JP2010006970A - エポキシ基含有エステル化合物を含む硬化性組成物、該組成物の製造方法およびエポキシ基含有エステル化合物 - Google Patents
エポキシ基含有エステル化合物を含む硬化性組成物、該組成物の製造方法およびエポキシ基含有エステル化合物 Download PDFInfo
- Publication number
- JP2010006970A JP2010006970A JP2008168620A JP2008168620A JP2010006970A JP 2010006970 A JP2010006970 A JP 2010006970A JP 2008168620 A JP2008168620 A JP 2008168620A JP 2008168620 A JP2008168620 A JP 2008168620A JP 2010006970 A JP2010006970 A JP 2010006970A
- Authority
- JP
- Japan
- Prior art keywords
- carbon atoms
- epoxy group
- curable composition
- group
- ester compound
- Prior art date
- Legal status (The legal status is an assumption and is not a legal conclusion. Google has not performed a legal analysis and makes no representation as to the accuracy of the status listed.)
- Granted
Links
- -1 ester compound Chemical class 0.000 title claims abstract description 153
- 239000000203 mixture Substances 0.000 title claims abstract description 119
- 125000003700 epoxy group Chemical group 0.000 title claims abstract description 92
- 238000000034 method Methods 0.000 title abstract description 16
- 125000004432 carbon atom Chemical group C* 0.000 claims description 107
- 150000001875 compounds Chemical class 0.000 claims description 66
- 125000004122 cyclic group Chemical group 0.000 claims description 48
- 150000005846 sugar alcohols Polymers 0.000 claims description 43
- 229930195734 saturated hydrocarbon Natural products 0.000 claims description 36
- 239000003505 polymerization initiator Substances 0.000 claims description 28
- 239000003795 chemical substances by application Substances 0.000 claims description 26
- 125000002723 alicyclic group Chemical group 0.000 claims description 25
- 238000004519 manufacturing process Methods 0.000 claims description 23
- 239000003054 catalyst Substances 0.000 claims description 22
- 238000005809 transesterification reaction Methods 0.000 claims description 20
- OKTJSMMVPCPJKN-UHFFFAOYSA-N Carbon Chemical compound [C] OKTJSMMVPCPJKN-UHFFFAOYSA-N 0.000 claims description 19
- 150000002009 diols Chemical class 0.000 claims description 18
- 150000001733 carboxylic acid esters Chemical class 0.000 claims description 17
- 125000002887 hydroxy group Chemical group [H]O* 0.000 claims description 17
- 229920005862 polyol Polymers 0.000 claims description 17
- 229910052799 carbon Inorganic materials 0.000 claims description 16
- 239000000539 dimer Substances 0.000 claims description 16
- LFQSCWFLJHTTHZ-UHFFFAOYSA-N Ethanol Chemical compound CCO LFQSCWFLJHTTHZ-UHFFFAOYSA-N 0.000 claims description 10
- JGFBRKRYDCGYKD-UHFFFAOYSA-N dibutyl(oxo)tin Chemical group CCCC[Sn](=O)CCCC JGFBRKRYDCGYKD-UHFFFAOYSA-N 0.000 claims description 10
- 125000000217 alkyl group Chemical group 0.000 claims description 9
- 125000003342 alkenyl group Chemical group 0.000 claims description 8
- LQRUPWUPINJLMU-UHFFFAOYSA-N dioctyl(oxo)tin Chemical compound CCCCCCCC[Sn](=O)CCCCCCCC LQRUPWUPINJLMU-UHFFFAOYSA-N 0.000 claims description 6
- POILWHVDKZOXJZ-ARJAWSKDSA-M (z)-4-oxopent-2-en-2-olate Chemical class C\C([O-])=C\C(C)=O POILWHVDKZOXJZ-ARJAWSKDSA-M 0.000 claims description 5
- 229910052751 metal Inorganic materials 0.000 claims description 4
- 239000002184 metal Substances 0.000 claims description 4
- 125000001183 hydrocarbyl group Chemical group 0.000 claims 6
- 239000000126 substance Substances 0.000 abstract description 12
- 239000000463 material Substances 0.000 abstract description 6
- 239000003431 cross linking reagent Substances 0.000 abstract description 3
- 230000009257 reactivity Effects 0.000 abstract description 3
- 239000003085 diluting agent Substances 0.000 abstract description 2
- 230000003287 optical effect Effects 0.000 abstract description 2
- 239000000047 product Substances 0.000 description 74
- 238000001723 curing Methods 0.000 description 64
- 238000006243 chemical reaction Methods 0.000 description 37
- 150000002430 hydrocarbons Chemical group 0.000 description 36
- 239000005011 phenolic resin Substances 0.000 description 26
- 238000010538 cationic polymerization reaction Methods 0.000 description 19
- XYFCBTPGUUZFHI-UHFFFAOYSA-N Phosphine Chemical compound P XYFCBTPGUUZFHI-UHFFFAOYSA-N 0.000 description 18
- 238000010292 electrical insulation Methods 0.000 description 17
- ISWSIDIOOBJBQZ-UHFFFAOYSA-N Phenol Natural products OC1=CC=CC=C1 ISWSIDIOOBJBQZ-UHFFFAOYSA-N 0.000 description 16
- XXROGKLTLUQVRX-UHFFFAOYSA-N allyl alcohol Chemical compound OCC=C XXROGKLTLUQVRX-UHFFFAOYSA-N 0.000 description 16
- 239000003822 epoxy resin Substances 0.000 description 15
- 229910052757 nitrogen Inorganic materials 0.000 description 15
- 229920000647 polyepoxide Polymers 0.000 description 15
- 238000010521 absorption reaction Methods 0.000 description 14
- WRGWYAZIVRHPFP-UHFFFAOYSA-N prop-2-enyl 7-oxabicyclo[4.1.0]heptane-4-carboxylate Chemical compound C1C(C(=O)OCC=C)CCC2OC21 WRGWYAZIVRHPFP-UHFFFAOYSA-N 0.000 description 14
- 239000004593 Epoxy Substances 0.000 description 13
- 239000002253 acid Substances 0.000 description 13
- 238000002156 mixing Methods 0.000 description 13
- 150000002989 phenols Chemical class 0.000 description 13
- 150000008065 acid anhydrides Chemical class 0.000 description 11
- 239000002994 raw material Substances 0.000 description 11
- 125000003710 aryl alkyl group Chemical group 0.000 description 10
- 230000015572 biosynthetic process Effects 0.000 description 10
- 238000010438 heat treatment Methods 0.000 description 10
- NFHFRUOZVGFOOS-UHFFFAOYSA-N palladium;triphenylphosphane Chemical compound [Pd].C1=CC=CC=C1P(C=1C=CC=CC=1)C1=CC=CC=C1.C1=CC=CC=C1P(C=1C=CC=CC=1)C1=CC=CC=C1.C1=CC=CC=C1P(C=1C=CC=CC=1)C1=CC=CC=C1.C1=CC=CC=C1P(C=1C=CC=CC=1)C1=CC=CC=C1 NFHFRUOZVGFOOS-UHFFFAOYSA-N 0.000 description 10
- 238000003786 synthesis reaction Methods 0.000 description 10
- XLYOFNOQVPJJNP-UHFFFAOYSA-N water Substances O XLYOFNOQVPJJNP-UHFFFAOYSA-N 0.000 description 10
- 238000005160 1H NMR spectroscopy Methods 0.000 description 9
- IISBACLAFKSPIT-UHFFFAOYSA-N bisphenol A Chemical compound C=1C=C(O)C=CC=1C(C)(C)C1=CC=C(O)C=C1 IISBACLAFKSPIT-UHFFFAOYSA-N 0.000 description 9
- 229910000073 phosphorus hydride Inorganic materials 0.000 description 9
- LWNGJAHMBMVCJR-UHFFFAOYSA-N (2,3,4,5,6-pentafluorophenoxy)boronic acid Chemical compound OB(O)OC1=C(F)C(F)=C(F)C(F)=C1F LWNGJAHMBMVCJR-UHFFFAOYSA-N 0.000 description 8
- 239000007983 Tris buffer Substances 0.000 description 8
- HUMNYLRZRPPJDN-UHFFFAOYSA-N benzaldehyde Chemical compound O=CC1=CC=CC=C1 HUMNYLRZRPPJDN-UHFFFAOYSA-N 0.000 description 8
- PXKLMJQFEQBVLD-UHFFFAOYSA-N bisphenol F Chemical compound C1=CC(O)=CC=C1CC1=CC=C(O)C=C1 PXKLMJQFEQBVLD-UHFFFAOYSA-N 0.000 description 8
- GYZLOYUZLJXAJU-UHFFFAOYSA-N diglycidyl ether Chemical class C1OC1COCC1CO1 GYZLOYUZLJXAJU-UHFFFAOYSA-N 0.000 description 8
- LNEPOXFFQSENCJ-UHFFFAOYSA-N haloperidol Chemical compound C1CC(O)(C=2C=CC(Cl)=CC=2)CCN1CCCC(=O)C1=CC=C(F)C=C1 LNEPOXFFQSENCJ-UHFFFAOYSA-N 0.000 description 8
- ZFSLODLOARCGLH-UHFFFAOYSA-N isocyanuric acid Chemical compound OC1=NC(O)=NC(O)=N1 ZFSLODLOARCGLH-UHFFFAOYSA-N 0.000 description 8
- 229920005989 resin Polymers 0.000 description 8
- 239000011347 resin Substances 0.000 description 8
- SMQUZDBALVYZAC-UHFFFAOYSA-N salicylaldehyde Chemical compound OC1=CC=CC=C1C=O SMQUZDBALVYZAC-UHFFFAOYSA-N 0.000 description 8
- 229910052793 cadmium Inorganic materials 0.000 description 7
- 230000000052 comparative effect Effects 0.000 description 7
- ZWAJLVLEBYIOTI-UHFFFAOYSA-N cyclohexene oxide Chemical compound C1CCCC2OC21 ZWAJLVLEBYIOTI-UHFFFAOYSA-N 0.000 description 7
- 238000004817 gas chromatography Methods 0.000 description 7
- 150000002500 ions Chemical class 0.000 description 7
- 239000000178 monomer Substances 0.000 description 7
- 229920003986 novolac Polymers 0.000 description 7
- 238000012360 testing method Methods 0.000 description 7
- KJCVRFUGPWSIIH-UHFFFAOYSA-N 1-naphthol Chemical compound C1=CC=C2C(O)=CC=CC2=C1 KJCVRFUGPWSIIH-UHFFFAOYSA-N 0.000 description 6
- IJGRMHOSHXDMSA-UHFFFAOYSA-N Atomic nitrogen Chemical compound N#N IJGRMHOSHXDMSA-UHFFFAOYSA-N 0.000 description 6
- BVKZGUZCCUSVTD-UHFFFAOYSA-L Carbonate Chemical compound [O-]C([O-])=O BVKZGUZCCUSVTD-UHFFFAOYSA-L 0.000 description 6
- 229910052770 Uranium Inorganic materials 0.000 description 6
- 125000003118 aryl group Chemical group 0.000 description 6
- 125000003178 carboxy group Chemical group [H]OC(*)=O 0.000 description 6
- YCIMNLLNPGFGHC-UHFFFAOYSA-N catechol Chemical compound OC1=CC=CC=C1O YCIMNLLNPGFGHC-UHFFFAOYSA-N 0.000 description 6
- ZUOUZKKEUPVFJK-UHFFFAOYSA-N diphenyl Chemical compound C1=CC=CC=C1C1=CC=CC=C1 ZUOUZKKEUPVFJK-UHFFFAOYSA-N 0.000 description 6
- 125000003055 glycidyl group Chemical group C(C1CO1)* 0.000 description 6
- 229910052735 hafnium Inorganic materials 0.000 description 6
- 238000002329 infrared spectrum Methods 0.000 description 6
- 229910052745 lead Inorganic materials 0.000 description 6
- 229910052748 manganese Inorganic materials 0.000 description 6
- 239000011572 manganese Substances 0.000 description 6
- 229920001568 phenolic resin Polymers 0.000 description 6
- 125000001997 phenyl group Chemical group [H]C1=C([H])C([H])=C(*)C([H])=C1[H] 0.000 description 6
- 229920000768 polyamine Polymers 0.000 description 6
- 150000003839 salts Chemical class 0.000 description 6
- 229920006395 saturated elastomer Polymers 0.000 description 6
- 229910052718 tin Inorganic materials 0.000 description 6
- 229910052719 titanium Inorganic materials 0.000 description 6
- 239000010936 titanium Substances 0.000 description 6
- 229910052725 zinc Inorganic materials 0.000 description 6
- 229910052726 zirconium Inorganic materials 0.000 description 6
- RWSOTUBLDIXVET-UHFFFAOYSA-N Dihydrogen sulfide Chemical class S RWSOTUBLDIXVET-UHFFFAOYSA-N 0.000 description 5
- 229910018286 SbF 6 Inorganic materials 0.000 description 5
- UCKMPCXJQFINFW-UHFFFAOYSA-N Sulphide Chemical compound [S-2] UCKMPCXJQFINFW-UHFFFAOYSA-N 0.000 description 5
- 229910052783 alkali metal Inorganic materials 0.000 description 5
- 150000001340 alkali metals Chemical class 0.000 description 5
- 229910052784 alkaline earth metal Inorganic materials 0.000 description 5
- 150000001342 alkaline earth metals Chemical class 0.000 description 5
- 238000004458 analytical method Methods 0.000 description 5
- 238000004821 distillation Methods 0.000 description 5
- 238000009472 formulation Methods 0.000 description 5
- 229910052736 halogen Inorganic materials 0.000 description 5
- 125000004433 nitrogen atom Chemical group N* 0.000 description 5
- 229910052698 phosphorus Inorganic materials 0.000 description 5
- 125000001424 substituent group Chemical group 0.000 description 5
- 125000004434 sulfur atom Chemical group 0.000 description 5
- KXGFMDJXCMQABM-UHFFFAOYSA-N 2-methoxy-6-methylphenol Chemical compound [CH]OC1=CC=CC([CH])=C1O KXGFMDJXCMQABM-UHFFFAOYSA-N 0.000 description 4
- JWAZRIHNYRIHIV-UHFFFAOYSA-N 2-naphthol Chemical compound C1=CC=CC2=CC(O)=CC=C21 JWAZRIHNYRIHIV-UHFFFAOYSA-N 0.000 description 4
- 229910017008 AsF 6 Inorganic materials 0.000 description 4
- RYGMFSIKBFXOCR-UHFFFAOYSA-N Copper Chemical compound [Cu] RYGMFSIKBFXOCR-UHFFFAOYSA-N 0.000 description 4
- NBBJYMSMWIIQGU-UHFFFAOYSA-N Propionic aldehyde Chemical compound CCC=O NBBJYMSMWIIQGU-UHFFFAOYSA-N 0.000 description 4
- 229910018287 SbF 5 Inorganic materials 0.000 description 4
- 235000002597 Solanum melongena Nutrition 0.000 description 4
- 244000061458 Solanum melongena Species 0.000 description 4
- 239000000654 additive Substances 0.000 description 4
- WNLRTRBMVRJNCN-UHFFFAOYSA-N adipic acid Chemical compound OC(=O)CCCCC(O)=O WNLRTRBMVRJNCN-UHFFFAOYSA-N 0.000 description 4
- 125000001931 aliphatic group Chemical group 0.000 description 4
- 125000003545 alkoxy group Chemical group 0.000 description 4
- 239000003963 antioxidant agent Substances 0.000 description 4
- 239000004305 biphenyl Substances 0.000 description 4
- 235000010290 biphenyl Nutrition 0.000 description 4
- WTEOIRVLGSZEPR-UHFFFAOYSA-N boron trifluoride Chemical compound FB(F)F WTEOIRVLGSZEPR-UHFFFAOYSA-N 0.000 description 4
- 229910052802 copper Inorganic materials 0.000 description 4
- 239000010949 copper Substances 0.000 description 4
- 125000000753 cycloalkyl group Chemical group 0.000 description 4
- 238000001514 detection method Methods 0.000 description 4
- 125000000623 heterocyclic group Chemical group 0.000 description 4
- 229910052739 hydrogen Inorganic materials 0.000 description 4
- 239000001257 hydrogen Substances 0.000 description 4
- 125000004435 hydrogen atom Chemical group [H]* 0.000 description 4
- 239000007788 liquid Substances 0.000 description 4
- 239000012263 liquid product Substances 0.000 description 4
- QSHDDOUJBYECFT-UHFFFAOYSA-N mercury Chemical compound [Hg] QSHDDOUJBYECFT-UHFFFAOYSA-N 0.000 description 4
- 229910052753 mercury Inorganic materials 0.000 description 4
- 239000003921 oil Substances 0.000 description 4
- 229910052760 oxygen Inorganic materials 0.000 description 4
- 125000004430 oxygen atom Chemical group O* 0.000 description 4
- QNGNSVIICDLXHT-UHFFFAOYSA-N para-ethylbenzaldehyde Natural products CCC1=CC=C(C=O)C=C1 QNGNSVIICDLXHT-UHFFFAOYSA-N 0.000 description 4
- 125000004437 phosphorous atom Chemical group 0.000 description 4
- 238000000425 proton nuclear magnetic resonance spectrum Methods 0.000 description 4
- 239000002904 solvent Substances 0.000 description 4
- ARCGXLSVLAOJQL-UHFFFAOYSA-N trimellitic acid Chemical compound OC(=O)C1=CC=C(C(O)=O)C(C(O)=O)=C1 ARCGXLSVLAOJQL-UHFFFAOYSA-N 0.000 description 4
- LENZDBCJOHFCAS-UHFFFAOYSA-N tris Chemical compound OCC(N)(CO)CO LENZDBCJOHFCAS-UHFFFAOYSA-N 0.000 description 4
- HECLRDQVFMWTQS-RGOKHQFPSA-N 1755-01-7 Chemical compound C1[C@H]2[C@@H]3CC=C[C@@H]3[C@@H]1C=C2 HECLRDQVFMWTQS-RGOKHQFPSA-N 0.000 description 3
- 125000003903 2-propenyl group Chemical group [H]C([*])([H])C([H])=C([H])[H] 0.000 description 3
- 238000001157 Fourier transform infrared spectrum Methods 0.000 description 3
- UFHFLCQGNIYNRP-UHFFFAOYSA-N Hydrogen Chemical compound [H][H] UFHFLCQGNIYNRP-UHFFFAOYSA-N 0.000 description 3
- LGRFSURHDFAFJT-UHFFFAOYSA-N Phthalic anhydride Natural products C1=CC=C2C(=O)OC(=O)C2=C1 LGRFSURHDFAFJT-UHFFFAOYSA-N 0.000 description 3
- VYPSYNLAJGMNEJ-UHFFFAOYSA-N Silicium dioxide Chemical compound O=[Si]=O VYPSYNLAJGMNEJ-UHFFFAOYSA-N 0.000 description 3
- PFHLXMMCWCWAMA-UHFFFAOYSA-N [4-(4-diphenylsulfoniophenyl)sulfanylphenyl]-diphenylsulfanium Chemical compound C=1C=C([S+](C=2C=CC=CC=2)C=2C=CC=CC=2)C=CC=1SC(C=C1)=CC=C1[S+](C=1C=CC=CC=1)C1=CC=CC=C1 PFHLXMMCWCWAMA-UHFFFAOYSA-N 0.000 description 3
- 150000007513 acids Chemical class 0.000 description 3
- 150000001298 alcohols Chemical class 0.000 description 3
- 230000003078 antioxidant effect Effects 0.000 description 3
- JHIWVOJDXOSYLW-UHFFFAOYSA-N butyl 2,2-difluorocyclopropane-1-carboxylate Chemical compound CCCCOC(=O)C1CC1(F)F JHIWVOJDXOSYLW-UHFFFAOYSA-N 0.000 description 3
- 238000003763 carbonization Methods 0.000 description 3
- 239000003086 colorant Substances 0.000 description 3
- 230000008602 contraction Effects 0.000 description 3
- 238000004132 cross linking Methods 0.000 description 3
- RWGFKTVRMDUZSP-UHFFFAOYSA-N cumene Chemical compound CC(C)C1=CC=CC=C1 RWGFKTVRMDUZSP-UHFFFAOYSA-N 0.000 description 3
- 239000012954 diazonium Substances 0.000 description 3
- RJGHQTVXGKYATR-UHFFFAOYSA-L dibutyl(dichloro)stannane Chemical compound CCCC[Sn](Cl)(Cl)CCCC RJGHQTVXGKYATR-UHFFFAOYSA-L 0.000 description 3
- 230000000694 effects Effects 0.000 description 3
- 239000000945 filler Substances 0.000 description 3
- 239000003063 flame retardant Substances 0.000 description 3
- 239000011521 glass Substances 0.000 description 3
- RAXXELZNTBOGNW-UHFFFAOYSA-N imidazole Natural products C1=CNC=N1 RAXXELZNTBOGNW-UHFFFAOYSA-N 0.000 description 3
- 239000003999 initiator Substances 0.000 description 3
- 230000007774 longterm Effects 0.000 description 3
- 125000005394 methallyl group Chemical group 0.000 description 3
- WSFSSNUMVMOOMR-NJFSPNSNSA-N methanone Chemical compound O=[14CH2] WSFSSNUMVMOOMR-NJFSPNSNSA-N 0.000 description 3
- VYKXQOYUCMREIS-UHFFFAOYSA-N methylhexahydrophthalic anhydride Chemical compound C1CCCC2C(=O)OC(=O)C21C VYKXQOYUCMREIS-UHFFFAOYSA-N 0.000 description 3
- 150000004780 naphthols Chemical class 0.000 description 3
- 150000004714 phosphonium salts Chemical class 0.000 description 3
- 239000000049 pigment Substances 0.000 description 3
- 239000000843 powder Substances 0.000 description 3
- GHMLBKRAJCXXBS-UHFFFAOYSA-N resorcinol Chemical compound OC1=CC=CC(O)=C1 GHMLBKRAJCXXBS-UHFFFAOYSA-N 0.000 description 3
- 229960001755 resorcinol Drugs 0.000 description 3
- LTVUCOSIZFEASK-MPXCPUAZSA-N (3ar,4s,7r,7as)-3a-methyl-3a,4,7,7a-tetrahydro-4,7-methano-2-benzofuran-1,3-dione Chemical compound C([C@H]1C=C2)[C@H]2[C@H]2[C@]1(C)C(=O)OC2=O LTVUCOSIZFEASK-MPXCPUAZSA-N 0.000 description 2
- HYZQBNDRDQEWAN-LNTINUHCSA-N (z)-4-hydroxypent-3-en-2-one;manganese(3+) Chemical compound [Mn+3].C\C(O)=C\C(C)=O.C\C(O)=C\C(C)=O.C\C(O)=C\C(C)=O HYZQBNDRDQEWAN-LNTINUHCSA-N 0.000 description 2
- YOBOXHGSEJBUPB-MTOQALJVSA-N (z)-4-hydroxypent-3-en-2-one;zirconium Chemical compound [Zr].C\C(O)=C\C(C)=O.C\C(O)=C\C(C)=O.C\C(O)=C\C(C)=O.C\C(O)=C\C(C)=O YOBOXHGSEJBUPB-MTOQALJVSA-N 0.000 description 2
- DWANEFRJKWXRSG-UHFFFAOYSA-N 1,2-tetradecanediol Chemical compound CCCCCCCCCCCCC(O)CO DWANEFRJKWXRSG-UHFFFAOYSA-N 0.000 description 2
- PBODPHKDNYVCEJ-UHFFFAOYSA-M 1-benzyl-3-dodecyl-2-methylimidazol-1-ium;chloride Chemical compound [Cl-].CCCCCCCCCCCCN1C=C[N+](CC=2C=CC=CC=2)=C1C PBODPHKDNYVCEJ-UHFFFAOYSA-M 0.000 description 2
- UCBQKJQXUPVHFJ-UHFFFAOYSA-N 1-cyclopenta-2,4-dien-1-yl-2-propan-2-ylbenzene Chemical compound CC(C)C1=CC=CC=C1C1C=CC=C1 UCBQKJQXUPVHFJ-UHFFFAOYSA-N 0.000 description 2
- RTBFRGCFXZNCOE-UHFFFAOYSA-N 1-methylsulfonylpiperidin-4-one Chemical compound CS(=O)(=O)N1CCC(=O)CC1 RTBFRGCFXZNCOE-UHFFFAOYSA-N 0.000 description 2
- RNFJDJUURJAICM-UHFFFAOYSA-N 2,2,4,4,6,6-hexaphenoxy-1,3,5-triaza-2$l^{5},4$l^{5},6$l^{5}-triphosphacyclohexa-1,3,5-triene Chemical compound N=1P(OC=2C=CC=CC=2)(OC=2C=CC=CC=2)=NP(OC=2C=CC=CC=2)(OC=2C=CC=CC=2)=NP=1(OC=1C=CC=CC=1)OC1=CC=CC=C1 RNFJDJUURJAICM-UHFFFAOYSA-N 0.000 description 2
- QTWJRLJHJPIABL-UHFFFAOYSA-N 2-methylphenol;3-methylphenol;4-methylphenol Chemical compound CC1=CC=C(O)C=C1.CC1=CC=CC(O)=C1.CC1=CC=CC=C1O QTWJRLJHJPIABL-UHFFFAOYSA-N 0.000 description 2
- ZCUJYXPAKHMBAZ-UHFFFAOYSA-N 2-phenyl-1h-imidazole Chemical compound C1=CNC(C=2C=CC=CC=2)=N1 ZCUJYXPAKHMBAZ-UHFFFAOYSA-N 0.000 description 2
- WVRNUXJQQFPNMN-VAWYXSNFSA-N 3-[(e)-dodec-1-enyl]oxolane-2,5-dione Chemical compound CCCCCCCCCC\C=C\C1CC(=O)OC1=O WVRNUXJQQFPNMN-VAWYXSNFSA-N 0.000 description 2
- ZXLYUNPVVODNRE-UHFFFAOYSA-N 6-ethenyl-1,3,5-triazine-2,4-diamine Chemical compound NC1=NC(N)=NC(C=C)=N1 ZXLYUNPVVODNRE-UHFFFAOYSA-N 0.000 description 2
- MWSKJDNQKGCKPA-UHFFFAOYSA-N 6-methyl-3a,4,5,7a-tetrahydro-2-benzofuran-1,3-dione Chemical compound C1CC(C)=CC2C(=O)OC(=O)C12 MWSKJDNQKGCKPA-UHFFFAOYSA-N 0.000 description 2
- NHJIDZUQMHKGRE-UHFFFAOYSA-N 7-oxabicyclo[4.1.0]heptan-4-yl 2-(7-oxabicyclo[4.1.0]heptan-4-yl)acetate Chemical compound C1CC2OC2CC1OC(=O)CC1CC2OC2CC1 NHJIDZUQMHKGRE-UHFFFAOYSA-N 0.000 description 2
- OXQXGKNECHBVMO-UHFFFAOYSA-N 7-oxabicyclo[4.1.0]heptane-4-carboxylic acid Chemical compound C1C(C(=O)O)CCC2OC21 OXQXGKNECHBVMO-UHFFFAOYSA-N 0.000 description 2
- PAYRUJLWNCNPSJ-UHFFFAOYSA-N Aniline Chemical compound NC1=CC=CC=C1 PAYRUJLWNCNPSJ-UHFFFAOYSA-N 0.000 description 2
- 229910015900 BF3 Inorganic materials 0.000 description 2
- BTBUEUYNUDRHOZ-UHFFFAOYSA-N Borate Chemical compound [O-]B([O-])[O-] BTBUEUYNUDRHOZ-UHFFFAOYSA-N 0.000 description 2
- 0 CC(C(OCC1CC2OC2CC1)=O)O*OC(C(C)(C)OCC1CC2OC2CC1)=O Chemical compound CC(C(OCC1CC2OC2CC1)=O)O*OC(C(C)(C)OCC1CC2OC2CC1)=O 0.000 description 2
- RTZKZFJDLAIYFH-UHFFFAOYSA-N Diethyl ether Chemical compound CCOCC RTZKZFJDLAIYFH-UHFFFAOYSA-N 0.000 description 2
- CPELXLSAUQHCOX-UHFFFAOYSA-N Hydrogen bromide Chemical compound Br CPELXLSAUQHCOX-UHFFFAOYSA-N 0.000 description 2
- QIGBRXMKCJKVMJ-UHFFFAOYSA-N Hydroquinone Chemical compound OC1=CC=C(O)C=C1 QIGBRXMKCJKVMJ-UHFFFAOYSA-N 0.000 description 2
- KFSLWBXXFJQRDL-UHFFFAOYSA-N Peracetic acid Chemical compound CC(=O)OO KFSLWBXXFJQRDL-UHFFFAOYSA-N 0.000 description 2
- KDYFGRWQOYBRFD-UHFFFAOYSA-N Succinic acid Natural products OC(=O)CCC(O)=O KDYFGRWQOYBRFD-UHFFFAOYSA-N 0.000 description 2
- GWEVSGVZZGPLCZ-UHFFFAOYSA-N Titan oxide Chemical compound O=[Ti]=O GWEVSGVZZGPLCZ-UHFFFAOYSA-N 0.000 description 2
- XSTXAVWGXDQKEL-UHFFFAOYSA-N Trichloroethylene Chemical compound ClC=C(Cl)Cl XSTXAVWGXDQKEL-UHFFFAOYSA-N 0.000 description 2
- 239000006096 absorbing agent Substances 0.000 description 2
- IKHGUXGNUITLKF-XPULMUKRSA-N acetaldehyde Chemical compound [14CH]([14CH3])=O IKHGUXGNUITLKF-XPULMUKRSA-N 0.000 description 2
- 125000004018 acid anhydride group Chemical group 0.000 description 2
- 239000003377 acid catalyst Substances 0.000 description 2
- 239000001361 adipic acid Substances 0.000 description 2
- 235000011037 adipic acid Nutrition 0.000 description 2
- 239000003463 adsorbent Substances 0.000 description 2
- 150000001299 aldehydes Chemical class 0.000 description 2
- 125000002947 alkylene group Chemical group 0.000 description 2
- 150000003863 ammonium salts Chemical class 0.000 description 2
- JFCQEDHGNNZCLN-UHFFFAOYSA-N anhydrous glutaric acid Natural products OC(=O)CCCC(O)=O JFCQEDHGNNZCLN-UHFFFAOYSA-N 0.000 description 2
- ADCOVFLJGNWWNZ-UHFFFAOYSA-N antimony trioxide Chemical compound O=[Sb]O[Sb]=O ADCOVFLJGNWWNZ-UHFFFAOYSA-N 0.000 description 2
- 125000006267 biphenyl group Chemical group 0.000 description 2
- WERYXYBDKMZEQL-UHFFFAOYSA-N butane-1,4-diol Chemical compound OCCCCO WERYXYBDKMZEQL-UHFFFAOYSA-N 0.000 description 2
- KDYFGRWQOYBRFD-NUQCWPJISA-N butanedioic acid Chemical compound O[14C](=O)CC[14C](O)=O KDYFGRWQOYBRFD-NUQCWPJISA-N 0.000 description 2
- ZTQSAGDEMFDKMZ-UHFFFAOYSA-N butyric aldehyde Natural products CCCC=O ZTQSAGDEMFDKMZ-UHFFFAOYSA-N 0.000 description 2
- 150000001735 carboxylic acids Chemical class 0.000 description 2
- 125000002091 cationic group Chemical group 0.000 description 2
- 238000012663 cationic photopolymerization Methods 0.000 description 2
- 150000001768 cations Chemical group 0.000 description 2
- 238000000576 coating method Methods 0.000 description 2
- 238000009833 condensation Methods 0.000 description 2
- 230000005494 condensation Effects 0.000 description 2
- 229920001577 copolymer Polymers 0.000 description 2
- 239000007822 coupling agent Substances 0.000 description 2
- 229930003836 cresol Natural products 0.000 description 2
- 150000004985 diamines Chemical class 0.000 description 2
- 150000001989 diazonium salts Chemical class 0.000 description 2
- 238000001035 drying Methods 0.000 description 2
- 238000005530 etching Methods 0.000 description 2
- 125000001495 ethyl group Chemical group [H]C([H])([H])C([H])([H])* 0.000 description 2
- ANSXAPJVJOKRDJ-UHFFFAOYSA-N furo[3,4-f][2]benzofuran-1,3,5,7-tetrone Chemical compound C1=C2C(=O)OC(=O)C2=CC2=C1C(=O)OC2=O ANSXAPJVJOKRDJ-UHFFFAOYSA-N 0.000 description 2
- NAQMVNRVTILPCV-UHFFFAOYSA-N hexane-1,6-diamine Chemical compound NCCCCCCN NAQMVNRVTILPCV-UHFFFAOYSA-N 0.000 description 2
- 229930195733 hydrocarbon Natural products 0.000 description 2
- XMBWDFGMSWQBCA-UHFFFAOYSA-N hydrogen iodide Chemical class I XMBWDFGMSWQBCA-UHFFFAOYSA-N 0.000 description 2
- SHFJWMWCIHQNCP-UHFFFAOYSA-M hydron;tetrabutylazanium;sulfate Chemical compound OS([O-])(=O)=O.CCCC[N+](CCCC)(CCCC)CCCC SHFJWMWCIHQNCP-UHFFFAOYSA-M 0.000 description 2
- 150000002460 imidazoles Chemical class 0.000 description 2
- QQVIHTHCMHWDBS-UHFFFAOYSA-N isophthalic acid Chemical compound OC(=O)C1=CC=CC(C(O)=O)=C1 QQVIHTHCMHWDBS-UHFFFAOYSA-N 0.000 description 2
- JDSHMPZPIAZGSV-UHFFFAOYSA-N melamine Chemical compound NC1=NC(N)=NC(N)=N1 JDSHMPZPIAZGSV-UHFFFAOYSA-N 0.000 description 2
- 229910001507 metal halide Inorganic materials 0.000 description 2
- 150000005309 metal halides Chemical class 0.000 description 2
- 229910000000 metal hydroxide Inorganic materials 0.000 description 2
- 150000004692 metal hydroxides Chemical class 0.000 description 2
- 229910044991 metal oxide Inorganic materials 0.000 description 2
- 150000004706 metal oxides Chemical class 0.000 description 2
- 125000002496 methyl group Chemical group [H]C([H])([H])* 0.000 description 2
- 125000004123 n-propyl group Chemical group [H]C([H])([H])C([H])([H])C([H])([H])* 0.000 description 2
- NXPPAOGUKPJVDI-UHFFFAOYSA-N naphthalene-1,2-diol Chemical compound C1=CC=CC2=C(O)C(O)=CC=C21 NXPPAOGUKPJVDI-UHFFFAOYSA-N 0.000 description 2
- QWVGKYWNOKOFNN-UHFFFAOYSA-N o-cresol Chemical compound CC1=CC=CC=C1O QWVGKYWNOKOFNN-UHFFFAOYSA-N 0.000 description 2
- 230000001590 oxidative effect Effects 0.000 description 2
- 125000003356 phenylsulfanyl group Chemical group [*]SC1=C([H])C([H])=C([H])C([H])=C1[H] 0.000 description 2
- 239000004417 polycarbonate Substances 0.000 description 2
- 229920000515 polycarbonate Polymers 0.000 description 2
- 229920001296 polysiloxane Polymers 0.000 description 2
- 125000002924 primary amino group Chemical group [H]N([H])* 0.000 description 2
- CYIDZMCFTVVTJO-UHFFFAOYSA-N pyromellitic acid Chemical compound OC(=O)C1=CC(C(O)=O)=C(C(O)=O)C=C1C(O)=O CYIDZMCFTVVTJO-UHFFFAOYSA-N 0.000 description 2
- YGSDEFSMJLZEOE-UHFFFAOYSA-N salicylic acid Chemical compound OC(=O)C1=CC=CC=C1O YGSDEFSMJLZEOE-UHFFFAOYSA-N 0.000 description 2
- 125000000467 secondary amino group Chemical group [H]N([*:1])[*:2] 0.000 description 2
- 150000003377 silicon compounds Chemical class 0.000 description 2
- 235000012239 silicon dioxide Nutrition 0.000 description 2
- 238000001228 spectrum Methods 0.000 description 2
- 238000003860 storage Methods 0.000 description 2
- 239000000758 substrate Substances 0.000 description 2
- 229910052717 sulfur Inorganic materials 0.000 description 2
- 125000001302 tertiary amino group Chemical group 0.000 description 2
- 150000003918 triazines Chemical class 0.000 description 2
- IMNIMPAHZVJRPE-UHFFFAOYSA-N triethylenediamine Chemical compound C1CN2CCN1CC2 IMNIMPAHZVJRPE-UHFFFAOYSA-N 0.000 description 2
- SRPWOOOHEPICQU-UHFFFAOYSA-N trimellitic anhydride Chemical compound OC(=O)C1=CC=C2C(=O)OC(=O)C2=C1 SRPWOOOHEPICQU-UHFFFAOYSA-N 0.000 description 2
- RIOQSEWOXXDEQQ-UHFFFAOYSA-N triphenylphosphine Chemical compound C1=CC=CC=C1P(C=1C=CC=CC=1)C1=CC=CC=C1 RIOQSEWOXXDEQQ-UHFFFAOYSA-N 0.000 description 2
- 239000006097 ultraviolet radiation absorber Substances 0.000 description 2
- 235000021122 unsaturated fatty acids Nutrition 0.000 description 2
- 150000004670 unsaturated fatty acids Chemical class 0.000 description 2
- 125000002256 xylenyl group Chemical class C1(C(C=CC=C1)C)(C)* 0.000 description 2
- UZKBZGAMRJRWLR-UHFFFAOYSA-N (2-butyl-1H-imidazol-4-yl)methanol Chemical compound CCCCC1=NC=C(CO)N1 UZKBZGAMRJRWLR-UHFFFAOYSA-N 0.000 description 1
- KMOUUZVZFBCRAM-OLQVQODUSA-N (3as,7ar)-3a,4,7,7a-tetrahydro-2-benzofuran-1,3-dione Chemical compound C1C=CC[C@@H]2C(=O)OC(=O)[C@@H]21 KMOUUZVZFBCRAM-OLQVQODUSA-N 0.000 description 1
- QKAIFCSOWIMRJG-UHFFFAOYSA-N (4-methylphenyl)-(4-propan-2-ylphenyl)iodanium Chemical compound C1=CC(C(C)C)=CC=C1[I+]C1=CC=C(C)C=C1 QKAIFCSOWIMRJG-UHFFFAOYSA-N 0.000 description 1
- QJIMTLTYXBDJFC-UHFFFAOYSA-N (4-methylphenyl)-diphenylphosphane Chemical compound C1=CC(C)=CC=C1P(C=1C=CC=CC=1)C1=CC=CC=C1 QJIMTLTYXBDJFC-UHFFFAOYSA-N 0.000 description 1
- RUEBPOOTFCZRBC-UHFFFAOYSA-N (5-methyl-2-phenyl-1h-imidazol-4-yl)methanol Chemical compound OCC1=C(C)NC(C=2C=CC=CC=2)=N1 RUEBPOOTFCZRBC-UHFFFAOYSA-N 0.000 description 1
- FTTATHOUSOIFOQ-UHFFFAOYSA-N 1,2,3,4,6,7,8,8a-octahydropyrrolo[1,2-a]pyrazine Chemical compound C1NCCN2CCCC21 FTTATHOUSOIFOQ-UHFFFAOYSA-N 0.000 description 1
- GIWQSPITLQVMSG-UHFFFAOYSA-N 1,2-dimethylimidazole Chemical compound CC1=NC=CN1C GIWQSPITLQVMSG-UHFFFAOYSA-N 0.000 description 1
- GEYOCULIXLDCMW-UHFFFAOYSA-N 1,2-phenylenediamine Chemical compound NC1=CC=CC=C1N GEYOCULIXLDCMW-UHFFFAOYSA-N 0.000 description 1
- QLGYTJLZFZUDFL-UHFFFAOYSA-N 1,3-bis[1-(1h-imidazol-2-yl)propyl]urea Chemical compound N=1C=CNC=1C(CC)NC(=O)NC(CC)C1=NC=CN1 QLGYTJLZFZUDFL-UHFFFAOYSA-N 0.000 description 1
- QKUSYGZVIAWWPY-UHFFFAOYSA-N 1,3-dioxane;7-oxabicyclo[4.1.0]heptane Chemical compound C1COCOC1.C1CCCC2OC21 QKUSYGZVIAWWPY-UHFFFAOYSA-N 0.000 description 1
- ALVZNPYWJMLXKV-UHFFFAOYSA-N 1,9-Nonanediol Chemical compound OCCCCCCCCCO ALVZNPYWJMLXKV-UHFFFAOYSA-N 0.000 description 1
- LMVOTLLHKCVFOS-UHFFFAOYSA-N 1-(2-ethyl-5-methyl-1h-imidazol-4-yl)ethanamine Chemical compound CCC1=NC(C(C)N)=C(C)N1 LMVOTLLHKCVFOS-UHFFFAOYSA-N 0.000 description 1
- ZGCXXRSIQVDAMF-UHFFFAOYSA-N 1-(2-phenyl-1h-imidazol-5-yl)ethanone Chemical compound CC(=O)C1=CNC(C=2C=CC=CC=2)=N1 ZGCXXRSIQVDAMF-UHFFFAOYSA-N 0.000 description 1
- MODAACUAXYPNJH-UHFFFAOYSA-N 1-(methoxymethyl)-4-[4-(methoxymethyl)phenyl]benzene Chemical group C1=CC(COC)=CC=C1C1=CC=C(COC)C=C1 MODAACUAXYPNJH-UHFFFAOYSA-N 0.000 description 1
- FBHPRUXJQNWTEW-UHFFFAOYSA-N 1-benzyl-2-methylimidazole Chemical compound CC1=NC=CN1CC1=CC=CC=C1 FBHPRUXJQNWTEW-UHFFFAOYSA-N 0.000 description 1
- XZKLXPPYISZJCV-UHFFFAOYSA-N 1-benzyl-2-phenylimidazole Chemical compound C1=CN=C(C=2C=CC=CC=2)N1CC1=CC=CC=C1 XZKLXPPYISZJCV-UHFFFAOYSA-N 0.000 description 1
- OBSKXJSZGYXFFB-UHFFFAOYSA-N 1-benzylpyridin-1-ium-2-carbonitrile Chemical compound N#CC1=CC=CC=[N+]1CC1=CC=CC=C1 OBSKXJSZGYXFFB-UHFFFAOYSA-N 0.000 description 1
- OSSNTDFYBPYIEC-UHFFFAOYSA-N 1-ethenylimidazole Chemical compound C=CN1C=CN=C1 OSSNTDFYBPYIEC-UHFFFAOYSA-N 0.000 description 1
- MCTWTZJPVLRJOU-UHFFFAOYSA-N 1-methyl-1H-imidazole Chemical compound CN1C=CN=C1 MCTWTZJPVLRJOU-UHFFFAOYSA-N 0.000 description 1
- XLXCHZCQTCBUOX-UHFFFAOYSA-N 1-prop-2-enylimidazole Chemical compound C=CCN1C=CN=C1 XLXCHZCQTCBUOX-UHFFFAOYSA-N 0.000 description 1
- VILCJCGEZXAXTO-UHFFFAOYSA-N 2,2,2-tetramine Chemical compound NCCNCCNCCN VILCJCGEZXAXTO-UHFFFAOYSA-N 0.000 description 1
- VUBUXALTYMBEQO-UHFFFAOYSA-N 2,2,3,3,3-pentafluoro-1-phenylpropan-1-one Chemical compound FC(F)(F)C(F)(F)C(=O)C1=CC=CC=C1 VUBUXALTYMBEQO-UHFFFAOYSA-N 0.000 description 1
- CIPOCPJRYUFXLL-UHFFFAOYSA-N 2,3,4-tris[(dimethylamino)methyl]phenol Chemical group CN(C)CC1=CC=C(O)C(CN(C)C)=C1CN(C)C CIPOCPJRYUFXLL-UHFFFAOYSA-N 0.000 description 1
- RUFZNDNBXKOZQV-UHFFFAOYSA-N 2,3-dihydro-1h-pyrrolo[1,2-a]benzimidazole Chemical compound C1=CC=C2N(CCC3)C3=NC2=C1 RUFZNDNBXKOZQV-UHFFFAOYSA-N 0.000 description 1
- BLBVJHVRECUXKP-UHFFFAOYSA-N 2,3-dimethoxy-1,4-dimethylbenzene Chemical group COC1=C(C)C=CC(C)=C1OC BLBVJHVRECUXKP-UHFFFAOYSA-N 0.000 description 1
- OVSKIKFHRZPJSS-UHFFFAOYSA-N 2,4-D Chemical compound OC(=O)COC1=CC=C(Cl)C=C1Cl OVSKIKFHRZPJSS-UHFFFAOYSA-N 0.000 description 1
- QKVROWZQJVDFSO-UHFFFAOYSA-N 2-(2-methylimidazol-1-yl)ethanamine Chemical compound CC1=NC=CN1CCN QKVROWZQJVDFSO-UHFFFAOYSA-N 0.000 description 1
- VDAIJDKQXDCJSI-UHFFFAOYSA-N 2-(2-methylimidazol-1-yl)ethylurea Chemical compound CC1=NC=CN1CCNC(N)=O VDAIJDKQXDCJSI-UHFFFAOYSA-N 0.000 description 1
- HHOJVZAEHZGDRB-UHFFFAOYSA-N 2-(4,6-diamino-1,3,5-triazin-2-yl)ethyl 2-methylprop-2-enoate Chemical compound CC(=C)C(=O)OCCC1=NC(N)=NC(N)=N1 HHOJVZAEHZGDRB-UHFFFAOYSA-N 0.000 description 1
- BZUILZIKDIMXBK-UHFFFAOYSA-N 2-(oxiran-2-ylmethoxycarbonyl)benzoic acid Chemical compound OC(=O)C1=CC=CC=C1C(=O)OCC1OC1 BZUILZIKDIMXBK-UHFFFAOYSA-N 0.000 description 1
- CDAWCLOXVUBKRW-UHFFFAOYSA-N 2-aminophenol Chemical compound NC1=CC=CC=C1O CDAWCLOXVUBKRW-UHFFFAOYSA-N 0.000 description 1
- SLLDUURXGMDOCY-UHFFFAOYSA-N 2-butyl-1h-imidazole Chemical compound CCCCC1=NC=CN1 SLLDUURXGMDOCY-UHFFFAOYSA-N 0.000 description 1
- PQAMFDRRWURCFQ-UHFFFAOYSA-N 2-ethyl-1h-imidazole Chemical compound CCC1=NC=CN1 PQAMFDRRWURCFQ-UHFFFAOYSA-N 0.000 description 1
- YTWBFUCJVWKCCK-UHFFFAOYSA-N 2-heptadecyl-1h-imidazole Chemical compound CCCCCCCCCCCCCCCCCC1=NC=CN1 YTWBFUCJVWKCCK-UHFFFAOYSA-N 0.000 description 1
- AMSDWLOANMAILF-UHFFFAOYSA-N 2-imidazol-1-ylethanol Chemical compound OCCN1C=CN=C1 AMSDWLOANMAILF-UHFFFAOYSA-N 0.000 description 1
- LXBGSDVWAMZHDD-UHFFFAOYSA-N 2-methyl-1h-imidazole Chemical compound CC1=NC=CN1 LXBGSDVWAMZHDD-UHFFFAOYSA-N 0.000 description 1
- QXSNXUCNBZLVFM-UHFFFAOYSA-N 2-methyl-1h-imidazole;1,3,5-triazinane-2,4,6-trione Chemical compound CC1=NC=CN1.O=C1NC(=O)NC(=O)N1 QXSNXUCNBZLVFM-UHFFFAOYSA-N 0.000 description 1
- SDQROPCSKIYYAV-UHFFFAOYSA-N 2-methyloctane-1,8-diol Chemical compound OCC(C)CCCCCCO SDQROPCSKIYYAV-UHFFFAOYSA-N 0.000 description 1
- LLEASVZEQBICSN-UHFFFAOYSA-N 2-undecyl-1h-imidazole Chemical compound CCCCCCCCCCCC1=NC=CN1 LLEASVZEQBICSN-UHFFFAOYSA-N 0.000 description 1
- PUMIRPCJLHGLOT-UHFFFAOYSA-N 3,5-diethyloxane-2,6-dione Chemical compound CCC1CC(CC)C(=O)OC1=O PUMIRPCJLHGLOT-UHFFFAOYSA-N 0.000 description 1
- UIDDPPKZYZTEGS-UHFFFAOYSA-N 3-(2-ethyl-4-methylimidazol-1-yl)propanenitrile Chemical compound CCC1=NC(C)=CN1CCC#N UIDDPPKZYZTEGS-UHFFFAOYSA-N 0.000 description 1
- SZUPZARBRLCVCB-UHFFFAOYSA-N 3-(2-undecylimidazol-1-yl)propanenitrile Chemical compound CCCCCCCCCCCC1=NC=CN1CCC#N SZUPZARBRLCVCB-UHFFFAOYSA-N 0.000 description 1
- RNLHGQLZWXBQNY-UHFFFAOYSA-N 3-(aminomethyl)-3,5,5-trimethylcyclohexan-1-amine Chemical compound CC1(C)CC(N)CC(C)(CN)C1 RNLHGQLZWXBQNY-UHFFFAOYSA-N 0.000 description 1
- MLLXXNHPVFZVTB-UHFFFAOYSA-N 3-[2-(2-methylimidazol-1-yl)ethylamino]propanenitrile Chemical compound CC1=NC=CN1CCNCCC#N MLLXXNHPVFZVTB-UHFFFAOYSA-N 0.000 description 1
- 125000004975 3-butenyl group Chemical group C(CC=C)* 0.000 description 1
- VPWNQTHUCYMVMZ-UHFFFAOYSA-N 4,4'-sulfonyldiphenol Chemical group C1=CC(O)=CC=C1S(=O)(=O)C1=CC=C(O)C=C1 VPWNQTHUCYMVMZ-UHFFFAOYSA-N 0.000 description 1
- 125000004217 4-methoxybenzyl group Chemical group [H]C1=C([H])C(=C([H])C([H])=C1OC([H])([H])[H])C([H])([H])* 0.000 description 1
- QXBYUPMEYVDXIQ-UHFFFAOYSA-N 4-methyl-3a,4,5,6,7,7a-hexahydro-2-benzofuran-1,3-dione Chemical compound CC1CCCC2C(=O)OC(=O)C12 QXBYUPMEYVDXIQ-UHFFFAOYSA-N 0.000 description 1
- QKFFSWPNFCXGIQ-UHFFFAOYSA-M 4-methylbenzenesulfonate;tetraethylazanium Chemical compound CC[N+](CC)(CC)CC.CC1=CC=C(S([O-])(=O)=O)C=C1 QKFFSWPNFCXGIQ-UHFFFAOYSA-M 0.000 description 1
- OECTYKWYRCHAKR-UHFFFAOYSA-N 4-vinylcyclohexene dioxide Chemical compound C1OC1C1CC2OC2CC1 OECTYKWYRCHAKR-UHFFFAOYSA-N 0.000 description 1
- TYOXIFXYEIILLY-UHFFFAOYSA-N 5-methyl-2-phenyl-1h-imidazole Chemical compound N1C(C)=CN=C1C1=CC=CC=C1 TYOXIFXYEIILLY-UHFFFAOYSA-N 0.000 description 1
- FKBMTBAXDISZGN-UHFFFAOYSA-N 5-methyl-3a,4,5,6,7,7a-hexahydro-2-benzofuran-1,3-dione Chemical compound C1C(C)CCC2C(=O)OC(=O)C12 FKBMTBAXDISZGN-UHFFFAOYSA-N 0.000 description 1
- ULKLGIFJWFIQFF-UHFFFAOYSA-N 5K8XI641G3 Chemical compound CCC1=NC=C(C)N1 ULKLGIFJWFIQFF-UHFFFAOYSA-N 0.000 description 1
- GZVHEAJQGPRDLQ-UHFFFAOYSA-N 6-phenyl-1,3,5-triazine-2,4-diamine Chemical compound NC1=NC(N)=NC(C=2C=CC=CC=2)=N1 GZVHEAJQGPRDLQ-UHFFFAOYSA-N 0.000 description 1
- YXALYBMHAYZKAP-UHFFFAOYSA-N 7-oxabicyclo[4.1.0]heptan-4-ylmethyl 7-oxabicyclo[4.1.0]heptane-4-carboxylate Chemical compound C1CC2OC2CC1C(=O)OCC1CC2OC2CC1 YXALYBMHAYZKAP-UHFFFAOYSA-N 0.000 description 1
- GVNWZKBFMFUVNX-UHFFFAOYSA-N Adipamide Chemical compound NC(=O)CCCCC(N)=O GVNWZKBFMFUVNX-UHFFFAOYSA-N 0.000 description 1
- 239000005995 Aluminium silicate Substances 0.000 description 1
- QGZKDVFQNNGYKY-UHFFFAOYSA-O Ammonium Chemical compound [NH4+] QGZKDVFQNNGYKY-UHFFFAOYSA-O 0.000 description 1
- 229930185605 Bisphenol Natural products 0.000 description 1
- WKBOTKDWSSQWDR-UHFFFAOYSA-N Bromine atom Chemical class [Br] WKBOTKDWSSQWDR-UHFFFAOYSA-N 0.000 description 1
- CRHKFQIAOFZEQW-UHFFFAOYSA-N CCC(C)(CC(C)CCCCCCCOC(C1CC2OC2CC1)=O)OC(OCCCCCCC(C)C(C)(CC)OC(OCCCCCCCCC(C)OC(C1CC2OC2CC1)=O)=O)=O Chemical compound CCC(C)(CC(C)CCCCCCCOC(C1CC2OC2CC1)=O)OC(OCCCCCCC(C)C(C)(CC)OC(OCCCCCCCCC(C)OC(C1CC2OC2CC1)=O)=O)=O CRHKFQIAOFZEQW-UHFFFAOYSA-N 0.000 description 1
- 239000004215 Carbon black (E152) Substances 0.000 description 1
- YZCKVEUIGOORGS-OUBTZVSYSA-N Deuterium Chemical compound [2H] YZCKVEUIGOORGS-OUBTZVSYSA-N 0.000 description 1
- RPNUMPOLZDHAAY-UHFFFAOYSA-N Diethylenetriamine Chemical compound NCCNCCN RPNUMPOLZDHAAY-UHFFFAOYSA-N 0.000 description 1
- PIICEJLVQHRZGT-UHFFFAOYSA-N Ethylenediamine Chemical compound NCCN PIICEJLVQHRZGT-UHFFFAOYSA-N 0.000 description 1
- PXGOKWXKJXAPGV-UHFFFAOYSA-N Fluorine Chemical compound FF PXGOKWXKJXAPGV-UHFFFAOYSA-N 0.000 description 1
- GYHNNYVSQQEPJS-UHFFFAOYSA-N Gallium Chemical compound [Ga] GYHNNYVSQQEPJS-UHFFFAOYSA-N 0.000 description 1
- 239000002841 Lewis acid Substances 0.000 description 1
- 229920000877 Melamine resin Polymers 0.000 description 1
- JLTDJTHDQAWBAV-UHFFFAOYSA-N N,N-dimethylaniline Chemical compound CN(C)C1=CC=CC=C1 JLTDJTHDQAWBAV-UHFFFAOYSA-N 0.000 description 1
- UEEJHVSXFDXPFK-UHFFFAOYSA-N N-dimethylaminoethanol Chemical compound CN(C)CCO UEEJHVSXFDXPFK-UHFFFAOYSA-N 0.000 description 1
- OAICVXFJPJFONN-UHFFFAOYSA-N Phosphorus Chemical compound [P] OAICVXFJPJFONN-UHFFFAOYSA-N 0.000 description 1
- 239000004952 Polyamide Substances 0.000 description 1
- 239000002202 Polyethylene glycol Substances 0.000 description 1
- PJANXHGTPQOBST-VAWYXSNFSA-N Stilbene Natural products C=1C=CC=CC=1/C=C/C1=CC=CC=C1 PJANXHGTPQOBST-VAWYXSNFSA-N 0.000 description 1
- NINIDFKCEFEMDL-UHFFFAOYSA-N Sulfur Chemical compound [S] NINIDFKCEFEMDL-UHFFFAOYSA-N 0.000 description 1
- GSEJCLTVZPLZKY-UHFFFAOYSA-N Triethanolamine Chemical compound OCCN(CCO)CCO GSEJCLTVZPLZKY-UHFFFAOYSA-N 0.000 description 1
- ZJCCRDAZUWHFQH-UHFFFAOYSA-N Trimethylolpropane Chemical compound CCC(CO)(CO)CO ZJCCRDAZUWHFQH-UHFFFAOYSA-N 0.000 description 1
- 238000003848 UV Light-Curing Methods 0.000 description 1
- QYKIQEUNHZKYBP-UHFFFAOYSA-N Vinyl ether Chemical compound C=COC=C QYKIQEUNHZKYBP-UHFFFAOYSA-N 0.000 description 1
- QLBRROYTTDFLDX-UHFFFAOYSA-N [3-(aminomethyl)cyclohexyl]methanamine Chemical compound NCC1CCCC(CN)C1 QLBRROYTTDFLDX-UHFFFAOYSA-N 0.000 description 1
- FDLQZKYLHJJBHD-UHFFFAOYSA-N [3-(aminomethyl)phenyl]methanamine Chemical compound NCC1=CC=CC(CN)=C1 FDLQZKYLHJJBHD-UHFFFAOYSA-N 0.000 description 1
- UUQQGGWZVKUCBD-UHFFFAOYSA-N [4-(hydroxymethyl)-2-phenyl-1h-imidazol-5-yl]methanol Chemical compound N1C(CO)=C(CO)N=C1C1=CC=CC=C1 UUQQGGWZVKUCBD-UHFFFAOYSA-N 0.000 description 1
- AUNAPVYQLLNFOI-UHFFFAOYSA-L [Pb++].[Pb++].[Pb++].[O-]S([O-])(=O)=O.[O-][Cr]([O-])(=O)=O.[O-][Mo]([O-])(=O)=O Chemical compound [Pb++].[Pb++].[Pb++].[O-]S([O-])(=O)=O.[O-][Cr]([O-])(=O)=O.[O-][Mo]([O-])(=O)=O AUNAPVYQLLNFOI-UHFFFAOYSA-L 0.000 description 1
- 230000001133 acceleration Effects 0.000 description 1
- NJYZCEFQAIUHSD-UHFFFAOYSA-N acetoguanamine Chemical compound CC1=NC(N)=NC(N)=N1 NJYZCEFQAIUHSD-UHFFFAOYSA-N 0.000 description 1
- 125000005595 acetylacetonate group Chemical group 0.000 description 1
- 230000002378 acidificating effect Effects 0.000 description 1
- 239000000853 adhesive Substances 0.000 description 1
- 230000001070 adhesive effect Effects 0.000 description 1
- 230000001476 alcoholic effect Effects 0.000 description 1
- 125000003172 aldehyde group Chemical group 0.000 description 1
- 239000004844 aliphatic epoxy resin Substances 0.000 description 1
- 150000004703 alkoxides Chemical class 0.000 description 1
- 125000005036 alkoxyphenyl group Chemical group 0.000 description 1
- 125000005037 alkyl phenyl group Chemical group 0.000 description 1
- WNROFYMDJYEPJX-UHFFFAOYSA-K aluminium hydroxide Chemical compound [OH-].[OH-].[OH-].[Al+3] WNROFYMDJYEPJX-UHFFFAOYSA-K 0.000 description 1
- 235000012211 aluminium silicate Nutrition 0.000 description 1
- 150000001412 amines Chemical class 0.000 description 1
- 150000008064 anhydrides Chemical class 0.000 description 1
- 150000001450 anions Chemical group 0.000 description 1
- 239000002518 antifoaming agent Substances 0.000 description 1
- 239000010426 asphalt Substances 0.000 description 1
- 239000012298 atmosphere Substances 0.000 description 1
- 125000004429 atom Chemical group 0.000 description 1
- IRERQBUNZFJFGC-UHFFFAOYSA-L azure blue Chemical compound [Na+].[Na+].[Na+].[Na+].[Na+].[Na+].[Na+].[Na+].[Al+3].[Al+3].[Al+3].[Al+3].[Al+3].[Al+3].[S-]S[S-].[O-][Si]([O-])([O-])[O-].[O-][Si]([O-])([O-])[O-].[O-][Si]([O-])([O-])[O-].[O-][Si]([O-])([O-])[O-].[O-][Si]([O-])([O-])[O-].[O-][Si]([O-])([O-])[O-] IRERQBUNZFJFGC-UHFFFAOYSA-L 0.000 description 1
- 239000011324 bead Substances 0.000 description 1
- CIZVQWNPBGYCGK-UHFFFAOYSA-N benzenediazonium Chemical compound N#[N+]C1=CC=CC=C1 CIZVQWNPBGYCGK-UHFFFAOYSA-N 0.000 description 1
- RWCCWEUUXYIKHB-UHFFFAOYSA-N benzophenone Chemical compound C=1C=CC=CC=1C(=O)C1=CC=CC=C1 RWCCWEUUXYIKHB-UHFFFAOYSA-N 0.000 description 1
- 239000012965 benzophenone Substances 0.000 description 1
- QRUDEWIWKLJBPS-UHFFFAOYSA-N benzotriazole Chemical compound C1=CC=C2N[N][N]C2=C1 QRUDEWIWKLJBPS-UHFFFAOYSA-N 0.000 description 1
- 239000012964 benzotriazole Substances 0.000 description 1
- LLEMOWNGBBNAJR-UHFFFAOYSA-N biphenyl-2-ol Chemical compound OC1=CC=CC=C1C1=CC=CC=C1 LLEMOWNGBBNAJR-UHFFFAOYSA-N 0.000 description 1
- AENNXXRRACDJAY-UHFFFAOYSA-N bis(2-dodecylphenyl)iodanium Chemical compound CCCCCCCCCCCCC1=CC=CC=C1[I+]C1=CC=CC=C1CCCCCCCCCCCC AENNXXRRACDJAY-UHFFFAOYSA-N 0.000 description 1
- YHWCPXVTRSHPNY-UHFFFAOYSA-N butan-1-olate;titanium(4+) Chemical compound [Ti+4].CCCC[O-].CCCC[O-].CCCC[O-].CCCC[O-] YHWCPXVTRSHPNY-UHFFFAOYSA-N 0.000 description 1
- CDQSJQSWAWPGKG-UHFFFAOYSA-N butane-1,1-diol Chemical compound CCCC(O)O CDQSJQSWAWPGKG-UHFFFAOYSA-N 0.000 description 1
- BDOSMKKIYDKNTQ-UHFFFAOYSA-N cadmium atom Chemical compound [Cd] BDOSMKKIYDKNTQ-UHFFFAOYSA-N 0.000 description 1
- CJOBVZJTOIVNNF-UHFFFAOYSA-N cadmium sulfide Chemical compound [Cd]=S CJOBVZJTOIVNNF-UHFFFAOYSA-N 0.000 description 1
- 239000011203 carbon fibre reinforced carbon Substances 0.000 description 1
- 150000001732 carboxylic acid derivatives Chemical class 0.000 description 1
- 239000007795 chemical reaction product Substances 0.000 description 1
- 239000011248 coating agent Substances 0.000 description 1
- 239000008199 coating composition Substances 0.000 description 1
- 239000002131 composite material Substances 0.000 description 1
- 238000007334 copolymerization reaction Methods 0.000 description 1
- 238000005336 cracking Methods 0.000 description 1
- 229910002026 crystalline silica Inorganic materials 0.000 description 1
- 238000002425 crystallisation Methods 0.000 description 1
- 230000008025 crystallization Effects 0.000 description 1
- IFDVQVHZEKPUSC-UHFFFAOYSA-N cyclohex-3-ene-1,2-dicarboxylic acid Chemical compound OC(=O)C1CCC=CC1C(O)=O IFDVQVHZEKPUSC-UHFFFAOYSA-N 0.000 description 1
- FWFSEYBSWVRWGL-UHFFFAOYSA-N cyclohexene oxide Natural products O=C1CCCC=C1 FWFSEYBSWVRWGL-UHFFFAOYSA-N 0.000 description 1
- 229960002887 deanol Drugs 0.000 description 1
- DIOQZVSQGTUSAI-NJFSPNSNSA-N decane Chemical group CCCCCCCCC[14CH3] DIOQZVSQGTUSAI-NJFSPNSNSA-N 0.000 description 1
- FOTKYAAJKYLFFN-UHFFFAOYSA-N decane-1,10-diol Chemical compound OCCCCCCCCCCO FOTKYAAJKYLFFN-UHFFFAOYSA-N 0.000 description 1
- 230000003247 decreasing effect Effects 0.000 description 1
- 230000006866 deterioration Effects 0.000 description 1
- 229910052805 deuterium Inorganic materials 0.000 description 1
- KEEBIZOZZGQJHM-UHFFFAOYSA-N di(propan-2-yl)azanium;trifluoromethanesulfonate Chemical compound CC(C)[NH2+]C(C)C.[O-]S(=O)(=O)C(F)(F)F KEEBIZOZZGQJHM-UHFFFAOYSA-N 0.000 description 1
- IJGRMHOSHXDMSA-UHFFFAOYSA-O diazynium Chemical compound [NH+]#N IJGRMHOSHXDMSA-UHFFFAOYSA-O 0.000 description 1
- AYOHIQLKSOJJQH-UHFFFAOYSA-N dibutyltin Chemical compound CCCC[Sn]CCCC AYOHIQLKSOJJQH-UHFFFAOYSA-N 0.000 description 1
- 150000001991 dicarboxylic acids Chemical class 0.000 description 1
- 230000000447 dimerizing effect Effects 0.000 description 1
- XXBDWLFCJWSEKW-UHFFFAOYSA-N dimethylbenzylamine Chemical compound CN(C)CC1=CC=CC=C1 XXBDWLFCJWSEKW-UHFFFAOYSA-N 0.000 description 1
- OWZDULOODZHVCQ-UHFFFAOYSA-N diphenyl-(4-phenylsulfanylphenyl)sulfanium Chemical compound C=1C=C([S+](C=2C=CC=CC=2)C=2C=CC=CC=2)C=CC=1SC1=CC=CC=C1 OWZDULOODZHVCQ-UHFFFAOYSA-N 0.000 description 1
- OZLBDYMWFAHSOQ-UHFFFAOYSA-N diphenyliodanium Chemical compound C=1C=CC=CC=1[I+]C1=CC=CC=C1 OZLBDYMWFAHSOQ-UHFFFAOYSA-N 0.000 description 1
- ZZTCPWRAHWXWCH-UHFFFAOYSA-N diphenylmethanediamine Chemical compound C=1C=CC=CC=1C(N)(N)C1=CC=CC=C1 ZZTCPWRAHWXWCH-UHFFFAOYSA-N 0.000 description 1
- 238000009826 distribution Methods 0.000 description 1
- 239000000975 dye Substances 0.000 description 1
- 238000010894 electron beam technology Methods 0.000 description 1
- ZSWFCLXCOIISFI-UHFFFAOYSA-N endo-cyclopentadiene Natural products C1C=CC=C1 ZSWFCLXCOIISFI-UHFFFAOYSA-N 0.000 description 1
- 125000004185 ester group Chemical group 0.000 description 1
- 150000002148 esters Chemical class 0.000 description 1
- GHOPTXGTPKQQFP-UHFFFAOYSA-N ethyl-di(propan-2-yl)azanium;trifluoromethanesulfonate Chemical compound OS(=O)(=O)C(F)(F)F.CCN(C(C)C)C(C)C GHOPTXGTPKQQFP-UHFFFAOYSA-N 0.000 description 1
- 229910052731 fluorine Inorganic materials 0.000 description 1
- 239000011737 fluorine Substances 0.000 description 1
- 239000013022 formulation composition Substances 0.000 description 1
- 239000005350 fused silica glass Substances 0.000 description 1
- 229910052733 gallium Inorganic materials 0.000 description 1
- VOZRXNHHFUQHIL-UHFFFAOYSA-N glycidyl methacrylate Chemical compound CC(=C)C(=O)OCC1CO1 VOZRXNHHFUQHIL-UHFFFAOYSA-N 0.000 description 1
- 239000010439 graphite Substances 0.000 description 1
- 229910002804 graphite Inorganic materials 0.000 description 1
- VBJZVLUMGGDVMO-UHFFFAOYSA-N hafnium atom Chemical compound [Hf] VBJZVLUMGGDVMO-UHFFFAOYSA-N 0.000 description 1
- MCFIMQJAFAOJPD-MTOQALJVSA-J hafnium(4+) (Z)-4-oxopent-2-en-2-olate Chemical compound [Hf+4].C\C([O-])=C\C(C)=O.C\C([O-])=C\C(C)=O.C\C([O-])=C\C(C)=O.C\C([O-])=C\C(C)=O MCFIMQJAFAOJPD-MTOQALJVSA-J 0.000 description 1
- 150000002367 halogens Chemical class 0.000 description 1
- 238000013007 heat curing Methods 0.000 description 1
- 229910000042 hydrogen bromide Inorganic materials 0.000 description 1
- 230000033444 hydroxylation Effects 0.000 description 1
- 238000005805 hydroxylation reaction Methods 0.000 description 1
- 239000011261 inert gas Substances 0.000 description 1
- 239000004615 ingredient Substances 0.000 description 1
- 239000011810 insulating material Substances 0.000 description 1
- 230000010354 integration Effects 0.000 description 1
- MGFYSGNNHQQTJW-UHFFFAOYSA-N iodonium Chemical compound [IH2+] MGFYSGNNHQQTJW-UHFFFAOYSA-N 0.000 description 1
- 230000001678 irradiating effect Effects 0.000 description 1
- 125000000959 isobutyl group Chemical group [H]C([H])([H])C([H])(C([H])([H])[H])C([H])([H])* 0.000 description 1
- 125000001449 isopropyl group Chemical group [H]C([H])([H])C([H])(*)C([H])([H])[H] 0.000 description 1
- NLYAJNPCOHFWQQ-UHFFFAOYSA-N kaolin Chemical compound O.O.O=[Al]O[Si](=O)O[Si](=O)O[Al]=O NLYAJNPCOHFWQQ-UHFFFAOYSA-N 0.000 description 1
- 150000007517 lewis acids Chemical class 0.000 description 1
- 238000004811 liquid chromatography Methods 0.000 description 1
- 239000000395 magnesium oxide Substances 0.000 description 1
- CPLXHLVBOLITMK-UHFFFAOYSA-N magnesium oxide Inorganic materials [Mg]=O CPLXHLVBOLITMK-UHFFFAOYSA-N 0.000 description 1
- AXZKOIWUVFPNLO-UHFFFAOYSA-N magnesium;oxygen(2-) Chemical compound [O-2].[Mg+2] AXZKOIWUVFPNLO-UHFFFAOYSA-N 0.000 description 1
- FPYJFEHAWHCUMM-UHFFFAOYSA-N maleic anhydride Chemical compound O=C1OC(=O)C=C1 FPYJFEHAWHCUMM-UHFFFAOYSA-N 0.000 description 1
- 239000011159 matrix material Substances 0.000 description 1
- 238000005259 measurement Methods 0.000 description 1
- ITNVWQNWHXEMNS-UHFFFAOYSA-N methanolate;titanium(4+) Chemical compound [Ti+4].[O-]C.[O-]C.[O-]C.[O-]C ITNVWQNWHXEMNS-UHFFFAOYSA-N 0.000 description 1
- 239000010445 mica Substances 0.000 description 1
- 229910052618 mica group Inorganic materials 0.000 description 1
- 238000013508 migration Methods 0.000 description 1
- 230000005012 migration Effects 0.000 description 1
- 230000004048 modification Effects 0.000 description 1
- 238000012986 modification Methods 0.000 description 1
- CWQXQMHSOZUFJS-UHFFFAOYSA-N molybdenum disulfide Chemical compound S=[Mo]=S CWQXQMHSOZUFJS-UHFFFAOYSA-N 0.000 description 1
- 229910052982 molybdenum disulfide Inorganic materials 0.000 description 1
- 238000000465 moulding Methods 0.000 description 1
- LSHROXHEILXKHM-UHFFFAOYSA-N n'-[2-[2-[2-(2-aminoethylamino)ethylamino]ethylamino]ethyl]ethane-1,2-diamine Chemical compound NCCNCCNCCNCCNCCN LSHROXHEILXKHM-UHFFFAOYSA-N 0.000 description 1
- 125000004108 n-butyl group Chemical group [H]C([H])([H])C([H])([H])C([H])([H])C([H])([H])* 0.000 description 1
- BGIBIBGZOYSFSC-UHFFFAOYSA-N n-ethylethanamine;trifluoromethanesulfonic acid Chemical compound CCNCC.OS(=O)(=O)C(F)(F)F BGIBIBGZOYSFSC-UHFFFAOYSA-N 0.000 description 1
- 125000001624 naphthyl group Chemical group 0.000 description 1
- UMRZSTCPUPJPOJ-KNVOCYPGSA-N norbornane Chemical compound C1C[C@H]2CC[C@@H]1C2 UMRZSTCPUPJPOJ-KNVOCYPGSA-N 0.000 description 1
- TVMXDCGIABBOFY-UHFFFAOYSA-N octane Chemical compound CCCCCCCC TVMXDCGIABBOFY-UHFFFAOYSA-N 0.000 description 1
- JRZJOMJEPLMPRA-UHFFFAOYSA-N olefin Natural products CCCCCCCC=C JRZJOMJEPLMPRA-UHFFFAOYSA-N 0.000 description 1
- TWNQGVIAIRXVLR-UHFFFAOYSA-N oxo(oxoalumanyloxy)alumane Chemical compound O=[Al]O[Al]=O TWNQGVIAIRXVLR-UHFFFAOYSA-N 0.000 description 1
- 239000003973 paint Substances 0.000 description 1
- FJKROLUGYXJWQN-UHFFFAOYSA-N papa-hydroxy-benzoic acid Natural products OC(=O)C1=CC=C(O)C=C1 FJKROLUGYXJWQN-UHFFFAOYSA-N 0.000 description 1
- 125000000538 pentafluorophenyl group Chemical group FC1=C(F)C(F)=C(*)C(F)=C1F 0.000 description 1
- 150000004965 peroxy acids Chemical class 0.000 description 1
- FTDXCHCAMNRNNY-UHFFFAOYSA-N phenol Chemical compound OC1=CC=CC=C1.OC1=CC=CC=C1 FTDXCHCAMNRNNY-UHFFFAOYSA-N 0.000 description 1
- DOXFBSZBACYHFY-UHFFFAOYSA-N phenol;stilbene Chemical class OC1=CC=CC=C1.C=1C=CC=CC=1C=CC1=CC=CC=C1 DOXFBSZBACYHFY-UHFFFAOYSA-N 0.000 description 1
- 150000003003 phosphines Chemical class 0.000 description 1
- 239000011574 phosphorus Substances 0.000 description 1
- 150000003018 phosphorus compounds Chemical class 0.000 description 1
- 238000000016 photochemical curing Methods 0.000 description 1
- 229920002647 polyamide Polymers 0.000 description 1
- 125000003367 polycyclic group Chemical group 0.000 description 1
- 229920001223 polyethylene glycol Polymers 0.000 description 1
- 229920000642 polymer Polymers 0.000 description 1
- 238000006116 polymerization reaction Methods 0.000 description 1
- 230000000379 polymerizing effect Effects 0.000 description 1
- 150000003077 polyols Chemical class 0.000 description 1
- 229920001451 polypropylene glycol Polymers 0.000 description 1
- 229920002635 polyurethane Polymers 0.000 description 1
- 239000004814 polyurethane Substances 0.000 description 1
- RLJWTAURUFQFJP-UHFFFAOYSA-N propan-2-ol;titanium Chemical compound [Ti].CC(C)O.CC(C)O.CC(C)O.CC(C)O RLJWTAURUFQFJP-UHFFFAOYSA-N 0.000 description 1
- AOHJOMMDDJHIJH-UHFFFAOYSA-N propylenediamine Chemical compound CC(N)CN AOHJOMMDDJHIJH-UHFFFAOYSA-N 0.000 description 1
- 238000000746 purification Methods 0.000 description 1
- 239000012264 purified product Substances 0.000 description 1
- KIDHWZJUCRJVML-UHFFFAOYSA-N putrescine Chemical compound NCCCCN KIDHWZJUCRJVML-UHFFFAOYSA-N 0.000 description 1
- 239000010453 quartz Substances 0.000 description 1
- 238000007151 ring opening polymerisation reaction Methods 0.000 description 1
- 229960004889 salicylic acid Drugs 0.000 description 1
- 239000003566 sealing material Substances 0.000 description 1
- 238000007086 side reaction Methods 0.000 description 1
- 239000011973 solid acid Substances 0.000 description 1
- PJANXHGTPQOBST-UHFFFAOYSA-N stilbene Chemical compound C=1C=CC=CC=1C=CC1=CC=CC=C1 PJANXHGTPQOBST-UHFFFAOYSA-N 0.000 description 1
- 235000021286 stilbenes Nutrition 0.000 description 1
- 238000003756 stirring Methods 0.000 description 1
- 238000006467 substitution reaction Methods 0.000 description 1
- RWSOTUBLDIXVET-UHFFFAOYSA-O sulfonium group Chemical group [SH3+] RWSOTUBLDIXVET-UHFFFAOYSA-O 0.000 description 1
- 239000011593 sulfur Substances 0.000 description 1
- 229920003002 synthetic resin Polymers 0.000 description 1
- 239000000057 synthetic resin Substances 0.000 description 1
- 150000003505 terpenes Chemical class 0.000 description 1
- 235000007586 terpenes Nutrition 0.000 description 1
- 150000003512 tertiary amines Chemical class 0.000 description 1
- UFDHBDMSHIXOKF-UHFFFAOYSA-N tetrahydrophthalic acid Natural products OC(=O)C1=C(C(O)=O)CCCC1 UFDHBDMSHIXOKF-UHFFFAOYSA-N 0.000 description 1
- VXUYXOFXAQZZMF-UHFFFAOYSA-N tetraisopropyl titanate Substances CC(C)O[Ti](OC(C)C)(OC(C)C)OC(C)C VXUYXOFXAQZZMF-UHFFFAOYSA-N 0.000 description 1
- 239000004408 titanium dioxide Substances 0.000 description 1
- TVBIVRGNYNBFCD-UHFFFAOYSA-N triethylazanium;trifluoromethanesulfonate Chemical compound CC[NH+](CC)CC.[O-]S(=O)(=O)C(F)(F)F TVBIVRGNYNBFCD-UHFFFAOYSA-N 0.000 description 1
- 150000008648 triflates Chemical class 0.000 description 1
- ITMCEJHCFYSIIV-UHFFFAOYSA-N triflic acid Chemical class OS(=O)(=O)C(F)(F)F ITMCEJHCFYSIIV-UHFFFAOYSA-N 0.000 description 1
- 125000002023 trifluoromethyl group Chemical group FC(F)(F)* 0.000 description 1
- AAAQKTZKLRYKHR-UHFFFAOYSA-N triphenylmethane Chemical compound C1=CC=CC=C1C(C=1C=CC=CC=1)C1=CC=CC=C1 AAAQKTZKLRYKHR-UHFFFAOYSA-N 0.000 description 1
- WLOQLWBIJZDHET-UHFFFAOYSA-N triphenylsulfonium Chemical compound C1=CC=CC=C1[S+](C=1C=CC=CC=1)C1=CC=CC=C1 WLOQLWBIJZDHET-UHFFFAOYSA-N 0.000 description 1
- 239000012953 triphenylsulfonium Substances 0.000 description 1
- WUKMCKCDYKBLBG-UHFFFAOYSA-N tris(4-methoxyphenyl)sulfanium Chemical compound C1=CC(OC)=CC=C1[S+](C=1C=CC(OC)=CC=1)C1=CC=C(OC)C=C1 WUKMCKCDYKBLBG-UHFFFAOYSA-N 0.000 description 1
- WFKWXMTUELFFGS-UHFFFAOYSA-N tungsten Chemical compound [W] WFKWXMTUELFFGS-UHFFFAOYSA-N 0.000 description 1
- 229910052721 tungsten Inorganic materials 0.000 description 1
- 239000010937 tungsten Substances 0.000 description 1
- 238000005406 washing Methods 0.000 description 1
- 229910052724 xenon Inorganic materials 0.000 description 1
- FHNFHKCVQCLJFQ-UHFFFAOYSA-N xenon atom Chemical compound [Xe] FHNFHKCVQCLJFQ-UHFFFAOYSA-N 0.000 description 1
Images
Landscapes
- Epoxy Compounds (AREA)
- Epoxy Resins (AREA)
Abstract
Description
体的には全く開示されていない。
なお、本明細書に記載の「脂環式エポキシ基」とは、例えば、シクロヘキセンオキサイドのような脂環基内部に存在するエポキシ基を意味する。
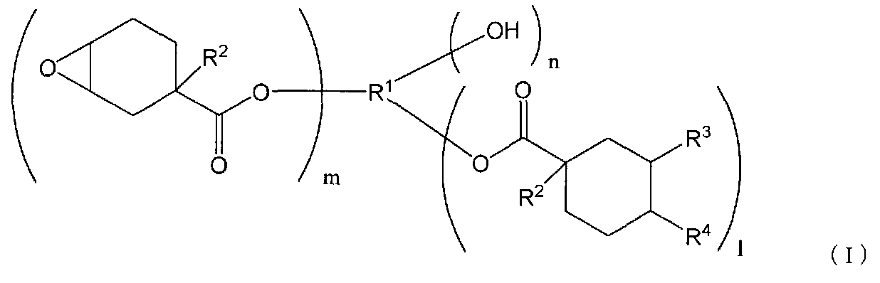
[1] 下記一般式(I)で表されるエポキシ基含有エステル化合物を含む硬化性組成物。
を含み、かつ炭素数の総計が12以上である多価アルコールから誘導される有機残基を表す。R2は、それぞれ独立にH又はCH3を表す。R3、R4はそれぞれ独立にOR基又はOH基を表す。ここでRは有機残基である。mは1〜4の整数、nは0〜3の整数、lは0〜3の整数を表す。)
[2] 前記一般式(I)中のR1が、トリシクロ[5.2.1.02,6]デカンジメタノー
ルから誘導される有機残基であることを特徴とする[1]に記載の硬化性組成物。
[3] 前記一般式(I)中のR1が、ダイマージオールから誘導される有機残基であるこ
とを特徴とする[1]に記載の硬化性組成物。
[4] 前記一般式(I)中のR1が、炭素数9以上の分岐構造及び/又は環状構造を有す
るアルカンジオール由来の構造単位を有する(ポリ)カーボネートポリオールから誘導される有機残基であることを特徴とする[1]に記載の硬化性組成物。
[5] 硬化剤または重合開始剤のいずれかをさらに含有することを特徴とする[1]〜[4]のいずれか1項に記載の硬化性組成物。
[6] 下記一般式(II)で表される脂環式エポキシ基含有カルボン酸エステルと、炭素数9以上の分岐構造及び/又は環状構造を有する飽和炭化水素鎖を含みかつ炭素数の総計が12以上である多価アルコールとを、エステル交換触媒を用いて反応させて、前記一般式(I)で表されるエポキシ基含有エステル化合物を製造する工程を含むことを特徴とする[1]に記載の硬化性組成物の製造方法。
のアルケニル基を表す。)
[7] 前記炭素数9以上の分岐構造及び/又は環状構造を有する飽和炭化水素鎖を含みかつ炭素数の総計が12以上である多価アルコールが、トリシクロ[5.2.1.02,6]
デカンジメタノールであることを特徴とする[6]に記載の硬化性組成物の製造方法。
[8] 前記炭素数9以上の分岐構造及び/又は環状構造を有する飽和炭化水素鎖を含みかつ炭素数の総計が12以上である多価アルコールが、ダイマージオールであることを特徴とする[6]に記載の硬化性組成物の製造方法。
[9] 前記炭素数9以上の分岐構造及び/又は環状構造を有する飽和炭化水素鎖を含みかつ炭素数の総計が12以上である多価アルコールが、炭素数9以上の分岐構造及び/又は環状構造を有するアルカンジオール由来の構造単位を有する(ポリ)カーボネートポリオールであることを特徴とする[6]に記載の硬化性組成物の製造方法。
[10] 前記エステル交換触媒が、ジアルキル錫オキサイド、テトラアルキルチタネート及び金属アセチルアセトナート錯体の群の中から選ばれる少なくとも1種以上の化合物であることを特徴とする[6]〜[9]のいずれか1項に記載の硬化性組成物の製造方法。
[11] 前記エステル交換触媒が、ジブチル錫オキサイド又はジオクチル錫オキサイドであることを特徴とする[6]〜[9]のいずれか1項に記載の硬化性組成物の製造方法。
[12] 前記エステル交換触媒の使用量が、脂環式エポキシ基含有カルボン酸エステルと炭素数9以上の分岐構造及び/又は環状構造を有する飽和炭化水素鎖を含みかつ炭素数の総計が12以上である多価アルコールの総量に対して、0.01〜3.0質量%であることを特徴とする[6]〜[11]のいずれか1項に記載の硬化性組成物の製造方法。
[13] 下記式(1)で表されるエポキシ基含有エステル化合物。
キシ基含有エステル化合物を含む組成物を製造することにより、安価な工業的製造方法を提供することが可能になった。
本発明の硬化性組成物は、下記一般式(I)で表されるエポキシ基含有エステル化合物を含む。
素鎖を含み、かつ炭素数の総計が12以上である多価アルコールから誘導される有機残基を表す。R2は、それぞれ独立にH又はCH3を表す。R3、R4はそれぞれ独立にOR基又はOH基を表す。ここでRは有機残基である。mは1〜4の整数、nは0〜3の整数、lは0〜3の整数を表す。
飽和炭化水素鎖のみからなり、かつ炭素数の総計が12以上である多価アルコールから誘導される有機残基の場合には、常温で結晶性を有する場合が多く、ハンドリング上好ましくない。本発明において、上記分岐及び/または環状に結合している鎖状の構造は、炭素数9以上の分岐及び/又は環状に結合している鎖状構造を分子内に有し、かつ炭素原子の総数が12以上である多価アルコールを原料として用いることで得られる。
計が12以上」であるという条件を満たさない。従って、これらは、R1には含まれない
。
状構造を有する飽和炭化水素鎖を有する場合、カーボネート結合を介して、多価アルコールから誘導される炭素数9以上の直鎖状の飽和炭化水素鎖を含んでいてもよい。この場合、上記の構造式(12)と同様に、炭素数の総計が12以上の要件も満たす。
炭素数9以上の分岐構造及び/又は環状構造を有する飽和炭化水素鎖を含みかつ炭素数の総計が11以下である多価アルコールから誘導される有機残基である場合には、その化合物を硬化して得られる硬化物の電気絶縁特性が、炭素数9以上の分岐構造及び/又は環状構造を有する飽和炭化水素鎖を含みかつ炭素数の総計が12以上である多価アルコールから誘導される有機残基を使用して得られた硬化物の電気絶縁特性と比較して低くなる傾向にあり、好ましくない。
げることができる。また、ここで言う「ダイマー酸」とは、不飽和脂肪酸の分子間重合反応で得られる酸であるが、炭素数が11〜22の不飽和脂肪酸を二量化して得られ、炭素数36程度の二塩基酸が主成分である。市販品としては、例えばPRIPOL1006、同1009、同1015、同1025等(ユニケマ社製)、EMPOL1062(コグニス社製)を挙げることができる。
ルまたは1,2−テトラデカンジオール、トリシクロ[5.2.1.02,6]デカンジメタノールなどを挙げることができる。
することになり、その3個のR2が、それぞれ独立にH又はCH3であることを意味する。即ち、3個のR2のすべてがHであっても、3個のR2のすべてがCH3であっても、或い
は3個のR2の内2個がHで1個がCH3であっても、2個がCH3で1個がHであっても
、いっこうに差し支えないことを意味する。同様に、m=l=1の場合、1分子中に2個のR2が存在することになり、その2個のR2が、それぞれ独立にH又はCH3であること
を意味する。即ち、2個のR2のすべてがHであっても、2個のR2のすべてがCH3であ
っても、一方のR2がHであり他方のR2がCH3であってもいっこうに差し支えないこと
を意味する。
前記一般式(I)のエポキシ基含有エステル化合物を含む硬化性組成物は、下記一般式(II)で表される脂環式エポキシ基含有カルボン酸エステルと、炭素数9以上の分岐構造及び/又は環状構造を有する飽和炭化水素鎖を含みかつ炭素数の総計が12以上である多価アルコールとを、エステル交換触媒を用いて反応させることにより対応するエポキシ基含有エステル化合物を製造することができる。
アルケニル基を表す。)
まず、本発明のエポキシ基含有エステル化合物を含む硬化性組成物の原料成分である上記一般式(II)で表される脂環式エポキシ基含有カルボン酸エステルについて説明する。式中、R5はH又はCH3を表す。また、式中、R6は炭素数1〜4までのアルキル基又
は炭素数1〜4までのアルケニル基を表す。具体的には、メチル基、エチル基、n―プロピル基、イソピロピル基、n−ブチル基、イソブチル基、アリル基、メタリル基、3−ブテニル基等を挙げることができる。これらの中で、エステル交換反応の進行のし易さ及び発生するアルコールの留去のし易さを考慮すると、好ましいものとしては、メチル基、エチル基、n―プロピル基、アリル基、メタリル基であり、さらに好ましくは、アリル基、メタリル基である。なお、このような脂環式エポキシ基含有カルボン酸エステルとしては、3,4−エポキシシクロヘキサン−1−カルボン酸アリルなどが挙げられる。
造及び/又は環状構造を有する飽和炭化水素鎖を含みかつ炭素数の総計が12以上である多価アルコールを原料として用いることができる。
造及び/又は環状構造を有するアルカンジオール由来の構造単位を有する(ポリ)カーボネートポリオール等を挙げることができる。
エステル交換触媒としては、エステル基を活性化させアルコールとの反応を起こさせるものであれば、基本的にはどのような触媒でも用いることが出来る。例えばアルカリ金属、アルカリ土類金属及びアルカリ金属、アルカリ土類金属の酸化物、及びアルカリ金属及びアルカリ土類金属の弱酸塩、アルカリ金属及びアルカリ土類金属のアルコラート、アルカリ金属及びアルカリ土類金属水酸化物、また、Hf,Mn,U,Zn,Cd,Zr,Pb,Ti,CoおよびSnの酸化物、Hf,Mn,U,Zn,Cd,Zr,Pb,Ti,CoおよびSnの水酸化物、Hf,Mn,U,Zn,Cd,Zr,Pb,Ti,CoおよびSnの無機酸塩、Hf,Mn,U,Zn,Cd,Zr,Pb,Ti,CoおよびSnのアルコキシド、Hf,Mn,U,Zn,Cd,Zr,Pb,Ti,CoおよびSnの有機酸塩、Hf,Mn,U,Zn,Cd,Zr,Pb,Ti,CoおよびSnのアセチルアセトナートのような有機錯体、ジブチル錫オキサイド、ジオクチル錫オキサイド、ジブチル錫ジクロライド等の有機錫化合物、ジメチルアニリン、1,4−ジアザビシクロ〔2.2.2〕オクタン等の3級アミン等である。
用いても、その過剰量に見合う効果は発現せず経済的にも好ましくない。
本発明の硬化性組成物に含有させることができる硬化剤は、一般式(I)で表されるエポキシ基含有エステル化合物を硬化させることができる化合物であれば特に限定されるものではない。例えば、フェノール樹脂等のフェノール化合物、ジアミン、ポリアミン等のアミン化合物、無水フタル酸、無水トリメリット酸、無水ピロメリット酸等の酸無水物、トリメリット酸等の多価カルボキシル基含有化合物等が挙げられ、これら化合物の1種を単独で用いてもよいし、2種以上を組み合わせて用いてもよい。
硬化剤として使用可能な多価カルボキシル基含有化合物としては、トリメロット酸、ピロメリット酸、コハク酸、アジピン酸、グルタル酸、特開2007−154134号公報に記載のカルボキシル基含有ポリウレタン等を挙げることができる。コハク酸、アジピン酸及びグルタル酸のようなジカルボン酸は、単独で用いるよりも3官能以上のポリカルボン酸と併用して用いる方が硬化物の耐熱性の観点から好ましい。
ニル−s−トリアジン・イソシアヌル酸付加物等のトリアジン系化合物、イミダゾール、2−メチルイミダゾール、2−エチル−4−メチルイミダゾール、2−フェニルイミダゾール、2−ウンデシルイミダゾール、2−ヘプタデシルイミダゾール、1−ベンジルー2−メチルイミダゾール、2−フェニルー4−メチルイミダゾール、1−シアノエチル−2−メチルイミダゾール、1−シアノエチル−2−エチル−4−メチルイミダゾール、1−アミノエチルー2−エチルー4−メチルイミダゾール、1−アミノエチル−2−メチルイミダゾール、1−(シアノエチルアミノエチル)−2−メチルイミダゾール、N−[2−(2−メチルー1−イミダゾリル)エチル]尿素、1−シアノエチル−2−ウンデシルイミダゾール、1−シアノエチル−2−メチルイミダゾリウムトリメリテート、1−シアノエチル−2−フェニルイミダゾリウムトリメリテート、1−シアノエチル−2−エチル−4−メチルイミダゾリウムトリメリテート、1−シアノエチル−2−ウンデシルイミダゾリウムトリメリテート、2,4−ジアミノ−6−[2’−メチルイミダゾリル−(1’)]−エチル−s−トリアジン、2,4−ジアミノ−6−[2’−ウンデシルイミダゾリル−(1’)]−エチル−s−トリアジン、2,4−ジアミノ−6−[2’−エチル−4’−メチルイミダゾリル−(1’)]−エチル−s−トリアジン、1−ドデシル−2−メチル−3−ベンジルイミダゾリウムクロライド、N,N’−ビス(2−メチル−1−イミダゾリルエチル)尿素、N,N’−ビス(2−メチル−1−イミダゾリルエチル)アジポアミド、2−フェニル−4−メチル−5−ヒドロキシメチルイミダゾール、2−フェニル−4,5−ジヒドロキシメチルイミダゾール、2−メチルイミダゾール・イソシアヌル酸付加物、
の観点からは、本発明の組成物中のエポキシ基含有化合物の合計100質量部に対し、0.1〜10質量部の範囲内で配合することが好ましく、より好ましくは1〜7.0質量部である。配合量が0.1質量部未満では短時間で硬化させることが困難であり、10質量部を超えると組成物を硬化して得られる硬化物の電気絶縁特性や耐水性を悪化させてしまう場合がある。
本発明の硬化性組成物に含有させることができる重合開始剤は、一般式(I)で表されるエポキシ基含有エステル化合物より硬化物を得ることができるものであれば特に限定されるものではない。通常の脂環式エポキシ基を有する化合物と同様に、カチオン重合開始剤を用いてカチオン重合を行なうことにより硬化物を得ることができる。
、ビス[4−(ジフェニルスルホニオ)フェニル]スルフィド ビスヘキサフルオロアン
チモネート、ビス[4−(ジフェニルスルホニオ)フェニル]スルフィド ビステトラフ
ルオロボレート、ビス[4−(ジフェニルスルホニオ)フェニル]スルフィド テトラキ
ス(ペンタフルオロフェニル)ボレート、ジフェニル−4−(フェニルチオ)フェニルスルホニウム ヘキサフルオロホスフェート、ジフェニル−4−(フェニルチオ)フェニル
スルホニウム ヘキサフルオロアンチモネート、ジフェニル−4−(フェニルチオ)フェ
ニルスルホニウム テトラフルオロボレート、ジフェニル−4−(フェニルチオ)フェニ
ルスルホニウム テトラキス(ペンタフルオロフェニル)ボレート、トリフェニルスルホ
ニウムヘキサフルオロホスフェート、トリフェニルスルホニウムヘキサフルオロアンチモネート、トリフェニルスルホニウムテトラフルオロボレート、トリフェニルスルホニウムテトラキス(ペンタフルオロフェニル)ボレート、ビス[4−(ジ(4−(2−ヒドロキシエトキシ))フェニルスルホニオ)フェニル]スルフィド ビスヘキサフルオロホスフ
ェート、ビス[4−(ジ(4−(2−ヒドロキシエトキシ))フェニルスルホニオ)フェニル]スルフィド ビスヘキサフルオロアンチモネート、ビス[4−(ジ(4−(2−ヒ
ドロキシエトキシ))フェニルスルホニオ)フェニル]スルフィド ビステトラフルオロ
ボレート、ビス[4−(ジ(4−(2−ヒドロキシエトキシ))フェニルスルホニオ)フェニル]スルフィド テトラキス(ペンタフルオロフェニル)ボレート等が、ヨードニウ
ム塩には、ジフェニルヨードニウム ヘキサフルオロホスフェート、ジフェニルヨードニ
ウム ヘキサフルオロアンチモネート、ジフェニルヨードニウム テトラフルオロボレート、ジフェニルヨードニウム テトラキス(ペンタフルオロフェニル)ボレート、ビス(ド
デシルフェニル)ヨードニウムヘキサフルオロホスフェート、ビス(ドデシルフェニル)ヨードニウム ヘキサフルオロアンチモネート、ビス(ドデシルフェニル)ヨードニウム テトラフルオロボレート、ビス(ドデシルフェニル)ヨードニウム テトラキス(ペンタ
フルオロフェニル)ボレート、4−メチルフェニル−4−(1−メチルエチル)フェニルヨードニウム ヘキサフルオロホスフェート、4−メチルフェニル−4−(1−メチルエ
チル)フェニルヨードニウム ヘキサフルオロアンチモネート、4−メチルフェニル−4
−(1−メチルエチル)フェニルヨードニウム テトラフルオロボレート、
ペンタフルオロフェニル)ボレート等、ジアゾニウム塩には、フェニルジアゾニウム ヘ
キサフルオロホスフェート、フェニルジアゾニウム ヘキサフルオロアンチモネート、フ
ェニルジアゾニウム テトラフルオロボレート、フェニルジアゾニウム テトラキス(ペンタフルオロフェニル)ボレート等が、アンモニウム塩には、1−ベンジル−2−シアノピリジニウム ヘキサフルオロホスフェート、1−ベンジル−2−シアノピリジニウム ヘキサフルオロアンチモネート、1−ベンジル−2−シアノピリジニウム テトラフルオロボ
レート、1−ベンジル−2−シアノピリジニウム テトラキス(ペンタフルオロフェニル
)ボレート、1−(ナフチルメチル)−2−シアノピリジニウム ヘキサフルオロホスフ
ェート、1−(ナフチルメチル)−2−シアノピリジニウムヘキサフルオロアンチモネート、1−(ナフチルメチル)−2−シアノピリジニウム テトラフルオロボレート、1−
(ナフチルメチル)−2−シアノピリジニウム テトラキス(ペンタフルオロフェニル)
ボレート等、(2,4−シクロペンタジエン−1−イル)[(1−メチルエチル)ベンゼン]−Fe塩には、(2,4−シクロペンタジエン−1−イル)[(1−メチルエチル)ベンゼン]−Fe(II)ヘキサフルオロホスフェート、(2,4−シクロペンタジエン−1−イル)[(1−メチルエチル)ベンゼン]−Fe(II)ヘキサフルオロアンチモネート、2,4−シクロペンタジエン−1−イル)[(1−メチルエチル)ベンゼン]−Fe(II)テトラフルオロボレート、2,4−シクロペンタジエン−1−イル)[(1−メチルエチル)ベンゼン]−Fe(II)テトラキス(ペンタフルオロフェニル)ボレート等が挙げられる。
シクロアルキル基、炭素数3〜12のアルケニル基、炭素数6〜12のアリール基、炭素数7〜12のアラルキル基、又は炭素数1〜20のアルコキシ基であり、さらに、置換基を有していてもよい。また、R9〜R12のうちの2個が互いに結合して、N、P、O、又
はS原子を含む複素環を形成していてもよい。X-は対イオンを表し、BF4 -、AsF6 -
、SbF6 -、SbCl6 -、(C6F5)4B-、SbF5(OH)-、HSO4 -、p−CH3C6H4SO3 -、HCO3 -、H2PO4 -、CH3CO2 -、ハロゲンイオン(Cl-、Br-、I-等)などから選ばれる。
、SbF6 -、SbCl6 -、(C6F5)4B-、SbF5(OH)-、HSO4 -、p−CH3C6
H4SO3 -、HCO3 -、H2PO4 -、CH3CO2 -、ハロゲンイオン(Cl-、Br-、I-等)などから選ばれる。
、SbF6 -、SbCl6 -、(C6F5)4B-、SbF5(OH)-、HSO4 -、p−CH3C6H4SO3 -、HCO3 -、H2PO4 -、CH3CO2 -、ハロゲンイオン(Cl-、Br-、I-等)などから選ばれる。
)4B-、SbF5(OH)-、HSO4 -、p−CH3C6H4SO3 -、HCO3 -、H2PO4 -、CH3CO2 -、ハロゲンイオン(Cl-、Br-、I-等)などから選ばれる。
挙げられる。
られた硬化物は、電気絶縁特性が良好である。
/cm2、好ましくは100mJ/cm2〜1500mJ/cm2である。
このような方法によって得られた硬化物は、電気絶縁特性の良好な硬化物である。
<エポキシ当量の測定>
エポキシ当量の測定はJIS K7236に準拠して測定した。
攪拌機、温度計および精留塔のついた1000ml三ッ口丸底フラスコに3,4−エポキシシクロヘキサン−1−カルボン酸アリル 600.0g(3.29モル)、トリシク
ロ[5.2.1.02,6]デカンジメタノール323.2g(1.65モル)及びジブチ
ル錫オキサイド 1.84gを入れ、窒素気流下、130℃に調節した油浴により加熱し
反応を行った。反応の進行とともに、生成してくるアリルアルコールを精留塔から留出させて300mlナス型フラスコで取得し、反応進行に伴い、徐々に1000ml三ッ口丸底フラスコ内を減圧にして行き、10時間反応を行った。アリルアルコールの留出量は、180g(理論量の92.1%)であった。反応終了後、400Paにして未反応の3,4−エポキシシクロヘキサン−1−カルボン酸アリルを留去して、淡黄色粘稠液状の生成
物(以下「生成物A1」とも記す。)を得た。
物A1のGC分析により、5.8質量%の3,4−エポキシシクロヘキサン−1−カルボン酸アリルが残存していることを確認した。生成物A1のエポキシ当量は250.5g/eqVであった。
使用)によって分析したところ、生成物A1のうち78.0質量%が構造式(1)で表される化合物、16.2質量%が構造式(16)で表される化合物であった。生成物A1の1H−NMR(溶媒:CDCl3)及びIRスペクトルを、それぞれ図1及び図2に記す。
素が該当プロトンであることを意味する)。
4.6ppm(未反応の3,4−エポキシシクロヘキサン−1−カルボン酸アリルのCH2=CHCH 2OCO−)、
3.3〜3.6ppm(構造式(16)で表される化合物の−CH 2OH)、
3.81〜4.26ppm(−CH 2OCO−)、
3.16〜3.26ppm(3,4−エポキシシクロヘキサン環(構造式(17))のH)
の >CH−、−CH 2− 及び 3,4−エポキシシクロヘキサン環(構造式(18))の
H)
3530cm-1付近の吸収帯(OH伸縮)
2946cm-1付近及び2876cm-1付近の吸収帯(CH2伸縮)
1731cm-1付近の吸収帯(カルボン酸エステルC=O伸縮)
1456cm-1付近及び1437cm-1付近の吸収帯(CH2変角)
1137cm-1付近の吸収帯(カルボン酸エステルのC−O伸縮)
(実施合成例A−2)
攪拌機、温度計および精留塔のついた2000ml三ッ口丸底フラスコに3,4−エポキシシクロヘキサン−1−カルボン酸アリル 669.9g(3.68モル)、水添ダイ
マージオール(コグニス社製 商品名:Sovermol908 水酸基価209mgKOH/g) 886.8g及びジブチル錫オキサイド 3.16gを入れ、130℃に調節した油浴により加熱し反応を行った。反応の進行とともに、生成してくるアリルアルコールを精留塔から留出させて500mlナス型フラスコで取得し、反応進行に伴い、徐々に2000ml三ッ口丸底フラスコ内を減圧にし、8時間反応を行った。アリルアルコールの留出量は、191.0g(理論量の99.6%)であった。反応終了後、400Paにして未反応の3,4−エポキシシクロヘキサン−1−カルボン酸アリルを留去して、淡黄色粘稠液状の生成物(以下「生成物A2」とも記す。)を得た。
が両末端とも3,4−エポキシシクロヘキサン−1−カルボキシレートに交換された化合物(構造式(2))、0.9質量%は片末端が水酸基のままで他の片末端が3,4−エポキシシクロヘキサン−1−カルボキシレートになっている化合物であった。生成物A2の1H−NMR(溶媒:CDCl3)及びIRスペクトルを、それぞれ図3及び図4に記す。
素が該当プロトンであることを意味する)。
4.6ppm(未反応の3,4−エポキシシクロヘキサン−1−カルボン酸アリルの
CH2=CHCH 2OCO−)、
3.6ppm(水添ダイマージオールのモノ3,4−エポキシシクロヘキサン−1−カ
ルボキシレートのCH 2OH)、
4.05ppm(−CH 2OCO−)、
3.16〜3.23ppm(3,4−エポキシシクロヘキサン環(構造式(17)のH)
0.84〜2.54ppm(水添ダイマージオ−ル由来のアルキレンのCH、CH2及
び3,4−エポキシシクロヘキサン環(構造式(18))のH)
また、IRスペクトルの主な帰属は以下の通りである。
2926cm-1付近及び2854cm-1付近の吸収帯(CH2伸縮)
1734cm-1付近の吸収帯(カルボン酸エステルのC=O伸縮)
1459cm-1付近及び1434cm-1付近の吸収帯(CH2変角)
1172cm-1付近の吸収帯(カルボン酸エステルのC−O伸縮)
(実施合成例A−3)
攪拌機、温度計および精留塔のついた2000ml三ッ口丸底フラスコに3,4−エポキシシクロヘキサン−1−カルボン酸アリル 500.0g(2.74モル)、炭素数9
のアルカンジオールを原料としたポリカーボネートジオール((株)クラレ社製 商品名:クラレポリオールC−1015N 水酸基価116.4mgKOH/g)1300g及びジブチル錫オキサイド 3.60gを入れ、窒素気流下、130℃に調節した油浴によ
り加熱し反応を行った。反応の進行とともに、生成してくるアリルアルコールを精留塔から留出させて300mlナス型フラスコで取得し、反応進行に伴い、徐々に2000ml三ッ口丸底フラスコ内を減圧にして行き、8時間反応を行った。アリルアルコールの留出量は、155.2g(理論量の99.1%)であった。反応終了後、400Paにして未反応の3,4−エポキシシクロヘキサン−1−カルボン酸アリルを留去して、淡黄色粘稠液状の生成物(以下「生成物A3」とも記す。)を得た。
使用)によって分析したところ、生成物A3のうち94.7質量%が構造式(3)で表される化合物、3.5質量%が構造式(19)で表される化合物であった。生成物A3の1
H−NMR(溶媒:CDCl3)及びIRスペクトルを、それぞれ図5及び図6に記す。
素が該当プロトンであることを意味する。)。
4.6ppm(未反応の3,4−エポキシシクロヘキサン−1−カルボン酸アリルのCH2=CHCH 2OCO−)、
3.87〜4.13ppm(−CH 2OCO−、−CH 2OCOOCH 2−)、
3.6〜3.7ppm(構造式(19)で表される化合物の−CH 2OH)、
3.16〜3.25ppm(3,4−エポキシシクロヘキサン環(構造式(17))のH)
1.17〜2.53ppm(ポリ(アルキレンカーボネート)構造単位中の−CH2−
CH(CH3)−CH2、−CH2−CH 2−CH2−、−CH(CH3)−CH 2−CH2−及び3,4−エポキシシクロヘキサン環(構造式(18))のH)
0.93〜0.96ppm(ポリ(アルキレンカーボネート)構造単位中の−CH(CH 3)−)
また、IRスペクトルの主な帰属は以下の通りである。
2932cm-1付近及び2857cm-1付近の吸収帯(CH2伸縮)
1744cm-1付近の吸収帯(カーボネート部分のC=O伸縮)
1258cm-1付近の吸収帯(カーボネート部分のC−O伸縮)
(比較合成例A−1)
攪拌機、温度計および精留塔のついた2000mlセパラブルフラスコに3,4−エポキシシクロヘキサン−1−カルボン酸アリル1555.03g(8.53モル)、1,4−ブタンジオール384.70g(4.27モル)及びジブチル錫オキサイド 3.86
gを入れ、フラスコ内の内温が127〜128℃になるように油浴を調整して加熱し反応を行った。反応の進行とともに、生成してくるアリルアルコールを精留塔から留出させて500mlナス型フラスコで取得し、反応進行に伴い、徐々にフラスコ内を、液体窒素トラップを介して接続したダイヤフラムポンプを用いて減圧にし、5時間反応を行った。アリルアルコールの留出量は、456.7g(理論量の92.1%)であった。反応終了後、400Paにして未反応の3,4−エポキシシクロヘキサン−1−カルボン酸アリルを留去し、淡赤褐色粘調液体の生成物(以下「生成物A4」とも記す。)を得た。
0)で表される化合物、3.7質量%が構造式(21)で表される化合物であることが確認された。
生成物A1 100g、カチオン重合開始剤(三新化学工業(株)製 商品名;サンエ
イドSI−100L)1.00g、シリコーン系消泡剤(商品名:TSA750S、GE・東芝シリコーン(株)社製)1.40gを混合し、ハイブリッドミキサー(グレード名:HM−500(株)キーエンス製)で5分間撹拌、10分間脱泡処理を行った。この配合物を配合組成B1とした。
表1に示す配合組成に従って配合し、ハイブリッドミキサー(グレード名:HM−500(株)キーエンス製)で5分間撹拌、10分間脱泡処理することのより、配合物を調整した。実施配合例2〜6で調整した配合物を、それぞれ配合組成B2〜B6とし、比較配合例1〜4で調整した配合物を、それぞれ、比較配合組成B1〜B4とした。なお、表1中に記載の実施配合例1〜6及び比較配合例1〜4の各成分の数字の単位は「g」である。
フレキシブル銅張り積層板(商品名:UPISEL−N BE1310(グレード名)、宇部興産(株)製)をエッチングして製造した櫛形基板(銅配線幅/銅配線間幅=50μm/50μm)に、上記配合組成B1を、ガラス棒を用いて、50μmの厚さ(乾燥後)になるように塗布(配線接続部は除く)した。その後、熱風循環式乾燥機を用いて、100℃×1時間、120℃×1時間、150℃×1時間と、段階的に温度を上げて硬化させ、試験片を得た。
た櫛形基板(銅配線幅/銅配線間幅=50μm/50μm)に、配合組成B2〜B6及び比較配合組成B1〜B4を、ガラス棒を用いて、50μmの厚さ(乾燥後)になるように塗布(配線接続部は除く)し、表2に示す温度及び時間で、熱風循環式乾燥機を用いて硬化させ、試験片を得た。
Claims (15)
- 前記一般式(I)中のR1が、トリシクロ[5.2.1.02,6]デカンジメタノールから誘導される有機残基であることを特徴とする請求項1に記載の硬化性組成物。
- 前記一般式(I)中のR1が、ダイマージオールから誘導される有機残基であることを
特徴とする請求項1に記載の硬化性組成物。 - 前記一般式(I)中のR1が、炭素数9以上の分岐構造及び/又は環状構造を有するア
ルカンジオール由来の構造単位を有する(ポリ)カーボネートポリオールから誘導される有機残基であることを特徴とする請求項1に記載の硬化性組成物。 - 硬化剤または重合開始剤のいずれかをさらに含有することを特徴とする請求項1〜4のいずれか1項に記載の硬化性組成物。
- 前記炭素数9以上の分岐構造及び/又は環状構造を有する飽和炭化水素鎖を含みかつ炭素数の総計が12以上である多価アルコールが、トリシクロ[5.2.1.02,6]デカ
ンジメタノールであることを特徴とする請求項6に記載の硬化性組成物の製造方法。 - 前記炭素数9以上の分岐構造及び/又は環状構造を有する飽和炭化水素鎖を含みかつ炭素数の総計が12以上である多価アルコールが、ダイマージオールであることを特徴とする請求項6に記載の硬化性組成物の製造方法。
- 前記炭素数9以上の分岐構造及び/又は環状構造を有する飽和炭化水素鎖を含みかつ炭素数の総計が12以上である多価アルコールが、炭素数9以上の分岐構造及び/又は環状構造を有するアルカンジオール由来の構造単位を有する(ポリ)カーボネートポリオールであることを特徴とする請求項6に記載の硬化性組成物の製造方法。
- 前記エステル交換触媒が、ジアルキル錫オキサイド、テトラアルキルチタネート及び金属アセチルアセトナート錯体の群の中から選ばれる少なくとも1種以上の化合物であることを特徴とする請求項6〜9のいずれか1項に記載の硬化性組成物の製造方法。
- 前記エステル交換触媒が、ジブチル錫オキサイド又はジオクチル錫オキサイドであることを特徴とする請求項6〜9のいずれか1項に記載の硬化性組成物の製造方法。
- 前記エステル交換触媒の使用量が、脂環式エポキシ基含有カルボン酸エステルと炭素数9以上の分岐構造及び/又は環状構造を有する飽和炭化水素鎖を含みかつ炭素数の総計が12以上である多価アルコールの総量に対して、0.01〜3.0質量%であることを特徴とする請求項6〜11のいずれか1項に記載の硬化性組成物の製造方法。
Priority Applications (1)
| Application Number | Priority Date | Filing Date | Title |
|---|---|---|---|
| JP2008168620A JP5213547B2 (ja) | 2008-06-27 | 2008-06-27 | エポキシ基含有エステル化合物を含む硬化性組成物、該組成物の製造方法およびエポキシ基含有エステル化合物 |
Applications Claiming Priority (1)
| Application Number | Priority Date | Filing Date | Title |
|---|---|---|---|
| JP2008168620A JP5213547B2 (ja) | 2008-06-27 | 2008-06-27 | エポキシ基含有エステル化合物を含む硬化性組成物、該組成物の製造方法およびエポキシ基含有エステル化合物 |
Related Child Applications (1)
| Application Number | Title | Priority Date | Filing Date |
|---|---|---|---|
| JP2013035764A Division JP5642820B2 (ja) | 2013-02-26 | 2013-02-26 | エポキシ基含有エステル化合物を含む硬化性組成物、該組成物の製造方法およびエポキシ基含有エステル化合物 |
Publications (2)
| Publication Number | Publication Date |
|---|---|
| JP2010006970A true JP2010006970A (ja) | 2010-01-14 |
| JP5213547B2 JP5213547B2 (ja) | 2013-06-19 |
Family
ID=41587816
Family Applications (1)
| Application Number | Title | Priority Date | Filing Date |
|---|---|---|---|
| JP2008168620A Expired - Fee Related JP5213547B2 (ja) | 2008-06-27 | 2008-06-27 | エポキシ基含有エステル化合物を含む硬化性組成物、該組成物の製造方法およびエポキシ基含有エステル化合物 |
Country Status (1)
| Country | Link |
|---|---|
| JP (1) | JP5213547B2 (ja) |
Cited By (4)
| Publication number | Priority date | Publication date | Assignee | Title |
|---|---|---|---|---|
| WO2011043474A1 (ja) * | 2009-10-09 | 2011-04-14 | 日本化薬株式会社 | 硬化性樹脂組成物、及びその硬化物 |
| JP2011246531A (ja) * | 2010-05-25 | 2011-12-08 | Nippon Kayaku Co Ltd | 硬化性樹脂組成物、及びその硬化物 |
| WO2013187577A1 (ko) * | 2012-06-15 | 2013-12-19 | 제일모직 주식회사 | 광경화 조성물, 이를 포함하는 장벽층 및 이를 포함하는 봉지화된 장치 |
| JPWO2014156924A1 (ja) * | 2013-03-29 | 2017-02-16 | コニカミノルタ株式会社 | 画像形成装置 |
Citations (5)
| Publication number | Priority date | Publication date | Assignee | Title |
|---|---|---|---|---|
| JPS5138705A (ja) * | 1974-09-30 | 1976-03-31 | Komatsu Mfg Co Ltd | Jibankutsusakusochi |
| JPH05170753A (ja) * | 1990-09-28 | 1993-07-09 | Union Carbide Chem & Plast Co Inc | シクロ脂肪族エポキシドを製造するためのエステル交換方法 |
| US20060158491A1 (en) * | 2005-01-14 | 2006-07-20 | Xerox Corporation | Ink jet of functionalized waxes |
| JP2009242389A (ja) * | 2008-03-14 | 2009-10-22 | Nippon Kayaku Co Ltd | ジオレフィン化合物、エポキシ樹脂、及び硬化性樹脂組成物 |
| JP2010006754A (ja) * | 2008-06-27 | 2010-01-14 | Showa Denko Kk | 脂環式エポキシ基含有エステル化合物の製造方法 |
-
2008
- 2008-06-27 JP JP2008168620A patent/JP5213547B2/ja not_active Expired - Fee Related
Patent Citations (5)
| Publication number | Priority date | Publication date | Assignee | Title |
|---|---|---|---|---|
| JPS5138705A (ja) * | 1974-09-30 | 1976-03-31 | Komatsu Mfg Co Ltd | Jibankutsusakusochi |
| JPH05170753A (ja) * | 1990-09-28 | 1993-07-09 | Union Carbide Chem & Plast Co Inc | シクロ脂肪族エポキシドを製造するためのエステル交換方法 |
| US20060158491A1 (en) * | 2005-01-14 | 2006-07-20 | Xerox Corporation | Ink jet of functionalized waxes |
| JP2009242389A (ja) * | 2008-03-14 | 2009-10-22 | Nippon Kayaku Co Ltd | ジオレフィン化合物、エポキシ樹脂、及び硬化性樹脂組成物 |
| JP2010006754A (ja) * | 2008-06-27 | 2010-01-14 | Showa Denko Kk | 脂環式エポキシ基含有エステル化合物の製造方法 |
Cited By (7)
| Publication number | Priority date | Publication date | Assignee | Title |
|---|---|---|---|---|
| WO2011043474A1 (ja) * | 2009-10-09 | 2011-04-14 | 日本化薬株式会社 | 硬化性樹脂組成物、及びその硬化物 |
| JP5519685B2 (ja) * | 2009-10-09 | 2014-06-11 | 日本化薬株式会社 | 硬化性樹脂組成物、及びその硬化物 |
| JP2011246531A (ja) * | 2010-05-25 | 2011-12-08 | Nippon Kayaku Co Ltd | 硬化性樹脂組成物、及びその硬化物 |
| TWI492958B (zh) * | 2010-05-25 | 2015-07-21 | 日本化藥股份有限公司 | Hardened resin composition and hardened product thereof |
| WO2013187577A1 (ko) * | 2012-06-15 | 2013-12-19 | 제일모직 주식회사 | 광경화 조성물, 이를 포함하는 장벽층 및 이를 포함하는 봉지화된 장치 |
| US9562123B2 (en) | 2012-06-15 | 2017-02-07 | Cheil Industries, Inc. | Photocurable composition, barrier layer including same, and encapsulated device including same |
| JPWO2014156924A1 (ja) * | 2013-03-29 | 2017-02-16 | コニカミノルタ株式会社 | 画像形成装置 |
Also Published As
| Publication number | Publication date |
|---|---|
| JP5213547B2 (ja) | 2013-06-19 |
Similar Documents
| Publication | Publication Date | Title |
|---|---|---|
| JP6949821B2 (ja) | 硬化性組成物およびこれを硬化させた硬化物 | |
| KR102344209B1 (ko) | 에폭시 화합물, 경화성 조성물, 경화물, 에폭시 화합물의 제조 방법 및 반응성 희석제 | |
| JP6893921B2 (ja) | エポキシ化合物、これを含む硬化性組成物および硬化性組成物を硬化させた硬化物 | |
| TWI730065B (zh) | 環氧化合物、硬化性組合物、硬化物、環氧化合物之製造方法及反應性稀釋劑 | |
| TW202104199A (zh) | 脂環式環氧化合物製品 | |
| JP5855001B2 (ja) | エポキシシリコーン縮合物、該縮合物を含む硬化性組成物およびその硬化物 | |
| JP5213547B2 (ja) | エポキシ基含有エステル化合物を含む硬化性組成物、該組成物の製造方法およびエポキシ基含有エステル化合物 | |
| JPWO2014181787A1 (ja) | 硬化性エポキシ樹脂組成物及びその硬化物、ジオレフィン化合物及びその製造方法、並びにジエポキシ化合物の製造方法 | |
| JP5000261B2 (ja) | エポキシ樹脂組成物及びエポキシ樹脂硬化物 | |
| EP3623404A1 (en) | Composition for forming insulating film, insulating film, and semiconductor device including insulating film | |
| JP2007326988A (ja) | エポキシ樹脂組成物 | |
| KR20210151819A (ko) | 경화성 조성물 및 그의 경화물 | |
| KR102304633B1 (ko) | 에폭시 화합물, 이것을 포함하는 경화성 조성물 및 경화성 조성물을 경화시킨 경화물 | |
| JP6644659B2 (ja) | エポキシ化合物、硬化性組成物、硬化物、エポキシ化合物の製造方法および反応性希釈剤 | |
| JP5387638B2 (ja) | エポキシ樹脂組成物 | |
| JP5642820B2 (ja) | エポキシ基含有エステル化合物を含む硬化性組成物、該組成物の製造方法およびエポキシ基含有エステル化合物 | |
| JP6171284B2 (ja) | 高純度脂環式ジエポキシ化合物、硬化性エポキシ樹脂組成物、硬化物、透明封止材料および発光素子 | |
| JP6921627B2 (ja) | エポキシ化合物、これを含む硬化性組成物および硬化性組成物を硬化させた硬化物 | |
| JP2023145203A (ja) | エポキシ化合物、硬化性組成物および硬化物 | |
| JP2023145207A (ja) | エポキシ化合物、硬化性組成物および硬化物 | |
| JP2025006978A (ja) | エポキシ樹脂およびその製造方法、並びにエポキシ樹脂組成物 | |
| JP2013028790A (ja) | 高純度脂環式ジエポキシ化合物、硬化性エポキシ樹脂組成物、硬化物、透明封止材料及び発光素子 | |
| JP2020180295A (ja) | エポキシ化合物、これを含む硬化性組成物および硬化性組成物を硬化させた硬化物 | |
| JP2020083954A (ja) | ジエポキシ化合物、これを含む硬化性組成物および硬化性組成物を硬化させた硬化物 |
Legal Events
| Date | Code | Title | Description |
|---|---|---|---|
| A621 | Written request for application examination |
Free format text: JAPANESE INTERMEDIATE CODE: A621 Effective date: 20110420 |
|
| RD02 | Notification of acceptance of power of attorney |
Free format text: JAPANESE INTERMEDIATE CODE: A7422 Effective date: 20120227 |
|
| A977 | Report on retrieval |
Free format text: JAPANESE INTERMEDIATE CODE: A971007 Effective date: 20120910 |
|
| A131 | Notification of reasons for refusal |
Free format text: JAPANESE INTERMEDIATE CODE: A131 Effective date: 20120918 |
|
| A521 | Written amendment |
Free format text: JAPANESE INTERMEDIATE CODE: A523 Effective date: 20121114 |
|
| TRDD | Decision of grant or rejection written | ||
| A01 | Written decision to grant a patent or to grant a registration (utility model) |
Free format text: JAPANESE INTERMEDIATE CODE: A01 Effective date: 20130205 |
|
| A61 | First payment of annual fees (during grant procedure) |
Free format text: JAPANESE INTERMEDIATE CODE: A61 Effective date: 20130226 |
|
| R150 | Certificate of patent or registration of utility model |
Free format text: JAPANESE INTERMEDIATE CODE: R150 |
|
| FPAY | Renewal fee payment (event date is renewal date of database) |
Free format text: PAYMENT UNTIL: 20160308 Year of fee payment: 3 |
|
| LAPS | Cancellation because of no payment of annual fees |
