EP1526168B1 - Kaltfliessverbesserer für Brennstofföle pflanzlichen oder tierischen Ursprungs - Google Patents
Kaltfliessverbesserer für Brennstofföle pflanzlichen oder tierischen Ursprungs Download PDFInfo
- Publication number
- EP1526168B1 EP1526168B1 EP04024235.6A EP04024235A EP1526168B1 EP 1526168 B1 EP1526168 B1 EP 1526168B1 EP 04024235 A EP04024235 A EP 04024235A EP 1526168 B1 EP1526168 B1 EP 1526168B1
- Authority
- EP
- European Patent Office
- Prior art keywords
- alkyl
- mol
- fuel oil
- oil composition
- vinyl
- Prior art date
- Legal status (The legal status is an assumption and is not a legal conclusion. Google has not performed a legal analysis and makes no representation as to the accuracy of the status listed.)
- Expired - Lifetime
Links
Classifications
-
- C—CHEMISTRY; METALLURGY
- C10—PETROLEUM, GAS OR COKE INDUSTRIES; TECHNICAL GASES CONTAINING CARBON MONOXIDE; FUELS; LUBRICANTS; PEAT
- C10L—FUELS NOT OTHERWISE PROVIDED FOR; NATURAL GAS; SYNTHETIC NATURAL GAS OBTAINED BY PROCESSES NOT COVERED BY SUBCLASSES C10G OR C10K; LIQUIFIED PETROLEUM GAS; USE OF ADDITIVES TO FUELS OR FIRES; FIRE-LIGHTERS
- C10L1/00—Liquid carbonaceous fuels
- C10L1/10—Liquid carbonaceous fuels containing additives
- C10L1/14—Organic compounds
- C10L1/18—Organic compounds containing oxygen
- C10L1/192—Macromolecular compounds
- C10L1/195—Macromolecular compounds obtained by reactions involving only carbon-to-carbon unsaturated bonds
-
- C—CHEMISTRY; METALLURGY
- C10—PETROLEUM, GAS OR COKE INDUSTRIES; TECHNICAL GASES CONTAINING CARBON MONOXIDE; FUELS; LUBRICANTS; PEAT
- C10L—FUELS NOT OTHERWISE PROVIDED FOR; NATURAL GAS; SYNTHETIC NATURAL GAS OBTAINED BY PROCESSES NOT COVERED BY SUBCLASSES C10G OR C10K; LIQUIFIED PETROLEUM GAS; USE OF ADDITIVES TO FUELS OR FIRES; FIRE-LIGHTERS
- C10L1/00—Liquid carbonaceous fuels
- C10L1/10—Liquid carbonaceous fuels containing additives
- C10L1/14—Organic compounds
- C10L1/143—Organic compounds mixtures of organic macromolecular compounds with organic non-macromolecular compounds
-
- C—CHEMISTRY; METALLURGY
- C10—PETROLEUM, GAS OR COKE INDUSTRIES; TECHNICAL GASES CONTAINING CARBON MONOXIDE; FUELS; LUBRICANTS; PEAT
- C10L—FUELS NOT OTHERWISE PROVIDED FOR; NATURAL GAS; SYNTHETIC NATURAL GAS OBTAINED BY PROCESSES NOT COVERED BY SUBCLASSES C10G OR C10K; LIQUIFIED PETROLEUM GAS; USE OF ADDITIVES TO FUELS OR FIRES; FIRE-LIGHTERS
- C10L1/00—Liquid carbonaceous fuels
- C10L1/10—Liquid carbonaceous fuels containing additives
- C10L1/14—Organic compounds
- C10L1/146—Macromolecular compounds according to different macromolecular groups, mixtures thereof
-
- C—CHEMISTRY; METALLURGY
- C10—PETROLEUM, GAS OR COKE INDUSTRIES; TECHNICAL GASES CONTAINING CARBON MONOXIDE; FUELS; LUBRICANTS; PEAT
- C10L—FUELS NOT OTHERWISE PROVIDED FOR; NATURAL GAS; SYNTHETIC NATURAL GAS OBTAINED BY PROCESSES NOT COVERED BY SUBCLASSES C10G OR C10K; LIQUIFIED PETROLEUM GAS; USE OF ADDITIVES TO FUELS OR FIRES; FIRE-LIGHTERS
- C10L1/00—Liquid carbonaceous fuels
- C10L1/10—Liquid carbonaceous fuels containing additives
- C10L1/14—Organic compounds
- C10L1/18—Organic compounds containing oxygen
- C10L1/19—Esters ester radical containing compounds; ester ethers; carbonic acid esters
-
- C—CHEMISTRY; METALLURGY
- C10—PETROLEUM, GAS OR COKE INDUSTRIES; TECHNICAL GASES CONTAINING CARBON MONOXIDE; FUELS; LUBRICANTS; PEAT
- C10L—FUELS NOT OTHERWISE PROVIDED FOR; NATURAL GAS; SYNTHETIC NATURAL GAS OBTAINED BY PROCESSES NOT COVERED BY SUBCLASSES C10G OR C10K; LIQUIFIED PETROLEUM GAS; USE OF ADDITIVES TO FUELS OR FIRES; FIRE-LIGHTERS
- C10L1/00—Liquid carbonaceous fuels
- C10L1/10—Liquid carbonaceous fuels containing additives
- C10L1/14—Organic compounds
- C10L1/18—Organic compounds containing oxygen
- C10L1/192—Macromolecular compounds
- C10L1/195—Macromolecular compounds obtained by reactions involving only carbon-to-carbon unsaturated bonds
- C10L1/1955—Macromolecular compounds obtained by reactions involving only carbon-to-carbon unsaturated bonds homo- or copolymers of compounds having one or more unsaturated aliphatic radicals each having one carbon bond to carbon double bond, and at least one being terminated by an alcohol, ether, aldehyde, ketonic, ketal, acetal radical
-
- C—CHEMISTRY; METALLURGY
- C10—PETROLEUM, GAS OR COKE INDUSTRIES; TECHNICAL GASES CONTAINING CARBON MONOXIDE; FUELS; LUBRICANTS; PEAT
- C10L—FUELS NOT OTHERWISE PROVIDED FOR; NATURAL GAS; SYNTHETIC NATURAL GAS OBTAINED BY PROCESSES NOT COVERED BY SUBCLASSES C10G OR C10K; LIQUIFIED PETROLEUM GAS; USE OF ADDITIVES TO FUELS OR FIRES; FIRE-LIGHTERS
- C10L1/00—Liquid carbonaceous fuels
- C10L1/10—Liquid carbonaceous fuels containing additives
- C10L1/14—Organic compounds
- C10L1/18—Organic compounds containing oxygen
- C10L1/192—Macromolecular compounds
- C10L1/195—Macromolecular compounds obtained by reactions involving only carbon-to-carbon unsaturated bonds
- C10L1/196—Macromolecular compounds obtained by reactions involving only carbon-to-carbon unsaturated bonds derived from monomers containing a carbon-to-carbon unsaturated bond and a carboxyl group or salts, anhydrides or esters thereof homo- or copolymers of compounds having one or more unsaturated aliphatic radicals each having one carbon bond to carbon double bond, and at least one being terminated by a carboxyl radical or of salts, anhydrides or esters thereof
- C10L1/1963—Macromolecular compounds obtained by reactions involving only carbon-to-carbon unsaturated bonds derived from monomers containing a carbon-to-carbon unsaturated bond and a carboxyl group or salts, anhydrides or esters thereof homo- or copolymers of compounds having one or more unsaturated aliphatic radicals each having one carbon bond to carbon double bond, and at least one being terminated by a carboxyl radical or of salts, anhydrides or esters thereof mono-carboxylic
-
- C—CHEMISTRY; METALLURGY
- C10—PETROLEUM, GAS OR COKE INDUSTRIES; TECHNICAL GASES CONTAINING CARBON MONOXIDE; FUELS; LUBRICANTS; PEAT
- C10L—FUELS NOT OTHERWISE PROVIDED FOR; NATURAL GAS; SYNTHETIC NATURAL GAS OBTAINED BY PROCESSES NOT COVERED BY SUBCLASSES C10G OR C10K; LIQUIFIED PETROLEUM GAS; USE OF ADDITIVES TO FUELS OR FIRES; FIRE-LIGHTERS
- C10L1/00—Liquid carbonaceous fuels
- C10L1/10—Liquid carbonaceous fuels containing additives
- C10L1/14—Organic compounds
- C10L1/18—Organic compounds containing oxygen
- C10L1/192—Macromolecular compounds
- C10L1/195—Macromolecular compounds obtained by reactions involving only carbon-to-carbon unsaturated bonds
- C10L1/196—Macromolecular compounds obtained by reactions involving only carbon-to-carbon unsaturated bonds derived from monomers containing a carbon-to-carbon unsaturated bond and a carboxyl group or salts, anhydrides or esters thereof homo- or copolymers of compounds having one or more unsaturated aliphatic radicals each having one carbon bond to carbon double bond, and at least one being terminated by a carboxyl radical or of salts, anhydrides or esters thereof
- C10L1/1966—Macromolecular compounds obtained by reactions involving only carbon-to-carbon unsaturated bonds derived from monomers containing a carbon-to-carbon unsaturated bond and a carboxyl group or salts, anhydrides or esters thereof homo- or copolymers of compounds having one or more unsaturated aliphatic radicals each having one carbon bond to carbon double bond, and at least one being terminated by a carboxyl radical or of salts, anhydrides or esters thereof poly-carboxylic
-
- C—CHEMISTRY; METALLURGY
- C10—PETROLEUM, GAS OR COKE INDUSTRIES; TECHNICAL GASES CONTAINING CARBON MONOXIDE; FUELS; LUBRICANTS; PEAT
- C10L—FUELS NOT OTHERWISE PROVIDED FOR; NATURAL GAS; SYNTHETIC NATURAL GAS OBTAINED BY PROCESSES NOT COVERED BY SUBCLASSES C10G OR C10K; LIQUIFIED PETROLEUM GAS; USE OF ADDITIVES TO FUELS OR FIRES; FIRE-LIGHTERS
- C10L1/00—Liquid carbonaceous fuels
- C10L1/10—Liquid carbonaceous fuels containing additives
- C10L1/14—Organic compounds
- C10L1/18—Organic compounds containing oxygen
- C10L1/192—Macromolecular compounds
- C10L1/195—Macromolecular compounds obtained by reactions involving only carbon-to-carbon unsaturated bonds
- C10L1/197—Macromolecular compounds obtained by reactions involving only carbon-to-carbon unsaturated bonds derived from monomers containing a carbon-to-carbon unsaturated bond and an acyloxy group of a saturated carboxylic or carbonic acid
- C10L1/1973—Macromolecular compounds obtained by reactions involving only carbon-to-carbon unsaturated bonds derived from monomers containing a carbon-to-carbon unsaturated bond and an acyloxy group of a saturated carboxylic or carbonic acid mono-carboxylic
-
- C—CHEMISTRY; METALLURGY
- C10—PETROLEUM, GAS OR COKE INDUSTRIES; TECHNICAL GASES CONTAINING CARBON MONOXIDE; FUELS; LUBRICANTS; PEAT
- C10L—FUELS NOT OTHERWISE PROVIDED FOR; NATURAL GAS; SYNTHETIC NATURAL GAS OBTAINED BY PROCESSES NOT COVERED BY SUBCLASSES C10G OR C10K; LIQUIFIED PETROLEUM GAS; USE OF ADDITIVES TO FUELS OR FIRES; FIRE-LIGHTERS
- C10L1/00—Liquid carbonaceous fuels
- C10L1/10—Liquid carbonaceous fuels containing additives
- C10L1/14—Organic compounds
- C10L1/22—Organic compounds containing nitrogen
- C10L1/234—Macromolecular compounds
- C10L1/236—Macromolecular compounds obtained by reactions involving only carbon-to-carbon unsaturated bonds derivatives thereof
- C10L1/2364—Macromolecular compounds obtained by reactions involving only carbon-to-carbon unsaturated bonds derivatives thereof homo- or copolymers derived from unsaturated compounds containing amide and/or imide groups
-
- C—CHEMISTRY; METALLURGY
- C10—PETROLEUM, GAS OR COKE INDUSTRIES; TECHNICAL GASES CONTAINING CARBON MONOXIDE; FUELS; LUBRICANTS; PEAT
- C10L—FUELS NOT OTHERWISE PROVIDED FOR; NATURAL GAS; SYNTHETIC NATURAL GAS OBTAINED BY PROCESSES NOT COVERED BY SUBCLASSES C10G OR C10K; LIQUIFIED PETROLEUM GAS; USE OF ADDITIVES TO FUELS OR FIRES; FIRE-LIGHTERS
- C10L1/00—Liquid carbonaceous fuels
- C10L1/10—Liquid carbonaceous fuels containing additives
- C10L1/14—Organic compounds
- C10L1/22—Organic compounds containing nitrogen
- C10L1/221—Organic compounds containing nitrogen compounds of uncertain formula; reaction products where mixtures of compounds are obtained
-
- C—CHEMISTRY; METALLURGY
- C10—PETROLEUM, GAS OR COKE INDUSTRIES; TECHNICAL GASES CONTAINING CARBON MONOXIDE; FUELS; LUBRICANTS; PEAT
- C10L—FUELS NOT OTHERWISE PROVIDED FOR; NATURAL GAS; SYNTHETIC NATURAL GAS OBTAINED BY PROCESSES NOT COVERED BY SUBCLASSES C10G OR C10K; LIQUIFIED PETROLEUM GAS; USE OF ADDITIVES TO FUELS OR FIRES; FIRE-LIGHTERS
- C10L1/00—Liquid carbonaceous fuels
- C10L1/10—Liquid carbonaceous fuels containing additives
- C10L1/14—Organic compounds
- C10L1/22—Organic compounds containing nitrogen
- C10L1/222—Organic compounds containing nitrogen containing at least one carbon-to-nitrogen single bond
- C10L1/224—Amides; Imides carboxylic acid amides, imides
Definitions
- the present invention relates to an additive, its use as a cold flow improver for vegetable or animal fuel oils and correspondingly fueled fuel oils.
- renewable raw materials include, in particular, natural oils and fats of plant or animal origin. These are typically triglycerides of fatty acids with 10 to 24 C atoms, which have a calorific value comparable to conventional fuels, but at the same time are considered less harmful to the environment.
- Biofuels ie fuels derived from animal or plant material, are obtained from renewable sources and thus produce only as much CO 2 as was previously converted into biomass. It has been reported that combustion produces less carbon dioxide than equivalent amount of petroleum distillate fuel, eg, diesel fuel, and that very little sulfur dioxide is produced. In addition, they are biodegradable.
- Oils obtained from animal or vegetable material are mainly metabolites comprising triglycerides of monocarboxylic acids, eg acids having 10 to 25 carbon atoms, and the formula in which R is an aliphatic radical of 10 to 25 carbon atoms, which may be saturated or unsaturated.
- oils include glycerides of a variety of acids, the number and variety of which varies with the source of the oil, and may additionally contain phosphoglycerides.
- Such oils can be obtained by methods known in the art.
- EP-B-0 665 873 discloses a fuel oil composition
- a fuel oil composition comprising a biofuel, a petroleum-based fuel oil and an additive which comprises (a) an oil-soluble ethylene copolymer or (b) a comb polymer or (c) a polar nitrogen compound or (d) a compound in which at least one substantially linear alkyl group having from 10 to 30 carbon atoms is bonded to a non-polymeric organic radical to provide at least one linear chain of atoms which includes the carbon atoms of the alkyl groups and one or more non-terminal oxygen atoms, or (e) one or more of the components ( a), (b), (c) and (d).
- EP-B-0 153 176 discloses the use of polymers based on unsaturated C 4 -C 8 dicarboxylic acid di-alkyl esters having average alkyl chain lengths of 12 to 14 as cold flow improvers for certain petroleum distillate fuel oils.
- Suitable comonomers are unsaturated esters, in particular vinyl acetate, but also ⁇ -olefins.
- EP-B-0 153 177 discloses an additive concentrate comprising a combination of I) a copolymer having at least 25% by weight of an n-alkyl ester of a monoethylenically unsaturated C 4 -C 8 mono- or dicarboxylic acid, wherein the average number of carbon atoms in the n-alkyl radicals is 12- 14 and containing another unsaturated ester or olefin with II) another low temperature flow improver for distillate fuel oils.
- WO 95/22300 discloses comb polymers in which the alkyl radicals have on average less than 12 carbon atoms. These additives are particularly suitable for oils with cloud points of less than -10 ° C, where the oils may also be native hydrocarbon oils (page 21, line 16 ff.). However, native oils have cloud points from about -2 ° C upwards.
- WO 94/10267 teaches a fuel oil composition comprising a biofuel, a petroleum-based fuel oil and an additive which comprises (a) an oil-soluble ethylene copolymer or (b) a comb polymer or (c) a polar nitrogen compound or (d) a compound in which at least one substantially linear alkyl group having from 10 to 30 carbon atoms is bonded to a non-polymeric organic radical to provide at least one linear chain of atoms which includes the carbon atoms of the alkyl groups and one or more non-terminal oxygen atoms, or (e) one or more of the components ( a), (b), (c) and (d).
- an additive which comprises (a) an oil-soluble ethylene copolymer or (b) a comb polymer or (c) a polar nitrogen compound or (d) a compound in which at least one substantially linear alkyl group having from 10 to 30 carbon atoms is bonded to a non-polymeric organic radical to provide at least one linear chain of
- EP-A-0 626 442 and EP-A-0 694 125 disclose fatty acid esters that contain pour point depressants to improve cold properties.
- PPDs styrene-MSA copolymers esterified with a mixture of short-chain (butanol) and longer-chain C 10 -C 18 -alcohols neutralized with aminopropylmorpholine; Poly (C 4-24 -alky) (meth) acrylates and their copolymers with N-containing monomers; alkyl-bridged alkylaromatics.
- EP-A-1 032 620 discloses poly (alkyl (meth) acrylates) having broad C chain distribution and hydroxy functional comonomers as an additive for mineral oil and biodiesel.
- Another object of the invention is an additive as defined above.
- Another object of the invention is the use of the above-defined additive for improving the cold flow properties of fuel oils of animal or vegetable origin.
- R has values of 11.5 to 13.5 and especially 12.0 to 13.0.
- Suitable ethylene copolymers A) are those which contain from 8 to 21 mol% of one or more vinyl and / or (meth) acrylic esters and from 79 to 92% by weight of ethylene. Particularly preferred are ethylene copolymers with 10 to 18 mol% and especially 12 to 16 mol% of at least one vinyl ester. Suitable vinyl esters are derived from fatty acids with linear or branched alkyl groups having 1 to 30 carbon atoms and preferably 1 to 18, especially 1 to 12 carbon atoms.
- vinyl acetate vinyl propionate, vinyl butyrate, vinyl hexanoate, Vinylheptanoat, vinyl octanoate, vinyl laurate and vinyl stearate and branched fatty acid based esters of vinyl alcohol such as vinyl isobutyrate, vinyl pivalate, vinyl 2-ethylhexanoate, iso-Nonanklarevinylester, Neononanklarevinylester, vinyl neodecanoate and Neoundecanklavinylester.
- vinyl acetate vinyl propionate, vinyl butyrate, vinyl hexanoate, Vinylheptanoat, vinyl octanoate, vinyl laurate and vinyl stearate and branched fatty acid based esters of vinyl alcohol such as vinyl isobutyrate, vinyl pivalate, vinyl 2-ethylhexanoate, iso-Nonanklarevinylester, Neononanklawrevinylester, vinyl neodecan
- esters of acrylic and methacrylic acid having 1 to 20 C atoms in the alkyl radical such as methyl (meth) acrylate, ethyl (meth) acrylate, propyl (meth) acrylate, n- and isobutyl (meth) acrylate, Hexyl, octyl, 2-ethylhexyl, decyl, dodecyl, tetradecyl, hexadecyl, octadecyl (meth) acrylate and mixtures of two, three, four or more of these comonomers.
- Particularly preferred terpolymers of 2-ethylhexanoic acid vinyl ester, vinyl neononanoate or vinyl neodecanoate contain, in addition to ethylene, preferably 3.5 to 20 mol%, in particular 8 to 15 mol% vinyl acetate and 0.1 to 12 mol%, in particular 0.2 to 5 mol% of at least one long-chain vinyl ester, wherein the total comonomer content is between 8 and 21 mol%, preferably between 12 and 18 mol%.
- copolymers contain, in addition to ethylene and from 8 to 18 mol% of vinyl esters, from 0.5 to 10 mol% of olefins such as propene, butene, isobutylene, hexene, 4-methylpentene, octene, diisobutylene and / or norbornene.
- olefins such as propene, butene, isobutylene, hexene, 4-methylpentene, octene, diisobutylene and / or norbornene.
- the copolymers A preferably have molecular weights, the melt viscosities at 140 ° C from 20 to 10,000 mPas in particular 30 to 5,000 mPas and especially 50 to 1,000 mPas correspond.
- the determined by 1 H NMR spectroscopy degrees of branching are preferably between 1 and 9 CH 3/100 CH 2 groups, especially between 2 and 6 CH 3/100 CH 2 groups, such as 2.5 to 5 CH 3/100 CH 2 groups not derived from the comonomers.
- the copolymers (A) are prepared by customary copolymerization processes such as, for example, suspension polymerization, solvent polymerization, Gas phase polymerization or high-pressure mass polymerization produced.
- the high-pressure mass polymerization is preferably carried out at pressures of from 50 to 400 MPa, preferably from 100 to 300 MPa, and at temperatures of from 100 to 300 ° C., preferably from 150 to 220 ° C.
- the polymerization takes place in a multizone reactor, wherein the temperature difference between the peroxide doses along the tubular reactor is kept as low as possible, ie ⁇ 50 ° C, preferably ⁇ 30 ° C, in particular ⁇ 15 ° C.
- the temperature maxima in the individual reaction zones preferably differ by less than 30 ° C., more preferably by less than 20 ° C. and especially by less than 10 ° C.
- the reaction of the monomers is initiated by free radical initiators (free radical initiators).
- This class of substance includes e.g. Oxygen, hydroperoxides, peroxides and azo compounds such as cumene hydroperoxide, t-butyl hydroperoxide, dilauroyl peroxide, dibenzoyl peroxide, bis (2-ethylhexyl) peroxide carbonate, t-butyl perpivalate, t-butyl permalate, t-butyl perbenzoate, dicumyl peroxide, t-butyl cumyl peroxide, di (t -butyl) peroxide, 2,2'-azobis (2-methylpropanonitrile), 2,2'-azobis (2-methylbutyronitrile).
- the initiators are used individually or as a mixture of two or more substances in amounts of 0.01 to 20 wt .-%, preferably 0.05 to 10 wt .-%, based on the
- the high-pressure mass polymerization is carried out batchwise or continuously in known high-pressure reactors, for example autoclaves or tubular reactors, tube reactors have proven particularly useful.
- Solvents such as aliphatic and / or aromatic hydrocarbons or hydrocarbon mixtures, benzene or toluene may be present in the reaction mixture. Preferred is the substantially solvent-free operation.
- Preferred moderators are, for example, hydrogen, saturated and unsaturated hydrocarbons such as propane or propene, aldehydes such as propionaldehyde, n-butyraldehyde or isobutyraldehyde, ketones such as acetone, methyl ethyl ketone, methyl isobutyl ketone, cyclohexanone and alcohols such as for example, butanol.
- the comonomers as well as the moderators can be metered into the reactor both together with ethylene and separately via side streams. In this case, the monomer streams can be composed differently ( EP-A-0 271 738 and EP-A-0 922 716 ).
- Suitable copolymers or terpolymers include, for example: ethylene-vinyl acetate copolymers with 10 to 40% by weight of vinyl acetate and 60 to 90% by weight of ethylene; from DE-A-34 43 475 known ethylene-vinyl acetate-hexene terpolymers; in the EP-B-0 203 554 described ethylene-vinyl acetate-diisobutylene terpolymers; from EP-B-0 254 284 known mixture of an ethylene-vinyl acetate-diisobutylene terpolymer and an ethylene-vinyl acetate copolymer; in the EP-B-0 405 270 disclosed blends of an ethylene-vinyl acetate copolymer and an ethylene-vinyl acetate-N-vinylpyrrolidone terpolymer; in the EP-B-0 463 518 described ethylene / vinyl acetate / isobutyl vinyl
- the polymers underlying the mixtures differ in at least one characteristic.
- they may contain different comonomers, have different comonomer contents, molecular weights and / or degrees of branching.
- the Mixing ratio of the various ethylene copolymers is preferably between 20: 1 and 1:20, preferably 10: 1 to 1:10, in particular 5: 1 to 1: 5.
- the copolymers B are derived from alkyl acrylates, alkyl methacrylates, alkyl acrylamides, alkyl methacrylamides, alkyl vinyl esters, alkyl vinyl ethers, alkyl allyl ethers and alkyl diketenes having 8 to 16 carbon atoms in the alkyl radical. These comonomers are referred to below as comonomers B1).
- the copolymers constituting ingredient B are those containing comonomers derived from esters, amides and / or imides of ethylenically unsaturated monocarboxylic acids having from 3 to 8 carbon atoms with alcohols or amines, respectively, wherein Alcohols or amines carry alkyl radicals having 8 to 16 carbon atoms.
- the copolymers B) may also contain comonomers B2) which comprise i) esters, amides and / or imides of ethylenically unsaturated dicarboxylic acids having 4 to 8 C atoms and alcohols or amines having 8 to 16 C atoms in the alkyl radicals and / or or ii) C 10 to C 20 olefins.
- comonomers B2 comprise i) esters, amides and / or imides of ethylenically unsaturated dicarboxylic acids having 4 to 8 C atoms and alcohols or amines having 8 to 16 C atoms in the alkyl radicals and / or or ii) C 10 to C 20 olefins.
- the alkyl radicals of the comonomers B1 and B2 are preferably linear, but may also contain minor amounts of branched isomers of up to 30 mol%, preferably up to 20 mol% and in particular from 2 to 5 mol%.
- the proportion of the comonomers B1) and optionally B2) in the polymer is preferably more than 50 mol%, in particular more than 70 mol% and especially at least 80 mol%, for example 90 to 95 mol%.
- the proportion of the monomers B2), if present, is preferably less than 80 mol%, in particular less than 50 mol% and especially less than 20 mol%, for example from 2 to 10 mol% of the total amount of the monomers B1 ) and B2).
- the polymers B) consist only of the monomers B1) and optionally B2), which then add up to 100 mol%.
- Preferred monomers of the copolymers B) are esters of acrylic acid, methacrylic acid, maleic acid, fumaric acid and itaconic acid with octanol, nonanol, Decanol, undecanol, dodecanol, n-tridecanol, iso-tridecanol, tetradecanol, pentadecanol, hexadecanol and mixtures thereof.
- Further preferred monomers are amides and optionally imides of these acids with octylamine, nonylamine, decylamine, undecylamine, dodecylamine, tridecylamine, tetradecylamine, pentadecylamine, hexadecylamine and mixtures thereof.
- the copolymers making up Component B contain comonomers which are esters and / or ethers of ethylenically unsaturated alcohols of 2 to 10 carbon atoms, and carboxylic acids or alcohols bearing alkyl groups of 8 to 16 carbon atoms.
- Such preferred monomers of the copolymers B) are, for example, esters of vinyl alcohol with octanoic acid, 2-ethylhexanoic acid, nonanoic acid, neononanoic acid, decanoic acid, neodecanoic acid, undecanoic acid, neoundecanoic acid, dodecanoic acid, tridecanoic acid, tetradecanoic acid, pentadecanoic acid, hexadecanoic acid and mixtures thereof.
- Further preferred monomers of the copolymers B) are, for example, ethers of allyl and in particular vinyl alcohol with octanol, nonanol, decanol, undecanol, dodecanol, n-tridecanol, isotridecanol, tetradecanol, pentadecanol, hexadecanol and mixtures thereof.
- comonomers B2 are olefins having 10 to 20 carbon atoms, preferably having 12 to 18 carbon atoms and in particular having 10 to 16 carbon atoms. These are preferably linear ⁇ -olefins with terminal double bond. In a further preferred embodiment, it is branched olefins such as in particular oligomers of isobutylene and propylene having 10 to 20 carbon atoms.
- alkyl (meth) acrylates alkyl (meth) acrylates, alkyl vinyl esters, alkyl vinyl ethers having 1 to 5 carbon atoms in the alkyl radical and ethylenically unsaturated free carboxylic acids such as acrylic acid, methacrylic acid, maleic acid, fumaric acid, itaconic acid and functional groups such as -OH, -SH, -N -CN-bearing monomers may be present in minor amounts of ⁇ 20 mol%, ⁇ 10 mol%, ⁇ 5 mol%, also be present in the copolymer B.
- comonomers which are copolymerizable with the stated monomers, for example allyl polyglycol ethers, vinylaromatics and relatively high molecular weight olefins such as poly ( isobutylene).
- the polymers according to the invention can be prepared by direct polymerization from the monomers mentioned in known polymerization processes such as bulk, solution, emulsion, suspension or precipitation polymerization.
- They can also be prepared by derivatization of a base polymer carrying acid or hydroxyl groups, for example, with corresponding fatty acids, fatty alcohols or fatty amines having 8 to 16 C atoms in the alkyl radical.
- the esterifications, etherifications, amidations and / or imidations are carried out by known condensation methods. In this case, the derivatization be complete or partial.
- Partially esterified or amidated acid-based polymers (solvent-free) preferably have acid numbers of 60-140 mg KOH / g and in particular 80-120 mg KOH / g. Copolymers with acid numbers of less than 80, especially less than 60 mg KOH / g are considered to be fully derivatized.
- Partially esterified or etherified hydroxyl-bearing polymers have OH numbers of 40 to 200 mg KOH / g, preferably 60 to 150 mg KOH / g; Copolymers having hydroxyl numbers less than 60 and especially less than 40 mg KOH / g are considered fully derivatized. Particularly preferred are partially derivatized polymers.
- suitable acid-bearing polymers are homo- and copolymers of ethylenically unsaturated carboxylic acids such as acrylic acid, methacrylic acid, maleic acid, fumaric acid, itaconic acid or their reactive equivalents such as lower esters or anhydrides such as Methyl methacrylate and maleic anhydride with each other as well as with other monomers copolymerizable with these acids.
- carboxylic acids such as acrylic acid, methacrylic acid, maleic acid, fumaric acid, itaconic acid or their reactive equivalents such as lower esters or anhydrides such as Methyl methacrylate and maleic anhydride with each other as well as with other monomers copolymerizable with these acids.
- Suitable examples are poly (acrylic acid), poly (methacrylic acid), poly (maleic acid), poly (maleic anhydride), poly (acrylic acid-co-maleic acid).
- Suitable fatty alcohols and fatty amines are particularly linear, but they can also minor amounts, eg. B. up to 30 wt .-%, preferably up to 20 wt .-% and especially up to 10 wt .-% branched alkyl radicals.
- the branches are preferably in the 1- or 2-position. Shorter as well as longer-chain fatty alcohols or fatty amines can be used, but their proportion is preferably below 20 mol% and especially below 10 mol%, such as between 1 and 5 mol% based on the total amount of amines used.
- Particularly preferred fatty alcohols are octanol, decanol, undecanol, dodecanol, tridecanol, tetradecanol, pentadecanol and hexadecanol.
- Suitable amines are primary and secondary amines having one or two C 8 -C 16 alkyl radicals. They can carry one, two or three amino groups which are linked via alkylene radicals having two or three carbon atoms.
- Preferred are Monoamines.
- Especially preferred as primary amines are octylamine, 2-ethylhexylamine, decylamine, undecylamine, dodecylamine, n-tridecylamine, iso-tridecylamine, tetradecylamine, pentadecylamine, hexadecylamine and mixtures thereof.
- Preferred secondary amines are dioctylamine, dinonylamine, didecylamine, didodecylamine, ditetradecylamine, dihexadecylamine, and amines having different alkyl chain lengths such as N-octyl-N-decylamine, N-decyl-N-dodecylamine, N-decyl-N-tetradecylamine, N-decyl N-hexadecylamine, N-dodecyl-N-tetradecylamine, N-dodecyl-N-hexadecylamine, N-tetradecyl-N-hexadecylamine.
- Secondary amines which, in addition to a C 8 -C 16 -alkyl radical, bear shorter side chains having 1 to 5 C atoms, for example methyl or ethyl groups, are suitable according to the invention.
- the alkyl chain length n is taken into account as the mean value of the alkyl chain lengths of C 8 to C 16 for the calculation of the Q factor.
- Shorter and longer alkyl radicals, if present, are not included in the calculation because they do not contribute to the effectiveness of the additives. Therefore, the proportion of shorter and longer alkyl chains is preferably below 20 mol%, preferably below 10 mol%, based on the total amount of amine used.
- Particularly preferred are amides derived from primary monoamines and imides.
- Polymers which are particularly suitable for derivatization with fatty acids and / or fatty alcohols to esters and / or ethers are homopolymers and copolymers of monomers carrying hydroxyl groups, such as vinyl alcohol, allyl alcohol or hydroxyethyl acrylate, hydroxyethyl methacrylate, hydroxypropyl acrylate and hydroxypropyl methacrylate.
- Suitable fatty acids have 8 to 16 carbon atoms in the alkyl radical.
- the alkyl radical is substantially linear but can also be minor amounts, e.g. B. up to 30 wt .-%, preferably up to 20 wt .-% and especially up to 10 wt .-% of branched isomers.
- Nonadecanklare and mixtures thereof are nonanoic, decanoic, undecanoic, dodecanoic, tridecanoic, tetradecanoic, pentadecanoic, hexadecanoic, heptadecanoic and octadecanoic and Nonadecanklare and mixtures thereof.
- the effectiveness of the additives according to the invention can be further limited to specific Fatty acid ester compositions are adjusted.
- the molecular weights of the copolymers B according to the invention are between 1,000 and 100,000, in particular between 2,000 and 50,000 and in particular between 2,500 and 25,000 g / mol, measured by gel permeation chromatography (GPC) against poly (styrene).
- Copolymers of the invention must be oil-soluble in practice-relevant dosing quantities, ie they must dissolve in the oil to be additized at 50 ° C. without residue.
- mixtures of the copolymers B according to the invention are used, with the proviso that the mean value of the R values of the mixture components in turn has values of from 11 to 14, preferably from 11.5 to 13.5 and in particular values from 12.0 to 13 , 0 takes.
- the mixing ratio of the additives A and B according to the invention is (in parts by weight) 20: 1 to 1:20, preferably 10: 1 to 1:10, in particular 5: 1 to 1: 2.
- the additives of the invention are added to oils in amounts of 0.001 to 5 wt .-%, preferably 0.005 to 1 wt .-% and especially 0.01 to 0.5 wt .-%. They may be dissolved as such or dissolved or dispersed in solvents, e.g. aliphatic and / or aromatic hydrocarbons or hydrocarbon mixtures such as e.g.
- they are dissolved in fuel oil of animal or vegetable origin based on fatty acid alkyl esters.
- the additives according to the invention contain 1-80%, especially 10-70%, in particular 25-60% (m / m) of solvent.
- the fuel oil which is often referred to as “biodiesel” or “biofuel”
- biodiesel is fatty acid alkyl esters of fatty acids having 12 to 24 carbon atoms and alcohols having 1 to 4 carbon atoms.
- fatty acids having 12 to 24 carbon atoms and alcohols having 1 to 4 carbon atoms.
- a major part of the fatty acids contains one, two or three double bonds.
- oils derived from animal or vegetable material and in which the additive according to the invention can be used are rapeseed oil, coriander oil, soybean oil, cottonseed oil, sunflower oil, castor oil, olive oil, peanut oil, corn oil, almond oil, palm kernel oil, coconut oil, mustard seed oil, Beef tallow, bone oil, fish oils and used edible oils.
- oils derived from wheat, jute, sesame, shea nut, arachis oil and linseed oil can be derived from these oils by methods known in the art.
- Rapeseed oil which is a mixture of glycerol partially esterified fatty acids, is preferred because it is available in large quantities and is readily available by squeezing rapeseed. Furthermore, the also widespread oils of sunflower and soybeans and their mixtures with rapeseed oil are preferred.
- Particularly suitable as biofuels are lower alkyl esters of fatty acids.
- lower alkyl esters of fatty acids are, for example, commercially available mixtures of ethyl, propyl, butyl and especially methyl esters of fatty acids having 14 to 22 carbon atoms, for example of lauric, myristic, palmitic, palmitolic, stearic, oleic, elaidic, petroselic, ricinoleic, elaeostearic, linoleic, linolenic , Eicosanoic acid, gadoleic acid, docosanoic acid or erucic acid, which preferably have an iodine value of from 50 to 150, in particular from 90 to 125.
- Mixtures with particularly advantageous properties are those which are mainly d. H. at least 50 wt .-%, contain methyl esters of fatty acids having 16 to 22 carbon atoms and 1, 2 or 3 double bonds.
- the preferred lower alkyl esters of fatty acids are the methyl esters of oleic, linoleic, linolenic and erucic acids.
- a biofuel is an oil obtained from plant or animal matter or both, or a derivative thereof, which can be used as a fuel and especially as a diesel or fuel oil.
- vegetable oil derivatives are preferred, with particularly preferred biofuels being alkyl ester derivatives of rapeseed oil, cottonseed oil, soybean oil, sunflower oil, olive oil or palm oil, with methyl rapeseed oil, methyl sunflower oil and soybean oil methyl ester being most preferred.
- particularly preferred biofuel or as a component in the biofuel are also old fat esters such as, for example, used fat methyl ester.
- the additive may be added to the oil to be treated according to methods known in the art. If more than one additive component or co-additive component is to be used, such components may be incorporated into the oil together or separately in any combination.
- the CFPP value of biodiesel can be adjusted to values below -20 ° C. and sometimes to values below -25 ° C., as required for marketing in particular for use in winter.
- the pour point of biodiesel is reduced by the addition of the additives according to the invention.
- the additives according to the invention are particularly advantageous in problematic oils which have a high content of esters of saturated fatty acids of more than 4%, in particular more than 5% and especially 7 to 25%, for example 8 to 20%, as is the case, for example, in oils Sunflowers and soy are included.
- Such oils are characterized by cloud points above -5 ° C and especially above -3 ° C.
- the additives according to the invention also to adjust mixtures of Rapsölklaremethylester and sunflower and / or soybean oil fatty acid methyl ester to CFPP values of -20 ° C and below.
- the so-additive oils have a good resistance to cold, that is, the CFPP value remains constant even when stored under wintry conditions.
- the additives according to the invention can also be used together with one or more oil-soluble co-additives, which in themselves improve the cold flow properties of crude oils, lubricating oils or fuel oils.
- oil-soluble co-additives are polar compounds which cause a paraffin dispersion (paraffin dispersants) and oil-soluble amphiphiles.
- Paraffin dispersants reduce the size of the paraffin crystals and cause the paraffin particles to not settle but remain colloidally dispersed with significantly reduced sedimentation effort.
- Suitable paraffin dispersants are both low molecular weight and polymeric, oil-soluble compounds having ionic or polar groups, such as amine salts and / or amides have proven.
- Particularly preferred paraffin dispersants contain reaction products of secondary fatty amines having 20 to 44 carbon atoms, in particular dicocoamine, ditallow fatty amine, distearylamine and dibehenylamine with carboxylic acids and derivatives thereof.
- Paraffin dispersants which have been obtained by reaction of aliphatic or aromatic amines, preferably long-chain aliphatic amines, with aliphatic or aromatic mono-, di-, tri- or tetracarboxylic acids or their anhydrides have proven particularly suitable (cf. US 4 211 534 ).
- amides and ammonium salts of aminoalkylene polycarboxylic acids such as nitrilotriacetic acid or ethylenediaminetetraacetic acid with secondary amines are suitable as paraffin dispersants (cf. EP 0 398 101 ).
- paraffin dispersants are copolymers of maleic anhydride and ⁇ , ⁇ -unsaturated compounds, which can optionally be reacted with primary monoalkylamines and / or aliphatic alcohols (cf. EP 0 154 177 ) and the reaction products of alkenyl spiro-bis-lactones with amines (cf. EP 0 413 279 B1 ) and after EP 0 606 055 A2 Reaction products of terpolymers based on ⁇ , ⁇ -unsaturated dicarboxylic anhydrides, ⁇ , ⁇ -unsaturated compounds and polyoxyalkylene ethers of lower unsaturated alcohols.
- the mixing ratio (in parts by weight) of the additives according to the invention with paraffin dispersants is 1:10 to 20: 1, preferably 1: 1 to 10: 1.
- the additives can be used alone or together with other additives, for example with other pour point depressants or dewaxing aids, with antioxidants, cetane number improvers, dehazers, demulsifiers, detergents, dispersants, defoamers, dyes, corrosion inhibitors, conductivity improvers, sludge inhibitors, odorants, and / or additives Humiliation of the cloud point.
- other pour point depressants or dewaxing aids with antioxidants, cetane number improvers, dehazers, demulsifiers, detergents, dispersants, defoamers, dyes, corrosion inhibitors, conductivity improvers, sludge inhibitors, odorants, and / or additives Humiliation of the cloud point.
- the CFPP value is determined in accordance with EN 116 and the determination of the cloud point in accordance with ISO 3015.
- the ethylene copolymers used are commercial products having the characteristics given in Table 2. The products were used as 65% and 50% (A3) settings in kerosene, respectively.
- Table 3 Characterization of the ethylene copolymers used example Comonomer (s) V140 CH 3 / 100CH 2 A1 13.6 mol% vinyl acetate 130 mPas 3.7 A2 13.7 mol% of vinyl acetate and 1.4 mol% of vinyl neodecanoate 105 mPas 5.3 A3 9.4 mol% vinyl acetate 220 mPas 6.2 A4 Mixture of EVA copolymer with 16 mol% vinyl acetate and EVA with 5 mol% vinyl acetate in the ratio 13: 1 95 mPas / 350 mPas 3.2 / 5.7
- CFPP value (according to EN 116, in ° C) of various biofuels according to the above table after addition of 1200 ppm, 1500 ppm and 2000 ppm additive mixture was determined. Percentages refer to parts by weight in the respective additive mixtures.
- Tables 5 to 7 show that comb polymers with the factor R according to the invention achieve excellent CFPP reductions even at low dosing rates and offer additional potential at higher dosing rates.
- Table 5 CFPP testing in test oil E1 Ex.
- Ethylene copolymer A Comb polymer B CFPP in test oil 1 1200 ppm 1500 ppm 2000 ppm 1 80% A1 20% B1 -20 -23 -24 2 80% A1 20% B2 -21 -24 -27 3 80% A1 20% B3 -21 -24 -26 4 80% A1 20% B4 -20 -23 -25 5 80% A1 20% B5 -20 -21 -23 6 80% A1 20% B6 -19 -20 -22 7 80% A1 20% B7 -21 -24 -28 8th 80% A1 20% B8 -21 -25 -27 9 80% A1 20% B9 -21 -24 -28 10 (Cf.) 80% A3 20% B9 -19 -19 -21 11 (Cf.) 80% A1 20% B10 -17 -17 -18 12 (Cf.) 80% A1 20% B12 -18 -17 -19 13 (Cf.) 80% A1 20% B13 -18 -17 -17 14 (Cf.) 100% A1
- Ethylene copolymer A Comb polymer B CFPP in test oil E3 1500 ppm 2000 ppm 30 70% A2 30% B2 -20 -25 31 70% A2 30% B3 -19 -24 32 70% A2 30% B4 -20 -26 33 70% A2 30% B9 -20 -25 34 (Cf.) 70% A2 30% B11 -16 -17 35 (Cf.) 70% A2 30% B12 -16 -13 36 (See) 70% A2 30% B13 -15 -15 36 (See) 100% A2 --- -14 -13
- the CFPP value according to DIN EN 116 is compared before and after a standardized cold-change treatment.
- 500 ml of biodiesel (test oil E1) are treated with the appropriate cold additive, placed in a cylinder and stored in a programmable cold chamber for one week. During this time, a program is run through which repeatedly cools to -13 ° C and then warms up again to -3 ° C. It are consecutively run through 6 of these cycles (Table 8).
- Cooling program for determining the resistance to cold chill section begin The End duration description A ⁇ B + 5 ° C -3 ° C 8 h Pre-cooling to cycle start temperature B ⁇ C -3 ° C -3 ° C 2 h stationary temperature, start of cycle C ⁇ D -3 ° C -13 ° C 14 h Temperature reduction, incipient crystal formation D ⁇ E -13 ° C -13 ° C 2 h Stationary temperature, crystal growth E ⁇ F -13 ° C -3 ° C 6 h Temperature increase, melting of the crystals F ⁇ B Another 6 cycles B ⁇ F are carried out.
- the additiviere oil sample is reheated to room temperature without shaking. From each of the upper, middle and lower sections of the cylinder a sample of 50 ml is drawn for CFPP measurements. A difference between the mean values of the CFPP values after storage to the CFPP value before storage and between the individual phases of less than 3 K shows a good resistance to cold flashes.
- Table 9 Chilling resistance of the additized oil: additive CFPP before storage CFPP after storage example Ethylene copolymer A Comb polymer B metering below ⁇ CFPP (below) center ⁇ CFPP (middle) above ⁇ CFPP (above) 37 80% A1 20% B2 1500 ppm -24 ° C -23 ° C + 1K -24 ° C 0K -24.5 ° C -0.5K 38 80% A4 20% B9 1500 ppm -24 ° C -23.5 ° C 0.5K -24 ° C 0K -25 ° C -1K 39 (V) A4 --- 2500 ppm -20 ° C -12 ° C 8K -12.5 ° C 7.5K -14 ° C 6K The CFPP values given are average values of a double determination
Landscapes
- Chemical & Material Sciences (AREA)
- Oil, Petroleum & Natural Gas (AREA)
- Engineering & Computer Science (AREA)
- Chemical Kinetics & Catalysis (AREA)
- General Chemical & Material Sciences (AREA)
- Organic Chemistry (AREA)
- Health & Medical Sciences (AREA)
- Emergency Medicine (AREA)
- Liquid Carbonaceous Fuels (AREA)
- Addition Polymer Or Copolymer, Post-Treatments, Or Chemical Modifications (AREA)
Description
- Die vorliegende Erfindung betrifft ein Additiv, seine Verwendung als Kaltfließverbesserer für pflanzliche oder tierische Brennstofföle und entsprechend additivierte Brennstofföle.
- Im Zuge abnehmender Welterdölreserven und der Diskussion um die Umwelt beeinträchtigenden Konsequenzen des Verbrauchs fossiler und mineralischer Brennstoffe steigt das Interesse an alternativen, auf nachwachsenden Rohstoffen basierenden Energiequellen. Dazu gehören insbesondere native Öle und Fette pflanzlichen oder tierischen Ursprungs. Dies sind in der Regel Triglyceride von Fettsäuren mit 10 bis 24 C-Atomen, die einen den herkömmlichen Brennstoffen vergleichbaren Heizwert haben, aber gleichzeitig als weniger schädlich für die Umwelt angesehen werden. Biokraftstoffe, d.h. von tierischem oder pflanzlichem Material abgeleitete Kraftstoffe werden aus erneuerbaren Quellen erhalten und erzeugen bei der Verbrennung somit nur soviel CO2, wie vorher in Biomasse umgewandelt wurde. Es ist berichtet worden, dass bei der Verbrennung weniger Kohlendioxid als durch äquivalente Menge an Erdöldestillatbrennstoff, z.B. Dieselkraftstoff, gebildet wird und dass sehr wenig Schwefeldioxid gebildet wird. Zudem sind sie biologisch abbaubar.
- Aus tierischem oder pflanzlichem Material erhaltene Öle sind hauptsächlich Stoffwechselprodukte, die Triglyceride von Monocarbonsäuren umfassen, z.B. Säuren mit 10 bis 25 Kohlenstoffatomen, und der Formel
entsprechen, in der R ein aliphatischer Rest mit 10 bis 25 Kohlenstoffatomen ist, der gesättigt oder ungesättigt sein kann. - Im allgemeinen enthalten solche Öle Glyceride von einer Reihe von Säuren, deren Anzahl und Sorte mit der Quelle des Öls variiert, und sie können zusätzlich Phosphoglyceride enthalten. Solche Öle können nach im Stand der Technik bekannten Verfahren erhalten werden.
- Auf Grund der teilweise unbefriedigenden physikalischen Eigenschaften der Triglyceride ist die Technik dazu übergegangen, die natürlich vorkommenden Triglyceride in Fettsäureester niederer Alkohole wie Methanol oder Ethanol zu überführen.
- Als Hindernis bei der Verwendung von Triglyceriden wie auch von Fettsäureestern niederer einwertiger Alkohole als Dieselkraftstoffersatz alleine oder im Gemisch mit Dieselkraftstoff hat sich das Fließverhalten bei niedrigen Temperaturen erwiesen. Ursache dafür ist die hohe Einheitlichkeit dieser Öle im Vergleich zu Mineralölmitteldestillaten. So weist z.B. Rapsölsäuremethylester (RME) einen Cold Filter Plugging Point (CFPP) von -14°C auf. Mit den Additiven des Standes der Technik ist es bisher nicht möglich, einen für die Verwendung als Winterdiesel in Mitteleuropa geforderten CFPP-Wert von -20°C sowie für spezielle Anwendungen von -22°C und darunter sicher einzustellen. Verschärft wird dieses Problem beim Einsatz von Ölen, die größere Mengen der ebenfalls gut zugänglichen Öle von Sonnenblumen und Soja enthalten.
-
EP-B-0 665 873 offenbart eine Brennstoffölzusammensetzung, die einen Biobrennstoff, ein Brennstofföl auf Erdölbasis und ein Additiv umfasst, welches (a) ein öllösliches Ethylencopolymer oder (b) ein Kammpolymer oder (c) eine polare Stickstoffverbindung oder (d) eine Verbindung, in der mindestens eine im wesentlichen lineare Alkylgruppe mit 10 bis 30 Kohlenstoffatomen mit einem nicht polymeren organischen Rest verbunden ist, um mindestens eine lineare Kette von Atomen zu liefern, die die Kohlenstoffatome der Alkylgruppen und ein oder mehrere nicht endständige Sauerstoffatome einschließt, oder (e) eine oder mehrere der Komponenten (a), (b), (c) und (d) umfasst. -
EP-B-0 629 231 offenbart eine Zusammensetzung, die einen größeren Anteil Öl, das im wesentlichen aus Alkylestern von Fettsäuren besteht, die sich von pflanzlichen oder tierischen Ölen oder beiden ableiten, gemischt mit einem geringen Anteil Mineralölkaltfließverbesserer umfasst, der ein oder mehrere der folgenden: - (I) Kammpolymer, das Copolymer von Maleinsäureanhydrid oder Fumarsäure und einem anderen ethylenisch ungesättigten Monomer, wobei das Copolymer verestert sein kann, oder Polymer oder Copolymer von α-Olefin, oder Fumarat- oder Itaconatpolymer oder -copolymer ist,
- (II) Polyoxyalkylen-ester, -ester/ether oder eine Mischung derselben,
- (III) Ethylen/ungesättigter Ester-Copolymer,
- (IV) polarer, organischer, stickstoffhaltiger Paraffinkristallwachstumshemmstoff,
- (V) Kohlenwasserstoffpolymer,
- (VI) Schwefelcarboxyverbindungen und
- (VII) mit Kohlenwasserstoffresten versehenes aromatisches Stockpunktsenkungsmittel
-
EP-B-0 543 356 offenbart ein Verfahren zur Herstellung von Zusammensetzungen mit verbessertem Tieftemperaturverhalten zum Einsatz als Kraftstoffe oder Schmiermittel, ausgehend von den Estern der aus natürlichen Vorkommen erhaltenen langkettigen Fettsäuren mit einwertigen C1-C6-Alkoholen (FAE) dadurch gekennzeichnet, dass man - a) an sich bekannte, zur Verbesserung des Tieftemperaturverhaltens von Mineralölen verwendete Additive PPD ("Pour Point Depressant") in Mengen von 0,0001 bis 10 Gew.-% bezogen auf die langkettigen Fettsäureester FAE zusetzt und
- b) auf eine Temperatur unterhalb des Cold Filter Plugging Point der nichtadditivierten, langkettigen Fettsäureester FAE abkühlt und
- c) die entstehenden Niederschläge (FAN) abtrennt.
-
DE-A-40 40 317 offenbart Mischungen von Fettsäureniedrigalkylestern mit verbesserter Kältestabilität enthaltend - a) 58 bis 95 Gew.-% mindestens eines Esters im Iodzahlbereich 50 bis 150, der sich von Fettsäuren mit 12 bis 22 Kohlenstoffatomen und niederen aliphatischen Alkoholen mit 1 bis 4 Kohlenstoffatomen ableitet,
- b) 4 bis 40 Gew.-% mindestens eines Esters von Fettsäuren mit 6 bis 14 Kohlenstoffatomen und niederen aliphatischen Alkoholen mit 1 bis 4 Kohlenstoffatomen und
- c) 0,1 bis 2 Gew.-% mindestens eines polymeren Esters.
-
EP-B-0 153 176 offenbart die Verwendung von Polymeren auf Basis ungesättigter C4-C8-Dicarbonsäure-di-Alkylester mit mittleren Alkylkettenlängen von 12 bis 14 als Kaltfließverbesserer für bestimmte Erdöldestillatbrennstofföle. Als geeignete Comonomere werden ungesättigte Ester, insbesondere Vinylacetat, aber auch α-Olefine genannt. -
EP-B-0 153 177 offenbart ein Additivkonzentrat, das eine Kombination aus I) einem Copolymer mit mindestens 25 Gew.-% eines n-Alkylesters einer monoethylenisch ungesättigten C4-C8-Mono- oder Dicarbonsäure, wobei die durchschnittliche Zahl der Kohlenstoffatome in den n-Alkylresten 12 - 14 ist und einem anderen ungesättigten Ester oder einem Olefin enthält, mit II) einem anderen Niedertemperaturfließverbesserer für Destillatbrennstofföle umfasst. -
(=WO 95/22300 EP 0 746 598 ) offenbart Kammpolymere, bei denen die Alkylreste im Durchschnitt weniger als 12 C-Atome aufweisen. Diese Additive sind insbesondere für Öle mit Cloud Points von weniger als -10°C geeignet, wobei es sich bei den Ölen auch um native Kohlenwasserstofföle handeln kann (Seite 21, Zeile 16 ff.). Native Öle haben jedoch Cloud Points von etwa -2°C aufwärts. -
EP-1380635 lehrt ein Additiv, enthaltend - A) ein Copolymer aus Ethylen und 8-21 mol-% mindestens eines Acryl- oder Vinylesters mit einem C1-C18-Alkylrest und
- B) ein Kammpolymer aus mindestens einem C8-C16-Alkylester einer ethylenisch ungesättigten Dicarbonsäure und mindestens einem C10-C20-Olefin, wobei die Summe Q
-
lehrt eine Brennstoffölzusammensetzung, die einen Biobrennstoff, ein Brennstofföl auf Erdölbasis und ein Additiv umfasst, welches (a) ein öllösliches Ethylencopolymer oder (b) ein Kammpolymer oder (c) eine polare Stickstoffverbindung oder (d) eine Verbindung, in der mindestens eine im Wesentlichen lineare Alkylgruppe mit 10 bis 30 Kohlenstoffatomen mit einem nicht polymeren organischen Rest verbunden ist, um mindestens eine lineare Kette von Atomen zu liefern, die die Kohlenstoffatome der Alkylgruppen und ein oder mehrere nicht endständige Sauerstoffatome einschließt, oder (e) eine oder mehrere der Komponenten (a), (b), (c) und (d) umfasst.WO-94/10267 -
lehrt Erdölmitteldestillate mit verbesserten Fließeigenschaften in der Kälte, enthaltend geringe MengenEP-A-485774 - A) herkömmlicher Fließverbesserer auf Ethylenbasis und
- B) Copolymere, die
- a) zu 10 bis 90 Mol-% aus einem oder mehreren Alkylacrylaten oder Alkylmethacrylaten mit C1- bis C30-Alkylketten und
- b) zu 5 bis 60 Mol-% aus einer oder mehreren ethylenisch ungesättigter Dicarbonsäuren oder deren Anhydride und
- c) zu 5 bis 60 Mol-% aus einem oder mehreren Alkylvinylethern mit C18- bis C28-Alkylseitenketten bestehen und
-
EP-A-0 626 442 undEP-A-0 694 125 offenbaren Fettsäureester, die zur Verbesserung der Kälteeigenschaften Pour Point Depressanten enthalten. Als PPDs werden genannt: Styrol-MSA-Copolymere, verestert mit einer Mischung aus kurzkettigen (Butanol) und längerkettigen C10-C18-Alkoholen, neutralisiert mit Aminopropylmorpholin; Poly(C4-24-alky)(meth)acrylate sowie deren Copolymere mit N-haltigen Monomeren; alkylverbrückte Alkylaromaten. -
EP-A-1 032 620 offenbart Poly(alkyl(meth)acrylate) mit breiter C-Kettenverteilung und hydroxyfunktionellen Comonomeren als Zusatz für Mineralöl und Biodiesel. - Mit den bekannten Additiven ist es ist es bisher oftmals nicht möglich, Fettsäureester auf einen für die Verwendung als Winterdiesel in Mitteleuropa geforderten CFPP-Wert von -20°C sowie für spezielle Anwendungen von -22°C und darunter sicher einzustellen. Problematisch bei den bekannten Additiven ist darüber hinaus eine mangelnde Kältewechselbeständigkeit der additivierten Öle, d.h. der eingestellte CFPP-Wert der Öle steigt allmählich an, wenn das Öl längere Zeit bei wechselnden Temperaturen im Bereich des Cloud Points oder darunter gelagert wird.
- Es bestand somit die Aufgabe, Additive zur Verbesserung des Kaltfließverhaltens von Fettsäureestern, die beispielsweise aus Raps-, Sonnenblumen- und/oder Sojaöl abgeleitet sind, zur Verfügung zu stellen, wobei CFPP-Werte von -20°C und darunter einzustellen sind und der eingestellte CFPP-Wert auch bei längerer Lagerung des Öls im Bereich seines Cloud Points bzw. darunter konstant bleibt.
- Überraschenderweise wurde nun gefunden, dass ein Ethylencopolymere und Kammpolymere enthaltendes Additiv ein ausgezeichneter Fließverbesserer für solche Fettsäureester ist.
- Gegenstand der Erfindung ist eine Brennstoffölzusammensetzung, enthaltend ein Brennstofföl tierischen oder pflanzlichen Ursprungs und 0,001 bis 5 Gew.-% eines Additivs, enthaltend im Gewichtsverhältnis A:B = 10:1 bis 1:10
- A) mindestens ein Copolymer aus Ethylen und 8-21 Mol-% mindestens eines Acryl- oder Vinylesters mit einem C1-C18-Alkylrest und
- B) mindestens ein Kammpolymer mit zahlenmittlerem Molekulargewicht Mw von 1000 bis 100.000 g/mol, gemessen mittels GPC gegen Polystyrol, enthaltend mindestens 80 mol-% Struktureinheiten mit C8-C16-Alkylresten, wobei die Struktureinheiten ausgewählt sind aus C8-C16-Alkyl(meth)acrylaten, C8-C16-Alkylvinylestern, C8-C16-Alkylvinylethern, C8-C16-Alkyl(meth)acrylamiden, C8-C16-Alkylallylethern und C8-C16-Alkyldiketenen
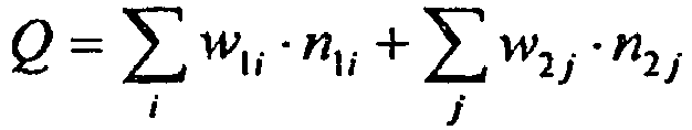
- m1, m2, ... mg
- die Molenbrüche der oben genannten Monomere B) im Polymer sind, wobei die Summe der Molenbrüche m1 bis mg = 1 ist,
- W1i, w1j..w2j, w2j...wgp
- die Gewichtsanteile der einzelnen Kettenlängen i, j,.... p der Alkylreste der verschiedenen Monomeren B) 1 bis g sind, und
- n1i, n1j..n2i, n2j...ngp
- die Kettenlängen der Alkylreste i, j, .... p der Monomere B) 1 bis g sind.
- Ein weiterer Gegenstand der Erfindung ist ein Additiv wie oben definiert.
- Ein weiterer Gegenstand der Erfindung ist die Verwendung des oben definierten Additivs zur Verbesserung der Kaltfließeigenschaften von Brennstoffölen tierischen oder pflanzlichen Ursprungs.
- In einer bevorzugten Ausführungsform der Erfindung hat R Werte von 11,5 bis 13,5 und speziell 12,0 bis 13,0.
- Als Ethylen-Copolymere A) eignen sich solche, die 8 bis 21 Mol-% eines oder mehrerer Vinyl- und/oder (Meth)acrylester und 79 bis 92 Gew.-% Ethylen enthalten. Besonders bevorzugt sind Ethylen-Copolymere mit 10 bis 18 Mol-% und speziell 12 bis 16 Mol-% mindestens eines Vinylesters. Geeignete Vinylester leiten sich von Fettsäuren mit linearen oder verzweigten Alkylgruppen mit 1 bis 30 C-Atomen und bevorzugt 1 bis 18, speziell 1 bis 12 C-Atomen, ab. Als Beispiele seien genannt Vinylacetat, Vinylpropionat, Vinylbutyrat, Vinylhexanoat, Vinylheptanoat, Vinyloctanoat, Vinyllaurat und Vinylstearat sowie auf verzweigten Fettsäuren basierende Ester des Vinylalkohols wie Vinyl-iso-butyrat, Pivalinsäurevinylester, Vinyl-2-ethylhexanoat, iso-Nonansäurevinylester, Neononansäurevinylester, Neodecansäurevinylester und Neoundecansäurevinylester. Besonders bevorzugt ist Vinylacetat. Als Comonomere ebenfalls geeignet sind Ester der Acryl- und Methacrylsäure mit 1 bis 20 C-Atomen im Alkylrest wie Methyl(meth)acrylat, Ethyl(meth)acrylat, Propyl(meth)acrylat, n- und iso-Butyl(meth)acrylat, Hexyl-, Octyl-, 2-Ethylhexyl-, Decyl-, Dodecyl-, Tetradecyl-, Hexadecyl-, Octadecyl(meth)acrylat sowie Mischungen aus zwei, drei, vier oder auch mehreren dieser Comonomere.
- Besonders bevorzugte Terpolymerisate des 2-Ethylhexansäurevinylesters, des Neononansäurevinylesters bzw. des Neodecansäurevinylesters enthalten außer Ethylen bevorzugt 3,5 bis 20 Mol-%, insbesondere 8 bis 15 Mol-% Vinylacetat und 0,1 bis 12 Mol-%, insbesondere 0,2 bis 5 Mol-% mindestens eines langkettigen Vinylesters, wobei der gesamte Comonomergehalt zwischen 8 und 21 Mol-%, bevorzugt zwischen 12 und 18 Mol-% liegt. Weitere bevorzugte Copolymere enthalten neben Ethylen und 8 bis 18 Mol-% Vinylestern noch 0,5 bis 10 Mol-% Olefine wie Propen, Buten, Isobutylen, Hexen, 4-Methylpenten, Octen, Diisobutylen und/oder Norbornen.
- Die Copolymere A haben bevorzugt Molekulargewichte, die Schmelzviskositäten bei 140°C von 20 bis 10.000 mPas insbesondere 30 bis 5.000 mPas und speziell 50 bis 1.000 mPas entsprechen. Die mittels 1H-NMR-Spektroskopie bestimmten Verzweigungsgrade liegen bevorzugt zwischen 1 und 9 CH3/100 CH2-Gruppen, insbesondere zwischen 2 und 6 CH3/100 CH2-Gruppen wie beispielsweise 2,5 bis 5 CH3/100 CH2-Gruppen, die nicht aus den Comonomeren stammen.
- Die Copolymere (A) sind durch übliche Copolymerisationsverfahren wie beispielsweise Suspensionspolymerisation, Lösungsmittelpolymerisation, Gasphasenpolymerisation oder Hochdruckmassepolymerisation herstellbar. Bevorzugt wird die Hochdruckmassepolymerisation bei Drucken von 50 bis 400 MPa, bevorzugt 100 bis 300 MPa und Temperaturen von 100 bis 300°C, bevorzugt 150 bis 220°C durchgeführt. In einer besonders bevorzugten Herstellungsvariante erfolgt die Polymerisation in einem Mehrzonenreaktor, wobei die Temperaturdifferenz zwischen den Peroxiddosierungen entlang des Rohrreaktors möglichst niedrig gehalten wird, d.h. < 50°C, bevorzugt < 30°C, insbesondere <15°C. Bevorzugt differieren die Temperaturmaxima in den einzelnen Reaktionszonen dabei um weniger als 30°C, besonders bevorzugt um weniger als 20°C und speziell um weniger als 10°C.
- Die Reaktion der Monomeren wird durch Radikale bildende Initiatoren (Radikalkettenstarter) eingeleitet. Zu dieser Substanzklasse gehören z.B. Sauerstoff, Hydroperoxide, Peroxide und Azoverbindungen wie Cumolhydroperoxid, t-Butylhydroperoxid, Dilauroylperoxid, Dibenzoylperoxid, Bis(2-ethylhexyl)peroxid-carbonat, t-Butylperpivalat, t-Butylpermaleinat, t-Butylperbenzoat, Dicumylperoxid, t-Butylcumylperoxid, Di-(t-butyl)peroxid, 2,2'-Azo-bis(2-methylpropanonitril), 2,2'-Azo-bis(2-methylbutyronitril). Die Initiatoren werden einzeln oder als Gemisch aus zwei oder mehr Substanzen in Mengen von 0,01 bis 20 Gew.-%, vorzugsweise 0,05 bis 10 Gew.-%, bezogen auf das Monomerengemisch, eingesetzt.
- Die Hochdruckmassepolymerisation wird in bekannten Hochdruckreaktoren, z.B. Autoklaven oder Rohrreaktoren, diskontinuierlich oder kontinuierlich durchgeführt, besonders bewährt haben sich Rohrreaktoren. Lösungsmittel wie aliphatische und/oder aromatische Kohlenwasserstoffe oder Kohlenwasserstoffgemische, Benzol oder Toluol, können im Reaktionsgemisch enthalten sein. Bevorzugt ist die im wesentlichen lösungsmittelfreie Arbeitsweise. In einer bevorzugten Ausführungsform der Polymerisation wird das Gemisch aus den Monomeren, dem Initiator und, sofern eingesetzt, dem Moderator, einem Rohrreaktor über den Reaktoreingang sowie über einen oder mehrere Seitenäste zugeführt. Bevorzugte Moderatoren sind beispielsweise Wasserstoff, gesättigte und ungesättigte Kohlenwasserstoffe wie beispielsweise Propan oder Propen, Aldehyde wie beispielsweise Propionaldehyd, n-Butyraldehyd oder iso-Butyraldehyd, Ketone wie beispielsweise Aceton, Methylethylketon, Methylisobutylketon, Cyclohexanon und Alkohole wie beispielsweise Butanol. Die Comonomeren wie auch die Moderatoren können dabei sowohl gemeinsam mit Ethylen als auch getrennt über Seitenströme in den Reaktor dosiert werden. Hierbei können die Monomerenströme unterschiedlich zusammengesetzt sein (
EP-A-0 271 738 undEP-A-0 922 716 ). - Als geeignete Co- bzw. Terpolymere sind beispielsweise zu nennen: Ethylen-Vinylacetat-Copolymere mit 10 - 40 Gew.-% Vinylacetat und 60 -90 Gew.-% Ethylen; die aus
DE-A-34 43 475 bekannten Ethylen-Vinylacetat-Hexen-Terpolymere; die inEP-B-0 203 554 beschriebenen Ethylen-Vinylacetat-Diisobutylen-Terpolymere; die ausEP-B-0 254 284 bekannte Mischung aus einem Ethylen-Vinylacetat-Diisobutylen-Terpolymerisat und einem EthylenNinylacetat-Copolymer; die inEP-B-0 405 270 offenbarten Mischungen aus einem Ethylen-Vinylacetat-Copolymer und einem Ethylen-Vinylacetat-N-Vinylpyrrolidon-Terpolymerisat; die inEP-B-0 463 518 beschriebenen Ethylen/Vinylacetat/isoButylvinylether-Terpolymere; die ausEP-B-0 493 769 bekannten EthylenNinylacetat/Neononansäurevinylester bzw. Neodecansäurevinylester-Terpolymere, die außer Ethylen 10 - 35 Gew.-% Vinylacetat und 1 - 25 Gew.-% der jeweiligen Neoverbindung enthalten; die inEP-0 778 875 beschriebenen Terpolymere aus Ethylen, einem ersten Vinylester mit bis zu 4 C-Atomen und einem zweiten Vinylester, der sich von einer verzweigten Carbonsäure mit bis zu 7 C-Atomen oder einer verzweigten aber nicht tertiären Carbonsäure mit 8 bis 15 C-Atomen ableitet; die inDE-A-196 20 118 beschriebenen Terpolymere aus Ethylen, dem Vinylester einer oder mehrerer aliphatischer C2- bis C20-Monocarbonsäuren und 4-Methylpenten-1; die inDE-A-196 20 119 offenbarten Terpolymere aus Ethylen, dem Vinylester einer oder mehrerer aliphatischer C2- bis C20-Monocarbonsäuren und Bicyclo[2.2.1]hept-2-en; die inEP-A-0 926 168 beschriebenen Terpolymere aus Ethylen und wenigstens einem olefinisch ungesättigten Comonomer, das eine oder mehrere Hydroxylgruppen enthält. - Bevorzugt werden Mischungen gleicher oder verschiedener Ethylencopolymere eingesetzt. Besonders bevorzugt unterscheiden sich die den Mischungen zu Grunde liegenden Polymere in mindestens einem Charakteristikum. Beispielsweise können sie unterschiedliche Comonomere enthalten, unterschiedliche Comonomergehalte, Molekulargewichte und/oder Verzweigungsgrade aufweisen. Das Mischungsverhältnis der verschiedenen Ethylen-Copolymere liegt dabei bevorzugt zwischen 20:1 und 1:20, bevorzugt 10:1 bis 1:10, insbesondere 5:1 bis 1:5.
- Die Copolymere B leiten sich von Alkylacrylaten, Alkylmethacrylaten, Alkylacrylamiden, Alkylmethacrylamiden, Alkylvinylestern, Alkylvinylethern, Alkylallylethern sowie Alkyldiketenen mit 8 bis 16 C-Atomen im Alkylrest ab. Diese Comonomere werden im folgenden als Comonomere B1) bezeichnet.
- In einer bevorzugten Ausführungsform handelt es sich bei den Copolymeren, die Bestandteil B ausmachen, um solche, welche Comonomere enthalten, die von Estern, Amiden und/oder Imiden ethylenisch ungesättigter Monocarbonsäuren mit 3 bis 8 Kohlenstoffatomen mit Alkoholen bzw. Aminen abgeleitet sind, worin die Alkohole bzw. Amine Alkylreste mit 8 bis 16 Kohlenstoffatomen tragen.
- Gegebenenfalls können die Copolymere B) auch Comonomere B2) enthalten, welche i) Ester, Amide und/oder Imide aus ethylenisch ungesättigten Dicarbonsäuren mit 4 bis 8 C-Atomen und Alkoholen bzw. Aminen mit 8 bis 16 C-Atomen in den Alkylresten und/oder ii) C10- bis C20-Olefine sind.
- Die Alkylreste der Comonomere B1 und B2 sind bevorzugt linear, können aber auch untergeordnete Mengen an verzweigten Isomeren von bis zu 30 mol.-%, bevorzugt bis zu 20 mol-% und insbesondere 2 bis 5 mol-% enthalten.
- Bevorzugt beträgt der Anteil der Comonomere B1) und gegebenenfalls B2) im Polymer mehr als 50 mol-%, insbesondere mehr als 70 mol-% und speziell mindestens 80 mol-% wie beispielsweise 90 bis 95 mol-%. Der Anteil der Monomere B2), sofern anwesend, liegt bevorzugt bei weniger als 80 mol-%, insbesondere weniger als 50 mol-% und speziell bei weniger als 20 mol-% wie beispielsweise bei 2 bis 10 mol-% der Gesamtmenge der Monomere B1) und B2). Besonders bevorzugt bestehen die Polymere B) nur aus den Monomeren B1) und gegebenenfalls B2), die sich dann zu 100 mol-% addieren.
- Bevorzugte Monomere der Copolymere B) sind Ester der Acrylsäure, Methacrylsäure, Maleinsäure, Fumarsäure und Itaconsäure mit Octanol, Nonanol, Decanol, Undecanol, Dodecanol, n-Tridecanol, iso-Tridecanol, Tetradecanol, Pentadecanol, Hexadecanol und deren Mischungen. Bevorzugte Monomere sind weiterhin Amide und gegebenenfalls Imide dieser Säuren mit Octylamin, Nonylamin, Decylamin, Undecylamin, Dodecylamin, Tridecylamin, Tetradecylamin, Pentadecylamin, Hexadecylamin und deren Mischungen.
- In einer bevorzugten Ausführungsform enthalten die Copolymere, die Bestandteil B ausmachen, Comonomere, welche Ester und/oder Ether aus ethylenisch ungesättigten Alkoholen mit 2 bis 10 Kohlenstoffatomen, und Carbonsäuren bzw. Alkoholen, welche Alkylreste mit 8 bis 16 Kohlenstoffatomen tragen, sind.
- Solche bevorzugten Monomere der Copolymere B) sind beispielsweise Ester des Vinylalkohols mit Octansäure, 2-Ethylhexansäure, Nonansäure, Neononansäure, Decansäure, Neodecansäure, Undecansäure, Neoundecansäure, Dodecansäure, Tridecansäure, Tetradecansäure, Pentadecansäure, Hexadecansäure und deren Mischungen.
- Weitere bevorzugte Monomere der Copolymere B) sind beispielsweise Ether des Allyl- und insbesondere des Vinylalkohols mit Octanol, Nonanol, Decanol, Undecanol, Dodecanol, n-Tridecanol, iso-Tridecanol, Tetradecanol, Pentadecanol, Hexadecanol und deren Mischungen.
- Als Comonomere B2 sind ebenfalls Olefine mit 10-20 C-Atomen, bevorzugt mit 12-18 C-Atomen und insbesondere mit 10-16 C-Atomen geeignet. Hierbei handelt es sich bevorzugt um lineare α-Olefine mit endständiger Doppelbindung. In einer weiteren bevorzugten Ausführungsform handelt es sich um verzweigte Olefine wie insbesondere Oligomere des Isobutylens und des Propylens mit 10 bis 20 C-Atomen.
- Weitere Monomere wie Alkyl(meth)acrylate, Alkylvinylester, Alkylvinylether mit 1 bis 5 C-Atomen im Alkylrest sowie ethylenisch ungesättigte freie Carbonsäuren wie beispielsweise Acrylsäure, Methacrylsäure, Maleinsäure, Fumarsäure, Itaconsäure sowie funktionelle Gruppen wie beispielsweise -OH, -SH, -N-, -CN tragende Monomere können in untergeordneten Mengen von < 20 mol-%, < 10 mol-%, < 5 mol-%, ebenfalls in den Copolymeren B anwesend sein. In untergeordneten Mengen von bis zu 20 mol-%, bevorzugt <10 mol-%, speziell < 5 mol-% können auch weitere Comonomere enthalten sein, die mit den genannten Monomeren copolymerisierbar sind, wie z.B. Allylpolyglykolether, Vinylaromaten und höhermolekulare Olefine wie Poly(isobutylen).
-
- R1
- Wasserstoff oder Methyl,
- R2
- Wasserstoff oder C1-C4-Alkyl,
- m
- eine Zahl von 1 bis 100,
- R3
- C1-C24-Alkyl, C5-C20-Cycloalkyl, C6-C18-Aryl oder -C(O)-R4,
- R4
- C1-C40-Alkyl, C5-C10-Cycloalkyl oder C6-C18-Aryl, bedeuten.
- Alle nicht unter die oben angegebenen Definitionen von B1) und/oder B2) fallenden Comonomere werden bei der Berechnung des Faktors R nicht berücksichtigt.
- Die erfindungsgemäßen Polymere können durch direkte Polymerisation aus den genannten Monomeren in bekannten Polymerisationsverfahren wie Masse-, Lösungs-, Emulsion-, Suspensions- oder Fällungspolymerisation hergestellt werden.
- Des gleichen können sie durch Derivatisierung eines z.B. Säure- oder Hydroxylgruppen tragenden Basispolymers mit entsprechenden Fettsäuren, Fettalkoholen oder Fettaminen mit 8 bis 16 C-Atomen im Alkylrest hergestellt werden. Die Veresterungen, Veretherungen, Amidierungen und/oder Imidierungen erfolgen nach bekannten Kondensationsverfahren. Dabei kann die Derivatisierung vollständig oder partiell sein. Partiell veresterte oder amidierte, säurebasierende Polymere haben (lösemittelfrei) bevorzugt Säurezahlen von 60 - 140 mg KOH/g und insbesondere von 80 - 120 mg KOH/g. Copolymere mit Säurezahlen von weniger als 80, speziell weniger als 60 mg KOH/g werden als vollständig derivatisiert betrachtet. Partiell veresterte oder veretherte Hydroxylgruppen tragende Polymere haben OH-Zahlen von 40 bis 200 mg KOH/g, bevorzugt 60 bis 150 mg KOH/g; Copolymere mit Hydroxylzahlen von weniger als 60 und insbesondere weniger als 40 mg KOH/g werden als vollständig derivatisiert betrachtet. Besonders bevorzugt sind partiell derivatisierte Polymere.
- Für die Derivatisierung mit Fettalkoholen und/oder Aminen zu Estern und/oder Amiden geeignete Säuregruppen tragende Polymere sind Homo- und Copolymere ethylenisch ungesättigter Carbonsäuren wie beispielsweise Acrylsäure, Methacrylsäure, Maleinsäure, Fumarsäure, Itaconsäure bzw. deren reaktive Equivalente wie niedere Ester oder Anhydride wie beispielsweise Methacrylsäuremethylester und Maleinsäureanhydrid untereinander wie auch mit weiteren mit diesen Säuren copolymerisierbaren Monomeren. Geeignete Beispiele sind Poly(acrylsäure), Poly(methacrylsäure), Poly(maleinsäure), Poly(maleinsäureanhydrid), Poly(acrylsäure-co-maleinsäure).
- Geeignete Fettalkohole und Fettamine sind insbesondere linear, sie können jedoch auch untergeordnete Mengen, z. B. bis zu 30 Gew.-%, bevorzugt bis zu 20 Gew.-% und speziell bis zu 10 Gew.-% verzweigte Alkylreste enthalten. Die Verzweigungen befinden sich bevorzugt in 1- oder 2-Position. Kürzer- wie auch längerkettige Fettalkohole bzw. Fettamine können eingesetzt werden, doch liegt ihr Anteil bevorzugt unter 20 mol-% und speziell unter 10 mol-% wie beispielsweise zwischen 1 und 5 mol-% bezogen auf die Gesamtmenge der eingesetzten Amine.
- Besonders bevorzugte Fettalkohole sind Octanol, Decanol, Undecanol, Dodecanol, Tridecanol, Tetradecanol, Pentadecanol und Hexadecanol.
- Geeignete Amine sind primäre und sekundäre Amine mit einem oder zwei C8-C16-Alkylresten. Sie können eine, zwei oder drei Aminogruppen tragen, die über Alkylenreste mit zwei oder drei C-Atomen verknüpft sind. Bevorzugt sind Monoamine. Besonders bevorzugt als primäre Amine sind Octylamin, 2-Ethylhexylamin, Decylamin, Undecylamin, Dodecylamin, n-Tridecylamin, iso-Tridecylamin, Tetradecylamin, Pentadecylamin, Hexadecylamin und deren Mischungen. Bevorzugte sekundäre Amine sind Dioctylamin, Dinonylamin, Didecylamin, Didodecylamin, Ditetradecylamin, Dihexadecylamin, sowie Amine mit unterschiedlichen Alkylkettenlängen wie beispielsweise N-Octyl-N-decylamin, N-Decyl-N-dodecylamin, N-Decyl-N-tetradecylamin, N-Decyl-N-hexadecylamin, N-Dodecyl-N-tetradecylamin, N-Dodecyl-N-hexadecylamin, N-Tetradecyl-N-hexadecylamin. Auch sekundäre Amine, die neben einem C8-C16-Alkylrest kürzere Seitenketten mit 1 bis 5 C-Atomen wie beispielsweise Methyl- oder Ethylgruppen tragen, sind erfindungsgemäß geeignet. Bei sekundären Aminen wird für die Berechnung des Q-Faktors als Alkylkettenlänge n der Mittelwert der Alkylkettenlängen von C8 bis C16 berücksichtigt. Kürzere wie längere Alkylreste, sofern anwesend, werden bei der Berechnung nicht berücksichtigt, da sie nicht zur Wirksamkeit der Additive beitragen. Daher liegt der Anteil kürzerer und längerer Alkylketten bevorzugt unter 20 mol-%, bevorzugt unter 10 mol-% bezogen auf die Gesamtmenge an eingesetztem Amin. Besonders bevorzugt sind von primären Monoaminen abgeleitete Amide und Imide.
- Für die Derivatisierung mit Fettsäuren und/oder Fettalkoholen zu Estern und/oder Ethern besonders geeignete Hydroxylgruppen tragende Polymere sind Homo- und Copolymere Hydroxylgruppen tragender Monomere wie Vinylalkohol, Allylalkohol oder auch Hydroxyethylacrylat, Hydroxyethylmethacrylat, Hydroxypropylacrylat und Hydroxypropylmethacrylat. Geeignete Fettsäuren haben 8 bis 16 Kohlenstoffatome im Alkylrest. Der Alkylrest ist im wesentlichen linear, kann aber auch untergeordnete Mengen, z. B. bis zu 30 Gew.-%, bevorzugt bis zu 20 Gew.-% und speziell bis zu 10 Gew.-% an verzweigten Isomeren enthalten. Besonders geeignet sind Nonansäure, Decansäure, Undecansäure, Dodecansäure, Tridecansäure, Tetradecansäure, Pentadecansäure, Hexadecansäure, Heptadecansäure und Octadecansäure und Nonadecansäure sowie deren Mischungen.
- Durch Einsatz von Mischungen verschiedener Fettsäuren, Alkohole und/oder Amine bei der Veresterung, Veretherung, Amidierung bzw. Imidierung kann die Wirksamkeit der erfindungsgemäßen Additive weiter auf spezielle Fettsäureesterzusammensetzungen angepasst werden.
- Die Molekulargewichte der erfindungegemäßen Copolymere B liegen zwischen 1.000 und 100.000, insbesondere zwischen 2.000 und 50.000 und insbesondere zwischen 2.500 und 25.000 g/mol, gemessen mittels Gelpermeationschromatographie (GPC) gegen Poly(styrol). Erfindungsgemäße Copolymere B müssen in praxisrelevanten Dosiermengen öllöslich sein, das heißt sie müssen sich in dem zu additivierenden Öl bei 50°C rückstandsfrei lösen.
- In einer bevorzugten Ausführungsform werden Mischungen der erfindungsgemäßen Copolymere B eingesetzt, mit der Maßgabe, dass der Mittelwert der R-Werte der Mischungskomponenten wiederum Werte von 11 bis 14, bevorzugt von 11,5 bis 13,5 und insbesondere Werte von 12,0 bis 13,0 annimmt.
- Das Mischungsverhältnis der erfindungsgemäßen Additive A und B beträgt (in Gewichtsteilen) 20:1 bis 1:20, vorzugsweise 10:1 bis 1:10, insbesondere 5:1 bis 1:2.
- Die erfindungsgemäßen Additive werden Ölen in Mengen von 0,001 bis 5 Gew.-%, bevorzugt 0,005 bis 1 Gew.-% und speziell 0,01 bis 0,5 Gew.-% zugesetzt. Dabei können sie als solche oder auch gelöst bzw. dispergiert in Lösemitteln, wie z.B. aliphatischen und/oder aromatischen Kohlenwasserstoffen oder Kohlenwasserstoffgemischen wie z.B. Toluol, Xylol, Ethylbenzol, Decan, Pentadecan, Benzinfraktionen, Kerosin, Naphtha, Diesel, Heizöl, Isoparaffine oder kommerziellen Lösemittelgemischen wie Solvent Naphtha, ®Shellsol AB, ®Solvesso 150, ®Solvesso 200, ®Exxsol-, ®Isopar- und ®Shellsol D-Typen eingesetzt werden. Bevorzugt sind sie in Brennstofföl tierischen oder pflanzlichen Ursprungs auf Basis von Fettsäurealkylestern gelöst. Bevorzugt enthalten die erfindungsgemäßen Additive 1 - 80 %, speziell 10 - 70 %, insbesondere 25 - 60 % (m/m) Lösemittel.
- In einer bevorzugten Ausführungsform handelt es sich bei dem Brennstofföl, das häufig auch als "Biodiesel" oder "Biokraftstoff" bezeichnet wird, um Fettsäurealkylester aus Fettsäuren mit 12 bis 24 C-Atomen und Alkoholen mit 1 bis 4 C-Atomen. Gewöhnlich enthält ein größerer Teil der Fettsäuren ein, zwei oder drei Doppelbindungen.
- Beispiele für Öle, die sich von tierischem oder pflanzlichem Material ableiten, und in denen das erfindungsgemäße Additiv verwendet werden kann, sind Rapsöl, Korianderöl, Sojaöl, Baumwollsamenöl, Sonnenblumenöl, Ricinusöl, Olivenöl, Erdnussöl, Maisöl, Mandelöl, Palmkernöl, Kokosnussöl, Senfsamenöl, Rindertalg, Knochenöl, Fischöle und gebrauchte Speiseöle. Weitere Beispiele schließen Öle ein, die sich von Weizen, Jute, Sesam, Scheabaumnuß, Arachisöl und Leinöl ableiten. Die auch als Biodiesel bezeichneten Fettsäurealkylester können aus diesen Ölen nach im Stand der Technik bekannten Verfahren abgeleitet werden. Rapsöl, das eine Mischung von mit Glycerin partiell veresterten Fettsäuren ist, ist bevorzugt, da es in großen Mengen erhältlich ist und in einfacher Weise durch Auspressen von Rapssamen erhältlich ist. Des weiteren sind die ebenfalls weit verbreiteten Öle von Sonnenblumen und Soja sowie deren Mischungen mit Rapsöl bevorzugt.
- Besonders geeignet als Biokraftstoffe sind niedrige Alkylester von Fettsäuren. Hier kommen beispielsweise handelsübliche Mischungen der Ethyl-, Propyl-, Butyl- und insbesondere Methylester von Fettsäuren mit 14 bis 22 Kohlenstoffatomen, beispielsweise von Laurinsäure, Myristinsäure, Palmitinsäure, Palmitolsäure, Stearinsäure, Ölsäure, Elaidinsäure, Petroselinsäure, Ricinolsäure, Elaeostearinsäure, Linolsäure, Linolensäure, Eicosansäure, Gadoleinsäure, Docosansäure oder Erucasäure in Betracht, die bevorzugt eine Iodzahl von 50 bis 150, insbesondere 90 bis 125 haben. Mischungen mit besonders vorteilhaften Eigenschaften sind solche, die hauptsächlich, d. h. zu mindestens 50 Gew.-%, Methylester von Fettsäuren mit 16 bis 22 Kohlenstoffatomen und 1, 2 oder 3 Doppelbindungen enthalten. Die bevorzugten niedrigeren Alkylester von Fettsäuren sind die Methylester von Ölsäure, Linolsäure, Linolensäure und Erucasäure.
- Handelsübliche Mischungen der genannten Art werden beispielsweise durch Spaltung und Veresterung bzw. durch Umesterung von tierischen und pflanzlichen Fetten und Ölen mit niedrigen aliphatischen Alkoholen erhalten. Des gleichen sind auch gebrauchte Speiseöle als Ausgangsprodukte geeignet. Zur Herstellung von niedrigeren Alkylestern von Fettsäuren ist es vorteilhaft, von Fetten und Ölen mit hoher Iodzahl auszugehen, wie beispielsweise Sonnenblumenöl, Rapsöl, Korianderöl, Castoröl (Ricinusöl), Sojaöl, Baumwollsamenöl, Erdnussöl oder Rindertalg. Niedrigere Alkylester von Fettsäuren auf Basis einer neuen Rapsölsorte, deren Fettsäurekomponente zu mehr als 80 Gew.-% von ungesättigten Fettsäuren mit 18 Kohlenstoffatomen abgeleitet ist, sind bevorzugt.
- Somit ist ein Biokraftstoff ein Öl, das aus pflanzlichem oder tierischem Material oder beidem erhalten wird oder ein Derivat derselben, welches als Kraftstoff und insbesondere als Diesel oder Heizöl verwendet werden kann. Obwohl viele der obigen Öle als Biokraftstoffe verwendet werden können, sind Pflanzenölderivate bevorzugt, wobei besonders bevorzugte Biokraftstoffe Alkylesterderivate von Rapsöl, Baumwollsaatöl, Sojaöl, Sonnenblumenöl, Olivenöl oder Palmöl sind, wobei Rapsölsäuremethylester, Sonnenblumenölsäuremethylester und Sojaölsäuremethylester ganz besonders bevorzugt sind. Besonders bevorzugt als Biokraftstoff bzw. als Komponente im Biokraftstoff sind darüber hinaus auch Altfettester wie beispielsweise Altfettmethylester.
- Das Additiv kann dem zu additivierenden Öl gemäß im Stand der Technik bekannten Verfahren eingebracht werden. Wenn mehr als eine Additivkomponente oder Coadditivkomponente verwendet werden soll, können solche Komponenten zusammen oder separat in beliebiger Kombination in das Öl eingebracht werden.
- Mit den erfindungsgemäßen Additiven läßt sich der CFPP-Wert von Biodiesel auf Werte von unter -20°C und zum Teil auf Werte von unter -25°C einstellen, wie sie für die Vermarktung für einen Einsatz insbesondere im Winter gefordert werden. Des gleichen wird der Pour Point von Biodiesel durch den Zusatz der erfindungsgemäßen Additive herabgesetzt. Die erfindungsgemäßen Additive sind besonders vorteilhaft in problematischen Ölen, die einen hohen Anteil an Estern gesättigter Fettsäuren von mehr als 4 % insbesondere von mehr als 5 % und speziell mit 7 bis 25 % wie beispielsweise mit 8 bis 20 %, wie sie beispielsweise in Ölen aus Sonnenblumen und Soja enthalten sind. Derartige Öle sind charakterisiert durch Cloud Points von über - 5°C und speziell von über -3°C. Es gelingt mit den erfindungsgemäßen Additiven somit auch, Mischungen aus Rapsölsäuremethylester und Sonnenblumen- und/oder Sojaölfettsäuremethylester auf CFPP-Werte von -20°C und darunter einzustellen. Darüberhinaus haben die so additivierten Öle eine gute Kältewechselstabilität, das heißt der CFPP-Wert bleibt auch bei Lagerung unter winterlichen Bedingungen konstant.
- Zur Herstellung von Additivpaketen für spezielle Problemlösungen können die erfindungsgemäßen Additive auch zusammen mit einem oder mehreren öllöslichen Co-Additiven eingesetzt werden, die bereits für sich allein die Kaltfließeigenschaften von Rohölen, Schmierölen oder Brennölen verbessern. Beispiele solcher Co-Additive sind polare Verbindungen, die eine Paraffindispergierung bewirken (Paraffindispergatoren) sowie öllösliche Amphiphile.
- Paraffindispergatoren reduzieren die Größe der Paraffinkristalle und bewirken, dass die Paraffinpartikel sich nicht absetzen, sondern kolloidal mit deutlich reduziertem Sedimentationsbestreben, dispergiert bleiben. Als Paraffindispergatoren haben sich sowohl niedermolekulare wie auch polymere, öllösliche Verbindungen mit ionischen oder polaren Gruppen, z.B. Aminsalze und/oder Amide bewährt. Besonders bevorzugte Paraffindispergatoren enthalten Umsetzungsprodukte sekundärer Fettamine mit 20 bis 44 C-Atomen, insbesondere Dicocosamin, Ditalgfettamin, Distearylamin und Dibehenylamin mit Carbonsäuren und deren Derivaten. Besonders bewährt haben sich Paraffindispergatoren, die durch Reaktion aliphatischer oder aromatischer Amine, vorzugsweise langkettiger aliphatischer Amine, mit aliphatischen oder aromatischen Mono-, Di-, Tri- oder Tetracarbonsäuren oder deren Anhydriden erhalten werden (vgl.
US 4 211 534 ). Des gleichen sind Amide und Ammoniumsalze von Aminoalkylenpolycarbönsäuren wie Nitrilotriessigsäure oder Ethylendiamintetraessigsäure mit sekundären Aminen als Paraffindispergatoren geeignet (vgl.EP 0 398 101 ). Andere Paraffindispergatoren sind Copolymere des Maleinsäureanhydrids und α,β-ungesättigter Verbindungen, die gegebenenfalls mit primären Monoalkylaminen und/oder aliphatischen Alkoholen umgesetzt werden können (vgl.EP 0 154 177 ) und die Umsetzungsprodukte von Alkenylspirobislactonen mit Aminen (vgl.EP 0 413 279 B1 ) und nachEP 0 606 055 A2 Umsetzungsprodukte von Terpolymeren auf Basis α,β-ungesättigter Dicarbonsäureanhydride, α,β-ungesättigter Verbindungen und Polyoxyalkylenether niederer ungesättigter Alkohole. - Das Mischverhältnis (in Gewichtsteilen) der erfindungsgemäßen Additive mit Paraffindispergatoren beträgt 1:10 bis 20:1, vorzugsweise 1:1 bis 10:1.
- Die Additive können allein oder auch zusammen mit anderen Additiven verwendet werden, z.B. mit anderen Stockpunkterniedrigern oder Entwachsungshilfsmitteln, mit Antioxidantien, Cetanzahlverbesserern, Dehazern, Demulgatoren, Detergenzien, Dispergatoren, Entschäumern, Farbstoffen, Korrosionsinhibitoren, Leitfähigkeitsverbesserern, Schlamminhibitoren, Odorantien, und/oder Zusätzen zur Erniedrigung des Cloud-Points.
- Die Bestimmung des CFPP-Werts erfolgt gemäß EN 116 und die Bestimmung des Cloud Points gemäß ISO 3015.
Tabelle 1: Charakterisierung der eingesetzten Testöle Öl Nr. CP CFPP E 1 Rapsölsäuremethylester -2,3 -14°C E 2 80% Rapsölsäuremethylester + 20 % Sonnenblumenölsäuremethylester -1,6 -10°C E 3 90% Rapsölsäuremethylester + 10 % Sojaölsäuremethylester -2,0 -8°C Tabelle 2: C-Kettenverteilung der zur Herstellung der Testöle eingesetzten Fettsäuremethylester (Hauptbestandteile; FI.-% gemäß GC): C16 C16' C18 C18' C18" C18"' C20 C20' C22 Σ gesättigt RME 4,4 0,4 1,6 57,8 21,6 8,8 1,5 0,7 0,2 7,7 SBME 6,0 0,1 3,8 28,7 58,7 0,1 0,3 0,3 0,7 10,8 SojaME 10,4 0,1 4,1 24,8 51,3 6,9 0,5 0,4 0,4 15,4 RME = Rapsölsäuremethylester; SBME = Sonnenblumenölsäuremethylester; SojaME = Sojaölsäuremethylester - Ethylen-Copolymere A
- Bei den eingesetzten Ethylen-Copolymeren handelt es sich um kommerzielle Produkte mit den in Tabelle 2 angegebenen Charakteristika. Die Produkte wurden als 65 %ige bzw. 50 %ige (A3) Einstellungen in Kerosin eingesetzt.
Tabelle 3: Charakterisierung der eingesetzten Ethylen-Copolymere Beispiel Comonomer(e) V140 CH3/100CH2 A1 13,6 mol-% Vinylacetat 130 mPas 3,7 A2 13,7 mol-% Vinylacetat und 1,4 mol-% Neodecansäurevinylester 105 mPas 5,3 A3 9,4 mol-% Vinylacetat 220 mPas 6,2 A4 Mischung aus EVA-Copolymer mit 16 mol-% Vinylacetat und EVA mit 5 mol-% Vinylacetat im Verhältnis 13:1 95 mPas / 350 mPas 3,2/5,7 - Es wurden verschiedene Co- und Terpolymere mit den in Tabelle 3 angegebenen molaren Verhältnissen der Monomere und den daraus berechneten Faktoren R untersucht. Die Polymere wurden als 50%ige Einstellungen in einem höhersiedenden aromatischen Lösemitel eingesetzt. Die ermittelten Säurezahlen beziehen sich auf diese 50 % igen Einstellungen.
Tabelle 4: Charakterisierung der eingesetzten Kammpolymere Beispiel Comonomere R Säurezahl [mg KOH/g] B1 Poly(decylacrylat-co-tetradecylacrylat) aus 50 % Decylacrylat und 50 % Tetradecylacrylat, Mw 9.200 12,0 2,5 B2 Poly(dodecylacrylat-co-Tetradecylacrylat) aus 70 % Dodecylacrylat und 30 % Tetradecylacrylat mit Mw 10.500 12,6 1,2 B3 Poly(dodecylmethacrylat) mit Mw 22.000 12,0 1,7 B4 Poly(vinyllaurat-co-decylacrylat) aus 40 % Laurinsäurevinylester und 60 % Decylacrylat, Mw 7.500 11,6 3,0 B5 Poly(2-ethylhexanoat-co-tetradecylacrylat) aus 10% 2-Ethylhexylacrylat und 90% Tetradeyclacrylat mit Mw 6.400 13,4 10 B6 Poly(dodecylvinylether-co-Decylmethacrylat) aus gleichen Anteilen Dodecylvinylether und Decylmethacryat mit Mw 5.200 11,0 2,8 B7 Poly(acrylsäure) mit verestert mit Mischung aus 75% Dodecanol und 25% Hexadecanol, Mw 15.000 13,0 43 B8 Poly(acrylsäure) verestert mit Mischung aus 40% Decanol, 30 % Dodecanol und 30 % Tetradecanol, Mw 24.000 11,8 51 B10(Vgl.) Poly(acrylsäure) verestert mit Mischung aus 30% Octanol, 30 % Decanol und 40 % Dodecanol, Mw 23.000 10,2 42 B11 (Vgl.) Poly(decylacrylat) mit Mw 19.000 10,0 2,3 B12 (Vgl.) Poly(tetradecylacrylat-co-hexadecylacrylat) mit gleichen Anteilen Tetradecyl- und Hexadecylacrylat, Mw 24.000 15,0 1,6 B13 (Vgl.) Alternierendes Poly(ditetradecylfumarat-alt-vinylacetat) 14,0 0,4 - Es wurde der CFPP-Wert (gemäß EN 116, in °C) verschiedener Biobrennstoffe gemäß obiger Tabelle nach Zusatz von 1200 ppm, 1500 ppm sowie 2000 ppm Additivmischung bestimmt. Prozentangaben beziehen sich auf Gewichtanteile in den jeweiligen Additivmischungen. Die in den Tabellen 5 bis 7 wiedergegebenen Ergebnissse zeigen, daß Kammpolymere mit dem erfindungsgemäßen Faktor R schon bei niedrigen Dosierraten hervorragende CFPP-Absenkungen erzielen und bei höheren Dosierraten zusätzliches Potential bieten.
Tabelle 5: CFPP-Austestung in Testöl E1 Bsp. EthylenCopolymer A Kammpolymer B CFPP in Testöl 1 1200 ppm 1500 ppm 2000 ppm 1 80%A1 20 % B1 -20 -23 -24 2 80%A1 20 % B2 -21 -24 -27 3 80%A1 20 % B3 -21 -24 -26 4 80%A1 20 % B4 -20 -23 -25 5 80%A1 20 % B5 -20 -21 -23 6 80%A1 20 % B6 -19 -20 -22 7 80%A1 20 % B7 -21 -24 -28 8 80%A1 20 % B8 -21 -25 -27 9 80%A1 20 % B9 -21 -24 -28 10 (Vgl.) 80 % A3 20 % B9 -19 -19 -21 11 (Vgl.) 80%A1 20 % B10 -17 -17 -18 12 (Vgl.) 80%A1 20 % B12 -18 -17 -19 13 (Vgl.) 80%A1 20 % B13 -18 -18 -17 14 (Vgl.) 100%A1 --- -16 -18 -17 15 (V) 100 % A2 -15 -18 -17 Tabelle 6: CFPP-Austestung in Testöl E2 Bsp. EthylenCopolymer A Kammpolymer B CFPP in Testöl 2 1200 ppm 1500 ppm 2000 ppm 16 70 % A2 30 % B1 -21 -25 -27 17 70 % A2 30 % B2 -21 -24 -28 18 70 % A2 30 % B3 -21 -23 -26 19 70 % A2 30 % B4 -20 -23 -24 20 70 % A2 30 % B5 -20 -22 -23 21 70 % A2 30 % B6 -19 -21 -22 22 70 % A2 30 % B7 -20 -23 -25 23 70 % A2 30 % B8 -20 -23 -26 24 70 % A2 30 % B9 -21 -24 -27 25 50 % A2 50 % B9 -20 -23 -25 26 (Vgl.) 70 % A2 30 % B11 -15 -17 -19 27 (Vgl.) 70 % A2 30 % B12 -12 -14 -15 28 (Vgl.) 70 % A2 30 % B13 -16 -18 -19 29 (Vgl.) 100 % A2 --- -12 -13 -12 Tabelle 7: CFPP-Austestung in Testöl E3 Bsp. Ethylen-Copolymer A Kammpolymer B CFPP in Testöl E3 1500 ppm 2000 ppm 30 70 % A2 30 % B2 -20 -25 31 70 % A2 30 % B3 -19 -24 32 70 % A2 30 % B4 -20 -26 33 70 % A2 30 % B9 -20 -25 34 (Vgl.) 70 % A2 30 % B11 -16 -17 35 (Vgl.) 70 % A2 30 % B12 -16 -13 36 (Vgl.) 70 % A2 30 % B13 -15 -15 36 (Vgl.) 100 % A2 --- -14 -13 - Zur Bestimmung der Kältewechselbeständigkeit eines Öls werden der CFPP-Wert nach DIN EN 116 vor und nach einer standardisierten Kältewechselbehandlung verglichen.
500 ml Biodiesel (Testöl E1) werden mit dem entsprechenden Kälteadditiv behandelt, in einen Standzylinder gegeben und in einer programmierbaren Kältekammer für eine Woche gelagert. In dieser Zeit wird ein Programm durchlaufen, welches wiederholt auf -13°C abkühlt um dann wieder auf -3°C aufwärmt. Es werden nacheinander 6 dieser Zyklen durchlaufen (Tabelle 8).Tabelle 8: Kühlprogramm zur Bestimmung der Kältewechselbeständigkeit: Abschnitt Start Ende Dauer Beschreibung A → B +5°C -3°C 8 h Vorkühlung auf Zyklus-Start-Temperatur B → C -3°C -3°C 2 h stationäre Temperatur, Zyklusbeginn C → D -3°C -13°C 14 h Temperaturabsenkung, beginnende Kristallbildung D → E -13°C -13°C 2 h Stationäre Temperatur, Kristallwachstum E → F -13°C -3°C 6 h Temperaturerhöhung, Aufschmelzen der Kristalle F → B Es werden weitere 6 Zyklen B → F durchgeführt. - Anschließend wird die additivierte Ölprobe ohne zu Schütteln auf Raumtemperatur aufgewärmt. Aus dem oberen, mittleren und unteren Abschnitt des Standzylinders wird je eine Probe von 50 ml für CFPP-Messungen gezogen.
Eine Abweichung zwischen den Mittelwerten der CFPP-Werte nach der Lagerung zum CFPP-Wert vor Lagerung sowie zwischen den einzelnen Phasen von weniger als 3 K zeigt eine gute Kältewechselbeständigkeit.Tabelle 9: Kältewechselbeständigkeit des additivierten Öls: Additiv CFPP vor Lagerung CFPP nach Lagerung Beispiel Ethylenopolymer A Kammolymer B Dosierrate unten Δ CFPP (unten) mitte Δ CFPP (mitte) oben Δ CFPP (oben) 37 80 % A1 20 % B2 1500 ppm -24°C -23°C +1K -24°C 0 K -24,5°C -0,5 K 38 80 % A4 20 % B9 1500 ppm -24°C -23,5°C 0,5 K -24°C 0 K -25°C -1 K 39 (V) A4 --- 2500 ppm -20°C -12°C 8 K -12,5°C 7,5 K -14°C 6 K Bei den angegebenen CFPP-Werten handelt es sich um Mittelwerte einer Doppelbestimmung
der molaren Mittel der C-Kettenlängenverteilungen in den Alkylresten der Monomere B) 11,0 bis 14,0 beträgt,
worin
Claims (17)
- Brennstoffölzusammensetzung, enthaltend ein Brennstofföl tierischen oder pflanzlichen Ursprungs und 0,001 bis 5 Gew.-% eines Additivs, enthaltend im Gewichtsverhältnis A:B = 10:1 bis 1:10A) mindestens ein Copolymer aus Ethylen und 8-21 Mol-% mindestens eines Acryl- oder Vinylesters mit einem C1-C18-Alkylrest undB) mindestens ein Kammpolymer mit zahlenmittlerem Molekulargewicht Mw von 1000 bis 100.000 g/mol, gemessen mittels GPC gegen Polystyrol, enthaltend mindestens 80 mol-% Struktureinheiten mit C8-C16-Alkylresten, wobei die Struktureinheiten ausgewählt sind aus C8-C16-Alkyl(meth)acrylaten, C8-C16-Alkylvinylestern, C8-C16-Alkylvinylethern, C8-C16-Alkyl(meth)acrylamiden, C8-C16-Alkylallylethern und C8-C16-Alkyldiketenen
wobei die Summe R
der molaren Mittel der C-Kettenlängenverteilungen in den Alkylresten der Monomere B) 11,0 bis 14,0 beträgt,
worinm1, m2, ... mg die Molenbrüche der oben genannten Monomere B) im Polymer sind, wobei die Summe der Molenbrüche m1 bis mg = 1 ist,w1i, w1j..w2, w2j...wgp die Gewichtsanteile der einzelnen Kettenlängen i, j, .... p der Alkylreste der verschiedenen Monomeren B) 1 bis g sind, undn1i, n1j..n2i, n2j...ngp die Kettenlängen der Alkylreste i, j, .... p der Monomere B) 1 bis g sind. - Brennstoffölzusammensetzung nach Anspruch 1, worin R 11,5 bis 13,5 beträgt.
- Brennstoffölzusammensetzung nach Anspruch 1 und/oder 2, worin in Bestandteil A außer Ethylen 3,5 bis 20 Mol-% Vinylacetat und 0,1 bis 12 Mol-% Neononansäurevinylester, 2-Ethylhexansäurevinylester und/oder Neodecansäurevinylester enthalten sind, wobei der gesamte Comonomergehalt zwischen 8 und 21 Mol-% liegt.
- Brennstoffölzusammensetzung nach einem oder mehreren der Ansprüche 1 bis 3, worin in Bestandteil A neben Ethylen und 8 bis 18 Mol-% Vinylestern noch 0,5 bis 10 Mol-% Olefine, ausgewählt aus Propen, Buten, Isobutylen, Hexen, 4-Methylpenten, Octen, Diisobutylen oder Norbornen enthalten sind.
- Brennstoffölzusammensetzung nach einem oder mehreren der Ansprüche 1 bis 4, worin die Copolymere, die Bestandteil A ausmachen, Schmelzviskositäten bei 140°C zwischen 20 und 10.000 mPas aufweisen.
- Brennstoffölzusammensetzung nach einem oder mehreren der Ansprüche 1 bis 5, worin die Copolymere, die Bestandteil A ausmachen, mittels 1H-NMR-Spektroskopie bestimmte Verzweigungsgrade zwischen 1 und 9 CH3/100 CH2-Gruppen, die nicht aus den Comonomeren stammen, aufweisen.
- Brennstoffölzusammensetzung nach einem oder mehreren der Ansprüche 1 bis 6, worin die Copolymere, die Bestandteil B ausmachen, Comonomere enthalten, welche von Estern, Amiden und/oder Imiden von ethylenisch ungesättigten Carbonsäuren mit 3 bis 8 C-Atomen und Alkoholen bzw. Aminen mit 8 bis 16 C-Atomen in den Alkylresten abgeleitet sind.
- Brennstoffölzusammensetzung nach einem oder mehreren der Ansprüche 1 bis 7, worin die Copolymere, die Bestandteil B ausmachen, Comonomere enthalten, welche von Estern und/oder Ethern ethylenisch ungesättigter Alkohole mit 2 bis 10 C-Atomen und Carbonsäuren bzw. Alkoholen mit 8 bis 16 C-Atomen in den Alkylresten abgeleitet sind.
- Brennstoffölzusammensetzung nach einem oder mehreren der Ansprüche 1 bis 8, worin die Copolymere, die Bestandteil B ausmachen, Comonomere enthalten, welche von Estern, Amiden und/oder Imiden von ethylenisch ungesättigten Dicarbonsäuren mit 4 bis 8 C-Atomen und Alkoholen bzw. Aminen mit 8 bis 16 C-Atomen in den Alkylresten abgeleitet sind.
- Brennstoffölzusammensetzung nach einem oder mehreren der Ansprüche 1 bis 9, worin die Copolymere, die Bestandteil B ausmachen, Comonomere enthalten, welche von α-Olefinen mit 10 bis 20 Kohlenstoffatomen abgeleitet sind.
- Brennstoffölzusammensetzung nach einem oder mehreren der Ansprüche 1 bis 10, worin die Comonomere, aus denen Bestandteil B aufgebaut ist, im wesentlichen lineare Alkylreste enthalten, wobei die wesentlichen lineare Alkylreste bis zu 30 Gew.% an verzweigten isomeren umfassen.
- Brennstoffölzusammensetzung nach einem oder mehreren der Ansprüche 1 bis 11, enthaltend polare stickstoffhaltige Paraffindispergatoren.
- Brennstoffölzusammensetzung nach einem oder mehreren der Ansprüche 1 bis 12, dadurch gekennzeichnet, dass das Brennstofföl tierischen oder pflanzlichen Ursprungs einen oder mehrere Ester aus Monocarbonsäure mit 14 bis 24 C-Atomen und Alkohol mit 1 bis 4 C-Atomen enthält.
- Brennstoffölzusammensetzung nach einem oder mehreren der Ansprüche 1 bis 13, dadurch gekennzeichnet, dass der Alkohol Methanol oder Ethanol ist.
- Brennstoffölzusammensetzung nach einem oder mehreren der Ansprüche 1 bis 14, dadurch gekennzeichnet, dass das Brennstofföl tierischen oder pflanzlichen Ursprungs mehr als 5 Gew.-% an Estern gesättigter Fettsäuren enthält.
- Verwendung eines Additivs gemäß einem oder mehreren der Ansprüche 1 bis 12 zur Verbesserung der Kaltfließeigenschaften von Brennstoffölen tierischen oder pflanzlichen Ursprungs.
- Additiv, enthaltend im Gewichtsverhältnis 1:10 bis 10:1A) mindestens ein Copolymer aus Ethylen und 8-21 Mol-% mindestens eines Acryl- oder Vinylesters mit einem C1-C18-Alkylrest undB) mindestens ein Kammpolymer mit zahlenmittlerem Molekulargewicht Mw von 1000 bis 100.000 g/mol, gemessen mittels GPC gegen Polystyrol, enthaltend mindestens 80 mol-% Struktureinheiten mit C8-C16-Alkylresten, wobei die Struktureinheiten ausgewählt sind aus C8-C16-Alkyl(meth)acrylaten, C8-C16-Alkylvinylestern, C8-C16-Alkylvinylethern, C8-C16-Alkyl(meth)acrylamiden, C8-C16-Alkyfallylethern und C8-C16-Alkyldiketenen,
wobei die Summe R
der molaren Mittel der C-Kettenlängenverteilungen in den Alkylresten der Monomere B) 11,0 bis 14,0 beträgt,
worinm1, m2, ... mg die Molenbrüche der oben genannten Monomere B) im Polymer sind, wobei die Summe der Molenbrüche m1 bis mg = 1 ist,W1i, w1j..w2i, w2j...wgp die Gewichtsanteile der einzelnen Kettenlängen i, j, .... p der Alkylreste der verschiedenen Monomeren B) 1 bis g sind, undn1i, nij..n2i, n2j...ngp die Kettenlängen der Alkylreste i, j, .... p der Monomere B) 1 bis g sind.
Priority Applications (1)
| Application Number | Priority Date | Filing Date | Title |
|---|---|---|---|
| PL04024235T PL1526168T3 (pl) | 2003-10-25 | 2004-10-12 | Dodatek polepszający płynność w niskich temperaturach paliw olejowych pochodzenia roślinnego lub zwierzęcego |
Applications Claiming Priority (2)
| Application Number | Priority Date | Filing Date | Title |
|---|---|---|---|
| DE10349850 | 2003-10-25 | ||
| DE10349850A DE10349850C5 (de) | 2003-10-25 | 2003-10-25 | Kaltfließverbesserer für Brennstofföle pflanzlichen oder tierischen Ursprungs |
Publications (3)
| Publication Number | Publication Date |
|---|---|
| EP1526168A2 EP1526168A2 (de) | 2005-04-27 |
| EP1526168A3 EP1526168A3 (de) | 2005-05-11 |
| EP1526168B1 true EP1526168B1 (de) | 2015-12-23 |
Family
ID=34384475
Family Applications (1)
| Application Number | Title | Priority Date | Filing Date |
|---|---|---|---|
| EP04024235.6A Expired - Lifetime EP1526168B1 (de) | 2003-10-25 | 2004-10-12 | Kaltfliessverbesserer für Brennstofföle pflanzlichen oder tierischen Ursprungs |
Country Status (7)
| Country | Link |
|---|---|
| US (1) | US7476264B2 (de) |
| EP (1) | EP1526168B1 (de) |
| JP (1) | JP5025077B2 (de) |
| KR (1) | KR101075808B1 (de) |
| CA (1) | CA2486040C (de) |
| DE (1) | DE10349850C5 (de) |
| PL (1) | PL1526168T3 (de) |
Families Citing this family (24)
| Publication number | Priority date | Publication date | Assignee | Title |
|---|---|---|---|---|
| DE10349851B4 (de) | 2003-10-25 | 2008-06-19 | Clariant Produkte (Deutschland) Gmbh | Kaltfließverbesserer für Brennstofföle pflanzlichen oder tierischen Ursprungs |
| DE10349850C5 (de) | 2003-10-25 | 2011-12-08 | Clariant Produkte (Deutschland) Gmbh | Kaltfließverbesserer für Brennstofföle pflanzlichen oder tierischen Ursprungs |
| DE10357878C5 (de) | 2003-12-11 | 2013-07-25 | Clariant Produkte (Deutschland) Gmbh | Brennstofföle aus Mitteldestillaten und Ölen pflanzlichen oder tierischen Ursprungs mit verbesserten Kälteeigenschaften |
| US9212332B2 (en) | 2005-03-29 | 2015-12-15 | Arizona Chemical Company, Llc | Compositions containing fatty acids and/or derivatives thereof and a low temperature stabilizer |
| US8110074B1 (en) | 2005-10-03 | 2012-02-07 | Neckers Douglas C | Photochemical method for producing hydrocarbons |
| US7648539B2 (en) * | 2005-11-25 | 2010-01-19 | Tellus Renewables Llc | Diesel Fuel composition |
| DE102006016588A1 (de) * | 2006-04-06 | 2007-10-18 | Rohmax Additives Gmbh | Kraftstoffzusammensetzungen umfassend nachwachsende Rohstoffe |
| JP5038650B2 (ja) * | 2006-04-21 | 2012-10-03 | 東邦化学工業株式会社 | 原油用流動性改良剤 |
| DE102006022718B4 (de) * | 2006-05-16 | 2008-10-02 | Clariant International Limited | Zusammensetzung von Brennstoffölen |
| DE102006022698B4 (de) * | 2006-05-16 | 2008-10-02 | Clariant International Limited | Zusammensetzung von Brennstoffölen |
| DE102006022719B4 (de) * | 2006-05-16 | 2008-10-02 | Clariant International Limited | Kaltfließverbesserer für pflanzliche oder tierische Brennstofföle |
| DE102006033149A1 (de) | 2006-07-18 | 2008-01-31 | Clariant International Limited | Additive zur Verbesserung der Kälteeigenschaften von Brennstoffölen |
| DE102006033151B4 (de) | 2006-07-18 | 2014-11-20 | Clariant International Limited | Additive zur Verbesserung der Kälteeigenschaften von Brennstoffölen |
| DE102006033150B4 (de) * | 2006-07-18 | 2008-10-16 | Clariant International Limited | Additive zur Verbesserung der Kälteeigenschaften von Brennstoffölen |
| US20090293344A1 (en) * | 2008-05-30 | 2009-12-03 | Baker Hughes Incorporated | Process for Removing Water and Water Soluble Contaminants From Biofuels |
| US9127226B2 (en) * | 2008-06-06 | 2015-09-08 | Baker Hughes Incorporated | Process for clarifying biofuels |
| CA2749344A1 (en) * | 2009-01-13 | 2010-07-22 | Evonik Rohmax Additives Gmbh | Fuel compositions having improved cloud point and improved storage properties |
| US8540784B2 (en) | 2010-04-23 | 2013-09-24 | Tellus Renewables Llc | Fuel compositions |
| US8846587B2 (en) | 2011-03-24 | 2014-09-30 | Elevance Renewable Sciences, Inc. | Functionalized monomers and polymers |
| US9315748B2 (en) | 2011-04-07 | 2016-04-19 | Elevance Renewable Sciences, Inc. | Cold flow additives |
| US9012385B2 (en) | 2012-02-29 | 2015-04-21 | Elevance Renewable Sciences, Inc. | Terpene derived compounds |
| US20140274832A1 (en) | 2013-03-12 | 2014-09-18 | Elevance Renewable Sciences, Inc. | Maleinized ester derivatives |
| US20150057204A1 (en) | 2013-03-12 | 2015-02-26 | Elevance Renewable Sciences, Inc. | Maleanized Ester Derivatives |
| KR102380302B1 (ko) * | 2014-01-29 | 2022-03-29 | 바스프 에스이 | 연료 및 윤활제에 대한 폴리카르복실산-기재 첨가제 |
Family Cites Families (70)
| Publication number | Priority date | Publication date | Assignee | Title |
|---|---|---|---|---|
| US3462249A (en) | 1967-03-31 | 1969-08-19 | Exxon Research Engineering Co | Fuel oil compositions containing grafted polymers |
| US4211534A (en) | 1978-05-25 | 1980-07-08 | Exxon Research & Engineering Co. | Combination of ethylene polymer, polymer having alkyl side chains, and nitrogen containing compound to improve cold flow properties of distillate fuel oils |
| DE3405843A1 (de) | 1984-02-17 | 1985-08-29 | Bayer Ag, 5090 Leverkusen | Copolymere auf basis von maleinsaeureanhydrid und (alpha), (beta)-ungesaettigten verbindungen, ein verfahren zu ihrer herstellung und ihre verwendung als paraffininhibitoren |
| DE3584729D1 (de) | 1984-02-21 | 1992-01-09 | Exxon Research Engineering Co | Mitteldestillat-zusammensetzungen mit fliesseigenschaften bei kaelte. |
| FR2572410B1 (fr) * | 1984-10-25 | 1987-09-04 | Elf Aquitaine | Copolymeres d'ethylene greffes utilisables notamment comme additifs pour l'inhibition du depot de paraffines dans les huiles brutes et compositions renfermant les huiles et lesdits additifs |
| DE3443475A1 (de) | 1984-11-29 | 1986-05-28 | Amoco Corp., Chicago, Ill. | Terpolymerisate des ethylens, verfahren zu ihrer herstellung und ihre verwendung |
| DE3616056A1 (de) | 1985-05-29 | 1986-12-04 | Hoechst Ag, 65929 Frankfurt | Verwendung von ethylen-terpolymerisaten als additive fuer mineraloele und mineraloeldestillate |
| GB8521393D0 (en) | 1985-08-28 | 1985-10-02 | Exxon Chemical Patents Inc | Middle distillate compositions |
| DE3613247C2 (de) | 1986-04-19 | 1995-04-27 | Roehm Gmbh | Konzentrierte Emulsionen aus Ethylen-Vinylacetat-Copolymeren, Verfahren zu deren Herstellung und deren Verwendung als Stockpunktverbesserer |
| DE3625174A1 (de) | 1986-07-25 | 1988-01-28 | Ruhrchemie Ag | Verfahren zur verbesserung der fliessfaehigkeit von mineraloelen und mineraloeldestillaten |
| DE3640613A1 (de) | 1986-11-27 | 1988-06-09 | Ruhrchemie Ag | Verfahren zur herstellung von ethylen-mischpolymerisaten und deren verwendung als zusatz zu mineraloel und mineraloelfraktionen |
| GB8722016D0 (en) * | 1987-09-18 | 1987-10-28 | Exxon Chemical Patents Inc | Fuel oil additives |
| DE3742630A1 (de) * | 1987-12-16 | 1989-06-29 | Hoechst Ag | Polymermischungen fuer die verbesserung der fliessfaehigkeit von mineraloeldestillaten in der kaelte |
| US5017299A (en) | 1988-08-01 | 1991-05-21 | Exxon Chemical Patents, Inc. | Novel ethylene alpha-olefin copolymer substituted Mannich base lubricant dispersant additives |
| GB8820295D0 (en) | 1988-08-26 | 1988-09-28 | Exxon Chemical Patents Inc | Chemical compositions & use as fuel additives |
| DE3905681A1 (de) | 1989-02-24 | 1990-08-30 | Basf Ag | Konzentrierte mischungen von pfropfcopolymerisaten aus estern von ungesaettigten saeuren und ethylen-vinylester-copolymerisaten |
| DE3916366A1 (de) | 1989-05-19 | 1990-11-22 | Basf Ag | Neue umsetzungsprodukte von aminoalkylenpolycarbonsaeuren mit sekundaeren aminen und erdoelmitteldestillatzusammensetzungen, die diese enthalten |
| DE3921279A1 (de) | 1989-06-29 | 1991-01-03 | Hoechst Ag | Verfahren zur verbesserung der fliessfaehigkeit von mineraloelen und mineraloeldestillaten |
| DE3926992A1 (de) | 1989-08-16 | 1991-02-21 | Hoechst Ag | Verwendung von umsetzungsprodukten von alkenylspirobislactonen und aminen als paraffindispergatoren |
| FR2653787B1 (fr) * | 1989-10-27 | 1992-02-14 | Lorraine Laminage | Installation et procede de revetement electrolytique d'une bande metallique. |
| US5275747A (en) | 1990-02-01 | 1994-01-04 | Exxon Chemical Patents Inc. | Derivatized ethylene alpha-olefin polymer useful as multifunctional viscosity index improver additive for oleaginous composition |
| DE4020640A1 (de) | 1990-06-29 | 1992-01-02 | Hoechst Ag | Terpolymerisate des ethylens, ihre herstellung und ihre verwendung als additive fuer mineraloeldestillate |
| DE4036226A1 (de) * | 1990-11-14 | 1992-05-21 | Basf Ag | Erdoelmitteldestillate mit verbesserten fliesseigenschaften in der kaelte |
| DE4036225A1 (de) | 1990-11-14 | 1992-05-21 | Basf Ag | Erdoelmitteldestillate mit verbesserten fliesseigenschaften in der kaelte |
| DE4042206A1 (de) | 1990-12-29 | 1992-07-02 | Hoechst Ag | Terpolymerisate des ethylens, ihre herstellung und ihre verwendung als additive fuer mineraloeldestillate |
| DE4134347A1 (de) * | 1991-10-17 | 1993-04-22 | Hoechst Ag | Pfropfmischpolymer auf basis eines ethylen-copolymers mit modifizierten und verbesserten eigenschaften |
| DE4138429A1 (de) | 1991-11-22 | 1993-05-27 | Roehm Gmbh | Verfahren zur herstellung von kompositionen mit verbessertem tieftemperaturverhalten |
| GB9200694D0 (en) * | 1992-01-14 | 1992-03-11 | Exxon Chemical Patents Inc | Additives and fuel compositions |
| GB9204709D0 (en) | 1992-03-03 | 1992-04-15 | Exxon Chemical Patents Inc | Additives for oils |
| GB9213871D0 (en) | 1992-06-30 | 1992-08-12 | Exxon Chemical Patents Inc | Oil additives and compositions |
| GB9213909D0 (en) * | 1992-06-30 | 1992-08-12 | Exxon Chemical Patents Inc | Oil additives and compositions |
| GB9222458D0 (en) * | 1992-10-26 | 1992-12-09 | Exxon Chemical Patents Inc | Oil additives and compositions |
| DE4241948A1 (de) | 1992-12-12 | 1994-06-16 | Hoechst Ag | Pfropfpolymerisate, ihre Herstellung und Verwendung als Stockpunkterniedriger und Fließverbesserer für Rohöle, Rückstandsöle und Mitteldestillate |
| US5413725A (en) | 1992-12-18 | 1995-05-09 | The Lubrizol Corporation | Pour point depressants for high monounsaturated vegetable oils and for high monounsaturated vegetable oils/biodegradable base and fluid mixtures |
| EP0606055B1 (de) | 1993-01-06 | 1997-09-17 | Hoechst Aktiengesellschaft | Terpolymere auf Basis von alpha,beta-ungesättigten Dicarbonsäureanhydriden, alpha,beta-ungesättigten Verbindungen und Polyoxyalkylenethern von niederen, ungesättigten Alkoholen |
| GB9301752D0 (en) * | 1993-01-29 | 1993-03-17 | Exxon Chemical Patents Inc | Oil and fuel oil compositions |
| GB9410820D0 (en) | 1994-05-31 | 1994-07-20 | Exxon Chemical Patents Inc | Oil additives and compositions |
| GB9417670D0 (en) | 1994-09-02 | 1994-10-19 | Exxon Chemical Patents Inc | Oil additives, compositions and polymers for use therein |
| KR100420430B1 (ko) | 1994-12-13 | 2004-06-24 | 엑손 케미칼 패턴츠 인코포레이티드 | 연료유조성물 |
| GB9610363D0 (en) | 1996-05-17 | 1996-07-24 | Ethyl Petroleum Additives Ltd | Fuel additives and compositions |
| DE19620118C1 (de) | 1996-05-18 | 1997-10-23 | Hoechst Ag | Terpolymerisate des Ethylens, ihre Herstellung und ihre Verwendung als Additive für Mineralöldestillate |
| DE19620119C1 (de) | 1996-05-18 | 1997-10-23 | Hoechst Ag | Terpolymerisate des Ethylens, ihre Herstellung und ihre Verwendung als Additive für Mineralöldestillate |
| JP3894997B2 (ja) * | 1997-02-25 | 2007-03-22 | 三洋化成工業株式会社 | 燃料油用流動性改良添加剤および燃料油 |
| JPH10245574A (ja) * | 1997-02-28 | 1998-09-14 | Sanyo Chem Ind Ltd | 燃料油用流動性改良添加剤および燃料油 |
| US6409778B1 (en) | 1997-11-21 | 2002-06-25 | Rohmax Additives Gmbh | Additive for biodiesel and biofuel oils |
| GB9725578D0 (en) | 1997-12-03 | 1998-02-04 | Exxon Chemical Patents Inc | Oil additives and compositions |
| DE19754555A1 (de) | 1997-12-09 | 1999-06-24 | Clariant Gmbh | Verfahren zur Herstellung von Ethylen-Mischpolymerisaten und deren Verwendung als Zusatz zu Mineralöl und Mineralöldestillaten |
| JP3903559B2 (ja) | 1997-12-17 | 2007-04-11 | 株式会社コスモ総合研究所 | 燃料油組成物 |
| DE19757830C2 (de) | 1997-12-24 | 2003-06-18 | Clariant Gmbh | Brennstofföle mit verbesserter Schmierwirkung |
| GB9810994D0 (en) | 1998-05-22 | 1998-07-22 | Exxon Chemical Patents Inc | Additives and oil compositions |
| GB9818210D0 (en) | 1998-08-20 | 1998-10-14 | Exxon Chemical Patents Inc | Oil additives and compositions |
| AU1290501A (en) * | 1999-11-23 | 2001-06-04 | Associated Octel Company Limited, The | Composition |
| DE10012267B4 (de) | 2000-03-14 | 2005-12-15 | Clariant Gmbh | Copolymermischungen und ihre Verwendung als Additiv zur Verbesserung der Kaltfließeigenschaften von Mitteldestillaten |
| DE10012269C2 (de) | 2000-03-14 | 2003-05-15 | Clariant Gmbh | Verwendung von Copolymermischungen als Additiv zur Verbesserung der Kaltfließeigenschaften von Mitteldestillaten |
| DE10012946B4 (de) | 2000-03-16 | 2006-02-02 | Clariant Gmbh | Verwendung von öllöslichen Amphiphilen als Lösemittel für hydroxyfunktionelle Copolymere |
| DE10012947A1 (de) | 2000-03-16 | 2001-09-27 | Clariant Gmbh | Mischungen aus Carbonsäuren, deren Derivate und hydroxylgruppenhaltigen Polymeren, sowie deren Verwendung zur Verbesserung der Schmierwirkung von Ölen |
| EP1305300A1 (de) | 2000-04-27 | 2003-05-02 | Boehringer Ingelheim Pharma GmbH & Co.KG | Neue, langwirksame betamimetika, verfahren zu deren herstellung und deren verwendung als arzneimittel |
| DE10058357B4 (de) | 2000-11-24 | 2005-12-15 | Clariant Gmbh | Fettsäuremischungen verbesserter Kältestabilität, welche Kammpolymere enthalten, sowie deren Verwendung in Brennstoffölen |
| WO2002090470A1 (en) * | 2001-05-08 | 2002-11-14 | Sanyo Chemical Industries, Ltd. | Fluidity improver and fuel oil composition |
| JP2002338975A (ja) | 2001-05-17 | 2002-11-27 | Sanyo Chem Ind Ltd | 流動性向上剤 |
| CA2404646A1 (en) | 2001-10-15 | 2003-04-15 | Infineum International Limited | Additive compositions |
| US20030136046A1 (en) | 2001-11-21 | 2003-07-24 | Graham Jackson | Fuel additive |
| US6698683B2 (en) | 2002-06-28 | 2004-03-02 | George E. Young | Bathroom tissue dispenser and holder |
| KR100990625B1 (ko) * | 2002-07-09 | 2010-10-29 | 클라리안트 프로두크테 (도이칠란트) 게엠베하 | 식물성 또는 동물성 기원의 연료 오일용 냉류 개선제 |
| DE10349851B4 (de) | 2003-10-25 | 2008-06-19 | Clariant Produkte (Deutschland) Gmbh | Kaltfließverbesserer für Brennstofföle pflanzlichen oder tierischen Ursprungs |
| DE10349850C5 (de) | 2003-10-25 | 2011-12-08 | Clariant Produkte (Deutschland) Gmbh | Kaltfließverbesserer für Brennstofföle pflanzlichen oder tierischen Ursprungs |
| DE10357878C5 (de) | 2003-12-11 | 2013-07-25 | Clariant Produkte (Deutschland) Gmbh | Brennstofföle aus Mitteldestillaten und Ölen pflanzlichen oder tierischen Ursprungs mit verbesserten Kälteeigenschaften |
| DE10357877B4 (de) | 2003-12-11 | 2008-05-29 | Clariant Produkte (Deutschland) Gmbh | Brennstofföle aus Mitteldestillaten und Ölen pflanzlichen oder tierischen Ursprungs mit verbesserten Kälteeigenschaften |
| DE102006001381A1 (de) | 2006-01-11 | 2007-07-12 | Clariant International Limited | Additive für schwefelarme Mineralöldestillate, umfassend Pfropfcopolymere auf Basis von Ethylen-Vinylester-Copolymeren |
| DE102006001380A1 (de) | 2006-01-11 | 2007-07-26 | Clariant International Limited | Additive für schwefelarme Mineralöldestillate, umfassend Pfropfcopolymere auf Basis von Ethylen-Vinylacetat-Copolymeren |
-
2003
- 2003-10-25 DE DE10349850A patent/DE10349850C5/de not_active Expired - Fee Related
-
2004
- 2004-10-12 EP EP04024235.6A patent/EP1526168B1/de not_active Expired - Lifetime
- 2004-10-12 PL PL04024235T patent/PL1526168T3/pl unknown
- 2004-10-22 CA CA2486040A patent/CA2486040C/en not_active Expired - Fee Related
- 2004-10-22 KR KR1020040084893A patent/KR101075808B1/ko not_active Expired - Fee Related
- 2004-10-22 JP JP2004308246A patent/JP5025077B2/ja not_active Expired - Fee Related
- 2004-10-25 US US10/972,667 patent/US7476264B2/en active Active
Also Published As
| Publication number | Publication date |
|---|---|
| CA2486040C (en) | 2012-03-13 |
| US20050108924A1 (en) | 2005-05-26 |
| KR101075808B1 (ko) | 2011-10-25 |
| DE10349850C5 (de) | 2011-12-08 |
| US7476264B2 (en) | 2009-01-13 |
| PL1526168T3 (pl) | 2016-06-30 |
| EP1526168A3 (de) | 2005-05-11 |
| DE10349850A1 (de) | 2005-06-16 |
| EP1526168A2 (de) | 2005-04-27 |
| DE10349850B4 (de) | 2008-06-19 |
| CA2486040A1 (en) | 2005-04-25 |
| JP5025077B2 (ja) | 2012-09-12 |
| JP2005133095A (ja) | 2005-05-26 |
| KR20050039658A (ko) | 2005-04-29 |
Similar Documents
| Publication | Publication Date | Title |
|---|---|---|
| EP1526168B1 (de) | Kaltfliessverbesserer für Brennstofföle pflanzlichen oder tierischen Ursprungs | |
| EP1526167B1 (de) | Kaltfliessverbesserer für Brennstofföle pflanzlichen oder tierischen Ursprungs | |
| EP1541663B1 (de) | Brennstofföle aus Mitteldestillaten und Ölen pflanzlichen oder tierischen Ursprungs mit verbesserten Kälteeigenschaften | |
| EP1380635B1 (de) | Kaltfliessverbesserer für Brennstofföle pflanzlichen oder tierischen Ursprungs | |
| EP1857529B2 (de) | Kaltfliessverbesserer für pflanzliche oder tierische Brennstofföle | |
| EP1541664B1 (de) | Brennstofföle aus Mitteldestillaten und Ölen pflanzlichen oder tierischen Ursprungs mit verbesserten Kälteeigenschaften | |
| EP1857530A1 (de) | Zusammensetzung von Brennstoffölen | |
| EP1541662B1 (de) | Brennstofföle aus Mitteldestillaten und Ölen pflanzlichen oder tierischen Ursprungs mit verbesserten Kälteeigenschaften | |
| EP1857528A1 (de) | Kaltfliessverbesserer für pflanzliche oder tierische Brennstofföle | |
| EP1935967A1 (de) | Pour Point Verbesserer für pflanzliche oder tierische Brennstofföle | |
| EP1808449B1 (de) | Additive für schwefelarme Mineralöldestillate, umfassend Pfropfcopolymere auf Basis von Ethylen-Vinylester-Copolymeren | |
| EP1674554A1 (de) | Additive für schwefelarme Mineralöldestillate, umfassend Pfropfcopolymer auf Basis von Ethylen-Vinylacetat-Copolymeren | |
| EP1808450A1 (de) | Additive für schwefelarme Mineralöldestillate, umfassend Pfropfcopolymere auf Basis von Ethylen-Vinylester-Copolymeren | |
| EP1857531A1 (de) | Zusammensetzung von Brennstoffölen | |
| EP4127106B1 (de) | Zusammensetzungen und verfahren zur dispergierung von paraffinen in schwefelarmen brennstoffölen | |
| DE102005020264B4 (de) | Additive für schwefelarme Mineralöldestillate, umfassend Aromaten, welche eine Hydroxygruppe, eine Methoxygruppe und eine Säurefunktion tragen |
Legal Events
| Date | Code | Title | Description |
|---|---|---|---|
| PUAI | Public reference made under article 153(3) epc to a published international application that has entered the european phase |
Free format text: ORIGINAL CODE: 0009012 |
|
| PUAL | Search report despatched |
Free format text: ORIGINAL CODE: 0009013 |
|
| AK | Designated contracting states |
Kind code of ref document: A2 Designated state(s): AT BE BG CH CY CZ DE DK EE ES FI FR GB GR HU IE IT LI LU MC NL PL PT RO SE SI SK TR |
|
| AX | Request for extension of the european patent |
Extension state: AL HR LT LV MK |
|
| AK | Designated contracting states |
Kind code of ref document: A3 Designated state(s): AT BE BG CH CY CZ DE DK EE ES FI FR GB GR HU IE IT LI LU MC NL PL PT RO SE SI SK TR |
|
| AX | Request for extension of the european patent |
Extension state: AL HR LT LV MK |
|
| RIC1 | Information provided on ipc code assigned before grant |
Ipc: 7C 10L 1/14 A Ipc: 7C 10L 1/22 B Ipc: 7C 10L 1/18 B |
|
| 17P | Request for examination filed |
Effective date: 20051111 |
|
| AKX | Designation fees paid |
Designated state(s): AT BE BG CH CY CZ DE DK EE ES FI FR GB GR HU IE IT LI LU MC NL PL PT RO SE SI SK TR |
|
| RAP1 | Party data changed (applicant data changed or rights of an application transferred) |
Owner name: CLARIANT PRODUKTE (DEUTSCHLAND) GMBH |
|
| 17Q | First examination report despatched |
Effective date: 20060906 |
|
| GRAP | Despatch of communication of intention to grant a patent |
Free format text: ORIGINAL CODE: EPIDOSNIGR1 |
|
| INTG | Intention to grant announced |
Effective date: 20150529 |
|
| RBV | Designated contracting states (corrected) |
Designated state(s): AT BE BG CH CY CZ DE DK EE ES FI FR GB GR HU IE IT LI LU MC NL PL PT RO SE SI SK TR |
|
| GRAP | Despatch of communication of intention to grant a patent |
Free format text: ORIGINAL CODE: EPIDOSNIGR1 |
|
| RBV | Designated contracting states (corrected) |
Designated state(s): BE DE FR GB IT NL PL |
|
| INTG | Intention to grant announced |
Effective date: 20150807 |
|
| GRAS | Grant fee paid |
Free format text: ORIGINAL CODE: EPIDOSNIGR3 |
|
| GRAA | (expected) grant |
Free format text: ORIGINAL CODE: 0009210 |
|
| AK | Designated contracting states |
Kind code of ref document: B1 Designated state(s): BE DE FR GB IT NL PL |
|
| REG | Reference to a national code |
Ref country code: GB Ref legal event code: FG4D Free format text: NOT ENGLISH |
|
| REG | Reference to a national code |
Ref country code: DE Ref legal event code: R096 Ref document number: 502004015088 Country of ref document: DE |
|
| REG | Reference to a national code |
Ref country code: NL Ref legal event code: FP |
|
| REG | Reference to a national code |
Ref country code: FR Ref legal event code: PLFP Year of fee payment: 13 |
|
| REG | Reference to a national code |
Ref country code: DE Ref legal event code: R097 Ref document number: 502004015088 Country of ref document: DE |
|
| PLBE | No opposition filed within time limit |
Free format text: ORIGINAL CODE: 0009261 |
|
| STAA | Information on the status of an ep patent application or granted ep patent |
Free format text: STATUS: NO OPPOSITION FILED WITHIN TIME LIMIT |
|
| 26N | No opposition filed |
Effective date: 20160926 |
|
| REG | Reference to a national code |
Ref country code: FR Ref legal event code: PLFP Year of fee payment: 14 |
|
| REG | Reference to a national code |
Ref country code: FR Ref legal event code: PLFP Year of fee payment: 15 |
|
| PGFP | Annual fee paid to national office [announced via postgrant information from national office to epo] |
Ref country code: NL Payment date: 20201027 Year of fee payment: 17 |
|
| PGFP | Annual fee paid to national office [announced via postgrant information from national office to epo] |
Ref country code: FR Payment date: 20201027 Year of fee payment: 17 Ref country code: IT Payment date: 20201022 Year of fee payment: 17 Ref country code: GB Payment date: 20201027 Year of fee payment: 17 |
|
| PGFP | Annual fee paid to national office [announced via postgrant information from national office to epo] |
Ref country code: PL Payment date: 20201009 Year of fee payment: 17 Ref country code: BE Payment date: 20201029 Year of fee payment: 17 |
|
| PGFP | Annual fee paid to national office [announced via postgrant information from national office to epo] |
Ref country code: DE Payment date: 20201228 Year of fee payment: 17 |
|
| REG | Reference to a national code |
Ref country code: DE Ref legal event code: R119 Ref document number: 502004015088 Country of ref document: DE |
|
| REG | Reference to a national code |
Ref country code: NL Ref legal event code: MM Effective date: 20211101 |
|
| REG | Reference to a national code |
Ref country code: BE Ref legal event code: MM Effective date: 20211031 |
|
| GBPC | Gb: european patent ceased through non-payment of renewal fee |
Effective date: 20211012 |
|
| PG25 | Lapsed in a contracting state [announced via postgrant information from national office to epo] |
Ref country code: NL Free format text: LAPSE BECAUSE OF NON-PAYMENT OF DUE FEES Effective date: 20211101 Ref country code: GB Free format text: LAPSE BECAUSE OF NON-PAYMENT OF DUE FEES Effective date: 20211012 Ref country code: DE Free format text: LAPSE BECAUSE OF NON-PAYMENT OF DUE FEES Effective date: 20220503 Ref country code: BE Free format text: LAPSE BECAUSE OF NON-PAYMENT OF DUE FEES Effective date: 20211031 |
|
| PG25 | Lapsed in a contracting state [announced via postgrant information from national office to epo] |
Ref country code: FR Free format text: LAPSE BECAUSE OF NON-PAYMENT OF DUE FEES Effective date: 20211031 |
|
| PG25 | Lapsed in a contracting state [announced via postgrant information from national office to epo] |
Ref country code: IT Free format text: LAPSE BECAUSE OF NON-PAYMENT OF DUE FEES Effective date: 20211012 |
|
| PG25 | Lapsed in a contracting state [announced via postgrant information from national office to epo] |
Ref country code: PL Free format text: LAPSE BECAUSE OF NON-PAYMENT OF DUE FEES Effective date: 20211012 |

