JP3545461B2 - 二環式ヘテロ環含有スルホンアミド誘導体 - Google Patents
二環式ヘテロ環含有スルホンアミド誘導体 Download PDFInfo
- Publication number
- JP3545461B2 JP3545461B2 JP20756894A JP20756894A JP3545461B2 JP 3545461 B2 JP3545461 B2 JP 3545461B2 JP 20756894 A JP20756894 A JP 20756894A JP 20756894 A JP20756894 A JP 20756894A JP 3545461 B2 JP3545461 B2 JP 3545461B2
- Authority
- JP
- Japan
- Prior art keywords
- ring
- indol
- chloro
- benzenesulfonamide
- group
- Prior art date
- Legal status (The legal status is an assumption and is not a legal conclusion. Google has not performed a legal analysis and makes no representation as to the accuracy of the status listed.)
- Expired - Fee Related
Links
- 229940124530 sulfonamide Drugs 0.000 title description 8
- 150000003456 sulfonamides Chemical class 0.000 title description 6
- 125000002618 bicyclic heterocycle group Chemical group 0.000 title description 3
- 150000001875 compounds Chemical class 0.000 claims description 203
- -1 p-toluenesulfonamido Chemical group 0.000 claims description 69
- 125000001424 substituent group Chemical group 0.000 claims description 36
- JUJWROOIHBZHMG-UHFFFAOYSA-N Pyridine Chemical group C1=CC=NC=C1 JUJWROOIHBZHMG-UHFFFAOYSA-N 0.000 claims description 28
- UHOVQNZJYSORNB-UHFFFAOYSA-N monobenzene Natural products C1=CC=CC=C1 UHOVQNZJYSORNB-UHFFFAOYSA-N 0.000 claims description 24
- 125000000217 alkyl group Chemical group 0.000 claims description 23
- 125000003277 amino group Chemical group 0.000 claims description 22
- 125000002887 hydroxy group Chemical group [H]O* 0.000 claims description 17
- 150000003839 salts Chemical class 0.000 claims description 17
- 238000000034 method Methods 0.000 claims description 15
- UMJSCPRVCHMLSP-UHFFFAOYSA-N pyridine Chemical group COC1=CC=CN=C1 UMJSCPRVCHMLSP-UHFFFAOYSA-N 0.000 claims description 14
- 125000004433 nitrogen atom Chemical group N* 0.000 claims description 13
- 230000009467 reduction Effects 0.000 claims description 11
- KHBQMWCZKVMBLN-UHFFFAOYSA-N Benzenesulfonamide Chemical compound NS(=O)(=O)C1=CC=CC=C1 KHBQMWCZKVMBLN-UHFFFAOYSA-N 0.000 claims description 10
- RAXXELZNTBOGNW-UHFFFAOYSA-N imidazole Natural products C1=CNC=N1 RAXXELZNTBOGNW-UHFFFAOYSA-N 0.000 claims description 10
- 125000004435 hydrogen atom Chemical group [H]* 0.000 claims description 9
- 229910052757 nitrogen Inorganic materials 0.000 claims description 9
- KAESVJOAVNADME-UHFFFAOYSA-N Pyrrole Chemical compound C=1C=CNC=1 KAESVJOAVNADME-UHFFFAOYSA-N 0.000 claims description 8
- 125000003118 aryl group Chemical group 0.000 claims description 8
- 125000004432 carbon atom Chemical group C* 0.000 claims description 7
- 125000005843 halogen group Chemical group 0.000 claims description 7
- 125000000623 heterocyclic group Chemical group 0.000 claims description 7
- 125000002496 methyl group Chemical group [H]C([H])([H])* 0.000 claims description 7
- HFFXLYHRNRKAPM-UHFFFAOYSA-N 2,4,5-trichloro-n-(5-methyl-1,2-oxazol-3-yl)benzenesulfonamide Chemical compound O1C(C)=CC(NS(=O)(=O)C=2C(=CC(Cl)=C(Cl)C=2)Cl)=N1 HFFXLYHRNRKAPM-UHFFFAOYSA-N 0.000 claims description 6
- 125000004093 cyano group Chemical group *C#N 0.000 claims description 6
- 150000002460 imidazoles Chemical class 0.000 claims description 6
- 125000002950 monocyclic group Chemical group 0.000 claims description 6
- YXFVVABEGXRONW-UHFFFAOYSA-N Toluene Chemical compound CC1=CC=CC=C1 YXFVVABEGXRONW-UHFFFAOYSA-N 0.000 claims description 5
- 229910052799 carbon Inorganic materials 0.000 claims description 5
- 239000004480 active ingredient Substances 0.000 claims description 4
- 239000002246 antineoplastic agent Substances 0.000 claims description 4
- 125000002619 bicyclic group Chemical group 0.000 claims description 4
- 125000004122 cyclic group Chemical group 0.000 claims description 4
- 239000012024 dehydrating agents Substances 0.000 claims description 4
- 125000005842 heteroatom Chemical group 0.000 claims description 4
- FZERHIULMFGESH-UHFFFAOYSA-N methylenecarboxanilide Natural products CC(=O)NC1=CC=CC=C1 FZERHIULMFGESH-UHFFFAOYSA-N 0.000 claims description 4
- 229930195735 unsaturated hydrocarbon Natural products 0.000 claims description 4
- FKUGFYRLNTYRQK-UHFFFAOYSA-N 3-chloro-n-(3-cyano-1h-indol-7-yl)benzenesulfonamide Chemical compound ClC1=CC=CC(S(=O)(=O)NC=2C=3NC=C(C=3C=CC=2)C#N)=C1 FKUGFYRLNTYRQK-UHFFFAOYSA-N 0.000 claims description 3
- WRDMHPSIVRXFTD-UHFFFAOYSA-N 3-cyano-n-(3-cyano-1h-indol-7-yl)benzenesulfonamide Chemical compound C=1C=CC=2C(C#N)=CNC=2C=1NS(=O)(=O)C1=CC=CC(C#N)=C1 WRDMHPSIVRXFTD-UHFFFAOYSA-N 0.000 claims description 3
- MDGRFSLIRPEZJZ-UHFFFAOYSA-N 4-[(3-chloro-1h-indol-7-yl)sulfamoyl]benzenecarbothioamide Chemical compound C1=CC(C(=S)N)=CC=C1S(=O)(=O)NC1=CC=CC2=C1NC=C2Cl MDGRFSLIRPEZJZ-UHFFFAOYSA-N 0.000 claims description 3
- BBZBFSPWJFJXHM-UHFFFAOYSA-N 4-amino-n-(3-chloro-1h-indol-7-yl)benzenesulfonamide Chemical compound C1=CC(N)=CC=C1S(=O)(=O)NC1=CC=CC2=C1NC=C2Cl BBZBFSPWJFJXHM-UHFFFAOYSA-N 0.000 claims description 3
- BRHGXWLSYBXUHW-UHFFFAOYSA-N 4-cyano-n-(3-cyano-1h-indol-7-yl)benzenesulfonamide Chemical compound C=1C=CC=2C(C#N)=CNC=2C=1NS(=O)(=O)C1=CC=C(C#N)C=C1 BRHGXWLSYBXUHW-UHFFFAOYSA-N 0.000 claims description 3
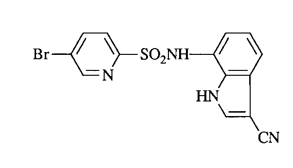
- VTAPKMGIUDYUJR-UHFFFAOYSA-N 5-bromo-n-(3-cyano-1h-indol-7-yl)pyridine-2-sulfonamide Chemical compound N1=CC(Br)=CC=C1S(=O)(=O)NC1=CC=CC2=C1NC=C2C#N VTAPKMGIUDYUJR-UHFFFAOYSA-N 0.000 claims description 3
- VECXRJVRQUZNTE-UHFFFAOYSA-N 6-amino-n-(3-chloro-1h-indol-7-yl)pyridine-3-sulfonamide Chemical compound C1=NC(N)=CC=C1S(=O)(=O)NC1=CC=CC2=C1NC=C2Cl VECXRJVRQUZNTE-UHFFFAOYSA-N 0.000 claims description 3
- NRODUBOCYDXPLP-UHFFFAOYSA-N 6-amino-n-(3-cyano-1h-indol-7-yl)pyridine-3-sulfonamide Chemical compound C1=NC(N)=CC=C1S(=O)(=O)NC1=CC=CC2=C1NC=C2C#N NRODUBOCYDXPLP-UHFFFAOYSA-N 0.000 claims description 3
- HQXCSJDHYFBWPO-UHFFFAOYSA-N 6-chloro-n-(3-chloro-1h-indol-7-yl)pyridine-3-sulfonamide Chemical compound C1=CC=C2C(Cl)=CNC2=C1NS(=O)(=O)C1=CC=C(Cl)N=C1 HQXCSJDHYFBWPO-UHFFFAOYSA-N 0.000 claims description 3
- 230000018044 dehydration Effects 0.000 claims description 3
- 238000006297 dehydration reaction Methods 0.000 claims description 3
- SETFNECMODOHTO-UHFFFAOYSA-N indisulam Chemical compound C1=CC(S(=O)(=O)N)=CC=C1S(=O)(=O)NC1=CC=CC2=C1NC=C2Cl SETFNECMODOHTO-UHFFFAOYSA-N 0.000 claims description 3
- RKYNQKLZJCOVHB-UHFFFAOYSA-N n-(3,4-dichloro-1h-indol-7-yl)-4-(sulfamoylmethyl)benzenesulfonamide Chemical compound C1=CC(CS(=O)(=O)N)=CC=C1S(=O)(=O)NC1=CC=C(Cl)C2=C1NC=C2Cl RKYNQKLZJCOVHB-UHFFFAOYSA-N 0.000 claims description 3
- BQBHTAWFUQEBBR-UHFFFAOYSA-N n-(3-chloro-1h-indol-7-yl)-4-(methylsulfonylmethyl)benzenesulfonamide Chemical compound C1=CC(CS(=O)(=O)C)=CC=C1S(=O)(=O)NC1=CC=CC2=C1NC=C2Cl BQBHTAWFUQEBBR-UHFFFAOYSA-N 0.000 claims description 3
- VPXMSBPYKDFOJC-UHFFFAOYSA-N n-(3-chloro-1h-indol-7-yl)-4-(sulfamoylmethyl)benzenesulfonamide Chemical compound C1=CC(CS(=O)(=O)N)=CC=C1S(=O)(=O)NC1=CC=CC2=C1NC=C2Cl VPXMSBPYKDFOJC-UHFFFAOYSA-N 0.000 claims description 3
- COBDXGBQVCECOC-UHFFFAOYSA-N n-(3-chloro-1h-indol-7-yl)-4-[2-(methanesulfonamido)ethyl]benzenesulfonamide Chemical compound C1=CC(CCNS(=O)(=O)C)=CC=C1S(=O)(=O)NC1=CC=CC2=C1NC=C2Cl COBDXGBQVCECOC-UHFFFAOYSA-N 0.000 claims description 3
- XIRQTZRAGLZGMD-UHFFFAOYSA-N n-(3-chloro-1h-indol-7-yl)-4-cyanobenzenesulfonamide Chemical compound C1=CC=C2C(Cl)=CNC2=C1NS(=O)(=O)C1=CC=C(C#N)C=C1 XIRQTZRAGLZGMD-UHFFFAOYSA-N 0.000 claims description 3
- OISBNQKYPYOVAC-UHFFFAOYSA-N n-(3-chloro-1h-indol-7-yl)-6-(cyclopropylamino)pyridine-3-sulfonamide Chemical compound C1=CC=C2C(Cl)=CNC2=C1NS(=O)(=O)C(C=N1)=CC=C1NC1CC1 OISBNQKYPYOVAC-UHFFFAOYSA-N 0.000 claims description 3
- LXOPHQWEGNSOPB-UHFFFAOYSA-N n-(3-chloro-1h-indol-7-yl)-6-[2-(dimethylamino)ethylamino]pyridine-3-sulfonamide Chemical compound C1=NC(NCCN(C)C)=CC=C1S(=O)(=O)NC1=CC=CC2=C1NC=C2Cl LXOPHQWEGNSOPB-UHFFFAOYSA-N 0.000 claims description 3
- GQOZGOHDAGTYNG-UHFFFAOYSA-N n-(3-chloro-1h-indol-7-yl)-6-oxo-1h-pyridine-3-sulfonamide Chemical compound C1=NC(O)=CC=C1S(=O)(=O)NC1=CC=CC2=C1NC=C2Cl GQOZGOHDAGTYNG-UHFFFAOYSA-N 0.000 claims description 3
- 239000012038 nucleophile Substances 0.000 claims description 3
- 125000003396 thiol group Chemical group [H]S* 0.000 claims description 3
- PAYRUJLWNCNPSJ-UHFFFAOYSA-N Aniline Chemical group NC1=CC=CC=C1 PAYRUJLWNCNPSJ-UHFFFAOYSA-N 0.000 claims description 2
- 150000001555 benzenes Chemical class 0.000 claims description 2
- 239000003638 chemical reducing agent Substances 0.000 claims description 2
- 125000002883 imidazolyl group Chemical group 0.000 claims description 2
- UZKWTJUDCOPSNM-UHFFFAOYSA-N methoxybenzene Substances CCCCOC=C UZKWTJUDCOPSNM-UHFFFAOYSA-N 0.000 claims description 2
- RDOXTESZEPMUJZ-WBJZHHNVSA-N methoxybenzene Chemical group CO[13C]1=[13CH][13CH]=[13CH][13CH]=[13CH]1 RDOXTESZEPMUJZ-WBJZHHNVSA-N 0.000 claims description 2
- RDOXTESZEPMUJZ-UHFFFAOYSA-N methyl phenyl ether Natural products COC1=CC=CC=C1 RDOXTESZEPMUJZ-UHFFFAOYSA-N 0.000 claims description 2
- 125000006239 protecting group Chemical group 0.000 claims 9
- DUFMWFSCWNYXGN-UHFFFAOYSA-N 2-n-(3-chloro-1h-indol-7-yl)pyridine-2,5-disulfonamide Chemical compound N1=CC(S(=O)(=O)N)=CC=C1S(=O)(=O)NC1=CC=CC2=C1NC=C2Cl DUFMWFSCWNYXGN-UHFFFAOYSA-N 0.000 claims 1
- AGOZRYFXJPSNFK-UHFFFAOYSA-N 4-n-(3,4-dichloro-1h-indol-7-yl)benzene-1,4-disulfonamide Chemical compound C1=CC(S(=O)(=O)N)=CC=C1S(=O)(=O)NC1=CC=C(Cl)C2=C1NC=C2Cl AGOZRYFXJPSNFK-UHFFFAOYSA-N 0.000 claims 1
- APPREUCPCKSIHB-UHFFFAOYSA-N n-(3-chloro-1h-indol-7-yl)-1-methylimidazole-4-sulfonamide Chemical compound CN1C=NC(S(=O)(=O)NC=2C=3NC=C(Cl)C=3C=CC=2)=C1 APPREUCPCKSIHB-UHFFFAOYSA-N 0.000 claims 1
- PJZNKHQOABLVTK-UHFFFAOYSA-N n-(3-chloro-1h-indol-7-yl)-4-(methanesulfonamido)benzenesulfonamide Chemical compound C1=CC(NS(=O)(=O)C)=CC=C1S(=O)(=O)NC1=CC=CC2=C1NC=C2Cl PJZNKHQOABLVTK-UHFFFAOYSA-N 0.000 claims 1
- MOTBFVGWZLJQKN-UHFFFAOYSA-N n-(3-chloro-1h-indol-7-yl)-4-hydroxybenzenesulfonamide Chemical compound C1=CC(O)=CC=C1S(=O)(=O)NC1=CC=CC2=C1NC=C2Cl MOTBFVGWZLJQKN-UHFFFAOYSA-N 0.000 claims 1
- PTHIMQOBHBLQMM-UHFFFAOYSA-N n-(3-chloro-1h-indol-7-yl)-5-(sulfamoylmethyl)pyridine-2-sulfonamide Chemical compound N1=CC(CS(=O)(=O)N)=CC=C1S(=O)(=O)NC1=CC=CC2=C1NC=C2Cl PTHIMQOBHBLQMM-UHFFFAOYSA-N 0.000 claims 1
- GNVQTFZHLAEGDY-UHFFFAOYSA-N n-[5-[(3-chloro-1h-indol-7-yl)sulfamoyl]pyridin-2-yl]acetamide Chemical compound C1=NC(NC(=O)C)=CC=C1S(=O)(=O)NC1=CC=CC2=C1NC=C2Cl GNVQTFZHLAEGDY-UHFFFAOYSA-N 0.000 claims 1
- 125000001997 phenyl group Chemical group [H]C1=C([H])C([H])=C(*)C([H])=C1[H] 0.000 claims 1
- 150000003217 pyrazoles Chemical class 0.000 claims 1
- 238000005160 1H NMR spectroscopy Methods 0.000 description 94
- XEKOWRVHYACXOJ-UHFFFAOYSA-N Ethyl acetate Chemical compound CCOC(C)=O XEKOWRVHYACXOJ-UHFFFAOYSA-N 0.000 description 78
- CSNNHWWHGAXBCP-UHFFFAOYSA-L Magnesium sulfate Chemical compound [Mg+2].[O-][S+2]([O-])([O-])[O-] CSNNHWWHGAXBCP-UHFFFAOYSA-L 0.000 description 62
- 239000000203 mixture Substances 0.000 description 42
- ZMXDDKWLCZADIW-UHFFFAOYSA-N N,N-Dimethylformamide Chemical compound CN(C)C=O ZMXDDKWLCZADIW-UHFFFAOYSA-N 0.000 description 39
- 238000004519 manufacturing process Methods 0.000 description 38
- 238000002844 melting Methods 0.000 description 37
- 230000008018 melting Effects 0.000 description 37
- XLYOFNOQVPJJNP-UHFFFAOYSA-N water Substances O XLYOFNOQVPJJNP-UHFFFAOYSA-N 0.000 description 36
- 229910052943 magnesium sulfate Inorganic materials 0.000 description 31
- 235000019341 magnesium sulphate Nutrition 0.000 description 31
- WYURNTSHIVDZCO-UHFFFAOYSA-N Tetrahydrofuran Chemical compound C1CCOC1 WYURNTSHIVDZCO-UHFFFAOYSA-N 0.000 description 30
- 239000000243 solution Substances 0.000 description 30
- 238000003756 stirring Methods 0.000 description 29
- LFQSCWFLJHTTHZ-UHFFFAOYSA-N Ethanol Chemical group CCO LFQSCWFLJHTTHZ-UHFFFAOYSA-N 0.000 description 28
- OKKJLVBELUTLKV-UHFFFAOYSA-N Methanol Chemical compound OC OKKJLVBELUTLKV-UHFFFAOYSA-N 0.000 description 27
- VEXZGXHMUGYJMC-UHFFFAOYSA-N Hydrochloric acid Chemical compound Cl VEXZGXHMUGYJMC-UHFFFAOYSA-N 0.000 description 26
- UIIMBOGNXHQVGW-UHFFFAOYSA-M Sodium bicarbonate Chemical compound [Na+].OC([O-])=O UIIMBOGNXHQVGW-UHFFFAOYSA-M 0.000 description 26
- 238000006243 chemical reaction Methods 0.000 description 25
- 238000001914 filtration Methods 0.000 description 24
- 238000010898 silica gel chromatography Methods 0.000 description 23
- GCFHZZWXZLABBL-UHFFFAOYSA-N ethanol;hexane Chemical compound CCO.CCCCCC GCFHZZWXZLABBL-UHFFFAOYSA-N 0.000 description 22
- 239000002904 solvent Substances 0.000 description 22
- YMWUJEATGCHHMB-UHFFFAOYSA-N Dichloromethane Chemical compound ClCCl YMWUJEATGCHHMB-UHFFFAOYSA-N 0.000 description 18
- HEMHJVSKTPXQMS-UHFFFAOYSA-M Sodium hydroxide Chemical compound [OH-].[Na+] HEMHJVSKTPXQMS-UHFFFAOYSA-M 0.000 description 18
- QTBSBXVTEAMEQO-UHFFFAOYSA-N Acetic acid Chemical compound CC(O)=O QTBSBXVTEAMEQO-UHFFFAOYSA-N 0.000 description 17
- YLQBMQCUIZJEEH-UHFFFAOYSA-N Furan Chemical compound C=1C=COC=1 YLQBMQCUIZJEEH-UHFFFAOYSA-N 0.000 description 17
- 229920006395 saturated elastomer Polymers 0.000 description 16
- IAZDPXIOMUYVGZ-UHFFFAOYSA-N Dimethylsulphoxide Chemical compound CS(C)=O IAZDPXIOMUYVGZ-UHFFFAOYSA-N 0.000 description 14
- 235000017557 sodium bicarbonate Nutrition 0.000 description 13
- 229910000030 sodium bicarbonate Inorganic materials 0.000 description 13
- 0 C*c1c[n]c2c1cccc2N Chemical compound C*c1c[n]c2c1cccc2N 0.000 description 11
- VYPSYNLAJGMNEJ-UHFFFAOYSA-N Silicium dioxide Chemical compound O=[Si]=O VYPSYNLAJGMNEJ-UHFFFAOYSA-N 0.000 description 11
- WEVYAHXRMPXWCK-UHFFFAOYSA-N Acetonitrile Chemical compound CC#N WEVYAHXRMPXWCK-UHFFFAOYSA-N 0.000 description 10
- RTZKZFJDLAIYFH-UHFFFAOYSA-N Diethyl ether Chemical compound CCOCC RTZKZFJDLAIYFH-UHFFFAOYSA-N 0.000 description 10
- 206010028980 Neoplasm Diseases 0.000 description 10
- 230000000259 anti-tumor effect Effects 0.000 description 10
- 238000000354 decomposition reaction Methods 0.000 description 10
- 239000012044 organic layer Substances 0.000 description 10
- 238000002360 preparation method Methods 0.000 description 10
- 238000006722 reduction reaction Methods 0.000 description 10
- 239000007858 starting material Substances 0.000 description 10
- ZMANZCXQSJIPKH-UHFFFAOYSA-N Triethylamine Chemical compound CCN(CC)CC ZMANZCXQSJIPKH-UHFFFAOYSA-N 0.000 description 9
- 238000010531 catalytic reduction reaction Methods 0.000 description 9
- OAYLNYINCPYISS-UHFFFAOYSA-N ethyl acetate;hexane Chemical compound CCCCCC.CCOC(C)=O OAYLNYINCPYISS-UHFFFAOYSA-N 0.000 description 9
- JRNVZBWKYDBUCA-UHFFFAOYSA-N N-chlorosuccinimide Chemical compound ClN1C(=O)CCC1=O JRNVZBWKYDBUCA-UHFFFAOYSA-N 0.000 description 8
- 125000003545 alkoxy group Chemical group 0.000 description 8
- 239000003054 catalyst Substances 0.000 description 8
- 239000002244 precipitate Substances 0.000 description 8
- 238000012360 testing method Methods 0.000 description 8
- 238000001816 cooling Methods 0.000 description 7
- 239000000706 filtrate Substances 0.000 description 7
- 239000000741 silica gel Substances 0.000 description 7
- 229910002027 silica gel Inorganic materials 0.000 description 7
- RAHZWNYVWXNFOC-UHFFFAOYSA-N sulfur dioxide Inorganic materials O=S=O RAHZWNYVWXNFOC-UHFFFAOYSA-N 0.000 description 7
- 238000004809 thin layer chromatography Methods 0.000 description 7
- HZNVUJQVZSTENZ-UHFFFAOYSA-N 2,3-dichloro-5,6-dicyano-1,4-benzoquinone Chemical compound ClC1=C(Cl)C(=O)C(C#N)=C(C#N)C1=O HZNVUJQVZSTENZ-UHFFFAOYSA-N 0.000 description 6
- HEDRZPFGACZZDS-UHFFFAOYSA-N Chloroform Chemical compound ClC(Cl)Cl HEDRZPFGACZZDS-UHFFFAOYSA-N 0.000 description 6
- CDBYLPFSWZWCQE-UHFFFAOYSA-L Sodium Carbonate Chemical compound [Na+].[Na+].[O-]C([O-])=O CDBYLPFSWZWCQE-UHFFFAOYSA-L 0.000 description 6
- 229960000583 acetic acid Drugs 0.000 description 6
- 239000003513 alkali Substances 0.000 description 6
- 239000007864 aqueous solution Substances 0.000 description 6
- KRKNYBCHXYNGOX-UHFFFAOYSA-N citric acid Chemical compound OC(=O)CC(O)(C(O)=O)CC(O)=O KRKNYBCHXYNGOX-UHFFFAOYSA-N 0.000 description 6
- 239000013078 crystal Substances 0.000 description 6
- 238000010438 heat treatment Methods 0.000 description 6
- UKVIEHSSVKSQBA-UHFFFAOYSA-N methane;palladium Chemical compound C.[Pd] UKVIEHSSVKSQBA-UHFFFAOYSA-N 0.000 description 6
- 239000012299 nitrogen atmosphere Substances 0.000 description 6
- XHXFXVLFKHQFAL-UHFFFAOYSA-N phosphoryl trichloride Chemical compound ClP(Cl)(Cl)=O XHXFXVLFKHQFAL-UHFFFAOYSA-N 0.000 description 6
- 235000010482 polyoxyethylene sorbitan monooleate Nutrition 0.000 description 6
- 229920000053 polysorbate 80 Polymers 0.000 description 6
- 239000000843 powder Substances 0.000 description 6
- 239000000047 product Substances 0.000 description 6
- JPJALAQPGMAKDF-UHFFFAOYSA-N selenium dioxide Chemical compound O=[Se]=O JPJALAQPGMAKDF-UHFFFAOYSA-N 0.000 description 6
- LPXPTNMVRIOKMN-UHFFFAOYSA-M sodium nitrite Chemical compound [Na+].[O-]N=O LPXPTNMVRIOKMN-UHFFFAOYSA-M 0.000 description 6
- MHAJPDPJQMAIIY-UHFFFAOYSA-N Hydrogen peroxide Chemical compound OO MHAJPDPJQMAIIY-UHFFFAOYSA-N 0.000 description 5
- FAPWRFPIFSIZLT-UHFFFAOYSA-M Sodium chloride Chemical class [Na+].[Cl-] FAPWRFPIFSIZLT-UHFFFAOYSA-M 0.000 description 5
- 238000010306 acid treatment Methods 0.000 description 5
- 238000010511 deprotection reaction Methods 0.000 description 5
- 239000003814 drug Substances 0.000 description 5
- 238000001035 drying Methods 0.000 description 5
- 239000005457 ice water Substances 0.000 description 5
- 239000011541 reaction mixture Substances 0.000 description 5
- 238000010992 reflux Methods 0.000 description 5
- RYHBNJHYFVUHQT-UHFFFAOYSA-N 1,4-Dioxane Chemical compound C1COCCO1 RYHBNJHYFVUHQT-UHFFFAOYSA-N 0.000 description 4
- NLXLAEXVIDQMFP-UHFFFAOYSA-N Ammonia chloride Chemical compound [NH4+].[Cl-] NLXLAEXVIDQMFP-UHFFFAOYSA-N 0.000 description 4
- CURLTUGMZLYLDI-UHFFFAOYSA-N Carbon dioxide Chemical compound O=C=O CURLTUGMZLYLDI-UHFFFAOYSA-N 0.000 description 4
- WTDHULULXKLSOZ-UHFFFAOYSA-N Hydroxylamine hydrochloride Chemical compound Cl.ON WTDHULULXKLSOZ-UHFFFAOYSA-N 0.000 description 4
- 241001465754 Metazoa Species 0.000 description 4
- HEDRZPFGACZZDS-MICDWDOJSA-N Trichloro(2H)methane Chemical compound [2H]C(Cl)(Cl)Cl HEDRZPFGACZZDS-MICDWDOJSA-N 0.000 description 4
- 239000002253 acid Substances 0.000 description 4
- 239000003795 chemical substances by application Substances 0.000 description 4
- ORTQZVOHEJQUHG-UHFFFAOYSA-L copper(II) chloride Chemical compound Cl[Cu]Cl ORTQZVOHEJQUHG-UHFFFAOYSA-L 0.000 description 4
- 125000001495 ethyl group Chemical group [H]C([H])([H])C([H])([H])* 0.000 description 4
- 125000000449 nitro group Chemical group [O-][N+](*)=O 0.000 description 4
- 239000002504 physiological saline solution Substances 0.000 description 4
- HPALAKNZSZLMCH-UHFFFAOYSA-M sodium;chloride;hydrate Chemical class O.[Na+].[Cl-] HPALAKNZSZLMCH-UHFFFAOYSA-M 0.000 description 4
- 150000003460 sulfonic acids Chemical class 0.000 description 4
- VZGDMQKNWNREIO-UHFFFAOYSA-N tetrachloromethane Chemical compound ClC(Cl)(Cl)Cl VZGDMQKNWNREIO-UHFFFAOYSA-N 0.000 description 4
- WTFWZOSMUGZKNZ-UHFFFAOYSA-N 1H-indol-7-amine Chemical compound NC1=CC=CC2=C1NC=C2 WTFWZOSMUGZKNZ-UHFFFAOYSA-N 0.000 description 3
- RDSVSEFWZUWZHW-UHFFFAOYSA-N 7-bromo-1h-indole Chemical compound BrC1=CC=CC2=C1NC=C2 RDSVSEFWZUWZHW-UHFFFAOYSA-N 0.000 description 3
- FKXLWNFFDVCTEE-UHFFFAOYSA-N 7-nitro-1h-indole-3-carbonitrile Chemical compound [O-][N+](=O)C1=CC=CC2=C1NC=C2C#N FKXLWNFFDVCTEE-UHFFFAOYSA-N 0.000 description 3
- WFDIJRYMOXRFFG-UHFFFAOYSA-N Acetic anhydride Chemical compound CC(=O)OC(C)=O WFDIJRYMOXRFFG-UHFFFAOYSA-N 0.000 description 3
- CSCPPACGZOOCGX-UHFFFAOYSA-N Acetone Chemical compound CC(C)=O CSCPPACGZOOCGX-UHFFFAOYSA-N 0.000 description 3
- 206010009944 Colon cancer Diseases 0.000 description 3
- KFZMGEQAYNKOFK-UHFFFAOYSA-N Isopropanol Chemical compound CC(C)O KFZMGEQAYNKOFK-UHFFFAOYSA-N 0.000 description 3
- 241000699666 Mus <mouse, genus> Species 0.000 description 3
- 239000012980 RPMI-1640 medium Substances 0.000 description 3
- HCHKCACWOHOZIP-UHFFFAOYSA-N Zinc Chemical compound [Zn] HCHKCACWOHOZIP-UHFFFAOYSA-N 0.000 description 3
- 238000002835 absorbance Methods 0.000 description 3
- 239000002585 base Substances 0.000 description 3
- XSCHRSMBECNVNS-UHFFFAOYSA-N benzopyrazine Natural products N1=CC=NC2=CC=CC=C21 XSCHRSMBECNVNS-UHFFFAOYSA-N 0.000 description 3
- 239000011575 calcium Substances 0.000 description 3
- 208000029742 colonic neoplasm Diseases 0.000 description 3
- MKRTXPORKIRPDG-UHFFFAOYSA-N diphenylphosphoryl azide Chemical compound C=1C=CC=CC=1P(=O)(N=[N+]=[N-])C1=CC=CC=C1 MKRTXPORKIRPDG-UHFFFAOYSA-N 0.000 description 3
- 229940079593 drug Drugs 0.000 description 3
- 238000002474 experimental method Methods 0.000 description 3
- 239000008187 granular material Substances 0.000 description 3
- 230000002140 halogenating effect Effects 0.000 description 3
- 230000005764 inhibitory process Effects 0.000 description 3
- 125000001449 isopropyl group Chemical group [H]C([H])([H])C([H])(*)C([H])([H])[H] 0.000 description 3
- VLKZOEOYAKHREP-UHFFFAOYSA-N n-Hexane Chemical compound CCCCCC VLKZOEOYAKHREP-UHFFFAOYSA-N 0.000 description 3
- MUMZUERVLWJKNR-UHFFFAOYSA-N oxoplatinum Chemical compound [Pt]=O MUMZUERVLWJKNR-UHFFFAOYSA-N 0.000 description 3
- 229910003446 platinum oxide Inorganic materials 0.000 description 3
- 229910000029 sodium carbonate Inorganic materials 0.000 description 3
- 235000010288 sodium nitrite Nutrition 0.000 description 3
- 239000000758 substrate Substances 0.000 description 3
- 150000003461 sulfonyl halides Chemical class 0.000 description 3
- 230000002194 synthesizing effect Effects 0.000 description 3
- FHLFNQZCQWYKLZ-UHFFFAOYSA-N 1-(7-amino-1h-indol-3-yl)ethanone Chemical compound C1=CC=C2C(C(=O)C)=CNC2=C1N FHLFNQZCQWYKLZ-UHFFFAOYSA-N 0.000 description 2
- FCEHBMOGCRZNNI-UHFFFAOYSA-N 1-benzothiophene Chemical compound C1=CC=C2SC=CC2=C1 FCEHBMOGCRZNNI-UHFFFAOYSA-N 0.000 description 2
- ORPVVAKYSXQCJI-UHFFFAOYSA-N 1-bromo-2-nitrobenzene Chemical compound [O-][N+](=O)C1=CC=CC=C1Br ORPVVAKYSXQCJI-UHFFFAOYSA-N 0.000 description 2
- BAXOFTOLAUCFNW-UHFFFAOYSA-N 1H-indazole Chemical compound C1=CC=C2C=NNC2=C1 BAXOFTOLAUCFNW-UHFFFAOYSA-N 0.000 description 2
- HZAXFHJVJLSVMW-UHFFFAOYSA-N 2-Aminoethan-1-ol Chemical compound NCCO HZAXFHJVJLSVMW-UHFFFAOYSA-N 0.000 description 2
- IHGSEJPANCPDSO-UHFFFAOYSA-N 3,4-dichloro-1h-indol-7-amine Chemical compound NC1=CC=C(Cl)C2=C1NC=C2Cl IHGSEJPANCPDSO-UHFFFAOYSA-N 0.000 description 2
- SLBNABPPSZSXHN-UHFFFAOYSA-N 3-chloro-1h-indol-7-amine Chemical compound NC1=CC=CC2=C1NC=C2Cl SLBNABPPSZSXHN-UHFFFAOYSA-N 0.000 description 2
- XQRRGNOAIAQELB-UHFFFAOYSA-N 3-chloro-4-methyl-1h-indol-7-amine Chemical compound CC1=CC=C(N)C2=C1C(Cl)=CN2 XQRRGNOAIAQELB-UHFFFAOYSA-N 0.000 description 2
- QDGYVAQMPDTWIE-UHFFFAOYSA-N 3-chloro-7-nitro-1h-indole Chemical compound [O-][N+](=O)C1=CC=CC2=C1NC=C2Cl QDGYVAQMPDTWIE-UHFFFAOYSA-N 0.000 description 2
- DQMBXENMHKREDG-UHFFFAOYSA-N 3-chloro-n-(1h-indol-7-yl)benzenesulfonamide Chemical compound ClC1=CC=CC(S(=O)(=O)NC=2C=3NC=CC=3C=CC=2)=C1 DQMBXENMHKREDG-UHFFFAOYSA-N 0.000 description 2
- MOUQNDYBGGKTEH-UHFFFAOYSA-N 3-chloro-n-(3-chloro-1h-indol-7-yl)-n-methylbenzenesulfonamide Chemical compound C=1C=CC=2C(Cl)=CNC=2C=1N(C)S(=O)(=O)C1=CC=CC(Cl)=C1 MOUQNDYBGGKTEH-UHFFFAOYSA-N 0.000 description 2
- HJNIBPHXGBATRH-UHFFFAOYSA-N 3-chloro-n-(3-chloro-1h-indol-7-yl)benzenesulfonamide Chemical compound C1=CC=C2C(Cl)=CNC2=C1NS(=O)(=O)C1=CC=CC(Cl)=C1 HJNIBPHXGBATRH-UHFFFAOYSA-N 0.000 description 2
- AVAQDONADVROAW-UHFFFAOYSA-N 3-chloro-n-(3-chloro-1h-pyrrolo[3,2-c]pyridin-7-yl)benzenesulfonamide Chemical compound C1=NC=C2C(Cl)=CNC2=C1NS(=O)(=O)C1=CC=CC(Cl)=C1 AVAQDONADVROAW-UHFFFAOYSA-N 0.000 description 2
- YHAYNTYATAOVGR-UHFFFAOYSA-N 3-chloro-n-(3-chloro-4-hydroxy-1h-indol-7-yl)benzenesulfonamide Chemical compound C1=2NC=C(Cl)C=2C(O)=CC=C1NS(=O)(=O)C1=CC=CC(Cl)=C1 YHAYNTYATAOVGR-UHFFFAOYSA-N 0.000 description 2
- KQUKLIUYIPNQNW-UHFFFAOYSA-N 3-chloro-n-(3-chloro-4-methoxy-1h-indol-7-yl)benzenesulfonamide Chemical compound C1=2NC=C(Cl)C=2C(OC)=CC=C1NS(=O)(=O)C1=CC=CC(Cl)=C1 KQUKLIUYIPNQNW-UHFFFAOYSA-N 0.000 description 2
- CKOWXMOWRYVNOQ-UHFFFAOYSA-N 3-chloro-n-(3-cyano-1h-indol-7-yl)-2-methylbenzenesulfonamide Chemical compound CC1=C(Cl)C=CC=C1S(=O)(=O)NC1=CC=CC2=C1NC=C2C#N CKOWXMOWRYVNOQ-UHFFFAOYSA-N 0.000 description 2
- UGHVESNNSAOKOP-UHFFFAOYSA-N 3-chloro-n-(3-formyl-1h-indol-7-yl)benzenesulfonamide Chemical compound ClC1=CC=CC(S(=O)(=O)NC=2C=3NC=C(C=O)C=3C=CC=2)=C1 UGHVESNNSAOKOP-UHFFFAOYSA-N 0.000 description 2
- WAZNWICQSMQXIE-UHFFFAOYSA-N 4-(1h-indol-7-ylsulfamoyl)benzoic acid Chemical compound C1=CC(C(=O)O)=CC=C1S(=O)(=O)NC1=CC=CC2=C1NC=C2 WAZNWICQSMQXIE-UHFFFAOYSA-N 0.000 description 2
- YTJKDJJIGHRQFD-UHFFFAOYSA-N 4-(2-sulfamoylethyl)benzenesulfonyl chloride Chemical compound NS(=O)(=O)CCC1=CC=C(S(Cl)(=O)=O)C=C1 YTJKDJJIGHRQFD-UHFFFAOYSA-N 0.000 description 2
- HNFOIYGGURMGPB-UHFFFAOYSA-N 4-(sulfamoylmethyl)benzenesulfonyl chloride Chemical compound NS(=O)(=O)CC1=CC=C(S(Cl)(=O)=O)C=C1 HNFOIYGGURMGPB-UHFFFAOYSA-N 0.000 description 2
- FJXBSNLZPGJSAT-UHFFFAOYSA-N 4-[acetyl(methyl)amino]benzenesulfonyl chloride Chemical compound CC(=O)N(C)C1=CC=C(S(Cl)(=O)=O)C=C1 FJXBSNLZPGJSAT-UHFFFAOYSA-N 0.000 description 2
- QTJBEBYEQUAMKO-UHFFFAOYSA-N 4-acetyl-n-(3-cyano-1h-indol-7-yl)benzenesulfonamide Chemical compound C1=CC(C(=O)C)=CC=C1S(=O)(=O)NC1=CC=CC2=C1NC=C2C#N QTJBEBYEQUAMKO-UHFFFAOYSA-N 0.000 description 2
- ZMWBQFUTRRAQPO-UHFFFAOYSA-N 4-amino-n-(3,4-dichloro-1h-indol-7-yl)benzenesulfonamide Chemical compound C1=CC(N)=CC=C1S(=O)(=O)NC1=CC=C(Cl)C2=C1NC=C2Cl ZMWBQFUTRRAQPO-UHFFFAOYSA-N 0.000 description 2
- RMLUYLSVKDNTTJ-UHFFFAOYSA-N 4-amino-n-(3-chloro-4-cyano-1h-indol-7-yl)benzenesulfonamide Chemical compound C1=CC(N)=CC=C1S(=O)(=O)NC1=CC=C(C#N)C2=C1NC=C2Cl RMLUYLSVKDNTTJ-UHFFFAOYSA-N 0.000 description 2
- QXHBHHFLIFIYTQ-UHFFFAOYSA-N 4-amino-n-(3-chloro-4-methyl-1h-indol-7-yl)benzenesulfonamide Chemical compound C1=2NC=C(Cl)C=2C(C)=CC=C1NS(=O)(=O)C1=CC=C(N)C=C1 QXHBHHFLIFIYTQ-UHFFFAOYSA-N 0.000 description 2
- LVGOWYQPFBXNBI-UHFFFAOYSA-N 4-amino-n-(5-bromo-3-cyano-1h-indol-7-yl)benzenesulfonamide Chemical compound C1=CC(N)=CC=C1S(=O)(=O)NC1=CC(Br)=CC2=C1NC=C2C#N LVGOWYQPFBXNBI-UHFFFAOYSA-N 0.000 description 2
- ROVAVIODDRJKFD-UHFFFAOYSA-N 4-bromo-1H-indol-7-amine 4-methoxy-1H-indol-7-amine Chemical compound NC=1C=CC(=C2C=CNC12)Br.NC=1C=CC(=C2C=CNC12)OC ROVAVIODDRJKFD-UHFFFAOYSA-N 0.000 description 2
- CFKMVGJGLGKFKI-UHFFFAOYSA-N 4-chloro-m-cresol Chemical compound CC1=CC(O)=CC=C1Cl CFKMVGJGLGKFKI-UHFFFAOYSA-N 0.000 description 2
- VRFZTPMRZURVKB-UHFFFAOYSA-N 4-methyl-n-(2-oxo-1,3-dihydroindol-7-yl)benzenesulfonamide Chemical compound C1=CC(C)=CC=C1S(=O)(=O)NC1=CC=CC2=C1NC(=O)C2 VRFZTPMRZURVKB-UHFFFAOYSA-N 0.000 description 2
- JXRGUPLJCCDGKG-UHFFFAOYSA-N 4-nitrobenzenesulfonyl chloride Chemical compound [O-][N+](=O)C1=CC=C(S(Cl)(=O)=O)C=C1 JXRGUPLJCCDGKG-UHFFFAOYSA-N 0.000 description 2
- LLFQHNCOIPUFIJ-UHFFFAOYSA-N 4-sulfamoylbenzenesulfonyl chloride Chemical compound NS(=O)(=O)C1=CC=C(S(Cl)(=O)=O)C=C1 LLFQHNCOIPUFIJ-UHFFFAOYSA-N 0.000 description 2
- WERRDKWLHFDNTO-UHFFFAOYSA-N 5-bromo-7-nitro-1h-indole Chemical compound [O-][N+](=O)C1=CC(Br)=CC2=C1NC=C2 WERRDKWLHFDNTO-UHFFFAOYSA-N 0.000 description 2
- ADWRARUXJCIQFR-UHFFFAOYSA-N 5-bromo-7-nitro-1h-indole-3-carbaldehyde Chemical compound [O-][N+](=O)C1=CC(Br)=CC2=C1NC=C2C=O ADWRARUXJCIQFR-UHFFFAOYSA-N 0.000 description 2
- BOBUOXYWEOETQL-UHFFFAOYSA-N 5-chloro-n-(3-cyano-1h-indol-7-yl)thiophene-2-sulfonamide Chemical compound S1C(Cl)=CC=C1S(=O)(=O)NC1=CC=CC2=C1NC=C2C#N BOBUOXYWEOETQL-UHFFFAOYSA-N 0.000 description 2
- YZJSJIQTQIEWOP-UHFFFAOYSA-N 6-chloro-n-(3-cyano-1h-indol-7-yl)pyridine-3-sulfonamide Chemical compound C1=NC(Cl)=CC=C1S(=O)(=O)NC1=CC=CC2=C1NC=C2C#N YZJSJIQTQIEWOP-UHFFFAOYSA-N 0.000 description 2
- KQDFKEMRXVEKKH-UHFFFAOYSA-N 7-amino-1h-indole-3-carbonitrile Chemical compound NC1=CC=CC2=C1NC=C2C#N KQDFKEMRXVEKKH-UHFFFAOYSA-N 0.000 description 2
- SKZBURNZPQJJRT-UHFFFAOYSA-N 7-amino-5-bromo-1h-indole-3-carbonitrile Chemical compound NC1=CC(Br)=CC2=C1NC=C2C#N SKZBURNZPQJJRT-UHFFFAOYSA-N 0.000 description 2
- DPGDVSOURZGNJW-UHFFFAOYSA-N 7-bromo-3-chloro-4-methyl-1h-indole Chemical compound CC1=CC=C(Br)C2=C1C(Cl)=CN2 DPGDVSOURZGNJW-UHFFFAOYSA-N 0.000 description 2
- LZJGQIVWUKFTRD-UHFFFAOYSA-N 7-nitro-1h-indole Chemical compound [O-][N+](=O)C1=CC=CC2=C1NC=C2 LZJGQIVWUKFTRD-UHFFFAOYSA-N 0.000 description 2
- ADGKBVRTGVODMM-UHFFFAOYSA-N 7-nitro-1h-indole-3-carbaldehyde Chemical compound [O-][N+](=O)C1=CC=CC2=C1NC=C2C=O ADGKBVRTGVODMM-UHFFFAOYSA-N 0.000 description 2
- 244000215068 Acacia senegal Species 0.000 description 2
- QGZKDVFQNNGYKY-UHFFFAOYSA-N Ammonia Chemical compound N QGZKDVFQNNGYKY-UHFFFAOYSA-N 0.000 description 2
- WKBOTKDWSSQWDR-UHFFFAOYSA-N Bromine atom Chemical group [Br] WKBOTKDWSSQWDR-UHFFFAOYSA-N 0.000 description 2
- AOJJSUZBOXZQNB-TZSSRYMLSA-N Doxorubicin Chemical class O([C@H]1C[C@@](O)(CC=2C(O)=C3C(=O)C=4C=CC=C(C=4C(=O)C3=C(O)C=21)OC)C(=O)CO)[C@H]1C[C@H](N)[C@H](O)[C@H](C)O1 AOJJSUZBOXZQNB-TZSSRYMLSA-N 0.000 description 2
- VZCYOOQTPOCHFL-OWOJBTEDSA-N Fumaric acid Chemical compound OC(=O)\C=C\C(O)=O VZCYOOQTPOCHFL-OWOJBTEDSA-N 0.000 description 2
- 229920000084 Gum arabic Polymers 0.000 description 2
- SIKJAQJRHWYJAI-UHFFFAOYSA-N Indole Chemical compound C1=CC=C2NC=CC2=C1 SIKJAQJRHWYJAI-UHFFFAOYSA-N 0.000 description 2
- XEEYBQQBJWHFJM-UHFFFAOYSA-N Iron Chemical compound [Fe] XEEYBQQBJWHFJM-UHFFFAOYSA-N 0.000 description 2
- AFVFQIVMOAPDHO-UHFFFAOYSA-N Methanesulfonic acid Chemical compound CS(O)(=O)=O AFVFQIVMOAPDHO-UHFFFAOYSA-N 0.000 description 2
- MZRVEZGGRBJDDB-UHFFFAOYSA-N N-Butyllithium Chemical compound [Li]CCCC MZRVEZGGRBJDDB-UHFFFAOYSA-N 0.000 description 2
- PCLIMKBDDGJMGD-UHFFFAOYSA-N N-bromosuccinimide Chemical compound BrN1C(=O)CCC1=O PCLIMKBDDGJMGD-UHFFFAOYSA-N 0.000 description 2
- UFWIBTONFRDIAS-UHFFFAOYSA-N Naphthalene Chemical compound C1=CC=CC2=CC=CC=C21 UFWIBTONFRDIAS-UHFFFAOYSA-N 0.000 description 2
- ISWSIDIOOBJBQZ-UHFFFAOYSA-N Phenol Chemical compound OC1=CC=CC=C1 ISWSIDIOOBJBQZ-UHFFFAOYSA-N 0.000 description 2
- 229920001213 Polysorbate 20 Polymers 0.000 description 2
- KYQCOXFCLRTKLS-UHFFFAOYSA-N Pyrazine Chemical compound C1=CN=CC=N1 KYQCOXFCLRTKLS-UHFFFAOYSA-N 0.000 description 2
- WTKZEGDFNFYCGP-UHFFFAOYSA-N Pyrazole Chemical compound C=1C=NNC=1 WTKZEGDFNFYCGP-UHFFFAOYSA-N 0.000 description 2
- SMWDFEZZVXVKRB-UHFFFAOYSA-N Quinoline Chemical compound N1=CC=CC2=CC=CC=C21 SMWDFEZZVXVKRB-UHFFFAOYSA-N 0.000 description 2
- YTPLMLYBLZKORZ-UHFFFAOYSA-N Thiophene Chemical compound C=1C=CSC=1 YTPLMLYBLZKORZ-UHFFFAOYSA-N 0.000 description 2
- 235000010489 acacia gum Nutrition 0.000 description 2
- 239000000205 acacia gum Substances 0.000 description 2
- 150000001298 alcohols Chemical class 0.000 description 2
- 125000004414 alkyl thio group Chemical group 0.000 description 2
- 235000019270 ammonium chloride Nutrition 0.000 description 2
- WPYMKLBDIGXBTP-UHFFFAOYSA-N benzoic acid Chemical compound OC(=O)C1=CC=CC=C1 WPYMKLBDIGXBTP-UHFFFAOYSA-N 0.000 description 2
- IOJUPLGTWVMSFF-UHFFFAOYSA-N benzothiazole Chemical compound C1=CC=C2SC=NC2=C1 IOJUPLGTWVMSFF-UHFFFAOYSA-N 0.000 description 2
- 239000011230 binding agent Substances 0.000 description 2
- 210000004556 brain Anatomy 0.000 description 2
- 239000001569 carbon dioxide Substances 0.000 description 2
- 229910002092 carbon dioxide Inorganic materials 0.000 description 2
- 239000004359 castor oil Substances 0.000 description 2
- 235000019438 castor oil Nutrition 0.000 description 2
- 229960001777 castor oil Drugs 0.000 description 2
- 229910052801 chlorine Inorganic materials 0.000 description 2
- MVPPADPHJFYWMZ-UHFFFAOYSA-N chlorobenzene Chemical compound ClC1=CC=CC=C1 MVPPADPHJFYWMZ-UHFFFAOYSA-N 0.000 description 2
- 239000003086 colorant Substances 0.000 description 2
- 238000007796 conventional method Methods 0.000 description 2
- 229960003280 cupric chloride Drugs 0.000 description 2
- 125000000753 cycloalkyl group Chemical group 0.000 description 2
- 238000001647 drug administration Methods 0.000 description 2
- 230000000694 effects Effects 0.000 description 2
- 125000001301 ethoxy group Chemical group [H]C([H])([H])C([H])([H])O* 0.000 description 2
- 238000001704 evaporation Methods 0.000 description 2
- 230000001605 fetal effect Effects 0.000 description 2
- 239000000796 flavoring agent Substances 0.000 description 2
- 235000013355 food flavoring agent Nutrition 0.000 description 2
- ZEMPKEQAKRGZGQ-XOQCFJPHSA-N glycerol triricinoleate Natural products CCCCCC[C@@H](O)CC=CCCCCCCCC(=O)OC[C@@H](COC(=O)CCCCCCCC=CC[C@@H](O)CCCCCC)OC(=O)CCCCCCCC=CC[C@H](O)CCCCCC ZEMPKEQAKRGZGQ-XOQCFJPHSA-N 0.000 description 2
- 238000005984 hydrogenation reaction Methods 0.000 description 2
- 230000007062 hydrolysis Effects 0.000 description 2
- 238000006460 hydrolysis reaction Methods 0.000 description 2
- 230000005917 in vivo anti-tumor Effects 0.000 description 2
- 125000000959 isobutyl group Chemical group [H]C([H])([H])C([H])(C([H])([H])[H])C([H])([H])* 0.000 description 2
- AWJUIBRHMBBTKR-UHFFFAOYSA-N isoquinoline Chemical compound C1=NC=CC2=CC=CC=C21 AWJUIBRHMBBTKR-UHFFFAOYSA-N 0.000 description 2
- JVTAAEKCZFNVCJ-UHFFFAOYSA-N lactic acid Chemical compound CC(O)C(O)=O JVTAAEKCZFNVCJ-UHFFFAOYSA-N 0.000 description 2
- HSZCZNFXUDYRKD-UHFFFAOYSA-M lithium iodide Chemical compound [Li+].[I-] HSZCZNFXUDYRKD-UHFFFAOYSA-M 0.000 description 2
- 239000000314 lubricant Substances 0.000 description 2
- HQKMJHAJHXVSDF-UHFFFAOYSA-L magnesium stearate Chemical compound [Mg+2].CCCCCCCCCCCCCCCCCC([O-])=O.CCCCCCCCCCCCCCCCCC([O-])=O HQKMJHAJHXVSDF-UHFFFAOYSA-L 0.000 description 2
- 230000004060 metabolic process Effects 0.000 description 2
- 125000000956 methoxy group Chemical group [H]C([H])([H])O* 0.000 description 2
- 229920000609 methyl cellulose Polymers 0.000 description 2
- 239000001923 methylcellulose Substances 0.000 description 2
- 235000010981 methylcellulose Nutrition 0.000 description 2
- 239000012046 mixed solvent Substances 0.000 description 2
- ITHKEPURULZLEQ-UHFFFAOYSA-N n-(1h-indazol-7-yl)-4-methoxybenzenesulfonamide Chemical compound C1=CC(OC)=CC=C1S(=O)(=O)NC1=CC=CC2=C1NN=C2 ITHKEPURULZLEQ-UHFFFAOYSA-N 0.000 description 2
- SFRDQSAMFOFSAQ-UHFFFAOYSA-N n-(1h-indol-7-yl)-4-nitrobenzenesulfonamide Chemical compound C1=CC([N+](=O)[O-])=CC=C1S(=O)(=O)NC1=CC=CC2=C1NC=C2 SFRDQSAMFOFSAQ-UHFFFAOYSA-N 0.000 description 2
- LTIXAACIVKMNCJ-UHFFFAOYSA-N n-(3-acetyl-1h-indol-7-yl)-3-chlorobenzenesulfonamide Chemical compound C1=CC=C2C(C(=O)C)=CNC2=C1NS(=O)(=O)C1=CC=CC(Cl)=C1 LTIXAACIVKMNCJ-UHFFFAOYSA-N 0.000 description 2
- QMIFJMGABYQUKY-UHFFFAOYSA-N n-(3-chloro-1h-indol-7-yl)-4-(2-sulfamoylethyl)benzenesulfonamide Chemical compound C1=CC(CCS(=O)(=O)N)=CC=C1S(=O)(=O)NC1=CC=CC2=C1NC=C2Cl QMIFJMGABYQUKY-UHFFFAOYSA-N 0.000 description 2
- AICZLFZYSQTVQI-UHFFFAOYSA-N n-(3-chloro-1h-indol-7-yl)-4-(methylsulfinylmethyl)benzenesulfonamide Chemical compound C1=CC(CS(=O)C)=CC=C1S(=O)(=O)NC1=CC=CC2=C1NC=C2Cl AICZLFZYSQTVQI-UHFFFAOYSA-N 0.000 description 2
- MWMNDMPVPIGLOT-UHFFFAOYSA-N n-(3-chloro-1h-indol-7-yl)-4-nitrobenzenesulfonamide Chemical compound C1=CC([N+](=O)[O-])=CC=C1S(=O)(=O)NC1=CC=CC2=C1NC=C2Cl MWMNDMPVPIGLOT-UHFFFAOYSA-N 0.000 description 2
- FIWKGYBFVKQCRP-UHFFFAOYSA-N n-(3-chloro-1h-indol-7-yl)-6-(2-cyanoethylamino)pyridine-3-sulfonamide Chemical compound C1=CC=C2C(Cl)=CNC2=C1NS(=O)(=O)C1=CC=C(NCCC#N)N=C1 FIWKGYBFVKQCRP-UHFFFAOYSA-N 0.000 description 2
- ZLAZZJXAYPXLOS-UHFFFAOYSA-N n-(3-chloro-1h-indol-7-yl)-6-(2-hydroxyethylamino)pyridine-3-sulfonamide Chemical compound C1=NC(NCCO)=CC=C1S(=O)(=O)NC1=CC=CC2=C1NC=C2Cl ZLAZZJXAYPXLOS-UHFFFAOYSA-N 0.000 description 2
- SVIWNHSMBDYRJR-UHFFFAOYSA-N n-(3-chloro-1h-indol-7-yl)-6-(propan-2-ylamino)pyridine-3-sulfonamide Chemical compound C1=NC(NC(C)C)=CC=C1S(=O)(=O)NC1=CC=CC2=C1NC=C2Cl SVIWNHSMBDYRJR-UHFFFAOYSA-N 0.000 description 2
- SLZGCGXHJVHYNF-UHFFFAOYSA-N n-(3-chloro-1h-indol-7-yl)-6-sulfanylidene-1h-pyridine-3-sulfonamide Chemical compound C1=NC(S)=CC=C1S(=O)(=O)NC1=CC=CC2=C1NC=C2Cl SLZGCGXHJVHYNF-UHFFFAOYSA-N 0.000 description 2
- SCCXNDQFEDFODO-UHFFFAOYSA-N n-(3-chloro-4-cyano-1h-indol-7-yl)-4-nitrobenzenesulfonamide Chemical compound C1=CC([N+](=O)[O-])=CC=C1S(=O)(=O)NC1=CC=C(C#N)C2=C1NC=C2Cl SCCXNDQFEDFODO-UHFFFAOYSA-N 0.000 description 2
- HDZXZPLEMOKJDA-UHFFFAOYSA-N n-(3-cyano-1h-indol-7-yl)-1-methylimidazole-4-sulfonamide Chemical compound CN1C=NC(S(=O)(=O)NC=2C=3NC=C(C=3C=CC=2)C#N)=C1 HDZXZPLEMOKJDA-UHFFFAOYSA-N 0.000 description 2
- HITRVXPUDZCVEJ-UHFFFAOYSA-N n-(3-cyano-1h-indol-7-yl)-2-phenylethenesulfonamide Chemical compound C=1C=CC=2C(C#N)=CNC=2C=1NS(=O)(=O)C=CC1=CC=CC=C1 HITRVXPUDZCVEJ-UHFFFAOYSA-N 0.000 description 2
- YGVJPXQTIIJWJQ-UHFFFAOYSA-N n-(3-cyano-1h-indol-7-yl)-5-methylpyridine-3-sulfonamide Chemical compound CC1=CN=CC(S(=O)(=O)NC=2C=3NC=C(C=3C=CC=2)C#N)=C1 YGVJPXQTIIJWJQ-UHFFFAOYSA-N 0.000 description 2
- WKNUXLDHZNVKSO-UHFFFAOYSA-N n-(3-cyano-1h-indol-7-yl)furan-2-sulfonamide Chemical compound C=1C=CC=2C(C#N)=CNC=2C=1NS(=O)(=O)C1=CC=CO1 WKNUXLDHZNVKSO-UHFFFAOYSA-N 0.000 description 2
- RNGXROFBYJSRDC-UHFFFAOYSA-N n-(3-cyano-1h-indol-7-yl)naphthalene-2-sulfonamide Chemical compound C1=CC=CC2=CC(S(=O)(NC=3C=4NC=C(C=4C=CC=3)C#N)=O)=CC=C21 RNGXROFBYJSRDC-UHFFFAOYSA-N 0.000 description 2
- CWWKBBOZWHZKBP-UHFFFAOYSA-N n-(3-cyano-1h-indol-7-yl)quinoline-8-sulfonamide Chemical compound C1=CN=C2C(S(=O)(NC=3C=4NC=C(C=4C=CC=3)C#N)=O)=CC=CC2=C1 CWWKBBOZWHZKBP-UHFFFAOYSA-N 0.000 description 2
- ZJPQHWVMZMWECA-UHFFFAOYSA-N n-(4-bromo-1h-indol-7-yl)-4-nitrobenzenesulfonamide Chemical compound C1=CC([N+](=O)[O-])=CC=C1S(=O)(=O)NC1=CC=C(Br)C2=C1NC=C2 ZJPQHWVMZMWECA-UHFFFAOYSA-N 0.000 description 2
- 125000004108 n-butyl group Chemical group [H]C([H])([H])C([H])([H])C([H])([H])C([H])([H])* 0.000 description 2
- 125000000740 n-pentyl group Chemical group [H]C([H])([H])C([H])([H])C([H])([H])C([H])([H])C([H])([H])* 0.000 description 2
- 125000004123 n-propyl group Chemical group [H]C([H])([H])C([H])([H])C([H])([H])* 0.000 description 2
- 239000003960 organic solvent Substances 0.000 description 2
- 230000003647 oxidation Effects 0.000 description 2
- 238000007254 oxidation reaction Methods 0.000 description 2
- 125000004043 oxo group Chemical group O=* 0.000 description 2
- 125000004430 oxygen atom Chemical group O* 0.000 description 2
- 239000008194 pharmaceutical composition Substances 0.000 description 2
- 239000000546 pharmaceutical excipient Substances 0.000 description 2
- 239000008363 phosphate buffer Substances 0.000 description 2
- 239000000256 polyoxyethylene sorbitan monolaurate Substances 0.000 description 2
- 235000010486 polyoxyethylene sorbitan monolaurate Nutrition 0.000 description 2
- 239000000244 polyoxyethylene sorbitan monooleate Substances 0.000 description 2
- 229940068968 polysorbate 80 Drugs 0.000 description 2
- 239000003755 preservative agent Substances 0.000 description 2
- 230000002335 preservative effect Effects 0.000 description 2
- 239000002994 raw material Substances 0.000 description 2
- BOLDJAUMGUJJKM-LSDHHAIUSA-N renifolin D Natural products CC(=C)[C@@H]1Cc2c(O)c(O)ccc2[C@H]1CC(=O)c3ccc(O)cc3O BOLDJAUMGUJJKM-LSDHHAIUSA-N 0.000 description 2
- 239000000377 silicon dioxide Substances 0.000 description 2
- DAEPDZWVDSPTHF-UHFFFAOYSA-M sodium pyruvate Chemical compound [Na+].CC(=O)C([O-])=O DAEPDZWVDSPTHF-UHFFFAOYSA-M 0.000 description 2
- GEHJYWRUCIMESM-UHFFFAOYSA-L sodium sulfite Chemical compound [Na+].[Na+].[O-]S([O-])=O GEHJYWRUCIMESM-UHFFFAOYSA-L 0.000 description 2
- 239000003381 stabilizer Substances 0.000 description 2
- UCSJYZPVAKXKNQ-HZYVHMACSA-N streptomycin Chemical compound CN[C@H]1[C@H](O)[C@@H](O)[C@H](CO)O[C@H]1O[C@@H]1[C@](C=O)(O)[C@H](C)O[C@H]1O[C@@H]1[C@@H](NC(N)=N)[C@H](O)[C@@H](NC(N)=N)[C@H](O)[C@H]1O UCSJYZPVAKXKNQ-HZYVHMACSA-N 0.000 description 2
- 229910052717 sulfur Inorganic materials 0.000 description 2
- 125000004434 sulfur atom Chemical group 0.000 description 2
- 239000000375 suspending agent Substances 0.000 description 2
- 150000003573 thiols Chemical class 0.000 description 2
- FYSNRJHAOHDILO-UHFFFAOYSA-N thionyl chloride Chemical compound ClS(Cl)=O FYSNRJHAOHDILO-UHFFFAOYSA-N 0.000 description 2
- UMGDCJDMYOKAJW-UHFFFAOYSA-N thiourea Chemical compound NC(N)=S UMGDCJDMYOKAJW-UHFFFAOYSA-N 0.000 description 2
- FWPIDFUJEMBDLS-UHFFFAOYSA-L tin(II) chloride dihydrate Chemical compound O.O.Cl[Sn]Cl FWPIDFUJEMBDLS-UHFFFAOYSA-L 0.000 description 2
- VZCYOOQTPOCHFL-UHFFFAOYSA-N trans-butenedioic acid Natural products OC(=O)C=CC(O)=O VZCYOOQTPOCHFL-UHFFFAOYSA-N 0.000 description 2
- 238000002054 transplantation Methods 0.000 description 2
- WJKHJLXJJJATHN-UHFFFAOYSA-N triflic anhydride Chemical compound FC(F)(F)S(=O)(=O)OS(=O)(=O)C(F)(F)F WJKHJLXJJJATHN-UHFFFAOYSA-N 0.000 description 2
- 125000002023 trifluoromethyl group Chemical group FC(F)(F)* 0.000 description 2
- 230000004614 tumor growth Effects 0.000 description 2
- 239000011701 zinc Substances 0.000 description 2
- 229910052725 zinc Inorganic materials 0.000 description 2
- NTYOKQYEVIDMCY-UHFFFAOYSA-N (4-aminophenyl)methanesulfonamide Chemical compound NC1=CC=C(CS(N)(=O)=O)C=C1 NTYOKQYEVIDMCY-UHFFFAOYSA-N 0.000 description 1
- VYLIVAAMSLPRIS-UHFFFAOYSA-N (4-nitrophenyl)methanesulfonamide Chemical compound NS(=O)(=O)CC1=CC=C([N+]([O-])=O)C=C1 VYLIVAAMSLPRIS-UHFFFAOYSA-N 0.000 description 1
- 125000005919 1,2,2-trimethylpropyl group Chemical group 0.000 description 1
- BCMCBBGGLRIHSE-UHFFFAOYSA-N 1,3-benzoxazole Chemical compound C1=CC=C2OC=NC2=C1 BCMCBBGGLRIHSE-UHFFFAOYSA-N 0.000 description 1
- KEQGZUUPPQEDPF-UHFFFAOYSA-N 1,3-dichloro-5,5-dimethylimidazolidine-2,4-dione Chemical compound CC1(C)N(Cl)C(=O)N(Cl)C1=O KEQGZUUPPQEDPF-UHFFFAOYSA-N 0.000 description 1
- OCJBOOLMMGQPQU-UHFFFAOYSA-N 1,4-dichlorobenzene Chemical compound ClC1=CC=C(Cl)C=C1 OCJBOOLMMGQPQU-UHFFFAOYSA-N 0.000 description 1
- FLBAYUMRQUHISI-UHFFFAOYSA-N 1,8-naphthyridine Chemical compound N1=CC=CC2=CC=CN=C21 FLBAYUMRQUHISI-UHFFFAOYSA-N 0.000 description 1
- RCELVCGNAKOBPO-UHFFFAOYSA-N 1-(5-bromo-7-nitro-2,3-dihydroindol-1-yl)ethanone Chemical compound BrC1=CC([N+]([O-])=O)=C2N(C(=O)C)CCC2=C1 RCELVCGNAKOBPO-UHFFFAOYSA-N 0.000 description 1
- NDXMZEQFBKFBQC-UHFFFAOYSA-N 1-(7-nitro-1h-indol-3-yl)ethanone Chemical compound C1=CC=C2C(C(=O)C)=CNC2=C1[N+]([O-])=O NDXMZEQFBKFBQC-UHFFFAOYSA-N 0.000 description 1
- UKTIMFAJRPSNGR-UHFFFAOYSA-N 1-bromo-4-chloro-2-nitrobenzene Chemical compound [O-][N+](=O)C1=CC(Cl)=CC=C1Br UKTIMFAJRPSNGR-UHFFFAOYSA-N 0.000 description 1
- UPBUTKQMDPHQAQ-UHFFFAOYSA-N 1-bromo-4-methyl-2-nitrobenzene Chemical compound CC1=CC=C(Br)C([N+]([O-])=O)=C1 UPBUTKQMDPHQAQ-UHFFFAOYSA-N 0.000 description 1
- 125000006218 1-ethylbutyl group Chemical group [H]C([H])([H])C([H])([H])C([H])([H])C([H])(*)C([H])([H])C([H])([H])[H] 0.000 description 1
- HYZJCKYKOHLVJF-UHFFFAOYSA-N 1H-benzimidazole Chemical compound C1=CC=C2NC=NC2=C1 HYZJCKYKOHLVJF-UHFFFAOYSA-N 0.000 description 1
- SBSKAJKJHGZYCY-UHFFFAOYSA-N 1h-pyrrolo[2,3-c]pyridin-7-amine Chemical compound NC1=NC=CC2=C1NC=C2 SBSKAJKJHGZYCY-UHFFFAOYSA-N 0.000 description 1
- NHBKXEKEPDILRR-UHFFFAOYSA-N 2,3-bis(butanoylsulfanyl)propyl butanoate Chemical compound CCCC(=O)OCC(SC(=O)CCC)CSC(=O)CCC NHBKXEKEPDILRR-UHFFFAOYSA-N 0.000 description 1
- LBLYYCQCTBFVLH-UHFFFAOYSA-N 2-Methylbenzenesulfonic acid Chemical compound CC1=CC=CC=C1S(O)(=O)=O LBLYYCQCTBFVLH-UHFFFAOYSA-N 0.000 description 1
- NOIXNOMHHWGUTG-UHFFFAOYSA-N 2-[[4-[4-pyridin-4-yl-1-(2,2,2-trifluoroethyl)pyrazol-3-yl]phenoxy]methyl]quinoline Chemical group C=1C=C(OCC=2N=C3C=CC=CC3=CC=2)C=CC=1C1=NN(CC(F)(F)F)C=C1C1=CC=NC=C1 NOIXNOMHHWGUTG-UHFFFAOYSA-N 0.000 description 1
- ZCCUFLITCDHRMG-UHFFFAOYSA-N 2-bromo-3-nitropyridine Chemical compound [O-][N+](=O)C1=CC=CN=C1Br ZCCUFLITCDHRMG-UHFFFAOYSA-N 0.000 description 1
- QSKPIOLLBIHNAC-UHFFFAOYSA-N 2-chloro-acetaldehyde Chemical compound ClCC=O QSKPIOLLBIHNAC-UHFFFAOYSA-N 0.000 description 1
- 125000004493 2-methylbut-1-yl group Chemical group CC(C*)CC 0.000 description 1
- 125000005916 2-methylpentyl group Chemical group 0.000 description 1
- QTWJRLJHJPIABL-UHFFFAOYSA-N 2-methylphenol;3-methylphenol;4-methylphenol Chemical compound CC1=CC=C(O)C=C1.CC1=CC=CC(O)=C1.CC1=CC=CC=C1O QTWJRLJHJPIABL-UHFFFAOYSA-N 0.000 description 1
- ROZCUVMFXOURIS-UHFFFAOYSA-N 2-phenylethanesulfonamide Chemical compound NS(=O)(=O)CCC1=CC=CC=C1 ROZCUVMFXOURIS-UHFFFAOYSA-N 0.000 description 1
- VHMICKWLTGFITH-UHFFFAOYSA-N 2H-isoindole Chemical compound C1=CC=CC2=CNC=C21 VHMICKWLTGFITH-UHFFFAOYSA-N 0.000 description 1
- AZKSAVLVSZKNRD-UHFFFAOYSA-M 3-(4,5-dimethylthiazol-2-yl)-2,5-diphenyltetrazolium bromide Chemical compound [Br-].S1C(C)=C(C)N=C1[N+]1=NC(C=2C=CC=CC=2)=NN1C1=CC=CC=C1 AZKSAVLVSZKNRD-UHFFFAOYSA-M 0.000 description 1
- REHKBCNBGUOELM-UHFFFAOYSA-N 3-chloro-n-(4-methoxy-1h-indol-7-yl)benzenesulfonamide Chemical compound C1=2NC=CC=2C(OC)=CC=C1NS(=O)(=O)C1=CC=CC(Cl)=C1 REHKBCNBGUOELM-UHFFFAOYSA-N 0.000 description 1
- OINWZUJVEXUHCC-UHFFFAOYSA-N 3-chlorobenzenesulfonyl chloride Chemical compound ClC1=CC=CC(S(Cl)(=O)=O)=C1 OINWZUJVEXUHCC-UHFFFAOYSA-N 0.000 description 1
- NHQDETIJWKXCTC-UHFFFAOYSA-N 3-chloroperbenzoic acid Chemical compound OOC(=O)C1=CC=CC(Cl)=C1 NHQDETIJWKXCTC-UHFFFAOYSA-N 0.000 description 1
- 125000003542 3-methylbutan-2-yl group Chemical group [H]C([H])([H])C([H])(*)C([H])(C([H])([H])[H])C([H])([H])[H] 0.000 description 1
- 125000005917 3-methylpentyl group Chemical group 0.000 description 1
- QXTQWYZHHMQSQH-UHFFFAOYSA-N 4-(bromomethyl)benzenesulfonyl chloride Chemical compound ClS(=O)(=O)C1=CC=C(CBr)C=C1 QXTQWYZHHMQSQH-UHFFFAOYSA-N 0.000 description 1
- JDIPALKRMOWPAH-UHFFFAOYSA-N 4-[tert-butyl(dimethyl)silyl]oxy-3-chloro-1h-indol-7-amine Chemical compound CC(C)(C)[Si](C)(C)OC1=CC=C(N)C2=C1C(Cl)=CN2 JDIPALKRMOWPAH-UHFFFAOYSA-N 0.000 description 1
- FDDDEECHVMSUSB-IDEBNGHGSA-N 4-aminobenzenesulfonamide Chemical class N[13C]1=[13CH][13CH]=[13C](S(N)(=O)=O)[13CH]=[13CH]1 FDDDEECHVMSUSB-IDEBNGHGSA-N 0.000 description 1
- JSVFRMBPBNSBEV-UHFFFAOYSA-N 4-cyano-n-(1h-indol-7-yl)benzenesulfonamide Chemical compound C=1C=CC=2C=CNC=2C=1NS(=O)(=O)C1=CC=C(C#N)C=C1 JSVFRMBPBNSBEV-UHFFFAOYSA-N 0.000 description 1
- TYJOQICPGZGYDT-UHFFFAOYSA-N 4-methylsulfonylbenzenesulfonyl chloride Chemical compound CS(=O)(=O)C1=CC=C(S(Cl)(=O)=O)C=C1 TYJOQICPGZGYDT-UHFFFAOYSA-N 0.000 description 1
- ZXYZKIFFWKXROK-UHFFFAOYSA-N 4-pyrrolidin-1-ylsulfonylbenzenesulfonyl chloride Chemical compound C1=CC(S(=O)(=O)Cl)=CC=C1S(=O)(=O)N1CCCC1 ZXYZKIFFWKXROK-UHFFFAOYSA-N 0.000 description 1
- 125000002373 5 membered heterocyclic group Chemical group 0.000 description 1
- VPFQSANHDKMHLF-UHFFFAOYSA-N 5-bromo-7-nitro-1h-indole-3-carbonitrile Chemical compound [O-][N+](=O)C1=CC(Br)=CC2=C1NC=C2C#N VPFQSANHDKMHLF-UHFFFAOYSA-N 0.000 description 1
- VXKXMHDXFLFIFI-UHFFFAOYSA-N 5-bromo-7-nitro-2,3-dihydro-1h-indole Chemical compound [O-][N+](=O)C1=CC(Br)=CC2=C1NCC2 VXKXMHDXFLFIFI-UHFFFAOYSA-N 0.000 description 1
- 125000004070 6 membered heterocyclic group Chemical group 0.000 description 1
- UPKOSRSAWQLMNJ-UHFFFAOYSA-N 6-chloro-n-(1h-indol-7-yl)pyridine-3-sulfonamide Chemical compound C1=NC(Cl)=CC=C1S(=O)(=O)NC1=CC=CC2=C1NC=C2 UPKOSRSAWQLMNJ-UHFFFAOYSA-N 0.000 description 1
- QXZKKHONVQGXAK-UHFFFAOYSA-N 6-chloropyridine-3-sulfonyl chloride Chemical compound ClC1=CC=C(S(Cl)(=O)=O)C=N1 QXZKKHONVQGXAK-UHFFFAOYSA-N 0.000 description 1
- HTQAZKOPQOXNHI-UHFFFAOYSA-N 7-bromo-1h-pyrrolo[2,3-c]pyridine Chemical compound BrC1=NC=CC2=C1NC=C2 HTQAZKOPQOXNHI-UHFFFAOYSA-N 0.000 description 1
- ZFBAFEMIPJPWPF-UHFFFAOYSA-N 7-bromo-4-chloro-1h-indole Chemical compound ClC1=CC=C(Br)C2=C1C=CN2 ZFBAFEMIPJPWPF-UHFFFAOYSA-N 0.000 description 1
- SJOBFYZCJCKOAF-UHFFFAOYSA-N 7-bromo-4-methyl-1h-indole Chemical compound CC1=CC=C(Br)C2=C1C=CN2 SJOBFYZCJCKOAF-UHFFFAOYSA-N 0.000 description 1
- VHUUQVKOLVNVRT-UHFFFAOYSA-N Ammonium hydroxide Chemical compound [NH4+].[OH-] VHUUQVKOLVNVRT-UHFFFAOYSA-N 0.000 description 1
- 239000004475 Arginine Substances 0.000 description 1
- 241000416162 Astragalus gummifer Species 0.000 description 1
- 239000005711 Benzoic acid Substances 0.000 description 1
- LSNNMFCWUKXFEE-UHFFFAOYSA-M Bisulfite Chemical compound OS([O-])=O LSNNMFCWUKXFEE-UHFFFAOYSA-M 0.000 description 1
- 108010006654 Bleomycin Chemical class 0.000 description 1
- 241000283690 Bos taurus Species 0.000 description 1
- 108091003079 Bovine Serum Albumin Proteins 0.000 description 1
- YKUDIIRABKHBEV-UHFFFAOYSA-N C(C)(=O)C=1NC2=C(C(=CC=C2C=1CCNS(=O)(=O)C1=CC=CC=C1)OC)NS(=O)(=O)C1=CC=CC=C1 Chemical compound C(C)(=O)C=1NC2=C(C(=CC=C2C=1CCNS(=O)(=O)C1=CC=CC=C1)OC)NS(=O)(=O)C1=CC=CC=C1 YKUDIIRABKHBEV-UHFFFAOYSA-N 0.000 description 1
- SOCJGOGVPAPGKQ-UHFFFAOYSA-N CONS(=O)(=O)C1=CC=C(C=C1)S(=O)(=O)Cl.C(C)NS(=O)(=O)C1=CC=C(C=C1)S(=O)(=O)Cl.CNS(=O)(=O)C1=CC=C(C=C1)S(=O)(=O)Cl Chemical compound CONS(=O)(=O)C1=CC=C(C=C1)S(=O)(=O)Cl.C(C)NS(=O)(=O)C1=CC=C(C=C1)S(=O)(=O)Cl.CNS(=O)(=O)C1=CC=C(C=C1)S(=O)(=O)Cl SOCJGOGVPAPGKQ-UHFFFAOYSA-N 0.000 description 1
- BVKZGUZCCUSVTD-UHFFFAOYSA-L Carbonate Chemical compound [O-]C([O-])=O BVKZGUZCCUSVTD-UHFFFAOYSA-L 0.000 description 1
- VEXZGXHMUGYJMC-UHFFFAOYSA-M Chloride anion Chemical compound [Cl-] VEXZGXHMUGYJMC-UHFFFAOYSA-M 0.000 description 1
- ZAMOUSCENKQFHK-UHFFFAOYSA-N Chlorine atom Chemical compound [Cl] ZAMOUSCENKQFHK-UHFFFAOYSA-N 0.000 description 1
- 244000223760 Cinnamomum zeylanicum Species 0.000 description 1
- RYGMFSIKBFXOCR-UHFFFAOYSA-N Copper Chemical compound [Cu] RYGMFSIKBFXOCR-UHFFFAOYSA-N 0.000 description 1
- 229910021591 Copper(I) chloride Inorganic materials 0.000 description 1
- 229920002261 Corn starch Polymers 0.000 description 1
- CMSMOCZEIVJLDB-UHFFFAOYSA-N Cyclophosphamide Chemical compound ClCCN(CCCl)P1(=O)NCCCO1 CMSMOCZEIVJLDB-UHFFFAOYSA-N 0.000 description 1
- FBPFZTCFMRRESA-FSIIMWSLSA-N D-Glucitol Natural products OC[C@H](O)[C@H](O)[C@@H](O)[C@H](O)CO FBPFZTCFMRRESA-FSIIMWSLSA-N 0.000 description 1
- FBPFZTCFMRRESA-JGWLITMVSA-N D-glucitol Chemical compound OC[C@H](O)[C@@H](O)[C@H](O)[C@H](O)CO FBPFZTCFMRRESA-JGWLITMVSA-N 0.000 description 1
- IAZDPXIOMUYVGZ-WFGJKAKNSA-N DMSO-d6 Substances [2H]C([2H])([2H])S(=O)C([2H])([2H])[2H] IAZDPXIOMUYVGZ-WFGJKAKNSA-N 0.000 description 1
- QOSSAOTZNIDXMA-UHFFFAOYSA-N Dicylcohexylcarbodiimide Chemical compound C1CCCCC1N=C=NC1CCCCC1 QOSSAOTZNIDXMA-UHFFFAOYSA-N 0.000 description 1
- RWSOTUBLDIXVET-UHFFFAOYSA-N Dihydrogen sulfide Chemical compound S RWSOTUBLDIXVET-UHFFFAOYSA-N 0.000 description 1
- 241000196324 Embryophyta Species 0.000 description 1
- 239000001856 Ethyl cellulose Substances 0.000 description 1
- LYCAIKOWRPUZTN-UHFFFAOYSA-N Ethylene glycol Chemical compound OCCO LYCAIKOWRPUZTN-UHFFFAOYSA-N 0.000 description 1
- GHASVSINZRGABV-UHFFFAOYSA-N Fluorouracil Chemical compound FC1=CNC(=O)NC1=O GHASVSINZRGABV-UHFFFAOYSA-N 0.000 description 1
- 108010010803 Gelatin Proteins 0.000 description 1
- WQZGKKKJIJFFOK-GASJEMHNSA-N Glucose Natural products OC[C@H]1OC(O)[C@H](O)[C@@H](O)[C@@H]1O WQZGKKKJIJFFOK-GASJEMHNSA-N 0.000 description 1
- UFHFLCQGNIYNRP-UHFFFAOYSA-N Hydrogen Chemical compound [H][H] UFHFLCQGNIYNRP-UHFFFAOYSA-N 0.000 description 1
- CPELXLSAUQHCOX-UHFFFAOYSA-N Hydrogen bromide Chemical compound Br CPELXLSAUQHCOX-UHFFFAOYSA-N 0.000 description 1
- 239000004354 Hydroxyethyl cellulose Substances 0.000 description 1
- 229920000663 Hydroxyethyl cellulose Polymers 0.000 description 1
- 229920002153 Hydroxypropyl cellulose Polymers 0.000 description 1
- DGAQECJNVWCQMB-PUAWFVPOSA-M Ilexoside XXIX Chemical compound C[C@@H]1CC[C@@]2(CC[C@@]3(C(=CC[C@H]4[C@]3(CC[C@@H]5[C@@]4(CC[C@@H](C5(C)C)OS(=O)(=O)[O-])C)C)[C@@H]2[C@]1(C)O)C)C(=O)O[C@H]6[C@@H]([C@H]([C@@H]([C@H](O6)CO)O)O)O.[Na+] DGAQECJNVWCQMB-PUAWFVPOSA-M 0.000 description 1
- ODKSFYDXXFIFQN-BYPYZUCNSA-P L-argininium(2+) Chemical compound NC(=[NH2+])NCCC[C@H]([NH3+])C(O)=O ODKSFYDXXFIFQN-BYPYZUCNSA-P 0.000 description 1
- KDXKERNSBIXSRK-YFKPBYRVSA-N L-lysine Chemical compound NCCCC[C@H](N)C(O)=O KDXKERNSBIXSRK-YFKPBYRVSA-N 0.000 description 1
- FBOZXECLQNJBKD-ZDUSSCGKSA-N L-methotrexate Chemical compound C=1N=C2N=C(N)N=C(N)C2=NC=1CN(C)C1=CC=C(C(=O)N[C@@H](CCC(O)=O)C(O)=O)C=C1 FBOZXECLQNJBKD-ZDUSSCGKSA-N 0.000 description 1
- GUBGYTABKSRVRQ-QKKXKWKRSA-N Lactose Natural products OC[C@H]1O[C@@H](O[C@H]2[C@H](O)[C@@H](O)C(O)O[C@@H]2CO)[C@H](O)[C@@H](O)[C@H]1O GUBGYTABKSRVRQ-QKKXKWKRSA-N 0.000 description 1
- 239000004472 Lysine Substances 0.000 description 1
- KDXKERNSBIXSRK-UHFFFAOYSA-N Lysine Natural products NCCCCC(N)C(O)=O KDXKERNSBIXSRK-UHFFFAOYSA-N 0.000 description 1
- 235000006679 Mentha X verticillata Nutrition 0.000 description 1
- 244000246386 Mentha pulegium Species 0.000 description 1
- 235000016257 Mentha pulegium Nutrition 0.000 description 1
- 235000002899 Mentha suaveolens Nutrition 0.000 description 1
- 235000004357 Mentha x piperita Nutrition 0.000 description 1
- 235000001636 Mentha x rotundifolia Nutrition 0.000 description 1
- 239000012359 Methanesulfonyl chloride Substances 0.000 description 1
- 229930192392 Mitomycin Chemical class 0.000 description 1
- 241000699660 Mus musculus Species 0.000 description 1
- NWIBSHFKIJFRCO-WUDYKRTCSA-N Mytomycin Chemical class C1N2C(C(C(C)=C(N)C3=O)=O)=C3[C@@H](COC(N)=O)[C@@]2(OC)[C@@H]2[C@H]1N2 NWIBSHFKIJFRCO-WUDYKRTCSA-N 0.000 description 1
- SECXISVLQFMRJM-UHFFFAOYSA-N N-Methylpyrrolidone Chemical compound CN1CCCC1=O SECXISVLQFMRJM-UHFFFAOYSA-N 0.000 description 1
- SALQMMXSINGXMI-UHFFFAOYSA-N Nc(cc1)ccc1N=O Chemical compound Nc(cc1)ccc1N=O SALQMMXSINGXMI-UHFFFAOYSA-N 0.000 description 1
- ZCQWOFVYLHDMMC-UHFFFAOYSA-N Oxazole Chemical compound C1=COC=N1 ZCQWOFVYLHDMMC-UHFFFAOYSA-N 0.000 description 1
- 229930182555 Penicillin Natural products 0.000 description 1
- JGSARLDLIJGVTE-MBNYWOFBSA-N Penicillin G Chemical compound N([C@H]1[C@H]2SC([C@@H](N2C1=O)C(O)=O)(C)C)C(=O)CC1=CC=CC=C1 JGSARLDLIJGVTE-MBNYWOFBSA-N 0.000 description 1
- PCNDJXKNXGMECE-UHFFFAOYSA-N Phenazine Natural products C1=CC=CC2=NC3=CC=CC=C3N=C21 PCNDJXKNXGMECE-UHFFFAOYSA-N 0.000 description 1
- 229920003171 Poly (ethylene oxide) Polymers 0.000 description 1
- 239000004372 Polyvinyl alcohol Substances 0.000 description 1
- OFOBLEOULBTSOW-UHFFFAOYSA-N Propanedioic acid Natural products OC(=O)CC(O)=O OFOBLEOULBTSOW-UHFFFAOYSA-N 0.000 description 1
- CZPWVGJYEJSRLH-UHFFFAOYSA-N Pyrimidine Chemical compound C1=CN=CN=C1 CZPWVGJYEJSRLH-UHFFFAOYSA-N 0.000 description 1
- KEAYESYHFKHZAL-UHFFFAOYSA-N Sodium Chemical compound [Na] KEAYESYHFKHZAL-UHFFFAOYSA-N 0.000 description 1
- UIIMBOGNXHQVGW-DEQYMQKBSA-M Sodium bicarbonate-14C Chemical compound [Na+].O[14C]([O-])=O UIIMBOGNXHQVGW-DEQYMQKBSA-M 0.000 description 1
- KDYFGRWQOYBRFD-UHFFFAOYSA-N Succinic acid Natural products OC(=O)CCC(O)=O KDYFGRWQOYBRFD-UHFFFAOYSA-N 0.000 description 1
- CZMRCDWAGMRECN-UGDNZRGBSA-N Sucrose Chemical compound O[C@H]1[C@H](O)[C@@H](CO)O[C@@]1(CO)O[C@@H]1[C@H](O)[C@@H](O)[C@H](O)[C@@H](CO)O1 CZMRCDWAGMRECN-UGDNZRGBSA-N 0.000 description 1
- 229930006000 Sucrose Natural products 0.000 description 1
- QAOWNCQODCNURD-UHFFFAOYSA-L Sulfate Chemical compound [O-]S([O-])(=O)=O QAOWNCQODCNURD-UHFFFAOYSA-L 0.000 description 1
- 244000299461 Theobroma cacao Species 0.000 description 1
- 235000009470 Theobroma cacao Nutrition 0.000 description 1
- FZWLAAWBMGSTSO-UHFFFAOYSA-N Thiazole Chemical compound C1=CSC=N1 FZWLAAWBMGSTSO-UHFFFAOYSA-N 0.000 description 1
- ATJFFYVFTNAWJD-UHFFFAOYSA-N Tin Chemical compound [Sn] ATJFFYVFTNAWJD-UHFFFAOYSA-N 0.000 description 1
- 229920001615 Tragacanth Polymers 0.000 description 1
- XSQUKJJJFZCRTK-UHFFFAOYSA-N Urea Natural products NC(N)=O XSQUKJJJFZCRTK-UHFFFAOYSA-N 0.000 description 1
- DFPAKSUCGFBDDF-ZQBYOMGUSA-N [14c]-nicotinamide Chemical compound N[14C](=O)C1=CC=CN=C1 DFPAKSUCGFBDDF-ZQBYOMGUSA-N 0.000 description 1
- DSVGQVZAZSZEEX-UHFFFAOYSA-N [C].[Pt] Chemical compound [C].[Pt] DSVGQVZAZSZEEX-UHFFFAOYSA-N 0.000 description 1
- JEDZLBFUGJTJGQ-UHFFFAOYSA-N [Na].COCCO[AlH]OCCOC Chemical compound [Na].COCCO[AlH]OCCOC JEDZLBFUGJTJGQ-UHFFFAOYSA-N 0.000 description 1
- SORGEQQSQGNZFI-UHFFFAOYSA-N [azido(phenoxy)phosphoryl]oxybenzene Chemical compound C=1C=CC=CC=1OP(=O)(N=[N+]=[N-])OC1=CC=CC=C1 SORGEQQSQGNZFI-UHFFFAOYSA-N 0.000 description 1
- 150000001242 acetic acid derivatives Chemical class 0.000 description 1
- DPXJVFZANSGRMM-UHFFFAOYSA-N acetic acid;2,3,4,5,6-pentahydroxyhexanal;sodium Chemical compound [Na].CC(O)=O.OCC(O)C(O)C(O)C(O)C=O DPXJVFZANSGRMM-UHFFFAOYSA-N 0.000 description 1
- WETWJCDKMRHUPV-UHFFFAOYSA-N acetyl chloride Chemical compound CC(Cl)=O WETWJCDKMRHUPV-UHFFFAOYSA-N 0.000 description 1
- 239000012346 acetyl chloride Substances 0.000 description 1
- 229940009456 adriamycin Drugs 0.000 description 1
- 150000001299 aldehydes Chemical class 0.000 description 1
- 229910052783 alkali metal Inorganic materials 0.000 description 1
- 150000001340 alkali metals Chemical class 0.000 description 1
- 150000001348 alkyl chlorides Chemical class 0.000 description 1
- 239000002168 alkylating agent Substances 0.000 description 1
- 229940100198 alkylating agent Drugs 0.000 description 1
- 150000001408 amides Chemical class 0.000 description 1
- 150000001412 amines Chemical class 0.000 description 1
- 239000012378 ammonium molybdate tetrahydrate Substances 0.000 description 1
- 150000008064 anhydrides Chemical class 0.000 description 1
- 239000003242 anti bacterial agent Substances 0.000 description 1
- 230000000340 anti-metabolite Effects 0.000 description 1
- 229940088710 antibiotic agent Drugs 0.000 description 1
- 229940100197 antimetabolite Drugs 0.000 description 1
- 239000002256 antimetabolite Substances 0.000 description 1
- ODKSFYDXXFIFQN-UHFFFAOYSA-N arginine Natural products OC(=O)C(N)CCCNC(N)=N ODKSFYDXXFIFQN-UHFFFAOYSA-N 0.000 description 1
- 159000000032 aromatic acids Chemical class 0.000 description 1
- 150000004945 aromatic hydrocarbons Chemical class 0.000 description 1
- 125000004429 atom Chemical group 0.000 description 1
- FIXLYHHVMHXSCP-UHFFFAOYSA-H azane;dihydroxy(dioxo)molybdenum;trioxomolybdenum;tetrahydrate Chemical compound N.N.N.N.N.N.O.O.O.O.O=[Mo](=O)=O.O=[Mo](=O)=O.O=[Mo](=O)=O.O=[Mo](=O)=O.O[Mo](O)(=O)=O.O[Mo](O)(=O)=O.O[Mo](O)(=O)=O FIXLYHHVMHXSCP-UHFFFAOYSA-H 0.000 description 1
- 125000000751 azo group Chemical group [*]N=N[*] 0.000 description 1
- RFRXIWQYSOIBDI-UHFFFAOYSA-N benzarone Chemical compound CCC=1OC2=CC=CC=C2C=1C(=O)C1=CC=C(O)C=C1 RFRXIWQYSOIBDI-UHFFFAOYSA-N 0.000 description 1
- WOUBWJAJSXAOIV-UHFFFAOYSA-N benzene-1,4-disulfonamide Chemical compound NS(=O)(=O)C1=CC=C(S(N)(=O)=O)C=C1 WOUBWJAJSXAOIV-UHFFFAOYSA-N 0.000 description 1
- 235000010233 benzoic acid Nutrition 0.000 description 1
- WQZGKKKJIJFFOK-VFUOTHLCSA-N beta-D-glucose Chemical compound OC[C@H]1O[C@@H](O)[C@H](O)[C@@H](O)[C@@H]1O WQZGKKKJIJFFOK-VFUOTHLCSA-N 0.000 description 1
- 229960001561 bleomycin Drugs 0.000 description 1
- OYVAGSVQBOHSSS-UAPAGMARSA-O bleomycin A2 Chemical class N([C@H](C(=O)N[C@H](C)[C@@H](O)[C@H](C)C(=O)N[C@@H]([C@H](O)C)C(=O)NCCC=1SC=C(N=1)C=1SC=C(N=1)C(=O)NCCC[S+](C)C)[C@@H](O[C@H]1[C@H]([C@@H](O)[C@H](O)[C@H](CO)O1)O[C@@H]1[C@H]([C@@H](OC(N)=O)[C@H](O)[C@@H](CO)O1)O)C=1N=CNC=1)C(=O)C1=NC([C@H](CC(N)=O)NC[C@H](N)C(N)=O)=NC(N)=C1C OYVAGSVQBOHSSS-UAPAGMARSA-O 0.000 description 1
- 239000012267 brine Substances 0.000 description 1
- GDTBXPJZTBHREO-UHFFFAOYSA-N bromine Substances BrBr GDTBXPJZTBHREO-UHFFFAOYSA-N 0.000 description 1
- 229910052794 bromium Inorganic materials 0.000 description 1
- 125000001246 bromo group Chemical group Br* 0.000 description 1
- 239000000872 buffer Substances 0.000 description 1
- KDYFGRWQOYBRFD-NUQCWPJISA-N butanedioic acid Chemical compound O[14C](=O)CC[14C](O)=O KDYFGRWQOYBRFD-NUQCWPJISA-N 0.000 description 1
- 159000000007 calcium salts Chemical class 0.000 description 1
- 244000309466 calf Species 0.000 description 1
- 201000011510 cancer Diseases 0.000 description 1
- 239000002775 capsule Substances 0.000 description 1
- 125000003917 carbamoyl group Chemical group [H]N([H])C(*)=O 0.000 description 1
- 239000001768 carboxy methyl cellulose Substances 0.000 description 1
- 150000001732 carboxylic acid derivatives Chemical class 0.000 description 1
- 230000003197 catalytic effect Effects 0.000 description 1
- 239000001913 cellulose Substances 0.000 description 1
- 229920002678 cellulose Polymers 0.000 description 1
- 238000005660 chlorination reaction Methods 0.000 description 1
- 239000000460 chlorine Substances 0.000 description 1
- 125000001309 chloro group Chemical group Cl* 0.000 description 1
- 229960002242 chlorocresol Drugs 0.000 description 1
- XTHPWXDJESJLNJ-UHFFFAOYSA-N chlorosulfonic acid Substances OS(Cl)(=O)=O XTHPWXDJESJLNJ-UHFFFAOYSA-N 0.000 description 1
- 235000017803 cinnamon Nutrition 0.000 description 1
- JTCXNGLQZYVVBF-UHFFFAOYSA-N cinnoline;quinazoline Chemical compound N1=NC=CC2=CC=CC=C21.N1=CN=CC2=CC=CC=C21 JTCXNGLQZYVVBF-UHFFFAOYSA-N 0.000 description 1
- DQLATGHUWYMOKM-UHFFFAOYSA-L cisplatin Chemical compound N[Pt](N)(Cl)Cl DQLATGHUWYMOKM-UHFFFAOYSA-L 0.000 description 1
- 229960004316 cisplatin Drugs 0.000 description 1
- 238000004040 coloring Methods 0.000 description 1
- 230000021615 conjugation Effects 0.000 description 1
- OXBLHERUFWYNTN-UHFFFAOYSA-M copper(I) chloride Chemical compound [Cu]Cl OXBLHERUFWYNTN-UHFFFAOYSA-M 0.000 description 1
- DOBRDRYODQBAMW-UHFFFAOYSA-N copper(i) cyanide Chemical compound [Cu+].N#[C-] DOBRDRYODQBAMW-UHFFFAOYSA-N 0.000 description 1
- 239000008120 corn starch Substances 0.000 description 1
- 229930003836 cresol Natural products 0.000 description 1
- 229940013361 cresol Drugs 0.000 description 1
- 229940045803 cuprous chloride Drugs 0.000 description 1
- 125000000113 cyclohexyl group Chemical group [H]C1([H])C([H])([H])C([H])([H])C([H])(*)C([H])([H])C1([H])[H] 0.000 description 1
- 125000001511 cyclopentyl group Chemical group [H]C1([H])C([H])([H])C([H])([H])C([H])(*)C1([H])[H] 0.000 description 1
- 229960004397 cyclophosphamide Drugs 0.000 description 1
- 125000001559 cyclopropyl group Chemical group [H]C1([H])C([H])([H])C1([H])* 0.000 description 1
- 229940127089 cytotoxic agent Drugs 0.000 description 1
- VRLDVERQJMEPIF-UHFFFAOYSA-N dbdmh Chemical compound CC1(C)N(Br)C(=O)N(Br)C1=O VRLDVERQJMEPIF-UHFFFAOYSA-N 0.000 description 1
- 238000011161 development Methods 0.000 description 1
- 229940117389 dichlorobenzene Drugs 0.000 description 1
- AVGAIPMGSIOHFZ-UHFFFAOYSA-N dichloromethane;2-propan-2-yloxypropane Chemical compound ClCCl.CC(C)OC(C)C AVGAIPMGSIOHFZ-UHFFFAOYSA-N 0.000 description 1
- 235000014113 dietary fatty acids Nutrition 0.000 description 1
- 125000006263 dimethyl aminosulfonyl group Chemical group [H]C([H])([H])N(C([H])([H])[H])S(*)(=O)=O 0.000 description 1
- SDHYIEQGIOHVFG-UHFFFAOYSA-M dimethylalumanylium;hexane;chloride Chemical compound [Cl-].C[Al+]C.CCCCCC SDHYIEQGIOHVFG-UHFFFAOYSA-M 0.000 description 1
- 239000007884 disintegrant Substances 0.000 description 1
- PSLIMVZEAPALCD-UHFFFAOYSA-N ethanol;ethoxyethane Chemical compound CCO.CCOCC PSLIMVZEAPALCD-UHFFFAOYSA-N 0.000 description 1
- BEFDCLMNVWHSGT-UHFFFAOYSA-N ethenylcyclopentane Chemical compound C=CC1CCCC1 BEFDCLMNVWHSGT-UHFFFAOYSA-N 0.000 description 1
- DQYBDCGIPTYXML-UHFFFAOYSA-N ethoxyethane;hydrate Chemical compound O.CCOCC DQYBDCGIPTYXML-UHFFFAOYSA-N 0.000 description 1
- FCZCIXQGZOUIDN-UHFFFAOYSA-N ethyl 2-diethoxyphosphinothioyloxyacetate Chemical compound CCOC(=O)COP(=S)(OCC)OCC FCZCIXQGZOUIDN-UHFFFAOYSA-N 0.000 description 1
- 235000019325 ethyl cellulose Nutrition 0.000 description 1
- 229920001249 ethyl cellulose Polymers 0.000 description 1
- DNJIEGIFACGWOD-UHFFFAOYSA-N ethyl mercaptane Natural products CCS DNJIEGIFACGWOD-UHFFFAOYSA-N 0.000 description 1
- VJJPUSNTGOMMGY-MRVIYFEKSA-N etoposide Chemical class COC1=C(O)C(OC)=CC([C@@H]2C3=CC=4OCOC=4C=C3[C@@H](O[C@H]3[C@@H]([C@@H](O)[C@@H]4O[C@H](C)OC[C@H]4O3)O)[C@@H]3[C@@H]2C(OC3)=O)=C1 VJJPUSNTGOMMGY-MRVIYFEKSA-N 0.000 description 1
- 229960005420 etoposide Drugs 0.000 description 1
- 238000000605 extraction Methods 0.000 description 1
- 239000000194 fatty acid Substances 0.000 description 1
- 229930195729 fatty acid Natural products 0.000 description 1
- 239000012894 fetal calf serum Substances 0.000 description 1
- 229910052731 fluorine Inorganic materials 0.000 description 1
- 125000001153 fluoro group Chemical group F* 0.000 description 1
- 229960002949 fluorouracil Drugs 0.000 description 1
- 239000001530 fumaric acid Substances 0.000 description 1
- 239000008273 gelatin Substances 0.000 description 1
- 229920000159 gelatin Polymers 0.000 description 1
- 235000019322 gelatine Nutrition 0.000 description 1
- 235000011852 gelatine desserts Nutrition 0.000 description 1
- 239000012362 glacial acetic acid Substances 0.000 description 1
- 239000008103 glucose Substances 0.000 description 1
- 229940093915 gynecological organic acid Drugs 0.000 description 1
- 235000001050 hortel pimenta Nutrition 0.000 description 1
- 150000004677 hydrates Chemical class 0.000 description 1
- 229910000037 hydrogen sulfide Inorganic materials 0.000 description 1
- 125000002349 hydroxyamino group Chemical group [H]ON([H])[*] 0.000 description 1
- 235000019447 hydroxyethyl cellulose Nutrition 0.000 description 1
- 239000001863 hydroxypropyl cellulose Substances 0.000 description 1
- 235000010977 hydroxypropyl cellulose Nutrition 0.000 description 1
- 239000001866 hydroxypropyl methyl cellulose Substances 0.000 description 1
- 235000010979 hydroxypropyl methyl cellulose Nutrition 0.000 description 1
- 229920003088 hydroxypropyl methyl cellulose Polymers 0.000 description 1
- UFVKGYZPFZQRLF-UHFFFAOYSA-N hydroxypropyl methyl cellulose Chemical compound OC1C(O)C(OC)OC(CO)C1OC1C(O)C(O)C(OC2C(C(O)C(OC3C(C(O)C(O)C(CO)O3)O)C(CO)O2)O)C(CO)O1 UFVKGYZPFZQRLF-UHFFFAOYSA-N 0.000 description 1
- 230000005918 in vitro anti-tumor Effects 0.000 description 1
- 238000001727 in vivo Methods 0.000 description 1
- PZOUSPYUWWUPPK-UHFFFAOYSA-N indole Natural products CC1=CC=CC2=C1C=CN2 PZOUSPYUWWUPPK-UHFFFAOYSA-N 0.000 description 1
- RKJUIXBNRJVNHR-UHFFFAOYSA-N indolenine Natural products C1=CC=C2CC=NC2=C1 RKJUIXBNRJVNHR-UHFFFAOYSA-N 0.000 description 1
- HOBCFUWDNJPFHB-UHFFFAOYSA-N indolizine Chemical compound C1=CC=CN2C=CC=C21 HOBCFUWDNJPFHB-UHFFFAOYSA-N 0.000 description 1
- 238000002347 injection Methods 0.000 description 1
- 239000007924 injection Substances 0.000 description 1
- 238000010255 intramuscular injection Methods 0.000 description 1
- 239000007927 intramuscular injection Substances 0.000 description 1
- 238000010253 intravenous injection Methods 0.000 description 1
- INQOMBQAUSQDDS-UHFFFAOYSA-N iodomethane Chemical compound IC INQOMBQAUSQDDS-UHFFFAOYSA-N 0.000 description 1
- 229910052742 iron Inorganic materials 0.000 description 1
- 125000002510 isobutoxy group Chemical group [H]C([H])([H])C([H])(C([H])([H])[H])C([H])([H])O* 0.000 description 1
- 125000004491 isohexyl group Chemical group C(CCC(C)C)* 0.000 description 1
- 238000002955 isolation Methods 0.000 description 1
- 125000001972 isopentyl group Chemical group [H]C([H])([H])C([H])(C([H])([H])[H])C([H])([H])C([H])([H])* 0.000 description 1
- 125000003253 isopropoxy group Chemical group [H]C([H])([H])C([H])(O*)C([H])([H])[H] 0.000 description 1
- JJWLVOIRVHMVIS-UHFFFAOYSA-N isopropylamine Chemical compound CC(C)N JJWLVOIRVHMVIS-UHFFFAOYSA-N 0.000 description 1
- 239000007951 isotonicity adjuster Substances 0.000 description 1
- 239000004310 lactic acid Substances 0.000 description 1
- 235000014655 lactic acid Nutrition 0.000 description 1
- 239000008101 lactose Substances 0.000 description 1
- 239000007788 liquid Substances 0.000 description 1
- 231100000053 low toxicity Toxicity 0.000 description 1
- 229960003511 macrogol Drugs 0.000 description 1
- 235000019359 magnesium stearate Nutrition 0.000 description 1
- RMGJCSHZTFKPNO-UHFFFAOYSA-M magnesium;ethene;bromide Chemical compound [Mg+2].[Br-].[CH-]=C RMGJCSHZTFKPNO-UHFFFAOYSA-M 0.000 description 1
- VZCYOOQTPOCHFL-UPHRSURJSA-N maleic acid Chemical compound OC(=O)\C=C/C(O)=O VZCYOOQTPOCHFL-UPHRSURJSA-N 0.000 description 1
- 239000011976 maleic acid Substances 0.000 description 1
- 229910052751 metal Chemical class 0.000 description 1
- 239000002184 metal Chemical class 0.000 description 1
- 229940098779 methanesulfonic acid Drugs 0.000 description 1
- QARBMVPHQWIHKH-UHFFFAOYSA-N methanesulfonyl chloride Chemical compound CS(Cl)(=O)=O QARBMVPHQWIHKH-UHFFFAOYSA-N 0.000 description 1
- 125000005948 methanesulfonyloxy group Chemical group 0.000 description 1
- 229960000485 methotrexate Drugs 0.000 description 1
- XMJHPCRAQCTCFT-UHFFFAOYSA-N methyl chloroformate Chemical compound COC(Cl)=O XMJHPCRAQCTCFT-UHFFFAOYSA-N 0.000 description 1
- 239000004292 methyl p-hydroxybenzoate Substances 0.000 description 1
- 235000010270 methyl p-hydroxybenzoate Nutrition 0.000 description 1
- NQMRYBIKMRVZLB-UHFFFAOYSA-N methylamine hydrochloride Chemical compound [Cl-].[NH3+]C NQMRYBIKMRVZLB-UHFFFAOYSA-N 0.000 description 1
- LXCFILQKKLGQFO-UHFFFAOYSA-N methylparaben Chemical compound COC(=O)C1=CC=C(O)C=C1 LXCFILQKKLGQFO-UHFFFAOYSA-N 0.000 description 1
- 229960002216 methylparaben Drugs 0.000 description 1
- XKBGEWXEAPTVCK-UHFFFAOYSA-M methyltrioctylammonium chloride Chemical compound [Cl-].CCCCCCCC[N+](C)(CCCCCCCC)CCCCCCCC XKBGEWXEAPTVCK-UHFFFAOYSA-M 0.000 description 1
- 229960004857 mitomycin Drugs 0.000 description 1
- 239000011259 mixed solution Substances 0.000 description 1
- DILRJUIACXKSQE-UHFFFAOYSA-N n',n'-dimethylethane-1,2-diamine Chemical compound CN(C)CCN DILRJUIACXKSQE-UHFFFAOYSA-N 0.000 description 1
- VMGAPWLDMVPYIA-HIDZBRGKSA-N n'-amino-n-iminomethanimidamide Chemical compound N\N=C\N=N VMGAPWLDMVPYIA-HIDZBRGKSA-N 0.000 description 1
- JFCHSQDLLFJHOA-UHFFFAOYSA-N n,n-dimethylsulfamoyl chloride Chemical compound CN(C)S(Cl)(=O)=O JFCHSQDLLFJHOA-UHFFFAOYSA-N 0.000 description 1
- XWIQNNLPZSTHAZ-UHFFFAOYSA-N n-(2-aminopyridin-3-yl)-3-chlorobenzenesulfonamide Chemical compound NC1=NC=CC=C1NS(=O)(=O)C1=CC=CC(Cl)=C1 XWIQNNLPZSTHAZ-UHFFFAOYSA-N 0.000 description 1
- YRAMWAWWZWNEDO-UHFFFAOYSA-N n-(2-anilinopyridin-3-yl)benzenesulfonamide Chemical class C=1C=CC=CC=1S(=O)(=O)NC1=CC=CN=C1NC1=CC=CC=C1 YRAMWAWWZWNEDO-UHFFFAOYSA-N 0.000 description 1
- VUGFNWIHTMDVQF-UHFFFAOYSA-N n-(3,4-dichloro-1h-indol-7-yl)-4-nitrobenzenesulfonamide Chemical compound C1=CC([N+](=O)[O-])=CC=C1S(=O)(=O)NC1=CC=C(Cl)C2=C1NC=C2Cl VUGFNWIHTMDVQF-UHFFFAOYSA-N 0.000 description 1
- YBLWNWYYCPTSHZ-UHFFFAOYSA-N n-(4-cyano-1h-indol-7-yl)-4-nitrobenzenesulfonamide Chemical compound C1=CC([N+](=O)[O-])=CC=C1S(=O)(=O)NC1=CC=C(C#N)C2=C1NC=C2 YBLWNWYYCPTSHZ-UHFFFAOYSA-N 0.000 description 1
- JQVNSAWMORAMBG-UHFFFAOYSA-N n-(5-bromo-3-cyano-1h-indol-7-yl)-4-nitrobenzenesulfonamide Chemical compound C1=CC([N+](=O)[O-])=CC=C1S(=O)(=O)NC1=CC(Br)=CC2=C1NC=C2C#N JQVNSAWMORAMBG-UHFFFAOYSA-N 0.000 description 1
- FHJHQTSLKLUVDH-UHFFFAOYSA-N n-[4-[tert-butyl(dimethyl)silyl]oxy-3-chloro-1h-indol-7-yl]-3-chlorobenzenesulfonamide Chemical compound C1=2NC=C(Cl)C=2C(O[Si](C)(C)C(C)(C)C)=CC=C1NS(=O)(=O)C1=CC=CC(Cl)=C1 FHJHQTSLKLUVDH-UHFFFAOYSA-N 0.000 description 1
- VBTQNRFWXBXZQR-UHFFFAOYSA-N n-bromoacetamide Chemical compound CC(=O)NBr VBTQNRFWXBXZQR-UHFFFAOYSA-N 0.000 description 1
- 125000006606 n-butoxy group Chemical group 0.000 description 1
- 125000001280 n-hexyl group Chemical group C(CCCCC)* 0.000 description 1
- 125000003506 n-propoxy group Chemical group [H]C([H])([H])C([H])([H])C([H])([H])O* 0.000 description 1
- 125000001971 neopentyl group Chemical group [H]C([*])([H])C(C([H])([H])[H])(C([H])([H])[H])C([H])([H])[H] 0.000 description 1
- 230000007935 neutral effect Effects 0.000 description 1
- 238000006386 neutralization reaction Methods 0.000 description 1
- 150000002825 nitriles Chemical class 0.000 description 1
- 150000002828 nitro derivatives Chemical class 0.000 description 1
- QJGQUHMNIGDVPM-UHFFFAOYSA-N nitrogen group Chemical group [N] QJGQUHMNIGDVPM-UHFFFAOYSA-N 0.000 description 1
- 125000000018 nitroso group Chemical group N(=O)* 0.000 description 1
- 238000011580 nude mouse model Methods 0.000 description 1
- 239000003921 oil Substances 0.000 description 1
- 230000003287 optical effect Effects 0.000 description 1
- 150000007524 organic acids Chemical class 0.000 description 1
- 235000005985 organic acids Nutrition 0.000 description 1
- 150000007530 organic bases Chemical class 0.000 description 1
- AICOOMRHRUFYCM-ZRRPKQBOSA-N oxazine, 1 Chemical compound C([C@@H]1[C@H](C(C[C@]2(C)[C@@H]([C@H](C)N(C)C)[C@H](O)C[C@]21C)=O)CC1=CC2)C[C@H]1[C@@]1(C)[C@H]2N=C(C(C)C)OC1 AICOOMRHRUFYCM-ZRRPKQBOSA-N 0.000 description 1
- 230000001590 oxidative effect Effects 0.000 description 1
- 150000002923 oximes Chemical class 0.000 description 1
- 239000003002 pH adjusting agent Substances 0.000 description 1
- 230000020477 pH reduction Effects 0.000 description 1
- 229940049954 penicillin Drugs 0.000 description 1
- 239000000825 pharmaceutical preparation Substances 0.000 description 1
- 230000000144 pharmacologic effect Effects 0.000 description 1
- 229960003742 phenol Drugs 0.000 description 1
- LFSXCDWNBUNEEM-UHFFFAOYSA-N phthalazine Chemical compound C1=NN=CC2=CC=CC=C21 LFSXCDWNBUNEEM-UHFFFAOYSA-N 0.000 description 1
- 229920002451 polyvinyl alcohol Polymers 0.000 description 1
- 235000019422 polyvinyl alcohol Nutrition 0.000 description 1
- XAEFZNCEHLXOMS-UHFFFAOYSA-M potassium benzoate Chemical compound [K+].[O-]C(=O)C1=CC=CC=C1 XAEFZNCEHLXOMS-UHFFFAOYSA-M 0.000 description 1
- 125000002924 primary amino group Chemical group [H]N([H])* 0.000 description 1
- PBMFSQRYOILNGV-UHFFFAOYSA-N pyridazine Chemical compound C1=CC=NN=C1 PBMFSQRYOILNGV-UHFFFAOYSA-N 0.000 description 1
- ZZYXNRREDYWPLN-UHFFFAOYSA-N pyridine-2,3-diamine Chemical compound NC1=CC=CN=C1N ZZYXNRREDYWPLN-UHFFFAOYSA-N 0.000 description 1
- 230000035484 reaction time Effects 0.000 description 1
- 238000009738 saturating Methods 0.000 description 1
- 125000002914 sec-butyl group Chemical group [H]C([H])([H])C([H])([H])C([H])(*)C([H])([H])[H] 0.000 description 1
- 125000003548 sec-pentyl group Chemical group [H]C([H])([H])C([H])([H])C([H])([H])C([H])(*)C([H])([H])[H] 0.000 description 1
- 230000035945 sensitivity Effects 0.000 description 1
- 238000013207 serial dilution Methods 0.000 description 1
- 235000012239 silicon dioxide Nutrition 0.000 description 1
- 239000011734 sodium Substances 0.000 description 1
- 229910052708 sodium Inorganic materials 0.000 description 1
- 239000012419 sodium bis(2-methoxyethoxy)aluminum hydride Substances 0.000 description 1
- 239000012279 sodium borohydride Substances 0.000 description 1
- 229910000033 sodium borohydride Inorganic materials 0.000 description 1
- 235000019812 sodium carboxymethyl cellulose Nutrition 0.000 description 1
- 229920001027 sodium carboxymethylcellulose Polymers 0.000 description 1
- HRZFUMHJMZEROT-UHFFFAOYSA-L sodium disulfite Chemical compound [Na+].[Na+].[O-]S(=O)S([O-])(=O)=O HRZFUMHJMZEROT-UHFFFAOYSA-L 0.000 description 1
- 239000012312 sodium hydride Substances 0.000 description 1
- 229910000104 sodium hydride Inorganic materials 0.000 description 1
- 229940054269 sodium pyruvate Drugs 0.000 description 1
- 159000000000 sodium salts Chemical class 0.000 description 1
- 235000010265 sodium sulphite Nutrition 0.000 description 1
- 239000007787 solid Substances 0.000 description 1
- 239000004334 sorbic acid Substances 0.000 description 1
- 235000010199 sorbic acid Nutrition 0.000 description 1
- 229940075582 sorbic acid Drugs 0.000 description 1
- 239000000600 sorbitol Substances 0.000 description 1
- 229960005322 streptomycin Drugs 0.000 description 1
- 238000010254 subcutaneous injection Methods 0.000 description 1
- 239000007929 subcutaneous injection Substances 0.000 description 1
- 239000000126 substance Substances 0.000 description 1
- 239000005720 sucrose Substances 0.000 description 1
- FDDDEECHVMSUSB-UHFFFAOYSA-N sulfanilamide Chemical compound NC1=CC=C(S(N)(=O)=O)C=C1 FDDDEECHVMSUSB-UHFFFAOYSA-N 0.000 description 1
- BDHFUVZGWQCTTF-UHFFFAOYSA-M sulfonate Chemical compound [O-]S(=O)=O BDHFUVZGWQCTTF-UHFFFAOYSA-M 0.000 description 1
- YBBRCQOCSYXUOC-UHFFFAOYSA-N sulfuryl dichloride Chemical compound ClS(Cl)(=O)=O YBBRCQOCSYXUOC-UHFFFAOYSA-N 0.000 description 1
- 239000006228 supernatant Substances 0.000 description 1
- 239000000725 suspension Substances 0.000 description 1
- 208000024891 symptom Diseases 0.000 description 1
- 239000000454 talc Substances 0.000 description 1
- 229910052623 talc Inorganic materials 0.000 description 1
- 125000004213 tert-butoxy group Chemical group [H]C([H])([H])C(O*)(C([H])([H])[H])C([H])([H])[H] 0.000 description 1
- 125000000999 tert-butyl group Chemical group [H]C([H])([H])C(*)(C([H])([H])[H])C([H])([H])[H] 0.000 description 1
- 125000001973 tert-pentyl group Chemical group [H]C([H])([H])C([H])([H])C(*)(C([H])([H])[H])C([H])([H])[H] 0.000 description 1
- 150000003512 tertiary amines Chemical class 0.000 description 1
- 229930192474 thiophene Natural products 0.000 description 1
- 125000000464 thioxo group Chemical group S=* 0.000 description 1
- 239000011135 tin Substances 0.000 description 1
- 229910052718 tin Inorganic materials 0.000 description 1
- LMYRWZFENFIFIT-UHFFFAOYSA-N toluene-4-sulfonamide Chemical compound CC1=CC=C(S(N)(=O)=O)C=C1 LMYRWZFENFIFIT-UHFFFAOYSA-N 0.000 description 1
- 235000010487 tragacanth Nutrition 0.000 description 1
- 239000000196 tragacanth Substances 0.000 description 1
- 229940116362 tragacanth Drugs 0.000 description 1
- OGWKCGZFUXNPDA-XQKSVPLYSA-N vincristine Chemical class C([N@]1C[C@@H](C[C@]2(C(=O)OC)C=3C(=CC4=C([C@]56[C@H]([C@@]([C@H](OC(C)=O)[C@]7(CC)C=CCN([C@H]67)CC5)(O)C(=O)OC)N4C=O)C=3)OC)C[C@@](C1)(O)CC)CC1=C2NC2=CC=CC=C12 OGWKCGZFUXNPDA-XQKSVPLYSA-N 0.000 description 1
- OGWKCGZFUXNPDA-UHFFFAOYSA-N vincristine Chemical class C1C(CC)(O)CC(CC2(C(=O)OC)C=3C(=CC4=C(C56C(C(C(OC(C)=O)C7(CC)C=CCN(C67)CC5)(O)C(=O)OC)N4C=O)C=3)OC)CN1CCC1=C2NC2=CC=CC=C12 OGWKCGZFUXNPDA-UHFFFAOYSA-N 0.000 description 1
- 229960004528 vincristine Drugs 0.000 description 1
- 238000005406 washing Methods 0.000 description 1
- DGVVWUTYPXICAM-UHFFFAOYSA-N β‐Mercaptoethanol Chemical compound OCCS DGVVWUTYPXICAM-UHFFFAOYSA-N 0.000 description 1
Classifications
-
- C—CHEMISTRY; METALLURGY
- C07—ORGANIC CHEMISTRY
- C07D—HETEROCYCLIC COMPOUNDS
- C07D231/00—Heterocyclic compounds containing 1,2-diazole or hydrogenated 1,2-diazole rings
- C07D231/54—Heterocyclic compounds containing 1,2-diazole or hydrogenated 1,2-diazole rings condensed with carbocyclic rings or ring systems
- C07D231/56—Benzopyrazoles; Hydrogenated benzopyrazoles
-
- A—HUMAN NECESSITIES
- A61—MEDICAL OR VETERINARY SCIENCE; HYGIENE
- A61P—SPECIFIC THERAPEUTIC ACTIVITY OF CHEMICAL COMPOUNDS OR MEDICINAL PREPARATIONS
- A61P35/00—Antineoplastic agents
-
- C—CHEMISTRY; METALLURGY
- C07—ORGANIC CHEMISTRY
- C07D—HETEROCYCLIC COMPOUNDS
- C07D209/00—Heterocyclic compounds containing five-membered rings, condensed with other rings, with one nitrogen atom as the only ring hetero atom
- C07D209/02—Heterocyclic compounds containing five-membered rings, condensed with other rings, with one nitrogen atom as the only ring hetero atom condensed with one carbocyclic ring
- C07D209/04—Indoles; Hydrogenated indoles
- C07D209/08—Indoles; Hydrogenated indoles with only hydrogen atoms or radicals containing only hydrogen and carbon atoms, directly attached to carbon atoms of the hetero ring
-
- C—CHEMISTRY; METALLURGY
- C07—ORGANIC CHEMISTRY
- C07D—HETEROCYCLIC COMPOUNDS
- C07D209/00—Heterocyclic compounds containing five-membered rings, condensed with other rings, with one nitrogen atom as the only ring hetero atom
- C07D209/02—Heterocyclic compounds containing five-membered rings, condensed with other rings, with one nitrogen atom as the only ring hetero atom condensed with one carbocyclic ring
- C07D209/04—Indoles; Hydrogenated indoles
- C07D209/10—Indoles; Hydrogenated indoles with substituted hydrocarbon radicals attached to carbon atoms of the hetero ring
- C07D209/12—Radicals substituted by oxygen atoms
-
- C—CHEMISTRY; METALLURGY
- C07—ORGANIC CHEMISTRY
- C07D—HETEROCYCLIC COMPOUNDS
- C07D209/00—Heterocyclic compounds containing five-membered rings, condensed with other rings, with one nitrogen atom as the only ring hetero atom
- C07D209/02—Heterocyclic compounds containing five-membered rings, condensed with other rings, with one nitrogen atom as the only ring hetero atom condensed with one carbocyclic ring
- C07D209/04—Indoles; Hydrogenated indoles
- C07D209/30—Indoles; Hydrogenated indoles with hetero atoms or with carbon atoms having three bonds to hetero atoms with at the most one bond to halogen, directly attached to carbon atoms of the hetero ring
-
- C—CHEMISTRY; METALLURGY
- C07—ORGANIC CHEMISTRY
- C07D—HETEROCYCLIC COMPOUNDS
- C07D209/00—Heterocyclic compounds containing five-membered rings, condensed with other rings, with one nitrogen atom as the only ring hetero atom
- C07D209/02—Heterocyclic compounds containing five-membered rings, condensed with other rings, with one nitrogen atom as the only ring hetero atom condensed with one carbocyclic ring
- C07D209/04—Indoles; Hydrogenated indoles
- C07D209/30—Indoles; Hydrogenated indoles with hetero atoms or with carbon atoms having three bonds to hetero atoms with at the most one bond to halogen, directly attached to carbon atoms of the hetero ring
- C07D209/32—Oxygen atoms
- C07D209/34—Oxygen atoms in position 2
-
- C—CHEMISTRY; METALLURGY
- C07—ORGANIC CHEMISTRY
- C07D—HETEROCYCLIC COMPOUNDS
- C07D209/00—Heterocyclic compounds containing five-membered rings, condensed with other rings, with one nitrogen atom as the only ring hetero atom
- C07D209/02—Heterocyclic compounds containing five-membered rings, condensed with other rings, with one nitrogen atom as the only ring hetero atom condensed with one carbocyclic ring
- C07D209/04—Indoles; Hydrogenated indoles
- C07D209/30—Indoles; Hydrogenated indoles with hetero atoms or with carbon atoms having three bonds to hetero atoms with at the most one bond to halogen, directly attached to carbon atoms of the hetero ring
- C07D209/42—Carbon atoms having three bonds to hetero atoms with at the most one bond to halogen, e.g. ester or nitrile radicals
-
- C—CHEMISTRY; METALLURGY
- C07—ORGANIC CHEMISTRY
- C07D—HETEROCYCLIC COMPOUNDS
- C07D401/00—Heterocyclic compounds containing two or more hetero rings, having nitrogen atoms as the only ring hetero atoms, at least one ring being a six-membered ring with only one nitrogen atom
- C07D401/02—Heterocyclic compounds containing two or more hetero rings, having nitrogen atoms as the only ring hetero atoms, at least one ring being a six-membered ring with only one nitrogen atom containing two hetero rings
- C07D401/12—Heterocyclic compounds containing two or more hetero rings, having nitrogen atoms as the only ring hetero atoms, at least one ring being a six-membered ring with only one nitrogen atom containing two hetero rings linked by a chain containing hetero atoms as chain links
-
- C—CHEMISTRY; METALLURGY
- C07—ORGANIC CHEMISTRY
- C07D—HETEROCYCLIC COMPOUNDS
- C07D403/00—Heterocyclic compounds containing two or more hetero rings, having nitrogen atoms as the only ring hetero atoms, not provided for by group C07D401/00
- C07D403/02—Heterocyclic compounds containing two or more hetero rings, having nitrogen atoms as the only ring hetero atoms, not provided for by group C07D401/00 containing two hetero rings
- C07D403/12—Heterocyclic compounds containing two or more hetero rings, having nitrogen atoms as the only ring hetero atoms, not provided for by group C07D401/00 containing two hetero rings linked by a chain containing hetero atoms as chain links
-
- C—CHEMISTRY; METALLURGY
- C07—ORGANIC CHEMISTRY
- C07D—HETEROCYCLIC COMPOUNDS
- C07D405/00—Heterocyclic compounds containing both one or more hetero rings having oxygen atoms as the only ring hetero atoms, and one or more rings having nitrogen as the only ring hetero atom
- C07D405/02—Heterocyclic compounds containing both one or more hetero rings having oxygen atoms as the only ring hetero atoms, and one or more rings having nitrogen as the only ring hetero atom containing two hetero rings
- C07D405/12—Heterocyclic compounds containing both one or more hetero rings having oxygen atoms as the only ring hetero atoms, and one or more rings having nitrogen as the only ring hetero atom containing two hetero rings linked by a chain containing hetero atoms as chain links
-
- C—CHEMISTRY; METALLURGY
- C07—ORGANIC CHEMISTRY
- C07D—HETEROCYCLIC COMPOUNDS
- C07D409/00—Heterocyclic compounds containing two or more hetero rings, at least one ring having sulfur atoms as the only ring hetero atoms
- C07D409/02—Heterocyclic compounds containing two or more hetero rings, at least one ring having sulfur atoms as the only ring hetero atoms containing two hetero rings
- C07D409/12—Heterocyclic compounds containing two or more hetero rings, at least one ring having sulfur atoms as the only ring hetero atoms containing two hetero rings linked by a chain containing hetero atoms as chain links
-
- C—CHEMISTRY; METALLURGY
- C07—ORGANIC CHEMISTRY
- C07D—HETEROCYCLIC COMPOUNDS
- C07D471/00—Heterocyclic compounds containing nitrogen atoms as the only ring hetero atoms in the condensed system, at least one ring being a six-membered ring with one nitrogen atom, not provided for by groups C07D451/00 - C07D463/00
- C07D471/02—Heterocyclic compounds containing nitrogen atoms as the only ring hetero atoms in the condensed system, at least one ring being a six-membered ring with one nitrogen atom, not provided for by groups C07D451/00 - C07D463/00 in which the condensed system contains two hetero rings
- C07D471/04—Ortho-condensed systems
-
- C—CHEMISTRY; METALLURGY
- C07—ORGANIC CHEMISTRY
- C07D—HETEROCYCLIC COMPOUNDS
- C07D487/00—Heterocyclic compounds containing nitrogen atoms as the only ring hetero atoms in the condensed system, not provided for by groups C07D451/00 - C07D477/00
- C07D487/02—Heterocyclic compounds containing nitrogen atoms as the only ring hetero atoms in the condensed system, not provided for by groups C07D451/00 - C07D477/00 in which the condensed system contains two hetero rings
- C07D487/04—Ortho-condensed systems
Landscapes
- Chemical & Material Sciences (AREA)
- Organic Chemistry (AREA)
- Health & Medical Sciences (AREA)
- Life Sciences & Earth Sciences (AREA)
- General Health & Medical Sciences (AREA)
- Medicinal Chemistry (AREA)
- Nuclear Medicine, Radiotherapy & Molecular Imaging (AREA)
- Pharmacology & Pharmacy (AREA)
- Chemical Kinetics & Catalysis (AREA)
- Animal Behavior & Ethology (AREA)
- General Chemical & Material Sciences (AREA)
- Public Health (AREA)
- Veterinary Medicine (AREA)
- Pharmaceuticals Containing Other Organic And Inorganic Compounds (AREA)
- Plural Heterocyclic Compounds (AREA)
- Nitrogen Condensed Heterocyclic Rings (AREA)
- Indole Compounds (AREA)
Description
【産業上の利用分野】
本発明は新規なスルホンアミド誘導体、その製造法及び該化合物を有効成分とする医薬組成物に関する。
【0002】
【従来の技術】
癌の化学療法剤として従来用いられているものには、アルキル化剤のサイクロホスファミド、代謝拮抗剤のメトトレキセート、フルオロウラシル、抗生物質のアドリアマイシン、マイトマイシン、ブレオマイシン、植物由来のビンクリスチン、エトポシド、金属錯体のシスプラチンなど多くの薬剤があるが、いずれもその抗腫瘍効果は不十分であり、新しい抗腫瘍剤の開発が切望されている。
【0003】
また、芳香族スルホンアミド系抗腫瘍性化合物としては、4−アミノベンゼンスルホンアミド誘導体(特公昭43−3093)、2−スルファニルアミド−キノキサリン誘導体(特開昭62−426 )およびN−(2−アニリノ−3−ピリジニル)ベンゼンスルホンアミド誘導体(特開平5−39256 )が報告されている。芳香族スルホン酸エステル系抗腫瘍性化合物についてはまだ報告がない。
【0004】
【発明が解決しようとする課題】
本発明は、優れた抗腫瘍活性を有し、従来の抗腫瘍性 化合物とは基本骨格が異なる新規スルホンアミド誘導体の提供を目的とする。さらに該 化合物の製造法および該化合物を有効成分とする医薬組成物をも提供することを目的と する。
【0005】
【課題を解決するための手段】
本発明者らは、上記趣旨に鑑み、優れた抗腫瘍性化合物を求めて鋭意研究を行ってきた結果、二環式ヘテロ環を有する新規スルホンアミド誘導体が優れた抗腫瘍活性を有し、かつ低毒性であることを見出し、本発明を完成した。
【0006】
すなわち、本発明は一般式(I)
【0007】
【化8】
【0008】
(式中、A環は置換基を有していてもよい、単環式または二環式芳香環を、B環は置換基を有していてもよい、6員環式不飽和炭化水素またはヘテロ原子として窒素原子を1個のみ含む不飽和6員ヘテロ環を、C環は置換基を有していてもよい、窒素原子を1または2個のみ含む5員ヘテロ環を、Wは単結合または−CH=CH−を、Xは−N(R 1 )−を、Yは炭素原子または窒素原子を、Zは−N(R2)−または窒素原子を、R1およびR2は同一または異なって水素原子または低級アルキル基を、意味する。但し、(1)A環が4−メチルベンゼンであり、Wが単結合であり、Xが−NH−であり、B環がメトキシベンゼンであり、かつC環が無置換のイミダゾールである組み合わせ、(2)A環が4−(アセトアミド)ベンゼンまたは4−アミノベンゼンであり、Wが単結合であり、Xが−NH−であり、B環が無置換のベンゼンであり、かつC環が無置換のピラゾールである組み合わせ、(3)Yが炭素原子でありC環がイミダゾリル基である化合物、(4)5,5’−ジメチル−7,7’−ビス(p−トルエンスルホンアミド)−2,2’−ビスインダゾール、および(5)2−アセチル−7−ベンゼンスルホンアミド−3−(2−ベンゼンスルホンアミドエチル)−6−メトキシインドールを除く)で表わされるスルホンアミド誘導体またはその薬理学的に許容される塩に関する。
【0009】
上記一般式(I)において、A環の意味する「置換基を有していてもよい、単環式または二環式芳香環」とは、芳香族炭化水素、または窒素原子、酸素原子および硫黄原子のうち少なくとも1個を含む芳香族ヘテロ環であり、当該環上には置換基1〜3個があってもよい。A環に含まれる主な芳香環を例示すると、ピロール、ピラゾール、イミダゾール、チオフェン、フラン、チアゾール、オキサゾール、ベンゼン、ピリジン、ピリミジン、ピラジン、ピリダジン、ナフタレン、キノリン、イソキノリン、フタラジン、ナフチリジン、キノキサリン、キナゾリン、シンノリン、インドール、イソインドール、インドリジン、インダゾール、ベンゾフラン、ベンゾチオフェン、ベンズオキサゾール、ベンズイミダゾール、ベンゾピラゾール、ベンゾチアゾールなどがある。上記芳香環は置換基1〜3個を有していてもよく、置換基が複数個ある場合には、同一または異なっていてもよい。置換基としては、例えば、低級アルキル基または低級シクロアルキル基で置換されていてもよいアミノ基、低級アルキル基、低級アルコキシ基、水酸基、ニトロ基、メルカプト基、シアノ基、低級アルキルチオ基、ハロゲン基、式−a−b[式中、aは単結合、−(CH2 )k −、−O−(CH2 )k −、−S−(CH2 )k −または−N(R3 )−(CH2 )k −を、kは1〜5の整数を、R3 は水素原子または低級アルキル基を、bは−CH2 −d(式中、dは低級アルキル基で置換されていてもよいアミノ基、ハロゲン基、水酸基、低級アルキルチオ基、シアノ基または低級アルコキシ基を意味する)を意味する]で示される基、式−a−e−f[式中、aは前記と同じ意味を、eは−S(O)−または−S(O)2 −を、fは低級アルキル基または低級アルコキシ基で置換されていてもよいアミノ基、低級アルキル基、トリフルオロメチル基、−(CH2 )m −bまたは−N(R4 )−(CH2 )m −b(式中、bは前記と同じ意味を示し、R4 は水素原子または低級アルキル基を、mは1〜5の整数を意味する)を意味する]で示される基、式−a−g−h[式中、aは前記と同じ意味を示し、gは−C(O)−または−C(S)−を、hは低級アルキル基で置換されていてもよいアミノ基、水酸基、低級アルキル基、低級アルコキシ基、−(CH2 )n −bまたは−N(R5 )−(CH2 )n −b(式中、bは前記と同じ意味を示し、R5 は水素原子または低級アルキル基を、nは1〜5の整数を意味する)を意味する]で示される基、式−a−N(R6 )−g−i[式中、aおよびgは前記と同じ意味を示し、R6 は水素原子または低級アルキル基を、iは水素原子、低級アルコキシ基またはf(fは前記と同じ意味を示す)を意味する]で示される基、式−a−N(R7 )−e−f(式中、a、eおよびfは前記と同じ意味を示し、R7 は水素原子または低級アルキル基を意味する)で示される基、または式−(CH2 )p −j−(CH2 )q −b(式中、jは酸素原子または硫黄原子を意味し、bは前記と同じ意味を示し、pおよびqは同一または異なって1〜5の整数を意味する)で示される基などを挙げることができる。
【0010】
上記置換基例において、アミノ基が2個のアルキル基で置換されている場合には、これらのアルキル基が結合して5または6員環を形成していてもよい。また、A環が水酸基またはメルカプト基を有する含窒素ヘテロ環である場合には、これらの基が共鳴構造をとることにより、オキソ基またはチオキソ基の形になっていてもよい。
B環の意味する「置換基を有していてもよい、6員環式不飽和炭化水素またはヘテロ原子として窒素原子を1個含む不飽和6員ヘテロ環」とは、一部が水素化されていてもよい、ベンゼンまたはピリジンであり、当該環上に置換基1または2個を有していてもよく、置換基が2個ある場合には同一または異なっていてもよい。
C環の意味する「置換基を有していてもよい、窒素原子を1または2個含む5員ヘテロ環」とは、一部が水素化されていてもよい、ピロール、ピラゾール、イミダゾールであり、当該環上に置換基1または2個を有していてもよく、置換基が2個ある場合には同一または異なっていてもよい。
B環およびC環が有していてもよい置換基としては、例えば、ハロゲン基、シアノ基、低級アルキル基、低級アルコキシ基、水酸基、オキソ基、式−C(O)−r(式中、rは水素原子、低級アルキル基で置換されていてもよいアミノ基、低級アルキル基、低級アルコキシ基または水酸基を意味する)、低級アルキル基で置換されていてもよいアミノ基、トリフルオロメチル基などを挙げることができる。
【0011】
上記一般式(I)において、R1、R2、A環、B環およびC環が有していてもよい置換基の定義中の低級アルキル基としては、炭素数1〜6の直鎖もしくは分岐状のアルキル基、例えばメチル基、エチル基、n−プロピル基、イソプロピル基、n−ブチル基、イソブチル基、sec−ブチル基、tert−ブチル基、n−ペンチル基(アミル基)、イソペンチル基、ネオペンチル基、tert−ペンチル基、1−メチルブチル基、2−メチルブチル基、1,2−ジメチルプロピル基、n−ヘキシル基、イソヘキシル基、1−メチルペンチル基、2−メチルペンチル基、3−メチルペンチル基、1,1−ジメチルブチル基、1,2−ジメチルブチル基、2,2−ジメチルブチル基、1,3−ジメチルブチル基、2,3−ジメチルブチル基、3,3−ジメチルブチル基、1−エチルブチル基、2−エチルブチル基、1,1,2−トリメチルプロピル基、1,2,2−トリメチルプロピル基、1−エチル−1−メチルプロピル基、1−エチル−2−メチルプロピル基などを意味する。これらのうち好ましい基としては、メチル基、エチル基、n−プロピル基、イソプロピル基、n−ブチル基、イソブチル基などを挙げることができ、これらのうち、最も好ましい基としてはメチル基、エチル基、n−プロピル基、イソプロピル基を挙げることができる。
特に、「R 1 およびR 2 における低級アルキル基」とは、炭素数1〜6の直鎖もしくは分岐状のアルキル基を意味する。
【0012】
A環が有していてもよい置換基の定義中の低級シクロアルキル基としては、シクロプロピル基、シクロペンチル基、シクロヘキシル基などを挙げることができる。 A環、B環およびC環が有していてもよい置換基の定義中の低級アルコキシ基とは、メトキシ基、エトキシ基、n−プロポキシ基、イソプロポキシ基、n−ブトキシ基、イソブトキシ基、tert−ブトキシ基など上記の低級アルキル基から誘導される低級アルコキシ基を意味するが、これらのうち最も好ましい基としてはメトキシ基、エトキシ基を挙げることができる。またハロゲン原子としてはフッ素原子、塩素原子、臭素原子などが挙げられる。
【0013】
上記一般式(I)で示されるスルホンアミド誘導体は酸または塩基と塩を形成する場合もある。本発明は化合物(I)の塩をも包含する。酸との塩としては、たとえば塩酸塩、臭化水素酸塩、硫酸塩等の無機酸塩や酢酸、乳酸、コハク酸、フマル酸、マレイン酸、クエン酸、安息香酸、メタンスルホン酸、p−トルエンスルホン酸などの有機酸との塩を挙げることができる。また、塩基との塩としては、ナトリウム塩、カリウム塩、カルシウム塩などの無機塩、トリエチルアミン、アルギニン、リジン等の有機塩基との塩を挙げることができる。
【0014】
また、これら化合物の水和物はもちろんのこと光学異性体が存在する場合はそれらすべてが含まれることはいうまでもない。また、本発明化合物は強い抗腫瘍活性を示すが、生体内で酸化、還元、加水分解、抱合などの代謝を受けて抗腫瘍活性を示す化合物をも包含する。またさらに、本発明は生体内で酸化、還元、加水分解などの代謝を受けて本発明化合物を生成する化合物をも包含する。
【0015】
次に本発明化合物(I)は種々の方法によって製造することができるが、それらのうち代表的な方法を示せば、以下の通りである。
1)一般式(II)
【0016】
【化9】
【0017】
(式中、Aa環は保護されたまたは保護されていない置換基を有していてもよい、単環式または二環式芳香環を意味し、Wは前記と同じ意味を示す)で表わされるスルホン酸またはその反応性誘導体と一般式(III )
【0018】
【化10】
【0019】
(式中、Ba環は保護されたまたは保護されていない置換基を有していてもよい、6員環式不飽和炭化水素またはヘテロ原子として窒素原子を1個のみ含む不飽和6員ヘテロ環を、Ca環は保護されたまたは保護されていない置換基を有していてもよい、窒素原子を1または2個のみ含む5員ヘテロ環を意味し、X、YおよびZは前記と同じ意味を示す)で表わされる化合物を反応させることにより製造することができる。
【0020】
スルホン酸(II)の反応性誘導体としては、例えばハロゲン化スルホニル、スルホン酸無水物、N−スルホニルイミダゾリドなどのような一般的によく利用される反応性誘導体を挙げることができるが、特に好適な例はハロゲン化スルホニルである。反応に使用する溶媒は特に限定されないが、原料物質を溶解し、かつこれらと容易に反応しないものが望ましく、例えばピリジン、テトラヒドロフラン、ジオキサン、ベンゼン、エチルエーテル、ジクロロメタン、ジメチルホルムアミド、あるいはこれらから選ばれた2種以上の混合溶媒などが利用され得る。また、本反応においてハロゲン化スルホニルを用いた場合の如く、反応の進行に伴い酸が遊離してくる場合には、適当な脱酸剤の存在下に行われるのが好ましいので、ピリジンのような塩基性溶媒の使用は特に好適である。中性溶媒を使用するときは、炭酸アルカリ、有機第3級アミンなどの塩基性物質を添加してもよい。勿論、使用し得る溶媒はここに挙げたものに限定されるものではない。一般に本反応は室温で進行するが、必要に応じて冷却または加熱してもよい。反応時間は通常10分〜20時間であるが、原料化合物の種類、反応温度によって任意に選ばれる。得られた生成物において、アミノ基または水酸基が保護されている場合には、所望により酸処理、アルカリ処理、接触還元など通常の脱保護法を行うことにより、遊離の水酸基またはアミノ基を有するスルホンアミド誘導体(I)を得ることが可能である。
【0021】
2)一般式(IV)
【0022】
【化11】
【0023】
(式中、Aa環、Ba環、W、XおよびZは前記と同じ意味を示す)で表わされる化合物をハロゲン化剤と反応させることにより製造することができる。ハロゲン化剤としては、N−クロロコハク酸イミド、N−ブロモコハク酸イミド、1,3−ジブロモ−5,5−ジメチルヒダントイン、N−ブロモアセトアミド、塩素、臭素などを例示することができる。反応に使用する溶媒は特に限定されないが、通常ジクロロメタン、クロロホルム、四塩化炭素等の塩化アルキル化合物やクロロベンゼン、ジクロロベンゼン等の芳香族塩化物等が使用されるが、ジメチルホルムアミド、ジオキサン、ピリジン、アセトニトリル等の水溶性溶媒も使用することができる。反応温度はハロゲン化剤および基質の種類によって異なるが、通常−50℃から 100℃の間で行われる。得られた生成物において、アミノ基または水酸基が保護されている場合には、所望により酸処理、アルカリ処理、接触還元など通常の脱保護法を行うことにより、遊離の水酸基またはアミノ基を有するスルホンアミド誘導体(I)を得ることが可能である。
【0024】
3)一般式(V)
【0025】
【化12】
【0026】
(式中、Aa環、Ba環、W、XおよびZは前記と同じ意味を示し、Eは脱水によりシアノ基へ変換可能な置換基を意味する)で表わされる化合物を脱水剤と反応させることにより製造することができる。脱水によりシアノ基へ変換可能な置換基としては、例えば(ヒドロキシイミノ)メチル基、カルバモイル基などを挙げることができる。また、原料のアルデヒドまたはカルボン酸からまずオキシムまたは酸アミドを合成し、これを単離することなく脱水剤と反応させることも可能である。脱水剤としてはニトリルの合成に一般に用いられる方法、例えば無水酢酸、塩化チオニル、オキシ塩化リン、二酸化セレン、1,3−ジシクロヘキシルカルボジイミドなどを挙げることができる。反応に使用する溶媒は特に限定されないが、原料物質を溶解し、かつこれらと容易に反応しないものが望ましく、例えばピリジン、エチルエーテル、ベンゼン、ジメチルホルムアミド、四塩化炭素、アセトニトリル、テトラヒドロフラン、あるいはこれらから選ばれた2種以上の混合溶媒などが利用され得る。反応温度は脱水剤および基質の種類によって異なるが、通常−50℃から 150℃の間で行われる。得られた生成物において、アミノ基または水酸基が保護されている場合には、所望により酸処理、アルカリ処理、接触還元など通常の脱保護法を行うことにより、遊離の水酸基またはアミノ基を有するスルホンアミド誘導体(I)を得ることが可能である。
【0027】
4)一般式(VI)
【0028】
【化13】
【0029】
(式中、Ab環は、還元によりアミノ基へ変換可能な置換基を有し、他に保護されたまたは保護されていない置換基を有していてもよい、単環式または二環式芳香環を意味し、Ba環、Ca環、W、X、YおよびZは前記と同じ意味を示す)で表わされる化合物を還元剤と反応させることにより製造することができる。還元によりアミノ基へ変換可能な置換基としてはニトロ基、ニトロソ基、ヒドロキシアミノ基、アゾ基などがある。還元には、一般に用いられるニトロ基の還元法を使用することができるが、好ましい例としてはパラジウム−炭素、酸化白金等を触媒とした接触還元や亜鉛、鉄またはスズと酸による還元等を挙げることができる。接触還元は通常メタノール、テトラヒドロフラン、ジメチルホルムアミドなどの有機溶媒中、常圧または加圧下で行うことができる。得られた生成物において、水酸基が保護されている場合には、所望により酸処理、アルカリ処理、接触還元など通常の脱保護法を行うことにより、遊離の水酸基を有するスルホンアミド誘導体(I)を得ることが可能である。
【0030】
5)一般式(VII )
【0031】
【化14】
【0032】
(式中、Ac環は、脱離基を環上または置換基中に有し、他に保護されたまたは保護されていない置換基を有していてもよい、単環式または二環式芳香環を意味し、Ba環、Ca環、W、X、YおよびZは前記と同じ意味を示す)で表わされる化合物を求核剤と反応させることにより製造することができる。脱離基としては、例えばハロゲン基、メタンスルホニルオキシ基、p−トルエンスルホニルオキシ基などを挙げることができる。求核剤としては、例えばアミン類、アルコール類、チオール類などを挙げることができる。アルコール類、チオール類などの場合にはアルカリ金属などとの塩の形で反応させてもよい。反応に使用する溶媒は特に限定されないが、原料物質を溶解し、かつこれらと容易に反応しないものが望ましく、例えば、テトラヒドロフラン、ジオキサン、ジメチルホルムアミド、水などが利用され得る。反応温度は基質の種類によって異なるが、通常−50℃から 150℃の間で行われる。得られた生成物において、アミノ基または水酸基が保護されている場合には、所望により酸処理、アルカリ処理、接触還元など通常の脱保護法を行うことにより、遊離の水酸基またはアミノ基を有するスルホンアミド誘導体(I)を得ることが可能である。
【0033】
次に本発明に用いられる原料化合物(II)およびその反応性誘導体ならびに(III)を製造する方法について説明する。原料化合物(II)およびその反応性誘導体には公知化合物および新規化合物が含まれる。新規化合物の場合、既に報告されている公知化合物の合成法を応用することにより、または、それらを組み合わせることにより製造することが可能である。例えば、新規スルホニルクロリドは Chem. Ber., 90, 841 (1957), J. Med. Chem., 6, 307 (1963), J. Chem. Soc.(c), 1968, 1265, Chem. Lett., 1992, 1483, J. Am. Chem. Soc., 59, 1837 (1937), J. Med. Chem., 23, 1376 (1980), J. Am. Chem. Soc., 70, 375 (1948), J. Am. Chem. Soc., 78, 2171 (1956) などに記載されている合成法を応用した方法により製造することができる。原料化合物(III )には公知化合物および新規化合物が含まれる。原料化合物(III)においてH−X−がアミノ基H2 N−を意味する場合には、当該ニトロ化合物を一般的に利用されるニトロ基の還元法で還元することによりH2 N体(III)を得ることができる。還元法の好ましい例としてはパラジウム−炭素を触媒とした接触還元や亜鉛末−塩酸による還元などがある。接触還元は通常メタノール、テトラヒドロフラン、ジメチルホルムアミドなどの有機溶媒中常圧または加圧下で行うことができる。
【0034】
原料化合物が新規化合物の場合、既に報告されている公知化合物の合成法を応用することにより、またはそれらを組み合わせることにより製造することが可能である。新規化合物は Can. J. Chem., 42, 1235 (1964), Chem. Abst., 59, 8855f (1963), Tetrahedron Lett., 30, 2129 (1989)などに記載された方法を応用して、例えば、次に示す経路で製造することが可能である。
【0035】
反応式1
【0036】
【化15】
【0037】
式中、Qは同一または異なった置換基を意味し、Gはハロゲン基を意味し、tは0〜2の整数である。
反応式2
【0038】
【化16】
【0039】
式中、Qおよびtは前記と同じ意味を示す。
反応式3
【0040】
【化17】
【0041】
式中、Q、Gおよびtは前記と同じ意味を示し、DPPAはジフェニルホスホリルアジドを意味する。
反応式4
【0042】
【化18】
【0043】
式中、Q、Gおよびtは前記と同じ意味を示し、DDQは2,3−ジクロロ−5,6−ジシアノ−1,4−ベンゾキノンを意味する。
【0044】
本発明化合物を医薬として使用する場合は、経口もしくは非経口的に投与される。投与量は、症状の程度、患者の年齢、性別、体重、感受性差、投与方法、投与時期、投与間隔、医薬製剤の性質、調剤、種類、有効成分の種類等によって異なり特に限定されないが、通常成人1日あたり10〜6000mg、好ましくは約50〜4000mg、さらに好ましくは 100〜3000mgでありこれを通常1日1〜3回に分けて投与する。
【0045】
経口用固形製剤を調製する場合は、主薬に賦形剤さらに必要に応じて結合剤、崩壊剤、滑沢剤、着色剤、矯味矯臭剤などを加えた後、常法により錠剤、被覆錠剤、顆粒剤、細粒剤、散剤、カプセル剤等とする。
賦形剤としては、例えば乳糖、コーンスターチ、白糖、ぶどう糖、ソルビット、結晶セルロース、二酸化ケイ素などが、結合剤としては、例えばポリビニルアルコール、エチルセルロース、メチルセルロース、アラビアゴム、ヒドロキシプロピルセルロース、ヒドロキシプロピルメチルセルロース等が、滑沢剤としては、例えばステアリン酸マグネシウム、タルク、シリカ等が、着色剤としては医薬品に添加することが許可されているものが、矯味矯臭剤としては、ココア末、ハッカ脳、芳香酸、ハッカ油、龍脳、桂皮末等が用いられる。これらの錠剤、顆粒剤には糖衣、ゼラチン衣、その他必要により適宜コーティングすることは勿論差し支えない。
注射剤を調製する場合には、必要により主薬にpH調整剤、緩衝剤、懸濁化剤、溶解補助剤、安定化剤、等張化剤、保存剤などを添加し、常法により静脈、皮下、筋肉内注射剤とする。その際必要により、常法により凍結乾燥物とすることもある。
懸濁化剤としては、例えばメチルセルロース、ポリソルベート80、ヒドロキシエチルセルロース、アラビアゴム、トラガント末、カルボキシメチルセルロースナトリウム、ポリオキシエチレンソルビタンモノラウレートなどを挙げることができる。
【0046】
溶解補助剤としては、例えばポリオキシエチレン硬化ヒマシ油、ポリソルベート80、ニコチン酸アミド、ポリオキシエチレンソルビタンモノラウレート、マクロゴール、ヒマシ油脂肪酸エチルエステルなどを挙げることができる。
また安定化剤としては、例えば亜硫酸ナトリウム、メタ亜硫酸ナトリウム等を、保存剤としては、例えばパラオキシ安息香酸メチル、パラオキシ安息香酸エチル、ソルビン酸、フェノール、クレゾール、クロロクレゾールなどを挙げることができる。
【0047】
【発明の効果】
次に本発明化合物の効果を記述するため薬理実験例を示す。薬効評価の対照化合物として、公知の二環式ヘテロ環含有スルホンアミドである2−スルファニルアミド−5−クロロキノキサリン(CQS;特開昭62−426)を使用した。
【0048】
実験例1 colon38 細胞(マウス結腸癌細胞)に対する in vitro 抗腫瘍試験
10%牛胎児血清、ペニシリン( 100単位/ml) 、ストレプトマイシン( 100μg /ml)、メルカプトエタノール(5×10−5M)およびピルビン酸ナトリウム(1mM)を含むRPMI1640培地(三光純薬)に浮遊させたcolon38 細胞を96穴平底マイクロプレートの各穴に 2.5×103 個(0.1ml )ずつ播種し、5%炭酸ガス含有の培養器中37℃で1日培養した。
【0049】
本発明化合物をジメチルスルホキシドにて20mg/mlの濃度に溶解し、10%牛胎児血清−RPMI1640培養液で 200μg /mlの濃度まで希釈した。これを最高濃度として10%牛胎児血清−RPMI1640培養液にて3倍系列希釈を行った。これを先に述べたcolon38 細胞の培養プレートの各穴に 0.1mlずつ加え、5%炭酸ガス含有培養器中37℃で3日間培養した。
【0050】
培養後、MTT[3−(4,5−ジメチルチアゾール−2−イル)−2,5−ジフェニルテトラゾリウムブロミド]溶液( 3.3mg/ml)を0.05mlずつ各穴に加え、さらに2時間培養した。各穴から上清を吸引除去後、生成したホルマザンをジメチルスルホキシド 0.1mlで溶解し、マイクロプレートリーダーで 540nmにおける吸光度を測定し、生細胞数の指標とした。以下の式より抑制率を算出し、50%抑制する被検化合物の濃度(IC50)を求めた。
【0051】
【数1】
【0052】
T:被検化合物を添加した穴の吸光度
C:被検化合物を添加しなかった穴の吸光度
得られたIC50値を表1−1および表1−2に示す。
【0053】
【表1】
【表2】
【0054】
実験例2 colon38 (マウス結腸癌)に対する in vivo 抗腫瘍試験
BDF1 マウス(7週齢、雌)の体側皮下に約75mgのcolon38 を移植した。本発明の化合物を 3.5%ジメチルスルホキシドと 6.5%ツイーン80を含む生理食塩水に懸濁し、移植した翌日より1日1回所定量を8日間腹腔内投与した。対照群には 3.5%ジメチルスルホキシドと 6.5%ツイーン80を含む生理食塩水を腹腔内投与した。対照群は一群10匹、薬剤投与群は一群6匹で実験を行った。
移植後21日目に腫瘍を摘出し、腫瘍重量を測定した。対照群に対する薬剤投与群の腫瘍増殖抑制率を下記式より求めた。
【0055】
【数2】
【0056】
T:被検化合物投与群の平均腫瘍重量
C:対照群の平均腫瘍重量
実験結果を表2に示す。
【0057】
【表3】
【0058】
実験例3 HCT 116 (ヒト結腸癌)に対する in vivo 抗腫瘍試験
ヌ−ドマウス(BALB/c・nu/nu、7〜8週齢、雌)の体側皮下に5〜8x106 個のHCT116を移植した。移植後約100mm3の腫瘍体積になる約7日後より本発明化合物を 3.5%ジメチルスルホキシドと 6.5% ツイーン80を含む生理食塩水に懸濁し、1日1回所定量を4日間腹腔内投与した。対照群には3.5%ジメチルスルホキシドと 6.5% ツイーン80を含む生理食塩水を腹腔内投与した。対照群は一群10匹、薬剤投与群は一群5匹で実験を行った。投与開始後21日目に腫瘍を摘出し、腫瘍重量を測定した。対照群に対する薬剤投与群の腫瘍増殖抑制率を下記式より求めた。
【0059】
【数3】
【0060】
T:被検化合物投与群の平均腫瘍重量
C:対照群の平均腫瘍重量
実験結果を表3に示す。
【0061】
【表4】
【0062】
上記実験例から明らかなように本発明化合物は優れた抗腫瘍作用を有し、抗腫瘍剤として有用である。
【0063】
【実施例】
次に、本発明化合物の原料化合物の製造を示す製造例および発明化合物の代表的化合物について実施例を挙げるが、本発明がこれらのみに限定されるものではない。
製造例1
7−ブロモ−1H−インドール
【0064】
【化19】
【0065】
2−ブロモニトロベンゼン5.05g(25ミリモル)のテトラヒドロフラン溶液(250ml)に窒素雰囲気下−40℃でビニルマグネシウムブロミド 1.0Mテトラヒドロフラン溶液 100ml( 100ミリモル)を加え、そのまま40分間攪拌した。反応混合物を飽和塩化アンモニウム水溶液 500ml中に注ぎ、エチルエーテルで抽出した。硫酸マグネシウムで乾燥、濃縮後、残渣をシリカゲルカラムクロマトグラフィーで精製し、表題化合物2.89gを得た。
1H−NMR(DMSO−d6) δ(ppm) : 6.56(1H, dd, J=2.9, 1.8Hz), 6.94(1H, t, J=7.8Hz), 7.30(1H, d, J=7.8Hz), 7.40(1H, t, J=2.9Hz), 7.56(1H, d, J=7.8Hz), 11.16−11.46(1H, br m)
【0066】
製造例2
7−アミノ−1H−インドール
【0067】
【化20】
製造例1の化合物2.70g(13.8ミリモル)のテトラヒドロフラン溶液(50ml)に窒素雰囲気下−70℃でn−ブチルリチウム 2.5Mヘキサン溶液16.5ml(41.3ミリモル)を滴下し、−70℃で15分間、ついで−20〜−10℃で30分間攪拌した。−70℃に再び冷却後、ジフェニルホスホリルアジド 3.9ml(18ミリモル)を滴下し、−70℃で1時間、ついで−40℃で1時間攪拌した。ナトリウム ビス(2−メトキシエトキシ)アルミニウム ハイドライド 3.4Mトルエン溶液22.3ml(75.8ミリモル)を−40℃で加えた後、−30〜−20℃で30分間、ついで室温で30分間攪拌した。pH 7.0リン酸緩衝液を加え、不溶物を濾取し、濾液をエチルエーテルで抽出した。有機層を飽和重曹水、飽和食塩水で順次洗浄し、硫酸マグネシウムで乾燥した。濃縮後、残渣をシリカゲルカラムクロマトグラフィーで精製し、表題化合物1.29gを得た。
1H−NMR(DMSO−d6) δ(ppm) : 5.01(2H, br s), 6.25−6.33(2H, m), 6.70(1H, dd,J=7.9, 7.3Hz), 6.78(1H, dd, J=7.9, 0.7Hz), 7.23(1H, t, J=2.7Hz), 10.48−10.72(1H, br m)
【0068】
製造例1および2と同様にして、2−ブロモニトロベンゼン誘導体から以下の原料化合物を合成した。
7−アミノ−4−メトキシ−1H−インドール
7−アミノ−4−ブロモ−1H−インドール
【0069】
製造例3
7−ブロモ−3−クロロ−4−メチル−1H−インドール
【0070】
【化21】
【0071】
2−ブロモ−5−メチルニトロベンゼンから製造例1と同様にして合成した7−ブロモ−4−メチル−1H−インドール 5.8g(27.6ミリモル)のアセトニトリル溶液( 250ml)にN−クロロコハク酸イミド 4.0g(30.0ミリモル)を加え室温で一晩攪拌した。1N水酸化ナトリウム水溶液50mlを加え、酢酸エチルで抽出した。有機層を水洗、硫酸マグネシウムで乾燥、濃縮後、残渣をシリカゲルカラムクロマトグラフィーで精製し、表題化合物 6.7gを得た。
1H−NMR(CDCl3) δ(ppm) : 2.74(3H, s), 6.75−7.26(3H, m), 8.23(1H, br s)
【0072】
製造例4
7−アミノ−3−クロロ−4−メチル−1H−インドール
【0073】
【化22】
【0074】
製造例3の化合物6.37g(26.1ミリモル)から製造例2と同様にして表題化合物 2.6gを得た。
1H−NMR(CDCl3) δ(ppm) : 2.70(3H, s), 6.39−7.14(3H, m), 8.15(1H, br s)
【0075】
製造例5
4−スルファモイルベンゼンスルホニルクロリド
【0076】
【化23】
【0077】
4−アミノベンゼンスルホンアミド 6.4g(37.2ミリモル)を水12.5mlと濃塩酸 6.3mlの混液に加え攪拌した。これに亜硝酸ナトリウム2.56g(37.1ミリモル)の飽和水溶液を0℃以下で滴下した。反応液を二酸化イオウ飽和酢酸液(二酸化イオウを酢酸35mlに飽和させ、塩化第二銅・2水和物 1.5gを加えた液)に氷冷、攪拌下加えた。10分後反応液を氷水に注ぎ、沈澱を濾取、水洗した。沈澱をテトラヒドロフランに溶解し、硫酸マグネシウムで乾燥後、濃縮乾固し、表題化合物 3.5gを得た。
【0078】
製造例6
4−(スルファモイルメチル)ベンゼンスルホニルクロリド
【0079】
【化24】
【0080】
4−ニトロフェニルメタンスルホンアミド 5.0g(23.1ミリモル)を90%酢酸に懸濁し、パラジウム−炭素存在下常温常圧で水素添加した。触媒を濾去後濃縮乾固し、4−アミノフェニルメタンスルホンアミド 4.3gを得た。これを水40mlと濃塩酸 4.1mlの混液に加え、攪拌した。0℃以下で亜硝酸ナトリウム1.63g(23.6ミリモル)の飽和水溶液を滴下した。反応液を二酸化イオウ飽和酢酸液(二酸化イオウを酢酸30mlに飽和させ、塩化第二銅・2水和物0.97gを加えた液)に氷冷、攪拌下加えた。室温で40分攪拌後反応液を氷水中に注ぎ、食塩を飽和させた。酢酸エチルで抽出し、硫酸マグネシウムで乾燥後、濃縮乾固し、表題化合物1.7gを得た。
1H−NMR(DMSO−d6) δ(ppm) : 4.26(2H, s), 7.32(2H, d, J=8.4Hz), 7.59(2H, d,J=8.4Hz)
【0081】
製造例5または6と同様にして以下の化合物を合成した。
4−(N−メチルスルファモイル)ベンゼンスルホニルクロリド
4−(N−エチルスルファモイル)ベンゼンスルホニルクロリド
4−(N−メトキシスルファモイル)ベンゼンスルホニルクロリド
4−[(メタンスルホンアミド)メチル]ベンゼンスルホニルクロリド
4−(N−メチルメタンスルホンアミド)ベンゼンスルホニルクロリド
4−(1−ピロリジニルスルホニル)ベンゼンスルホニルクロリド
4−(1−ピロリジニルカルボニル)ベンゼンスルホニルクロリド
3−シアノベンゼンスルホニルクロリド
4−(メチルスルホニル)ベンゼンスルホニルクロリド
4−[(N−メチルメタンスルホンアミド)メチル]ベンゼンスルホニルクロリド
【0082】
製造例7
3−シアノ−7−ニトロ−1H−インドール
【0083】
【化25】
【0084】
3−ホルミル−7−ニトロ−1H−インドール 10.15g(53.4ミリモル)をジメチルホルムアミド 150mlに溶解し、ヒドロキシルアミン塩酸塩3.93g(56.0ミリモル)とピリジン 4.5ml(55.6ミリモル)を加えた。70−80℃で2時間加熱攪拌後、二酸化セレン 6.3g(56.8ミリモル)と硫酸マグネシウム約5gを加えた。70−80℃でさらに 2.5時間加熱後、不溶物を濾去し、濃縮した。水を加えて析出した結晶を濾取し、水、エチルエーテルで順次洗浄した。結晶をテトラヒドロフランとアセトンの混液に溶解し、不溶物を濾去した。濃縮後、酢酸エチルを加え結晶を濾取し、表題化合物8.61gを得た。
1H−NMR(DMSO−d6) δ(ppm) : 7.48(1H, t, J=8.1Hz), 8.17(1H, d, J=8.1Hz), 8.27(1H, d, J=8.1Hz), 8.47(1H, s), 12.70−13.00(1H, br)
【0085】
製造例8
7−アミノ−3−シアノ−1H−インドール
【0086】
【化26】
【0087】
製造例7の化合物2.80g(15.0ミリモル)をメタノール 100mlに懸濁し、パラジウム−炭素存在下常温常圧で水素添加した。触媒を濾別後、濃縮乾固し、表題化合物2.31gを得た。
1H−NMR(DMSO−d6) δ(ppm) : 5.32, 5.34(2H, s+s), 6.47(1H, d, J=7.5Hz), 6.81(1H, d, J=7.9Hz), 6.94(1H, dd, J=7.9, 7.5Hz), 8.13(1H, s), 11.55−11.90(1H, br),
【0088】
製造例9
7−アミノ−3,4−ジクロロ−1H−インドール
【0089】
【化27】
【0090】
2−ブロモ−5−クロロニトロベンゼンから製造例1と同様にして得られた7−ブロモ−4−クロロ−1H−インドールを製造例3と同様にしてまず塩素化し、ついで製造例2と同様にしてブロモ基をアミノ基へ変換することにより表題化合物を得た。
1H−NMR(DMSO−d6) δ(ppm) : 5.26(2H, s), 6.29(1H, d, J=8.1Hz), 6.74(1H, d,J=8.1Hz), 7.45−7.51(1H, m), 11.08−11.27(1H, m)
【0091】
同様にして、7−アミノ−4−tert−ブチルジメチルシリルオキシ−3−クロロ−1H−インドールを合成した。
【0092】
製造例10
7−アミノ−3−クロロ−1H−インドール
【0093】
【化28】
【0094】
7−ニトロ−1H−インドール 1.076g (6.64ミリモル)をアセトニトリル 30ml に溶解し、N−クロロコハク酸イミド920mg (6.89ミリモル)を加えた。室温で36時間攪拌後、飽和重曹水を加え、沈殿を濾取、水洗し、3−クロロ−7−ニトロ−1H−インドール1.2gを得た。この粉末863mg (4.39ミリモル)をエタノール10mlに懸濁し、塩化第一スズ・2水和物4.95g (21.9ミリモル)と濃塩酸100 μl を加えた。30分間加熱還流後、飽和重曹水を加え、不溶物を濾去した。酢酸エチルを加えて抽出後、硫酸マグネシウムで乾燥、濃縮、シリカゲルカラムクロマトグラフィーで精製し、表題化合物490mg を得た。
表題化合物は3−クロロ−7−ニトロ−1H−インド−ルを白金−炭素触媒存在下常温常圧で水素添加しても得られた。
1H−NMR(DMSO−d6) δ(ppm) : 5.14(2H, s), 6.36(1H, dd, J=7.5, 1.0Hz), 6.68(1H, dd, J=7.9, 0.73Hz), 6.81(1H, dd, J=7.9, 7.5Hz), 7.39(1H, d, J=2.7Hz), 10.85(1H, br s)
【0095】
製造例11
4−(2−スルファモイルエチル)ベンゼンスルホニルクロリド
【0096】
【化29】
【0097】
クロロスルホン酸 2.4g(36.5ミリモル)に、氷冷下2−フェニルエタンスルホンアミド 1.3g(7.3 ミリモル)を20分かけて加え、室温でさらに90分攪拌した。反応混合液を氷水に注ぎ、酢酸エチルで抽出し、飽和重曹水、飽和食塩水で順次洗浄後、硫酸マグネシウムで乾燥した。溶媒を減圧留去し、表題化合物 1.6gを得た。
1H−NMR(DMSO−d6) δ(ppm) : 2.97−3.02(2H, m), 3.21−3.26(2H, m), 7.21(2H, d, J=8.4Hz), 7.53(2H, d, J=8.4Hz)
【0098】
同様にして以下の原料化合物を合成した。
4−[2−(メチルスルホニル)エチル]ベンゼンスルホニルクロリド
4−[2−(N−メチルメタンスルホンアミド)エチル]ベンゼンスルホニルクロリド
4−[2−(メタンスルホンアミド)エチル]ベンゼンスルホニルクロリド
4−(N−メチルアセトアミド)ベンゼンスルホニルクロリド
【0099】
製造例12
5−ブロモ−7−ニトロ−1H−インドール
【0100】
【化30】
【0101】
1−アセチル−5−ブロモ−7−ニトロインドリン5.05g(17.7ミリモル)をエタノール6mlと6N塩酸40mlの混液に加え、3時間加熱還流した。炭酸ナトリウムを加えて中和後、酢酸エチルで抽出し、水洗、硫酸マグネシウムで乾燥した。濃縮後、シリカゲルカラムクロマトグラフィーで精製し、5−ブロモ−7−ニトロインドリン4.13gを得た。この化合物 301mg(1.24ミリモル)をトルエン10mlに加え、次に2,3−ジクロロ−5,6−ジシアノ−1,4−ベンゾキノン 580mg(2.55ミリモル)を加えた。攪拌しながら 3.5時間加熱還流後、不溶物を濾去し、濃縮した。残渣をシリカゲルカラムクロマトグラフィーで精製し、表題化合物 252mgを得た。
【0102】
製造例13
5−ブロモ−3−ホルミル−7−ニトロ−1H−インドール
【0103】
【化31】
【0104】
ジメチルホルムアミド 1.0g(14ミリモル)に窒素雰囲気下0℃でオキシ塩化リン 210mg( 1.4ミリモル)を加え、30分間攪拌した。製造例12の化合物 240mg( 1.0ミリモル)を0℃で加え、0℃で20分間、ついで 100℃で30分間攪拌した。反応混合液を氷冷後氷水に注ぎ、1N水酸化ナトリウム水溶液を加えpH7−8に保ちながら30分間攪拌した。生じた沈澱を濾取、水洗後、シリカゲルカラムクロマトグラフィーで精製し、表題化合物 239mgを得た。
1H−NMR(DMSO−d6) δ(ppm) : 8.31(1H, d, J=1.8Hz), 8.55(1H, s), 8.65(1H, d,J=1.8Hz), 10.05(1H, s), 12.89(1H, br s)
【0105】
製造例14
7−アミノ−5−ブロモ−3−シアノ−1H−インドール
【0106】
【化32】
【0107】
製造例13の化合物から製造例7と同様にして得られた5−ブロモ−3−シアノ−7−ニトロ−1H−インドール 214mg( 0.8ミリモル)をメタノール10mlとテトラヒドロフラン10mlの混液に溶解した。酸化白金の存在下、3.0kg /cm2 で水素添加後、触媒を濾去、濃縮乾固し、表題化合物 189mgを得た。
1H−NMR(DMSO−d6) δ(ppm) : 5.68−5.71(2H, m), 6.60(1H, d, J=2.0Hz), 6.91(1H, d, J=2.0Hz), 8.16(1H, s)
【0108】
製造例15
3−アセチル−7−アミノ−1H−インドール
【0109】
【化33】
【0110】
窒素雰囲気下、7−ニトロ−1H−インドール 1.2g( 7.5ミリモル)のジクロロメタン溶液(50ml)に0℃でジメチルアルミニウムクロリド 1.0Mヘキサン溶液11ml(11ミリモル)を加えた。ついで、0℃で塩化アセチル 2.1ml(29.5ミリモル)を加え、室温で4時間攪拌した。反応系に飽和塩化アンモニウム水を加え、生じた沈澱を濾取した。この沈澱を熱エタノールで十分に洗浄し、洗液を濾液と合わせ、濃縮した。残渣に水を加え、酢酸エチルで抽出、飽和食塩水で洗浄、硫酸マグネシウムで乾燥した。溶媒を減圧留去し、残渣をシリカゲルカラムクロマトグラフィーで精製し、3−アセチル−7−ニトロ−1H−インドールを得た。これをメタノール 100mlに溶解し、パラジウム−炭素存在下、常温常圧で水素添加した。触媒を濾去後濃縮乾固し、表題化合物 790mgを得た。
【0111】
実施例1
N−(1H−インドール−7−イル)−4−ニトロベンゼンスルホンアミド
【0112】
【化34】
【0113】
製造例2の化合物1.50g(11.3ミリモル)をピリジン40mlに溶解し、室温攪拌下4−ニトロベンゼンスルホニルクロリド2.57g(11.6ミリモル)を加えた。室温で一晩攪拌後、溶媒を減圧留去し、残渣に酢酸エチルと 0.2N塩酸を加えた。有機層を分取、水洗、硫酸マグネシウムで乾燥後、溶媒を減圧留去し、残渣をシリカゲルカラムクトマトグラフィーで精製し、表題化合物3.50gを得た。
1H−NMR(DMSO−d6) δ(ppm) : 6.42(1H, dd, J=2.8, 2.0Hz), 6.66(1H, d, J=7.6Hz), 6.83(1H, dd, J=8.0, 7.6Hz), 7.31(1H, dd, J=3.2, 2.8Hz), 7.36(1H, d, J=8.0Hz), 7.94−8.02(2H, m), 8.30−8.38(2H, m), 10.23(1H, s), 10.74−10.87(1H, m)
【0114】
実施例2
N−(3−クロロ−1H−インドール−7−イル)−4−ニトロベンゼンスルホンアミド
【0115】
【化35】
【0116】
実施例1の化合物8.98g(28.3ミリモル)をジクロロメタン 280mlとジメチルホルムアミド7mlの混合溶媒に溶解し、窒素雰囲気下攪拌しながらN−クロロコハク酸イミド4.16g(31.2ミリモル) を加えた。室温で 1.5時間攪拌後、水50mlを加え液量が約80mlになるまで濃縮した。酢酸エチルと 0.2N塩酸を加えて有機層を分取し、飽和重曹水、飽和食塩水で順次洗浄した。硫酸マグネシウムで乾燥後、溶媒を減圧留去し、残渣をシリカゲルカラムクロマトグラフィーで精製し、表題化合物7.98gを得た。
融点:199.5−200.5 ℃ (クロロホルムから再結晶)
1H−NMR(DMSO−d6) δ(ppm) : 6.72(1H, d, J=7.6Hz), 6.96(1H, dd, J=8.0, 7.6Hz), 7.31(1H, d, J=8.0Hz), 7.47−7.53(1H, m), 7.92−8.02(2H, m), 8.30−8.41(2H, m), 10.33(1H, s), 11.07−11.22(1H, m)
【0117】
実施例3
4−アミノ−N−(3−クロロ−1H−インドール−7−イル)ベンゼンスルホンアミド
【0118】
【化36】
【0119】
実施例2の化合物7.98g(22.7ミリモル)をメタノール 220mlに溶解し、攪拌しながら加熱還流した。これに10分間隔で濃塩酸10mlと亜鉛末7.40gを3回加え、さらに10分間還流した。冷却後、大過剰の重曹を加えて中和し、不溶物を濾取した。濾液を濃縮後、残渣を酢酸エチルに溶解し、飽和重曹水、2N炭酸ナトリウム水溶液、飽和食塩水で順次洗浄した。硫酸マグネシウムで乾燥後、溶媒を減圧留去し、残渣をシリカゲルカラムクロマトグラフィーで精製し、表題化合物7.21gを得た。
融点:174.5−176 ℃(エタノール−n−ヘキサンから再結晶)
1H−NMR(DMSO−d6) δ(ppm) : 5.97(2H, br s), 6.48(2H, d, J=8.8Hz), 6.88(1H,d, J=7.6Hz), 6.95(1H, dd, J=8.0, 7.6Hz), 7.19(1H, d, J=8.0Hz), 7.36(2H,d, J=8.8Hz), 7.46(1H, d, J=2.4Hz), 9.56(1H, s), 10.86−10.98(1H, m)
【0120】
実施例4
N−(3−クロロ−1H−インドール−7−イル)−4−(メタンスルホンアミド)ベンゼンスルホンアミド
【0121】
【化37】
【0122】
実施例3の化合物68mg( 0.211ミリモル)をピリジン1mlに溶解し、メタンスルホニルクロリド15μl ( 0.194ミリモル)を加えた。室温で一晩攪拌後、重曹水を加え、酢酸エチルで抽出した。有機層を希塩酸、水で順次洗浄後、硫酸マグネシウムで乾燥した。濃縮後、残渣をシリカゲル薄層クロマトグラフィーで精製し、表題化合物76mgを得た。
融点:213.5−214 ℃(分解)(エタノール−n−ヘキサンから再結晶)
1H−NMR(DMSO−d6) δ(ppm) : 3.08(3H, s), 6.83(1H, d, J=7.5Hz), 6.96(1H, dd, J=7.9, 7.7Hz), 7.23(2H, d, J=8.8Hz), 7.24(1H, d, J=7.5Hz), 7.47(1H, d,J=2.7Hz), 7.68(2H, d, J=8.8Hz), 9.92(1H, br s), 10.38(1H, br s), 10.99(1H, br s)
【0123】
実施例5
4−ブロモメチル−N−(1H−インドール−7−イル)ベンゼンスルホンアミド
【0124】
【化38】
【0125】
4−ブロモメチルベンゼンスルホニルクロリドと製造例2の化合物を等モルのピリジン存在下テトラヒドロフラン中室温で反応させ、実施例1と同様に処理して表題化合物を得た。
1H−NMR(DMSO−d6) δ(ppm) : 4.70(2H, s), 6.40(1H, dd, J=3.1, 1.1Hz), 6.71(1H, ddd, J=7.4, 3.2, 0.92Hz), 6.81(1H, ddd, J=8.1, 7.4, 0.92Hz), 7.29−7.32(2H, m), 7.57(2H, d, J=8.2Hz), 7.73(2H, d, J=8.4Hz), 9.96(1H, br s), 10.75(1H, br s)
【0126】
実施例6
N−(1,3−ジヒドロ−2H−インドール−2−オン−7−イル)−4−メチルベンゼンスルホンアミド
【0127】
【化39】
【0128】
実施例1と同様にして表題化合物を得た。
融点:246 ℃付近から徐々に分解し始め、267−269 ℃で急速に分解(ジオキサンから再結晶)
【0129】
実施例7
3−クロロ−N−(3−クロロ−1H−インドール−7−イル)ベンゼンスルホンアミド
【0130】
【化40】
【0131】
実施例1と同様にして合成した3−クロロ−N−(1H−インドール−7−イル)ベンゼンスルホンアミド2.18g(7.11ミリモル)を実施例2と同様にして塩素化し、表題化合物1.86gを得た。
融点:180−181 ℃(ジクロロメタン−ジイソプロピルエーテルから再結晶)
1H−NMR(DMSO−d6) δ(ppm) : 6.73(1H, d, J=7.6Hz), 6.97(1H, dd, J=8.0, 7.6Hz), 7.30(1H, d, J=8.0Hz), 7.45−7.51(1H, m), 7.51−7.76(4H, m), 10.09(1H, s), 11.02−11.18(1H, m)
【0132】
実施例8
4−アミノ−N−(3,4−ジクロロ−1H−インドール−7−イル)ベンゼンスルホンアミド
【0133】
【化41】
【0134】
実施例1と同様にして合成したN−(3,4−ジクロロ−1H−インドール−7−イル)−4−ニトロベンゼンスルホンアミド2.43g(6.29ミリモル)から実施例3と同様にして表題化合物2.03gを得た。
融点:205−206.5 ℃(分解)(エタノール−n−ヘキサンから再結晶)
1H−NMR(DMSO−d6) δ(ppm) : 6.00(2H, s), 6.50(2H, d, J=8.4Hz), 6.77(1H, d,J=8.0Hz), 6.94(1H, d, J=8.0Hz), 7.35(2H, d, J=8.4Hz), 7.51−7.58(1H, m),9.57(1H, s), 11.20−11.38(1H, m)
【0135】
実施例9
4−[N−(1H−インドール−7−イル)スルファモイル]安息香酸
【0136】
【化42】
【0137】
実施例1と同様にして表題化合物を得た。
1H−NMR(DMSO−d6) δ(ppm) : 6.40(1H, dd, J=2.9, 1.9Hz), 6.67(1H, d, J=7.5Hz), 6.82(1H, dd, J=7.9, 7.5Hz), 7.31(1H, dd, J=2.9, 2.7Hz), 7.33(1H, d, J=7.9Hz), 7.81−7.88(2H, m), 7.99−8.07(2H, m), 10.07(1H, s), 10.73−10.83(1H, m), 13.30−13.58(1H, br)
【0138】
実施例10
N−(3−クロロ−1H−インドール−7−イル)−4−シアノベンゼンスルホンアミド
【0139】
【化43】
【0140】
実施例1と同様にして合成した4−シアノ−N−(1H−インドール−7−イル)ベンゼンスルホンアミド 100mgから実施例2と同様にして表題化合物76mgを得た。
融点:210−211 ℃(酢酸エチル−n−ヘキサンから再結晶)
1H−NMR(DMSO−d6) δ(ppm) : 6.71(1H, dd, J=7.6, 0.8Hz), 6.96(1H, dd, J=8.0, 7.6Hz), 7.30(1H, d, J=8.0Hz), 7.48(1H, dd, J=2.4, 0.8Hz), 7.82−7.90(2H, m), 7.97−8.05(2H, m), 10.25(1H, s), 11.04−11.15(1H, m)
【0141】
実施例11
3−クロロ−N−(3−クロロ−4−メトキシ−1H−インドール−7−イル)ベンゼンスルホンアミド
【0142】
【化44】
【0143】
実施例1と同様にして合成した3−クロロ−N−(4−メトキシ−1H−インドール−7−イル)ベンゼンスルホンアミド 100mgから実施例2と同様にして表題化合物52mgを得た。
1H−NMR(DMSO−d6) δ(ppm) : 3.79(3H, s), 6.37(1H, d, J=8.4Hz), 6.45(1H, d,J=8.4Hz), 7.24−7.31(1H, m), 7.48−7.77(4H, m), 9.76(1H, s), 11.06−11.17(1H, m)
【0144】
実施例12
3−クロロ−N−(3−クロロ−4−ヒドロキシ−1H−インドール−7−イル)ベンゼンスルホンアミド
【0145】
【化45】
【0146】
実施例1と同様にして合成したN−(4−tert−ブチルジメチルシリルオキシ−3−クロロ−1H−インドール−7−イル)−3−クロロベンゼンスルホンアミド 220mg(0.47ミリモル)を40%フッ化水素水溶液−アセトニトリル(1:10)混液(2ml)に加えた。室温で一晩攪拌後、水を加えて酢酸エチルで抽出し、硫酸マグネシウムで乾燥した。濃縮後、残渣をシリカゲルカラムクロマトグラフィーで精製し、表題化合物 141mgを得た。
1H−NMR(DMSO−d6) δ(ppm) : 6.15(1H, dd, J=8.2, 1.5Hz), 6.26(1H, d, J=8.2Hz), 7.12(1H, s), 7.47−7.64(4H, m), 9.54(1H, s), 10.85(1H, s)
【0147】
実施例13
N−(1H−インダゾール−7−イル)−4−メトキシベンゼンスルホンアミド
【0148】
【化46】
【0149】
実施例1と同様にして表題化合物を得た。
融点:155−156 ℃(酢酸エチル−n−ヘキサンから再結晶)
1H−NMR(DMSO−d6) δ(ppm) : 3.77(3H, s), 6.91−6.99(2H, m), 6.98−7.07(2H, m), 7.45−7.53(1H, m), 7.64−7.74(2H, m), 8.01−8.07(1H, m), 9.97(1H, s), 12.61−12.72(1H, m)
【0150】
実施例14
6−クロロ−N−(3−クロロ−1H−インドール−7−イル)−3−ピリジンスルホンアミド
【0151】
【化47】
【0152】
6−クロロ−3−ピリジンスルホニルクロリドと製造例2の化合物を実施例1と同様に反応させて得られた6−クロロ−N−(1H−インドール−7−イル)−3−ピリジンスルホンアミドを実施例2と同様にして塩素化し、表題化合物を得た。
1H−NMR(DMSO−d6) δ(ppm) : 6.73(1H, d, J=7.7Hz), 6.97(1H, dd, J=7.9, 7.7Hz), 7.30(1H, d, J=7.9Hz), 7.46(1H, d, J=2.6Hz), 7.67(1H, d, J=8.4Hz), 8.03(1H, dd, J=8.4, 2.6Hz), 8.62(1H, d, J=2.6Hz), 10.18−10.34(1H, br), 11.06−11.17(1H, m)
【0153】
実施例15
N−(3−クロロ−1H−インドール−7−イル)−4−(メチルチオメチル)ベンゼンスルホンアミド
【0154】
【化48】
【0155】
実施例5の化合物1.97g(5.37ミリモル)をテトラヒドロフラン10mlに溶解し、室温で15%ナトリウムメチルチオラート水溶液10ml(39.4ミリモル)と触媒量のメチルトリオクチルアンモニウムクロリドを加え一晩攪拌した。水20mlを加え、酢酸エチルで抽出し、有機層を水洗、硫酸マグネシウムで乾燥した。濃縮後、シリカゲルカラムクロマトグラフィーで精製し、N−(1H−インドール−7−イル)−4−(メチルチオメチル)ベンゼンスルホンアミド1.51gを得た。これを実施例2と同様にして塩素化し、表題化合物 839mgを得た。
1H−NMR(DMSO−d6) δ(ppm) : 1.87(3H, s), 3.70(2H, s), 6.77(1H, dd, J=7.6, 2.1Hz), 6.94(1H, dd, J=7.9, 7.7Hz), 7.24(1H, d, J=7.9Hz), 7.42(2H, d, J=8.2Hz), 7.47(1H, d, J=2.6Hz), 7.67(2H, d, J=8.4Hz), 9.96(1H, br s), 11.01(1H, br s)
【0156】
実施例16
3−クロロ−N−(3−ホルミル−1H−インドール−7−イル)ベンゼンスルホンアミド
【0157】
【化49】
【0158】
ジメチルホルムアミド14.5ml中に窒素雰囲気下攪拌しながらオキシ塩化リン 1.3ml(13.9 ミリモル)を10℃以下で滴下した。約5℃で30分間攪拌後、実施例1と同様にして合成した3−クロロ−N−(1H−インドール−7−イル)ベンゼンスルホンアミド2.50g(8.15ミリモル)を3回に分けて加えた。約5℃でさらに30分間攪拌後、冷水 200mlを加えた。1N水酸化ナトリウム水溶液を加えて、反応混合物のpHを約14にし、ついで1N塩酸でpHを約2にした。酢酸エチルを加えて抽出し、有機層を飽和食塩水で洗浄した。硫酸マグネシウムで乾燥、濃縮後、残渣をシリカゲルカラムクロマトグラフィーで精製し、表題化合物1.45gを得た。
1H−NMR(DMSO−d6) δ(ppm) : 6.70(1H, dd, J=7.6, 0.8Hz), 7.06(1H, dd, J=8.0, 7.6Hz), 7.51−7.75(4H, m), 7.93(1H, d, J=8.0Hz), 8.22−8.28(1H, m), 9.93(1H, s), 10.17(1H, s), 11.86−11.98(1H, m)
【0159】
実施例17
3−クロロ−N−(3−シアノ−1H−インドール−7−イル)ベンゼンスルホンアミド
【0160】
【化50】
【0161】
実施例16の化合物1.20g(3.58ミリモル)のジメチルホルムアミド溶液(18ml) に攪拌下70〜80℃でヒドロキシルアミン塩酸塩 274mg(3.94ミリモル)とピリジン0.32ml(3.96ミリモル)を加えた。そのまま 2.5時間攪拌した後、二酸化セレン 437mg(3.94ミリモル)と硫酸マグネシウム粉末約 100mgを加えた。さらに2時間同温で攪拌した後、溶媒を減圧留去し、残渣に酢酸エチルを加えて不溶物を濾取した。濾液を 0.1N塩酸、飽和食塩水で順次洗浄後、硫酸マグネシウムで乾燥した。溶媒を減圧留去後、残渣をシリカゲルカラムクロマトグラフィーで精製し、表題化合物 678mgを得た。
融点:204.5−205 ℃(酢酸エチル−n−ヘキサンから再結晶)
1H−NMR(DMSO−d6) δ(ppm) : 6.71(1H, d, J=7.6Hz), 7.08(1H, dd, J=8.0, 7.6Hz), 7.47(1H, d, J=8.0Hz), 7.50−7.76(4H, m), 8.17−8.25(1H, m), 10.21(1H, s), 11.92−12.09(1H, m)
【0162】
実施例18
6−クロロ−N−(3−シアノ−1H−インドール−7−イル)−3−ピリジンスルホンアミド
【0163】
【化51】
【0164】
実施例1と同様にして表題化合物を得た。
1H−NMR(DMSO−d6) δ(ppm) : 6.77(1H, d, J=7.9Hz), 7.12(1H, t, J=7.9Hz), 7.50(1H, d, J=7.9Hz), 7.72(1H, d, J=8.4Hz), 8.06(1H, dd, J=8.4, 2.6Hz), 8.23(1H, d, J=2.6Hz), 8.65(1H, d, J=2.6Hz), 10.34−10.48(1H, br), 11.98−12.12(1H, m)
【0165】
実施例19
N−(3−クロロ−1H−インドール−7−イル)−4−スルファモイルベンゼンスルホンアミド
【0166】
【化52】
【0167】
製造例5の化合物 767mg(3.0 ミリモル)と製造例2の化合物 264mg(2.0 ミリモル)を実施例1と同様に反応させ、処理し、N−(1H−インドール−7−イル)−4−スルファモイルベンゼンスルホンアミド 445mgを得た。これを実施例2と同様にして塩素化し、表題化合物 349mgを得た。
融点:220 ℃付近から部分的に黒く着色し始め、240 ℃付近より徐々に分解(エタノール−n−ヘキサンから再結晶)
1H−NMR(DMSO−d6) δ(ppm) : 6.75(1H, d, J=7.6Hz), 6.96(1H, dd, J=8.0, 7.6Hz), 7.29(1H, d, J=7.6Hz), 7.50(1H, d, J=2.8Hz), 7.58(2H, s), 7.90−7.98(4H, m), 10.23(1H, s), 11.07−11.17(1H, m)
【0168】
実施例20
3−クロロ−N−(8−イミダゾ[1,2−a]ピリジニル)ベンゼンスルホンアミド塩酸塩
【0169】
【化53】
【0170】
2,3−ジアミノピリジン1.97g(18ミリモル)をテトラヒドロフランと水の混液に溶解し、3−クロロベンゼンスルホニルクロリド1.90g(9.0 ミリモル)のテトラヒドロフラン溶液を加えた。室温で一晩攪拌後、濃縮し、水とジクロロメタンを加えた。有機層を分取し、器壁をこすり、析出した結晶を濾取し、N−(2−アミノ−3−ピリジニル)−3−クロロベンゼンスルホンアミド1.41gを得た。この結晶 530mg(1.87ミリモル)をメタノールに溶解し、40%クロロアセトアルデヒド水溶液 367mg(1.87ミリモル)を加えた。4時間加熱還流後、濃縮乾固し、残渣にメタノール少量を加え、結晶を濾取し、表題化合物 373mgを得た。
融点:210 ℃付近より徐々に分解(エタノールから再結晶)
【0171】
実施例21
N−(3,4−ジクロロ−1H−インドール−7−イル)−4−スルファモイ ルベンゼンスルホンアミド
【0172】
【化54】
【0173】
製造例5の化合物 429mg(1.68ミリモル)と製造例9の化合物 250mg(1.24ミリモル)を実施例1と同様に反応させ、処理し、表題化合物 200mgを得た。
融点: 282℃付近より着色し始め、徐々に分解(エタノール−エチルエーテルから再結晶)
1H−NMR(DMSO−d6) δ(ppm) : 6.62(1H, d, J=8.1Hz), 6.95(1H, d, J=8.1Hz), 7.53−7.62(3H, m), 7.87−7.99(4H, m), 10.17−10.33(1H, br), 11.44−11.56(1H, m)
【0174】
実施例22
N−(3−クロロ−1H−インドール−7−イル)−4−(メチルチオ)ベンゼンスルホンアミド
【0175】
【化55】
【0176】
実施例1および2と同様にして表題化合物を得た。
1H−NMR(DMSO−d6) δ(ppm) : 2.48(3H, s), 6.82(1H, dd, J=7.9, 1.5Hz), 6.96(1H, dd, J=8.1, 7.5Hz), 7.25(1H, dd, J=7.9, 0.92Hz), 7.33(2H, d, J=8.8Hz), 7.49(1H, d, J=2.7Hz), 7.62(2H, d, J=8.6Hz), 9.96(1H, br s), 11.02(1H, br s)
【0177】
実施例23
N−(3−クロロ−1H−インドール−7−イル)−4−(メチルスルホニル)ベンゼンスルホンアミド
【0178】
【化56】
【0179】
実施例22の化合物54.2mg(0.154 ミリモル)をメタノール2mlと水 1.2mlの混液に溶解し、室温でモリブデン酸アンモニウム・4水和物30mgと30%過酸化水素水 0.6mlを加えた。一晩攪拌後、水を加え、酢酸エチルで抽出、水洗、硫酸マグネシウムで乾燥した。濃縮後、残渣をシリカゲルカラムクロマトグラフィーで精製し、表題化合物29.4mgを得た。
融点: 250℃付近より着色し始め、 264−266℃で分解(エタノール−n−ヘキサンから再結晶)
1H−NMR(DMSO−d6) δ(ppm) : 3.28(3H, s), 6.75(1H, d, J=7.7Hz), 6.97(1H, dd, J=7.9, 7.7Hz), 7.30(1H, d, J=8.1Hz), 7.50(1H, d, J=2.7Hz), 7.97(2H, d,J=8.2Hz), 8.09(2H, d, J=8.4Hz), 10.29(1H, br s), 11.12(1H, br s)
【0180】
実施例24
N−(3−クロロ−1H−インドール−7−イル)−4−(メチルスルフィニル)ベンゼンスルホンアミド
【0181】
【化57】
【0182】
実施例22の化合物19.9mg(0.056 ミリモル)をジクロロメタン2mlに溶解し、氷冷下攪拌しながらm−クロロ過安息香酸10mg(0.058 ミリモル)を加えた。1時間後、飽和重曹水を加え、酢酸エチルで抽出、水洗、硫酸マグネシウムで乾燥した。濃縮後、シリカゲル薄層クロマトグラフィーで精製し、表題化合物14.4mgを得た。
1H−NMR(DMSO−d6) δ(ppm) : 2.76(3H, s), 6.78(1H, dd, J=7.5, 1.1Hz), 6.96(1H, dt, Jd=0.55Hz, Jt=7.8Hz), 7.28(1H, dd, J=7.6, 0.82Hz), 7.48(1H, d, J=2.7Hz), 7.82(2H, d, J=8.6Hz), 7.89(2H, d, J=8.8Hz), 10.15(1H, br s), 11.06(1H, br s)
【0183】
実施例25
3−クロロ−N−(3−クロロ−1H−ピロロ[3,2−c]ピリジン−7−イル)ベンゼンスルホンアミド
【0184】
【化58】
【0185】
実施例1および2と同様にして表題化合物を得た。
1H−NMR(DMSO−d6) δ(ppm) : 7.41−7.65(2H, m), 7.65−7.77(2H, m), 7.74−7.86(2H, m), 8.40−8.62(1H, br m), 12.38−12.58(1H, br), 13.56−13.74(1H, br)
【0186】
実施例26
4−アセトアミド−N−(3−クロロ−4−メチル−1H−インドール−7−イル)ベンゼンスルホンアミド
【0187】
【化59】
【0188】
実施例1と同様にして表題化合物を得た。
融点:225 ℃付近から徐々に分解(エタノール−n−ヘキサンから再結晶)
1H−NMR(DMSO−d6) δ(ppm) : 2.03(3H, s), 2.56(3H, s), 6.54−6.60(2H, m), 7.33(1H, d, J=2.6Hz), 7.60(2H, d, J=9.0Hz), 7.64(2H, d, J=9.0Hz), 9.63(1H,br s), 10.24(1H, br s), 10.92(1H, br s)
【0189】
実施例27
4−アミノ−N−(3−クロロ−4−メチル−1H−インドール−7−イル)ベンゼンスルホンアミド
【0190】
【化60】
【0191】
実施例26の化合物3.75g(9.9 ミリモル)を2N水酸化ナトリウム水溶液25mlに溶解し、100 ℃で2時間攪拌した。室温にもどした後、酢酸を加えてpH6にし、生じた沈澱を濾取、シリカゲルカラムクロマトグラフィーで精製し、表題化合物 1.1gを得た。
融点:230 ℃付近から徐々に分解(エタノール−n−ヘキサンから再結晶)
1H−NMR(DMSO−d6) δ(ppm) : 2.56(3H, s), 5.93(2H, br s), 6.46(2H, d, J=8.8Hz), 6.59(1H, d, J=7.8Hz), 6.64(1H, d, J=7.8Hz), 7.31(2H, d, J=8.8Hz), 7.36(1H, d, J=2.9Hz), 9.34(1H, br s), 10.88(1H, br s)
【0192】
実施例28
4−シアノ−N−(3−シアノ−1H−インドール−7−イル)ベンゼンスルホンアミド
【0193】
【化61】
【0194】
実施例1と同様にして表題化合物を得た。
融点:250.5−252 ℃(酢酸エチル−n−ヘキサンから再結晶)
1H−NMR(DMSO−d6) δ(ppm) : 6.67(1H, d, J=7.7Hz), 7.05(1H, t, J=7.9Hz), 7.44(1H, d, J=7.7Hz), 7.78−7.87(2H, m), 7.97−8.05(2H, m), 8.16−8.23(1H, m), 10.28−10.43(1H, br), 11.92−12.09(1H, m)
【0195】
実施例29
4−カルバモイル−N−(3−クロロ−1H−インドール−7−イル)ベンゼンスルホンアミド
【0196】
【化62】
【0197】
実施例10の化合物 1.0g(3.01ミリモル)をエタノール4.8ml に加えた液に攪拌しながら30%過酸化水素水 2.4mlと6N水酸化ナトリウム水溶液 360μl を各々3回に分けて加えた(反応温度約50℃)。50℃でさらに30分間攪拌後、希塩酸を加えて酸性にし、酢酸エチルで抽出した。有機層を分取、水洗、硫酸マグネシウムで乾燥後、濃縮し、残渣をシリカゲルカラムクロマトグラフィーで精製し、表題化合物 600mgを得た。
融点:248 ℃付近から着色、分解し始め、252.5−253.5 ℃で急速に分解(エタノール−n−ヘキサンから再結晶)
1H−NMR(DMSO−d6) δ(ppm) : 6.76(1H, d, J=7.5Hz), 6.95(1H, dd, J=8.1, 7.5Hz), 7.27(1H, d, J=8.1Hz), 7.49(1H, d, J=2.6Hz), 7.59(1H, br s), 7.76−7.83(2H, m), 7.91−7.98(2H, m), 8.12(1H, br s), 10.10(1H, s), 11.01−11.12(1H, m)
【0198】
実施例30
N−(4−ブロモ−1H−インドール−7−イル)−4−ニトロベンゼンスルホンアミド
【0199】
【化63】
【0200】
実施例1と同様にして表題化合物を得た。
1H−NMR(DMSO−d6) δ(ppm) : 6.35−6.41(1H, m), 6.56(1H, d, J=8.4Hz), 7.06(1H, dd, J=8.4, 0.8Hz), 7.41−7.48(1H, m), 7.92−8.02(2H, m), 8.30−8.41(2H, m), 10.34(1H, s), 11.18−11.32(1H, m)
【0201】
実施例31
N−(3−クロロ−4−シアノ−1H−インドール−7−イル)−4−ニトロベンゼンスルホンアミド
【0202】
【化64】
【0203】
実施例30の化合物 200mg(0.505 ミリモル)をN−メチルピロリドン0.8ml に溶解し、シアン化第一銅83mg(0.91ミリモル)を加えた。180−190 ℃で3時間攪拌後、氷水40mlを加え不溶物を濾取、水洗した。不溶物を熱エタノールと熱クロロホルムで抽出し、濃縮後、残渣をシリカゲル薄層クロマトグラフィーで精製し、N−(4−シアノ−1H−インドール−7−イル)−4−ニトロベンゼンスルホンアミド65mgを得た。これを実施例2と同様にして塩素化し、表題化合物42mgを得た。
1H−NMR(DMSO−d6) δ(ppm) : 6.98(1H, d, J=8.0Hz), 7.51(1H, d, J=8.0Hz), 7.79(1H, d, J=2.8Hz), 7.99−8.08(2H, m), 8.31−8.40(2H, m), 10.75−10.95(1H, br), 11.62−11.73(1H, m)
【0204】
実施例32
4−アミノ−N−(3−クロロ−4−シアノ−1H−インドール−7−イル)ベンゼンスルホンアミド
【0205】
【化65】
【0206】
実施例31の化合物から実施例3と同様にして表題化合物を得た。
融点:232 ℃付近から徐々に分解し始め、249.5−255 ℃で急速に分解(エタノール−n−ヘキサンから再結晶)
1H−NMR(DMSO−d6) δ(ppm) : 6.09(2H, s), 6.52(2H, d, J=8.8Hz), 7.10(1H, d,J=8.4Hz), 7.46(2H, d, J=8.8Hz), 7.50(1H, d, J=8.4Hz), 7.72−7.79(1H, m),10.20(1H, s), 11.40−11.59(1H, m)
【0207】
実施例33
6−アミノ−N−(3−クロロ−1H−インドール−7−イル)−3−ピリジンスルホンアミド
【0208】
【化66】
【0209】
実施例14の化合物2.48g(7.25ミリモル)とヨウ化リチウム679mg (5.07ミリモル)をエタノール25mlに加えた。液体アンモニア10mlを加えて封管中120 ℃で26時間加熱後、濃縮した。残渣を酢酸エチルに溶解し、飽和重曹水、水で順次洗浄、硫酸マグネシウムで乾燥した。濃縮後、残渣をシリカゲルカラムクロマトグラフィーで精製し、表題化合物982mg を得た。
融点:206−207 ℃(酢酸エチル−n−ヘキサンから再結晶)
1H−NMR(DMSO−d6) δ(ppm) : 6.37(1H, d, J=8.8Hz), 6.83−6.94(1H, m), 6.88(2H, br s), 6.99(1H, dd, J=7.9, 7.7Hz), 7.25(1H, dd, J=7.9, 0.7Hz), 7.48(1H, d, J=2.7Hz), 7.56(1H, dd, J=8.8, 2.4Hz), 8.14(1H, d, J=2.4Hz), 9.70(1H, s), 10.92−11.03(1H, m)
【0210】
実施例34
N−(3−クロロ−1H−インドール−7−イル)−4−(メチルスルフィニルメチル)ベンゼンスルホンアミド
【0211】
【化67】
【0212】
実施例15の化合物を実施例24と同様に酸化して表題化合物を得た。
1H−NMR(DMSO−d6) δ(ppm) : 2.41(3H, s), 3.98(1H, d, J=12.6Hz), 4.18(1H, d, J=12.8Hz), 6.77(1H, d, J=7.5Hz), 6.94(1H, dd, J=7.9, 7.7Hz), 7.25(1H, d, J=7.9Hz), 7.43(2H, d, J=8.1Hz), 7.47(1H, d, J=2.8Hz), 7.73(2H, d, J=8.1Hz), 10.01(1H, br s), 11.03(1H, br s)
【0213】
実施例35
N−(3−クロロ−1H−インドール−7−イル)−4−(2−スルファモイルエチル)ベンゼンスルホンアミド
【0214】
【化68】
【0215】
製造例11の化合物865mg(3.05ミリモル)と製造例2の化合物376mg(2.84ミリモル) を実施例1と同様に反応させ、処理して得られたN−(1H−インドール−7−イル)−4−(2−スルファモイルエチル)ベンゼンスルホンアミド957mg を実施例2と同様に塩素化して表題化合物 980mgを得た。
融点:217-219 ℃(分解)(エタノール−n−ヘキサンから再結晶)
1H-NMR(DMSO-d6) δ(ppm) : 3.01-3.06(2H, m), 3.23-3.28(2H, m), 6.81(1H, dd, J=7.5, 0.37Hz), 6.88(2H, br s), 6.95(1H, dd, J=8.1, 7.5Hz), 7.24(1H,dd, J=7.8, 0.37Hz), 7.42(2H, d, J=8.4Hz), 7.49(1H, d, J=2.6Hz), 7.68(2H,d, J=8.2Hz), 9.99(1H, br s), 11.02(1H, br s)
以上
【0216】
実施例36
N−(3−クロロ−1H−インドール−7−イル)−4−[2−(メチルスルホニル)エチル]ベンゼンスルホンアミド
【0217】
【化69】
【0218】
実施例1および2と同様にして表題化合物を得た。
融点:180 ℃付近より着色し始め、201−203 ℃で分解(エタノール−n−ヘキサンから再結晶)
1H−NMR(DMSO−d6) δ(ppm) : 2.92(3H, s), 3.01−3.07(2H, m), 3.40−3.46(2H, m), 6.81(1H, d, J=7.9Hz), 6.94(1H, dd, J=7.9, 7.7Hz), 7.24(1H, d, J=7.7Hz), 7.45(2H, d, J=8.2Hz), 7.49(1H, d, J=2.7Hz), 7.68(2H, d, J=8.2Hz), 9.99(1H, br s), 11.03(1H, br s)
【0219】
実施例37
6−アミノ−N−(3−シアノ−1H−インドール−7−イル)−3−ピリジンスルホンアミド
【0220】
【化70】
【0221】
実施例18の化合物を実施例33と同様にしてアミノ化し、表題化合物を得た。
融点:300 ℃以上(エタノール−n−ヘキサンから再結晶)
1H−NMR(DMSO−d6) δ(ppm) : 6.39(1H, d, J=9.0Hz), 6.88(1H, d, J=7.7Hz), 6.89(2H, s), 7.11(1H, dd, J=7.9, 7.7Hz), 7.41(1H, dd, J=7.9, 0.7Hz), 7.55(1H, dd, J=9.0, 2.6Hz), 8.12(1H, d, J=2.6Hz), 8.19(1H, s), 9.72−9.90(1H, br), 11.78−11.92(1H, m)
【0222】
実施例38
4−アセトアミド−3−クロロ−N−(3−クロロ−1H−インドール−7−イル)ベンゼンスルホンアミド
【0223】
【化71】
【0224】
実施例1および2と同様にして表題化合物を得た。
1H−NMR(DMSO−d6) δ(ppm) : 2.14(3H, s), 6.77(1H, d, J=7.7Hz), 6.98(1H, dd, J=7.9, 7.7Hz), 7.29(1H, d, J=7.9Hz), 7.50(1H, d, J=2.7Hz), 7.64(1H, dd, J=8.6, 2.2Hz), 7.75(1H, d, J=2.2Hz), 8.04(1H, d, J=8.6Hz), 9.69(1H, brs), 10.04(1H, br s), 11.11(1H, br s)
【0225】
実施例39
N−(3−シアノ−1H−インドール−7−イル)−8−キノリンスルホンアミド
【0226】
【化72】
【0227】
実施例1と同様にして表題化合物を得た。
1H−NMR(DMSO−d6) δ(ppm) : 6.68(1H, d, J=7.3Hz), 6.89(1H, dd, J=7.9, 7.7Hz), 7.25(1H, d, J=8.1Hz), 7.69−7.74(2H, m), 8.21(1H, d, J=2.9Hz), 8.30(1H, dd, J=8.2, 1.3Hz), 8.35(1H, dd, J=7.4, 1.4Hz), 8.54(1H, dd, J=8.3, 1.7Hz), 9.15(1H, dd, J=4.3, 1.7Hz), 10.04(1H, br s), 12.14(1H, br s)
【0228】
実施例40
5−クロロ−N−(3−シアノ−1H−インドール−7−イル)−2−チオフェンスルホンアミド
【0229】
【化73】
【0230】
実施例1と同様にして表題化合物を得た。
1H−NMR(DMSO−d6) δ(ppm) : 6.88(1H, ddd, J=7.7, 2.2, 0.73Hz), 7.16(1H, dd, J=7.9, 7.7Hz), 7.20(1H, d, J=4.0Hz), 7.36(1H, d, J=4.2Hz), 7.51(1H, d,J=8.1Hz), 8.23(1H, d, J=3.1Hz), 10.42(1H, br s), 12.01(1H, br s)
【0231】
実施例41
N−(3−クロロ−1H−インドール−7−イル)−4−(メトキシカルボニルアミノ)ベンゼンスルホンアミド
【0232】
【化74】
【0233】
実施例3の化合物38mg(0.18ミリモル)のピリジン溶液(1ml)にクロロギ酸メチル 170mg(1.8 ミリモル)を加え一晩室温で攪拌した。反応混合物を濃縮し、残渣をシリカゲルカラムクロマトグラフィーで精製し、表題化合物20mgを得た。
1H−NMR(DMSO−d6) δ(ppm) : 3.65(3H, s), 6.80(1H, d, J=7.7Hz), 6.93(1H, t,J=7.9Hz), 7.21(1H, dd, J=7.7, 0.37Hz), 7.45(1H, d, J=2.7Hz), 7.51(2H, d, J=9.0Hz), 7.63(2H, d, J=8.8Hz), 9.85(1H, br s), 10.07(1H, s), 10.97(1H, br s)
【0234】
実施例42
4−アセチル−N−(3−シアノ−1H−インドール−7−イル)ベンゼンスルホンアミド
【0235】
【化75】
【0236】
実施例1と同様にして表題化合物を得た。
1H−NMR(DMSO−d6) δ(ppm) : 2.60(3H, s), 6.74(1H, d, J=7.7Hz), 7.05(1H, dd, J=7.9, 7.7Hz), 7.42(1H, d, J=7.9Hz), 7.81−7.88(2H, m), 8.03−8.10(2H, m), 8.21(1H, s), 10.18−10.50(1H, br), 11.92−12.07(1H, m)
【0237】
実施例43
N−(3−クロロ−1H−インドール−7−イル)−4−(N−メトキシスルファモイル)ベンゼンスルホンアミド
【0238】
【化76】
【0239】
実施例1および2と同様にして表題化合物を得た。
1H−NMR(DMSO−d6) δ(ppm) : 3.65(3H, s), 6.73(1H, d, J=7.6Hz), 6.96(1H, dd, J=8.0, 7.6Hz), 7.30(1H, d, J=8.0Hz), 7.50(1H, d, J=2.4Hz), 7.98(4H, s), 10.29(1H, br s), 10.76(1H, br s), 11.12(1H, br s)
【0240】
実施例44
N−(3−シアノ−1H−インドール−7−イル)−β−スチレンスルホンアミド
【0241】
【化77】
【0242】
実施例1と同様にして表題化合物を得た。
1H−NMR(DMSO−d6) δ(ppm) : 7.14−7.20(2H, m), 7.32(2H, s), 7.35−7.47(4H, m), 7.60−7.68(2H, m), 8.23(1H, s), 9.70−10.03(1H, br), 11.85−12.12(1H, br)
【0243】
実施例45
3−クロロ−N−(3−シアノ−1H−インドール−7−イル)−2−メチルベンゼンスルホンアミド
【0244】
【化78】
【0245】
実施例1と同様にして表題化合物を得た。
1H−NMR(DMSO−d6) δ(ppm) : 2.61(3H, s), 6.69(1H, d, J=7.7Hz), 7.04(1H, t,J=7.9Hz), 7.36(1H, dd, J=8.1, 7.9Hz), 7.42(1H, d, J=7.9Hz), 7.73(1H, dd, J=8.1, 1.1Hz), 7.77(1H, dd, J=8.0, 0.82Hz), 8.25(1H, d, J=3.1Hz), 10.37(1H, s), 11.99(1H, br s)
【0246】
実施例46
N−(3−クロロ−1H−インドール−7−イル)−6−イソプロピルアミノ−3−ピリジンスルホンアミド
【0247】
【化79】
【0248】
実施例14の化合物 400mg( 1.17 ミリモル)とイソプロピルアミン0.80ml(9.39 ミリモル)をジオキサン5mlに加え封管中 100℃で 7.5時間加熱した。濃縮後、酢酸エチルに溶解し、希クエン酸水、飽和重曹水、水で順次洗浄した。硫酸マグネシウムで乾燥後、濃縮し、残渣をシリカゲル薄層クロマトグラフィーで精製し、表題化合物 235mgを得た。
融点: 210℃付近から着色し始め、 213−215℃で分解(酢酸エチル−n−ヘキサンから再結晶)
1H−NMR(DMSO−d6) δ(ppm) : 1.09(6H, d, J=6.6Hz), 3.90−4.08(1H, m), 6.39(1H, d, J=9.0Hz), 6.90−7.05(2H, m), 7.24(1H, d, J=7.9Hz), 7.33(1H, d, J=7.7Hz), 7.48(1H, d, J=2.4Hz), 7.54(1H, dd, J=9.0, 2.6Hz), 8.22(1H, d, J=2.6Hz), 9.65−9.84(1H, br), 10.88−11.04(1H, m)
【0249】
実施例47
N−(3−クロロ−1H−インドール−7−イル)−6−[[2−(ジメチルアミノ)エチル]アミノ]−3−ピリジンスルホンアミド
【0250】
【化80】
【0251】
実施例14の化合物とN,N−ジメチルエチレンジアミンから実施例46と同様にして表題化合物を得た。
1H−NMR(DMSO−d6) δ(ppm) : 2.14(6H, s), 2.35(2H, t, J=6.6Hz), 3.24−3.44(2H, m), 6.48(1H, d, J=9.0Hz), 6.92(1H, d, J=7.7Hz), 6.99(1H, dd, J=7.9, 7.7Hz), 7.22(1H, d, J=7.9Hz), 7.27−7.39(1H, m), 7.47(1H, d, J=2.4Hz), 7.54(1H, dd, J=9.0, 2.6Hz), 8.21(1H, d, J=2.6Hz), 10.91−11.03(1H, m)
【0252】
実施例48
N−(3−シアノ−1H−インドール−7−イル)−2−フランスルホンアミド
【0253】
【化81】
【0254】
実施例1と同様にして表題化合物を得た。
1H−NMR(DMSO−d6) δ(ppm) : 6.62(1H, ddd, J=3.7, 1.8, 0.37Hz), 6.78(1H, d,J=7.5Hz), 7.04(1H, d, J=3.5Hz), 7.12(1H, t, J=7.9Hz), 7.49(1H, d, J=8.1Hz), 7.99−8.00(1H, m), 8.23(1H, d, J=3.1Hz), 10.49(1H, br s), 12.04(1H, br s)
【0255】
実施例49
N−(3−クロロ−1H−インドール−7−イル)−4−[(ジメチルアミノスルホニル)アミノ]ベンゼンスルホンアミド
【0256】
【化82】
【0257】
実施例3の化合物とジメチルスルファモイルクロリドから実施例1と同様にして表題化合物を得た。
1H−NMR(DMSO−d6) δ(ppm) : 2.66(6H, s), 6.81(1H, dd, J=7.7, 0.92Hz), 6.95(1H, dd, J=7.9, 7.7Hz), 7.20(2H, d, J=8.8Hz), 7.23(1H, d, J=8.1Hz), 7.47(1H, d, J=2.7Hz), 7.64(2H, d, J=8.8Hz), 10.98(1H, br s)
【0258】
実施例50
N−(3−メチル−1H−インドール−7−イル)−4−(メチルスルホニル)ベンゼンスルホンアミド
【0259】
【化83】
【0260】
3−ホルミル−7−ニトロ−1H−インドール 300mg(1.58ミリモル)の2−プロパノール懸濁液(25ml)に水素化ホウ素ナトリウム 580mg(15.3ミリモル)と10%パラジウム−炭素 150mgを加え、6時間還流した。反応系に水を加えた後、触媒を濾取した。濾液を酢酸エチルで抽出し、飽和食塩水で洗浄後、硫酸マグネシウムで乾燥した。溶媒を減圧留去し、残渣をピリジン5mlに溶解した。これを4−(メチルスルホニル)ベンゼンスルホニルクロリド 170mg(0.67ミリモル)と実施例1と同様に反応させ、処理し、表題化合物 149mgを得た。
1H−NMR(DMSO−d6) δ(ppm) : 2.18(3H, s), 3.24(3H, s), 6.69(1H, d, J=7.7Hz), 6.81(1H, t, J=7.7Hz), 7.06(1H, br s), 7.25(1H, d, J=7.8Hz), 7.95(2H, d, J=8.8Hz), 8.04(2H, d, J=8.2Hz), 10.14(1H, br s), 10.40(1H, br s)
【0261】
実施例51
3−シアノ−N−(3−シアノ−1H−インドール−7−イル)ベンゼンスルホンアミド
【0262】
【化84】
【0263】
実施例1と同様にして表題化合物を得た。
1H−NMR(DMSO−d6) δ(ppm) : 6.71(1H, d, J=7.2Hz), 7.09(1H, dd, J=8.0, 7.6Hz), 7.49(1H, d, J=8.0Hz), 7.74(1H, dd, J=8.0, 7.6Hz), 7.94(1H, d, J=8.0Hz), 8.11−8.14(2H, m), 8.23(1H, d, J=2.8Hz), 10.30(1H, br s), 12.05(1H, br s)
【0264】
実施例52
N−(3−クロロ−1H−インドール−7−イル)−4−(N−メチルメタンスルホンアミド)ベンゼンスルホンアミド
【0265】
【化85】
【0266】
実施例1および2と同様にして表題化合物を得た。
融点: 199−201℃(分解)(エタノール−n−ヘキサンから再結晶)
1H−NMR(DMSO−d6) δ(ppm) : 2.98(3H, s), 3.24(3H, s), 6.83(1H, dd, J=7.7, 0.37Hz), 6.96(1H, dd, J=7.9, 7.7Hz), 7.26(1H, dd, J=7.9, 0.55Hz), 7.48(1H, d, J=2.7Hz), 7.50−7.54(2H, m), 7.72−7.76(2H, m), 10.04(1H, br s), 11.02(1H, br s)
【0267】
実施例53
N−(3−クロロ−1H−インドール−7−イル)−4−[(メタンスルホンアミド)メチル]ベンゼンスルホンアミド
【0268】
【化86】
【0269】
実施例1および2と同様にして表題化合物を得た。
融点: 180℃付近より着色し始め、 189−191℃で分解(エタノール−n−ヘキサンから再結晶)
1H−NMR(DMSO−d6) δ(ppm) : 2.81(3H, s), 4.19(2H, d, J=6.0Hz), 6.79(1H, d,J=7.7Hz), 6.94(1H, dd, J=7.9, 7.7Hz), 7.24(1H, d, J=7.9Hz), 7.47(2H, d,J=8.8Hz), 7.47−7.49(1H, m), 7.64(1H, t, J=6.4Hz), 7.72(2H, d, J=8.4Hz),10.00(1H, s), 11.03(1H, br s)
【0270】
実施例54
N−(3−クロロ−1H−インドール−7−イル)−4−(1−ピロリジニル スルホニル)ベンゼンスルホンアミド
【0271】
【化87】
【0272】
4−(1−ピロリジニルスルホニル)ベンゼンスルホニルクロリドと製造例10の化合物から実施例1と同様にして表題化合物を得た。
1H−NMR(DMSO−d6) δ(ppm) : 1.55−1.59(4H, m), 3.07−3.11(4H, m), 6.71(1H, d, J=7.6Hz), 6.95(1H, ddd, J=8.2, 7.4, 1.2Hz), 7.30(1H, d, J=8.0Hz), 7.46(1H, d, J=2.4Hz), 7.89(2H, d, J=8.8Hz), 7.92(2H, d, J=8.4Hz), 10.18(1H, br s), 11.03(1H, br s)
【0273】
実施例55
N−(3−シアノ−1H−インドール−7−イル)−1−メチル−4−イミダゾールスルホンアミド
【0274】
【化88】
【0275】
実施例1と同様にして表題化合物を得た。
1H−NMR(DMSO−d6) δ(ppm) : 3.61(3H, s), 7.00(1H, dd, J=7.7, 0.92Hz), 7.07(1H, dd, J=7.9, 7.7Hz), 7.35(1H, d, J=7.9Hz), 7.75−7.76(2H, m), 8.19(1H,d, J=3.1Hz), 10.03(1H, br s), 11.92(1H, br s)
【0276】
実施例56
N−(3−クロロ−1H−インドール−7−イル)−6−[(2−ヒドロキシエチル)アミノ]−3−ピリジンスルホンアミド
【0277】
【化89】
【0278】
実施例14の化合物と2−アミノエタノールから実施例46と同様にして表題化合物を得た。
1H−NMR(DMSO−d6) δ(ppm) : 3.24−3.40(2H, m), 3.42−3.52(2H, m), 4.66−4.77(1H, m), 6.48(1H, d, J=9.3Hz), 6.92(1H, d, J=7.7Hz), 7.00(1H, t, J=7.7Hz), 7.24(1H, d, J=7.7Hz), 7.40−7.62(2H, m), 7.48(1H, d, J=2.2Hz), 8.22(1H,d, J=2.6Hz), 9.63−9.90(1H, br), 10.90−11.07(1H, m)
【0279】
実施例57
N−(3−クロロ−1H−インドール−7−イル)−6−メルカプト−3−ピリジンスルホンアミド
【0280】
【化90】
【0281】
実施例14の化合物 340mg(0.99ミリモル)とチオウレア 151mg(1.98ミリモル)をエタノール5mlに加え、2時間加熱還流した。濃縮後、残渣に水 1.6mlと炭酸ナトリウム57mgを加え、室温で10分間攪拌した。水酸化ナトリウム85mgを加え、さらに10分間攪拌後、不溶物を濾去した。塩酸酸性にして生じた沈澱を濾取し、水洗後、テトラヒドロフランに溶解し、硫酸マグネシウムで乾燥した。濃縮後、残渣をシリカゲル薄層クロマトグラフィーで精製し、表題化合物 121mgを得た。
1H−NMR(DMSO−d6) δ(ppm) : 6.84(1H, d, J=7.6Hz), 7.03(1H, t, J=7.6Hz), 7.28(1H, d, J=9.2Hz), 7.31(1H, d, J=7.6Hz), 7.44(1H, dd, J=9.2, 2.4Hz), 7.48(1H, d, J=2.6Hz), 7.68(1H, d, J=2.4Hz), 9.58−9.80(1H, br), 11.08−11.19(1H, m)
【0282】
実施例58
7−(4−クロロベンゼンスルホンアミド)−1H−インドール−2−カルボン酸
【0283】
【化91】
【0284】
実施例1と同様にして表題化合物を得た。
1H−NMR(DMSO−d6) δ(ppm) : 6.65(1H, d, J=7.6Hz), 6.87(1H, dd, J=8.0, 7.6Hz), 7.00(1H, s), 7.26(1H, d, J=8.0Hz), 7.56−7.65(2H, m), 7.68−7.77(2H, m), 9.62−10.00(1H, br), 11.40−11.74(1H, br)
【0285】
実施例59
N−(3−クロロ−1H−インドール−7−イル)−6−シクロプロピルアミノ−3−ピリジンスルホンアミド
【0286】
【化92】
【0287】
実施例46と同様にして表題化合物を得た。
融点:228 ℃付近から着色し始め、233.5−235 ℃で分解(酢酸エチル−n−ヘキサンから再結晶)
1H−NMR(DMSO−d6) δ(ppm) : 0.36−0.46(2H, m), 0.63−0.75(2H, m), 2.44−2.64(1H, m), 6.45−6.64(1H, m), 6.93(1H, d, J=7.7Hz), 7.00(1H, dd, J=7.9, 7.7Hz), 7.24(1H, d, J=7.9Hz), 7.49(1H, d, J=2.7Hz), 7.57−7.73(2H, m), 8.25(1H, d, J=2.6Hz), 9.68−9.90(1H, br), 10.92−11.04(1H, m)
【0288】
実施例60
N−(3−シアノ−1H−インドール−7−イル)−5−メチル−3−ピリジンスルホンアミド
【0289】
【化93】
【0290】
実施例1と同様にして表題化合物を得た。
融点: 288℃付近から徐々に分解(エタノール−n−ヘキサンから再結晶)
1H−NMR(DMSO−d6) δ(ppm) : 2.33(3H, s), 6.75(1H, d, J=7.7Hz), 7.09(1H, dd, J=7.9, 7.7Hz), 7.48(1H, d, J=7.9Hz), 7.87−7.91(1H, m), 8.22(1H, d, J=3.1Hz), 8.58−8.67(2H, m), 10.28(1H, br s), 11.95−12.08(1H, m)
【0291】
実施例61
N−(3−クロロ−1H−インドール−7−イル)−4−(N−メチルスルファモイル)ベンゼンスルホンアミド
【0292】
【化94】
【0293】
実施例1および2と同様にして表題化合物を得た。
1H−NMR(DMSO−d6) δ(ppm) : 2.39(3H, d, J=5.2Hz), 6.71(1H, dd, J=7.8, 2.0Hz), 6.96(1H, dd, J=8.0, 7.6Hz), 7.30(1H, d, J=8.0Hz), 7.48(1H, d, J=2.8Hz), 7.68(1H, q, J=4.9Hz), 7.87−7.93(4H, m), 10.20(1H, br s), 11.08(1H, br s)
【0294】
実施例62
N−(3−クロロ−1H−インドール−7−イル)−4−[2−(メタンスルホンアミド)エチル]ベンゼンスルホンアミド
【0295】
【化95】
【0296】
実施例1および2と同様にして表題化合物を得た。
1H−NMR(DMSO−d6) δ(ppm) : 2.73−2.81(5H, m),3.13−3.19(2H, m), 6.82(1H, d,J=7.7Hz), 6.95(1H, dd, J=8.1, 7.7Hz), 7.09(1H, t, J=5.9Hz), 7.24(1H, d, J=8.1Hz), 7.39(2H, d, J=8.2Hz), 7.48(1H, d, J=2.7Hz), 7.68(2H, d, J=8.4Hz), 9.97(1H, br s), 11.02(1H, br s)
【0297】
実施例63
N−(3−クロロ−1H−インドール−7−イル)−4−(スルファモイルメチル)ベンゼンスルホンアミド
【0298】
【化96】
【0299】
製造例6の化合物 389mg(1.44ミリモル)と製造例2の化合物 159mg( 1.2ミリモル)を実施例1と同様に反応させ、処理し、N−(1H−インドール−7−イル)−4−(スルファモイルメチル)ベンゼンスルホンアミド 233mgを得た。これを実施例2と同様にして塩素化し、表題化合物 160mgを得た。
融点: 237−238.5℃(分解)(エタノール−n−ヘキサンから再結晶)
1H−NMR(DMSO−d6) δ(ppm) : 4.33(2H, s), 6.84(1H, dd, J=7.7, 0.73Hz), 6.93(2H, s), 6.92−6.97(1H, m), 7.24(1H, dd, J=7.9, 0.37Hz), 7.48(1H, d, J=2.7Hz), 7.48−7.52(2H, m), 7.75−7.79(2H, m), 10.08(1H, br s), 11.04(1H, br s)
【0300】
実施例64
N−(3−クロロ−1H−インドール−7−イル)−4−チオカルバモイルベンゼンスルホンアミド
【0301】
【化97】
【0302】
実施例10の化合物 400mg(1.21ミリモル)をジメチルホルムアミド10mlに溶解し、トリエチルアミン 0.5mlを加えた。浴温60−70℃で硫化水素を45分間通じた。濃縮後、残渣を酢酸エチルに溶解し、希塩酸、飽和重曹水、水で順次洗浄、硫酸マグネシウムで乾燥した。溶媒を減圧留去後、残渣をシリカゲルカラムクロマトグラフィーで精製し、表題化合物 355mgを得た。
融点: 223−225℃(分解)(エタノール−n−ヘキサンから再結晶)
1H−NMR(DMSO−d6) δ(ppm) : 6.81(1H, d, J=7.7Hz), 6.96(1H, dd, J=7.9, 7.7Hz), 7.27(1H, d, J=7.9Hz), 7.50(1H, d, J=2.7Hz), 7.73−7.80(2H, m), 7.86−7.93(2H, m), 9.58−9.73(1H, br m), 10.02−10.18(1H, br m), 10.15(1H, s), 11.03−11.12(1H, m)
【0303】
実施例65
5−ブロモ−N−(3−シアノ−1H−インドール−7−イル)−2−ピリジンスルホンアミド
【0304】
【化98】
【0305】
実施例1と同様にして表題化合物を得た。
融点: 245.5−246.5℃(分解)(酢酸エチル−n−ヘキサンから再結晶)
1H−NMR(DMSO−d6) δ(ppm) : 6.82(1H, d, J=7.7Hz), 7.07(1H, dd, J=7.9, 7.7Hz), 7.44(1H, d, J=7.9Hz), 7.80(1H, d, J=8.2Hz), 8.23(1H, d, J=2.2Hz), 8.29(1H, dd, J=8.2, 2.2Hz), 8.92(1H, d, J=2.2Hz), 10.42−10.67(1H, br), 11.93−12.08(1H, m)
【0306】
実施例66
N−(3−シアノ−1H−インドール−7−イル)−2−ナフタレンスルホンアミド
【0307】
【化99】
【0308】
実施例1と同様にして表題化合物を得た。
1H−NMR(DMSO−d6) δ(ppm) : 6.74(1H, dd, J=7.6, 2.8Hz), 7.00(1H, dd, J=7.9, 7.7Hz), 7.39(1H, dd, J=8.0, 0.46Hz), 7.61−7.72(2H, m), 7.80(1H, dd, J=8.6, 1.8Hz), 8.01(1H, d, J=8.1Hz), 8.08(1H, s), 8.10(1H, s), 8.21(1H, d,J=2.9Hz), 8.34(1H, d, J=1.6Hz), 10.23(1H, br s), 12.01(1H, br s)
【0309】
実施例67
N−(3−アセチル−1H−インドール−7−イル)−3−クロロベンゼンスルホンアミド
【0310】
【化100】
【0311】
実施例1と同様にして表題化合物を得た。
1H−NMR(DMSO−d6) δ(ppm) : 2.44(3H, s), 6.65(1H, d, J=7.5Hz), 7.01(1H, dd, J=7.9, 7.7Hz), 7.53−7.63(2H, m), 7.69−7.73(2H, m), 8.01(1H, dd, J=8.1,0.73Hz), 8.26(1H, d, J=2.9Hz), 10.10(1H, s), 11.75(1H, br s)
【0312】
実施例68
4−アミノ−N−(5−ブロモ−3−シアノ−1H−インドール−7−イル)ベンゼンスルホンアミド
【0313】
【化101】
【0314】
4−ニトロベンゼンスルホニルクロリドと製造例14の化合物から実施例1と同様にして得られたN−(5−ブロモ−3−シアノ−1H−インドール−7−イル)−4−ニトロベンゼンスルホンアミドを酸化白金存在下常温常圧で水素添加し、表題化合物を得た。
1H−NMR(DMSO−d6) δ(ppm) : 6.07(2H, br s), 6.52(2H, d, J=8.4Hz), 6.97−6.99(1H, m), 7.36(2H, dd, J=8.7, 1.6Hz), 7.51(1H, br s), 8.25(1H, s), 9.93(1H, d, J=5.5Hz), 11.97(1H, br s)
【0315】
実施例69
N−(3−クロロ−1H−インドール−7−イル)−4−(N−エチルスルファモイル)ベンゼンスルホンアミド
【0316】
【化102】
【0317】
実施例1および2と同様にして表題化合物を得た。
融点: 213−215℃(エタノール−n−ヘキサンから再結晶)
1H−NMR(DMSO−d6) δ(ppm) : 0.90(3H, t, J=7.2Hz), 2.76(2H, dq, Jd=5.8Hz, Jq=7.2Hz), 6.70(1H, d, J=7.4Hz), 6.95(1H, dd, J=8.0, 7.6Hz), 7.29(1H, d, J=8.0Hz), 7.47(1H, d, J=2.8Hz), 7.78(1H, t, J=5.6Hz), 7.90(4H, s), 10.18(1H, br s), 11.06(1H, br s)
【0318】
実施例70
N−(3−クロロ−1H−インドール−7−イル)−4−(エタンスルホンアミド)ベンゼンスルホンアミド
【0319】
【化103】
【0320】
実施例4と同様にして表題化合物を得た。
融点: 214−215℃(分解)(エタノール−n−ヘキサンから再結晶)
1H−NMR(DMSO−d6) δ(ppm) : 1.14(3H, t, J=7.3Hz), 3.16(2H, q, J=7.3Hz), 6.82(1H, d, J=7.5Hz), 6.96(1H, dd, J=7.9, 7.7Hz), 7.23(2H, d, J=8.8Hz), 7.24(1H, d, J=7.5Hz), 7.47(1H, d, J=2.6Hz), 7.66(2H, d, J=8.8Hz), 9.90(1H,br s), 10.37(1H, br s), 10.96(1H, br s)
【0321】
実施例71
N−(3−クロロ−1H−インドール−7−イル ) −6−[(2−シアノエチル)アミノ]−3−ピリジンスルホンアミド
【0322】
【化104】
【0323】
実施例46と同様にして表題化合物を得た。
1H−NMR(DMSO−d6) δ(ppm) : 2.72(2H, t, J=6.4Hz),3.46−3.55(2H, m), 6.53(1H, d, J=9.0Hz), 6.90(1H, d, J=7.7Hz), 6.99(1H, dd, J=7.9, 7.7Hz), 7.25(1H, d, J=7.9Hz), 7.48(1H, d, J=2.6Hz), 7.61(1H, dd, J=9.0, 2.4Hz), 7.78−7.87(1H, m), 8.25(1H, d, J=2.4Hz), 9.70−9.95(1H, br), 10.92−11.04(1H, m)
【0324】
実施例72
N−(3−クロロ−1H−インドール−7−イル ) −4− ( N−メチルカルバモイル)ベンゼンスルホンアミド
【0325】
【化105】
【0326】
実施例9の化合物 533mg(1.68ミリモル)をジメチルホルムアミド5mlとジメチルスルホキシド 2.5mlの混液に溶解し、メチルアミン塩酸塩171mg (2.53ミリモル)、トリエチルアミン 705μl (5.06ミリモル)を加えた。ジフェニルホスホリルアジド 436μl (2.02ミリモル)を加えて室温で一晩攪拌後濃縮した。酢酸エチルで抽出し、希塩酸、飽和重曹水、水で順次洗浄後、硫酸マグネシウムで乾燥した。濃縮後、残渣をシリカゲルカラムクロマトグラフィーで精製し、N−(1H−インドール−7−イル)−4−(N−メチルカルバモイル)ベンゼンスルホンアミド 465mgを得た。これを実施例2と同様に塩素化し、表題化合物413mg を得た。
融点:252−253 ℃(分解)(エタノール−n−ヘキサンから再結晶)
1H−NMR(DMSO−d6) δ(ppm) : 2.76(3H, d, J=4.6Hz), 6.74(1H, d, J=7.7Hz), 6.94(1H, dd, J =7.9, 7.7Hz), 7.27(1H, d, J=7.9Hz), 7.49(1H, d, J=2.7Hz), 7.76−7.83(2H, m), 7.87−7.94(2H, m), 8.61(1H, q, J=4.6Hz), 10.10(1H, s), 11.03−11.13(1H, m)
【0327】
実施例73
N−(3−クロロ−1H−インドール−7−イル)−4−(メチルスルホニルメチル)ベンゼンスルホンアミド
【0328】
【化106】
【0329】
実施例34の化合物 510mgを30%過酸化水素水により実施例23と同様に酸化して表題化合物 307mgを得た。
融点: 225℃付近より着色し始め、 235℃付近から徐々に分解(エタノール−n−ヘキサンから再結晶)
1H−NMR(DMSO−d6) δ(ppm) : 2.88(3H, s), 4.57(2H, s), 6.77(1H, d, J=7.6Hz), 6.94(1H, dd, J=7.9, 7.7Hz), 7.25(1H, d, J=8.0Hz), 7.47(1H, d, J=2.7Hz), 7.51−7.56(2H, m), 7.73−7.78(2H, m), 10.05(1H, br s), 11.04(1H, br s)
【0330】
実施例74
N−(3−クロロ−1H−インドール−7−イル)−4−(N,N−ジメチルスルファモイル)ベンゼンスルホンアミド
【0331】
【化107】
【0332】
実施例1および2と同様にして表題化合物を得た。
1H−NMR(DMSO−d6) δ(ppm) : 2.57(6H, s), 6.71(1H, dd, J=7.4, 0.6Hz), 6.97(1H, dd, J=8.0, 7.6Hz), 7.31(1H, d, J=8.0Hz), 7.47(1H, d, J=2.8Hz), 7.86(2H, d, J=8.4Hz), 7.91(2H, d, J=8.4Hz), 10.19(1H, br s), 11.04(1H, br s)
【0333】
実施例75
N−(3−クロロ−1H−インドール−7−イル)−4−(1−ピロリジニルカルボニル)ベンゼンスルホンアミド
【0334】
【化108】
【0335】
実施例1と同様にして表題化合物を得た。
1H−NMR(DMSO−d6) δ(ppm) : 1.79(2H, dt, Jd=12.8Hz, Jt=6.4Hz), 1.85(2H, dt, Jd=13.6Hz, Jt=6.8Hz), 3.22(2H, t, J=6.4Hz) , 3.44(2H, t, J=6.8Hz), 6.78(1H, d, J=7.2Hz), 6.96(1H, dd, J=8.0, 7.2Hz), 7.28(1H, d, J=8.0Hz), 7.47(1H, d, J=2.4Hz), 7.60(2H, d, J=8.0Hz), 7.74(2H, d, J=8.4Hz), 10.06(1H,br s), 11.01(1H, br s)
【0336】
実施例76
3−クロロ−N−(3−クロロ−1H−インドール−7−イル)−N−メチルベンゼンスルホンアミド
【0337】
【化109】
【0338】
実施例7の化合物 120mg(0.352 ミリモル)をジメチルホルムアミド10mlに溶解し、水素化ナトリウム(60%)19.2mg(0.479 ミリモル)を加えた。室温で30分間攪拌後ヨウ化メチル30μl (0.482 ミリモル)を加えた。2時間後水を加え、酢酸エチルで抽出し、有機層を水洗、硫酸マグネシウムで乾燥した。濃縮後、残渣をシリカゲル薄層クロマトグラフィーで精製し、表題化合物87mgを得た。
1H−NMR(DMSO−d6) δ(ppm) : 3.26(3H, s), 6.51(1H, dd, J=7.6, 0.64Hz), 7.00(1H, dd, J=7.9, 7.7Hz), 7.47(1H, d, J=8.1Hz), 7.53(1H, d, J=2.7Hz), 7.54−7.59(2H, m), 7.65(1H, t, J=7.9Hz), 7.84(1H, ddd, J=8.1, 2.1, 1.1Hz), 11.62(1H, br s)
【0339】
実施例77
N−(3,4−ジクロロ−1H−インドール−7−イル)−4−(スルファモイルメチル)ベンゼンスルホンアミド
【0340】
【化110】
【0341】
実施例1と同様にして表題化合物を得た。
融点: 297℃付近から徐々に分解(エタノール−n−ヘキサンから再結晶)
1H−NMR(DMSO−d6) δ(ppm) : 4.34(2H, s), 6.72(1H, d, J=8.1Hz), 6.93(2H, s), 6.94(1H, d, J=8.1Hz), 7.51(2H, d, J=8.1Hz), 7.57(1H, dd, J=2.7, 0.55Hz), 7.75(2H, d, J=8.2Hz), 10.10(1H, br s), 11.44(1H, br s)
【0342】
実施例78
N−(3−シアノ−1H−インドール−7−イル)−4−[2−(メチルスルホニル)エチル]ベンゼンスルホンアミド
【0343】
【化111】
【0344】
実施例1と同様にして表題化合物を得た。
1H−NMR(DMSO−d6) δ(ppm) : 2.94(3H, s), 3.03−3.08(2H, m), 3.42−3.47(2H, m), 6.77(1H, dd, J=7.7, 0.37Hz), 7.05(1H, t, J=7.9Hz), 7.41(1H, d, J=8.1Hz), 7.46(2H, d, J=8.2Hz), 7.66(2H, d, J=8.2Hz), 8.20(1H, s), 10.09(1H, br s), 11.92(1H, br s)
【0345】
実施例79
N−(3−クロロ−1H−インドール−7−イル)−4−(N−メチルアセトアミド ) ベンゼンスルホンアミド
【0346】
【化112】
【0347】
実施例1および2と同様にして表題化合物を得た。
1H−NMR(DMSO−d6) δ(ppm) : 1.84(3H, br s), 3.16(3H, s), 6.81(1H, d, J=7.7Hz), 6.96(1H, dd, J=8.0, 7.6Hz), 7.27(1H, d, J=7.9Hz), 7.45−7.49(2H, m),7.47(1H, d, J=2.7Hz), 7.70−7.75(2H, m), 10.02(1H, br s), 11.01(1H, br s)
【0348】
実施例80
N−(3−クロロ−1H−インドール−7−イル)−6−ヒドロキシ−3−ピリジンスルホンアミド
【0349】
【化113】
【0350】
氷冷下氷酢酸2mlに実施例33の化合物100mg (0.31ミリモル)を溶かした液に、亜硝酸ナトリウム32mg(0.46ミリモル)の水溶液1mlを滴下して加えた。1時間攪拌後、重曹水を加えてpH約8にし、さらに10分間攪拌した。酢酸エチルで抽出し、水洗、硫酸マグネシウムで乾燥した。濃縮後、残渣をシリカゲル薄層クロマトグラフィーで精製し、表題化合物54mgを得た。
融点: 244−245℃(分解)(酢酸エチル−n−ヘキサンから再結晶)
1H−NMR(DMSO−d6) δ(ppm) : 6.39(1H, d, J=9.5Hz), 6.88(1H, d, J=7.7Hz), 7.04(1H, dd, J=7.9, 7.7Hz), 7.32(1H, d, J=7.9Hz), 7.50(1H, d, J=2.7Hz), 7.58(1H, dd, J=9.5, 3.1Hz), 7.64(1H, d, J=3.1Hz), 9.76−9.94(1H, br), 11.01−11.13(1H, m), 11.98−12.15(1H, br)
【0351】
実施例81
N−(3−クロロ−1H−インドール−7−イル)−4−[2−(N−メチルメタンスルホンアミド)エチル]ベンゼンスルホンアミド
【0352】
【化114】
【0353】
実施例1および2と同様にして表題化合物を得た。
1H−NMR(DMSO−d6) δ(ppm) : 2.69(3H, s), 2.76(3H, s), 2.86(2H, t, J=7.5Hz), 3.26(2H, t, J=7.5Hz), 6.78(1H, dd, J=7.4, 0.55Hz), 6.94(1H, t, J=7.7Hz), 7.24(1H, dd, J=7.7, 0.37Hz), 7.39(2H, d, J=8.2Hz), 7.48(1H, d, J=2.6Hz), 7.66(2H, d, J=8.2Hz), 9.94(1H, br s), 11.02(1H, br s)
【0354】
実施例82
N−(3−クロロ−1H−インドール−7−イル)−4−(トリフルオロメタンスルホンアミド)ベンゼンスルホンアミド
【0355】
【化115】
【0356】
実施例3の化合物62mg(0.19 ミリモル) のピリジン溶液(5ml) に0 ℃でトリフルオロメタンスルホン酸無水物 128μl(0.76ミリモル)を加え、そのまま終夜攪拌した。減圧下に反応液を濃縮し、pH7 のリン酸緩衝液を加え、酢酸エチルで抽出後、飽和食塩水で洗浄し、硫酸マグネシウムで乾燥した。減圧下に溶媒を留去し、シリカゲルカラムクロマトグラフィーで精製し、表題化合物20mgを得た。
1H−NMR(DMSO−d6) δ(ppm) : 6.79(1H, d, J=7.7Hz), 6.94(1H, dd, J=7.9, 7.7Hz), 7.16(2H, d, J=8.6Hz), 7.23(1H, d, J=7.9Hz), 7.46(1H, d, J=2.7Hz), 7.58(2H, d, J=8.1Hz), 9.84(1H, br s), 10.98(1H, br s)
【0357】
実施例83
N−(3−クロロ−1H−インドール−7−イル)−4−[(N−メチルメタンスルホンアミド)メチル]ベンゼンスルホンアミド
【0358】
【化116】
【0359】
実施例1および2と同様にして表題化合物を得た。
融点: 200.5−202℃(エタノールから再結晶)
1H−NMR(DMSO−d6) δ(ppm) : 2.63(3H, s), 2.94(3H, s), 4.27(2H, s), 6.80(1H, d, J=7.3Hz), 6.95(1H, dd, J=8.1, 7.5Hz), 7.25(1H, d, J=7.9Hz), 7.45(2H, d, J=8.2Hz), 7.47(1H, d, J=2.7Hz), 7.74(2H, d, J=8.2Hz), 10.00(1H, s),11.00(1H, br s)
実施例84 3−クロロ−N−(3−クロロ−1H−ピロロ[2,3−c]ピリジン−7−イル)ベンゼンスルホンアミド
【0360】
【化117】
【0361】
2−ブロモ−3−ニトロピリジンから製造例1と同様にして合成した7−ブロモ−1H−ピロロ[2,3−c]ピリジン600mg(3.05ミリモル)、銅粉194mg および塩化第一銅 603mgを濃アンモニア水84mlに加え、封管中120 ℃で15時間加熱後、処理し、7−アミノ−1H−ピロロ[2,3−c]ピリジン170mg を得た。これを実施例1および2と同様に反応、処理し、表題化合物57mgを得た。
1H−NMR(DMSO−d6) δ(ppm) : 6.93(1H, d, J=6.6Hz), 7.45(1H, dd, J=6.6, 5.8Hz), 7.53(1H, dd, J=8.0, 7.6Hz), 7.61(1H, d, J=7.6Hz), 7.73(1H, d, J=2.8Hz), 7.85(1H, d, J=8.0Hz), 7.96(1H, d, J=1.2Hz), 11.90−12.10(1H, m), 12.72(1H, br s)
Claims (13)
- 一般式(I)
(式中、A環は置換基を有していてもよい、単環式または二環式芳香環を、B環は置換基を有していてもよい、6員環式不飽和炭化水素またはヘテロ原子として窒素原子を1個のみ含む不飽和6員ヘテロ環を、C環は置換基を有していてもよい、窒素原子を1または2個のみ含む5員ヘテロ環を、Wは単結合または−CH=CH−を、Xは−N(R 1 )−を、Yは炭素原子または窒素原子を、Zは−N(R2)−または窒素原子を、R1およびR2は同一または異なって水素原子または低級アルキル基を、意味する。但し、(1)A環が4−メチルベンゼンであり、Wが単結合であり、Xが−NH−であり、B環がメトキシベンゼンであり、かつC環が無置換のイミダゾールである組み合わせ、(2)A環が4−(アセトアミド)ベンゼンまたは4−アミノベンゼンであり、Wが単結合であり、Xが−NH−であり、B環が無置換のベンゼンであり、かつC環が無置換のピラゾールである組み合わせ、(3)Yが炭素原子でありC環がイミダゾリル基である化合物、(4)5,5’−ジメチル−7,7’−ビス(p−トルエンスルホンアミド)−2,2’−ビスインダゾール、および(5)2−アセチル−7−ベンゼンスルホンアミド−3−(2−ベンゼンスルホンアミドエチル)−6−メトキシインドールを除く)で表わされるスルホンアミド誘導体またはその薬理学的に許容される塩。 - Wが単結合である請求項1記載の化合物またはその薬理学的に許容される塩。
- Wが単結合であり、XおよびZがいずれも−NH−であり、かつYが炭素原子である請求項1記載の化合物またはその薬理学的に許容される塩。
- B環が置換基を有していてもよい、ベンゼンまたはピリジンである請求項1〜3のいずれか1項記載の化合物またはその薬理学的に許容される塩。
- C環が置換基を有していてもよいピロールである請求項1〜4のいずれか1項記載の化合物またはその薬理学的に許容される塩。
- A環が置換基を有していてもよい、ベンゼンまたはピリジンであり、B環が置換基を有していてもよいベンゼンであり、C環が置換基を有していてもよいピロールであり、Wが単結合であり、かつXおよびZがいずれも−NH−である請求項1記載の化合物またはその薬理学的に許容される塩。
- 下記の群から選ばれる化合物またはその薬理学的に許容される塩:
1)4−アミノ−N−(3−クロロ−1H−インドール−7−イル)ベンゼンスルホンアミド
2)N−(3−クロロ−1H−インドール−7−イル)−4−(メタンスルホンアミド)ベンゼンスルホンアミド
3)N−(3−クロロ−1H−インドール−7−イル)−4−シアノベンゼンスルホンアミド
4)6−クロロ−N−(3−クロロ−1H−インドール−7−イル)−3−ピリジンスルホンアミド
5)3−クロロ−N−(3−シアノ−1H−インドール−7−イル)ベンゼンスルホンアミド
6)N−(3−クロロ−1H−インドール−7−イル)−4−スルファモイルベンゼンスルホンアミド
7)N−(3,4−ジクロロ−1H−インドール−7−イル)−4−スルファモイルベンゼンスルホンアミド
8)N−(3−クロロ−1H−インドール−7−イル)−4−(メチルスルホニル)ベンゼンスルホンアミド
9)4−シアノ−N−(3−シアノ−1H−インドール−7−イル)ベンゼンスルホンアミド
10)4−カルバモイル−N−(3−クロロ−1H−インドール−7−イル)ベンゼンスルホンアミド
11)6−アミノ−N−(3−クロロ−1H−インドール−7−イル)−3−ピリジンスルホンアミド
12)N−(3−クロロ−1H−インドール−7−イル)−4−(2−スルファモイルエチル)ベンゼンスルホンアミド
13)N−(3−クロロ−1H−インドール−7−イル)−4−[2−(メチルスルホニル)エチル]ベンゼンスルホンアミド
14)6−アミノ−N−(3−シアノ−1H−インドール−7−イル)−3−ピリジンスルホンアミド
15)N−(3−クロロ−1H−インドール−7−イル)−6−イソプロピルアミノ−3−ピリジンスルホンアミド
16)N−(3−クロロ−1H−インドール−7−イル)−6−[[2−(ジメチルアミノ)エチル]アミノ]−3−ピリジンスルホンアミド
17)3−シアノ−N−(3−シアノ−1H−インドール−7−イル)ベンゼンスルホンアミド
18)N−(3−クロロ−1H−インドール−7−イル)−4−(N−メチルメタンスルホンアミド)ベンゼンスルホンアミド
19)N−(3−クロロ−1H−インドール−7−イル)−4−[(メタンスルホンアミド)メチル]ベンゼンスルホンアミド
20)N−(3−クロロ−1H−インドール−7−イル)−6−シクロプロピルアミノ−3−ピリジンスルホンアミド
21)N−(3−シアノ−1H−インドール−7−イル)−5−メチル−3−ピリジンスルホンアミド
22)N−(3−クロロ−1H−インドール−7−イル)−4−(N−メチルスルファモイル)ベンゼンスルホンアミド
23)N−(3−クロロ−1H−インドール−7−イル)−4−[2−(メタンスルホンアミド)エチル]ベンゼンスルホンアミド
24)N−(3−クロロ−1H−インドール−7−イル)−4−(スルファモイルメチル)ベンゼンスルホンアミド
25)N−(3−クロロ−1H−インドール−7−イル)−4−チオカルバモイルベンゼンスルホンアミド
26)5−ブロモ−N−(3−シアノ−1H−インドール−7−イル)−2−ピリジンスルホンアミド
27)N−(3−クロロ−1H−インドール−7−イル)−4−(N−エチルスルファモイル)ベンゼンスルホンアミド
28)N−(3−クロロ−1H−インドール−7−イル)−4−(エタンスルホンアミド)ベンゼンスルホンアミド
29)N−(3−クロロ−1H−インドール−7−イル)−4−(N−メチルカルバモイル)ベンゼンスルホンアミド
30)N−(3−クロロ−1H−インドール−7−イル)−4−(メチルスルホニルメチル)ベンゼンスルホンアミド
31)N−(3,4−ジクロロ−1H−インドール−7−イル)−4−(スルファモイルメチル)ベンゼンスルホンアミド
32)N−(3−クロロ−1H−インドール−7−イル)−4−(N−メチルアセトアミド)ベンゼンスルホンアミド
33)N−(3−クロロ−1H−インドール−7−イル)−6−ヒドロキシ−3−ピリジンスルホンアミド
34)N−(3−クロロ−1H−インドール−7−イル)−4−[2−(N−メチルメタンスルホンアミド)エチル]ベンゼンスルホンアミド
35)4−カルバモイルメチル−N−(3−クロロ−1H−インドール−7−イル)ベンゼンスルホンアミド
36)N−(3−クロロ−1H−インドール−7−イル)−4−[(N−メチルメタンスルホンアミド)メチル]ベンゼンスルホンアミド
37)N−(3−クロロ−1H−インドール−7−イル)−4−ヒドロキシベンゼンスルホンアミド
38)N−(3−クロロ−1H−インドール−7−イル)−5−スルファモイル−2−ピリジンスルホンアミド
39)6−アセトアミド−N−(3−クロロ−1H−インドール−7−イル)−3−ピリジンスルホンアミド
40)N−(3−クロロ−1H−インドール−7−イル)−1−メチル−4−イミダゾールスルホンアミド
41)N−(3−クロロ−1H−インドール−7−イル)−6−ホルムアミド−3−ピリジンスルホンアミド
42)N−(3−クロロ−1H−インドール−7−イル)−5−スルファモイルメチル−2−ピリジンスルホンアミド。 - 請求項1記載のスルホンアミド誘導体またはその薬理学的に許容される塩を有効成分とする抗腫瘍剤。
Priority Applications (3)
| Application Number | Priority Date | Filing Date | Title |
|---|---|---|---|
| JP20756894A JP3545461B2 (ja) | 1993-09-10 | 1994-08-31 | 二環式ヘテロ環含有スルホンアミド誘導体 |
| US08/433,493 US5721246A (en) | 1993-09-10 | 1994-09-08 | Heterobicyclic sulfonamide and sulfonic ester derivatives |
| FI952272A FI109690B (fi) | 1993-09-10 | 1995-05-10 | Menetelmä farmakologisesti aktiivisten sulfonamidien valmistamiseksi |
Applications Claiming Priority (3)
| Application Number | Priority Date | Filing Date | Title |
|---|---|---|---|
| JP5-248614 | 1993-09-10 | ||
| JP24861493 | 1993-09-10 | ||
| JP20756894A JP3545461B2 (ja) | 1993-09-10 | 1994-08-31 | 二環式ヘテロ環含有スルホンアミド誘導体 |
Publications (2)
| Publication Number | Publication Date |
|---|---|
| JPH07165708A JPH07165708A (ja) | 1995-06-27 |
| JP3545461B2 true JP3545461B2 (ja) | 2004-07-21 |
Family
ID=26516331
Family Applications (1)
| Application Number | Title | Priority Date | Filing Date |
|---|---|---|---|
| JP20756894A Expired - Fee Related JP3545461B2 (ja) | 1993-09-10 | 1994-08-31 | 二環式ヘテロ環含有スルホンアミド誘導体 |
Country Status (3)
| Country | Link |
|---|---|
| US (1) | US5721246A (ja) |
| JP (1) | JP3545461B2 (ja) |
| FI (1) | FI109690B (ja) |
Families Citing this family (66)
| Publication number | Priority date | Publication date | Assignee | Title |
|---|---|---|---|---|
| US6060498A (en) * | 1996-02-26 | 2000-05-09 | Eisai Co., Ltd. | Composition containing antitumor agent |
| US5939451A (en) * | 1996-06-28 | 1999-08-17 | Hoffmann-La Roche Inc. | Use of sulfonamides |
| JP2000247949A (ja) * | 1999-02-26 | 2000-09-12 | Eisai Co Ltd | スルホンアミド含有インドール化合物 |
| US6653309B1 (en) | 1999-04-26 | 2003-11-25 | Vertex Pharmaceuticals Incorporated | Inhibitors of IMPDH enzyme technical field of the invention |
| US6521658B1 (en) | 1999-05-28 | 2003-02-18 | Abbott Laboratories | Cell proliferation inhibitors |
| MXPA02005866A (es) * | 1999-12-14 | 2002-10-23 | Nippon Shinyaku Co Ltd | Derivados de heterociclo y drogas. |
| DE60141889D1 (de) * | 2000-02-03 | 2010-06-02 | Eisai R&D Man Co Ltd | Inhibitoren der integrinexpression |
| TWI283575B (en) * | 2000-10-31 | 2007-07-11 | Eisai Co Ltd | Medicinal compositions for concomitant use as anticancer agent |
| WO2002066073A1 (en) * | 2001-02-21 | 2002-08-29 | Eisai C0. Ltd. | Method of examining effect of angionegesis inhibitor mediated by the inhibition of integrin expression |
| DE60223936D1 (de) * | 2001-09-05 | 2008-01-17 | Eisai R&D Man Co Ltd | Mittel zur anregung des appetits und mittel zur behandlung von anorexie |
| CN1551766A (zh) * | 2001-09-05 | 2004-12-01 | ������������ʽ���� | 淋巴细胞活化抑制剂和自身免疫性疾病治疗剂 |
| EP1481678A4 (en) * | 2002-03-05 | 2009-12-30 | Eisai R&D Man Co Ltd | ANTITUMORAL AGENT CONTAINING A SULFONAMIDE-CONTAINING HETEROCYCLIC COMPOUND AND AN ANGIOGENESIS INHIBITOR |
| GB0215650D0 (en) * | 2002-07-05 | 2002-08-14 | Cyclacel Ltd | Bisarylsufonamide compounds |
| GB0224830D0 (en) * | 2002-10-24 | 2002-12-04 | Sterix Ltd | Compound |
| WO2004091664A1 (ja) * | 2003-04-18 | 2004-10-28 | Eisai Co., Ltd. | 細胞質リンゴ酸脱水素酵素阻害剤 |
| CN100352446C (zh) * | 2003-05-08 | 2007-12-05 | 卫材R&D管理有限公司 | 含有n-(3-氯-1h-吲哚-7-基)-4-氨磺酰基苯磺酰胺和另一种细胞毒药物的药物组合 |
| WO2005054216A1 (ja) * | 2003-12-01 | 2005-06-16 | Reverse Proteomics Research Institute Co., Ltd. | 新規抗癌剤「スルコキシン」 |
| EP1783496B1 (en) | 2004-07-02 | 2011-12-21 | Eisai R&D Management Co., Ltd. | Method of analyzing protein structural affinity relationship |
| US8772269B2 (en) | 2004-09-13 | 2014-07-08 | Eisai R&D Management Co., Ltd. | Use of sulfonamide-including compounds in combination with angiogenesis inhibitors |
| WO2006030941A1 (ja) | 2004-09-13 | 2006-03-23 | Eisai R & D Management Co., Ltd. | スルホンアミド含有化合物の血管新生阻害物質との併用 |
| EP1813602A4 (en) * | 2004-11-17 | 2009-08-05 | Eisai R&D Man Co Ltd | HETEROCYCLIC SULFONAMIDE COMPOUND CRYSTAL WITH TWO RINGS |
| PL1859793T3 (pl) * | 2005-02-28 | 2011-09-30 | Eisai R&D Man Co Ltd | Nowe połączone zastosowanie związku sulfonamidowego w leczeniu choroby nowotworowej |
| CN101232901B (zh) * | 2005-02-28 | 2011-12-07 | 卫材R&D管理有限公司 | 磺酰胺化合物和血管生成抑制物质的联合新应用 |
| US20080286282A1 (en) * | 2005-02-28 | 2008-11-20 | Eisai R & D Management Co., Ltd. | Novel Use of Sulfonamide Compound in Combination with Angiogenesis Inhibitor |
| EP1873144B1 (en) * | 2005-04-20 | 2014-07-23 | Takeda Pharmaceutical Company Limited | Fused heterocyclic compound |
| PL1893612T3 (pl) | 2005-06-22 | 2012-01-31 | Plexxikon Inc | Pochodne pirolo-[2,3-b]pirydyny jako inhibitory kinazy białkowej |
| US7601715B2 (en) * | 2005-06-22 | 2009-10-13 | Bristol-Myers Squibb Company | Process for preparing triazole substituted azaindoleoxoacetic piperazine derivatives and novel salt forms produced therein |
| US7625896B2 (en) * | 2005-11-25 | 2009-12-01 | Hoffman-La Roche Inc. | Pyridylsulfonamide derivatives |
| WO2007123274A1 (ja) | 2006-04-20 | 2007-11-01 | Eisai R & D Management Co., Ltd. | スルホンアミド化合物の新規感受性マーカー |
| AU2007310064B2 (en) * | 2006-10-19 | 2013-03-28 | Takeda Pharmaceutical Company Limited | Indole compound |
| ES2705599T3 (es) * | 2007-04-16 | 2019-03-26 | Abbvie Inc | Indoles sustituidos en la posición 7 como inhibidores de mcl-1 |
| US8222414B2 (en) | 2007-08-17 | 2012-07-17 | Lg Life Sciences Ltd. | Indole compounds as an inhibitor of cellular necrosis |
| CA2708281A1 (en) | 2007-12-11 | 2009-08-27 | Viamet Pharmaceuticals, Inc. | Metalloenzyme inhibitors using metal binding moieties in combination with targeting moieties |
| KR101229822B1 (ko) | 2008-03-04 | 2013-02-05 | 연세대학교 산학협력단 | 혈관신생 억제용 약제학적 조성물 |
| CA2758071C (en) | 2009-04-06 | 2018-01-09 | Agios Pharmaceuticals, Inc. | Pyruvate kinase m2 modulators, therapeutic compositions and related methods of use |
| BRPI1011587B1 (pt) | 2009-06-29 | 2020-03-24 | Agios Pharmaceuticals, Inc. | Compostos de quinolina sulfonamida com atividade moduladora de pmk2 e uso dos mesmos |
| US8329724B2 (en) | 2009-08-03 | 2012-12-11 | Hoffmann-La Roche Inc. | Process for the manufacture of pharmaceutically active compounds |
| TWI410408B (zh) * | 2010-03-16 | 2013-10-01 | Purzer Pharmaceutical Co Ltd | 苯磺醯胺衍生物及其醫藥組合物 |
| EP2651898B1 (en) | 2010-12-17 | 2015-12-09 | Agios Pharmaceuticals, Inc. | Novel n-(4-(azetidine-1-carbonyl)phenyl)-(hetero-)arylsulfonamide derivatives as pyruvate kinase m2 (pmk2) modulators |
| CA2822432C (en) | 2010-12-21 | 2019-09-24 | Agios Pharmaceuticals, Inc. | Bicyclic pkm2 activators |
| US9388164B2 (en) | 2011-05-03 | 2016-07-12 | Agios Pharmaceuticals, Inc | Methods of using pyruvate kinase activators |
| TR201809699T4 (tr) | 2011-05-03 | 2018-07-23 | Agios Pharmaceuticals Inc | Tedavi̇de kullanilmaya yöneli̇k pi̇ruvat ki̇naz akti̇vatörleri̇. |
| WO2014074848A1 (en) | 2012-11-08 | 2014-05-15 | Agios Pharmaceuticals, Inc. | Therapeutic compounds and compositions and their use as pkm2 modulators |
| HRP20231247T1 (hr) | 2015-06-11 | 2024-02-02 | Agios Pharmaceuticals, Inc. | Postupci uporabe aktivatora piruvat kinaze |
| US11358948B2 (en) | 2017-09-22 | 2022-06-14 | Kymera Therapeutics, Inc. | CRBN ligands and uses thereof |
| EP4624467A2 (en) | 2017-09-22 | 2025-10-01 | Kymera Therapeutics, Inc. | Protein degraders and uses thereof |
| IL315310A (en) | 2017-12-26 | 2024-10-01 | Kymera Therapeutics Inc | Irak degraders and uses thereof |
| EP3737675A4 (en) | 2018-01-12 | 2022-01-05 | Kymera Therapeutics, Inc. | Crbn ligands and uses thereof |
| WO2019140380A1 (en) | 2018-01-12 | 2019-07-18 | Kymera Therapeutics, Inc. | Protein degraders and uses thereof |
| US11807606B2 (en) | 2018-01-25 | 2023-11-07 | Dana-Farber Cancer Institute, Inc. | Sulfonamide derivatives for protein degradation |
| US12454520B2 (en) | 2018-07-06 | 2025-10-28 | Kymera Therapeutics, Inc. | Protein degraders and uses thereof |
| WO2020010177A1 (en) | 2018-07-06 | 2020-01-09 | Kymera Therapeutics, Inc. | Tricyclic crbn ligands and uses thereof |
| KR102891608B1 (ko) | 2018-11-30 | 2025-11-28 | 카이메라 쎄라퓨틱스 인코포레이티드 | Irak 분해제 및 이의 용도 |
| KR20220006139A (ko) | 2019-04-05 | 2022-01-14 | 카이메라 쎄라퓨틱스 인코포레이티드 | Stat 분해제 및 이의 용도 |
| BR112021026517A2 (pt) | 2019-06-28 | 2022-05-10 | Kymera Therapeutics Inc | Degradadores de irak e usos dos mesmos |
| WO2021127283A2 (en) | 2019-12-17 | 2021-06-24 | Kymera Therapeutics, Inc. | Irak degraders and uses thereof |
| EP4076520A4 (en) | 2019-12-17 | 2024-03-27 | Kymera Therapeutics, Inc. | Irak degraders and uses thereof |
| WO2021133920A1 (en) | 2019-12-23 | 2021-07-01 | Kymera Therapeutics, Inc. | Smarca degraders and uses thereof |
| IL296451A (en) | 2020-03-19 | 2022-11-01 | Kymera Therapeutics Inc | Mdm2 degraders and uses thereof |
| TW202210483A (zh) | 2020-06-03 | 2022-03-16 | 美商凱麥拉醫療公司 | Irak降解劑之結晶型 |
| WO2022120355A1 (en) | 2020-12-02 | 2022-06-09 | Ikena Oncology, Inc. | Tead degraders and uses thereof |
| CN116867758A (zh) | 2020-12-30 | 2023-10-10 | 凯麦拉医疗公司 | Irak降解剂和其用途 |
| MX2023009527A (es) | 2021-02-15 | 2023-08-24 | Kymera Therapeutics Inc | Degradadores de la cinasa 4 asociada al receptor de interleucina 1 (irak4) y usos de los mismos. |
| AU2022271290A1 (en) | 2021-05-07 | 2023-11-23 | Kymera Therapeutics, Inc. | Cdk2 degraders and uses thereof |
| IL312397A (en) | 2021-10-29 | 2024-06-01 | Kymera Therapeutics Inc | IRAK4 subunits and their synthesis |
| US12091411B2 (en) | 2022-01-31 | 2024-09-17 | Kymera Therapeutics, Inc. | IRAK degraders and uses thereof |
Family Cites Families (4)
| Publication number | Priority date | Publication date | Assignee | Title |
|---|---|---|---|---|
| NL179697B (nl) * | 1952-08-16 | Philips Nv | Inrichting voor het ontsteken en voeden van een gasen/of dampontladingslamp. | |
| DE3509333A1 (de) * | 1985-03-15 | 1986-09-18 | Hoechst Ag, 6230 Frankfurt | Substituierte benzimidazolderivate, verfahren zu ihrer herstellung, sie enthaltende pharmazeutische zubereitungen und ihre verwendung als magensaeuresekretionshemmer |
| JP2750441B2 (ja) * | 1988-02-24 | 1998-05-13 | 川研ファインケミカル株式会社 | 7―ヒドロキシインドール―2―カルボン酸化合物の製造方法 |
| US5244908A (en) * | 1990-07-30 | 1993-09-14 | Takeda Chemical Industries, Ltd. | Imidazopyridine derivatives and their pharmaceutical use |
-
1994
- 1994-08-31 JP JP20756894A patent/JP3545461B2/ja not_active Expired - Fee Related
- 1994-09-08 US US08/433,493 patent/US5721246A/en not_active Expired - Lifetime
-
1995
- 1995-05-10 FI FI952272A patent/FI109690B/fi not_active IP Right Cessation
Also Published As
| Publication number | Publication date |
|---|---|
| US5721246A (en) | 1998-02-24 |
| JPH07165708A (ja) | 1995-06-27 |
| FI952272A7 (fi) | 1995-07-06 |
| FI952272A0 (fi) | 1995-05-10 |
| FI109690B (fi) | 2002-09-30 |
Similar Documents
| Publication | Publication Date | Title |
|---|---|---|
| JP3545461B2 (ja) | 二環式ヘテロ環含有スルホンアミド誘導体 | |
| EP0673937B1 (en) | Bicyclic heterocyclic sulfonamide and sulfonic ester derivatives | |
| JP4039856B2 (ja) | インテグリン発現阻害剤 | |
| US6469043B1 (en) | Sulfonamide-containing indole compounds | |
| ES2376161T3 (es) | Indoles sustituidos y su utilización como antagonistas de integrinas. | |
| JPWO2001056607A1 (ja) | インテグリン発現阻害剤 | |
| WO1999042442A1 (en) | Aminoguanidine hydrazone derivatives, process for producing the same and drugs thereof | |
| JP4007743B2 (ja) | 血管新生阻害剤 | |
| JPH01104038A (ja) | アラルキルアミノアルコキシフェニル誘導体、その製法およびそれを含有する組成物 | |
| WO2007036131A1 (en) | Carzole sulphamide derivatives and their preparation method | |
| JPH02250862A (ja) | アミノアルコキシフェニル誘導体、その製法およびそれを含有する組成物 | |
| KR100767002B1 (ko) | 인테그린 발현 저해제 | |
| JP2000191641A (ja) | アミノグアニジンヒドラゾン誘導体、その製法及び剤 |
Legal Events
| Date | Code | Title | Description |
|---|---|---|---|
| A131 | Notification of reasons for refusal |
Free format text: JAPANESE INTERMEDIATE CODE: A131 Effective date: 20040106 |
|
| A521 | Request for written amendment filed |
Free format text: JAPANESE INTERMEDIATE CODE: A523 Effective date: 20040212 |
|
| TRDD | Decision of grant or rejection written | ||
| A01 | Written decision to grant a patent or to grant a registration (utility model) |
Free format text: JAPANESE INTERMEDIATE CODE: A01 Effective date: 20040402 |
|
| A61 | First payment of annual fees (during grant procedure) |
Free format text: JAPANESE INTERMEDIATE CODE: A61 Effective date: 20040408 |
|
| R150 | Certificate of patent or registration of utility model |
Free format text: JAPANESE INTERMEDIATE CODE: R150 |
|
| S111 | Request for change of ownership or part of ownership |
Free format text: JAPANESE INTERMEDIATE CODE: R313111 |
|
| R350 | Written notification of registration of transfer |
Free format text: JAPANESE INTERMEDIATE CODE: R350 |
|
| R250 | Receipt of annual fees |
Free format text: JAPANESE INTERMEDIATE CODE: R250 |
|
| FPAY | Renewal fee payment (event date is renewal date of database) |
Free format text: PAYMENT UNTIL: 20080416 Year of fee payment: 4 |
|
| FPAY | Renewal fee payment (event date is renewal date of database) |
Free format text: PAYMENT UNTIL: 20090416 Year of fee payment: 5 |
|
| FPAY | Renewal fee payment (event date is renewal date of database) |
Free format text: PAYMENT UNTIL: 20090416 Year of fee payment: 5 |
|
| FPAY | Renewal fee payment (event date is renewal date of database) |
Free format text: PAYMENT UNTIL: 20100416 Year of fee payment: 6 |
|
| FPAY | Renewal fee payment (event date is renewal date of database) |
Free format text: PAYMENT UNTIL: 20100416 Year of fee payment: 6 |
|
| FPAY | Renewal fee payment (event date is renewal date of database) |
Free format text: PAYMENT UNTIL: 20110416 Year of fee payment: 7 |
|
| FPAY | Renewal fee payment (event date is renewal date of database) |
Free format text: PAYMENT UNTIL: 20120416 Year of fee payment: 8 |
|
| FPAY | Renewal fee payment (event date is renewal date of database) |
Free format text: PAYMENT UNTIL: 20120416 Year of fee payment: 8 |
|
| FPAY | Renewal fee payment (event date is renewal date of database) |
Free format text: PAYMENT UNTIL: 20130416 Year of fee payment: 9 |
|
| LAPS | Cancellation because of no payment of annual fees |
