JP2005293937A - 導電性ito膜上、あるいは導電性ito膜の下地基板とするガラス基板表面上への金属薄膜層の形成方法、および該方法による導電性ito膜上、あるいは導電性ito膜の下地基板とするガラス基板表面上の金属薄膜層 - Google Patents
導電性ito膜上、あるいは導電性ito膜の下地基板とするガラス基板表面上への金属薄膜層の形成方法、および該方法による導電性ito膜上、あるいは導電性ito膜の下地基板とするガラス基板表面上の金属薄膜層 Download PDFInfo
- Publication number
- JP2005293937A JP2005293937A JP2004104791A JP2004104791A JP2005293937A JP 2005293937 A JP2005293937 A JP 2005293937A JP 2004104791 A JP2004104791 A JP 2004104791A JP 2004104791 A JP2004104791 A JP 2004104791A JP 2005293937 A JP2005293937 A JP 2005293937A
- Authority
- JP
- Japan
- Prior art keywords
- metal
- thin film
- ito film
- transition metal
- layer
- Prior art date
- Legal status (The legal status is an assumption and is not a legal conclusion. Google has not performed a legal analysis and makes no representation as to the accuracy of the status listed.)
- Granted
Links
Landscapes
- Liquid Crystal (AREA)
- Surface Treatment Of Glass (AREA)
- Non-Insulated Conductors (AREA)
- Manufacturing Of Electric Cables (AREA)
Abstract
【解決手段】 ITO膜、ならびに下地基板のガラス基板表面に、有機物アニオン種ならびに遷移金属のカチオン種を含む、遷移金属化合物を有機溶媒中に溶解した溶液を塗布し、加熱処理を施して、該遷移金属の薄膜層を生成する。この遷移金属薄膜層表面に、平均粒子径が1〜100nmの範囲に選択される金属微粒子の分散液を所定の膜厚塗布し、加熱焼成によって金属微粒子相互の焼結体層を形成することで、密着性に優れる、微細な金属薄膜パターンを形成する。
【選択図】 なし
Description
導電性ITO膜上、あるいは前記導電性ITO膜の下地基板とするガラス基板表面上に金属薄膜層を形成する方法であって、
前記金属薄膜層は、平均粒子径が1〜100nmの範囲に選択される、金属微粒子相互の焼結体層からなる、良導電性の薄膜層であり、
前記ITO膜表面、あるいは前記導電性ITO膜の下地基板とするガラス基板表面に対して、前記金属微粒子相互の焼結体層は、該金属ならびにITO膜、ガラス基板表面の双方に対して密着性を示す遷移金属薄膜層を介して、形成されており、
前記ITO膜表面、あるいは前記導電性ITO膜の下地基板とするガラス基板表面に、有機物アニオン種ならびに前記遷移金属のカチオン種を含む、該遷移金属化合物を有機溶媒中に溶解した溶液を、所定の膜厚塗布する工程と、
前記遷移金属化合物溶液の塗布膜層に加熱処理を施し、該遷移金属の薄膜層を生成する工程と、
前記ITO膜表面、あるいは前記導電性ITO膜の下地基板とするガラス基板表面上の遷移金属薄膜層表面に、前記平均粒子径が1〜100nmの範囲に選択される金属微粒子の分散液を所定の膜厚塗布する工程と、
該金属微粒子分散液の塗布膜層に加熱処理を施し、加熱焼成によって金属微粒子相互の焼結体層を形成する工程とを含む
ことを特徴とする導電性ITO膜、あるいは前記導電性ITO膜の下地基板とするガラス基板表面上の金属薄膜層の形成方法である。
すなわち、本発明にかかる導電性ITO膜、あるいは前記導電性ITO膜の下地基板とするガラス基板表面上に形成された金属薄膜層は、
導電性ITO膜、あるいは前記導電性ITO膜の下地基板とするガラス基板表面上に形成された金属薄膜層であって、
前記金属薄膜層は、平均粒子径が1〜100nmの範囲に選択される、金属微粒子相互の焼結体層からなる、良導電性の薄膜層であり、
前記ITO膜表面、あるいは前記導電性ITO膜の下地基板とするガラス基板表面に対して、前記金属微粒子相互の焼結体層は、該金属ならびにITO膜、ガラス基板表面の双方に対して密着性を示す遷移金属薄膜層を介して、形成されており、
該遷移金属薄膜層は、
前記ITO膜表面、あるいは前記導電性ITO膜の下地基板とするガラス基板表面に、有機物アニオン種ならびに前記遷移金属のカチオン種を含む、該遷移金属化合物を有機溶媒中に溶解した溶液を、所定の膜厚塗布し、
前記遷移金属化合物溶液の塗布膜層に加熱処理を施し、該遷移金属の薄膜層を生成することにより形成され、
前記金属微粒子相互の焼結体層は、
前記ITO膜表面、あるいは前記導電性ITO膜の下地基板とするガラス基板表面上の遷移金属薄膜層表面に、前記平均粒子径が1〜100nmの範囲に選択される金属微粒子の分散液を所定の膜厚塗布し、
該金属微粒子分散液の塗布膜層に加熱処理を施し、加熱焼成によって金属微粒子相互の焼結を行うことにより形成されている
ことを特徴とする導電性ITO膜、あるいは前記導電性ITO膜の下地基板とするガラス基板表面上に形成された金属薄膜層である。その際、
前記遷移金属薄膜層の形成に利用される、遷移金属化合物中に含まれる遷移金属種は、チタン、バナジウム、クロム、マンガンからなる群から選択される遷移金属であることが好ましい。また、
前記遷移金属化合物の塗布膜層に加熱処理を施して生成される、遷移金属薄膜層の膜厚は、0.03μm〜0.5μmの範囲に選択されることが望ましい。なお、前記遷移金属薄膜層の形成に利用される、前記遷移金属化合物は、有機酸由来の有機物アニオン種を含んでなる有機酸の該遷移金属塩、または、有機物アニオン種を配位子とする該遷移金属の錯化合物であると好適である。
例えば、本発明にかかる金属薄膜を利用する、ITO基板上への電子部品の実装方法は、
下地基板とするガラス基板表面上に形成されている、導電性ITO膜からなる透明電極層を有するITO基板上に、電子部品を導電性ITO膜、あるいは前記導電性ITO膜の下地基板とするガラス基板表面上の金属薄膜との導電性接合を介して実装する方法であって、
前記導電性ITO膜上、あるいは前記導電性ITO膜の下地基板とするガラス基板表面上の金属薄膜層への電子部品の実装は、
前記導電性ITO膜、あるいは前記導電性ITO膜の下地基板とするガラス基板表面上に形成されている金属薄膜と、前記電子部品に設ける接合用金属バンプとを超音波接合法により接合することにより行い、
前記接合に供する、導電性ITO膜、あるいは前記導電性ITO膜の下地基板とするガラス基板表面上に形成されている金属薄膜は、上述する構成を有する、本発明にかかる金属薄膜の形成方法によって作製されている
ことを特徴とするITO基板上への電子部品の実装方法とすることも可能である。
マンガン(II)のアセチルアセナト錯体:
(実施例2)
マンガン(II)のカルボン酸塩:
(実施例3)
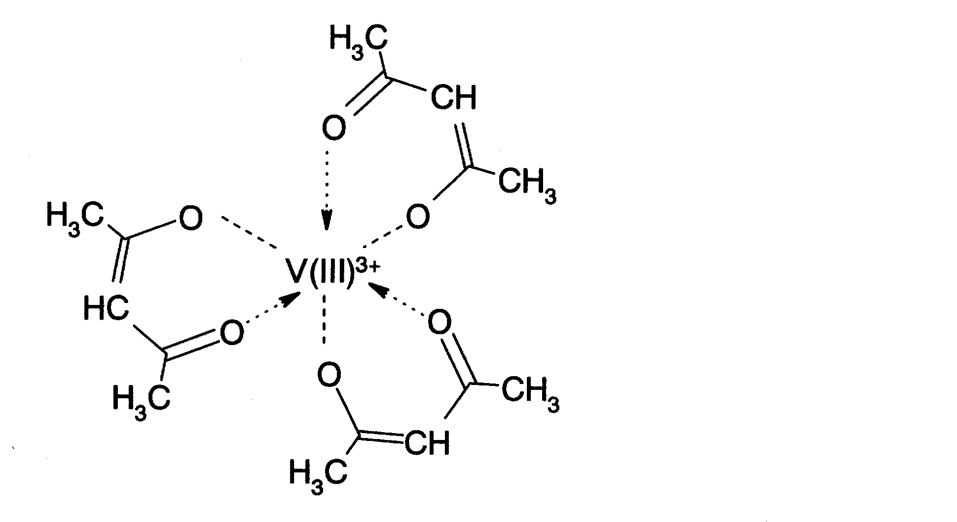
八面体6配位のバナジウム(III)のアセチルアセナト型錯体:
Claims (11)
- 導電性ITO膜上、あるいは前記導電性ITO膜の下地基板とするガラス基板表面上に金属薄膜層を形成する方法であって、
前記金属薄膜層は、平均粒子径が1〜100nmの範囲に選択される、金属微粒子相互の焼結体層からなる、良導電性の薄膜層であり、
前記ITO膜表面、あるいは前記導電性ITO膜の下地基板とするガラス基板表面に対して、前記金属微粒子相互の焼結体層は、該金属ならびにITO膜、ガラス基板表面の双方に対して密着性を示す遷移金属薄膜層を介して、形成されており、
前記ITO膜表面、あるいは前記導電性ITO膜の下地基板とするガラス基板表面に、有機物アニオン種ならびに前記遷移金属のカチオン種を含む、該遷移金属化合物を有機溶媒中に溶解した溶液を、所定の膜厚塗布する工程と、
前記遷移金属化合物溶液の塗布膜層に加熱処理を施し、該遷移金属の薄膜層を生成する工程と、
前記ITO膜表面、あるいは前記導電性ITO膜の下地基板とするガラス基板表面上の遷移金属薄膜層表面に、前記平均粒子径が1〜100nmの範囲に選択される金属微粒子の分散液を所定の膜厚塗布する工程と、
該金属微粒子分散液の塗布膜層に加熱処理を施し、加熱焼成によって金属微粒子相互の焼結体層を形成する工程とを含む
ことを特徴とする導電性ITO膜上、あるいは前記導電性ITO膜の下地基板とするガラス基板表面上の金属薄膜層の形成方法。 - 前記遷移金属化合物中に含まれる遷移金属種は、チタン、バナジウム、クロム、マンガンからなる群から選択される遷移金属である
ことを特徴とする請求項1に記載の金属薄膜の形成方法。 - 前記遷移金属化合物の塗布膜層に加熱処理を施して生成される、遷移金属薄膜層の膜厚は、0.03μm〜0.5μmの範囲に選択される
ことを特徴とする請求項1に記載の金属薄膜の形成方法。 - 有機物アニオン種ならびに遷移金属のカチオン種を含む、前記遷移金属化合物は、有機酸由来の有機物アニオン種を含んでなる有機酸の該遷移金属塩、または、有機物アニオン種を配位子とする該遷移金属の錯化合物である
ことを特徴とする請求項1に記載の金属薄膜の形成方法。 - 前記平均粒子径が1〜100nmの範囲に選択される金属微粒子の分散液に含まれる、該金属微粒子の金属種は、金、銀、銅、白金、パラジウムからなる群から選択される金属である
ことを特徴とする請求項1に記載の金属薄膜の形成方法。 - 導電性ITO膜上、あるいは前記導電性ITO膜の下地基板とするガラス基板表面上に形成された金属薄膜層であって、
前記金属薄膜層は、平均粒子径が1〜100nmの範囲に選択される、金属微粒子相互の焼結体層からなる、良導電性の薄膜層であり、
前記ITO膜表面、あるいは前記導電性ITO膜の下地基板とするガラス基板表面に対して、前記金属微粒子相互の焼結体層は、該金属ならびにITO膜、ガラス基板表面の双方に対して密着性を示す遷移金属薄膜層を介して、形成されており、
該遷移金属薄膜層は、
前記ITO膜表面、あるいは前記導電性ITO膜の下地基板とするガラス基板表面に、有機物アニオン種ならびに前記遷移金属のカチオン種を含む、該遷移金属化合物を有機溶媒中に溶解した溶液を、所定の膜厚塗布し、
前記遷移金属化合物溶液の塗布膜層に加熱処理を施し、該遷移金属の薄膜層を生成することにより形成され、
前記金属微粒子相互の焼結体層は、
前記ITO膜表面、あるいは前記導電性ITO膜の下地基板とするガラス基板表面上の遷移金属薄膜層表面に、前記平均粒子径が1〜100nmの範囲に選択される金属微粒子の分散液を所定の膜厚塗布し、
該金属微粒子分散液の塗布膜層に加熱処理を施し、加熱焼成によって金属微粒子相互の焼結を行うことにより形成されている
ことを特徴とする導電性ITO膜上、あるいは前記導電性ITO膜の下地基板とするガラス基板表面上に形成された金属薄膜層。 - 前記遷移金属薄膜層の形成に利用される、遷移金属化合物中に含まれる遷移金属種は、チタン、バナジウム、クロム、マンガンからなる群から選択される遷移金属である
ことを特徴とする請求項6に記載の金属薄膜層。 - 前記遷移金属化合物の塗布膜層に加熱処理を施して生成される、遷移金属薄膜層の膜厚は、0.03μm〜0.5μmの範囲に選択される
ことを特徴とする請求項6に記載の金属薄膜。 - 前記遷移金属薄膜層の形成に利用される、前記遷移金属化合物は、有機酸由来の有機物アニオン種を含んでなる有機酸の該遷移金属塩、または、有機物アニオン種を配位子とする該遷移金属の錯化合物である
ことを特徴とする請求項6に記載の金属薄膜。 - 金属微粒子相互の焼結体層の形成に利用される、前記平均粒子径が1〜100nmの範囲に選択される金属微粒子の分散液に含まれる、該金属微粒子の金属種は、金、銀、銅、白金、パラジウムからなる群から選択される金属である
ことを特徴とする請求項6に記載の金属薄膜。 - 下地基板とするガラス基板表面上に形成されている、導電性ITO膜からなる透明電極層を有するITO基板上に、電子部品を導電性ITO膜上、あるいは前記導電性ITO膜の下地基板とするガラス基板表面上の金属薄膜層との導電性接合を介して実装する方法であって、
前記導電性ITO膜上、あるいは前記導電性ITO膜の下地基板とするガラス基板表面上の金属薄膜層への電子部品の実装は、
前記導電性ITO膜上、あるいは前記導電性ITO膜の下地基板とするガラス基板表面上に形成されている金属薄膜層と、前記電子部品に設ける接合用金属バンプとを超音波接合法により接合することにより行い、
前記接合に供する、導電性ITO膜上、あるいは前記導電性ITO膜の下地基板とするガラス基板表面上に形成されている金属薄膜は、請求項1〜5のいずれか一項に記載する金属薄膜の形成方法によって作製されている
ことを特徴とするITO基板上への電子部品の実装方法。
Priority Applications (1)
| Application Number | Priority Date | Filing Date | Title |
|---|---|---|---|
| JP2004104791A JP4792203B2 (ja) | 2004-03-31 | 2004-03-31 | 導電性ito膜上への金属薄膜層の形成方法、および該方法による導電性ito膜上の金属薄膜層 |
Applications Claiming Priority (1)
| Application Number | Priority Date | Filing Date | Title |
|---|---|---|---|
| JP2004104791A JP4792203B2 (ja) | 2004-03-31 | 2004-03-31 | 導電性ito膜上への金属薄膜層の形成方法、および該方法による導電性ito膜上の金属薄膜層 |
Publications (2)
| Publication Number | Publication Date |
|---|---|
| JP2005293937A true JP2005293937A (ja) | 2005-10-20 |
| JP4792203B2 JP4792203B2 (ja) | 2011-10-12 |
Family
ID=35326657
Family Applications (1)
| Application Number | Title | Priority Date | Filing Date |
|---|---|---|---|
| JP2004104791A Expired - Lifetime JP4792203B2 (ja) | 2004-03-31 | 2004-03-31 | 導電性ito膜上への金属薄膜層の形成方法、および該方法による導電性ito膜上の金属薄膜層 |
Country Status (1)
| Country | Link |
|---|---|
| JP (1) | JP4792203B2 (ja) |
Cited By (7)
| Publication number | Priority date | Publication date | Assignee | Title |
|---|---|---|---|---|
| JP2010146283A (ja) * | 2008-12-18 | 2010-07-01 | Toshiba Mobile Display Co Ltd | 静電容量式タッチパネルの製造方法 |
| KR101251785B1 (ko) * | 2010-01-12 | 2013-04-08 | 주식회사 엘지화학 | 발열유리 및 이의 제조방법 |
| CN103210452A (zh) * | 2010-11-16 | 2013-07-17 | 旭硝子株式会社 | 导电浆料及带导电膜的基材 |
| JP2013179046A (ja) * | 2012-02-03 | 2013-09-09 | Sekisui Nano Coat Technology Co Ltd | 光透過性導電性フィルム及びそれを有する静電容量型タッチパネル |
| KR20130108126A (ko) | 2012-03-22 | 2013-10-02 | 아사히 가라스 가부시키가이샤 | 도전성 페이스트 및 도전막 부착 기재 |
| KR101315104B1 (ko) * | 2011-09-07 | 2013-10-07 | 전자부품연구원 | 극초단파를 이용한 ιτο 박막 제조 방법 |
| WO2017094166A1 (ja) * | 2015-12-03 | 2017-06-08 | ハリマ化成株式会社 | 導電性ペーストの製造方法 |
Families Citing this family (1)
| Publication number | Priority date | Publication date | Assignee | Title |
|---|---|---|---|---|
| KR101878882B1 (ko) * | 2011-10-21 | 2018-07-17 | 엘지디스플레이 주식회사 | 나노 메쉬 투명 전극과 이의 제조방법, 나노 메쉬 투명 전극을 포함하는 터치 스크린 및 디스플레이 장치 |
Citations (4)
| Publication number | Priority date | Publication date | Assignee | Title |
|---|---|---|---|---|
| JPS57502028A (ja) * | 1980-12-22 | 1982-11-11 | ||
| JPS58145014A (ja) * | 1982-02-22 | 1983-08-29 | 株式会社日立製作所 | 電極板及びその製造方法 |
| JP2003281946A (ja) * | 2002-03-25 | 2003-10-03 | Mitsuboshi Belting Ltd | 透明導電膜の製造方法 |
| JP2004071309A (ja) * | 2002-08-05 | 2004-03-04 | Sumitomo Metal Mining Co Ltd | 透明導電性基材とその製造方法およびこの透明導電性基材の製造に用いられる透明コート層形成用塗布液並びに透明導電性基材が適用された表示装置 |
-
2004
- 2004-03-31 JP JP2004104791A patent/JP4792203B2/ja not_active Expired - Lifetime
Patent Citations (4)
| Publication number | Priority date | Publication date | Assignee | Title |
|---|---|---|---|---|
| JPS57502028A (ja) * | 1980-12-22 | 1982-11-11 | ||
| JPS58145014A (ja) * | 1982-02-22 | 1983-08-29 | 株式会社日立製作所 | 電極板及びその製造方法 |
| JP2003281946A (ja) * | 2002-03-25 | 2003-10-03 | Mitsuboshi Belting Ltd | 透明導電膜の製造方法 |
| JP2004071309A (ja) * | 2002-08-05 | 2004-03-04 | Sumitomo Metal Mining Co Ltd | 透明導電性基材とその製造方法およびこの透明導電性基材の製造に用いられる透明コート層形成用塗布液並びに透明導電性基材が適用された表示装置 |
Cited By (11)
| Publication number | Priority date | Publication date | Assignee | Title |
|---|---|---|---|---|
| JP2010146283A (ja) * | 2008-12-18 | 2010-07-01 | Toshiba Mobile Display Co Ltd | 静電容量式タッチパネルの製造方法 |
| KR101251785B1 (ko) * | 2010-01-12 | 2013-04-08 | 주식회사 엘지화학 | 발열유리 및 이의 제조방법 |
| US8916805B2 (en) | 2010-01-12 | 2014-12-23 | Lg Chem, Ltd. | Heating glass and manufacturing method thereof |
| US9018568B2 (en) | 2010-01-12 | 2015-04-28 | Lg Chem, Ltd. | Heating glass and manufacturing method thereof |
| CN103210452A (zh) * | 2010-11-16 | 2013-07-17 | 旭硝子株式会社 | 导电浆料及带导电膜的基材 |
| CN103210452B (zh) * | 2010-11-16 | 2015-06-17 | 旭硝子株式会社 | 导电浆料及带导电膜的基材 |
| KR101315104B1 (ko) * | 2011-09-07 | 2013-10-07 | 전자부품연구원 | 극초단파를 이용한 ιτο 박막 제조 방법 |
| JP2013179046A (ja) * | 2012-02-03 | 2013-09-09 | Sekisui Nano Coat Technology Co Ltd | 光透過性導電性フィルム及びそれを有する静電容量型タッチパネル |
| KR20130108126A (ko) | 2012-03-22 | 2013-10-02 | 아사히 가라스 가부시키가이샤 | 도전성 페이스트 및 도전막 부착 기재 |
| WO2017094166A1 (ja) * | 2015-12-03 | 2017-06-08 | ハリマ化成株式会社 | 導電性ペーストの製造方法 |
| KR20180090288A (ko) | 2015-12-03 | 2018-08-10 | 하리마 카세이 가부시키가이샤 | 도전성 페이스트의 제조 방법 |
Also Published As
| Publication number | Publication date |
|---|---|
| JP4792203B2 (ja) | 2011-10-12 |
Similar Documents
| Publication | Publication Date | Title |
|---|---|---|
| CN100587855C (zh) | 导电金属膏 | |
| TWI331345B (en) | A dispersion of nano-size metal particles and a process for forming a layer of an electric conductor with use thereof | |
| JP3764349B2 (ja) | 金属微粒子分散液を用いたメッキ代替導電性金属皮膜の形成方法 | |
| KR100841665B1 (ko) | 동 미립자 소결체형의 미세 형상 도전체의 형성 방법, 그방법을 응용한 동미세 배선 및 동박막의 형성 방법 | |
| JP5163655B2 (ja) | 銅導体膜及びその製造方法、導電性基板及びその製造方法、銅導体配線及びその製造方法、並びに処理液 | |
| TWI516556B (zh) | Metal nano-particle paste, and the use of metal nano-particles paste electronic parts assembly, LED module and printed circuit board circuit formation method | |
| JP4089311B2 (ja) | 導電性ペースト、導電性膜、及び導電性膜の製造方法 | |
| JP5472369B2 (ja) | 導電粒子、絶縁被覆導電粒子及びその製造方法、異方導電性接着剤 | |
| JP2013055193A (ja) | 導電性金属膜の形成方法 | |
| CN102415222A (zh) | 用于印刷布线板的基板、印刷布线板及其制造方法 | |
| CN102737749A (zh) | 导电粒子、导电胶以及电路板 | |
| JP4792203B2 (ja) | 導電性ito膜上への金属薄膜層の形成方法、および該方法による導電性ito膜上の金属薄膜層 | |
| WO2014057633A1 (ja) | 接合用組成物 | |
| JP3802367B2 (ja) | 異方性導電材料を利用する基板間導通の形成方法 | |
| JP5468885B2 (ja) | 導電性アルミニウムペースト | |
| CN101903114A (zh) | 电导体及其制造和使用方法 | |
| CN110463362A (zh) | 修饰金属导电层的方法 | |
| TW201606890A (zh) | 接合用組成物及使用該組成物之金屬接合體 | |
| JP4106447B2 (ja) | 導電性金ペーストを用いた無電解金メッキ代替導電性金皮膜の形成方法 | |
| JP6938125B2 (ja) | 接合体およびその製造方法、並びに半導体モジュール | |
| KR100784762B1 (ko) | 도전성 금속 페이스트 | |
| Zhang et al. | Enhanced Electrical Properties of Anisotropic Conductive Adhesive With $\pi $-Conjugated Self-Assembled Molecular Wire Junctions | |
| JP2018045950A (ja) | 接続構造体及びその製造方法、端子付き電極の製造方法並びにこれに用いられる導電粒子、キット及び転写型 | |
| JP4517290B2 (ja) | 金属粒子複合構造体とその製造方法およびそれを用いた異方導電膜 | |
| JP5573557B2 (ja) | 接合方法及び接合体 |
Legal Events
| Date | Code | Title | Description |
|---|---|---|---|
| A621 | Written request for application examination |
Free format text: JAPANESE INTERMEDIATE CODE: A621 Effective date: 20070315 |
|
| A977 | Report on retrieval |
Free format text: JAPANESE INTERMEDIATE CODE: A971007 Effective date: 20100326 |
|
| A131 | Notification of reasons for refusal |
Free format text: JAPANESE INTERMEDIATE CODE: A131 Effective date: 20100728 |
|
| A521 | Request for written amendment filed |
Free format text: JAPANESE INTERMEDIATE CODE: A523 Effective date: 20100921 |
|
| TRDD | Decision of grant or rejection written | ||
| A01 | Written decision to grant a patent or to grant a registration (utility model) |
Free format text: JAPANESE INTERMEDIATE CODE: A01 Effective date: 20110629 |
|
| A01 | Written decision to grant a patent or to grant a registration (utility model) |
Free format text: JAPANESE INTERMEDIATE CODE: A01 |
|
| A61 | First payment of annual fees (during grant procedure) |
Free format text: JAPANESE INTERMEDIATE CODE: A61 Effective date: 20110725 |
|
| FPAY | Renewal fee payment (event date is renewal date of database) |
Free format text: PAYMENT UNTIL: 20140729 Year of fee payment: 3 |
|
| R150 | Certificate of patent or registration of utility model |
Ref document number: 4792203 Country of ref document: JP Free format text: JAPANESE INTERMEDIATE CODE: R150 Free format text: JAPANESE INTERMEDIATE CODE: R150 |
|
| R250 | Receipt of annual fees |
Free format text: JAPANESE INTERMEDIATE CODE: R250 |
|
| R250 | Receipt of annual fees |
Free format text: JAPANESE INTERMEDIATE CODE: R250 |
|
| R250 | Receipt of annual fees |
Free format text: JAPANESE INTERMEDIATE CODE: R250 |
|
| R250 | Receipt of annual fees |
Free format text: JAPANESE INTERMEDIATE CODE: R250 |
|
| R250 | Receipt of annual fees |
Free format text: JAPANESE INTERMEDIATE CODE: R250 |
|
| R250 | Receipt of annual fees |
Free format text: JAPANESE INTERMEDIATE CODE: R250 |
|
| R250 | Receipt of annual fees |
Free format text: JAPANESE INTERMEDIATE CODE: R250 |
|
| R250 | Receipt of annual fees |
Free format text: JAPANESE INTERMEDIATE CODE: R250 |
|
| R250 | Receipt of annual fees |
Free format text: JAPANESE INTERMEDIATE CODE: R250 |
|
| R250 | Receipt of annual fees |
Free format text: JAPANESE INTERMEDIATE CODE: R250 |
|
| EXPY | Cancellation because of completion of term |
