DE69630833T2 - Varioobjektiv mit Fokussierung durch das hintere Linsenglied - Google Patents

Varioobjektiv mit Fokussierung durch das hintere Linsenglied Download PDF

Info

Publication number
DE69630833T2
DE69630833T2 DE69630833T DE69630833T DE69630833T2 DE 69630833 T2 DE69630833 T2 DE 69630833T2 DE 69630833 T DE69630833 T DE 69630833T DE 69630833 T DE69630833 T DE 69630833T DE 69630833 T2 DE69630833 T2 DE 69630833T2
Authority
DE
Germany
Prior art keywords
lens
lens unit
variable
refractive power
unit
Prior art date
Legal status (The legal status is an assumption and is not a legal conclusion. Google has not performed a legal analysis and makes no representation as to the accuracy of the status listed.)
Expired - Lifetime
Application number
DE69630833T
Other languages
English (en)
Other versions
DE69630833D1 (de
Inventor
Hamano Ohta-ku Hiroyuki
Current Assignee (The listed assignees may be inaccurate. Google has not performed a legal analysis and makes no representation or warranty as to the accuracy of the list.)
Canon Inc
Original Assignee
Canon Inc
Priority date (The priority date is an assumption and is not a legal conclusion. Google has not performed a legal analysis and makes no representation as to the accuracy of the date listed.)
Filing date
Publication date
Priority claimed from JP13182295A external-priority patent/JP3513265B2/ja
Priority claimed from JP8103368A external-priority patent/JPH09269452A/ja
Application filed by Canon Inc filed Critical Canon Inc
Application granted granted Critical
Publication of DE69630833D1 publication Critical patent/DE69630833D1/de
Publication of DE69630833T2 publication Critical patent/DE69630833T2/de
Anticipated expiration legal-status Critical
Expired - Lifetime legal-status Critical Current

Links

Classifications

    • GPHYSICS
    • G02OPTICS
    • G02BOPTICAL ELEMENTS, SYSTEMS OR APPARATUS
    • G02B15/00Optical objectives with means for varying the magnification
    • G02B15/14Optical objectives with means for varying the magnification by axial movement of one or more lenses or groups of lenses relative to the image plane for continuously varying the equivalent focal length of the objective
    • G02B15/16Optical objectives with means for varying the magnification by axial movement of one or more lenses or groups of lenses relative to the image plane for continuously varying the equivalent focal length of the objective with interdependent non-linearly related movements between one lens or lens group, and another lens or lens group
    • G02B15/163Optical objectives with means for varying the magnification by axial movement of one or more lenses or groups of lenses relative to the image plane for continuously varying the equivalent focal length of the objective with interdependent non-linearly related movements between one lens or lens group, and another lens or lens group having a first movable lens or lens group and a second movable lens or lens group, both in front of a fixed lens or lens group
    • G02B15/167Optical objectives with means for varying the magnification by axial movement of one or more lenses or groups of lenses relative to the image plane for continuously varying the equivalent focal length of the objective with interdependent non-linearly related movements between one lens or lens group, and another lens or lens group having a first movable lens or lens group and a second movable lens or lens group, both in front of a fixed lens or lens group having an additional fixed front lens or group of lenses
    • G02B15/173Optical objectives with means for varying the magnification by axial movement of one or more lenses or groups of lenses relative to the image plane for continuously varying the equivalent focal length of the objective with interdependent non-linearly related movements between one lens or lens group, and another lens or lens group having a first movable lens or lens group and a second movable lens or lens group, both in front of a fixed lens or lens group having an additional fixed front lens or group of lenses arranged +-+
    • GPHYSICS
    • G02OPTICS
    • G02BOPTICAL ELEMENTS, SYSTEMS OR APPARATUS
    • G02B15/00Optical objectives with means for varying the magnification
    • G02B15/14Optical objectives with means for varying the magnification by axial movement of one or more lenses or groups of lenses relative to the image plane for continuously varying the equivalent focal length of the objective
    • G02B15/145Optical objectives with means for varying the magnification by axial movement of one or more lenses or groups of lenses relative to the image plane for continuously varying the equivalent focal length of the objective having five groups only
    • G02B15/1451Optical objectives with means for varying the magnification by axial movement of one or more lenses or groups of lenses relative to the image plane for continuously varying the equivalent focal length of the objective having five groups only the first group being positive
    • G02B15/145113Optical objectives with means for varying the magnification by axial movement of one or more lenses or groups of lenses relative to the image plane for continuously varying the equivalent focal length of the objective having five groups only the first group being positive arranged +-++-

Landscapes

  • Physics & Mathematics (AREA)
  • General Physics & Mathematics (AREA)
  • Optics & Photonics (AREA)
  • Nonlinear Science (AREA)
  • Lenses (AREA)

Description

  • Diese Erfindung betrifft ein Variobjektiv gemäß dem Oberbegriff von Patentanspruch 1, und im einzelnen ein hochwertiges Variobjektiv mit relativ großer Blendenöffnung mit Fokussierung durch das hintere Linsenglied, dessen variables Verstärkungsverhältnis etwa 10 und dessen F-Nummer beim Weitwinkelende etwa 1,8 beträgt, das für die Verwendung in fotografischen Kameras, Videokameras oder Fernsehkameras ausgelegt ist.
  • Für die Verwendung in fotografischen Kameras oder Videokameras gab es viele frühere Vorschläge für Variobjektive von einem Typ, bei welchem eine Linseneinheit, die sich von der Front- oder ersten Linseneinheit unterscheidet, bewegbar gemacht ist, um die Fokussierung zu bewirken; d. h., von einem Typ mit der sogenannten „Fokussierung durch das hintere Linsenglied".
  • Im allgemeinen weist ein Variobjektiv mit Fokussierung durch das hintere Linsenglied im Vergleich zu einem Variobjektiv, dessen erste Linseneinheit bewegt wird, um eine Fokussierung zu bewirken, die Vorteile auf, dass der effektive Durchmesser der ersten Linseneinheit kleiner wird, um derart die kompakte Ausführung des gesamten Linsensystems auf einfache Weise zu verbessern, so dass eine Nahaufnahme, und im einzelnen eine sehr kurze Fokussierung, bequem durchgeführt werden kann, und so dass ferner ein schwächeres Antriebsdrehmoment ausreicht, um die Linseneinheit zu bewegen, und so dass von daher eine schnelle Einstellung der Fokussierung durchgeführt werden kann, da eine Linseneinheit, die zur Fokussierung verwendet wird, geringer in der Größe und leichter im Gewicht ist.
  • Solch ein Variobjektiv mit Fokussierung durch das hintere Linsenglied ist beispielsweise in der JP-A-62-24213 und JP-A-63-247316 offenbart, wobei das Variobjektiv in der Reihenfolge von einer Objektseite aus folgendes aufweist: eine erste Linseneinheit mit positiver Brechkraft, eine zweite Linseneinheit mit negativer Brechkraft, eine dritte Linseneinheit mit positiver Brechkraft und eine vierte Linseneinheit mit positiver Brechkraft, insgesamt vier Linseneinheiten, wobei die zweite Linseneinheit bewegt wird, um die Verstärkung zu variieren, und wobei die vierte Linseneinheit bewegt wird, um die Abbildungsverschiebung, die durch die Variation der Verstärkung hervorgerufen wird, zu kompensieren, und um die Fokussierung zu bewirken.
  • In der JP-A-4-43311 weist ein Variobjektiv in der Reihenfolge von einer Objektseite aus folgendes auf: eine erste Linseneinheit mit positiver Brechkraft, eine zweite Linseneinheit mit negativer Brechkraft, eine dritte Linseneinheit mit positiver Brechkraft und eine vierte Linseneinheit mit positiver Brechkraft, wobei die dritte Linseneinheit mit einer positiven Linse und einer negativer Linse in einer Gestalt des Teletypes konstruiert ist, um derart die Gesamtlänge der dritten und vierten Linseneinheit zu verkürzen.
  • In der JP-A-4-301612 weist ein Variobjektiv in der Reihenfolge von einer Objektseite aus folgendes auf: eine erste Linseneinheit mit positiver Brechkraft, eine zweite Linseneinheit mit negativer Brechkraft, eine dritte Linseneinheit mit positiver Brechkraft, eine vierte Linseneinheit mit positiver Brechkraft und eine fünfte Linseneinheit mit negativer Brechkraft, wobei die zweite und vierte Linseneinheit bewegt wird, um die Verstärkung zu variieren, und wobei die vierte Linseneinheit bewegt wird, um die Fokussierung zu bewirken, wobei die Gesamtlänge der dritten, vierten und fünften Linseneinheiten infolge der Verwendung der negativen fünften Linseneinheit gekürzt sind.
  • In den meisten Fällen erzeugt in dem Variobjektiv die Verwendung der Fokussierung durch das hintere Linsenglied die zuvor beschriebenen herausragenden Vorteile. Das heißt, die Gesamtheit des Linsensystems wird in der Masse und Größe minimalisiert. Eine rasche Fokussierung wird möglich. Ferner lässt sich eine Nahaufnahme leichter ausführen.
  • Hinsichtlich eines Variobjektivs, welches in der Reihenfolge von einer Objektseite aus eine erste Linseneinheit mit positiver Brechkraft, eine zweite Linseneinheit mit negativer Brechkraft, eine dritte Linseneinheit mit positiver Brechkraft und eine vierte Linseneinheit mit positiver Brechkraft aufweist, wird, wenn es versucht wird, die Gesamtlänge der dritten und vierten Linseneinheit durch Steigerung der Brechkraft der dritten Linseneinheit zu verkürzen, der Betrag der Bewegung der vierten Linseneinheit während der Fokussierung oder während der Variation der Verstärkung zu groß. Von daher entsteht bei einem Objekt bei der minimalen Entfernung ein Problem, dass sich die dritte und vierte Linseneinheit beim Zoomen zu dem Zwischenbereich der Brennweite gegenseitig mechanisch beeinträchtigen. Von daher muss der Luftspalt zwischen der dritten und vierten Linseneinheit in großem Maße verbreitert werden und die Gesamtlänge muss wesentlich länger werden.
  • Das in der JP-A-4-301612 (Mitglied der Patentfamilie der EP-A-0 506 108) offenbarte gewöhnliche Variobjektiv ist ein 5-Einheiten Variobjektiv, in welchem zusätzlich eine stationäre negative Linse an der Abbildungsseite der vierten Linseneinheit vorgesehen ist. In diesem Fall sind die dritten und vierten Linseneinheiten zu dem Teletyp ausgebildet, um derart die Gesamtlänge des gesamten Linsensystems zu verkürzen. Weil jedoch eine Blendenöffnung bzw. eine Apertur-Blende zwischen der zweiten und dritten Linseneinheit angeordnet ist, ist es notwendig, den Zwischenraum, wo ein Lichtbündel hinter der zweiten Linseneinheit stark divergiert, wesentlich zu verbreitern.
  • Weiterhin führt diese Anordnung zu einem Anwachsen der Variation von Aberrationen bzw. Abbildungsfehlern während der Variation der Verstärkung oder während der Fokussierung. Von daher ist es sehr schwierig, gleichzeitig die Erfordernisse hinsichtlich des Erreichens von Verbesserungen der kompakten Ausführung und hinsichtlich des Beibehaltens einer guten Stabilität von hohem optischen Leistungsvermögen durchweg zu erfüllen.
  • Die JP-A-06 337 375 zeigt ein Variobjektiv, welches folgendes aufweist: eine erste Linseneinheit mit einer positiven Brechkraft, eine zweite Linseneinheit mit einer negativen Brechkraft, eine dritte Linseneinheit mit einer positiven Brechkraft, eine vierte Linseneinheit mit einer positiven Brechkraft und eine fünfte Linseneinheit mit einer negativen Brechkraft. Die zweite Linseneinheit ist zum Variieren der Verstärkung feststehend. Die dritte und die vierte Linseneinheit werden bewegt, um die Verstärkung zu variieren. Die vierte Linseneinheit ist bewegbar, um die Fokussierung zu bewirken. Eine Apertur-Blende ist in einem Zwischenraum zwischen der dritten Linseneinheit und der vierten Linseneinheit angeordnet.
  • Die US-A-4 094 586 zeigt, dass eine Apertur-Blende in einem Zwischenraum zwischen einer dritten Linseneinheit und einer vierten Linseneinheit angeordnet werden kann, aber auch hier bleibt zum Variieren der Verstärkung die dritte Linseneinheit stationär.
  • Von daher liegt eine Aufgabe der Erfindung darin, ein Variobjektiv mit Fokussierung durch das hintere Linsenglied anzugeben, wobei die Gesamtlänge des Gesamtsystems verkleinert ist, um die kompakte Ausführung zu verbessern, während weiterhin eine gute Stabilität hinsichtlich des optischen Leistungsvermögens auf einem hohen Niveau über den gesamten Zoom-Bereich und über den gesamten Fokussier-Bereich beibehalten wird.
  • Ein Variobjektiv gemäß der Erfindung ist im Patentanspruch 1 definiert. Die Erfindung verwendet das Verfahren der Fokussierung durch das hintere Linsenglied und vergrößert gleichzeitig die relative Apertur und den Zoom-Bereich.
  • Weitere vorteilhafte Ausführungsformen sind in den abhängigen Ansprüchen festgelegt.
  • Der Gegenstand und Eigenschaften der Erfindung werden anhand der nachfolgenden detaillierten Beschreibung der bevorzugten Ausführungsformen hiervon besser ersichtlich, welche unter Hinzunahme der beigefügten Zeichnungen dargelegt werden:
  • 1 ist ein Linsen-Blockdiagramm der numerischen Beispiele 1 und 2 der Erfindung.
  • 2 ist ein Linsen-Blockdiagramm eines numerischen Beispiels 3 der Erfindung.
  • 3 ist ein Linsen-Blockdiagramm eines numerischen Beispiels 4 der Erfindung.
  • 4(a)-1 bis 4(a)-4, 4(b)-1 bis 4(b)-4 und 4(c)-1 bis 4(c)-4 sind graphische Darstellungen der Aberrationen bzw. Abbildungsfehler des Variobjektivs des numerischen Beispiels 1.
  • 5(a)-1 bis 5(a)-4, 5(b)-1 bis 5(b)-4 und 5(c)-1 bis 5(c)-4 sind graphische Darstellungen der Aberrationen bzw. Abbildungsfehler des Variobjektivs des numerischen Beispiels 2.
  • 6(a)-1 bis 6(a)-4, 6(b)-1 bis 6(b)-4 und 6(c)-1 bis 6(c)-4 sind graphische Darstellungen der Aberrationen bzw. Abbildungsfehler des Variobjektivs des numerischen Beispiels 3.
  • 7(a)-1 bis 7(a)-4, 7(b)-1 bis 7(b)-4 und 7(c)-1 bis 7(c)-4 sind graphische Darstellungen der Aberrationen bzw. Abbildungsfehler des Variobjektivs des numerischen Beispiels 4.
  • 8 ist ein Linsen-Blockdiagramm der numerischen Beispiele 5 bis 7 der Erfindung.
  • 9(a)-1 bis 9(a)-4, 9(b)-1 bis 9(b)-4 und 9(c)-1 bis 9(c)-4 sind graphische Darstellungen der Aberrationen bzw. Abbildungsfehler des Variobjektivs des numerischen Beispiels 5.
  • 10(a)-1 bis 10(a)-4, 10(b)-1 bis 10(b)-4 und 10(c)-1 bis 10(c)-4 sind graphische Darstellungen der Aberrationen bzw. Abbildungsfehler des Variobjektivs des numerischen Beispiels 6.
  • 11(a)-1 bis 11(a)-4, 11(b)-1 bis 11(b)-4 und 11(c)-1 bis 11(c)-4 sind graphische Darstellungen der Aberrationen bzw. Abbildungsfehler des Variobjektivs des numerischen Beispiels 4.
  • In den Darstellungen bezeichnet I die erste Linseneinheit, II die zweite Linseneinheit, III die dritte Linseneinheit, IV die vierte Linseneinheit und V die fünfte Linseneinheit.
  • In den graphischen Darstellungen steht ΔM für den meridionalen Abbildungsabschnitt, ΔS für den sagittalen Abbildungsabschnitt, d für die spektrale d-Linie und g für die spektrale g-Linie.
  • 1 ist eine Längsschnittansicht, die die numerischen Beispiele 1 und 2 von Variobjektiven der Erfindung zeigt, in welchen die römische Zahl I die erste Linseneinheit mit positiver Brechkraft, die römische Zahl II die zweite Linseneinheit mit negativer Brechkraft, die römische Zahl III die dritte Linseneinheit mit positiver Brechkraft, die römische Zahl IV die vierte Linseneinheit mit positiver Brechkraft und die römische Zahl V die fünfte Linseneinheit mit negativer Brechkraft bezeichnen. Von den graphischen Darstellungen zeigen die Darstellungen von jeder Figurennummer mit dem Anhang (A), (B) oder (C) die Aberrationen bzw. Abbildungsfehler jeweils im Weitwinkel-Ende, in einer Zwischenbrennweiten-Position oder im Tele-Ende.
  • Während der Variation der Verstärkung vom Weitwinkel-Ende zum Tele-Ende wird zumindest die zweite Linseneinheit in Richtung der Abbildungsseite bewegt, wie es mittels des Pfeiles gezeigt wird, während simultan die vierte Linseneinheit bewegt wird, um die Verschiebung einer Abbildungsebene zu kompensieren, was durch die Variation der Verstärkung hervorgerufen wird.
  • Ferner wird, wenn eine Fokussierung durch das hintere Linsenglied verwendet wird, die vierte Linseneinheit entlang einer optischen Achse bewegt, um die Fokussierung zu bewirken. Für ein Objekt im Unendlichen oder bei der minimalen Entfernung wird in Übereinstimmung mit der Variation der Verstärkung vom Weitwinkel-Ende zum Tele-Ende die vierte Linseneinheit bewegt, um die Abbildungsverschiebung entlang eines geometrischen Ortes zu kompensieren, was jeweils mittels einer durchgezogenen Linie 4a oder mittels einer gestrichelten Linie 4b in 1 dargestellt wird.
  • Es sei darauf hingewiesen, dass während der Variation der Verstärkung und während der Fokussierung die erste, dritte und fünfte Linseneinheit stationär verbleiben.
  • Ferner wird darauf hingewiesen, dass ebenso zumindest die erste Linseneinheit bewegt werden kann, um die Aufgabe, die die zweite Linseneinheit hat, zu verringern, nämlich Verstärkung zu variieren.
  • In der vorliegenden Ausführungsform ist es die vierte Linseneinheit, welcher nicht nur die Funktion des Kompensierens der Abbildungsverschiebung mit dem Zoomen sondern auch die Funktion der Fokussierung gegeben ist. Im einzelnen sind die geometrischen Orte der Bewegung der vierten Linseneinheit während der Variation der Verstärkung vom Weitwinkel-Ende zum Tele-Ende konvex zu der Objektseite gemacht, wie es mittels der Kurven 4a und 4b in 1 gezeigt wird. Dieses stellt die effiziente Verwendung des Luftspaltes zwischen der dritten Linseneinheit und der vierten Linseneinheit sicher, wodurch in vorteilhafter Weise eine Verkürzung der Gesamtlänge des gesamten Linsensystems erzielt werden kann.
  • In der vorliegenden Ausführungsform wird mit der Einstellung beispielsweise im Tele-Ende die vierte Linseneinheit vorwärts bewegt, wenn von einem im Unendlichen angeordneten Objekt zu näheren Objekten fokussiert wird, wie es mittels einer geraden Linie 4c in 1 gezeigt wird.
  • Ferner ist gemäß der Erfindung in dem Zwischenraum zwischen der dritten und vierten Linseneinheit eine Apertur-Blende SP zum Ermitteln der F-Nummer angeordnet, welche gemäß dem Stand der Technik in dem Zwischenraum zwischen der zweiten und dritten Linseneinheit angeordnet sein würde. Dieses führt zu einer effizienteren Verwendung des Zwischenraumes, wodurch die Feldkrümmung im Vergleich zu jener reduziert wird, die ansonsten aufgrund der Zunahme der Petzval-Summe erzeugt werden würde, wenn die Gesamtlänge der dritten bis fünften Linseneinheiten gekürzt wird.
  • Nachfolgend wird eine detailliertere Beschreibung hinsichtlich dieser Verwendung des Zwischenraumes gegeben. Um eine Minimierung des Zwischenraumes des Variobjektivs zu erreichen, ist es notwendig, den Gesamtbetrag der Bewegung der zweiten Linseneinheit während der Variation der Verstärkung mittels Verstärkung einer negativen Brechkraft der zweiten Linseneinheit so weit herabzusetzen, wie es das Problem der Aberrations- bzw. Abbildungsfehler-Korrektur zulässt. Dieses verursacht wiederum, dass die Divergenz des Lichtbündels von der zweiten Linseneinheit stärker wird. Um von daher die gesamte physikalische Länge der dritten bis fünften Linseneinheiten zu verkürzen, ist es effektiv, die Entfernung zwischen den Bildhauptpunkten der zweiten und dritten Linseneinheiten zu reduzieren. Im Gegensatz hierzu ist gemäß dem Stand der Technik die Apertur-Blende zwischen der zweiten und dritten Linseneinheit angeordnet, und von daher ist es notwendig, dort einen gewissen Zwischenraum für den Einbau eines Mechanismus für die Apertur-Blende sicherzustellen. Wenn es beabsichtigt ist, zwangsweise die physikalische Gesamtlänge der dritten bis fünften Linseneinheiten zu verkürzen, tritt in diesem Fall eine Notwendigkeit auf, das Tele-Verhältnis auf einen höheren Wert zu erhöhen. Aus diesem Zweck muss eine Brechkraft der negativen fünften Linseneinheit so viel stärker gemacht werden. Von daher wird die Petzval-Summe des gesamten Linsensystems, die aufgrund der Verstärkung der Brechkraft der zweiten Linseneinheit vergrößert wurde, im negativen Sinne weiter gesteigert. Daraus resultiert, dass es schwierig wird, die sagittale Feldkrümmung zu korrigieren.
  • Aus diesem Grund wird erfindungsgemäß die Apertur-Blende in dem Zwischenraum zwischen der dritten und vierten Linseneinheit angeordnet, um eine Verkleinerung des Zwischenraumes zwischen der zweiten und dritten Linseneinheit zu gestatten. Wiederum ist der Zwischenraum zwischen der dritten und vierten Linseneinheit verbreitert, um das negative Ansteigen der Petzval-Summe abzuschwächen, was von der Abnahme der Entfernung von der dritten Linseneinheit zur Abbildungsebene resultiert. Von daher wird die Feldkrümmung gut korrigiert, wenn die Gesamtlänge des Gesamtlinsensystems gekürzt wird.
  • Gemäß der Erfindung ist im einzelnen die folgende Bedingung als eine Beziehung zwischen einem Luftspalt D23 zwischen einer der Abbildungsseite der zweiten Linse am nächsten liegenden Linsenfläche und einer der Objektseite der dritten Linseneinheit am nächsten liegenden Linsenfläche für ein im Unendlichen angeordnetes Objekt im Tele-Ende und für eine Brennweite fW des gesamten Variobjektivs erfüllt: 0,04 < D23/fW < 0,21 (1)
  • Diese Bedingung gibt einen geeigneten Bereich für die Trennung zwischen zweiten und dritten Linseneinheit an, um die Verkürzung der Gesamtlänge des gesamten Variobjektivs zu ermöglichen.
  • Wenn der Zwischenraum zwischen der zweiten und dritten Linseneinheit die obere Grenze der Ungleichung der Bedingung (1) überschreitet, wird es schwierig, die gesamte physikalische Länge der dritten bis fünften Linseneinheiten zu verkürzen. Wenn im umgekehrten Fall die untere Grenze überschritten wird, steigt die Wahrscheinlichkeit unzulässig an, dass die Linsen bei der Nachführungseinstellung oder dergleichen miteinander kollidieren.
  • Ebenso fällt erfindungsgemäß die Entfernung DS zwischen einer der Abbildungsseite der dritten Linseneinheit am nächsten liegenden Linsenfläche und der Apertur-Blende im Weitwinkel-Ende in den folgenden Bereich: 0,11 < DS/fW < 0,45 (2)
  • Das Verkürzen der Gesamtlänge des gesamten Variobjektivs wird von daher effektiv durchgeführt, ohne dass die Operation der Membranblätter der Apertur-Blende beeinträchtigt werden.
  • Wenn die obere Grenze der Ungleichungen der Bedingung (2) überschritten wird, was bedeutet, dass die Separation zwischen der dritten Linseneinheit und der Apertur-Blende zu lang ist, wird die Entfernung von dem Frontscheitelpunkt der ersten Linseneinheit zu der Eintrittspupille größer, wodurch bewirkt wird, dass der Durchmesser des Frontlinsengliedes in unzulässiger Weise zunimmt.
  • Wenn im entgegengesetzten Fall die untere Grenze überschritten wird, liegen die Linsenfläche und die Apertur-Blende zu dicht beieinander, da eine Wahrscheinlichkeit des Auftretens der mechanischen Interferenzen der Apertur-Blende mit der Linsenoberfläche erzeugt wird, wenn die Membranblätter aus der Ebenheit bzw. Flachlage herausgenommen werden oder ähnliches Missgeschick auftritt. Von daher sollte dieses vermieden werden.
  • Für ein besseres Ergebnis wird in der vorliegenden Ausführungsform für ein Objekt im Unendlichen eine Verstärkung β5 der fünften Linseneinheit derart ermittelt, dass sie die folgende Bedingung erfüllt: 1,2 < β5 < 2,0 (3)
  • Das optische Leistungsvermögen wird von daher beibehalten, während die Gesamtlänge des gesamten Variobjektivs verkürzt wird.
  • Wenn die Verstärkung der fünften Linseneinheit geringer als die untere Grenze der Ungleichungen der Bedingung (3) wird, kann der Effekt der hinreichenden Kürzung der Gesamtlänge des vollständigen Variobjektivs nicht erzielt werden.
  • Wenn im umgekehrten Fall die Verstärkung größer als die obere Grenze wird, ist dies günstig für die Verkürzung der Gesamtlänge des vollständigen Variobjektivs, jedoch wächst im negativen Sinne die Petzval-Summe zu stark an, so dass es schwierig wird, die Feldkrümmung zu korrigieren, und so dass die telezentrische Natur im beträchtlichen Maße zusammenbricht. Dieses ist für die Videokamera oder dergleichen kaum geeignet.
  • Um die Gesamtlänge der dritten bis fünften Linseneinheiten zu verkürzen, während gleichzeitig das optische Leistungsvermögen auf einem bestimmten Pegel gehalten werden kann, wird in bevorzugter Weise die folgende Bedingung erfüllt: 2,1 < f3/fW < 3,4 (4), wobei f3 die Brennweite der dritten Linseneinheit und fW die Brennweite im Weitwinkel-Ende des gesamten Variobjektivs ist.
  • Die Ungleichungen der Bedingung (4) geben einen geeigneten Bereich für die Brennweite der dritten Linseneinheit an. Wenn die untere Grenze überschritten wird, was bedeutet, dass die Brechkraft der dritten Linseneinheit zu stark ist, passiert es in einigen Fällen, dass eine nicht hinreichende Korrektur der sphärischen Operation und Koma resultiert. In anderen Fällen wird es schwierig, die hintere bildseitige Brennweite sicherzustellen.
  • Wenn im umgekehrten Fall die obere Grenze überschritten wird, resultiert eine nicht hinreichende Verkürzung der Gesamtlänge des vollständigen Variobjektivs.
  • In der vorliegenden Ausführungsform verlässt sich ferner die Verkürzung der Gesamtlänge der dritten bis fünften Linseneinheiten auf die Minimierung der Bewegung der vierten Linseneinheit. In dieser Hinsicht wird in bevorzugter Weise die folgende Bedingung erfüllt: 1,5 < f4/fW < 3,1 (5), wobei f4 eine Brennweite der vierten Linseneinheit ist.
  • Die Ungleichungen der Bedingung (5) geben einen geeigneten Bereich für die Brennweite der vierten Linseneinheit an. Wenn die untere Grenze überschritten wird, was bedeutet, dass die Brechkraft der vierten Linseneinheit zu stark ist, resultiert eine große Variation der sphärischen Aberration während der Variation der Verstärkung. Wenn im umgekehrten Fall die obere Grenze überschritten wird, wird die Bewegung der vierten Linseneinheit um so viel länger, dass aufgrund der Notwendigkeit des Vergrößerns des Luftspaltes zwischen der dritten und vierten Linseneinheit ein hinreichender Effekt der Verkürzung der Gesamtlänge des vollständigen Variobjektivs nicht erzeugt wird.
  • Auch leistet in dem Variobjektiv der vorliegenden Ausführungsform die Verkürzung der Linsenlänge eines Zoom-Abschnitts einen Beitrag für eine weitere Verkürzung der Gesamtlänge des vollständigen Variobjektivs. Aus diesem Grund wird in bevorzugter Weise die folgende Bedingung erfüllt: 0,2 < |f2/√(fW·fT)| < 0,3 (6), wobei f2 eine Brennweite der zweiten Linseneinheit und fT eine Brennweite im Tele-Ende des gesamten Variobjektivs ist.
  • Die Ungleichungen der Bedingung (6) hängen mit der Brechkraft der zweiten Linseneinheit zusammen und sie dienen einem Zweck, in vorteilhafter Weise ein bestimmtes variables Verstärkungsverhältnis derart zu erzielen, dass die Aberrationen bzw. Abbildungsfehler beim Zoomen stabil bleiben.
  • Wenn die untere Grenze überschritten wird, was bedeutet, dass die Brechkraft der zweiten Linseneinheit zu stark ist, wird es einfach, die kompakt e. Form des gesamten Linsensystems zu verbessern, jedoch wächst die Petzval-Summe in die negativen Richtung an. Somit resultiert eine starke Feldkrümmung. Darüber hinaus wird mit dem Zoomen die Variation von Aberrationen größer. Wenn, wie beim Überschreiten der oberen Grenze, die Brechkraft der zweiten Linseneinheit zu schwach ist, wird die Stabilität der Aberrationen über den gesamten variablen Verstärkungsbereich besser, jedoch wächst zum Erzeugen des bestimmten variablen Verstärkungsverhältnisses die erforderliche Totalzoombewegung an, wodurch die Gesamtlänge des vollständigen Variobjektivs in unzulässiger Weise zunimmt.
  • Die obig beschriebenen Bedingungen genügen, um das Variobjektiv der vorliegenden Ausführungsform zu erzielen. Jedoch ist es wichtig, die Dicke einer jeden Linseneinheit selber herabzusetzen, wenn die Gesamtlänge des vollständigen Variobjektivs verkürzt wird.
  • Demgemäss wird in der vorliegenden Ausführungsform die Anzahl der Linsenelemente herabgesetzt. Aus diesem Grund werden in bevorzugter Weise bei einigen der Linseneinheiten, im einzelnen bei der dritten und vierten Linseneinheit, asphärische Oberflächen eingeführt.
  • Im einzelnen ist es bevorzugt, dass die dritte Linseneinheit in der Gestalt einer einzelnen Linse konstruiert ist, die zumindest eine asphärische Oberfläche aufweist, und die vierte Linseneinheit wird mit einer negativen Meniskuslinse und einer positiven Linse, insgesamt zwei Linsen, aufgebaut.
  • Für die erste Linseneinheit ist es ebenso bevorzugt, dass eine negative Linse der ersten Linseneinheit unter Verwendung eines Glasmaterials hergestellt wird, dessen Abbe-Zahl ν1N innerhalb des folgenden Bereiches liegt ν1N < 23
  • Dadurch wird der achromatische Effekt erhöht, um die Verringerung der Dicken der positiven Linsen der ersten Linseneinheit zu gestatten.
  • Als eine Regel ist die erste Linseneinheit aus einer Plus-Minus gefestigten Linse und einer positiven Meniskuslinse aufgebaut. Wie jedoch in dem numerischen Beispiel 3 gezeigt wird, kann die gefestigte Linse in einem gebrochenen Kontakt hergestellt sein. Der resultierende Luftspalt zwischen seiner positiven und negativen Linse verschiebt den hinteren Bildhauptpunkt der ersten Linseneinheit in Richtung der zweiten Linseneinheit, wodurch der Zwischenraum zwischen der ersten und zweiten Linseneinheit reduziert wird. Gerade dadurch ist es, wenn der maximale Feldwinkel erhöht wird, ebenso möglich, dass resultierende Anwachsen des Durchmessers des Frontlinsengliedes auf ein Minimum zu unterdrücken, vorausgesetzt, dass der reale Zwischenraum zwischen der ersten und zweiten Linseneinheit auf den gleichen beibehalten wird.
  • Ebenso kann, wie es in dem numerischen Beispiel 4 gezeigt wird, die gefestigte negative Linse der zweiten Linseneinheit in zwei Linsen oder negative und positive Linsen eingeteilt werden, um den Freiheitsgrad hinsichtlich der Aberrationskorrektur zu erhöhen.
  • Als nächstes werden die numerischen Beispiele 1 bis 4 der Erfindung gezeigt. In den Daten für die numerischen Beispiele 1 bis 4 ist, wenn von der Objekt-Seite gezählt wird, Ri der Krümmungsradius der i-ten Linsenoberfläche, Di ist, wenn von der Objektseite gezählt wird, die i-te axiale Dicke oder Luftzwischenraum, und Ni und νi sind jeweils der Brechungsindex und die Abbe-Zahl des Glases des i-ten Linsenelementes, wenn von der Objektseite gezählt wird.
  • Die Werte der Faktoren in den obig beschriebenen Bedingungen (1) bis (6) für die numerischen Beispiele 1 bis 4 sind in der Tabelle 1 aufgelistet.
  • In den numerischen Beispielen 1 bis 4 sei darauf hingewiesen, dass die letzten beiden Flächen eine ebene Platte oder ähnliches Glasmaterial definieren.
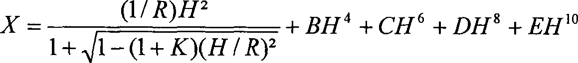
  • In Koordinaten mit einer X-Achse in axialer Richtung und einer H-Achse in Richtung senkrecht zur optischen Achse, jene Richtung, in welcher die Lichtausbreitung als positiv angenommen wird, wird die Formgebung der asphärischen Fläche durch die folgende Gleichung ausgedrückt:
    Figure 00170001
    , wobei R0 der Radius der oskulierenden Ebene bzw. Sphäre, und K, B, C, D und E die asphärischen Koeffizienten sind.
  • In den Werten der asphärischen Koeffizienten bedeutet die Bezeichnung „e-0X" 10–x.
  • Numerisches Beispiel 1:
    Figure 00170002
  • Figure 00180001
  • Figure 00180002
  • Asphärische Koeffizienten
    Figure 00180003
  • Numerisches Beispiel 2:
    Figure 00180004
  • Figure 00190001
  • Figure 00190002
  • Asphärische Koeffizienten:
    Figure 00190003
  • Figure 00200001
  • Numerisches Beispiel 3:
    Figure 00200002
  • Figure 00210001
  • Asphärische Koeffizienten:
    Figure 00210002
  • Numerisches Beispiel 4:
    Figure 00210003
  • Figure 00220001
  • Figure 00220002
  • Asphärische Koeffizienten:
    Figure 00220003
  • Tabelle 1
    Figure 00230001
  • Eine andere Ausführungsform der Erfindung wird als Verbesserung gegenüber der obig beschriebenen Ausführungsform beschrieben.
  • Unter Bezugnahme auf 8 weist ein Variobjektiv in der Reihenfolge von einer Objektseite aus folgendes auf: eine erste Linseneinheit L1 mit positiver Brechkraft, eine zweite Linseneinheit L2 mit negativer Brechkraft, eine dritte Linseneinheit L3 mit positiver Brechkraft, eine vierte Linseneinheit L4 mit positiver Brechkraft und eine fünfte Linseneinheit L5 mit negativer Brechkraft. Eine Apertur-Blende SP ist in dem Zwischenraum zwischen der dritten Linseneinheit L3 und der vierten Linseneinheit L4 angeordnet. FP steht für die Brennebene.
  • Während der Variation der Verstärkung vom Weitwinkel-Ende zum Tele-Ende, wird, wie es mittels des Pfeiles angezeigt ist, die zweite Linseneinheit axial in Richtung der Abbildungsseite bewegt, während die vierte Linseneinheit bewegt wird, um die aufgrund der Variation der Verstärkung verursachte Abbildungsverschiebung zu kompensieren. Die Fokussierung wird durch axiale Bewegung der vierten Linseneinheit durchgeführt. Das heißt, es wird eine Fokussierung durch das hintere Linsenglied verwendet.
  • Eine durchgezogene Kurve 4a und eine gestrichelte Kurve 4b zeigen in 8 die geometrischen Orte der Bewegung an, die erforderlich ist, um die Abbildungsverschiebung aufgrund des jeweiligen Zoomens auf ein Objekt im Unendlichen und auf die minimale Distanz zu kompensieren. Es sei darauf hingewiesen, dass während der Variation der Verstärkung und während der Fokussierung die erste, dritte und fünfte Linseneinheit stationär verbleiben.
  • Im einzelnen wird in der vorliegenden Ausführungsform die Zoom-Bewegung der vierten Linseneinheit vom Weitwinkel-Ende zum Tele-Ende durchgeführt, um einen geometrischen Ort zu beschreiben, der, wie es durch die Kurven 4a und 4b in 8 gezeigt wird, konvex in Richtung der Objektseite ist, da die vierte Linseneinheit zum Kompensieren der Abbildungsverschiebung mit dem Zoomen ebenso die Funktion der Fokussierung übernimmt. Der Zwischenraum zwischen der dritten und vierten Linseneinheit wird von daher effizient verwendet, um in vorteilhafter Weise eine Verkürzung der Gesamtlänge des vollständigen Variobjektivs zu erreichen.
  • In der vorliegenden Ausführungsform wird mit der Einstellung beispielsweise im Tele-Ende die vierte Linseneinheit vorwärts bewegt, wie es mittels einer geraden Linie 4c in 8 gezeigt wird, wenn von einem im Unendlichen liegenden Objekt auf nähere Objekte fokussiert wird.
  • In Verbindung mit der vorliegenden Ausführungsform sollte darauf hingewiesen werden, dass auch die erste Linseneinheit derart ausgeführt sein kann, dass sie sich vorwärts bewegt, wenn das Zoomen vom Weitwinkel-Ende zum Tele-Ende geht. Wenn dies so ist, wird der Beitrag der zweiten Linseneinheit auf die Variation der Brennweite abgeschwächt, um bei der Aberrationskorrektur ein positives Ergebnis zu erzielen.
  • Dann wird in der vorliegenden Ausführungsform eine Bedingung für die Entfernung TD von der der Objektseite am nächsten liegenden, ersten Linsenfläche zu einer paraxialen Abbildungsebene wie folgt dargelegt: 0,8 ≤ TD/fT ≤ 1,0 (7), wobei fT eine Brennweite im Tele-Ende des gesamten Variobjektivs ist.
  • Die technische Bedeutung der Bedingung (7) wird nachfolgend beschrieben.
  • Wenn es beabsichtigt ist, die Gesamtlänge des vollständigen Variobjektivs über die untere Grenze der Bedingung (7) zu verkürzen, resultiert eine zu große negative Petzval-Summe, so dass es schwierig wird, die Feldkrümmung zu korrigieren. Wenn im entgegengesetzten Fall die obere Grenze der Bedingung (7) überschritten wird, wird die Gesamtlänge des vollständigen Variobjektivs in ungünstiger Weise zu lang.
  • In der vorliegenden Ausführungsform ist die Apertur-Blende SP in dem Zwischenraum zwischen der dritten Linseneinheit L3 und der vierten Linseneinheit L4 angeordnet. Solch eine effiziente Verwendung des Zwischenraumes gestattet die Minimierung des erzeugten Betrages der Feldkrümmung, welcher andererseits aufgrund des Anwachsens der Petzval-Summe anwachsen würde, wenn die Gesamtlänge der dritten bis fünften Linseneinheit verkürzt wird.
  • Eine detaillierte Erklärung hiervon wird nachfolgend gegeben. Um eine Minimierung der Größe des Variobjektivs zu erzielen, ist es notwendig, die Total-Zoom-Bewegung der zweiten Linseneinheit durch Vergrößerung einer negativen Brechkraft der zweiten Linseneinheit herabzusetzen, und zwar so weit, wie es das Problem der Aberrationskorrektur zulässt. Jedoch verursacht solch ein Ansteigen der negativen Brechkraft der zweiten Linseneinheit ein Anwachsen der Divergenz des Lichtbündels von der zweiten Linseneinheit. Um die Gesamtlänge des dritten bis fünften Linseneinheiten zu verkürzen, wurde es von daher als vorteilhaft herausgefunden, den Zwischenraum zwischen den Bildhauptpunkten der zweiten und dritten Linseneinheiten zu reduzieren. Falls, wenn solch eine Situation nicht beachtet wird, die Apertur-Blende zwischen beispielsweise der zweiten und dritten Linseneinheit angeordnet ist, wird es notwendig, einen Zwischenraum zu erzeugen, den die Apertur-Blende zwischen der zweiten und dritten Linseneinheit besetzt.
  • Um die Gesamtlänge der dritten bis fünften Linseneinheiten unter solch einer Bedingung zu verkürzen, muss die negative Brechkraft der negativen fünften Linseneinheit so stark vergrößert werden, um das Tele-Verhältnis auf einen höheren Wert zu steigern. Die Petzval-Summe des gesamten Linsensystems, die aufgrund der Vergrößerung der Brechkraft der zweiten Linseneinheit angewachsen ist, wird dann ferner im negativen Sinne gesteigert. Als ein Ergebnis hiervon wird es schwierig, die Feldkrümmung, und im einzelnen die sagittale Feldkrümmung, zu korrigieren.
  • Aus diesem Grunde wird erfindungsgemäß die Apertur-Blende SP in dem Zwischenraum zwischen der dritten und vierten Linseneinheit angeordnet, um die Separation zwischen der zweiten und dritten Linseneinheiten zu reduzieren. Wiederum wird der Zwischenraum zwischen der dritten und vierten Linseneinheit erweitert, um das negative Anwachsen der Petzval-Summe herabzusetzen, die von der Abnahme der Entfernung von der dritten Linseneinheit zu der Abbildungsebene resultiert. Es wird von daher die Feldkrümmung gut korrigiert, wenn die Gesamtlänge des vollständigen Variobjektivs verkürzt wird.
  • Die Erfindung hat die Regeln zur Auslegung für die verschiedenen, wie obig beschriebenen Parameter dargelegt, um gleichzeitig die Anforderungen der Verbesserung der kompakten Form des gesamten Linsensystems und der Korrektur sämtlicher Aberrationen gut zu erfüllen. Um ein besseres optisches Leistungsvermögen sicherzustellen, wird in bevorzugter Weise zumindest eine der nachfolgenden Bedingungen erfüllt:
    • (a1) Ein Luftzwischenraum DT23 für das Tele-Ende zwischen der zweiten Linseneinheit und der dritten Linseneinheit fällt innerhalb des folgenden Bereiches: 0,05 < DT23/fW < 0,2 (8), wobei fW eine Brennweite im Weitwinkel-Ende des gesamten Variobjektivs ist. Wenn der Zwischenraum DT23 geringer als die untere Grenze der Bedingung (1) ist, dann wird es passieren, dass, wenn zur Einstellung oder aus ähnlichen Gründen die zweite Linseneinheit bewegt wird, sie versehentlich mit der dritten Linseneinheit kollidiert. Dies sollte somit vermieden werden. Wenn im entgegengesetzten Fall die obere Grenze überschritten wird, resultiert eine unzulässige Verkürzung der Gesamtlänge der dritten bis fünften Linseneinheiten.
    • (a2) Die erste Linseneinheit weist zumindest eine negative Linse auf, die die folgende Bedingung erfüllt: ν1N < 23 (9) 1,85 < N1N (10), wobei N1N und ν1N jeweils ein Brechungsindex und eine Abbe-Zahl des Materials der negativen Linse der ersten Linseneinheit sind. Unter Verwendung des Glasmaterials, welches die Bedingungen (9) und (10) der negativen Linse der ersten Linseneinheit erfüllt, wird der achromatische Effekt gesteigert, um eine Herabsetzung der Dicke von positiven Linsen, die in der ersten Linseneinheit enthalten sind, zu gestatten. Darüber hinaus wird die Petzval-Summe des gesamten Linsensystems verbessert, in dem sie anwächst wird, und im einzelnen in die negative Richtung auf einen hohen Wert.
    • (a3) Die Brennweite f2 der zweiten Linseneinheit und die Verstärkung der Abbildungsausbildung β5 der fünften Linseneinheit liegen jeweils innerhalb der folgenden Bereiche: 0,2 < |f2/√(fW·fT)| < 0,3 (11) 1,2 < β5 < 2,0 (12), wobei fW und fT jeweils die Brennweiten im Weitwinkel-Ende und im Tele-Ende des gesamten Variobjektivs sind. Die Ungleichungen der Bedingungen (11) und (12) haben hauptsächlich dazu gediente, eine gute Stabilität des optischen Leistungsvermögens mit der Gesamtlänge des gekürzten vollständigen Linsensystems beizubehalten. Von diesen Bedingungen gibt die Bedingung (11) einen geeigneten Bereich für die Brechkraft der zweiten Linseneinheit an, und sie ist hauptsächlich so ausgelegt, ein bestimmtes variables Verstärkungsverhältnis in vorteilhafter Weise derart zu erzielen, dass die Variation der Aberrationen beim Zoomen minimalisiert wird. Wenn die untere Grenze überschritten wird, was bedeutet, dass die Brechkraft der zweiten Linseneinheit zu stark ist, wird auf einfache Weise die kompakte Form des gesamten Linsensystems verbessert, jedoch wächst die Petzval-Summe in negativer Richtung an. Von daher resultiert eine starke Feldkrümmung. Darüber hinaus wird die Variation von Aberrationen mit dem Zoomen größer. Wenn die Brechkraft der zweiten Linseneinheit zu schwach ist, wie es beim Überschreiten der oberen Grenze der Fall ist, wird die Stabilität der Aberrationen über den gesamten Zoom-Bereich besser, jedoch wächst die erforderliche Total-Zoom-Bewegung zum Erzeugen des bestimmten variablen Verstärkungsverhältnisses an, wodurch in ungünstiger Weise die Gesamtlänge des vollständigen Variobjektivs anwächst. Die Ungleichungen der Bedingung (12) geben einen geeigneten Bereich für die Verstärkung der Abbildungsausbildung der fünften Linseneinheit an. Wenn die Verstärkung der Abbildungsausbildung der fünften Linseneinheit geringer als die untere Grenze der Bedingung (12) wird, kann der hinreichende Effekt des Verkürzens der Gesamtlänge des vollständigen Variobjektivs nicht erzielt werden. Wenn im entgegengesetzten Fall die Verstärkung der Abbildungsausbildung höher als die obere Grenze wird, ist dies für die Verkürzung der Gesamtlänge des vollständigen Variobjektivs vorteilhaft, jedoch wächst die Petzval-Summe im negativen Sinne so dermaßen an, so dass die Feldkrümmung schwierig zu korrigieren wird und so dass die telezentrische Natur in unerwünschter Weise zusammenbricht. Das resultierende Variobjektiv ist für Videokameras oder dergleichen kaum anwendbar.
    • (A4) Die Gesamtanzahl der Linsenelemente in dem vollständigen Variobjektiv wird auf 10 oder darunter reduziert, während weiterhin eine gute Stabilität des optischen Leistungsvermögens beibehalten wird. Aus diesem Grund wird zumindest eine asphärische Fläche, in bevorzugter Weise in der dritten Linseneinheit und/oder der vierten Linseneinheit, verwendet. Im einzelnen ist es bevorzugt, dass die dritte Linseneinheit in der Gestalt einer Einzellinse konstruiert ist, die zumindest eine asphärische Oberfläche aufweist, und die vierte Linseneinheit ist mit einer negativen Meniskuslinse und einer positiven Linse, insgesamt aus zwei Linsen, aufgebaut.
    • (A5) Die fünfte Linseneinheit ist in der Gestalt einer einzelnen negativen Linse aufgebaut, deren beide Oberflächen konkav sind. Dieses ist für das Verkürzen der Gesamtlänge des vollständigen Variobjektivs und für die Korrektur von Aberrationen günstig.
  • Als nächstes werden die numerischen Beispiele 5 bis 7 der Erfindung gezeigt. In den Daten für die numerischen Beispiele 5 bis 7 ist, wenn von der Objektseite aus gezählt wird, Ri der Krümmungsradius der i-ten Linsenoberfläche, DI ist, wenn von der Objektseite aus gezählt wird, die i-te axiale Dicke oder Luftseparation, und Ni und νi sind jeweils der Brechungsindex und die Abbe-Zahl des Glases von dem i-ten Linsenelement, wenn von der Objektseite gezählt wird. In den numerischen Beispielen 5 bis 7 zeigen R19 und R20 einen optischen Filter, eine Vorderplatte oder dergleichen, die bei Bedarf weggelassen werden können.
  • In den Koordinaten mit einer X-Achse in axialer Richtung und einer H-Achse in Richtung senkrecht zur optischen Achse, jene Richtung, welche bei sich ausbreitendes Licht als positiv angenommen wird, wird die Formgebung der asphärischen Oberfläche durch die folgende Gleichung ausgedrückt:
    Figure 00310001
    , wobei R der Radius der oskulierenden Ebene bzw. Sphäre und K, B, C, D und E die asphärischen Koeffizienten sind.
  • In den Werten der asphärischen Koeffizienten bedeutet die Bezeichnung „e-0x" 10–x.
  • Für die numerischen Beispiele 5 bis 7 sind die Werte der Faktoren in den obig beschriebenen Bedingungen (7) bis (12) in der Tabelle 2 aufgelistet.
  • Numerisches Beispiel 5:
    Figure 00310002
  • Figure 00320001
  • Asphärische Koeffizienten:
    Figure 00320002
  • Numerisches Beispiel 6:
    Figure 00330001
  • Figure 00330002
  • Asphärische Koeffizienten:
    Figure 00330003
  • Figure 00340001
  • Numerisches Beispiel 7:
    Figure 00340002
  • Figure 00350001
  • Asphärische Koeffizienten:
    Figure 00350002
  • Tabelle 2
    Figure 00360001
  • Durch Festlegen der wie oben beschriebenen Regeln für den Linsenaufbau, wird es bei Anwendung in dem Fall, wo mit der Verwendung der Fokussierung durch das hintere Linsenglied die relative Apertur bzw. Blende und das variable Verstärkungsverhältnis in großem Maße gesteigert wird, gemäß der Erfindung möglich, ein Variobjektiv mit Fokussierung durch das hintere Linsenglied in einer einfachen Form zu erzielen, welches daran gehindert wird, in der Größe und Ausmessung zuzunehmen, während nach wie vor eine gute Stabilität des optischen Leistungsvermögens über den gesamten Zoom-Bereich und über den gesamten Fokusier-Bereich beibehalten werden kann, und welches die bestimmte Rückbrennweite halten kann.

Claims (7)

  1. Variobjektiv, welches in der Reihenfolge von einer Objektseite zu einer Abbildungsseite folgendes aufweist: eine erste Linseneinheit (I; L1) mit einer positiven Brechkraft, eine zweite Linseneinheit (II; L2) mit einer negativen Brechkraft, eine dritte Linseneinheit (III; L3), die eine positive Brechkraft aufweist und die zur Variation der Verstärkung und zur Fokussierung stationär verbleibt, eine vierte Linseneinheit (IV; L4) mit einer positiven Brechkraft, und eine fünfte Linseneinheit (V; L5) mit einer negativen Brechkraft, wobei zumindest die zweite Linseneinheit (II; L2) und die vierte Linseneinheit (IV; L4) bewegbar sind, um die Verstärkung zu variieren, und wobei die vierte Linseneinheit (IV; L4) bewegbar ist, um die Fokussierung zu bewirken, dadurch gekennzeichnet, dass eine Apertur-Blende (SP) in einem Zwischenraum zwischen der dritten Linseneinheit (III; L3) und der vierten Linseneinheit (IV; L4) angeordnet ist.
  2. Variobjektiv gemäß Anspruch 1, welches die folgende Bedingung erfüllt: 0,04 < D23/fW < 0,21 , wobei D23 ein Luftspalt zwischen einer der Abbildungsseite der zweiten Linseneinheit (II) am nächsten liegenden Linsenfläche und einer der Objektseite der dritten Linseneinheit (III) am nächsten liegende Linsenfläche für ein im Unendlichen liegendes Objekt in einem Tele-Ende ist, und wobei fW eine Brennweite in einem Weitwinkel-Ende des Variobjektivs ist.
  3. Variobjektiv gemäß Anspruch 1, welches die folgende Bedingung erfüllt: 0,11 < DS/fW < 0,45, wobei DS eine Entfernung zwischen einer in einem Weitwinkel-Ende der Abbildungsseite der dritten Linseneinheit (III) am nächsten liegende Linsenfläche und der Apertur-Blende (SP) ist, und wobei fW eine Brennweite in dem Weitwinkel-Ende des Variobjektivs ist.
  4. Variobjektiv gemäß Anspruch 1, welches die folgende Bedingung erfüllt: 0,8 < TD/fT < 1,0, wobei TD eine Entfernung von einer der Objektseite am nächsten liegenden Linsenfläche zu einer paraxialen Abbildungsebene ist, und wobei fT eine Brennweite in dem Tele-Ende des Variobjektivs ist.
  5. Variobjektiv gemäß Anspruch 4, welches die folgende Bedingung erfüllt: 0,05 < TD23/fW < 0,2 , wobei TD23 ein Luftspalt zwischen einer der Abbildungsseite der zweiten Linseneinheit (L2) am nächsten liegende Linsenfläche und einer der Objektseite der dritten Linseneinheit (L3) in dem Tele-Ende am nächsten liegende Linsenfläche ist, und wobei fW eine Brennweite in dem Weitwinkel-Ende des Variobjektivs ist.
  6. Variobjektiv gemäß Anspruch 4, wobei die erste Linseneinheit (1) zumindest eine negative Linse aufweist, und wobei die folgenden Bedingungen erfüllt sind: ν1N < 23 1,85 < N1N , wobei N1N und ν1N jeweils ein Brechungsindex und eine Abbe-Zahl eines Materials der negativen Linse sind.
  7. Variobjektiv gemäß Anspruch 4, welches die folgenden Bedingungen erfüllt: 0,2 < |f2/√(fW·fT) < 0,3 1,2 < β5 < 2,5, wobei f2 eine Brennweite der zweiten Linseneinheit (L2) ist, β5 eine Verstärkung der Abbildungsausbildung der fünften Linseneinheit (L5) für ein im Unendlichen liegendes Objekt ist, und fW eine Brennweite in dem Weitwinkel-Ende des Variobjektivs ist.
DE69630833T 1995-05-30 1996-05-29 Varioobjektiv mit Fokussierung durch das hintere Linsenglied Expired - Lifetime DE69630833T2 (de)

Applications Claiming Priority (4)

Application Number Priority Date Filing Date Title
JP13182295 1995-05-30
JP13182295A JP3513265B2 (ja) 1995-05-30 1995-05-30 小型のズームレンズ
JP10336896 1996-03-29
JP8103368A JPH09269452A (ja) 1996-03-29 1996-03-29 リヤーフォーカス式のズームレンズ

Publications (2)

Publication Number Publication Date
DE69630833D1 DE69630833D1 (de) 2004-01-08
DE69630833T2 true DE69630833T2 (de) 2004-09-23

Family

ID=26444016

Family Applications (1)

Application Number Title Priority Date Filing Date
DE69630833T Expired - Lifetime DE69630833T2 (de) 1995-05-30 1996-05-29 Varioobjektiv mit Fokussierung durch das hintere Linsenglied

Country Status (3)

Country Link
US (1) US5818646A (de)
EP (1) EP0745878B1 (de)
DE (1) DE69630833T2 (de)

Families Citing this family (17)

* Cited by examiner, † Cited by third party
Publication number Priority date Publication date Assignee Title
US6606200B1 (en) 1996-09-19 2003-08-12 Canon Kabushiki Kaisha Zoom lens device and optical apparatus provided with the same
US6084722A (en) * 1997-07-02 2000-07-04 Canon Kabushiki Kaisha Zoom lens of rear focus type and image pickup apparatus
JP3773155B2 (ja) * 1998-06-26 2006-05-10 富士写真フイルム株式会社 ズームレンズ
JP2000089112A (ja) * 1998-09-10 2000-03-31 Sharp Corp ズームレンズ及びそれを用いた撮像装置
US6414800B1 (en) 1999-05-10 2002-07-02 Canon Kabushiki Kaisha Variable magnification optical system and camera having the same
US6545819B1 (en) * 1999-08-31 2003-04-08 Canon Kabushiki Kaisha Zoom lens and optical apparatus having the same
US6498687B1 (en) 1999-10-06 2002-12-24 Canon Kabushiki Kaisha Zoom lens and optical apparatus having the same
JP4447704B2 (ja) 1999-10-20 2010-04-07 キヤノン株式会社 変倍光学系及びそれを有するカメラ
JP3391342B2 (ja) 1999-10-29 2003-03-31 ミノルタ株式会社 撮像レンズ装置
US6392816B1 (en) 1999-10-29 2002-05-21 Canon Kabushiki Kaisha Variable magnification optical system and optical apparatus having the same
JP4221670B2 (ja) * 2004-09-30 2009-02-12 ソニー株式会社 ズームレンズ及び撮像装置
JP2006317478A (ja) * 2005-05-10 2006-11-24 Konica Minolta Photo Imaging Inc 変倍光学系
JP4794912B2 (ja) * 2005-06-02 2011-10-19 キヤノン株式会社 ズームレンズ及びそれを有する撮像装置
JP2007322804A (ja) * 2006-06-01 2007-12-13 Sony Corp ズームレンズ及び撮像装置
US20090147374A1 (en) * 2007-12-07 2009-06-11 Shuichi Mogi Rear focusing zoom lens
CN102455491A (zh) * 2010-10-22 2012-05-16 鸿富锦精密工业(深圳)有限公司 变焦镜头系统
US11079575B2 (en) 2016-10-18 2021-08-03 Nikon Corporation Variable magnification optical system, optical device, and method for manufacturing variable magnification optical system

Family Cites Families (15)

* Cited by examiner, † Cited by third party
Publication number Priority date Publication date Assignee Title
JPS594685B2 (ja) * 1975-11-05 1984-01-31 キヤノン株式会社 コンパクトナズ−ムレンズ
US4702567A (en) * 1982-04-24 1987-10-27 Canon Kabushiki Kaisha Zoom lens
JPS6224213A (ja) * 1985-07-25 1987-02-02 Canon Inc ズ−ムレンズ
JP2561637B2 (ja) * 1986-04-21 1996-12-11 キヤノン株式会社 2つの合焦用レンズ群を有したズ−ムレンズ
JP2512992B2 (ja) * 1988-05-31 1996-07-03 キヤノン株式会社 ズ―ムレンズ
US5050972A (en) * 1989-02-08 1991-09-24 Canon Kabushiki Kaisha Zoom lens
US5134524A (en) * 1989-06-09 1992-07-28 Canon Kabushiki Kaisha Rear focus type zoom lens
JPH03136014A (ja) * 1989-10-23 1991-06-10 Nikon Corp 望遠ズームレンズ
JP3147167B2 (ja) * 1990-06-11 2001-03-19 オリンパス光学工業株式会社 ズームレンズ
US5138492A (en) * 1990-07-20 1992-08-11 Canon Kabushiki Kaisha Rear-focus type zoom lens suppressing fluctuation of aberration
DE69223268T2 (de) * 1991-03-29 1998-04-16 Canon Kk Zoomlinse mit Fokussierung durch die hinteren Linsengruppen
JP2832092B2 (ja) * 1991-03-29 1998-12-02 キヤノン株式会社 リヤーフォーカス式のズームレンズ
JP2984469B2 (ja) * 1992-06-30 1999-11-29 キヤノン株式会社 リヤーフォーカス式のズームレンズ
JPH06175024A (ja) * 1992-12-02 1994-06-24 Canon Inc リヤーフォーカス式のズームレンズ
JP3395169B2 (ja) * 1993-05-31 2003-04-07 株式会社ニコン 防振機能を備えたズームレンズ

Also Published As

Publication number Publication date
EP0745878A2 (de) 1996-12-04
US5818646A (en) 1998-10-06
EP0745878A3 (de) 1997-10-29
EP0745878B1 (de) 2003-11-26
DE69630833D1 (de) 2004-01-08

Similar Documents

Publication Publication Date Title
DE69627425T2 (de) Varioobjektiv mit Innenfokussierung
DE69630833T2 (de) Varioobjektiv mit Fokussierung durch das hintere Linsenglied
DE69219248T2 (de) Zoomobjektiv
DE69023815T2 (de) Zoomlinse vom Hinterfokus-Typ.
DE19636152C2 (de) Kompaktes Weitwinkelobjektiv
DE19508278C2 (de) Varioobjektiv
DE2640486C2 (de) Varioobjektiv
DE69627245T2 (de) Varioobjektiv
DE69316510T2 (de) Zoomobjektiv mit Vibrationsdämpfung
DE69306645T2 (de) Zoomlinsenanordnung
DE102018007033B4 (de) Optisches system und bildaufnahmevorrichtung
DE4139431C2 (de) Varioobjektiv
DE4135807C2 (de) Varioobjektiv für eine Kompaktkamera
DE102018116415B4 (de) Zoomobjektiv und bildaufnahmegerät
DE60033989T2 (de) Zoomobjektiv
EP2535752A1 (de) Anamorphotisches Objektiv
DE69302946T2 (de) Weitwinkel-Zoomobjektiv
DE102019105747B4 (de) Zoomobjektiv und bildaufnahmegerät
DE3329046C2 (de)
DE2818637B2 (de) Teleobjektiv mit großer relativer Öffnung
DE69022493T2 (de) Zoomobjektiv.
DE69931992T2 (de) Bilderzeugendes optisches System mit einem optischen Beugungselement
DE69109023T2 (de) Objektiv mit variabler Vergrösserung.
DE4037213C2 (de) Varioobjektiv für eine Kompaktkamera
DE2935805A1 (de) Weitwinkliges zoom-objektiv

Legal Events

Date Code Title Description
8364 No opposition during term of opposition