRY
- C07D—HETEROCYCLIC COMPOUNDS
- C07D215/00—Heterocyclic compounds containing quinoline or hydrogenated quinoline ring systems
- C07D215/02—Heterocyclic compounds containing quinoline or hydrogenated quinoline ring systems having no bond between the ring nitrogen atom and a non-ring member or having only hydrogen atoms or carbon atoms directly attached to the ring nitrogen atom
- C07D215/16—Heterocyclic compounds containing quinoline or hydrogenated quinoline ring systems having no bond between the ring nitrogen atom and a non-ring member or having only hydrogen atoms or carbon atoms directly attached to the ring nitrogen atom with hetero atoms or with carbon atoms having three bonds to hetero atoms with at the most one bond to halogen, e.g. ester or nitrile radicals, directly attached to ring carbon atoms
- C07D215/36—Sulfur atoms
-
- C—CHEMISTRY; METALLURGY
- C07—ORGANIC CHEMISTRY
- C07D—HETEROCYCLIC COMPOUNDS
- C07D217/00—Heterocyclic compounds containing isoquinoline or hydrogenated isoquinoline ring systems
- C07D217/02—Heterocyclic compounds containing isoquinoline or hydrogenated isoquinoline ring systems with only hydrogen atoms or radicals containing only carbon and hydrogen atoms, directly attached to carbon atoms of the nitrogen-containing ring; Alkylene-bis-isoquinolines
-
- C—CHEMISTRY; METALLURGY
- C07—ORGANIC CHEMISTRY
- C07D—HETEROCYCLIC COMPOUNDS
- C07D217/00—Heterocyclic compounds containing isoquinoline or hydrogenated isoquinoline ring systems
- C07D217/22—Heterocyclic compounds containing isoquinoline or hydrogenated isoquinoline ring systems with hetero atoms or with carbon atoms having three bonds to hetero atoms with at the most one bond to halogen, e.g. ester or nitrile radicals, directly attached to carbon atoms of the nitrogen-containing ring
-
- C—CHEMISTRY; METALLURGY
- C07—ORGANIC CHEMISTRY
- C07D—HETEROCYCLIC COMPOUNDS
- C07D217/00—Heterocyclic compounds containing isoquinoline or hydrogenated isoquinoline ring systems
- C07D217/22—Heterocyclic compounds containing isoquinoline or hydrogenated isoquinoline ring systems with hetero atoms or with carbon atoms having three bonds to hetero atoms with at the most one bond to halogen, e.g. ester or nitrile radicals, directly attached to carbon atoms of the nitrogen-containing ring
- C07D217/24—Oxygen atoms
-
- C—CHEMISTRY; METALLURGY
- C07—ORGANIC CHEMISTRY
- C07D—HETEROCYCLIC COMPOUNDS
- C07D221/00—Heterocyclic compounds containing six-membered rings having one nitrogen atom as the only ring hetero atom, not provided for by groups C07D211/00 - C07D219/00
- C07D221/02—Heterocyclic compounds containing six-membered rings having one nitrogen atom as the only ring hetero atom, not provided for by groups C07D211/00 - C07D219/00 condensed with carbocyclic rings or ring systems
- C07D221/04—Ortho- or peri-condensed ring systems
-
- C—CHEMISTRY; METALLURGY
- C07—ORGANIC CHEMISTRY
- C07D—HETEROCYCLIC COMPOUNDS
- C07D221/00—Heterocyclic compounds containing six-membered rings having one nitrogen atom as the only ring hetero atom, not provided for by groups C07D211/00 - C07D219/00
- C07D221/02—Heterocyclic compounds containing six-membered rings having one nitrogen atom as the only ring hetero atom, not provided for by groups C07D211/00 - C07D219/00 condensed with carbocyclic rings or ring systems
- C07D221/04—Ortho- or peri-condensed ring systems
- C07D221/18—Ring systems of four or more rings
-
- C—CHEMISTRY; METALLURGY
- C07—ORGANIC CHEMISTRY
- C07D—HETEROCYCLIC COMPOUNDS
- C07D231/00—Heterocyclic compounds containing 1,2-diazole or hydrogenated 1,2-diazole rings
- C07D231/02—Heterocyclic compounds containing 1,2-diazole or hydrogenated 1,2-diazole rings not condensed with other rings
- C07D231/10—Heterocyclic compounds containing 1,2-diazole or hydrogenated 1,2-diazole rings not condensed with other rings having two or three double bonds between ring members or between ring members and non-ring members
- C07D231/14—Heterocyclic compounds containing 1,2-diazole or hydrogenated 1,2-diazole rings not condensed with other rings having two or three double bonds between ring members or between ring members and non-ring members with hetero atoms or with carbon atoms having three bonds to hetero atoms with at the most one bond to halogen, e.g. ester or nitrile radicals, directly attached to ring carbon atoms
- C07D231/18—One oxygen or sulfur atom
-
- C—CHEMISTRY; METALLURGY
- C07—ORGANIC CHEMISTRY
- C07D—HETEROCYCLIC COMPOUNDS
- C07D235/00—Heterocyclic compounds containing 1,3-diazole or hydrogenated 1,3-diazole rings, condensed with other rings
- C07D235/02—Heterocyclic compounds containing 1,3-diazole or hydrogenated 1,3-diazole rings, condensed with other rings condensed with carbocyclic rings or ring systems
-
- C—CHEMISTRY; METALLURGY
- C07—ORGANIC CHEMISTRY
- C07D—HETEROCYCLIC COMPOUNDS
- C07D241/00—Heterocyclic compounds containing 1,4-diazine or hydrogenated 1,4-diazine rings
- C07D241/02—Heterocyclic compounds containing 1,4-diazine or hydrogenated 1,4-diazine rings not condensed with other rings
- C07D241/10—Heterocyclic compounds containing 1,4-diazine or hydrogenated 1,4-diazine rings not condensed with other rings having three double bonds between ring members or between ring members and non-ring members
- C07D241/14—Heterocyclic compounds containing 1,4-diazine or hydrogenated 1,4-diazine rings not condensed with other rings having three double bonds between ring members or between ring members and non-ring members with hetero atoms or with carbon atoms having three bonds to hetero atoms with at the most one bond to halogen, e.g. ester or nitrile radicals, directly attached to ring carbon atoms
- C07D241/24—Carbon atoms having three bonds to hetero atoms with at the most one bond to halogen, e.g. ester or nitrile radicals
-
- C—CHEMISTRY; METALLURGY
- C07—ORGANIC CHEMISTRY
- C07D—HETEROCYCLIC COMPOUNDS
- C07D241/00—Heterocyclic compounds containing 1,4-diazine or hydrogenated 1,4-diazine rings
- C07D241/36—Heterocyclic compounds containing 1,4-diazine or hydrogenated 1,4-diazine rings condensed with carbocyclic rings or ring systems
- C07D241/38—Heterocyclic compounds containing 1,4-diazine or hydrogenated 1,4-diazine rings condensed with carbocyclic rings or ring systems with only hydrogen or carbon atoms directly attached to the ring nitrogen atoms
- C07D241/40—Benzopyrazines
- C07D241/42—Benzopyrazines with only hydrogen atoms, hydrocarbon or substituted hydrocarbon radicals, directly attached to carbon atoms of the hetero ring
-
- C—CHEMISTRY; METALLURGY
- C07—ORGANIC CHEMISTRY
- C07D—HETEROCYCLIC COMPOUNDS
- C07D241/00—Heterocyclic compounds containing 1,4-diazine or hydrogenated 1,4-diazine rings
- C07D241/36—Heterocyclic compounds containing 1,4-diazine or hydrogenated 1,4-diazine rings condensed with carbocyclic rings or ring systems
- C07D241/38—Heterocyclic compounds containing 1,4-diazine or hydrogenated 1,4-diazine rings condensed with carbocyclic rings or ring systems with only hydrogen or carbon atoms directly attached to the ring nitrogen atoms
- C07D241/40—Benzopyrazines
- C07D241/44—Benzopyrazines with hetero atoms or with carbon atoms having three bonds to hetero atoms with at the most one bond to halogen, e.g. ester or nitrile radicals, directly attached to carbon atoms of the hetero ring
-
- C—CHEMISTRY; METALLURGY
- C07—ORGANIC CHEMISTRY
- C07D—HETEROCYCLIC COMPOUNDS
- C07D249/00—Heterocyclic compounds containing five-membered rings having three nitrogen atoms as the only ring hetero atoms
- C07D249/02—Heterocyclic compounds containing five-membered rings having three nitrogen atoms as the only ring hetero atoms not condensed with other rings
- C07D249/04—1,2,3-Triazoles; Hydrogenated 1,2,3-triazoles
-
- C—CHEMISTRY; METALLURGY
- C07—ORGANIC CHEMISTRY
- C07D—HETEROCYCLIC COMPOUNDS
- C07D249/00—Heterocyclic compounds containing five-membered rings having three nitrogen atoms as the only ring hetero atoms
- C07D249/02—Heterocyclic compounds containing five-membered rings having three nitrogen atoms as the only ring hetero atoms not condensed with other rings
- C07D249/04—1,2,3-Triazoles; Hydrogenated 1,2,3-triazoles
- C07D249/06—1,2,3-Triazoles; Hydrogenated 1,2,3-triazoles with aryl radicals directly attached to ring atoms
-
- C—CHEMISTRY; METALLURGY
- C07—ORGANIC CHEMISTRY
- C07D—HETEROCYCLIC COMPOUNDS
- C07D249/00—Heterocyclic compounds containing five-membered rings having three nitrogen atoms as the only ring hetero atoms
- C07D249/02—Heterocyclic compounds containing five-membered rings having three nitrogen atoms as the only ring hetero atoms not condensed with other rings
- C07D249/08—1,2,4-Triazoles; Hydrogenated 1,2,4-triazoles
- C07D249/10—1,2,4-Triazoles; Hydrogenated 1,2,4-triazoles with hetero atoms or with carbon atoms having three bonds to hetero atoms with at the most one bond to halogen, e.g. ester or nitrile radicals, directly attached to ring carbon atoms
- C07D249/12—Oxygen or sulfur atoms
-
- C—CHEMISTRY; METALLURGY
- C07—ORGANIC CHEMISTRY
- C07D—HETEROCYCLIC COMPOUNDS
- C07D261/00—Heterocyclic compounds containing 1,2-oxazole or hydrogenated 1,2-oxazole rings
- C07D261/02—Heterocyclic compounds containing 1,2-oxazole or hydrogenated 1,2-oxazole rings not condensed with other rings
- C07D261/06—Heterocyclic compounds containing 1,2-oxazole or hydrogenated 1,2-oxazole rings not condensed with other rings having two or more double bonds between ring members or between ring members and non-ring members
- C07D261/10—Heterocyclic compounds containing 1,2-oxazole or hydrogenated 1,2-oxazole rings not condensed with other rings having two or more double bonds between ring members or between ring members and non-ring members with hetero atoms or with carbon atoms having three bonds to hetero atoms with at the most one bond to halogen, e.g. ester or nitrile radicals, directly attached to ring carbon atoms
- C07D261/18—Carbon atoms having three bonds to hetero atoms, with at the most one bond to halogen
-
- C—CHEMISTRY; METALLURGY
- C07—ORGANIC CHEMISTRY
- C07D—HETEROCYCLIC COMPOUNDS
- C07D271/00—Heterocyclic compounds containing five-membered rings having two nitrogen atoms and one oxygen atom as the only ring hetero atoms
- C07D271/02—Heterocyclic compounds containing five-membered rings having two nitrogen atoms and one oxygen atom as the only ring hetero atoms not condensed with other rings
- C07D271/08—1,2,5-Oxadiazoles; Hydrogenated 1,2,5-oxadiazoles
-
- C—CHEMISTRY; METALLURGY
- C07—ORGANIC CHEMISTRY
- C07D—HETEROCYCLIC COMPOUNDS
- C07D271/00—Heterocyclic compounds containing five-membered rings having two nitrogen atoms and one oxygen atom as the only ring hetero atoms
- C07D271/12—Heterocyclic compounds containing five-membered rings having two nitrogen atoms and one oxygen atom as the only ring hetero atoms condensed with carbocyclic rings or ring systems
-
- C—CHEMISTRY; METALLURGY
- C07—ORGANIC CHEMISTRY
- C07D—HETEROCYCLIC COMPOUNDS
- C07D277/00—Heterocyclic compounds containing 1,3-thiazole or hydrogenated 1,3-thiazole rings
- C07D277/02—Heterocyclic compounds containing 1,3-thiazole or hydrogenated 1,3-thiazole rings not condensed with other rings
- C07D277/20—Heterocyclic compounds containing 1,3-thiazole or hydrogenated 1,3-thiazole rings not condensed with other rings having two or three double bonds between ring members or between ring members and non-ring members
- C07D277/32—Heterocyclic compounds containing 1,3-thiazole or hydrogenated 1,3-thiazole rings not condensed with other rings having two or three double bonds between ring members or between ring members and non-ring members with hetero atoms or with carbon atoms having three bonds to hetero atoms with at the most one bond to halogen, e.g. ester or nitrile radicals, directly attached to ring carbon atoms
- C07D277/36—Sulfur atoms
-
- C—CHEMISTRY; METALLURGY
- C07—ORGANIC CHEMISTRY
- C07D—HETEROCYCLIC COMPOUNDS
- C07D307/00—Heterocyclic compounds containing five-membered rings having one oxygen atom as the only ring hetero atom
- C07D307/02—Heterocyclic compounds containing five-membered rings having one oxygen atom as the only ring hetero atom not condensed with other rings
- C07D307/04—Heterocyclic compounds containing five-membered rings having one oxygen atom as the only ring hetero atom not condensed with other rings having no double bonds between ring members or between ring members and non-ring members
- C07D307/18—Heterocyclic compounds containing five-membered rings having one oxygen atom as the only ring hetero atom not condensed with other rings having no double bonds between ring members or between ring members and non-ring members with hetero atoms or with carbon atoms having three bonds to hetero atoms with at the most one bond to halogen, e.g. ester or nitrile radicals, directly attached to ring carbon atoms
-
- C—CHEMISTRY; METALLURGY
- C07—ORGANIC CHEMISTRY
- C07D—HETEROCYCLIC COMPOUNDS
- C07D307/00—Heterocyclic compounds containing five-membered rings having one oxygen atom as the only ring hetero atom
- C07D307/02—Heterocyclic compounds containing five-membered rings having one oxygen atom as the only ring hetero atom not condensed with other rings
- C07D307/34—Heterocyclic compounds containing five-membered rings having one oxygen atom as the only ring hetero atom not condensed with other rings having two or three double bonds between ring members or between ring members and non-ring members
- C07D307/56—Heterocyclic compounds containing five-membered rings having one oxygen atom as the only ring hetero atom not condensed with other rings having two or three double bonds between ring members or between ring members and non-ring members with hetero atoms or with carbon atoms having three bonds to hetero atoms with at the most one bond to halogen, e.g. ester or nitrile radicals, directly attached to ring carbon atoms
- C07D307/64—Sulfur atoms
-
- C—CHEMISTRY; METALLURGY
- C07—ORGANIC CHEMISTRY
- C07D—HETEROCYCLIC COMPOUNDS
- C07D307/00—Heterocyclic compounds containing five-membered rings having one oxygen atom as the only ring hetero atom
- C07D307/02—Heterocyclic compounds containing five-membered rings having one oxygen atom as the only ring hetero atom not condensed with other rings
- C07D307/34—Heterocyclic compounds containing five-membered rings having one oxygen atom as the only ring hetero atom not condensed with other rings having two or three double bonds between ring members or between ring members and non-ring members
- C07D307/56—Heterocyclic compounds containing five-membered rings having one oxygen atom as the only ring hetero atom not condensed with other rings having two or three double bonds between ring members or between ring members and non-ring members with hetero atoms or with carbon atoms having three bonds to hetero atoms with at the most one bond to halogen, e.g. ester or nitrile radicals, directly attached to ring carbon atoms
- C07D307/68—Carbon atoms having three bonds to hetero atoms with at the most one bond to halogen
-
- C—CHEMISTRY; METALLURGY
- C07—ORGANIC CHEMISTRY
- C07D—HETEROCYCLIC COMPOUNDS
- C07D307/00—Heterocyclic compounds containing five-membered rings having one oxygen atom as the only ring hetero atom
- C07D307/77—Heterocyclic compounds containing five-membered rings having one oxygen atom as the only ring hetero atom ortho- or peri-condensed with carbocyclic rings or ring systems
-
- C—CHEMISTRY; METALLURGY
- C07—ORGANIC CHEMISTRY
- C07D—HETEROCYCLIC COMPOUNDS
- C07D307/00—Heterocyclic compounds containing five-membered rings having one oxygen atom as the only ring hetero atom
- C07D307/77—Heterocyclic compounds containing five-membered rings having one oxygen atom as the only ring hetero atom ortho- or peri-condensed with carbocyclic rings or ring systems
- C07D307/78—Benzo [b] furans; Hydrogenated benzo [b] furans
- C07D307/82—Benzo [b] furans; Hydrogenated benzo [b] furans with hetero atoms or with carbon atoms having three bonds to hetero atoms with at the most one bond to halogen, e.g. ester or nitrile radicals, directly attached to carbon atoms of the hetero ring
-
- C—CHEMISTRY; METALLURGY
- C07—ORGANIC CHEMISTRY
- C07D—HETEROCYCLIC COMPOUNDS
- C07D311/00—Heterocyclic compounds containing six-membered rings having one oxygen atom as the only hetero atom, condensed with other rings
- C07D311/02—Heterocyclic compounds containing six-membered rings having one oxygen atom as the only hetero atom, condensed with other rings ortho- or peri-condensed with carbocyclic rings or ring systems
- C07D311/04—Benzo[b]pyrans, not hydrogenated in the carbocyclic ring
- C07D311/06—Benzo[b]pyrans, not hydrogenated in the carbocyclic ring with oxygen or sulfur atoms directly attached in position 2
- C07D311/08—Benzo[b]pyrans, not hydrogenated in the carbocyclic ring with oxygen or sulfur atoms directly attached in position 2 not hydrogenated in the hetero ring
- C07D311/16—Benzo[b]pyrans, not hydrogenated in the carbocyclic ring with oxygen or sulfur atoms directly attached in position 2 not hydrogenated in the hetero ring substituted in position 7
-
- C—CHEMISTRY; METALLURGY
- C07—ORGANIC CHEMISTRY
- C07D—HETEROCYCLIC COMPOUNDS
- C07D311/00—Heterocyclic compounds containing six-membered rings having one oxygen atom as the only hetero atom, condensed with other rings
- C07D311/02—Heterocyclic compounds containing six-membered rings having one oxygen atom as the only hetero atom, condensed with other rings ortho- or peri-condensed with carbocyclic rings or ring systems
- C07D311/04—Benzo[b]pyrans, not hydrogenated in the carbocyclic ring
- C07D311/06—Benzo[b]pyrans, not hydrogenated in the carbocyclic ring with oxygen or sulfur atoms directly attached in position 2
- C07D311/08—Benzo[b]pyrans, not hydrogenated in the carbocyclic ring with oxygen or sulfur atoms directly attached in position 2 not hydrogenated in the hetero ring
- C07D311/18—Benzo[b]pyrans, not hydrogenated in the carbocyclic ring with oxygen or sulfur atoms directly attached in position 2 not hydrogenated in the hetero ring substituted otherwise than in position 3 or 7
-
- C—CHEMISTRY; METALLURGY
- C07—ORGANIC CHEMISTRY
- C07D—HETEROCYCLIC COMPOUNDS
- C07D311/00—Heterocyclic compounds containing six-membered rings having one oxygen atom as the only hetero atom, condensed with other rings
- C07D311/02—Heterocyclic compounds containing six-membered rings having one oxygen atom as the only hetero atom, condensed with other rings ortho- or peri-condensed with carbocyclic rings or ring systems
- C07D311/04—Benzo[b]pyrans, not hydrogenated in the carbocyclic ring
- C07D311/58—Benzo[b]pyrans, not hydrogenated in the carbocyclic ring other than with oxygen or sulphur atoms in position 2 or 4
- C07D311/60—Benzo[b]pyrans, not hydrogenated in the carbocyclic ring other than with oxygen or sulphur atoms in position 2 or 4 with aryl radicals attached in position 2
-
- C—CHEMISTRY; METALLURGY
- C07—ORGANIC CHEMISTRY
- C07D—HETEROCYCLIC COMPOUNDS
- C07D317/00—Heterocyclic compounds containing five-membered rings having two oxygen atoms as the only ring hetero atoms
- C07D317/08—Heterocyclic compounds containing five-membered rings having two oxygen atoms as the only ring hetero atoms having the hetero atoms in positions 1 and 3
- C07D317/44—Heterocyclic compounds containing five-membered rings having two oxygen atoms as the only ring hetero atoms having the hetero atoms in positions 1 and 3 ortho- or peri-condensed with carbocyclic rings or ring systems
- C07D317/46—Heterocyclic compounds containing five-membered rings having two oxygen atoms as the only ring hetero atoms having the hetero atoms in positions 1 and 3 ortho- or peri-condensed with carbocyclic rings or ring systems condensed with one six-membered ring
- C07D317/48—Methylenedioxybenzenes or hydrogenated methylenedioxybenzenes, unsubstituted on the hetero ring
- C07D317/62—Methylenedioxybenzenes or hydrogenated methylenedioxybenzenes, unsubstituted on the hetero ring with hetero atoms or with carbon atoms having three bonds to hetero atoms with at the most one bond to halogen, e.g. ester or nitrile radicals, directly attached to atoms of the carbocyclic ring
-
- C—CHEMISTRY; METALLURGY
- C07—ORGANIC CHEMISTRY
- C07D—HETEROCYCLIC COMPOUNDS
- C07D333/00—Heterocyclic compounds containing five-membered rings having one sulfur atom as the only ring hetero atom
- C07D333/02—Heterocyclic compounds containing five-membered rings having one sulfur atom as the only ring hetero atom not condensed with other rings
- C07D333/04—Heterocyclic compounds containing five-membered rings having one sulfur atom as the only ring hetero atom not condensed with other rings not substituted on the ring sulphur atom
- C07D333/26—Heterocyclic compounds containing five-membered rings having one sulfur atom as the only ring hetero atom not condensed with other rings not substituted on the ring sulphur atom with hetero atoms or with carbon atoms having three bonds to hetero atoms with at the most one bond to halogen, e.g. ester or nitrile radicals, directly attached to ring carbon atoms
- C07D333/30—Hetero atoms other than halogen
- C07D333/34—Sulfur atoms
-
- C—CHEMISTRY; METALLURGY
- C07—ORGANIC CHEMISTRY
- C07D—HETEROCYCLIC COMPOUNDS
- C07D333/00—Heterocyclic compounds containing five-membered rings having one sulfur atom as the only ring hetero atom
- C07D333/50—Heterocyclic compounds containing five-membered rings having one sulfur atom as the only ring hetero atom condensed with carbocyclic rings or ring systems
- C07D333/52—Benzo[b]thiophenes; Hydrogenated benzo[b]thiophenes
-
- C—CHEMISTRY; METALLURGY
- C07—ORGANIC CHEMISTRY
- C07D—HETEROCYCLIC COMPOUNDS
- C07D333/00—Heterocyclic compounds containing five-membered rings having one sulfur atom as the only ring hetero atom
- C07D333/50—Heterocyclic compounds containing five-membered rings having one sulfur atom as the only ring hetero atom condensed with carbocyclic rings or ring systems
- C07D333/52—Benzo[b]thiophenes; Hydrogenated benzo[b]thiophenes
- C07D333/54—Benzo[b]thiophenes; Hydrogenated benzo[b]thiophenes with only hydrogen atoms, hydrocarbon or substituted hydrocarbon radicals, directly attached to carbon atoms of the hetero ring
-
- C—CHEMISTRY; METALLURGY
- C07—ORGANIC CHEMISTRY
- C07D—HETEROCYCLIC COMPOUNDS
- C07D333/00—Heterocyclic compounds containing five-membered rings having one sulfur atom as the only ring hetero atom
- C07D333/50—Heterocyclic compounds containing five-membered rings having one sulfur atom as the only ring hetero atom condensed with carbocyclic rings or ring systems
- C07D333/52—Benzo[b]thiophenes; Hydrogenated benzo[b]thiophenes
- C07D333/62—Benzo[b]thiophenes; Hydrogenated benzo[b]thiophenes with hetero atoms or with carbon atoms having three bonds to hetero atoms with at the most one bond to halogen, e.g. ester or nitrile radicals, directly attached to carbon atoms of the hetero ring
-
- C—CHEMISTRY; METALLURGY
- C07—ORGANIC CHEMISTRY
- C07D—HETEROCYCLIC COMPOUNDS
- C07D401/00—Heterocyclic compounds containing two or more hetero rings, having nitrogen atoms as the only ring hetero atoms, at least one ring being a six-membered ring with only one nitrogen atom
- C07D401/02—Heterocyclic compounds containing two or more hetero rings, having nitrogen atoms as the only ring hetero atoms, at least one ring being a six-membered ring with only one nitrogen atom containing two hetero rings
- C07D401/06—Heterocyclic compounds containing two or more hetero rings, having nitrogen atoms as the only ring hetero atoms, at least one ring being a six-membered ring with only one nitrogen atom containing two hetero rings linked by a carbon chain containing only aliphatic carbon atoms
-
- C—CHEMISTRY; METALLURGY
- C07—ORGANIC CHEMISTRY
- C07D—HETEROCYCLIC COMPOUNDS
- C07D401/00—Heterocyclic compounds containing two or more hetero rings, having nitrogen atoms as the only ring hetero atoms, at least one ring being a six-membered ring with only one nitrogen atom
- C07D401/02—Heterocyclic compounds containing two or more hetero rings, having nitrogen atoms as the only ring hetero atoms, at least one ring being a six-membered ring with only one nitrogen atom containing two hetero rings
- C07D401/12—Heterocyclic compounds containing two or more hetero rings, having nitrogen atoms as the only ring hetero atoms, at least one ring being a six-membered ring with only one nitrogen atom containing two hetero rings linked by a chain containing hetero atoms as chain links
-
- C—CHEMISTRY; METALLURGY
- C07—ORGANIC CHEMISTRY
- C07D—HETEROCYCLIC COMPOUNDS
- C07D403/00—Heterocyclic compounds containing two or more hetero rings, having nitrogen atoms as the only ring hetero atoms, not provided for by group C07D401/00
- C07D403/02—Heterocyclic compounds containing two or more hetero rings, having nitrogen atoms as the only ring hetero atoms, not provided for by group C07D401/00 containing two hetero rings
- C07D403/12—Heterocyclic compounds containing two or more hetero rings, having nitrogen atoms as the only ring hetero atoms, not provided for by group C07D401/00 containing two hetero rings linked by a chain containing hetero atoms as chain links
-
- C—CHEMISTRY; METALLURGY
- C07—ORGANIC CHEMISTRY
- C07D—HETEROCYCLIC COMPOUNDS
- C07D405/00—Heterocyclic compounds containing both one or more hetero rings having oxygen atoms as the only ring hetero atoms, and one or more rings having nitrogen as the only ring hetero atom
- C07D405/02—Heterocyclic compounds containing both one or more hetero rings having oxygen atoms as the only ring hetero atoms, and one or more rings having nitrogen as the only ring hetero atom containing two hetero rings
- C07D405/12—Heterocyclic compounds containing both one or more hetero rings having oxygen atoms as the only ring hetero atoms, and one or more rings having nitrogen as the only ring hetero atom containing two hetero rings linked by a chain containing hetero atoms as chain links
-
- C—CHEMISTRY; METALLURGY
- C07—ORGANIC CHEMISTRY
- C07D—HETEROCYCLIC COMPOUNDS
- C07D407/00—Heterocyclic compounds containing two or more hetero rings, at least one ring having oxygen atoms as the only ring hetero atoms, not provided for by group C07D405/00
- C07D407/02—Heterocyclic compounds containing two or more hetero rings, at least one ring having oxygen atoms as the only ring hetero atoms, not provided for by group C07D405/00 containing two hetero rings
- C07D407/12—Heterocyclic compounds containing two or more hetero rings, at least one ring having oxygen atoms as the only ring hetero atoms, not provided for by group C07D405/00 containing two hetero rings linked by a chain containing hetero atoms as chain links
-
- C—CHEMISTRY; METALLURGY
- C07—ORGANIC CHEMISTRY
- C07D—HETEROCYCLIC COMPOUNDS
- C07D413/00—Heterocyclic compounds containing two or more hetero rings, at least one ring having nitrogen and oxygen atoms as the only ring hetero atoms
- C07D413/02—Heterocyclic compounds containing two or more hetero rings, at least one ring having nitrogen and oxygen atoms as the only ring hetero atoms containing two hetero rings
- C07D413/12—Heterocyclic compounds containing two or more hetero rings, at least one ring having nitrogen and oxygen atoms as the only ring hetero atoms containing two hetero rings linked by a chain containing hetero atoms as chain links
-
- C—CHEMISTRY; METALLURGY
- C07—ORGANIC CHEMISTRY
- C07D—HETEROCYCLIC COMPOUNDS
- C07D417/00—Heterocyclic compounds containing two or more hetero rings, at least one ring having nitrogen and sulfur atoms as the only ring hetero atoms, not provided for by group C07D415/00
- C07D417/02—Heterocyclic compounds containing two or more hetero rings, at least one ring having nitrogen and sulfur atoms as the only ring hetero atoms, not provided for by group C07D415/00 containing two hetero rings
- C07D417/12—Heterocyclic compounds containing two or more hetero rings, at least one ring having nitrogen and sulfur atoms as the only ring hetero atoms, not provided for by group C07D415/00 containing two hetero rings linked by a chain containing hetero atoms as chain links
-
- C—CHEMISTRY; METALLURGY
- C07—ORGANIC CHEMISTRY
- C07D—HETEROCYCLIC COMPOUNDS
- C07D487/00—Heterocyclic compounds containing nitrogen atoms as the only ring hetero atoms in the condensed system, not provided for by groups C07D451/00 - C07D477/00
- C07D487/02—Heterocyclic compounds containing nitrogen atoms as the only ring hetero atoms in the condensed system, not provided for by groups C07D451/00 - C07D477/00 in which the condensed system contains two hetero rings
- C07D487/04—Ortho-condensed systems
-
- C—CHEMISTRY; METALLURGY
- C07—ORGANIC CHEMISTRY
- C07D—HETEROCYCLIC COMPOUNDS
- C07D493/00—Heterocyclic compounds containing oxygen atoms as the only ring hetero atoms in the condensed system
- C07D493/02—Heterocyclic compounds containing oxygen atoms as the only ring hetero atoms in the condensed system in which the condensed system contains two hetero rings
- C07D493/04—Ortho-condensed systems
-
- C—CHEMISTRY; METALLURGY
- C07—ORGANIC CHEMISTRY
- C07D—HETEROCYCLIC COMPOUNDS
- C07D495/00—Heterocyclic compounds containing in the condensed system at least one hetero ring having sulfur atoms as the only ring hetero atoms
- C07D495/02—Heterocyclic compounds containing in the condensed system at least one hetero ring having sulfur atoms as the only ring hetero atoms in which the condensed system contains two hetero rings
- C07D495/04—Ortho-condensed systems
-
- C—CHEMISTRY; METALLURGY
- C07—ORGANIC CHEMISTRY
- C07D—HETEROCYCLIC COMPOUNDS
- C07D495/00—Heterocyclic compounds containing in the condensed system at least one hetero ring having sulfur atoms as the only ring hetero atoms
- C07D495/02—Heterocyclic compounds containing in the condensed system at least one hetero ring having sulfur atoms as the only ring hetero atoms in which the condensed system contains two hetero rings
- C07D495/06—Peri-condensed systems
-
- C—CHEMISTRY; METALLURGY
- C07—ORGANIC CHEMISTRY
- C07D—HETEROCYCLIC COMPOUNDS
- C07D498/00—Heterocyclic compounds containing in the condensed system at least one hetero ring having nitrogen and oxygen atoms as the only ring hetero atoms
- C07D498/02—Heterocyclic compounds containing in the condensed system at least one hetero ring having nitrogen and oxygen atoms as the only ring hetero atoms in which the condensed system contains two hetero rings
- C07D498/04—Ortho-condensed systems
-
- C—CHEMISTRY; METALLURGY
- C07—ORGANIC CHEMISTRY
- C07C—ACYCLIC OR CARBOCYCLIC COMPOUNDS
- C07C2601/00—Systems containing only non-condensed rings
- C07C2601/02—Systems containing only non-condensed rings with a three-membered ring
-
- C—CHEMISTRY; METALLURGY
- C07—ORGANIC CHEMISTRY
- C07C—ACYCLIC OR CARBOCYCLIC COMPOUNDS
- C07C2601/00—Systems containing only non-condensed rings
- C07C2601/06—Systems containing only non-condensed rings with a five-membered ring
- C07C2601/08—Systems containing only non-condensed rings with a five-membered ring the ring being saturated
-
- C—CHEMISTRY; METALLURGY
- C07—ORGANIC CHEMISTRY
- C07C—ACYCLIC OR CARBOCYCLIC COMPOUNDS
- C07C2601/00—Systems containing only non-condensed rings
- C07C2601/12—Systems containing only non-condensed rings with a six-membered ring
- C07C2601/14—The ring being saturated
-
- C—CHEMISTRY; METALLURGY
- C07—ORGANIC CHEMISTRY
- C07C—ACYCLIC OR CARBOCYCLIC COMPOUNDS
- C07C2601/00—Systems containing only non-condensed rings
- C07C2601/12—Systems containing only non-condensed rings with a six-membered ring
- C07C2601/16—Systems containing only non-condensed rings with a six-membered ring the ring being unsaturated
-
- C—CHEMISTRY; METALLURGY
- C07—ORGANIC CHEMISTRY
- C07C—ACYCLIC OR CARBOCYCLIC COMPOUNDS
- C07C2602/00—Systems containing two condensed rings
- C07C2602/02—Systems containing two condensed rings the rings having only two atoms in common
- C07C2602/04—One of the condensed rings being a six-membered aromatic ring
- C07C2602/08—One of the condensed rings being a six-membered aromatic ring the other ring being five-membered, e.g. indane
-
- C—CHEMISTRY; METALLURGY
- C07—ORGANIC CHEMISTRY
- C07C—ACYCLIC OR CARBOCYCLIC COMPOUNDS
- C07C2602/00—Systems containing two condensed rings
- C07C2602/02—Systems containing two condensed rings the rings having only two atoms in common
- C07C2602/04—One of the condensed rings being a six-membered aromatic ring
- C07C2602/10—One of the condensed rings being a six-membered aromatic ring the other ring being six-membered, e.g. tetraline
-
- C—CHEMISTRY; METALLURGY
- C07—ORGANIC CHEMISTRY
- C07C—ACYCLIC OR CARBOCYCLIC COMPOUNDS
- C07C2603/00—Systems containing at least three condensed rings
- C07C2603/02—Ortho- or ortho- and peri-condensed systems
- C07C2603/04—Ortho- or ortho- and peri-condensed systems containing three rings
- C07C2603/06—Ortho- or ortho- and peri-condensed systems containing three rings containing at least one ring with less than six ring members
- C07C2603/10—Ortho- or ortho- and peri-condensed systems containing three rings containing at least one ring with less than six ring members containing five-membered rings
-
- Y—GENERAL TAGGING OF NEW TECHNOLOGICAL DEVELOPMENTS; GENERAL TAGGING OF CROSS-SECTIONAL TECHNOLOGIES SPANNING OVER SEVERAL SECTIONS OF THE IPC; TECHNICAL SUBJECTS COVERED BY FORMER USPC CROSS-REFERENCE ART COLLECTIONS [XRACs] AND DIGESTS
- Y02—TECHNOLOGIES OR APPLICATIONS FOR MITIGATION OR ADAPTATION AGAINST CLIMATE CHANGE
- Y02A—TECHNOLOGIES FOR ADAPTATION TO CLIMATE CHANGE
- Y02A50/00—TECHNOLOGIES FOR ADAPTATION TO CLIMATE CHANGE in human health protection, e.g. against extreme weather
- Y02A50/30—Against vector-borne diseases, e.g. mosquito-borne, fly-borne, tick-borne or waterborne diseases whose impact is exacerbated by climate change
Landscapes
- Chemical & Material Sciences (AREA)
- Organic Chemistry (AREA)
- Health & Medical Sciences (AREA)
- Life Sciences & Earth Sciences (AREA)
- Veterinary Medicine (AREA)
- General Health & Medical Sciences (AREA)
- Animal Behavior & Ethology (AREA)
- Pharmacology & Pharmacy (AREA)
- Public Health (AREA)
- Medicinal Chemistry (AREA)
- Chemical Kinetics & Catalysis (AREA)
- General Chemical & Material Sciences (AREA)
- Nuclear Medicine, Radiotherapy & Molecular Imaging (AREA)
- Engineering & Computer Science (AREA)
- Bioinformatics & Cheminformatics (AREA)
- Diabetes (AREA)
- Immunology (AREA)
- Dermatology (AREA)
- Neurology (AREA)
- Neurosurgery (AREA)
- Biomedical Technology (AREA)
- Virology (AREA)
- Hematology (AREA)
- Endocrinology (AREA)
- Oncology (AREA)
- Obesity (AREA)
- Communicable Diseases (AREA)
- Rheumatology (AREA)
- Pain & Pain Management (AREA)
- Cardiology (AREA)
- Heart & Thoracic Surgery (AREA)
- Epidemiology (AREA)
- Urology & Nephrology (AREA)
- Molecular Biology (AREA)
- Pulmonology (AREA)
- Physical Education & Sports Medicine (AREA)
- Tropical Medicine & Parasitology (AREA)
- Psychiatry (AREA)
- Ophthalmology & Optometry (AREA)
- Orthopedic Medicine & Surgery (AREA)
Description
JはS及びSeから選択され、
R1は、シクロアルキル、アリール、ヘテロアリール及びヘテロシクリルからなる群から選択され、それらの全ては場合によって置換されていてもよく、
R2は、シクロアルキル、アリール、ヘテロアリール及びヘテロシクリルからなる群から選択され、それらの全ては場合によって置換されていてもよく、
炭素原子を介してR1はJに直接結合し、R2も隣接する窒素に直接結合している化合物、又はその薬学的に許容される塩、溶媒和物若しくはプロドラッグが提供される。
JはS及びSeから選択され、
R1は、シクロアルキル、アリール、ヘテロアリール及びヘテロシクリルからなる群から選択され、それらの全ては場合によって置換されていてもよく、
R2は、シクロアルキル、アリール、ヘテロアリール及びヘテロシクリルからなる群から選択され、それらの全ては場合によって置換されていてもよく、
炭素原子を介してR1はJに直接結合し、R2も隣接する窒素に直接結合している化合物、又はその薬学的に許容される塩、溶媒和物若しくはプロドラッグが提供される。
式中、Yは出現毎に独立してC、N、S及びOから選択され、それらは適切ならば、場合によって置換されていてもよく、
R5、R11、R12、R13、R14及びR15は独立して、水素、ハロ、シアノ、アミド、スルホンアミド、アシル、ヒドロキシル、C1~C6アルキル、C1~C6ハロアルキル、C3~C5シクロアルキル及びC1~C6アルコキシからなる群から選択されていてもよく、それらの基は全て、適切ならば、ハロ、シアノ又はC1~C6アルコキシで場合によって置換されていてもよく、
R11及びR12は組み合わさってフェニル、5若しくは6員含酸素複素環又は5若しくは6員含窒素ヘテロアリールを形成していてもよく、それらのそれぞれは場合によって置換されていてもよく、
R12及びR13は組み合わさって5若しくは6員含窒素ヘテロアリールを形成していてもよく、それは場合によって置換されていてもよく、
R14及びR15は組み合わさって5若しくは6員シクロアルキル環、フェニル、5若しくは6員含酸素複素環又は5若しくは6員含窒素ヘテロアリールを形成していてもよく、それらのそれぞれは場合によって置換されていてもよい。
R12及びR14はHであり、
R13はH又はハロゲン、好ましくは、H又はClである。
各破線は結合を表していてもよく、
R2は式(I)、(Ia)、(Ib)若しくは(Ic)の任意の実施形態について以前に定義した通りであるか、又は蛍光基であってもよく、
R6は出現毎に独立して、水素、ハロ、シアノ、C1~C6アルキル、C1~C6アルキルアミノ、C1~C6アルキルヒドロキシ、C3~C6シクロアルキル、アルキルフェニル、フェニル、ベンジル、C1~C6エステル、C2~C6アルケニル、C1~C6トリフルオロアルキル及びC1~C6アルコキシからなる群から選択され、それらのそれぞれは場合によって置換されていてもよく、又はR6は蛍光基であってもよい化合物、又はその薬学的に許容される塩、溶媒和物若しくはプロドラッグから選択することができる。
A、B、D及びEはN及びCから選択され、A、B、D及びEのうちの少なくとも2つはNであり、
R6は出現毎に独立して、水素、ハロゲン化物、シアノ、C1~C6アルキル、C1~C6アルキルアミノ、C1~C6アルキルヒドロキシ、C3~C6シクロアルキル、アルキルフェニル、フェニル、ベンジル、C1~C6エステル、C2~C6アルケニル、C1~C6トリフルオロアルキル及びC1~C6アルコキシからなる群から選択され、それらのそれぞれは場合によって置換されていてもよい化合物、又はその薬学的に許容される塩、溶媒和物若しくはプロドラッグから選択することができる。
A、B、D及びEはN及びCから選択され、A、B、D及びEのうちの少なくとも2つはNであり、
R6は出現毎に独立して、水素、ハロゲン化物、シアノ、C1~C6アルキル、C1~C6アルキルアミノ、C1~C6アルキルヒドロキシ、C3~C6シクロアルキル、アルキルフェニル、フェニル、ベンジル、C1~C6エステル、C2~C6アルケニル、C1~C6トリフルオロアルキル及びC1~C6アルコキシからなる群から選択され、それらのそれぞれは場合によって置換されていてもよい化合物、又はその薬学的に許容される塩、溶媒和物若しくはプロドラッグから選択することができる。
式中、R40はH、アルキル及びハロから選択され、
R41はH及びアルキルから選択され、
Pは出現毎に独立してC、O又はSから選択され、
R6は、存在する場合、出現毎に独立して式(II)について定義した群から選択される。
R22はH、アルキル、ペルハロアルキル、C3~C6シクロアルキル、フェニル又はベンジルから選択され、
R18はH又はハロゲンであり、
R16及びR17はH若しくはアルキルであるか、又はR16及びR17は、それらが結合した炭素原子と一緒に5若しくは6員環を形成し、前記環は飽和、部分的に不飽和又は不飽和であり、前記環は、N、O及びSから選択される1個又は2個のヘテロ原子を場合によって含み、
R19及びR20はH若しくはアルキルであるか、又はR19及びR20は、それらが結合した炭素原子と一緒に5若しくは6員環を形成し、前記環は飽和、部分的に不飽和又は不飽和であり、前記環は、N、O及びSから選択される1個又は2個のヘテロ原子を場合によって含み、
但し、R21及びR22は両方がHであることはなく、
但し、R16、R17、R18、R19及びR20は全てがHであることはない化合物又はその薬学的に許容される塩、溶媒和物若しくはプロドラッグから選択することができる。
R21はH、アルキル、ペルハロアルキル又はヒドロキシルアルキル、好ましくはC1~6ペルハロアルキル又はヒドロキシルアルキルから選択され、
R22はH、アルキル、ペルハロアルキル、C3~C6シクロアルキル、フェニル又はベンジルから選択され、
R16及びR17は、それらが結合した原子と一緒にシクロペンチル環を形成し、
R19及びR20は、それらが結合した原子と一緒にシクロペンチル環を形成し、
R18はH又はハロゲンであり、好ましくはR18はHであり、
但し、R21及びR22は両方がHであることはない。
R21はH、アルキル、ペルハロアルキル又はヒドロキシルアルキル、好ましくはC1~6ペルハロアルキル又はヒドロキシルアルキルから選択され、
R22はH、アルキル、ペルハロアルキル、C3~C6シクロアルキル、フェニル及びベンジルから選択され、
R16及びR20は、C1~6アルキル、好ましくはイソプロピルであり、
R17及びR19はHであり、
R18はH又はハロゲンであり、好ましくはR18はH又はClであり、
但し、R21及びR22は両方がHであることはない。
R18はH又はハロゲンであり、
R16及びR17はH若しくはアルキルであるか、又はR16及びR17はそれらが結合した炭素原子と一緒に5若しくは6員環を形成し、前記環は飽和、部分的に不飽和又は不飽和であり、前記環は、N、O及びSから選択される1個又は2個のヘテロ原子を場合によって含み、
R19及びR20はH若しくはアルキルであるか、又はR19及びR20はそれらが結合した炭素原子と一緒に5若しくは6員環を形成し、前記環は飽和、部分的に不飽和又は不飽和であり、前記環は、N、O及びSから選択される1個又は2個のヘテロ原子を場合によって含み、
但し、R21及びR22は両方がHであることはなく、
但し、R16、R17、R18、R19及びR20は全てがHであることはない化合物又はその薬学的に許容される塩、溶媒和物若しくはプロドラッグから選択することができる。
R21及びR22はH、アルキル、ペルハロアルキル、ヒドロキシルアルキル、C3~C6シクロアルキル、フェニル及びベンジルから選択され、好ましくはペルハロアルキル及びヒドロキシルアルキルはC1~6ペルハロアルキル及びヒドロキシルアルキルであり、
R16及びR17は、それらが結合した原子と一緒にシクロペンチル環を形成し、
R19及びR20は、それらが結合した原子と一緒にシクロペンチル環を形成し、
R18はH又はハロゲンであり、好ましくはR18はHであり、
但し、R21及びR22は両方がHであることはない。
R21及びR22はH、アルキル、ペルハロアルキル、ヒドロキシルアルキル、C3~C6シクロアルキル、フェニル及びベンジルから選択され、好ましくはペルハロアルキル及びヒドロキシルアルキルはC1~6ペルハロアルキル及びヒドロキシルアルキルであり、
R16及びR20は、C1~6アルキル、好ましくはイソプロピルであり、
R17及びR19はHであり、
R18はH又はハロゲンであり、好ましくはR18はH又はClであり、
但し、R21及びR22は両方がHであることはない。
R18はH又はハロゲンであり、
R16及びR17はH若しくはアルキルであるか、又はR16及びR17はそれらが結合した炭素原子と一緒に5若しくは6員環を形成し、前記環は飽和、部分的に不飽和又は不飽和であり、前記環は、N、O及びSから選択される1個又は2個のヘテロ原子を場合によって含み、
R19及びR20はH若しくはアルキルであるか、又はR19及びR20はそれらが結合した炭素原子と一緒に5若しくは6員環を形成し、前記環は飽和、部分的に不飽和又は不飽和であり、前記環は、N、O及びSから選択される1個又は2個のヘテロ原子を場合によって含み、
但し、R21及びR22は両方がHであることはなく、
但し、R16、R17、R18、R19及びR20は全てがHであることはない化合物、又はその薬学的に許容される塩、溶媒和物若しくはプロドラッグから選択することができる。
R21及びR22はH、アルキル、ペルハロアルキル、ヒドロキシルアルキル、C3~C6シクロアルキル、フェニル及びベンジルから選択され、好ましくはペルハロアルキル及びヒドロキシルアルキルはC1~6ペルハロアルキル及びヒドロキシルアルキルであり、
R16及びR17は、それらが結合した原子と一緒にシクロペンチル環を形成し、
R19及びR20は、それらが結合した原子と一緒にシクロペンチル環を形成し、
R18はH又はハロゲンであり、好ましくはR18はHであり、
但し、R21及びR22は両方がHであることはない。
R21及びR22はH、アルキル、ペルハロアルキル、ヒドロキシルアルキル、C3~C6シクロアルキル、フェニル及びベンジルから選択され、好ましくはペルハロアルキル及びヒドロキシルアルキルはC1~6ペルハロアルキル及びヒドロキシルアルキルであり、
R16及びR20は、C1~6アルキル、好ましくはイソプロピルであり、
R17及びR19はHであり、
R18はH又はハロゲンであり、好ましくはR18はH又はClであり、
但し、R21及びR22は両方がHであることはない。
R18はH又はハロゲンであり、
R16及びR17はH若しくはアルキルであるか、又はR16及びR17はそれらが結合した炭素原子と一緒に5若しくは6員環を形成し、前記環は、飽和、部分的に不飽和又は不飽和であり、前記環は、N、O及びSから選択される1個又は2個のヘテロ原子を場合によって含み、
R19及びR20はH若しくはアルキルであるか、又はR19及びR20はそれらが結合した炭素原子と一緒に5若しくは6員環を形成し、前記環は、飽和、部分的に不飽和又は不飽和であり、前記環は、N、O及びSから選択される1個又は2個のヘテロ原子を場合によって含み、
但し、R16、R17、R18、R19及びR20は全てがHであることはない化合物、又はその薬学的に許容される塩、溶媒和物若しくはプロドラッグから選択することができる。
R22はアルキル、ペルハロアルキル、ヒドロキシルアルキル、C3~C6シクロアルキル、フェニル及びベンジルから選択され、好ましくはペルハロアルキル及びヒドロキシルアルキルはC1~6ペルハロアルキル及びヒドロキシルアルキルであり、
R16及びR17は、それらが結合した原子と一緒にシクロペンチル環を形成し、
R19及びR20は、それらが結合した原子と一緒にシクロペンチル環を形成し、
R18はH又はハロゲンであり、好ましくはR18はHである。
R22はアルキル、ペルハロアルキル、ヒドロキシルアルキル、C3~C6シクロアルキル、フェニル及びベンジルから選択され、好ましくはペルハロアルキル及びヒドロキシルアルキルはC1~6ペルハロアルキル及びヒドロキシルアルキルであり、
R16及びR20は、C1~6アルキル、好ましくはイソプロピルであり、
R17及びR19はHであり、
R18はH又はハロゲンであり、好ましくはR18はH又はClである。
R30は出現毎に独立してアルキル、ペルハロアルキル、ヒドロキシルアルキル、C3~C6シクロアルキル及びアルキルアミノから選択され、
R18はH又はハロゲンであり、
R16及びR17はH若しくはアルキルであるか、又はR16及びR17はそれらが結合した炭素原子と一緒に5若しくは6員環を形成し、前記環は、飽和、部分的に不飽和又は不飽和であり、前記環は、N、O及びSから選択される1個又は2個のヘテロ原子を場合によって含み、
R19及びR20はH若しくはアルキルであるか、又はR19及びR20はそれらが結合した炭素原子と一緒に5若しくは6員環を形成し、前記環は、飽和、部分的に不飽和又は不飽和であり、前記環は、N、O及びSから選択される1個又は2個のヘテロ原子を場合によって含み、
但し、R16、R17、R18、R19及びR20は全てがHであることはなく、
但しQがOであり、R16及びR17、並びにこれとは別にR19及びR20がそれらが結合したそれぞれの炭素原子と一緒にシクロペンチル環を形成するとき、R30はC-3ヒドロキシルアルキルではない化合物、又はその薬学的に許容される塩、溶媒和物若しくはプロドラッグから選択することができる。
QはO又はSであり、
R30は出現毎に独立してアルキル、ペルハロアルキル、ヒドロキシルアルキル、C3~C6シクロアルキル及びアルキルアミノ、好ましくはC1~6アルキル、ペルハロアルキル、ヒドロキシルアルキル及びアルキルアミノから選択され、
R16及びR17は、それらが結合した原子と一緒にシクロペンチル環を形成し、
R19及びR20は、それらが結合した原子と一緒にシクロペンチル環を形成し、
R18はH又はハロゲンであり、好ましくはR18はHであり、
但し、QがOであるとき、R30はC-3ヒドロキシルアルキルではない。
QはO又はSであり、
R30は出現毎に独立してアルキル、ペルハロアルキル、ヒドロキシルアルキル、C3~C6シクロアルキル及びアルキルアミノ、好ましくはC1~6アルキル、ペルハロアルキル、ヒドロキシルアルキル及びアルキルアミノから選択され、
R16及びR20は、C1~6アルキル、好ましくはイソプロピルであり、
R17及びR19はHであり、
R18はH又はハロゲンであり、好ましくはR18はH又はClである。
1. 1-(4-クロロ-2,6-ジイソプロピル-フェニル)-3-[3-(1-ヒドロキシ-1-メチル-エチル)-ベンゼンスルホニル]-尿素;
2. 1-(1,2,3,5,6,7-ヘキサヒドロ-s-インダセン-4-イル)-3-[4-(1-ヒドロキシ-1-メチル-エチル)-フラン-2-スルホニル]-尿素;
3. 1-(1,2,3,5,6,7-ヘキサヒドロ-4-アザ-s-インダセン-8-イル)-3-[4-(1-ヒドロキシ-1-メチル-エチル)-フラン-2-スルホニル]-尿素;
4. 1-(1,2,3,5,6,7-ヘキサヒドロ-s-インダセン-4-イル)-3-[4-(1-ヒドロキシ-1-メチル-エチル)-チオフェン-2-スルホニル]-尿素;
5. 1-(4-[1,3]ジオキソラン-2-イル-フラン-2-スルホニル)-3-(1,2,3,5,6,7-ヘキサヒドロ-s-インダセン-4-イル)-尿素;
6. 1-(2,6-ジイソプロピル-フェニル)-3-[4-(1-ヒドロキシ-1-メチル-エチル)-フラン-2-スルホニル]-尿素;
7. 1-(2,6-ジイソプロピル-フェニル)-3-[4-(1-ヒドロキシ-1-メチル-エチル)-チオフェン-2-スルホニル]-尿素;
8. 1-(4-アセチル-チオフェン-2-スルホニル)-3-(1,2,3,5,6,7-ヘキサヒドロ-s-インダセン-4-イル)-尿素;
9. 1-(1H-ベンゾイミダゾール-5-スルホニル)-3-(1,2,3,5,6,7-ヘキサヒドロ-s-インダセン-4-イル)-尿素;
10. 1-(1,2,3,5,6,7-ヘキサヒドロ-s-インダセン-4-イル)-3-[4-(1-ヒドロキシ-1-メチル-エチル)-チオフェン-2-スルホニル]-尿素;
11. 1-(8-クロロ-1,2,3,5,6,7-ヘキサヒドロ-s-インダセン-4-イル)-3-[4-(1-ヒドロキシ-1-メチル-エチル)-フラン-2-スルホニル]-尿素;
12. 1-(4-アセチル-フラン-2-スルホニル)-3-(1,2,3,5,6,7-ヘキサヒドロ-s-インダセン-4-イル)-尿素;
13. 1-(8-フルオロ-1,2,3,5,6,7-ヘキサヒドロ-s-インダセン-4-イル)-3-[4-(1-ヒドロキシ-1-メチル-エチル)-フラン-2-スルホニル]-尿素;
14. 1-(4-フルオロ-2,6-ジイソプロピル-フェニル)-3-[3-(1-ヒドロキシ-1-メチル-エチル)-ベンゼンスルホニル]-尿素;及び
15. 1-(6-フルオロ-1H-ベンゾイミダゾール-5-スルホニル)-3-(1,2,3,5,6,7-ヘキサヒドロ-s-インダセン-4-イル)-尿素;
16. 1-(4-クロロ-2,6-ジイソプロピル-フェニル)-3-(1H-インドール-6-スルホニル)-尿素;
17. 1-(4-クロロ-2,6-ジイソプロピル-フェニル)-3-(5-フルオロ-1H-インドール-6-スルホニル)-尿素;
18. 1-[1,2,3,5,6,7-ヘキサヒドロ-s-インダセン-u-イル)-3-(1H-インドール-6-スルホニル)-尿素;
19. 1-(5-フルオロ-1H-インドール-6-スルホニル)-3-(1,2,3,5,6,7-ヘキサンヒドロ-5-インダセン-4-イル)-尿素;
20. 1-[4-クロロ-2,6-ジイソプロピル-フェニル]-3-[2-フルオロ-5-(2-メチル-(1,3)ジオキソラン-2-イル)-ベンゼンスルホニル]-尿素;
21. 3-[3-[4-クロロ-2,6-ジイソプロピル-フェニル]-ウレイドスルホニル]-N-メチル-ベンゼンスルホンアミド;
22. 1-[2-フルオロ-5-(2-メチル-(1,3)ジオキソラン-2-イル)ベンゼンスルホニル]-3-1,2,3,5,6,7-ヘキサヒドロ-インダセン-4-イル)-尿素;
23. 3-[3-(1,2,3,5,6,7-ヘキサヒドロ-S-インダセン-4-イル)-ウレイドスルホニル]-N-メチル-ベンゼンスルホンアミド;
24. 4-(1-ヒドロキシ-1-メチル-エチル)-フラン-2-スルホンアミド
からなる群から選択される化合物ではない。
i) 個々の鏡像異性体の肉眼的結晶を手動で分離する、結晶の物理的な分離。この技術は特に、別々の鏡像異性体の結晶が存在する場合(すなわち、その物質が集合体である場合)、及び結晶が視覚的に区別できる場合に使用することができる。
ii)個々の鏡像異性体がラセミ体の溶液から別々に結晶化され、後者が固形状の集合体である場合にのみ可能である、同時結晶化。
iii)鏡像異性体と酵素との反応速度の違いによるラセミ体の部分的又は完全な分離を行う、酵素的分割。
iv)少なくとも1つの合成工程で、所望する鏡像異性体の鏡像異性的に純粋又は豊富な合成前駆体を得るための酵素反応を使用した合成技術である酵素的不斉合成。
v)生成物中において非対称(すなわち不斉性)を生じる条件下で、所望する鏡像異性体を光学不活性な前駆体から合成し、それはキラル触媒又はキラル助剤を使用して実現することができる、化学的不斉合成。
vi)ラセミ化合物を、個々の鏡像異性体をジアステレオマーに変換する鏡像異性的に純粋な試薬(キラル助剤)と反応させるジアステレオマー分離。得られたジアステレオマーは次に、より明確なそれらの構造的な違いによってクロマトグラフィー又は結晶化によって分離され、その後キラル助剤を除去して所望する鏡像異性体が得られる。
vii)原則として、最終的に全物質が所望する鏡像異性体から結晶性ジアステレオマーに変換されるように、ラセミ体から得られたジアステレオマーが所望する鏡像異性体から得られたジアステレオマーの溶液中において優勢となるように平衡化するか、又は所望する鏡像異性体から得られたジアステレオマーの優先的な結晶化によって平衡が傾く、第1次及び第2次不斉転換。次いで、所望する鏡像異性体はジアステレオマーから放出される。
viii)速度論的条件下で鏡像異性体とキラル、非ラセミ試薬又は触媒との反応速度の違いによって、ラセミ体を部分的又は完全に分割する(又は部分的に分割された化合物を更に分割する)ことを含む速度論的分割。
ix)所望する鏡像異性体が非キラル出発物質から得られ、立体化学的完全性が合成過程中損なわれないか、又は最小限にのみ損なわれる、非ラセミ前駆体からのエナンチオ選択的合成。
x)固定相との異なる相互作用によって、ラセミ体の鏡像異性体を液体移動相中に分離させる。異なる相互作用を引き起こすために、固定相はキラル物質によって作製されていてもよく、又は移動相は追加の不斉物質を含有していてもよい、キラル液体クロマトグラフィー。
xi)ラセミ体を揮発させ、気体移動相中において、固定された非ラセミキラル吸着相を含有するカラムとの相互作用の違いによって鏡像異性体を分離する、キラルガスクロマトグラフィー。
xii)ある鏡像異性体を特定のキラル溶媒に優先的に溶解させることによって鏡像異性体を分離する、キラル溶媒による抽出。
xiii)ラセミ体を薄い膜バリアに接触させるように配置する、キラル膜を横断する輸送。バリアは典型的に2種類の混和可能な流体を分離し、一方がラセミ体を含有し、濃度差又は圧力差等の推進力によって膜バリアを横断する優先的輸送を引き起こす。分離は、ラセミ体の1鏡像異性体だけの通過を可能にする膜の非ラセミキラル性の結果として生じる。
一般的な合成方法
A1:限定するものではないがテトラヒドロフラン又はジクロロメタン等の無水非プロトン性溶媒中の、限定するものではないがトリエチルアミン等の塩基(1.2当量)を有する又は有しないR2アミン中間体(1当量)の溶液に、トリホスゲン(0.4から1.1当量)を添加した。反応物を室温で撹拌し、又は必要な場合には、完了まで、典型的には2から18時間加熱還流した。
A2:無水アセトニトリル又はTHF中のジ-t-ブチルジカーボネート(1.2~1.4当量)に、DMAP(15~100mol%)を添加し、5分後、アセトニトリル中のR2アミン中間体(1.0当量)の溶液を添加した。反応混合物を室温で30~60分間撹拌した。
B1:R2カルボン酸中間体(1当量)を、2滴のDMFを有する又は有しないトルエン等の非プロトン性溶媒に溶解し、塩化チオニル等の塩素化剤(2当量)を添加した。反応混合物を完了まで加熱還流し、次いで真空中で濃縮して、対応するR2酸塩化物中間体を得た。
代替方法又は酸塩化物を形成することもここでは同様に有用であり、例えば、トルエン及びDMFを用いず、そのため塩化チオニルを溶媒及び塩素化剤の両方として使用して、上記手順を実行することができる。
R2酸塩化物中間体をアセトンに溶解し、0℃の水:アセトン(50:50)溶液中のアジ化ナトリウム(1.5当量)の溶液に滴下添加した。氷水を添加して、得られたR2アシルアジド中間体を沈殿させ、これをトルエンに溶解し、乾燥(MgSO4)させた後、不活性ガスの一定流量を維持しながら、溶液を還流下で無水トルエンに滴下添加した。反応物を完了まで、典型的には2時間加熱して、R2イソシアネートを得た。
B2:乾燥CH2Cl2中のR2酸塩化物(方法B1に示した通りに形成した)に、NaN3(2.0当量)を0℃で添加した。反応混合物を室温で1時間撹拌し、EtOAc中に抽出した。有機層をH2O(15mL)で洗浄し、乾燥させ(MgSO4)、慎重に蒸発させて、アシルアジドを得た。アシルアジドを乾燥トルエンに溶解し、100℃に2時間加熱した。溶媒を除去して、粗製のR2イソシアネートを得た。
C1:R1スルホンアミド中間体(1当量)を無水THFに溶解し、減圧下、NaH(1当量)で処理した。混合物を2時間加熱還流し、次いで室温に冷却し、THF中のR2イソシアネート中間体を窒素雰囲気下で添加した。反応混合物を完了まで撹拌還流した。
C2:R1スルホンアミド中間体(1当量)を無水THF又は無水メタノールに溶解し、減圧下、NaH(1当量)で処理した。発泡が止んだら、R2イソシアネート中間体を添加し、反応混合物を室温で終夜撹拌した。
C3:無水THF(5mL/mmol)中のR1スルホンアミド中間体(1当量)に、NaH(1当量)を0℃で添加し、窒素雰囲気下室温で30分間から2時間、又は完了まで撹拌した。再度0℃に冷却し、THF中のR2イソシアネート(1.0当量)を添加し、室温で完了まで、典型的には2から16時間撹拌した。
C4:無水THF又はDCM(5~11mL/mmol)中の粗製のR2イソシアネート(1.0当量)に、R1スルホンアミド(1.0当量)、続いてトリエチルアミン、DIPEA又はDBU等の塩基(1~2当量)を添加し、反応混合物を室温で終夜撹拌した。
C5:無水MeOH(5mL/mmol)中のR1スルホンアミド中間体(1当量)に、NaOMe(1当量)を添加した[或いは:新たに調製したナトリウムメトキシド(1当量)の1.0mM溶液を、無水メタノール中のR1スルホンアミド(1当量)の1.0mM溶液に添加した]。次いで、溶媒を真空中で除去した。塩をアセトニトリル又はTHF等の無水非プロトン性溶媒中に懸濁させ、アセトニトリル又はTHF等の無水非プロトン性溶媒中のR2イソシアネート(1.0当量)を添加し、混合物を室温で終夜撹拌した。次いで、溶液を完了まで、典型的には90分間加熱還流した。
C6:R1スルホンアミド(1.0当量)を窒素雰囲気下で無水THFに溶解した。固体ナトリウムメトキシド(1.0当量mmol)を一度に添加した。この混合物を室温で3時間撹拌した。THF中のR2イソシアネート(1.17当量)の溶液を滴下添加した。反応混合物を室温で終夜撹拌した。
0℃のアセトニトリル(7~12mL/mmol)中のアミン(1.0当量)の溶液を、H2O(0.5~1.2mL/mmol)中のc.HCl(1.25~2.25mL/mmol)、続いてH2Oに溶解したNaNO2(1.2当量)の水溶液(0.3~0.5mL/mmolのNaNO2)で処理した。得られた溶液を0℃で45分間撹拌した。AcOH(0.5~1.2mL/mmol)、CuCl2.2H2O(0.5当量)及びCuCl(0.05当量)を上記混合物に順次添加し、0℃にて20分間、SO2ガスでパージした。得られた反応混合物を0℃~10℃で完了まで撹拌した。
E1:THF(10~20mL/mmol)中のスルホニルクロリド(1当量)の溶液を-78℃に冷却し、アンモニアガスを溶液に通して15分間バブリングし、更に30分間撹拌を続け、次いで室温に加温し、2時間又は完了まで撹拌した。
E2:アセトン(20mL/mmol)中のスルホニルクロリド(1当量)の溶液を、室温にて、水に溶解したNH4HCO3(4当量)の溶液(1.5mL/mmolのNH4HCO3)で処理し、4時間又は完了まで撹拌した。
E3:アセトン(2.5mL/mmol)中のスルホニルクロリド(1当量)の溶液を、0℃にてNH3(3.5mL/mmol、H2O中NH4OH、28%NH3ベース)で処理し、2時間又は完了まで撹拌した。
アルキン(1当量)及びアジド(1.2当量)、5mol%CuSO4、10mol%NaAscのDMSO中溶液(500μL)を室温で完了まで、典型的には12時間撹拌した。
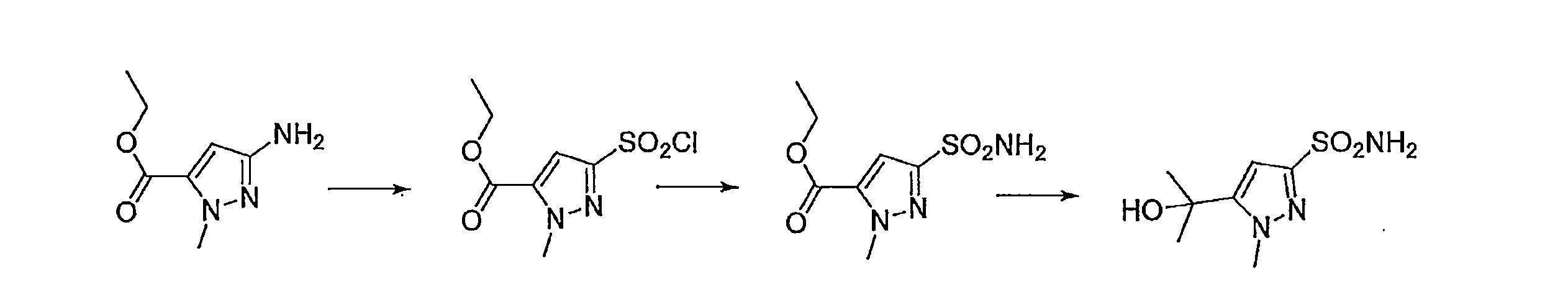
R1スルホンアミド中間体の合成:
DME(15mL)中のピリジニウム5-エチルフラン-2-スルホネート(3.2g、12.5mmol)のスラリーに、塩化オキサリル(1.62mL、27.0mmol)、次いでDMF(0.97mL、12.5mmol)をアルゴン雰囲気下0℃で添加し、得られた反応混合物を室温で完了まで撹拌した。反応混合物を氷水でクエンチし、次いでトルエン(2×50mL)で抽出し、有機層を飽和NaHCO3水溶液(20mL)及びブライン(20mL)で洗浄し、乾燥させ(MgSO4)、真空中で濃縮して、5-エチルフラン-2-スルホニルクロリドを薄褐色油状物(510mg、21%)として得た。
THF(5mL)中の1-イソプロピル-1H-1,2,3-トリアゾール-4-スルホニルクロリド(100mg)の溶液を-40℃に冷却した。アンモニアガスを前述の溶液に通して15分間パージした。反応混合物を室温に加温し、2時間撹拌した。完了したら、反応混合物を真空中で濃縮し、得られた残留物を酢酸エチル(25mL)及び水(10mL)で希釈した。有機抽出物を水、ブラインで洗浄し、乾燥させ(Na2SO4)、真空中で濃縮して、1-イソプロピル-1H-1,2,3-トリアゾール-4-スルホンアミド(0.07g、78%)を褐色固体として得た。
MeOH(10mL)-EtOAc(4mL)中の粗製の1-メチル-5-(プロパ-1-エン-2-イル)-1H-ピラゾール-3-スルホンアミド(0.12g、0.6mmol)の溶液を、窒素雰囲気下、10%パラジウム炭素(30mg)で処理した。反応フラスコを排気し、水素(バルーン)で充填し、4時間撹拌した。反応混合物を酢酸エチル(25mL)で希釈し、セライトのパッドに通して濾過し、乾燥させ(Na2SO4)、真空中で濃縮した。得られた固体をジエチルエーテルで更に洗浄して、5-イソプロピル-1-メチル-1H-ピラゾール-3-スルホンアミドをオフホワイトの固体(0.11g、91%)として得た。
アセトン(5mL)中の5-(ジメチルアミノ)ナフタレン-1-スルホニルクロリド(0.12g、0.44mmol)の溶液を、水(1.0mL)中の重炭酸アンモニウム(0.17g、1.76mmol)の溶液に滴下添加し、反応物を室温で2時間又は完了まで撹拌した。pHを、c.HClを用いてpH2.0に調整した。有機相を分離し、水性相をNaClで飽和させ、酢酸エチルで抽出した。合わせた有機相をブラインで洗浄し、乾燥させ(MgSO4)、真空中で濃縮して、表題化合物を白色固体(0.075g、収率67%)として得た。
2-(メチル(7-ニトロベンゾ[c][1,2,5]オキサジアゾール-4-イル)アミノ)酢酸(1.00g、3.96mmol)を、窒素雰囲気下で無水テトラヒドロフラン(25mL)に溶解し、溶液を0℃に冷却した。ジイソプロピルエチルアミン(0.76g、5.55mmol)及び1,1'-カルボニルジイミダゾール(0.90g、4.75mmol)を添加し、2-(メチル(7-ニトロベンゾ[c][1,2,5]オキサジアゾール-4-イル)アミノ)酢酸が全て反応するまで混合物を50℃で撹拌した。次いで、反応混合物を0℃に冷却し、4-(2-アミノエチル)ベンゼンスルホンアミド(0.95g、4.75mmol)を添加し、室温で完了まで、典型的には6時間撹拌した。溶媒を真空中で除去し、残留物を逆相分取HPLCにより精製して、表題化合物を赤レンガ色固体(1.20g、70%)として得た。LCMS (m/z): 435.4 (M +1)+.
メチル4-クロロブタンイミデート塩酸塩(25g、146.1mmol)をDCM(250mL)に溶解し、Et3N(44.3g、4.38mmol)で処理し、得られた溶液を0℃に冷却した。2,2-ジメトキシエタン-1-アミン(12.2g、116.9mmol)を上記混合物に5分間かけて滴下添加した。得られた反応混合物を60℃に加温し、3時間撹拌した。反応混合物を真空中で濃縮し、得られた残留物をギ酸(150mL)で処理し、80℃で24時間加熱した。完了したら、反応混合物を真空中で濃縮し、得られた残留物をトルエン(2×100mL)と共沸させた。粗混合物を飽和NaHCO3溶液で塩基性化し、DCM(3×200mL)で抽出した。合わせた有機抽出物を水、ブラインで洗浄し、乾燥させ(Na2SO4)、真空中で濃縮して、6,7-ジヒドロ-5H-ピロロ[1,2-a]イミダゾール(3工程にわたって8g、39%)を低融点の暗色固体として得た。
THF(15mL)中の6,7-ジヒドロ-5H-ピロロ[1,2-a]イミダゾール-2-スルホニルクロリド(300mg)の溶液を-40℃に冷却した。アンモニアガスを前述の溶液に通して15分間パージし、溶液を-40℃で1時間撹拌した。反応混合物を室温に加温し、1時間撹拌し、次いで完了したら、真空中で濃縮した。粗生成物を、10%MeOH-CHCl3溶離液を用いるシリカゲル(60~120メッシュ)上でのカラムクロマトグラフィーにより精製して、6,7-ジヒドロ-5H-ピロロ[1,2-a]イミダゾール-2-スルホンアミド(117mg、88%)を白色固体として得た。
1-メチル-1H-ピラゾール-3-アミンHCl
DMSO(10mL)中の4-ブロモ-3,5,6,7-テトラヒドロ-2H-インデノ[5,6-b]フラン(0.28g、1.18mmol)を、ヨウ化銅(0.22g、1.18mmol)、L-プロリン(0.21g、1.88mmol)及びアジ化ナトリウム(0.19g、2.94mmol)で処理した。反応混合物を密封管内135℃で36時間加熱した。反応混合物を冷却し、水で希釈し、EtOAc(2×25mL)を用いて抽出した。合わせた有機抽出物を水(25mL)、ブライン(25mL)で洗浄し、乾燥させ(Na2SO4)、真空中で濃縮した。粗生成物を、10%EtOAc-ヘキサン溶離液を用いるシリカゲル上でのカラムクロマトグラフィーにより精製して、3,5,6,7-テトラヒドロ-2H-インデノ[5,6-b]フラン-4-アミンを灰色固体(0.17g、85%)として得た。
4-クロロ-2-(4,4,5,5-テトラメチル-1,3,2-ジオキサボロラン-2-イル)-6-(トリフルオロメチル)アニリン(500mg、1.55mmol)を、THF(5mL)及びH2O(2mL)に室温で溶解した。NaBO3.H2O(0.62g、6.23mmol)を少量ずつ添加し、反応物を室温で4時間撹拌した。完了したら、反応混合物を水で希釈し、EtOAc(2×50mL)で抽出し、合わせた有機抽出物を水、ブラインで洗浄し、乾燥させ(Na2SO4)、真空中で濃縮した。粗生成物を、15%EtOAc-ヘキサン溶離液を用いるシリカゲル(60~120メッシュ)上でのカラムクロマトグラフィーにより精製して、2-アミノ-5-クロロ-3-(トリフルオロメチル)フェノール(0.5g、100%)を黄色液体として得た。
2,3,6,7-テトラヒドロベンゾ[1,2-b:4,5-b']ジフラン-4-カルボン酸
或いは、アセトン(5.0mL)中の該アルデヒド(0.5g、2.77mmol)を、0℃にて2回に分けてスルファミン酸(0.4g、4.17mmol)で処理した。2分後、水(1.0mL)中の亜塩素酸ナトリウム(0.32g、3.6mmol)の溶液を滴下添加し、0℃で4時間撹拌を続けた。反応混合物を水(20mL)で希釈し、10%IPA/クロロホルム(2×20mL)を用いて抽出した。合わせた有機物を水(25mL)、ブライン(25mL)で洗浄し、乾燥させ(Na2SO4)、真空中で濃縮した。粗固体をジエチルエーテルとすり混ぜて、2,3,6,7-テトラヒドロベンゾ[1,2-b:4,5-b']ジフラン-4-カルボン酸(0.4g;70%)を得た。
無水メタノール(50mL)中の2,3-ジヒドロキシ安息香酸(5.0g、32.4mmol)を濃硫酸(10滴)で処理し、終夜加熱還流した。反応混合物を真空中で濃縮し、EtOAc(100mL)を用いて希釈し、飽和NaHCO3水溶液(2×50mL)、ブライン(50mL)を用いて洗浄し、次いで乾燥させ(MgSO4)、真空中で濃縮して、メチル2,3-ジヒドロキシベンゾエート(2.92g;54%)を得た。
脂肪族化合物
N-((1,2,3,5,6,7-ヘキサヒドロ-s-インダセン-4-イル)カルバモイル)シクロヘキサンスルホンアミド
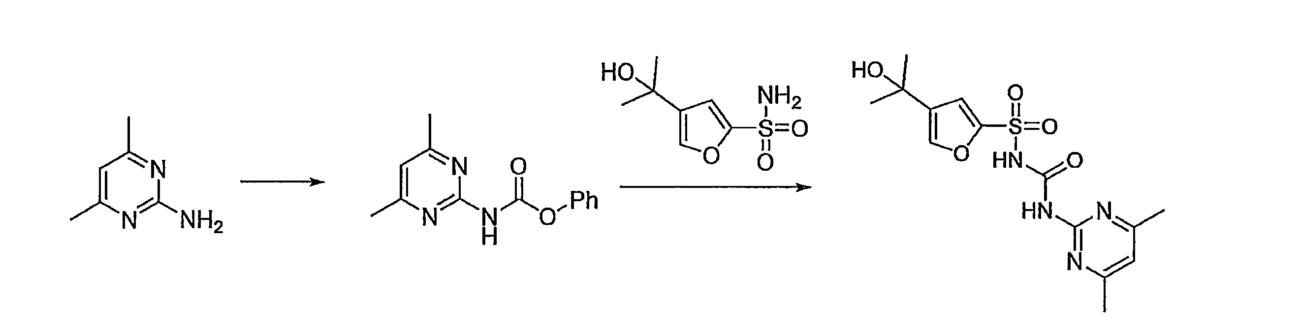
0℃のTHF(5mL)中の4-(2-ヒドロキシプロパン-2-イル)フラン-2-スルホンアミド(0.2g、0.98mmol)を水素化ナトリウム(3当量)で少量ずつ処理し、懸濁液を室温で45分間(発泡が止むまで)撹拌した。粗製のフェニルキノリン-8-イルカルバメートをTHF(5mL)に溶解し、次いでゆっくりと反応物に添加し、溶液を室温で完了まで、典型的には4時間撹拌した。反応物を飽和NH4Cl水溶液でクエンチし、酢酸エチル(×2)で抽出し、水、ブラインで洗浄し、乾燥させ(Na2SO4)、真空中で濃縮した。粗生成物を、逆相HPLCを用いて精製して、表題化合物である4-(2-ヒドロキシプロパン-2-イル)-N-(キノリン-8-イルカルバモイル)フラン-2-スルホンアミドを白色固体(40mg、11%)として得た。
4-(2-ヒドロキシプロパン-2-イル)フラン-2-スルホンアミド、3(150mg、0.731mmol)を無水THF(50mL)に溶解し、窒素雰囲気下0℃にてNaH(44mg、1.096mmol)で慎重に処理した。得られた反応混合物を室温で30分間撹拌し、窒素雰囲気下、THF(30mL)中の5-クロロ-2-イソシアナト-1-メチル-3-(トリフルオロメチル)ベンゼン(0.2g)の溶液で処理した。得られた反応混合物を室温で2時間撹拌した。完了したら、反応混合物を飽和NH4Cl溶液で希釈し、EtOAc(2×50mL)で抽出し、合わせた有機抽出物を水、ブラインで洗浄し、乾燥させ(Na2SO4)、真空中で濃縮した。粗生成物を、40%EtOAc-ヘキサン溶離液を用いるシリカゲル(60~120メッシュ)上でのカラムクロマトグラフィーにより精製した。次いで、生成物をジエチルエーテル及びn-ペンタンとすり混ぜて、N-((2,4-ジメチル-6-(トリフルオロメチル)フェニル)カルバモイル)-4-(2-ヒドロキシプロパン-2-イル)フラン-2-スルホンアミド(15mg、5%)を白色固体として得た。
無水THF(1mL)中の4-(2-ヒドロキシプロパン-2-イル)フラン-2-スルホンアミド中間体(100mg、0.48mmol)に、NaH(18.3mg、0.48mmol)を0℃で添加し、窒素雰囲気下室温で30分間撹拌した。再度0℃に冷却し、8-イソシアナト-3,5,6,7-テトラヒドロ-s-インダセン-1(2H)-オン(前工程の反応混合物)を添加し、室温で16時間撹拌した。反応混合物に0.5mLのH2Oを添加し、移動相として10mM (NH4)HCO3水溶液及びアセトニトリルを用いる精製のためC18カラム上に直接ロードして、4-(2-ヒドロキシプロパン-2-イル)-N-((3-オキソ-1,2,3,5,6,7-ヘキサヒドロ-s-インダセン-4-イル)カルバモイル)フラン-2-スルホンアミドを白色固体(150mg、67%)として得た。
無水THF(1mL)中の4-(2-ヒドロキシプロパン-2-イル)フラン-2-スルホンアミド中間体(50mg、0.24mmol)に、NaH(9.3mg、0.24mmol)を0℃で添加し、窒素雰囲気下室温で30分間撹拌した。再度0℃に冷却し、4-イソシアナト-3,5,6,7-テトラヒドロ-s-インダセン-1(2H)-オン(前工程の反応混合物)を添加し、室温で16時間撹拌した。反応混合物に0.5mLのH2Oを添加し、移動相として10mM (NH4)HCO3水溶液及びアセトニトリルを用いる精製のためC18カラム上に直接ロードして、4-(2-ヒドロキシプロパン-2-イル)-N-((1-オキソ-1,2,3,5,6,7-ヘキサヒドロ-s-インダセン-4-イル)カルバモイル)フラン-2-スルホンアミド(70mg、63%)を得た。
N-((1,2,3,5,6,7-ヘキサヒドロ-s-インダセン-4-イル)カルバモイル)-4-(2-ヒドロキシプロパン-2-イル)-5-メチルフラン-2-スルホンアミド
N-((1,2,3,5,6,7-ヘキサヒドロ-s-インダセン-4-イル)カルバモイル)-4-(2-ヒドロキシプロパン-2-イル-1,1,1,3,3,3-d6)フラン-2-スルホンアミド
或いは、-10℃の無水THF(30mL)中のエチル2-メチル-5-スルファモイルフラン-3-カルボキシレート(0.4g、0.96mmol)を、激しく撹拌しながらd3-メチルマグネシウムヨージド溶液(Et2O中1.0M、10当量)で10分間かけて滴下処理した。次いで、溶液を室温で12時間撹拌し、次いで0℃に冷却し、飽和塩化アンモニウムの溶液を滴下してクエンチした。水溶液を、EtOAc(2×20mL)を用いて抽出し、合わせた有機物をブライン(20mL)で洗浄し、乾燥させ(Na2SO4)、真空中で濃縮した。粗生成物を逆相分取HPLCにより精製して、表題化合物を白色固体(5mg、1%)として得た。
N-((1,2,3,5,6,7-ヘキサヒドロ-s-インダセン-4-イル)カルバモイル)チオフェン-2-スルホンアミド
N-((1,2,3,5,6,7-ヘキサヒドロ-s-インダセン-4-イル)カルバモイル)チアゾール-2-スルホンアミド
1-ベンジル-N-((1,2,3,5,6,7-ヘキサヒドロ-s-インダセン-4-イル)カルバモイル)-1H-1,2,4-トリアゾール-3-スルホンアミド
N-((1,2,3,5,6,7-ヘキサヒドロ-s-インダセン-4-イル)カルバモイル)-1-メチル-1H-ピラゾール-5-スルホンアミド
N-((1,2,3,5,6,7-ヘキサヒドロ-s-インダセン-4-イル)カルバモイル)ベンゼンスルホンアミド
メチル3-(N-((1,2,3,5,6,7-ヘキサヒドロ-s-インダセン-4-イル)カルバモイル)スルファモイル)ベンゾエート(0.06g、0.144mmol)を無水THFに溶解し、溶液を0℃に冷却した。メチルマグネシウムブロミド(ジエチルエーテル中3M溶液、0.14mL、0.42mmol、3.0当量)を添加し、混合物を室温で4時間撹拌した。完了したら、飽和塩化アンモニウム水溶液を反応混合物に添加し、酢酸エチルで抽出した。合わせた有機抽出物をブラインで洗浄し、乾燥させ(Na2SO4)、真空中で濃縮した。粗残留物を逆相分取HPLCにより精製して、表題化合物をオフホワイトの固体(0.015g、25%)として得た。
窒素雰囲気下のTHF(5.0mL)中の5-((3aS,4S,6aR)-2-オキソヘキサヒドロ-1H-チエノ[3,4-d]イミダゾール-4-イル)-N-((1-(3-スルファモイルフェニル)-1H-1,2,3-トリアゾール-4-イル)メチル)ペンタンアミド(15mg、0.031mmol)の溶液に、DIPEA(605μL、0.037mmol)を添加した。この混合物を室温で15分間撹拌した。THF中の4-イソシアナト-1,2,3,5,6,7-ヘキサヒドロ-s-インダセン(一般方法A2を用いて調製した)(705mg、0.037mmol)の溶液を滴下添加した。反応混合物を室温で終夜撹拌し、次いで溶媒を真空中で除去して、粗化合物を得、これを、10mM (NH4)2CO3水溶液及びMeCNの移動相を用いる逆相カラムクロマトグラフィーにより精製して、表題化合物を白色固体(5.2mg、24%)として単離した。
0℃のTHF(30mL)中の3-(3-(トリフルオロメチル)-3H-ジアジリン-3-イル)ベンゼンスルホンアミド(0.185g、0.69mmol)を水素化ナトリウム(3当量)で少量ずつ処理し、懸濁液を30分間(発泡が止むまで)撹拌した。粗製のフェニルキノリン-6-イルカルバメートをTHF(20mL)に溶解し、次いで反応物にゆっくりと添加し、室温で完了まで、典型的には2時間撹拌を続けた。反応物を飽和NH4Cl水溶液でクエンチし、酢酸エチル(×2)で抽出し、水(100mL)、ブライン(100mL)で洗浄し、乾燥させ(Na2SO4)、真空中で濃縮した。粗生成物を、ジエチルエーテル、次いでペンタンを用いてすり混ぜて、表題化合物であるN-(キノリン-6-イルカルバモイル)-3-(3-(トリフルオロメチル)-3H-ジアジリン-3-イル)ベンゼンスルホンアミドを白色固体(10mg、3%)として得た。
N-(1,2,3,5,6,7-ヘキサヒドロ-s-インダセン-4-イルカルバモイル)-4-(2-ヒドロキシプロパン-2-イル)ピリジン-2-スルホンアミド
メチル2-(N-(1,2,3,5,6,7-ヘキサヒドロ-s-インダセン-4-イルカルバモイル)スルファモイル)イソニコチネート(0.30g、0.72mmol)を無水THF(8mL)に溶解し、溶液を0℃に冷却した。メチルマグネシウムブロミド(ジエチルエーテル中3M溶液、0.96mL、2.88mmol、4.0当量)を窒素雰囲気下0℃で添加し、室温で3時間撹拌を続けた。完了したら、反応混合物を飽和塩化アンモニウム水溶液に注ぎ入れ、酢酸エチルで抽出した。合わせた有機抽出物をブラインで洗浄し、乾燥させ(Na2SO4)、真空中で濃縮した。粗残留物を逆相分取HPLCにより精製して、表題化合物を白色固体(0.016g、5%)として得た。
N-((1,2,3,5,6,7-ヘキサヒドロ-s-インダセン-4-イル)カルバモチオイル)-4-(2-ヒドロキシプロパン-2-イル)フラン-2-スルホンアミド
NLRP3阻害アッセイ
以下のアッセイは、アデノシン三リン酸、ナイジェリシン、LeuLeu-OMe又は尿酸ナトリウム結晶(MSU)等の通常の刺激を使用して、NLRP3インフラマソームに対する試験化合物の阻害活性を測定するために使用することができる。
HMDMを生成するために、Ficoll-Plaque Plus(GE Healthcare社)及び密度遠心分離を使用してヒト単核球をバフィーコート血液から単離する。CD14+細胞選択は、MACS磁気ビーズ(Miltenyl Biotec社)を使用して実施する。単離したCD14+単核球は、Croker等、2013年 Immunol Cell Biol 91:625頁によって記載されたように、10%FBS及び1%ペニシリン/ストレプトマイシン(Life Technologies社)を補給したL-グルタミンを含有するイスコフ改変ダルベッコ培地(IMDM)中で、ヒトCSF-1(Miltenyl Biotec社)10ng/mlと共に7日間培養して分化させる。
HMDMは、1×105/mlで播種する。翌日、一晩経った培地を交換し、細胞を大腸菌(Escherichia coli)血清型0111:B4(Sigma Aldrich社)で3時間刺激する。培地を除去し、NLRP3刺激の30分前に試験化合物を含有する無血清培地(SFM)と交換する。次に、細胞を、アデノシン5’-三リン酸二ナトリウム塩水和物(5mM、1時間)、ナイジェリシン(10μM、1時間)、LeuLeu-OMe(1mM、2時間)又はMSU(200μg/ml、15時間)で刺激する。ATPは、Sigma Aldrich社から、ナイジェリシン及びMSUはInvivogen社から、LeuLeu-OmeはChem-Impex International社から入手することができる。
ELISA及び細胞死アッセイのために、細胞を96ウェルプレートに播種する。上清を除去し、製造元の指示に従ってELISAキットを使用して分析する(DuoSet(登録商標)R&D Systems社、ReadySetGo!(登録商標)eBioscience、BD OptEIA(商標)又はPerkin Elmer AlphaLISA(登録商標))。細胞死は、CytoTox96(登録商標)非放射活性細胞傷害性アッセイ(Promega社)を使用して、100%細胞溶解物対照に対するLDH放出を測定することによって評価する。
一般的実験:カルブタミドは、Sigma Aldrich社(カタログ番号381578)から購入した。アセトニトリルは、Chromasolv(登録商標)HPLC等級(Sigma Aldrich社、Sydney、Australia)であり、ギ酸はAR等級99%~100%Normapur(VWR International Pty Ltd社、Brisbane、Australia)であり、DMSOはReagentPlus(登録商標)等級(D5879、Sigma Aldrich社、Sydney、Australia)であり、H2O Milli-Qを濾過した。HPLCバイアル及びポリプロピレン挿入物は、Agilent Technologies社(Melbourne、Australia)から、一方、エッペンドルフ管タンパク質LoBind管1.5mLはVWR International Pty Ltd社(Brisbane、Australia)から入手した。
投与:20mg/kgでの強制経口投与
時点:2時間
4mg/mlで投与するために保存化合物を滅菌したPBSで調製する。マウスの体重を測定し、各化合物20mg/kgを強制経口投与によって投与した。2時間後、ゾレチル(50mg/kg)及びキシラジン(10mg/kg)の組合せを使用してマウスを麻酔し、心臓穿刺によって血液をEDTA 100mM 20μLを含有する試験管に収集した。血液を4℃で2000×gで15分間遠心分離し、血漿を収集した。
tPSA全体及び生物学的結果を以下の表に挙げるが、本発明のある種の化合物のために選択したデータを以下に提示する。
4mg/Kgのiv投与及び20mg/Kgのpo投与を使用したN-((1,2,3,5,6,7-ヘキサヒドロ-s-インダセン-4-イル)カルバモイル)-4-(2-ヒドロキシプロパン-2-イル)フラン-2-スルホンアミド(MCC950)と比較したN-((1,2,3,5,6,7-ヘキサヒドロ-s-インダセン-4-イル)カルバモイル)-1-イソプロピル-1H-ピラゾール-3-スルホンアミド(MCC7840であり、第1の態様の化合物である)の単回投与の薬物動態研究によって、フランに対するピラゾール誘導体の半減期の延長、最大濃度(Cmax)及び曲線下面積(AUC)の増加が明らかに示された。これは、比較的低い用量又は少ない投与頻度につながり、有利である。
Claims (19)
- 式(I)の化合物であって、
式中、WはOであり、
JはSであり、
R1は、5員又は6員ヘテロシクリルからなる群から選択され、それらの全ては場合によって置換されていてもよく、いずれかの場合による置換基は独立して、C1~10アルキル、C3~6シクロアルキル、ヒドロキシアルキル、C1~10アルコキシ、C2~10アルケニル、C2~10アルキニル、C6~C12アリール、アリールオキシ、ヘテロアリール、ヘテロシクリル、ハロ、ヒドロキシル、ハロゲン化アルキル、アミノ、アルキルアミノ、アリールアミノ、アシル、アミド、CN、NO2、N3、CH2OH、CONH2、CONR24R25、CO2R24、CH2OR24、NHCOR24、NHCO2R24、C1~3アルキルチオ、トリチル、モノメトキシトリチル、R24SO、R24SO2、CF3S、CF3SO2、及びトリアルキルシリルからなる群から選択され、R24及びR25はそれぞれ独立してH及びC1~10アルキルから選択され、
R2は、2,6-ジアルキルフェニル、2,6-ジアルキル-4-ハロフェニル、2,6-ジシクロアルキルフェニル、2,6-ジシクロアルキル-4-ハロフェニル及び
から選択され、
式中、Yは出現毎に独立してC及びOから選択され、それらは場合によってヒドロキシルで置換されていてもよく、
R5は、水素、ハロ、C1~C6アルキル、C1~C6ハロアルキル及びC3~C5シクロアルキルからなる群から選択され、
炭素原子を介してR1はJに直接結合し、R2も隣接する窒素に直接結合しており、
R1が5員ヘテロシクリルである場合、前記5員ヘテロシクリルは1、2または3個の環窒素原子を含まない化合物、又はその薬学的に許容される塩若しくは溶媒和物。 - R1は、6員ヘテロシクリルであり、それらの全ては請求項1に規定されたように場合によって置換されていてもよい、請求項1に記載の化合物。
- R1は、完全に飽和したヘテロシクリルであり、それらの全ては請求項1に規定されたように場合によって置換されていてもよい、請求項1または2に記載の化合物。
- R1は、窒素ヘテロシクリルであり、それらの全ては請求項1に規定されたように場合によって置換されていてもよい、請求項1から3のいずれか一項に記載の化合物。
- R1は、テトラヒドロフラン、テトラヒドロピラン、ピラン、モルホリン、ピペラジン及びピペリジンからなる群から選択され、それらの全ては、請求項1に規定されたように場合によって置換されていてもよい、請求項1から4のいずれか一項に記載の化合物。
- R1は、テトラヒドロフラン、テトラヒドロピラン、モルホリン、ピペラ及びピペリジンからなる群から選択され、それらの全ては、請求項1に規定されたように場合によって置換されていてもよい、請求項1から5のいずれか一項に記載の化合物。
- R1は、ピペラジン及びピペリジンからなる群から選択され、それらの全ては、請求項1に規定されたように場合によって置換されていてもよい、請求項1から6いずれか一項に記載の化合物。
- R1は、請求項1に規定されたように場合によって置換されたピペリジンである、請求項1から7いずれか一項に記載の化合物。
- R1は、
からなる群から選択され、
このようなR1基それぞれと組み合わせて、R2は独立して、
からなる群から選択される、請求項1、2、3、5または6のいずれか1項に記載の化合物。 - R2は、
から選択され、
式中、Y及びR5は、請求項1から9のいずれか一項に規定した通りである、請求項1から9のいずれか一項に記載の化合物。 - R2は、
から選択され、
式中、Yは出現毎に炭素であり、R5は水素又はハロである、請求項1から10のいずれか一項に記載の化合物。 - R2は置換又は水素化インダセン、2,6-ジアルキルフェニル、2,6-ジアルキル-4-ハロフェニル、2,6-ジシクロアルキルフェニル及び2,6-ジシクロアルキル-4-ハロフェニルから選択される、請求項1から11のいずれか一項に記載の化合物。
- R2はヘキサヒドロインダセン、2,6-ジイソプロピルフェニル、2,6-ジイソプロピル-4-クロロフェニル、2,6-ジシクロプロピルフェニル及び2,6-ジシクロプロピル-4-クロロフェニルから選択される、請求項1から12のいずれか一項に記載の化合物。
- 式(Ia)、(Ib)又は(Ic)の化合物であって、
式中、R1は請求項1から13のいずれか一項に規定した通りである化合物又はその薬学的に許容される塩若しくは溶媒和物である、請求項1から13のいずれか一項に記載の化合物。 - 以下の化合物:
並びにその薬学的に許容される塩及び溶媒和物からなる群から選択される、請求項1から3、5、6及び9から14のいずれか一項に記載の化合物。 - NLRP3インフラマソームの阻害剤としての使用のための、請求項1から15のいずれか一項に記載の化合物又はその薬学的に許容される塩若しくは溶媒和物並びに薬学的に許容される担体、希釈剤及び/又は賦形剤を含む医薬組成物。
- 請求項1から15のいずれか一項に記載の化合物又はその薬学的に許容される塩若しくは溶媒和物並びに薬学的に許容される担体、希釈剤及び/又は賦形剤を含む医薬組成物。
- (a)医薬品;及び/又は
(b)疾患、障害又は状態の治療又は予防;及び/又は
(c)NLRP3インフラマソームの活性化の阻害に応答するものである疾患、障害又は状態の治療又は予防;及び/又は
(d)IL-1β、IL-17、IL-18、IL-1α、IL-37、IL-33及びTh17細胞の1つ又は複数の調節に応答する疾患、障害又は状態の治療又は予防;及び/又は
(e)免疫系の疾患、障害又は状態の治療又は予防;及び/又は
(f)炎症性の疾患、障害若しくは状態か、又は自己免疫疾患、障害若しくは状態の治療又は予防;及び/又は
(g)皮膚の疾患、障害又は状態の治療又は予防;及び/又は
(h)心血管系の疾患、障害又は状態の治療又は予防;及び/又は
(i)癌、腫瘍又はその他の悪性病変の治療又は予防;及び/又は
(j)腎臓系の疾患、障害又は状態の治療又は予防;及び/又は
(k)胃腸管の疾患、障害又は状態の治療又は予防;及び/又は
(l)呼吸器系の疾患、障害又は状態の治療又は予防;及び/又は
(m)内分泌系の疾患、障害又は状態の治療又は予防;及び/又は
(n)中枢神経系(CNS)の疾患、障害又は状態の治療又は予防;及び/又は
(o)クリオパイリン関連周期性症候群(CAPS):マックルウェルズ症候群(MWS)、家族性寒冷自己炎症性症候群(FCAS)及び新生児期発症多臓器性炎症性疾患(NOMID)を含む恒常的炎症;自己炎症性疾患を含む:家族性地中海熱(FMF)、TNF受容体関連周期性症候群(TRAPS)、メバロン酸キナーゼ欠損症(MKD)、高グロブリン血症D及び周期熱症候群(HIDS)、インターロイキン1受容体アンタゴニストの欠損症(DIRA)、マジード症候群、化膿性関節炎、壊疽性膿皮症及びざ瘡(PAPA)、A20のハプロ不全(HA20)、小児肉芽腫性動脈炎(PGA)、PLCG2関連抗体不全及び免疫調節異常(PLAID)、PLCG2関連自己炎症、抗体不全及び免疫調節異常(APLAID)、B細胞免疫不全を伴う鉄芽球性貧血、周期熱及び発育遅延(SIFD);スイート症候群、慢性非細菌性骨髄炎(CNO)、慢性再発性多巣性骨髄炎(CRMO)及び滑膜炎、ざ瘡、膿疱症、骨増殖症、骨炎症候群(SAPHO);多発硬化症(MS)、1型糖尿病、乾癬、関節リウマチ、ベーチェット病、シェーグレン症候群及びシュニッツラー症候群を含む自己免疫疾患;慢性閉塞性肺疾患(COPD)、ステロイド耐性喘息、石綿肺、珪肺症及び嚢胞性線維症を含む呼吸器疾患;パーキンソン病、アルツハイマー病、運動ニューロン疾患、ハンチントン病、脳性マラリア及び肺炎球菌性髄膜炎による脳損傷を含む中枢神経系疾患;2型糖尿病、アテローム性動脈硬化、肥満、痛風、偽痛風を含む代謝疾患;眼の上皮の疾患、加齢黄斑変性(AMD)、角膜感染症、ブドウ膜炎及びドライアイを含む眼の疾患;慢性腎臓疾患、シュウ酸腎症及び糖尿病性腎症を含む腎臓疾患;非アルコール性脂肪性肝炎及びアルコール性肝臓疾患を含む肝臓疾患;接触過敏症及び日焼けを含む皮膚における炎症反応;骨関節炎、若年性原因不明の全身炎症、成人発症スチル病、再発性多発軟骨炎を含む関節における炎症反応;チクングニア及びロスリバーを含むアルファウイルス並びにデング及びジカウイルスを含むフラビウイルス、インフルエンザ、HIVを含むウイルス感染;化膿性汗腺炎(HS)及びその他の嚢胞が原因の皮膚疾患;肺癌転移、膵臓癌、胃癌、骨髄異形成症候群、白血病を含む癌;多発性筋炎;脳卒中;心筋梗塞;移植片対宿主病;高血圧;大腸炎;蠕虫感染;細菌感染;腹部大動脈瘤;創傷治癒;鬱病、心理的ストレス;ドレスラー症候群を含む心膜炎、虚血再灌流傷害並びに個体がNLRP3に生殖系列又は体細胞の非サイレント突然変異を有することが決定された任意の疾患からなる群から選択される疾患、障害又は状態の治療又は予防;及び/又は
(p)ほ乳類における疾患、障害又は状態の診断を容易にするために、請求項1から15のいずれか一項に記載の標識化合物、又はその薬学的に許容される塩若しくは溶媒和物、又はその金属イオンキレート複合体を、ほ乳類又はほ乳類から得た生物学的試料に投与する工程を含む、ほ乳類における疾患、障害又は状態の診断;及び/又は
(q)生物学的標的を請求項1から15のいずれか一項に記載の化合物又はその薬学的に許容される塩若しくは溶媒和物に曝露する工程を含む、生物学的標的の活性の調節;及び/又は
(r)生物学的標的が、NLRP3インフラマソーム、IL-1β、IL-17、IL-18、IL-1α、IL-37、IL-33及びTh17細胞からなる群から選択される、生物学的標的を請求項1から15のいずれか一項に記載の化合物又はその薬学的に許容される塩若しくは溶媒和物に曝露する工程を含む、生物学的標的の活性の調節
における使用のための、請求項16または17に記載の医薬組成物。 - (a)NLRP3インフラマソームの阻害;及び/又は
(b)疾患、障害又は状態の治療又は予防;及び/又は
(c)NLRP3インフラマソームの活性化の阻害に応答するものである疾患、障害又は状態の治療又は予防;及び/又は
(d)IL-1β、IL-17、IL-18、IL-1α、IL-37、IL-33及びTh17細胞の1つ又は複数の調節に応答する疾患、障害又は状態の治療又は予防;及び/又は
(e)免疫系の疾患、障害又は状態の治療又は予防;及び/又は
(f)炎症性の疾患、障害若しくは状態か、又は自己免疫疾患、障害若しくは状態の治療又は予防;及び/又は
(g)皮膚の疾患、障害又は状態の治療又は予防;及び/又は
(h)心血管系の疾患、障害又は状態の治療又は予防;及び/又は
(i)癌、腫瘍又はその他の悪性病変の治療又は予防;及び/又は
(j)腎臓系の疾患、障害又は状態の治療又は予防;及び/又は
(k)胃腸管の疾患、障害又は状態の治療又は予防;及び/又は
(l)呼吸器系の疾患、障害又は状態の治療又は予防;及び/又は
(m)内分泌系の疾患、障害又は状態の治療又は予防;及び/又は
(n)中枢神経系(CNS)の疾患、障害又は状態の治療又は予防;及び/又は
(o)クリオパイリン関連周期性症候群(CAPS):マックルウェルズ症候群(MWS)、家族性寒冷自己炎症性症候群(FCAS)及び新生児期発症多臓器性炎症性疾患(NOMID)を含む恒常的炎症;自己炎症性疾患を含む:家族性地中海熱(FMF)、TNF受容体関連周期性症候群(TRAPS)、メバロン酸キナーゼ欠損症(MKD)、高グロブリン血症D及び周期熱症候群(HIDS)、インターロイキン1受容体アンタゴニストの欠損症(DIRA)、マジード症候群、化膿性関節炎、壊疽性膿皮症及びざ瘡(PAPA)、A20のハプロ不全(HA20)、小児肉芽腫性動脈炎(PGA)、PLCG2関連抗体不全及び免疫調節異常(PLAID)、PLCG2関連自己炎症、抗体不全及び免疫調節異常(APLAID)、B細胞免疫不全を伴う鉄芽球性貧血、周期熱及び発育遅延(SIFD);スイート症候群、慢性非細菌性骨髄炎(CNO)、慢性再発性多巣性骨髄炎(CRMO)及び滑膜炎、ざ瘡、膿疱症、骨増殖症、骨炎症候群(SAPHO);多発硬化症(MS)、1型糖尿病、乾癬、関節リウマチ、ベーチェット病、シェーグレン症候群及びシュニッツラー症候群を含む自己免疫疾患;慢性閉塞性肺疾患(COPD)、ステロイド耐性喘息、石綿肺、珪肺症及び嚢胞性線維症を含む呼吸器疾患;パーキンソン病、アルツハイマー病、運動ニューロン疾患、ハンチントン病、脳性マラリア及び肺炎球菌性髄膜炎による脳損傷を含む中枢神経系疾患;2型糖尿病、アテローム性動脈硬化、肥満、痛風、偽痛風を含む代謝疾患;眼の上皮の疾患、加齢黄斑変性(AMD)、角膜感染症、ブドウ膜炎及びドライアイを含む眼の疾患;慢性腎臓疾患、シュウ酸腎症及び糖尿病性腎症を含む腎臓疾患;非アルコール性脂肪性肝炎及びアルコール性肝臓疾患を含む肝臓疾患;接触過敏症及び日焼けを含む皮膚における炎症反応;骨関節炎、若年性原因不明の全身炎症、成人発症スチル病、再発性多発軟骨炎を含む関節における炎症反応;チクングニア及びロスリバーを含むアルファウイルス並びにデング及びジカウイルスを含むフラビウイルス、インフルエンザ、HIVを含むウイルス感染;化膿性汗腺炎(HS)及びその他の嚢胞が原因の皮膚疾患;肺癌転移、膵臓癌、胃癌、骨髄異形成症候群、白血病を含む癌;多発性筋炎;脳卒中;心筋梗塞;移植片対宿主病;高血圧;大腸炎;蠕虫感染;細菌感染;腹部大動脈瘤;創傷治癒;鬱病、心理的ストレス;ドレスラー症候群を含む心膜炎、虚血再灌流傷害並びに個体がNLRP3に生殖系列又は体細胞の非サイレント突然変異を有することが決定された任意の疾患からなる群から選択される疾患、障害又は状態の治療又は予防;及び/又は
(p)ほ乳類における疾患、障害又は状態の診断を容易にするために、請求項1から15のいずれか一項に記載の標識化合物、又はその薬学的に許容される塩若しくは溶媒和物、又はその金属イオンキレート複合体を、ほ乳類又はほ乳類から得た生物学的試料に投与する工程を含む、ほ乳類における疾患、障害又は状態の診断;及び/又は
(q)生物学的標的を請求項1から15のいずれか一項に記載の化合物又はその薬学的に許容される塩若しくは溶媒和物に曝露する工程を含む、生物学的標的の活性の調節;及び/又は
(r)生物学的標的が、NLRP3インフラマソーム、IL-1β、IL-17、IL-18、IL-1α、IL-37、IL-33及びTh17細胞からなる群から選択される、生物学的標的を請求項1から15のいずれか一項に記載の化合物又はその薬学的に許容される塩若しくは溶媒和物に曝露する工程を含む、生物学的標的の活性の調節
のための医薬の製造における、請求項1から15のいずれか一項に記載の化合物又はその薬学的に許容される塩若しくは溶媒和物の使用。
Applications Claiming Priority (3)
| Application Number | Priority Date | Filing Date | Title |
|---|---|---|---|
| AU2015900507A AU2015900507A0 (en) | 2015-02-16 | Sulfonylureas and related compounds and use of same | |
| AU2015900507 | 2015-02-16 | ||
| JP2017560843A JP6929792B2 (ja) | 2015-02-16 | 2016-02-16 | スルホニル尿素及び関連化合物並びにその使用 |
Related Parent Applications (1)
| Application Number | Title | Priority Date | Filing Date |
|---|---|---|---|
| JP2017560843A Division JP6929792B2 (ja) | 2015-02-16 | 2016-02-16 | スルホニル尿素及び関連化合物並びにその使用 |
Publications (2)
| Publication Number | Publication Date |
|---|---|
| JP2021185159A JP2021185159A (ja) | 2021-12-09 |
| JP7566699B2 true JP7566699B2 (ja) | 2024-10-15 |
Family
ID=56691944
Family Applications (2)
| Application Number | Title | Priority Date | Filing Date |
|---|---|---|---|
| JP2017560843A Active JP6929792B2 (ja) | 2015-02-16 | 2016-02-16 | スルホニル尿素及び関連化合物並びにその使用 |
| JP2021131251A Active JP7566699B2 (ja) | 2015-02-16 | 2021-08-11 | スルホニル尿素及び関連化合物並びにその使用 |
Family Applications Before (1)
| Application Number | Title | Priority Date | Filing Date |
|---|---|---|---|
| JP2017560843A Active JP6929792B2 (ja) | 2015-02-16 | 2016-02-16 | スルホニル尿素及び関連化合物並びにその使用 |
Country Status (30)
| Country | Link |
|---|---|
| US (4) | US10538487B2 (ja) |
| EP (3) | EP3259253B1 (ja) |
| JP (2) | JP6929792B2 (ja) |
| KR (2) | KR102727059B1 (ja) |
| CN (3) | CN107428696B (ja) |
| AU (3) | AU2016222278B2 (ja) |
| CA (2) | CA2975192A1 (ja) |
| CL (2) | CL2017002097A1 (ja) |
| CY (1) | CY1122832T1 (ja) |
| DK (2) | DK3578547T3 (ja) |
| ES (2) | ES2777626T3 (ja) |
| HR (2) | HRP20200214T1 (ja) |
| HU (1) | HUE055755T2 (ja) |
| IL (2) | IL253661B2 (ja) |
| LT (2) | LT3578547T (ja) |
| MA (3) | MA47440B1 (ja) |
| MD (1) | MD3259253T2 (ja) |
| ME (1) | ME03737B (ja) |
| MX (2) | MX2017010528A (ja) |
| MY (2) | MY193765A (ja) |
| NZ (1) | NZ733948A (ja) |
| PE (2) | PE20221627A1 (ja) |
| PL (2) | PL3578547T3 (ja) |
| PT (2) | PT3259253T (ja) |
| RS (2) | RS60048B1 (ja) |
| RU (1) | RU2739356C2 (ja) |
| SG (2) | SG11201706664QA (ja) |
| SI (2) | SI3578547T1 (ja) |
| SM (1) | SMT202000192T1 (ja) |
| WO (1) | WO2016131098A1 (ja) |
Families Citing this family (132)
| Publication number | Priority date | Publication date | Assignee | Title |
|---|---|---|---|---|
| IL253661B2 (en) | 2015-02-16 | 2024-01-01 | Univ Queensland | Sulfonylureas bearing a five-membered ring, and pharmaceutical compositions and uses thereof |
| FR3046933B1 (fr) * | 2016-01-25 | 2018-03-02 | Galderma Research & Development | Inhibiteurs nlrp3 pour le traitement des pathologies cutanees inflammatoires |
| WO2017140778A1 (en) | 2016-02-16 | 2017-08-24 | The University Of Queensland | Sulfonylureas and related compounds and use of same |
| JP7050751B2 (ja) | 2016-04-18 | 2022-04-08 | ノバルティス アーゲー | Nlrp活性に関連する状態を処置するための化合物および組成物 |
| WO2018103583A1 (en) * | 2016-12-05 | 2018-06-14 | Zibo Anxuan Pharmaceutical Science And Technology Co., Ltd. | N-hydroxy-benzene-sulfonamide derivatives and their uses thereof |
| MA55695A (fr) * | 2017-01-23 | 2022-02-23 | Genentech Inc | Composés chimiques comme inhibiteurs de l'activité interleukine-1 |
| GB2561540A (en) * | 2017-03-13 | 2018-10-24 | Nodthera Ltd | Chemical compounds |
| CA3059458A1 (en) * | 2017-05-24 | 2018-11-29 | The University Of Queensland | Novel compounds and uses |
| WO2018225018A1 (en) | 2017-06-09 | 2018-12-13 | Cadila Healthcare Limited | Novel substituted sulfoximine compounds |
| US11370776B2 (en) | 2017-07-07 | 2022-06-28 | Inflazome Limited | Sulfonylureas and sulfonylthioureas as NLRP3 inhibitors |
| DK3661925T3 (da) * | 2017-07-07 | 2022-02-28 | Inflazome Ltd | Hidtil ukendte sulfonamidcarboxamidforbindelser |
| CA3069524A1 (en) * | 2017-07-14 | 2019-01-17 | Innate Tumor Immunity, Inc. | Nlrp3 modulators |
| WO2019023145A1 (en) * | 2017-07-24 | 2019-01-31 | IFM Tre, Inc. | COMPOUNDS AND COMPOSITIONS FOR THE TREATMENT OF PATHOLOGICAL CONDITIONS ASSOCIATED WITH NLRP ACTIVITY |
| HRP20240521T1 (hr) * | 2017-07-24 | 2024-07-05 | Novartis Ag | Spojevi i pripravci za liječenje stanja povezanih s aktivnošću nlrp |
| GB201712282D0 (en) | 2017-07-31 | 2017-09-13 | Nodthera Ltd | Selective inhibitors of NLRP3 inflammasome |
| DE102017118230B4 (de) * | 2017-08-10 | 2021-04-22 | Christoph Lucks | Verfahren zur Analyse und/oder Überwachung von Brücken sowie entsprechendes System und entsprechende Verwendung |
| WO2019034697A1 (en) * | 2017-08-15 | 2019-02-21 | Inflazome Limited | NOVEL CARBOXAMIDE SULFONAMIDE COMPOUNDS |
| KR20200041337A (ko) * | 2017-08-15 | 2020-04-21 | 인플라좀 리미티드 | 신규한 설폰아마이드 카복스아마이드 화합물 |
| MA49903A (fr) * | 2017-08-15 | 2020-06-24 | Inflazome Ltd | Sulfonylureés et sulfonylthioureés en tant qu'inhibiteurs de nlrp3 |
| US20210122739A1 (en) * | 2017-08-15 | 2021-04-29 | Inflazome Limited | Novel sulfonamide carboxamide compounds |
| TW201910317A (zh) * | 2017-08-15 | 2019-03-16 | 愛爾蘭商英弗雷佐姆有限公司 | 新穎化合物 |
| KR20200041918A (ko) * | 2017-08-15 | 2020-04-22 | 인플라좀 리미티드 | 신규한 설폰아마이드 카복스아마이드 화합물 |
| WO2019034693A1 (en) * | 2017-08-15 | 2019-02-21 | Inflazome Limited | SULFONYLURATES AND SULFONYLTHIOURES AS INHIBITORS OF NLRP3 |
| WO2019043610A1 (en) | 2017-08-31 | 2019-03-07 | Cadila Healthcare Limited | NEW SUBSTITUTED SULFONYLUREA DERIVATIVES |
| US11623922B2 (en) | 2017-10-03 | 2023-04-11 | Inflazome Limited | Compounds |
| MA50567A (fr) * | 2017-11-09 | 2020-09-16 | Inflazome Ltd | Nouveaux composés de sulfonamide carboxamide |
| US12221434B2 (en) | 2017-11-09 | 2025-02-11 | Inflazome Limited | Sulfonamide carboxamide compounds |
| WO2019092172A1 (en) * | 2017-11-09 | 2019-05-16 | Inflazome Limited | Novel sulfonamide carboxamide compounds |
| GB201721185D0 (en) | 2017-12-18 | 2018-01-31 | Nodthera Ltd | Sulphonyl urea derivatives |
| WO2019166632A1 (en) | 2018-03-02 | 2019-09-06 | Inflazome Limited | Novel compounds |
| WO2019166624A1 (en) * | 2018-03-02 | 2019-09-06 | Inflazome Limited | Novel compounds |
| WO2019166627A1 (en) | 2018-03-02 | 2019-09-06 | Inflazome Limited | Novel compounds |
| GB201803393D0 (en) * | 2018-03-02 | 2018-04-18 | Inflazome Ltd | Novel compounds |
| WO2019166628A1 (en) | 2018-03-02 | 2019-09-06 | Inflazome Limited | Novel compounds |
| EP3759073A1 (en) | 2018-03-02 | 2021-01-06 | Inflazome Limited | Sulfonamide derivates as nlrp3 inhibitors |
| GB201803394D0 (en) | 2018-03-02 | 2018-04-18 | Inflazome Ltd | Novel compounds |
| EP3759077A1 (en) | 2018-03-02 | 2021-01-06 | Inflazome Limited | Novel compounds |
| US12030879B2 (en) | 2018-03-02 | 2024-07-09 | Inflazome Limited | Sulfonyl acetamides as NLRP3 inhibitors |
| MX2020009552A (es) | 2018-03-21 | 2020-10-05 | Olatec Therapeutics Llc | Composiciones para prevenir y/o tratar melanoma. |
| GB201806578D0 (en) | 2018-04-23 | 2018-06-06 | Inflazome Ltd | Novel compound |
| US10494349B2 (en) * | 2018-04-23 | 2019-12-03 | Corcept Therapeutics, Inc. | Methods of preparing regioselective N-alkyl triazoles |
| KR20210016344A (ko) | 2018-05-04 | 2021-02-15 | 인플라좀 리미티드 | 신규한 화합물 |
| CN108404117B (zh) * | 2018-05-29 | 2020-06-30 | 广东龙帆生物科技有限公司 | 核苷酸结合寡聚化结构域样受体蛋白在治疗寨卡病毒感染药物中的应用 |
| EP3817815A1 (en) * | 2018-07-03 | 2021-05-12 | Novartis AG | Nlrp modulators |
| EP3817817A1 (en) * | 2018-07-03 | 2021-05-12 | Novartis AG | Nlrp modulators |
| CA3103664A1 (en) * | 2018-07-03 | 2020-01-09 | Novartis Ag | Methods of treating or selecting a treatment for a subject resistant to tnf inhibitor using a nlrp3 antagonist |
| EP3823726A1 (en) * | 2018-07-20 | 2021-05-26 | F. Hoffmann-La Roche SA | Sulfonylurea compounds as inhibitors of interleukin-1 activity |
| UA128558C2 (uk) * | 2018-07-20 | 2024-08-14 | Ф. Хоффманн-Ля Рош Аг | Сульфонімідамідні сполуки як інгібітори активності інтерлейкіну-1 |
| GB201902327D0 (en) | 2019-02-20 | 2019-04-03 | Inflazome Ltd | Novel compounds |
| BR112021002770A2 (pt) | 2018-08-15 | 2021-05-04 | Inflazome Limited | compostos inovadores de sulfonamidaurea |
| GB201817038D0 (en) * | 2018-10-19 | 2018-12-05 | Inflazome Ltd | Novel processes |
| EP3870565A1 (en) * | 2018-10-24 | 2021-09-01 | Novartis AG | Compounds and compositions for treating conditions associated with nlrp activity |
| WO2020102098A1 (en) * | 2018-11-13 | 2020-05-22 | Novartis Inflammasome Research, Inc. | Compounds and compositions for treating conditions associated with nlrp activity |
| WO2020102100A1 (en) * | 2018-11-13 | 2020-05-22 | Novartis Inflammasome Research, Inc. | Compounds and compositions for treating conditions associated with nlrp activity |
| PH12021500025A1 (en) * | 2018-11-13 | 2022-05-02 | Novartis Ag | Compound and compositions for treating conditions associated with nlrp activity |
| WO2020102576A1 (en) * | 2018-11-16 | 2020-05-22 | Novartis Inflammasome Research, Inc. | Compounds and compositions for treating conditions associated with nlrp activity |
| JP2022507505A (ja) * | 2018-11-16 | 2022-01-18 | ノバルティス アーゲー | Nlrp活性に関連する状態を治療するための化合物及び組成物 |
| GB201819083D0 (en) * | 2018-11-23 | 2019-01-09 | Inflazome Ltd | Novel compounds |
| MY209594A (en) | 2019-01-14 | 2025-07-23 | Zydus Lifesciences Ltd | Novel substituted sulfonylurea derivatives |
| WO2020154321A1 (en) * | 2019-01-22 | 2020-07-30 | Novartis Inflammasome Research, Inc. | Compounds and compositions for treating conditions associated with nlrp activity |
| SG11202107653RA (en) * | 2019-01-25 | 2021-08-30 | Nodthera Ltd | Carbamate derivatives and uses thereof |
| US11718584B2 (en) | 2019-02-22 | 2023-08-08 | Pi Industries Ltd. | Process for the synthesis anthranilic diamide compounds and intermediates thereof |
| US20220054493A1 (en) * | 2019-03-06 | 2022-02-24 | INSERM (Institut National de la Santé et de la Recherche Médicale) | Inhibitors of ngal protein |
| GB201905265D0 (en) | 2019-04-12 | 2019-05-29 | Inflazome Ltd | Inflammasome inhibition |
| CN111848461A (zh) * | 2019-04-29 | 2020-10-30 | 苏州大学 | Nlrp3炎症小体抑制剂及其制备方法和应用 |
| AR119731A1 (es) | 2019-05-17 | 2022-01-05 | Novartis Ag | Inhibidores del inflamasoma nlrp3 |
| DK3983387T3 (da) | 2019-06-12 | 2024-07-15 | Nodthera Ltd | Sulfonylurinstofderivater og anvendelser deraf |
| EP3983388A1 (en) * | 2019-06-12 | 2022-04-20 | Nodthera Limited | Sulfonamide derivatives and uses thereof |
| WO2020254697A1 (en) | 2019-06-21 | 2020-12-24 | Ac Immune Sa | Fused 1,2 thiazoles and 1,2 thiazines which act as nl3p3 modulators |
| WO2021002887A1 (en) | 2019-07-02 | 2021-01-07 | Novartis Inflammasome Research, Inc. | Gut-targeted nlrp3 antagonists and their use in therapy |
| AU2020314186A1 (en) * | 2019-07-17 | 2022-02-24 | Zomagen Biosciences Ltd | NLRP3 modulators |
| CA3151865A1 (en) * | 2019-07-17 | 2021-01-21 | Zomagen Biosciences Ltd | N-((1,2,3,5,6,7-hexahydro-s-indacen-4-yl)carbamoyl)-4,5,6,7-tetrahydrobenzofuran -2-sulfonamide derivatives and related compounds as nlpr3 modulators for the treatment of multiple sclerosis (ms) |
| JP2022545400A (ja) * | 2019-08-16 | 2022-10-27 | インフレイゾーム リミテッド | Nlrp3阻害剤として有用な大環状スルホニル尿素誘導体 |
| WO2021043966A1 (en) | 2019-09-06 | 2021-03-11 | Inflazome Limited | Nlrp3 inhibitors |
| CN114746087A (zh) | 2019-09-12 | 2022-07-12 | 载度思生命科学有限公司 | 新的经取代的亚砜亚胺衍生物 |
| WO2021089769A1 (en) * | 2019-11-07 | 2021-05-14 | Inflazome Limited | Treatment and prevention of neuroinflammation or an inflammatory brain disorder |
| EP4076441A2 (en) * | 2019-11-07 | 2022-10-26 | Inflazome Limited | Treatment and prevention of a neurodegenerative disorder |
| CN114599356A (zh) * | 2019-11-07 | 2022-06-07 | 英夫拉索姆有限公司 | 自身炎症性病症的治疗 |
| GB201916237D0 (en) * | 2019-11-07 | 2019-12-25 | Inflazome Ltd | Novel treatment |
| WO2021089776A1 (en) * | 2019-11-07 | 2021-05-14 | Inflazome Limited | Treatment and prevention of a traumatic brain disorder |
| WO2021089781A1 (en) * | 2019-11-07 | 2021-05-14 | Inflazome Limited | Treatment or prevention of psychiatric brain disorders using the nlrp3 inhibitor n-((1,2,3,5,6,7-hexahydro-s-indacen-4-yl)carbamoyl)-1 -isopropyl-1 h-pyrazole-3-sulfonamide |
| US11976054B2 (en) * | 2019-11-12 | 2024-05-07 | Chengdu Baiyu Pharmaceutical Co., Ltd. | Amide derivative and preparation method therefore and use thereof in medicine |
| WO2021111351A1 (en) * | 2019-12-03 | 2021-06-10 | Cadila Healthcare Limited | Novel substituted sulfonylurea and sulfoximineurea derivatives |
| CN115461120A (zh) * | 2020-01-22 | 2022-12-09 | 豪夫迈·罗氏有限公司 | 作为nlrp3调节剂的磺酰亚胺酰胺化合物 |
| US11618751B1 (en) | 2022-03-25 | 2023-04-04 | Ventus Therapeutics U.S., Inc. | Pyrido-[3,4-d]pyridazine amine derivatives useful as NLRP3 derivatives |
| CN115362152A (zh) | 2020-02-18 | 2022-11-18 | 英夫拉索姆有限公司 | 化合物 |
| PH12022552447A1 (en) | 2020-03-16 | 2024-01-03 | Zomagen Biosciences Ltd | Nlrp3 modulators |
| CN111358778A (zh) * | 2020-03-17 | 2020-07-03 | 中国医科大学附属第一医院 | Mcc950在制备预防或治疗阿尔茨海默病的药物中的应用 |
| EP4121032A1 (en) | 2020-03-19 | 2023-01-25 | Softhale NV | Method for the treatment nlrp3-associated diseases |
| CA3176688A1 (en) * | 2020-04-30 | 2021-11-04 | Daniel Oehlrich | New triazinoindole compounds |
| CN115768749B (zh) * | 2020-06-11 | 2024-04-19 | 辰欣药业股份有限公司 | 二甲基亚磺酰亚胺衍生物 |
| KR20230028425A (ko) | 2020-06-19 | 2023-02-28 | 에이씨 이뮨 에스에이 | Nlrp3 인플라마좀 경로를 조절하는 디하이드로옥사졸 및 티오우레아 또는 우레아 유도체 |
| WO2022022646A1 (zh) * | 2020-07-29 | 2022-02-03 | 南京明德新药研发有限公司 | 含硒五元杂芳环化合物 |
| WO2022023907A1 (en) | 2020-07-31 | 2022-02-03 | Novartis Ag | Methods of selecting and treating patients at elevated risk of major adverse cardiac events |
| TW202229265A (zh) * | 2020-09-04 | 2022-08-01 | 英商諾得瑟拉公司 | 含有烷基-氧雜環烷基部分之胺磺醯基脲衍生物及其用途 |
| US20250073218A1 (en) * | 2020-11-04 | 2025-03-06 | Uppthera | Nlrp3 protein degradation inducing compound |
| FR3115682B1 (fr) * | 2020-11-05 | 2023-02-24 | Roquette Freres | Compositions à base de méthyl-cyclodextrines pour le traitement et/ou la prévention de la stéatose hépatique |
| US20230416205A1 (en) * | 2020-11-20 | 2023-12-28 | Denali Therapeutics Inc | Compounds, compositions, and methods |
| WO2022115417A1 (en) * | 2020-11-25 | 2022-06-02 | VenatoRx Pharmaceuticals, Inc. | Sulfonyl urea nlrp3 inflammasome inhibitors |
| KR102802013B1 (ko) * | 2021-02-03 | 2025-05-07 | 환인제약 주식회사 | 알츠하이머병 치료를 위한 nlrp3 인플라마좀 소분자 억제제 |
| CN117279903A (zh) * | 2021-02-10 | 2023-12-22 | 杭州英创医药科技有限公司 | 作为nlrp3抑制剂的化合物 |
| US11319319B1 (en) | 2021-04-07 | 2022-05-03 | Ventus Therapeutics U.S., Inc. | Compounds for inhibiting NLRP3 and uses thereof |
| EP4330236A4 (en) * | 2021-04-30 | 2025-09-24 | Denali Therapeutics Inc | COMPOUNDS, COMPOSITIONS AND METHODS |
| IT202100011237A1 (it) | 2021-05-03 | 2022-11-03 | Univ Degli Studi Di Torino | Composti inibitori dell’inflammasoma nlrp3 e loro uso |
| CN116917282A (zh) * | 2021-05-10 | 2023-10-20 | 成都百裕制药股份有限公司 | 酰胺衍生物及其应用 |
| TW202246230A (zh) * | 2021-05-10 | 2022-12-01 | 大陸商成都百裕製藥股份有限公司 | 醯胺衍生物及其應用 |
| WO2022237780A1 (zh) * | 2021-05-10 | 2022-11-17 | 成都百裕制药股份有限公司 | 酰胺衍生物及其应用 |
| KR20240025619A (ko) | 2021-06-23 | 2024-02-27 | 에프. 호프만-라 로슈 아게 | 1-에틸-N-((1,2,3,5,6,7-헥사히드로-s-인다센-4-일)카르바모일)피페리딘-4-설폰아미드의결정질 포타슘 염 |
| ES2948511A1 (es) * | 2021-09-08 | 2023-09-13 | Fundacion Para La Investigacion Biomedica Del Hospital Univ De La Princesa | Derivados de n-sulfonilureas y su uso terapeutico |
| CN115894478B (zh) * | 2021-09-30 | 2025-04-04 | 杭州民生药物研究院有限公司 | 一种新型吡啶并吡唑类杂环化合物及其应用 |
| KR20230066899A (ko) | 2021-11-08 | 2023-05-16 | 제일약품주식회사 | Nlrp3 저해제로서의 신규한 화합물 및 이를 포함하는 약학적 조성물 |
| CN118355000A (zh) * | 2021-12-03 | 2024-07-16 | 辰欣药业股份有限公司 | 二甲基亚磺酰亚胺衍生物的盐型及晶型 |
| US20250109126A1 (en) | 2021-12-22 | 2025-04-03 | Ac Immune Sa | Dihydro-oxazol derivative compounds |
| WO2023230002A1 (en) * | 2022-05-23 | 2023-11-30 | VenatoRx Pharmaceuticals, Inc. | Nlrp3 inflammasome inhibitors |
| EP4551549A1 (en) * | 2022-07-06 | 2025-05-14 | Kodiak Sciences Inc. | Nlrp3 inhibitors |
| WO2024013395A1 (en) | 2022-07-14 | 2024-01-18 | Ac Immune Sa | Pyrrolotriazine and imidazotriazine derivatives as modulators of the nlrp3 inflammasome pathway |
| IL318406A (en) | 2022-07-28 | 2025-03-01 | Ac Immune Sa | New compounds |
| UY40374A (es) | 2022-08-03 | 2024-02-15 | Novartis Ag | Inhibidores de inflamasoma nlrp3 |
| KR20240022938A (ko) | 2022-08-12 | 2024-02-20 | 제일약품주식회사 | Nlrp3 저해제로서의 신규한 화합물 및 이를 포함하는 약학적 조성물 |
| US12331048B2 (en) | 2022-10-31 | 2025-06-17 | Ventus Therapeutics U.S., Inc. | Pyrido-[3,4-d]pyridazine amine derivatives useful as NLRP3 inhibitors |
| CN115772173B (zh) * | 2022-12-20 | 2024-04-16 | 武汉国粹医药科技有限公司 | 苯并呋喃类化合物、其制备方法及其应用和抗菌剂 |
| WO2024249539A1 (en) | 2023-06-02 | 2024-12-05 | Merck Sharp & Dohme Llc | 5,6 unsaturated bicyclic heterocyles useful as inhibitors of nod-like receptor protein 3 |
| WO2025046419A1 (ko) | 2023-08-25 | 2025-03-06 | 제일약품주식회사 | Nlrp3 저해제로서의 신규한 화합물 및 이를 포함하는 약학적 조성물 |
| TW202513060A (zh) * | 2023-09-29 | 2025-04-01 | 瑞士商諾華公司 | 用於降低心血管疾病的風險之nlrp3抑制劑 |
| WO2025113692A1 (zh) * | 2023-12-01 | 2025-06-05 | 拜西欧斯(北京)生物技术有限公司 | 磺酰脲衍生物及其应用 |
| WO2025133307A1 (en) | 2023-12-22 | 2025-06-26 | Ac Immune Sa | Heterocyclic modulators of the nlrp3 inflammasome pathway |
| WO2025153532A1 (en) | 2024-01-16 | 2025-07-24 | NodThera Limited | Nlrp3 inhibitors and glp-1 agonists combination therapies |
| WO2025153625A1 (en) | 2024-01-17 | 2025-07-24 | Ac Immune Sa | Imidazo[1,2-d][1,2,4]triazine derivatives for use as inhibitors of the nlrp3 inflammasome pathway |
| WO2025153624A1 (en) | 2024-01-17 | 2025-07-24 | Ac Immune Sa | Imidazo[1,2-d][1,2,4]triazine derivatives for use as inhibitors of the nlrp3 inflammasome pathway |
| WO2025163069A1 (en) | 2024-01-31 | 2025-08-07 | Ac Immune Sa | Novel compounds |
| WO2025168118A1 (zh) * | 2024-02-09 | 2025-08-14 | 杭州矩阵生物药业有限公司 | 具有nlrp3抑制活性的磺酰脲类衍生物及其应用 |
| CN120535399A (zh) * | 2025-06-11 | 2025-08-26 | 上海麦克林生化科技股份有限公司 | 4-(2,2,2-三氟-1-烷氧基乙基)苯酚的制备方法 |
Citations (5)
| Publication number | Priority date | Publication date | Assignee | Title |
|---|---|---|---|---|
| JP2000095796A (ja) | 1998-08-31 | 2000-04-04 | Pfizer Prod Inc | ジアリ―ルスルホニルウレア結合タンパク質 |
| JP2000511200A (ja) | 1997-01-29 | 2000-08-29 | ファイザー・インク | スルホニルウレア誘導体、およびインターロイキン−1の活性を制御する上でのスルホニルウレア誘導体の使用 |
| JP2002275062A (ja) | 2001-02-12 | 2002-09-25 | Warner Lambert Co | 核因子カッパb媒介の疾患および障害の治療剤 |
| JP2013544349A (ja) | 2010-11-18 | 2013-12-12 | 国立大学法人京都大学 | インフラマソームの活性を抑える薬剤をスクリーニングする方法 |
| JP2014094917A (ja) | 2012-11-09 | 2014-05-22 | Toyama Univ | インフラマソーム活性制御剤 |
Family Cites Families (87)
| Publication number | Priority date | Publication date | Assignee | Title |
|---|---|---|---|---|
| GB797474A (en) | 1955-07-20 | 1958-07-02 | Boehringer & Soehne Gmbh | Sulphonylurea derivatives |
| US3242174A (en) | 1962-02-06 | 1966-03-22 | Pfizer & Co C | 1-(tertiary aminosulfonyl)-3-(hydrocarbon) ureas |
| US3305556A (en) | 1962-11-23 | 1967-02-21 | Pfizer & Co C | Novel hypoglycemic agents |
| NL129208C (ja) | 1965-07-14 | |||
| CH509992A (de) | 1966-08-08 | 1971-07-15 | Hoffmann La Roche | Verfahren zur Herstellung von Sulfonamiden |
| NL131473C (ja) | 1966-10-28 | |||
| BE754588A (fr) | 1969-08-07 | 1971-02-08 | Hoechst Ag | Thiophene-sulfonyl-urees et les medicaments qui contiennent cessubstances |
| FR2063472A5 (ja) | 1969-10-17 | 1971-07-09 | Mercier Pierre | |
| GB1477664A (en) * | 1974-04-17 | 1977-06-22 | Christiaens Sa A | Pyridine derivatives |
| AU571869B2 (en) | 1983-05-09 | 1988-04-28 | E.I. Du Pont De Nemours And Company | Pyridyl- and pyrimidyl- sulphonamides |
| EP0126711B1 (de) | 1983-05-16 | 1989-08-02 | Ciba-Geigy Ag | Herbizid wirksame und pflanzenwuchsregulierende Pyrimidin-Derivate, deren Herstellung und Verwendung |
| JPS6045573A (ja) | 1983-08-22 | 1985-03-12 | Nissan Chem Ind Ltd | ピラゾ−ルスルホニルウレア誘導体,その製法および該誘導体を含有する選択性除草剤 |
| US4723991A (en) | 1984-03-23 | 1988-02-09 | E. I. Du Pont De Nemours And Company | Lower alkyl 2-[[N-(3-cyano-pyridin-2-yl)aminocarbonyl]aminosulphonyl]benzoate derivatives having herbicidal activity |
| US4659369A (en) | 1984-08-27 | 1987-04-21 | E. I. Du Pont De Nemours And Company | Herbicidal acetals and ketals |
| AU578307B2 (en) | 1984-09-17 | 1988-10-20 | E.I. Du Pont De Nemours And Company | Herbicidal pyrazolesulfonamides |
| FI855180A7 (fi) | 1985-01-18 | 1986-07-19 | Nissan Chemical Ind Ltd | Pyratsolisulfonamidijohdannainen, menetelmä sen valmistamiseksi ja sitä sisältävä rikkaruohomyrkky. |
| JPH0720957B2 (ja) | 1985-11-26 | 1995-03-08 | 日産化学工業株式会社 | ピラゾ−ルスルホニルウレア誘導体、製法および除草剤 |
| JP2570686B2 (ja) | 1985-12-23 | 1997-01-08 | 日産化学工業株式会社 | ピラゾ−ル誘導体 |
| US4830660A (en) | 1986-06-19 | 1989-05-16 | Nissan Chemical Industries, Ltd. | Imidazolesulfonamide derivatives and herbicides |
| US4795486A (en) | 1986-09-26 | 1989-01-03 | Boehner Beat | Aminopyrazinones and aminotriazinones |
| US4802908A (en) | 1987-01-22 | 1989-02-07 | E. I. Du Pont De Nemours And Company | Herbicidal 2-(1H)-pyrazinones |
| JPH05503518A (ja) | 1990-01-22 | 1993-06-10 | イー・アイ・デユポン・ドウ・ヌムール・アンド・カンパニー | 除草性スルホニル尿素 |
| IL98784A0 (en) * | 1990-07-17 | 1992-07-15 | Lilly Co Eli | Heterocyclyl sulfonamide derivatives,process for their preparation and pharmaceutical compositions containing them |
| WO1992004319A1 (en) | 1990-08-29 | 1992-03-19 | E.I. Du Pont De Nemours And Company | Herbicidal pyrrolesulfonylureas |
| US5214206A (en) * | 1990-11-07 | 1993-05-25 | Warner-Lambert Company | Aminosulfonyl urea acat inhibitors |
| DE4039733A1 (de) | 1990-12-13 | 1992-06-17 | Basf Ag | Substituierte 5-aminopyrazole |
| AU2496492A (en) | 1991-08-19 | 1993-03-16 | E.I. Du Pont De Nemours And Company | Angiotensin ii receptor blocking imidazolinone derivatives |
| CZ36394A3 (en) | 1991-08-19 | 1994-07-13 | Du Pont | Substituted imidazilonone derivatives and pharmaceutical preparations based thereon |
| US5169860A (en) * | 1992-03-13 | 1992-12-08 | Eli Lilly And Company | Antitumor compositions and methods of treatment |
| US5219856A (en) | 1992-04-06 | 1993-06-15 | E. I. Du Pont De Nemours And Company | Angiotensin-II receptor blocking, heterocycle substituted imidazoles |
| JPH0645573A (ja) | 1992-07-23 | 1994-02-18 | Nikon Corp | 赤外線固体撮像装置 |
| JPH06199053A (ja) | 1992-12-28 | 1994-07-19 | Sankyo Kagaku Kk | 感熱転写記録用色素 |
| JPH06199054A (ja) | 1992-12-28 | 1994-07-19 | Dainippon Printing Co Ltd | 熱転写シート |
| JPH06199047A (ja) | 1993-01-08 | 1994-07-19 | New Oji Paper Co Ltd | 感熱記録体 |
| US5466823A (en) * | 1993-11-30 | 1995-11-14 | G.D. Searle & Co. | Substituted pyrazolyl benzenesulfonamides |
| WO1997011057A1 (en) | 1995-09-22 | 1997-03-27 | E.I. Du Pont De Nemours And Company | Arthropodicidal 1,4-dihydropyridines and 1,4-dihydropyrimidines |
| WO1997011941A1 (fr) | 1995-09-28 | 1997-04-03 | Suntory Limited | Derives de la quinazoline et leurs emplois |
| CA2247286A1 (en) | 1996-02-26 | 1997-08-28 | Hirohiko Hasegawa | Sulfonylureidopyrazole derivatives |
| US6022984A (en) | 1998-07-27 | 2000-02-08 | Pfizer Inc. | Efficient synthesis of furan sulfonamide compounds useful in the synthesis of new IL-1 inhibitors |
| JP2000053649A (ja) | 1998-08-11 | 2000-02-22 | Sumitomo Pharmaceut Co Ltd | スルホニルウレイドピラゾール誘導体 |
| EA200100972A1 (ru) | 1999-03-15 | 2002-02-28 | Аксис Фармасьютикалз, Инк. | Новые соединения и композиции как ингибиторы протеаз |
| BR0014003A (pt) * | 1999-09-14 | 2002-05-21 | Pfizer Prod Inc | Tratamento de combinação com compostos de diaril sufonil uréia e il-1ra |
| US6906063B2 (en) | 2000-02-04 | 2005-06-14 | Portola Pharmaceuticals, Inc. | Platelet ADP receptor inhibitors |
| DK1257550T3 (da) | 2000-02-04 | 2006-03-27 | Portola Pharm Inc | Blodplade-ADP-receptor-inhibitor |
| GB0017676D0 (en) | 2000-07-19 | 2000-09-06 | Angeletti P Ist Richerche Bio | Inhibitors of viral polymerase |
| PL367093A1 (en) | 2001-05-18 | 2005-02-21 | Solvay Pharmaceuticals Gmbh | Use of compounds with combined nep/mp-inhibitory activity in the preparation of medicaments |
| AR037097A1 (es) | 2001-10-05 | 2004-10-20 | Novartis Ag | Compuestos acilsulfonamidas, composiciones farmaceuticas y el uso de dichos compuestos para la preparacion de un medicamento |
| FI110677B (fi) | 2001-10-12 | 2003-03-14 | Jujo Thermal Oy | Lämpöherkkä tallennusmateriaali |
| AU2002334205B2 (en) | 2001-10-26 | 2007-07-05 | Istituto Di Ricerche Di Biologia Molecolara P. Angeletti Spa | Dihydroxypyrimidine carboxamide inhibitors of HIV integrase |
| CA2468706A1 (en) | 2001-11-30 | 2003-06-05 | Mark Anthony Dombroski | Combination of an il-1/18 inhibitor with a tnf inhibitor for the treatment of inflammation |
| MY137509A (en) | 2002-05-28 | 2009-02-27 | Dimensional Pharm Inc | Thiophene amidines, compositions thereof, and methods of treating complement-mediated diseases and conditions |
| US7294635B2 (en) | 2003-10-03 | 2007-11-13 | Portola Pharmaceuticals, Inc. | Substituted isoquinolinones |
| WO2005032488A2 (en) | 2003-10-03 | 2005-04-14 | Portola Pharmaceuticals, Inc. | 2,4-dioxo-3-quinazolinylaryl sulfonylureas |
| WO2005105777A1 (en) * | 2004-05-05 | 2005-11-10 | Pharmacia & Upjohn Company Llc | Substituted thiophene amide compounds for the treatment of inflammation |
| WO2006039212A2 (en) | 2004-09-29 | 2006-04-13 | Portola Pharmaceuticals, Inc. | Substituted 2h-1,3-benzoxazin-4(3h)-ones |
| WO2006085815A1 (en) | 2005-02-11 | 2006-08-17 | Astrazeneca Ab | Thiazole derivatives, their process for their preparation and their use in therapy |
| GB0505539D0 (en) | 2005-03-17 | 2005-04-27 | Novartis Ag | Organic compounds |
| DK200600313A (da) | 2006-03-03 | 2006-03-13 | Novo Nordisk As | Treating type 2 diabetes or metabolic syndrome with an interleukin 1beta inhibitor or an interleukin 1beta synthesis or release inhibitor |
| WO2007105637A1 (ja) * | 2006-03-10 | 2007-09-20 | Ono Pharmaceutical Co., Ltd. | 含窒素複素環誘導体およびそれらを有効成分とする薬剤 |
| TWI391378B (zh) | 2006-03-16 | 2013-04-01 | Astellas Pharma Inc | 喹啉酮衍生物或其製藥學上可被容許之鹽 |
| GB0701426D0 (en) | 2007-01-25 | 2007-03-07 | Univ Sheffield | Compounds and their use |
| WO2009065096A1 (en) | 2007-11-16 | 2009-05-22 | University Of Medicine And Dentistry Of New Jersey | Mechanism-based small-molecule parasite inhibitors |
| US8211928B2 (en) * | 2009-05-29 | 2012-07-03 | Bristol-Myers Squibb Company | Hepatitis C virus inhibitors |
| GB2474120B (en) | 2009-10-01 | 2011-12-21 | Amira Pharmaceuticals Inc | Compounds as Lysophosphatidic acid receptor antagonists |
| CA2792102C (en) | 2010-03-05 | 2015-06-09 | Kyowa Hakko Kirin Co., Ltd. | Pyrazolopyrimidine derivative |
| HK1199207A1 (en) | 2011-09-02 | 2015-06-26 | Kyowa Hakko Kirin Co., Ltd. | Chemokine receptor activity regulator |
| PL221813B1 (pl) | 2013-02-22 | 2016-05-31 | Univ Medyczny W Lublinie | Pochodne 1-arylo-6-benzenosulfonyloimidazo[1,2-a][1,3,5] triazyny oraz sposób ich otrzymywania |
| TW201501713A (zh) | 2013-03-01 | 2015-01-16 | Kyowa Hakko Kirin Co Ltd | 眼炎症性疾病之預防及/或治療劑 |
| CN104513239B (zh) | 2014-12-10 | 2017-08-22 | 沈阳药科大学 | 吡唑并[3,4‑c]吡啶‑7‑酮类化合物及其应用 |
| WO2016119349A1 (zh) | 2015-01-29 | 2016-08-04 | 中国农业大学 | 一种磺酰脲类、磺酰胺基甲酸酯类化合物的制备方法 |
| IL253661B2 (en) | 2015-02-16 | 2024-01-01 | Univ Queensland | Sulfonylureas bearing a five-membered ring, and pharmaceutical compositions and uses thereof |
| US10688077B2 (en) | 2015-02-26 | 2020-06-23 | H. Lee Moffitt Cancer Center And Research Institute, Inc. | Inflammasome activation in myelodysplastic syndromes |
| ES2954596T3 (es) | 2015-12-23 | 2023-11-23 | Univ British Columbia | Profármacos unidos a lípidos |
| FR3046933B1 (fr) | 2016-01-25 | 2018-03-02 | Galderma Research & Development | Inhibiteurs nlrp3 pour le traitement des pathologies cutanees inflammatoires |
| WO2017140778A1 (en) | 2016-02-16 | 2017-08-24 | The University Of Queensland | Sulfonylureas and related compounds and use of same |
| ES2940611T3 (es) | 2016-04-18 | 2023-05-09 | Novartis Ag | Compuestos y composiciones para el tratamiento de afecciones asociadas a la actividad de NLRP |
| WO2017189652A1 (en) | 2016-04-26 | 2017-11-02 | Enanta Pharmaceuticals, Inc. | Isoxazole derivatives as fxr agonists and methods of use thereof |
| US10080743B2 (en) | 2016-04-26 | 2018-09-25 | Enanta Pharmaceuticals, Inc. | Isoxazole derivatives as FXR agonists and methods of use thereof |
| WO2017189651A1 (en) | 2016-04-26 | 2017-11-02 | Enanta Pharmaceuticals, Inc. | Isoxazole derivatives as fxr agonists and methods of use thereof |
| US10138228B2 (en) | 2016-05-18 | 2018-11-27 | Enanta Pharmaceuticals, Inc. | Isoxazole derivatives as FXR agonists and methods of use therof |
| US10144729B2 (en) | 2016-05-18 | 2018-12-04 | Enanta Pharmaceuticals, Inc. | Isoxazole analogs as FXR agonists and methods of use thereof |
| CA3059458A1 (en) | 2017-05-24 | 2018-11-29 | The University Of Queensland | Novel compounds and uses |
| US11370776B2 (en) | 2017-07-07 | 2022-06-28 | Inflazome Limited | Sulfonylureas and sulfonylthioureas as NLRP3 inhibitors |
| DK3661925T3 (da) | 2017-07-07 | 2022-02-28 | Inflazome Ltd | Hidtil ukendte sulfonamidcarboxamidforbindelser |
| KR20200041918A (ko) | 2017-08-15 | 2020-04-22 | 인플라좀 리미티드 | 신규한 설폰아마이드 카복스아마이드 화합물 |
| CN112740577B (zh) | 2018-09-27 | 2022-07-12 | 苹果公司 | 针对新空口未许可操作的无线电链路监测和失败 |
| GB201819083D0 (en) * | 2018-11-23 | 2019-01-09 | Inflazome Ltd | Novel compounds |
-
2016
- 2016-02-16 IL IL253661A patent/IL253661B2/en unknown
- 2016-02-16 MA MA47440A patent/MA47440B1/fr unknown
- 2016-02-16 MY MYPI2017001188A patent/MY193765A/en unknown
- 2016-02-16 LT LTEP19187141.7T patent/LT3578547T/lt unknown
- 2016-02-16 SI SI201631297T patent/SI3578547T1/sl unknown
- 2016-02-16 IL IL273065A patent/IL273065B2/en unknown
- 2016-02-16 PL PL19187141T patent/PL3578547T3/pl unknown
- 2016-02-16 DK DK19187141.7T patent/DK3578547T3/da active
- 2016-02-16 ES ES16751821T patent/ES2777626T3/es active Active
- 2016-02-16 CA CA2975192A patent/CA2975192A1/en active Pending
- 2016-02-16 SG SG11201706664QA patent/SG11201706664QA/en unknown
- 2016-02-16 RS RS20200258A patent/RS60048B1/sr unknown
- 2016-02-16 WO PCT/AU2016/050103 patent/WO2016131098A1/en not_active Ceased
- 2016-02-16 SI SI201630635T patent/SI3259253T1/sl unknown
- 2016-02-16 DK DK16751821.6T patent/DK3259253T3/da active
- 2016-02-16 HU HUE19187141A patent/HUE055755T2/hu unknown
- 2016-02-16 KR KR1020177025608A patent/KR102727059B1/ko active Active
- 2016-02-16 NZ NZ733948A patent/NZ733948A/en unknown
- 2016-02-16 LT LTEP16751821.6T patent/LT3259253T/lt unknown
- 2016-02-16 EP EP16751821.6A patent/EP3259253B1/en active Active
- 2016-02-16 PE PE2021001430A patent/PE20221627A1/es unknown
- 2016-02-16 MX MX2017010528A patent/MX2017010528A/es unknown
- 2016-02-16 PL PL16751821T patent/PL3259253T3/pl unknown
- 2016-02-16 EP EP21152421.0A patent/EP3888749A1/en active Pending
- 2016-02-16 JP JP2017560843A patent/JP6929792B2/ja active Active
- 2016-02-16 CN CN201680010446.XA patent/CN107428696B/zh active Active
- 2016-02-16 EP EP19187141.7A patent/EP3578547B1/en active Active
- 2016-02-16 ES ES19187141T patent/ES2881228T3/es active Active
- 2016-02-16 RS RS20210952A patent/RS62164B1/sr unknown
- 2016-02-16 PE PE2017001395A patent/PE20180160A1/es unknown
- 2016-02-16 MA MA056473A patent/MA56473A/fr unknown
- 2016-02-16 US US15/551,264 patent/US10538487B2/en active Active
- 2016-02-16 MY MYPI2020001281A patent/MY197094A/en unknown
- 2016-02-16 PT PT167518216T patent/PT3259253T/pt unknown
- 2016-02-16 HR HRP20200214TT patent/HRP20200214T1/hr unknown
- 2016-02-16 CA CA3250390A patent/CA3250390A1/en active Pending
- 2016-02-16 AU AU2016222278A patent/AU2016222278B2/en active Active
- 2016-02-16 MD MDE20180009T patent/MD3259253T2/ro unknown
- 2016-02-16 KR KR1020247036650A patent/KR20240162585A/ko not_active Ceased
- 2016-02-16 SM SM20200192T patent/SMT202000192T1/it unknown
- 2016-02-16 ME MEP-2020-49A patent/ME03737B/me unknown
- 2016-02-16 CN CN202110865543.XA patent/CN113563264A/zh active Pending
- 2016-02-16 SG SG10202002599XA patent/SG10202002599XA/en unknown
- 2016-02-16 RU RU2017128287A patent/RU2739356C2/ru active
- 2016-02-16 PT PT191871417T patent/PT3578547T/pt unknown
- 2016-02-16 MA MA41553A patent/MA41553B1/fr unknown
- 2016-02-16 CN CN202110867103.8A patent/CN113582889B/zh active Active
-
2017
- 2017-08-15 MX MX2023001647A patent/MX2023001647A/es unknown
- 2017-08-16 CL CL2017002097A patent/CL2017002097A1/es unknown
-
2019
- 2019-01-08 CL CL2019000060A patent/CL2019000060A1/es unknown
- 2019-08-07 US US16/535,002 patent/US11130731B2/en active Active
-
2020
- 2020-03-18 CY CY20201100252T patent/CY1122832T1/el unknown
- 2020-05-26 AU AU2020203464A patent/AU2020203464B2/en active Active
-
2021
- 2021-07-29 HR HRP20211225TT patent/HRP20211225T1/hr unknown
- 2021-08-11 JP JP2021131251A patent/JP7566699B2/ja active Active
- 2021-08-18 US US17/405,989 patent/US20220112159A1/en active Granted
- 2021-10-28 AU AU2021258033A patent/AU2021258033A1/en not_active Abandoned
-
2023
- 2023-12-14 US US18/540,743 patent/US20240400502A1/en active Pending
Patent Citations (5)
| Publication number | Priority date | Publication date | Assignee | Title |
|---|---|---|---|---|
| JP2000511200A (ja) | 1997-01-29 | 2000-08-29 | ファイザー・インク | スルホニルウレア誘導体、およびインターロイキン−1の活性を制御する上でのスルホニルウレア誘導体の使用 |
| JP2000095796A (ja) | 1998-08-31 | 2000-04-04 | Pfizer Prod Inc | ジアリ―ルスルホニルウレア結合タンパク質 |
| JP2002275062A (ja) | 2001-02-12 | 2002-09-25 | Warner Lambert Co | 核因子カッパb媒介の疾患および障害の治療剤 |
| JP2013544349A (ja) | 2010-11-18 | 2013-12-12 | 国立大学法人京都大学 | インフラマソームの活性を抑える薬剤をスクリーニングする方法 |
| JP2014094917A (ja) | 2012-11-09 | 2014-05-22 | Toyama Univ | インフラマソーム活性制御剤 |
Also Published As
Similar Documents
| Publication | Publication Date | Title |
|---|---|---|
| JP7566699B2 (ja) | スルホニル尿素及び関連化合物並びにその使用 | |
| CN109071454B (zh) | 磺酰脲和相关化合物及其用途 | |
| JP6661749B2 (ja) | Rorガンマモジュレータとしての新規化合物 | |
| TW201623233A (zh) | 含氮雜環化合物 | |
| CN108368127A (zh) | 1-取代的1,2,3,4-四氢-1,7-萘啶-8-胺衍生物及其作为ep4受体拮抗剂的用途 | |
| TW201315727A (zh) | 尿嘧啶衍生物及其醫藥用途 | |
| RU2795512C2 (ru) | Сульфонилмочевины и родственные соединения и их применение | |
| HK40057486A (en) | Sulfonylureas and related compounds and use of same | |
| BR112017017610B1 (pt) | Composto de fórmula (ii) ou um sal ou solvato farmaceuticamente a c e i t á v e i s d o m e s m o , u s o d o c o m p o s t o o u d o s a l o u s o l v a t o farmaceuticamente aceitáveis e composição farmacêutica |
Legal Events
| Date | Code | Title | Description |
|---|---|---|---|
| A521 | Request for written amendment filed |
Free format text: JAPANESE INTERMEDIATE CODE: A523 Effective date: 20210909 |
|
| A621 | Written request for application examination |
Free format text: JAPANESE INTERMEDIATE CODE: A621 Effective date: 20210909 |
|
| A131 | Notification of reasons for refusal |
Free format text: JAPANESE INTERMEDIATE CODE: A131 Effective date: 20221031 |
|
| A601 | Written request for extension of time |
Free format text: JAPANESE INTERMEDIATE CODE: A601 Effective date: 20230125 |
|
| A521 | Request for written amendment filed |
Free format text: JAPANESE INTERMEDIATE CODE: A523 Effective date: 20230501 |
|
| A131 | Notification of reasons for refusal |
Free format text: JAPANESE INTERMEDIATE CODE: A131 Effective date: 20230626 |
|
| A601 | Written request for extension of time |
Free format text: JAPANESE INTERMEDIATE CODE: A601 Effective date: 20230913 |
|
| A521 | Request for written amendment filed |
Free format text: JAPANESE INTERMEDIATE CODE: A523 Effective date: 20231220 |
|
| A131 | Notification of reasons for refusal |
Free format text: JAPANESE INTERMEDIATE CODE: A131 Effective date: 20240219 |
|
| A601 | Written request for extension of time |
Free format text: JAPANESE INTERMEDIATE CODE: A601 Effective date: 20240517 |
|
| A521 | Request for written amendment filed |
Free format text: JAPANESE INTERMEDIATE CODE: A523 Effective date: 20240819 |
|
| TRDD | Decision of grant or rejection written | ||
| A01 | Written decision to grant a patent or to grant a registration (utility model) |
Free format text: JAPANESE INTERMEDIATE CODE: A01 Effective date: 20240902 |
|
| A61 | First payment of annual fees (during grant procedure) |
Free format text: JAPANESE INTERMEDIATE CODE: A61 Effective date: 20241002 |
|
| R150 | Certificate of patent or registration of utility model |
Ref document number: 7566699 Country of ref document: JP Free format text: JAPANESE INTERMEDIATE CODE: R150 |



































































































































































































































































































































































































































































































































































































































































































