DE69822971T2 - Fluorsubstituierte 4-Alkylenbenzosäure, sowie Derivate, nematische Flüssigkristallzusammensetzung enthaltend Cyabophenylbenzosäureester-Derivate und Flüssigkristallanzeigesystem, das diese verwendet - Google Patents

Fluorsubstituierte 4-Alkylenbenzosäure, sowie Derivate, nematische Flüssigkristallzusammensetzung enthaltend Cyabophenylbenzosäureester-Derivate und Flüssigkristallanzeigesystem, das diese verwendet Download PDF

Info

Publication number
DE69822971T2
DE69822971T2 DE69822971T DE69822971T DE69822971T2 DE 69822971 T2 DE69822971 T2 DE 69822971T2 DE 69822971 T DE69822971 T DE 69822971T DE 69822971 T DE69822971 T DE 69822971T DE 69822971 T2 DE69822971 T2 DE 69822971T2
Authority
DE
Germany
Prior art keywords
iii
compound
group
compounds
general formula
Prior art date
Legal status (The legal status is an assumption and is not a legal conclusion. Google has not performed a legal analysis and makes no representation as to the accuracy of the status listed.)
Expired - Lifetime
Application number
DE69822971T
Other languages
English (en)
Other versions
DE69822971D1 (de
Inventor
Kiyofumi Takeuchi
Haruyoshi Higashiyamato-shi Takatsu
Sadao Sakura-shi Takehara
Masashi Kitaadachi-gun Osawa
Current Assignee (The listed assignees may be inaccurate. Google has not performed a legal analysis and makes no representation or warranty as to the accuracy of the list.)
DIC Corp
Original Assignee
Dainippon Ink and Chemicals Co Ltd
Priority date (The priority date is an assumption and is not a legal conclusion. Google has not performed a legal analysis and makes no representation as to the accuracy of the date listed.)
Filing date
Publication date
Priority claimed from JP30840598A external-priority patent/JP4385415B2/ja
Application filed by Dainippon Ink and Chemicals Co Ltd filed Critical Dainippon Ink and Chemicals Co Ltd
Application granted granted Critical
Publication of DE69822971D1 publication Critical patent/DE69822971D1/de
Publication of DE69822971T2 publication Critical patent/DE69822971T2/de
Anticipated expiration legal-status Critical
Expired - Lifetime legal-status Critical Current

Links

Classifications

    • CCHEMISTRY; METALLURGY
    • C09DYES; PAINTS; POLISHES; NATURAL RESINS; ADHESIVES; COMPOSITIONS NOT OTHERWISE PROVIDED FOR; APPLICATIONS OF MATERIALS NOT OTHERWISE PROVIDED FOR
    • C09KMATERIALS FOR MISCELLANEOUS APPLICATIONS, NOT PROVIDED FOR ELSEWHERE
    • C09K19/00Liquid crystal materials
    • C09K19/04Liquid crystal materials characterised by the chemical structure of the liquid crystal components, e.g. by a specific unit
    • C09K19/06Non-steroidal liquid crystal compounds
    • C09K19/08Non-steroidal liquid crystal compounds containing at least two non-condensed rings
    • C09K19/10Non-steroidal liquid crystal compounds containing at least two non-condensed rings containing at least two benzene rings
    • C09K19/20Non-steroidal liquid crystal compounds containing at least two non-condensed rings containing at least two benzene rings linked by a chain containing carbon and oxygen atoms as chain links, e.g. esters or ethers
    • C09K19/2007Non-steroidal liquid crystal compounds containing at least two non-condensed rings containing at least two benzene rings linked by a chain containing carbon and oxygen atoms as chain links, e.g. esters or ethers the chain containing -COO- or -OCO- groups
    • CCHEMISTRY; METALLURGY
    • C07ORGANIC CHEMISTRY
    • C07CACYCLIC OR CARBOCYCLIC COMPOUNDS
    • C07C63/00Compounds having carboxyl groups bound to a carbon atoms of six-membered aromatic rings
    • C07C63/04Monocyclic monocarboxylic acids
    • CCHEMISTRY; METALLURGY
    • C09DYES; PAINTS; POLISHES; NATURAL RESINS; ADHESIVES; COMPOSITIONS NOT OTHERWISE PROVIDED FOR; APPLICATIONS OF MATERIALS NOT OTHERWISE PROVIDED FOR
    • C09KMATERIALS FOR MISCELLANEOUS APPLICATIONS, NOT PROVIDED FOR ELSEWHERE
    • C09K19/00Liquid crystal materials
    • C09K19/04Liquid crystal materials characterised by the chemical structure of the liquid crystal components, e.g. by a specific unit
    • C09K19/42Mixtures of liquid crystal compounds covered by two or more of the preceding groups C09K19/06 - C09K19/40
    • C09K19/46Mixtures of liquid crystal compounds covered by two or more of the preceding groups C09K19/06 - C09K19/40 containing esters
    • CCHEMISTRY; METALLURGY
    • C09DYES; PAINTS; POLISHES; NATURAL RESINS; ADHESIVES; COMPOSITIONS NOT OTHERWISE PROVIDED FOR; APPLICATIONS OF MATERIALS NOT OTHERWISE PROVIDED FOR
    • C09KMATERIALS FOR MISCELLANEOUS APPLICATIONS, NOT PROVIDED FOR ELSEWHERE
    • C09K2323/00Functional layers of liquid crystal optical display excluding electroactive liquid crystal layer characterised by chemical composition

Landscapes

  • Chemical & Material Sciences (AREA)
  • Organic Chemistry (AREA)
  • Crystallography & Structural Chemistry (AREA)
  • Engineering & Computer Science (AREA)
  • Materials Engineering (AREA)
  • Liquid Crystal Substances (AREA)

Description

  • GEBIET DER ERFINDUNG
  • Die Erfindung betrifft eine Fluor-substituierte 4-Alkenylbenzoesäure und Derivate davon, die für elektro-optische Displaymaterialien nützlich sind, sowie eine nematische Flüssigkristallzusammensetzung, welche Cyanophenylbenzoat-Derivate enthält, und ein flüssigkristallines Displaysystem, das von dieser Gebrauch macht.
  • HINTERGRUND DER ERFINDUNG
  • TN-LCD (twisted nematic liquid crystal display device) ist eine typische flüssige Kristall-Displayvorrichtung und wird in Uhren, elektronischen Rechnern, elektronischen Taschenbüchern, Taschencomputern, Textverarbeitungssystemen, PCs, und dergleichen, verwendet. Andererseits sind mit der Zunahme des Informationsgehalts von OA-Instrumenten STN (super twisted nematic)-LCDs durch Scheffer et al. (SID '85 Digest, S. 120, 1985) und Kinugawa et al. (SID '86 Digest, S. 122, 1986) entwickelt worden, die nunmehr im Bereich von tragbaren Endgeräten, elektronischen Taschenbüchern, Taschencomputern, Textverarbeitungseinrichtungen, PCs, Monitordisplays, und ähnlichen Displays für umfangreiche Informationen immer populärer werden.
  • Kürzlich wurde ein aktives ADS (addressing drive system) (Proc. 12. IDRC, S. 503, 1992) und ein AMDS (multiline addressing drive system) (SID '92 Digest, S. 232, 1992) für die Verbesserung der "Response"-Charakteristiken von STN-LCD vorgeschlagen. Des Weiteren wurde mit dem Ziel, ein helleres Display oder ein höheres Kontrastverhältnis zu erreichen, ein neues Flüssigkristall-Farbdisplaysystem vom Reflektionstyp, in dem die Doppelbrechung von Flüssig kristallen und ein Verzögerungsfilm anstelle von Farbfilterschichten verwendet wurden (The Institute of Television Engineers of Japan, Technical Reports, Bd. 14, Nr. 10, S. 51, 1990), und eine Flüssigkristall-Displayvorrichtung mit einer brechenden Oberfläche, worin ein kleiner Parabolid auf der Substrat-Elektrodenseite angeordnet ist, vorgeschlagen.
  • Insbesondere wird eine gleichmäßige, kontrastreiche Anzeige gegenüber der Temperaturverteilung von Hintergrundlicht erwartet um die Anzeigefläche zu vergrößern, so dass flüssigkristalline Materialien mit stabilerer Orientierung und kleinerer Temperaturabhängigkeit erwartet werden. Des Weiteren wird eine Doppelbrechung erwartet, die einem vorbestimmten Wert entspricht um die Dispersion der Zelldicke zu verringern. Da eine HDD (high duty drive) durch eine Erhöhung der Anzahl an Pixeln durchgeführt wird, werden die Antwort, der Gradient, und dergleichen, ebenfalls als wichtige Faktoren angesehen. Im Fall von tragbaren Displays mittlerer und kleinerer Größe ist andererseits die Stabilität der Anzeige beziehungsweise des Displays gegenüber der Arbeitsumgebungstemperatur ein wichtiger Punkt, so dass flüssigkristalline Materialien mit einer niedrigeren Ansteuerungsspannung, die die Antwort und den Stromverbrauch verringern, erwartet werden und die auch eine geringere Temperaturabhängigkeit von der Ansteuerungsspannung, Schärfe und Frequenzabhängigkeit von der gewünschten DD innerhalb des Temperaturbereichs von –30 bis 0°C oder 40 bis 80°C haben sollen. Zusätzlich ist es erforderlich, obwohl ein zu geringer elektrischer Widerstand (spezifischer Widerstand) zum Sparen elektrischer Energie vermieden werden soll, den Widerstand auf einen vorbestimmten Wert einzustellen, so dass er nicht so hoch wird, dass eine Bildhaftung auftritt. Deshalb besteht weiterhin Bedarf an flüssigkristallinen Materialien, die im Detail weiter differenziert und bis zu einem bestimmten Grad verbessert sind.
  • Wie bereits im Detail vorangehend beschrieben, gibt es viele Anforderungen in Bezug auf Flüssigkristall-Anzeigevorrichtungen, wie ein genaueres und hochdichtes Anzeigevermögen, eine schnellere Antwortgeschwindigkeit (Schaltzeit) gegenüber der Ansteuerungsspannung und der Umgebungstemperatur, eine niedrigere Ansteuerungsspannung mit chemisch und elektrisch hoher Stabilität, einen höheren Gradienten und höheren Kontrast für die Arbeitsumgebungstemperatur und den Betrachtungswinkel. Daher ist die Forschung und Entwicklung weiterhin gerichtet auf flüssigkristalline Materialien, die die gewünschte Ansteuerungsspannung, insbesondere eine niedrigere Ansteuerungsspannung, bei niedrigerer Viskosität erreichen, so dass die Antworteigenschaft verbessert werden kann, während die nematische Eigenschaft innerhalb eines breiten Temperaturbereichs und die nematische Phase für einen verlängerten Zeitraum bei Lagerung bei niedriger Temperatur beibehalten werden kann. Zusätzlich gilt die Aufmerksamkeit auch der Gestaltung der Doppelbrechung, der dielektrischen Anisotropie, der Elastizitätskonstante und ihrer Temperaturabhängigkeit, der Lichtwellenlängenabhängigkeit der Doppelbrechung und der Frequenzabhängigkeit der zu erfüllenden Anforderungen als zu verbessernde Mittel beziehungsweise Eigenschaften.
  • Um solche Anforderungen an flüssigkristalline Materialien zu erfüllen, ist es erforderlich, die Doppelbrechung, die Elastizitätskonstante, die dielektrische Anisotropie, geringere Viskosität, breitere nematische Temperaturbereiche, die chemische Stabilität, elektrische Stabilität (den gewünschten spezifischen Widerstand) und ähnliche physikalische Eigenschaften und den vorbestimmten Tilt-Winkel, betreffend die Orientierungseigenschaft, einen breiteren d/p-Bereich, und ähnliche individuelle Eigenschaften, allgemein zu optimieren. Die Entwicklung neuer flüssigkristalliner Verbindungen und Flüssigkristallzusammensetzungen ist nach wie vor erforderlich.
  • Was die Verbindungen anbetrifft, die mit den erfindungsgemäßen Gruppen A1 bis A3 in Bezug stehen, die im Weiteren beschrieben werden, so sind die Verbindungen der allgemeinen Formel (I-1) beispielsweise in dem deutschen Patent 2306739 (1973) und in J. Phys. (Paris) Suppl. 36, C1, 387 (1975) offenbart, Verbindungen der allgemeinen Formel (I-4) in JP-A-58-83665 (1983) offenbart (wobei der hier verwendete Begriff "JP-A" eine "ungeprüfte veröffentlichte japanische Patentanmeldung" bedeutet) und in dem U.S.-Patent 4455261 (1984) offenbart und die Verbindungen der allgemeinen Formeln (I-2), (I-3) und (I-5) bis (I-9) in JP-W-3-503637 (der Begriff "JP-W", wie er hier verwendet wird, bedeutet eine "ungeprüfte veröffentlichte internationale japanische Patentanmeldung") und WO 89/08102 (1989) offenbart. Zusammensetzungen, in denen diese Verbindungen verwendet werden, sind beispielsweise neben den eben erwähnten Referenzen in JP-A-9-157654 (1997) beschrieben.
  • Was die Verbindungen anbetrifft, die mit den erfindungsgemäßen Gruppen A4 bis A6 in Verbindung stehen, die im Weiteren beschrieben werden, so sind Verbindungen der allgemeinen Formeln (I-10) und (I-13) in JP-A-2-225444 (1990), JP-A-2-233656 (1990), dem europäischen Patent 464648 (1991), dem europäischen Patent 466183 (1991) und der JP-A-4-230352 (1992) offenbart, und Verbindungen der allgemeinen Formel (I-16) sind beispielsweise in der JP-A-4-300861 (1992) beschrieben.
  • Zusätzlich zu den vorher erwähnten Referenzen sind Zusammensetzungen, in denen diese Verbindungen verwendet werden, beispielsweise in JP-W-62-501509 (1986), U.S.-Patent 4 818 426 (1989), europäisches Patent 207975 B (1990), JP-W-63-5025969 (1987), JP-W-1-500837 (1988), JP-A-4-279560 (1992), WO 96/32365 (1996), JP-A-9-59625 (1997), JP-A-9-227866 (1997), JP-A-10-88140 (1998), JP-A-10-140157 (1998) und JP-A-10-158651 (1998) beschrieben.
  • Die oben erwähnten Techniken sind, obwohl einige von ihnen noch nicht realisiert wurden, ungenügend um die erfindungsgemäß angestrebten Ziele zu erreichen. Beispielsweise sind Verbindungen der allgemeinen Formeln (I-11) und (I-12) und Verbindungen der allgemeinen Formeln (I-14) und (I-15) oder der allgemeinen Formeln (I-17) und (I-18) gemäß der vorliegenden Erfindung nicht bekannt. Was die Techniken, betreffend die Zusammensetzungen, anbetrifft, gibt es zwar Beschreibungen über allgemeine Kombinationen von Verbindungen in illustrativer Art, aber ihre illustrativen Beispiele sind selten, so dass die technischen Offenbarungen beziehungsweise Lehren, auf die der Fachmann einfach zurückgreifen kann, noch ungenügend sind.
  • Über dies bleiben einige Probleme selbst dann ungelöst, wenn die vorher erwähnten Techniken angewendet werden. Beispielsweise sind große Anstrengungen unternommen worden um die Ansprecheigenschaft von Flüssigkristallvorrichtungen durch eine geringere Viskoelastizität im Vergleich mit der Größe der dielektrischen Anisotropie Δε zu verbessern oder eine Flüssigkristallanzeige zu realisieren, die innerhalb eines breiten Temperaturbereichs betrieben werden kann, indem eine nematische Phase erhalten wird, die bei Raumtemperatur durch Verringerung ihrer Neigung zur Kristallisation oder zur Ausfällung gegenüber anderen flüssigkristallinen Materialien stabil ist. Des Weiteren werden für Textverarbeitungssysteme, PC, und dergleichen, STN-LCDs mit einem großen Informationsspeicher, einer geringen Frequenzabhängigkeit der Ansteuerungsspannung für Hochleistungsanforderungen oder eine geringe Temperaturabhängigkeit der Ansteuerungsspannung im Falle einer mobilen Verwendung erwartet. Daher besteht das Bedürfnis nach weiteren hervorragenden, neuen flüssigkristallinen Materialien.
  • Die JP 09 059637 offenbart eine verdrillt-nematische und superverdrillt-nematische Flüssigkristallzusammensetzung und eine Flüssigkristallanzeige. Ebenso offenbart die EP 0 700 982 A1 eine Flüssigkristallzusammensetzung und ein Flüssigkristall-Displayelement, das davon Gebrauch macht. Über dies offenbart die EP 0 464 648 A1 4-Cyano-3-fluorphenylester für die Herstellung von Flüssigkristallzusammensetzungen. Die EP 0 750 028 A2 offenbart zusätzlich Alkenylcyclohexan-Derivate, Flüssigkristallzusammensetzungen und Flüssigkristall-Displayelemente. Schließlich offenbart die JP 61 078753 A Flüssigkristallzusammensetzungen, die auf trans-Ethylen-Derivaten beruhen.
  • ZUSAMMENFASSUNG DER ERFINDUNG
  • Die Erfindung soll die vorher erwähnten, im Stand der Technik vorhandenen Probleme lösen.
  • Ihre primäre Aufgabe ist, zur Erläuterung, eine neue flüssigkristalline Verbindung bereitzustellen, die eine starke polare Verbindung mit einer großen dielektrischen Anisotropie ist und eine hervorragende Wirkung auf die Verringerung der Schwellenspannung ausübt und bei ihrer Zugabe hervorragende Mischbarkeit mit herkömmlichen flüssigkristallinen Materialien aufweist.
  • Eine weitere Aufgabe der vorliegenden Erfindung ist es, flüssigkristalline Materialien für jeden Zweck bereitzustellen, ohne die anderen Eigenschaften ungünstig zu beeinflussen, einschließlich des Falles der Zugabe in einer geringen Menge. Insbesondere ist es die Aufgabe, den Betriebstemperaturbereich der Eigenschaften des Flüssigkristall-Displays auszuweiten durch die Verbesserung der Mischbarkeit, Niedrigtemperaturgebrauchsfähigkeitsdauer, und dergleichen um die Verringerung der Ansteuerungsspannung und ihre Temperaturänderungen zu verbessern und eine relativ schnelle Antwort auf eine gewünschte Ansteuerungsspannung zu erzielen oder zu verbessern.
  • Eine weitere Aufgabe ist es, TN-LCD, STN-LCD, und ähnliche flüssigkristalline Displaysysteme, mit verbesserten elektro-optischen Eigenschaften bereitzustellen, die von den Flüssigkristallzusammensetzungen als Bestandteile Gebrauch machen.
  • Die vorliegende Erfindung stellt folgende Gegenstände als Mittel zur Lösung der vorher erwähnten Aufgaben bereit:
    • 1. Verbindung der allgemeinen Formel (I)
      Figure 00070001
      worin R für ein Wasserstoffatom oder eine geradkettige Alkylgruppe mit 1 bis 7 Kohlenstoffatomen steht und X, Y und Z jeweils für ein Wasserstoffatom oder Fluoratom stehen.
    • 2. Verbindung nach Absatz 1, worin R ein Wasserstoffatom oder eine Methylgruppe ist.
    • 3. Verbindung nach Absatz 1 oder 2, worin X ein Fluoratom und Y ein Wasserstoffatom ist.
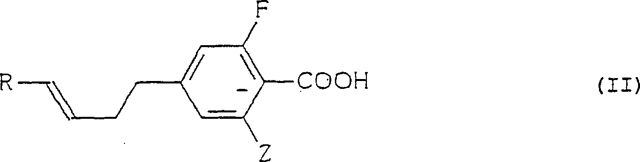
    • 4. Verbindung der allgemeinen Formel (II)
      Figure 00070002
      worin R für ein Wasserstoffatom oder eine geradkettige Alkylgruppe mit 1 bis 7 Kohlenstoffatomen steht und Z ein Wasserstoffatom oder ein Fluoratom bedeutet.
    • 5. Nematische flüssigkristalline Zusammensetzung, umfassend eine flüssigkristalline Komponente A, die aus 2 oder 3 oder mehreren Gruppen, ausgewählt aus Gruppen A1 bis A6, zusammengesetzt ist, wobei die Gruppen aus Verbindungen der allgemeinen Formeln (I-1) bis (I-18) bestehen:
      Figure 00080001
      worin R11 eine Alkylgruppe mit 1 bis 10 Kohlenstoffatomen bedeutet und R12 eine Alkenylgruppe mit 2 bis 10 Kohlenstoffatomen bedeutet, worin die Alkyl- oder Alkenylgruppe unsubstituiert sein kann oder eine F-, CH3- oder CF3-Gruppe als Substituentengruppe aufweisen kann und die Atome, die diese Verbindungen bilden, durch ihre Isotope ersetzt sein können und die flüssigkristalline Komponente A aus bis zu 20 Verbindungen zusammengesetzt ist; 0 bis 95 Gew.-% einer flüssigkristallinen Komponente B, die aus Verbindungen mit einer dielektrischen Anisotropie von +2 oder mehr zusammengesetzt ist, und 0 bis 95 Gew.-% einer flüssigkristallinen Komponente C, die aus Verbindungen mit einer dielektrischen Anisotropie von –10 oder mehr bis weniger als +2 zusammengesetzt ist; wobei die Gesamtmenge der flüssigkristallinen Komponente B und der flüssigkristallinen Komponente C in der nematischen Flüssigkristallzusammensetzung von 30 bis 95 Gew.-% reicht, mit der Maßgabe, dass die flüssigkristalline Komponente A der folgenden Bedingung genügt: die flüssigkristalline Komponente A enthält 1 bis 10 der Verbindungen, dargestellt durch die Gruppen A4 bis A6, worin die Seitenkettengruppe eine Alkenylgruppe aufweist, und 1 bis 10 der Verbindungen der Gruppen A1 bis A3, worin die Seitenkettengruppe eine Alkylgruppe aufweist, und der Gesamtgehalt dieser Verbindungen in der flüssigkristallinen Komponente A 100 Gew.-% beträgt.
    • 6. Nematische Flüssigkristallzusammensetzung nach Abschnitt 5, worin die flüssigkristalline Komponente B 1 bis 15 Verbindungen, ausgewählt aus der Gruppe von Verbindungen der allgemeinen Formeln (II-1) bis (II-4), enthält:
      Figure 00100001
      worin R21 bis R24 unabhängig für eine Alkylgruppe mit 1 bis 10 Kohlenstoffatomen oder eine Alkenylgruppe mit 2 bis 10 Kohlenstoffatomen stehen, wobei die Alkylgruppe oder Alkenylgruppe unsubstituiert sein kann, oder eine F-, CH3- oder CF3-Gruppe als Substituentengruppe aufweisen kann, und/oder mindestens eine der CH2-Gruppen, die in der Alkylgruppe oder Alkenylgruppe vorliegen, unabhängig mit -O-, -CO- oder -COO- substituiert sein kann, wobei die O-Atome nicht direkt miteinander verbunden sind, X21 bis X24 unabhängig für F, Cl, CF3, OCF3, OCF2H, NCS oder CN stehen, Y21 bis Y28 unabhängig für H, F, Cl oder OCF3 stehen, W21 bis W28 unabhängig für H, F oder Cl stehen, Z21 bis Z26 jeweils unabhängig für eine Einfachbindung, -COO-, -OCO-, -CH2O-, -OCH2-, -(CH2)2-, -(CH2)4-, -CH=CH-(CH2)2-, -(CH2)2-CH=CH-, -CH=N-, -CH=N-N=CH- oder -N(O)=N- stehen, worin Z21 und Z24 bis Z26 jeweils -CH=CH-, -CF=CF- oder -C≡C- sein kann, jeder der Ringe A21 bis A24 unabhängig für trans-1,4-Cyclohexylen, trans-1,4-Cyclohexenylen oder trans-1,3-Dioxan-2,5-diyl steht, worin der Ring A24 1,4-Phenylen, 2- oder 3-Fluor- 1,4-phenylen oder 3,5-Difluor-1,4-phenylen sein kann und im Fall von trans-1,4-Cyclohexylen mindestens eines der Wasserstoffatome in dem Ring durch ein Deuteriumatom ersetzt sein kann, k21 bis k24 unabhängig für 0 oder 1 stehen, worin k23 + k24 0 oder 1 ist, und die Atome, die die Verbindungen der allgemeinen Formeln (II-1) bis (II-4) bilden, durch ihre Isotope ersetzt sein können.
    • 7. Nematische Flüssigkristallzusammensetzung nach Abschnitt 6, worin die flüssigkristalline Komponente B 1 bis 15 oder mehr Verbindungen, ausgewählt aus der Gruppe, bestehend aus (1) einer Verbindung, in der R21 bis R24 in den allgemeinen Formeln (II-1) bis (II-4) unabhängig für eine Alkenylgruppe mit 2 bis 5 Kohlenstoffatomen stehen, (2) einer Verbindung, in der X21 bis X24 in den allgemeinen Formeln (II-1) bis (II-4) jeweils unabhängig für F, Cl oder -OCF3 stehen, (3) einer Verbindung, in der Z22 in der allgemeinen Formel (II-1) -(CH2)2- oder -(CH2)4- ist, (4) einer Verbindung, in der k21 in der allgemeinen Formel (II-1) 1 ist, (5) einer Verbindung, in der mindestens einer von Y23, Y24, W21 und W22 in der allgemeinen Formel (II-2) F ist, (6) einer Verbindung, in der in der allgemeinen Formel (II-2) k22 1 ist und Z24 -C≡C- ist, (7) einer Verbindung, in der in der allgemeinen Formel (II-2) Z23 eine Einfachbindung oder -(CH2)2- ist und Z24 -COO- ist, (8) einer Verbindung, in der mindestens einer von Y25, Y26 und W23 bis W26 in der allgemeinen Formel (II-3) F ist, (9) einer Verbindung, in der Z26 in der allgemeinen Formel (II-3) -C≡C- ist, (10) einer Verbindung, in der in der allgemeinen Formel (II-3) Z25 eine Einfachbindung oder -C≡C- ist und Z26 -COO- ist, (11) einer Verbindung der allgemeinen Formel (II-4) und (12) einer Verbindung, in der in den allgemeinen Formeln (II-1) und (II-2) die Ringe A21 bis A23 für trans-1,4-Cyclohexylen stehen und mindestens eines der Wasserstoffatome in dem Ring durch ein Deuteriumatom ersetzt ist, enthält.
    • 8. Nematische Flüssigkristallzusammensetzung nach Abschnitt 6, worin die flüssigkristalline Komponente B 1 bis 15 Verbindungen, ausgewählt aus der Gruppe, bestehend aus (1) einer Verbindung, in der in der allgemeinen Formel (II-1) R21 eine Alkyl- oder Alkenylgruppe mit 2 bis 5 Kohlenstoffatomen ist, k21 0 ist und X21 -CN ist, (2) einer Verbindung, in der in der allgemeinen Formel (II-1) k21 1 ist, X21 F oder -CN ist und Y21 und Y22 jeweils unabhängig H oder F sind, (3) einer Verbindung, in der in der allgemeinen Formel (II-2) R22 eine Alkyl- oder Alkenylgruppe mit 2 bis 5 Kohlenstoffatomen ist, k22 0 ist, X22 -CN ist und Y23, Y24, W21 und W22 jeweils unabhängig H oder F sind, (4) einer Verbindung, in der in der allgemeinen Formel (II-2) k22 1 ist, Z23 eine Einfachbindung, – (CH2)2- oder -COO- ist, Z24 eine Einfachbindung, -COO- oder -C≡C- ist, X22 F oder -CN ist und Y23, Y24, W21 und W22 unabhängig voneinander H oder F bedeuten, (5) einer Verbindung, in der in der allgemeinen Formel (II-3) R23 eine Alkyl- oder Alkenylgruppe mit 2 bis 5 Kohlenstoffatomen ist und einer von Z25 und Z26 eine Einfachbindung ist und der andere eine Einfachbindung, -COO- oder -C≡C- ist, (6) einer Verbindung, in der Y25, Y26 und W23 bis W26 in der allgemeinen Formel (II-3) H oder F ist, (7) einer Verbindung, in der in der allgemeinen Formel (II-4) R24 eine Alkyl- oder Alkenylgruppe mit 2 bis 7 Kohlenstoffatomen ist und k23 + k24 0 ist und (8) einer Verbindung, in der in den allgemeinen Formeln (II-1) und (II-2) die Ringe A21 bis A23 trans-1,4-Cyclohexylen bedeuten und mindestens eines der Wasserstoffatome in dem Ring durch ein Deuteriumatom ersetzt ist, enthält; und worin der Gesamtgehalt dieser Verbindungen in der flüssigkristallinen Komponente B von 10 bis 100 Gew.-% reicht.
    • 9. Nematische Flüssigkristallzusammensetzung nach Abschnitt 6, worin die flüssigkristalline Komponente B 1 bis 15 Verbindungen, die aus der Gruppe, bestehend aus (1) einer Verbindung, in der in der allgemeinen Formel (II-1) R21 eine Alkyl- oder Alkenylgruppe mit 2 bis 5 Kohlenstoffato men ist, k21 für 1 steht, einer von Z21 und Z22 eine Einfachbindung und der andere eine Einfachbindung, -COO-, -(CH2)2- oder -(CH2)4- ist, X21 F, Cl, CF3, OCF3 oder OCF2H ist und mindestens einer von Y21 und Y22 F ist, (2) einer Verbindung, in der in der allgemeinen Formel (II-2) X22 eine Alkyl- oder Alkenylgruppe mit 2 bis 5 Kohlenstoffatomen ist, k22 für 1 steht, Z23 eine Einfachbindung, -(CH2)2- oder -COO- ist, Z24 eine Einfachbindung, -COO- oder -C≡C- ist, X22 F, Cl, CF3, OCF3 oder OCF2H ist, mindestens einer von Y23 und Y24 F ist und W21 und W22 jeweils unabhängig H oder F bedeuten, (3) einer Verbindung, in der in der allgemeinen Formel (II-3) R23 eine Alkyl- oder Alkenylgruppe mit 2 bis 5 Kohlenstoffatomen ist, einer von Z25 und Z26 eine Einfachbindung und der andere eine Einfachbindung, -COO- oder -C≡C- ist, X23 F ist, mindestens einer von Y25 und Y26 F ist und W23 bis W26 H oder einer oder mehrere davon F bedeuten und (4) einer Verbindung, in der in den allgemeinen Formeln (II-1) und (II-2) die Ringe A21 bis A23 trans-1,4-Cyclohexylen bedeuten und mindestens eines der Wasserstoffatome in dem Ring durch ein Deuteriumatom ersetzt ist; ausgewählt sind, enthält und worin der Gesamtgehalt dieser Verbindungen in der flüssigkristallinen Komponente B von 10 bis 100 Gew.-% reicht.
    • 10. Nematische Flüssigkristallzusammensetzung nach den Abschnitten 5 bis 9, worin die flüssigkristalline Komponente C 1 bis 15 Verbindungen, ausgewählt aus der Gruppe, bestehend aus Verbindungen der allgemeinen Formeln (III-1) bis (III-4), enthält:
      Figure 00140001
      worin R31 bis R34 unabhängig für eine Alkyl- oder Alkoxygruppe mit 1 bis 7 Kohlenstoffatomen oder eine Alkenyl- oder Alkenyloxygruppe mit 2 bis 7 Kohlenstoffatomen stehen, worin die Alkylgruppe, Alkoxygruppe, Alkenylgruppe oder Alkenyloxygruppe unsubstituiert oder eine F-, CH3- oder CF3-Gruppe als Substituentengruppe sein bzw. aufweisen können, und/oder mindestens eine der CH2-Gruppen, die in der Alkylgruppe, Alkoxygruppe, Alkenylgruppe oder Alkenyloxygruppe vorliegen, unabhängig durch -O-, -CO- oder -COO- substituiert sein können, wobei die O-Atome nicht direkt aneinander gebunden sind, Y31 bis Y36 jeweils unabhängig für H oder F stehen oder Y33 und Y36 auch -CH3 sein können, W31 bis W39 jeweils unabhängig für H, F oder Cl stehen, Z31 bis Z36 unabhängig für eine Einfachbindung, -COO-, -OCO-, -CH2O-, -OCH2-, -(CH2)2-, -(CH2)4-, -CH=CH-(CH2)2-, -(CH2)2-CH=CH-, -CH=N-, -CH=N-N=CH- oder -N(O)=N- stehen, worin Z31 und Z34 bis Z36 auch -CH=CH-, -CF=CF- oder -C≡C- sein können, jeder der Ringe A31 bis A35 unabhängig für trans-1,4-Cyclohexylen, trans-1,4-Cyclohexenylen oder trans-1,3- Dioxan-2,5-diyl steht, worin die Ringe A31 und A33 bis A35 auch 1,4-Phenylen, 2- oder 3-Fluor-1,4-phenylen, 2,3-Difluor-1,3-phenylen oder 3,5-Difluor-1,4-phenylen sein können, und, in dem Fall von trans-1,4-Cyclohexylen, mindestens eines der Wasserstoffatome in dem Ring durch ein Deuteriumatom ersetzt sein kann, k31 bis k35 jeweils unabhängig für 0 oder 1 stehen, wobei k34 + k35 0 oder 1 ist, und die Atome, die die Verbindungen der allgemeinen Formeln (III-1) bis (III-4) bilden, durch ihre Isotope ersetzt sein können.
    • 11. Nematische Flüssigkristallzusammensetzung nach Abschnitt 10, worin die flüssigkristalline Komponente C 1 bis 15 Verbindungen, ausgewählt aus der Gruppe, bestehend aus Verbindungen der allgemeinen Formel (III-1), (III-2) oder (III-3) enthält, und der Gesamtgehalt dieser Verbindungen in der flüssigkristallinen Komponente C 10 bis 100 Gew.-% beträgt.
    • 12. Nematische Flüssigkristallzusammensetzung nach Abschnitt 10, worin die flüssigkristalline Komponente C 1 bis 15 oder mehr Verbindungen, ausgewählt aus der Gruppe, bestehend aus (1) einer Verbindung, in der R31 bis R34 in den allgemeinen Formeln (III-1) bis (III-4) jeweils unabhängig für eine Alkenylgruppe mit 2 bis 5 Kohlenstoffatomen stehen, (2) einer Verbindung, in der R35 bis R38 in den allgemeinen Formeln (III-1) bis (III-4) unabhängig für eine geradkettige Alkenyl- oder Alkenyloxygruppe mit 2 bis 7 Kohlenstoffatomen stehen, (3) einer Verbindung, in der in der allgemeinen Formel (III-1) k31 0 ist und Z32 eine Einfachbindung oder -(CH2)2-, (4) einer Verbindung, in der k31 in der allgemeinen Formel (III-1) 1 ist, (5) einer Verbindung der allgemeinen Formel (III-2), (6) einer Verbindung, in der in der allgemeinen Formel (III-3) mindestens einer von Y34, Y35 und W34 bis W36 F ist und Y33 F oder -CH3 ist, (7) einer Verbindung, in der in der allgemeinen Formel (III-3) k33 0 ist und Z36 eine Einfachbindung ist, (8) einer Verbindung, in der in der allgemeinen Formel (III-3) k33 1 ist und Z35 eine Einfachbindung, -OCO-, -CH2O-, -OCH2-, -(CH2)2-, -(CH2)4-, -CH=CH-(CH2)2-, -(CH2)2-CH=CH-, -CH=N-, -CH=N-N=CH-, -N(O)=N-, -CH=CH- oder -CF=CF- ist, (9) einer Verbindung, in der in der allgemeinen Formel (III-3) Z35 -COO- oder -C≡C- ist und Z36 -OCO-, -CH2O-, -OCH2-, -(CH2)2-, -(CH2)4-, -CH=CH-(CH2)2-, -(CH2)2-CH=CH-, -CH=N-, -CH=N-N=CH-, -N(O)=N-, -CH=CH-, -CF=CF- oder -C≡C- ist, (10) einer Verbindung der allgemeinen Formel (III-4) und (11) einer Verbindung, in der in den allgemeinen Formeln (III-1) bis (III-4) die Ringe A31 bis A35 trans-1,4-Cyclohexylen sind und mindestens eines der Wasserstoffatome in dem Ring durch ein Deuteriumatom ersetzt ist, enthält.
    • 13. Nematische Flüssigkristallzusammensetzung nach Abschnitt 10, worin die flüssigkristalline Komponente C 1 bis 15 Verbindungen, ausgewählt aus der Gruppe, bestehend aus (1) einer Verbindung, in der in der allgemeinen Formel (III-1) R31 eine Alkylgruppe mit 1 bis 5 Kohlenstoffatomen oder eine Alkenylgruppe mit 2 bis 5 Kohlenstoffatomen ist, R35 eine Alkyl- oder Alkoxygruppe mit 1 bis 5 Kohlenstoffatomen oder eine Alkenyl- oder Alkenyloxygruppe mit 2 bis 5 Kohlenstoffatomen ist, k31 für 0 steht und Z32 eine Einfachbindung, -COO- oder -(CH2)2- ist, (2) einer Verbindung, in der in der allgemeinen Formel (III-1) k31 1 ist, der Ring A31 trans-1,4-Cyclohexylen ist und einer von Z31 und Z32 eine Einfachbindung und der andere -COO- oder -(CH2)2- ist, (3) einer Verbindung, in der in der allgemeinen Formel (III-2) R32 eine Alkylgruppe mit 1 bis 5 Kohlenstoffatomen oder eine Alkenylgruppe mit 2 bis 5 Kohlenstoffatomen ist, R36 für eine Alkyl- oder Alkoxygruppe mit 1 bis 5 Kohlenstoffatomen oder eine Alkenyl- oder Alkenyloxygruppe mit 2 bis 5 Kohlenstoffatomen steht, der Ring A32 trans-1,4-Cyclohexylen oder trans-1,4-Cyclohexenylen ist, k32 0 bedeutet und Z33 eine Einfachbindung, -COO- oder -(CH2)2- ist, (4) einer Verbindung, in der in der allgemeinen Formel (III-2) k32 1 ist und einer von Z33 und Z34 eine Einfachbindung ist, (5) einer Verbindung, in der in der allgemeinen Formel (III-3) R33 eine Alkylgruppe mit 1 bis 5 Kohlenstoffatomen oder eine Alkenylgruppe mit 2 bis 5 Kohlenstoffatomen ist, R37 eine Alkyl- oder Alkoxygruppe mit 1 bis 5 Kohlenstoffatomen oder eine Alkenyl- oder Alkenyloxygruppe mit 2 bis 5 Kohlenstoffatomen ist, k33 0 ist und Z36 eine Einfachbindung, -C≡C- oder -CH=N-N=CH- ist, (6) einer Verbindung, in der in der allgemeinen Formel (III-3) k33 1 ist, Z35 eine Einfachbindung, -(CH2)2-, -COO- oder -C≡C- ist und Z36 eine Einfachbindung, -COO- oder -C≡Cist, (7) einer Verbindung, in der in der allgemeinen Formel (III-3) einer von Z35 und Z36 eine Einfachbindung und der andere eine Einfachbindung oder -C≡C- ist und mindestens einer von W34 und W35 F ist, (8) einer Verbindung, in der in der allgemeinen Formel (III-3) einer von Y35 und Y36 durch F oder CH3 substituiert ist und (9) einer Verbindung, in der in der allgemeinen Formel (III-4) R34 eine Alkylgruppe mit 1 bis 5 Kohlenstoffatomen oder eine Alkenylgruppe mit 2 bis 5 Kohlenstoffatomen ist, R38 eine Alkyl- oder Alkoxygruppe mit 1 bis 5 Kohlenstoffatomen oder eine Alkenyl- oder Alkenyloxygruppe mit 2 bis 5 Kohlenstoffatomen ist und k34 + k35 0 ist, enthält, und worin der Gesamtgehalt dieser Verbindungen in der flüssigkristallinen Verbindung C 10 bis 100 Gew.-% beträgt.
    • 14. Nematische Flüssigkristallzusammensetzung nach einem der Abschnitte 5 bis 13, worin die Flüssigkristallzusammensetzung 1 bis 10 Verbindungen mit einer Kernstruktur aus vier sechsgliedrigen Ringen enthält und eine Übergangstemperatur von der flüssigkristallinen Phase in die isotrope flüssige Phase von 100°C oder darüber aufweist.
    • 15. Nematische Flüssigkristallzusammensetzung nach einem der Abschnitte 5 bis 14, worin die Flüssigkristallzusammensetzung eine Doppelbrechung von 0,08 bis 0,195, ein Verhältnis elastischer Konstanten K33/K11 von 1,1 bis 4,0, eine Übergangstemperatur von der nematischen Phase in die isotrope flüssige Phase von 50 bis 150°C und eine Übergangstemperatur von der kristallinen Phase, smektischen Phase oder Glasphase in die nematische Phase von –200°C bis 0°C aufweist.
    • 16. Nematische Flüssigkristallzusammensetzung nach den Abschnitten 5 bis 15, worin die Flüssigkristallzusammensetzung weiter eine Verbindung mit einer optisch aktiven Gruppe enthält, die eine induzierte helikale Ganghöhe von 0,5 bis 1000 μm aufweist.
    • 17. Ein Aktivmatrix-, verdrillt nematisches oder superverdrillt nematisches Flüssigkristalldisplaysystem, umfassend die nematische Flüssigkristallzusammensetzung nach Abschnitt 16.
  • KURZE BESCHREIBUNG DER ZEICHNUNG
  • 1 ist eine graphische Darstellung, die die Beziehung zwischen der Viskosität (η) bei 20°C und der Schwellenspannung (Vth), gemessen in Beispiel 7 und Vergleichsbeispiel 4, zeigt.
  • DETAILLIERTE BESCHREIBUNG DER ERFINDUNG
  • Das Folgende beschreibt ein erfindungsgemäßes Beispiel.
  • Die erfindungsgemäße Flüssigkristallzusammensetzung enthält Komponente A als wesentliche Komponente, die Verbindungen, ausgewählt aus den Verbindungen der allgemeinen Formeln (I-1) bis (I-18) umfasst. Die Komponente A ist dadurch gekennzeichnet, dass sie aufgebaut werden kann, indem sie in Gruppen A1 bis A6 klassifiziert wird. Die Gruppen A1 bis A6 werden klassifiziert, indem die Verbindungen der allgemeinen Formeln (I-1) bis (I-18) in eine Gruppe mit einer 3,5-Difluor-4-cyanophenylgruppe, eine Gruppe mit einer 3-Fluor-4-cyanophenylgruppe und eine Gruppe mit einer 4-Cyanophenylgruppe, wobei die polaren Gruppen berücksichtigt werden, und weiter in eine Gruppe mit einer Alkenylgruppe und eine Gruppe mit einer Alkylgruppe, wobei die Seitenkettengruppe berücksichtigt wird, aufgeteilt werden. Die flüssigkristalline Komponente A wird aus den Gruppen A1 bis A6 ausgewählt. Diese Gruppen können als eine Gruppe, zwei Gruppen oder drei oder mehr Gruppen, in Abhängigkeit von dem jeweiligen Zweck, ausgewählt werden. Die erfindungsgemäßen Aufgaben können gelöst werden, indem die Verbindungen der allgemeinen Formeln (I-1) bis (I-18) im Hinblick auf die vorgenannten Punkte gruppiert und die flüssigkristalline Komponente A in der Weise gebildet wird, dass die Eigenschaften dieser Gruppen passender sind. Wenn z. B. die flüssigkristalline Komponente A mit den vorher erwähnten Eigenschaften in eine Flüssigkristallzusammensetzung eingearbeitet wird, zeigt das resultierende Gemisch hervorragende Eigenschaften, die nicht in herkömmlichen, konventionellen Ansteuerungsspannungsreduzierenden Flüssigkristallverbindungen gefunden werden können, da es eine relativ gute Übergangstemperatur von der nematischen Phase in die isotrope flüssige Phase zeigt, und außerdem den Effekt aufweist, dass die Ansteuerungsspannung reduziert wird, während die Antworteigenschaft beibehalten oder nicht beeinträchtigt wird.
  • Die erfindungsgemäße Flüssigkristallzusammensetzung weist auch die folgenden Eigenschaften auf. Die flüssigkristalline Komponente A der vorliegenden Erfindung weist das Merkmal auf, dass sie eine deutlich hohe dielektrische Anisotropie Δε aufweist. Daher weist die erfindungsgemäße Flüssigkristallzusammensetzung das Merkmal auf, dass die Ansteuerung bei einer niedrigen Spannung infolge der Fähigkeit, die dielektrische Anisotropie Δε innerhalb eines breiten Bereichs einzustellen, erfolgen kann. Im Allgemeinen weist eine Verbindung mit einer deutlich hohen di elektrischen Anisotropie Δε auch den Nachteil auf, dass eine hohe Viskosität hervorgerufen wird. Jedoch wurde erfindungsgemäß die Wirkung aufgefunden, dass eine geringere Viskosität für die Größe der dielektrischen Anisotropie erreicht werden kann, und zwar durch eine Kombination der Zusammensetzung, in der sie die vorher erwähnte flüssigkristalline Komponente A 0 bis 95 Gew.-% einer flüssigkristallinen Komponente B, bestehend aus Verbindungen mit einer dielektrischen Anisotropie von +2 oder mehr und 0 bis 95 Gew.-% einer flüssigkristallinen Komponente C, bestehend aus Verbindungen mit einer dielektrischen Anisotropie von –10 oder mehr bis weniger als 2, enthält, worin die Gesamtmenge der flüssigkristallinen Komponente B und der flüssigkristallinen Komponente C von 30 bis 95 Gew.-% reicht. Des Weiteren kann, wenn sie mit einem flüssigkristallinen Material, das aus der oben beschriebenen flüssigkristallinen Komponente B und der flüssigkristallinen Komponente C besteht, gemischt wird, der Betriebstemperaturbereich der flüssigkristallinen Komponente A breiter eingestellt werden, indem z. B. die Übergangstemperatur von der festen Phase oder smektischen Phase in die nematische Phase verringert oder die Lagerungs- beziehungsweise Speicherungszeit bei niedriger Temperatur verlängert wird.
  • Die flüssigkristalline Komponente A enthält 2 oder 3 oder mehr Verbindungen, ausgewählt aus Verbindungen der allgemeinen Formeln (I-1) bis (I-18), und es ist zweckmäßig, die Komponente mit bis zu 20 Verbindungen, in Abhängigkeit von dem jeweiligen Zweck, zu bilden. In diesem Fall können eine oder mehr Verbindungen aus derselben Gruppe ausgewählt werden, aber es ist auch möglich, eine Vielzahl von Verbindungen aus Verbindungen der gleichen allgemeinen Formel oder aus zwei oder drei verschiedenen allgemeinen Formeln auszuwählen. Die Verbindungen, die aus derselben Gruppe ausgewählt sind, können durch bis zu 20 Vertreter gebildet werden, wobei jedoch bis zu 10 Vertreter bevorzugt sind.
  • Die Verbindungen der Gruppen A3 und A6 haben, wenn sie mit den Verbindungen der anderen Gruppen streng verglichen werden, hervorragende Wirkung auf die Verringerung der Ansteuerungsspannung (driving voltage), aber besitzen auch eine Neigung, die Antworteigenschaft negativ zu beeinflussen und die Übergangstemperatur von der nematischen Phase in die isotrope Flüssigphase herabzusetzen. Daher ist es zweckmäßig, die Anzahl der Verbindungen der Gruppe A3 und Gruppe A6 auf ein Minimum zu reduzieren. Es ist z. B. zweckmäßig, sie aus 1 bis 10 Vertretern, vorzugsweise 1 bis 5 Vertretern, am meisten bevorzugt mit 3, 2 oder einem Vertreter, zu bilden.
  • Bevorzugte Ausführungsformen der Verbindungen der allgemeinen Formeln (I-1) bis (I-18) sind nachfolgend gezeigt. Bevorzugtere Ausführungsformen der Seitenkettengruppe R11 entsprechen den allgemeinen Formeln (I-a) bis (I-f), die nachstehend gezeigt sind, und bevorzugtere Ausführungsformen der Seitenkettengruppe R12 entsprechen den im Folgenden gezeigten allgemeinen Formeln (I-ah) bis (I-bc). Verbindungen, die durch diese Gruppen dargestellt werden, sind nützlich beziehungsweise zweckmäßig.
  • Figure 00210001
  • Figure 00220001
  • In diesem Zusammenhang wurde jede der im Folgenden verwendeten Verbindungen sorgfältig gereinigt, indem Verunreinigungen durch Destillation, Säulenchromatographie, Umkristallisation, und ähnliche Techniken, entfernt wurden.
  • Genauer gesagt ist es zweckmäßig, die folgenden Verbindungen in der flüssigkristallinen Komponente A zu verwenden um die erfindungsgemäß angestrebten Effekte zu erhalten.
  • In den allgemeinen Formeln (I-1) bis (I-9) sind Verbindungen bevorzugt, (I-i), in denen R11 eine Alkylgruppe mit 2 bis 7 Kohlenstoffatomen ist, zur Erläuterung, Verbindungen mit Grundstrukturen der allgemeinen Formeln (I-1) bis (I-9) und Seitenkettengruppen von (I-a) bis (I-f). Da diese Verbindungen die Wirkung haben, dass die Ansteuerungsspannung verringert wird und Elastizitätskonstanten und ihre Verhältnisse K33/K11 und K33/K22 kontrolliert werden können, ist es möglich, weiter verbesserte elektro-optische Eigenschaften von TN-LCD, STN-LCD, und ähnlichen Vorrichtungen, zu erhalten.
  • Des Weiteren sind in den allgemeinen Formeln (I-10) bis (I-18), Verbindungen bevorzugt, (I-ii), in denen R12 eine Alkenylgruppe mit 2 bis 7 Kohlenstoffatomen ist, zur Erläuterung, Verbindungen mit Grundstrukturen der allgemeinen Formeln (I-10) bis (I-18), und Seitenketten-gruppen von (I-ah) bis (I-bc), mehr bevorzugt mit Seitenkettengruppen von (I-al) bis (I-an) und von (I-az) bis (I-bc). Am meisten bevorzugt ist eine nematische Flüssigkristallzusammensetzung, die 1 bis 10 Verbindungen enthält, worin R12 CH2=CH-, CH2=CH- (CH2)2-, CH2=CH-(CH2)4-, CH3CH=CH-, CH3CH=CH-(CH2)2- oder CH3CH=CH-(CH2)4- bedeutet. Da diese Verbindungen die Wirkung besitzen, die Ansteuerungsspannung zu reduzieren, während die Übergangstemperaturen von der nematischen Phase in die isotrope flüssige Phase beibehalten beziehungsweise nicht negativ beeinflusst werden, kann der Betriebstemperaturbereich durch die Verbesserung der Mischbarkeit und der Niedrigtemperatur-Gebrauchsfähigkeitsdauer der Flüssigkristallzusammensetzung und der Elastizitätskonstanten und ihrer Verhältnisse K33/K11 und K33/K22 kontrolliert werden, so dass die elektro-optischen Eigenschaften von TN-LCD, STN-LCD, und ähnlichen Vorrichtungen, mit verbesserter Schärfe, Antwort oder Temperatureigenschaften erhalten werden können.
  • Um die Wirkung der Verringerung der Ansteuerungsspannung oder ihrer Temperaturabhängigkeit oder Frequenzabhängigkeit der Ansteuerungsspannung in Reaktionen auf hohe Belastung zu reduzieren: ist es wünschenswert, (I-iii), hauptsächlich Verbindungen, dargestellt durch die Gruppe A3 und/oder Gruppe A6 mit einer 3,5-Difluor-4-cyanophenylgruppe, und Verbindungen, dargestellt durch die Gruppe A2 und/oder Gruppe A5 mit einer 3-Fluor-4-cyanophenylgruppe, zu verwenden. In diesem Fall ist es zweckmäßiger, Verbindungen auszuwählen, worin R11 (I-a) bis (I-f) ist, und Verbindungen, worin R12 (I-al) bis (I-an) oder (I-az) bis (I-bc) ist.
  • Um die Ansteuerungsspannung zu reduzieren, während die Übergangstemperatur von der nematischen Phase in die isotrope flüssige Phase und die Antworteigenschaft beibehalten oder nicht negativ beeinträchtigt werden,
    ist es zweckmäßig, (I-iv), hauptsächlich Verbindungen der allgemeinen Formeln (I-3), (I-6), (I-12) und (I-15) mit einer 3,5-Difluor-1,4-phenylengruppe und Verbindungen der allgemeinen Formeln (I-2), (I-5), (I-18), (I-11), (I-14) und (I-17) mit einer 3-Fluor-1,4-phenylengruppe zu verwenden.
  • Eine flüssigkristalline Komponente A, die eine oder zwei oder mehrere Verbindungen, ausgewählt aus diesen Untergruppen (I-i) bis (I-iv) enthält, ist zweckmäßig. Insbesondere ist eine flüssigkristalline Komponente A, in der Verbindungen mit Alkenylgruppen als Seitenkettengruppen selektiv kombiniert werden, oder eine flüssigkristalline Komponente A, in der Verbindungen mit Alkylgruppen und Alkenylgruppen gleichzeitig ausgewählt werden, zweckmäßig hinsichtlich der Schärfe und Antwort der STN-LCD oder ihren Temperatureigenschaften. Des Weiteren ist auch eine flüssigkristalline Komponente A, in der Verbindungen mit einer 3,5-Difluor-4-cyanophenylgruppe als polare Gruppe und Verbindungen mit einer 3-Fluor-4-cyanophenylgruppe gleichzeitig ausgewählt werden, zweckmäßig, da die Ansteuerungsspannung reduziert werden kann, während Probleme, betreffend die Mischbarkeit, verbessert werden. Im Hinblick darauf ist die flüssigkristalline Komponente A aus Gruppen A1 bis A6 zusammengesetzt und genügt der folgenden Bedingung:
  • Die flüssigkristalline Komponente A enthält 1 bis 10 der Verbindungen, dargestellt durch die Gruppen A4 bis A6, worin die Seitenkettengruppe eine Alkenylgruppe aufweist, und 1 bis 10 der Verbindungen, dargestellt durch die Gruppen A1 bis A3, worin die Seitenkettengruppe eine Alkylgruppe aufweist, und der Gesamtgehalt dieser Verbindungen in der flüssigkristallinen Komponente A beträgt 100 Gew.-%.
  • Bei diesem Aufbau wird eine Kombination einer Gruppe mit einer 3,5-Difluor-4-cyanophenylgruppe mit einer eine 3-Fluor-4-cyanophenylgruppe aufweisenden Gruppe und/oder einer Gruppe mit einer 4-Cyanophenylgruppe verwendet, wobei die polaren Gruppen berücksichtigt werden, und eine Gruppe mit einer Alkenylgruppe und eine Gruppe mit einer Alkylgruppe werden gemeinsam verwendet, wobei die Seitenkettengruppe berücksichtigt wird. Dieser Aufbau kann die vor her erwähnten Wirkungen, betreffend die Untergruppen (I-i) bis (I-iv), erzielen.
  • Da die erfindungsgemäße Flüssigkristallzusammensetzung, die eine solche flüssigkristalline Komponente A enthält, den Betriebstemperaturbereich der Eigenschaften des Flüssigkristall-Displays durch die Verbesserung der Mischbarkeit und die Niedrigtemperatur-Gebrauchsfähigkeitsdauer ausdehnen kann, die Verringerung der Ansteuerungsspannung und Temperaturänderungen davon verbessern kann und eine relativ rasche Antwort auf eine gewünschte Ansteuerungsspannung erreichen oder verbessern kann, können weitere verbesserte elektro-optische Eigenschaften, insbesondere eine zweckmäßigere niedrige Temperaturabhängigkeit der TN-LCD, STN-LCD, und ähnlichen Vorrichtungen, verliehen werden, in denen eine solche Zusammensetzung verwendet wird.
  • Zusätzlich zu der vorher erwähnten flüssigkristallinen Komponente A enthält die erfindungsgemäße Flüssigkristallzusammensetzung eine flüssigkristalline Komponente B, die mindestens eine Verbindung mit einer dielektrischen Anisotropie von +2 oder mehr enthält. In diesem Zusammenhang bedeutet der Begriff "flüssigkristalline Verbindung mit einer dielektrischen Anisotropie von +2 oder mehr", wie er hier verwendet wird, das Folgende: die flüssigkristalline Verbindung hat eine stabförmige chemische Struktur, in der ihr zentraler Teil eine Kernstruktur mit 1 bis 4 sechsgliedrigen Ringen aufweist, wobei sechsgliedrige Ringe, die an beiden Enden des zentralen Teils in der Hauptachsenrichtung orientiert sind, Endgruppen aufweisen, die an Positionen substituiert sind, die der Hauptachse des flüssigkristallinen Moleküls entsprechen, und wobei mindestens eine der Endgruppen an beiden Enden eine polare Gruppe, wie -F, -Cl, -NO2, -CF3, -OCF3, -OCHF2, -CN, -OCN, -NCS, oder eine ähnliche Gruppe, ist. Durch eine solche Struktur wird die optische Anisotropie der flüssigkristallinen Schicht auf einen gewünschten Wert eingestellt, eine elektrische Ansteuerung kann erfolgen, und der Betriebstemperaturbereich kann ausgedehnt werden.
  • Bei der flüssigkristallinen Komponente B können mindestens 1 Vertreter, vorzugsweise 3 bis 5 Vertreter, als Verbindung mit einer dielektrischen Anisotropie von +2 oder mehr verwendet werden. Des Weiteren ist es zweckmäßig, die Verbindung zu verwenden, die gegebenenfalls aus Verbindungen mit einer dielektrischen Anisotropie von +2 bis +8, Verbindungen mit einer dielektrischen Anisotropie von +8 bis +13, Verbindungen mit einer dielektrischen Anisotropie von +14 bis +18, und Verbindungen mit einer dielektrischen Anisotropie von +18 oder mehr, ausgewählt wird, wodurch eine gewünschte Ansteuerungsspannung und Antworteigenschaften erhalten werden können. In diesem Fall ist es zweckmäßig, die Verbindungen mit einer dielektrischen Anisotropie von +2 bis +13 innerhalb des Bereichs von höchstens 10 oder weniger Vertreter zu mischen, Verbindungen mit einer dielektrischen Anisotropie von +14 bis +18 innerhalb des Bereichs von höchstens 8 oder weniger Vertretern zu mischen oder Verbindungen mit einer dielektrischen Anisotropie von +18 oder mehr innerhalb des Bereichs von höchstens 10 Vertretern oder weniger zu mischen. Die Verwendung der flüssigkristallinen Komponente B auf die vorher erwähnte Art gibt den Temperatureigenschaften der Displaycharakteristiken wünschenswertere Effekte. Insbesondere verbessert sie die Ansteuerungsspannung, den schärfebezogenen Kontrast und die Antwort oder ähnliche Temperaturabhängigkeit auf wünschenswertere Niveaus.
  • Im Hinblick darauf sind bevorzugtere Ausführungsformen der Grundstrukturen in den Verbindungen der allgemeinen Formeln (II-1) bis (II-4) Verbindungen, die durch die folgenden allgemeinen Formeln (II-1a) bis (II-4g) dargestellt sind.
  • Figure 00270001
  • Figure 00280001
  • Figure 00290001
  • Figure 00300001
  • Figure 00310001
  • Des Weiteren sind bevorzugtere Ausführungsformen der Formeln (II-51) bis (II-54) bezüglich der Seitenkettengruppen R21 bis R24, die, die in folgenden allgemeinen Formeln (II-5a) bis (II-5bc) dargestellt sind.
  • Figure 00310002
  • Figure 00320001
  • Des Weiteren sind bevorzugtere Ausführungsformen der Teilstrukturformeln (II-61) bis (II-64) von 1,4-Phenylenresten mit einer polaren Gruppe Verbindungen der folgenden allgemeinen Formeln (II-6a) bis (II-6r).
  • Figure 00320002
  • Figure 00330001
  • In diesem Zusammenhang wurde jede der im Folgenden verwendeten Verbindungen sorgfältig gereinigt, indem Verunreinigungen durch Destillation, Säulenchromatographie, Umkristallisation, und ähnliche Techniken, entfernt wurden.
  • Genauer gesagt ist es zweckmäßig, wenn eine Flüssigkristallzusammensetzung zur allgemeinen Verwendung gewünscht ist, die folgenden Verbindungen in der flüssigkristallinen Komponente B zu verwenden, und die erfindungsgemäß angestrebten Effekte können durch Kombination einer solchen flüssigkristallinen Komponente B mit der flüssigkristallinen Komponente A erhalten werden.
  • Unter den Verbindungen der vorher erwähnten allgemeinen Formeln (II-1) bis (II-4) können Verbindungen,
    (II-ai): worin R21 bis R24 Alkenylgruppen mit 2 bis 5 Kohlenstoffatomen sind, zur Erläuterung, Verbindungen mit den Grundstrukturen der allgemeinen Formeln (II-1a) bis (II-4g), Seitenkettengruppen von (II-5ah) bis (II-5bc) und Teilstrukturen der allgemeinen Formeln (II-6a) bis (II-6r), mit polaren Gruppen, mehr bevorzugt Verbindungen mit den Grundstrukturen der allgemeinen Formeln (II-1a) bis (II-1l) oder (II-2i) bis (II-2ae), weiter verbesserte elektro-optische Eigenschaften von STN-LCD, TFT-LCD, PDLC, PN-LCD, und ähnlichen Vorrichtungen, bereitstellen, und Verbindungen
    (II-aii): worin X21 bis X24 F, Cl oder -OCF3 sind, zur Erläuterung, Verbindungen mit Grundstrukturen der allgemeinen Formeln (II-1a) bis (II-4g), Seitenkettengruppen von (II-5ah) bis (II-5bc) und Teilstrukturen mit polaren Gruppen der allgemeinen Formeln (II-6d) bis (II-6i) oder (II-6m) bis (II-6o), mehr bevorzugte Verbindungen mit den Grundstrukturen der allgemeinen Formeln (II-1a) bis (II-1l), (II-2f) bis (II-2 q), (II-2u) bis (II-2w) oder (II-2ab) bis (II-4f), und Teilstrukturen mit polaren Gruppen der allgemeinen Formeln (II-6d) bis (II-6i) oder (II-6m) bis (II-6o), TFT-LCD, PDLC, PN-LCD, und ähnliche Vorrichtungen bereitstellen für die aktive Verwendung mit reduzierter Ansteuerungsspannung und hervorragendem Hochspannung-Halteverhältnis, wenn diese Verbindungen im Wesentlichen als Hauptkomponente verwendet werden, und sie können auch TN-LCD, STN-LCD, PDLC, PN-LCD, und ähnliche Vorrichtungen, mit hervorragender Ansteuerungsspannung, Schärfe und Antwort oder Temperaturcharakteristiken bereitstellen, wenn Verbindungen, worin X21 bis X24 F und CN sind, gemeinsam im Wesentlichen als Hauptbestandteil verwendet werden.
  • Unter den Verbindungen der vorher erwähnten allgemeinen Formel (II-1) sind
    (II-aiii): Verbindungen, worin Z22 -(CH2)2- oder -(CH2)4- ist, zur Erläuterung, Verbindungen mit Grundstrukturen der allgemeinen Formeln (II-1c), (II-1d), (II-1g) und (II-1h), Seitenkettengruppen von (II-5a) bis (II-5bc) und Teilstrukturen von allgemeinen Formeln (II-6a) bis (II-6r) mit polaren Gruppen, oder
    (II-aiv): Verbindungen, worin k21 1 ist, zur Erläuterung, Verbindungen mit Grundstrukturen der allgemeinen Formeln (II-1e) bis (II-1l), Seitenkettengruppen von (II-5a) bis (II-5bc) und Teilstrukturen der allgemeinen Formeln (II-6a) bis (II-6r) mit polaren Gruppen, für die Verwendung in einem Fall, der eine niedrige Ansteuerungsspannung und relativ geringe Doppelbrechung erfordert, geeignet.
  • Unter Verbindungen der vorher erwähnten allgemeinen Formel (II-2) sind
    (II-av): Verbindungen, worin mindestens einer von Y23, Y24, W21 und W22 F ist, zur Erläuterung, Verbindungen mit Grundstrukturen der allgemeinen Formeln (II-2a), (II-2c), (II-2f), (II-2i), (II-2l), (II-2o), (II-2r), (II-2u), (II-2x), (II-2y), (II-2ab) und (II-2ac), Seitenkettengruppen von (II-5a) bis (II-5bc) und Teilstrukturen mit polaren Gruppen der allgemeinen Formeln (II-6b), (II-6c), (II-6e), (II-6f), (II-6h), (II-6i), (II-6k), (II-61), (II-6n), (II-6o), (II-6q) und (II-6r), oder Verbindungen mit Grundstrukturen der allgemeinen Formeln (II-2b), (II-2d), (II-2e), (II-2g), (II-2h), (II-2j), (II-2 k), (II-2m), (II-2n), (II-2p), (II-2 q) (II-2s), (II-2t), (II-2v), (II-2w), (II-2z), (II-2aa), (II-2ad) und (II-2ae), Seitenkettengruppen von (II-5a) bis (II-5bc) und Teilstrukturen mit polaren Gruppen der allgemeinen Formeln (II-6a) bis (II-6r), geeignet, die Ansteuerungsspannung zu reduzieren,
    (II-avi): Verbindungen, in denen k22 1 ist und Z24 -C≡C- ist, zur Erläuterung, Verbindungen mit Grundstrukturen der allgemeinen Formeln (II-2o) bis (II-2q) und (II-2ab) bis (II-2ae), Seitenkettengruppen von (II-5a) bis (II-5bc) und Teilstrukturen mit polaren Gruppen der allgemeinen Formeln (II-6a) bis (II-6r), geeignet für einen Fall, der eine niedrige Ansteuerungsspannung und relativ große Doppelbrechung erfordert.
  • (II-avii): Verbindungen, worin Z23 eine Einfachbindung oder -(CH2)2- ist und Z24 -COO- ist, zur Erläuterung, Verbindungen mit Grundstrukturen der allgemeinen Formeln (II-2l) bis (II-2n), (II-2r) bis (II-2t) und (II-2y) bis (II-2aa), Seitenkettengruppen von (II-5a) bis (II-5bc) und Teil strukturen mit polaren Gruppen der allgemeinen Formeln (II-6a) bis (II-6r), geeignet für die Verwendung in einem Fall, der eine niedrige Ansteuerungsspannung erfordert.
  • Unter Verbindungen der vorerwähnten allgemeinen Formel (II-3) sind
    (II-aviii): Verbindungen, in denen mindestens einer von Y25, Y26, W23 bis W26 F ist, zur Erläuterung, Verbindungen mit Grundstrukturen der allgemeinen Formeln (II-3a), (II-3j), (II-3k), (II-3s) und (II-3t), Seitenkettengruppen von (II-5a) bis (II-5bc) und Teilstrukturen mit polaren Gruppen der allgemeinen Formeln (II-6b), (II-6c), (II-6e), (II-6f), (II-6h), (II-6i), (II-6k), (II-61), (II-6n), (II-6o), (II-6q) und (II-6r), oder Verbindungen mit Grundstrukturen der allgemeinen Formeln (II-3b) bis (II-3i), (II-3l) bis (II-3r) und (II-3u) bis (II-3x), Seitenkettengruppen von (II-5a) bis (II-5bc) und Teilstrukturen mit polaren Gruppen der allgemeinen Formeln (II-6a) bis (II-6r) geeignet, die Ansteuerungsspannung zu reduzieren,
    (II-aix): Verbindungen, worin Z26 -C≡C- ist, zur Erläuterung, Verbindungen mit Grundstrukturen der allgemeinen Formeln (II-3 k) bis (II-3r), Seitenkettengruppen von (II-5a) bis (II-5bc) und Teilstrukturen mit polaren Gruppen der allgemeinen Formeln (II-6a) bis (II-6r), geeignet für die Verwendung in einem Fall, der eine niedrige Ansteuerungsspannung und relativ große Doppelbrechung erfordert, und
    (II-ax): Verbindungen, worin Z25 eine Einfachbindung oder -C≡C- ist und Z26 -COO- ist, zur Erläuterung, Verbindungen mit Grundstrukturen der allgemeinen Formeln (II-3j) und (II-3y), Seitenkettengruppen von (II-5a) bis (II-5bc) und Teilstrukturen mit polaren Gruppen der allgemeinen Formeln (II-6a) bis (II-6r).
  • (II-axi): Verbindungen der vorher erwähnten allgemeinen Formel (II-4), zur Erläuterung, Verbindungen mit Grundstrukturen der allgemeinen Formeln (II-4a) bis (II-4g), Seitenkettengruppen von (II-5a) bis (II-5bc) und Teilstrukturen mit polaren Gruppen der allgemeinen Formeln (II-6a) bis (II-6r).
  • Unter Verbindungen der vorerwähnten allgemeinen Formeln (II-1) und (II-2) sind
    (II-axii): die Ringe A21 bis A24 trans-1,4-Cyclohexylen, und sind Wasserstoffatome der Ringe durch Deuteriumatome ersetzt, zur Erläuterung, sind Verbindungen der Grundstrukturen der allgemeinen Formeln (II-1a) bis (II-1l) und (II-2i) bis (II-2ae), Seitenkettengruppen von (II-5a) bis (II-5bc) und Teilstrukturen mit polaren Gruppen der allgemeinen Formeln (II-6a) bis (II-6r).
  • Eine nematische Flüssigkristallzusammensetzung, die eine oder zwei oder mehr Verbindungen, ausgewählt aus den Verbindungen, dargestellt durch diese Untergruppen (II-ai) bis (II-axii), enthält, ist zweckmäßig.
  • Des Weiteren ist es zweckmäßig, wenn eine Flüssigkristallzusammensetzung, die für die Verwendung in TN-LCD oder STN-LCD geeignet ist, gewünscht wird, die folgenden Verbidnungen in der flüssigkristallinen Komponente B zu verwenden, und die Effekte der vorliegenden Erfindung können durch die Kombination einer solchen flüssigkristallinen Komponente B mit der flüssigkristallinen Komponente A erhalten werden.
  • Unter Verbindungen der vorerwähnten allgemeinen Formel (II-1), in der R21 eine Alkyl- oder Alkenylgruppe mit 2 bis 5 Kohlenstoffatomen ist, sind
    (II-bi): Verbindungen, worin k21 0 ist und X21 -CN ist, zur Erläuterung, Verbindungen mit Grundstrukturen der allgemeinen Formeln (II-1a) bis (II-1d), Seitenkettengruppen von (II-5a) bis (II-5d), (II-5ah) bis (II-5am) und (II-5av) bis (II-5bc) und Teilstrukturen mit polaren Gruppen der allgemeinen Formeln (II-6a) bis (II-6r), und
    (II-bii): Verbindungen, worin k21 1 ist, X21 F oder -CN ist und Y21 und Y22 H oder F sind, zur Erläuterung, Verbindungen mit Grundstrukturen der allgemeinen Formeln (II-1e) bis (II-1l), Seitenkettengruppen von (II-5a) bis (II-5d), (II-5ah) bis (II-5am) und (II-5av) bis (II-5bc) und Teilstrukturen mit polaren Gruppen der allgemeinen Formeln (II-6a) bis (II-6f).
  • Unter Verbindungen der vorerwähnten allgemeinen Formel (II-2), worin R22 eine Alkyl- oder Alkenylgruppe mit 2 bis 5 Kohlenstoffatomen ist, sind
    (II-biii): Verbindungen, worin k22 0 ist, X22 -CN ist und Y23, Y24, W21 und W22 H oder F sind, zur Erläuterung, Verbindungen mit Grundstrukturen der allgemeinen Formeln (II-2a) bis (II-2h), Seitenkettengruppen von (II-5a) bis (II-5d), (II-5ah) bis (II-5am) und (II-5av) bis (II-5bc) und Teilstrukturen mit polaren Gruppen der allgemeinen Formeln (II-6a) bis (II-6c), und
    (II-biv): Verbindungen, worin k22 1 ist, Z23 eine Einfachbindung, -(CH2)2- oder -COO-, Z24 eine Einfachbindung, -COO- oder -C≡C-, X22 F oder -CN ist und Y23, Y24, W21 und W22 H oder F sind, zur Erläuterung, Verbindungen mit Grundstrukturen der allgemeinen Formeln (II-2i) bis (II-2ae), Seitenkettengruppen von (II-5a) bis (II-5d), (II-5ah) bis (II-5am) und (II-5av) bis (II-5bc) und Teilstrukturen mit polaren Gruppen der allgemeinen Formeln (II-6a) bis (II-6f).
  • Unter Verbindungen der vorerwähnten allgemeinen Formel (II-3), worin R23 eine Alkyl- oder Alkenylgruppe mit 2 bis 5 Kohlenstoffatomen ist, sind
    (II-bv): Verbindungen, worin einer von Z25 und Z26 eine Einfachbindung und der andere eine Einfachbindung, -COO- oder -C≡C- ist, zur Erläuterung, Verbindungen mit Grundstrukturen der allgemeinen Formeln (II-3a) bis (II-3x), Seitenkettengruppen von (II-5a) bis (II-5d), (II-5ah) bis (II-5am) und (II-5av) bis (II-5bc) und Teilstrukturen mit polaren Gruppen der allgemeinen Formeln (II-6a) bis (II-6r), und
    (II-bvi): Verbindungen, worin Y25, Y26 und W23 bis W26 H oder F sind, zur Erläuterung, Verbindungen mit Grundstrukturen der allgemeinen Formeln (II-3a) bis (II-3x), Seitenkettengruppen von (II-5a) bis (II-5d), (II-5ah) bis (II-5am) und (II-5av) bis (II-5bc) und Teilstrukturen mit polaren Gruppen der allgemeinen Formeln (II-6a) bis (II-6r).
  • (II-bvii): Verbindungen der vorher erwähnten allgemeinen Formel (II-4), worin R24 eine Alkyl- oder Alkenylgruppe mit 2 bis 7 Kohlenstoffatomen und k23 + k24 0 ist, zur Erläuterung, Verbindungen mit der Grundstruktur der allgemeinen Formeln (II-4a), Seitenkettengruppen von (II-5a) bis (II-5f), (II-5ah) bis (II-5am) und (II-5av) bis (II-5bc) und Teilstrukturen mit polaren Gruppen der allgemeinen Formeln (II-6a) bis (II-6r).
  • (II-bviii): Verbindungen der vorher erwähnten allgemeinen Formeln (II-1) und (II-2), worin die Ringe A21 bis A24 trans-1,4-Cyclohexylen und Wasserstoffatome der Ringe durch Deuteriumatome ersetzt sind, zur Erläuterung, Verbindungen mit Grundstrukturen der allgemeinen Formeln (II-1a) bis (II-1l) und (II-2i) bis (II-2ae), Seitenkettengruppen von (II-5a) bis (II-5bc) und Teilstrukturen mit polaren Gruppen der allgemeinen Formeln (II-6a) bis (II-6r).
  • Eine nematische Flüssigkristallzusammensetzung, die eine oder zwei oder mehr Verbindungen, ausgewählt aus den Verbindungen, dargestellt durch diese Untergruppen (II-bi) bis (II-bviii), wobei der gesamte Gehalt dieser Verbindungen von 10 bis 100 Gew.-% reicht, als flüssigkristalline Komponente B enthält, ist zweckmäßig.
  • Des Weiteren ist es zweckmäßig, wenn eine flüssigkristalline Zusammensetzung zur Verwendung in TFT-LCD, IPS, PDLC, PN-LCD oder einer ähnlichen Vorrichtung für die aktive Verwendung gewünscht wird, die folgenden Verbindungen in der flüssigkristallinen Komponente B zu verwenden, und die erfindungsgemäß angestrebten Effekte können durch Kombination einer solchen flüssigkristallinen Komponente B mit der flüssigkristallinen Komponente A erhalten werden.
  • (II-ci): Verbindungen der vorher erwähnten allgemeinen Formel (II-1), worin R21 eine Alkyl- oder Alkenylgruppe mit 2 bis 5 Kohlenstoffatomen ist, k21 1 ist, einer von Z21 und Z22 eine Einfachbindung und der andere eine Einfachbindung, -COO-, -(CH2)2- oder -(CH2)4- ist, X21 F, Cl, CF3, OCF3 oder OCF2H ist und mindestens einer von Y21 und Y22 F ist, zur Erläuterung, Verbindungen mit Grundstrukturen der allgemeinen Formeln (II-1e) bis (II-1k), Seitenkettengruppen von (II-5a) bis (II-5d), (II-5ah) bis (II-5am) und (II-5av) bis (II-5bc) und Teilstrukturen mit polaren Gruppen der allgemeinen Formeln (II-6d) bis (II-6r).
  • (II-cii): Verbindungen der vorher erwähnten allgemeinen Formel (II-2), worin R22 eine Alkyl- oder Alkenylgruppe mit 2 bis 5 Kohlenstoffatomen ist, k22 1 ist, Z23 eine Einfachbindung, -(CH2)2- oder -COO- ist, Z24 eine Einfachbindung, -COO- oder -C≡C- ist, X22 F, Cl, CF3, OCF3 oder OCF2H ist, mindestens einer von Y23 und Y24 F ist und jeder von W21 und W22 H oder F ist, zur Erläuterung, Verbindungen mit Grundstrukturen der allgemeinen Formeln (II-2i) bis (II-2ae), Seitenkettengruppen von (II-5a) bis (II-5d), (II-5ah) bis (II-5am) und (II-5av) bis (II-5bc) und Teilstrukturen mit polaren Gruppen der allgemeinen Formeln (II-6d) bis (II-6r).
  • (II-ciii): Verbindungen der vorher erwähnten allgemeinen Formel (II-3), worin R23 eine Alkyl- oder Alkenylgruppe mit 2 bis 5 Kohlenstoffatomen ist, einer von Z25 und Z26 eine Einfachbindung und der andere eine Einfachbindung, -COO- oder -C≡C- ist, X23 F ist, mindestens einer von Y25 und Y26 F ist und jeder von W23 bis W26 H oder mindestens einer davon F ist, zur Erläuterung, Verbindungen mit Grundstrukturen der allgemeinen Formeln (II-3a) bis (II-3x), Seitenkettengruppen von (II-5a) bis (II-5d), (II-5ah) bis (II-5am) und (II-5av) bis (II-5bc) und Teilstrukturen mit polaren Gruppen der allgemeinen Formeln (II-6e) bis (II-6f).
  • (II-civ): Verbindungen der vorher erwähnten allgemeinen Formeln (II-1) und (II-2), worin jeder der Ringe A21 bis A24 trans-1,4-Cyclohexylen ist und Wasserstoffatome dieser Ringe durch Deuteriumatome ersetzt sind, zur Erläuterung, Verbindungen mit Grundstrukturen der allgemeinen Formeln (II-1a) bis (II-1l) und (II-2i) bis (II-2ae), Seitenkettengruppen von (II-5a) bis (II-5bc) und Teilstrukturen mit polaren Gruppen der allgemeinen Formeln (II-6a) bis (II-6r).
  • Eine nematische Flüssigkristallzusammensetzung, die eine oder zwei oder mehr Verbindungen, ausgewählt aus den Verbindungen, dargestellt durch diese Untergruppen (II-ci) bis (II-civ), worin der gesamte Gehalt dieser Verbindungen von 10 bis 100 Gew.-% reicht, als flüssigkristalline Komponente B reicht, enthält, ist zweckmäßig.
  • Eine besonders bevorzugte Ausführungsform in Verbindungen, dargestellt durch die allgemeinen Formeln (II-1) bis (II-4) ist eine flüssigkristalline Komponente B, welche die folgenden Verbindungen enthält.
  • (II-di): Verbindungen, worin jeder von R21 bis R24 eine Alkylgruppe mit 2 bis 7 Kohlenstoffatomen ist, Verbindungen, worin jeder von R21 und R22 eine Alkenylgruppe CH2=CH-(CH2)p (p = 0 oder 2) ist. Es ist beispielsweise zweckmäßig, dass Verbindungen der Grundstrukturen der allgemeinen Formeln (II-1a), (II-1e), (II-2a), (II-2c), (II-2d), (II-2i), (II-2l), (II-2o), (II-3a), (II-3l), (II-4a) bis (II-4c) und (II-4e) diese Gruppen aufweisen, da die Viskosität und Viskoelastizität verringert werden kann, indem mindestens eine dieser Verbindungen mit Alkyl- und/oder Alkenylgruppen der flüssigkristallinen Komponente B zugesetzt wird.
  • (II-dii): Es ist zweckmäßig, mindestens eine Verbindung, ausgewählt aus Verbindungen, worin X21 bis X24 F, Cl, -OCF3 oder -CN sind, einzuschließen.
  • (II-diii): Wenn eine rasche Antwort eine wichtige Aufgabe ist, ist es zweckmäßig, Verbindungen der allgemeinen Formeln (II-1a), (II-1e), (II-2a), (II-2c), (II-2d), (II-2i), (II-2l), (II-2o), (II-3a), (II-3l) und (II-4a), worin X21 bis X24 F, -OCF3 oder -CN sind, häufig in der flüssigkristallinen Komponente B zu verwenden.
  • (II-div): Wenn eine größere Doppelbrechung erforderlich ist, ist es zweckmäßig, Verbindungen der allgemeinen Formeln (II-2a) bis (II-4d), worin X22 bis X24 Cl, -OCF3 oder -CN sind, und/oder Verbindungen der allgemeinen Formeln (II-2f) bis (II-2h), (II-2o) bis (II-2q), (II-2ab) bis (II-2ae) und (II-3k) bis (II-3x), worin Z24 bis Z26 jeweils -C≡C- ist, häufig in der flüssigkristallinen Komponente B zu verwenden.
  • (II-dv): Wenn eine noch niedrigere Ansteuerungsspannung erforderlich ist, ist es zweckmäßig, Verbindungen der allgemeinen Formeln (II-1a) bis (II-4g), worin X21 bis X24 F, Cl oder -CN sind, und Y21 bis Y24 im Wesentlichen F sind, häufig in der flüssigkristallinen Komponente B zu verwenden.
  • (II-dvi): Verbindungen der allgemeinen Formeln (II-1) und (II-2), worin ein Wasserstoffatom in dem Cyclohexanring durch ein Deuteriumatom ersetzt ist, können verwendet werden, aber da solche Verbindungen nützlich sind um die Elastizitätskonstante der flüssigkristallinen Zusammensetzung einzustellen und den Vorneigungswinkel entsprechend dem Orientierungsfilm zu steuern, ist es zweckmäßig, mindestens eine oder mehrere der Deuterium-substituierten Verbindungen zu verwenden.
  • (II-dvii): Das Mischungsverhältnis der Zwei-Ringverbindungen der allgemeinen Formeln (II-1), (II-2) und (II-4), worin k21 bis k24 0 sind, zu den Verbindungen der allgemeinen Formeln (II-1) und (II-2), worin k21 und k22 1 sind, Verbindungen der allgemeinen Formel (II-4), worin k23 + k24 1 ist, und/oder Drei-Ringverbindungen der allgemeinen Formel (II-3) in der flüssigkristallinen Komponente B kann gegebenenfalls innerhalb des Bereichs von 0 : 100 bis 100 : 0 ausgewählt werden, und falls eine höhere Übergangstemperatur von der nematischen Phase in die isotrope flüssige Phase erforderlich ist, ist es zweckmäßig, häufig Verbindungen der allgemeinen Formeln (II-1) und (II-2), worin k21 und k22 1 sind, Verbindungen der allgemeinen Formel (II-3) und/oder Verbindungen der allgemeinen Formel (II-4), worin k23 + k24 1 ist, zu verwenden.
  • Eine flüssigkristalline Komponente B, die diese Verbindungen (II-ai) bis (II-dvii) enthält, ist gekennzeichnet durch ihre Fähigkeit, sich mit der Hauptkomponente, der flüssigkristallinen Komponente A, zu mischen und ist be sonders zweckmäßig für die Steuerung der Ansteuerungsspannung, je nach Zweck beziehungsweise Anwendung, und verbessert ihre Temperaturabhängigkeit oder verbessert ihre Antworteigenschaft. Insbesondere sind Verbindungen der allgemeinen Formeln (II-1a) bis (II-1g), der allgemeinen Formeln (II-2a) bis (II-2q), der allgemeinen Formeln (II-2u) bis (II-2x), der allgemeinen Formeln (II-2ab) bis (II-2ae), der allgemeinen Formeln (II-3a) bis (II-3d), der allgemeinen Formeln (II-3l) bis (II-3r) und der allgemeinen Formeln (II-4a) bis (II-14e) hervorragend im Hinblick auf mindestens einen dieser Effekte, und diese Effekte können selbst durch einen geringen Gehalt von 0,1 bis 25 Gew.-%, bezogen auf die Gesamtmengen der nematischen flüssigkristallinen Zusammensetzung der vorliegenden Erfindung, erhalten werden.
  • Die vorher erwähnten Effekte der flüssigkristallinen Komponente B können auch erhalten werden, wenn der Gehalt einer flüssigkristallinen Komponente C, die im Weiteren beschrieben wird, sehr klein ist. Um eine besonders niedrige Ansteuerungsspannung zu erhalten, kann der Gehalt der flüssigkristallinen Komponente C auf 10 Gew.-% oder weniger eingestellt werden. In diesem Fall ist es wünschenswert, die Viskosität der flüssigkristallinen Komponente C auf einen Wert so gering wie möglich zu reduzieren, da die Ansteuerungsspannung kaum zunimmt oder innerhalb eines engen Bereiches zunimmt und eine verbesserte Wirkung der Antwortzeit in effizienter Weise erhalten werden kann. Z. B. ist es, um diesen Effekt durch die flüssigkristalline Komponente B zu erzielen, wenn die Menge der flüssigkristallinen Komponente C gering ist, zweckmäßig, in die flüssigkristalline Komponente B eine beliebige der Verbindungen der allgemeinen Formeln (II-1) bis (II-4), worin X21 bis X24 F, Cl oder -OCF3 sind, worin Y21 bis Y24 F sind, worin Z24 und Z25 -COO- oder -C≡C- sind, oder worin k11 1 ist, einzuarbeiten. Besonders bevorzugt sind Verbindungen der allgemeinen Formeln (II-1) bis (II-4), worin X21 bis X24 F, Cl, -OCF3 oder -CN sind und/oder Y21 bis Y23 F sind.
  • Zusätzlich zu der flüssigkristallinen Komponente A als Hauptbestandteil kann die erfindungsgemäße Flüssigkristallzusammensetzung vorzugsweise höchstens 85 Gew.-% der flüssigkristallinen Komponente C enthalten, die Verbindungen mit einer dielektrischen Anisotropie von –10 bis 2 umfasst. Bevorzugte Beispiele der flüssigkristallinen Verbindungen mit einer dielektrischen Anisotropie von –10 bis 2 werden im Folgenden beschrieben: Die flüssigkristalline Verbindung weist eine stabförmige chemische Struktur auf, in der ihr zentraler Teil eine Kernstruktur mit 1 bis 4 sechsgliedrigen Ringen aufweist, wobei die an beiden Enden des zentralen Teils in Hauptachsenrichtung positionierten sechsgliedrigen Ringe Endgruppen aufweisen, die an beiden Positionen substituiert sind, die den Hauptachsen des flüssigkristallinen Moleküls entsprechen, und beide der an den Enden positionierten Endgruppen nicht-polare Gruppen eine Alkylgruppe, eine Alkoxygruppe, eine Alkoxyalkylgruppe, eine Alkenylgruppe, eine Alkenyloxygruppe und eine Alkanoyloxygruppe sind. Die flüssigkristalline Komponente C wird durch Verbindungen innerhalb des Bereichs von vorzugweise 1 bis 20 Vertretern, mehr bevorzugt 2 bis 12 Vertretern, aufgebaut.
  • Im Hinblick darauf sind bevorzugtere Ausführungsformen der Grundstrukturen der Verbindungen der allgemeinen Formeln (III-1) bis (III-4) Verbindungen, die durch die allgemeinen Formeln (III-1a) bis (III-4o) dargestellt werden, die im Folgenden beschrieben werden. Als die flüssigkristalline Komponente C gemäß der vorliegenden Erfindung kann sie vorzugsweise 10 bis 100 Gew.-% von Verbindungen, ausgewählt aus den Verbindungen der allgemeinen Formeln (III-1) bis (III-4) enthalten. Die flüssigkristalline Komponente C, die diese Verbindungen enthält, kann gründlich mit der flüssigkristallinen Komponente A vermischt werden, die die Verbindungen der allgemeinen Formeln (I-1) bis (I-3) enthält, sie dient der Verbesserung der nematischen Phase bei niedriger Temperatur, sie kann die Doppelbrechung auf ein gewünschtes Niveau einstellen und ist hervorragend in Bezug auf die Verbesserung der Schärfe und Antwort von TN-LCD, TFT-LCD, PDLC, PN-LCD und ähnlichen Vorrichtungen, oder ihrer Temperatureigenschaften.
  • Figure 00470001
  • Figure 00480001
  • Figure 00490001
  • Figure 00500001
  • Figure 00510001
  • Figure 00520001
  • Figure 00530001
  • Figure 00540001
  • Des Weiteren sind bevorzugte Ausführungsformen der Formeln (III-51) bis (III-58) der Seitenkettengruppen R31 bis R38 Verbindungen der folgenden allgemeinen Formeln (III-5a) bis (III-5bf).
  • Figure 00550001
  • Hierbei wurde jede der im Folgenden verwendeten Verbindungen sorgfältig durch Entfernung von Verunreinigungen durch Destillation, Säulenchromatographie, Umkristallisation, und ähnliche Techniken, gereinigt.
  • Obwohl die flüssigkristalline Komponente C Verbindungen der vorher erwähnten allgemeinen Formeln (III-1) bis (III-4) enthalten kann, kann sie aus Verbindungen der vorher erwähnten allgemeinen Formeln (III-1), Verbindungen der vorher erwähnten allgemeinen Formeln (III-2), Verbindungen der vorher erwähnten allgemeinen Formeln (III-4) oder Verbindungen der vorher erwähnten allgemeinen Formeln (III-3) aufgebaut sein, oder diese Verbindungen können zusammen verwendet werden. Mehr bevorzugt ist eine nematische Flüssigkristallzusammensetzung, welche die flüssigkristalline Komponente C enthält, die eine oder zwei oder mehrere Verbindungen, ausgewählt aus den Verbindungen der vorher erwähnten allgemeinen Formeln (III-1) bis (III-3), enthält, wobei der Gesamtgehalt der Verbindungen 10 bis 100 Gew.-% beträgt.
  • Genauer gesagt ist es zweckmäßig, wenn eine Flüssigkristallzusammensetzung für die allgemeine Verwendung gewünscht wird, die folgenden Verbindungen in der flüssigkristallinen Komponente C zu verwenden, und die Wirkungen der vorliegenden Erfindung können erhalten werden, wenn ein solcher Typ von flüssigkristalliner Komponente C in Verbindung mit der flüssigkristallinen Komponente A oder, sofern verwendet, der flüssigkristallinen Komponente B verwendet wird.
  • Unter den Verbindungen der vorerwähnten allgemeinen Formeln (III-1) bis (III-4), sind
    (III-ai): Verbindungen, worin R31 bis R34 eine Alkenylgruppe mit 2 bis 5 Kohlenstoffatomen sind, zur Erläuterung, Verbindungen mit Grundstrukturen der allgemeinen Formeln (III-1a) bis (III-4o), worin die Seitenkettengruppen R35 bis R38 (III-5a) bis (II-5bf) sind und die Seitenkettengruppen R31 bis R34 (III-5ak) bis (II-5ap), (III-5ar) bis (III-5aw) und (III-5ay) bis (III-5bf) sind, wodurch verbesserte elektro-optische Eigenschaften von STN-LCD, TFT-LCD, PDLC, PN-LCD und ähnlichen Vorrichtungen durch Verbesserung der Antworteigenschaft durch Verringerung der Viskosität und Viskoelastizität und durch die Verbesserung der Übergangstemperatur von der nematischen in die isotrope flüssige Phase erhalten werden können, und
    (III-aii): Verbindungen, worin R35 bis R38 eine geradkettige Alkenyl- oder Alkenyloxygruppe mit 2 bis 7 Kohlenstoffatomen sind, zur Erläuterung, Verbindungen mit Grundstrukturen der allgemeinen Formeln (III-1a) bis (III-4o), worin die Seitenkettengruppen R31 bis R34 (III-5a) bis (II-5bf) sind und die Seitenkettengruppen R35 bis R38 (III-5ak) bis (III-5bf) sind, wodurch die Antworteigenschaft durch Verringerung der Viskosität und Viskoelastizität und die Übergangstemperatur von der nematischen in die isotrope flüssige Phase verbessert werden können, so dass verbesserte elektro-optische Eigenschaften von STN-LCD, TFT-LCD, PDLC, PN-LCD und ähnlichen Vorrichtungen erhalten werden können.
  • Unter Verbindungen der vorher erwähnten allgemeinen Formel (III-1) sind:
    (III-aiii): Verbindungen, worin k31 0 ist und Z32 eine Einfachbindung oder -(CH2)2- ist, zur Erläuterung, Verbindungen mit Grundstrukturen der allgemeinen Formeln (III-1a) und (III-1c), worin die Seitenkettengruppen (III-5a) bis (III-5bf) sind, und
    (III-aiv): Verbindungen, worin k31 1 ist, zur Erläuterung, Verbindungen mit Grundstrukturen der allgemeinen Formeln (III-1d) bis (III-1r), worin die Seitenkettengruppen (III-5a) bis (III-5bf) sind.
  • (III-av): Verbindungen der vorher erwähnten allgemeinen Formel (III-2), zur Erläuterung, Verbindungen mit Grundstrukturen der allgemeinen Formeln (III-2a) bis (III-2o), worin die Seitenkettengruppen (III-5a) bis (III-5bf) sind.
  • Unter Verbindungen der vorher erwähnten allgemeinen Formel (III-3) sind:
    (III-avi): Verbindungen worin mindestens einer von Y34, Y35 und W34 bis W36 F ist und/oder Y33 F oder -CH3 ist, zur Erläuterung, Verbindungen mit Grundstrukturen der allgemeinen Formeln (III-3b), (III-3c), (III-3e) bis (III-3g), (III-3i) bis (III-3o), (III-3r) bis (III-3w), (III-3y) bis (III-3ab), (III-3ad) bis (III-3aj), (III-3al) bis (III-3as), (III-3au) bis (III-3bb), (III-3bk) bis (III-3bs), (III-3bu), (III-3bv), (III-3by) bis (III-3ch) und (III-3ck) bis (III-3dc), worin die Seitenkettengruppen (III-5a) bis (III-5bf) sind,
    (III-avii): Verbindungen, worin k33 0 ist und Z36 eine Einfachbindung ist, zur Erläuterung, Verbindungen mit Grundstrukturen der allgemeinen Formeln (III-3a) bis (III-3c), worin die Seitenkettengruppen (III-5a) bis (III-5bf) sind,
    (III-aviii): Verbindungen, worin k33 0 ist und Z35 eine Einfachbindung, -OCO-, -CH2O-, -OCH2-, -(CH2)2-, -(CH2)4-, -CH=CH-(CH2)2-, -(CH2)2-CH=CH-, -CH=N-, -CH=N-N=CH-, -N(O)=N-, -CH=CH- oder -CF=CF-, zur Erläuterung, Verbindungen mit der Grundstruktur der allgemeinen Formeln (III-3q) bis (III-3w), (III-3ac) bis (III-3bc), (III-3be), (III-3bg), (III-3bi) bis (III-3bs), (III-3bw), (III-3ci) bis (III-3dc), (III-3de) und (III-3dh), worin die Seitenkettengruppen (III-5a) bis (III-5bf) sind, und
    (III-aix): Verbindungen, worin Z35 -COO- oder -C≡C- ist und Z36 -OCO-, -CH2O-, -OCH2-, -(CH2)2-, -(CH2)4-, -CH=CH-(CH2)2-, -(CH2)2-CH=CH-, -CH=N-, -CH=N-N=CH-, -N(O)=N-, -CH=CH-, -CF=CF- oder -C≡C-, zur Erläuterung, Verbindungen mit der Grundstruktur der allgemeinen Formeln (III-3bf) bis (III-3bh), (III-3df) und (III-3dg), worin die Seitenkettengruppen (III-5a) bis (III-5bf) sind.
  • (III-ax): Verbindungen der vorher erwähnten allgemeinen Formel (III-4), zur Erläuterung, Verbindungen mit den Grundstrukturen der allgemeinen Formeln (III-4a) bis (III-4o), worin die Seitenkettengruppen (III-5a) bis (III-5bf) sind.
  • (III-axi): Verbindungen der vorher erwähnten allgemeinen Formeln (III-1) bis (III-4), worin die Ringe A31 bis A35 trans-1,4-Cyclohexylen sind und Wasserstoffatome in den Ringen durch Deuteriumatome ersetzt sind, zur Erläuterung, Verbindungen mit den Grundstrukturen der allgemeinen Formeln (III-1a) bis (III-2o), (III-3q) bis (III-3bi), (III-4c), (III-4d) und (III-4h), worin die Seitenkettengruppen (III-5a) bis (III-5bf) sind.
  • Eine nematische Flüssigkristallzusammensetzung, die eine oder zwei oder mehrere Verbindungen, ausgewählt aus den Verbindungen, dargestellt durch diese Untergruppen (III-ai) bis (III-axi), enthält, ist zweckmäßig.
  • Eine bevorzugte Ausführungsform der Verbindungen der allgemeinen Formeln (III-1) bis (III-4) ist eine flüssigkristalline Komponente C, welche die folgenden Verbindungen enthält.
  • Unter den Verbindungen der vorher erwähnten allgemeinen Formel (III-1), worin R31 eine Alkylgruppe mit 1 bis 5 Kohlenstoffatomen oder eine Alkenylgruppe mit 2 bis 5 Kohlenstoffatomen ist und R35 eine Alkyl- oder Alkoxygruppe mit 1 bis 5 Kohlenstoffatomen oder eine Alkenyl- oder Alkenyloxygruppe mit 2 bis 5 Kohlenstoffatomen ist, sind:
    (III-bi): Verbindungen, in denen k31 0 ist und Z32 eine Einfachbindung, -COO- oder -(CH2)2- ist, zur Erläuterung, Verbindungen mit Grundstrukturen der allgemeinen Formeln (III-1a) bis (III-1c), worin die Seitenkettengruppe R31 Verbindungen von (III-5a) bis (III-5e) und (III-5ak) bis (III-5ap) ist, und die Seitenkettengruppe R35 Verbindungen von (III-5a) bis (III-5e), (III-5g) bis (III-51), (III-5ak) bis (III-5ap), (III-5ar) bis (III-5aw) und (III-5ay) bis (III-5bf) ist, und
    (III-bii): Verbindungen, worin k31 1 ist, der Ring A31 trans-1,4-Cyclohexylen ist und einer von Z31 und Z32 eine Einfachbindung und der andere eine Einfachbindung oder -COO- oder -(CH2)2- ist, zur Erläuterung, Verbindungen mit Grundstrukturen der allgemeinen Formeln (III-1d) und (III-1g) bis (III-1j), worin die Seitenkettengruppe R31 Verbindungen von (III-5a) bis (III-5e) und (III-5ak) bis (III-5ap) ist, und die Seitenkettengruppe R35 Verbindungen von (III-5a) bis (III-5e), (III-5g) bis (III-51), (III-5ak) bis (III-5ap), (III-5ar) bis (III-5aw) und (III-5ay) bis (III-5bf) ist.
  • Unter Verbindungen der vorher erwähnten allgemeinen Formel (III-2), worin R32 eine Alkylgruppe mit 1 bis 5 Kohlenstoffatomen oder eine Alkenylgruppe mit 2 bis 5 Kohlenstoffatomen ist, R35 eine Alkyl- oder Alkoxygruppe mit 1 bis 5 Kohlenstoffatomen oder eine Alkenyl- oder Alkenyloxygruppe mit 2 bis 5 Kohlenstoffatomen ist und der Ring A32 trans-1,4-Cyclohexylen oder trans-1,4-Cyclohexenylen ist, sind:
    (III-biii): Verbindungen, in denen k32 0 ist und Z33 eine Einfachbindung, -COO- oder -(CH2)2- ist, zur Erläuterung, Verbindungen mit Grundstrukturen der allgemeinen Formeln (III-2a), (III-2d) und (III-2e), worin die Seitenkettengruppe R32 Verbindungen von (III-5a) bis (III-5e) und (III-5ak) bis (III-5ap) ist, und die Seitenkettengruppe R36 Verbindungen von (III-5a) bis (III-5e), (III-5g) bis (III-51), (III-5ak) bis (III-5ap), (III-5ar) bis (III-5aw) und (III-5ay) bis (III-5bf) ist, und
    (III-biv): Verbindungen, worin k32 1 ist und einer von Z33 und Z34 eine Einfachbindung ist, zur Erläuterung, Verbindungen mit Grundstrukturen der allgemeinen Formeln (III-2f) bis (III-2i), worin die Seitenkettengruppe R32 Verbindungen von (III-5a) bis (III-5e) und (III-5ak) bis (III-5ap) ist und die Seitenkettengruppe R36 Verbindungen von (III-5a) bis (III-5e), (III-5g) bis (III-51), (III-5ak) bis (III-5ap), (III-5ar) bis (III-5aw) und (III-5ay) bis (III-5bf) ist.
  • Unter Verbindungen der vorher erwähnten allgemeinen Formel (III-3), worin R33 eine Alkylgruppe mit 1 bis 5 Kohlenstoffatomen oder eine Alkenylgruppe mit 2 bis 5 Kohlenstoffatomen ist, und R37 eine Alkyl- oder Alkoxygruppe mit 1 bis 5 Kohlenstoffatomen oder eine Alkenyl- oder Alkenyloxygruppe mit 2 bis 5 Kohlenstoffatomen ist, sind
    (III-bv): Verbindungen, worin k33 0 ist und Z36 eine Einfachbindung, -C≡C- oder -CH=N-N=CH- ist, zur Erläuterung, Verbindungen mit Grundstrukturen der allgemeinen Formeln (III-3a) bis (III-3c) und (III-3h) bis (III-3p), worin die Seitenkettengruppe R33 Verbindungen von (III-5a) bis (III-5e) und (III-5ak) bis (III-5ap) ist und die Seitenkettengruppe R37 Verbindungen von (III-5a) bis (III-5e), (III-5g) bis (III-51), (III-5ak) bis (III-5ap), (III-5ar) bis (III-5aw) und (III-5ay) bis (III-5bf) ist,
    (III-bvi): Verbindungen, worin k33 1 ist, Z35 eine Einfachbindung, -(CH2)2-, -COO- oder -C≡C- und Z36 eine Einfachbindung, -COO- oder -C≡C-, zur Erläuterung, Verbindungen mit Grundstrukturen der allgemeinen Formeln (III-3q) bis (III-3bb), (III-3bd) bis (III-3bg), (III-3bj) bis (III-3ch) und (III-3cj) bis (III-3di), worin die Seitenkettengruppe R33 Verbindungen von (III-5a) bis (III-5e) und (III-5ak) bis (III-5ap) ist und die Seitenkettengruppe R37 Verbindungen von (III-5a) bis (III-5e), (III-5g) bis (III-51), (III-5ak) bis (III-5ap), (III-5ar) bis (III-5aw) und (III-5ay) bis (III-5bf) ist,
    (III-bvii): Verbindungen, worin einer von Z35 und Z36 eine Einfachbindung und der andere eine Einfachbindung oder -C≡C- ist und mindestens einer von W34 und W35 F ist, zur Erläuterung, Verbindungen mit Grundstrukturen der allgemeinen Formeln (III-3r), (III-3t), (III-3au), (III-3aw), (III-3ay), (III-3bk), (III-3bn), (III-3bo), (III-3bz), (III-3cb), (III-3cf), (III-3cu), (III-3cx) und (III-3cz), worin die Seitenkettengruppe R33 Verbindungen von (III-5a) bis (III-5e) und (III-5ak) bis (III-5ap) ist und die Seitenkettengruppe R37 Verbindungen von (III-5a) bis (III-5e), (III-5g) bis (III-51), (III-5ak) bis (III-5ap), (III-5ar) bis (III-5aw) und (III-5ay) bis (III-5bf) ist, und
    (III-bviii): Verbindungen, worin entweder Y35 und Y36 durch F oder CH3 substituiert ist, zur Erläuterung, Verbindungen mit Grundstrukturen der allgemeinen Formeln (III-3c), (III-3f), (III-3g), (III-3j), (III-3l) bis (III-3o), (III-3s), (III-3u) bis (III-3w), (III-3z), (III-3ab), (III-3ae), (III-3ag) und (III-3ai), (III-3aj), (III-3am), (III-3ao), (III-3aq) bis (III-3as), (III-3av), (III-3ax), (III-3az) bis (III-3bb), (III-3bl), (III-3bm), (III-3bp) bis (III-3bs), (III-3bv), (III-3ca), (III-3cc), (III-3cd), (III-3cg), (III-3ch), (III-3cm) bis (III-3cs), (III-3cv) bis (III-3cx), (III-3da) bis (III-3dc), worin die Seitenkettengruppe R33 Verbindungen von (III-5a) bis (III-5e) und (III-5ak) bis (III-5ap) ist und die Seitenkettengruppe R37 Verbindungen von (III-5a) bis (III-5e), (III-5g) bis (III- 51), (III-5ak) bis (III-5ap), (III-5ar) bis (III-5aw) und (III-5ay) bis (III-5bf) ist.
  • (III-bix): Verbindungen der vorher erwähnten allgemeinen Formel (III-4), worin R34 eine Alkylgruppe mit 1 bis 5 Kohlenstoffatomen oder eine Alkenylgruppe mit 2 bis 5 Kohlenstoffatomen ist, R38 eine Alkyl- oder Alkoxygruppe mit 1 bis 5 Kohlenstoffatomen oder eine Alkenyl- oder Alkenyloxygruppe mit 2 bis 5 Kohlenstoffatomen ist und k34 + k35 0 ist, zur Erläuterung, Verbindungen mit Grundstrukturen der allgemeinen Formeln (III-4a) und (III-4b), worin die Seitenkettengruppe R34 Verbindungen von (III-5a) bis (III-5e) und (III-5ak) bis (III-5ap) ist und die Seitenkettengruppe R38 Verbindungen von (III-5a) bis (III-5e), (III-5g) bis (III-51), (III-5ak) bis (III-5ap), (III-5ar) bis (III-5aw) und (III-5ay) bis (III-5bf) ist.
  • Eine nematische Flüssigkristallzusammensetzung, die eine oder zwei oder mehrere Verbindungen, ausgewählt aus den Verbindungen, dargestellt durch diese Untergruppen (III-bi) bis (III-bix), enthält, worin der Gesamtgehalt dieser Verbindungen 10 bis 100 Gew.-% beträgt, als die flüssigkristalline Komponente C, ist zweckmäßig.
  • Eine besonders bevorzugte Ausführungsform der Verbindungen der allgemeinen Formeln (III-1) bis (III-4) ist eine flüssigkristalline Komponente, welche die folgenden Verbindungen enthält.
  • Der Einschluss von Verbindungen der allgemeinen Formeln (III-1) bis (III-4) als flüssigkristalline Komponente C übt charakteristische Wirkungen aus, indem die Viskosität und die Viskoelastizität verringert werden können und der spezifische Widerstand und das Spannungshalteverhältnis relativ hoch wird. Es ist zweckmäßig, dass die Viskosität der flüssigkristallinen Komponente C so niedrig wie möglich ist, und erfindungsgemäß beträgt die Viskosität vor zugsweise 45 cp oder weniger, mehr bevorzugt 30 cp oder weniger, am meisten bevorzugt 20 cp oder weniger, und besonders bevorzugt 15 cp oder weniger. Im Hinblick darauf sind die bevorzugteren Verbindungen:
    (III-ci): Verbindungen mit Grundstrukturen von (III-1a) bis (III-1f), (III-1k), (III-2a) bis (III-2f), (III-3a), (III-3h) bis (III-3j), (III-3o), (III-3p), (III-3q), (III-3ac), (III-3at) bis (III-3ax), (III-3ba), (III-3bb), (III-3bf), (III-3bg), (III-3bx) bis (III-3cb) und (III-3ct) bis (III-3cx), mehr bevorzugt
    (III-cii): Verbindungen der vorher erwähnten Struktur (III-ci), worin R31 bis R34 geradkettige Alkylgruppen mit 2 bis 5 Kohlenstoffatomen oder eine Alkenylgruppe CH2=CH-(CH2)q (q = 0 oder 2) und R35 bis R38 geradkettige Allkylgruppen mit 1 bis 5 Kohlenstoffatomen oder eine Alkenylgruppe CH2=CH-(CH2)q (q = 0 oder 2) sind, am meisten bevorzugt
    (III-ciii): Verbindungen mit Grundstrukturen von (III-1a), (III-1d), (III-2a), (III-2f), (III-3a), (III-3h), (III-3p) und (III-3q), worin beide Seitenkettengruppen Alkenylgruppen sind.
  • Obwohl die erfindungsgemäße flüssigkristalline Komponente C ausschließlich aus einer beliebigen der Verbindungen der allgemeinen Formel (III-1), der allgemeinen Formel (III-2), der allgemeinen Formel (III-3) und der allgemeinen Formel (III-4) aufgebaut werden kann, kann die Doppelbrechung der flüssigkristallinen Zusammensetzung in einfacher Weise im Hinblick auf ihre Verwendung optimiert werden, indem zusammen verwendet werden:
    (III-civ): Verbindungen der allgemeinen Formel (III-1) und/oder der allgemeinen Formel (III-2), insbesondere Ver bindungen der allgemeinen Formeln (III-1a), (III-1d), (III-2a) bis (III-2c) und (III-2f), und
    (III-cv): Verbindungen der allgemeinen Formel (III-3) und/oder allgemeinen Formel (III-4), insbesondere solche Verbindungen, worin Z35 eine Einfachbindung, -C≡C- oder -CH=N-N=CH- ist, zur Erläuterung, Verbindungen der allgemeinen Formeln (III-3a), (III-3h), (III-3p), (III-3q), (III-3at), (III-4a) und (III-4h). Für die allgemeine Verwendung kann die Doppelbrechung reduziert werden, und die Verringerung der Farbungleichförmigkeit auf flüssigkristallinen Displaysystemen, die Verbesserung der Betrachtungswinkeleigenschaften und die Zunahme des Kontrastverhältnisses können in einfacher Weise erreicht werden, indem häufig Verbindungen der allgemeinen Formel (III-1) und der allgemeinen Formel (III-2), wie Verbindungen der allgemeinen Formeln (III-1a) bis (III-2f), eingsetzt werden. Des weiteren kann, wenn Verbindungen der allgemeinen Formel (III-3), wie Verbindungen der allgemeinen Formeln (III-3a) bis (III-3j) oder Verbindungen der allgemeinen Formel (III-4) wie Verbindungen der allgemeinen Formeln (III-4a) bis (III-4e), häufig verwendet werden, die Doppelbrechung erhöht werden, und die Herstellung einer flüssigkristallinen Anzeigevorrichtung mit einer dünnen Flüssigkristallschicht von 1 bis 5 μm wird möglich.
  • Eine flüssigkristalline Komponente C, welche diese Verbindungen von (III-ai) bis (III-cv) enthält, ist dadurch gekennzeichnet, dass sie gründlich mit der Hauptkomponente, der flüssigkristallinen Komponente A, gemischt werden kann, und sie nützlich ist zur Kontrolle der Doppelbrechung, der Verbesserung der Schärfe oder Temperaturabhängigkeit davon oder zur Verbesserung der Antworteigenschaft, in Abhängigkeit von dem jeweiligen Zweck. Diese Verbindungen sind hervorragend im Hinblick auf mindestens einen dieser Effekte und diese Effekte können selbst durch einen geringen Gehalt von 0,1 bis 30 Gew.-%, bezogen auf die Gesamtmenge der nematischen Flüssigkristallzusammensetzung der vorliegenden Erfindung, erhalten werden.
  • Bei den erfindungsgemäßen Verbindungen können die sie bildenden Atome durch ihre Isotope bewusst ersetzt werden. Dabei sind Verbindungen, worin die Wasserstoffatome durch Deuteriumatome ersetzt werden, besonders zweckmäßig, da sie wünschenswertere Effekte auf die Mischbarkeit, die Elastizitätskonstante, den Vorneigungswinkel, das Spannungshalteverhältnis, und ähnliche Faktoren, ausüben. Bevorzugt sind Verbindungen, worin Wasserstoffatome, die in den vorher erwähnten Seitenkettengruppen vorliegen, Verknüpfungsgruppen oder Ringe durch Deuteriumatomen substituiert sind. Mehr bevorzugt sind die Seitenkettengruppen substituierte oder unsubstituierte Alkylgruppen und Alkenylgruppen, die Ringe sind substituierte oder unsubstituierte 1,4-Phenylen-, Pyrimidin-2,5-diyl-, trans-1,4-Cyclohexylen-, trans-1,4-Cyclohexenylen- und trans-1,4-Dioxan-2,5-diyl-Reste, und die Verknüpfungsgruppen sind -CH2O, -OCH2-, -(CH2)2-, -(CH2)4-, -CH=CH-(CH2)2-, -(CH2)2-CH=CH-, -CH=N- und -CH=N-N=CH-. Besonders bevorzugt sind Alkylgruppen, Alkenylgruppen, 1,4-Phenylen-, trans-1,4-Cyclohexylen-, -(CH2)2- und -(CH2)4-Gruppen.
  • Derzeit werden Orientierungsfilme auf Polyimidbasis, wie LX1400, SE150, SE610, AL1051 und AL3408, häufig in TN-LCD, STN-LCD oder TFT-LCD verwendet. Die Eigenschaften des flüssigkristallinen Displays, die Displayqualität, die Zuverlässigkeit und die Produktivität hängen in hohem Maße von der Spezifikation der Orientierungsfilme ab, und Vorneigungswinkel-Charakteristiken sind beispielsweise für flüssigkristalline Materialien wichtig. Um die erwünschten flüssigkristallinen Displayeigenschaften und eine gleichförmige Orientierung zu erhalten, ist es erforderlich, die Größe des Vorneigungswinkels je nach Bedarf einzustellen beziehungsweise anzupassen. Beispielsweise wird die Orientierung im Falle eines großen Vorneigungswinkels instabil, und ausreichende Displayeigenschaften können bei einem kleinen Winkel nicht erzielt werden.
  • Die benannten Erfinder haben gefunden, dass flüssigkristalline Materialien mit einem größeren Vorneigungswinkel und flüssigkristalline Materialien mit einem kleineren Winkel aussortiert werden können, und dass die gewünschten flüssigkristallinen Displayeigenschaften und die gleichförmige Orientierung aus flüssigkristallinen Materialien durch Umsetzung dieser Erkenntnis erhalten werden können. Dieses Vorgehen kann auf die vorliegende Erfindung angewendet werden. Ein Fall, in dem die flüssigkristalline Komponente B Verbindungen der allgemeinen Formeln (II-1) bis (II-4) enthält, ist beispielsweise wie folgt: Größere Vorneigungswinkel können erhalten werden, indem der Gehalt an Verbindungen, worin R21 eine Alkenylgruppe, X21 F, Cl oder -CN ist und Y21 und Y22 F sind und/oder an Verbindungen, worin R21 eine Alkylgruppe, X21 F, Cl oder -CN ist, und Z22 -C2H4- oder -C4H8- ist, erhöht wird, und kleinere Vorneigungswinkel können erhalten werden, indem der Gehalt an Verbindungen, worin R21 eine Alkenylgruppe oder CsH2s+1-O-CtH2t ist, X21 F ist, Y21 F ist und Y22 H ist und/oder an Verbindungen, in denen Z22 -COO- ist, erhöht wird. Zur Erläuterung, in dem Fall von Verbindungen, worin Ringe A21 bis A24 in den allgemeinen Formeln (II-1), (II-2) und (II-4) und Ringe A31 bis A35 in den allgemeinen Formeln (III-1) bis (III-4) Cyclohexanringe sind und Wasserstoffatome der Ringe durch Deuteriumatome ersetzt sind, hängt der Vorneigungswinkel von der Art der substituierten Positionen ab und kann deshalb innerhalb eines breiten Bereichs eingestellt beziehungsweise kontrolliert werden.
  • Des Weiteren übt die häufige Verwendung von Verbindungen, worin Wasserstoffatome durch Deuteriumatome ersetzt sind, eine spezielle Wirkung aus um weiter ein hohes Spannungshalteverhältnis beizubehalten, und deshalb ist sie zweckmäßig in Bezug auf die Displaycharakteristiken und das Produktionsergebnis von TFT-LCD, PDLC, PNLCD, und ähnlichen Vorrichtungen für die aktive Verwendung. Der Grund für einen solchen Effekt liegt möglicherweise darin, dass die Eigenschaften von schwerem Wasser, nämlich Unterschiede in der Gleichgewichtskonstante und der Geschwindigkeitskonstante der Reaktion, niedrige ionische Mobilität, geringe Löslichkeit von anorganischen Substanzen und Sauerstoff und ähnliche Eigenschaften auch in den flüssigkristallinen Verbindungen ausgedrückt werden. Um ein höheres Spannungshalteverhältnis beizubehalten, sollte meistens eine Menge von 10 bis 40 Gew.-% oder mehr der vorher erwähnten Verbindungen, bezogen auf die Gesamtmenge der flüssigkristallinen Zusammensetzung, enthalten sein.
  • Der Gehalt der flüssigkristallinen Komponente in der nematischen flüssigkristallinen Zusammensetzung der vorliegenden Erfindung ist wie folgt: Der Gehalt der flüssigkristallinen Komponente A liegt innerhalb des Bereichs von 5 bis 70 Gew.-%, vorzugsweise innerhalb des Bereichs von 5 bis 60 Gew.-%, mehr bevorzugt innerhalb des Bereichs von 5 bis 50 Gew.-%. Der Gehalt der flüssigkristallinen Komponente B liegt innerhalb des Bereichs von 0 bis 95 Gew.-%, vorzugsweise innerhalb des Bereichs von 3 bis 80 Gew.-%, mehr bevorzugt innerhalb des Bereichs von 5 bis 60 Gew.-%. Der Gehalt der flüssigkristallinen Komponente C beträgt bis zu 95 Gew.-% höchstens, vorzugsweise liegt er innerhalb des Bereichs von 3 bis 70 Gew.-%, mehr bevorzugt innerhalb des Bereichs von 5 bis 70 Gew.-%. Der Gehalt der Verbindungen der allgemeinen Formeln (I-1) bis (I-18) beträgt vorzugsweise 10 Gew.-% oder weniger als Einzelverbindung, und es ist zweckmäßig, dass ein höherer Gehalt zwei oder mehr Verbindungen umfasst. Der Gehalt von Verbindungen der allgemeinen Formeln (II-1) bis (II-4), zur Erläuterung, Verbindungen der allgemeinen Formeln (II-1a) bis (II-4g), beträgt vorzugsweise 30 Gew.-% oder weniger, mehr bevorzugt 25 Gew.-% oder weniger, als Einzelverbindung, und es ist zweckmäßig, dass ein höherer Gehalt zwei oder mehr Verbindungen umfasst und dass ihr Gehalt in der flüssigkristallinen Komponente B innerhalb des Bereichs von 10 bis 100 Gew.-%, vorzugsweise innerhalb des Bereichs von 50 bis 100 Gew.-%, mehr bevorzugt innerhalb des Bereichs von 75 bis 100 Gew.-%, liegt. Der Gehalt an Verbindungen der allgemeinen Formeln (III-1) bis (III-4), zur Erläuterung, Verbindungen der allgemeinen Formeln (III-1a) bis (III-4o), ist vorzugsweise 30 Gew.-% oder weniger, mehr bevorzugt 25 Gew.-% oder weniger, als Einzelverbindung, und es ist zweckmäßig, dass ein höherer Gehalt zwei oder mehr Verbindungen umfasst, und ihr Gehalt in der flüssigkristallinen Komponente C liegt innerhalb des Bereichs von 10 bis 100 Gew.-%, vorzugsweise innerhalb des Bereichs von 50 bis 100 Gew.-%, mehr bevorzugt innerhalb des Bereichs von 75 bis 100 Gew.-%.
  • Um die Eigenschaften der erfindungsgemäßen flüssigkristallinen Zusammensetzung zu verbessern, kann die Zusammensetzung weiter üblicherweise verwendete nematische Flüssigkristalle, smektische Flüssigkristalle, cholesterische Flüssigkristalle und ähnliche flüssigkristalline Verbindungen zusätzlich zu den vorher erwähnten Verbindungen der allgemeinen Formeln (I-1) bis (III-4) enthalten. Beispielsweise kann eine oder eine Vielzahl von Verbindungen mit einer Kernstruktur, die aus vier sechsgliedrigen Ringen besteht, und die eine Übergangstemperatur von der flüssigkristallinen Phase in die isotrope flüssige Phase von 100°C oder mehr aufweisen, enthalten sein. Da die Verwendung solcher Verbindungen in einer großen Menge die Eigenschaften der nematischen Flüssigkristallzusammensetzung reduziert, ist die Menge im Hinblick auf die erforderten Eigenschaften der nematischen Flüssigkristallzusammensetzung beschränkt.
  • Die Übergangstemperatur von der kristallinen Phase oder smektischen Phase in die nematische Phase ist vorzugsweise –10°C oder weniger, mehr bevorzugt –20°C oder weniger, am meisten bevorzugt –30°C oder weniger. Die Übergangstemperatur von der nematischen Phase in die isotrope flüssige Phase beträgt vorzugsweise 50°C oder mehr, mehr bevorzugt 70°C oder mehr, am meisten bevorzugt liegt sie innerhalb des Bereichs von 80°C bis 150°C. Die erfindungsgemäße flüssigkristalline Zusammensetzung kann eine dielektrische Anisotropie von 3 oder mehr aufweisen, sie liegt jedoch vorzugsweise innerhalb des Bereichs von 4 bis 40, und ein Bereich von 4 bis 16 ist zweckmäßig, wenn eine rasche Antwort erforderlich ist, während sie im Bereich von 17 bis 30 liegt, wenn eine niedrigere Ansteuerungsspannung erforderlich ist. Kleinere oder mittlere Doppelbrechung liegt innerhalb des Bereichs von vorzugsweise 0,08 bis 0,195, mehr bevorzugt von 0,10 bis 0,18. Die nematische Flüssigkristallzusammensetzung, die solche Eigenschaften aufweist, kann wirksam in verdrillt-nematischen oder superverdrillt-nematischen Flüssigkristall-Anzeigevorrichtungen verwendet werden.
  • Falls eine raschere Antwort für die Größe der Ansteuerungsspannung gewünscht wird, kann die erfindungsgemäße Flüssigkristallzusammensetzung wie folgt kontrolliert werden: Falls eine mittlere Ansteuerungsspannung gewünscht wird, kann die erfindungsgemäße Flüssigkristallzusammensetzung vorzugsweise eine dielektrische Anisotropie innerhalb des Bereichs von 3 bis 15 und eine Viskosität innerhalb des Bereichs von 8 bis 20 cp bei 20°C aufweisen. In einem solchen Fall beträgt die Viskosität der flüssigkristallinen Komponente C allein vorzugsweise 25 cp oder weniger, mehr bevorzugt 15 cp oder weniger, am meisten bevorzugt 10 cP oder weniger. Des weiteren kann die erfindungsgemäße Flüssigkristallzusammensetzung, sofern eine besonders niedrige Ansteuerungsspannung gewünscht wird, eine dielektrische Anisotropie innerhalb des Bereichs von vorzugsweise 15 bis 30, mehr bevorzugt 18 bis 28, aufweisen.
  • Die vorher erwähnte nematische Flüssigkristallzusammensetzung ist verwendbar in TN-LCD und STN-LCD mit rascher Antwort und auch in Flüssigkristall-Displayvorrichtungen, in denen ein Farbdisplay durch Doppelbrechung der flüssigkristallinen Phase und einen Verzögerungsfilm ohne Verwendung von Farbfilterschichten erzeugt wird, und kann in einer Flüssigkristall-Displayvorrichtung vom Transmissions-Typ oder Reflektions-Typ verwendet werden. Da diese flüssigkristalline Displayvorrichtung Substrate mit transparenten Elektrodenschichten aufweist, worin mindestens eine davon transparent ist, können die Moleküle in der vorher erwähnten nematischen Flüssigkristallzusammensetzung zwischen diesen Substraten in einer verdrehten Orientierung angeordnet werden, die je nach Zweck und Aufgabe innerhalb des Bereichs von 30° bis 360°, vorzugsweise innerhalb des Bereichs von 90° bis 270°C, mehr bevorzugt innerhalb des Bereichs von 45° bis 135° oder innerhalb des Bereichs von 180° bis 260°, gewählt werden können. Daher kann die erfindungsgemäße Flüssigkristallzusammensetzung eine Verbindung mit einer optisch aktiven Gruppe enthalten, die eine induzierte helikale Ganghöhe von 0,5 bis 1.000 μm aufweist. Beispiele für eine solche Verbindung schließen Cholesterin-Derivate, chirale nematische Flüssigkristalle, ferroelektrische Flüssigkristalle, und dergleichen, ein, insbesondere können vorzugsweise Cholesterylnonanat, C-15, CB-15, S-811, und dergleichen, verwendet werden.
  • Es ist auch bekannt, dass es Verbindungen gibt, deren induzierte helikale Ganghöhe länger oder kürzer durch Temperaturerhöhung wird, und eine oder eine Vielzahl von Verbindungen von einem dieser Typen oder eine oder eine Vielzahl von Verbindungen von beiden Typen können ebenso eingesetzt werden. Ihr Mischungsanteil liegt vorzugsweise innerhalb des Bereichs von 0,001 Gew.-% bis 10 Gew.-%, mehr bevorzugt innerhalb des Bereichs von 0,05 Gew.-% bis 3 Gew.-%. Am meisten bevorzugt innerhalb des Bereichs von 0,1 Gew.-% bis 3 Gew.-%. Es versteht sich jedoch von selbst, dass diese Mengen so gewählt werden, dass eine gewünschte induzierte helikale Ganghöhe durch den Helixwinkel θ und die Dicke d zwischen den vorher erwähnten Substraten erhalten wird.
  • Es ist zweckmäßig, den Vorneigungswinkel, der erhalten wird durch den Orientierungsfilm, der auf dem transparenten Elektrodensubstrat angeordnet ist, innerhalb des Bereichs von 1° bis 20° auszuwählen und ein Vorneigungswinkel von 1° bis 4° ist zweckmäßig, wenn der Helixwinkel 30° bis 100°C beträgt, ein Vorneigungswinkel von 2° bis 6° ist zweckmäßig, wenn der Helixwinkel 100° bis 180° beträgt, ein Vorneigungswinkel von 3° bis 12° ist zweckmäßig, wenn der Helixwinkel 180° bis 260° beträgt und ein Vorneigungswinkel von 6° bis 20° ist zweckmäßig, wenn der Helixwinkel 260° bis 360° beträgt.
  • Die vorliegende Erfindung stellt auch Phenylbenzoat-Derivate der allgemeinen Formel (I) bereit, und diese als Zwischenstufen für die Verwendung bei der Herstellung von 2-Fluor-4-(3-alkenyl)benzoesäure der allgemeinen Formel (II). Die Gruppe R steht für ein Wasserstoffatom oder eine geradkettige Alkylgruppe mit 1 bis 7 Kohlenstoffatomen, vorzugsweise ein Wasserstoffatom oder eine Methylgruppe. Wenn R eine Alkylgruppe ist, ist es zweckmäßig, dass die Konfiguration der Doppelbindung eine trans-Konfiguration ist. X, Y und Z stehen jeweils unabhängig voneinander für ein Fluoratom oder ein Wasserstoffatom, aber es ist zweckmäßig, dass mindestens einer von X, Y und Z ein Fluoratom, mehr bevorzugt mindestens zwei davon, Fluoratome sind um den die Schwellenspannung verringernden Effekt durch die Zunahme der dielektrischen Anisotropie zu verbessern. Da die Löslichkeit und flüssigkristallinen Eigenschaften leicht verringert werden, wenn X, Y und Z sämtlich Fluoratome sind, ist es zweckmäßig, dass mindestens einer davon ein Wasserstoffatom ist. Folglich ist es am zweckmäßigsten, dass X ein Fluoratom und Y ein Wasserstoffatom ist, wenn Z ein Fluoratom ist, und dass X und Y beide Fluoratome sind, wenn Z ein Wasserstoffatom ist.
  • Nachfolgend werden Beispiele für Herstellungsverfahren für erfindungsgemäße Phenylbenzoesäure-Derivate der allgemeinen Formel (I) beschrieben:
  • Figure 00730001
  • Insbesondere kann das Derivat (I) in einfacher Weise durch Behandlung einer Fluor-substituierten 4-(3-Alkenyl)benzoesäure der allgemeinen Formel (II)
    Figure 00730002
    (worin R und Z wie voranstehend definiert sind) mit Thionylchlorid oder einem ähnlichen Chlorierungsmittel erhalten werden um sie in ihr entsprechendes Säurechlorid umzuwandeln, das anschließend mit einem 4-Cyanophenol oder einem Fluor-Substitutionsprodukt davon der allgemeinen Formel (IV)
    Figure 00730003
    (worin X und Y wie voranstehend definiert sind) in Gegenwart von Pyridin oder einer ähnlichen Base umgesetzt wird. Es kann auch durch direkte Umsetzung der Verbindung (II) mit der Verbindung (IV) in Gegenwart von Dicyclohexylcar bodiimid (DCC) oder einem ähnlichen Kondensationsmittel ohne Umwandlung in sein Säurechlorid erhalten werden.
  • In diesem Zusammenhang kann die Fluor-substituierte 4-(3-Alkenyl)benzoesäure der Formel (II) auf die folgende Weise, in Abhängigkeit von ihrer Gruppe Z, hergestellt werden.
    • (a) Wenn Z ein Fluoratom ist:
    • 1) ein Grignard-Reagens, das aus 3,5-Difluor-1-brombenzol (Va)
      Figure 00740001
      oder einem Phenyllithium-Reagens hergestellt wird, wird mit N,N-Dimethylformamid (DMF) oder einem ähnlichen Formylierungsmittel umgesetzt und anschließend mit Natriumborhydrid oder einem ähnlichen Reduktionsmittel behandelt um den 3,5-Difluorbenzylalkohol (VIa):
      Figure 00740002
      herzustellen. Alternativ kann die Verbindung (VIa) auch in einer Stufe erhalten werden, indem das Grignard-Reagens oder das Phenyllithium-Reagens mit Formaldehyd anstelle des Formylierungsmittels umgesetzt wird. Indem das 3,5-Difluorbenzylbromid (VIIa)
      Figure 00740003
      das durch Bromierung der Verbindung (VIa) erhalten wurde, mit einem Grignard-Reagens der allgemeinen Formel (VIIIa):
      Figure 00750001
      (worin R wie vorangehend definiert ist, und W für ein Chlor- oder Bromatom steht) umgesetzt wird, wird ein 3,5-Difluor-1-(3-alkenyl)benzol der allgemeinen Formel (IXa)
      Figure 00750002
      erhalten (worin R wie voranstehend definiert ist).
    • Alternativ kann die Verbindung (IXa) auch durch Reaktion mit einem Grignard-Reagens der allgemeinen Formel (VIIIb)
      Figure 00750003
      (worin R wie vorangehend definiert ist und W für ein Chlor- oder Bromatom steht) anstelle des Reagenzes (VIIIa) und anschließende trans-Reduktion der Dreifachbindung durch ein Alkalimetall, wie Natrium oder Lithium, in flüssigem Ammoniak oder einem niederen Amin erhalten werden, wobei die zuletzt genannte Variante zweckmäßig ist, wenn R für eine Alkylgruppe steht. Durch Behandlung mit Butyllithium oder einem ähnlichen Alkyllithium und anschließender Umsetzung mit Kohlendioxid kann 2,6-Difluor-4-(3-alkenyl)-benzoesäure (IIa)
      Figure 00750004
      (worin R wie voranstehend definiert ist) erhalten werden, die ein Mitglied der Fluor-substituierten 4-(3-Alkenyl)-benzoesäure der allgemeinen Formel (II) ist, worin Z ein Fluoratom ist.
    • 2) Alternativ kann durch Umsetzung des Grignard-Reagenzes oder eines Phenyllithium-Reagenzes, das aus der Verbindung (Va) hergestellt wurde, mit einem ungesättigen Carbonsäure-Derivat der allgemeinen Formel (X)
      Figure 00760001
      (worin R wie voranstehend definiert ist, G für CN, COOR' oder COCl steht und R' eine Niedrigalkylgruppe mit 1 bis 4 Kohlenstoffatomen ist) und anschließender Hydrolyse des Reaktionsprodukts, falls erforderlich, eine Verbindung der allgemeinen Formel (XIa)
      Figure 00760002
      (worin R wie voranstehend definiert ist) erhalten werden. Die vorher erwähnte Verbindung der Formel (XIa) kann durch Reduktion der Carbonylgruppe erhalten werden.
    • (b) Wenn Z ein Wasserstoffatom ist:
    • 3) ein Grignard-Reagens, das aus 3-Fluor-1-brombenzol (Vb)
      Figure 00760003
      oder einem Phenyllithium-Reagens hergestellt wurde, wird in der gleichen Weise, wie oben unter (a)-1) beschrieben, umgesetzt, und die nachfolgende Reaktion wird in der gleichen Weise durchgeführt, wodurch eine Verbindung der allgemeinen Formel (IXb)
      Figure 00770001
      (worin R wie voranstehend definiert ist) erhalten wird. Indem diese einer Acetylierung und einer anschließenden Oxidation mit einem Hypochlorid unterworfen wird, kann eine 2-Fluor-4-(3-alkenyl)benzoesäure (IIb)
      Figure 00770002
      (worin R wie voranstehend definiert ist), die ein Mitglied der Fluor-substituierten 4-(3-Alkenyl)benzoesäure der allgemeinen Formel (II) ist, worin Z für ein Wasserstoffatom steht, erhalten werden.
    • 4) Alternativ kann ein von der Verbindung (IIb) abgeleitetes Säurechlorid direkt erhalten werden, indem die Verbindung (IXb) mit Oxalylchlorid in Gegenwart einer Lewissäure umgesetzt wird.
    • 5) Alternativ kann bei Verwendung einer Verbindung (Vc)
      Figure 00770003
      (worin P für eine 4,4-Dimethyl-1,3-oxazolin-2-yl-Gruppe oder eine ähnliche Carboxyl-Schutzgruppe steht), die eine geschützte Carboxylgruppe enthält, anstelle von 3-Fluor-1-brombenzol (Vb) eine Verbindung der allgemeinen Formel (XIIb)
      Figure 00780001
      (worin R und P wie voranstehend definiert sind) in der gleichen Weise, wie für die vorerwähnte Stufe 2) oder 3) beschrieben, erhalten werden. Das Benzoesäure-Derivat der Formel (IIb) kann auch durch Entfernen dieser Schutzgruppe erhalten werden.
  • Diese Fluor-substituierten 4-(3-Alkenyl)benzoesäuren und 2,6-Difluor-4-(3-alkenyl)benzoesäuren der allgemeinen Formel (II) sind neue Verbindungen und sind sehr nützlich als Zwischenstufen zur Herstellung nicht nur von Verbindungen (I) der vorliegenden Erfindung, sondern auch zahlreichen anderen flüssigkristallinen Verbindungen, und die vorliegende Erfindung stellt auch diese Verbindungen der Formel (II) bereit.
  • Typische Beispiele der Verbindungen der allgemeinen Formel (I), die auf diese Weise durch die vorher beschriebenen Herstellungsverfahren synthetisiert werden, sind in Tabelle 1 gezeigt.
  • Tabelle 1 Phasenübergangstemperatur der Verbindungen der allgemeinen Formel (I)
    Figure 00790001
  • (In der Tabelle bedeutet Cr kristalline Phase und I isotrope flüssige Phase. Die Phasenübergangstemperatur ist in "°C" angegeben).
  • Die Verbindung (I) der vorliegenden Erfindung ist strukturell dadurch gekennzeichnet, dass sie 3-Alkenylgruppen anstelle von Alkylgruppen als Seitenkettengruppen aufweist. Eine große Anzahl von Verbindungen mit Alkenylgruppen als Seitenketten sind bekannt, und es ist berichtet worden, dass sie zahlreiche Eigenschaften im Vergleich mit ähnlichen Verbindungen haben, worin die entsprechenden Seitenketten Alkylgruppen sind, aber Berichte über die Verbindungen, in denen 3-Alkenylgruppen direkt an den Benzoesäurekern gebunden sind, sind extrem selten, und wirklich nichts ist bekannt über eine hohe P-Verbindung, wie die der allgemeinen Formel (I-6), worin ein Fluoratom in den Benzoesäurekern eingeführt wird. Die erfindungsgemäße Verbindung hat die Lösung der vorher erwähnten Probleme durch Bereitstellung ihrer Struktur mit solchen Eigenschaften ermöglicht.
  • Des weiteren zeigen einige Verbindungen der allgemeinen Formel (I) selbst keine nematisch-flüssigkristallinen Eigenschaften, wie das in Tabelle 1 dargestellt ist. Jedoch ist der Erniedrigungsgrad der Übergangstemperatur von der nematischen Phase in die isotrope flüssige Phase (TN-1) bei ihrer Zugabe zu der sie aufnehmenden Flüssigkristallzusammensetzung mindestens der gleiche, wie im Falle der Verbindung der allgemeinen Formel (I-6), und nicht so hoch im Vergleich mit den Verbindungen der Gruppe A1 mit einer kleinen Zahl von substituierten Fluoratomen. Überdies tritt das Problem von Niederschlagsbildung und dergleichen kaum auf, da sie einen relativ niedrigen Schmelzpunkt aufweisen und in Bezug auf ihre Mischbarkeit mit anderen Flüssigkristallzusammensetzungen hervorragend sind. Daher können sie in geeigneter Weise in Form von Gemischen mit anderen flüssigkristallinen Verbindungen, vorzugsweise als Materialien vom TN-Typ, STN-Typ, und ähnlichen Displayzellen vom Feld-Effekt-Typ, verwendet werden.
  • Typische Beispiele von nematischen flüssigkristallinen Verbindungen, die durch Mischen mit den Verbindungen der allgemeinen Formel (I) verwendet werden können, schließen Phenylbenzoat-Derivate, Phenylcyclohexancarboxylat-Derivate, Biphenyl-4-ylcyclohexancarboxylat-Derivate, Phenylcyclohexancarbonyloxybenzoat-Derivate, Phenylcylohexylbenzoat-Derivate, Cyclohexylcyclohexylbenzoat-Derivate, Biphenyl-Derivate, Cyclohexylbenzol-Derivate, Terphenyl-Derivate, Bicyclohexan-Derivate, 4-Cyclohexylbiphenyl-Derivate, 4-Phenylbicyclohexan-Derivate, Tercyclohexan-Derivate, 1,2-Dicyclohexylethan-Derivate, 1,2-Diphenylethan-Derivate, 1,2-Diphenylethin-Derivate, (2-Cyclohexylethyl)benzol-Derivate, 4-Phenetylbicyclohexan-Derivate, 4-(2-Cyclohexylethyl)biphenyl-Derivate, 1-(4-Phenyl)cyclohexyl-2-cyclohexylethan-Derivate, 1-(4-Cyclohexylphenyl)-2-phenylethin-Derivate, Phenylpyrimidin-Derivate, (4-Biphenyl-4-yl)pyrimidin-Derivate, Phenylpyridin-Derivate, (4-Biphenyl-4-yl)pyridin-Derivate, und dergleichen, ein.
  • Die erfindungsgemäße Flüssigkristallzusammensetzung kann erhalten werden, indem die flüssigkristallinen Komponenten A, B und C, die im Detail voranstehend beschrieben wurden, eingearbeitet werden. Obwohl nematische Flüssigkristallzusammensetzungen (1-01) bis (1-16) im Folgenden als bevorzugte Beispiele gezeigt sind, ist die vorliegende Erfindung nicht durch diese Beispiele beschränkt. Unter diesen Beispielen können nematische Flüssigkristallzusammensetzungen (1-01) bis (1-05) und (1-11) bis (1-16) in TN-LCD verwendet werden, nematische Flüssigkristallzusammensetzungen (1-06) bis (1-09) in STN-LCD verwendet werden und die nematische Flüssigkristallzusammensetzung (1-16) kann in PDLC und PN-LCD verwendet werden. Zusätzlich kann, in Abhängigkeit von dem gewünschten Zweck und der Verwendung, ein oder eine Vielzahl von Verbindungen (1-0101) bis (1-1610), die in diesen Beispielen dargestellt sind, durch bestimmte Verbindungen der allgemeinen Formeln (I-1) bis (III-4) ersetzt werden, zur Erläuterung, Verbindungen mit Grundstrukturen der allgemeinen Formeln (I-1) bis (I-18), worin ihre Seitenkettengruppen (I-a) bis (I-bc) sind, Verbindungen mit Grundstrukturen der allgemeinen Formeln (II-1a) bis (II-4g), worin ihre Seitenkettengruppen (II-5a) bis (II-5r) sind, und Teilstrukturen der polaren Gruppen sind allgemeinen Formeln (II-6a) bis (II-6r), und Verbindungen mit Grundstrukturen der allgemeinen Formeln (III-1a) bis (III-4o), worin ihre Seitenkettengruppen (III-5a) bis (III-5bf) sind. Als bevorzugte Beispiele für die Zusammensetzung sind nachfolgend nematische flüssigkristalline Zusammensetzungen (1-01) bis (1-16) gezeigt.
  • Nematische Flüssigkristallzusammensetzung (1-01)
    Figure 00820001
  • Nematische Flüssigkristallzusammensetzung (1-02)
    Figure 00830001
  • Nematische Flüssigkristallzusammensetzung (1-03)
    Figure 00840001
  • Nematische Flüssigkristallzusammensetzung (1-04)
    Figure 00850001
  • Nematische Flüssigkristallzusammensetzung (1-05)
    Figure 00860001
  • Nematische Flüssigkristallzusammensetzung (1-06)
    Figure 00870001
  • Nematische Flüssigkristallzusammensetzung (1-07) zum Vergleich
    Figure 00880001
  • Nematische Flüssigkristallzusammensetzung (1-08)
    Figure 00890001
  • Nematische Flüssigkristallzusammensetzung (1-09)
    Figure 00900001
  • Nematische Flüssigkristallzusammensetzung (1-10)
    Figure 00910001
  • Nematische Flüssigkristallzusammensetzung (1-11) zum Vergleich
    Figure 00920001
  • Charakteristische Werte der vorher erwähnten nematischen flüssigkristallinen Zusammensetzung (1-10) sind nachfolgend gezeigt.
    TN-I: 88,6°C
    T→N: –70°C
    Δε: 8,6
    Δn: 0,168
    Schwellenspannung bei Bau von TN-LCD (Vth): 2,01 V (8 μ)
    Schärfe beim Bau von TN-LCD (γ): 1,15
    Schwellenspannung beim Bau von STN-LCD (Vth): 2,27 V
    Schärfe beim Bau von STN-LCD (γ): 1,028
  • Nematische Flüssigkristallzusammensetzung (1-12) zum Vergleich
    Figure 00940001
  • Charakteristische Werte der vorher erwähnten nematischen flüssigkristallinen Zusammensetzung (1-11) sind nachfolgend gezeigt.
    TN-I: 70,1°C
    T→N: –70°C
    Δε: 7,1
    Δn: 0,084
    Schwellenspannung bei Bau von TN-LCD (Vth): 1,66 V (8 μ)
    Schärfe beim Bau von TN-LCD (γ): 1,17
  • Nematische Flüssigkristallzusammensetzung (1-13) zum Vergleich
    Figure 00960001
  • Nematische Flüssigkristallzusammensetzung (1-14)
    Figure 00970001
  • Charakteristische Werte der vorher erwähnten nematischen flüssigkristallinen Zusammensetzung (1–14) sind nachfolgend gezeigt.
    TN-I: 97,1°C
    T→N: –70°C
    Δε: 7,6
    Δn: 0,058
    Schwellenspannung bei Bau von TN-LCD (Vth): 1,78 V (8 μ)
    Schärfe beim Bau von TN-LCD (γ): 1,15
  • Nematische Flüssigkristallzusammensetzung (1-15)
    Figure 00990001
  • Nematische Flüssigkristallzusammensetzung (1-16) zum Vergleich
    Figure 01000001
  • Flüssigkristalline Displaysysteme unterliegen derzeit einem harten Preiswettbewerb. Daher stellt es ein für flüssigkristalline Materialien zu lösendes Problem dar, wie ihre Displayeigenschaften für eine Vielzahl von Anwendungen in einfacher Weise optimiert werden können. Des Weiteren werden systematisierte flüssigkristalline Materialien, wie z. B. ein sogenanntes "Zwei-Flaschen-System", das zwei Typen von flüssigkristallinen Materialien umfasst, oder ein sogenanntes "Vier-Zwei-Flaschen-System", das vier Typen von flüssigkristallinen Materialien umfasst, erwartet. Die typischen Eigenschaften sind Schwellenspannung, Doppelbrechung und die Übergangstemperatur von der nematischen in die isotrope flüssige Phase. Wenn z. B. ein Zwei-Flaschen-System, das ein flüssigkristallines Material mit einer hohen Schwellenspannung und ein flüssigkristallines Material mit einer niedrigen Schwellenspannung umfasst, aber die anderen Charakteristiken äquivalent sind, verwendet wird, können schnellere und billigere Ergebnisse erhalten werden, indem diese zwei flüssigkristallinen Materialien gegebenenfalls ohne Einschränkung durch zu verwendende elektronische Betriebsteile formuliert werden. Die vorliegende Erfindung ist auch unter einem solchen Gesichtspunkt nützlich, und die aus den nematischen flüssigkristallinen Materialien (1-01) bis (1-16) und teilweise ersetzten Materialien davon hergestellten Zusammensetzungen können verwendet werden, indem diese gegebenenfalls vermischt werden. Selbstverständlich können solche Anwendungsverfahren durchgeführt werden, einschließlich derjenigen, die in den folgenden Beispielen beschrieben sind.
  • BEISPIELE
  • Beispiele für die vorliegende Erfindung sind nachstehend zur Erläuterung, aber nicht zur Einschränkung, angegeben.
  • Hierbei wurde die Messung der Phasenübergangstemperatur durchgeführt, indem zusammen ein mit einer Temperaturkon trollstufe versehenes Polarisationsmikroskop und ein DSC (differential scanning calorimeter) verwendet wurden. Des Weiteren wurde auch die Struktur jeder Verbindung durch Kernresonanzspektroskopie (1H-NMR, 13C-NMR oder 19F-NMR), Infrarotspektroskopie (IR), Massenspektroskopie (MS), und ähnliche Methoden, bestätigt.
  • Im Folgenden bedeutet "%" Gewichtsprozent.
  • BEISPIEL 1 Herstellung von 2,6-Difluor-4-(3-butenyl)benzoesäure
    Figure 01020001
  • (1-a) Herstellung von 3,5-Difluorbenzaldehyd
  • Eine 28 g-Portion Magnesiumspäne wurde in 60 ml Tetrahydrofuran (THF) suspendiert, zu der anschließend tropfenweise 800 ml einer THF-Lösung gegeben wurden, die 200 g 3,5-Difluor-1-brombenzol enthielt, und zwar mit einer solchen Geschwindigkeit, dass das Lösungsmittel leicht refluxierte. Nach der tropfenweisen Zugabe wurde das Gemisch bei Raumtemperatur 1 Stunde lang gerührt, und anschließend wurden 91 g N,N-Dimethylformamid (DMF) tropfenweise zugesetzt. Nach der tropfenweisen Zugabe wurde weiter bei Raumtemperatur 1 Stunde lang gerührt, 1.000 ml 10%ige Salzsäure zugemischt und anschließend wieder 1 Stunde lang gerührt. Anschließend wurde mit 1.000 ml Ethylacetat extrahiert, zweimal mit gesättigter Kochsalzlösung gewaschen und anschließend über wasserfreiem Natriumsulfat getrock net. Nach Verdampfen des Lösungsmittels wurden 125 g 3,5-Difluorbenzaldehyd erhalten.
  • (1-b) Herstellung von 3,5-Difluorbenzylalkohol
  • Eine 20 g-Portion Natriumborhydrid wurde in 80 ml Ethanol suspendiert (teilweise aufgelöst), und 380 ml einer Ethanollösung, die 125 g 3,5-Difluorbenzaldehyd enthielt, wurde der Suspension zugesetzt, die in einem Eisbad gekühlt wurde. Nach der tropfenweisen Zugabe wurde sie 1 Stunde lang gerührt, anschließend wurde das Lösungsmittel verdampft und der resultierende Rückstand mit 400 ml Wasser gemischt. Er wurde mit 700 ml Ethylacetat extrahiert, mit Wasser gewaschen und dann mit gesättigter Kochsalzlösung, und zwar in dieser Reihenfolge, und anschließend mit wasserfreiem Natriumsulfat getrocknet. Nach Verdampfen des Lösungsmittels wurden 120 g 3,5-Difluorbenzylalkohol erhalten.
  • (1-c) Herstellung von 3,5-Difluorbenzylbromid
  • Eine 120 ml-Portion 48%iger Bromwasserstoffsäure wurde zu 120 g 3,5-Difluorbenzylalkohol gegeben. Bei Raumtemperatur wurden 120 ml Schwefelsäure tropfenweise dazugegeben und das Gemisch nach der tropfenweisen Zugabe 3 Stunden lang gerührt. Die Reaktionslösung wurde auf zerstoßenes Eis gegossen, mit 600 ml Hexan extrahiert, mit Wasser und gesätigter Kochsalzlösung, in dieser Reihenfolge, gewaschen und anschließend mit wasserfreiem Natriumsulfat getrocknet. Nach Abdampfen des Lösungsmittels wurden 176 g 3,5-Difluorbenzylbromid erhalten.
  • (1-d) Herstellung von 3,5-Difluor-1-(3-butenyl)benzol
  • Eine 176 g-Portion 3,5-Difluorbenzylbromid wurde in 300 ml THF aufgelöst, das anschließend tropfenweise mit 450 ml einer Allylmagnesiumchlorid-THF-Lösung (2 mol/l) bei Raum temperatur versetzt wurde. Es wurde 1 Stunde lang gerührt und anschließend mit 300 ml Wasser gemischt. Es wurde mit 800 ml Hexan extrahiert, zweimal mit gesättigter Kochsalzlösung gewaschen und anschließend über wasserfreiem Natriumsulfat getrocknet. Nach Abdampfen des Lösungsmittels wurde der resultierende Rückstand destilliert (79–82°C/ 20 mmHg) um 104 g 3,5-Difluor-1-(3-butenyl)benzol zu erhalten.
  • (1-e) Herstellung von 2,6-Difluor-4-(3-butenyl)benzoesäure
  • Eine 50 g-Portion 3,5-Difluor-1-(3-butenyl)benzol wurde in 200 ml THF aufgelöst und die Lösung auf –60°C abgekühlt. Eine 190 ml-Portion N-Butyllithium-Hexanlösung (1,59 mol/l) wurde tropfenweise mit einer solchen Geschwindigkeit zugegeben, dass die Lösung bei –40°C oder niedriger gehalten wurde. Anschließend wurde das Gemisch nach der tropfenweisen Zugabe 1 Stunde lang gerührt. Kohlendioxid wurde in die resultierende Lösung mit einer solchen Geschwindigkeit einperlen gelassen, dass das Reaktionssystem bei –40°C oder darunter gehalten wurde. Nach Abklingen der exothermen Reaktion wurde eine zusätzliche Stunde lang gerührt, bis Raumtemperatur erreicht war. Anschließend wurden 130 ml 10%ige Salzsäure zugemischt, mit 400 ml Ethylacetat extrahiert, zweimal mit gesättigter Kochsalzlösung gewaschen und anschließend über wasserfreiem Natriumsulfat getrocknet. Durch Verdampfen des Lösungsmittels wurden 62 g 2,6-Difluor-4-(3-butenyl)benzoesäure erhalten.
  • BEISPIEL 2 Herstellung von 2-Fluor-4-(3-pentenyl)benzoesäure
    Figure 01050001
  • (2-a) Herstellung von 2-(4-Formyl-2-fluor)phenyl-4,4-dimethyl-1,3-oxazolidin
  • Ein Grignard-Reagens wurde durch Umsetzung von 2-(4-Brom-2-fluor)phenyl-4,4-dimethyl-1,3-oxazolidin (dies wurde durch Behandlung von 4-Brom-2-fluorbenzoesäure mit Thionylchlorid zur Herstellung des Säurechlorids, das anschließend mit 2-Amino-2-methyl-1-propanol und dann mit Thionylchlorid umgesetzt wurde, hergestellt) mit Magnesium in THF hergestellt. Anschließend wurde mit DMF in der gleichen Weise, wie in der vorher erwähnten Stufe (1-a) beschrieben, umgesetzt um 2-(4-Formyl-2-fluor)phenyl-4,4-dimethyl-1,3-oxazolidin in Form weißer Kristalle zu erhalten.
  • (2-b) Herstellung von 2-(4-Hydroxymethyl-2-fluor)phenyl-4,4-dimethyl-1,3-oxazolidin
  • Durch Reduktion von 2-(4-Formyl-2-fluor)phenyl-4,4-dimethyl-1,3-oxazolidin, das in Stufe (2-a) oben erhalten wurde, mit Natriumborhydrid, in der gleichen Weise, wie in der vorher erwähnten Stufe (1-b) beschrieben, wurde 2-(4- Hydroxymethyl-2-fluor)phenyl-4,4-dimethyl-1,3-oxazolidin in Form weißer Kristalle erhalten.
  • (2-c) Herstellung von 2-(4-Brommethyl-2-fluor)phenyl-4,4-dimethyl-1,3-oxazolidin
  • Das in Stufe (2-b) erhaltene 2-(4-Hydroxymethyl-2-fluor)phenyl-4,4-dimethyl-1,3-oxazolidin wurde in einer gemischten Lösung aus THF und Methantetrabromid aufgelöst, und die Lösung wurde mit Triphenylphosphin gemischt und anschließend unter Rückfluss 1 Stunde erhitzt. Nach dem Abkühlen wurde sie mit Hexan gemischt und gerührt, und das so ausgefällte Triphenylphosphin wurde durch Filtration entfernt. Nach Verdampfen des Lösungsmittels wurde der resultierende Rückstand aus Hexan umkristallisiert um 2-(4-Brommethyl-2-fluor)phenyl-4,4-dimethyl-1,3-oxazolidin in Form weißer Kristalle zu erhalten.
  • (2-d) Herstellung von 2-[4-(3-Pentin-1-yl)-2-fluor]phenyl-4,4-dimethyl-1,3-oxazolidin
  • Ein aus 1-Chlor-2-butin hergestelltes Grignard-Reagens wurde tropfenweise zu einer THF-Lösung von 2-(4-Brommethyl-2-fluor)phenyl-4,4-dimethyl-1,3-oxazolidin gegeben. Danach wurde in der gleichen Weise, wie in der vorher erwähnten Stufe (1-d), 2-[4-(3-Pentin-1-yl)-2-fluor]phenyl-4,4-dimethyl-1,3-oxazolidin in Form von weißen Kristallen erhalten.
  • (2-e) Herstellung von 2-[4-(trans-3-Penten-1-yl)-2-fluor]phenyl-4,4-dimethyl-1,3-oxazolidin
  • Lithium wurde in flüssigem Ammoniak bei –40°C aufgelöst, und diese Lösung wurde tropfenweise mit einer THF-Lösung von 2-[4-(3-Pentin-1-yl)-2-fluor]phenyl-4,4-dimethyl-1,3-oxazolidin, das in der Stufe (2-d) oben erhalten wurde, und t-Butylalkohol versetzt. Nach Mischung mit Ammonium chlorid wurde Ammoniak abgedampft. Der resultierende Rückstand wurde in Toluol aufgelöst und mit Wasser gewaschen, und anschließend wurde das Lösungsmittel abgedampft um 2-[trans-4-(3-Penten-1-yl)-2-fluor]phenyl-4,4-dimethyl-1,3-oxazolidin in Form weißer Kristalle zu erhalten.
  • (2-f) Herstellung von 2-Fluor-4-(trans-3-penten-1-yl)benzoesäure
  • Das in der Stufe (2-e) oben erhaltene 2-[4-(trans-3-Penten-1-yl)-2-fluor]phenyl-4,4-dimethyl-1,3-oxazolidin wurde in Ethanol aufgelöst, und die Lösung wurde mit 10%iger Salzsäure vermischt und bei Raumtemperatur 4 Stunden lang gerührt. Nach Verdampfen des größeren Teils des Ethanols wurde der resultierende Rückstand mit Toluol extrahiert, und das so erhaltene Rohprodukt wurde aus Hexan umkristallisiert um 2-Fluor-4-(trans-3-penten-1-yl)benzoesäure in Form weißer Kristalle zu erhalten.
  • BEISPIEL 3 Herstellung von 3-Fluor-4-cyanophenyl-2,6-difluor-4-(3-buten-1-yl)benzoat (I)-1
    Figure 01070001
  • Eine 15 g-Portion 2,6-Difluor-4-(3-buten-1-yl)benzoesäure, die in Beispiel 1 erhalten wurde, wurde in 45 ml Dichlormethan aufgelöst, und die Lösung wurde mit 13 g Thionylchlorid und 0,1 ml Pyridin gemischt und 6 Stunden lang unter Rückfluss erhitzt. Das durch Verdampfen des Lösungs mittels erhaltene Säurechlorid und 10 g 3-Fluor-4-cyanophenol wurden in 60 ml Dichlormethan aufgelöst, und 9 g Pyridin wurden tropfenweise zu der resultierenden Lösung bei Raumtemperatur zugesetzt. Nach der tropfenweisen Zugabe wurde 1 Stunde lang gerührt und anschließend mit 60 ml 10%iger Salzsäure gemischt. Die resultierende organische Schicht wurde abgetrennt, mit Wasser gewaschen und anschließend mit gesättigter Natriumbicarbonatlösung, Wasser und gesättigter Kochsalzlösung in der genannten Reihenfolge und danach mit wasserfreiem Natriumsulfat getrocknet. Nach Verdampfen des Lösungsmittels wurde der resultierende Rückstand durch Kieselgel-Säulenchromatographie (Toluol) gereinigt und anschließend aus Methanol umkristallisiert um 13 g 3-Fluor-4-cyanophe-nyl-2,6-difluor-4-(3-buten-1-yl)benzoat zu erhalten.
  • Die folgenden Verbindungen wurden in der gleichen Weise erhalten.
    4-Cyanophenyl-2,6-difluor-4-(3-buten-1-yl)benzoat
    3,5-Difluor-4-cyanophenyl-2,6-difluor-4-(3-buten-1-yl)benzoat
    4-Cyanophenyl-2,6-difluor-4-(trans-3-penten-1-yl)benzoat
    3-Fluor-4-cyanophenyl-2,6-difluor-4-(trans-3-penten-1-yl)benzoat
    3,5-Difluor-4-cyanophenyl-2,6-difluor-4-(trans-3-penten-1-yl)benzoat
    4-Cyanophenyl-2,6-difluor-4-(trans-3-hexen-1-yl)benzoat
    3-Fluor-4-cyanophenyl-2,6-difluor-4-(trans-3-hexen-1-yl)benzoat
    3,5-Difluor-4-cyanophenyl-2,6-difluor-4-(trans-3-hexen-1-yl)benzoat
  • BEISPIEL 4
  • Synthese von 3,5-Difluor-4-cyanophenyl-2-fluor-4-(trans-3-penten-1-yl)benzoat (I)-2
  • 3,5-Difluor-4-cyanophenyl-2-fluor-4-(trans-3-penten-1-yl)-benzoat (I)-2 wurde aus 2-Fluor-4-(trans-3-penten-1-yl)benzoesäure, die in Beispiel 2 hergestellt wurde, in der gleichen Weise, wie in Beispiel 3 beschrieben, erhalten.
  • Die folgenden Verbindungen wurden in der gleichen Weise erhalten.
    4-Cyanophenyl-2-fluor-4-(trans-3-penten-1-yl)benzoat
    3-Fluor-4-cyanophenyl-2-fluor-4-(trans-3-penten-1-yl)benzoat
    4-Cyanophenyl-2-fluor-4-(3-buten-1-yl)benzoat
    3-Fluor-4-cyanophenyl-2-fluor-4-(3-buten-1-yl)benzoat
    3,5-Difluor-4-cyanophenyl-2-fluor-4-(3-buten-1-yl)benzoat
    4-Cyanophenyl-2-fluor-4-(trans-3-hexen-1-yl)benzoat
    3-Fluor-4-cyanophenyl-2-fluor-4-(trans-3-hexen-1-yl)benzoat
    3,5-Difluor-4-cyanophenyl-2-fluor-4-(trans-3-hexen-1-yl)benzoat
  • Nachfolgend werden die erfindungsgemäßen Zusammensetzungen im Detail beschrieben. In den Zusammensetzungen der folgenden Beispiele bedeuten -(CH2)2- und -C2H4- oder -(CH2)4- und -C4H8- jeweils das gleiche.
  • In den Beispielen sind die physikalischen Eigenschaften der Flüssigkristallzusammensetzungen und die Displayeigenschaften der Flüssigkristall-Displays welche, die TN-LCD bilden, wie folgt:
    TN-I: Übergangstemperatur von der nematischen Phase in die isotrope flüssige Phase (°C)
    T→N: Übergangstemperatur von der festen Phase oder smektischen Phase in die nematische Phase (°C)
    Δε: Dielektrische Anisotropie bei 20°C
    Δn: Doppelbrechung bei 20°C
    η: Viskosität bei 20°C (cP)
    Vth: Schwellenspannung bei 20°C beim Bau einer TN-LCD (V)
    γ: Schärfenverhältnis, Sättigungsspannung (Vsat) zu Vth bei 20°C
    τr = τd: Zeit, bis beide Größen bei 20°C gleich werden, wobei τr die Anstiegszeit von 0 V ist, wenn eine vorbestimmte Spannung angelegt wird, und τd die Abkling- beziehungsweise Abfallzeit ist, wenn die angelegte Spannung nachlässt.
  • Die chemische Stabilität der Zusammensetzungen wurde bewertet, indem 2 g jeder Flüssigkristallzusammensetzung in eine Ampulle gegeben wurden, die Ampulle nach Vakuum-Entgasung und anschließender Begasung mit Stickstoff versiegelt und danach ein 1-stündiger Hitzebeschleunigungstest bei 150°C durchgeführt wurde. Für jede Flüssigkristallzusammensetzung wurde ihr spezifischer Widerstand vor dem Test, der spezifische Widerstand nach dem Hitzebeschleunigungstest, das Spannungshalteverhältnis vor dem Test und das Spannungshalteverhältnis nach dem Test bestimmt.
  • Dabei können eine oder eine Anzahl der in den Beispielen gezeigten Verbindungen verwendet werden, indem sie durch bestimmte Verbindungen der allgemeinen Formeln (I-1) bis (III-4), in Abhängigkeit von dem gewünschten Zweck oder Verwendung, ersetzt werden, und beispielhafte Verbindungen in so einem Fall sind durch die nachfolgenden Formeln dargestellt.
  • Flüssigkristalline Komponente A
    • Ein Fall von allgemeiner Formel (I-10) Verbindung (2-11): Seitenkettengruppe (I-ah) Grundstruktur (I-10)
    • Ein Fall von allgemeiner Formel (I-13) Verbindung (2-12): Seitenkettengruppe (I-ah) Grundstruktur (I-13)
    • Ein Fall von allgemeiner Formel (I-16) Verbindung (2-13): Seitenkettengruppe (I-ah) Grundstruktur (I-16)
  • Flüssigkristalle Komponente B
    • Ein Fall von allgemeiner Formel (II-1) Verbindung (2-21): Seitenkettengruppe (II-5a) Grundstruktur (II-1a) polare Gruppe (II-6a)
    • Ein Fall von allgemeiner Formel (II-2) Verbindung (2-22): Seitenkettengruppe (II-5a) Grundstruktur (II-2a) polare Gruppe (II-6a)
    • Ein Fall von allgemeiner Formel (II-3) Verbindung (2-23): Seitenkettengruppe (II-5a) Grundstruktur (II-3a) polare Gruppe (II-6a)
    • Ein Fall von allgemeiner Formel (II-4) Verbindung (2-24): Seitenkettengruppe (II-5a) Grundstruktur (II-1a) polare Gruppe (II-6a)
  • Flüssigkristalline Komponente C
    • Ein Fall von allgemeiner Formel (III-1) Verbindung (2-31): Seitenkettengruppe (III-5b) Grundstruktur (III-1a) Seitenkettengruppe (III-5b)
    • Ein Fall von allgemeiner Formel (III-2) Verbindung (2-32): Seitenkettengruppe (III-5b) Grundstruktur (III-2a) Seitenkettengruppe (III-5b)
    • Ein Fall von allgemeiner Formel (III-3) Verbindung (2-33): Seitenkettengruppe (III-5b) Grundstruktur (III-3a) Seitenkettengruppe (III-5b)
    • Ein Fall von allgemeiner Formel (III-4) Verbindung (2-34): Seitenkettengruppe (III-5b) Grundstruktur (III-4a) Seitenkettengruppe (III-5b)
  • Definition der Verbindungen Die flüssigkristalline Komponente A
    Figure 01120001
  • Die flüssigkristalline Komponente B
    Figure 01120002
  • Die flüssigkristalline Komponente C
    Figure 01120003
  • BEISPIEL 5 UND VERGLEICHSBEISPIEL 1
  • Eine Flüssigkristallzusammensetzung (H) der folgenden Zusammensetzung
    Figure 01130001
    (ein Gemisch äquivalenter Mengen) als Grundmaterial, das erfindungsgemäße Verbindungen der allgemeinen Formel (III-1b) umfasst, wurde hergestellt. Diese Zusammensetzung entspricht der flüssigkristallinen Komponente C der vorliegenden Erfindung. Verschiedene Eigenschaften dieser Zusammensetzung wurden gemessen. Die Ergebnisse sind wie folgt.
    TN-I: 72,5°C
    T→N: +17°C
    Δε: –1,3
    Δn: 0,085
    Vth: -
  • Eine Flüssigkristallzusammensetzung (H-A) zum Vergleich, die 90% des flüssigkristallinen Grundmaterials (H) und 10% einer üblicherweise verwendeten Verbindung der folgenden Formel (A) umfasst,
    Figure 01140001
    wurde hergestellt und ihre verschiedenen Eigenschaften bestimmt. Die Ergebnisse sind wie folgt.
    TN-I: 65,5°C
    Δε: 3,0
    Δn: 0,093
    Vth: 2,38 V
  • Als nächstes wurde eine Flüssigkristallzusammensetzung (H-1) hergestellt, indem dieselbe Menge (10%) der Verbindung (I)-1 der vorliegenden Erfindung, die in Tabelle 1 gezeigt ist, dem flüssigkristallinen Grundmaterial (H) zugesetzt wurde, und verschiedene Eigenschaften der resultierenden Zusammensetzung wurden bestimmt. Die Ergebnisse sind wie folgt.
    TN-I: 62,0°C
    Δε: 2,6
    Δn: 0,088
    Vth: 1,96 V
  • Die erfindungsgemäße Zusammensetzung (H-1) zeigte einen TN-I-Wert von 62,0°C, der etwas niedriger als der der Zusammensetzung (H-A) war. Des weiteren kann beobachtet werden, dass ihre Schwellenspannung (Vth) durch einen Faktor von 0,4 V oder mehr herabgesetzt war, ungeachtet der Verringerung ihrer dielektrischen Anisotropie (Δε) von 10% oder mehr. Andererseits war die Antwort nicht verzögert. Anschließend wurde die Zusammensetzung (H-1) bei 0°C stehen gelassen, aber selbst nach einer Woche konnte kein Ausfallen von Kristallen oder eine Phasentrennung beobachtet werden. Über dies wurde ihr Schmelzpunkt mit 4°C gemessen, nachdem sie bei –40°C zur Kristallisation gebracht wurde.
  • VERGLEICHSBEISPIEL 2
  • Eine Flüssigkristallzusammensetzung (H-B) wurde zum Vergleich hergestellt, indem dieselbe Menge (10%) einer herkömmlich verwendeten Verbindung der folgenden Formel (B)
    Figure 01150001
    dem flüssigkristallinen Grundmaterial (H) in der gleichen Weise, wie in Beispiel 5 und Vergleichsbeispiel 1 beschrieben, zugesetzt wurde. Anschließend wurden verschiedene Eigenschaften der resultierenden Zusammensetzung vermessen. Die Ergebnisse sind wie folgt.
    TN-I: 64,1°C
    Δε: 3,4
    Δn: 0,091
    Vth: 2,30 V
  • Der TN-I-Wert von (H-B) betrug 64,1°C und war somit etwas niedriger als in dem Fall von (H-A), aber etwas höher als in dem Fall von (H-1). Ihre Schwellenspannung war nur leicht im Vergleich zu (H-A) reduziert und weit darüber im Fall von (H-1).
  • VERGLEICHSBEISPIEL 3
  • Eine Flüssigkristallzusammensetzung (H-C) wurde zum Vergleich hergestellt, indem dieselbe Menge (10%) einer herkömmlich verwendeten Verbindung der folgenden Formel (C)
    Figure 01160001
    dem flüssigkristallinen Grundmaterial (H) in der gleichen Weise, wie oben beschrieben, zugesetzt wurde, und verschiedene Eigenschaften der resultierenden Zusammensetzung wurden bestimmt. Die Ergebnisse sind wie folgt.
    TN-I: 63,0°C
    Δε: 3,5
    Δn: 0,089
    Vth: 2,15 V
  • Der TN-I-Wert von (H-C) betrug 63,0°C, d. h. nahezu äquivalent wie im Fall (H-1). Außerdem war die dielektrische Anisotropie von (H-C) sehr groß, und daher war seine Schwellenspannung deutlich verbessert im Vergleich zu (H-A) und (H-B). Jedoch ist ihre Schwellenspannung ungeachtet ihrer größeren dielektrischen Anisotropie im Vergleich zu (H-1) um einen Faktor von etwa 0,2 V höher, so dass ihre reduzierende Wirkung weit über das Ziel hinausgeht. Außerdem kristallisierte die Zusammensetzung (H-C) bei 0°C innerhalb von 3 Tagen aus, und ihr Schmelzpunkt war mit 18°C sehr hoch.
  • Auf Grundlage der oben genannten Ergebnisse ist es ersichtlich, dass die erfindungsgemäße Verbindung der allgemeinen Formel (I) eine hervorragende Wirkung der Verminderung der Schwellenspannung hat und auch in Bezug auf die Mischbarkeit im Vergleich zu herkömmlichen Phenylbenzoat-Derivaten vom Hoch-p-Typ hervorragend ist.
  • BEISPIEL 6
  • Als nächstes wurde eine Flüssigkristallzusammensetzung (H-2) hergestellt, indem dieselbe Menge (10%) der Verbindung (I)-2 der vorliegenden Erfindung, die in Tabelle 1 gezeigt ist, dem flüssigkristallinen Grundmaterial (H) zugesetzt wurde und verschiedene Eigenschaften der resultierenden Zusammensetzung wurden bestimmt. Die Ergebnisse sind wie folgt.
    TN-I: 66,0°C
    Δε: 3,7
    Δn: 0,091
    Vth: 1,89 V
  • Die Zusammensetzung (H-2) zeigte einen TN-I-Wert von 62,5°C, der leicht höher als der der Zusammensetzung (H-1) war. Es kann beobachtet werden, dass ihre dielektrische Anisotropie (Δε) größer als die von (H-1) ist, und dass ihre Schwellenspannung (Vth) stark reduziert war.
  • Über dies wurde selbst nach einer Woche bei 0°C keine Ausfällung von Kristallen und keine Phasentrennung festgestellt.
  • BEISPIEL 7 UND VERGLEICHSBEISPIEL 4
  • Flüssigkristallzusammensetzungen, die aus einem Gemisch des oben beschriebenen flüssigkristallinen Grundmaterials (H) und einer Verbindung der nachstehend gezeigten Formel (I)-1 oder (I)-3, die der flüssigkristallinen Komponente A als Hauptkomponente der vorliegenden Erfindung entspricht, zusammengesetzt sind, wurden hergestellt. Des Weiteren wurden auch Flüssigkristallzusammensetzungen zum Vergleich hergestellt, die aus einem Gemisch des oben beschriebenen flüssigkristallinen Grundmaterials (H) und einer Verbin dung einer Formel (D) oder (E), wie nachstehend gezeigt, zusammengesetzt waren.
  • Figure 01180001
  • Im Hinblick auf die Flüssigkristallzusammensetzung, die die Verbindung der Formel (I)-1 enthält, wurden fünf Flüssigkristallzusammensetzungen hergestellt, indem der Gehalt der Verbindung der Formel (I)-1 auf 10 Gew.-%, 15 Gew.-%, 20 Gew.-%, 25 Gew.-% oder 30 Gew.-% eingestellt wurde. Im Hinblick auf die Flüssigkristallzusammensetzung, die die Verbindung der Formel (D) enthält, wurden Flüssigkristallzusammensetzungen in der gleichen Weise, wie in dem Fall der Verbindung der Formel (I)-1, hergestellt. Mit Hinblick auf die Flüssigkristallzusammensetzung, welche die Verbindung der Formel (I)-3 enthält, wurden drei Flüssigkristallzusammensetzungen hergestellt, indem der Gehalt an Verbindung der Formel (I)-3 auf 10 Gew.-%, 15 Gew.-% oder 20 Gew.-% eingestellt wurde. Mit Hinblick auf die Flüssigkristallzusammensetzung, welche die Verbindung der Formel (E) enthält, wurden Flüssigkristallzusammensetzungen in der gleichen Weise, wie im Fall der Verbindung der Formel (I)-3, hergestellt.
  • Unter Verwendung jeder der so hergestellten Flüssigkristallzusammensetzungen wurden die Viskosität bei 20°C und die Schwellenspannung gemessen. Die Ergebnisse sind in 1 gezeigt.
  • Wie sich aus den in 1 gezeigten Ergebnissen ergibt, konnte bestätigt werden, dass die nematische Flüssigkristallzusammensetzung der vorliegenden Erfindung, die durch Zugabe der Verbindung der Formel (I)-1 oder (I)-3, die der flüssigkristallinen Komponente A als Hauptkomponente der erfindungsgemäßen nematischen Flüssigkristallzusammensetzung entspricht, zu dem flüssigkristallinen Grundmaterial (H), das aus der flüssigkristallinen Komponente C aufgebaut ist, erhalten wird, eine kleinere Viskosität gegenüber der Ansteuerungsspannung im Vergleich zu der Vergleichs-Flüssigkristallzusammensetzung aufweist, die die Verbindung D oder E enthält, und sich daher von der erfindungsgemäßen Zusammensetzung unterscheidet.
  • Dieser Effekt kann erreicht werden, wenn die flüssigkristalline Komponente C aus zwei oder mehr Verbindungen mit einer dielektrischen Anisotropie von –10 bis 2 eine kleinere Viskosität aufweist, und es ist zweckmäßig, dass die flüssigkristalline Komponente C allein eine Viskosität von 25 cP oder weniger, vorzugsweise 15 cP oder weniger, mehr bevorzugt 10 cP oder weniger, am meisten bevorzugt 8 cP oder weniger, aufweist. Insbesondere ist es, wenn Verbindungen der allgemeinen Formeln (I-10) bis (I-18) mit Alkenylgruppen als ihre Seitenkettengruppen als flüssigkristalline Komponente A verwendet werden, zweckmäßig, zur Verbesserung der Viskosität als flüssigkristalline Komponente C Verbindungen der allgemeinen Formeln (III-1a) bis (III-1d), (III-2a), (III-2f), (III-3a) und (III-3h), oder als besonders beispielhafte Verbindungen Verbindungen der Untergruppen (III-ai) bis (III-av), (III-bi) bis (III-biii) und (III-ci) bis (III-ciii) zu verwenden. Durch die Verwendung solcher Verbindungen wird die Viskosität der nematischen Flüssigkristallzusammensetzung, die Verbindungen der Gruppen A4 bis A6 enthält, weiter verbessert.
  • BEISPIEL 8
  • Zum Vergleich wurde eine nematische Flüssigkristallzusammensetzung (3-01), umfassend die folgenden Verbindungen
    Figure 01200001
    hergestellt und verschiedene Eigenschaften der Zusammensetzung wurden bestimmt. Die Ergebnisse sind wie folgt.
    TN-I: 85,2°C
    T→N: –30,0°C
    Vth: 1,61 V
    Δε: 7,2
    Δn: 0,169
    η: 20,0 cP
  • Spezifischer Widerstand vor dem Test: 8,4 × 1012 Ω·cm
    Spezifischer Widerstand nach dem Hitzebeschleunigungstest: 4,0 × 1012 Ω·cm
  • Da diese nematische Flüssigkristallzusammensetzung einen hohen spezifischen Widerstand nach dem Hitzebeschleunigungstest aufweist, versteht sich, dass sie hitzestabil ist. Des Weiteren wurde bestätigt, dass, wenn verdrillte nematische und superverdrillte nematische Flüssigkristall-Displaysysteme unter Verwendung dieser Zusammensetzung als Grundmaterial hergestellt wurden, diese hervorragende Displaysysteme waren, die zu keinem Flimmern führten.
  • Zusätzlich wurde eine Flüssigkristallmischzusammensetzung durch Zugabe der chiralen Substanz "S-811" (hergestellt von Merck) zu dieser nematischen Flüssigkristallzusammensetzung hergestellt. Andererseits wurde eine Zelle für die STN-LCD-Verwendung mit einem Verdrillungs- beziehungsweise Twist-Winkel von 220° hergestellt, indem die Bildung des Orientierungsfilms durch das Reiben eines organischen Films "Sun Ever 610" (hergestellt von Nissan Chemical Industries) auf der Oberfläche der transparenten flachen Elektrode bewirkt wurde. Die vorher erwähnte Flüssigkristallmischzusammensetzung wurde in die so hergestellte Zelle injiziert um ein Flüssigkristall-Displaysystem herzustellen, und seine Displayeigenschaften wurden bestimmt. Als Ergebnis wurde ein Flüssigkristall-Displaysystem er halten, das STN-LCD-Displaycharakteristiken mit hervorragenden Effekten bezüglich niedriger Schwellenspannung, hoher Multiplex-Eigenschaften, verbessertem Flimmerverhalten und "Nebensprech"-Phänomenen auf dem Displayschirm, rascher Antwort und Betrachtungswinkel-Eigenschaften mit kleiner Parallaxe aufwies.
  • In diesem Zusammenhang wurde die Chiralsubstanz in einer solchen Menge zugesetzt, dass die natürliche helikale Ganghöhe P der Flüssigkristallmischzusammensetzung und die Zelldicke d der Displayzelle Δn·d = 0,85 und d/P = 0,53 durch Zugabe der chiralen Substanz wurde.
  • Des weiteren betrug, wenn eine TN-LCD mit einer Zelldicke d von 3,0 μm gebaut und ihre Displayeigenschaften gemessen wurden, ihre Schwellenspannung 1,39 V, und ihre Antwortzeit betrug 1,2 ms. Es wurde ein Flüssigkristall-Displaysystem mit TN-LCD-Displayeigenschaften erhalten.
  • Eine nematische Flüssigkristallzusammensetzung (3-01-01) wurde hergestellt, indem die Verbindung (3-0103) der in diesem Beispiel gezeigten nematischen Flüssigkristallzusammensetzung geändert wurde in eine Verbindung: Seitenkettengruppe (I-al) Grundstruktur (I-16). Auf diese Weise hergestellte nematische Flüssigkristallzusammensetzungen sind in dem Folgenden gezeigt als "Zusammensetzung (3-01-01) = Verbindung (3-0103) → Verbindung: Seitenkettengruppe (I-al) Grundstruktur (I-16)".
  • Zusammensetzung (3-01-02) = Verbindung (3-0103) → Verbindung: Seitenkettengruppe (I-al) Grundstruktur (I-16) polare Gruppe
  • Zusammensetzung (3-01-03) = Verbindung (3-0103) → Verbindung: Seitenkettengruppe (I-am) Grundstruktur (I-16) polare Gruppe
  • Zusammensetzung (3-01-04) = Verbindung (3-0103) → Verbindung: Seitenkettengruppe (I-an) Grundstruktur (I-16) polare Gruppe
  • Zusammensetzung (3-01-05) = Verbindung (3-0103) → Verbindung: Seitenkettengruppe (I-al) Grundstruktur (I-17) polare Gruppe
  • Zusammensetzung (3-01-06) = Verbindung (3-0103) → Verbindung: Seitenkettengruppe (I-am) Grundstruktur (I-18) polare Gruppe
  • Zusammensetzung (3-01-07) = Verbindung (3-0103) → Verbindung: Seitenkettengruppe (I-an) Grundstruktur (I-19) polare Gruppe
  • Ähnlich wie in diesem Beispiel, zeigten diese nematischen Flüssigkristallzusammensetzungen (3-01-01) bis (3-01-07) hervorragende Displayeigenschaften.
  • BEISPIEL 9
  • Eine nematische Flüssigkristallzusammensetzung (3-02) wurde zum Vergleich hergestellt, welche die folgenden Verbindungen
    Figure 01240001
    enthielt, und verschiedene Eigenschaften der Zusammensetzung wurden gemessen. Die Ergebnisse sind wie folgt.
    TN-I: 100,0°C
    T→N: –40,0°C
    Vth: 1,80 V
    Δε: 6,9
    Δn: 0,114
    η: 12,3 cP
  • Spezifischer Widerstand vor dem Test: 4,1 × 1013 Ω·cm Spezifischer Widerstand nach dem Hitzebeschleunigungstest: 1,0 × 1013 Ω·cm
  • Da diese nematische Flüssigkristallzusammensetzung einen hohen spezifischen Widerstand nach dem Hitzebeschleunigungstest aufweist, versteht es sich, dass sie hitzestabil ist. Des weiteren konnte bestätigt werden, dass, bei Herstellung verdrillt-nematischer und superverdrillt-nematischer flüssigkristalliner Displaysysteme unter Verwendung dieser Zusammensetzung als Grundmaterial, diese hervorragende Displaysysteme darstellten, bei denen es zu keinen Flimmererscheinungen kam.
  • Zusätzlich betrug die Temperaturabhängigkeit der Schwellenspannung, wenn sie bei –10°C bis 60°C als elektrooptische Eigenschaft unter Verwendung der so erhaltenen TN-LCD gemessen wurde, 1,7 mV/°C, was zeigt, dass ein Flüssigkristall-Displaysystem mit hervorragenden Displayeigenschaften erhalten wurde.
  • BEISPIEL 10
  • Eine nematische Flüssigkristallzusammensetzung (3-03) wurde zum Vergleich hergestellt, welche die folgenden Verbindungen
    Figure 01260001
    enthielt, und verschiedene Eigenschaften der Zusammensetzung wurden gemessen. Die Ergebnisse sind wie folgt.
    TN-I: 74,0°C
    T→N: –20,0°C
    Vth: 1,32 V
    Δε: 10,8
    Δn: 0,130
    η: 13,9 cP
  • Zusätzlich wurde eine Flüssigkristallmischzusammensetzung durch Zugabe der chiralen Substanz "S-811" (hergestellt von Merck) zu dieser nematischen Flüssigkristallzusammensetzung hergestellt. Andererseits wurde eine Zelle für die STN-LCD-Verwendung mit einem Verdrillungs- beziehungsweise Twist-Winkel von 220° hergestellt, indem die Bildung des Orientierungsfilms durch das Reiben eines organischen Films "Sun Ever 610" (hergestellt von Nissan Chemical Industries) auf der Oberfläche der transparenten flachen Elektrode bewirkt wurde. Die vorher erwähnte Flüssigkristallmischzusammensetzung wurde in die so hergestellte Zelle injiziert um ein Flüssigkristall-Displaysystem herzustellen, und seine Displayeigenschaften wurden bestimmt. Als Ergebnis wurde ein Flüssigkristall-Displaysystem erhalten, das STN-LCD-Displaycharakteristiken mit hervorragenden Effekten bezüglich niedriger Schwellenspannung, hohen Multiplex-Eigenschaften, verbessertem Flimmerverhalten und "Nebensprech"-Phänomenen auf dem Displayschirm, rascher Antwort und Betrachtungswinkel-Eigenschaften mit kleiner Parallaxe aufwies.
  • In diesem Zusammenhang wurde die Chiralsubstanz in einer solchen Menge zugesetzt, dass die natürliche helikale Ganghöhe P der Flüssigkristallmischzusammensetzung und die Zelldicke d der Displayzelle Δn·d = 0,85 und d/P = 0,53 durch Zugabe der chiralen Substanz wurde.
  • BEISPIEL 11
  • Eine nematische Flüssigkristallzusammensetzung (3-04) wurde zum Vergleich hergestellt, welche die folgenden Verbindungen
    Figure 01280001
    enthielt, und verschiedene Eigenschaften der Zusammensetzung wurden gemessen. Die Ergebnisse sind wie folgt.
    TN-I: 82,1°C
    T→N: –30,0°C
    Vth: 0,81 V
    Δε: 21,2
    Δn: 0,107
    η: 36,5 cP
  • Spezifischer Widerstand vor dem Test: 8,0 × 1011 Ω·cm Spezifischer Widerstand nach dem Hitzebeschleunigungstest: 3,2 × 1011 Ω·cm
  • Da diese nematische Flüssigkristallzusammensetzung einen hohen spezifischen Widerstand nach dem Hitzebeschleunigungstest aufweist, versteht es sich, dass sie hitzestabil ist. Des Weiteren konnte bestätigt werden, dass, bei Herstellung verdrillt-nematischer und superverdrillt-nematischer flüssigkristalliner Displaysysteme unter Verwendung dieser Zusammensetzung als Grundmaterial, diese hervorragende Displaysysteme darstellten, bei denen es zu keinen Flimmererscheinungen kam.
  • Zusätzlich betrug die Temperaturabhängigkeit der Schwellenspannung, wenn sie bei –10°C bis 40°C als elektrooptische Eigenschaft unter Verwendung der so erhaltenen TN-LCD gemessen wurde, 1,0 mV/°C, was zeigt, dass ein Flüssigkristall-Displaysystem mit hervorragenden Displayeigenschaften erhalten wurde. Seine Antwort bei niedriger Temperatur war ebenfalls hervorragend.
  • BEISPIEL 12
  • Eine nematische Flüssigkristallzusammensetzung (3-05) wurde zum Vergleich hergestellt, welche die folgenden Verbindungen
    Figure 01300001
    enthielt, und verschiedene Eigenschaften der Zusammensetzung wurden gemessen. Die Ergebnisse sind wie folgt.
    TN-I: 83,0°C
    T→N: –70,0°C
    Vth: 1,32 V
    Δε: 10, 0
    Δn: 0,094
    η: 19,1 cP
  • Spezifischer Widerstand vor dem Test: 4,1 × 1012 Ω·cm Spezifischer Widerstand nach dem Hitzebeschleunigungstest: 1,0 × 1012 Ω·cm
  • Da diese nematische Flüssigkristallzusammensetzung einen hohen spezifischen Widerstand nach dem Hitzebeschleunigungstest aufweist, versteht es sich, dass sie hitzestabil ist. Des weiteren zeigte, wenn eine Flüssigkristall-Displayzelle mit einem "Sun Ever 610"-Orientierungsfilm unter Verwendung dieser Zusammensetzung als Grundmaterial hergestellt wurde, diese einen hohen Neigungswinkel.
  • BEISPIEL 13
  • Eine nematische Flüssigkristallzusammensetzung (3-08) wurde zum Vergleich hergestellt, welche die folgenden Verbindungen
    Figure 01320001
    enthielt, und verschiedene Eigenschaften der Zusammensetzung wurden gemessen. Die Ergebnisse sind wie folgt.
    TN-I: 91,7°C
    T→N: –50,0°C
    Vth: 1,32 V
    Δε: 18,9
    Δn: 0,145
    η: 44,8 cP
  • Zusätzlich wurde eine Flüssigkristallmischzusammensetzung durch Zugabe der chiralen Substanz "S-811" (hergestellt von Merck) zu dieser nematischen Flüssigkristallzusammensetzung hergestellt. Andererseits wurde eine Zelle für die STN-LCD-Verwendung mit einem Verdrillungs- beziehungsweise Twist-Winkel von 220° hergestellt, indem die Bildung des Orientierungsfilms durch das Reiben eines organischen Films "Sun Ever 610" (hergestellt von Nissan Chemical Industries) auf der Oberfläche der transparenten flachen Elektrode bewirkt wurde. Die vorher erwähnte Flüssigkristallmischzusammensetzung wurde in die so hergestellte Zelle injiziert um ein Flüssigkristall-Displaysystem herzustellen, und seine Displayeigenschaften wurden bestimmt. Als Ergebnis wurde ein Flüssigkristall-Displaysystem erhalten, das STN-LCD-Displaycharakteristiken mit hervorragenden Effekten bezüglich niedriger Schwellenspannung, hoher Multiplex-Eigenschaften, verbessertem Flimmerverhalten und "Nebensprech"-Phänomenen auf dem Displayschirm, rascher Antwort und Betrachtungswinkel-Eigenschaften mit kleiner Parallaxe aufwies.
  • In diesem Zusammenhang wurde die Chiralsubstanz in einer solchen Menge zugesetzt, dass die natürliche helikale Ganghöhe P der Flüssigkristallmischzusammensetzung und die Zelldicke d der Displayzelle Δn·d = 0,85 und d/P = 0,53 durch Zugabe der chiralen Substanz wurde.
  • STN-LCD-Displayeigenschaften bei einem Verdrillungswinkel von 240 Grad
    Vth: 0,98 V
    γ: 1,027
    Δ(Vth)/Δ(T): 1,3 mV/°C
  • Die folgenden nematischen Flüssigkristallzusammensetzungen wurden in der gleichen Weise, wie in Beispiel 8 beschrieben, hergestellt.
  • Zusammensetzung (3-08-01) = Verbindung (3-0808) → Verbindung: Seitenkettengruppe (I-al) Grundstruktur (I-16) polare Gruppe
  • Zusammensetzung (3-08-02) = Verbindung (3-0808) → Verbindung: Seitenkettengruppe (I-am) Grundstruktur (I-16) polare Gruppe
  • Zusammensetzung (3-08-03) = Verbindung (3-0808) → Verbindung: Seitenkettengruppe (I-an) Grundstruktur (I-16) polare Gruppe
  • Zusammensetzung (3-08-04) = Verbindung (3-0808) → Verbindung: Seitenkettengruppe (I-al) Grundstruktur (I-17) polare Gruppe
  • Zusammensetzung (3-08-05) = Verbindung (3-0808) → Verbindung: Seitenkettengruppe (I-am) Grundstruktur (I-17) polare Gruppe
  • Zusammensetzung (3-08-06) = Verbindung (3-0808) → Verbindung: Seitenkettengruppe (I-an) Grundstruktur (I-17) polare Gruppe
  • Zusammensetzung (3-08-07) = Verbindung (3-0808) → Verbindung: Seitenkettengruppe (I-d) Grundstruktur (I-7) polare Gruppe
  • Zusammensetzung (3-08-08) = Verbindung (3-0808) → Verbindung: Seitenkettengruppe (I-al) Grundstruktur (I-15) polare Gruppe
  • Zusammensetzung (3-08-09) = Verbindung (3-0808) → Verbindung: Seitenkettengruppe (I-am) Grundstruktur (I-15) polare Gruppe
  • Zusammensetzung (3-08-10) = Verbindung (3-0808) → Verbindung: Seitenkettengruppe (I-an) Grundstruktur (I-15) polare Gruppe
  • Ähnlich, wie in diesem Beispiel, zeigten diese nematischen Flüssigkristallzusammensetzungen (3-08-01) bis (3-08-10) hervorragende Displayeigenschaften. Darunter zeigten Zusammensetzung (3-08-02), Zusammensetzung (3-08-05) und Zusammensetzung (3-08-09) noch bessere Eigenschaften.
  • BEISPIEL 14
  • Eine nematische Flüssigkristallzusammensetzung (3-09) wurde hergestellt, welche die folgenden Verbindungen
    Figure 01360001
    enthielt, und verschiedene Eigenschaften der Zusammensetzung wurden gemessen. Die Ergebnisse sind wie folgt.
    TN-I: 89,1°C
    T→N: –50,0°C
    Vth: 1,12 V
    Δε: 16,7
    Δn: 0,144
    η: 32,1 cP
  • Zusätzlich wurde eine Flüssigkristallmischzusammensetzung durch Zugabe der chiralen Substanz "S-811" (hergestellt von Merck) zu dieser nematischen Flüssigkristallzusammensetzung hergestellt. Andererseits wurde eine Zelle für die STN-LCD-Verwendung mit einem Verdrillungs- beziehungsweise Twist-Winkel von 240° hergestellt, indem die Bildung des Orientierungsfilms durch das Reiben eines organischen Films "Sun Ever 610" (hergestellt von Nissan Chemical Industries) auf der Oberfläche der transparenten flachen Elektrode bewirkt wurde. Die vorher erwähnte Flüssigkristallmischzusammensetzung wurde in die so hergestellte Zelle injiziert um ein Flüssigkristall-Displaysystem herzustellen, und seine Displayeigenschaften wurden bestimmt. Als Ergebnis wurde ein Flüssigkristall-Displaysystem erhalten, das STN-LCD-Displaycharakteristiken mit hervorragenden Effekten bezüglich niedriger Schwellenspannung, hoher Multiplex-Eigenschaften, verbessertem Flimmerverhalten und "Nebensprech"-Phänomenen auf dem Displayschirm, rascher Antwort und Betrachtungswinkel-Eigenschaften mit kleiner Parallaxe aufwies.
  • In diesem Zusammenhang wurde die Chiralsubstanz in einer solchen Menge zugesetzt, dass die natürliche helikale Ganghöhe P der Flüssigkristallmischzusammensetzung und die Zelldicke d der Displayzelle Δn·d = 0,85 und d/P = 0,53 durch Zugabe der chiralen Substanz wurde.
  • STN-LCD-Displayeigenschaften bei einem Verdrillungswinkel von 240 Grad
    Vth: 0,99 V
    γ: 1,029
    Δ(Vth)/Δ(T): 1,2 mV/°C
  • Die folgenden nematischen Flüssigkristallzusammensetzungen wurden in der gleichen Weise, wie in Beispiel 8 beschrieben, hergestellt.
  • Zusammensetzung (3-09-01) = Verbindung (3-0904) → Verbindung: Seitenkettengruppe (I-al) Grundstruktur (I-16) polare Gruppe
  • Zusammensetzung (3-09-02) = Verbindung (3-0904) → Verbindung: Seitenkettengruppe (I-am) Grundstruktur (I-16) polare Gruppe
  • Zusammensetzung (3-09-03) = Verbindung (3-0904) → Verbindung: Seitenkettengruppe (I-an) Grundstruktur (I-16) polare Gruppe
  • Zusammensetzung (3-09-04) = Verbindung (3-0901) → Verbindung: Seitenkettengruppe (I-al) Grundstruktur (I-10) polare Gruppe
  • Zusammensetzung (3-09-05) = Verbindung (3-0901) → Verbindung: Seitenkettengruppe (I-am) Grundstruktur (I-10) polare Gruppe
  • Zusammensetzung (3-09-06) = Verbindung (3-0901) → Verbindung: Seitenkettengruppe (I-an) Grundstruktur (I-10) polare Gruppe
  • Zusammensetzung (3-09-07) = Verbindung (3-0905) → Verbindung: Seitenkettengruppe (I-al) Grundstruktur (I-17) polare Gruppe
  • Zusammensetzung (3-09-08) = Verbindung (3-0905) → Verbindung: Seitenkettengruppe (I-am) Grundstruktur (I-17) polare Gruppe
  • Zusammensetzung (3-09-09) = Verbindung (3-0905) → Verbindung: Seitenkettengruppe (I-an) Grundstruktur (I-17) polare Gruppe
  • Zusammensetzung (3-09-10) = Verbindung (3-0905) → Verbindung: Seitenkettengruppe (I-am) Grundstruktur (I-14) polare Gruppe
  • Ähnlich, wie in diesem Beispiel, zeigten diese nematischen Flüssigkristallzusammensetzungen (3-09-01) bis (3-09-10) hervorragende Displayeigenschaften. Darunter zeigten Zusammensetzung (3-09-01), Zusammensetzung (3-09-02) und Zusammensetzung (3-09-08) noch weiter verbesserte Schwellenspannung und Temperaturabhängigkeit und Frequenzabhängigkeit davon.
  • BEISPIEL 15
  • Eine nematische Flüssigkristallzusammensetzung (3-10) wurde hergestellt, welche die folgenden Verbindungen
    Figure 01400001
    enthielt, und verschiedene Eigenschaften der Zusammensetzung wurden gemessen. Die Ergebnisse sind wie folgt.
    TN-I: 89,0°C
    T→N: –50,0°C
    Vth: 1,13 V
    Δε: 16,9
    Δn: 0,144
    η: 33,6 cP
  • Zusätzlich wurde eine Flüssigkristallmischzusammensetzung durch Zugabe der chiralen Substanz "S-811" (hergestellt von Merck) zu dieser nematischen Flüssigkristallzusammensetzung hergestellt. Andererseits wurde eine Zelle für die STN-LCD-Verwendung mit einem Verdrillungs- beziehungsweise Twist-Winkel von 240° hergestellt, indem die Bildung des Orientierungsfilms durch das Reiben eines organischen Films "Sun Ever 610" (hergestellt von Nissan Chemical Industries) auf der Oberfläche der transparenten flachen Elektrode bewirkt wurde. Die vorher erwähnte Flüssigkristallmischzusammensetzung wurde in die so hergestellte Zelle injiziert um ein Flüssigkristall-Displaysystem herzustellen, und seine Displayeigenschaften wurden bestimmt. Als Ergebnis wurde ein Flüssigkristall-Displaysystem erhalten, das STN-LCD-Displaycharakteristiken mit hervorragenden Effekten bezüglich niedriger Schwellenspannung, hoher Multiplex-Eigenschaften, verbessertem Flimmerverhalten und "Nebensprech"-Phänomenen auf dem Displayschirm, rascher Antwort und Betrachtungswinkel-Eigenschaften mit kleiner Parallaxe aufwies.
  • In diesem Zusammenhang wurde die Chiralsubstanz in einer solchen Menge zugesetzt, dass die natürliche helikale Ganghöhe P der Flüssigkristallmischzusammensetzung und die Zelldicke d der Displayzelle Δn·d = 0,85 und d/P = 0,53 durch Zugabe der chiralen Substanz wurde.
  • STN-LCD-Displayeigenschaften bei einem Verdrillungswinkel von 240 Grad
    Vth: 1,13 V
    γ: 1, 031
    Δ(Vth)/Δ(T): 1,3 mV/°C
  • BEISPIEL 16
  • Die nematische flüssigkristalline Vergleichszusammensetzung (1-16) zeigt die folgenden zusätzlichen Eigenschaften. Bei Messung der Wellenlängendispersion der Doppelbrechung der nematischen Flüssigkristallzusammensetzung betrug das Lichtwellen-Längenverhältnis von 400 nm bis 650 nm 1,15 oder mehr. Da dieses flüssigkristalline Material eine größere Verzögerung beziehungsweise Retardation, basierend auf dem Unterschied in der Lichtwellenlänge, zeigt, ist sie in einem neuen flüssigkristallinen Farb-Displaysystem vom Reflexionstyp verwendbar, worin die Farbanzeige dadurch erfolgt, dass von der Doppelbrechung der Flüssigkristalle und einem Retardationsfilm ohne Verwendung von Farbfilterschichten Gebrauch gemacht wird.
  • BEISPIEL 17
  • Die erfindungsgemäßen nematischen Flüssigkristallzusammensetzungen und die zum Vergleich hergestellten nematischen Flüssigkristallzusammensetzungen, insbesondere (1-10), (1-11), (1-13), (1-14), (3-02), (3-03), (3-05), (3-09) und (3-10), zeigten die folgenden zusätzlichen Eigenschaften. Definiert man die Formel ωd = 2 × 1012 × S–1,4031 als Relaxationsfrequenz, die definiert ist unter Verwendung eines Flüssigkristall-Konstitutionsfaktors dieser flüssigkristallinen Zusammensetzungen, S = (η × <a>3)–1 {worin η für die Viskosität der Flüssigkristallzusammensetzung (Einheit, cP) steht und <a> für die durschnittliche Moleküllänge der Flüssigkristallzusammensetzung steht (Einheit, Å)}, und F als Exekutionsfrequenz definiert wurde, die praktisch auf die Flüssigkristallschicht wirkt, die definiert ist durch dieselbe Rahmenfrequenz und/oder Leistungszahlen, betreffend die Ansteuerung der Flüssigkristallzusammensetzung als Display, so würde eine Funktion von 1,0 × 102 ≥ ωd/F ≥ 5,0 × 10–1 innerhalb des Betriebstemperaturbereichs gefunden werden. Daher kann ein Problem der Nichtveränderung der Ansteuerungsspannung innerhalb des Frequenzbereichs entsprechend zahlreichen Fällen der Multiplex-Eigenschaften oder der plötzlichen Zunahme in der Ansteuerungsspannung bei niedriger Temperatur infolge der Zunahme in den Multiplex-Eigenschaften (Leistungszahlen) besser gemacht werden. Solch ein kennzeichnendes Merkmal scheint von dem Aufbau der flüssigkristallinen Komponente A herzurühren. Folglich können Flüssigkristall-Displaysysteme mit verbesserten Displayeigenschaften durch Verwendung der erfindungsgemäßen Flüssigkristallzusammensetzung erhalten werden. Insbesondere wurden hervorragende Ansteuerungseigenschaften und Displayeigenschaften in den TN-LCD- und STN-LCD-Flüssigkristall-Displaysystemen erhalten, die eine große Informationsmenge benötigen.
  • Die erfindungsgemäße nematische Flüssigkristallzusammensetzung kann flüssigkristalline Materialien selbst durch ihre Zugabe in einer kleinen Menge, je nach angestrebtem Zweck, bereitstellen, ohne die anderen Eigenschaften zu beeinträchtigen. Insbesondere stellt sie eine nematische Flüssigkristallzusammensetzung bereit, die einen solchen Temperaturbereich aufweist, dass ein niedriger Temperaturbetrieb durchgeführt werden kann, die eine raschere Antwort gegenüber der Ansteuerungsspannung zeigt und die den Betrieb bei niedrigerer Spannung ausführt. Folglich können Flüssigkristall-Displaysysteme, worin Flimmer- und Nebensprech-Phänomene auf der Displayanzeige verbessert sind, durch Verwendung der erfindungsgemäßen Flüssigkristallzusammensetzung erhalten werden. Zusätzlich kann die Dicke der Flüssigkristallschicht reduziert werden, wenn die Doppelbrechung erhöht wird, und die Antworteigenschaften können deshalb verbessert werden, so dass hervorragende Betriebseigenschaften (bzw. Ansteuerungseigenschaften) und Displayeigenschaften, insbesondere in den TN-LCD- und STN-LCD-Flüssigkristall-Displaysystemen, erhalten werden können, die eine große Menge an Information erfordern.

Claims (17)

  1. Verbindung der allgemeinen Formel (I)
    Figure 01450001
    worin R für ein Wasserstoffatom oder eine geradkettige Alkylgruppe mit 1 bis 7 Kohlenstoffatomen steht und X, Y und Z jeweils für ein Wasserstoffatom oder Fluoratom stehen.
  2. Verbindung nach Anspruch 1, worin R ein Wasserstoffatom oder eine Methylgruppe ist.
  3. Verbindung nach Anspruch 1, worin X ein Fluoratom und Y ein Wasserstoffatom ist.
  4. Verbindung der allgemeinen Formel (II)
    Figure 01450002
    worin R für ein Wasserstoffatom oder eine geradkettige Alkylgruppe mit 1 bis 7 Kohlenstoffatomen steht und Z ein Wasserstoffatom oder ein Fluoratom bedeutet.
  5. Nematische flüssigkristalline Zusammensetzung, umfassend eine flüssigkristalline Komponente A, die aus 2 oder 3 oder mehreren Gruppen, ausgewählt aus Gruppen A1 bis A6, zusammengesetzt ist, wobei die Gruppen aus Verbindungen der allgemeinen Formeln (I-1) bis (I-18) bestehen:
    Figure 01460001
    worin R11 eine Alkylgruppe mit 1 bis 10 Kohlenstoffatomen bedeutet und R12 eine Alkenylgruppe mit 2 bis 10 Kohlenstoffatomen bedeutet, worin die Alkyl- oder Alkenylgruppe unsubstituiert sein kann oder eine F-, CH3- oder CF3-Gruppe als Substituentengruppe aufweisen kann und die Atome, die diese Verbindungen bilden, durch ihre Isotope ersetzt sein können und die flüssigkristalline Komponente A aus bis zu 20 Verbindungen zusammengesetzt ist; 0 bis 95 Gew.-% einer flüssigkristallinen Komponente B, die aus Verbindungen mit einer dielektrischen Anisotropie von +2 oder mehr zusammengesetzt ist, und 0 bis 95 Gew.-% einer flüssigkristallinen Komponente C, die aus Verbindungen mit einer dielektrischen Anisotropie von –10 oder mehr bis weniger als +2 zusammengesetzt ist; wobei die Gesamtmenge der flüssigkristallinen Komponente B und der flüssigkristallinen Komponente C in der nematischen Flüssigkristallzusammensetzung von 30 bis 95 Gew.-% reicht, mit der Maßgabe; dass die flüssigkristalline Komponente A der folgenden Bedingung genügt: die flüssigkristalline Komponente A enthält 1 bis 10 der Verbindungen, dargestellt durch die Gruppen A4 bis A6, worin die Seitenkettengruppe eine Alkenylgruppe aufweist, und 1 bis 10 der Verbindungen der Gruppen A1 bis A3, worin die Seitenkettengruppe eine Alkenylgruppe aufweist, und der Gesamtgehalt dieser Verbindungen in der flüssigkristallinen Komponente A 100 Gew.-% beträgt.
  6. Nematische Flüssigkristallzusammensetzung nach Anspruch 5, worin die flüssigkristalline Komponente B 1 bis 15 Verbindungen, ausgewählt aus der Gruppe von Verbindungen der allgemeinen Formeln (II-1) bis (II-4), enthält:
    Figure 01480001
    worin R21 bis R24 unabhängig für eine Alkylgruppe mit 1 bis 10 Kohlenstoffatomen oder eine Alkenylgruppe mit 2 bis 10 Kohlenstoffatomen stehen, wobei die Alkylgruppe oder Alkenylgruppe unsubstituiert sein kann, oder eine F-, CH3- oder CF3-Gruppe als Substituentengruppe aufweisen kann, und/oder mindestens eine der CH2-Gruppen, die in der Alkylgruppe oder Alkenylgruppe vorliegen, unabhängig mit -O-, -CO- oder -COO- substituiert sein kann, wobei die O-Atome nicht direkt miteinander verbunden sind, X21 bis X24 unabhängig für F, Cl, CF3, OCF3, OCF2H, NCS oder CN stehen, Y21 bis Y28 unabhängig für H, F, Cl oder OCF3 stehen, W21 bis W28 unabhängig für H, F oder Cl stehen, Z21 bis Z26 jeweils unabhängig für eine Einfachbindung, -COO-, -OCO-, -CH2O-, -OCH2-, -(CH2)2-, -(CH2)4-, -CH=CH-(CH2)2-, -(CH2)2-CH=CH-, -CH=N-, -CH=N-N=CH- oder -N(O)=N- stehen, worin Z21 und Z24 bis Z26 jeweils -CH=CH-, -CF=CF- oder -C≡C- sein kann, jeder der Ringe A21 bis A24 unabhängig für trans-1,4-Cyclohexylen, trans-1,4-Cyclohexenylen oder trans-1,3-Dioxan-2,5-diyl steht, worin der Ring A24 1,4- Phenylen, 2- oder 3-Fluor-1,4-phenylen oder 3,5-Difluor-1,4-phenylen sein kann und im Fall von trans-1,4-Cyclohexylen mindestens eines der Wasserstoffatome in dem Ring durch ein Deuteriumatom ersetzt sein kann, k21 bis k24 unabhängig für 0 oder 1 stehen, worin k23 + k24 0 oder 1 ist, und die Atome, die die Verbindungen der allgemeinen Formeln (II-1) bis (II-4) bilden, durch ihre Isotope ersetzt sein können.
  7. Nematische Flüssigkristallzusammensetzung nach Anspruch 6, worin die flüssigkristalline Komponente B 1 bis 15 oder mehr Verbindungen, ausgewählt aus der Gruppe, bestehend aus (1) einer Verbindung, in der R21 bis R24 in den allgemeinen Formeln (II-1) bis (II-4) unabhängig für eine Alkenylgruppe mit 2 bis 5 Kohlenstoffatomen stehen, (2) einer Verbindung, in der X21 bis X24 in den allgemeinen Formeln (II-1) bis (II-4) jeweils unabhängig für F, Cl oder -OCF3 stehen, (3) einer Verbindung, in der Z22 in der allgemeinen Formel (II-1) -(CH2)2- oder -(CH2)4- ist, (4) einer Verbindung, in der k21 in der allgemeinen Formel (II-1) 1 ist, (5) einer Verbindung, in der mindestens einer von Y23, Y24, W21 und W22 in der allgemeinen Formel (II-2) F ist, (6) einer Verbindung, in der in der allgemeinen Formel (II-2) k22 1 ist und Z24 -C≡C-, (7) einer Verbindung, in der in der allgemeinen Formel (II-2) Z23 eine Einfachbindung oder -(CH2)2- ist und Z24 -COO- ist, (8) einer Verbindung, in der mindestens einer von Y25, Y26 und W23 bis W26 in der allgemeinen Formel (II-3) F ist, (9) einer Verbindung, in der Z26 in der allgemeinen Formel (II-3) -C≡C- ist, (10) einer Verbindung, in der in der allgemeinen Formel (II-3) Z25 eine Einfachbindung oder -C≡C- ist und Z26 -COO- ist, (11) einer Verbindung der allgemeinen Formel (II-4) und (12) einer Verbindung, in der in den allgemeinen Formeln (II-1) und (II-2) die Ringe A21 bis A23 für trans-1,4-Cyclohexylen stehen und mindestens eines der Wasserstoffatome in dem Ring durch ein Deuteriumatom ersetzt ist, enthält.
  8. Nematische Flüssigkristallzusammensetzung nach Anspruch 6, worin die flüssigkristalline Komponente B 1 bis 15 Verbindungen, ausgewählt aus der Gruppe, bestehend aus (1) einer Verbindung, in der in der allgemeinen Formel (II-1) X21 eine Alkyl- oder Alkenylgruppe mit 2 bis 5 Kohlenstoffatomen ist, k21 0 ist und X21 -CN ist, (2) einer Verbindung, in der in der allgemeinen Formel (II-1) k21 1 ist, X21 F oder -CN ist und Y21 und Y22 jeweils unabhängig H oder F sind, (3) einer Verbindung, in der in der allgemeinen Formel (II-2) R22 eine Alkyl- oder Alkenylgruppe mit 2 bis 5 Kohlenstoffatomen ist, k22 -CN ist und Y23, Y24, W21 und W22 jeweils unabhängig H oder F sind, (4) einer Verbindung, in der in der allgemeinen Formel (II-2) k22 1 ist, Z23 eine Einfachbindung, -(CH2)2- oder -COO- ist, Z24 eine Einfachbindung, -COO- oder -C≡C- ist, X22 F oder -CN ist und Y23, Y24, W21 und W22 unabhängig voneinander H oder F bedeuten, (5) einer Verbindung, in der in der allgemeinen Formel (II-3) R23 eine Alkyl- oder Alkenylgruppe mit 2 bis 5 Kohlenstoffatomen ist und einer von Z25 und Z26 eine Einfachbindung ist und der andere eine Einfachbindung, -COO- oder -C≡C- ist, (6) einer Verbindung, in der Y25, Y26 und W23 bis W26 in der allgemeinen Formel (II-3) H oder F ist, (7) einer Verbindung, in der in der allgemeinen Formel (II-4) R24 eine Alkyl- oder Alkenylgruppe mit 2 bis 7 Kohlenstoffatomen ist und k23 + k24 0 ist und (8) einer Verbindung, in der in den allgemeinen Formeln (II-1) und (II-2) die Ringe A21 bis A23 trans-1,4-Cyclohexylen bedeuten und mindestens eines der Wasserstoffatome in dem Ring durch ein Deuteriumatom ersetzt ist, enthält und worin der Gesamtgehalt dieser Verbindungen in der flüssigkristallinen Komponente B von 10 bis 100 Gew.-% reicht.
  9. Nematische Flüssigkristallzusammensetzung nach Anspruch 6, worin die flüssigkristalline Komponente B 1 bis 15 Verbin dungen, die aus der Gruppe, bestehend aus (1) einer Verbindung, in der in der allgemeinen Formel (II-1) R21 eine Alkyl- oder Alkenylgruppe mit 2 bis 5 Kohlenstoffatomen ist, k21 für 1 steht, einer von Z21 und Z22 eine Einfachbindung und der andere eine Einfachbindung, -COO-, -(CH2)2- oder -(CH2)4- ist, X21 F, Cl, CF3, OCF3 oder OCF2H ist und mindestens einer von Y21 und Y22 F ist, (2) einer Verbindung, in der in der allgemeinen Formel (II-2) R22 eine Alkyl- oder Alkenylgruppe mit 2 bis 5 Kohlenstoffatomen ist, k22 für 1 steht, Z23 eine Einfachbindung, -(CH2)2- oder -COO- ist, Z24 eine Einfachbindung, -COO- oder -C≡C- ist, X22 F, Cl, CF3, OCF3 oder OCF2H ist, mindestens einer von Y23 und Y24 F ist und W21 und W22 jeweils unabhängig H oder F bedeuten, (3) einer Verbindung, in der in der allgemeinen Formel (II-3) R23 eine Alkyl- oder Alkenylgruppe mit 2 bis 5 Kohlenstoffatomen ist, einer von Z25 und Z26 eine Einfachbindung und der andere eine Einfachbindung, -COO- oder -C≡C- ist, X23 F ist, mindestens einer von Y25 und Y26 F ist und W23 bis W26 H oder einer oder mehrere davon F bedeuten und (4) einer Verbindung, in der in den allgemeinen Formeln (II-1) und (II-2) die Ringe A21 bis A23 trans-1,4-Cyclohexylen bedeuten und mindestens eines der Wasserstoffatome in dem Ring durch ein Deuteriumatom ersetzt ist, ausgewählt sind, enthält und worin der Gesamtgehalt dieser Verbindungen in der flüssigkristallinen Komponente B von 10 bis 100 Gew.-% reicht.
  10. Nematische Flüssigkristallzusammensetzung nach Anspruch 5, worin die flüssigkristalline Komponente C 1 bis 15 Verbindungen, ausgewählt aus der Gruppe, bestehend aus Verbindungen der allgemeinen Formeln (III-1) bis (III-4), enthält:
    Figure 01520001
    worin R31 bis R38 unabhängig für eine Alkyl- oder Alkoxygruppe mit 1 bis 7 Kohlenstoffatomen oder eine Alkenyl- oder Alkenyloxygruppe mit 2 bis 7 Kohlenstoffatomen stehen, worin die Alkylgruppe, Alkoxygruppe, Alkenylgruppe oder Alkenyloxygruppe unsubstituiert oder eine F-, CH3- oder CF3-Gruppe als Substituentengruppe sein bzw. aufweisen können, und/oder mindestens eine der CH2-Gruppen, die in der Alkylgruppe, Alkoxygruppe, Alkenylgruppe oder Alkenyloxygruppe vorliegen, unabhängig durch -O-, -CO- oder -COO- substituiert sein können, wobei die O-Atome nicht direkt aneinander gebunden sind, Y31 bis Y36 jeweils unabhängig für H oder F stehen oder Y33 und Y36 auch -CH3 sein können, W31 bis W39 jeweils unabhängig für H, F oder Cl stehen, Z31 bis Z36 unabhängig für eine Einfachbindung, -COO-, -OCO-, -CH2O-, -OCH2-, -(CH2)2-, -(CH2)4-, -CH=CH-(CH2)2-, -(CH2)2-CH=CH-, -CH=N-, -CH=N-N=CH- oder -N(O)=N- stehen, worin Z31 und Z34 bis Z36 auch -CH=CH-, -CF=CF- oder -C≡C- sein können, jeder der Ringe A31 bis A35 unabhängig für trans-1,4-Cyclohexylen, trans-1,4-Cyclohexenylen oder trans- 1,3-Dioxan-2, 5-diyl steht, worin die Ringe A31 und A33 bis A35 auch 1,4-Phenylen, 2- oder 3-Fluor-1,4-phenylen, 2,3-Difluor-1,4-phenylen oder 3,5-Difluor-1,4-phenylen sein können, und, in dem Fall von trans-1,4-Cyclohexylen, mindestens eines der Wasserstoffatome in dem Ring durch ein Deuteriumatom ersetzt sein kann, k31 bis k35 jeweils unabhängig für 0 oder 1 stehen, wobei k34 + k35 0 oder 1 ist, und die Atome, die die Verbindungen der allgemeinen Formeln (III-1) bis (III-4) bilden, durch ihre Isotope ersetzt sein können.
  11. Nematische Flüssigkristallzusammensetzung nach Anspruch 10, worin die flüssigkristalline Komponente C 1 bis 15 Verbindungen, ausgewählt aus der Gruppe, bestehend aus Verbindungen der allgemeinen Formel (III-1), (III-2) oder (III-3) enthält, und der Gesamtgehalt dieser Verbindungen in der flüssigkristallinen Komponente C 10 bis 100 Gew.-% beträgt.
  12. Nematische Flüssigkristallzusammensetzung nach Anspruch 10, worin die flüssigkristalline Komponente C 1 bis 15 oder mehr Verbindungen, ausgewählt aus der Gruppe, bestehend aus (1) einer Verbindung, in der R31 bis R34 in den allgemeinen Formeln (III-1) bis (III-4) jeweils unabhängig für eine Alkenylgruppe mit 2 bis 5 Kohlenstoffatomen stehen, (2) einer Verbindung, in der R35 bis R38 in den allgemeinen Formeln (III-1) bis (III-4) unabhängig für eine geradkettige Alkenyl- oder Alkenyloxygruppe mit 2 bis 7 Kohlenstoffatomen stehen, (3) einer Verbindung, in der in der allgemeinen Formel (III-1) k31 0 ist und Z32 eine Einfachbindung oder -(CH2)2-, (4) einer Verbindung, in der k31 in der allgemeinen Formel (III-1) 1 ist, (5) einer Verbindung der allgemeinen Formel (III-2), (6) einer Verbindung, in der in der allgemeinen Formel (III-3) mindestens einer von Y34, Y35 und W34 bis W36 F ist und Y33 F oder -CH3 ist, (7) einer Verbindung, in der in der allgemeinen Formel (III-3) k33 0 ist und Z36 eine Einfachbindung ist, (8) einer Verbindung, in der in der allgemeinen Formel (III-3) k33 1 ist und Z35 eine Einfachbindung, -OCO-, -CH2O-, -OCH2-, -(CH2)2-, -(CH2)4-, -CH=CH-(CH2)2-, -(CH2)2-CH=CH-, -CH=N-, -CH=N-N=CH-, -N(O)=N-, -CH=CH- oder -CF=CF- ist, (9) einer Verbindung, in der in der allgemeinen Formel (III-3) Z35 -COO- oder -C≡C- ist und Z36 -OCO-, -CH2O-, -OCH2-, -(CH2)2-, -(CH2)4-, -CH=CH-(CH2)2-, -(CH2)2-CH=CH-, -CH=N-, -CH=N-N=CH-, -N(O)=N-, -CH=CH-, -CF=CF- oder -C≡C- ist, (10) einer Verbindung der allgemeinen Formel (III-4) und (11) einer Verbindung, in der in den allgemeinen Formeln (III-1) bis (III-4) die Ringe A31 bis A35 trans-1,4-Cyclohexylen sind und mindestens eines der Wasserstoffatome in dem Ring durch ein Deuteriumatom ersetzt ist, enthält.
  13. Nematische Flüssigkristallzusammensetzung nach Anspruch 10, worin die flüssigkristalline Komponente C 1 bis 15 Verbindungen, ausgewählt aus der Gruppe, bestehend aus (1) einer Verbindung, in der in der allgemeinen Formel (III-1) R31 eine Alkylgruppe mit 1 bis 5 Kohlenstoffatomen oder eine Alkenylgruppe mit 2 bis 5 Kohlenstoffatomen ist, R35 eine Alkyl- oder Alkoxygruppe mit 1 bis 5 Kohlenstoffatomen oder eine Alkenyl- oder Alkenyloxygruppe mit 2 bis 5 Kohlenstoffatomen ist, k31 für 0 steht und Z32 eine Einfachbindung, -COO- oder -(CH2)2- ist, (2) einer Verbindung, in der in der allgemeinen Formel (III-1) k31 1 ist, der Ring A31 trans-1,4-Cyclohexylen ist und einer von Z31 und Z32 eine Einfachbindung und der andere -COO- oder -(CH2)2- ist, (3) einer Verbindung, in der in der allgemeinen Formel (III-2) R32 eine Alkylgruppe mit 1 bis 5 Kohlenstoffatomen oder eine Alkenylgruppe mit 2 bis 5 Kohlenstoffatomen ist, R36 für eine Alkyl- oder Alkoxygruppe mit 1 bis 5 Kohlenstoffatomen oder eine Alkenyl- oder Alkenyloxygruppe mit 2 bis 5 Kohlenstoffatomen steht, der Ring A32 trans-1,4-Cyclohexylen oder trans-1,4-Cyclohexenylen ist, k32 0 bedeutet und Z33 eine Einfachbindung, -COO- oder -(CH2)2- ist, (4) einer Verbindung, in der in der allgemeinen Formel (III-2) k32 1 ist und einer von Z33 und Z34 eine Einfachbindung ist, (5) einer Verbindung, in der in der allgemeinen Formel (III-3) R33 eine Alkylgruppe mit 1 bis 5 Kohlenstoffatomen oder eine Alkenylgruppe mit 2 bis 5 Kohlenstoffatomen ist, R37 eine Alkyl- oder Alkoxygruppe mit 1 bis 5 Kohlenstoffatomen oder eine Alkenyl- oder Alkenyloxygruppe mit 2 bis 5 Kohlenstoffatomen ist, k33 0 ist und Z36 eine Einfachbindung, -C≡C- oder -CH=N-N=CH- ist, (6) einer Verbindung, in der in der allgemeinen Formel (III-3) k33 1 ist, Z35 eine Einfachbindung, -(CH2)2-, -COO- oder -C≡C- ist und Z36 eine Einfachbindung, -COO- oder -C≡C- ist, (7) einer Verbindung, in der in der allgemeinen Formel (III-3) einer von Z35 und Z36 eine Einfachbindung und der andere eine Einfachbindung oder -C≡C- ist und mindestens einer von W34 Und W35 F ist, (8) einer Verbindung, in der in der allgemeinen Formel (III-3) einer von Y35 und Y36 durch F oder CH3 substituiert ist und (9) einer Verbindung, in der in der allgemeinen Formel (III-4) R34 eine Alkylgruppe mit 1 bis 5 Kohlenstoffatomen oder eine Alkenylgruppe mit 2 bis 5 Kohlenstoffatomen ist, R38 eine Alkyl- oder Alkoxygruppe mit 1 bis 5 Kohlenstoffatomen oder eine Alkenyl- oder Alkenyloxygruppe mit 2 bis 5 Kohlenstoffatomen ist und k34 + k35 0 ist, enthält, und worin der Gesamtgehalt dieser Verbindungen in der flüssigkristallinen Verbindung C 10 bis 100 Gew.-% beträgt.
  14. Nematische Flüssigkristallzusammensetzung nach Anspruch 5, worin die Flüssigkristallzusammensetzung 1 bis 10 Verbindungen mit einer Kernstruktur aus vier sechsgliedrigen Ringen enthält und eine Übergangstemperatur von der flüssigkristallinen Phase in die isotrope flüssige Phase von 100°C oder darüber aufweist.
  15. Nematische Flüssigkristallzusammensetzung nach Anspruch 5, worin die Flüssigkristallzusammensetzung eine Doppelbrechung von 0,08 bis 0,195, ein Verhältnis elastischer Konstanten K33/K11 von 1, 1 bis 4, 0, eine Übergangstemperatur von der nematischen Phase in die isotrope flüssige Phase von 50 bis 150°C und eine Übergangstemperatur von der kristallinen Phase, smektischen Phase oder Glassphase in die nematische Phase von –200°C bis 0°C aufweist.
  16. Nematische Flüssigkristallzusammensetzung nach Anspruch 5, worin die Flüssigkristallzusammensetzung weiter eine Verbindung mit einer optisch aktiven Gruppe enthält, die eine induzierte helikale Ganghöhe von 0,5 bis 1000 μm aufweist.
  17. Ein Aktivmatrix-, verdrillt nematisches oder superverdrillt nematisches Flüssigkristalldisplaysystem, umfassend die nematische Flüssigkristallzusammensetzung nach Anspruch 16.
DE69822971T 1997-11-28 1998-11-27 Fluorsubstituierte 4-Alkylenbenzosäure, sowie Derivate, nematische Flüssigkristallzusammensetzung enthaltend Cyabophenylbenzosäureester-Derivate und Flüssigkristallanzeigesystem, das diese verwendet Expired - Lifetime DE69822971T2 (de)

Applications Claiming Priority (4)

Application Number Priority Date Filing Date Title
JP32790497 1997-11-28
JP32790497 1997-11-28
JP30840598A JP4385415B2 (ja) 1998-10-29 1998-10-29 ネマチック液晶組成物及びこれを用いた液晶表示装置
JP30840598 1998-10-29

Publications (2)

Publication Number Publication Date
DE69822971D1 DE69822971D1 (de) 2004-05-13
DE69822971T2 true DE69822971T2 (de) 2004-08-12

Family

ID=26565530

Family Applications (1)

Application Number Title Priority Date Filing Date
DE69822971T Expired - Lifetime DE69822971T2 (de) 1997-11-28 1998-11-27 Fluorsubstituierte 4-Alkylenbenzosäure, sowie Derivate, nematische Flüssigkristallzusammensetzung enthaltend Cyabophenylbenzosäureester-Derivate und Flüssigkristallanzeigesystem, das diese verwendet

Country Status (6)

Country Link
US (2) US6287646B1 (de)
EP (1) EP0919536B1 (de)
KR (1) KR100565021B1 (de)
CN (1) CN1176898C (de)
DE (1) DE69822971T2 (de)
TW (2) TW579388B (de)

Families Citing this family (18)

* Cited by examiner, † Cited by third party
Publication number Priority date Publication date Assignee Title
WO2001057157A1 (en) * 2000-02-03 2001-08-09 Tokyo Magnetic Printing Co.,Ltd. Reversible information display medium of liquid crystal type and noncontact ic card utilizing the same
ATE302752T1 (de) * 2000-02-07 2005-09-15 Merck Patent Gmbh Benzoesäureester und flüssigkristallmedium
WO2001064814A1 (en) * 2000-02-28 2001-09-07 Merck Patent Gmbh Supertwisted nematic liquid crystal displays, liquid crystal compositions and compounds
DE10112954A1 (de) * 2000-04-18 2001-12-13 Merck Patent Gmbh Elektrooptische Flüssigkristallanzeige und Flüssigkristallmedium
KR100745543B1 (ko) * 2000-08-31 2007-08-03 다이니뽄 잉끼 가가꾸 고오교오 가부시끼가이샤 액정 표시 소자
JP2002107768A (ja) * 2000-09-29 2002-04-10 Minolta Co Ltd 液晶表示素子
JP2004532345A (ja) * 2001-06-13 2004-10-21 メルク パテント ゲゼルシャフト ミット ベシュレンクテル ハフトング 液晶媒体および高ねじれ液晶ディスプレイデバイス
KR101355300B1 (ko) * 2004-11-26 2014-01-23 샤프 가부시키가이샤 액정 매질
JP4872121B2 (ja) * 2005-12-27 2012-02-08 Dic株式会社 ジフルオロベンゼン誘導体の製造方法
US8169685B2 (en) * 2007-12-20 2012-05-01 Ravenbrick, Llc Thermally switched absorptive window shutter
TWI438525B (zh) * 2010-07-19 2014-05-21 Au Optronics Corp 顯示面板
JP2014142616A (ja) * 2012-12-28 2014-08-07 Semiconductor Energy Lab Co Ltd 液晶表示装置
CN103772138A (zh) * 2014-01-21 2014-05-07 石家庄诚志永华显示材料有限公司 含有氘取代的液晶单体
CN104152151B (zh) * 2014-07-23 2015-12-02 北京大学 一种具有近晶相的液晶组合物
CN110862829B (zh) * 2019-11-19 2021-11-05 北京大学 一种pdlc用低驱动电压液晶组合物及其制备方法
JP2023545399A (ja) 2020-10-01 2023-10-30 バイエル アクチェンゲゼルシャフト ベンズアルデヒドオキシムおよびその製造方法
CN114507159B (zh) * 2022-04-06 2024-05-03 中节能万润股份有限公司 一种4-[3(e)-戊烯-1-基]苯甲酸酯类液晶单体的制备方法
US12055810B2 (en) 2022-08-30 2024-08-06 Orbotech Ltd. Enhanced defect detection with planar macrocycle dyes in liquid-crystal films

Family Cites Families (19)

* Cited by examiner, † Cited by third party
Publication number Priority date Publication date Assignee Title
BR8008346A (pt) * 1979-12-21 1981-07-07 Ici Ltd Compostos e composicoes inseticidas a base dos mesmos,bem como processo de sua obtencao
JPS6055058B2 (ja) 1981-11-11 1985-12-03 大日本インキ化学工業株式会社 4−n−アルキルベンゾイルオキシ−3’−フロロ−4’−シアノベンゼン
JPS6178753A (ja) * 1984-09-27 1986-04-22 Asahi Glass Co Ltd トランス−エチレン誘導体化合物及びそれを含有する液晶組成物
DE3500897A1 (de) 1985-01-12 1986-07-17 Merck Patent Gmbh, 6100 Darmstadt Fluessigkristalline phase
DE3606153A1 (de) 1986-02-26 1987-08-27 Merck Patent Gmbh Fluessigkristallanzeigeelement
GB8804330D0 (en) 1988-02-24 1988-03-23 Secr Defence Laterally fluorinated 4-cyanophenyl & 4-cyanobiphenyl benzoates
DE59107014D1 (de) 1990-07-06 1996-01-18 Hoffmann La Roche 4-Cyano-3-fluorophenylester.
EP0492222B1 (de) 1990-12-20 1996-11-13 MERCK PATENT GmbH Flüssigkristallanzeige
JP3081006B2 (ja) 1991-03-05 2000-08-28 セイミケミカル株式会社 ジフルオロシアノ化合物、液晶組成物及び液晶電気光学素子
JP2807357B2 (ja) 1991-03-27 1998-10-08 セイミケミカル株式会社 トランスエチレン誘導体化合物、液晶組成物及び液晶電気光学素子
JP3579698B2 (ja) * 1994-09-06 2004-10-20 チッソ株式会社 液晶組成物およびこれを用いた液晶表示素子
TW371312B (en) 1995-04-12 1999-10-01 Chisso Corp Fluorine-substituted liquid-crystal compound, liquid-crystal composition and liquid-crystal display device
TW421669B (en) * 1995-06-22 2001-02-11 Chisso Corp Alkenylcyclohexane derivatives, liquid crystal composition and liquid crystal display element
JP3826416B2 (ja) 1995-08-23 2006-09-27 チッソ株式会社 液晶組成物および液晶表示素子
JPH0959637A (ja) * 1995-08-23 1997-03-04 Chisso Corp 液晶組成物および液晶表示素子
US5807499A (en) 1995-08-23 1998-09-15 Chisso Corporation Liquid crystal composition and a liquid crystal display device containing the same
JPH09157654A (ja) * 1995-12-13 1997-06-17 Dainippon Ink & Chem Inc ネマチック液晶組成物及びこれを用いた液晶表示装置
DE19746793A1 (de) 1996-10-31 1998-05-07 Merck Patent Gmbh TN- und STN-Flüssigkristallanzeige
JP3151606B2 (ja) 1996-11-27 2001-04-03 帝国インキ製造株式会社 特殊インキおよび印刷物

Also Published As

Publication number Publication date
US20020053659A1 (en) 2002-05-09
HK1020275A1 (en) 2000-04-07
CN1227838A (zh) 1999-09-08
CN1176898C (zh) 2004-11-24
TW579388B (en) 2004-03-11
TW200301300A (en) 2003-07-01
TWI235173B (en) 2005-07-01
EP0919536B1 (de) 2004-04-07
DE69822971D1 (de) 2004-05-13
EP0919536A1 (de) 1999-06-02
US6287646B1 (en) 2001-09-11
KR100565021B1 (ko) 2007-01-11
KR19990045693A (ko) 1999-06-25

Similar Documents

Publication Publication Date Title
DE69822971T2 (de) Fluorsubstituierte 4-Alkylenbenzosäure, sowie Derivate, nematische Flüssigkristallzusammensetzung enthaltend Cyabophenylbenzosäureester-Derivate und Flüssigkristallanzeigesystem, das diese verwendet
DE69708231T2 (de) Azin-Derivat, Verfahren zu seiner Herstellung, diese enthaltende nematische flüssigkristalline Zusammensetzung und diese enthaltende flüssigkristalline Anzeigevorrichtung
EP0739403A1 (de) Polymerisierbare chirale verbindungen und deren verwendung
DE3447359A1 (de) Fluessigkristalline phase
EP2052055A1 (de) Cyclohexen-verbindungen für flüssigkristalline mischungen
DE69106160T2 (de) Tolanderivate, sie enthaltende flüssigkristalline Zusammensetzungen und sie verwendende Flüssigkristallelemente.
DE102007009944A1 (de) Flüssigkristallines Medium
EP0513262B1 (de) 3,6-disubstituierte-2-fluoropyridine
DE4218614B4 (de) Benzolderivate
DE60008185T2 (de) Flüssigkristallzusammensetzung
DE602004000948T2 (de) Perfluorpropenylgruppen enthaltende Verbindungen, Flüssigkristallzusammensetzungen und Flüssigkristallanzeigeelement
EP1028935B1 (de) Fluorierte derivate des phenanthrens und ihre verwendung in flüssigkristallmischungen
DE10214938A1 (de) Fluorierte Indene und 1,7-Dihydroindacene mit negativem delta epsilon
WO2018141759A1 (de) Flüssigkristalline verbindungen
DE60115552T2 (de) Flüssigkristallverbindung mit einer Difluorpropylenoxy-Gruppe als Bindungsgruppe, Flüssigkristallzusammensetzung und Flüssigkristallanzeigeelement
DE69710874T2 (de) Alkenylzusammensetzungen, flüssigkristallzusammensetzungen und flüssigkristallanzeigevorrichtungen
DE19746289B4 (de) Dotierstoffe
DE3620049A1 (de) Chirale ester aus (alpha)-substituierten phenylalkansaeuren und mesogenen hydroxylverbindungen und ihre verwendung als dotierstoff in fluessigkristall-phasen
EP1223210A1 (de) Mehrfach fluorierte Fluorene und ihre Verwendung in Flüssigkristallmischungen
DE69012474T2 (de) Cyclohexenylethanverbindungen.
DE69815139T2 (de) 5-arylindan-derivate und ferroelektrische flüssigkristallmischung, die diese enthält
DE69309198T2 (de) Flüssigkristallverbindung
DE69010147T2 (de) Esterverbindungen und sie enthaltende flüssigkristalline Zusammensetzungen.
JPH10236990A (ja) 誘電率異方性値が負の液晶性化合物、この液晶性化合物を含有する液晶組成物、及びこの液晶組成物を用いた液晶表示素子
DE60200184T2 (de) Optisch aktive Verbindung und Flüssigkristallzusammensetzung enthaltend die Verbindung

Legal Events

Date Code Title Description
8364 No opposition during term of opposition