DE60306019T2 - Tintenzusammensetzung, Tintenstrahlaufzeichnungsverfahren unter Verwendung derselben und damit aufgezeichnetes Substrat - Google Patents

Tintenzusammensetzung, Tintenstrahlaufzeichnungsverfahren unter Verwendung derselben und damit aufgezeichnetes Substrat Download PDF

Info

Publication number
DE60306019T2
DE60306019T2 DE2003606019 DE60306019T DE60306019T2 DE 60306019 T2 DE60306019 T2 DE 60306019T2 DE 2003606019 DE2003606019 DE 2003606019 DE 60306019 T DE60306019 T DE 60306019T DE 60306019 T2 DE60306019 T2 DE 60306019T2
Authority
DE
Germany
Prior art keywords
ink composition
salt
composition according
compound
dye
Prior art date
Legal status (The legal status is an assumption and is not a legal conclusion. Google has not performed a legal analysis and makes no representation as to the accuracy of the status listed.)
Expired - Lifetime
Application number
DE2003606019
Other languages
English (en)
Other versions
DE60306019D1 (de
Inventor
Hiroshi Suwa-shi Fukumoto
Yasuhiro Suwa-shi Oki
Kazuhiko Suwa-shi KITAMURA
Hiroko Suwa-shi Hayashi
Current Assignee (The listed assignees may be inaccurate. Google has not performed a legal analysis and makes no representation or warranty as to the accuracy of the list.)
Seiko Epson Corp
Original Assignee
Seiko Epson Corp
Priority date (The priority date is an assumption and is not a legal conclusion. Google has not performed a legal analysis and makes no representation as to the accuracy of the date listed.)
Filing date
Publication date
Application filed by Seiko Epson Corp filed Critical Seiko Epson Corp
Publication of DE60306019D1 publication Critical patent/DE60306019D1/de
Application granted granted Critical
Publication of DE60306019T2 publication Critical patent/DE60306019T2/de
Anticipated expiration legal-status Critical
Expired - Lifetime legal-status Critical Current

Links

Classifications

    • CCHEMISTRY; METALLURGY
    • C09DYES; PAINTS; POLISHES; NATURAL RESINS; ADHESIVES; COMPOSITIONS NOT OTHERWISE PROVIDED FOR; APPLICATIONS OF MATERIALS NOT OTHERWISE PROVIDED FOR
    • C09DCOATING COMPOSITIONS, e.g. PAINTS, VARNISHES OR LACQUERS; FILLING PASTES; CHEMICAL PAINT OR INK REMOVERS; INKS; CORRECTING FLUIDS; WOODSTAINS; PASTES OR SOLIDS FOR COLOURING OR PRINTING; USE OF MATERIALS THEREFOR
    • C09D11/00Inks
    • C09D11/30Inkjet printing inks
    • C09D11/32Inkjet printing inks characterised by colouring agents
    • CCHEMISTRY; METALLURGY
    • C09DYES; PAINTS; POLISHES; NATURAL RESINS; ADHESIVES; COMPOSITIONS NOT OTHERWISE PROVIDED FOR; APPLICATIONS OF MATERIALS NOT OTHERWISE PROVIDED FOR
    • C09DCOATING COMPOSITIONS, e.g. PAINTS, VARNISHES OR LACQUERS; FILLING PASTES; CHEMICAL PAINT OR INK REMOVERS; INKS; CORRECTING FLUIDS; WOODSTAINS; PASTES OR SOLIDS FOR COLOURING OR PRINTING; USE OF MATERIALS THEREFOR
    • C09D11/00Inks
    • C09D11/30Inkjet printing inks
    • C09D11/32Inkjet printing inks characterised by colouring agents
    • C09D11/328Inkjet printing inks characterised by colouring agents characterised by dyes
    • CCHEMISTRY; METALLURGY
    • C09DYES; PAINTS; POLISHES; NATURAL RESINS; ADHESIVES; COMPOSITIONS NOT OTHERWISE PROVIDED FOR; APPLICATIONS OF MATERIALS NOT OTHERWISE PROVIDED FOR
    • C09DCOATING COMPOSITIONS, e.g. PAINTS, VARNISHES OR LACQUERS; FILLING PASTES; CHEMICAL PAINT OR INK REMOVERS; INKS; CORRECTING FLUIDS; WOODSTAINS; PASTES OR SOLIDS FOR COLOURING OR PRINTING; USE OF MATERIALS THEREFOR
    • C09D11/00Inks
    • C09D11/30Inkjet printing inks
    • C09D11/38Inkjet printing inks characterised by non-macromolecular additives other than solvents, pigments or dyes

Landscapes

  • Chemical & Material Sciences (AREA)
  • Life Sciences & Earth Sciences (AREA)
  • Engineering & Computer Science (AREA)
  • Materials Engineering (AREA)
  • Wood Science & Technology (AREA)
  • Organic Chemistry (AREA)
  • Inks, Pencil-Leads, Or Crayons (AREA)
  • Ink Jet Recording Methods And Recording Media Thereof (AREA)
  • Ink Jet (AREA)

Description

  • Die vorliegende Erfindung bezieht sich auf eine Tintenzusammensetzung, die für die Tintenstrahlaufzeichnung geeignet ist, spezieller bezieht sich die vorliegende Erfindung auf eine Tintenzusammensetzung, die zum Bereitstellen eines bedruckten Materials mit ausgezeichneter Beständigkeit (hauptsächlich Beständigkeit gegen Gas und Licht) und mit Antibronziereigenschaft befähigt ist, und sie bezieht sich auch auf ein Tintenstrahlaufzeichnungsverfahren unter Verwendung der Tintenzusammensetzung und auf ein aufgezeichnetes Material, das durch das Aufzeichnungsverfahren aufgezeichnet ist.
  • Das Tintenstrahlaufzeichnen ist ein Verfahren des Aufzeichnens eines Buchstabens oder Bildes (hierin nachstehend manchmal einfach als "Bild" bezeichnet) auf der Oberfläche eines Aufzeichnungsmediums durch Ausstoßen einer Tintenzusammensetzung als kleine Flüssigkeitströpfchen aus feinen Düsen. Beispiele des Tintenstrahlaufzeichnungssystems, das praktisch verwendet wird, umfassen ein Verfahren des Umwandelns eines elektrischen Signals in ein mechanisches Signal unter Verwendung eines piezoelektrischen Elements und das intermittierende Ausstoßen einer Tintenzusammensetzung, die in dem Düsenkopfteil gelagert ist, um einen Buchstaben oder ein Bild auf der Oberfläche eines Aufzeichnungsmediums aufzuzeichnen, und ein Verfahren des raschen Erwärmens einer Tintenzusammensetzung, die in dem Düsenkopfteil gelagert ist, in einem Teil sehr nahe zu dem Ausstoßteil, um Blasen zu erzeugen und die Tintenzusammensetzung intermittierend unter Verwendung der Volumenausdehnung aufgrund von Blasen auszustoßen, um einen Buchstaben oder ein Bild auf der Oberfläche eines Aufzeichnungsmediums aufzuzeichnen.
  • Die Tintenzusammensetzung für die Tintenstrahlaufzeichnung wird gewöhnlich im Hinblick auf die Sicherheit und auf die Druckeigenschaft erhalten durch Auflösen eines Farbstoffs von verschiedenen Typen in Wasser, einem organischen Lösemittel oder einer gemischten Lösung davon, und verschiedene für die Tintenzusammensetzung erforderliche Eigenschaften sind strenger im Vergleich mit der Tintenzusammensetzung für Schreibgeräte, wie Füllhalter und Kugelschreiber.
  • In den letzten Jahren wird insbesondere ein Tintenstrahldrucker für die Herstellung von gedruckten Materialien für die Werbung und bei der Bildung eines Farbbildes unter Verwendung einer Mehrzahl von Tintenzusammensetzungen verwendet, und die Anforderungen sind höher geworden.
  • Der Grund hierfür ist, dass, falls in dem unter Verwendung einer Mehrzahl von Tintenzusammensetzungen gebildeten Farbbild nur eine vorhandene Farbe einen ungenügenden Farbton hat, der Farbton das Farbgleichgewicht des Bildes als Ganzes beeinträchtigt und ein Bild von hoher Qualität nicht erhalten werden kann.
  • Beim Durchführen des Druckens unter Verwendung einer Tintenzusammensetzung (insbesondere, wenn ein Farbstoff auf Metallphthalocyaningrundlage als färbendes Material verwendet wird) tritt manchmal ein Phänomen auf, dass der Teil des Hochleistungsdruckens, wie festes Drucken (vollständig fest bei 100 % Leistung) rötlich aussieht (hierin nachstehend als "Bronzierphänomen" bezeichnet). Dies führt zu einem ungleichmäßigen Farbgleichgewicht des gesamten Bildes und erniedrigt die Bildqualität, und in dieser Hinsicht sind Verbesserungen erwünscht.
  • Weiterhin wird in den letzten Jahren in vielen Fällen ein Glanzpapier als Aufzeichnungsmedium mit einem Anfühlen nahe dem fotografischen Anfühlen verwendet, aufgrund eines durch eine spezielle Farbe hervorgerufenen Bronzierphänomens schwankt jedoch das Glanzanfühlen auf der bedruckten Materialoberfläche und verschlechtert das Anfühlen des Bildes beträchtlich. Daher sind auch unter dem Gesichtspunkt der Aufrechterhaltung des Glanzanfühlens des Bildes als Ganzem Verbesserungen sehr erwünscht.
  • Das unter Verwendung der vorstehend beschriebenen Tintenzusammensetzung hergestellte bedruckte Material wird nicht nur in geschlossenen Räumen sondern manchmal auch im Freien verwendet und ist daher verschiedenem Licht (einschließlich Sonnenlicht) und Gasen im Freien (z. B. Ozon, Stickstoffoxid, Schwefeloxid) ausgesetzt. Um mit diesem Problem fertig zu werden, ist die Entwicklung einer Tintenzusammensetzung mit ausgezeichneter Beständigkeit gegen Licht und Gas durchgeführt worden, aber das Bronzierphänomen tritt insbesondere in dem Fall der Verwendung einer Cyantintenzu sammensetzung auf, die in der Gasbeständigkeit verbessert ist unter dem Aspekt des Farbstoffs selbst, und in dieser Hinsicht sind Verbesserungen erwünscht.
  • In dem Fall, wo ein Farbstoff mit geringer Löslichkeit in Wasser in der Tintenzusammensetzung für die Tintenstrahlaufzeichnung verwendet wird, ist es bekannt, dass ein sogenanntes Bronzierphänomen auftritt, wenn ein Drucken auf einem Aufzeichnungsmedium mit starker Acidität durchgeführt wird.
  • Um dieses Problem zu lösen, wird gewöhnlich ein Alkoholamin als den pH aufrecht erhaltendes Mittel verwendet, oder das Eindringen in das Papier wird intensiviert. Es wird angenommen, dass das Bronzierphänomen grundsätzlich aufgrund der Kristallisation eines Farbstoffs auftritt, die vom Trocknen der Tintenzusammensetzung auf der Papieroberfläche herrührt, und das vorstehend beschriebene Verfahren ist wirksam unter dem Gesichtspunkt der Erhöhung der Löslichkeit, um die Kristallisation zu verhindern oder das Eindringen der Tintenzusammensetzung in das Papier zu erreichen, bevor der Farbstoff kristallisiert. In dem ersteren Verfahren erhöht sich jedoch der pH in die Umgebung von 11 durch die Zugabe von Alkoholaminen, und dies kann Korrosion von Düsen des Druckers hervorrufen oder den menschlichen Körper nachteilig beeinflussen. Wenn in dem letzteren Verfahren das Eindringen übermäßig intensiviert wird, treten ein sogenanntes Ausblutphänomen und eine Verschlechterung in anderen Druckqualitäten auf. Daher sind diese Verfahren nicht perfekt.
  • Zum Lösen dieser Probleme ist eine Tintenzusammensetzung, der 2-Oxooxalidon oder 1,3-Bis(β-hydroxyethyl)harnstoff zugesetzt ist, als Alternative vorgeschlagen worden (vgl. z. B. die nachstehend genannte Patentveröffentlichung 1). Es ist auch eine Tintenzusammensetzung, der eine basische Aminosäure zugesetzt wird, als Versuch zum Lösen dieser Probleme vorgeschlagen worden (vgl. z. B. die nachstehend genannte Patentveröffentlichung 2).
  • Es wurde jedoch bedauerlicherweise aus den Ergebnissen verschiedener Untersuchungen und Studien durch die Erfinder der vorliegenden Erfindung festgestellt, dass selbst wenn diese Techniken verwendet werden, keine Wirkung bezüglich der Eliminierung oder Verringerung eines Bronzierphänomens in dem Fall einer Tintenzusammensetzung erhalten wird, die einen Farbstoff vom Cyantyp verwendet, welcher ausgezeichnete Be ständigkeit des bedruckten Materials (hauptsächlich Beständigkeit gegen Licht und Gas) sicherstellt.
  • Patentveröffentlichung 1:
    • JP-A-6-25575 (der Ausdruck "JP-A", wie hierin verwendet, bedeutet eine "ungeprüfte veröffentlichte japanische Patentanmeldung").
  • Patentveröffentlichung 2:
    • JP-A-7-228810
  • US-A-6,231,653 bezieht sich auf eine Tintenzusammensetzung, umfassend Wasser, einen Zucker, einen Farbstoff und eine aromatische Verbindung mit einer Carboxylgruppe und/oder Salz davon. Die aromatische Verbindung kann ein substituiertes Naphthalin sein, das mit einer oder mehreren Carboxylgruppen und weiter mit einem Atom oder einer Gruppe, das bzw. die von der Carboxylgruppe verschieden ist, substituiert sein kann.
  • EP-A-1146097 beschreibt eine Tintenzusammensetzung auf Wasserbasis für ein Schreibgerät, das wenigstens ein Färbemittel, Wasser und ein flüssiges Medium enthält, worin die Tintenzusammensetzung reduziertes Maltooligosaccharid und/oder reduziertes Isomaltooligosaccharid umfasst.
  • US-A-6,358,304 lehrt eine rheologiemodifizierte Tinte, die ein Tintenvehikel, ein organisches Pigment, das keinen Metallkomplex enthält, und ein fließmodifizierendes Mittel umfasst, das entweder ein Metallsalz einer aromatischen Carbonsäure oder ein Metallsalz einer aromatischen Hydroxycarbonsäure ist.
  • Demgemäß war es die Aufgabe der vorliegenden Erfindung, eine Tintenzusammensetzung mit ausgezeichneter Beständigkeit (hauptsächlich Beständigkeit gegen Gas und Licht) von bedrucktem Material, insbesondere eine Tintenzusammensetzung, die bezüglich der Gasbeständigkeit (Beständigkeit gegen Ozon und Stickstoffoxid) und bezüglich des Bronzierphänomens verbesserter ist, eine Tintenzusammensetzung, die auch bezüglich der Verstopfungsbeständigkeit verbessert ist, bereitzustellen, ferner ein Tintenstrahlaufzeichnungsverfahren unter Verwendung der Tintenzusammensetzung bereitzu stellen und ein aufgezeichnetes Material bereitzustellen, welches durch das Tintenstrahlaufzeichnungsverfahren aufgezeichnet ist.
  • Andere Aufgaben und Wirkungen der Erfindung werden aus der folgenden Beschreibung ersichtlich.
  • Es wurde festgestellt, dass, wenn eine aromatische Verbindung mit einer Carboxylgruppe und/oder ein Salz davon zu einer einen Farbstoff vom Cyantyp enthaltenden Tintenzusammensetzung zugesetzt wird, die Beständigkeit von bedrucktem Material und das Bronzierphänomen verbessert werden; die Verbesserung für einen speziellen Cyanfarbstoff bemerkenswerter ist; wenn das zugesetzte Salz der Verbindung mit einer Carboxylgruppe ein Lithiumsalz ist, die bemerkenswerte Verbesserung nicht nur bezüglich des Bronzierphänomens sondern auch bezüglich der Verstopfungsbeständigkeit erreicht wird; und wenn unter den Verbindungen mit einer Carboxylgruppe und/oder Salzen davon eine Verbindung mit einer -OR-Gruppe (worin R eine C1-C6-Alkylgruppe ist) und/oder ein Salz davon verwendet wird, eine ausgezeichnete Wirkung bezüglich der Beständigkeit gegen Stickstoffoxid erhalten wird.
  • Das heißt, die vorstehend beschriebene Aufgabe der Erfindung ist gelöst worden durch Bereitstellen der folgenden Tintenzusammensetzungen, der Tintenstrahlaufzeichnungsverfahren und des aufgezeichneten Materials.
    • 1. Eine Tintenzusammensetzung, umfassend wenigstens: Wasser, einen Cyanfarbstoff und eine Verbindung mit einem Naphthalingerüst und/oder ein Salz davon und mit einer Carboxylgruppe und einer -OR-Gruppe (worin R eine C1-C6-Alkylgruppe ist) in dem Naphthalingerüst und/oder ein Salz davon.
    • 2. Eine Tintenzusammensetzung, umfassend wenigstens: Wasser, einen Cyanfarbstoff und eine Verbindung mit einem Naphthalingerüst und/oder ein Salz davon und mit einer Carboxylgruppe in der 2-Stellung und/oder ein Salz davon.
    • 3. Die Tintenzusammensetzung gemäß den vorstehenden Punkten 1 oder 2, worin der Cyanfarbstoff ein Metallphthalocyaninfarbstoff ist.
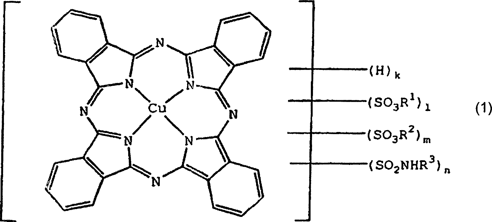
    • 4. Die Tintenzusammensetzung gemäß dem vorstehenden Punkt 3, worin der Metallphthalocyaninfarbstoff ein Kupferphthalocyaninfarbstoff ist, wiedergegeben durch die folgende Formel (1):
      Figure 00060001
      worin R1 H, ein Alkalimetall oder -NH4 bedeutet, R2 ein Alkalimetall oder -NH4 bedeutet, R3 H, eine Alkylgruppe, die substituiert sein kann, oder eine Arylgruppe, die substituiert sein kann, bedeutet, k, l und n jeweils eine ganze Zahl von 0 bis 3 bedeuten, und m eine ganze Zahl von 1 bis 4 bedeutet, mit der Maßgabe, dass die Summe von k, l, m und n 4 ist.
    • 5. Die Tintenzusammensetzung gemäß dem vorstehenden Punkt 4, worin der Kupferphthalocyaninfarbstoff wenigstens einer aus der Gruppe von C.I. Direct Blue 86, 87 und 199 ist.
    • 6. Die Tintenzusammensetzung gemäß einem der vorstehenden Punkte 3 bis 5, worin der Metallphthalocyaninfarbstoff ein Farbstoff mit einem Absorptionsspektrum im sichtbaren Bereich (400 bis 800 nm) mit einer maximalen Absorptionsspitze bei einer Wellenlänge von 590 bis 650 nm ist.
    • 7. Die Tintenzusammensetzung gemäß einem der vorstehenden Punkte 3 bis 5, worin der Metallphthalocyaninfarbstoff ein Farbstoff mit einem Absorptionsspektrum im sichtbaren Bereich (400 bis 800 nm) mit einer maximalen Absorptionsspitze bei einer Wellenlänge von 590 bis 615 nm ist.
    • 8. Die Tintenzusammensetzung gemäß einem der vorstehenden Punkte 3 bis 5, worin der Metallphthalocyaninfarbstoff ein Farbstoff mit einem Absorptionsspektrum im sichtbaren Bereich (400 bis 800 nm) mit einer maximalen Absorptionsspitze bei einer Wellenlänge von 590 bis 605 nm ist.
    • 9. Die Tintenzusammensetzung gemäß den vorstehenden Punkten 1 oder 2, worin die Verbindung mit einem Naphthalingerüst und/oder ein Salz davon eine Verbindung mit einer Carboxylgruppe und einer -OR-Gruppe (worin R eine C1-C6-Alkylgruppe ist) in dem Naphthalingerüst und/oder ein Salz davon ist.
    • 10 Die Tintenzusammensetzung gemäß dem vorstehenden Punkt 1, worin die Verbindung mit einem Naphthalingerüst und/oder ein Salz davon eine Verbindung mit einer Carboxylgruppe in der 2-Stellung und/oder ein Salz davon ist.
    • 11. Die Tintenzusammensetzung gemäß den vorstehenden Punkten 2 oder 10, worin die Verbindung mit einer Carboxylgruppe in der 2-Stellung und mit einem Naphthalingerüst und/oder ein Salz davon wenigstens ein Glied ist, ausgewählt aus der Gruppe bestehend aus 1-Hydroxy-2-naphthoesäure, 2-Naphthoesäure, 3-Hydroxy-2-naphthoesäure, 6-Hydroxy-2-naphthoesäure, 3-Methoxy-2-naphthoesäure, 6-Methoxy-2-naphthoesäure, 6-Ethoxy-2-naphthoesäure, 6-Propoxy-2-naphthoesäure und ihren Salzen.
    • 12. Die Tintenzusammensetzung gemäß einem der vorstehenden Punkte 1, 2 und 9 bis 11, worin das Salz ein Lithiumsalz ist.
    • 13. Die Tintenzusammensetzung gemäß einem der vorstehenden Punkte 1 bis 12, welche die aromatische Verbindung mit einer Carboxylgruppe und/oder ein Salz davon in einer Menge von 0,1 bis 10 Gew.-%, bezogen auf die Gesamtmenge der Tintenzusammensetzung, umfasst.
    • 14. Die Tintenzusammensetzung gemäß einem der vorstehenden Punkte 1 bis 13, worin das Verhältnis des Gehalts des Cyanfarbstoffs und der aromatischen Verbindung mit einer Carboxylgruppe und/oder ein Salz davon 1 : 0,5 bis 1 : 10 beträgt.
    • 15. Die Tintenzusammensetzung gemäß einem der vorstehenden Punkte 1 bis 14, die weiter einen nicht ionischen oberflächenaktiven Stoff umfasst.
    • 16. Die Tintenzusammensetzung gemäß dem vorstehenden Punkt 15, worin der nicht ionische oberflächenaktive Stoff ein oberflächenaktiver Stoff vom Acetylenglycoltyp ist.
    • 17. Die Tintenzusammensetzung gemäß den vorstehenden Punkten 15 oder 16, welche den nicht ionischen oberflächenaktiven Stoff in einer Menge von 0,1 bis 5 Gew.-%, bezogen auf die Gesamtmenge der Tintenzusammensetzung, umfasst.
    • 18. Die Tintenzusammensetzung gemäß einem der vorstehenden Punkte 1 bis 17, die weiter einen Eindringungsbeschleuniger umfasst.
    • 19. Die Tintenzusammensetzung gemäß dem vorstehenden Punkt 18, worin der Eindringungsbeschleuniger ein Glycolether ist.
    • 20. Die Tintenzusammensetzung gemäß einem der vorstehenden Punkte 1 bis 19, worin der pH der Tintenzusammensetzung bei 20°C 8,0 bis 10,5 beträgt.
    • 21. Ein Tintenstrahlaufzeichnungsverfahren zum Durchführen der Aufzeichnung durch Ausstoßen eines Flüssigkeitströpfchens einer Tintenzusammensetzung und Anhaften des Flüssigkeitströpfchens an ein Aufzeichnungsmedium, worin die Tintenzusammensetzung eine Tintenzusammensetzung gemäß einem der vorstehenden Punkte 1 bis 20 ist.
    • 22. Das Tintenstrahlaufzeichnungsverfahren gemäß dem vorstehenden Punkt 21, worin das ausgestoßene Flüssigkeitströpfchen durch mechanische Deformation eines piezoelektrischen Elements gebildet wird.
    • 23. Aufgezeichnetes Material, welches unter Verwendung einer Tintenzusammensetzung gemäß einem der vorstehenden Punkte 1 bis 20 aufgezeichnet ist.
    • 24. Aufgezeichnetes Material, welches durch ein Aufzeichnungsverfahren gemäß den vorstehenden Punkten 21 oder 22 aufgezeichnet ist.
  • 1 ist eine Kurve, welche spektrale Charakteristiken (Absorptionswellenlänge) des Farbstoffs (C.I. Direct Blue 199) (*1) zeigt, der in Beispielen und Vergleichsbeispielen verwendet wird.
  • 2 ist eine Kurve, welche spektrale Charakteristiken (Absorptionswellenlänge) des Farbstoffs (C.I. Direct Blue 199) (*2) zeigt, der in Beispielen und Vergleichsbeispielen verwendet wird.
  • Die Tintenzusammensetzung der vorliegenden Erfindung umfasst in einem wässrigen Medium, umfassend Wasser oder Wasser und ein wasserlösliches organisches Lösemittel, wenigstens einen Farbstoff vom Cyantyp und eine aromatische Verbindung mit einer Carboxylgruppe und/oder ein Salz davon und enthält, falls erwünscht, ein Feuchthaltemittel, ein Viskositätseinstellungsmittel, ein pH-Einstellungsmittel und andere Zusätze.
  • Der Farbstoff vom Cyantyp zur Verwendung in der Tintenzusammensetzung der vorliegenden Erfindung unterliegt keiner besonderen Beschränkung, die Verbesserungswirkung ist jedoch höher mit einem Farbstoff auf Metallphthalocyaninbasis und noch höher mit einem Farbstoff auf Kupferphthalocyaninbasis unter Farbstoffen auf Metallphthalocyaninbasis.
  • Beispiele des Farbstoffs auf Kupferphthalocyaninbasis umfassen einen durch die folgende Formel (1) wiedergegebenen Farbstoff:
    Figure 00100001
    worin R1 H, ein Alkalimetall oder -NH4 bedeutet, R2 ein Alkalimetall oder -NH4 bedeutet, R3 H, eine Alkylgruppe, die substituiert sein kann, oder eine Arylgruppe, die substituiert sein kann, bedeutet, k, l und n jeweils eine ganze Zahl von 0 bis 3 bedeuten, und m eine ganze Zahl von 1 bis 4 bedeutet, mit der Maßgabe, dass die Summe von k, l, m und n 4 ist.
  • Spezielle Beispiele davon umfassen C.I. Direct Blue 86, 87 und 199.
  • Diese Farbstoffe können einzeln oder in Kombination verwendet werden, und ein von den vorstehend beschriebenen Farbstoffen verschiedener Farbstoff kann ebenfalls in Kombination verwendet werden.
  • Wenn festes Drucken auf einem Tintenstrahlspezialaufzeichnungsmedium (insbesondere ein Aufzeichnungsmedium vom Glanztyp) oder Ähnlichem unter Verwendung einer einen Farbstoff vom Cyantyp enthaltenden Tintenzusammensetzung durchgeführt wird, tritt im Allgemeinen manchmal ein Bronzierphänomen auf. Unter den Farbstoffen vom Cyantyp neigen Farbstoffe vom Cyantyp mit ausgezeichneter Beständigkeit sowohl gegen Licht als auch Gas dazu, ein stärkeres Bronzierphänomen zum Zeitpunkt der Durchführung des festen Druckens auf ein Tintenstrahlspezialaufzeichnungsmedium (insbesondere ein Aufzeichnungsmedium vom Glanztyp) oder Ähnliches unter Verwendung einer den Farbstoff enthaltenden Tintenzusammensetzung zu ergeben.
  • In einem Tintenstrahlverfahren unter Verwendung eines solchen färbenden Materials zum Herstellen von aufgezeichnetem Material, das frei von einem Bronzierphänomen ist, eine hohe Bildqualität hat und weiterhin befähigt ist, eine Verfärbung in einer Atmosphäre von oxidierendem Gas zu verhindern, z. B. in Anwesenheit von Ozon, einem Stickstoffoxid oder einem Schwefeloxid, das in der Luft vorhanden ist, kann dies durch Einarbeiten einer aromatischen Verbindung mit einer Carboxylgruppe erreicht werden.
  • Spezielle Beispiele des Farbstoffs vom Cyantyp umfassen C. I. Direct Blue 86, 87 und 199.
  • Der Gehalt des Farbstoffs beträgt bevorzugt 0,1 bis 10 Gew.-%, bevorzugter 0,5 bis 5 Gew.-%, bezogen auf die Gesamtmenge der Tintenzusammensetzung, obwohl dies entsprechend der Art des Farbstoffs, der Art der Lösemittelkomponente oder Ähnlichem bestimmt wird. Bei einem Gehalt von 0,1 Gew.-% oder mehr kann die Farbbildung und Bilddichte auf einem Aufzeichnungsmedium sichergestellt werden, und bei einem Gehalt von 10 Gew.-% oder weniger kann die Viskosität der Tintenzusammensetzung in einfacher Weise eingestellt werden, und die Eigenschaften wie Ausstoßverlässlichkeit und Beständigkeit gegen Verstopfen, können leicht sichergestellt werden.
  • Die Tintenzusammensetzung der vorliegenden Erfindung umfasst wenigstens eine aromatische Verbindung mit einer Carboxylgruppe oder ein Salz davon, um so ein Bronzierphänomen abzuschwächen oder zu eliminieren, das beim festen Drucken unter Verwendung der vorstehend beschriebenen Tintenzusammensetzung auftritt, die einen Farbstoff vom Cyantyp enthält, und gleichzeitig die Beständigkeit des bedruckten Materials zu verbessern. Wenn die eingearbeitete aromatische Verbindung mit einer Carboxylgruppe eine aromatische Verbindung mit einer -OR-Gruppe ist (worin R eine C1-C6-Alkylgruppe ist), wird eine bemerkenswert ausgezeichnete Wirkung nicht nur bezüglich der Verbesserung des Bronzierphänomens sondern auch bezüglich der Beständigkeit gegen Stickstoffoxid erhalten.
  • Das heißt, in der vorliegenden Erfindung kann, solange die Tintenzusammensetzung Wasser, einen Farbstoff vom Cyantyp und wenigstens eine aromatische Verbindung mit einer Carboxylgruppe oder ein Salz davon umfasst, das Bronzierphänomen, das beim festen Drucken auftritt, abgeschwächt oder eliminiert werden, selbst wenn es eine Tintenzusammensetzung für eine von cyanfarben verschiedene Farbe ist, wie eine schwarze Tintenzusammensetzung, und selbstverständlich auch für eine cyanfarbene Tinten zusammensetzung. Zum Herstellen dieser verschiedenen Tintenzusammensetzungen kann ein anderer herkömmlicher bekannter Farbstoff in Kombination verwendet werden.
  • Die aromatische Verbindung mit einer Carboxylgruppe oder einem Salz davon zur Verwendung in der vorliegenden Erfindung kann jede Verbindung sein, solange sie eine aromatische Verbindung mit wenigstens einer Carboxylgruppe in der Molekülstruktur oder ein Salz davon ist, und ist eine Verbindung mit wenigstens einer Carboxylgruppe an einem Naphthalingerüst oder ein Salz davon oder eine Verbindung mit einer Carboxylgruppe in der 2-Stellung und mit einem Naphthalingerüst oder einem Salz, und ein Alkalimetallsalz einer Verbindung mit einer Carboxylgruppe in der 2-Stellung und mit einem Naphthalingerüst ist bevorzugt. Unter den Alkalimetallsalzen einer Verbindung mit einer Carboxylgruppe an der 2-Stellung und mit einem Naphthalingerüst ist ein Lithiumsalz bevorzugt nicht nur im Hinblick auf die Verbesserung der Antibronziereigenschaft, sondern auch im Hinblick auf die Beständigkeit gegen Verstopfen.
  • Spezielle Beispiele der aromatischen Verbindung mit einer Carboxylgruppe oder einem Salz davon umfassen 1-Naphthoesäure, 2-Naphthoesäure, 2-Hydroxy-1-naphthoesäure, 1-Hydroxy-2-naphthoesäure, 3-Hydroxy-2-naphthoesäure, 6-Hydroxy-2-naphthoesäure, 4-Hydroxybenzoesäure, 2,6-Naphthalindicarbonsäure, 3-Methoxy-2-naphthoesäure, 3-Ethoxy-2-naphthoesäure, 3-Propoxy-2-naphthoesäure, 6-Methoxy-2-naphthoesäure, 6-Ethoxy-2-naphthoesäure, 6-Propoxy-2-naphthoesäure und ihre Salze (insbesondere Lithiumsalze).
  • Das Salz der aromatischen Verbindung mit einer Carboxylgruppe kann in Form eines Salzes zugesetzt und in die Tinte eingearbeitet werden, oder die aromatische Verbindung mit einer Carboxylgruppe und eine Base können getrennt zugesetzt werden, um in die Tinte eingearbeitet zu werden.
  • Der Gehalt der aromatischen Verbindung mit einer Carboxylgruppe und/oder ein Salz davon beträgt bevorzugt 0,1 bis 10 Gew.-%, bevorzugter 0,5 bis 5 Gew.-%, bezogen auf das Gesamtgewicht der Tintenzusammensetzung, obwohl dies entsprechend der Art der aromatischen Verbindung mit einer Carboxylgruppe und/oder eines Salzes davon, der Art des Farbstoffs, der Art der Lösemittelkomponente oder Ähnlichem bestimmt wird.
  • In der Tintenzusammensetzung der vorliegenden Erfindung beträgt das Verhältnis des Gehalts (bezogen auf das Gewicht) des Farbstoffs vom Cyantyp mit Bezug auf die aromatische Verbindung mit einer Carboxylgruppe und/oder einem Salz davon bevorzugt 1 : 0,5 bis 1 : 10, bevorzugter 1 : 1 bis 1 : 6. Bei einem Verhältnis der aromatischen Verbindung und/oder einem Salz davon von nicht weniger als 1 : 0,5 kann eine ausreichend hohe Wirkung bezüglich der Verbesserung des Bronzierphänomens erhalten werden, und bei einem Verhältnis der aromatischen Verbindung mit einer Carboxylgruppe und/oder einem Salz davon von nicht höher als 1 : 10 kann eine Verlässlichkeit gegen Verstopfen und Ähnliches leicht sichergestellt werden.
  • Um eine vorbestimmte Menge des Farbstoffs und eine vorbestimmte Menge der aromatischen Verbindung mit einer Carboxylgruppe und/oder einem Salz davon in stabiler Weise aufzulösen, beträgt der pH (20°C) der Tintenzusammensetzung bevorzugt 8,0 oder mehr. Wenn ebenfalls die Materialbeständigkeit gegen verschiedene Bestandteile, mit welchen die Tintenzusammensetzung in Kontakt kommt, in Betracht gezogen wird, beträgt der pH der Tintenzusammensetzung bevorzugt 10,5 oder weniger. Um erfolgreicher sowohl die stabile Auflösung als auch die Beständigkeit des Materials zu erreichen, beträgt der pH der Tintenzusammensetzung bevorzugter 8,5 bis 10,0.
  • Die Tintenzusammensetzung der vorliegenden Erfindung kann ferner ein Feuchthaltemittel enthalten, ausgewählt aus wasserlöslichen organischen Lösemitteln und/oder Sacchariden mit einem Dampfdruck, der kleiner ist als derjenige von reinem Wasser.
  • Durch den Gehalt eines Feuchthaltemittels kann die Verdampfung von Wasser unterdrückt werden, und die Tinte kann Feuchtigkeit in dem Tintenstrahlaufzeichnungssystem zurückhalten. Wenn das Feuchthaltemittel ein wasserlösliches organisches Lösemittel ist, kann die Ausstoßstabilität verbessert werden, oder die Viskosität kann in einfacher Weise variiert werden, ohne eine Änderung der Tinteneigenschaften hervorzurufen.
  • Das wasserlösliche organische Lösemittel bedeutet ein Medium mit einer Wirkung zum Auflösen eines zu lösenden Bestandteils und wird ausgewählt aus wasserlöslichen organischen Lösemitteln mit einem Dampfdruck, der kleiner ist als derjenige von Wasser. Spezielle Beispiele davon umfassen mehrwertige Alkohole, wie Ethylenglycol, Propylenglycol, Butandiol, Pentandiol, 2-Buten-1,4-diol, 2-Methyl-2,4-pentandiol, Glycerin, 1,2,6-Hexantriol, Diethylenglycol, Triethylenglycol und Dipropylenglycol; Ketone, wie Acetonylaceton; Ester, wie γ-Butyrolacton und Triethylphosphat; Furfurylalkohol, Tetrafurfurylalkohol und Thiodiglycol.
  • Bevorzugte Beispiele des Saccharids umfassen Maltit, Sorbit, Glyconolacton und Maltose.
  • Das Feuchthaltemittel wird bevorzugt in einer Menge von 5 bis 50 Gew.-%, bevorzugter von 5 bis 30 Gew.-%, noch bevorzugter von 5 bis 20 Gew.-%, bezogen auf die Gesamtmenge der Tintenzusammensetzung, zugesetzt. Bei einer Menge von 5 Gew.-% oder mehr kann die Feuchtigkeitsrückhaltefähigkeit erhalten werden, und bei einer Menge von 50 Gew.-% oder weniger kann die Viskosität in einfacher Weise auf eine Viskosität zur Verwendung in der Tintenstrahlaufzeichnung eingestellt werden.
  • Die Tintenzusammensetzung der vorliegenden Erfindung enthält bevorzugt ein Stickstoff enthaltendes organisches Lösemittel als Lösemittel. Beispiele des Stickstoff enthaltenden organischen Lösemittels umfassen 1,3-Dimethyl-2-imidazolidinon, 2-Pyrrolidon, N-Methyl-2-pyrrolidon und ε-Caprolactam. Unter diesen ist 2-Pyrrolidon bevorzugt. Diese Stickstoff enthaltenden organischen Lösemittel können einzeln oder in Kombination von zwei oder mehreren davon verwendet werden.
  • Der Gehalt des Stickstoff enthaltenden organischen Lösemittels beträgt bevorzugt 0,5 bis 10 Gew.-%, bevorzugter 1 bis 5 Gew.-%. Bei einem Gehalt von 0,5 Gew.-% oder mehr ergibt seine Zugabe eine Verbesserung der Löslichkeit des färbenden Materials zur Verwendung in der vorliegenden Erfindung, und bei einem Gehalt von 10 Gew.-% oder weniger wird die Materialbeständigkeit gegen verschiedene Bestandteile, mit welchen die Tintenzusammensetzung in Kontakt kommt, nicht verschlechtert.
  • Die Tintenzusammensetzung der vorliegenden Erfindung enthält bevorzugt einen nicht ionischen oberflächenaktiven Stoff als einen Zusatz, der zum Erhalt von Swift-Fixieren (Eindringbarkeit) von Tinte und gleichzeitig zum Aufrechterhalten der Rundheit eines Punktes wirksam ist.
  • Beispiele des nicht ionischen oberflächenaktiven Stoffs zur Verwendung in der vorliegenden Erfindung umfassen oberflächenaktive Stoffe auf Acetylenglycolgrundlage. Spezielle Beispiele des oberflächenaktiven Stoffs auf Acetylenglycolgrundlage umfassen SURFYNOL 465, SURFYNOL 104 und OLFIN STG (Handelsbezeichnungen, sämtliche hergestellt von Nisshin Chemical Industry Co.). Die Menge des zugesetzten nicht ionischen Stoffs beträgt bevorzugt 0,1 bis 5 Gew.-%, bevorzugter 0,5 bis 2 Gew.-%. Mit einer zugesetzten Menge von 0,1 Gew.-% oder mehr kann eine ausreichend hohe Eindringbarkeit erhalten werden, und mit einer zugesetzten Menge von 5 Gew.-% oder weniger kann leicht ein Ausbluten des Bildes verhindert werden.
  • Zusätzlich zu dem nicht ionischen oberflächenaktiven Stoff wird, wenn ein Glycolether als Eindringungsbeschleuniger verwendet wird, die Eindringbarkeit verstärkter, und beim Durchführen des Farbdruckens wird das Ausbluten an der Grenze zwischen benachbarten Farbtinten verringert, und ein sehr scharfes Bild kann erhalten werden.
  • Beispiele des Glycolethers zur Verwendung in der vorliegenden Erfindung umfassen Ethylenglycolmonobutylether, Diethylenglycolmonobutylether, Triethylenglycolmonoethylether, Propylenglycolmonomethylether, Dipropylenglycolmonoethylether, Propylenglycolmonobutylether, Dipropylenglycolmonobutylether und Triethylenglycolmonobutylether. Die Menge des zugesetzten Glycolethers beträgt bevorzugt 3 bis 30 Gew.-%, bevorzugter 5 bis 15 Gew.-%. Wenn die zugesetzte Menge kleiner ist als 3 Gew.-%, kann die Wirkung des Verhinderns des Ausblutens nicht erhalten werden, während, wenn sie 30 Gew.-% übersteigt, tritt nicht nur Ausbluten des Bildes, sondern auch ölige Abtrennung auf, und ein Auflösungshilfsmittel, wie Glycolether, ist erforderlich; als Ergebnis wird die Viskosität der Tinte erhöht, und es wird schwierig, sie aus einem Tintenstrahlkopf auszustoßen.
  • Falls erwünscht, kann die Tintenzusammensetzung der vorliegenden Erfindung ferner ein pH-Einstellungsmittel, wie Triethanolamin und Alkalimetallhydroxid, ein Hydrotropiemittel, wie Harnstoff und Derivate davon, ein wasserlösliches Polymer, wie Natriumalginat, ein wasserlösliches Harz, einen Fluor enthaltenden oberflächenaktiven Stoff, ein antifungisches Mittel, einen Rosthemmer und Ähnliches enthalten.
  • Die Tintenzusammensetzung der vorliegenden Erfindung kann z. B. durch ein Verfahren hergestellt werden, wo die jeweiligen Komponenten gründlich vermischt und aufgelöst werden, und die erhaltene Lösung unter Druck durch ein Membranfilter mit einem Porendurchmesser von 0,8 μm filtriert und dann einer Entlüftungsbehandlung unter Verwendung einer Vakuumpumpe unterworfen wird.
  • Das Aufzeichnungsverfahren der vorliegenden Erfindung unter Verwendung der vorstehend genannten Tintenzusammensetzung wird nachstehend beschrieben. In dem Aufzeichnungsverfahren der vorliegenden Erfindung kann ein Tintenstrahlaufzeichnungssystem des Ausstoßens der Tintenzusammensetzung als Flüssigkeitströpfchen durch feine Öffnungen und des Anhaftens der Flüssigkeitströpfchen an ein Aufzeichnungsmedium, wodurch die Aufzeichnung durchgeführt wird, in geeigneter Weise verwendet werden. Die Tintenzusammensetzung kann jedoch natürlich auf Verwendungen angewandt werden, wie allgemeines Schreibgerät, Recorder und Stiftkurvenschreiber.
  • Was das Tintenstrahlaufzeichnungssystem betrifft, so können alle herkömmlicherweise bekannte Systeme verwendet werden. Insbesondere kann ausgezeichnetes Bildaufzeichnen durch ein Verfahren durchgeführt werden, bei welchem Flüssigkeitströpfchen unter Verwendung der Schwingung eines piezoelektrischen Elements (ein Aufzeichnungsverfahren unter Verwendung eines Tintenstrahlkopfes, welcher Tintentröpfchen durch die mechanische Deformation eines piezoelektrischen Elements bildet) oder durch ein Verfahren unter Verwendung von Wärmeenergie ausgestoßen werden.
  • Die vorliegende Erfindung wird im Einzelnen mit Bezug auf die folgenden Beispiele und Vergleichsbeispiele beschrieben. Die vorliegende Erfindung sollte jedoch nicht als auf die folgenden Beispiele beschränkt ausgelegt werden.
  • Beispiele 1 bis 21 und Vergleichsbeispiele 1 bis 4
  • Tintenzusammensetzungen der Beispiele 1 bis 21 und der Vergleichsbeispiele 1 bis 4 wurden jeweils durch Vermischen und Auflösen der jeweiligen Komponenten in einem Mischungsverhältnis, das in den Tabellen 1-1 bis 1-4 gezeigt ist, und Filtrieren der erhaltenen Lösung unter Druck durch ein Membranfilter mit einem Porendurchmesser von 1 μm hergestellt.
  • Figure 00170001
  • Figure 00180001
  • Figure 00190001
  • Figure 00200001
  • In den Tabellen ist jede Komponente in der Tintenzusammensetzung durch Gewichtsprozent jeder Komponente, bezogen auf die Gesamtmenge der Tintenzusammensetzung, gezeigt, und der Rest ist Wasser.
  • Die Tintenzusammensetzungen der Beispiele 1 bis 21 und der Vergleichsbeispiele 1 bis 4 wurden jeweils in eine Spezialpatrone (Cyankammer) für einen Tintenstrahldrucker EM930C (hergestellt von Seiko Epson Corporation) gefüllt, und das Drucken wurde auf einem Tintenstrahlspezialaufzeichnungsmedium (PM fotografisches Papier (Premium Glanzfotopapier) und Spezialglanzfilm (Glanzfilm von Fotoqualität), beide hergestellt von Seiko Epson Corporation) unter Verwendung des Druckers durchgeführt. Zu diesem Zeitpunkt wurden die folgenden Bewertungen durchgeführt. Die Ergebnisse sind in den Tabellen 2 und 3 gezeigt.
  • Bewertung des Bronzierens
  • Festes Drucken wurde unter Verwendung der vorstehend hergestellten Patone durchgeführt, wobei eine Auftreffmenge von 1,5 bis 2,2 mg pro 1 Inch2 erhalten wurde, und das erhaltene bedruckte Material wurde unter Verwendung eines Glanzmessinstruments (PG-1M, hergestellt von Nippon Denshoku Industries Co., Ltd.) zum Bestimmen des Glanzes gemessen (Messwinkel: 60°). Das Drucken wurde in Umgebungen von 25°C und 40 % relativer Feuchte und von 35°C und 60 % relativer Feuchte (in den Beispielen 16 bis 21 nur von 25°C und 40 % relativer Feuchte) durchgeführt.
  • Der aus dem Glanz gemäß der folgenden Formel erhaltene Wert wurde als Kriterium verwendet.
    Glanz (bedrucktes Material) – Glanz (Aufzeichnungsmedium)
  • <Kriterien>
    • A:
      weniger als 15
      B:
      15 bis weniger als 35
      C:
      35 bis weniger als 55
      D:
      55 oder mehr
  • Bewertung der Beständigkeit gegen Ozon
  • Unter Verwendung der vorstehend hergestellten Patrone wurde Drucken durchgeführt, wobei die angewandte Leistung so eingestellt wurde, dass sich eine OD (optische Dichte) ergab, die in den Bereich von 0,9 bis 1,1 fiel. Dann wurde das erhaltene bedruckte Material einem Ozon-Bewitterungsmessgerät Modell OMS-H (Handelsbezeichnung, hergestellt von Suga Test Instruments Co., Ltd.) unter den Bedingungen von 24°C, einer relativen Feuchte von 60 % und einer Ozonkonzentration von 2 ppm für eine vorbestimmte Zeit (6 Stunden, 12 Stunden) ausgesetzt.
  • Nach dem Aussetzen wurden die bedruckten Materialien jeweils bezüglich der OD durch ein Dichtemessgerät (Spectrolino, hergestellt von Gretag) gemessen, und die restliche optische Dichte (ROD) wurde gemäß der folgenden Formel bestimmt und gemäß den nachstehend gezeigten Kriterien bewertet ROD(%) = (D/D0) × 100
  • D:
    OD nach der Aussetzungsprüfung
    D0:
    OD vor der Aussetzungsprüfung
    (vorausgesetzt, dass die Messbedingungen wie folgt waren: Filter: rot, Lichtquelle: D50 und Betrachtungswinkel: 2°).
  • <Kriterien>
    • A:
      ROD beträgt 90 % oder mehr.
      B:
      ROD beträgt 80 % bis weniger als 90 %.
      C:
      ROD beträgt 70 % bis weniger als 80 %.
      D:
      ROD beträgt weniger als 70 %.
  • Beständigkeit gegen Verstopfen
  • Die Tintenzusammensetzungen der Beispiele 1 bis 15 wurden jeweils in einen Tintenstrahldrucker EM-930C (hergestellt von Seiko Epson Corporation) gefüllt, und nachdem das Drucken kontinuierlich 10 Minuten durchgeführt war und der Ausstoß von Tinte aus der Düse bestätigt war, wurde das Drucken beendet. Der Drucker wurde dann, ohne eine Kappe auf den Kopf aufzusetzen, in einer Umgebung von 40°C und 25 % relativer Feuchte zwei Wochen stehen gelassen. Danach wurden ein Reinigungsvorgang der Düse und dann ein Drucken durchgeführt. Die Verstopfungseigenschaft der Tinte wurde durch die Anzahl von Reinigungsvorgängen bewertet, die durchgeführt wurden, bis Druckversagen, wie dünner und fehlender Druck, nicht auftraten, und das Drucken in gleicher Weise zu dem ursprünglichen Drucken durchgeführt werden konnte.
  • <Kriterien>
    • A:
      Drucken in gleicher Weise zu dem ursprünglichen Drucken wird erhalten durch Durchführen des Reinigungsvorgangs 1- bis 5-mal.
      B:
      Drucken in gleicher Weise zu dem ursprünglichen Drucken wird erhalten durch Durchführen des Reinigungsvorgangs 6- bis 10-mal.
      C:
      Drucken in gleicher Weise zu dem ursprünglichen Drucken wird erhalten durch Durchführen des Reinigungsvorgangs 11- bis 15-mal.
      D:
      Drucken in gleicher Weise zu dem ursprünglichen Drucken wurde nicht erhalten selbst durch Durchführen des Reinigungsvorgangs 16-mal oder mehr.
  • Bewertung der Beständigkeit gegen Stickstoffoxid
  • Unter Verwendung der vorstehend hergestellten Patrone durch Einfüllen jeder Tintenzusammensetzungen der Beispiele 18 bis 21 wurde ein Drucken durchgeführt, wobei die Leistung so eingestellt wurde, dass sich eine OD (optische Dichte) ergab, die in den Bereich von 0,9 bis 1,0 fiel. Dann wurde das erhaltene bedruckte Material unter Verwendung eines Gaskorrosionsprüfgeräts Modell GS-UV (Handelsbezeichnung, hergestellt von Suga Test Instruments Co., Ltd.) unter den Bedingungen von 24°C, einer relativen Feuchte von 60 % und einer Stickstoffdioxidkonzentration von 10 ppm für eine vorbestimmte Zeit (6 Stunden, 12 Stunden) ausgesetzt.
  • Nach dem Aussetzen wurden die bedruckten Materialien jeweils bezüglich der CIE-L*a*b*-Koordinate durch ein Dichtemessgerät (Spectrolino, hergestellt von Gretag) gemessen, und der Farbunterschied (ΔD) wurde gemäß der folgenden Formel bestimmt und gemäß den nachstehend gezeigten Kriterien bewertet. ΔE = {(L* – L0*)2 + (a* – a0*2) + (b* – b0*)2}1/2
  • L*, a*, b*:
    jeweiliger Koordinatenwert nach der Aussetzungsprüfung
    L0*, a0*, b0*:
    jeweiliger Koordinatenwert vor der Aussetzungsprüfung
  • <Kriterien>
    • A:
      ΔE beträgt weniger als 1.
      B:
      ΔE beträgt 1 bis weniger als 3.
      C:
      ΔE beträgt 3 bis weniger als 6.
      D:
      ΔE beträgt 6 oder mehr.
  • Figure 00250001
  • Figure 00260001
  • Wie auf den vorstehenden Seiten beschrieben, wird in der vorliegenden Erfindung eine aromatische Verbindung mit einer Carboxylgruppe und/oder ein Salz davon in die Tintenzusammensetzung eingearbeitet, wodurch eine ausgezeichnete Wirkung dahingehend erhalten wird, dass ein aufgezeichnetes Bild unter Verwendung der Tintenzusammensetzung ausgezeichnet bezüglich der Beständigkeit (hauptsächlich Beständigkeit gegen Gas und Licht) von bedrucktem Material und frei ist vom Auftreten eines Bronzierphänomens. Wenn die aromatische Verbindung mit einer Carboxylgruppe und/oder ein Salz davon eine -OR-Gruppe (worin R eine C1-C6-Alkylgruppe ist) hat, kann weiterhin ein Bild mit ausgezeichneter Beständigkeit gegen Stickstoffoxid erhalten werden, und gleichzeitig kann das Bronzierphänomen bemerkenswert verbessert werden.

Claims (25)

  1. Tintenzusammensetzung, umfassend wenigstens: Wasser, einen Cyanfarbstoff und eine Verbindung mit einem Naphthalingerüst und/oder ein Salz davon und mit einer Carboxylgruppe und einer -OR-Gruppe (worin R eine C1-C6-Alkylgruppe ist) in dem Naphthalingerüst und/oder ein Salz davon.
  2. Tintenzusammensetzung, umfassend wenigstens Wasser, einen Cyanfarbstoff und eine Verbindung mit einem Naphthalingerüst und/oder ein Salz davon und mit einer Carboxylgruppe in der 2-Stellung und/oder ein Salz davon.
  3. Tintenzusammensetzung gemäß einem der Ansprüche 1 oder 2, worin der Cyanfarbstoff ein Metallphthalocyaninfarbstoff ist.
  4. Tintenzusammensetzung gemäß Anspruch 3, worin der Metallphthalocyaninfarbstoff ein Kupferphthalocyaninfarbstoff ist, wiedergegeben durch die folgende Formel (1):
    Figure 00290001
    worin R1 H, ein Alkalimetall oder -NH4 bedeutet, R2 ein Alkalimetall oder -NH4 bedeutet, R3 H, eine Alkylgruppe, die substituiert sein kann, oder eine Arylgruppe, die substituiert sein kann, bedeutet, k, l und n jeweils eine ganze Zahl von 0 bis 3 bedeuten, und m eine ganze Zahl von 1 bis 4 bedeutet, mit der Maßgabe, dass die Summe von k, l, m und n 4 ist.
  5. Tintenzusammensetzung gemäß Anspruch 4, worin der Kupferphthalocyaninfarbstoff wenigstens einer aus der Gruppe von C.I. Direct Blue 86, 87 und 199 ist.
  6. Tintenzusammensetzung gemäß einem der Ansprüche 3 bis 5, worin der Metallphthalocyaninfarbstoff ein Farbstoff mit einem Absorptionsspektrum im sichtbaren Bereich (400 bis 800 nm) mit einer maximalen Absorptionsspitze bei einer Wellenlänge von 590 bis 650 nm ist.
  7. Tintenzusammensetzung gemäß einem der Ansprüche 3 bis 5, worin der Metallphthalocyaninfarbstoff ein Farbstoff mit einem Absorptionsspektrum im sichtbaren Bereich (400 bis 800 nm) mit einer maximalen Absorptionsspitze bei einer Wellenlänge von 590 bis 615 nm ist.
  8. Tintenzusammensetzung gemäß einem der Ansprüche 3 bis 5, worin der Metallphthalocyaninfarbstoff ein Farbstoff mit einem Absorptionsspektrum im sichtbaren Bereich (400 bis 800 nm) mit einer maximalen Absorptionsspitze bei einer Wellenlänge von 590 bis 605 nm ist.
  9. Tintenzusammensetzung gemäß einem der Ansprüche 1 oder 2, worin die Verbindung mit einem Naphthalingerüst und/oder ein Salz davon eine Verbindung mit einer Carboxylgruppe und einer -OR-Gruppe (worin R eine C1-C6-Alkylgruppe ist) in dem Naphthalingerüst und/oder ein Salz davon ist.
  10. Tintenzusammensetzung gemäß Anspruch 1, worin die Verbindung mit einem Naphthalingerüst und/oder ein Salz davon eine Verbindung mit einer Carboxylgruppe in der 2-Stellung und/oder ein Salz davon ist.
  11. Tintenzusammensetzung gemäß einem der Ansprüche 2 oder 10, worin die Verbindung mit einer Carboxylgruppe in der 2-Stellung und mit einem Naphthalingerüst und/oder ein Salz davon wenigstens ein Glied ist, ausgewählt aus der Gruppe bestehend aus 1-Hydroxy-2-naphthoesäure, 2-Naphthoesäure, 3-Hydroxy-2-naphthoesäure, 6-Hydroxy-2-naphthoesäure, 3-Methoxy-2-naphtnoesäure, 6-Methoxy-2-naphthoesäure, 6-Ethoxy-2-naphthoesäure, 6-Propoxy-2-naphthoesäure und ihren Salzen.
  12. Tintenzusammensetzung gemäß einem der Ansprüche 1, 2 und 9 bis 11, worin das Salz ein Lithiumsalz ist.
  13. Tintenzusammensetzung gemäß einem der Ansprüche 1 bis 12, welche die aromatische Verbindung mit einer Carboxylgruppe und/oder ein Salz davon in einer Menge von 0,1 bis 10 Gew.-%, bezogen auf die Gesamtmenge der Tintenzusammensetzung umfasst.
  14. Tintenzusammensetzung gemäß einem der Ansprüche 1 bis 13, worin das Verhältnis des Gehalts des Cyanfarbstoffs und der aromatischen Verbindung mit einer Carboxylgruppe und/oder ein Salz davon 1 : 0,5 bis 1 : 10 beträgt.
  15. Tintenzusammensetzung gemäß einem der Ansprüche 1 bis 14, die weiter einen nicht ionischen oberflächenaktiven Stoff umfasst.
  16. Tintenzusammensetzung gemäß Anspruch 15, worin der nicht ionische oberflächenaktive Stoff ein oberflächenaktiver Stoff vom Acetylenglycoltyp ist.
  17. Tintenzusammensetzung gemäß Anspruch 15 oder 16, welche den nicht ionischen oberflächenaktiven Stoff in einer Menge von 0,1 bis 5 Gew.-%, bezogen auf die Gesamtmenge der Tintenzusammensetzung, umfasst.
  18. Tintenzusammensetzung gemäß einem der Ansprüche 1 bis 17, die weiter einen Eindringungsbeschleuniger umfasst.
  19. Tintenzusammensetzung gemäß Anspruch 18, worin der Eindringungsbeschleuniger ein Glycolether ist.
  20. Tintenzusammensetzung gemäß einem der Ansprüche 1 bis 19, worin der pH der Tintenzusammensetzung bei 20°C 8,0 bis 10,5 beträgt.
  21. Tintenstrahlaufzeichnungsverfahren zum Durchführen der Aufzeichnung durch Ausstoßen eines Flüssigkeitströpfchens einer Tintenzusammensetzung und Anhaften des Flüssigkeitströpfchens an ein Aufzeichnungsmedium, worin die Tintenzusammensetzung eine Tintenzusammensetzung gemäß einem der Ansprüche 1 bis 20 ist.
  22. Tintenstrahlaufzeichnungsverfahren gemäß Anspruch 21, worin das ausgestoßene Flüssigkeitströpfchen durch mechanische Deformation eines piezoelektrischen Elements gebildet wird.
  23. Aufgezeichnetes Material, welches unter Verwendung einer Tintenzusammensetzung gemäß einem der Ansprüche 1 bis 20 aufgezeichnet ist.
  24. Aufgezeichnetes Material, welches durch ein Aufzeichnungsverfahren gemäß Anspruch 21 oder 22 aufgezeichnet ist.
  25. Verwendung einer aromatischen Verbindung in wässrigen Tinten, die einen Cyanfarbstoff enthalten, wobei die Verbindung eine Carboxylgruppe und/oder ein Salz davon in einer Tintenzusammensetzung enthält, um das Bronzierphänomen zu eliminieren, worin die aromatische Verbindung eine Verbindung mit einem Naphthalingerüst und/oder ein Salz davon ist, mit einer Carboxylgruppe und einer -OR-Gruppe (worin R eine C1-C6-Alkylgruppe ist) in dem Naphthalingerüst, oder ein Salz davon, oder worin die aromatische Verbindung eine Verbindung mit einem Naphthalingerüst und/oder ein Salz davon ist, und eine Carboxylgruppe in der 2-Stellung enthält, und/oder ein Salz davon.
DE2003606019 2002-04-23 2003-04-23 Tintenzusammensetzung, Tintenstrahlaufzeichnungsverfahren unter Verwendung derselben und damit aufgezeichnetes Substrat Expired - Lifetime DE60306019T2 (de)

Applications Claiming Priority (8)

Application Number Priority Date Filing Date Title
JP2002120064 2002-04-23
JP2002120064 2002-04-23
JP2002263295 2002-09-09
JP2002263295 2002-09-09
JP2003003448 2003-01-09
JP2002003448 2003-01-09
JP2003090345 2003-03-28
JP2003090345A JP3903938B2 (ja) 2002-04-23 2003-03-28 インク組成物、それを用いたインクジェット記録方法および記録物

Publications (2)

Publication Number Publication Date
DE60306019D1 DE60306019D1 (de) 2006-07-27
DE60306019T2 true DE60306019T2 (de) 2006-10-05

Family

ID=28795113

Family Applications (1)

Application Number Title Priority Date Filing Date
DE2003606019 Expired - Lifetime DE60306019T2 (de) 2002-04-23 2003-04-23 Tintenzusammensetzung, Tintenstrahlaufzeichnungsverfahren unter Verwendung derselben und damit aufgezeichnetes Substrat

Country Status (6)

Country Link
US (1) US7083669B2 (de)
EP (1) EP1357158B1 (de)
JP (1) JP3903938B2 (de)
CN (1) CN1207354C (de)
AT (1) ATE329972T1 (de)
DE (1) DE60306019T2 (de)

Families Citing this family (38)

* Cited by examiner, † Cited by third party
Publication number Priority date Publication date Assignee Title
IT1320863B1 (it) * 2000-12-20 2003-12-10 Olivetti Lexikon S P A Ora Oli Inchiostro per stampa termica a getto d'inchiostro con elevateprestazioni ad alte frequenze di eiezione.
US8177346B2 (en) * 2003-03-25 2012-05-15 Hewlett-Packard Development Company, L.P. Additives to eliminate bronzing of ink-jet inks printed on photo media
US7052535B2 (en) * 2003-07-28 2006-05-30 Hewlett-Packard Development Company, L.P. Additives to eliminate bronzing of inkjet ink formulations on specialty quick-dry inkjet photographic media
US7704575B2 (en) * 2003-07-28 2010-04-27 Hewlett-Packard Development Company, L.P. Additives to eliminate bronzing of ink-jet inks
JP4686151B2 (ja) * 2003-09-09 2011-05-18 富士フイルム株式会社 インクジェット記録用インク及びインクジェット記録方法
JP4533612B2 (ja) 2003-09-30 2010-09-01 セイコーエプソン株式会社 インク組成物、それを用いたインクジェット記録方法および記録物
JP4581364B2 (ja) * 2003-09-30 2010-11-17 セイコーエプソン株式会社 インク組成物、インクジェット記録方法及び記録物
JP4186775B2 (ja) * 2003-09-30 2008-11-26 セイコーエプソン株式会社 インクセット
JP4515738B2 (ja) * 2003-09-30 2010-08-04 セイコーエプソン株式会社 インク組成物
JP4681220B2 (ja) * 2003-10-23 2011-05-11 セイコーエプソン株式会社 インク組成物、それを用いたインクジェット記録方法および記録物
US7276111B2 (en) * 2004-02-09 2007-10-02 Seiko Epson Corporation Ink composition, inkjet recording method and recorded matter
US7871465B2 (en) * 2004-05-28 2011-01-18 Seiko Epson Corporation Ink composition, and ink jet recording method and recorded matter using the same
US7708820B2 (en) * 2004-07-13 2010-05-04 Fujifilm Corporation Black ink composition, ink set containing the same, and ink jet recording method
JP4810123B2 (ja) 2004-07-20 2011-11-09 富士フイルム株式会社 インク組成物及びインクジェット記録方法
EP2163586B1 (de) 2005-02-07 2012-06-06 Fujifilm Corporation Farbstoff, Tinte, Tinte für Tintenstrahl, Tintenstrahlaufzeichnungsverfahren, Farbtoner und Farbfilter
US7279034B2 (en) * 2005-03-11 2007-10-09 Seiko Epson Corporation Ink composition, ink cartridge, inkjet recording method, and recorded matter
JP4766228B2 (ja) * 2005-03-11 2011-09-07 セイコーエプソン株式会社 インク組成物、インクカートリッジ、インクジェット記録方法及び記録物
JP4740617B2 (ja) * 2005-03-11 2011-08-03 富士フイルム株式会社 インク原液、及びインク組成物
JP2007046014A (ja) * 2005-08-12 2007-02-22 Kao Corp インクジェット記録用シアン顔料
US20070091156A1 (en) * 2005-10-20 2007-04-26 Christian Jackson Inkjet ink
US20070098927A1 (en) * 2005-10-28 2007-05-03 Uhlir-Tsang Linda C Ink compositions and methods for controlling color on a print medium
JP2008024909A (ja) * 2006-06-20 2008-02-07 Fujifilm Corp 水性インク及びインクセット
JP4465722B2 (ja) 2007-03-05 2010-05-19 セイコーエプソン株式会社 インク組成物、インクカートリッジ、およびインクジェット記録方法
JP5193525B2 (ja) * 2007-08-08 2013-05-08 富士フイルム株式会社 黒色インク組成物、インクセット、インクカートリッジ、インクジェットプリンター、及びインクジェット記録方法
JP2009226781A (ja) 2008-03-24 2009-10-08 Fujifilm Corp インクジェット画像の形成方法
US8657433B2 (en) * 2009-06-12 2014-02-25 Nippon Kayaku Kabushiki Kaisha Porphyrazine coloring matter, ink composition, recording method, and colored object
JP2010189638A (ja) * 2010-02-08 2010-09-02 Seiko Epson Corp インク組成物、それを用いたインクジェット記録方法および記録物
JP2011184540A (ja) * 2010-03-08 2011-09-22 Ricoh Co Ltd インクジェット記録用インク、インクカートリッジ、インクジェット記録装置、及び画像形成物
JP2011195784A (ja) * 2010-03-23 2011-10-06 Seiko Epson Corp インク組成物
CN102822286B (zh) * 2010-06-03 2016-04-20 M技术株式会社 新型的铜酞菁颜料及铜酞菁微粒的制造方法
CN102558948B (zh) 2010-12-10 2016-02-10 精工爱普生株式会社 油墨组合物、使用其的喷墨记录方法以及记录物
CN102558947A (zh) * 2010-12-10 2012-07-11 精工爱普生株式会社 油墨组合物、使用其的记录方法以及记录物
JP6610926B2 (ja) * 2015-07-28 2019-11-27 セイコーエプソン株式会社 インクジェット捺染用浸透液、及びインクジェット記録装置
EP3342927B1 (de) 2016-12-28 2019-08-14 Seiko Epson Corporation Tintenstrahltintenzusammensetzung für textildruck, tintensatz und aufzeichnungsverfahren
JP2019060051A (ja) * 2017-09-27 2019-04-18 セイコーエプソン株式会社 記録方法
JP7017054B2 (ja) 2017-09-29 2022-02-08 セイコーエプソン株式会社 インクジェット捺染インク、インクジェット捺染インクセットおよび捺染方法
JP2019137793A (ja) 2018-02-13 2019-08-22 セイコーエプソン株式会社 捺染インクジェットインク組成物セット及び記録方法
JP7065994B2 (ja) * 2018-09-28 2022-05-12 富士フイルム株式会社 インクジェット記録方法

Family Cites Families (14)

* Cited by examiner, † Cited by third party
Publication number Priority date Publication date Assignee Title
JPS51139408A (en) * 1975-03-19 1976-12-01 Olympia Werke Ag Water ink for ink spraying
JPS5412924A (en) * 1977-06-30 1979-01-31 Pilot Ink Co Ltd Aqueous ink composition
US4557618A (en) * 1981-12-25 1985-12-10 Pentel Kabushiki Kaisha Ink and eraser of the ink
US4865648A (en) * 1984-06-13 1989-09-12 Tsutomu Kito Reversible heat sensitive recording composition
JP3412857B2 (ja) 1992-05-13 2003-06-03 キヤノン株式会社 インク、画像形成方法、インクジェット記録方法、インクジェット記録ユニット、インクカートリッジおよびインクジェット記録装置
US5478383A (en) * 1993-10-14 1995-12-26 Canon Kabushiki Kaisha Ink, and ink-jet recording method and instrument using the same
JPH07228810A (ja) 1993-12-20 1995-08-29 Mitsubishi Chem Corp 水性インク及びそれを用いたインクジェット記録方法
GB9706580D0 (en) 1997-04-01 1997-05-21 Zeneca Ltd Ink additives
GB9726814D0 (en) 1997-12-19 1998-02-18 Zeneca Ltd Compositions
EP1146097A4 (de) 1998-11-13 2002-11-06 Mitsubishi Pencil Co Wässrige tintezusammensetzung für schreibgeräte
US6358304B1 (en) 1999-05-18 2002-03-19 Uhlich Color Company, Inc. Ink with flow characteristics
DE60108008T2 (de) * 2000-07-10 2005-12-15 Kao Corp. Wässrige Tintenzusammensetzung
TWI290946B (en) * 2000-07-26 2007-12-11 Nippon Kayaku Kk Cyan dye mixture, aqueous cyanic ink composition and ink-jet printing method
US6572690B2 (en) * 2001-03-05 2003-06-03 Hewlett-Packard Development Company, L.P. Use of mixtures of organic acids to adjust properties of ink-jet inks

Also Published As

Publication number Publication date
DE60306019D1 (de) 2006-07-27
US20040003755A1 (en) 2004-01-08
EP1357158B1 (de) 2006-06-14
CN1456606A (zh) 2003-11-19
US7083669B2 (en) 2006-08-01
ATE329972T1 (de) 2006-07-15
EP1357158A1 (de) 2003-10-29
JP3903938B2 (ja) 2007-04-11
JP2004263155A (ja) 2004-09-24
CN1207354C (zh) 2005-06-22

Similar Documents

Publication Publication Date Title
DE60306019T2 (de) Tintenzusammensetzung, Tintenstrahlaufzeichnungsverfahren unter Verwendung derselben und damit aufgezeichnetes Substrat
DE3850449T2 (de) Tintenzusammensetzung.
DE69003260T2 (de) Aufzeichnungsflüssigkeit und Tintenstrahl-Aufzeichnungsverfahren unter Verwendung derselben.
DE69925553T2 (de) Tintenzusammensetzung zur erzeugung von lichtbeständigen bildern sowie tintensortiment
DE69001489T2 (de) Tinte und Aufzeichnungsverfahren unter Verwendung derselben.
DE3606219C2 (de)
DE3751112T2 (de) Tinte und Tintenstrahldruckverfahren unter Verwendung derselben.
DE60012263T2 (de) Tintensortiment
DE69330333T2 (de) Schwarze Tintenzusammensetzung mit einer vortrefflichen schwarzen Farbe
DE69814271T2 (de) Magentafarbstoffe für Tintenstrahldrucktinten
DE69518472T2 (de) Tintezusammensetzung für den Tintenstrahldruck
DE60004593T2 (de) Tintenset
DE3751420T2 (de) Registrierverfahren und Flüssigkeit unter Verwendung eines wasserlöslichen organischen Lösungsmittels.
DE69021306T2 (de) Tinte, Tintenstrahl-Aufzeichnungsverfahren unter Verwendung dieses Materials, Verfahren zur Herstellung der Tinte und Verwendung der Tinte zum Aufzeichnen auf ein Substrat.
JP4581364B2 (ja) インク組成物、インクジェット記録方法及び記録物
DE69008553T2 (de) Tinte und Aufzeichnungsverfahren unter Verwendung derselben.
DE60112868T2 (de) Wasserbeständige, umweltfreundliche Tinten geeignet für die Anwendung von Tintenstrahldrucktinten für Registrierkassen
DE60311020T2 (de) Farbstabile Tintenzusammensetzungen auf Basis von Rhodamin- und metallhaltigen Farbstoffen
DE60105748T2 (de) Schwarze Tintenzusammensetzung, Tintenset, Aufzeichnungsverfahren, Aufzeichnungserzeugnis und Tintenstrahlaufzeichnungsvorrichtung
DE69823132T2 (de) Pigmenthaltige Tintenzusammensetzung mit ausgezeichneter Lichtbeständigkeit
DE68919796T2 (de) Aufzeichnungstinte für Tintenstrahl-Drucksystem.
DE69233532T2 (de) Aufzeichnungsflüssigkeit
DE60002693T2 (de) Farbstoffzusammensetzung mit hoher lichtechtheit
EP1072653A2 (de) Wasserhaltige Tinte und ihre Verwendung
DE60110285T2 (de) Tintenzusammensetzung und Verfahren zum Aufzeichnen eines Aufzeichnungsmediums unter Verwendung derselben

Legal Events

Date Code Title Description
8364 No opposition during term of opposition