DE69738468T2 - Substituierte pyrrolopyrimidine und verfahren zu ihrer herstellung - Google Patents

Substituierte pyrrolopyrimidine und verfahren zu ihrer herstellung Download PDF

Info

Publication number
DE69738468T2
DE69738468T2 DE69738468T DE69738468T DE69738468T2 DE 69738468 T2 DE69738468 T2 DE 69738468T2 DE 69738468 T DE69738468 T DE 69738468T DE 69738468 T DE69738468 T DE 69738468T DE 69738468 T2 DE69738468 T2 DE 69738468T2
Authority
DE
Germany
Prior art keywords
formula
pyrrolo
pyrimidine
chloroanilino
compound
Prior art date
Legal status (The legal status is an assumption and is not a legal conclusion. Google has not performed a legal analysis and makes no representation as to the accuracy of the status listed.)
Expired - Lifetime
Application number
DE69738468T
Other languages
English (en)
Other versions
DE69738468D1 (de
Inventor
Peter Traxler
Guido Bold
Marc Lang
Jörg Frei
Current Assignee (The listed assignees may be inaccurate. Google has not performed a legal analysis and makes no representation or warranty as to the accuracy of the list.)
Novartis AG
Original Assignee
Novartis AG
Priority date (The priority date is an assumption and is not a legal conclusion. Google has not performed a legal analysis and makes no representation as to the accuracy of the date listed.)
Filing date
Publication date
Application filed by Novartis AG filed Critical Novartis AG
Application granted granted Critical
Publication of DE69738468D1 publication Critical patent/DE69738468D1/de
Publication of DE69738468T2 publication Critical patent/DE69738468T2/de
Anticipated expiration legal-status Critical
Expired - Lifetime legal-status Critical Current

Links

Classifications

    • CCHEMISTRY; METALLURGY
    • C07ORGANIC CHEMISTRY
    • C07DHETEROCYCLIC COMPOUNDS
    • C07D487/00Heterocyclic compounds containing nitrogen atoms as the only ring hetero atoms in the condensed system, not provided for by groups C07D451/00 - C07D477/00
    • C07D487/02Heterocyclic compounds containing nitrogen atoms as the only ring hetero atoms in the condensed system, not provided for by groups C07D451/00 - C07D477/00 in which the condensed system contains two hetero rings
    • C07D487/04Ortho-condensed systems
    • AHUMAN NECESSITIES
    • A61MEDICAL OR VETERINARY SCIENCE; HYGIENE
    • A61PSPECIFIC THERAPEUTIC ACTIVITY OF CHEMICAL COMPOUNDS OR MEDICINAL PREPARATIONS
    • A61P35/00Antineoplastic agents
    • AHUMAN NECESSITIES
    • A61MEDICAL OR VETERINARY SCIENCE; HYGIENE
    • A61PSPECIFIC THERAPEUTIC ACTIVITY OF CHEMICAL COMPOUNDS OR MEDICINAL PREPARATIONS
    • A61P43/00Drugs for specific purposes, not provided for in groups A61P1/00-A61P41/00

Landscapes

  • Chemical & Material Sciences (AREA)
  • Organic Chemistry (AREA)
  • Health & Medical Sciences (AREA)
  • Chemical Kinetics & Catalysis (AREA)
  • Life Sciences & Earth Sciences (AREA)
  • General Chemical & Material Sciences (AREA)
  • Medicinal Chemistry (AREA)
  • Nuclear Medicine, Radiotherapy & Molecular Imaging (AREA)
  • Veterinary Medicine (AREA)
  • Pharmacology & Pharmacy (AREA)
  • Public Health (AREA)
  • Animal Behavior & Ethology (AREA)
  • General Health & Medical Sciences (AREA)
  • Engineering & Computer Science (AREA)
  • Bioinformatics & Cheminformatics (AREA)
  • Nitrogen Condensed Heterocyclic Rings (AREA)
  • Pharmaceuticals Containing Other Organic And Inorganic Compounds (AREA)

Description

  • Die Erfindung bezieht sich auf 7H-Pyrrolo[2,3-d]pyrimidinderivate und auf Verfahren und neue Zwischenprodukte zu deren Herstellung, auf pharmazeutische Formulierungen, die solche Derivate enthalten, und auf die Verwendung dieser Derivate als Arzneimittel.
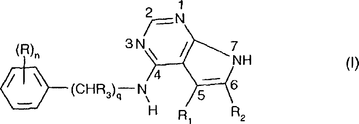
  • Demnach betrifft die Erfindung 7H-Pyrrolo[2,3-d]pyrimidinderivate der Formel I
    Figure 00010001
    worin
    n für 0 oder 1 steht,
    q für 0 oder 1 steht,
    R für Chlor steht,
    R1 für Wasserstoff steht, und
    R2 steht für
    • a) einen Rest der Formel II
      Figure 00010002
      worin u für 1 steht und R4 für N3-Niederalkylureido, N3-Phenylureido, N3-Niederalkylthioureido, Niederalkoxycarbonylamino, Benzyloxycarbonylamino, Morpholin-4-carbonyl, Piperazin-1-carbonyl, 4-Niederalkylpiperazin-1-carbonyl, Niederalkylsulfonylamino, Benzolsulfonylamino, Toluolsulfonylamino, Furan-2-carbonylamino, Thiophen-2-carbonylamino, Benzylamino, Hydroxymethyl oder einen Rest der Formel -N=C(R5)-R6 steht, worin R5 für Wasserstoff oder Niederalkyl steht und R6 für Diniederalkylamino, Piperidino, 4-Niederalkylpiperazino oder Morpholino steht, oder
    • b) einen Rest der Formel III
      Figure 00010003
      worin R7 für Niederalkoxy steht und R8 für Hydroxyl oder Benzyloxy steht, oder
    • c) Piperazin-1-carbonyl, 4-Niederalkylpiperazin-1-carbonyl, Morpholin-4-carbonyl, Thiocarbamoyl, Thiazol-2-yl, 4-(4-Methoxyphenyl)-thiazol-2-yl, 4-Ethylthiazol-2-yl, 4,5-Dimethylthiazol-2-yl, Tetrazol-5-yl, 2-Methyltetrazol-5-yl oder 1-Methyltetrazol-5-yl, oder
    • d) einen Rest der Formel -CH=N-OR9, worin R9 für Wasserstoff oder Niederalkyl steht und worin R3 für Wasserstoff oder Niederalkyl steht, oder ein pharmazeutisch akzeptables Salz hiervon, worin das Präfix Nieder für einen Rest mit bis zu und einschließlich maximal 7 Kohlenstoffatomen steht.
  • Unter dem Präfix nieder wird hierin und im Folgenden ein Rest von bis zu und einschließlich maximal 7 Kohlenstoffatomen verstanden, besonders mit bis zu und einschließlich maximal 4 Kohlenstoffatomen und besonders mit ein oder zwei Kohlenstoffatomen.
  • Vorzugsweise steht n für 0 oder besonders für 1. Gibt es nur einen Substituenten R, dann befindet sich dieser Substituent vorzugsweise in Stellung 3 am Phenylring. Sind zwei Substituenten R vorhanden, dann befinden sich diese Substituenten vorzugsweise in den Stellungen 3 und 4.
  • Das Halogen R ist Brom oder Iod oder vorzugsweise Fluor oder Chlor. Steht n für 1, dann ist R vorzugsweise Chlor.
  • Niederalkyl ist beispielsweise Methyl.
  • Niederalkanoyloxy ist beispielsweise Acetoxy.
  • Niederalkoxy ist beispielsweise Methoxy.
  • Niederalkanoyl ist beispielsweise Acetyl.
  • Niederalkoxycarbonyl ist beispielsweise Methoxycarbonyl.
  • N-Niederalkylcarbamoyl ist beispielsweise N-Methylcarbamoyl, N-(n-Butyl)-carbamoyl oder N-(3-Methylbut-1-yl)-carbamoyl.
  • N,N-Diniederalkylcarbamoyl ist beispielsweise N,N-Dimethylcarbamoyl.
  • Niederalkanoylamino ist beispielsweise Acetylamino.
  • Niederalkylamino ist beispielsweise Methylamino.
  • N,N-Diniederalkylamino ist beispielsweise Dimethylamino.
  • Niederalkoxycarbonylmethoxy ist beispielsweise Methoxycarbonylmethoxy.
  • Der Rest R1 ist vorzugsweise Wasserstoff.
  • Das Symbol u ist vorzugsweise 1, wobei sich in diesem Fall der Rest R4 vorzugsweise in Stellung 3 oder 4 des Phenylrings befindet.
  • Amidino ist ein Rest der Formel -C(=NH)-NH2.
  • Guanidino ist ein Rest der Formel -NH-C(=NH)-NH2.
  • Ureido ist ein Rest der Formel -NH-C(=O)-NH2.
  • N3-Niederalkylureido ist ein Rest der Formel -NH-C(=O)-NH-Niederalkyl, vorzugsweise N3-Ethylureido.
  • N3,N3-Diniederalkylureido ist ein Rest der Formel -NH-C(=O)-N-(Niederalkyl)2.
  • N3-Phenylureido ist ein Rest der Formel -NH-C(=O)-NH-Phenyl.
  • N3,N3-Diphenylureido ist ein Rest der Formel -NH-C(=O)-N-(Phenyl)2.
  • Thioureido ist ein Rest der Formel -NH-C(=S)-NH2.
  • N3-Niederalkylthioureido ist ein Rest der Formel -NH-C(=S)-NH-Niederalkyl, vorzugsweise N3-Methylthioureido.
  • N3,N3-Diniederalkylthioureido ist ein Rest der Formel -NH-C(=S)-N-(Niederalkyl)2.
  • Niederalkoxycarbonylamino ist beispielsweise Methoxycarbonylamino, Ethoxycarbonylamino, Isopropyloxycarbonylamino oder 2-Methylpropyloxycarbonylamino.
  • Morpholin-4-carbonyl wird auch als Morpholinocarbonyl bezeichnet.
  • 4-Niederalkylpiperazin-1-carbonyl ist vorzugsweise 4-Methylpiperazin-1-carbonyl.
  • Niederalkylsulfonylamino ist vorzugsweise Methylsulfonylamino, Ethylsulfonylamino oder Isopropylsulfonylamino.
  • Der Rest der Formel -N=C(R5)-R6, worin R5 für Wasserstoff steht und R6 für Diniederalkylamino steht, wird als Diniederalkylaminomethylenamino bezeichnet. Entsprechende Reste, worin R6 für Piperidino, 4-Niederalkylpiperazino oder Morpholino steht, werden als R6-Methylenaminoreste bezeichnet, worin R6 wie oben definiert ist, beispielsweise als Piperidinomethylamino.
  • R5 ist vorzugsweise Wasserstoff.
  • Diniederalkylamino R6 ist vorzugsweise Dimethylamino oder Diethylamino.
  • 4-Niederalkylpiperazino ist 4-Niederalkylpiperazin-1-yl, vorzugsweise 4-Methylpiperazin-1-yl.
  • Morpholino ist 4-Morpholinyl.
  • Niederalkoxy R7 ist vorzugsweise Methoxy.
  • Aminoniederalkyl R1 oder R2, dessen Aminogruppe substituiert ist durch ein oder zwei der Reste Hydroxyniederalkyl, Aminoniederalkyl, Carboxyniederalkyl, Niederalkoxycarbonylniederalkyl, Benzyloxycarbonylniederalkyl oder Benzyl, worin der Phenylrest unsubstituiert oder substituiert ist durch Halogen, Niederalkyl, Hydroxymethyl, Aminomethyl, Hydroxyl, Niederalkanoyloxy, Niederalkoxy, Carboxyl, Niederalkanoyl, Benzoyl, Niederalkoxycarbonyl, Carbamoyl, N-Niederalkylcarbamoyl, N,N-Diniederalkylcarbamoyl, Cyano, Amino, Niederalkanoylamino, Niederalkylamino, N,N-Diniederalkylamino oder Trifluormethyl, wobei diese Reste entsprechend substituiert sind durch Aminomethyl.
  • Aminoniederalkyl R1 oder R2, worin die Aminogruppe substituiert ist durch ein oder zwei Hydroxyniederalkylreste, ist vorzugsweise beispielsweise ein Rest der Formel -CH2-NH(CH2-CH2)2.
  • Aminoniederalkyl R1 oder R2, worin die Aminogruppe substituiert ist durch ein oder zwei Benzylreste, worin der Phenylrest unsubstituiert oder substituiert ist durch Halogen, Niederalkyl, Hydroxymethyl, Aminomethyl, Hydroxyl, Niederalkanoyloxy, Niederalkoxy, Carboxyl, Niederalkanoyl, Benzoyl, Niederalkoxycarbonyl, Carbamoyl, N-Niederalkylcarbamoyl, N,N-Diniederalkylcarbamoyl, Cyano, Amino, Niederalkanoylamino, Niederalkylamino, N,N-Diniederalkylamino oder Trifluormethyl, ist vorzugsweise beispielsweise ein Rest der Formel -CH2-NH-CH2-C6H4-OCH3, wie besonders 4-Methoxyphenylmethylaminomethyl oder 4-Hydroxyphenylmethylaminomethyl.
  • Thiocarbamoyl ist der Rest der Formel -C(=S)-NH2 und wird auch als Aminothiocarbonyl bezeichnet.
  • Ein heterocyclischer Rest R1 oder R2, der über ein Ringkohlenstoffatom gebunden ist und fünf Ringglieder und 1 bis 4 Ringheteroatome aufweist, die ausgewählt sind aus Sauerstoff, Stickstoff und Schwefel, ist unsubstituiert oder substituiert, und beispielsweise Pyrrolyl, Thienyl, Furyl oder vorzugsweise Tetrazol-5-yl, das unsubstituiert oder substituiert ist durch Niederalkyl, oder Thiazol-2-yl, das unsubstituiert oder substituiert ist durch Niederalkoxyphenyl, wie beispielsweise Thiazol-2-yl, 4-(4-Methoxyphenyl)-thiazol-2-yl, 4-Ethylthiazol-2-yl oder 4,5-Dimethylthiazol-2-yl.
  • Tetrazol-5-yl ist 1H-Tetrazol-5-yl oder das tautomere 2H-Tetrazol-5-yl oder ein Gemisch dieser beiden tautomeren Formen.
  • Tetrazol-5-yl, das durch Niederalkyl substituiert ist, ist N1-Niederalkyltetrazol-5-yl oder N2-Niederalkyltetrazol-5-yl, besonders 1-Methyltetrazol-5-yl oder 2-Methyltetrazol-5-yl.
  • Ein heterocyclischer Rest, der kein Piperazinyl ist und der fünf oder sechs Ringglieder enthält und 1 bis 4 Ringheteroatome, die ausgewählt sind aus Sauerstoff, Stickstoff und Schwefel, ist ein solcher unsubstituierter oder substituierter Rest, beispielsweise Pyrrolyl, Thienyl, Furyl oder Tetrazol-5-yl, das unsubstituiert oder substituiert ist durch Niederalkyl, Thiazol-2-yl, das unsubstituiert oder substituiert ist durch Niederalkoxyphenyl, oder Morpholino oder 4-Niederalkylpiperazin-1-yl.
  • Niederalkyl R1 oder R2, das durch einen solchen heterocyclischen Rest substituiert ist, ist vorzugsweise geeignet substituiertes Methyl, vorzugsweise 4-Methylpiperazin-1-ylmethyl oder Morpholinomethyl.
  • Der Rest -CH=N-OR9R1 oder R2 kann die trans-Konfiguration oder die cis-Konfiguration haben.
  • Phenyl R1 oder R2, das substituiert ist durch Halogen, Niederalkyl, Trifluormethyl oder Niederalkoxy, ist beispielsweise 4-Methoxyphenyl. R1 oder R2 können aber nur Phenyl sein, das so substituiert ist, wenn in der Formel I das Symbol q für 1 steht.
  • R3 ist vorzugsweise Methyl.
  • Salze von Verbindungen der Formel I sind besonders Säureadditionssalze mit organischen oder anorganischen Säuren, besonders die pharmazeutisch akzeptablen und nicht toxischen Salze. Geeignete anorganische Salze sind beispielsweise Salze von Kohlensäure, vorzugsweise in der Form von Carbonaten oder Hydrogencarbonaten, Halogenwasserstoffsäuren, wie Chlorwasserstoffsäure, Schwefelsäure oder Phosphorsäure. Geeignete organische Säuren sind beispielsweise Carbonsäuren, Phosphonsäuren, Schwefelsäuren oder Sulfaminsäuren, wie beispielsweise Essigsäure, Propionsäure, Octansäure, Decansäure, Dodecansäure, Glycolsäure, Milchsäure, 2-Hydroxybuttersäure, Gluconsäure, Glucosemonocarbonsäure, Fumarsäure, Bernsteinsäure, Adipinsäure, Pimelinsäure, Suberinsäure, Azelainsäure, Apfelsäure, Weinsäure, Citronensäure, Glucarsäure, Galactarsäure, Aminosäuren, wie Glutaminsäure, Asparaginsäure, N-Methylglycin, Acetylaminoessigsäure, N-Acetylasparaginsäure oder N-Acetylcystein, Pyruvasäure, Acetoessigsäure, Phosphoserin, 2- oder 3-Glycerophosphorsäure, Glucose-6-phosphorsäre, Glucose-1-phosphorsäure, Fructose-1,6-bisphosphorsäre, Maleinsäure, Hydroxymaleinsäure, Methylmaleinsäure, Cyclohexancarbonsäure, Adamantancarbonsäure, Benzoesäure, Salicylsäure, 1- oder 3-Hydroxynaphthyl-2-carbonsäure, 3,4,5-Trimethoxybenzoesäure, 2-Phenoxybenzoesäure, 2-Acetoxybenzoesäure, 4-Aminosalicylsäure, Phthalsäure, Phenylessigsäure, Mandelsäure, Zimtsäure, Nicotinsäure, Isonicotinsäure, Glucuronsäure, Galacturonsäure, Methansulfonsäure, Ethansulfonsäure, 2-Hydroxyethansulfonsäure, Ethan-1,2-disulfonsäure, Benzolsulfonsäure, 2-Naphthalinsulfonsäure, 1,5-Naphthalindisulfonsäure, 2-, 3- oder 4-Methylbenzolsulfonsäure, Methylschwefelsäure, Ethylschwefelsäure, Dodecylschwefelsäure, N-Cyclohexylsulfaminsäure, N-Methyl-, N-Ethyl- oder N-Propylsulfaminsäure oder andere organische Protonensäuren, wie Ascorbinsäuren.
  • Verbindungen der Formel I, die wenigstens eine saure Gruppe enthalten, wie beispielsweise eine freie Carboxylgruppe, sind auch zur Bildung innerer Salze, Metallsalze oder Ammoniumsalze befähigt, wie Salze von Alkalimetallen oder Erdalkalimetallen, beispielsweise Salze von Natrium, Kalium, Magnesium oder Calcium, Salze von Ammonium mit Ammoniak oder geeigneten organischen Aminen, wie tertiä ren Monoaminen, beispielsweise Triethylamin oder Tri-(2-hydroxyethyl)-amin, oder heterocyclische Basen, beispielsweise N-Ethylpiperidin oder N,N'-Dimethylpiperazin.
  • Zu Zwecken einer Isolierung oder Reinigung können auch Salze verwendet werden, die nicht pharmazeutisch geeignet sind, beispielsweise Picrate oder Perchlorate. Für therapeutische Zwecke werden aber nur Salze verwendet, die – bei den geeigneten Dosen – pharmazeutisch akzeptabel und nicht toxisch sind, und diese Salze sind daher bevorzugt.
  • Im Hinblick auf die nahe Verwandtschaft zwischen den neuen Verbindungen in freier Form oder in Form ihrer Salze unter Einschluss der Salze, die als Zwischenprodukte verwendet werden können, beispielsweise zur Reinigung oder Identifikation der neuen Verbindungen, werden hierin die freien Verbindungen verstanden, wie die entsprechenden Salze, sofern diese geeignet und zweckdienlich sind.
  • Die Verbindungen der Formel I verfügen über wertvolle pharmazeutisch brauchbare Eigenschaften. Sie entwickeln besonders spezifische Inhibitoraktivitäten, die von pharmakologischem Interesse sind. Sie sind primär wirksam als Protein-Tyrosin-Kinase Inhibitoren und/oder – weiterhin – auch als Inhibitoren für Protein-Serin/Threonin-Kinasen. Sie verfügen beispielsweise über eine starke Inhibition der Tyrosin-Kinase Aktivität des Rezeptors für den epidermalen Wachstumsfaktor (EGF) und von c-erbB2-Kinase. Diese Rezeptor-spezifischen Enzymaktivitäten spielen eine Schlüsselrolle bei einer Signaltransmission in einer großen Anzahl an Säugerzellen unter Einschluss menschlicher Zellen, besonders Epithelzellen, Zellen des Immunsystems und Zellen des zentralen und peripheren Nervensystems. So ist beispielsweise in verschiedenen Zellarten eine EGF-induzierte Aktivierung der Rezeptor-assoziierten Protein-Tyrosin-Kinase (EGF-R-PTK) eine Voraussetzung für eine Zellteilung und somit für die Proliferation der Zellpopulation. Gleiches gilt analog auch für anderen Proteinkinasen, wie sie oben und im Folgenden erwähnt sind.
  • Zusätzlich zu oder anstatt einer Inhibition einer EGF-Rezeptor-Protein-Tyrosin-Kinase inhibieren die Verbindungen der Formel I auch in unterschiedlichen Ausmaßen andere Proteintyrosinkinasen, die bei einer Signaltransmission involviert sind, welche durch trophische Faktoren mediiert werden, wie beispielsweise abl Kinase, besonders v-abl Kinase, Kinasen aus der Familie der src Kinasen, besonders der c-src Kinase, Ick, fyn, andere Kinasen aus der EGF Familie, beispielsweise c-erbB2 Kinase (HER-2), c-erbB3 Kinase, c-erbB4 Kinase, Mitglieder der Familie der PDGF Rezeptor-Protein-Tyrosin-Kinasen, beispielsweise von PDGF-Rezeptor-Kinase, CSF-1 Rezeptor-Kinase, Kit-Rezeptor-Kinase, VEGF-Rezeptor-Kinase und FGF-Rezeptor-Kinase, der Rezeptor-Kinase des Insulin-ähnlichen Wachstumsfaktors (IGF-1 Kinase) und der Serin/Threonin-Kinasen, beispielsweise von Protein-Kinase C oder cdc Kinasen, die alle einen Teil in einer Wachstumsregulation und Transformation in Säugerzellen unter Einschluss menschlicher Zellen spielen.
  • Die Inhibition von EGF-Rezeptor-spezifischer Protein-Tyrosin-Kinase (EGF-R-PTK) kann unter Verwendung bekannter Verfahren gezeigt werden, beispielsweise unter Verwendung der rekombinanten intrazellularen Domain des EGF-Rezeptors (EGF-R ICD, wozu beispielsweise hingewiesen wird auf E. McGlynn et al., Europ. J. Biochem. 207, Seiten 265 bis 275 (1992)). Im Vergleich zur Kontrolle ohne Inhibitor inhibieren die Verbindungen der Formel I die Enzymaktivität um 50% (IC50-Wert) beispielsweise in einer Konzentration von 0,0005 bis 1 μM, besonders von 0,001 bis 0,1 μM.
  • Die Wirkung der Verbindungen der Formel I auf eine EGF-stimulierte zellulare Tyrosin-Phosphorylierung im EGF-Rezeptor kann bestimmt werden bei der humanen A431 Epithelkarzinomzelllinie mittels eines ELISAs, wie dies beispielsweise beschrieben ist von U. Trinks et al. in J. Med. Chem. 37:7, Seiten 1015 bis 1027 (1994). Bei diesem Test (EGFR-ELISA) zeigen die Verbindungen der Formel I einen IC50-Wert von etwa 0,001 bis 1 μM.
  • Eine Stimulation mit quieszenten BALB/c3T3 Zellen mit EGF ergibt eine rasche Induktion der Expression von c-fos mRNA. Eine Vorbehandlung der Zellen mit einer Verbindung der Formel I vor der Stimulation mit EGF inhibiert eine c-fos Expression bei einem IC50-Wert von etwa 0,001 bis 0,1 μM. Dieses Testverfahren wird ebenfalls von U. Trinks et al. in J. Med. Chem. 37:7, Seiten 1015 bis 1027 (1994) beschrieben.
  • Auch im mikromolaren Bereich zeigen die Verbindungen der Formel I eine Inhibition, beispielsweise eine Inhibition des Zellwachstums der EGF-abhängigen Zelllinien, beispielsweise der Kartinocytenzelllinie einer epidermoiden BALB/c-Maus, wozu beispielsweise hingewiesen wird auf B. A. Weissmann und S. A. Aaronson, Cell 32, Seite 599 (1983), oder der A431 Zelllinie, welche beide anerkanntermaßen als Standardquellen von EGF-abhängigen Epithelzellen brauchbar sind, wozu hingewiesen wird auf G. Carpenter und J. Zendegni in J. Anal. Biochem. 153, Seiten 279 bis 282 (1985). Bei einer bekannten Testmethode, wozu beispielsweise hingewiesen wird auf Meyer et al. in Int. J. Cancer 43, Seite 851 (1989), wird die inhibitorische Wirksamkeit der Verbindungen der Formel I kurz wie folgt bestimmt.
  • BALB/MK-Zellen (10000/Loch einer Mikrotiterplatte) werden in Mikrotiterplatten mit 96 Löchern übertragen. Die Testverbindungen werden (gelöst in DMSO) in einer Reihe an Konzentrationen (Verdünnungsreihen) derart zugegeben, dass die Endkonzentration an DMSO nicht über 1% (Vol./Vol.) hinausgeht. Nach Zusatz werden die Platten 3 Tage inkubiert, wobei während dieser Zeit die Kontrollkulturen ohne eine Testverbindung wenigstens 3 Zellteilzyklen erfahren können. Das Wachstum der MK Zellen wird durch eine Anfärbung mit Methylenblau wie folgt bestimmt: Nach der Inkubation werden die Zellen mit Glutaraldehyd fixiert, mit Wasser gewaschen und mit 0,05% Methylenblau angefärbt. Nach einer Waschstufe wird die Anfärbung mit 3% HCl eluiert und die optische Dichte pro Loch der Mikrotiterplatte mittels eines Geräts Titertek Multiscan bei 665 nm gemessen. Die IC50-Werte werden durch ein computerunterstütztes System unter Anwendung der folgenden Formel bestimmt: IC50 = [(ODTest – ODStart)/(ODKontrolle – ODStart)] × 100.
  • Der IC50-Wert dieser Experimente ist angegeben als die Konzentration der jeweiligen Testverbindung, die eine Zellzählung ergibt, die über 50% niedriger ist als die unter Verwendung der Kontrolle ohne Inhibitor erhaltene Zellzählung. Dabei entwickeln die Verbindungen der Formel I eine Inhibitoraktivität im mikromolaren Bereich, beispielsweise einen IC50-Wert von etwa 0,1 bis 1 μM.
  • Die Verbindungen der Formel I zeigen auch eine Inhibition des Wachstums von Tumorzellen in vivo, was beispielsweise durch folgenden Test belegt werden kann. Dieser Test beruht auf einer Inhibition des Wachstums des humanen Epidermoidkarzinoms A431 (ATCC Nr. CRL 1555, American Type Culture Collection, Rockville, Maryland, USA, wozu hingewiesen wird auf J. B. Santon et al., Cancer Research 46, Seiten 4701 bis 4705 (1986) und auf S. Ozawa et al., Int. J. Cancer 40, Seiten 706 bis 710 (1987), das in eine weibliche BALG/c Nacktmaus (Bomholtgard, Dänemark) transplantiert wird. Dieses Karzinom weist ein Wachstum auf, das mit dem Ausmaß der Expression des EGF-Rezeptors korreliert. Bei diesem Experiment werden Tumoren, die ein Volumen von etwa 1 cm3 haben und in vivo gezüchtet worden sind, chirurgisch unter sterilen Bedingungen aus den Experimentaltieren entfernt. Anschließend werden die Tumoren zerkleinert und in 10 Volumina (Gewicht pro Volumen) einer Phosphat-gepufferten Kochsalzlösung suspendiert. Sodann wird diese Suspension subkutan in die linke Flanke der Tiere injiziert (0,2 ml/Maus in einer Phosphat-gepufferten Kochsalzlösung). Alternativ können 1 × 106 Zellen aus einer in vitro Kultur in 0,2 ml Phosphat-gepufferter Kochsalzlösung injiziert werden. Eine Behandlung mit Testverbindungen der Formel I wird 5 oder 7 Tage nach Transplantation gestartet, sobald die Tumoren einen Durchmesser von 4 bis 5 mm erreicht haben. Der jeweilige Wirkstoff wird einmal täglich während 15 aufeinanderfolgender Tage verabreicht, und zwar in unterschiedlichen Dosen für unterschiedliche Tiergruppen. Das Tumorwachstum wird durch Messung des Durchmessers der Tumoren längs der drei Achsen gemessen, die senkrecht zueinander stehen. Die Tumorvolumina werden unter Anwendung der bekannten Formel p × L × D2/6 berechnet, wozu hingewiesen wird auf B. D. Evans et al. in Brit. J. Cancer 45, Seiten 466 bis 468 (1982). Die Ergebnisse werden in Prozentwerten des Verhältnisses von Behandlung zu Kontrolle angegeben (T/C × 100 = T/C%). Bei einer Dosis von 3 bis 50 mg/kg Wirkstoff wird eine distinkte Inhibition des Tumorwachstums gefunden, beispielsweise bei T/C% Werten von weniger als 10, was für eine starke Inhibition des Tumorwachstums spricht.
  • Genauso wie oder anstelle einer Inhibition der EGF-Rezeptor-Protein-Tyrosin-Kinase zeigen die Verbindungen der Formel I auch eine Hemmung bei anderen Protein-Tyrosin-Kinasen, die in einer Signaltransmission involviert sind, welche durch trophische Faktoren mediiert wird, wie beispielsweise bei abl-Kinase, besonders bei v-abl-Kinase (IC50-Werte von beispielsweise 0,01 bis 5 μM), bei Kinasen aus der Familie der src-Kinasen, wie besonders von c-src-Kinase (IC50-Werte von beispielsweise 0,1 bis 10 μM) und bei c-erbB2-Kinase (HER-2) und bei Serin/Threonin-Kinasen, beispielsweise bei Protein-Kinase C, wobei alle diese Kinasen in der Wachstumsregulierung und Transformation in Säugerzellen unter Einschluss menschlicher Zellen involviert sind.
  • Die oben erwähnte Inhibition von v-abl-Tyrosin-Kinase wird unter Anwendung der Verfahren bestimmt, wie sie beispielsweise beschrieben sind von N. Lydon et al., Oncogene Research 5, Seiten 161 bis 173 (1990) und von J. F. Geissler et al., Cancer Research 52, Seiten 4492 bis 4498 (1992). Bei diesen Verfahren werden [Val5]-Angiotensin II und [γ32P]-ATP als Substrate verwendet.
  • Die Inhibition von c-erbB2-Tyrosin-Kinase (HER-2) kann beispielsweise bestimmt werden in Analogie zum für EGF-R-TPK verwendeten Verfahren, wozu hingewiesen wird auf C. House et al., Europ. J. Biochem. 140, Seiten 363 bis 367 (1984). Die c-erbB2-Kinase kann isoliert und bezüglich ihrer Aktivität bestimmt werden unter Anwendung an sich bekannter Protokolle, beispielsweise entsprechend T. Akiyama et al., Science 232, Seite 1644 (1986).
  • Die Verbindungen der Formel I, die die Tyrosin-Kinase-Aktivität des Rezeptors für den epidermalen Wachstumsfaktor (EGF) und weitere der oben erwähnten anderen Protein-Tyrosin-Kinasen hemmen, eignen sich daher beispielsweise für die Behandlung benigner oder maligner Tumoren. Sie sind brauchbar zur Bewirkung einer Tumorregression und Verhinderung der Bildung von Tumormetastasen und des Wachstums von Mikrometastasen. Sie können besonders im Fall einer epidermalen Hyperproliferation (Psoriasis) für die Behandlung von Neoplasien von epithelialem Charakter, beispielsweise von Mammakarzinomen, und von Leukämien verwendet werden. Darüber hinaus lassen sich die Verbindungen der Formel I und besonders die neuen Verbindungen hiervon auch verwenden für die Behandlung solcher Störungen des Immunsystems, bei denen mehrere oder besonders individuelle Protein-Tyrosin-Kinasen und/oder weiterhin auch Protein-Serin/Threonin-Kinasen involviert sind. Weiter können diese Verbindungen der Formel I auch verwendet werden für die Behandlung von Störungen des zentralen oder peripheren Nervensystems, bei denen eine Signaltransmission durch mehrere oder besonders eine einzelne Protein-Tyrosin-Kinase und/oder weiterhin Protein-Serin/Threonin-Kinasen involviert sind.
  • Allgemein bezieht sich die vorliegende Erfindung daher auch auf die Verwendung der Verbindungen der Formel I für die Inhibition der erwähnten Protein-Kinasen.
  • Dabei können die erfindungsgemäßen Verbindungen sowohl allein als auch in Kombination mit anderen pharmakologisch wirksamen Verbindungen angewandt werden, beispielsweise zusammen mit Inhibitoren der Enzyme einer Polyaminsynthese, Inhibitoren für Protein-Kinase C, Inhibitoren anderer Tyrosin-Kinasen, Cytokine, negative Wachstumsregulatoren, beispielsweise TGF-β oder IFN-β, Aromatase-Inhibitoren, Antiöstrogenen und/oder cytostatischen Mitteln angewandt werden.
  • Bei den im Folgenden erwähnten bevorzugten Gegenständen der Erfindung können allgemeine Definitionen durch speziellere Definitionen, wie sie zu Beginn angegeben worden sind, ersetzt werden, sofern dies geeignet und zweckdienlich ist.
  • Am meisten bevorzugt sind die Verbindungen der Formel I, welche in den Beispielen beschrieben sind, und deren pharmazeutisch akzeptable Salze.
  • Die Verbindungen der Formel I und ihre Salze werden nach an sich bekannten Verfahren hergestellt, nämlich durch
    • a) Umsetzung eines Pyrrolo[2,3-d]pyrimidinderivats der Formel IV
      Figure 00080001
      worin X eine geeignete Abgangsgruppe ist, Z für Wasserstoff oder 1-Arylniederalkyl steht und die anderen Substituenten wie oben für die Verbindungen der Formel I definiert sind, wobei in den Resten R1 und R2 vorhandene freie funktionale Gruppen erforderlichenfalls durch Schutzgruppen geschützt sind, mit einem Anilinderivat der Formel V
      Figure 00080002
      worin R, R3, n und q wie oben für die Verbindungen der Formel I definiert sind, wobei im Rest R vorhandene freie funktionale Gruppen erforderlichenfalls durch Schutzgruppen geschützt sind, und Entfernung der vorhandenen Schutzgruppen und, falls vorhanden, auch des 1-Arylniederalkylrests Z, oder
    • b) Umsetzung eines Pyrrolo[2,3-d]pyrimidin-4-on-derivats der Formel VI
      Figure 00090001
      worin Z' für 1-Arylniederalkyl steht und R1 und R2 wie oben für die Verbindungen der Formel I definiert sind, wobei in den Resten R1 und R2 vorhandene freie funktionale Gruppen erforderlichenfalls durch Schutzgruppen geschützt sind, in Gegenwart eines Dehydratationsmittels und eines tertiären Amins, mit einem Phenylamin der obigen Formel V und Entfernung der vorhandenen Schutzgruppen, oder
    • e) zur Herstellung einer Verbindung der Formel I, worin einer der Reste R1 und R2 ein Rest der Formel -CH=N-OR9 ist, worin R9 für Wasserstoff oder Niederalkyl steht, und die anderen Substituenten wie oben für die Verbindungen der Formel I definiert sind, Umsetzung einer Verbindung der Formel I, worin einer der Reste R1 und R2 für Formyl steht und die anderen Substituenten wie oben für die Verbindungen der Formel I definiert sind, wobei im Rest R vorhandene freie funktionale Gruppen erforderlichenfalls durch Schutzgruppen geschützt sind, mit einem Hydroxylaminderivat der Formel VIII H2N-O-R12 (VIII)worin R12 für Wasserstoff oder Niederalkyl steht, und Entfernung der vorhandenen Schutzgruppen, oder
    • f) zur Herstellung einer Verbindung der Formel I, worin einer der Reste R1 und R2 für Piperidin-1-carbonyl, Piperazin-1-carbonyl, 4-Niederalkylpiperazin-1-carbonyl oder Morpholin-4-carbonyl steht, und der andere dieser Substituenten wie oben für die Verbindung der Formel I definiert ist, Umsetzung einer Verbindung der Formel I, worin einer der Reste R1 und R2 für Carboxyl steht und die anderen Substituenten wie oben für die Verbindungen der Formel I definiert sind, wobei im Rest R vorhandene freie funktionale Gruppen erforderlichenfalls durch Schutzgruppen geschützt sind, oder einem reaktiven Carbonsäurederivat einer solchen Verbindung, mit einem Amin der Formel VII HN(R10)R11 (VII)worin die Reste R10 und R11 zusammen für Pentan-1,5-diyl, 3-Azapentan-1,3-diyl, 3-N-Niederalkyl-3-azapentan-1,3-diyl oder 3-Oxapentan-1,3-diyl stehen, und Entfernung der vorhandenen Schutzgruppen, oder
    • g) zur Herstellung einer Verbindung der Formel I, worin einer der Reste R1 und R2 für Thiocarbamoyl steht und die anderen Substituenten wie oben für die Verbindungen der Formel I definiert sind, Umsetzung einer Verbindung der Formel I, worin einer der Reste R1 und R2 für Aminocarbonyl steht und die anderen Substituenten wie oben für die Verbindungen der Formel I definiert sind, wobei freie funktionale Gruppen, die im Rest R vorhanden sind, erforderlichenfalls durch Schutzgruppen geschützt werden, mit einem Lawesson-Reagenz, und anschließende Entfernung der vorhandenen Schutzgruppen, oder
    • h) zur Herstellung einer Verbindung der Formel I, worin einer der Reste R1 und R2 für R13-Thiazol-2-yl steht, worin R13 jeweils für Ethyl oder Niederalkoxyphenyl steht, und die anderen Substituenten wie oben für die Verbindungen der Formel I definiert sind, Umsetzung einer Verbindung der Formel I, worin einer der Reste R1 und R2 für Thiocarbamoyl steht, und die anderen Substituenten wie oben für die Verbindungen der Formel I definiert sind, wobei im Rest R vorhandene freie funktionale Gruppen erforderlichenfalls durch Schutzgruppen geschützt sind, mit einer Verbindung der Formel IX
      Figure 00100001
      worin X für eine Abgangsgruppe steht und R13 jeweils für Ethyl oder Niederalkoxyphenyl steht, wobei im Rest R13 vorhandene freie funktionale Gruppen erforderlichenfalls durch Schutzgruppen geschützt sind, und anschließende Entfernung der vorhandenen Schutzgruppen, oder
    • i) zur Herstellung einer Verbindung der Formel I, worin einer der Reste R1 und R2 für Tetrazol-5-yl steht, und die anderen Substituenten wie oben für die Verbindungen der Formel I definiert sind, Umsetzung einer Verbindung der Formel I, worin einer der Reste R1 und R2 für Cyano steht, und die anderen Substituenten wie oben für die Verbindungen der Formel I definiert sind, wobei im Rest R vorhandene freie funktionale Gruppen erforderlichenfalls durch Schutzgruppen geschützt sind, mit einem geeigneten Alkalimetallazid, und anschließende Entfernung der vorhandenen Schutzgruppen, oder
    • j) zur Herstellung einer Verbindung der Formel I, worin einer der Reste R1 und R2 für 2-Niederalkyltetrazol-5-yl steht und die anderen Substituenten wie oben für die Verbindungen der Formel I definiert sind, Umsetzung einer Verbindung der Formel I, worin einer der Reste R1 und R2 für Tetrazol-5-yl steht und die anderen Substituenten wie oben für die Verbindungen der Formel I definiert sind, wobei im Rest R vorhandene freie funktionale Gruppen erforderlichenfalls durch Schutzgruppen geschützt sind, mit dem geeigneten Niederalkyliodid, und anschließende Entfernung der vorhandenen Schutzgruppen, oder
    • k) zur Herstellung einer Verbindung der Formel I, worin einer der Reste R1 und R2 für einen Rest der Formel II steht
      Figure 00110001
      worin wenigstens einer der Reste R4 für Niederalkylsulfonylamino, Benzolsulfonylamino oder Toluolsulfonylamino steht, und die anderen Substituenten und Symbole wie oben für die Verbindungen der Formel I definiert sind, Umsetzung einer Verbindung der Formel I, worin einer der Reste R1 und R2 für einen Rest der Formel II steht, worin wenigstens ein Rest R4 für Amino steht und die anderen Substituenten und Symbole wie oben für die Verbindungen der Formel I definiert sind, wobei im Rest R vorhandene freie funktionale Gruppen erforderlichenfalls durch Schutzgruppen geschützt sind, und, falls vorhanden, die anderen Reste R4 erforderlichenfalls durch Schutzgruppen geschützt sind, mit einer Verbindung der Formel X R14-SO2-X (X)worin X für Chlor oder Brom steht und R14 für Niederalkyl, Phenyl oder 4-Methylphenyl steht, und anschließende Entfernung der vorhandenen Schutzgruppen, oder
    • l) zur Herstellung einer Verbindung der Formel I, worin einer der Reste R1 und R2 für einen Rest der Formel II steht
      Figure 00110002
      worin wenigstens ein Rest R4 für einen Rest der Formel -N=C(R5)-R6 steht, worin R5 für Wasserstoff steht und R6 wie oben für die Verbindungen der Formel I definiert ist, und die anderen Substituenten und Symbole wie oben für die Verbindungen der Formel I definiert sind, Umsetzung einer Verbindung der Formel I, worin einer der Reste R1 und R2 für einen Rest der Formel II steht, worin wenigstens ein Rest R4 für Amino steht und die anderen Substituenten und Symbole wie oben für die Verbindungen der Formel I definiert sind, wobei im Rest R vorhandene freie funktionale Gruppen erforderlichenfalls durch Schutzgruppen geschützt sind, und, falls vorhanden, die anderen Reste R4 erforderlichenfalls durch Schutzgruppen geschützt sind, mit einem Acetal der Formel XI
      Figure 00110003
      worin R15 und R16 jeweils individuell für Niederalkyl stehen oder zusammen für Pentan-1,5-diyl, 3-N-Niederalkyl-3-azapentan-1,5-diyl oder 3-Oxapentan-1,5-diyl stehen, und R17 für Niederalkyl steht, und anschließende Entfernung der vorhandenen Schutzgruppen, oder
    • m) zur Herstellung einer Verbindung der Formel I, worin einer der Reste R1 und R2 für einen Rest der Formel II steht
      Figure 00120001
      worin wenigstens ein Rest R4 für N3-Niederalkylureido oder N3-Phenylureido steht und die anderen Substituenten und Symbole wie oben für die Verbindungen der Formel I definiert sind, Umsetzung einer Verbindung der Formel I, worin einer der Reste R1 und R2 für einen Rest der Formel II steht, worin wenigstens ein Rest R4 für Amino steht und die anderen Substituenten und Symbole wie oben für die Verbindungen der Formel I definiert sind, wobei im Rest R vorhandene freie funktionale Gruppen erforderlichenfalls durch Schutzgruppen geschützt sind, und, falls vorhanden, die anderen Reste R4 erforderlichenfalls durch Schutzgruppen geschützt sind, mit einem Isocyanat der Formel XII R18-N=C=O (XII)worin R18 für Niederalkyl oder Phenyl steht, und anschließende Entfernung der vorhandenen Schutzgruppen, oder
    • n) zur Herstellung einer Verbindung der Formel I, worin einer der Reste R1 und R2 für einen Rest der Formel II steht
      Figure 00120002
      worin wenigstens ein Rest R4 für N3-Niederalkylthioureido oder N3-Phenylthioureido steht und die anderen Substituenten und Symbole wie oben für die Verbindungen der Formel I definiert sind, Umsetzung einer Verbindung der Formel I, worin einer der Reste R1 und R2 für einen Rest der Formel II steht, worin wenigstens ein Rest R4 für Amino steht und die anderen Substituenten und Symbole wie oben für die Verbindungen der Formel I definiert sind, wobei im Rest R vorhandene freie funktionale Gruppen erforderlichenfalls durch Schutzgruppen geschützt sind, und, falls vorhanden, die anderen Reste R4 erforderlichenfalls durch Schutzgruppen geschützt sind, mit Isothiocyanat der Formel XIII R18-N=C=S (XIII)worin R18 für Niederalkyl oder Phenyl steht, und anschließende Entfernung der vorhandenen Schutzgruppen, oder
    • o) zur Herstellung einer Verbindung der Formel I, worin einer der Reste R1 und R2 für einen Rest der Formel II steht,
      Figure 00130001
      worin wenigstens ein Rest R4 für Niederalkoxycarbonylamino oder Benzyloxycarbonylamino steht und die anderen Substituenten und Symbole wie oben für die Verbindungen der Formel I definiert sind, Umsetzung einer Verbindung der Formel I, worin einer der Reste R1 und R2 für einen Rest der Formel II steht, worin wenigstens ein Rest R4 für Amino steht und die anderen Substituenten und Symbole wie oben für die Verbindungen der Formel I definiert sind, wobei im Rest R vorhandene freie funktionale Gruppen erforderlichenfalls durch Schutzgruppen geschützt sind, und, falls vorhanden, die anderen Reste R4 erforderlichenfalls durch Schutzgruppen geschützt sind, mit einem Chlorameisensäureester der Formel XIV Cl-C(=O)-OR18 (XIV)worin R18 für Niederalkyl oder Benzyl steht, und anschließende Entfernung der vorhandenen Schutzgruppen,
    und nach Durchführung einer der Verfahrensvarianten a) bis o) erforderlichenfalls zur Herstellung eines Salzes Umwandlung einer erhaltenen freien Verbindung der Formel I in ein Salz oder, erforderlichenfalls, zur Herstellung einer freien Verbindung Umwandlung eines erhaltenen Salzes einer Verbindung der Formel I in die freie Verbindung,
    worin das Präfix Nieder für einen Rest mit bis zu und einschließlich maximal 7 Kohlenstoffatomen steht.
  • Detaillierte Beschreibung der einzelnen Verfahrensstufen
  • Die obigen Verfahren werden im Folgenden im Detail beschrieben, wozu beispielsweise hingewiesen wird auf DE 30 36 390 A und A. Jorgensen et al., J. Heterocycl. Chem. 22, 859 (1985). In der nun folgenden präziseren Beschreibung sind, sofern nichts anderes gesagt ist, die Reste R, R1 und R2 und der Index n wie für die Verbindungen der Formel I definiert.
  • Allgemeine Punkte
  • Die Endprodukte der Formel I können Substituenten enthalten, die auch als Schutzgruppen in Ausgangsmaterialien für die Herstellung anderer Endprodukte der Formel I verwendet werden können. Sofern im vorliegenden Kontext nichts anderes gesagt ist, bezieht sich die Bezeichnung Schutzgruppe, wie sie in diesem Text verwendet wird, auf die Bezeichnung nur einer leicht entfernbaren Gruppe, die kein Bestandteil des besonderen gewünschten Endprodukts der Formel I ist.
  • Verfahren a)
  • In der Verbindung der Formel IV ist eine geeignete Abgangsgruppe X vorzugsweise Halogen, wie Brom, Iod oder insbesondere Chlor. Ein 1-Arylniederalkyl Z ist vorzugsweise 1-Phenylniederalkyl, besonders 1-Phenylethyl oder insbesondere Benzyl.
  • Die in den Resten R1 und R2 vorhandenen funktionalen Gruppen, die erforderlichenfalls durch leicht entfernbare Schutzgruppen geschützt sind, sind besonders Amino oder Niederalkylamino.
  • Schutzgruppen und ihre Einführung und Entfernung werden beispielsweise beschrieben in Protective Groups in Organic Chemistry, Plenum Press, London, New York, 1973, und in Methoden der Organischen Chemie, Houben-Weyl, 4. Auflage, Band 15/1, Georg-Thieme-Verlag, Stuttgart, 1974, und in Theodors W. Greene, Protective Groups in Organic Synthesis, John Wiley & Sons, New York, 1981. Ein Charakteristikum der Schutzgruppen ist, dass sie leicht entfernt werden können, nämlich ohne dass unerwünschte Sekundärreaktionen stattfinden, beispielsweise durch Solvolyse, Reduktion, Photolyse oder alternativ unter physiologischen Bedingungen.
  • Eine Aminogruppe kann beispielsweise in Form einer leicht abspaltbaren Acylamino-, Arylmethylamino-, veretherten Mercaptoamino- oder 2-Acylniederalk-1-enylaminogruppe vorhanden sein.
  • In einer entsprechenden Acylaminogruppe bedeutet Acyl beispielsweise den Acylrest einer organischen Carbonsäure mit beispielsweise bis zu 18 Kohlenstoffatomen, besonders einer unsubstituierten oder substituierten Carbonsäure, beispielsweise einer durch Halogen oder Aryl substituierten Alkancarbonsäure oder einer unsubstituierten oder substituierten, beispielsweise durch Halogen, Niederalkoxy oder Nitro substituierten Benzoesäure, oder eines Carbonsäurehemiesters. Solche Acylgruppen sind beispielsweise Niederalkanoyl, wie Formyl, Acetyl oder Propionyl, Halogenniederalkanoyl, wie 2-Halogenacetyl, besonders 2-Chlor-, 2-Brom-, 2-Iod-, 2,2,2-Trifluor- oder 2,2,2-Trichloracetyl, das unsubstituiert oder substituiert sein kann, beispielsweise durch Halogen, Niederalkoxy oder Nitro, Benzoyl, beispielsweise Benzoyl, 4-Chlorbenzoyl, 4-Methoxybenzoyl oder 4-Nitrobenzoyl, oder durch Niederalkoxycarbonyl, das in der Position 1 des Niederalkylrests verzweigt sein kann oder in den Positionen 1 und 2 geeignet substituiert sein kann, besonders tert-Niederalkoxycarbonyl, beispielsweise tert-Butoxycarbonyl, Arylmethoxycarbonyl mit ein oder zwei Arylresten, die vorzugsweise Phenyl sind, das unsubstituiert oder monosubstituiert oder polysubstituiert sein kann beispielsweise durch Niederalkyl, besonders tert-Niederalkyl, wie tert-Butyl, Niederalkoxy, wie Methoxy, Hydroxyl, Halogen, beispielsweise Chlor, und/oder durch Nitro, wie unsubstituiertes oder substituiertes Benzyloxycarbonyl, beispielsweise 4-Nitrobenzyloxycarbonyl, oder substituiertes Diphenylmethoxycarbonyl, beispielsweise Benzhydryloxycarbonyl oder Di-(4-methoxyphenyl)-methoxycarbonyl, Aroylmethoxycarbonyl, worin die Aroylgruppe vorzugsweise Benzoyl ist, das unsubstituiert oder substituiert sein kann, beispielsweise durch Halogen, wie Brom, beispielsweise Phenacyloxycarbonyl, 2-Halogenniederalkoxycarbonyl, beispielsweise 2,2,2-Trichlorethoxycarbonyl, 2-Bromethoxycarbonyl oder 2-Iodethoxycarbonyl, oder in Stellung 2 trisubstituiertes Silylethoxycarbonyl, worin die Substituenten jeweils unabhängig voneinander unsubstituiert oder substituiert sind beispielsweise durch Niederalkyl, Niederalkoxy, Aryl, Halogen oder Nitro, einen aliphatischen, araliphatischen, cycloaliphatischen oder aromatischen Kohlenwasserstoffrest mit bis zu 15 Kohlenstoffatomen, wie entsprechend unsubstituiertes oder substituiertes Niederalkyl, Phenylniederalkyl, Cycloalkyl oder Phenyl, beispielsweise 2-Triniederalkylsilylethoxycarbonyl, wie 2-Trimethylsilylethoxycarbonyl oder 2-(Di-n-butylmethylsilyl)-ethoxycarbonyl oder 2-Triarylsilylethoxycarbonyl, wie 2-Triphenylsilylethoxycarbonyl.
  • In einer Arylmethylaminogruppe, die eine monosubstituierte, disubstituierte oder besonders eine trisubstituierte Arylmethylaminogruppe ist, sind die Arylreste besonders unsubstituierte oder substituierte Phenylreste. Solche Gruppen sind beispielsweise Benzylamino, Diphenylmethylamino und besonders Tritylamino.
  • Eine veretherte Mercaptogruppe in einer Aminogruppe, die durch solche Reste geschützt ist, ist besonders Arylthio oder Arylniederalkylthio, worin Aryl besonders für Phenyl steht, das unsubstituiert oder substituiert ist, beispielsweise durch Niederalkyl, wie Methyl oder tert-Butyl, Niederalkoxy, wie Methoxy, Halogen, wie Chlor, und/oder durch Nitro. Eine entsprechende Aminoschutzgruppe ist beispielsweise 4-Nitrophenylthio.
  • In einem 2-Acylniederalkyl-1-en-1-ylrest, der als eine Aminoschutzgruppe verwendet werden kann, ist Acyl beispielsweise der entsprechende Rest einer Niederalkancarbonsäure, einer Benzoesäure, die unsubstituiert oder substituiert ist, beispielsweise durch Niederalkyl, wie Methyl oder tert-Butyl, Niederalkoxy, wie Methoxy, Halogen, wie Chlor, und/oder durch Nitro, oder besonders ein Carbonsäurehemiester, wie ein Carbonsäureniederalkylhemiester. Entsprechende Schutzgruppen sind besonders 1-Niederalkanoylprop-1-en-2-yl, wie 1-Acetylprop-1-en-2-yl, oder 1-Niederalkoxycarbonylprop-1-en-2-yl, beispielsweise 1-Ethoxycarbonylprop-1-en-2-yl.
  • Bevorzugte Aminoschutzgruppen sind Acylreste von Carbonsäurehemiestern, besonders tert-Butyloxycarbonyl, Benzyloxycarbonyl, das unsubstituiert oder beispielsweise wie angegeben substituiert ist, beispielsweise 4-Nitrobenzyloxycarbonyl, oder Diphenylmethoxycarbonyl, oder 2-Halogenniederalkoxycarbonyl, wie 2,2,2-Trichlorethoxycarbonyl oder auch Trityl oder Formyl.
  • Die Umsetzung zwischen dem Derivat der Formel IV und dem Anilinderivat der Formel V findet statt in geeigneten inerten polaren Lösemitteln, besonders Alkoholen, beispielsweise Niederalkanolen, wie Methanol, Propanol, Isopropanol und vor allem Ethanol oder n-Butanol. In einigen Fällen ist der Zusatz eines Lösevermittlers von Vorteil, wie von 1,3-Dimethyl-3,4,5,6-tetrahydro-2-(1H)-pyrimidinon (DMPU). Die Umsetzung findet bei erhöhten Temperaturen statt, beispielsweise bei Temperaturen im Bereich von 70 bis 150°C, vorzugsweise unter Rückflussbedingungen.
  • Steht Z in der Verbindung der Formel IV für 1-Arylniederalkyl, dann wird dieser Rest vom erhaltenen Vorläufer der Verbindung der Formel I (mit Z anstelle des Wasserstoffatoms am Stickstoffatom) entfernt. Dies wird beispielsweise bewirkt durch eine Behandlung mit Protonsäuren, wie Chlorwasserstoffsäure, Phosphorsäuren oder Polyphosphorsäure, bei bevorzugten Temperaturen von 20°C bis 150°C und geeignetenfalls in Gegenwart von Wasser, was besonders das bevorzugte Verfahren ist, wenn Z für 1-Phenylethyl steht, oder vorzugsweise durch Behandlung mit Lewis-Säuren, besonders AlCl3, in einem aromatischen Lösemittel, besonders in Benzol und/oder Toluol, bei erhöhter Temperatur, besonders unter Rückflusstemperatur, wobei dies die speziell bevorzugte Variante ist, wenn Z für Benzyl steht, wozu auch auf die analogen Verfahren in Chem. Pharm. Bull. 39(5), Seite 1152 (1991) hingewiesen wird.
  • Die Entfernung der Schutzgruppen, die keine Bestandteile des gewünschten Endprodukts der Formel I sind, wird in bekannter Weise durchgeführt, beispielsweise durch Solvolyse, besonders Hydrolyse, Alkoholyse oder Acidolyse, oder durch Reduktion, besonders durch Hydrogenolyse oder chemische Reduktion geeignetenfalls stufenweise oder simultan.
  • Eine geschützte Aminogruppe wird in an sich bekannter Weise freigesetzt und der Art der Schutzgruppen entsprechend unter Anwendung verschiedener Methoden, vorzugsweise durch Solvolyse oder Reduktion. Die Gruppen 2-Halogenniederalkoxycarbonylamino (geeignetenfalls nach einer Um wandlung einer 2-Bromniederalkoxycarbonylaminogruppe in eine 2-Iodniederalkoxycarbonylaminogruppe), Aroylmethoxycarbonylamino oder 4-Nitrobenzyloxycarbonylamino können gespalten werden beispielsweise durch Behandlung mit einem geeigneten chemischen Reduktionsmittel, wie Zink, in Gegenwart einer geeigneten Carbonsäure, wie wässriger Essigsäure. Aroylmethoxycarbonylamino kann auch durch Behandlung mit einem nukleophilen Mittel, vorzugsweise mit einem Salz bildenden Mittel, gespalten werden, wie mit Natriumthiophenolat, während 4-Nitrobenzyloxycarbonylamino auch durch Behandlung mit einem Alkalimetalldithionit, beispielsweise mit Natriumdithionit, gespalten werden kann. Unsubstituiertes oder substituiertes Diphenylmethoxycarbonylamino, tert-Niederalkoxycarbonylamino oder 2-trisubstituiertes Silylethoxycarbonylamino kann durch Behandlung mit einer geeigneten Säure gespalten werden, beispielsweise mit Ameisensäure oder Trifluoressigsäure. Unsubstituiertes oder substituiertes Benzyloxycarbonylamino kann beispielsweise durch Hydrogenolyse gespalten werden, wie durch Behandlung mit Wasserstoff in Gegenwart eines geeigneten Hydrierkatalysators, wie eines Palladiumkatalysators. Unsubstituiertes oder substituiertes Triarylmethylamino oder Formylamino kann beispielsweise gespalten werden durch Behandlung mit einer Säure, wie einer Mineralsäure, beispielsweise mit Chlorwasserstoffsäure, oder mit einer organischen Säure, wie beispielsweise Ameisensäure, Essigsäure oder Trifluoressigsäure, geeignetenfalls in Anwesenheit von Wasser. Eine Aminogruppe, die durch eine organische Silylgruppe geschützt ist, kann freigesetzt werden beispielsweise durch Hydrolyse oder Alkoholyse. Eine Aminogruppe, die durch 2-Halogenacetyl geschützt ist, beispielsweise 2-Chloracetyl, kann freigesetzt werden durch Behandlung mit Thioharnstoff in Gegenwart einer Base oder mit einem Thiolatsalz, wie einem Alkalimetallthiolat, von Thioharnstoff, und anschließende Solvolyse, wie eine Alkoholyse oder Hydrolyse, des erhaltenen Kondensationsprodukts. Eine Aminogruppe, die durch ein 2-substituiertes Silylethoxycarbonyl geschützt ist, kann in die freie Aminogruppe auch durch Behandlung mit einem Salz von Fluorwasserstoffsäure umgewandelt werden, das Fluoridanionen ergibt.
  • Verfahren b)
  • Z' steht für 1-Arylniederalkyl in einer Verbindung der Formel VI, besonders 1-Phenylethyl und auch Benzyl.
  • Die Verbindung der Formel VI befindet sich in einem tautomeren Gleichgewicht (Lactam/Lactim-Form), wobei die Lactam-Form (Formel VI) wahrscheinlich dominiert. Die Formel VI dient zur Darstellung der beiden möglichen Gleichgewichtsformen.
  • Die Lactim-Form hat die Formel VIa
    Figure 00160001
    worin die angegebenen Reste wie für Verbindungen der Formel VI definiert sind.
  • Die vorliegende Erfindung bezieht sich auch auf die neuen Verbindungen der Formeln VI und VIa.
  • Das verwendete Dehydrationsmittel ist besonders ein starkes chemisches Dehydrationsmittel, vor allem Phosphorpentoxid (P4O10).
  • Ein geeignetes tertiäres Amin ist primär Ammoniak, der durch drei Reste substituiert ist, die unabhängig voneinander ausgewählt sind aus Alkyl, besonders Niederalkyl, wie Methyl oder Ethyl, und Cycloalkyl mit 3 bis 7 Kohlenstoffatomen, besonders Cyclohexyl, beispielsweise N,N-Dimethyl-N-cyclohexylamin, N-Ethyl-N,N-diisopropylamin oder Triethylamin, oder auch Pyridin, N-Methylmorpholin oder 4-Dimethylaminopyridin.
  • Die Umsetzung zwischen dem Pyrrolopyrimidinon der Formel VI und dem Anilinderivat der Formel V findet bei erhöhter Temperatur statt, beispielsweise bei 200 bis 250°C.
  • Verfahren e)
  • Diese Umsetzung wird vorzugsweise in einem geeigneten inerten Lösemittel, beispielsweise einem geeigneten Alkohol, besonders Methanol, bei Temperaturen von etwa +10°C bis +100°C, vorzugsweise bei Siedetemperatur des Reaktionsgemisches durchgeführt. In diesem Fall wird das Hydroxylaminderivat der Formel VIII vorzugsweise als ein Salz eingesetzt und durch Zugabe einer wässrigen Lösung von Natriumacetat zum Reaktionsgemisch in die freie Base umgewandelt.
  • Verfahren f)
  • Ein reaktives Carbonsäurederivat einer Verbindung der Formel I, worin einer der Reste R1 und R2 für Carboxyl steht und die anderen Substituenten wie oben für Verbindungen der Formel I definiert sind, ist beispielsweise ein geeigneter Ester, wie besonders ein Ethylester.
  • Wo möglich, beispielsweise wenn Morpholin das Amin der Formel VII ist, kann das Amin der Formel VII auch direkt als ein Lösemittel verwendet werden. In anderen Fällen wird ein geeignetes inertes Lösemittel, beispielsweise Dimethylformamid, zusammen mit TPTU (O-(1,2-Dihydro-2-oxo-1-pyridyl)-N,N,N',N'-tetramethyluroniumtetrafluorborat) verwendet. Diese Umsetzung wird vorzugsweise bei Temperaturen von etwa +10°C bis +150°C und vorzugsweise bei Raumtemperatur bis 100°C durchgeführt.
  • Verfahren g)
  • Ein Lawesson-Reagenz ist 2,4-Di-[4-methoxyphenyl]-1,3-dithia-2,4-diphosphetan-2,4-disulfid und ist im Handel unter anderem von Sigma, Fluka und dergleichen erhältlich. Diese Umsetzung wird vorzugsweise in einem geeigneten inerten Lösemittel durchgeführt, beispielsweise einem geeigneten Ether, wie besonders einem cyclischen Ether, beispielsweise Tetrahydrofuran, bei Temperaturen von etwa 50°C bis 150°C und vorzugsweise bei Siedetemperatur des Reaktionsgemisches.
  • Verfahren h)
  • Hier ist R13 vorzugsweise Niederalkyl, besonders Ethyl, oder Phenyl, das unsubstituiert oder substituiert ist durch Halogen, Niederalkyl, Hydroxymethyl, Aminomethyl, Hydroxyl, Niederalkanoyloxy, Niederalkoxy, Carboxyl, Niederalkanoyl, Benzoyl, Niederalkoxycarbonyl, Carbamoyl, N-Niederalkylcarbamoyl, N,N-Diniederalkylcarbamoyl, Cyano, Amino, Niederalkanoylamino, Niederalkylamino, N,N-Diniederalkylamino oder Trifluormethyl, wobei R13 besonders für 4-Methoxyphenyl steht.
  • Diese Umsetzung wird vorzugsweise in einem geeigneten inerten Lösemittel, beispielsweise einem geeigneten Alkohol, besonders Methanol, oder einem geeigneten Ether, beispielsweise Dioxan, bei Temperaturen von etwa +20°C bis +180°C und vorzugsweise bei Siedetemperatur des Reaktionsgemisches durchgeführt.
  • Verfahren i)
  • Diese Umsetzung wird vorzugsweise in einem geeigneten inerten Lösemittel, beispielsweise einem geeigneten Alkohol, wie besonders 1-Methoxyethanol, in Gegenwart von Lithiumchlorid, beispielsweise einer 1½fachen Menge der molaren Menge an Lithiumchlorid, bei Temperaturen von etwa +20°C bis +180°C und vorzugsweise bei Siedetemperatur des Reaktionsgemisches durchgeführt.
  • Verfahren j)
  • Diese Umsetzung wird vorzugsweise in einem geeigneten inerten Lösemittel, beispielsweise in Dimethylformamid, in Gegenwart von Natriumhydrogencarbonat, bei Temperaturen von etwa 0°C bis +180°C und vorzugsweise bei Raumtemperatur durchgeführt. In diesem Fall wird das Niederalkyliodid, wie besonders Methyliodid, vorzugsweise als eine Lösung zugegeben, beispielsweise eine 1 M Lösung, in einem geeigneten Ether, wie Dioxan.
  • Verfahren k)
  • Hierin steht X vorzugsweise für Chlor.
  • Die Umsetzung wird vorzugsweise in einem geeigneten inerten und wasserfreien Lösemittel, beispielsweise Dimethylacetamid, bei Temperaturen von –30°C bis +70°C und vorzugsweise bei 0°C durchgeführt.
  • Verfahren l)
  • Hierin steht R17 vorzugsweise für Methyl.
  • Diese Umsetzung wird vorzugsweise in einem geeigneten inerten und wasserfreien Lösemittel, beispielsweise einem Ether, wie Tetrahydrofuran, in Gegenwart von Triethylamin bei Temperaturen von etwa –10°C bis +70°C und vorzugsweise bei Raumtemperatur durchgeführt.
  • Verfahren m)
  • Diese Umsetzung wird vorzugsweise in einem geeigneten inerten und wasserfreien Lösemittel, beispielsweise einem Ether, wie Tetrahydrofuran, zweckmäßig in Gegenwart von Dimethylacetamid, bei Temperaturen von etwa 0°C bis +150°C und vorzugsweise bei Siedetemperatur des Reaktionsgemisches durchgeführt.
  • Verfahren n)
  • Diese Umsetzung wird vorzugsweise in einem geeigneten inerten und wasserfreien Lösemittel, beispielsweise einem Ether, wie Tetrahydrofuran, zweckmäßig in Gegenwart von Dimethylacetamid, bei Temperaturen von etwa 0°C bis +150°C und vorzugsweise bei der Siedetemperatur des Reaktionsgemisches durchgeführt.
  • Verfahren o)
  • Diese Umsetzung wird vorzugsweise in einem geeigneten inerten und wasserfreien Lösemittel, beispielsweise einem Ether, wie Dioxan, zweckmäßig in Gegenwart von 2,6-Lutidin, bei Temperaturen von etwa –30°C bis +150°C und vorzugsweise bei Raumtemperatur durchgeführt.
  • Ausgangsmaterialien
  • Die Ausgangsmaterialien der Formel IV sind neu, so dass sich die Erfindung auch darauf bezieht. Sie können in Analogie zu Verfahren hergestellt werden, wie sie beschrieben werden in DE 28 18 676 A und DE 30 36 390 A .
  • Das Ausgangsmaterial der Formel IV, worin X für Chlor steht, wird erhalten beispielsweise aus einer zur Formel IV analogen Verbindung, worin X für Hydroxyl steht (siehe die Verbindungen der Formel VIa), durch Umsetzung mit Phosphoroxychlorid (Phosphorylchlorid, P(=O)Cl3), unter Ausschluss von Feuchtigkeit bei Rückflusstemperatur. Gewünschtenfalls kann die weitere Umsetzung des so erhaltenen Ausgangsmaterials der Formel IV, worin X für Chlor steht, mit einem Anilinderivat der Formel V im gleichen Reaktionsgefäß umgesetzt werden, nämlich in einer Eintopfreaktion. Zu diesem Zweck wird nach Beendigung der Umsetzung mit Phosphoroxychlorid das Reaktionsgemisch zur Trockne eingedampft, der Rückstand mit einem geeigneten Lösemittel, wie n-Butanol, suspendiert, und die Suspension dann mit dem Anilinderivat der Formel V weiter umgesetzt.
  • Eine zur Formel IV, worin X für Hydroxyl steht, analoge Verbindung lässt sich beispielsweise aus einer Verbindung der Formel XV erhalten
    Figure 00190001
    worin die Symbole wie oben definiert sind, durch Umsetzung mit Ameisensäure, die vorzugsweise in einem Überschuss im Verhältnis zur Verbindung der Formel XV verwendet wird, beispielsweise in einem 10 bis 30 molaren Überschuss, geeignetenfalls in Gegenwart inerter Lösemittel, wie Dimethylformamid, bei erhöhter Temperatur, beispielsweise bei Temperaturen von 80°C bis zur Siedetemperatur.
  • Alternativ wird eine Verbindung erhalten, die zur Formel IV analog ist, worin X für Hydroxyl steht und die anderen Symbole wie oben definiert sind, beispielsweise aus einer Verbindung der Formel XVI
    Figure 00190002
    worin R19 für Niederalkyl steht, besonders für Ethyl, und die anderen Symbole wie oben definiert sind, durch Umsetzung mit einem großen Überschuss an Formamid in einem Gemisch von wasserfreiem Dimethylformamid und Ameisensäure. Die Umsetzung wird bei erhöhter Temperatur, beispielsweise von 100°C bis 150°C und vorzugsweise unter einem Schutzgas durchgeführt.
  • Die vorliegende Erfindung bezieht sich auch auf die neuen Ausgangsmaterialien der Formeln XV und XVI.
  • Die 1-(Z')-2-Amino-3-cyanopyrrole der Formel XV, die als Zwischenprodukte verwendet werden, können in guten Ausbeuten hergestellt werden nach an sich bekannten Verfahren und sind bereits publiziert worden, wozu beispielsweise hingewiesen wird auf H. J. Roth und K. Eger, Arch. Pharmaz. 308, Seite 179 (1975). Zu diesem Zweck wird beispielsweise eine Verbindung der Formel XVII
    Figure 00200001
    zuerst mit einem Amin der Formel Z'-NH2 unter Bildung einer Verbindung der Formel XVIII umgesetzt
    Figure 00200002
    die dann durch Umsetzung mit Malonsäurenitril der Formel CH2(CN)2 zum gewünschten Zwischenprodukt umgewandelt wird. Im Einzelnen wird diese Umsetzung mit dem Amin Z'-NH2 unter üblichen Kondensationsbedingungen durchgeführt, beispielsweise in Gegenwart einer katalytischen Menge einer starken Säure, beispielsweise Chlorwasserstoffsäure oder p-Toluolsulfonsäure, bei erhöhter Temperatur, vorzugsweise Siedetemperatur, in einem geeigneten Lösemittel, beispielsweise Benzol oder Toluol, unter Abtrennung von Wasser, wodurch das entsprechende α-Aminoketon der Formel XVIII erhalten wird. Dieses wird nicht isoliert, sondern sofort mit Malonsäurenitril unter Erhitzung und weiterer Abtrennung von Wasser kondensiert, was erforderlichenfalls durch Zusatz einer geringen Menge einer Base, wie Piperidin, geschieht, wodurch eine Verbindung der Formel XV erhalten wird.
  • Die Verbindungen der Formel XVI, die als Zwischenprodukte verwendet werden, werden beispielsweise erhalten durch Umsetzung eines 2-Amidinoessigsäureniederalkylesters der Formel XIX
    Figure 00200003
    worin R19 wie oben definiert ist, mit einem 2-X-1-R2-Ethan-1-onderivat der Formel XX
    Figure 00200004
    worin die angegebenen Symbole wie oben definiert sind. Die Abgangsgruppe X ist vorzugsweise Brom. Der 2-Amidinoessigsäureniederalkylester der Formel XIX wird aus seinem Säureadditionssalz, wie besonders Hydrochlorid, freigesetzt, bevor mit der Umsetzung mit äquimolaren Mengen einer Base, besonders Natriumethoxid, unter Eiskühlung begonnen wird. Diese Umsetzung wird in einem geeigneten Lösemittel durchgeführt, wie speziell einem Niederalkanol, vorzugsweise Ethanol, bei bevorzugten Temperaturen von 0°C bis 50°C, besonders bei Raumtemperatur.
  • Ausgangsverbindungen der Formel I, worin einer der Reste R1 und R2 für Formyl, Carboxyl, Niederalkoxycarbonyl, Cyano, Carbamoyl, Thiocarbamoyl, Aminophenyl oder Tetrazol-5-yl steht und die anderen Substituenten wie oben für die Verbindungen der Formel I definiert sind, wobei im Rest R vorhandene funktionale Gruppen erforderlichenfalls durch leicht entfernbare Schutzgruppen geschützt sind, werden erhalten, wie dies exemplarisch im Beispielsteil beschrieben ist. Ein Durchschnittsfachmann kann die speziellen beispielhaften Reaktionen ohne größere Anstrengung zu Verbindungen umwandeln, die andere Reste R und R1 oder R2 haben als bei den speziellen Beispielen, solange die im Rest R vorhandenen freien funktionalen Gruppen leicht entfernbare Schutzgruppen sind, was bedeutet, dass diese die gewünschte Reaktion nicht stören. In vielen Fällen, besonders wenn R beispielsweise für Halogen steht, ist kein Schutz erforderlich.
  • Allgemeine Verfahrensbedingungen
  • Freie Verbindungen der Formel I mit Salz bildenden Eigenschaften, die wie dem Verfahren entsprechend erhältlich sind, können in an sich bekannter Weise in ihre Salze überführt werden, beispielsweise durch Behandlung mit Säuren oder geeigneten Derivaten hiervon, beispielsweise durch Zusatz der geeigneten Säure zur Verbindung der Formel I, die in einem geeigneten Lösemittel gelöst ist, beispielsweise einem Ether, wie einem cyclischen Ether, besonders Dioxan und vor allem Tetrahydrofuran.
  • Isomerengemische, die erfindungsgemäß erhältlich sind, können in an sich bekannter Weise in die einzelnen Isomeren aufgetrennt werden. Racemate können beispielsweise aufgetrennt werden durch Bildung von Salzen mit optisch reinen Salz bildenden Reagenzien und Auftrennung des so erhältlichen Gemisches an Diastereomeren beispielsweise durch eine fraktionierte Kristallisation.
  • Die oben beschriebenen Umsetzungen können unter an sich bekannten Reaktionsbedingungen durchgeführt werden in Abwesenheit oder gewöhnlich in Anwesenheit von Lösemitteln oder Verdünnungsmitteln, vorzugsweise solchen, die gegenüber den verwendeten Reagenzien inert und Lösemittel hierfür sind, in Abwesenheit oder Anwesenheit von Katalysatoren, Kondensationsmitteln, beispielsweise Phosphorpentoxid, oder Neutralisationsmitteln, beispielsweise Basen, speziell Stickstoffbasen, wie Triethylaminhydrochlorid, in Abhängigkeit von der Art der Reaktion und/oder der Reaktanten, bei einer reduzierten, normalen oder erhöhten Temperatur, beispielsweise einer Temperatur im Bereich von etwa –80°C bis etwa 200°C, vorzugsweise von etwa –20°C bis etwa 150°C, beispielsweise beim Siedepunkt des verwendeten Lösemittels, unter atmosphärischem Druck oder in einem geschlossenen Behältnis, geeignetenfalls unter Druck und/oder in einer inerten Atmosphäre, beispielsweise unter einer Stickstoffatmosphäre.
  • Die angegebenen speziellen Reaktionsbedingungen sind jeweils bevorzugt.
  • Lösemittel und Verdünnungsmittel sind beispielsweise Wasser, Alkohole, beispielsweise Niederalkylhydroxide, wie Methanol, Ethanol, Propanol oder besonders Butanol, Diole, wie Ethylenglycol, Triole, wie Glycerin, oder Arylalkohole, wie Phenol, Säureamide, beispielsweise Carbonsäureamide, wie Dimethylformamid, Dimethylacetamid oder 1,3-Dimethyl-3,4,5,6-tetrahydro-2-(1H)-pyrimidinon (DMPU), Carbonsäuren, besonders Ameisensäure oder Essigsäure, Amide anorganischer Säuren, wie Hexa methylphosphorsäuretriamid, Ether, beispielsweise cyclische Ether, wie Tetrahydrofuran oder Dioxan, oder acyclische Ether, wie Diethylether oder Ethylenglycoldimethylether, Halogenkohlenwasserstoffe, wie Halogenniederalkane, beispielsweise Methylenchlorid oder Chloroform, Ketone, wie Aceton, Nitrile, wie Acetonitril, Säureanhydride, wie Essigsäureanhydrid, Ester, wie Ethylacetat, Bisalkansulfine, wie Dimethylsulfoxid, Stickstoff enthaltende heterocyclische Verbindungen, wie Pyridin, Kohlenwasserstoffe, beispielsweise Niederalkane, wie Heptan, oder aromatische Verbindungen, wie Benzol, Toluol oder Xylole, oder Gemische dieser Lösemittel, wobei die für die obigen Umsetzungen jeweils geeigneten Lösemittel ohne weiteres ausgewählt werden können.
  • Zur Aufarbeitung der erhaltenen Verbindung der Formel I oder ihrer Salze werden herkömmliche Verfahren angewandt, beispielsweise eine Solvolyse mit einem Überschuss an Reagenzien, eine Umkristallisation, eine Chromatographie, beispielsweise eine Verteilungschromatographie, eine Ionenchromatographie oder Gelchromatographie, eine Verteilung zwischen anorganischen und organischen Lösemittelphasen, eine einzelne oder multiple Extraktion, besonders nach einer Ansäuerung oder Erhöhung der Basizität oder des Salzgehalts, eine Trocknung über hygroskopische Salze, eine Digestion, Filtration, Waschung, Auflösung, Verdampfung, erforderlichenfalls unter Vakuum oder Hochvakuum, Destillation, Kristallisation, beispielsweise von in einer Ölform erhaltenen Verbindungen oder aus der Mutterlauge, wobei eine Animpfung mit einem Kristall des Endprodukts ebenfalls möglich ist, oder durch eine Kombination von zwei oder mehr der erwähnten Aufarbeitungsstufen, die auch wiederholt angewandt werden können, und dergleichen.
  • Ausgangsmaterialien und Zwischenprodukte können auch in reiner Form, beispielsweise nach einer Aufarbeitung, wie dies gerade erwähnt ist, in partiell gereinigter Form oder alternativ beispielsweise direkt als ein Rohprodukt verwendet werden.
  • Die Verbindungen und ihre Salze können auch in Form von Hydraten erhalten werden oder ihre Kristalle können beispielsweise das für eine Kristallisation verwendete Lösemittel enthalten. Die vorliegende Erfindung bezieht sich auch auf diese Hydrate oder Solvate der Verbindungen der Formel I und auf die beschriebenen Ausgangsmaterialien, die ebenfalls zur Erfindung gehören.
  • Im Hinblick auf die enge Verwandtschaft zwischen den Verbindungen der Formel I in freier Form oder in Form ihrer Salze werden oben und im Folgenden unter den freien Verbindungen und ihren Salzen auch die entsprechenden Salze und freien Verbindungen verstanden, sofern dies geeignet und zweckdienlich ist, mit der Maßgabe, dass diese Verbindungen Salz bildende Gruppen enthalten. Gleiches gilt auch für die Hydrate und Solvate.
  • Beim erfindungsgemäßen Verfahren werden vorzugsweise solche Ausgangsmaterialien verwendet, die zu den neuen Verbindungen der Formel I führen, wie dies zu Beginn beschrieben worden ist, da diese besonders wertvoll sind.
  • Die Erfindung bezieht sich auch auf die Formen des Verfahrens, bei denen eine Verbindung, die an irgendeiner Stufe des Verfahrens als ein Zwischenprodukt erhalten werden kann, das als ein Ausgangsmaterial verwendet wird, und wobei die restlichen Vefahrensstufen durchgeführt werden oder bei denen unter den Reaktionsbedingungen ein Ausgangsmaterial gebildet wird oder in der Form eines Derivats, beispielsweise eines Salzes hiervon, verwendet wird.
  • Pharmazeutische Zusammensetzungen, ihre Herstellung und die erfindungsgemäße Verwendung der Verbindungen der Formel I und von Zusammensetzungen, die diese Verbindungen als Wirkstoff umfassen
  • Die vorliegende Erfindung bezieht sich auch auf pharmazeutische Zusammensetzungen, die ein oder mehr Verbindungen der Formel I als Wirkstoff enthalten und die besonders zur Behandlung von Krankheiten der am Beginn erwähnten Art verwendet werden. Zusammensetzungen für eine enterale Verabreichung, wie eine nasale, buccale, rektale oder besonders eine orale Verabreichung, und für eine parenterale Verabreichung, wie eine intravenöse, intramuskulare oder subkutane Verabreichung an Warmblüter, speziell an Menschen, sind besonders bevorzugt. Diese Zusammensetzungen enthalten den Wirkstoff als solchen oder vorzugsweise zusammen mit einem pharmazeutisch akzeptablen Träger. Die Dosis des Wirkstoff ist abhängig von der zu behandelnden Krankheit und der Spezies, dem Alter, dem Gewicht und dem individuellen Zustand, den individuellen pharmakokinetischen Daten, der zu behandelnden Krankheit und auch von der Art der Verabreichung.
  • Weiter bezieht sich die Erfindung auf pharmazeutische Zusammensetzungen zur Verwendung bei einem Verfahren für die Behandlung des menschlichen und tierischen Körpers, auf ein Verfahren zu deren Herstellung, speziell auf Zusammensetzungen für die Behandlung von Tumoren, und auf ein Verfahren für die Behandlung neoplastischer Krankheiten, besonders der oben erwähnten Krankheiten.
  • Bevorzugt ist eine pharmazeutische Zusammensetzung, die sich für eine Verabreichung an einen Warmblüter eignet, speziell einen Menschen, der an einer Krankheit leidet, die auf eine Inhibition einer Protein-Kinase responsiv ist, beispielsweise Psoriasis oder ein Tumor, wobei diese Zusammensetzung eine Verbindung der Formel I oder ein Salz hiervon, falls Salz bildende Gruppen vorhanden sind, in einer Menge umfasst, die für die Inhibition der Protein-Kinase wirksam ist, zusammen mit wenigstens einem pharmazeutisch akzeptablen Träger.
  • Die pharmazeutischen Zusammensetzungen enthalten etwa 1% bis etwa 95% Wirkstoff, wobei Verabreichungsformen in Form einer einzelnen Dosierungsform vorzugsweise etwa 20% bis etwa 90% Wirkstoff enthalten, und Verabreichungsformen, die keine einzelnen Dosierungsformen sind, vorzugsweise etwa 5% bis etwa 20% Wirkstoff enthalten. Die Einheitsdosierungsformen sind beispielsweise mit Zucker beschichtete Tabletten, Tabletten, Ampullen, Fläschchen, Suppositorien oder Kapseln. Andere Verabreichungsformen sind beispielsweise Salben, Cremes, Pasten, Schäume, Tinkturen, Lippenstifte, Tropfen, Sprays, Dispersionen und dergleichen. Beispiele sind Kapseln, die etwa 0,05 g bis etwa 1,0 g Wirkstoff enthalten.
  • Die erfindungsgemäßen pharmazeutischen Zusammensetzungen werden in an sich bekannter Weise hergestellt, beispielsweise durch herkömmliche Techniken zur Vermischung, Granulation, Zuckerbeschichtung, Auflösung oder Lyophilisation.
  • Vorzugsweise werden Lösungen des Wirkstoffs verwendet, und auch Suspensionen oder Dispersionen, besonders isotonische wässrige Lösungen, Dispersionen und Suspensionen, die beispielsweise im Fall lyophilisierter Zusammensetzungen den Wirkstoff als solchen oder zusammen mit einem Träger, beispielsweise Mannit, enthalten und vor ihrer Verwendung zubereitet werden können. Die pharmazeutischen Zusammensetzungen können sterilisiert sein und/oder Exzipientien enthalten, beispielsweise Konservierungsmittel, Stabilisatoren, Netzmittel und/oder Emulgiermittel, Lösevermittler, Salze zur Regulierung des osmotischen Drucks und/oder Puffer, und werden in an sich bekannter Weise hergestellt, beispielsweise durch herkömmliche Verfahren zur Auflösung und Lyophilisation. Die erwähnten Lösungen oder Suspensionen können auch Substanzen zur Erhöhung der Viskosität enthalten, wie Natriumcarboxymethylcellulose, Carboxymethylcellulose, Dextran, Polyvinylpyrrolidon oder Gelatine.
  • Suspensionen in Öl enthalten als die Ölkomponente pflanzliche, synthetische oder halbsynthetische Öle, wie sie für Injektionszwecke üblich sind. Zu erwähnen sind dabei speziell flüssige Fettsäureester, die als die Säurekomponente eine langkettige Fettsäure mit 8 bis 22 Kohlenstoffatomen, speziell mit 12 bis 22 Kohlenstoffatomen, enthält, beispielsweise Laurinsäure, Tridecylsäure, Myristinsäure, Pentadecylsäure, Palmitinsäure, Margarinsäure, Stearinsäure, Arachidonsäure oder Behensäure, oder entsprechende ungesättigte Säuren, beispielsweise Ölsäure, Elaidinsäure, Erucasäure, Brassidinsäure oder Linolensäure, gewünschtenfalls unter Zusatz von Antioxidantien, beispielsweise Vitamin E,β-Carotin oder 3,5-Di-tert-butyl-4-hydroxytoluol. Die Alkoholkomponente dieser Fettsäureester hat maximal 6 Kohlenstoffatome und ist ein monohydrischer oder polyhydrischer Alkohol, beispielsweise ein monohydrischer, dihydrischer oder trihydrischer Alkohol, beispielsweise Methanol, Ethanol, Propanol, Butanol oder Pentanol oder ein Isomer hiervon, aber speziell ein Glycol oder Glycerin. In diesem Zusammenhang sind daher folgende Beispiele von Fettsäureestern zu erwähnen: Ethyloleat, Isopropylmyristat, Isopropylpalmitat, Labrafil M 2375 (ein Polyoxyethylenglycerintrioleat von Gattefossé, Paris), Labrafil M 1944 CS (ungesättigte polyglycolierte Glyceride, die durch Alkoholyse von Aprikosenkernöl hergestellt werden und aus Glyceriden und Polyethylenglycolestern bestehen, Gattefossé, Frankreich), Labrasol (gesättigte polyglycolierte Glyceride, die durch Alkoholyse von TCM hergestellt werden und Glyceride und Polyethylenglycolester enthalten, Gattefossé, Frankreich) und/oder Miglyol 812 (ein Triglycerid von gesättigten Fettsäuren mit einer Kettenlänge von C8 bis C12, Hüls AG, Deutschland), wobei hierfür aber besonders Pflanzenöle verwendet werden, wie Baumwollsaatöl, Mandelöl, Olivenöl, Rizinusöl, Sesamöl, Sojabohnenöl und vor allem Erdnussöl.
  • Injektionslösungen werden in bekannter Weise unter sterilen Bedingungen hergestellt, wobei gleiches auch für eine Abfüllung der Zusammensetzungen beispielsweise in Ampullen oder Fläschchen und beispielsweise eine Versiegelung der jeweiligen Behältnisse gilt.
  • Pharmazeutische Zusammensetzungen für eine orale Verabreichung können beispielsweise erhalten werden durch Kombination des Wirkstoffs mit ein oder mehr festen Trägern, geeignetenfalls durch Granulation eines erhaltenen Gemisches, und gewünschtenfalls durch entsprechende Verarbeitung des Gemisches oder der Granulate, geeignetenfalls durch Zugabe weiterer Exzipientien, unter Bildung von Tabletten oder mit Zucker beschichteten Tablettenkernen.
  • Geeignete Träger sind besonders Füllstoffe, wie Zucker, beispielsweise Lactose, Saccharose, Mannit oder Sorbit, Cellulosepräparationen und/oder Calciumphosphate, beispielsweise Tricalciumphos phat oder Calciumhydrogenphosphat, und auch Bindemittel, wie Stärken, beispielsweise Maisstärke, Weizenstärke, Reisstärke oder Kartoffelstärke, Methylcellulose, Hydroxypropylmethylcellulose, Natriumcarboxymethylcellulose und/oder Polyvinylpyrrolidon, und/oder gewünschtenfalls Zerfallhilfsmittel, wie die oben erwähnten Stärken, auch Carboxymethylstärke, vernetztes Polyvinylpyrrolidon, Alginsäure oder Salze hiervon, wie Natriumalginat. Weitere Adjunkte sind hauptsächlich Fließkonditionierer und Schmiermittel, beispielsweise Kieselsäure, Talk, Stearinsäure oder Salze hiervon, wie Magnesiumstearat oder Calciumstearat, und/oder Polyethylenglycol oder Derivate hiervon.
  • Mit Zucker beschichtete Tablettenkerne können mit geeigneten und optional enterischen Überzügen versehen werden, unter anderem mit konzentrierten Zuckerlösungen, die Gummi arabicum, Talk, Polyvinylpyrrolidon, Polyethylenglycol und/oder Titandioxid enthalten, oder mit Beschichtungslösungen in geeigneten organischen Lösemitteln oder Lösemittelgemischen, oder für die Herstellung enterischer Überzüge Lösungen geeigneter Cellulosepräparationen, wie Acetylcellulosephthalat oder Hydroxypropylmethylcellulosephthalat. Den Tabletten oder den mit Zucker überzogenen Tabletten können auch Farbstoffe oder Pigmente beigegeben werden, und zwar beispielsweise für Identifikationszwecke oder zur Kenntlichmachung unterschiedlicher Wirkstoffdosierungen.
  • Zu oral verabreichbaren pharmazeutischen Zusammensetzungen gehören auch trocken gefüllte Kapseln, die Gelatine umfassen, oder auch weiche versiegelte Kapseln, die Gelatine und einen Weichmacher umfassen, wie Glycerin oder Sorbit. Die trocken gefüllten Kapseln können den Wirkstoff in Form von Granulaten enthalten, beispielsweise als ein Gemisch mit Füllstoffen, wie Maisstärke, Bindemitteln und/oder Gleitmitteln, wie Talkum oder Magnesiumstearat, und geeignetenfalls mit Stabilisatoren. In Weichkapseln ist der Wirkstoff vorzugsweise gelöst oder suspendiert in geeigneten flüssigen Exzipientien, wie Fettölen, Paraffinöl oder flüssigen Polyethylenglycolen oder Fettsäureestern von Ethylen oder Propylenglycol, die auch mit Stabilisatoren und Tensiden versetzt sein können, beispielsweise mit üblichen Polyethylensorbitanfettsäureestern.
  • Andere orale Verabreichungsformen sind beispielsweise in herkömmlicher Weise hergestellte Sirupe, die den Wirkstoff beispielsweise in suspendierter Form und in einer Konzentration von etwa 5% bis 20%, vorzugsweise etwa 10%, oder in einer ähnlichen Konzentration enthalten, die für eine geeignete Einzeldosis sorgt, beispielsweise bei Verabreichung in Mengen von 5 oder 10 ml. Ebenfalls geeignet sind beispielsweise pulverisierte oder flüssige Konzentrate zur Herstellung von Shakes, beispielsweise in Milch. Solche Konzentrate können auch in Einzeldosismengen abgepackt sein.
  • Geeignete rektal verabreichbare pharmazeutische Zusammensetzungen sind beispielsweise Suppositorien, die aus einer Kombination des Wirkstoffs und einer Suppositoriengrundlage bestehen. Geeignete Suppositoriengrundlagen sind beispielsweise natürliche oder synthetische Triglyceride, Paraffinkohlenwasserstoffe, Polyethylenglycole oder höhere Alkanole.
  • Für eine parenterale Verabreichung gibt es hauptsächlich geeignete wässrige Lösungen des Wirkstoffs in einer in Wasser löslichen Form, beispielsweise in Form eines in Wasser löslichen Salzes, oder als Injektionssuspension, die Substanzen zur Erhöhung der Viskosität enthalten, beispielsweise Natriumcarboxymethylcellulose, Sorbit und/oder Dextran, und gewünschtenfalls auch Stabilisatoren. Der Wirkstoff, der zweckdienlich auch Adjunkts enthält, kann auch in Form eines Lyophilisats vorliegen und vor einer parenteralen Verabreichung durch Zugabe geeigneter Lösemittel in Lösung gebracht werden.
  • Lösungen, die beispielsweise für eine parenterale Verabreichung verwendet werden können, können auch als Infusionslösungen verwendet werden.
  • Bevorzugte Konservierungsmittel sind beispielsweise Antioxidantien, wie Ascorbinsäure, oder Mikrobiozide, wie Sorbinsäure oder Benzoesäure.
  • Salben sind Emulsionen von Öl-in-Wasser, die bis zu 70%, bevorzugt aber 20% bis 50%, Wasser oder eine wässrige Phase enthalten. Geeignet als Fettphase sind hauptsächlich Kohlenwasserstoffe, beispielsweise Petroleumgel, Paraffinöl oder Hartparaffine, die zur Verbesserung des Wasserbindevermögens vorzugsweise geeignete Hydroxyverbindungen enthalten, wie Fettalkohole oder Fettester, beispielsweise Cetylalkohol, oder Wollwachsalkohole, wie Wollwachs. Emulgatoren sind geeignetenfalls lipophile Substanzen, wie Sorbitanfettsäureester (Spans), beispielsweise Sorbitanoleat und/oder Sorbitanisostearat. Additive für die wässrige Phase sind beispielsweise Befeuchtungsmittel, wie Polyalkohole, beispielsweise Glycerin, Propylenglycol, Sorbit und/oder Polyethylenglycol, und auch Konservierungsmittel und Parfüme.
  • Fettsalben sind wasserfrei und enthalten als Grundlage speziell Kohlenwasserstoffe, beispielsweise Paraffin, Petroleumgel oder Paraffinöl, und auch natürliche oder teilsynthetische Fette, beispielsweise Kokosnussfettsäuretriglycerid oder vorzugsweise gehärtete Öle, beispielsweise hydriertes Ernussöl oder Rizinusöl, ferner Fettsäurepartialester von Glycerin, beispielsweise Glycerinmonostearat und Glycerindistearat, und weiter beispielsweise die Absorption von Wasser erhöhenden Fettalkohole, Emulgatoren und/oder Additive, wie dies im Zusammenhang mit den Salben erwähnt ist.
  • Cremes sind Öl-in-Wasser-Emulsionen, die mehr als 50% Wasser enthalten. Als Ölbase werden primär verwendet Fettalkohole, beispielsweise Laurylalkohol, Cetylalkohol oder Stearylalkohol, Fettsäuren, beispielsweise Palmitinsäure oder Stearinsäure, flüssige bis feste Waches, beispielsweise Isopropylmyristat, Wollwachs oder Bienenwachs, und/oder Kohlenwasserstoffe, beispielsweise Petroleumgel (Petrolatum) oder Paraffinöl. Geeignete Emulgatoren sind Substanzen mit vorwiegend hydrophilen Anteilen, wie geeignete nicht ionische Emulgatoren, beispielsweise Fettsäureester von Polyalkoholen oder Ethylenoxidaddukten hiervon, wie Polyglycerinfettsäureester oder Polyoxyethylensorbitanfettsäureester (Tweens), und auch Polyoxyethylenfettalkoholether oder Fettsäureester, oder geeignete ionische Emulgatoren, wie Alkalimetallsalze von Fettalkoholsulfaten, beispielsweise Natriumlaurylsulfat, Natriumcetylsulfat oder Natriumstearylsulfat, die herkömmlich in Anwesenheit von Fettalkoholen verwendet werden, beispielsweise Cetylalkohol oder Stearylalkohol. Additive für die wässrige Phase sind unter anderem Mittel zur Reduktion einer Austrocknung der Cremes, beispielsweise Polyalkohole, wie Glycerin, Sorbit, Propylenglycol und/oder Polyethylenglycole, und auch Konservierungsmittel und Parfüme.
  • Pasten sind Cremes oder Salben mit Sekretions-absorbierenden Pulverbestandteilen, wie Metalloxiden, beispielsweise mit Titanoxid oder Zinkoxid, oder auch Talk und/oder Aluminiumsilicate, durch die sich Feuchtigkeit oder vorhandene Sekretionen binden lassen.
  • Schäume werden verabreicht aus Druckbehältnissen und sind flüssige Öl-in-Wasser-Emulsionen in Aerosolform, wobei als Treibgase Halogenkohlenwasserstoffe, wie Chlorfluorniederalkane, beispielsweise Dichlordifluormethan und Dichlortetrafluorethan, oder vorzugsweise nicht halogenierte gasförmige Kohlenwasserstoffe, Luft, N2O oder Kohlendioxid. Als Ölphase werden unter anderem solche Phasen verwendet, wie die oben im Fall von Salben oder Cremes verwendet werden und auch die oben in diesem Zusammenhang erwähnten Additive.
  • Tinkturen und Lösungen haben gewöhnlich eine wässrige-ethanolische Grundlage, der unter anderem auch Polyalkohole, wie Glycerin, Glycole und/oder Polyethylenglycol als Befeuchtungsmittel zur Reduktion einer Verdampfung zugesetzt werden, und Fetthaltesubstanzen, wie Fettsäureester mit niedermolekularen Polyethylenglycolen, wie lipophile Substanzen, die im wässrigen Gemisch löslich sind, als ein Ersatz für die Fettsubstanzen, die aus der Haut durch das Ethanol und, falls vorhanden, durch Adjunkte und Additive extrahiert werden.
  • Zur Erfindung gehört auch ein Verfahren oder eine Methode zur Behandlung der oben erwähnten pathologischen Zustände, besonders der Zustände, die responsiv sind für eine Inhibition von Protein-Kinasen. Die Verbindungen der Formel I können als solche oder in Form pharmazeutischer Zusammensetzungen hiervon prophylaktisch oder therapeutisch vorzugsweise in einer Menge, die gegen die erwähnten Krankheiten wirksam ist, an Warmblüter, beispielsweise einen behandlungsbedürftigen Menschen, verabreicht werden, wobei die Verbindungen speziell in Form pharmazeutischer Zusammensetzungen angewandt werden. Im Fall eines Körpergewichts von etwa 70 kg wird eine Tagesdosis von etwa 0,1 g bis etwa 5 g, vorzugsweise von etwa 0,5 g bis etwa 2 g, einer erfindungsgemäßen Verbindung verabreicht.
  • Die folgenden Beispiele dienen zur weiteren Illustration der Erfindung.
  • Sofern nichts anderes gesagt ist, ist das Verhältnis von Lösemitteln zueinander in Volumenteilen angegeben.
  • Die in den Beispielen verwendeten Kurzformen und Abkürzungen haben die folgenden Bedeutungen:
  • Elutionsmittel (Gradienten)
  • HPLC Gradienten:
    • Grad20 20% → 100% a) in b) während 20 min.
  • Eluens a): Acetonitril + 0,05% TFA, Eluens b): Wasser + 0,05% TFA. Säule (250 × 4,6 mm), die mit dem Umkehrphasenmaterial C18-Nucleosil® bepackt ist (5 μm mittlere Teilchengröße, Silicagel, das mit Octadecylsilanen kovalent derivatisiert ist, Macherey & Nagel, Düren, Deutschland).
  • Detektion durch UV Absorption bei 254 nm. Die Retentionszeiten (tRet) sind in min angegeben.
    • Flussrate: 1 ml/min.
  • Abkürzungen
    • abs.
      absolut (wasserfrei)
      TLC-Rf
      Rf entsprechend einer Dünnschichtchromatographie
      DEPC
      Diethylpyrocarbonat
      DIPE
      Diisopropylether
      DMA
      Dimethylacetamid
      DMF
      Dimethylformamid
      DMPU
      1,3-Dimethyl-3,4,5,6-tetrahydro-2-(1H)-pyrimidinon
      DMSO
      Dimethylsulfoxid
      EI-MS
      Massenspektroskopie durch Elektronenstoßionisation
      FAB-MS
      Massenspektroskopie durch Bombardment mit schnellen Atomen
      ges.
      gesättigt
      h
      Stunde(n)
      HPLC
      Hochdruckflüssigkeitschromatographie
      HV
      Hochvakuum
      min
      Minute(n)
      MS
      Massenspektroskopie
      RT
      Raumtemperatur
      RE
      Rotationsverdampfer
      Smp.
      Schmelzpunkt
      Salzlösung
      gesättigte Kochsalzlösung
      TFA
      Trifluoressigsäure
      THF
      Tetrahydrofuran
      TPTU
      O-(1,2-Dihydro-2-oxo-1-pyridyl)-N,N,N',N'-tetramethyluroniumtetrafluorborat
  • In den NMR Spektraldaten verwendete Abkürzungen
  • b
    breit
    d
    doppelt
    J
    Kopplungskonstante
    m
    Multiplett
    q
    Quartett
    s
    Singulett
    t
    Triplett
  • Beispiel 1:
  • 136,4 mg (0,50 mmol) 4-(3-Chloranilino)-6-formyl-7H-pyrrolo[2,3-d]pyrimidin und 67 μl N-Methylpiperazin in 5 ml Methanol, 15 ml DMPU und 63 μl Essigsäure werden bei 50°C in Gegenwart von 30 mg Raney-Nickel hydriert. Der Katalysator wird abfiltriert, das Filtrat eingedampft und der Rückstand in Ethylacetat und gesättigter NaHCO3 Lösung gelöst. Die sich abtrennende wässrige Phase wird zweimal mit Ethylacetat extrahiert. Die organischen Phasen werden mit gesättigter NaHCO3 Lösung und viermal mit Wasser und Kochsalzlösung gewaschen, über Na2SO4 getrocknet und eingedampft. Durch Säulenchromatographie (SiO2, CH2Cl2/Methanol = 7:2) und Rührung in Diethylether wird 4-(3-Chloranilino)-6-[(4-methylpiperazin-1-yl)-methyl]-7H-pyrrol[2,3-d]pyrimidin erhalten; HPLC: tRet(Grad20) = 7,4; TLC-Rf = 0,16 (CH2Cl2/Methanol = 7:3); FAB-MS: (M+H)+ = 357.
  • Das Ausgangsmaterial wird wie folgt erhalten:
  • Stufe 1.1:
  • Bei 0 bis 5°C werden zu Beginn 56,0 g (0,43 mol) Ethyl-2-amidinoacetat [zur Herstellung siehe Liebigs Ann. Chem., 1561 (1981)] in 172 ml 1,3-Dimethyl-3,4,5,6-tetrahydro-2-(1H)-pyrimidinon einge führt. Nach tropfenweiser Zugabe von 56,0 ml (0,45 mol) von Ethylbrompyruvat während 30 min wird das Gemisch 3 h auf 60°C erwärmt. Die dunkelbraune Reaktionsmischung wird in 1 l Eiswasser gegossen, worauf sich eine Extraktion mit 1 l Ethylacetat und zweimal mit 0,5 l Ethylacetat jedes Mal anschließt. Die organischen Phasen werden dreimal mit 0,5 l Wasser und 0,5 l Kochsalzlösung gewaschen, getrocknet (Na2SO4) und eingedampft. Durch Säulenchromatographie (SiO2, Hexan/Ethylacetat [1:1]) und Umkristallisation aus Diethylether-Hexan wird 2-Amino-3,5-bis-(ethoxycarbonyl)-1H-pyrrol erhalten; Smp. 147 bis 149°C; MS: (M)+ = 226.
  • Stufe 1.2:
  • Unter Ausschluss von Luft wird ein Gemisch von 51,5 g (227 mmol) 2-Amino-3,5-bis-(ethoxycarbonyl)-1H-pyrrol, 455 mmol Formamid, 227 ml DMF und 113 ml Ameisensäure während 27 h bei 140°C gerührt. Die erhaltene gelbe Suspension wird auf 0 bis 5°C gekühlt. Durch anschließende Filtration und Waschung mit Isopropanol und Hexan wird 6-Ethoxycarbonyl-4-hydroxy-7H-pyrrolo[2,3-d]pyrimidin erhalten; 1H-NMR (DMSO-d6): 13-12 (2 HX), 7,99 und 7,11 (2s, 2H), 4,31 (q, J = 7, 2H), 1,32 (t, J = 7, 3H).
  • Stufe 1.3:
  • Unter einer N2 Atmosphäre werden 32,0 g (154 mmol) 6-Ethoxycarbonyl-4-hydroxy-7H-pyrrolo[2,3-d]pyrimidin in 308 ml (338 mmol) POCl3 bei RT suspendiert und unter Rührung auf 120°C erwärmt, wobei der Feststoff während dieser Zeit in Lösung geht. Nach Rührung bei 120°C während 3 h wird das überschüssige POCl3 abdestilliert (65°C Außentemperatur, 15 mbar). Sodann erfolgt eine Suspension des Rückstands in 50 ml eiskaltem Toluol, Filtration und Waschung mit Toluol, wodurch 4-Chlor-6-ethoxycarbonyl-7H-pyrrolo[2,3-d]pyrimidin erhalten wird; Smp. 219-221°C; 1H-NMR (DMSO-d6) 8,77 und 7,24 (2s, 2H), 4,39 (q, J = 7, 2H), 1,36 (t, J = 7, 3H). Weiteres Produkt kann aus dem verdampften Filtrat durch Rührung in Ethylacetat/Wasser erhalten werden.
  • Stufe 1.4:
  • Unter einer Argonatmosphäre werden 29,0 g (128 mmol) 4-Chlor-6-ethoxycarbonyl-7H-pyrrolo[2,3-d]pyrimidin und 18,0 ml (171 mmol) 3-Chloranilin in 430 ml n-Butanol während 3 h bei 100°C gerührt, wobei nach 1 h praktisch alles in Lösung gegangen ist und sich dann eine dicke Suspension bildet. Hierauf wird das Reaktionsgemisch mit 400 ml Isopropanol/Hexan (1:1) unter Abkühlung auf = 50°C versetzt, das Produkt abfiltriert und mit Isopropanol und Hexan gewaschen. Nach Rührung in Diethylether wird 4-(3-Chloranilino)-6-ethoxycarbonyl-7H-pyrrolo[2,3-d]pyrimidin erhalten; 1H-NMR (DMSO-d6) 13,0 und 10,53 (2 sb, 2HN), 8,48 (s, 1H), 8,13 (m, 1H), 7,78 (dm, J = 8, 1H), 7,76 (s, 1H), 7,45 (t, J = 8, 1H), 7,21 (dm, J = 8, 1H), 4,37 (q, J = 7, 2H), 1,37 (t, J = 7, 3H).
  • Stufe 1.5:
  • Unter einer N2 Atmosphäre werden 1,4 g (37 mmol) Lithiumaluminiumhydrid portionsweise zu 5,70 g (18 mmol) 4-(3-Chloranilino)-6-ethoxycarbonyl-7H-pyrrolo[2,3-d]pyrimidin gegeben. Nach einer Rührung bei 50°C während 2 h wird das Reaktionsgemisch tropfenweise mit 100 ml Wasser versetzt und dann durch Celite filtriert. Das Filtrat wird mit Wasser versetzt, und das Gemisch dreimal mit Ethylacetat extrahiert. Die organischen Phasen werden dreimal mit Wasser und Kochsalzlösung gewaschen, getrocknet (MgSO4) und eingedampft. Durch Umkristallisation aus Isopropanol wird 4-(3-Chloranilino)-6- hydroxymethyl-7H-pyrrolo[2,3-d]pyrimidin erhalten; HPLC: tRet(Grad20) = 8,2; TLC-Rf = 0,11 (CH2Cl2/Methanol [10:1]); MS: (M)+ = 274.
  • Stufe 1.6:
  • Unter Eiskühlung werden 1,9 g Mangandioxid (85%) zu einer Suspension von 715 mg (2,6 mmol) 4-(3-Chloranilino)-6-hydroxymethyl-7H-pyrrolo[2,3-d]pyrimidin in 170 ml Methylenchlorid gegeben, wobei das Gemisch 20 h bei RT gerührt wird. Hierauf wird das Reaktionsgemisch mit 20 ml 1,3-Dimethyl-3,4,5,6-tetrahydro-2-(1H)-pyrimidinon (DMPU) versetzt und 1 h gerührt, worauf es durch Hyflo filtriert wird. Der Filtrationsrückstand wird erneut gerührt in 50 ml Methylenchlorid/DMPU (1:1) und dann wiederum filtriert. Die beiden Filtrate werden vereinigt, eingedampft und in Ethylacetat/THF und Wasser aufgenommen. Die wässrigen Phasen werden zweimal mit Ethylacetat extrahiert, worauf die organischen Phasen viermal mit Wasser und Kochsalzlösung gewaschen, getrocknet (MgSO4) und bis auf ein Restvolumen von ≈ 20 ml verdampft werden. Durch anschließende Zugabe von Diethylether und Filtration wird 4-(3-Chloranilino)-6-formyl-7H-pyrrolo[2,3-d]pyrimidin erhalten; HPLC: tRet(Grad20) = 10,1; TLC-Rf = 0,24 (CH2Cl2/Methanol [10:1]).
  • Beispiel 2:
  • Ein Gemisch von 109 mg (0,40 mmol) 4-(3-Chloranilino)-6-formyl-7H-pyrrolo[2,3-d]pyrimidin (Stufe 1.6) und 70 μl (0,8 mmol) Morpholin in 6 ml Methanol, 2 ml DMPU und 50 μl Essigsäure wird 2 h auf 50°C erhitzt. Sodann wird das Gemisch mit 30 mg Raney-Nickel versetzt und bei 50°C hydriert. Der Katalysator wird abfiltriert, das Filtrat eingedampft und der Rückstand in Ethylacetat und gesättigter Na2CO3 Lösung gelöst. Die abgetrennte wässrige Phase wird zweimal mit Ethylacetat extrahiert, worauf die organischen Phasen mit ges. NaHCO3 Lösung gewaschen, zweimal mit Wasser und Kochsalzlösung gewaschen, getrocknet (MgSO4) und eingedampft wird. Der Rückstand wird in Methanol aufgenommen, worauf die Lösung mit Silicagel behandelt und getrocknet wird. Das Pulver wird auf eine Silicagelsäule gegeben und mit CH2Cl2/Methanol (10:1) eluiert. Durch Kristallisation aus Ethylacetat/Diethylether/Hexan wird 4-(3-Chloranilino)-6-[(morpholin-4-yl)-methyl]-7H-pyrrolo[2,3-d]pyrimidin erhalten; Smp. 244–246°C; HPLC: tRet(Grad20) = 7,4; TLC-Rf = 0,20 (CH2Cl2/Methanol 10:1); FAB-MS: (M+H)+ = 344.
  • Beispiel 6:
  • Ein Gemisch von 115 mg (1,66 mmol) Hydroxylammoniumchlorid und 139 mg (1,69 mmol) Natriumacetat in 2 ml Wasser wird zu 273 mg (1,00 mmol) 4-(3-Chloranilino)-6-formyl-7H-pyrrolo[2,3-d]pyrimidin (Stufe 1.6) in 3 ml Methanol gegeben. Die Suspension wird 3 h auf Siedetemperatur erhitzt, abgekühlt und filtriert, und der Rückstand wird mit Wasser/Isopropanol (1:1) gewaschen. Das Rohprodukt wird in etwa 80 ml heißem THF gelöst und mit Aktivkohle geklärt. Das Filtrat wird mit 10 ml Isopropanol versetzt und dann partial eingedampft. Die dabei gebildeten Kristalle werden abfiltriert und mit DIPE und Hexan gewaschen, worauf reines (E)-4-(3-Chloranilino)-7H-pyrrolo[2,3-d]pyrimidin-6-carbaldehydoxim erhalten wird; 1H-NMR (DMSO-d6): 12,16 und 11,35 (2s, 2HN), 9,60 (s, 1H), 8,35 (s, 1H), 8,19 (sb, 1H), 8,17 (s, 1H), 7,79 (db, J = 8, 1H), 7,35 (t, J = 8, 1H), 7,05 (db, J = 8, 1H), 7,03 (s, 1H); HPLC: tRet(Grad20) = 9,5; FAB-MS: (M+H)+ = 288.
  • Nach Zugabe von Diethylether und Stehenlassen bei –20°C kristallisiert aus der eingedampften Mutterlauge (Z)-4-(3-Chloranilino)-7H-pyrrolo[2,3-d]pyrimidin-6-carbaldehydoxim als ein Gemisch mit ≈ 10% des (E) Isomers aus: 1H-NMR (DMSO-d6): 12,00 (s, 2HN), 9,71 (s, 1H), 8,39 (s, 1H), 8,24 (sb, 1H), 7,84 (db, J = 8, 1H), 7,67 (s, 1H), 7,52 (s, 1H), 7,35 (t, J = 8, 1H), 7,05 (db, J = 8, 1H); HPLC: tRet(Grad20) = 9,1; FAB-MS: (M+H)+ = 288.
  • Beispiel 7:
  • Ein Gemisch von 69,3 mg (0,83 mmol) O-Methylhydroxylaminhydrochlorid und 69,3 mg (0,845 mmol) Natriumacetat in 1 ml Wasser wird zu 163,3 mg (0,5 mmol) 4-(3-Chloranilino)-6-formyl-7H-pyrrolo[2,3-d]pyrimidin (Stufe 1.6) in 1 ml Methanol gegeben. Die Suspension wird 4 h auf Siedetemperatur erhitzt, abgekühlt und filtriert, worauf der Rückstand mit Wasser/Isopropanol und schließlich mit Diethylether gewaschen wird, wodurch 4-(3-Chloranilino)-7H-pyrrolo[2,3-d]pyrimidin-6-carbaldehyd-O-methyloxim erhalten wird; HPLC: tRet(Grad20) = 11,3; TLC-Rf = 0,31 (CH2Cl2/Methanol 10:1) FAB-MS: (M+H)+ = 302.
  • Beispiel 8:
  • Ein Gemisch von 168,5 mg (0,53 mmol) 4-(3-Chloranilino)-6-ethoxycarbonyl-7H-pyrrolo[2,3-d]pyrimidin (Stufe 1.4) in 3 ml Morpholin wird zuerst 5 Tage bei 50°C und dann 1 Tag bei 100°C gerührt. Das Reaktionsgemisch wird mit Silicagel versetzt und eingedampft, und der erhaltene Rückstand wird auf eine Silicagelsäule gegeben, die mit Ethanol/Methylenchlorid (1:15) eluiert wird. Durch Rührung des Reaktionsprodukts in Propanol wird 4-(3-Chloranilino)-6-(morpholin-4-ylcarbonyl)-7H-pyrrolo[2,3-d]pyrimidin erhalten; HPLC: tRet(Grad20) = 9,2; TLC-Rf = 0,56 (CH2Cl2/Methanol = 10:1); MS: (M)+ = 357.
  • Beispiel 9:
  • Es werden zuerst 98 mg (0,33 mmol) TPTU und dann 133 μl (1,2 mmol) N-Methylpiperazin in 1 ml DMF (→ Lösung) zu einer Suspension von 97,6 mg (0,30 mmol) 6-Carboxy-4-(3-chloranilino)-7H-pyrrolo[2,3-d]pyrimidin in 7 ml DMF gegeben. Nach 1 h erfolgt ein weiterer Zusatz von 30 mg TPTU, wobei das Gemisch über Nacht bei RT gerührt wird. Der nach Verdampfung des Reaktionsgemisches unter HV erhaltene Rückstand wird mit Ethanol/Methylenchlorid (1:2) und dann mit etwa 4 ml Ethanol/Wasser (3:1) behandelt. Das bei diesem Prozess auskristallisierte 4-(3-Chloranilino)-6-[(4-methylpiperazin-1-yl)carbonyl]-7H-pyrrolo[2,3-d]pyrimidin wird abfiltriert und mit Ethanol/Wasser (1:1) und dann mit Isopropanol/Hexan (1:1) gewaschen; Smp. 276–278°C; HPLC: tRet(Grad20) = 7,3; TLC-Rf = 0,21 (CH2Cl2/Ethanol = 2:1); MS: (M)+ = 370.
  • Das Ausgangsmaterial wird wie folgt erhalten:
  • Stufe 9.1:
  • Eine Lösung von 25 mg (0,6 mmol) LiOH·H2O in 0,4 ml H2O wird tropfenweise zu einer Suspension von 95 mg (0,30 mmol) 4-(3-Chloranilino)-6-ethoxycarbonyl-7H-pyrrolo[2,3-d]pyrimidin (siehe Stufe 1.4) in 0,7 ml Methanol gegeben, wobei das Gemisch 4,5 h auf Siedetemperatur erhitzt wird. Sodann wird das Gemisch in einem Eisbad abgekühlt und mit 0,6 ml 1 normaler HCl Lösung angesäuert. Durch an schließende Filtration und Waschung mit Wasser wird 6-Carboxy-4-(3-chloranilino)-7H-pyrrolo[2,3-d]pyrimidin erhalten; HPLC: tRet(Grad20) = 8,7; FAB-MS: (M+H)+ = 289.
  • Beispiel 10:
  • Ein Gemisch von 144 mg (0,50 mmol) 6-Aminocarbonyl-4-(3-chloranilino)-7H-pyrrolo[2,3-d]pyrimidin und 202 mg (0,5 mmol) Lawesson-Reagenz in 5 ml THF wird 17 h auf Siedetemperatur erhitzt und dann eingedampft. Durch Säulenchromatographie (SiO2, CH2Cl2/Ethanol = 15:1) des Rückstands und Rührung in Diethylether wird 4-(3-chloranilino)-6-(thiocarbamoyl)-7H-pyrrolo[2,3-d]pyrimidin erhalten; HPLC: tRet(Grad20) = 9,8; TLC-Rf = 0,44 (CH2Cl2/Methanol = 10:1); FAB-MS: (M+H)+ = 304; IR: (KBr) inter alia 1614s, 1566s, 1506m, 1474s, 1380m, 1294m, 1134m.
  • Das Ausgangsmaterial wird wie folgt erhalten:
  • Stufe 10.1:
  • Ein Gemisch von 90 mg (0,285 mmol) 4-(3-Chloranilino)-6-ethoxycarbonyl-7H-pyrrolo[2,3-d]pyrimidin (Stufe 1.4) in 30 ml Methanol und = 5 g Ammoniak wird 48 h in einem Autoklav auf 120°C erhitzt. Das Reaktionsgemisch wird mit Silicagel behandelt, eingedampft und auf eine Silicagelsäule als ein Pulver gegeben und dann mit Methylenchlorid/Methanol/THF (210:35:10) eluiert. Durch Filtration mit Methanol durch eine Aluminiumoxidsäule (basisch) und Rührung in Ethylacetat wird 6-Aminocarbonyl-4-(3-chloranilino)-7H-pyrrolo[2,3-d]pyrimidin erhalten; HPLC: tRet(Grad20) = 8,1; TLC-Rf = 0,18 (CH2Cl2/Methanol [10:1]); hohe Auflösung MS: (M+H)+ = 288,0669 (berechnet 288,0652).
  • Das Ausgangsmaterial kann alternativ und vorteilhaft auch wie folgt erhalten werden:
  • Alternative Stufe 10.1:
  • Ein Gemisch von 2,165 g (7,5 mmol) 6-Carboxy-4-(3-chloranilino)-7H-pyrrolo[2,3-d]pyrimidin in 60 ml THF und 10 ml DMPU wird 30 min unter Rückflusstemperatur gehalten und dann auf 0°C abgekühlt, wodurch eine feine Suspension erhalten wird. Sodann wird diese Suspension mit 824 μl (7,5 mmol) N-Methylmorpholin und hierauf mit 981 μl (7,5 mmol) Isobutylchlorformiat in 10 ml THF versetzt, worauf bei 0°C nach 1 h tropfenweise zuerst 824 μl (7,5 mmol) N-Methylmorpholin und dann 981 μl (7,5 mmol) Isobutylchlorformiat zugegeben werden. Das Gemisch wird 1 h gerührt und dann tropfenweise mit 70 ml einer gesättigten Lösung von Ammoniak in Dioxan versetzt. Nach 3 h wird das Gemisch unter Vakuum eingeengt. Der Rückstand wird in Wasser gegossen, und der Niederschlag wird abfiltriert, und dann mit Wasser und siedendem Isopropanol gewaschen, wodurch 6-Aminocarbonyl-4-(3-chloranilino)-7H-pyrrolo[2,3-d]pyrimidin erhalten wird. Aus dem Isopropanolfiltrat wird weiteres Produkt erhalten.
  • Beispiel 11
  • Ein Gemisch von 57,5 mg (0,19 mmol) 4-(3-Chloranilino)-6-(thiocarbamoyl)-7H-pyrrolo[2,3-d]pyrimidin (siehe Beispiel 10) in 3 ml Methanol und 57,3 mg (0,25 mmol) 4-Methoxyphenacylbromid wird 17 h auf Siedetemperatur erhitzt. Durch Abkühlung der fahlgelben Suspension, Filtration und anschließende Waschung mit Isopropanol/Diethylether wird 4-(3-Chloranilino)-6-[4-(4-methoxyphenyl)-thiazol-2- yl]-7H-pyrrolo[2,3-d]pyrimidin erhalten; HPLC: tRet(Grad20) = 15,4; TLC-Rf = 0,33 (CH2Cl2/Methanol = 10:1); FAB-MS: (M+H)+ = 434.
  • Beispiel 12:
  • Ein Gemisch von 57,5 mg (0,19 mmol) 4-(3-Chloranilino)-6-(thiocarbamoyl)-7H-pyrrolo[2,3-d]pyrimidin (siehe Beispiel 10) und 34 ml 1-Brom-2-butanon (Aldrich, Milwaukee/USA) in 3 ml Dioxan wird 2 h auf Siedetemperatur erhitzt. Sodann wird die abgekühlte Suspension filtriert und der Rückstand mit Isopropanol/Diethylether gewaschen, wodurch 4-(3-Chloranilino)-6-(4-ethylthiazol-2-yl)-7H-pyrrolo[2,3-d]pyrimidin erhalten wird; HPLC: tRet(Grad20) = 13,6; FAB-MS: (M+H)+ = 356.
  • Beispiel 13:
  • 4-(3-Chloranlino)-6-(4,5-dimethylthiazol-2-yl)-7H-pyrrolo[2,3-d]pyrimidin wird nach einem in diesem Text beschriebenen Verfahren erhalten.
  • Beispiel 14:
  • Ein Gemisch von 19 mg (0,45 mmol) Lithiumchlorid und 19,5 mg (0,30 mmol) Natriumazid wird zu einer Lösung von 80,9 mg (0,30 mmol) 4-(3-Chloranilino)-6-cyano-7H-pyrrolo[2,3-d]pyrimidin in 1 ml Methoxyethanol gegeben, und das Gemisch wird 6,5 h auf Siedetemperatur erhitzt. Nach Abkühlung wird das Reaktionsgemisch in Wasser/HCl (konz.) 10:1 gegeben und 30 min gerührt, worauf der Feststoff abfiltriert und mit Wasser gewaschen wird. Durch Auflösung der Kristalle in THF/Isopropanol, Teilverdampfung bis zur Kristallisation, Filtration und Waschung mit Diethylether wird 4-(3-Chloranilino)-6-(tetrazol-5-yl)-7H-pyrrolo[2,3-d]pyrimidin erhalten; HPLC: tRet(Grad20) = 9,5; TLC-Rf = 0,45 (CH2Cl2/Methanol = 7:1); FAB-MS: (M+H)+ = 313.
  • Das Ausgangsmaterial wird wie folgt erhalten:
  • Stufe 14.1:
  • Ein Gemisch von 1,048 g (3,6 mmol) 6-Aminocarbonyl-4-(3-chloranilino)-7H-pyrrolo[2,3-d]pyrimidin (siehe Stufe 10.1) und 0,7 ml N,N-Dimethylacetamid wird mit 13 ml Phosphoroxychlorid versetzt. Nach Rührung bei RT während 1 h und bei 100°C während 4 h wird das Reaktionsgemisch in eine eiskalte gesättigte Lösung von NaHCO3 gegeben. Anschließend erfolgt eine Extraktion mit Ethylacetat (dreimal), Waschung der organischen Schichten mit einer gesättigten NaHCO3 Lösung sowie mit Wasser und einer gesättigten Natriumchloridlösung, Trocknung (Na2SO4) und Einengung führt zu einem Feststoff. Durch Säulenchromatographie (SiO2, Ethylacetat) und Rührung des Rohprodukts in Diethylether und Hexan wird 4-(3-Chloranilino)-6-cyano-7H-pyrrolo[2,3-d]pyrimidin erhalten; Smp. 284–287°C; TLC-Rf = 0,71 (CH2Cl2/Methanol [10:1]); HPLC: tRet(Grad20) = 11,8.
  • Beispiel 15:
  • Man gibt 50,4 mg (0,60 mmol) in NaHCO3 und bei 0 bis 5°C 600 μl (0,60 mmol) Methyliodid (1 M in Dioxan) zu 187,6 mg (0,60 mmol) 4-(3-Chloranilino)-6-(tetrazol-5-yl)-7H-pyrrolo[2,3-d]pyrimidin (siehe Beispiel 14) in 12 ml DMF. Nach einer Rührung bei RT während 18 h wird das Gemisch mit Ethylacetat, etwas THF und Wasser verdünnt und die wässrige Phase abgetrennt, worauf sich eine erneute Extraktion mit Ethylacetat und etwas THF anschließt. Die organischen Phasen werden zweimal mit Wasser und Kochsalzlösung gewaschen, mit MgSO4 getrocknet und eingedampft. Durch Rührung des Rückstands in THF/Ethanol wird ein 2:1 Gemisch von 4-(3-Chloranilino)-6-(2-methyltetrazol-5-yl)-7H-pyrrolo[2,3-d]pyrimidin und 4-(3-Chloranilino)-6-(1-methyltetrazol-5-yl)-7H-pyrrolo[2,3-d]pyrimidin erhalten; HPLC: tRet(Grad20) = 10,5 (1 Teil) und 10,7 (2 Teile), 1H-NMR (DMSO-d6) inter alia 4,45 (s, 2-H3C-Tetrazol), 4,32 (s, 1-H3C-Tetrazol); FAB-MS: (M+H)+ = 327.
  • Beispiel 16:
  • Ein Gemisch von 0,1 g (0,304 mmol) (R)-6-(4-Aminophenyl)-4-[(1-phenylethyl)-amino]-7H-pyrrolo[2,3-d]pyrimidin und 0,026 ml (0,33 mmol) Methansulfochlorid in 1 ml absolutem Dimethylacetamid wird bei 0°C während 4 h so lange gerührt, bis sich im TLC kein Ausgangsmaterial mehr zeigt. Das Reaktionsgemisch wird dann in 10 ml Eiswasser gegossen. Hierauf erfolgt eine Extraktion mit Ethylacetat und mit 20 ml einer wässrigen NaHCO3 Lösung. Die organische Phase wird mit Wasser gewaschen, getrocknet und eingeengt, wodurch (R)-6-(4-Methylsulfonylaminophenyl)-4-[(1-phenylethyl)-amino]-7H-pyrrolo[2,3-d]pyrimidin auskristallisiert. Dieses Produkt wird mit Hexan gewaschen; Smp. 253–256°C; FAB-MS: (M+H)+ = 408.
  • Das Ausgangsmaterial wird wie folgt erhalten:
  • Stufe 16.1:
  • In Analogie zur Stufe 19.4 werden durch Kochen von 6,0 g (220 mmol) 4-Chlor-6-(4-nitrophenyl)-7H-pyrrolo[2,3-d]pyrimidin (siehe Stufe 19.3) mit 6,04 g (R)-(+)-1-Phenylethylamin in 120 ml n-Butanol (R)-6-(4-Nitrophenyl)-4-[(1-phenylethyl)-amino]-7H-pyrrolo[2,3-d]pyrimidin in Form rostbrauner Kristalle mit einem Smp. von > 250°C erhalten.
  • Stufe 16.2:
  • In Analogie zur Stufe 19.5 wird durch Reduktion von (R)-6-(4-Nitrophenyl-4-[(1-phenylethyl)amino]-7H-pyrrolo[2,3-d]pyrimidin mit Raney-Nickel in THF/Methanol (R)-6-(4-Aminophenyl-4-[(1-phenylethyl)-amino]-7H-pyrrolo[2,3-d]pyrimidin erhalten; Smp. 234–235°C; MS: M+ = 329.
  • Beispiel 17:
  • In Analogie zum Beispiel 16 werden ausgehend von (R)-6-(4-Aminophenyl)-4-[(1-phenylethyl)amino]-7H-pyrrolo[2,3-d]pyrimidin (siehe Stufe 16.2) und dem geeigneten Alkylsulfochlorid die folgenden Verbindungen erhalten:
    • a) (R)-6-(4-Ethylsulfonylaminophenyl)-4-[(1-phenylethyl)-amino]-7H-pyrrolo[2,3-d]-pyrimidin; Smp. 260–261°C; FAB-MS: (M+H)+ = 422, und
    • b) (R)-6-(4-Isopropylsulfonylaminophenyl)-4-[(1-phenylethyl)-amino]-7H-pyrrolo[2,3-d]-pyrimidin; Smp. 262–263°C; FAB-MS: (M+H)+ = 436.
  • Beispiel 18:
  • In Analogie zum Beispiel 16 werden ausgehend von (R)-6-(3-Aminophenyl)-4-[(1-phenylethyl)amino]-7H-pyrrolo[2,3-d]pyrimidin und dem geeigneten Alkylsulfochlorid die folgenden Verbindungen hergestellt:
    • a) (R)-6-(3-Methylsulfonylaminophenyl)-4-[(1-phenylethyl)-amino]-7H-pyrrolo[2,3-d]-pyrimidin; Smp. 139–148°C (amorph); MS: (M+) = 407,
    • b) (R)-6-(3-Ethylsulfonylaminophenyl)-4-[(1-phenylethyl)-amino]-7H-pyrrolo[2,3-d]-pyrimidin; Smp. 235–236°C; FAB-MS: (M+H)+ = 422, und
    • c) (R)-6-(3-Isopropylsulfonylaminophenyl)-4-[(1-phenylethyl)-amino]-7H-pyrrolo[2,3-d]-pyrimidin; Smp. 257–258°C; FAB-MS: (M+H)+ = 436.
  • Das Ausgangsmaterial wird wie folgt erhalten:
  • Stufe 18.1:
  • In Analogie zu dem in der Stufe 19.4 beschriebenen Verfahren werden durch Kochen von 20,0 g (700 mmol) 4-Chlor-6-(3-nitrophenyl)-7H-pyrrolo[2,3-d]pyrimidin (hergestellt in Analogie zu den Stufen 19.1 bis 19.3) mit 23,1 ml (168 mmol) (R)-Phenylethylamin in 23,1 ml n-Butanol (R)-6-(3-Nitrophenyl)-4-[(1-phenylethyl)-amino]-7H-pyrrolo[2,3-d]pyrimidin in Form rostbrauner Kristalle mit einem Smp. von > 250°C hergestellt; MS: M+ = 359.
  • Stufe 18.2:
  • In Analogie zur Stufe 19.5 wird durch Reduktion von (R)-6-(3-Nitrophenyl)-4-[(1-phenylethyl)amino]-7H-pyrrolo[2,3-d]pyrimidin mit Raney-Nickel in THF/Methanol (R)-6-(3-Aminophenyl)-4-[(1-phenylethyl)-amino]-7H-pyrrolo[2,3-d]pyrimidin hergestellt; Smp. 129–190°C (amorph); MS: M+ = 329.
  • Beispiel 19:
  • In Analogie zum Beispiel 16 werden aus 6-(4-Aminophenyl)-4-(3-chloranilino)-7H-pyrrolo[2,3-d]pyrimidin und dem entsprechenden Alkylsulfochlorid die folgenden Verbindungen hergestellt:
    • a) 6-(4-Methylsulfonylaminophenyl)-4-(3-chloranilino)-7H-pyrrolo[2,3-d]pyrimidin, Smp. > 300°C; FAB-MS: (M+H)+ = 414,
    • b) 4-(3-Chloranilino)-6-(4-ethylsulfonylaminophenyl)-7H-pyrrolo[2,3-d]pyrimidin; Smp. > 300°C; FAB-MS: (M+H)+ = 428,
    • c) 4-(3-Chloranilino)-6-(4-isopropylsulfonylaminophenyl)-7H-pyrrolo[2,3-d]pyrimidin; Smp. > 300°C; FAB-MS: (M+H)+ = 442 und
    • d) 4-(3-Chloranilino)-6-(4-phenylsulfonylaminophenyl)-7H-pyrrolo[2,3-d]pyrimidin; Smp. > 300°C; FAB-MS: (M+H)+ = 475.
  • Das Ausgangsmaterial wird wie folgt erhalten:
  • Stufe 19.1:
  • In einen trockenen Dreihalskolben werden 75 ml absolutes Ethanol und 6,5 g (390 mmol) Ethyl-2-amidinoacetathydrochlorid [zur Herstellung siehe Liebigs Ann. Chem., 1895 (1977)], initial unter Argon eingeführt, wobei das Gemisch auf 0 bis 5°C gekühlt wird und mit 2,65 g (390 mmol) Natriumethoxid behandelt wird. Hierauf werden 5 g (195 mmol) 2-Brom-1-(4-nitrophenyl)-ethan-1-on zugesetzt, wobei man das Gemisch auf RT kommen lässt und weitere 48 h rührt. Sodann wird das Reaktionsgemisch zwischen Wasser und Ethylacetat verteilt. Die Ethylacetatphase wird dreimal mit Wasser und einmal mit ges. NaCl Lösung gewaschen, getrocknet und filtriert, und das Filtrat wird eingedampft. Der rotbraune Rückstand wird in Hexan suspendiert, wodurch 2-Amino-3-ethoxycarbonyl-5-(4-nitrophenyl)-pyrrol als ein Rohpro dukt (Reinheit 93%) ausfällt, das ohne weitere Reinigung für die nächste Stufe verwendet wird; MS: (M)+ = 275. Stufe 19.2:
  • Ein Gemisch von 2,5 g (97 mmol) 2-Amino-3-ethoxycarbonyl-5-(4-nitrophenyl)-pyrrol, 19,4 ml Formamid, 9,7 ml DMF und 3,1 ml Ameisensäure wird bei 150°C zusammen für 22 h gerührt. Sodann wird das warme Reaktionsgemisch mit 1 ml Isopropanol versetzt. Das Reaktionsgemisch wird gekühlt, und das dabei ausgefallene Produkt wird abfiltriert. Dieses Produkt wird dann der Reihe nach dreimal mit 10 ml Ethanol jedes Mal, zweimal mit 10 ml Isopropanol jedes Mal und zweimal mit 10 ml Hexan jeweils gewaschen. Hierdurch wird 4-Hydroxy-6-(4-nitrophenyl)-7H-pyrrolo[2,3-d]pyrimidin in Form rostbrauner Kristalle erhalten, die für die nächste Stufe verwendet werden; MS: (M)+ = 256.
  • Stufe 19.3:
  • Durch Erhitzung von 4-Hydroxy-6-(4-nitrophenyl)-7H-pyrrolo[2,3-d]pyrimidin mit POCl3 wird 4-Chlor-6-(4-nitrophenyl)-7H-pyrrolo[2,3-d]pyrimidin (Reinheit 93%) hergestellt; Smp. > 280°C; FAB-MS: (M+H)+ = 275.
  • Stufe 19.4:
  • Durch Kochen von 0,25 g (0,91 mmol) 4-Chlor-6-(4-nitrophenyl)-7H-pyrrolo[2,3-d]pyrimidin mit 0,19 ml 3-Chloranilin in 5 ml n-Butanol wird 4-(3-Chloranilin)-6-(4-nitrophenyl)-7H-pyrrolo[2,3-d]pyrimidin in Form rostbrauner Kristalle erhalten; Smp. > 250°C; 1H-NMR (360 MHz, DMSO-d6): 12,95 (s, Pyrrol-NH), 10,3 (s, Anilin-NH), 8,45 (s, Pyrimidin-H), 8,24 (s, aromatisches H), 7,18-8,4 (7 aromatisches H + Pyrrol-5H); MS: (M)+ = 365.
  • Stufe 19.5:
  • Durch Hydrierung von 150 mg (0,41 mmol) 4-(3-Chloranilino)-6-(4-nitrophenyl)-7H-pyrrolo[2,3-d]pyrimidin mit 50 mg Raney-Nickel in 20 ml THF/Methanol bei RT und normalem Druck während 5 h fällt das gewünschte Produkt im Verlauf dieser Reaktion aus. Der Katalysator wird abfiltriert und der Filterrückstand mit warmer THF gewaschen. Das Filtrat wird zur Trockne eingedampft. Das Rohprodukt wird durch mehrmalige Digestion in Methanol und Ausfällung aus THF/Hexan gereinigt, wodurch 6-(4-Aminophenyl)-4-(3-chloranilin)-7H-pyrrolo[2,3-d]pyrimidin in Form fahlbeiger Kristalle erhalten wird; Smp. > 290°C; 1H-NMR (360 MHz, DSMO-d6); 12,05 (s, Pyrrol-NH), 9,38 (s, Anilin-NH), 8,31 (s, Pyrimidin-H), 8,24 (s, aromatisches H), 7,80 (d, aromatisches H), 7,53 (d, 2 aromatische H), 7,35 (t, aromatisches H), 7,05 (d, aromatisches H), 6,90 (s, Pyrrol-5H), 6,64 (d, 2 aromatische H), 5,35 (s, NH2); MS: (M)+ = 335.
  • Beispiel 20:
  • In Analogie zum Beispiel 16 werden ausgehend von 6-(3-Aminophenyl)-4-(3-chloranilino)-7H-pyrrolo[2,3-d]pyrimidin und dem entsprechenden Alkylsulfochlorid die folgenden Verbindungen hergestellt:
    • a) 4-(3-Chloranilino)-6-(3-methylsulfonylaminophenyl)-7H-pyrrolo[2,3-d]pyrimidin; Smp. > 300°C; FAB-MS: (M+H)+ = 414,
    • b) 4-(3-Chloranilino)-6-(3-ethylsulfonylaminophenyl)-7H-pyrrolo[2,3-d]pyrimidin; Smp. 228–230°C; FAB-MS: (M+H)+ = 428, und
    • c) 4-(3-Chloranilino)-6-(3-isopropylsulfonylaminophenyl)-7H-pyrrolo[2,3-d]pyrimidin; Smp. 233°C; FAB-MS: (M+H)+ = 442.
  • Das Ausgangsmaterial wird wie folgt erhalten:
  • Stufe 20.1:
  • In Analogie zur Stufe 19.4 wird durch Kochen von 2,0 g (7,28 mmol) 4-Chlor-6-(3-nitrophenyl)-7H-pyrrolo[2,3-d]pyrimidin mit 4,2 ml (40 mmol) 3-Chloranilin in 150 ml n-Butanol 6-(3-Nitrophenyl-4-(3-chloranilino)-7H-pyrrolo[2,3-d]pyrimidin in Form gelblicher Kristalle erhalten; Smp. > 250°C; MS: M+ = 365.
  • Stufe 20.2:
  • In Analogie zur Stufe 19.5 wird durch Reduktion von 6-(3-Nitrophenyl)-4-(3-chloranilino)-7H-pyrrolo[2,3-d]pyrimidin mit Raney-Nickel in THF/Methanol 6-(3-Aminophenyl)-4-(3-chloranilino)-7H-pyrrolo[2,3-d]pyrimidin erhalten; Smp. 293–295°C; MS: M+ = 336.
  • Beispiel 21:
  • Ein Gemisch von 0,2 g (0,56 mmol) 6-(4-Aminophenyl)-4-(3-chloranilino)-7H-pyrrolo[2,3-d]pyrimidin (siehe Stufe 19.5), 0,097 ml (0,67 mmol) N,N-Dimethylformamiddimethylacetal und 0,112 ml (0,73 mmol) Triethylamin wird bei RT 24 h in 10 ml THF so lange gerührt, bis das gesamte Ausgangsmaterial im TLC verschwunden ist. Sodann wird die Reaktionslösung unter Vakuum zur Trockne konzentriert und der Rückstand auf einer Silicagelsäule chromatographiert. Durch Kristallisation aus THF/Hexan oder Ethylacetat/Hexan wird 4-(3-Chloranilino)-6-(4-[dimethylaminomethylenamino]-phenyl)-7H-pyrrolo[2,3-d]pyrimidin erhalten; Smp. > 300°C; MS: (M)+ = 390.
  • Beispiel 22:
  • In Analogie zum Beispiel 21 werden ausgehend von 6-(4-Aminophenyl)-4-(3-chloranilino)-7H-pyrrolo[2,3-d]pyrimidin (siehe Stufe 19.5) und dem entsprechenden N,N-Dialkylformamiddimethylacetal oder Heterocyclylaldehyddimethylacetal die folgenden Verbindungen hergestellt:
    • a) 4-(3-Chloranilino)-6-(4-[diethylaminomethylenamino]-phenyl)-7H-pyrrolo[2,3-d]pyrimidin; Smp. > 310°C; FAB-MS: (M+H)+ = 419,
    • b) 4-(3-Chloranilino)-6-(4-[piperidinomethylenaminophenyl)-7H-pyrrolo[2,3-d]pyrimidin; Smp. > 300°C; MS: (M)+ = 430,
    • c) 4-(3-Chloranilino)-6-(4-[morpholinomethylenamino]-phenyl)-7H-pyrrolo[2,3-d]pyrimidin; Smp. > 310°C; MS: (M)+ = 432, und
    • d) 4-(3-Chloranilino)-6-{4-[(4-methylpiperazino)-methylenamino]-phenyl}-7H-pyrrolo[2,3-d]pyrimidin; Smp. > 310°C; FAB-MS: (M+H)+ = 446.
  • Beispiel 23:
  • In Analogie zum Beispiel 21 werden ausgehend von 6-(3-Aminophenyl)-4-(3-chloranilino)-7H-pyrrolo[2,3-d]pyrimidin (siehe Stufe 20.2) und dem entsprechenden N,N-Dialkylformamiddimethylacetal oder Morpholinoaldehyddimethylacetal die folgenden Verbindungen hergestellt:
    • a) 4-(3-Chloranilino)-6-(3-[dimethylaminomethylenamino]-phenyl)-7H-pyrrolo[2,3-d]pyrimidin; Smp. 266–268°C; MS: (M)+ = 390,
    • b) 4-(3-Chloranilino)-6-(3-[diethylaminomethylenamino]-phenyl)-7H-pyrrolo[2,3-d]pyrimidin; Smp. 171–172°C; FAB-MS: (M+H)+ = 419, und
    • c) 4-(3-Chloranilino)-6-(3-[morpholinomethylenamino]-phenyl)-7H-pyrrolo[2,3-d]pyrimidin; Smp. 284–286°C; FAB-MS: (M+H)+ = 433.
  • Beispiel 24:
  • In Analogie zum Beispiel 21 wird ausgehend von (R)-6-(4-Aminophenyl)-4-[(1-phenylethyl)amino]-7H-pyrrolo[2,3-d]pyrimidin (siehe Stufe 16.2) und N,N-Dimethylformamiddimethylacetal die folgende Verbindung hergestellt:
    (R)-6-(4-[Dimethylaminomethylenamino]-phenyl)-4-[(1-phenylethyl)-amino]-7H-pyrrolo[2,3-d]pyrimidin;
    Smp. > 300°C; MS: (M+H)+ = 385.
  • Beispiel 25:
  • In Analogie zum Beispiel 21 wird ausgehend von (R)-6-(3-Aminophenyl)-4-[(1-phenylethyl)amino]-7H-pyrrolo[2,3-d]pyrimidin (siehe Stufe 18.2) und N,N-Dimethylformamiddimethylacetal die folgende Verbindung hergestellt:
    (R)-6-(3-[Dimethylaminomethylenamino]-phenyl)-4-[(1-phenylethyl)-amino]-7H-pyrrolo[2,3-d]pyrimidin;
    Smp. 267–269°C; FAB-MS: (M+H)+ = 385.
  • Beispiel 26:
  • 738 mg (2,02 mmol) 6-(4-Carbonylphenyl)-4-(3-chloranilino)-7H-pyrrolo[2,3-d]pyrimidin werden bei RT während 3 h mit 3 Äquivalenten Morpholin und 3,5 Äquivalenten DEPC (Aldrich) in DMF gerührt. Die Reaktionslösung wird auf Wasser gegossen, worauf der Feststoff abfiltriert und mit Wasser und Methanol gewaschen wird. Das erhaltene Produkt wird über Silicagel chromatographiert und mit Chloroform/Methanol/Essigsäure/Wasser (850:130:15:5, Vol./Vol.) eluiert. Das so erhaltene Produkt wird in Diethylether digestiert, abfiltriert und getrocknet, wodurch 4-(3-Chloranilino)-6-(4-[morpholin-4-ylcarbonyl]phenyl)-7H-pyrrolo[2,3-d]pyrimidin in Form beiger Kristalle erhalten wird. Smp. > 250°C; FAB-MS: (M+H)+ = 434.
  • Beispiel 27:
  • In Analogie zum Beispiel 26 wird ausgehend von 3-(Chloranilino)-6-(4-carbonylphenyl)-7H-pyrrolo[2,3-d]pyrimidin und N-Methylpiperazin 4-(3-Chloranilino)-6-(4-[4-methylpiperazin-1-yl]-carbonylphenyl)-7H-pyrrolo[2,3-d]pyrimidin erhalten; Smp. 250°C; FAB-MS: (M+H)+ = 447.
  • Beispiel 28:
  • 300 mg (0,89 mmol) 6-(4-Aminophenyl)-4-(3-chloranilino)-7H-pyrrolo[2,3-d]pyrimidin (siehe Stufe 19.5) werden in 20 ml absolutem THF und 2 ml (3,56 mmol) DMA gelöst, worauf diese Lösung mit 0,29 ml Ethylisocyanat (Fluka) unter Ausschluss von Feuchtigkeit und so langes Erhitzen auf Rückflusstempe ratur behandelt wird, bis im TLC (24 h) kein Ausgangsmaterial mehr vorhanden ist. Das Reaktionsgemisch wird unter Vakuum zur Trockne eingedampft und das Rohprodukt über Silicagel chromatographiert, wobei die Elution unter Verwendung von Ethylacetat/Methanol erfolgt. Die das gewünschte Produkt enthaltenden Fraktionen werden vereinigt und zur Trockne eingedampft. Der Rückstand wird in wenig THF gelöst. Sodann wird die Zielverbindung durch Zugabe von n-Hexan ausgefällt/kristallisiert, wodurch Kristalle von 4-(3-Chloranilino)-6-(4-[N3-ethylureido]-phenyl)-7H-pyrrolo[2,3-d]pyrimidin erhalten werden; Smp. > 290°C; FAB-MS: (M+H)+ = 407.
  • Beispiel 29:
  • In Analogie zum Beispiel 28 werden ausgehend von 6-(3-Aminophenyl)-4-(3-chloranilino)-7H-pyrrolo[2,3-d]pyrimidin (siehe Stufe 20.2) und dem entsprechenden Alkylisocyanat oder Phenylisocyanat die folgenden Verbindungen hergestellt:
    • a) 4-(3-Chloranilino)-6-(3-[N3-ethylureido]-phenyl)-7H-pyrrolo[2,3-d]pyrimidin; Smp. > 300°C; FAB-MS: (M+H)+ = 407, und
    • b) 4-(3-Chloranilino)-6-(3-[N3-phenylureido]-phenyl)-7H-pyrrolo[2,3-d]pyrimidin; Smp. > 300°C; FAB-MS: (M+H)+ = 455.
  • Beispiel 30:
  • In Analogie zum Beispiel 28 wird ausgehend von (R)-6-(4-Aminophenyl)-4-[(1-phenylethyl)amino]-7H-pyrrolo[2,3-d]pyrimidin (siehe Stufe 16...) und Ethylisocyanat (R)-6-(4-[N3-Ethylureido]phenyl)-4-[(1-phenylethyl)-amino]-7H-pyrrolo[2,3-d]pyrimidin hergestellt; Smp. 238–240°C; FAB-MS: (M+H)+ = 401.
  • Beispiel 31:
  • In Analogie zum Beispiel 28 wird ausgehend von (R)-6-(3-Aminophenyl)-4-[(1-phenylethyl)amino]-7H-pyrrolo[2,3-d]pyrimidin (siehe Stufe 18.2) und Ethylisocyanat (R)-6-(3-[N3-Ethylureido]-phenyl)-4-[(1-phenylethyl)-amino]-7H-pyrrolo[2,3-d]pyrmidin hergestellt; Smp. 177–178°C; FAB-MS: (M+H)+ = 401.
  • Beispiel 32:
  • In Analogie zum im Beispiel 28 beschriebenen Verfahren werden 300 mg (0,89 mmol) 6-(4-Aminophenyl)-4-(3-chloranilino)-7H-pyrrolo[2,3-d]pyrimidin (siehe Stufe 19.5) in 20 ml absolutem THF und 2 ml DMA mit 0,27 ml (3,56 mmol) Methylisothiocyanat (EGA) umgesetzt, wodurch nach Umkristallisation aus THF-n-Hexan 4-(3-Chloranilino)-6-(4-[N3-methylthioureido]-phenyl)-7H-pyrrolo[2,3-d]pyrimidin in Form farbloser Kristalle erhalten wird; Smp. 275–276°C; FAB-MS: (M+H)+ = 409.
  • Beispiel 33:
  • In Analogie zum Beispiel 32 wird ausgehend von 6-(3-Aminophenyl)-4-(3-chloranilino)-7H-pyrrolo[2,3-d]pyrimidin und Methylisothiocyanat 4-(3-Chloranilino)-6-(3-[N3-methylthioureido]-phenyl)-7H-pyrrolo[2,3-d]pyrimidin hergestellt; Smp. 198–200°C; FAB-MS: (M+H)+ = 409.
  • Beispiel 34:
  • In Analogie zum Beispiel 32 wird ausgehend von (R)-6-(4-Aminophenyl)-4-[(1-phenylethyl)amino]-7H-pyrrolo[2,3-d]pyrimidin (siehe Stufe 16.2) und Methylisothiocyanat (R)-6-(4-[N3-Methylthioureido]-phenyl)-4-[(1-phenylethyl)-amino]-7H-pyrrolo[2,3-d]pyrimidin hergestellt; Smp. 225–228°C; FAB-MS: (M+H)+ = 403.
  • Beispiel 35:
  • In Analogie zum Beispiel 32 wird ausgehend von (R)-6-(3-Aminophenyl)-4-[(1-phenylethyl)amino]-7H-pyrrolo[2,3-d]pyrimidin (siehe Stufe 18.2) und Methylisothiocyanat (R)-6-(3-[N3-Methylthioureido]-phenyl)-4-[(1-phenylethyl)-amino]-7H-pyrrolo[2,3-d]pyrimidin hergestellt; Smp. 188–190°C; FAB-MS: (M+H)+ = 403.
  • Beispiel 36:
  • 300 mg (0,89 mmol) 6-(4-Aminophenyl)-4-(3-chloranilino)-7H-pyrrolo[2,3-d]pyrimidin (siehe Stufe 19.5) werden in 2,7 ml absolutem Dioxan und 0,13 ml 2,6-Lutidin mit einer Lösung von 0,10 ml (0,98 mmol) Methylchlorformiat in 1,8 ml absolutem Dioxan unter Ausschluss von Feuchtigkeit so lange bei RT gerührt, bis im TLC kein Ausgangsmaterial mehr zu sehen ist. Sodann wird das Reaktionsgemisch zu 50 ml Wasser gegeben. Anschließend erfolgt eine Extraktion mit 200 ml Ethylacetat und 10 ml 5%iger wässriger Natrium hydrogencarbonatlösung. Die vereinigten Ethylacetatphasen werden dreimal mit Wasser gewaschen, getrocknet und unter Vakuum eingedampft. Der Rückstand wird auf Silicagel chromatographiert unter Elution mit Methylenchlorid und zunehmend höher werdenden Mengen Methanol. Sodann wird die Zielverbindung 4-(3-Chloranilino)-6-(4-methoxycarbonylaminophenyl)-7H-pyrrolo[2,3-d]pyrimidin aus Methanol oder Aceton in Form leicht gelber Kristalle kristallisiert. Smp. > 300°C; FAB-MS: (M+H)+ = 394.
  • Beispiel 37:
  • In Analogie zum Beispiel 36 werden ausgehend von 6-(4-Aminophenyl)-4-(3-chloranilino)-7H-pyrrolo[2,3-d]pyrimidin (siehe Stufe 19.5) und dem entsprechenden Alkylchlorformiat die folgenden Verbindungen hergestellt:
    • a) 4-(3-Chloranilino)-6-(4-ethoxycarbonylaminophenyl)-7H-pyrrolo[2,3-d]pyrimidin; Smp. > 300°C; FAB-MS: (M+H)+ = 408,
    • b) 4-(3-Chloranilino)-6-(4-isopropyloxycarbonylaminophenyl)-7H-pyrrolo[2,3-d]pyrimidin; Smp. > 300°C; FAB-MS: (M+H)+ = 422, und
    • c) 4-(3-Chloranilino)-6-{4-[(2-methylpropyloxy)-carbonylamino]-phenyl}-7H-pyrrolo[2,3-d]pyrimidin; Smp. > 282–284°C; FAB-MS: (M+H)+ = 436.
  • Beispiel 38:
  • 3,53 g (9,0 mmol) 4-(3-Chloranilino)-6-(4-ethoxycarbonylphenyl)-7H-pyrrolo[2,3-d]pyrimidin werden in 150 ml THF suspendiert. Hierauf werden bei 54°C während 5 h insgesamt 0,856 g (21,6 mmol) Lithiumaluminiumhydrid zugeführt. Anschließend erfolgt eine Aufarbeitung durch eine aufeinanderfolgen de Zugabe von 1 ml Wasser, 2 ml 1 N Natriumhydroxidlösung und 1 ml Wasser und anschließend 10 g Natriumsulfat. Der Feststoff wird abfiltriert und das Filtrat eingeengt. Der erhaltene Rückstand wird mit Methanol und Diethylether gewaschen und dann getrocknet, wodurch 4-(3-Chloranilino)-6-(4-hydroxymethylphenyl)-7H-pyrrolo[2,3-d]pyrimidin in Form farbloser Kristalle erhalten wird; Smp. > 250°C; FAB-MS: (M+H)+ = 351.
  • Beispiel 39:
  • In Analogie zu dem in diesem Text beschriebenen Verfahren werden die folgenden Verbindungen erhalten:
    • a) (R)-6-(3-Benzylaminophenyl)-4-[(1-phenylethyl)-amino]-7H-pyrrolo[2,3-d]pyrimidin; Smp. 253–255°C,
    • b) 6-(4-Benzyloxy-3-methoxyphenyl)-4-(3-chloranilino)-7H-pyrrolo[2,3-d]pyrimidin; Smp. 237–238°C,
    • c) 6-(4-Benzyloxy-3-methoxyphenyl)-4-(3-methylanilino)-7H-pyrrolo[2,3-d]pyrimidin; Smp. 231–234°C,
    • d) 6-(4-Hydroxy-3-methoxyphenyl)-4-(3-methylanilino)-7H-pyrrolo[2,3-d]pyrimidin; Smp. 234–236°C,
    • e) 4-Anilino-6-(4-hydroxy-3-methoxyphenyl)-7H-pyrrolo[2,3-d]pyrimidinhydrochlorid; Smp. 242–246°C,
    • f) 4-(3-Chloranilino)-6-(4-hydroxy-3-methoxyphenyl)-7H-pyrrolo[2,3-d]pyrimidinhydrochlorid; Smp. > 250°C,
    • g) 4-(3-Chloranilino)-6-(4-[fur-2-ylcarbonylamino]-phenyl)-7H-pyrrolo[2,3-d]pyrimidin; Smp. > 300°C,
    • h) 4-(3-Chloranilino)-6-(4-[thien-2-ylcarbonylamino]-phenyl)-7H-pyrrolo[2,3-d]pyrimidin; Smp. > 300°C,
    • i) 6-(4-Benzylaminophenyl)-4-(3-chloranilino)-7H-pyrrolo[2,3-d]pyrimidin; Smp. > 300°C,
    • k) 4-(3-Chloranilino)-6-{4-[(1-dimethylamino-1-isopropylmethylen)-amino]-phenyl}-7H-pyrrolo[2,3-d]pyrimidin; Smp. 255–257°C, und
    • l) 4-(3-Chloranilino)-6-(thiazol-2-yl)-7H-pyrrolo[2,3-d]pyrimidin.
  • Beispiel 40: Trocken gefüllte Kapseln
  • 5000 Kapseln, die als Wirkstoff jeweils 0,25 g einer der Verbindungen der Formel I enthalten, wie sie in den vorhergehenden Beispielen beschrieben sind, werden wie folgt hergestellt:
    Zusammensetzung Menge
    Wirkstoff 1250 g
    Talk 180 g
    Weizenstärke 120 g
    Magnesiumstearat 80 g
    Lactose 20 g
  • Herstellungsverfahren: Die erwähnten Substanzen werden pulverisiert und durch ein Sieb mit einer Siebgröße von 0,6 mm gedrückt. Jeweils Anteile von 0,33 g des Gemisches werden unter Verwendung einer Kapselfüllmaschine in Gelatinekapseln abgefüllt.
  • Beispiel 41: Weichkapseln
  • 5000 Weichgelatinekapseln, die als Wirkstoff jeweils 0,05 g einer der Verbindungen der Formel I enthalten, wie sie in den vorhergehenden Beispielen beschrieben sind, werden wie folgt hergestellt:
    Zusammensetzung Menge
    Wirkstoff 250 g
    Lauroglykol 2 l
    • Herstellungsverfahren: Der pulverisierte Wirkstoff wird in Lauroglykol® (Propylenglycollaurat, Gattefossé S. A., Saint Priest, Frankreich) suspendiert und in einem Nasspulverisator auf eine Teilchengröße von etwa 1 bis 3 μm vermahlen. Anschließend werden Anteile von 0,419 g des Gemisches mit einer Kapselfüllmaschine in Weichgelatinekapseln abgefüllt.
  • Beispiel 42: Weichkapseln
  • 5000 Weichgelatinekapseln, die als Wirkstoff jeweils 0,05 g einer der Verbindungen der Formel I enthalten, wie sie in den vorhergehenden Beispielen erwähnt sind, werden wie folgt hergestellt:
    Zusammensetzung Menge
    Wirkstoff 250 g
    PEG 400 1 l
    Tween 80 1 l
    • Herstellungsverfahren: Der pulverisierte Wirkstoff wird in PEG 400 (Polyethylenglycol mit einem Molekulargewicht Mr von etwa 380 bis etwa 420, Fluka, Schweiz) und Tween® 80 (Polyoxyethylensorbitanmonolaurat, Atlas Chem. Ind. Inc., USA, Hersteller Fluka, Schweiz) suspendiert und in einem Nasspulverisator auf eine Teilchengröße von etwa 1 bis 3 μm vermahlen. Sodann werden Anteile von 0,43 g des Gemisches unter Verwendung einer Kapselfüllmaschine in Weichgelatinekapseln abgefüllt.

Claims (7)

  1. 7H-Pyrrolo[2,3-d]pyrimidinderivate der Formel I
    Figure 00430001
    worin n für 0 oder 1 steht, q für 0 oder 1 steht, R für Chlor steht, R1 für Wasserstoff steht, und R2 steht für a) einen Rest der Formel II
    Figure 00430002
    worin u für 1 steht und R4 für N3-Niederalkylureido, N3-Phenylureido, N3-Niederalkylthioureido, Niederalkoxycarbonylamino, Benzyloxycarbonylamino, Morpholin-4-carbonyl, Piperazin-1-carbonyl, 4-Niederalkylpiperazin-1-carbonyl, Niederalkylsulfonylamino, Benzolsulfonylamino, Toluolsulfonylamino, Furan-2-carbonylamino, Thiophen-2-carbonylamino, Benzylamino, Hydroxymethyl oder einen Rest der Formel -N=C(R5)-R6 steht, worin R5 für Wasserstoff oder Niederalkyl steht und R6 für Diniederalkylamino, Piperidino, 4-Niederalkylpiperazino oder Morpholino steht, oder b) einen Rest der Formel III
    Figure 00430003
    worin R7 für Niederalkoxy steht und R8 für Hydroxyl oder Benzyloxy steht, oder c) Piperazin-1-carbonyl, 4-Niederalkylpiperazin-1-carbonyl, Morpholin-4-carbonyl, Thiocarbamoyl, Thiazol-2-yl, 4-(4-Methoxyphenyl)thiazol-2-yl, 4-Ethylthiazol-2-yl, 4,5-Dimethylthiazol-2-yl, Tetrazol-5-yl, 2-Methyltetrazol-5-yl oder 1-Methyltetrazol-5-yl, oder d) einen Rest der Formel -CH=N-OR9, worin R9 für Wasserstoff oder Niederalkyl steht und worin R3 für Wasserstoff oder Niederalkyl steht, oder ein pharmazeutisch akzeptables Salz hiervon, worin das Präfix Nieder für einen Rest mit bis zu und einschließlich maximal 7 Kohlenstoffatome steht.
  2. Verbindung der Formel I nach Anspruch 1 oder ein pharmazeutisch akzeptables Salz hiervon, ausgewählt aus (E)-4-(3-Chloranilino)-7H-pyrrolo[2,3-d]pyrimidin-6-carbaldehydoxim, (Z)-4-(3-Chloranilino)-7H-pyrrolo[2,3-d]pyrimidin-6-carbaldehydoxim, 4-(3-Chloranilino)-7H-pyrrolo[2,3-d]pyrimidin-6-carbaldehyd-O-methyoxim, 4-(3-Chloranilino)-6-(morpholin-4-yl-carbonyl)-7H-pyrrolo[2,3-d]pyrimidin, 4-(3-Chloranilino)-6-[(4-methylpiperazin-1-yl)carbonyl]-7H-pyrrolo[2,3-d]pyrimidin, 4-(3-Chloranilino)-6-(thiocarbamoyl)-7H-pyrrolo[2,3-d]pyrimidin, 4-(3-Chloranilino)-6-[4-(4-methoxyphenyl)thiazol-2-yl]-7H-pyrrolo[2,3-d]pyrimidin, 4-(3-Chloranilino)-6-(4-ethylthiazol-2-yl)-7H-pyrrolo[2,3-d]pyrimidin, 4-(3-Chloranilino)-6-(4,5-dimethylthiazol-2-yl)-7H-pyrrolo[2,3-d]pyrimidin, 4-(3-Chloranilino)-6-(tetrazol-5-yl)-7H-pyrrolo[2,3-d]pyrimidin, 4-(3-Chloranilino)-6-(2-methyltetrazol-5-yl)-7H-pyrrolo[2,3-d]pyrimidin, 4-(3-Chloranilino)-6-(1-methyltetrazol-5-yl)-7H-pyrrolo[2,3-d]pyrimidin, (R)-6-(4-Methylsulfonylaminophenyl)-4-[(1-phenylethyl)amino]-7H-pyrrolo[2,3-d)pyrimidin, (R)-6-(4-Ethylsulfonylaminophenyl)-4-[(1-phenylethyl)amino]-7H-pyrrolo[2,3-d]-pyrimidin, (R)-6-(4-Isopropylsulfonylaminophenyl)-4-[(1-phenylethyl)amino]-7H-pyrrolo[2,3-d]pyrimidin, (R)-6-(3-Methylsulfonylaminophenyl)-4-[(1-phenylethyl)amino]-7H-pyrrolo[2,3-d]pyrimidin, (R)-6-(3-Ethylsulfonylaminophenyl)-4-[(1-phenylethyl)amino]-7H-pyrrolo[2,3-d]pyrimidin, (R)-6-(3-Isopropylsulfonylaminophenyl)-4-[(1-phenylethyl)amino]-7H-pyrrolo[2,3-d]pyrimidin, 6-(4-Methylsulfonylaminophenyl)-4-(3-chloranilino)-7H-pyrrolo[2,3-d]pyrimidin, 4-(3-Chloranilino)-6-(4-ethylsulfonylaminophenyl)-7H-pyrrolo[2,3-d]pyrimidin, 4-(3-Chloranilino)-6-(4-isopropylsulfonylaminophenyl)-7H-pyrrolo[2,3-d]pyrimidin, 4-(3-Chloranilino)-6-(4-phenylsulfonylaminophenyl)-7H-pyrrolo[2,3-d]pyrimidin, 4-(3-Chloranilino)-6-(3-methylsulfonylaminophenyl)-7H-pyrrolo[2,3-d]pyrimidin, 4-(3-Chloranilino)-6-(3-ethylsulfonylaminophenyl)-7H-pyrrolo[2,3-d]pyrimidin, 4-(3-Chloranilino)-6-(3-isopropylsulfonylaminophenyl)-7H-pyrrolo[2,3-d]pyrimidin, 4-(3-Chloranilino)-6-(4-[dimethylaminomethylenamino]phenyl)-7H-pyrrolo[2,3-d]pyrimidin, 4-(3-Chloranilino)-6-(4-[diethylaminomethylenamino]phenyl-7H-pyrrolo[2,3-d]pyrimidin, 4-(3-Chloranilino)-6-(4-[piperidinomethylenaminophenyl)-7H-pyrrolo[2,3-d]pyrimidin, 4-(3-Chloranilino)-6-(4-[morpholinomethylenamino]phenyl)-7H-pyrrolo[2,3-d]pyrimidin, 4-(3-Chloranilino)-6-{4-[(4-methylpiperazino)methylenamino]phenyl}-7H-pyrrolo[2,3-d]pyrimidin, 4-(3-Chloranilino)-6-(3-[dimethylaminomethylenamino]phenyl)-7H-pyrrolo[2,3-d]pyrimidin, 4-(3-Chloranilino)-6-(3-[diethylaminomethylenamino]phenyl)-7H-pyrrolo[2,3-d]pyrimidin, 4-(3-Chloranilino)-6-(3-[morpholinomethylenamino)phenyl)-7H-pyrrolo[2,3-d]pyrimidin, (R)-6-(4-[Dimethylaminomethylenamino]phenyl)-4-[(1-phenylethyl)amino]-7H-pyrrolo[2,3-d]pyrimidin, (R)-6-(3-[Dimethylaminomethylenamino]phenyl)-4-[(1-phenylethyl)amino]-7H-pyrrolo[2,3-d]pyrimidin, 4-(3-Chloranilino)-6-(4-[morpholin-4-ylcarbonyl]phenyl)-7H-pyrrolo[2,3-d]pyrimidin, 4-(3-Chloranilino)-6-(4-[4-methylpiperazin-1-ylcarbonyl]phenyl)-7H-pyrrolo[2,3-d]pyrimidin, 4-(3-Chloranilino)-6-(4-[N3-ethylureido]phenyl)-7H-pyrrolo[2,3-d]pyrimidin, 4-(3-Chloranilino)-6-(3-[N3-ethylureido]phenyl)-7H-pyrrolo[2,3-d]pyrimidin, 4-(3-Chloranilino)-6-(3-[N3-phenylureidophenyl)-7H-pyrrolo[2,3-d]pyrimidin, (R)-6-(4-[N3-Ethylureido]phenyl)-4-[(1-phenylethyl)amino]-7H-pyrrolo[2,3-d]pyrimidin, (R)-6-(3-[N3-Ethylureido]phenyl)-4-[(1-phenylethyl)amino]-7H-pyrrolo[2,3-d]pyrimidin, 4-(3-Chloranilino)-6-(4-[N3-methylthioureido]phenyl)-7H-pyrrolo[2,3-d]pyrimidin, 4-(3-Chloranilino)-6-(3-[N3-methylthioureido]phenyl)-7H-pyrrolo[2,3-d]pyrimidin, (R)-6-(4-[N3-Methylthioureido]phenyl)-4-[(1-phenylethyl)amino]-7H-pyrrolo[2,3-d]pyrimidin, (R)-6-(3-[N3-Methylthioureido]phenyl)-4-[(1-phenylethyl)amino]-7H-pyrrolo[2,3-d]pyrimidin, 4-(3-Chloranilino)-6-(4-methoxycarbonylaminophenyl)-7H-pyrrolo[2,3-d]pyrimidin, 4-(3-Chloranilino)-6-(4-ethoxycarbonylaminophenyl)-7H-pyrrolo[2,3-d]pyrimidin, 4-(3-Chloranilino)-6-(4-isopropyloxycarbonylaminophenyl)-7H-pyrrolo[2,3-d]pyrimidin, 4-(3-Chloranilino)-6-{4-[(2-methylpropyloxy)carbonylamino]phenyl}-7H-pyrrolo[2,3-d]pyrimidin, (R)-6-(3-Benzylaminophenyl)-4-[(1-phenylethyl)amino]-7H-pyrrolo[2,3-d]pyrimidin, 6-(4-Benzyloxy-3-methoxyphenyl)-4-(3-chloranilino)-7H-pyrrolo[2,3-d]pyrimidin, 6-(4-Benzyloxy-3-methoxyphenyl)-4-(3-methylanilino)-7H-pyrrolo[2,3-d]pyrimidin, 6-(4-Hydroxy-3-methoxyphenyl)-4-(3-methylanilino)-7H-pyrrolo(2,3-d]pyrimidin, 4-Anilino-6-(4-hydroxy-3-methoxyphenyl)-7H-pyrrolo[2,3-d]pyrimidinhydrochlorid, 4-(3-Chloranilino)-6-(4-hydroxy-3-methoxyphenyl)-7H-pyrrolo[2,3-d]pyrimidinhydrochlorid, 4-(3-Chloranilino)-6-(4-[fur-2-ylcarbonylamino]phenyl)-7H-pyrrolo[2,3-d]pyrimidin, 4-(3-Chloranilino)-6-(4-[thien-2-ylcarbonylamino]phenyl)-7H-pyrrolo[2,3-d]pyrimidin, 6-(4-Benzylaminophenyl)-4-(3-chloranilino)-7H-pyrrolo[2,3-d]pyrimidin, 4-(3-Chloranilino)-6-{4-[(1-dimethylamino-1-isopropylmethylen)amino}phenyl)-7H-pyrrolo[2,3-d]pyrimidin und 4-(3-Chloranilino)-6-(thiazol-2-yl)-7H-pyrrolo[2,3-d]pyrimidin.
  3. Verbindung der Formel I nach einem der Ansprüche 1 oder 2 oder ein pharmazeutisch akzeptables Salz einer solchen Verbindung zur Verwendung bei einem Verfahren für die therapeutische Behandlung des menschlichen oder tierischen Körpers.
  4. Pharmazeutische Zusammensetzung, umfassend eine Verbindung der Formel I nach einem der Ansprüche 1 oder 2 oder ein pharmazeutisch akzeptables Salz einer solchen Verbindung zusammen mit einem pharmazeutischen Träger.
  5. Pharmazeutische Zusammensetzung für die Behandlung von Tumoren bei Warmblütern unter Einschluss des Menschen, umfassend in einer gegen Tumoren wirksamen Menge eine Verbindung der Formel I nach einem der Ansprüche 1 oder 2 oder ein pharmazeutisch akzeptables Salz einer solchen Verbindung zusammen mit einem pharmazeutischen Träger.
  6. Verwendung einer Verbindung der Formel I nach einem der Ansprüche 1 oder 2 oder eines pharmazeutisch akzeptablen Salzes einer solchen Verbindung zur Herstellung pharmazeutischer Zusammensetzungen für die Verwendung in der Chemotherapie von Tumoren.
  7. Verfahren zur Herstellung eines 7H-Pyrrolo[2,3-d]pyrimidinderivats der Formel I
    Figure 00460001
    nach Anspruch 1, oder eines Salzes hiervon, durch a) Umsetzung eines Pyrrolo[2,3-d]pyrimidinderivats der Formel IV
    Figure 00460002
    worin X eine geeignete Abgangsgruppe ist, Z für Wasserstoff oder 1-Arylniederalkyl steht und die anderen Substituenten wie oben für die Verbindungen der Formel I definiert sind, wobei in den Resten R1 und R2 vorhandene freie funktionale Gruppen erforderlichenfalls durch Schutzgruppen geschützt sind, mit einem Anilinderivat der Formel V
    Figure 00460003
    worin R, R3, n und q wie oben für die Verbindungen der Formel I definiert sind, wobei im Rest R vorhandene freie funktionale Gruppen erforderlichenfalls durch Schutzgruppen geschützt sind, und Entfernung der vorhandenen Schutzgruppen und, falls vorhanden, auch des 1-Arylniederalkylrests Z, oder b) Umsetzung eines Pyrrolo[2,3-d]pyrimidin-4-on-derivats der Formel VI
    Figure 00470001
    worin Z' für 1-Arylniederalkyl steht und R1 und R2 wie oben für die Verbindungen der Formel I definiert sind, wobei in den Resten R1 und R2 vorhandene freie funktionale Gruppen erforderlichenfalls durch Schutzgruppen geschützt sind, in Gegenwart eines Dehydratationsmittels und eines tertiären Amins, mit einem Phenylamin der obigen Formel V und Entfernung der vorhandenen Schutzgruppen, oder e) zur Herstellung einer Verbindung der Formel I, worin einer der Reste R1 und R2 ein Rest der Formel -CH=N-OR9 ist, worin R9 für Wasserstoff oder Niederalkyl steht, und die anderen Substituenten wie oben für die Verbindungen der Formel I definiert sind, Umsetzung einer Verbindung der Formel I, worin einer der Reste R1 und R2 für Formyl steht und die anderen Substituenten wie oben für die Verbindungen der Formel I definiert sind, wobei im Rest R vorhandene freie funktionale Gruppen erforderlichenfalls durch Schutzgruppen geschützt sind, mit einem Hydroxylaminderivat der Formel VIII H2N-O-R12 (VIII)worin R12 für Wasserstoff oder Niederalkyl steht, und Entfernung der vorhandenen Schutzgruppen, oder f) zur Herstellung einer Verbindung der Formel I, worin einer der Reste R1 und R2 für Piperidin-1-carbonyl, Piperazin-1-carbonyl, 4-Niederalkylpiperazin-1-carbonyl oder Morpholin-4-carbonyl steht, und der andere dieser Substituenten wie oben für die Verbindung der Formel I definiert ist, Umsetzung einer Verbindung der Formel I, worin einer der Reste R1 und R2 für Carboxyl steht und die anderen Substituenten wie oben für die Verbindungen der Formel I definiert sind, wobei im Rest R vorhandene freie funktionale Gruppen erforderlichenfalls durch Schutzgruppen geschützt sind, oder einem reaktiven Carbonsäurederivat einer solchen Verbindung, mit einem Amin der Formel VII HN(R10)R11 (VII)worin die Reste R10 und R11 zusammen für Pentan-1,5-diyl, 3-Azapentan-1,3-diyl, 3-N-Niederalkyl-3-azapentan-1,3-diyl oder 3-Oxapentan-1,3-diyl stehen, und Entfernung der vorhandenen Schutzgruppen, oder g) zur Herstellung einer Verbindung der Formel I, worin einer der Reste R1 und R2 für Thiocarbamoyl steht und die anderen Substituenten wie oben für die Verbindungen der Formel I definiert sind, Umsetzung einer Verbindung der Formel I, worin einer der Reste R1 und R2 für Aminocarbonyl steht und die anderen Substituenten wie oben für die Verbindungen der Formel I definiert sind, worin freie funktionale Gruppen, die im Rest R vorhanden sind, erforderlichenfalls durch Schutzgruppen geschützt werden, mit einem Lawesson-Reagenz, und anschließende Entfernung der vorhandenen Schutzgruppen, oder h) zur Herstellung einer Verbindung der Formel I, worin einer der Reste R1 und R2 für R13-Thiazol-2-yl steht, worin R13 jeweils für Ethyl oder Niederalkoxyphenyl steht, und die anderen Substituenten wie oben für die Verbindungen der Formel I definiert sind, Umsetzung einer Verbindung der Formel I, worin einer der Reste R1 und R2 für Thiocarbamoyl steht, und die anderen Substituenten wie oben für die Verbindungen der Formel I definiert sind, wobei im Rest R vorhandene freie funktionale Gruppen erforderlichenfalls durch Schutzgruppen geschützt sind, mit einer Verbindung der Formel IX
    Figure 00480001
    worin X für eine Abgangsgruppe steht und R13 jeweils für Ethyl oder Niederalkoxyphenyl steht, wobei im Rest R13 vorhandene freie funktionale Gruppen erforderlichenfalls durch Schutzgruppen geschützt sind, und anschließende Entfernung der vorhandenen Schutzgruppen, oder i) zur Herstellung einer Verbindung der Formel I, worin einer der Reste R1 und R2 für Tetrazol-5-yl steht, und die anderen Substituenten wie oben für die Verbindungen der Formel I definiert sind, Umsetzung einer Verbindung der Formel I, worin einer der Reste R1 und R2 für Cyano steht, und die anderen Substituenten wie oben für die Verbindungen der Formel I definiert sind, wobei im Rest R vorhandene freie funktionale Gruppen erforderlichenfalls durch Schutzgruppen geschützt sind, mit einem geeigneten Alkalimetallazid, und anschließende Entfernung der vorhandenen Schutzgruppen, oder j) zur Herstellung einer Verbindung der Formel I, worin einer der Reste R1 und R2 für 2-Niederalkyltetrazol-5-yl steht und die anderen Substituenten wie oben für die Verbindungen der Formel I definiert sind, Umsetzung einer Verbindung der Formel I, worin einer der Reste R1 und R2 für Tetrazol-5-yl steht und die anderen Substituenten wie oben für die Verbindungen der Formel I definiert sind, wobei im Rest R vorhandene freie funktionale Gruppen erforderlichenfalls durch Schutzgruppen geschützt sind, mit dem geeigneten Niederalkyliodid, und anschließende Entfernung der vorhandenen Schutzgruppen, oder k) zur Herstellung einer Verbindung der Formel I, worin einer der Reste R1 und R2 für einen Rest der Formel II steht
    Figure 00480002
    worin wenigstens einer der Reste R4 für Niederalkylsulfonylamino, Benzolsulfonylamino oder Toluolsulfonylamino steht, und die anderen Substituenten und Symbole wie oben für die Verbindungen der Formel I definiert sind, Umsetzung einer Verbindung der Formel I, worin einer der Reste R1 und R2 für einen Rest der Formel II steht, worin wenigstens ein Rest R4 für Amino steht und die anderen Substituenten und Symbole wie oben für die Verbindungen der Formel I definiert sind, wobei im Rest R vorhandene freie funktionale Gruppen erforderlichenfalls durch Schutzgruppen geschützt sind, und, falls vorhanden, die anderen Reste R4 erforderlichenfalls durch leicht entfernbare Schutzgruppen geschützt sind, mit einer Verbindung der Formel X R14-SO2-X (X)worin X für Chlor oder Brom steht und R14 für Niederalkyl, Phenyl oder 4-Methylphenyl steht, und anschließende Entfernung der vorhandenen Schutzgruppen, oder l) zur Herstellung einer Verbindung der Formel I, worin einer der Reste R1 und R2 für einen Rest der Formel II steht
    Figure 00490001
    worin wenigstens ein Rest R4 für einen Rest der Formel -N=C(R5)-R6 steht, worin R5 für Wasserstoff steht und R6 wie oben für die Verbindungen der Formel I definiert ist, und die anderen Substituenten und Symbole wie oben für die Verbindungen der Formel I definiert sind, Umsetzung einer Verbindung der Formel I, worin einer der Reste R1 und R2 für einen Rest der Formel II steht, worin wenigstens ein Rest R4 für Amino steht und die anderen Substituenten und Symbole wie oben für die Verbindungen der Formel I definiert sind, wobei im Rest R vorhandene freie funktionale Gruppen erforderlichenfalls durch Schutzgruppen geschützt sind, und, falls vorhanden, die anderen Reste R4 erforderlichenfalls durch leicht entfernbare Schutzgruppen geschützt sind, mit einem Acetal der Formel XI
    Figure 00490002
    worin R15 und R16 jeweils individuell für Niederalkyl stehen oder zusammen für Pentan-1,5-diyl, 3-N-Niederalkyl-3-azapentan-1,5-diyl oder 3-Oxapentan-1,5-diyl stehen, und R17 für Niederalkyl steht, und anschließende Entfernung der vorhandenen Schutzgruppen, oder m) zur Herstellung einer Verbindung der Formel I, worin einer der Reste R1 und R2 für einen Rest der Formel II steht
    Figure 00490003
    worin wenigstens ein Rest R4 für N3-Niederalkylureido oder N3-Phenylureido steht und die anderen Substituenten und Symbole wie oben für die Verbindungen der Formel I definiert sind, Umsetzung einer Verbindung der Formel I, worin einer der Reste R1 und R2 für einen Rest der Formel II steht, worin wenigstens ein Rest R4 für Amino steht und die anderen Substituenten und Symbole wie oben für die Verbindungen der Formel I definiert sind, wobei im Rest R vorhandene freie funktionale Gruppen erforderlichenfalls durch Schutzgruppen geschützt sind, und, falls vorhanden, die anderen Reste R4 erforderlichenfalls durch leicht entfernbare Schutzgruppen geschützt sind, mit einem Isocyanat der Formel XII R18-N=C=O (XII)worin R18 für Niederalkyl oder Phenyl steht, und anschließende Entfernung der vorhandenen Schutzgruppen, oder n) zur Herstellung einer Verbindung der Formel I, worin einer der Reste R1 und R2 für einen Rest der Formel II steht
    Figure 00500001
    worin wenigstens ein Rest R4 für N3-Niederalkylthioureido oder N3-Phenylthioureido steht und die anderen Substituenten und Symbole wie oben für die Verbindungen der Formel I definiert sind, Umsetzung einer Verbindung der Formel I, worin einer der Reste R1 und R2 für einen Rest der Formel II steht, worin wenigstens ein Rest R4 für Amino steht und die anderen Substituenten und Symbole wie oben für die Verbindungen der Formel I definiert sind, wobei im Rest R vorhandene freie funktionale Gruppen erforderlichenfalls durch Schutzgruppen geschützt sind, und, falls vorhanden, die anderen Reste R4 erforderlichenfalls durch leicht entfernbare Schutzgruppen geschützt sind, mit Isothiocyanat der Formel XIII R18-N=C=S (XIII)worin R18 für Niederalkyl oder Phenyl steht, und anschließende Entfernung der vorhandenen Schutzgruppen, oder o) zur Herstellung einer Verbindung der Formel I, worin einer der Reste R1 und R2 für einen Rest der Formel II steht,
    Figure 00500002
    worin wenigstens ein Rest R4 für Niederalkoxycarbonylamino oder Benzyloxycarbonylamino steht und die anderen Substituenten und Symbole wie oben für die Verbindungen der Formel I definiert sind, Umsetzung einer Verbindung der Formel I, worin einer der Reste R1 und R2 für einen Rest der Formel II steht, worin wenigstens ein Rest R4 für Amino steht und die anderen Substituenten und Symbole wie oben für die Verbindungen der Formel I definiert sind, wobei im Rest R vorhandene freie funktionale Gruppen erforderlichenfalls durch Schutzgruppen geschützt sind, und, falls vorhanden, die anderen Reste R4 erforderlichenfalls durch leicht entfernbare Schutzgruppen geschützt sind, mit einem Chlorameisensäureester der Formel XIV Cl-C(=O)-OR18 (XIV)worin R18 für Niederalkyl oder Benzyl steht, und anschließende Entfernung der vorhandenen Schutzgruppen, und nach Durchführung einer der Verfahrensvarianten a) bis o) erforderlichenfalls zur Herstellung eines Salzes Umwandlung einer erhaltenen freien Verbindung der Formel I in ein Salz oder, erforderlichenfalls, zur Herstellung einer freien Verbindung Umwandlung eines erhaltenen Salzes einer Verbindung der Formel I in die freie Verbindung, worin das Präfix Nieder für einen Rest mit bis zu und einschließlich maximal 7 Kohlenstoffatome steht.
DE69738468T 1996-08-23 1997-08-21 Substituierte pyrrolopyrimidine und verfahren zu ihrer herstellung Expired - Lifetime DE69738468T2 (de)

Applications Claiming Priority (3)

Application Number Priority Date Filing Date Title
CH207196 1996-08-23
CH207196 1996-08-23
PCT/EP1997/004564 WO1998007726A1 (en) 1996-08-23 1997-08-21 Substituted pyrrolopyrimidines and processes for their preparation

Publications (2)

Publication Number Publication Date
DE69738468D1 DE69738468D1 (de) 2008-03-06
DE69738468T2 true DE69738468T2 (de) 2009-01-08

Family

ID=4225221

Family Applications (1)

Application Number Title Priority Date Filing Date
DE69738468T Expired - Lifetime DE69738468T2 (de) 1996-08-23 1997-08-21 Substituierte pyrrolopyrimidine und verfahren zu ihrer herstellung

Country Status (11)

Country Link
US (1) US6180636B1 (de)
EP (1) EP0938486B1 (de)
JP (1) JP4242928B2 (de)
AT (1) ATE384062T1 (de)
AU (1) AU720429B2 (de)
CA (1) CA2262421C (de)
DE (1) DE69738468T2 (de)
DK (1) DK0938486T3 (de)
ES (1) ES2297864T3 (de)
PT (1) PT938486E (de)
WO (1) WO1998007726A1 (de)

Families Citing this family (146)

* Cited by examiner, † Cited by third party
Publication number Priority date Publication date Assignee Title
US6395733B1 (en) * 1995-06-07 2002-05-28 Pfizer Inc Heterocyclic ring-fused pyrimidine derivatives
CN1125817C (zh) 1996-02-13 2003-10-29 曾尼卡有限公司 作为vegf抑制剂的喹唑啉衍生物
JP4464466B2 (ja) 1996-03-05 2010-05-19 アストラゼネカ・ユーケイ・リミテッド 4―アニリノキナゾリン誘導体
EP0929553B1 (de) 1996-10-02 2005-03-16 Novartis AG Pyrimiderivate und verfahren zu ihrer herstellung
US6187777B1 (en) 1998-02-06 2001-02-13 Amgen Inc. Compounds and methods which modulate feeding behavior and related diseases
NZ508314A (en) 1998-06-02 2004-03-26 Osi Pharm Inc Pyrrolo[2,3d]pyrimidine compositions and their use
US6878716B1 (en) 1998-06-02 2005-04-12 Osi Pharmaceuticals, Inc. Compounds specific to adenosine A1 receptor and uses thereof
US6686366B1 (en) 1998-06-02 2004-02-03 Osi Pharmaceuticals, Inc. Compounds specific to adenosine A3 receptor and uses thereof
PA8474101A1 (es) * 1998-06-19 2000-09-29 Pfizer Prod Inc Compuestos de pirrolo [2,3-d] pirimidina
AU3951899A (en) 1998-06-19 2000-01-05 Pfizer Products Inc. Pyrrolo(2,3-d)pyrimidine compounds
UA71945C2 (en) * 1999-01-27 2005-01-17 Pfizer Prod Inc Substituted bicyclic derivatives being used as anticancer agents
IL149034A0 (en) 1999-11-05 2002-11-10 Astrazeneca Ab Quinazoline derivatives as vegf inhibitors
US7160890B2 (en) 1999-12-02 2007-01-09 Osi Pharmaceuticals, Inc. Compounds specific to adenosine A3 receptor and uses thereof
US6680322B2 (en) 1999-12-02 2004-01-20 Osi Pharmaceuticals, Inc. Compounds specific to adenosine A1 receptors and uses thereof
US6664252B2 (en) 1999-12-02 2003-12-16 Osi Pharmaceuticals, Inc. 4-aminopyrrolo[2,3-d]pyrimidine compounds specific to adenosine A2a receptor and uses thereof
DE60037345T2 (de) 1999-12-10 2008-11-13 Pfizer Products Inc., Groton Pyrrolo(2,3-d)pyrimidin-Verbindungen
GB0001930D0 (en) * 2000-01-27 2000-03-22 Novartis Ag Organic compounds
US7201891B1 (en) * 2000-05-19 2007-04-10 Otsuka Pharmaceutical Co., Ltd. Pharmaceutical preparation for the diagnosis of helicobacter pylori infection
AU2001259707A1 (en) 2000-06-14 2001-12-24 Warner Lambert Company 6,5-fused bicyclic heterocycles
AU784297C (en) * 2000-06-26 2007-01-11 Pfizer Products Inc. Pyrrolo(2,3-d)pyrimidine compounds as immunosuppressive agents
US6680324B2 (en) 2000-12-01 2004-01-20 Osi Pharmaceuticals, Inc. Compounds specific to adenosine A1 receptors and uses thereof
US6673802B2 (en) 2000-12-01 2004-01-06 Osi Pharmaceuticals, Inc. Compounds specific to adenosine A3 receptor and uses thereof
GB0031080D0 (en) * 2000-12-20 2001-01-31 Novartis Ag Organic compounds
US7301023B2 (en) 2001-05-31 2007-11-27 Pfizer Inc. Chiral salt resolution
US7323469B2 (en) 2001-08-07 2008-01-29 Novartis Ag 7H-pyrrolo[2,3-d]pyrimidine derivatives
GB0119249D0 (en) 2001-08-07 2001-10-03 Novartis Ag Organic compounds
EP2050751A1 (de) 2001-11-30 2009-04-22 OSI Pharmaceuticals, Inc. Verbindungen, die für Adenosin A1 und A3 Rezeptoren spezifisch sind, und deren Anwendungen
GT200200234A (es) * 2001-12-06 2003-06-27 Compuestos cristalinos novedosos
CN1816551A (zh) 2001-12-20 2006-08-09 Osi药物公司 吡咯并嘧啶A2b选择性拮抗剂化合物,它们的合成及用途
EA007468B1 (ru) 2001-12-20 2006-10-27 Оси Фармасьютикалз, Инк. Пиримидиновые соединения, относящиеся к a-селективным антагонистам, их синтез и применение
CA2494061C (en) * 2002-07-31 2011-06-14 Wayne R. Danter Protein tyrosine kinase inhibitors
US20040121407A1 (en) * 2002-09-06 2004-06-24 Elixir Pharmaceuticals, Inc. Regulation of the growth hormone/IGF-1 axis
AU2003273675A1 (en) * 2002-10-09 2004-05-04 Wayne R. Danter Protein tyrosine kinase inhibitors
AU2003276591A1 (en) 2002-11-26 2004-06-18 Pfizer Products Inc. Method of treatment of transplant rejection
GB0403606D0 (en) * 2004-02-18 2004-03-24 Novartis Ag Organic compounds
RU2389731C2 (ru) * 2004-06-02 2010-05-20 Такеда Фармасьютикал Компани Лимитед Конденсированное гетероциклическое соединение
EP1797054A2 (de) * 2004-08-02 2007-06-20 OSI Pharmaceuticals, Inc. Arylaminosubstituierte pyrrolopyrimidine als multikinaseinhibierende verbindungen
CA2673683C (en) 2007-01-11 2014-07-29 Critical Outcome Technologies, Inc. Compounds and method for treatment of cancer
CA2710039C (en) * 2007-12-26 2018-07-03 Critical Outcome Technologies, Inc. Semicarbazones, thiosemicarbazones and related compounds and methods for treatment of cancer
MX2010007523A (es) 2008-01-11 2010-08-18 Natco Pharma Ltd Nuevos derivados de pirazolo[3,4-d]pirimidina como farmacos anticancer.
WO2010006438A1 (en) 2008-07-17 2010-01-21 Critical Outcome Technologies Inc. Thiosemicarbazone inhibitor compounds and cancer treatment methods
PT2384326E (pt) 2008-08-20 2014-06-09 Zoetis Llc Compostos de pirrolo[2,3-d]pirimidina
US8385364B2 (en) * 2008-09-24 2013-02-26 Nec Laboratories America, Inc. Distributed message-passing based resource allocation in wireless systems
CA2742986C (en) 2008-11-07 2015-03-31 Triact Therapeutics, Inc. Use of catecholic butane derivatives in cancer therapy
WO2010099139A2 (en) 2009-02-25 2010-09-02 Osi Pharmaceuticals, Inc. Combination anti-cancer therapy
EP2400990A2 (de) 2009-02-26 2012-01-04 OSI Pharmaceuticals, LLC In-situ-verfahren zur überwachung des emt-status von tumorzellen in vivo
US8465912B2 (en) 2009-02-27 2013-06-18 OSI Pharmaceuticals, LLC Methods for the identification of agents that inhibit mesenchymal-like tumor cells or their formation
WO2010099138A2 (en) 2009-02-27 2010-09-02 Osi Pharmaceuticals, Inc. Methods for the identification of agents that inhibit mesenchymal-like tumor cells or their formation
US8642834B2 (en) 2009-02-27 2014-02-04 OSI Pharmaceuticals, LLC Methods for the identification of agents that inhibit mesenchymal-like tumor cells or their formation
WO2010107968A1 (en) 2009-03-18 2010-09-23 Osi Pharmaceuticals, Inc. Combination cancer therapy comprising administration of an egfr inhibitor and an igf-1r inhibitor
AU2010279188A1 (en) * 2009-07-28 2012-02-23 Ube Industries, Ltd. Pyrrolo[2,3-d]pyrimidine derivative
WO2011058164A1 (en) 2009-11-13 2011-05-19 Pangaea Biotech, S.A. Molecular biomarkers for predicting response to tyrosine kinase inhibitors in lung cancer
CA2785716A1 (en) 2009-12-30 2011-07-07 Arqule, Inc. Substituted pyrrolo-aminopyrimidine compounds
US8987272B2 (en) 2010-04-01 2015-03-24 Critical Outcome Technologies Inc. Compounds and method for treatment of HIV
EP2468883A1 (de) 2010-12-22 2012-06-27 Pangaea Biotech S.L. Molekulare Biomarker zur Vorhersage der Reaktion auf Tyrosinkinaseinhibitoren bei Lungenkrebs
US9134297B2 (en) 2011-01-11 2015-09-15 Icahn School Of Medicine At Mount Sinai Method and compositions for treating cancer and related methods
EP2492688A1 (de) 2011-02-23 2012-08-29 Pangaea Biotech, S.A. Molekulare Biomarker zur Vorhersage der Reaktion auf die Antitumorbehandlung bei Lungenkrebs
WO2012129145A1 (en) 2011-03-18 2012-09-27 OSI Pharmaceuticals, LLC Nscle combination therapy
WO2012149014A1 (en) 2011-04-25 2012-11-01 OSI Pharmaceuticals, LLC Use of emt gene signatures in cancer drug discovery, diagnostics, and treatment
DE102011111400A1 (de) * 2011-08-23 2013-02-28 Merck Patent Gmbh Bicyclische heteroaromatische Verbindungen
US20130084286A1 (en) 2011-08-31 2013-04-04 Thomas E. Januario Diagnostic markers
SG11201400996SA (en) 2011-09-30 2014-04-28 Genentech Inc Diagnostic methylation markers of epithelial or mesenchymal phenotype and response to egfr kinase inhibitor in tumours or tumour cells
WO2013152252A1 (en) 2012-04-06 2013-10-10 OSI Pharmaceuticals, LLC Combination anti-cancer therapy
WO2013190089A1 (en) 2012-06-21 2013-12-27 Pangaea Biotech, S.L. Molecular biomarkers for predicting outcome in lung cancer
GB201223308D0 (en) 2012-12-21 2013-02-06 Univ Sunderland Enzyme inhibitors
AU2014223548A1 (en) 2013-02-26 2015-10-15 Triact Therapeutics, Inc. Cancer therapy
EP2976085A1 (de) 2013-03-21 2016-01-27 INSERM - Institut National de la Santé et de la Recherche Médicale Verfahren und pharmazeutische zusammensetzung zur verwendung bei der behandlung von chronischen lebererkrankungen im zusammenhang mit einer niedrigen hepcidinexpression
US9381246B2 (en) 2013-09-09 2016-07-05 Triact Therapeutics, Inc. Cancer therapy
US20170027940A1 (en) 2014-04-10 2017-02-02 Stichting Het Nederlands Kanker Instituut Method for treating cancer
WO2016105503A1 (en) 2014-12-24 2016-06-30 Genentech, Inc. Therapeutic, diagnostic and prognostic methods for cancer of the bladder
US9630968B1 (en) 2015-12-23 2017-04-25 Arqule, Inc. Tetrahydropyranyl amino-pyrrolopyrimidinone and methods of use thereof
TW201811795A (zh) 2016-08-24 2018-04-01 美商亞闊股份有限公司 胺基-吡咯并嘧啶酮化合物及其用途
SG11201906223TA (en) 2016-12-22 2019-08-27 Amgen Inc Benzisothiazole, isothiazolo[3,4-b]pyridine, quinazoline, phthalazine, pyrido[2,3-d]pyridazine and pyrido[2,3-d]pyrimidine derivatives as kras g12c inhibitors for treating lung, pancreatic or colorectal cancer
JOP20190272A1 (ar) 2017-05-22 2019-11-21 Amgen Inc مثبطات kras g12c وطرق لاستخدامها
US11548867B2 (en) 2017-07-19 2023-01-10 Idea Ya Biosciences, Inc. Amido compounds as AhR modulators
UY37870A (es) 2017-09-08 2019-03-29 Amgen Inc Inhibidores de kras g12c y métodos para utilizarlos campo de la invención
MA52501A (fr) 2018-05-04 2021-03-10 Amgen Inc Inhibiteurs de kras g12c et leurs procédés d'utilisation
CA3099118A1 (en) 2018-05-04 2019-11-07 Amgen Inc. Kras g12c inhibitors and methods of using the same
MX2020011907A (es) 2018-05-10 2021-01-29 Amgen Inc Inhibidores de kras g12c para el tratamiento de cancer.
AU2019278998B2 (en) 2018-06-01 2023-11-09 Amgen Inc. KRAS G12C inhibitors and methods of using the same
JP7357644B2 (ja) 2018-06-11 2023-10-06 アムジエン・インコーポレーテツド がんを処置するためのkras g12c阻害剤
AU2019336588B2 (en) 2018-06-12 2022-07-28 Amgen Inc. KRAS G12C inhibitors encompassing a piperazine ring and use thereof in the treatment of cancer
WO2020070239A1 (en) 2018-10-04 2020-04-09 INSERM (Institut National de la Santé et de la Recherche Médicale) Egfr inhibitors for treating keratodermas
JP7516029B2 (ja) 2018-11-16 2024-07-16 アムジエン・インコーポレーテツド Kras g12c阻害剤化合物の重要な中間体の改良合成法
WO2020106640A1 (en) 2018-11-19 2020-05-28 Amgen Inc. Kras g12c inhibitors and methods of using the same
JP7377679B2 (ja) 2018-11-19 2023-11-10 アムジエン・インコーポレーテツド がん治療のためのkrasg12c阻害剤及び1種以上の薬学的に活性な追加の薬剤を含む併用療法
EP3897855B1 (de) 2018-12-20 2023-06-07 Amgen Inc. Kif18a-inhibitoren
US12441736B2 (en) 2018-12-20 2025-10-14 Amgen Inc. KIF18A inhibitors
JOP20210154B1 (ar) 2018-12-20 2023-09-17 Amgen Inc مثبطات kif18a
ES2996960T3 (en) 2018-12-20 2025-02-13 Amgen Inc Heteroaryl amides useful as kif18a inhibitors
WO2020132384A1 (en) 2018-12-21 2020-06-25 Celgene Corporation Thienopyridine inhibitors of ripk2
NL2022471B1 (en) 2019-01-29 2020-08-18 Vationpharma B V Solid state forms of oclacitinib
US20230148450A9 (en) 2019-03-01 2023-05-11 Revolution Medicines, Inc. Bicyclic heteroaryl compounds and uses thereof
WO2020180770A1 (en) 2019-03-01 2020-09-10 Revolution Medicines, Inc. Bicyclic heterocyclyl compounds and uses thereof
EP4306529B1 (de) 2019-05-13 2026-01-21 Relay Therapeutics, Inc. Fgfr-inhibitoren und verfahren zur verwendung davon
EP3738593A1 (de) 2019-05-14 2020-11-18 Amgen, Inc Dosierung von kras-inhibitor zur behandlung von krebserkrankungen
CR20210665A (es) 2019-05-21 2022-01-25 Amgen Inc Formas en estado sólido
CN114391012B (zh) 2019-08-02 2025-10-31 美国安进公司 作为kif18a抑制剂的吡啶衍生物
CN114302880B (zh) 2019-08-02 2025-07-15 美国安进公司 Kif18a抑制剂
US20220281843A1 (en) 2019-08-02 2022-09-08 Amgen Inc. Kif18a inhibitors
WO2021026099A1 (en) 2019-08-02 2021-02-11 Amgen Inc. Kif18a inhibitors
EP4684786A2 (de) 2019-10-24 2026-01-28 Amgen Inc. Pyridopyrimidinderivate als kras-g12c- und kras-g12d-hemmer bei der behandlung von krebs
US11739074B2 (en) 2019-11-04 2023-08-29 Revolution Medicines, Inc. Ras inhibitors
CN120988055A (zh) 2019-11-04 2025-11-21 锐新医药公司 Ras抑制剂
CA3160142A1 (en) 2019-11-04 2021-05-14 Revolution Medicines, Inc. Ras inhibitors
JP7812056B2 (ja) 2019-11-08 2026-02-09 レヴォリューション・メディスンズ,インコーポレイテッド 二環式ヘテロアリール化合物及びその使用
AU2020383535A1 (en) 2019-11-14 2022-05-05 Amgen Inc. Improved synthesis of KRAS G12C inhibitor compound
TWI882037B (zh) 2019-11-14 2025-05-01 美商安進公司 Kras g12c抑制劑化合物之改善的合成
CN114980976A (zh) 2019-11-27 2022-08-30 锐新医药公司 共价ras抑制剂及其用途
BR112022010086A2 (pt) 2020-01-07 2022-09-06 Revolution Medicines Inc Dosagem do inibidor de shp2 e métodos de tratamento de câncer
TW202214253A (zh) 2020-06-18 2022-04-16 美商銳新醫藥公司 延遲、預防及治療對ras抑制劑之後天抗性之方法
US11814388B1 (en) * 2020-08-28 2023-11-14 Ferris State University Substituted pyrrolo[2,3-d]pyrimidines and pyrazolo[3,4-d]pyrimidines as inhibitors for multi-resistant cancers
AU2021344830A1 (en) 2020-09-03 2023-04-06 Revolution Medicines, Inc. Use of SOS1 inhibitors to treat malignancies with SHP2 mutations
MX2023003060A (es) 2020-09-15 2023-04-05 Revolution Medicines Inc Derivados indolicos como inhibidores de ras en el tratamiento del cancer.
TW202233625A (zh) 2020-11-18 2022-09-01 美商傳達治療有限公司 Fgfr抑制劑及其製造及使用方法
EP4267250A1 (de) 2020-12-22 2023-11-01 Qilu Regor Therapeutics Inc. Sos1-inhibitoren und verwendungen davon
WO2022235054A1 (ko) * 2021-05-03 2022-11-10 주식회사 제이비케이랩 2,6-디클로로-4-(4-(4-하이드록시사이클로헥실아미노)-7h-피롤로[2,3-d]피리미딘-5-일)페놀을 유효성분으로 포함하는 암의 예방, 개선 또는 치료용 약학적 조성물
WO2022235866A1 (en) 2021-05-05 2022-11-10 Revolution Medicines, Inc. Covalent ras inhibitors and uses thereof
TW202309053A (zh) 2021-05-05 2023-03-01 美商銳新醫藥公司 Ras抑制劑
IL308193A (en) 2021-05-05 2024-01-01 Revolution Medicines Inc RAS inhibitors
AR127308A1 (es) 2021-10-08 2024-01-10 Revolution Medicines Inc Inhibidores ras
US20250282782A1 (en) 2021-12-17 2025-09-11 Genzyme Corporation Pyrazolopyrazine compounds as shp2 inhibitors
EP4227307A1 (de) 2022-02-11 2023-08-16 Genzyme Corporation Pyrazolopyrazinverbindungen als shp2-inhibitoren
EP4490146B1 (de) 2022-03-07 2026-02-18 Amgen Inc. Verfahren zur herstellung von 4-methyl-2-propan-2-yl-pyridin-3-carbonitril
CN119136806A (zh) 2022-03-08 2024-12-13 锐新医药公司 用于治疗免疫难治性肺癌的方法
JP2025521232A (ja) 2022-06-10 2025-07-08 レボリューション メディシンズ インコーポレイテッド 大環状ras阻害剤
GEAP202516749A (en) 2022-10-14 2025-07-25 Black Diamond Therapeutics Inc Methods of treating cancers using isoquinoline or 6-aza-quinoline derivatives
CN116332940B (zh) * 2023-02-14 2024-09-13 广西民族大学 一种7-脱氮嘌呤衍生物及其制备方法和应用
EP4687905A1 (de) 2023-03-30 2026-02-11 Revolution Medicines, Inc. Zusammensetzungen zur induzierung der ras-gtp-hydrolyse und verwendungen davon
EP4688790A1 (de) 2023-04-07 2026-02-11 Revolution Medicines, Inc. Makrocyclische ras-inhibitoren
WO2024211663A1 (en) 2023-04-07 2024-10-10 Revolution Medicines, Inc. Condensed macrocyclic compounds as ras inhibitors
KR20250172857A (ko) 2023-04-14 2025-12-09 레볼루션 메디슨즈, 인크. Ras 억제제의 결정형
KR20250169290A (ko) 2023-04-14 2025-12-02 레볼루션 메디슨즈, 인크. Ras 억제제의 결정형, 이를 함유하는 조성물 및 이의 사용 방법
WO2024229406A1 (en) 2023-05-04 2024-11-07 Revolution Medicines, Inc. Combination therapy for a ras related disease or disorder
WO2025034702A1 (en) 2023-08-07 2025-02-13 Revolution Medicines, Inc. Rmc-6291 for use in the treatment of ras protein-related disease or disorder
US20250154171A1 (en) 2023-10-12 2025-05-15 Revolution Medicines, Inc. Ras inhibitors
WO2025137507A1 (en) 2023-12-22 2025-06-26 Regor Pharmaceuticals, Inc. Sos1 inhibitors and uses thereof
WO2025171296A1 (en) 2024-02-09 2025-08-14 Revolution Medicines, Inc. Ras inhibitors
WO2025240847A1 (en) 2024-05-17 2025-11-20 Revolution Medicines, Inc. Ras inhibitors
WO2025255438A1 (en) 2024-06-07 2025-12-11 Revolution Medicines, Inc. Methods of treating a ras protein-related disease or disorder
WO2025265060A1 (en) 2024-06-21 2025-12-26 Revolution Medicines, Inc. Therapeutic compositions and methods for managing treatment-related effects
WO2026006747A1 (en) 2024-06-28 2026-01-02 Revolution Medicines, Inc. Ras inhibitors
WO2026015790A1 (en) 2024-07-12 2026-01-15 Revolution Medicines, Inc. Methods of treating a ras related disease or disorder
WO2026015801A1 (en) 2024-07-12 2026-01-15 Revolution Medicines, Inc. Methods of treating a ras related disease or disorder
WO2026015796A1 (en) 2024-07-12 2026-01-15 Revolution Medicines, Inc. Methods of treating a ras related disease or disorder
WO2026015825A1 (en) 2024-07-12 2026-01-15 Revolution Medicines, Inc. Use of ras inhibitor for treating pancreatic cancer

Family Cites Families (16)

* Cited by examiner, † Cited by third party
Publication number Priority date Publication date Assignee Title
DE3036930C2 (de) 1980-09-30 1982-06-16 Windmöller & Hölscher, 4540 Lengerich Ungleichförmigkeitsgetriebe, vorzugsweise zum Antrieb von Messerwalzen
US5661148A (en) * 1989-09-19 1997-08-26 Teijin Limited Pyrrolo[2,3-d]pyrimidine derivatives, process for producing the same and pharmaceutical preparation comprising the same as active ingredient
ES2108120T3 (es) 1991-05-10 1997-12-16 Rhone Poulenc Rorer Int Compuestos bis arilicos y heteroarilicos mono- y biciclicos que inhiben tirosina quinasa receptora de egf y/o pdgf.
IL112248A0 (en) 1994-01-25 1995-03-30 Warner Lambert Co Tricyclic heteroaromatic compounds and pharmaceutical compositions containing them
US5679683A (en) * 1994-01-25 1997-10-21 Warner-Lambert Company Tricyclic compounds capable of inhibiting tyrosine kinases of the epidermal growth factor receptor family
IL112249A (en) * 1994-01-25 2001-11-25 Warner Lambert Co Pharmaceutical compositions containing di and tricyclic pyrimidine derivatives for inhibiting tyrosine kinases of the epidermal growth factor receptor family and some new such compounds
ES2109796T3 (es) * 1994-05-03 1998-01-16 Ciba Geigy Ag Derivados de pirrolopirimidilo con efecto antiproliferante.
MX9702307A (es) 1994-09-29 1998-04-30 Novartis Ag Pirrolo (2,3-d)pirimidinas y su uso.
ATE195123T1 (de) 1995-04-03 2000-08-15 Novartis Erfind Verwalt Gmbh Pyrazolderivate und verfahren zu deren herstellung
US6403599B1 (en) 1995-11-08 2002-06-11 Pfizer Inc Corticotropin releasing factor antagonists
WO1996040142A1 (en) 1995-06-07 1996-12-19 Pfizer Inc. Heterocyclic ring-fused pyrimidine derivatives
CA2224435C (en) 1995-07-06 2008-08-05 Novartis Ag Pyrrolopyrimidines and processes for the preparation thereof
ATE217873T1 (de) 1996-01-23 2002-06-15 Novartis Erfind Verwalt Gmbh Pyrrolopyrimidinen und verfahren zu deren herstellung
GB9604361D0 (en) 1996-02-29 1996-05-01 Pharmacia Spa 4-Substituted pyrrolopyrimidine compounds as tyrosine kinase inhibitors
AU4779897A (en) 1996-10-02 1998-04-24 Novartis Ag Fused pyrazole derivatives and processes for their preparation
EP0929553B1 (de) 1996-10-02 2005-03-16 Novartis AG Pyrimiderivate und verfahren zu ihrer herstellung

Also Published As

Publication number Publication date
CA2262421A1 (en) 1998-02-26
WO1998007726A1 (en) 1998-02-26
AU720429B2 (en) 2000-06-01
ES2297864T3 (es) 2008-05-01
PT938486E (pt) 2008-03-27
JP2000516626A (ja) 2000-12-12
EP0938486B1 (de) 2008-01-16
CA2262421C (en) 2007-10-02
ATE384062T1 (de) 2008-02-15
EP0938486A1 (de) 1999-09-01
DK0938486T3 (da) 2008-07-07
DE69738468D1 (de) 2008-03-06
AU4206497A (en) 1998-03-06
JP4242928B2 (ja) 2009-03-25
US6180636B1 (en) 2001-01-30

Similar Documents

Publication Publication Date Title
DE69738468T2 (de) Substituierte pyrrolopyrimidine und verfahren zu ihrer herstellung
DE69619114T2 (de) Pyrolopyrimidine und verfahren zu ihrer herstellung
DE69732780T2 (de) Pyrimiderivate und verfahren zu ihrer herstellung
DE69712745T2 (de) Pyrrolopyrimidinen und verfahren zu deren herstellung
DE69609602T2 (de) Pyrazolderivate und verfahren zu deren herstellung
EP0682027B1 (de) Pyrrolopyrimidinderivate mit antiproliferativer Wirkung
DE60030002T2 (de) Für den adenosin-a1-a2a-und-a3-rezeptor spezifische verbindungen und verwendungen davon
DE69111077T2 (de) Chinazolinderivate um die antitumorwirkung zu verbessern.
DE10057751A1 (de) Neue Carbamat-substituierte Pyrazolopyridinderivate
WO1998014451A1 (en) Fused pyrazole derivative and process for its preparation
DE60129174T2 (de) Neue pleuromutilinderivate
DE69729890T2 (de) Heilmittel/vorbeugemittel für erkrankungen der atemwege
US4916137A (en) 5-(Substituted-amino)-8-(phenyl or substituted-phenyl)-3H,6H-1,4,5A,8A-tetraazaacenaphthylen-3-ones and treatment of neural behavior disorders
DE68911951T2 (de) 5-(Substituierte Amino)-8-(phenyl oder substituierte phenyl)-3H,6H-1,4,5a,8a-tetraazaacenaphthylen-3-one.
AU707626C (en) Pyrrolopyrimidines and processes for the preparation thereof
AT395156B (de) Neue 9-deazaguanine
HK1008222B (en) Pyrrolopyrimidines and processes for the preparation thereof
DE10122895A1 (de) Neue Lactam-substituierte Pyrazolopyridinderivate

Legal Events

Date Code Title Description
8364 No opposition during term of opposition
8328 Change in the person/name/address of the agent

Representative=s name: KROHER, STROBEL RECHTS- UND PATENTANWAELTE, 80336

8328 Change in the person/name/address of the agent

Representative=s name: DR. SCHOEN & PARTNER, 80336 MUENCHEN