WO2016009648A1 - 重合体、組成物、光学フィルムおよび液晶表示装置 - Google Patents
重合体、組成物、光学フィルムおよび液晶表示装置 Download PDFInfo
- Publication number
- WO2016009648A1 WO2016009648A1 PCT/JP2015/003577 JP2015003577W WO2016009648A1 WO 2016009648 A1 WO2016009648 A1 WO 2016009648A1 JP 2015003577 W JP2015003577 W JP 2015003577W WO 2016009648 A1 WO2016009648 A1 WO 2016009648A1
- Authority
- WO
- WIPO (PCT)
- Prior art keywords
- liquid crystal
- group
- general formula
- compound
- carbon atoms
- Prior art date
- Legal status (The legal status is an assumption and is not a legal conclusion. Google has not performed a legal analysis and makes no representation as to the accuracy of the status listed.)
- Ceased
Links
- 0 CC*(C)C1CCCC1 Chemical compound CC*(C)C1CCCC1 0.000 description 6
- NLGINBDFXRCWQW-UHFFFAOYSA-N Cc(cc(cc1)OC(c(cc2)ccc2OCCCCOC(C=C)=O)=O)c1OC(c(cc1)ccc1OCCCCOC(C=C)=O)=O Chemical compound Cc(cc(cc1)OC(c(cc2)ccc2OCCCCOC(C=C)=O)=O)c1OC(c(cc1)ccc1OCCCCOC(C=C)=O)=O NLGINBDFXRCWQW-UHFFFAOYSA-N 0.000 description 1
Images
Classifications
-
- C—CHEMISTRY; METALLURGY
- C08—ORGANIC MACROMOLECULAR COMPOUNDS; THEIR PREPARATION OR CHEMICAL WORKING-UP; COMPOSITIONS BASED THEREON
- C08F—MACROMOLECULAR COMPOUNDS OBTAINED BY REACTIONS ONLY INVOLVING CARBON-TO-CARBON UNSATURATED BONDS
- C08F222/00—Copolymers of compounds having one or more unsaturated aliphatic radicals, each having only one carbon-to-carbon double bond, and at least one being terminated by a carboxyl radical and containing at least one other carboxyl radical in the molecule; Salts, anhydrides, esters, amides, imides, or nitriles thereof
- C08F222/10—Esters
- C08F222/1006—Esters of polyhydric alcohols or polyhydric phenols
- C08F222/103—Esters of polyhydric alcohols or polyhydric phenols of trialcohols, e.g. trimethylolpropane tri(meth)acrylate
- C08F222/1035—Esters of polyhydric alcohols or polyhydric phenols of trialcohols, e.g. trimethylolpropane tri(meth)acrylate of aromatic trialcohols
-
- C—CHEMISTRY; METALLURGY
- C08—ORGANIC MACROMOLECULAR COMPOUNDS; THEIR PREPARATION OR CHEMICAL WORKING-UP; COMPOSITIONS BASED THEREON
- C08F—MACROMOLECULAR COMPOUNDS OBTAINED BY REACTIONS ONLY INVOLVING CARBON-TO-CARBON UNSATURATED BONDS
- C08F20/00—Homopolymers and copolymers of compounds having one or more unsaturated aliphatic radicals, each having only one carbon-to-carbon double bond, and only one being terminated by only one carboxyl radical or a salt, anhydride, ester, amide, imide or nitrile thereof
- C08F20/02—Monocarboxylic acids having less than ten carbon atoms, Derivatives thereof
- C08F20/10—Esters
- C08F20/22—Esters containing halogen
-
- C—CHEMISTRY; METALLURGY
- C08—ORGANIC MACROMOLECULAR COMPOUNDS; THEIR PREPARATION OR CHEMICAL WORKING-UP; COMPOSITIONS BASED THEREON
- C08F—MACROMOLECULAR COMPOUNDS OBTAINED BY REACTIONS ONLY INVOLVING CARBON-TO-CARBON UNSATURATED BONDS
- C08F20/00—Homopolymers and copolymers of compounds having one or more unsaturated aliphatic radicals, each having only one carbon-to-carbon double bond, and only one being terminated by only one carboxyl radical or a salt, anhydride, ester, amide, imide or nitrile thereof
- C08F20/02—Monocarboxylic acids having less than ten carbon atoms, Derivatives thereof
- C08F20/10—Esters
- C08F20/26—Esters containing oxygen in addition to the carboxy oxygen
- C08F20/30—Esters containing oxygen in addition to the carboxy oxygen containing aromatic rings in the alcohol moiety
-
- C—CHEMISTRY; METALLURGY
- C08—ORGANIC MACROMOLECULAR COMPOUNDS; THEIR PREPARATION OR CHEMICAL WORKING-UP; COMPOSITIONS BASED THEREON
- C08F—MACROMOLECULAR COMPOUNDS OBTAINED BY REACTIONS ONLY INVOLVING CARBON-TO-CARBON UNSATURATED BONDS
- C08F222/00—Copolymers of compounds having one or more unsaturated aliphatic radicals, each having only one carbon-to-carbon double bond, and at least one being terminated by a carboxyl radical and containing at least one other carboxyl radical in the molecule; Salts, anhydrides, esters, amides, imides, or nitriles thereof
- C08F222/10—Esters
- C08F222/1006—Esters of polyhydric alcohols or polyhydric phenols
- C08F222/102—Esters of polyhydric alcohols or polyhydric phenols of dialcohols, e.g. ethylene glycol di(meth)acrylate or 1,4-butanediol dimethacrylate
- C08F222/1025—Esters of polyhydric alcohols or polyhydric phenols of dialcohols, e.g. ethylene glycol di(meth)acrylate or 1,4-butanediol dimethacrylate of aromatic dialcohols
-
- C—CHEMISTRY; METALLURGY
- C09—DYES; PAINTS; POLISHES; NATURAL RESINS; ADHESIVES; COMPOSITIONS NOT OTHERWISE PROVIDED FOR; APPLICATIONS OF MATERIALS NOT OTHERWISE PROVIDED FOR
- C09K—MATERIALS FOR MISCELLANEOUS APPLICATIONS, NOT PROVIDED FOR ELSEWHERE
- C09K19/00—Liquid crystal materials
- C09K19/04—Liquid crystal materials characterised by the chemical structure of the liquid crystal components, e.g. by a specific unit
- C09K19/06—Non-steroidal liquid crystal compounds
- C09K19/061—Linear compounds without any rings
-
- C—CHEMISTRY; METALLURGY
- C09—DYES; PAINTS; POLISHES; NATURAL RESINS; ADHESIVES; COMPOSITIONS NOT OTHERWISE PROVIDED FOR; APPLICATIONS OF MATERIALS NOT OTHERWISE PROVIDED FOR
- C09K—MATERIALS FOR MISCELLANEOUS APPLICATIONS, NOT PROVIDED FOR ELSEWHERE
- C09K19/00—Liquid crystal materials
- C09K19/04—Liquid crystal materials characterised by the chemical structure of the liquid crystal components, e.g. by a specific unit
- C09K19/06—Non-steroidal liquid crystal compounds
- C09K19/08—Non-steroidal liquid crystal compounds containing at least two non-condensed rings
- C09K19/10—Non-steroidal liquid crystal compounds containing at least two non-condensed rings containing at least two benzene rings
- C09K19/14—Non-steroidal liquid crystal compounds containing at least two non-condensed rings containing at least two benzene rings linked by a carbon chain
- C09K19/18—Non-steroidal liquid crystal compounds containing at least two non-condensed rings containing at least two benzene rings linked by a carbon chain the chain containing carbon-to-carbon triple bonds, e.g. tolans
-
- C—CHEMISTRY; METALLURGY
- C09—DYES; PAINTS; POLISHES; NATURAL RESINS; ADHESIVES; COMPOSITIONS NOT OTHERWISE PROVIDED FOR; APPLICATIONS OF MATERIALS NOT OTHERWISE PROVIDED FOR
- C09K—MATERIALS FOR MISCELLANEOUS APPLICATIONS, NOT PROVIDED FOR ELSEWHERE
- C09K19/00—Liquid crystal materials
- C09K19/04—Liquid crystal materials characterised by the chemical structure of the liquid crystal components, e.g. by a specific unit
- C09K19/06—Non-steroidal liquid crystal compounds
- C09K19/32—Non-steroidal liquid crystal compounds containing condensed ring systems, i.e. fused, bridged or spiro ring systems
-
- C—CHEMISTRY; METALLURGY
- C09—DYES; PAINTS; POLISHES; NATURAL RESINS; ADHESIVES; COMPOSITIONS NOT OTHERWISE PROVIDED FOR; APPLICATIONS OF MATERIALS NOT OTHERWISE PROVIDED FOR
- C09K—MATERIALS FOR MISCELLANEOUS APPLICATIONS, NOT PROVIDED FOR ELSEWHERE
- C09K19/00—Liquid crystal materials
- C09K19/04—Liquid crystal materials characterised by the chemical structure of the liquid crystal components, e.g. by a specific unit
- C09K19/06—Non-steroidal liquid crystal compounds
- C09K19/34—Non-steroidal liquid crystal compounds containing at least one heterocyclic ring
- C09K19/3441—Non-steroidal liquid crystal compounds containing at least one heterocyclic ring having nitrogen as hetero atom
- C09K19/3477—Non-steroidal liquid crystal compounds containing at least one heterocyclic ring having nitrogen as hetero atom the heterocyclic ring being a five-membered aromatic ring containing at least one nitrogen atom
-
- C—CHEMISTRY; METALLURGY
- C09—DYES; PAINTS; POLISHES; NATURAL RESINS; ADHESIVES; COMPOSITIONS NOT OTHERWISE PROVIDED FOR; APPLICATIONS OF MATERIALS NOT OTHERWISE PROVIDED FOR
- C09K—MATERIALS FOR MISCELLANEOUS APPLICATIONS, NOT PROVIDED FOR ELSEWHERE
- C09K19/00—Liquid crystal materials
- C09K19/04—Liquid crystal materials characterised by the chemical structure of the liquid crystal components, e.g. by a specific unit
- C09K19/06—Non-steroidal liquid crystal compounds
- C09K19/34—Non-steroidal liquid crystal compounds containing at least one heterocyclic ring
- C09K19/3441—Non-steroidal liquid crystal compounds containing at least one heterocyclic ring having nitrogen as hetero atom
- C09K19/3488—Non-steroidal liquid crystal compounds containing at least one heterocyclic ring having nitrogen as hetero atom the heterocyclic ring having more than 6 members, e.g. macrocycles, phthalocyanines
-
- C—CHEMISTRY; METALLURGY
- C09—DYES; PAINTS; POLISHES; NATURAL RESINS; ADHESIVES; COMPOSITIONS NOT OTHERWISE PROVIDED FOR; APPLICATIONS OF MATERIALS NOT OTHERWISE PROVIDED FOR
- C09K—MATERIALS FOR MISCELLANEOUS APPLICATIONS, NOT PROVIDED FOR ELSEWHERE
- C09K19/00—Liquid crystal materials
- C09K19/04—Liquid crystal materials characterised by the chemical structure of the liquid crystal components, e.g. by a specific unit
- C09K19/06—Non-steroidal liquid crystal compounds
- C09K19/34—Non-steroidal liquid crystal compounds containing at least one heterocyclic ring
- C09K19/3491—Non-steroidal liquid crystal compounds containing at least one heterocyclic ring having sulfur as hetero atom
-
- C—CHEMISTRY; METALLURGY
- C09—DYES; PAINTS; POLISHES; NATURAL RESINS; ADHESIVES; COMPOSITIONS NOT OTHERWISE PROVIDED FOR; APPLICATIONS OF MATERIALS NOT OTHERWISE PROVIDED FOR
- C09K—MATERIALS FOR MISCELLANEOUS APPLICATIONS, NOT PROVIDED FOR ELSEWHERE
- C09K19/00—Liquid crystal materials
- C09K19/04—Liquid crystal materials characterised by the chemical structure of the liquid crystal components, e.g. by a specific unit
- C09K19/38—Polymers
- C09K19/3833—Polymers with mesogenic groups in the side chain
- C09K19/3842—Polyvinyl derivatives
- C09K19/3852—Poly(meth)acrylate derivatives
-
- C—CHEMISTRY; METALLURGY
- C09—DYES; PAINTS; POLISHES; NATURAL RESINS; ADHESIVES; COMPOSITIONS NOT OTHERWISE PROVIDED FOR; APPLICATIONS OF MATERIALS NOT OTHERWISE PROVIDED FOR
- C09K—MATERIALS FOR MISCELLANEOUS APPLICATIONS, NOT PROVIDED FOR ELSEWHERE
- C09K19/00—Liquid crystal materials
- C09K19/04—Liquid crystal materials characterised by the chemical structure of the liquid crystal components, e.g. by a specific unit
- C09K19/40—Liquid crystal materials characterised by the chemical structure of the liquid crystal components, e.g. by a specific unit containing elements other than carbon, hydrogen, halogen, oxygen, nitrogen or sulfur, e.g. silicon, metals
-
- G—PHYSICS
- G02—OPTICS
- G02B—OPTICAL ELEMENTS, SYSTEMS OR APPARATUS
- G02B5/00—Optical elements other than lenses
- G02B5/30—Polarising elements
-
- G—PHYSICS
- G02—OPTICS
- G02B—OPTICAL ELEMENTS, SYSTEMS OR APPARATUS
- G02B5/00—Optical elements other than lenses
- G02B5/30—Polarising elements
- G02B5/3016—Polarising elements involving passive liquid crystal elements
-
- G—PHYSICS
- G02—OPTICS
- G02F—OPTICAL DEVICES OR ARRANGEMENTS FOR THE CONTROL OF LIGHT BY MODIFICATION OF THE OPTICAL PROPERTIES OF THE MEDIA OF THE ELEMENTS INVOLVED THEREIN; NON-LINEAR OPTICS; FREQUENCY-CHANGING OF LIGHT; OPTICAL LOGIC ELEMENTS; OPTICAL ANALOGUE/DIGITAL CONVERTERS
- G02F1/00—Devices or arrangements for the control of the intensity, colour, phase, polarisation or direction of light arriving from an independent light source, e.g. switching, gating or modulating; Non-linear optics
- G02F1/01—Devices or arrangements for the control of the intensity, colour, phase, polarisation or direction of light arriving from an independent light source, e.g. switching, gating or modulating; Non-linear optics for the control of the intensity, phase, polarisation or colour
- G02F1/13—Devices or arrangements for the control of the intensity, colour, phase, polarisation or direction of light arriving from an independent light source, e.g. switching, gating or modulating; Non-linear optics for the control of the intensity, phase, polarisation or colour based on liquid crystals, e.g. single liquid crystal display cells
- G02F1/133—Constructional arrangements; Operation of liquid crystal cells; Circuit arrangements
- G02F1/1333—Constructional arrangements; Manufacturing methods
- G02F1/1334—Constructional arrangements; Manufacturing methods based on polymer dispersed liquid crystals, e.g. microencapsulated liquid crystals
-
- G—PHYSICS
- G02—OPTICS
- G02F—OPTICAL DEVICES OR ARRANGEMENTS FOR THE CONTROL OF LIGHT BY MODIFICATION OF THE OPTICAL PROPERTIES OF THE MEDIA OF THE ELEMENTS INVOLVED THEREIN; NON-LINEAR OPTICS; FREQUENCY-CHANGING OF LIGHT; OPTICAL LOGIC ELEMENTS; OPTICAL ANALOGUE/DIGITAL CONVERTERS
- G02F1/00—Devices or arrangements for the control of the intensity, colour, phase, polarisation or direction of light arriving from an independent light source, e.g. switching, gating or modulating; Non-linear optics
- G02F1/01—Devices or arrangements for the control of the intensity, colour, phase, polarisation or direction of light arriving from an independent light source, e.g. switching, gating or modulating; Non-linear optics for the control of the intensity, phase, polarisation or colour
- G02F1/13—Devices or arrangements for the control of the intensity, colour, phase, polarisation or direction of light arriving from an independent light source, e.g. switching, gating or modulating; Non-linear optics for the control of the intensity, phase, polarisation or colour based on liquid crystals, e.g. single liquid crystal display cells
- G02F1/133—Constructional arrangements; Operation of liquid crystal cells; Circuit arrangements
- G02F1/1333—Constructional arrangements; Manufacturing methods
- G02F1/1335—Structural association of cells with optical devices, e.g. polarisers or reflectors
- G02F1/13363—Birefringent elements, e.g. for optical compensation
-
- G—PHYSICS
- G02—OPTICS
- G02F—OPTICAL DEVICES OR ARRANGEMENTS FOR THE CONTROL OF LIGHT BY MODIFICATION OF THE OPTICAL PROPERTIES OF THE MEDIA OF THE ELEMENTS INVOLVED THEREIN; NON-LINEAR OPTICS; FREQUENCY-CHANGING OF LIGHT; OPTICAL LOGIC ELEMENTS; OPTICAL ANALOGUE/DIGITAL CONVERTERS
- G02F1/00—Devices or arrangements for the control of the intensity, colour, phase, polarisation or direction of light arriving from an independent light source, e.g. switching, gating or modulating; Non-linear optics
- G02F1/01—Devices or arrangements for the control of the intensity, colour, phase, polarisation or direction of light arriving from an independent light source, e.g. switching, gating or modulating; Non-linear optics for the control of the intensity, phase, polarisation or colour
- G02F1/13—Devices or arrangements for the control of the intensity, colour, phase, polarisation or direction of light arriving from an independent light source, e.g. switching, gating or modulating; Non-linear optics for the control of the intensity, phase, polarisation or colour based on liquid crystals, e.g. single liquid crystal display cells
- G02F1/137—Devices or arrangements for the control of the intensity, colour, phase, polarisation or direction of light arriving from an independent light source, e.g. switching, gating or modulating; Non-linear optics for the control of the intensity, phase, polarisation or colour based on liquid crystals, e.g. single liquid crystal display cells characterised by the electro-optical or magneto-optical effect, e.g. field-induced phase transition, orientation effect, guest-host interaction or dynamic scattering
- G02F1/13718—Devices or arrangements for the control of the intensity, colour, phase, polarisation or direction of light arriving from an independent light source, e.g. switching, gating or modulating; Non-linear optics for the control of the intensity, phase, polarisation or colour based on liquid crystals, e.g. single liquid crystal display cells characterised by the electro-optical or magneto-optical effect, e.g. field-induced phase transition, orientation effect, guest-host interaction or dynamic scattering based on a change of the texture state of a cholesteric liquid crystal
-
- C—CHEMISTRY; METALLURGY
- C09—DYES; PAINTS; POLISHES; NATURAL RESINS; ADHESIVES; COMPOSITIONS NOT OTHERWISE PROVIDED FOR; APPLICATIONS OF MATERIALS NOT OTHERWISE PROVIDED FOR
- C09K—MATERIALS FOR MISCELLANEOUS APPLICATIONS, NOT PROVIDED FOR ELSEWHERE
- C09K19/00—Liquid crystal materials
- C09K19/04—Liquid crystal materials characterised by the chemical structure of the liquid crystal components, e.g. by a specific unit
- C09K2019/0425—Liquid crystal materials characterised by the chemical structure of the liquid crystal components, e.g. by a specific unit characterized by a specific unit that results in a functional effect
- C09K2019/0429—Liquid crystal materials characterised by the chemical structure of the liquid crystal components, e.g. by a specific unit characterized by a specific unit that results in a functional effect the specific unit being a carbocyclic or heterocyclic discotic unit
-
- C—CHEMISTRY; METALLURGY
- C09—DYES; PAINTS; POLISHES; NATURAL RESINS; ADHESIVES; COMPOSITIONS NOT OTHERWISE PROVIDED FOR; APPLICATIONS OF MATERIALS NOT OTHERWISE PROVIDED FOR
- C09K—MATERIALS FOR MISCELLANEOUS APPLICATIONS, NOT PROVIDED FOR ELSEWHERE
- C09K19/00—Liquid crystal materials
- C09K19/04—Liquid crystal materials characterised by the chemical structure of the liquid crystal components, e.g. by a specific unit
- C09K2019/0444—Liquid crystal materials characterised by the chemical structure of the liquid crystal components, e.g. by a specific unit characterized by a linking chain between rings or ring systems, a bridging chain between extensive mesogenic moieties or an end chain group
- C09K2019/0448—Liquid crystal materials characterised by the chemical structure of the liquid crystal components, e.g. by a specific unit characterized by a linking chain between rings or ring systems, a bridging chain between extensive mesogenic moieties or an end chain group the end chain group being a polymerizable end group, e.g. -Sp-P or acrylate
-
- C—CHEMISTRY; METALLURGY
- C09—DYES; PAINTS; POLISHES; NATURAL RESINS; ADHESIVES; COMPOSITIONS NOT OTHERWISE PROVIDED FOR; APPLICATIONS OF MATERIALS NOT OTHERWISE PROVIDED FOR
- C09K—MATERIALS FOR MISCELLANEOUS APPLICATIONS, NOT PROVIDED FOR ELSEWHERE
- C09K19/00—Liquid crystal materials
- C09K19/04—Liquid crystal materials characterised by the chemical structure of the liquid crystal components, e.g. by a specific unit
- C09K19/06—Non-steroidal liquid crystal compounds
- C09K19/08—Non-steroidal liquid crystal compounds containing at least two non-condensed rings
- C09K19/10—Non-steroidal liquid crystal compounds containing at least two non-condensed rings containing at least two benzene rings
- C09K19/20—Non-steroidal liquid crystal compounds containing at least two non-condensed rings containing at least two benzene rings linked by a chain containing carbon and oxygen atoms as chain links, e.g. esters or ethers
- C09K19/2007—Non-steroidal liquid crystal compounds containing at least two non-condensed rings containing at least two benzene rings linked by a chain containing carbon and oxygen atoms as chain links, e.g. esters or ethers the chain containing -COO- or -OCO- groups
- C09K2019/2078—Ph-COO-Ph-COO-Ph
-
- C—CHEMISTRY; METALLURGY
- C09—DYES; PAINTS; POLISHES; NATURAL RESINS; ADHESIVES; COMPOSITIONS NOT OTHERWISE PROVIDED FOR; APPLICATIONS OF MATERIALS NOT OTHERWISE PROVIDED FOR
- C09K—MATERIALS FOR MISCELLANEOUS APPLICATIONS, NOT PROVIDED FOR ELSEWHERE
- C09K19/00—Liquid crystal materials
- C09K19/04—Liquid crystal materials characterised by the chemical structure of the liquid crystal components, e.g. by a specific unit
- C09K19/06—Non-steroidal liquid crystal compounds
- C09K19/32—Non-steroidal liquid crystal compounds containing condensed ring systems, i.e. fused, bridged or spiro ring systems
- C09K2019/328—Non-steroidal liquid crystal compounds containing condensed ring systems, i.e. fused, bridged or spiro ring systems containing a triphenylene ring system
-
- G—PHYSICS
- G02—OPTICS
- G02B—OPTICAL ELEMENTS, SYSTEMS OR APPARATUS
- G02B6/00—Light guides; Structural details of arrangements comprising light guides and other optical elements, e.g. couplings
- G02B6/0001—Light guides; Structural details of arrangements comprising light guides and other optical elements, e.g. couplings specially adapted for lighting devices or systems
- G02B6/0011—Light guides; Structural details of arrangements comprising light guides and other optical elements, e.g. couplings specially adapted for lighting devices or systems the light guides being planar or of plate-like form
- G02B6/0033—Means for improving the coupling-out of light from the light guide
- G02B6/0056—Means for improving the coupling-out of light from the light guide for producing polarisation effects, e.g. by a surface with polarizing properties or by an additional polarizing elements
-
- G—PHYSICS
- G02—OPTICS
- G02B—OPTICAL ELEMENTS, SYSTEMS OR APPARATUS
- G02B6/00—Light guides; Structural details of arrangements comprising light guides and other optical elements, e.g. couplings
- G02B6/0001—Light guides; Structural details of arrangements comprising light guides and other optical elements, e.g. couplings specially adapted for lighting devices or systems
- G02B6/0011—Light guides; Structural details of arrangements comprising light guides and other optical elements, e.g. couplings specially adapted for lighting devices or systems the light guides being planar or of plate-like form
- G02B6/0065—Manufacturing aspects; Material aspects
-
- G—PHYSICS
- G02—OPTICS
- G02F—OPTICAL DEVICES OR ARRANGEMENTS FOR THE CONTROL OF LIGHT BY MODIFICATION OF THE OPTICAL PROPERTIES OF THE MEDIA OF THE ELEMENTS INVOLVED THEREIN; NON-LINEAR OPTICS; FREQUENCY-CHANGING OF LIGHT; OPTICAL LOGIC ELEMENTS; OPTICAL ANALOGUE/DIGITAL CONVERTERS
- G02F1/00—Devices or arrangements for the control of the intensity, colour, phase, polarisation or direction of light arriving from an independent light source, e.g. switching, gating or modulating; Non-linear optics
- G02F1/01—Devices or arrangements for the control of the intensity, colour, phase, polarisation or direction of light arriving from an independent light source, e.g. switching, gating or modulating; Non-linear optics for the control of the intensity, phase, polarisation or colour
- G02F1/13—Devices or arrangements for the control of the intensity, colour, phase, polarisation or direction of light arriving from an independent light source, e.g. switching, gating or modulating; Non-linear optics for the control of the intensity, phase, polarisation or colour based on liquid crystals, e.g. single liquid crystal display cells
- G02F1/133—Constructional arrangements; Operation of liquid crystal cells; Circuit arrangements
- G02F1/1333—Constructional arrangements; Manufacturing methods
- G02F1/1335—Structural association of cells with optical devices, e.g. polarisers or reflectors
- G02F1/1336—Illuminating devices
- G02F1/133614—Illuminating devices using photoluminescence, e.g. phosphors illuminated by UV or blue light
-
- G—PHYSICS
- G02—OPTICS
- G02F—OPTICAL DEVICES OR ARRANGEMENTS FOR THE CONTROL OF LIGHT BY MODIFICATION OF THE OPTICAL PROPERTIES OF THE MEDIA OF THE ELEMENTS INVOLVED THEREIN; NON-LINEAR OPTICS; FREQUENCY-CHANGING OF LIGHT; OPTICAL LOGIC ELEMENTS; OPTICAL ANALOGUE/DIGITAL CONVERTERS
- G02F1/00—Devices or arrangements for the control of the intensity, colour, phase, polarisation or direction of light arriving from an independent light source, e.g. switching, gating or modulating; Non-linear optics
- G02F1/01—Devices or arrangements for the control of the intensity, colour, phase, polarisation or direction of light arriving from an independent light source, e.g. switching, gating or modulating; Non-linear optics for the control of the intensity, phase, polarisation or colour
- G02F1/13—Devices or arrangements for the control of the intensity, colour, phase, polarisation or direction of light arriving from an independent light source, e.g. switching, gating or modulating; Non-linear optics for the control of the intensity, phase, polarisation or colour based on liquid crystals, e.g. single liquid crystal display cells
- G02F1/133—Constructional arrangements; Operation of liquid crystal cells; Circuit arrangements
- G02F1/1333—Constructional arrangements; Manufacturing methods
- G02F1/1335—Structural association of cells with optical devices, e.g. polarisers or reflectors
- G02F1/1336—Illuminating devices
- G02F1/133615—Edge-illuminating devices, i.e. illuminating from the side
-
- G—PHYSICS
- G02—OPTICS
- G02F—OPTICAL DEVICES OR ARRANGEMENTS FOR THE CONTROL OF LIGHT BY MODIFICATION OF THE OPTICAL PROPERTIES OF THE MEDIA OF THE ELEMENTS INVOLVED THEREIN; NON-LINEAR OPTICS; FREQUENCY-CHANGING OF LIGHT; OPTICAL LOGIC ELEMENTS; OPTICAL ANALOGUE/DIGITAL CONVERTERS
- G02F1/00—Devices or arrangements for the control of the intensity, colour, phase, polarisation or direction of light arriving from an independent light source, e.g. switching, gating or modulating; Non-linear optics
- G02F1/01—Devices or arrangements for the control of the intensity, colour, phase, polarisation or direction of light arriving from an independent light source, e.g. switching, gating or modulating; Non-linear optics for the control of the intensity, phase, polarisation or colour
- G02F1/13—Devices or arrangements for the control of the intensity, colour, phase, polarisation or direction of light arriving from an independent light source, e.g. switching, gating or modulating; Non-linear optics for the control of the intensity, phase, polarisation or colour based on liquid crystals, e.g. single liquid crystal display cells
- G02F1/133—Constructional arrangements; Operation of liquid crystal cells; Circuit arrangements
- G02F1/1333—Constructional arrangements; Manufacturing methods
- G02F1/1335—Structural association of cells with optical devices, e.g. polarisers or reflectors
- G02F1/1336—Illuminating devices
- G02F1/13362—Illuminating devices providing polarized light, e.g. by converting a polarisation component into another one
-
- G—PHYSICS
- G02—OPTICS
- G02F—OPTICAL DEVICES OR ARRANGEMENTS FOR THE CONTROL OF LIGHT BY MODIFICATION OF THE OPTICAL PROPERTIES OF THE MEDIA OF THE ELEMENTS INVOLVED THEREIN; NON-LINEAR OPTICS; FREQUENCY-CHANGING OF LIGHT; OPTICAL LOGIC ELEMENTS; OPTICAL ANALOGUE/DIGITAL CONVERTERS
- G02F1/00—Devices or arrangements for the control of the intensity, colour, phase, polarisation or direction of light arriving from an independent light source, e.g. switching, gating or modulating; Non-linear optics
- G02F1/01—Devices or arrangements for the control of the intensity, colour, phase, polarisation or direction of light arriving from an independent light source, e.g. switching, gating or modulating; Non-linear optics for the control of the intensity, phase, polarisation or colour
- G02F1/13—Devices or arrangements for the control of the intensity, colour, phase, polarisation or direction of light arriving from an independent light source, e.g. switching, gating or modulating; Non-linear optics for the control of the intensity, phase, polarisation or colour based on liquid crystals, e.g. single liquid crystal display cells
- G02F1/133—Constructional arrangements; Operation of liquid crystal cells; Circuit arrangements
- G02F1/1333—Constructional arrangements; Manufacturing methods
- G02F1/1335—Structural association of cells with optical devices, e.g. polarisers or reflectors
- G02F1/13363—Birefringent elements, e.g. for optical compensation
- G02F1/133633—Birefringent elements, e.g. for optical compensation using mesogenic materials
-
- G—PHYSICS
- G02—OPTICS
- G02F—OPTICAL DEVICES OR ARRANGEMENTS FOR THE CONTROL OF LIGHT BY MODIFICATION OF THE OPTICAL PROPERTIES OF THE MEDIA OF THE ELEMENTS INVOLVED THEREIN; NON-LINEAR OPTICS; FREQUENCY-CHANGING OF LIGHT; OPTICAL LOGIC ELEMENTS; OPTICAL ANALOGUE/DIGITAL CONVERTERS
- G02F1/00—Devices or arrangements for the control of the intensity, colour, phase, polarisation or direction of light arriving from an independent light source, e.g. switching, gating or modulating; Non-linear optics
- G02F1/01—Devices or arrangements for the control of the intensity, colour, phase, polarisation or direction of light arriving from an independent light source, e.g. switching, gating or modulating; Non-linear optics for the control of the intensity, phase, polarisation or colour
- G02F1/13—Devices or arrangements for the control of the intensity, colour, phase, polarisation or direction of light arriving from an independent light source, e.g. switching, gating or modulating; Non-linear optics for the control of the intensity, phase, polarisation or colour based on liquid crystals, e.g. single liquid crystal display cells
- G02F1/133—Constructional arrangements; Operation of liquid crystal cells; Circuit arrangements
- G02F1/1333—Constructional arrangements; Manufacturing methods
- G02F1/1335—Structural association of cells with optical devices, e.g. polarisers or reflectors
- G02F1/13363—Birefringent elements, e.g. for optical compensation
- G02F1/133635—Multifunctional compensators
-
- G—PHYSICS
- G02—OPTICS
- G02F—OPTICAL DEVICES OR ARRANGEMENTS FOR THE CONTROL OF LIGHT BY MODIFICATION OF THE OPTICAL PROPERTIES OF THE MEDIA OF THE ELEMENTS INVOLVED THEREIN; NON-LINEAR OPTICS; FREQUENCY-CHANGING OF LIGHT; OPTICAL LOGIC ELEMENTS; OPTICAL ANALOGUE/DIGITAL CONVERTERS
- G02F2202/00—Materials and properties
- G02F2202/02—Materials and properties organic material
- G02F2202/022—Materials and properties organic material polymeric
Definitions
- the present invention relates to a polymer, a composition, an optical film, and a liquid crystal display device.
- Polymer materials are increasingly used in many fields in recent years. Accordingly, the characteristics of the surface and interface of the polymer as a matrix are important as well as the properties of the polymer according to each field.
- a polymerizable liquid crystal material as an optical compensation film (retardation plate) disposed between a liquid crystal cell and a polarizing plate, followed by UV curing and alignment.
- the optical compensation film may be produced by applying a polymerizable liquid crystal material on the alignment film.
- the alignment regulating force of the alignment film acts at the interface in contact with the alignment film, but there is a problem that the alignment regulating force hardly acts near the interface with the air not in contact with the alignment film, resulting in an alignment defect.
- Patent Document 1 proposes adding a polymer containing a fluoroalkyl group to a polymerizable liquid crystal composition. It is disclosed that by using such a polymer, an optical anisotropic body having no alignment defect in the vicinity of the air interface can be provided.
- This polymer uses a monomer having a radical polymerizable double bond as a raw material, and mono (meth) acrylate represented by the general formula (1) is described as an example of the monomer.
- Patent Document 2 discloses a method for producing a retardation plate having an optically anisotropic layer without using an alignment film.
- a monomer having a double bond is produced by terminal conversion reaction or polymer reaction, and a polymer obtained by polymerizing this monomer is added to obtain an optical component.
- An anisotropic layer is formed.
- dendritic polymers such as dendrimers and hyperbranched polymers have different properties from ordinary linear polymers, and their application has attracted attention.
- Non-Patent Documents 1 and 2 describe a method for obtaining a highly branched polymer in which an initiator is incorporated at a polymer terminal by polymerizing a monomer in the presence of a high concentration radical polymerization initiator, so-called initiator-incorporated radical polymerization.
- an initiator is incorporated at a polymer terminal by polymerizing a monomer in the presence of a high concentration radical polymerization initiator, so-called initiator-incorporated radical polymerization.
- a method for producing a hyperbranched polymer using a styrene compound having two vinyl groups and an azo polymerization initiator is described. It is described that the polymer thus obtained has low viscosity and good solubility.
- a polymer containing a fluorine atom such as the above-mentioned polymer containing a fluoroalkyl group, for example, a fluorine-based surfactant or a silicone-based surfactant is unevenly distributed on the coating film surface using its hydrophobic group, Reduce the surface tension of the coating.
- a fluorine-based surfactant or a silicone-based surfactant is unevenly distributed on the coating film surface using its hydrophobic group, Reduce the surface tension of the coating.
- the surface tension of the coating liquid is insufficient with respect to the hydrophobic surface of the film.
- so-called repellency that the coating liquid is repelled and not applied on the film surface occurs.
- the present invention has an object to provide a novel polymer that is less likely to cause repellency by improving the wettability during coating even when the viscosity is low, when used in coating film formation. To do. It is another object of the present invention to provide a composition containing this polymer. Furthermore, the present invention provides an optical film having a surface that can function as a support film for producing a laminated film and that is unlikely to cause repelling of a coating liquid for forming an upper layer, and a liquid crystal display device including the optical film. The issue is to provide.
- the present inventors synthesized a polymer containing a mesogenic group derived from a rod-like liquid crystal compound or a disk-like liquid crystal compound that has not been studied conventionally as a branched structure. It was found that by using a composition containing the obtained polymer, an optical film with reduced coating unevenness, repellency, and alignment defects was obtained.
- the polymer of the present invention has a partial structure obtained by radical polymerization of a mesogenic group derived from at least one liquid crystal compound selected from a rod-like liquid crystal compound and a discotic liquid crystal compound, and a compound having two or more polymerizable groups. Including and branched.
- the “branched” polymer means that it has a three-dimensional cross-linked structure and at least one polymerization initiator fragment is incorporated at the end.
- the polymerization initiator fragment varies depending on the polymerization initiator structure used when polymerizing the polymer, but it can be determined by methods such as NMR (nuclear magnetic resonance) spectrum measurement, IR (infrared) spectrum measurement, mass spectrometry measurement, or elemental analysis measurement. It can be confirmed that polymer fragments are incorporated in the polymer.
- the compound having a mesogenic group derived from a rod-like liquid crystal compound and two or more polymerizable groups is preferably a compound represented by the following general formula (X).
- Q X1 and Q X2 each independently represent a polymerizable group
- L X1 and L X4 each independently represent a divalent linking group
- L X2 and L X3 each independently represent a single bond
- it represents a divalent linking group
- Cy X1 , Cy X2 and Cy X3 represent a divalent cyclic group
- nx represents an integer of 0 to 3.
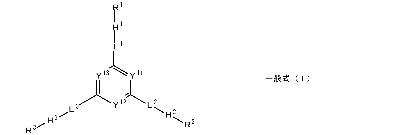
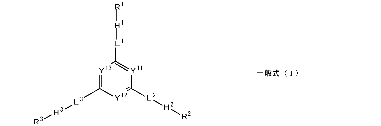
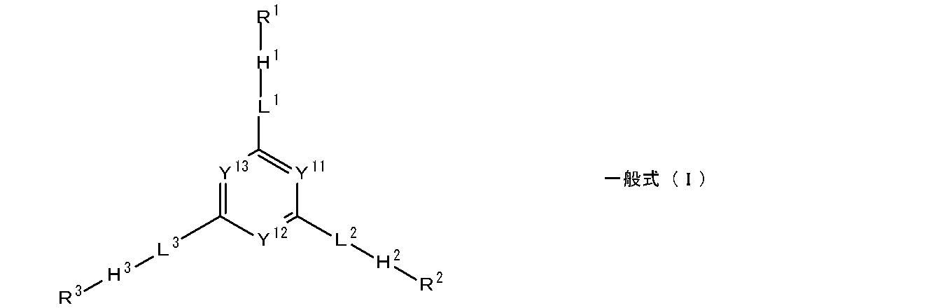
- the compound having a mesogenic group derived from a discotic liquid crystal compound and two or more polymerizable groups is preferably a compound represented by the following general formula (I).
- Y 11 , Y 12 and Y 13 each independently represent a methine or nitrogen atom which may be substituted, and L 1 , L 2 and L 3 each independently represent a single bond or two H 1 , H 2 and H 3 each independently represents the following general formula (IA) or the following general formula (IB), and R 1 , R 2 and R 3 are Each independently represents the following general formula (IR).
- YA 1 and YA 2 each independently represents a methine or nitrogen atom which may have a substituent
- XA represents an oxygen atom, a sulfur atom, methylene or imino
- YB 1 and YB 2 each independently represent a methine or nitrogen atom which may have a substituent, XB represents an oxygen atom, a sulfur atom, methylene or imino; Represents a position bonded to the L 1 to L 3 side in the general formula (I), and ** represents a position bonded to the R 1 to R 3 side in the general formula (I).
- * represents a position bonded to the H 1 to H 3 side in the general formula (I)
- L r1 represents a single bond or a divalent linking group
- Q 2 represents at least one kind N1 represents an integer of 0 to 4
- L r2 and L r3 each independently represent a divalent linking group
- Q 1 represents a polymerizable group or a hydrogen atom.
- at least two of Q 1 present in a plurality represent a polymerizable group.
- the polymer of the present invention preferably contains a partial structure obtained by polymerizing a compound having a fluorine atom.
- the compound having a fluorine atom is preferably a compound represented by the following general formula (a).
- R a1 represents a hydrogen atom or an alkyl group having 1 to 20 carbon atoms
- R a2 represents an alkyl group having 1 to 20 carbon atoms in which at least one carbon atom has a fluorine atom as a substituent
- An alkenyl group having 1 to 20 carbon atoms is represented.
- the weight average molecular weight of the polymer of the present invention is 1,000 to 300,000 in terms of polystyrene by gel permeation chromatography (GPC).
- composition of the present invention contains the polymer of the present invention.
- composition of the present invention may further contain a liquid crystal compound.
- the liquid crystal compound may be a polymerizable liquid crystal compound.
- the polymerizable liquid crystal compound of the present invention is preferably at least one polymerizable liquid crystal compound selected from a polymerizable rod-like liquid crystal compound and a polymerizable discotic liquid crystal compound.
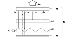
- the optical film of the present invention comprises a cholesteric liquid crystal layer containing the polymer of the present invention on a support.
- the optical film of the present invention may have a laminated structure formed by laminating a plurality of cholesteric liquid crystal layers.
- the cholesteric liquid crystal layer means a layer in which the phase of the liquid crystal compound is fixed in cholesteric alignment by applying and drying a composition containing a liquid crystal compound and then curing the composition.
- At least one layer is preferably a cholesteric liquid crystal layer containing a rod-like liquid crystal compound, and at least one layer is preferably a cholesteric liquid crystal layer containing a discotic liquid crystal compound.
- a cholesteric liquid crystal layer containing a rod-like liquid crystal compound and a cholesteric liquid crystal layer containing a discotic liquid crystal compound may be in contact with each other.
- the liquid crystal display device of the present invention includes at least a backlight unit including the optical film of the present invention and a liquid crystal cell.
- the polymer of the present invention has a partial structure obtained by polymerizing a mesogenic group derived from at least one liquid crystal compound selected from a rod-like liquid crystal compound and a discotic liquid crystal compound, and a compound having two or more polymerizable groups.
- the polymer of the present invention when used for a coating solution, the wettability of the coating solution is improved and repellency is unlikely to occur.
- an upper layer is further applied on the surface of the coating film, it is difficult to cause repellency of the coating solution.
- the polymer or composition of the present invention it is possible to obtain an optical film that hardly causes repelling of the coating liquid for forming the upper layer, has a good surface shape, and has reduced alignment defects. .
- a numerical range expressed using “to” means a range including numerical values described before and after “to” as a lower limit value and an upper limit value.
- the polymer of the present invention has a partial structure obtained by radical polymerization of a mesogenic group derived from at least one liquid crystal compound selected from a rod-like liquid crystal compound and a discotic liquid crystal compound, and a compound having two or more polymerizable groups. Including and branched.
- the polymer of the present invention is a polymer containing a mesogenic group derived from a rod-like liquid crystal compound or a disk-like liquid crystal compound as a branched structure (hereinafter sometimes referred to as a mesogen-containing polymer), Compared with a molecular liquid crystal polymer, the molecule has a large number of branched structures, so that there are few entanglements between molecular chains of the polymer, and the solubility in various solvents and the compatibility with the matrix resin are high. Therefore, the coating film excellent in surface property can be formed by using the composition containing the mesogen group polymer of the present invention.
- the mesogen-containing polymer of the present invention contains a mesogenic group derived from a rod-like liquid crystal compound or a discotic liquid crystal compound.
- Examples of the rod-like liquid crystal compound that forms a mesogenic group in the mesogen-containing polymer of the present invention include azomethines, azoxys, cyanobiphenyls, cyanophenyl esters, benzoic acid esters, cyclohexanecarboxylic acid phenyl esters, cyanophenyl. Cyclohexanes, cyano-substituted phenylpyrimidines, alkoxy-substituted phenylpyrimidines, phenyldioxanes, tolanes and alkenylcyclohexylbenzonitriles are preferably used.
- Q X1 and Q X2 each independently represent a polymerizable group
- L X1 and L X4 each independently represent a divalent linking group
- L X2 and L X3 each independently represent a single bond or divalent Cy X1
- Cy X2 and Cy X3 each represent a divalent cyclic group
- nx represents an integer of 0 to 3.
- Q X1 and Q X2 are each independently a polymerizable group.
- the polymerization reaction of the polymerizable group is preferably addition polymerization.
- the polymerizable group is preferably a functional group capable of an addition polymerization reaction.
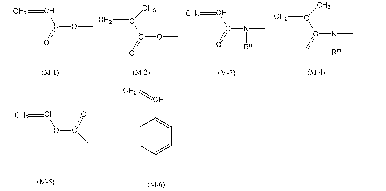
- Examples of the polymerizable group include the following formulas (M-1) to (M-6).
- R m represents a hydrogen atom or an alkyl group having 1 to 20 carbon atoms, more preferably an alkyl group having 1 to 7 carbon atoms, and a hydrogen atom or a methyl group being Most preferred.
- (M-1) to (M-6) (M-1) or (M-2) is preferable, and (M-1) is more preferable.
- L X1 and L X4 are each independently a divalent linking group.
- L X1 and L X4 are each independently —O—, —S—, —CO—, —NR x1 —, —C ⁇ N— , a divalent chain group, a divalent cyclic group, and combinations thereof.
- a divalent linking group selected from the group consisting of R x1 is a hydrogen atom or an alkyl group having 1 to 7 carbon atoms.
- the example of the bivalent coupling group which consists of a combination is shown below. Here, the left side is bonded to Q (Q X1 or Q X2 ), and the right side is bonded to Cy (Cy X1 or Cy X3 ).
- Lx-1 —C ( ⁇ O) O—divalent chain group —O— Lx-2: —C ( ⁇ O) O—divalent chain group —OC ( ⁇ O) — Lx-3: —C ( ⁇ O) O—divalent chain group —OC ( ⁇ O) O— Lx-4: —C ( ⁇ O) O—divalent chain group—O—divalent cyclic group— Lx-5: —C ( ⁇ O) O—divalent chain group —O—divalent cyclic group —C ( ⁇ O) O— Lx-6: —C ( ⁇ O) O—divalent chain group —O—divalent cyclic group —OC ( ⁇ O) — Lx-7: —C ( ⁇ O) O—divalent chain group—O—divalent cyclic group—divalent chain group— Lx-8: —C ( ⁇ O) O—divalent chain group—O—divalent cyclic group—divalent chain group—C ( ⁇ O
- the divalent chain group means an alkylene group, a substituted alkylene group, an alkenylene group, a substituted alkenylene group, an alkynylene group, or a substituted alkynylene group.
- An alkylene group, a substituted alkylene group, an alkenylene group and a substituted alkenylene group are preferred, and an alkylene group and an alkenylene group are more preferred.
- the alkylene group may have a branch.
- the alkylene group preferably has 1 to 12 carbon atoms, more preferably 2 to 10 carbon atoms, and most preferably 2 to 8 carbon atoms.
- the alkylene part of the substituted alkylene group is the same as the above alkylene group.
- the substituent examples include a halogen atom.
- the alkenylene group may have a branch.
- the alkenylene group preferably has 2 to 12 carbon atoms, more preferably 2 to 10 carbon atoms, and most preferably 2 to 8 carbon atoms.
- the alkenylene part of the substituted alkenylene group is the same as the above alkenylene group.
- Examples of the substituent include a halogen atom.
- the alkynylene group may have a branch.
- the alkynylene group preferably has 2 to 12 carbon atoms, more preferably 2 to 10 carbon atoms, and most preferably 2 to 8 carbon atoms.
- the alkynylene part of the substituted alkynylene group is the same as the above alkynylene group.
- substituents include a halogen atom.
- divalent chain group include ethylene, trimethylene, propylene, tetramethylene, 2-methyl-tetramethylene, pentamethylene, hexamethylene, octamethylene, 2-butenylene, 2-butynylene and the like.
- divalent cyclic group The definition and examples of the divalent cyclic group are the same as the definitions and examples of Cy X1 , Cy X2 and Cy X3 described later.
- L X2 and L X3 are each independently a single bond or a divalent linking group.
- L X2 and L X3 are each independently —O—, —S—, —CO—, —NR x2 —, —C ⁇ N— , a divalent chain group, a divalent cyclic group, and combinations thereof.
- It is preferably a divalent linking group or a single bond selected from the group consisting of R x2 is a hydrogen atom or an alkyl group having 1 to 7 carbon atoms, preferably a hydrogen atom or an alkyl group having 1 to 4 carbon atoms, and preferably a hydrogen atom, a methyl group, or an ethyl group.
- the divalent chain group and the divalent cyclic group have the same definitions as in L X1 and L X4 .
- R xa and R xb each independently represent a hydrogen atom or an alkyl group (for example, an alkyl group having 1 to 3 carbon atoms, preferably a methyl group), jx represents an integer of 1 or more, and 1 to 3 It is preferably an integer in the range.
- nx represents 0, 1, 2, or 3.
- nx is 2 or 3
- a plurality of L X3 may be the same or different
- a plurality of Cy X2 may be the same or different.
- nx is preferably 1 or 2, and more preferably 1.
- Cy X1 , Cy X2 and Cy X3 are each independently a divalent cyclic group.
- the ring contained in the divalent cyclic group is preferably a 5-membered ring, 6-membered ring, or 7-membered ring, more preferably a 5-membered ring or 6-membered ring, and a 6-membered ring. Most preferred.
- the ring contained in the cyclic group may be a condensed ring. However, it is more preferably a monocycle than a condensed ring.
- the ring contained in the cyclic group may be any of an aromatic ring, an aliphatic ring, and a heterocyclic ring.
- the aromatic ring include a benzene ring and a naphthalene ring.
- the aliphatic ring include a cyclohexane ring.
- the heterocyclic ring include a pyridine ring and a pyrimidine ring.
- 1,4-phenylene is preferable.
- As the cyclic group having a naphthalene ring naphthalene-1,5-diyl and naphthalene-2,6-diyl are preferable.
- the cyclic group having a cyclohexane ring is preferably 1,4-cyclohexylene.
- the cyclic group having a pyridine ring is preferably pyridine-2,5-diyl.
- the cyclic group having a pyrimidine ring is preferably pyrimidine-2,5-diyl.
- the cyclic group may have a substituent.
- substituents include a halogen atom, a cyano group, a nitro group, an alkyl group having 1 to 5 carbon atoms, a halogen-substituted alkyl group having 1 to 5 carbon atoms, an alkoxy group having 1 to 5 carbon atoms, and a carbon number Is an alkylthio group having 1 to 5 carbon atoms, an acyloxy group having 2 to 6 carbon atoms, an alkoxycarbonyl group having 2 to 6 carbon atoms, a carbamoyl group, an alkyl-substituted carbamoyl group having 2 to 6 carbon atoms, and 2 to 6 carbon atoms Of the acylamino group.
- the structure derived from the compound represented by the general formula (X) includes a compound represented by the following general formula (XI) and a compound represented by the following general formula (X-II). Most preferably, it contains at least one selected.
- R 101 to R 104 each independently represents a polymerizable group
- X 101 and Y 101 each independently represent a hydrogen atom, a methyl group, ethyl Represents a group, a halogen group, a fluorinated alkyl group, or an aldehyde group.
- the halogen group include a chlorine atom and a bromine atom.
- the definition of R 101 to R 104 is the same as the definition of Q X1 and Q x4 , but is a group represented by — (CH 2 ) ny—O (O ⁇ ) C— CH ⁇ C (R xc R xd ). Preferably there is.
- R xc and R xd each independently represent a hydrogen atom or an alkyl group (for example, an alkyl group having 1 to 3 carbon atoms, preferably a methyl group), and ny is preferably an integer of 2 to 8. From the viewpoint of suppressing crystal precipitation, it is preferable that X 101 and Y 101 in the general formula (XI) or (X-II) represent a methyl group. From the viewpoint of exhibiting properties as a liquid crystal, ny is preferably an integer of 4 to 8.
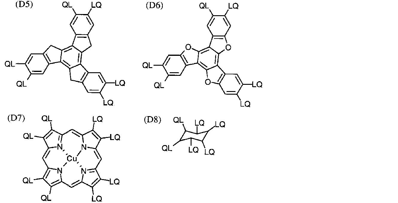
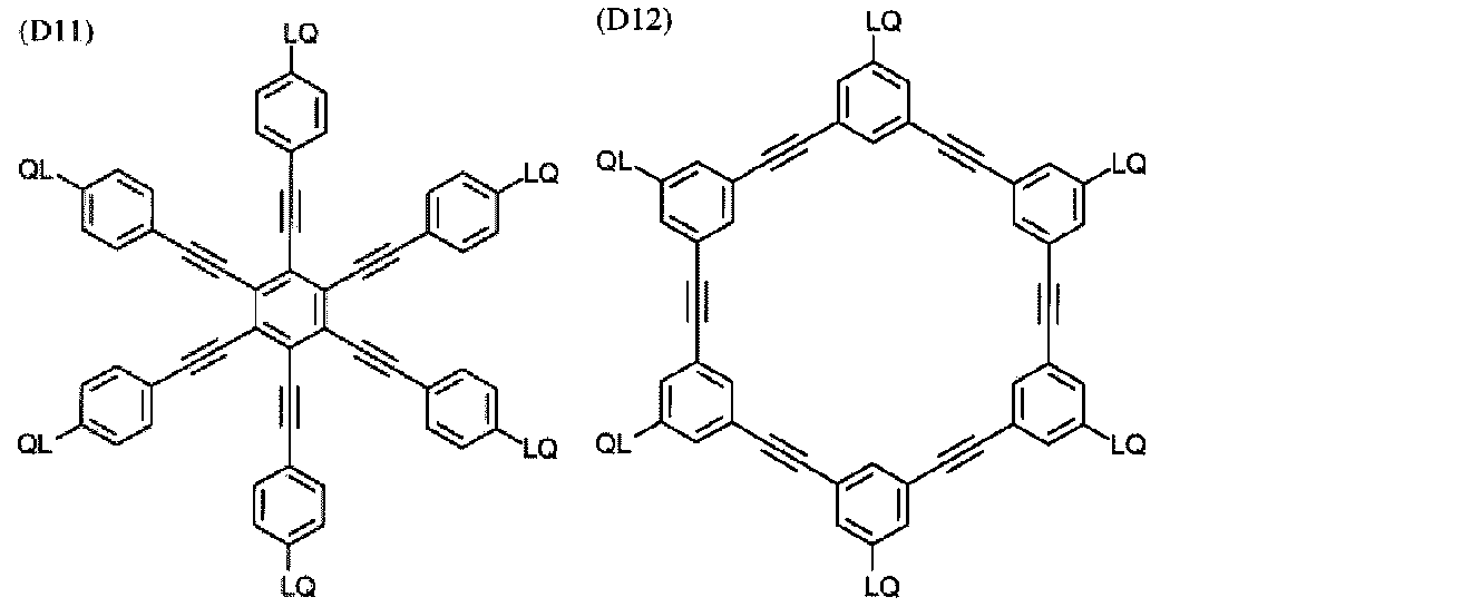
- the mesogenic group derived from the discotic liquid crystal compound includes a structure derived from the compound represented by the following general formula (I).
- Y 11 , Y 12 and Y 13 each independently represent a methine or nitrogen atom which may have a substituent
- L 1 , L 2 and L 3 each independently represent a single bond Or it represents a divalent linking group
- H 1 , H 2 and H 3 each independently represent a group of the general formula (IA) or (IB).
- YA 1 and YA 2 each independently represents a methine or nitrogen atom which may have a substituent
- XA represents an oxygen atom, a sulfur atom, methylene or imino
- YB 1 and YB 2 each independently represent a methine or nitrogen atom which may have a substituent, XB represents an oxygen atom, a sulfur atom, methylene or imino; Represents a position bonded to the L 1 to L 3 side in the general formula (I), and ** represents a position bonded to the R 1 to R 3 side in the general formula (I).
- R 1 , R 2 and R 3 each independently represents the following general formula (IR).
- * represents a position bonded to the H 1 to H 3 side in the general formula (I)
- L r1 represents a single bond or a divalent linking group
- Q 2 represents at least 1 Represents a divalent group (cyclic group) having a kind of cyclic structure
- n1 represents an integer of 0 to 4
- L r2 and L r3 each independently represent a divalent linking group
- Q 1 represents a polymerizable group A group or a hydrogen atom is represented, but at least two of the plurality of Q 1 represent a polymerizable group.
- Y 11 , Y 12 and Y 13 each independently represent a methine which may have a substituent or a nitrogen atom, preferably a methine which may have a substituent, and no methine. More preferred is substitution.
- Examples of the substituent that methine may have include an alkyl group, an alkoxy group, an aryloxy group, an acyl group, an alkoxycarbonyl group, an acyloxy group, an acylamino group, an alkoxycarbonylamino group, an alkylthio group, an arylthio group, a halogen atom, and A cyano group can be mentioned as a preferred example.
- an alkyl group, an alkoxy group, an alkoxycarbonyl group, an acyloxy group, a halogen atom and a cyano group are more preferable, an alkyl group having 1 to 12 carbon atoms, an alkoxy group having 1 to 12 carbon atoms, and a carbon number More preferred are an alkoxycarbonyl group having 2 to 12 carbon atoms, an acyloxy group having 2 to 12 carbon atoms, a halogen atom and a cyano group.
- L 1 , L 2 and L 3 each independently represents a single bond or a divalent linking group.
- L 1 , L 2 and L 3 are divalent linking groups, each independently represents —O—, —S—, —C ( ⁇ O) —, —NR 7 —, —CH ⁇ CH—, —C
- R 7 is a hydrogen atom or an alkyl group having 1 to 7 carbon atoms, preferably a hydrogen atom or an alkyl group having 1 to 4 carbon atoms, and more preferably a hydrogen atom, a methyl group, or an ethyl group.
- it is a hydrogen atom.
- the divalent cyclic group in L 1 , L 2 and L 3 is a divalent linking group having at least one cyclic structure (hereinafter sometimes referred to as a cyclic group).
- the cyclic group is preferably a 5-membered ring, a 6-membered ring, or a 7-membered ring, more preferably a 5-membered ring or a 6-membered ring, and most preferably a 6-membered ring.
- the ring contained in the cyclic group may be a condensed ring. However, it is more preferably a monocycle than a condensed ring.
- the ring contained in the cyclic group may be any of an aromatic ring, an aliphatic ring, and a heterocyclic ring.
- Preferred examples of the aromatic ring include a benzene ring and a naphthalene ring.
- a preferable example of the aliphatic ring is a cyclohexane ring.
- the heterocyclic ring is preferably a ring containing at least one sulfur atom, nitrogen atom or oxygen atom, and preferred examples include a pyridine ring, a pyrimidine ring and an oxadiazole ring.
- the cyclic group is more preferably an aromatic ring or a heterocyclic ring.
- the divalent cyclic group in the present invention is more preferably a divalent linking group consisting of only a cyclic structure (including a substituent) (hereinafter the same).
- the cyclic group having a benzene ring is preferably a 1,4-phenylene group.
- a naphthalene ring a naphthalene-1,5-diyl group and a naphthalene-2,6-diyl group are preferable.
- the cyclic group having a cyclohexane ring is preferably a 1,4-cyclohexylene group.
- the cyclic group having a pyridine ring is preferably a pyridine-2,5-diyl group.
- the cyclic group having a pyrimidine ring is preferably a pyrimidine-2,5-diyl group.
- a 1,2,4-oxadiazole-3,5-diyl group is preferable.
- the divalent cyclic group represented by L 1 , L 2 and L 3 may have a substituent.
- substituents include a halogen atom (preferably a fluorine atom and a chlorine atom), a cyano group, a nitro group, an alkyl group having 1 to 16 carbon atoms, an alkenyl group having 2 to 16 carbon atoms, and an alkynyl group having 2 to 16 carbon atoms.
- Halogen substituted alkyl group having 1 to 16 carbon atoms alkoxy group having 1 to 16 carbon atoms, acyl group having 2 to 16 carbon atoms, alkylthio group having 1 to 16 carbon atoms, acyloxy group having 2 to 16 carbon atoms, carbon number
- alkoxycarbonyl group having 2 to 16 carbon atoms a carbamoyl group, a carbamoyl group substituted with an alkyl group having 2 to 16 carbon atoms, and an acylamino group having 2 to 16 carbon atoms.
- * represents the position bonded to the 6-membered ring side including Y 11 , Y 12 and Y 13 in the general formula (I).
- H 1 , H 2 and H 3 each independently represent a group of general formula (IA) or (IB).
- YA 1 and YA 2 each independently represents a methine or nitrogen atom which may have a substituent
- XA represents an oxygen atom, a sulfur atom, methylene or imino
- YB 1 and YB 2 each independently represent a methine or nitrogen atom which may have a substituent, XB represents an oxygen atom, a sulfur atom, methylene or imino; Represents a position bonded to the L 1 to L 3 side in the general formula (I), and ** represents a position bonded to the R 1 to R 3 side in the general formula (I).
- R 1 , R 2 and R 3 each independently represents the following general formula (IR).
- * represents a position bonded to the H 1 to H 3 side in the general formula (I).
- L r1 represents a single bond or a divalent linking group.
- Q 2 represents a divalent group (cyclic group) having at least one kind of cyclic structure.
- L r1 represents a single bond or a divalent linking group.
- L r1 is a divalent linking group, the group consisting of —O—, —S—, —C ( ⁇ O) —, —NR 7 —, —CH ⁇ CH—, —C ⁇ C—, and combinations thereof It is preferably a divalent linking group selected more.
- R 7 is a hydrogen atom or an alkyl group having 1 to 7 carbon atoms, preferably a hydrogen atom or an alkyl group having 1 to 4 carbon atoms, more preferably a hydrogen atom, a methyl group, or a methyl group. The hydrogen atom is most preferred.
- Q 2 represents a divalent group (cyclic group) having at least one kind of cyclic structure.
- a cyclic group having a 5-membered ring, a 6-membered ring, or a 7-membered ring is preferable, a cyclic group having a 5-membered ring or a 6-membered ring is more preferable, and a cyclic group having a 6-membered ring is preferable.
- the cyclic structure contained in the cyclic group may be a condensed ring. However, it is more preferably a monocycle than a condensed ring.
- the ring contained in the cyclic group may be any of an aromatic ring, an aliphatic ring, and a heterocyclic ring.
- the aromatic ring include a benzene ring, a naphthalene ring, an anthracene ring, and a phenanthrene ring.
- a preferable example of the aliphatic ring is a cyclohexane ring.
- the heterocyclic ring preferably has at least one nitrogen atom or oxygen atom, and preferred examples include a pyridine ring, a pyrimidine ring, and an oxadiazole ring.
- the cyclic group having a benzene ring is preferably a 1,4-phenylene group.
- the cyclic group having a naphthalene ring include naphthalene-1,4-diyl group, naphthalene-1,5-diyl group, naphthalene-1,6-diyl group, naphthalene-2,5-diyl group, naphthalene-2,6.
- a diylnaphthalene-2,7-diyl group is preferred.
- the cyclic group having a cyclohexane ring is preferably a 1,4-cyclohexylene group.
- the cyclic group having a pyridine ring is preferably a pyridine-2,5-diyl group.
- the cyclic group having a pyrimidine ring is preferably a pyrimidine-2,5-diyl group.
- As the oxadiazole ring a 1,2,4-oxadiazole-3,5-diyl group is preferable. Among these, 1,4-phenylene group, naphthalene-2,6-diyl group, 1,4-cyclohexylene group, and 1,2,4-oxadiazole-3,5-diyl group are particularly preferable.
- Q 2 may have a substituent.
- substituents include a halogen atom (a fluorine atom, a chlorine atom, a bromine atom, an iodine atom), a cyano group, a nitro group, an alkyl group having 1 to 16 carbon atoms, an alkenyl group having 2 to 16 carbon atoms, and 2 carbon atoms.
- alkynyl group alkyl group substituted with halogen having 1 to 16 carbon atoms, alkoxy group having 1 to 16 carbon atoms, acyl group having 2 to 16 carbon atoms, alkylthio group having 1 to 16 carbon atoms, 2 carbon atoms
- a halogen atom, a cyano group, an alkyl group having 1 to 6 carbon atoms, and an alkyl group substituted with a halogen having 1 to 6 carbon atoms are preferable.
- An alkyl group substituted with 4 to 4 halogen atoms is more preferable, and a halogen atom, an alkyl group having 1 to 3 carbon atoms, and a trifluoromethyl group are more preferable.
- N1 represents an integer of 0-4.
- n1 is preferably an integer of 1 to 3, and more preferably 1 or 2.
- L r2 is preferably ** — O—, ** — O—C ( ⁇ O) —, ** — C ( ⁇ O) —O—, ** — O—C ( ⁇ O) —O—.
- Examples of such a substituent include a halogen atom, a cyano group, a nitro group, an alkyl group having 1 to 6 carbon atoms, an alkyl group substituted with a halogen having 1 to 6 carbon atoms, an alkoxy group having 1 to 6 carbon atoms, A carbamoyl substituted by an acyl group having 2 to 6 carbon atoms, an alkylthio group having 1 to 6 carbon atoms, an acyloxy group having 2 to 6 carbon atoms, an alkoxycarbonyl group having 2 to 6 carbon atoms, a carbamoyl group, and an alkyl having 2 to 6 carbon atoms And acylamino groups having 2 to 6 carbon atoms are preferred examples, and halogen atoms and alkyl groups having 1 to 6 carbon atoms are more preferred.
- L r3 is —O—, —S—, —C ( ⁇ O) —, —SO 2 —, —NH—, —CH 2 —, —CH ⁇ CH—, —C ⁇ C—, and combinations thereof.
- the hydrogen atom of —NH—, —CH 2 —, —CH ⁇ CH— may be substituted with a substituent.
- Examples of such a substituent include a halogen atom, a cyano group, a nitro group, an alkyl group having 1 to 6 carbon atoms, an alkyl group substituted with a halogen having 1 to 6 carbon atoms, an alkoxy group having 1 to 6 carbon atoms, A carbamoyl substituted by an acyl group having 2 to 6 carbon atoms, an alkylthio group having 1 to 6 carbon atoms, an acyloxy group having 2 to 6 carbon atoms, an alkoxycarbonyl group having 2 to 6 carbon atoms, a carbamoyl group, and an alkyl having 2 to 6 carbon atoms And acylamino groups having 2 to 6 carbon atoms are preferred examples, and halogen atoms and alkyl groups having 1 to 6 carbon atoms are more preferred.
- L r3 is preferably selected from the group consisting of —O—, —C ( ⁇ O) —, —CH 2 —, —CH ⁇ CH—, —C ⁇ C—, and combinations thereof.
- L r3 preferably contains 1 to 20 carbon atoms, and more preferably 2 to 14 carbon atoms. Furthermore, L r3 is, -CH 2 - preferably contains 1 to 16 pieces of, -CH 2 - is more preferable that 2 to be 12 contains.
- Q 1 represents a polymerizable group or a hydrogen atom, and at least two of the plurality of Q 1 represent a polymerizable group. Moreover, it is preferable that a plurality of Q 1 are all polymerizable groups. Definition for Q 1 has the same meaning as defined for Q X1 and Q x4, the preferable range is also the same.
- Y 11, Y 12 and Y 13 are the general formula synonymous with Y 11, Y 12 and Y 13 in (I), R 11, R 12 and R 13 are each independently The following general formula (I′-A), the following general formula (I′-B), or the following general formula (I′-C) is represented.
- a 11 , A 12 , A 13 , A 14 , A 15 and A 16 each independently represents a methine group or nitrogen atom which may have a substituent
- X 1 represents , Oxygen atom, sulfur atom, methylene or imino
- L 11 and L 12 each independently represent a divalent linking group
- Q 11 represents a polymerizable group or a hydrogen atom.
- a 21 , A 22 , A 23 , A 24 , A 25 and A 26 each independently represents a methine group or nitrogen atom which may have a substituent
- X 2 represents , Oxygen atom, sulfur atom, methylene or imino
- L 21 and L 22 each independently represent a divalent linking group
- Q 21 represents a polymerizable group or a hydrogen atom.
- a 31 , A 32 , A 33 , A 34 , A 35 and A 36 each independently represents a methine group or nitrogen atom which may have a substituent
- X 3 represents , Oxygen atom, sulfur atom, methylene or imino
- L 31 and L 32 each independently represent a divalent linking group
- Q 31 represents a polymerizable group or a hydrogen atom.
- Q 11 , Q 21 and Q 31 represent a polymerizable group.
- Y 11, Y 12 and Y 13 are the general formula synonymous with Y 11, Y 12 and Y 13 in (I), preferable ranges are also the same.
- R 11 , R 12 and R 13 each independently represent the following general formula (I′-A), the following general formula (I′-B) or the following general formula (I′-C).
- general formula (I′-A) or general formula (I′-C) is preferable, and general formula (I′-A) is more preferable.
- a 11 , A 12 , A 13 , A 14 , A 15 and A 16 each independently represents a methine group or nitrogen atom which may have a substituent. At least one of A 11 and A 12 is preferably a nitrogen atom, and more preferably both are nitrogen atoms.
- a 13 , A 14 , A 15 and A 16 are preferably methine which may have a substituent among them, more preferably methine which may have a substituent. preferable. Furthermore, this methine is preferably unsubstituted.
- Examples of the substituent in the case of methine in which A 11 , A 12 , A 13 , A 14 , A 15 or A 16 may have a substituent include a halogen atom (fluorine atom, chlorine atom, bromine atom, iodine Atom), a cyano group, a nitro group, an alkyl group having 1 to 16 carbon atoms, an alkenyl group having 2 to 16 carbon atoms, an alkynyl group having 2 to 16 carbon atoms, an alkyl group substituted with a halogen having 1 to 16 carbon atoms, An alkoxy group having 1 to 16 carbon atoms, an acyl group having 2 to 16 carbon atoms, an alkylthio group having 1 to 16 carbon atoms, an acyloxy group having 2 to 16 carbon atoms, an alkoxycarbonyl group having 2 to 16 carbon atoms, a carbamoyl group, carbon An alkyl-substituted carbamoyl group
- a halogen atom, a cyano group, an alkyl group having 1 to 6 carbon atoms, and an alkyl group substituted with a halogen having 1 to 6 carbon atoms are preferable.
- An alkyl group substituted with 4 to 4 halogen atoms is more preferable, and a halogen atom, an alkyl group having 1 to 3 carbon atoms, and a trifluoromethyl group are more preferable.
- X 1 represents an oxygen atom, a sulfur atom, methylene or imino, and preferably an oxygen atom.
- a 21 , A 22 , A 23 , A 24 , A 25 and A 26 each independently represents a methine group or nitrogen atom which may have a substituent. At least one of A 21 and A 22 is preferably a nitrogen atom, and more preferably both are nitrogen atoms.
- a 23 , A 24 , A 25 and A 26 are preferably methine which may have a substituent among them, more preferably methine which may have a substituent. preferable. Furthermore, this methine is preferably unsubstituted.
- Examples of the substituent in the case of methine in which A 21 , A 22 , A 23 , A 24 , A 25 or A 26 may have a substituent include a halogen atom (fluorine atom, chlorine atom, bromine atom, iodine Atom), a cyano group, a nitro group, an alkyl group having 1 to 16 carbon atoms, an alkenyl group having 2 to 16 carbon atoms, an alkynyl group having 2 to 16 carbon atoms, an alkyl group substituted with a halogen having 1 to 16 carbon atoms, An alkoxy group having 1 to 16 carbon atoms, an acyl group having 2 to 16 carbon atoms, an alkylthio group having 1 to 16 carbon atoms, an acyloxy group having 2 to 16 carbon atoms, an alkoxycarbonyl group having 2 to 16 carbon atoms, a carbamoyl group, carbon An alkyl-substituted carbamoyl group
- a halogen atom, a cyano group, an alkyl group having 1 to 6 carbon atoms, and an alkyl group substituted with a halogen having 1 to 6 carbon atoms are preferable.
- An alkyl group substituted with 4 to 4 halogen atoms is more preferable, and a halogen atom, an alkyl group having 1 to 3 carbon atoms, and a trifluoromethyl group are more preferable.
- X 2 represents an oxygen atom, a sulfur atom, methylene or imino, preferably an oxygen atom.
- a 31 , A 32 , A 33 , A 34 , A 35 and A 36 each independently represents a methine group or nitrogen atom which may have a substituent. At least one of A 31 and A 32 is preferably a nitrogen atom, and more preferably both are nitrogen atoms.
- a 33 , A 34 , A 35 and A 36 are each preferably methine which may have a substituent, and more preferably all methine which may have a substituent. Furthermore, this methine is preferably unsubstituted. In the case where A 31 , A 32 , A 33 , A 34 , A 35 or A 36 is a methine which may have a substituent, the methine may have a substituent.
- substituents examples include a halogen atom (a fluorine atom, a chlorine atom, a bromine atom, an iodine atom), a cyano group, a nitro group, an alkyl group having 1 to 16 carbon atoms, an alkenyl group having 2 to 16 carbon atoms, and 2 carbon atoms.
- halogen atom a fluorine atom, a chlorine atom, a bromine atom, an iodine atom
- cyano group a nitro group
- alkyl group having 1 to 16 carbon atoms an alkenyl group having 2 to 16 carbon atoms
- 2 carbon atoms examples include a halogen atom (a fluorine atom, a chlorine atom, a bromine atom, an iodine atom), a cyano group, a nitro group, an alkyl group having 1 to 16 carbon atoms, an alkenyl group having 2 to 16 carbon atoms,
- alkynyl group alkyl group substituted with halogen having 1 to 16 carbon atoms, alkoxy group having 1 to 16 carbon atoms, acyl group having 2 to 16 carbon atoms, alkylthio group having 1 to 16 carbon atoms, 2 carbon atoms
- a halogen atom, a cyano group, an alkyl group having 1 to 6 carbon atoms, and an alkyl group substituted with a halogen having 1 to 6 carbon atoms are preferable.
- An alkyl group substituted with 4 to 4 halogen atoms is more preferable, and a halogen atom, an alkyl group having 1 to 3 carbon atoms, and a trifluoromethyl group are more preferable.
- X 3 represents an oxygen atom, a sulfur atom, methylene or imino, preferably an oxygen atom.
- L 11 in the general formula (I′-A), L 21 in the general formula (I′-B), and L 31 in the general formula (I′-C) are each independently —O—, —C ( ⁇ O) —, —O—C ( ⁇ O) —, —C ( ⁇ O) —O—, —O—C ( ⁇ O) —O—, —S—, —NH—, —SO 2 —. , —CH 2 —, —CH ⁇ CH— or C ⁇ C—.
- —O—, —C ( ⁇ O) —, —O—C ( ⁇ O) —, —C ( ⁇ O) —O—, —O—C ( ⁇ O) —O—, —CH 2 are preferable.
- —, —CH ⁇ CH—, —C ⁇ C—, and more preferably —O—, —O—C ( ⁇ O) —, —C ( ⁇ O) —O—, —O—C ( O) —O—, —C ⁇ C—.
- L 11 in the general formula (I′-A) that can be expected to have small intrinsic birefringence wavelength dispersibility is particularly preferably —O—, —C ( ⁇ O) —O—, —C ⁇ C—.
- —C ( ⁇ O) —O— is preferable because it can exhibit a discotic nematic phase at a higher temperature.
- the hydrogen atom may be replaced with a substituent.
- Examples of such a substituent include a halogen atom, a cyano group, a nitro group, an alkyl group having 1 to 6 carbon atoms, an alkyl group substituted with a halogen having 1 to 6 carbon atoms, an alkoxy group having 1 to 6 carbon atoms, A carbamoyl substituted by an acyl group having 2 to 6 carbon atoms, an alkylthio group having 1 to 6 carbon atoms, an acyloxy group having 2 to 6 carbon atoms, an alkoxycarbonyl group having 2 to 6 carbon atoms, a carbamoyl group, and an alkyl having 2 to 6 carbon atoms And acylamino groups having 2 to 6 carbon atoms are preferred examples, and halogen atoms and alkyl groups having 1 to 6 carbon atoms are more preferred.
- L 12 in the general formula (I′-A), L 22 in the general formula (I′-B), and L 32 in the general formula (I′-C) are each independently —O—, —S A divalent linking group selected from the group consisting of —, —C ( ⁇ O) —, —SO 2 —, —NH—, —CH 2 —, —CH ⁇ CH— and C ⁇ C—, and combinations thereof.
- the hydrogen atom of —NH—, —CH 2 —, —CH ⁇ CH— may be substituted with a substituent.
- Examples of such a substituent include a halogen atom, a cyano group, a nitro group, a hydroxyl group, a carboxyl group, an alkyl group having 1 to 6 carbon atoms, an alkyl group substituted with a halogen having 1 to 6 carbon atoms, and an alkyl group having 1 to 6 carbon atoms.
- L 12 , L 22 and L 32 are each independently selected from the group consisting of —O—, —C ( ⁇ O) —, —CH 2 —, —CH ⁇ CH— and C ⁇ C—, and combinations thereof. It is preferred that
- L 12 , L 22 , and L 32 each independently preferably have 1 to 20 carbon atoms, and more preferably 2 to 14 carbon atoms.
- the number of carbon atoms is preferably 2 to 14, more preferably 1 to 16 —CH 2 —, and still more preferably 2 to 12 —CH 2 —.
- the number of carbon atoms constituting L 12 , L 22 , and L 32 affects the phase transition temperature of the liquid crystal and the solubility of the compound in the solvent. Generally the more increased the number of carbon atoms, transition temperature of the discotic nematic phase from (N D phase) to the isotropic liquid tends to decrease. Further, the solubility in a solvent generally tends to improve as the number of carbon atoms increases.
- Q 11 in the general formula (I′-A), Q 21 in the general formula (I′-B), and Q 31 in the general formula (I′-C) each independently represent a polymerizable group or a hydrogen atom. And at least two represent a polymerizable group.
- Q 11 , Q 21 , and Q 31 are preferably all polymerizable groups.
- a polymeric group it is synonymous with the polymeric group represented by QX1 or QX2 in general formula (X), and its preferable example is also the same.
- the above compounds can be synthesized by various methods, for example, by the methods described in JP-A 2007-2220, [0064] to [0070].
- Discotic liquid crystal compound as a liquid phase, it is preferable to show a columnar phase and a discotic nematic phase (N D phase), among these liquid crystal phases, a discotic nematic phase having a good monodomain property (N D Phase) is preferred.
- the discotic liquid crystal compound forming the mesogen group in the mesogen-containing polymer of the present invention includes a structure derived from a compound represented by the following general formula (1).
- D 41 represents a discotic core
- L 41 represents a divalent linking group
- Q 41 represents a polymerizable group
- n41 represents an integer of 2 to 12.
- L represents a divalent linking group
- Q represents a polymerizable group
- the divalent linking group (L 41 ) is a group consisting of an alkylene group, an alkenylene group, an arylene group, —CO—, —NH—, —O—, —S—, and combinations thereof. It is preferably a divalent linking group selected more.
- the divalent linking group (L 41 ) is a combination of at least two divalent groups selected from the group consisting of an alkylene group, an alkenylene group, an arylene group, —CO—, —NH—, —O—, and —S—.
- the divalent linking group (L 41 ) is most preferably a group obtained by combining at least two divalent groups selected from the group consisting of an alkylene group, an alkenylene group, an arylene group, —CO— and —O—. .
- the alkylene group preferably has 1 to 12 carbon atoms.
- the alkenylene group preferably has 2 to 12 carbon atoms.
- the arylene group preferably has 6 to 10 carbon atoms.
- the alkylene group, alkenylene group and arylene group may have a substituent (eg, alkyl group, halogen atom, cyano, alkoxy group, acyloxy group). Examples of the divalent linking group (L 41 ) are shown below. * Is bonded to the discotic core (D 41 ), and ** is bonded to the polymerizable group (Q 41 ).
- AL represents an alkylene group or an alkenylene group
- AR represents an arylene group.
- Q 41 represents a polymerizable group and has the same meaning as the polymerizable group represented by Q X1 or Q X2 in formula (X).
- n41 is 2 or more, a plurality of combinations of L 41 and Q 41 may be different, but are preferably the same.
- Examples of the structure derived from the compound represented by the general formula (1) include triphenylene derivatives represented by the general formulas (1) to (3) described in JP-A-7-306317, and JP-A-7-309813. And the triphenylene derivative represented by the general formula (I) described in JP-A-2001-100028 and the triphenylene derivative represented by the general formula (I) described in JP-A-2001-100028 are preferred.
- the triphenylene derivatives the following compounds having a linking group between the triphenylene structure and the polymerizable group are most preferable.
- the mesogen-containing polymer of the present invention is derived from a rod-like liquid crystal compound different from the compound represented by the general formula (X) or a discotic liquid crystal compound different from the compound represented by the general formula (I).
- a mesogenic group may be included, and for example, a mesogenic group derived from a rod-like liquid crystal compound or a discotic liquid crystal compound having one polymerizable group may be included.
- the mesogen group polymer of the present invention may contain a mesogenic group derived from a rod-like liquid crystal compound and a discotic liquid crystal compound in the same molecule.
- a mesogenic group derived from either a rod-like liquid crystal compound or a disk-like liquid crystal compound and a rod-like liquid crystal compound different from the compound represented by the general formula (X) or the general formula (
- the mesogenic group is represented by the compound represented by the general formula (X) or the general formula (I). It is preferably similar to the compound.
- the mesogen group polymer of the present invention has a structure derived from a polymer having a structure derived from a compound having a fluorine atom (hereinafter referred to as a fluorine-containing mesogen group polymer) or a compound having a siloxane bond. It is preferable that it is a polymer containing.
- a fluorine-containing mesogen group polymer or a polymer containing a structure derived from a compound having a siloxane bond the surface uneven distribution of the polymer of the present invention can be improved, for example, the surface of an optical film or the like. Modification is possible.
- the partial structure derived from the compound having a fluorine atom is preferably a structure obtained by polymerizing the compound represented by the general formula (a), and obtained by polymerizing the compound represented by the general formula (b). More preferably, the structure is
- R a1 represents a hydrogen atom or an alkyl group having 1 to 20 carbon atoms
- R a2 represents an alkyl group or carbon having 1 to 20 carbon atoms in which at least one carbon atom has a fluorine atom as a substituent.
- R a2 is a fluorine atom substituted with at least one carbon atom.
- Preferred is an alkyl group having 1 to 10 carbon atoms or an alkenylene group having 2 to 10 carbon atoms, more preferably an alkyl group having 1 to 10 carbon atoms, and more than half of the carbon atoms contained in R a2 are fluorine. It is particularly preferred to have an atom as a substituent.
- R a1 represents a hydrogen atom or an alkyl group having 1 to 20 carbon atoms
- ma and na represent an integer of 0 or more
- X represents a hydrogen atom or a fluorine atom.
- ma is preferably an integer of 1 to 10
- na is preferably 4 to 12.
- the ratio of copolymerizing the fluoroalkyl group-containing monomer is preferably from the viewpoint of reactivity and surface modification effect, preferably contains a mesogenic group derived from a rod-like liquid crystal compound or a disk-like liquid crystal compound in the molecule, and 0.01 to 100 mol, particularly preferably 0.1 to 50 mol, relative to 1 mol of a monomer having two or more polymerizable groups (hereinafter sometimes referred to as a mesogenic group monomer) Most preferred is 1 to 30 moles.
- the structure derived from the compound having a siloxane bond may be a structure having a repeating unit represented by —Si (R a3 ) (R a4 ) O— and may constitute at least a part of the molecule.
- a graft copolymer in which a polysiloxane structure is introduced into a side chain of the polymer is preferable.
- R a2 may include —Si (R a3 ) (R a4 ) O—.
- a structure obtained by polymerizing a compound represented by the following general formula (c) is more preferable.
- R a3 and R a4 are each preferably an alkyl group (an alkyl group having 1 to 10 carbon atoms, such as a methyl group, an ethyl group, or a hexyl group), or a haloalkyl group (a fluorinated alkyl group having 1 to 10 carbon atoms).
- a methyl group an alkyl group having 1 to 10 carbon atoms, such as a methyl group, an ethyl group, or a hexyl group
- a haloalkyl group a fluorinated alkyl group having 1 to 10 carbon atom
- R a1 has the same meaning as R a1 in formula (a), and the preferred range is also the same.
- R a5 is preferably an alkyl group having 1 to 12 carbon atoms, and more preferably 1 to 4 carbon atoms.
- nn is preferably 10 to 1000, more preferably 20 to 500, and particularly preferably 30 to 200.
- the repeating unit may be a single unit or a plurality of repeating units.
- nm is preferably 1 to 12, and more preferably 1 to 6.
- polysiloxane macromer containing one terminal (meth) acryloyl group for example, Silaplane 0721, 0725 (above, trade name, manufactured by Chisso Corporation), AK-5, AK-30, AK- 32 (above, trade name, manufactured by Toa Gosei Co., Ltd.), KF-100T, X-22-169AS, KF-102, X-22-3701IE, X-22-164B, X-22-164C, X- 22-5002, X-22-173B, X-22-174D, X-22-167B, X-22-161AS (above, trade name, manufactured by Shin-Etsu Chemical Co., Ltd.), and the like.
- siloxane macromer containing one terminal (meth) acryloyl group for example, Silaplane 0721, 0725 (above, trade name, manufactured by Chisso Corporation), AK-5, AK-30, AK- 32 (above, trade name, manufactured by Toa
- the ratio of copolymerizing the compound having a siloxane bond preferably contains a mesogenic group derived from a rod-like liquid crystal compound or a discotic liquid crystal compound in the molecule from the viewpoint of reactivity and surface modification effect, and The amount is 0.1 to 50 mol, particularly preferably 0.5 to 30 mol, per 1 mol of a monomer having two or more polymerizable groups (hereinafter sometimes referred to as a mesogenic group monomer).
- the mesogen-containing polymer of the present invention is a rod-like liquid crystal compound or discotic liquid crystal compound that forms the mesogen group described above, or a rod-like liquid crystal compound or discotic liquid crystal compound that forms the mesogen group described above and the fluorine atom described above. It is obtained by polymerizing a compound having a siloxane bond or a compound having a siloxane bond in the presence of a predetermined amount of a polymerization initiator. As this polymerization method, known methods such as solution polymerization, dispersion polymerization, precipitation polymerization, and bulk polymerization are used.
- solution polymerization or precipitation polymerization is preferable.
- organic solvent used here include aromatic hydrocarbon solvents such as benzene, toluene, xylene, ethylbenzene, and tetralin; aliphatic or alicyclic hydrocarbons such as n-hexane, n-heptane, mineral spirit, and cyclohexane Solvent: Halogen solvents such as methyl chloride, methyl bromide, methyl iodide, methylene dichloride, chloroform, carbon tetrachloride, trichloroethylene, perchloroethylene, orthodichlorobenzene; ethyl acetate, butyl acetate, methoxybutyl acetate, methyl cellosolve acetate , Ethyl cellosolve acetate
- aromatic hydrocarbon solvents preferred are aromatic hydrocarbon solvents, halogen solvents, ester solvents, ether solvents, ketone solvents, alcohol solvents, amide solvents, sulfoxide solvents, etc.
- toluene preferred are toluene.
- the content of the organic solvent in the entire polymerization reaction product is preferably 0. 1 part by mass of the rod-like liquid crystal compound or discotic liquid crystal compound forming the mesogenic group described above.
- the amount is 5 to 100 parts by mass, more preferably 1 to 50 parts by mass.
- the polymerization reaction is carried out under normal pressure, under pressure and under pressure, or under reduced pressure, and is preferably carried out under normal pressure in view of simplicity of the apparatus and operation. Further, preferably carried out in an atmosphere of inert gas such as N 2.
- the temperature of the polymerization reaction is preferably 50 to 200 ° C, more preferably 70 to 150 ° C. More preferably, the temperature of the polymerization reaction is carried out at a temperature that is 10 ° C.
- a solution containing a polymerization initiator described later and an organic solvent is maintained at a temperature higher by 10 ° C. or more than the 10-hour half-life temperature of this polymerization initiator. It is preferable to carry out the polymerization reaction by dripping the solution. After completion of the polymerization reaction, the obtained mesogen group polymer is recovered by an arbitrary method, and post-treatment such as washing is performed as necessary. Examples of a method for recovering the polymer from the reaction solution include a method such as reprecipitation.
- the weight average molecular weight (hereinafter abbreviated as Mw) of the obtained mesogen-containing polymer is preferably 1,000 to 300,000, more preferably 1,000 to 200,000 in terms of polystyrene by gel permeation chromatography (GPC). 000, more preferably 1,000 to 100,000, most preferably 2,000 to 6,000.
- GPC gel permeation chromatography
- an azo polymerization initiator is preferably used.
- the azo polymerization initiator include the compounds shown in the following (1) to (6).
- Azonitrile compound 2,2′-azobisisobutyronitrile, 2,2′-azobis (2-methylbutyronitrile), 2,2′-azobis (2,4-dimethylvaleronitrile), 1,1′-azobis ( 1-cyclohexanecarbonitrile), 2,2′-azobis (4-methoxy-2,4-dimethylvaleronitrile), 2- (carbamoylazo) isobutyronitrile and the like;
- Azoamide compound 2,2′-azobis ⁇ 2-methyl-N- [1,1-bis (hydroxymethyl) -2-hydroxyethyl] propionamide ⁇ , 2,2′-azobis ⁇ 2-methyl-N- [2- ( 1-hydroxybutyl)] propionamide ⁇ , 2,2′-azobis [2-methyl-N- (2-hydroxyethyl)
- Fluoroalkyl group-containing azo polymerization initiator 4,4′-azobis (4-cyanopentanoic acid-2- (perfluoromethyl) ethyl), 4,4′-azobis (4-cyanopentanoic acid-2- (perfluorobutyl) ethyl), 4,4 ′ -Azobis (4-cyanopentanoic acid-2- (perfluorohexyl) ethyl) and the like.
- azo polymerization initiators those having a relatively low polarity substituent are preferable from the viewpoint of the surface energy of the obtained mesogenic group polymer, and in particular, dimethyl 2,2′-azobisisobutyrate or 2,2 ′ -Azobis (2,4,4-trimethylpentane) is preferred.
- the polymerization initiator is preferably 1 to 50 molar equivalents, more preferably 1 to 40 equivalents, and most preferably 2 to 30 molar equivalents with respect to the mesogenic group monomer.
- the polymerization reaction is a radical polymerization reaction from the viewpoint of controlling the molecular weight.
- the double bond residual ratio in the mesogen-containing polymer obtained by the radical polymerization reaction is preferably 0.05 mol% or less, more preferably 0.01 mol% or less, most preferably 0.8 mol% relative to 1 mol of the polymer. It is 001 mol% or less.
- the double bond residual ratio can be easily calculated from the peak intensity measured by NMR (nuclear magnetic resonance).
- FIG. 1 is a schematic cross-sectional view of the optical film of the present embodiment.
- the optical film 10 includes a ⁇ / 4 layer 12, a liquid crystal layer 13 adjacent to each other, and a liquid crystal layer 14 on a support 11, and the liquid crystal layer 13 includes a liquid crystal layer containing the polymer of the present invention, Alternatively, it includes a liquid crystal layer (hereinafter sometimes referred to as “liquid crystal layer”) formed by curing a composition containing the polymer of the present invention.
- the optical film may be composed only of these liquid crystal layers, may further be provided with a liquid crystal layer, and may include other layers in addition to the liquid crystal layer. Examples of other layers include an alignment layer and a surface protective layer. Moreover, you may further have liquid crystal layers other than the liquid crystal layer formed from the composition containing the polymer of this invention.
- the optical film 10 preferably includes a layer formed by fixing a cholesteric liquid crystal phase, and the liquid crystal layer 13 is also preferably a layer formed by fixing a cholesteric liquid crystal phase.
- the optical film 10 comprises a composition comprising the polymer of the present invention, a liquid crystal component and a solvent, with a liquid crystal layer close to the support 11 as a lower layer (liquid crystal layer 13) and an upper layer on the surface. It is preferable to have a structure including a liquid crystal layer 14 formed by coating.
- the solvent of the composition at this time can be selected from the organic solvents exemplified above.
- a structure in which layers are further formed on the surface of the liquid crystal layer 14 is also preferable, and the optical film 10 may be a laminated film of 3 to 10 liquid crystal layers formed in the same manner.
- either one of the liquid crystal layer 13 and the liquid crystal layer 14 is a layer formed from a composition containing a rod-like liquid crystal compound, and the other is a layer formed from a composition containing a discotic liquid crystal compound. It is also preferable. Furthermore, one of the liquid crystal layer 13 and the liquid crystal layer 14 is a layer formed by curing a composition containing a polymerizable rod-like liquid crystal compound, and the other is cured of a composition containing a polymerizable discotic liquid crystal compound. It is also preferable that the layer is formed by. More preferably, the liquid crystal layer 13 is a layer containing a discotic liquid crystal compound, and the liquid crystal layer 14 is a layer containing a rod-like liquid crystal compound.
- optical film 10 is not particularly limited.
- the optical film include a retardation film, a reflective film, and a light absorbing film. More specifically, examples include an optical compensation film, a polarizing film, a brightness enhancement film, a heat shielding film, and a projection film used for liquid crystal display devices.
- the optical film produced using the polymer of the present invention may be a support film for producing a laminated film in addition to the aspect of the optical film 10 of the above embodiment.
- the support film includes the lower layer (liquid crystal layer 13). It is preferable that the support film includes the liquid crystal layer 13 as an outermost layer or includes only an easily peelable film such as a laminate film outside the liquid crystal layer 13.
- the liquid crystal layer 13 in the support film is preferably a liquid crystal layer.
- the liquid crystal layer 13 in the support film is more preferably a layer formed by curing a composition containing a polymerizable discotic liquid crystal compound.
- the support film may include layers such as a support, an alignment layer, and other liquid crystal layers.
- glass or a polymer film can be used as the support 11.
- polymer film materials used as the support include cellulose acylate films (for example, cellulose triacetate film (refractive index 1.48), cellulose diacetate film, cellulose acetate butyrate film, cellulose acetate propionate film).
- Polyolefins such as polyethylene and polypropylene, polyester resin films such as polyethylene terephthalate and polyethylene naphthalate, polyethersulfone films, polyacrylic resin films such as polymethyl methacrylate, polyurethane resin films, polyester films, polycarbonate films, polysulfone films , Polyether film, polymethylpentene film, polyetherketone film, (meth) a Rilnitrile film, polyolefin, polymer having alicyclic structure ((norbornene resin (trade name “Arton”, manufactured by JSR)), amorphous polyolefin (trade name “ZEONEX”, manufactured by ZEON CORPORATION)), etc. Is mentioned.
- the support may be a temporary support that is peeled off after formation of the liquid crystal layer and is not included in the optical film.
- the thickness of the support may be about 5 ⁇ m to 1000 ⁇ m, preferably 10 ⁇ m to 250 ⁇ m, more preferably 15 ⁇ m to 90 ⁇ m.
- the optical film may include an alignment layer.
- the alignment layer is used for aligning the molecules of the liquid crystal compound in the composition for preparing a liquid crystal layer when the layer containing the liquid crystal compound is formed.
- the alignment layer is used in forming a layer such as a liquid crystal layer.
- the alignment layer may or may not be included.
- the alignment layer can be provided by means such as a rubbing treatment of an organic compound (preferably a polymer), oblique vapor deposition of an inorganic compound such as SiO, or formation of a layer having microgrooves. Furthermore, an alignment layer in which an alignment function is generated by application of an electric field, application of a magnetic field, or light irradiation is also known. Depending on the material of the lower layer such as a support or a liquid crystal layer, the lower layer can be made to function as an alignment layer by direct alignment treatment (for example, rubbing treatment) without providing an alignment layer.
- a lower layer support is PET.
- the lower liquid crystal layer may behave as an alignment layer, and a liquid crystal compound for producing the upper layer may be aligned.
- the upper liquid crystal compound can be aligned without providing an alignment layer or without performing a special alignment process (for example, rubbing process).
- the polymer that can be used for the rubbing treatment oriented layer include, for example, a methacrylate copolymer, a styrene copolymer, a polyolefin, polyvinyl alcohol, and the like described in paragraph No. [0022] of JP-A-8-338913.
- Examples include modified polyvinyl alcohol, poly (N-methylolacrylamide), polyester, polyimide, vinyl acetate copolymer, carboxymethylcellulose, and polycarbonate.
- Silane coupling agents can be used as the polymer.
- Water-soluble polymers eg, poly (N-methylolacrylamide), carboxymethylcellulose, gelatin, polyvinyl alcohol, modified polyvinyl alcohol
- gelatin, polyvinyl alcohol and modified polyvinyl alcohol are more preferred, and polyvinyl alcohol and modified polyvinyl alcohol are most preferred.
- the aforementioned composition is applied to the rubbing-treated surface of the alignment layer to align the molecules of the liquid crystal compound. After that, if necessary, the alignment layer polymer and the polyfunctional monomer contained in the optically anisotropic layer are reacted, or the alignment layer polymer is crosslinked using a crosslinking agent, thereby the optical anisotropy described above.
- a layer can be formed.
- the film thickness of the alignment layer is preferably in the range of 0.1 to 10 ⁇ m.
- the surface of the alignment layer, the support, or other layer to which the composition for producing a liquid crystal layer is applied may be rubbed as necessary.
- the rubbing treatment can be generally performed by rubbing the surface of a film containing a polymer as a main component with paper or cloth in a certain direction.
- a general method of rubbing is described in, for example, “Liquid Crystal Handbook” (issued by Maruzen, October 30, 2000).
- the rubbing density (L) is quantified by the following formula (A).
- Formula (A) L Nl (1 + 2 ⁇ rn / 60v)
- N is the number of rubbing
- l is the contact length of the rubbing roller
- r is the radius of the roller
- n is the number of rotations (rpm) of the roller
- v is the stage moving speed (second speed).
- the rubbing frequency should be increased, the contact length of the rubbing roller should be increased, the radius of the roller should be increased, the rotation speed of the roller should be increased, and the stage moving speed should be decreased, while the rubbing density should be decreased. To do this, you can reverse this.
- the description in Japanese Patent No. 4052558 can also be referred to as conditions for the rubbing process.
- the photo-alignment layer formed from the above material is irradiated with linearly polarized light or non-polarized light to produce a photo-alignment layer.
- linearly polarized light irradiation is an operation for causing a photoreaction in a photo-alignment material.
- the wavelength of light used varies depending on the photo-alignment material used, and is not particularly limited as long as it is a wavelength necessary for the photoreaction.
- the peak wavelength of light used for light irradiation is 200 nm to 700 nm, and more preferably ultraviolet light having a peak wavelength of light of 400 nm or less.
- the light source used for light irradiation is a commonly used light source such as a tungsten lamp, a halogen lamp, a xenon lamp, a xenon flash lamp, a mercury lamp, a mercury xenon lamp, a carbon arc lamp, or various lasers (eg, semiconductor laser, helium). Neon laser, argon ion laser, helium cadmium laser, YAG laser), light emitting diode, cathode ray tube, and the like.
- a method using a polarizing plate eg, iodine polarizing plate, dichroic dye polarizing plate, wire grid polarizing plate
- reflection using a prism-based element eg, Glan-Thompson prism
- a prism-based element eg, Glan-Thompson prism
- Brewster angle A method using a type polarizer or a method using light emitted from a laser light source having polarization can be employed.
- a method of irradiating light from the top surface or the back surface to the alignment layer surface perpendicularly or obliquely with respect to the alignment layer is employed.
- the incident angle of light varies depending on the photo-alignment material, but is, for example, 0 to 90 ° (vertical), preferably 40 to 90 °.
- the non-polarized light is irradiated obliquely.
- the incident angle is 10 to 80 °, preferably 20 to 60 °, particularly preferably 30 to 50 °.
- the irradiation time is preferably 1 minute to 60 minutes, more preferably 1 minute to 10 minutes.
- composition of the present invention contains the mesogenic group polymer of the present invention.
- the composition of the present invention preferably further contains a liquid crystal compound.
- composition for preparing a liquid crystal layer of the present invention is a composition containing the above-mentioned mesogen group polymer and a liquid crystal compound, preferably a polymerizable liquid crystal compound. According to the present invention, a composition for preparing a liquid crystal layer that hardly causes repelling during coating is provided. It is preferable to provide a liquid crystal composition that hardly causes repelling when a coating liquid for forming an upper layer is applied when a liquid crystal layer is used as a lower layer and an upper layer is coated on the surface of the liquid crystal layer.
- composition for producing a liquid crystal layer of the present invention When the composition for producing a liquid crystal layer of the present invention is used, an optical film having a liquid crystal layer that hardly causes repelling when the coating liquid for forming the upper layer is applied can be produced. Therefore, it is possible to produce a laminated film having various functions using the composition for producing a liquid crystal layer of the present invention.
- the composition for preparing a liquid crystal layer of the present invention contains a mesogenic group polymer.
- the mesogen-containing polymer contained in the composition for preparing a liquid crystal layer is 0.0001% by mass to 10% by mass, preferably 0.001% by mass to 5% by mass, based on the liquid crystal compound. More preferably, the content is 0.005% by mass to 3% by mass.
- the present inventors have found that a composition containing a mesogen-containing polymer at a certain ratio as described above can produce a liquid crystal layer having a uniform film surface and no unevenness, as well as being free from repellency during coating. I found it. In particular, it was found that repelling during upper layer formation, which is a problem in the production of laminated films, can also be suppressed. The mechanism is not clear, but is estimated as follows. In other words, repelling can be prevented because the polarity of the substrate, particularly the liquid crystal layer, is close and easy to spread when applied.
- the composition of the present invention preferably contains a solvent.
- the solvent may be a low surface tension solvent or a standard surface tension solvent.
- the composition for forming a liquid-crystal layer contains a low surface tension solvent.
- the surface tension of the low surface tension solvent is 10 to 22 mN / m (10 to 22 dyn / cm), preferably 15 to 21 mN / m, and more preferably 18 to 20 mN / m.
- the surface tension of the standard surface tension solvent is greater than 22 mN / m, preferably 23 to 50 mN / m, and more preferably 23 to 40 mN / m.
- the difference between the surface tension of the low surface tension solvent and the surface tension of the standard surface tension solvent is preferably 2 mN / m or more, more preferably 3 mN / m or more, and 4 to 20 mN / m or more. More preferably, it is 5 to 15 mN / m.
- the surface tension of a solvent is a value as described in a solvent handbook (Kodansha, published in 1976).
- the surface tension of the solvent is a physical property value that can be measured by, for example, an automatic surface tension meter CBVP-A3 manufactured by Kyowa Interface Science Co., Ltd. The measurement may be performed at 25 ° C.
- an organic solvent is preferably used, and a low surface tension solvent and a standard surface tension solvent can be selected from these.
- organic solvents include alcohols (eg, ethanol, tert-butyl alcohol), amides (eg, N, N-dimethylformamide), sulfoxides (eg, dimethyl sulfoxide), heterocyclic compounds (eg, pyridine), hydrocarbons (Eg, heptane, cyclopentane, toluene, hexane, tetrafluoroethylene), alkyl halides (eg, chloroform, dichloromethane), esters (eg, methyl acetate, butyl acetate, isopropyl acetate), ketones (eg, acetone, methyl ethyl ketone, cyclohexanone) ), Ether (eg, tetrahydrofuran, 1,2-dimethoxyethane), and amine (eg, tri
- low surface tension solvents examples include tert-butyl alcohol (19.5 mN / m), tetrafluoroethylene (TFE, 20.6 mN / m), triethylamine (20.7 mN / m), cyclopentane (21.8 mN / m). m), heptane (19.6 mN / m), and a mixed solvent composed of a combination of any two or more of these solvents.
- TFE tetrafluoroethylene
- TFE tetrafluoroethylene
- TFE tetrafluoroethylene
- triethylamine 20.7 mN / m
- cyclopentane 21.8 mN / m
- heptane heptane (19.6 mN / m)
- a mixed solvent composed of a combination of any two or more of these solvents. The numerical value indicates the surface tension.
- tert-butyl alcohol tetrafluoroethylene, triethylamine, and cyclopentane are preferable from the viewpoint of safety, tert-butyl alcohol or tetrafluoroethylene is more preferable, and tert-butyl alcohol is more preferable.
- Examples of standard surface tension solvents include methyl ethyl ketone (MEK, 23.9 mN / m), methyl acetate (24.8 mN / m), methyl isobutyl ketone (MIBK, 25.4 mN / m), cyclohexanone (34.5 mN / m). ), Acetone (23.7 mN / m), isopropyl acetate (0.022.1 mN / m), and a mixed solvent composed of a combination of any two or more of these solvents.
- the numerical value indicates the surface tension.
- methyl ethyl ketone, a mixed solvent of cyclohexanone and another solvent, a mixed solvent of methyl acetate and methyl isobutyl ketone, and the like are preferable.
- the concentration of the solvent with respect to the total mass of the composition for preparing a liquid crystal layer is preferably 95 to 50% by mass, more preferably 93 to 60% by mass, and still more preferably 90 to 75% by mass.
- the solvent of the composition for preparing a liquid crystal layer is preferably removed by 95% by mass or more, more preferably by 98% by mass or more, based on the total amount of the solvent. It is more preferable to remove at least mass%, and it is particularly preferable to remove substantially 100 mass%.
- the liquid crystal compound includes a low molecular liquid crystal compound.
- a low molecule refers to a polymer having a degree of polymerization of less than 100.
- the liquid crystal compound includes a rod-like liquid crystal compound and a disk-like liquid crystal compound.
- the polymerizable liquid crystal compound indicates a liquid crystal compound having a polymerizable group.
- the polymerizable group include an acryloyl group, a methacryloyl group, an epoxy group, and a vinyl group.
- rod-like liquid crystal compound examples include azomethines, azoxys, cyanobiphenyls, cyanophenyl esters, benzoic acid esters, cyclohexanecarboxylic acid phenyl esters, cyanophenylcyclohexanes, cyano-substituted phenylpyrimidines, alkoxy-substituted phenylpyrimidines, Phenyldioxanes, tolanes and alkenylcyclohexylbenzonitriles are preferably used.
- the rod-like liquid crystal compound which is a polymerizable liquid crystal compound Makromol. Chem.
- JP-A Nos. 0600, 98/23580, 98/52905, JP-A-1-272551, JP-A-6-16616, JP-A-7-110469, JP-A-11-80081, and Japanese Patent Application No. 2001-64627 Etc. can be used.
- the rod-like liquid crystal compound for example, those described in JP-A-11-513019 and JP-A-2007-279688 can be preferably used.
- discotic liquid crystal compound examples include compounds described in JP-A 2007-108732 and JP-A 2010-244038.
- the liquid crystal component may contain a polymerization initiator.
- the polymerization initiator include ⁇ -carbonyl compounds (described in US Pat. Nos. 2,367,661 and 2,367,670), acyloin ether (described in US Pat. No. 2,448,828), ⁇ -hydrocarbon substituted aromatics.
- An acyloin compound (described in US Pat. No. 2,722,512), a polynuclear quinone compound (described in US Pat. Nos.
- the liquid crystal layer formed from the composition for preparing a liquid crystal layer may be a layer in which a cholesteric liquid crystal phase is fixed.
- the liquid crystal component preferably contains a chiral agent.
- the chiral agent various known chiral agents (for example, described in Liquid Crystal Device Handbook, Chapter 3-4-3, TN, chiral agent for STN, page 199, edited by Japan Society for the Promotion of Science, 42nd Committee, 1989) You can choose from.
- a chiral agent generally contains an asymmetric carbon atom, but an axially asymmetric compound or a planar asymmetric compound containing no asymmetric carbon atom can also be used as the chiral agent.
- Examples of the axial asymmetric compound or the planar asymmetric compound include binaphthyl, helicene, paracyclophane, and derivatives thereof.
- the chiral agent may have a polymerizable group.
- the rod-shaped liquid crystal compound used in combination also has a polymerizable group, it is derived from the rod-shaped liquid crystal compound by a polymerization reaction between the chiral agent having a polymerizable group and the polymerizable rod-shaped liquid crystal compound.
- a polymer having a repeating unit derived from a chiral agent is derived from the rod-shaped liquid crystal compound.
- the polymerizable group possessed by the chiral agent having a polymerizable group is preferably the same group as the polymerizable group possessed by the polymerizable rod-like liquid crystal compound. Therefore, the polymerizable group of the chiral agent is also preferably an unsaturated polymerizable group, an epoxy group or an aziridinyl group, more preferably an unsaturated polymerizable group, and an ethylenically unsaturated polymerizable group. Particularly preferred.
- the chiral agent may be a liquid crystal compound.
- Examples of the chiral agent exhibiting a strong twisting force include, for example, JP 2010-181852 A, JP 2003-287623 A, JP 2002-80851 A, JP 2002-80478 A, and JP 2002-302487 A.
- the chiral agent described in the publication can be mentioned and can be preferably used.
- isosorbide compounds having a corresponding structure can be used for the isosorbide compounds described in these publications, and isosorbide compounds having a corresponding structure can be used for the isomannide compounds described in these publications. It can also be used.
- the composition of the present invention may contain a fluorine-based surfactant and a silicone-based surfactant. It is preferable that content of the fluorine-type surfactant and silicone-type surfactant of the composition for liquid crystal layer preparation is 5 mass% or less with respect to the total mass of a composition.
- the fluorine-based surfactant is a compound containing fluorine and is unevenly distributed on the surface in the solvent used in the composition for producing a liquid crystal layer.
- the fluorosurfactant having a hydrophobic portion include those containing fluorine among compounds described as alignment control agents described in paragraphs 0028 to 0034 of JP2011-191582A, and Japanese Patent No. 2841611.
- the fluorine-based surfactants described in paragraphs 0017 to 0019 of JP-A-2005-272560 examples of commercially available fluorosurfactants include Surflon manufactured by AGC Seimi Chemical Co., Ltd. and MegaFac manufactured by DIC Corporation.
- the silicone-based surfactant is a compound containing silicone, and is a compound unevenly distributed on the surface in the solvent used in the composition for producing a liquid crystal layer.
- the silicone surfactant include polymethylphenylsiloxane, polyether-modified silicone oil, polyether-modified dimethylpolysiloxane, dimethylsilicone, diphenylsilicone, hydrogen-modified polysiloxane, vinyl-modified polysiloxane, hydroxy-modified polysiloxane, Amino modified polysiloxane, carboxyl modified polysiloxane, chloro modified polysiloxane, epoxy modified polysiloxane, methacryloxy modified polysiloxane, mercapto modified polysiloxane, fluorine modified polysiloxane, long chain alkyl modified polysiloxane, phenyl modified polysiloxane, silicone modified copolymer And low molecular weight compounds containing silicon atoms.
- silicone surfactants include KF-96, X-22-945, manufactured by Shin-Etsu Chemical Co., Ltd., Toray Silicone DC3PA, DC7PA, SH11PA, SH21PA, SH28PA, SH29PA, SH30PA, and FS.
- the liquid crystal layer is formed from a coating film comprising the composition of the present invention.
- the liquid crystal layer may be, for example, a layer formed by applying the composition on a support and drying the obtained coating film, and is further formed by a curing process such as light irradiation or heating. It may be a layer.
- composition of the present invention can be performed by a method such as roll coating method, gravure printing method, spin coating method and the like. Furthermore, it can be performed by various methods such as a wire bar coating method, an extrusion coating method, a direct gravure coating method, a reverse gravure coating method, and a die coating method. Alternatively, the coating film can be formed by ejecting the composition from a nozzle using an inkjet apparatus.
- Drying may be performed by standing or may be performed by heating.
- an optical function derived from the liquid crystal component may be expressed.
- the liquid crystal phase may be formed in the process of removing the solvent by drying.
- the liquid crystal phase may be formed by setting the transition temperature to the liquid crystal phase by heating.
- the liquid crystal phase can be stably formed by heating to the temperature of the isotropic phase and then cooling to the liquid crystal phase transition temperature.
- the liquid crystal phase transition temperature is preferably in the range of 10 to 250 ° C., more preferably in the range of 10 to 150 ° C. from the viewpoint of production suitability and the like.
- a cooling step or the like may be required to lower the temperature to a temperature range exhibiting a liquid crystal phase.
- a high temperature is required to make the isotropic liquid state higher than the temperature range once exhibiting the liquid crystal phase, which is disadvantageous from waste of thermal energy, deformation of the substrate, and alteration.
- the liquid crystal component contains a polymerizable compound
- the liquid crystal component contains a polymerizable liquid crystal compound
- the alignment state of the molecules of the liquid crystal compound can be maintained and fixed by curing. Curing can be carried out by a polymerization reaction of a polymerizable group in the polymerizable compound.
- the polymerization reaction includes a thermal polymerization reaction using a thermal polymerization initiator and a photopolymerization reaction using a photopolymerization initiator.
- a photopolymerization reaction is preferred.
- the light irradiation for the polymerization of the polymerizable compound, particularly the polymerizable liquid crystal compound preferably uses ultraviolet rays.
- the irradiation energy is preferably 50 mJ / cm 2 to 1000 J / cm 2 , and more preferably 100 to 800 mJ / cm 2 .
- light irradiation may be performed under heating conditions.
- ultraviolet irradiation may be performed under heating conditions.
- the oxygen concentration in the atmosphere is related to the degree of polymerization, if the desired degree of polymerization is not reached in the air and the film strength is insufficient, the oxygen concentration in the atmosphere is reduced by a method such as nitrogen substitution. It is preferable.
- a preferable oxygen concentration is preferably 10% or less, more preferably 7% or less, and most preferably 3% or less.
- the reaction rate of the curing reaction (for example, polymerization reaction) that proceeds by irradiation with ultraviolet rays is 60% or more from the viewpoint of maintaining the mechanical strength of the layer and suppressing unreacted substances from flowing out of the layer. Preferably, it is 70% or more, more preferably 80% or more.
- a method of increasing the irradiation amount of ultraviolet rays to be irradiated and polymerization under a nitrogen atmosphere or heating conditions are effective. Moreover, after superposing
- the reaction rate can be measured by comparing the absorption intensity of the infrared vibration spectrum of a reactive group (for example, a polymerizable group) before and after the reaction proceeds.
- the optical properties based on the orientation of the liquid crystal compound molecules of the liquid crystal layer using the liquid crystal compound as the liquid crystal component are sufficient if they are retained in the layer, and the cured liquid crystal layer
- the liquid crystal composition no longer needs to exhibit liquid crystallinity.
- the liquid crystal compound molecules may become high molecular weight due to a curing reaction and may no longer have liquid crystallinity.
- the liquid crystal layer is preferably a cholesteric liquid crystal layer formed by fixing a cholesteric liquid crystal phase.
- cholesteric liquid crystal layer and the method for producing the cholesteric liquid crystal layer reference can be made, for example, to those described in JP-A-1-133003, JP-A-3416302, JP-A-3363565, and JP-A-8-271731.
- the optical film can be produced by forming a liquid crystal layer on the support as described above.
- the support may be peeled off after the liquid crystal layer is formed.
- the phrase “on the support” means “directly on the support surface” or “through another layer formed on the support surface”.
- the liquid crystal layer may be formed on the surface of another previously formed layer. It is also preferable to form a liquid crystal layer on the surface of the liquid crystal layer as described above. Since the liquid crystal layer formed from the composition for preparing a liquid crystal layer of the present invention hardly causes repelling, various laminated optical films can be prepared.
- the composition of the present invention is particularly preferably applied directly on the surface of the previously formed liquid crystal layer.
- the composition of the present invention is less likely to cause repellency when it is formed by coating, has an excellent surface shape, and can reduce orientation defects.
- FIG. 2 is a schematic diagram showing the configuration of the liquid crystal display device 20 according to an embodiment of the present invention.
- FIG. 3 is a schematic cross-sectional view of the backlight unit.
- the liquid crystal display device 20 includes a pair of polarizing plates (an upper polarizing plate 21 and a lower polarizing plate 28), a liquid crystal cell 30 sandwiched between them, and a liquid crystal of the lower polarizing plate 28.
- the liquid crystal cell 30 includes a liquid crystal 25 and a liquid crystal cell upper electrode substrate 23 and a liquid crystal cell lower electrode substrate 26 which are arranged above and below the liquid crystal cell 25. is doing.
- the backlight unit 40 includes a polarized light-emitting film, the lower polarizing plate 28 can be omitted.
- the upper polarizing plate 21 is a front side (viewing side) polarizing plate and the lower polarizing plate 28 is a rear side (backlight side) polarizing plate, which is not shown.
- 25 and the upper polarizing plate 21 is provided with a color filter.
- 22 and 29 indicate the directions of the absorption axes of the polarizing plates substantially orthogonal to each other, and 24 and 27 indicate the orientation control directions of the electrode substrates.
- the backlight unit 40 includes a light source 42 that emits primary light (blue light L B ), a light guide plate 43 that guides and emits primary light emitted from the light source 42, and a light guide.
- a wavelength conversion member 44 provided on the optical plate 43, a brightness enhancement film 45 disposed opposite to the light source 42 with the wavelength conversion member 44 interposed therebetween, and a reflection disposed opposite to the wavelength conversion member 44 with the light guide plate 43 interposed therebetween.
- a plate 41 is disposed opposite to the wavelength conversion member 44 with the light guide plate 43 interposed therebetween.
- Wavelength conversion member 44 at least a portion of the primary light L B emitted from the light source 42 and the fluorescence emitted as excitation light, the fluorescence consists secondary light (L G, L R) and transmitted through the wavelength conversion member 44 It emits the primary light L B.
- the brightness enhancement film 45 has the optical film 10 of the present invention.
- the wavelength conversion member 44 preferably includes at least quantum dots R that are excited by excitation light to emit red light and quantum dots G that emit green light.
- white light can be embodied by blue light emitted from the light source and transmitted through the wavelength conversion member, and red light and green light emitted from the wavelength conversion member.
- a light source that emits ultraviolet light having an emission center wavelength in a wavelength band of 300 nm to 430 nm, for example, an ultraviolet light emitting diode can be used.
- the wavelength conversion member 44 includes quantum dots B that are excited by excitation light and emit blue light together with the quantum dots R and G.
- white light can be embodied by red light, green light, and blue light emitted from the wavelength conversion member.
- a laser light source can be used instead of the light emitting diode.
- a light source at least one of blue light having an emission center wavelength in a wavelength band of 430 to 500 nm, green light having an emission center wavelength in a wavelength band of 500 to 600 nm, and an emission intensity peak in a wavelength band of 600 to 700 nm.
- a light source other than the above may be a white light source such as a white LED (Light Emitting Diode).
- the wavelength conversion member 44 is disposed on the path of light emitted from the light guide plate 43.
- the light guide plate 43 a known one can be used without any limitation.
- the backlight unit 40 can also include a reflective member at the rear of the light guide plate 43. There is no restriction
- the backlight unit 40 preferably further includes a known diffusion plate, diffusion sheet, prism sheet (for example, BEF series manufactured by Sumitomo 3M Limited), and a light guide.
- a known diffusion plate for example, BEF series manufactured by Sumitomo 3M Limited
- prism sheet for example, BEF series manufactured by Sumitomo 3M Limited
- a light guide for example, BEF series manufactured by Sumitomo 3M Limited
- Other members are also described in Japanese Patent No. 3416302, Japanese Patent No. 3363565, Japanese Patent No. 4091978, Japanese Patent No. 3448626, and the contents of these publications are incorporated in the present invention.
- the driving mode of the liquid crystal cell is not particularly limited, and twisted nematic (TN), super twisted nematic (STN), vertical alignment (VA), and in-plane switching.
- Various modes such as (IPS) and optically compensated bend cell (OCB) can be used.
- the liquid crystal cell is preferably VA mode, OCB mode, IPS mode, or TN mode, but is not limited thereto.
- the configuration shown in FIG. 2 of Japanese Patent Application Laid-Open No. 2008-262161 is given as an example.
- the specific configuration of the liquid crystal display device is not particularly limited, and a known configuration can be adopted.
- the wavelength conversion range of red and green is particularly widened, and a high brightness backlight and liquid crystal display device can be obtained.
- the weight average molecular weight (Mw) of this polymer was 5,500 (calculated by gel permeation chromatography (GPC) in terms of polystyrene, and the columns used were TSKgel SuperHZM-H, TSKgel SuperHZ4000, TSKgel SuperHZ200 (manufactured by Tosoh Corporation)). It was. It was confirmed by proton NMR (nuclear magnetic resonance) spectrum measurement and elemental analysis measurement that the polymer (101) had a branched structure. Further, it was confirmed by proton NMR spectrum measurement and mass spectrometry measurement that the polymerization initiator fragment when V-601 was used had a structure represented by the following.
- C6FHA 1H, 1H, 7H-dodecafluoroheptyl acrylate
- C6FA 2- (perfluorohexyl) ethyl acrylate
- C8FA 2- (perfluorooctyl) ethyl acrylate
- C10FA 2- (perfluorodecyl) ethyl acrylate
- optical film Optical films of Examples and Comparative Examples using the above-obtained polymers 101 to 112 were prepared.
- the optical film was formed by sequentially laminating an alignment layer, a ⁇ / 4 layer, an alignment layer, a liquid crystal layer 1 and a liquid crystal layer 2 on a support. A method for forming each layer and a coating solution will be described below.
- TD40UL with alignment layer Alkaline saponification treatment
- a dielectric heating roll having a temperature of 60 ° C. and raising the film surface temperature to 40 ° C.
- an alkali solution having the composition shown below is applied to one side of the film using a bar coater. It was transported for 10 seconds under a steam far-infrared heater manufactured by Noritake Company Limited, which was applied at 2 and heated to 110 ° C. Subsequently, 3 ml / m 2 of pure water was applied using the same bar coater. Next, washing with a fountain coater and draining with an air knife were repeated three times, and then transported to a drying zone at 70 ° C. for 10 seconds and dried to prepare an alkali saponified cellulose acylate film.
- an alignment layer coating solution having the following composition was continuously applied with a # 14 wire bar. Drying was performed with warm air of 60 ° C. for 60 seconds and further with warm air of 100 ° C. for 120 seconds. The obtained coating film was continuously rubbed to prepare an alignment layer. At this time, the longitudinal direction of the long film and the transport direction were parallel, and the rotation axis of the rubbing roller was 45 ° clockwise relative to the longitudinal direction of the film.
- the structural formula of the modified polyvinyl alcohol in the alignment layer coating solution is shown below.
- the ratio is a molar ratio.
- a coating liquid A1 containing a discotic liquid crystal compound having the following composition was continuously applied with a # 3.6 wire bar.
- the conveyance speed (V) of the film was 20 m / min.
- UV irradiation was performed at 60 ° C. to fix the orientation of the liquid crystal compound and form a ⁇ / 4 layer.
- the UV irradiation amount was 230 mJ / cm 2 .
- the alignment aids 1 and 2 are each a mixture of two types of compounds having different methyl group substitution positions in the trimethyl-substituted benzene ring (mixing ratio of the two types of compounds 50:50 (mass ratio)).
- the following coating liquid B1 was adjusted to a thickness of 3 ⁇ m and continuously applied to the surface of the above-described laminated structure (TD40UL + alignment layer + ⁇ / 4 + alignment layer). Subsequently, the solvent was dried at 70 ° C. for 2 minutes, and after evaporating the solvent, heat aging was performed at 115 ° C. for 3 minutes to obtain a uniform alignment state. Thereafter, the coating film was kept at 45 ° C., and irradiated with ultraviolet rays using a high-pressure mercury lamp in a nitrogen atmosphere to form a cholesteric liquid crystal layer. At this time, the UV irradiation amount was 250 mJ / cm 2 .
- a coating liquid C1 containing a rod-shaped liquid crystal compound having the following composition was adjusted to a thickness of 5 ⁇ m and continuously applied.
- the conveyance speed of the film was 20 m / min.
- UV irradiation was performed at 30 ° C. to fix the orientation of the liquid crystal compound and form an optically anisotropic layer (liquid crystal layer 2).
- the UV irradiation amount was 300 mJ / cm 2 .
- Example 2 to 22 An optical film was produced in the same manner as in Example 1 except that the coating liquids A1, B1, and C1 and the following coating liquids A2, B2, B3, and C2 to C12 were used and the configuration shown in Table 2 was adopted. did.
- the coating liquids C2 to C12 were prepared in the same manner as the coating liquid C1 except that the polymers 102 to 112 were used instead of the polymer 101 and the addition amounts were as shown in Table 2.
- Discotic liquid crystal compound (Compound 301) 80 parts by weight Discotic liquid crystal compound (Compound 302) 20 parts by weight Alignment aid 1 0.9 parts by weight Alignment aid 2 0.1 parts by weight Polymerizable monomer (Biscoat manufactured by Osaka Organic Chemical Co., Ltd.) # 360) 10 parts by weight Surfactant (Megafac F444 manufactured by DIC) 0.12 parts by weight Fluorinated compound 1 0.03 parts by weight Polymerization initiator 1 3 parts by weight Methyl ethyl ketone 218.7 parts by weight tert-butanol 62.5 parts by weight Cyclohexanone 31.2 parts by mass
- Discotic liquid crystal compound (Compound 301) 80 parts by mass Discotic liquid crystal compound (Compound 302) 20 parts by mass Polymerizable monomer 10 parts by mass Surfactant 1 (DIC Corporation MegaFuck F444) 0.18 parts by mass Polymer of the present invention 101 0.05 parts by weight Polymerization initiator 1 3 parts by weight Chiral agent 1 3.8 parts by weight Methyl ethyl ketone 290 parts by weight Cyclohexanone 50 parts by weight
- the polymerizable monomer is the same as that used in coating solution B1.
- the fluorine-containing compound 1 has the following structure.
- This solution was reprecipitated in 100 g of methanol to obtain 3.8 g of a comparative compound (H-101).
- the weight-average molecular weight (Mw) of this polymer was 16,600 (calculated in terms of polystyrene by gel permeation chromatography (GPC), and the columns used were TSKgel SuperHZM-H, TSKgel SuperHZ4000, TSKgel SuperHZ200 (manufactured by Tosoh Corporation)).
- Comparative compound (H-102) F-552 Commercially available fluorine-based surface modifier (manufactured by DIC Corporation, product name: Megafax F-552)
- Comparative example coating solutions CH1 to CH4 were prepared in accordance with the formulation of the coating solution C1 except that H-101 to H104 were used instead of the polymer 101 to achieve the addition amounts shown in Table 2.
- ⁇ Comparative Examples 1 to 4> It was produced in the same manner as in Example 1 except that CH1 to CH4 were used for the liquid crystal layer 2.
- the coating solutions C1 to C12 and CH1 to CH4 were measured for viscosity using a Seconic Vm-100 (vibrating viscometer), and all were within the range of 1.5 to 10 mPa ⁇ s.
- the produced optical film was evaluated according to the following criteria.
- the evaluation results are shown in Table 2.
- the lower layer represents the liquid crystal layer 1 and the upper layer represents the liquid crystal layer 2.
- the evaluation is preferably any one of evaluation criteria A to C. If it is evaluation standard A or B, it is excellent in production efficiency and can be used suitably, and it is more preferable that it is evaluation standard A.
- the superiority or inferiority of the liquid crystal alignment was determined according to the following criteria depending on the presence or absence of alignment defects when the film was observed with a deflection microscope.
- the evaluation is preferably any one of evaluation criteria A to C. If it is evaluation standard A or B, it is excellent in production efficiency and can be used suitably, and it is more preferable that it is evaluation standard A.
- a commercially available liquid crystal display device (trade name “TH-L42D2”, manufactured by Panasonic Corporation) was disassembled, and the brightness enhancement film in the backlight unit was changed to the optical film of the present invention to obtain the liquid crystal display device of the present invention. The performance was good.
- Example 13 even when a composition containing a fluorosurfactant was applied on the lower layer containing the polymer of the present invention, evaluation of B or more was evaluated in all evaluation items. I was able to get it.
- Example 21 in which the residual rate of double bonds was 0 mol% was superior in evaluation of repelling and orientation as compared with Example 22 in which the residual rate of double bonds was 50 mol%.
- Comparative Examples 1 and 2 containing a polymer having no mesogenic group, Comparative Example 3 having only one polymerizable group, and Comparative Example 4 having a double bond residual ratio of 100 mol% were inferior in performance evaluation. It was.
Landscapes
- Chemical & Material Sciences (AREA)
- Organic Chemistry (AREA)
- Crystallography & Structural Chemistry (AREA)
- Physics & Mathematics (AREA)
- Materials Engineering (AREA)
- Engineering & Computer Science (AREA)
- Polymers & Plastics (AREA)
- Health & Medical Sciences (AREA)
- Medicinal Chemistry (AREA)
- Chemical Kinetics & Catalysis (AREA)
- Nonlinear Science (AREA)
- General Physics & Mathematics (AREA)
- Optics & Photonics (AREA)
- Mathematical Physics (AREA)
- Dispersion Chemistry (AREA)
- Polarising Elements (AREA)
- Liquid Crystal (AREA)
- Addition Polymer Or Copolymer, Post-Treatments, Or Chemical Modifications (AREA)
Abstract
Description
ハジキの防止方法としては、塗布液の粘度を上げることで、流動性を抑えることが考えられる。しかし、一般的に、粘度が高いと均質な塗膜を形成することは困難である。
また、特許文献2に記載のポリマーでは、ポリマーが直鎖状であるため、塗膜用組成物に添加した場合、相溶性に欠けるという問題がある。
本発明の重合体は、棒状液晶化合物および円盤状液晶化合物から選ばれる少なくとも1種の液晶化合物に由来するメソゲン基および2個以上の重合性基を有する化合物、をラジカル重合させてなる部分構造を含み、分岐状である。
ここで、重合体が「分岐状である」とは、三次元架橋構造を有し、重合開始剤断片が末端に少なくとも1つ組み込まれていることを意味する。重合体を重合させる際に用いる重合開始剤構造によって重合開始剤断片は異なるが、NMR(核磁気共鳴)スペクトル測定やIR(赤外)スペクトル測定、質量分析測定、あるいは元素分析測定などの方法により、重合体に重合体断片が組み込まれていることが確認できる。
ここで、コレステリック液晶層は、液晶化合物を含む組成物を塗布および乾燥させた後、硬化させることにより、液晶化合物の相がコレステリック配向に固定された層を意味する。
また、本発明の重合体または組成物を用いることにより、上層形成用の塗布液のハジキを生じさせにくく、さらには、面状が良好で、配向欠陥が低減された光学フィルムを得ることができる。
本発明の重合体は、棒状液晶化合物および円盤状液晶化合物から選ばれる少なくとも1種の液晶化合物に由来するメソゲン基および2個以上の重合性基を有する化合物、をラジカル重合させてなる部分構造を含み、分岐状である。本発明の重合体は、棒状液晶化合物または円盤状液晶化合物に由来するメソゲン基を分岐状構造として含む重合体(以下、含メソゲン基重合体と記載することがある)であるため、従来の高分子液晶ポリマーと比較して分子中に多数の枝分かれ構造を有するために、重合体の分子鎖間の絡み合いが少なく、各種溶剤との溶解性やマトリクス樹脂との相溶性が高い。そのため、本発明の含メソゲン基重合体を含む組成物を用いることで表面性に優れた塗布膜を形成することができる。
式中、QX1およびQX2はそれぞれ独立に重合性基である。重合性基の重合反応は、付加重合あることが好ましい。言い換えると、重合性基は、付加重合反応が可能な官能基であることが好ましい。重合性基の例として、下記式(M-1)~(M-6)が挙げられる。
上記式(M-1)~(M-6)の中でも、(M-1)または(M-2)が好ましく、(M-1)がより好ましい。
Lx-2:-C(=O)O-二価の鎖状基-OC(=O)-
Lx-3:-C(=O)O-二価の鎖状基-OC(=O)O-
Lx-4:-C(=O)O-二価の鎖状基-O-二価の環状基-
Lx-5:-C(=O)O-二価の鎖状基-O-二価の環状基-C(=O)O-
Lx-6:-C(=O)O-二価の鎖状基-O-二価の環状基-OC(=O)-
Lx-7:-C(=O)O-二価の鎖状基-O-二価の環状基-二価の鎖状基-
Lx-8:-C(=O)O-二価の鎖状基-O-二価の環状基-二価の鎖状基-C(=O)O-
Lx-9:-C(=O)O-二価の鎖状基-O-二価の環状基-二価の鎖状基-OC(=O)-
Lx-10:-C(=O)O-二価の鎖状基-OC(=O)-二価の環状基-
Lx-11:-C(=O)O-二価の鎖状基-OC(=O)-二価の環状基-C(=O)O-
Lx-12:-C(=O)O-二価の鎖状基-OC(=O)-二価の環状基-OC(=O)-
Lx-13:-C(=O)O-二価の鎖状基-OC(=O)-二価の環状基-二価の鎖状基-
Lx-14:-C(=O)O-二価の鎖状基-OC(=O)-二価の環状基-二価の鎖状基-C(=O)O-
Lx-15:-C(=O)O-二価の鎖状基-OC(=O)-二価の環状基-二価の鎖状基-OC(=O)-
Lx-16:-C(=O)O-二価の鎖状基-OC(=O)O-二価の環状基-
Lx-17:-C(=O)O-二価の鎖状基-OC(=O)O-二価の環状基-C(=O)O-
Lx-18:-C(=O)O-二価の鎖状基-OC(=O)O-二価の環状基-OC(=O)-
Lx-19:-C(=O)O-二価の鎖状基-OC(=O)O-二価の環状基-二価の鎖状基-
Lx-20:-C(=O)O-二価の鎖状基-OC(=O)O-二価の環状基-二価の鎖状基-C(=O)O-
Lx-21:-C(=O)O-二価の鎖状基-OC(=O)O-二価の環状基-二価の鎖状基-OC(=O)-
アルキレン基は、分岐を有していてもよい。アルキレン基の炭素数は1~12であることが好ましく、2~10であることがさらに好ましく、2~8であることが最も好ましい。
置換アルキレン基のアルキレン部分は、上記アルキレン基と同様である。置換基の例としてはハロゲン原子が含まれる。
アルケニレン基は、分岐を有していてもよい。アルケニレン基の炭素数は2~12であることが好ましく、2~10であることがさらに好ましく、2~8であることが最も好ましい。
置換アルケニレン基のアルケニレン部分は、上記アルケニレン基と同様である。置換基の例としてはハロゲン原子が含まれる。
アルキニレン基は、分岐を有していてもよい。アルキニレン基の炭素数は2~12であることが好ましく、2~10であることがさらに好ましく、2~8であることが最も好ましい。
置換アルキニレン基のアルキニレン部分は、上記アルキニレン基と同様である。置換基の例としてはハロゲン原子が含まれる。
二価の鎖状基の具体例としては、エチレン、トリメチレン、プロピレン、テトラメチレン、2-メチル-テトラメチレン、ペンタメチレン、ヘキサメチレン、オクタメチレン、2-ブテニレン、2-ブチニレンなどが上げられる。
LX2またはLX3として好ましい二価の連結基としては、-C(=O)O-、-OC(=O)-、-OC(=O)O-、-OC(=O)NRx2-、-COS-、-SCO-、-CONRx2-、-NRx2CO-、-(CRxaRxb)jx-、-C=C-C(=O)O-、-C=N-、-C=N-N=C-、等が挙げられる。
ここで、RxaおよびRxbは、それぞれ独立に水素原子またはアルキル基(例えば炭素数1~3のアルキル基、好ましくはメチル基)を表し、jxは1以上の整数を表し、1~3の範囲の整数であることが好ましい。
ベンゼン環を有する環状基としては、1,4-フェニレンが好ましい。ナフタレン環を有する環状基としては、ナフタレン-1,5-ジイルおよびナフタレン-2,6-ジイルが好ましい。シクロヘキサン環を有する環状基としては1,4-シクロへキシレンであることが好ましい。ピリジン環を有する環状基としてはピリジン-2,5-ジイルが好ましい。ピリミジン環を有する環状基としては、ピリミジン-2,5-ジイルが好ましい。
R101~R104の定義はQX1およびQx4の定義と同義であるが、-(CH2)ny-O(O=)C-CH=C(RxcRxd)で表される基であることが好ましい。ここで、RxcおよびRxdは、それぞれ独立に水素原子またはアルキル基(例えば炭素数1~3のアルキル基、好ましくはメチル基)を表し、nyは2~8の整数であることが好ましい。
結晶析出を抑止する観点から、一般式(X-I)または(X-II)において、X101およびY101がメチル基を表すことが好ましい。液晶としての性質を示す観点から、nyは4~8の整数であることが好ましい。
L1、L2およびL3が二価の連結基の場合、それぞれ独立に、-O-、-S-、-C(=O)-、-NR7-、-CH=CH-、-C≡C-、二価の環状基およびこれらの組み合わせからなる群より選ばれる二価の連結基であることが好ましい。上記R7は、水素原子または炭素数1~7のアルキル基であり、水素原子または炭素数1~4のアルキル基であることが好ましく、水素原子、メチル基、またはエチル基であることがさらに好ましく、水素原子であることが最も好ましい。
Lr1は単結合、***-O-CO-、***-CO-O-、***-CH=CH-および***-C≡C-(ここで、***は一般式(I-R)中の*側を表す)のいずれかが好ましく、単結合がより好ましい。
Lr2は、好ましくは、**-O-、**-O-C(=O)-、**-C(=O)-O-、**-O-C(=O)-O-、**-CH2-、**-CH=CH-、**-C≡C-であり、より好ましくは、**-O-、**-O-C(=O)-、**-O-C(=O)-O-、**-CH2-である。
Lr2が水素原子を含む基であるときは、この水素原子は置換基で置換されていてもよい。このような置換基として、ハロゲン原子、シアノ基、ニトロ基、炭素数1~6のアルキル基、炭素数1~6のハロゲンで置換されたアルキル基、炭素数1~6のアルコキシ基、炭素数2~6のアシル基、炭素数1~6のアルキルチオ基、炭素数2~6のアシルオキシ基、炭素数2~6のアルコキシカルボニル基、カルバモイル基、炭素数2~6のアルキルで置換されたカルバモイル基および炭素数2~6のアシルアミノ基が好ましい例として挙げられ、ハロゲン原子、炭素数1~6のアルキル基がより好ましい。
A11およびA12は、少なくとも一方が窒素原子であることが好ましく、両方が窒素原子であることがより好ましい。
A13、A14、A15およびA16は、それらのうち、少なくとも3つが置換基を有してもよいメチンであることが好ましく、すべて置換基を有してもよいメチンであることがより好ましい。更に、このメチンは無置換であることが好ましい。
A11、A12、A13、A14、A15またはA16が置換基を有してもよいメチンの場合の置換基の例には、ハロゲン原子(フッ素原子、塩素原子、臭素原子、ヨウ素原子)、シアノ基、ニトロ基、炭素数1~16のアルキル基、炭素数2~16のアルケニル基、炭素数2~16のアルキニル基、炭素数1~16のハロゲンで置換されたアルキル基、炭素数1~16のアルコキシ基、炭素数2~16のアシル基、炭素数1~16のアルキルチオ基、炭素数2~16のアシルオキシ基、炭素数2~16のアルコキシカルボニル基、カルバモイル基、炭素数2~16のアルキル置換カルバモイル基および炭素数2~16のアシルアミノ基が含まれる。これらの中でも、ハロゲン原子、シアノ基、炭素数1~6のアルキル基、炭素数1~6のハロゲンで置換されたアルキル基が好ましく、ハロゲン原子、炭素数1~4のアルキル基、炭素数1~4のハロゲンで置換されたアルキル基がより好ましく、ハロゲン原子、炭素数が1~3のアルキル基、トリフルオロメチル基が更に好ましい。
X1は、酸素原子、硫黄原子、メチレンまたはイミノを表し、酸素原子が好ましい。
A21およびA22は、少なくとも一方が窒素原子であることが好ましく、両方が窒素原子であることがより好ましい。
A23、A24、A25およびA26は、それらのうち、少なくとも3つが置換基を有してもよいメチンであることが好ましく、すべて置換基を有してもよいメチンであることがより好ましい。更に、このメチンは無置換であることが好ましい。
A21、A22、A23、A24、A25またはA26が置換基を有してもよいメチンの場合の置換基の例には、ハロゲン原子(フッ素原子、塩素原子、臭素原子、ヨウ素原子)、シアノ基、ニトロ基、炭素数1~16のアルキル基、炭素数2~16のアルケニル基、炭素数2~16のアルキニル基、炭素数1~16のハロゲンで置換されたアルキル基、炭素数1~16のアルコキシ基、炭素数2~16のアシル基、炭素数1~16のアルキルチオ基、炭素数2~16のアシルオキシ基、炭素数2~16のアルコキシカルボニル基、カルバモイル基、炭素数2~16のアルキル置換カルバモイル基および炭素数2~16のアシルアミノ基が含まれる。これらの中でも、ハロゲン原子、シアノ基、炭素数1~6のアルキル基、炭素数1~6のハロゲンで置換されたアルキル基が好ましく、ハロゲン原子、炭素数1~4のアルキル基、炭素数1~4のハロゲンで置換されたアルキル基がより好ましく、ハロゲン原子、炭素数が1~3のアルキル基、トリフルオロメチル基が更に好ましい。
X2は、酸素原子、硫黄原子、メチレンまたはイミノを表し、酸素原子が好ましい。
A31およびA32は、少なくとも一方が窒素原子であることが好ましく、両方が窒素原子であることがより好ましい。
A33、A34、A35およびA36は、少なくとも3つが置換基を有してもよいメチンであることが好ましく、すべて置換基を有してもよいメチンであることがより好ましい。更に、このメチンは無置換であることが好ましい。
A31、A32、A33、A34、A35またはA36が置換基を有してもよいメチンの場合、メチンは置換基を有していてもよい。置換基の例には、ハロゲン原子(フッ素原子、塩素原子、臭素原子、ヨウ素原子)、シアノ基、ニトロ基、炭素数1~16のアルキル基、炭素数2~16のアルケニル基、炭素数2~16のアルキニル基、炭素数1~16のハロゲンで置換されたアルキル基、炭素数1~16のアルコキシ基、炭素数2~16のアシル基、炭素数1~16のアルキルチオ基、炭素数2~16のアシルオキシ基、炭素数2~16のアルコキシカルボニル基、カルバモイル基、炭素数2~16のアルキル置換カルバモイル基および炭素数2~16のアシルアミノ基が含まれる。これらの中でも、ハロゲン原子、シアノ基、炭素数1~6のアルキル基、炭素数1~6のハロゲンで置換されたアルキル基が好ましく、ハロゲン原子、炭素数1~4のアルキル基、炭素数1~4のハロゲンで置換されたアルキル基がより好ましく、ハロゲン原子、炭素数が1~3のアルキル基、トリフルオロメチル基が更に好ましい。
X3は、酸素原子、硫黄原子、メチレンまたはイミノを表し、酸素原子が好ましい。
L41-2:*-AL-CO-O-AL-O-**
L41-3:*-AL-CO-O-AL-O-AL-**
L41-4:*-AL-CO-O-AL-O-CO-**
L41-5:*-CO-AR-O-AL-**
L41-6:*-CO-AR-O-AL-O-**
L41-7:*-CO-AR-O-AL-O-CO-**
L41-8:*-CO-NH-AL-**
L41-9:*-NH-AL-O-**
L41-10:*-NH-AL-O-CO-**
L41-11:*-O-AL-**
L41-12:*-O-AL-O-**
L41-13:*-O-AL-O-CO-**
L41-15:*-O-AL-S-AL-**
L41-16:*-O-CO-AL-AR-O-AL-O-CO-**
L41-17:*-O-CO-AR-O-AL-CO-**
L41-18:*-O-CO-AR-O-AL-O-CO-**
L41-19:*-O-CO-AR-O-AL-O-AL-O-CO-**
L41-20:*-O-CO-AR-O-AL-O-AL-O-AL-O-CO-**
L41-21:*-S-AL-**
L41-22:*-S-AL-O-**
L41-23:*-S-AL-O-CO-**
L41-24:*-S-AL-S-AL-**
L41-25:*-S-AR-AL-**
また、本発明の含メソゲン基重合体は、同一分子中に棒状液晶化合物および円盤状液晶化合物に由来するメソゲン基を含んでもよい。
相溶性の観点では、棒状液晶化合物または円盤状液晶化合物いずれかに由来するメソゲン基を含んだ方が好ましく、一般式(X)にて表される化合物とは異なる棒状液晶化合物や、一般式(I)で表される化合物とは異なる円盤状液晶化合物を由来とするメソゲン基を含む場合は、それらのメソゲン基が一般式(X)にて表される化合物や一般式(I)で表される化合物と類似していることが好ましい。
nnは、10~1000が好ましく、より好ましくは20~500であり、特に好ましくは30~200である。上記繰り返し単位は単一であっても複数により構成されていても良い。nmは、1~12が好ましく、1~6がより好ましい。
本発明の含メソゲン基重合体は、上述したメソゲン基を形成する棒状液晶化合物または円盤状液晶化合物に対して、或いは上述したメソゲン基を形成する棒状液晶化合物または円盤状液晶化合物及び上述したフッ素原子を有する化合物またはシロキサン結合を有する化合物に対して所定量の重合開始剤の存在下で重合させて得られ、この重合方法としては公知の方法、例えば溶液重合、分散重合、沈殿重合、及び塊状重合等が挙げられ、中でも溶液重合又は沈殿重合が好ましい。特に分子量制御の点から、有機溶媒中での溶液重合によって反応を実施することが好ましい。このとき用いられる有機溶媒としては、ベンゼン、トルエン、キシレン、エチルベンゼン、テトラリン等の芳香族炭化水素系溶媒;n-ヘキサン、n-ヘプタン、ミネラルスピリット、シクロヘキサン等の脂肪族又は脂環式炭化水素系溶媒;塩化メチル、臭化メチル、ヨウ化メチル、メチレンジクロライド、クロロホルム、四塩化炭素、トリクロロエチレン、パークロロエチレン、オルトジクロロベンゼン等のハロゲン系溶媒;酢酸エチル、酢酸ブチル、メトキシブチルアセテート、メチルセロソルブアセテート、エチルセロソルブアセテート、プロピレングリコールモノメチルエーテルアセテート等のエステル系又はエステルエーテル系溶媒;ジエチルエーテル、テトラヒドロフラン、1,4-ジオキサン、メチルセロソルブ、エチルセロソルブ、ブチルセロソルブ、プロピレングリコールモノメチルエーテル等のエーテル系溶媒;アセトン、メチルエチルケトン、メチルイソブチルケトン、ジ-n-ブチルケトン、シクロヘキサノン等のケトン系溶媒;メタノール、エタノール、n-プロパノール、イソプロパノール、n-ブタノール、イソブタノール、tert-ブタノール、2-エチルヘキシルアルコール、ベンジルアルコール等のアルコール系溶媒;N,N-ジメチルホルムアミド、N,N-ジメチルアセトアミド等のアミド系溶媒;ジメチルスルホキシド等のスルホキシド系溶媒、N-メチル-2-ピロリドン等の複素環式化合物系溶媒、並びにこれらの2種以上の混合溶媒が挙げられる。
これらのうち好ましいのは、芳香族炭化水素系溶媒、ハロゲン系溶媒、エステル系溶媒、エーテル系溶媒、ケトン系溶媒、アルコール系溶媒、アミド系溶媒、スルホキシド系溶媒等であり、特に好ましいものはトルエン、キシレン、オルトジクロロベンゼン、酢酸ブチル、プロピレングリコールモノメチルエーテルアセテート、プロピレングリコールモノメチルエーテル、1,4-ジオキサン、メチルセロソルブ、メチルイソブチルケトン、N,N-ジメチルホルムアミド、N,N-ジメチルアセトアミド等である。
(1)アゾニトリル化合物:
2,2'-アゾビスイソブチロニトリル、2,2'-アゾビス(2-メチルブチロニトリル)、2,2'-アゾビス(2,4-ジメチルバレロニトリル)、1,1'-アゾビス(1-シクロヘキサンカルボニトリル)、2,2'-アゾビス(4-メトキシ-2,4-ジメチルバレロニトリル)、2-(カルバモイルアゾ)イソブチロニトリル等;
(2)アゾアミド化合物:
2,2'-アゾビス{2-メチル-N-[1,1-ビス(ヒドロキシメチル)-2-ヒドロキシエチル]プロピオンアミド}、2,2'-アゾビス{2-メチル-N-[2-(1-ヒドロキシブチル)]プロピオンアミド}、2,2'-アゾビス[2-メチル-N-(2-ヒドロキシエチル)プロピオンアミド]、2,2'-アゾビス[N-(2-プロペニル)-2-メチルプロピオンアミド]、2,2'-アゾビス(N-ブチル-2-メチルプロピオンアミド)、2,2'-アゾビス(N-シクロヘキシル-2-メチルプロピオンアミド)等;
(3)環状アゾアミジン化合物:
2,2'-アゾビス[2-(2-イミダゾリン-2-イル)プロパン]ジヒドロクロリド、2,2'-アゾビス[2-(2-イミダゾリン-2-イル)プロパン]ジスルフェートジヒドレート、2,2'-アゾビス[2-[1-(2-ヒドロキシエチル)-2-イミダゾリン-2-イル]プロパン]ジヒドロクロリド、2,2'-アゾビス[2-(2-イミダゾリン-2-イル)プロパン]、2,2'-アゾビス(1-イミノ-1-ピロリジノ-2-メチルプロパン)ジヒドロクロリド等;
(4)アゾアミジン化合物:
2,2'-アゾビス(2-メチルプロピオンアミジン)ジヒドロクロリド、2,2'-アゾビス[N-(2-カルボキシエチル)-2-メチルプロピオンアミジン]テトラヒドレート等;
(5)その他:
2,2'-アゾビスイソ酪酸ジメチル、4,4'-アゾビス-4-シアノバレリン酸、2,2'-アゾビス(2,4,4-トリメチルペンタン)、1,1'-アゾビス(1-アセトキシ-1-フェニルエタン)、ジメチル1,1'-アゾビス(1-シクロヘキサンカルボキシレート)、4,4'-アゾビス(4-シアノペンタン酸)等。
(6)フルオロアルキル基含有アゾ系重合開始剤:
4,4'-アゾビス(4-シアノペンタン酸-2-(パーフルオロメチル)エチル)、4,4'-アゾビス(4-シアノペンタン酸-2-(パーフルオロブチル)エチル)、4,4'-アゾビス(4-シアノペンタン酸-2-(パーフルオロヘキシル)エチル)等。
図1を参照して、本発明に係る一実施形態の光学フィルムについて説明する。図1は本実施形態の光学フィルムの概略断面図である。図1では、視認しやすくするため各部の縮尺は適宜変更して示してある。光学フィルム10は、支持体11上に、λ/4層12と、互いに隣接する液晶層13と、液晶層14とを備えてなり、液晶層13は本発明の重合体を含有する液晶層、または本発明の重合体を含む組成物の硬化により形成された液晶層(以下、「液晶層」ということがある)を含む。光学フィルムはこれらの液晶層のみからなるものであってもよく、更に液晶層を設けてもよく、液晶層の他に他の層を含むものであってもよい。他の層としては、配向層、表面保護層などが挙げられる。また、本発明の重合体を含む組成物から形成された液晶層以外の液晶層を更に有していてもよい。
光学フィルム10は、図1に示されるように、支持体11に近い液晶層を下層(液晶層13)としてその表面に上層として、本発明の重合体と液晶成分と溶剤とを含む組成物を塗布して形成された液晶層14を備えた構造を有することが好ましい。このときの組成物の溶剤は上記で例示した有機溶剤から選択することができる。液晶層14の表面にさらに同様に層が形成された構造も好ましく、光学フィルム10は同様に形成された液晶層の3~10層の積層フィルムであってもよい。
支持体11としては、ガラスやポリマーフィルムを用いることができる。支持体として用いられるポリマーフィルムの材料の例には、セルロースアシレートフィルム(例えば、セルローストリアセテートフィルム(屈折率1.48)、セルロースジアセテートフィルム、セルロースアセテートブチレートフィルム、セルロースアセテートプロピオネートフィルム)、ポリエチレン、ポリプロピレン等のポリオレフィン、ポリエチレンテレフタレートやポリエチレンナフタレート等のポリエステル系樹脂フィルム、ポリエーテルスルホンフィルム、ポリメチルメタクリレート等のポリアクリル系樹脂フィルム、ポリウレタン系樹脂フィルム、ポリエステルフィルム、ポリカーボネートフィルム、ポリスルホンフィルム、ポリエーテルフィルム、ポリメチルペンテンフィルム、ポリエーテルケトンフィルム、(メタ)アクリルニトリルフィルム、ポリオレフィン、脂環式構造を有するポリマー((ノルボルネン系樹脂(商品名「アートン」、JSR社製))、非晶質ポリオレフィン(商品名「ゼオネックス」、日本ゼオン社製))、などが挙げられる。このうちトリアセチルセルロース、ポリエチレンテレフタレート、脂環式構造を有するポリマーが好ましく、特にトリアセチルセルロースが好ましい。
支持体は液晶層の形成後剥離されて光学フィルムに含まれない仮支持体であってもよい。
支持体の膜厚としては、5μm~1000μm程度であればよく、好ましくは10μm~250μmであり、より好ましくは15μm~90μmである。
光学フィルムは配向層を含んでいてもよい。配向層は、液晶化合物を含む層の形成の際、液晶層作製用組成物中の液晶化合物の分子を配向させるために用いられる。
配向層は液晶層などの層の形成の際に用いられ、光学フィルムにおいては、配向層が含まれていてもいなくてもよい。
支持体、液晶層などの下層の材料によっては、配向層を設けなくても、下層を直接配向処理(例えば、ラビング処理)することで、配向層として機能させることもできる。そのような下層となる支持体の一例としては、PETを挙げることができる。
また、液晶層の上に直接層を積層する場合、下層の液晶層が配向層として振舞い上層の作製のための液晶化合物を配向させることができる場合もある。このような場合、配向層を設けなくても、また、特別な配向処理(例えば、ラビング処理)を実施しなくても上層の液晶化合物を配向することができる。
ラビング処理配向層に用いることができるポリマーの例には、例えば特開平8-338913号公報明細書中段落番号[0022]記載のメタクリレート系共重合体、スチレン系共重合体、ポリオレフィン、ポリビニルアルコールおよび変性ポリビニルアルコール、ポリ(N-メチロールアクリルアミド)、ポリエステル、ポリイミド、酢酸ビニル共重合体、カルボキシメチルセルロース、ポリカーボネート等が含まれる。シランカップリング剤をポリマーとして用いることができる。水溶性ポリマー(例、ポリ(N-メチロールアクリルアミド)、カルボキシメチルセルロース、ゼラチン、ポリビニルアルコール、変性ポリビニルアルコール)が好ましく、ゼラチン、ポリビニルアルコールおよび変性ポリビニルアルコールが更に好ましく、ポリビニルアルコールおよび変性ポリビニルアルコールが最も好ましい。
配向層の膜厚は、0.1~10μmの範囲にあることが好ましい。
液晶層作製用組成物が塗布される、配向層、支持体、またはそのほかの層の表面は、必要に応じてラビング処理をしてもよい。ラビング処理は、一般にはポリマーを主成分とする膜の表面を、紙や布で一定方向に擦ることにより実施することができる。ラビング処理の一般的な方法については、例えば、「液晶便覧」(丸善社発行、平成12年10月30日)に記載されている。
式(A) L=Nl(1+2πrn/60v)
式(A)中、Nはラビング回数、lはラビングローラーの接触長、rはローラーの半径、nはローラーの回転数(rpm)、vはステージ移動速度(秒速)である。
光照射により形成される光配向層に用いられる光配向材料としては、多数の文献等に記載がある。例えば、特開2006-285197号公報、特開2007-76839号公報、特開2007-138138号公報、特開2007-94071号公報、特開2007-121721号公報、特開2007-140465号公報、特開2007-156439号公報、特開2007-133184号公報、特開2009-109831号公報、特許第3883848号、特許第4151746号に記載のアゾ化合物、特開2002-229039号公報に記載の芳香族エステル化合物、特開2002-265541号公報、特開2002-317013号公報に記載の光配向性単位を有するマレイミドおよび/またはアルケニル置換ナジイミド化合物、特許第4205195号、特許第4205198号に記載の光架橋性シラン誘導体、特表2003-520878号公報、特表2004-529220号公報、特許第4162850号に記載の光架橋性ポリイミド、ポリアミド、またはエステルが好ましい例として挙げられる。特に好ましくは、アゾ化合物、光架橋性ポリイミド、ポリアミド、またはエステルである。
本明細書において、「直線偏光照射」とは、光配向材料に光反応を生じせしめるための操作である。用いる光の波長は、用いる光配向材料により異なり、その光反応に必要な波長であれば特に限定されるものではない。好ましくは、光照射に用いる光のピーク波長が200nm~700nmであり、より好ましくは光のピーク波長が400nm以下の紫外光である。
非偏光を利用する場合には、斜めから非偏光を照射する。その入射角度は、10~80°、好ましくは20~60°、特に好ましくは30~50°である。
照射時間は好ましくは1分~60分、さらに好ましくは1分~10分である。
本発明の組成物は、本発明の含メソゲン基重合体を含む。本発明の組成物は、更に液晶化合物を含むことが好ましい。
本発明の液晶層作製用組成物は、前述の含メソゲン基重合体と液晶化合物、好ましくは重合性液晶化合物を含む組成物である。本発明により、塗布時にハジキを生じにくい液晶層作製用組成物が提供される。好適には、液晶層を下層として、その表面に上層を塗布成膜する際、上層形成用の塗布液の塗布時にハジキを生じさせにくい液晶組成物を提供することである。本発明の液晶層作製用組成物を用いると、上層形成用の塗布液の塗布時にハジキを生じさせにくい液晶層を有する光学フィルムを製造することができる。そのため、本発明の液晶層作製用組成物を用いて、多様な機能を有する積層フィルムの製造が可能である。
本発明の組成物は溶剤を含んでいることが好ましい。溶剤は低表面張力溶剤でも、標準表面張力溶剤でも良い。なかでも、液晶層を形成するための組成物には、低表面張力溶剤を含有することが好ましい。
また、低表面張力溶剤の表面張力と標準表面張力溶剤の表面張力との差は、2mN/m以上であることが好ましく、3mN/m以上であることがより好ましく、4~20mN/m以上であることがさらに好ましく、5~15mN/mであることが特に好ましい。
液晶層形成の際の乾燥工程では、液晶層作製用組成物の溶剤は、溶剤全量に対して、95質量%以上除去されることが好ましく、98質量%以上除去されることがより好ましく、99質量%以上除去されることがさらに好ましく、実質的に100質量%除去されることが特に好ましい。
液晶化合物には、低分子液晶化合物が含まれる。本発明において、低分子とは重合度が100未満のものを指す。また、液晶化合物としては、棒状液晶化合物および円盤状液晶化合物が含まれる。
重合性液晶化合物は、重合性基を有する液晶化合物を示す。重合性基としては、アクリロイル基、メタクリロイル基、エポキシ基、ビニル基等を挙げることができる。重合性液晶化合物を硬化させることにより、液晶化合物の配向を固定することができ、光学補償膜等に用いることができる。
重合性液晶化合物である棒状液晶化合物としては、Makromol.Chem.,190巻、2255頁(1989年)、Advanced Materials 5巻、107頁(1993年)、米国特許4683327号、同5622648号、同5770107号、WO95/22586号、同95/24455号、同97/00600号、同98/23580号、同98/52905号、特開平1-272551号、同6-16616号、同7-110469号、同11-80081号、および特願2001-64627号の各公報などに記載の化合物を用いることができる。さらに棒状液晶化合物としては、例えば、特表平11-513019号公報や特開2007-279688号公報に記載のものも好ましく用いることができる。
重合性化合物の重合による組成物の硬化により液晶層が形成される場合などにおいて、液晶成分は重合開始剤を含んでいてもよい。
重合開始剤の例には、α-カルボニル化合物(米国特許第2367661号、同2367670号の各明細書記載)、アシロインエーテル(米国特許第2448828号明細書記載)、α-炭化水素置換芳香族アシロイン化合物(米国特許第2722512号明細書記載)、多核キノン化合物(米国特許第3046127号、同2951758号の各明細書記載)、トリアリールイミダゾールダイマーとp-アミノフェニルケトンとの組み合わせ(米国特許第3549367号明細書記載)、アクリジンおよびフェナジン化合物(特開昭60-105667号公報、米国特許第4239850号明細書記載)およびオキサジアゾール化合物(米国特許第4212970号明細書記載)、アシルフォスフィンオキシド化合物(特公昭63-40799号公報、特公平5-29234号公報、特開平10-95788号公報、特開平10-29997号公報記載)等が挙げられる。
液晶層作製用組成物から形成される液晶層はコレステリック液晶相を固定した層であってもよい。その場合、液晶成分はキラル剤を含むことが好ましい。
キラル剤は、公知の種々のキラル剤(例えば、液晶デバイスハンドブック、第3章4-3項、TN、STN用カイラル剤、199頁、日本学術振興会第一42委員会編、1989に記載)から選択することができる。キラル剤は、一般に不斉炭素原子を含むが、不斉炭素原子を含まない軸性不斉化合物あるいは面性不斉化合物もキラル剤として用いることができる。軸性不斉化合物または面性不斉化合物の例には、ビナフチル、ヘリセン、パラシクロファンおよびこれらの誘導体が含まれる。キラル剤は、重合性基を有していてもよい。キラル剤が重合性基を有するとともに、併用する棒状液晶化合物も重合性基を有する場合は、重合性基を有するキラル剤と重合性棒状液晶合物との重合反応により、棒状液晶化合物から誘導される繰り返し単位と、キラル剤から誘導される繰り返し単位とを有するポリマーを形成することができる。この態様では、重合性基を有するキラル剤が有する重合性基は、重合性棒状液晶化合物が有する重合性基と、同種の基であることが好ましい。従って、キラル剤の重合性基も、不飽和重合性基、エポキシ基またはアジリジニル基であることが好ましく、不飽和重合性基であることがさらに好ましく、エチレン性不飽和重合性基であることが特に好ましい。
また、キラル剤は、液晶化合物であってもよい。
本発明の組成物にはフッ素系界面活性剤およびシリコーン系界面活性剤を含んでいてもよい。液晶層作製用組成物のフッ素系界面活性剤およびシリコーン系界面活性剤の含有量が、組成物の総質量に対して5質量%以下であることが好ましい。
市販品のフッ素系界面活性剤としては、AGCセイミケミカル株式会社製のサーフロンや、DIC株式会社製のメガファックを挙げることができる。
シリコーン系界面活性剤としては、例えば、ポリメチルフェニルシロキサン、ポリエーテル変性シリコーンオイル、ポリエーテル変性ジメチルポリシロキサン、ジメチルシリコーン、ジフェニルシリコーン、ハイドロジェン変性ポリシロキサン、ビニル変性ポリシロキサン、ヒドロキシ変性ポリシロキサン、アミノ変性ポリシロキサン、カルボキシル変性ポリシロキサン、クロル変性ポリシロキサン、エポキシ変性ポリシロキサン、メタクリロキシ変性ポリシロキサン、メルカプト変性ポリシロキサン、フッ素変性ポリシロキサン、長鎖アルキル変性ポリシロキサン、フェニル変性ポリシロキサン、シリコーン変性コポリマーなどの珪素原子含有の低分子化合物が挙げられる。
液晶層は本発明の組成物からなる塗膜から形成される。液晶層は、例えば、支持体上に組成物を塗布し、得られる塗膜を乾燥することにより形成された層であってもよく、さらに光照射または加熱などによる硬化工程に付して形成された層であってもよい。
紫外線照射によって進行される硬化反応(例えば重合反応)の反応率は、層の機械的強度の保持等や未反応物が層から流出するのを抑える等の観点から、60%以上であることが好ましく、70%以上であることがより好ましく、80%以上であることがよりさらに好ましい。反応率を向上させるためには照射する紫外線の照射量を増大する方法や窒素雰囲気下あるいは加熱条件下での重合が効果的である。また、一旦重合させた後に、重合温度よりも高温状態で保持して熱重合反応によって反応をさらに推し進める方法や、再度紫外線を照射する方法を用いることもできる。反応率の測定は反応性基(例えば重合性基)の赤外振動スペクトルの吸収強度を、反応進行の前後で比較することによって行うことができる。
光学フィルムは支持体上に、上記のように液晶層を形成することにより、製造することができる。支持体は液晶層の形成後剥離してもよい。
本明細書において、「支持体上に」というとき、「支持体表面に直接」または「支持体表面に形成された他の層を介して」との意味を示す。
液晶層は先に形成された他の層の表面に形成してもよい。
液晶層の表面にさらに上記のように液晶層を形成することも好ましい。本発明の液晶層作製用組成物から形成される液晶層はハジキを生じさせにくいため、様々な積層型の光学フィルムの作製が可能である。本発明の組成物は特に、先に形成された液晶層の表面上に直接塗布することが好ましい。本発明の組成物は塗布成膜される際、ハジキを生じにくく、面状に優れ、更には配向欠陥も低減できる。
[液晶表示装置]
本発明の光学フィルムは、液晶表紙装置のバックライトに用いる輝度向上フィルムとして用いることができる。以下、本発明の一実施形態である液晶表示装置について説明する。図2は、本発明にかかる一実施形態である液晶表示装置20の構成を示す概略図である。図3は、バックライトユニットの概略断面図である。
図2に示されるように、液晶表示装置20は、一対の偏光板(上側偏光板21,下側偏光板28)と、これらに挟持されてなる液晶セル30と、下側偏光板28の液晶セルとは反対の面側にバックライトユニット40とを有しており、液晶セル30は、液晶25とその上下に配置されてなる液晶セル上電極基板23と液晶セル下電極基板26とを有している。なお、バックライトユニット40に偏光発光フィルムを備えているので、下側偏光板28を省略することも可能である。
また他の態様では、発光ダイオードに替えてレーザー光源を使用することもできる。
(重合体101の合成例)
攪拌機、温度計、還流冷却管、及び窒素ガス導入管を備えた300ミリリットル三口フラスコに、トルエン25.0gを仕込んで、120℃まで昇温した。次いで、2-(パーフルオロデシル)エチルアクリレート4.2g(6.8ミリモル)、下記式(A)で表される2官能棒状液晶化合物1.3g(2.1ミリモル)、トルエン25.0g及び重合開始剤「V-601」(和光純薬(株)製)4.7gからなる混合溶液を、30分で滴下が完了するように等速で滴下した。滴下完了後、さらに2時間攪拌を続けた後、溶媒を減圧溜去し、130℃にて減圧乾燥し、本発明の重合体(101)5.0gを得た。この重合体の重量平均分子量(Mw)は5,500(ゲルパーミエーションクロマトグラフィー(GPC)によりポリスチレン換算で算出、使用カラムはTSKgel SuperHZM-H、TSKgel SuperHZ4000、TSKgel SuperHZ200(東ソー社製))であった。重合体(101)が分岐状構造であることをプロトンNMR(核磁気共鳴)スペクトル測定と元素分析測定により確認した。また、V-601を用いた際の重合開始剤断片は下記で表される構造であることをプロトンNMRスペクトル測定と質量分析測定により確認した。
モノマー、組成比をそれぞれ表1のように変更したこと以外は、合成例1と同様にして本発明の重合体102~112を合成した。
C6FHA:1H,1H,7H-ドデカフルオロヘプチルアクリレート
C6FA:2-(パーフルオロヘキシル)エチルアクリレート
C8FA:2-(パーフルオロオクチル)エチルアクリレート
C10FA:2-(パーフルオロデシル)エチルアクリレート
上記で得られた101~112までの重合体を用いた実施例、および比較例の光学フィルムを作製した。光学フィルムは、支持体上に配向層、λ/4層、配向層、液晶層1、および液晶層2を順次積層して形成した。各層の形成方法および塗布液を以下に説明する。
(支持体:TD40UL)
支持体として市販のセルロースアシレートフィルム「TD40UL」(富士フイルム社製)を用いた。以下、支持体をTD40ULと記載する。
-アルカリ鹸化処理-
TD40ULを、温度60℃の誘電式加熱ロールを通過させ、フィルム表面温度を40℃に昇温した後に、フィルムの片面に下記に示す組成のアルカリ溶液を、バーコーターを用いて塗布量14ml/m2で塗布し、110℃に加熱した(株)ノリタケカンパニーリミテド製のスチーム式遠赤外ヒーターの下に、10秒間搬送した。続いて、同じくバーコーターを用いて、純水を3ml/m2塗布した。次いで、ファウンテンコーターによる水洗とエアナイフによる水切りを3回繰り返した後に、70℃の乾燥ゾーンに10秒間搬送して乾燥し、アルカリ鹸化処理したセルロースアシレートフィルムを作製した。
水酸化カリウム 4.7質量部
水 15.8質量部
イソプロパノール 63.7質量部
界面活性剤SF-1:C14H29O(CH2CH2O)20H
1.0質量部
プロピレングリコール 14.8質量部
上記のように鹸化処理した長尺状のセルロースアセテートフィルムに、下記の組成の配向層塗布液を#14のワイヤーバーで連続的に塗布した。60℃の温風で60秒、更に100℃の温風で120秒乾燥した。得られた塗膜に連続的にラビング処理を施し、配向層を作製した。このとき、長尺状のフィルムの長手方向と搬送方向は平行であり、フィルム長手方向に対して、ラビングローラーの回転軸は時計回りに45°の方向とした。
下記の変性ポリビニルアルコール 10質量部
水 371質量部
メタノール 119質量部
グルタルアルデヒド 0.5質量部
光重合開始剤(イルガキュアー2959、BASF社製) 0.3質量部
上記作製した配向層上に、下記の組成の円盤状液晶化合物を含む塗布液A1を#3.6のワイヤーバーで連続的に塗布した。フィルムの搬送速度(V)は20m/minとした。塗布液の溶剤の乾燥および円盤状液晶化合物の配向熟成のために、80℃の温風で90秒間加熱した。続いて、60℃にてUV照射を行い、液晶化合物の配向を固定化しλ/4層を形成した。
このとき、UV照射量は230mJ/cm2とした。
円盤状液晶化合物(化合物301) 80質量部
円盤状液晶化合物(化合物302) 20質量部
配向助剤1 0.9質量部
配向助剤2 0.1質量部
界面活性剤1(DIC社製メガファックF444) 0.12質量部
重合開始剤1 3質量部
メチルエチルケトン 250質量部
tert-ブタノール 50質量部
λ/4層の表面に上記と同様に配向層を作製した。
前述の積層構造(TD40UL+配向層+λ/4+配向層)の表面に、以下の塗布液B1を、3μmの膜厚になるように調整し、連続的に塗布した。続いて、溶剤を70℃、2分間乾燥し、溶剤を気化させた後に115℃で3分間加熱熟成を行って、均一な配向状態を得た。その後この塗布膜を45℃に保持し、これに窒素雰囲気下で高圧水銀灯を用いて紫外線照射して、コレステリック液晶層を形成した。このとき、UV照射量は250mJ/cm2とした
円盤状液晶化合物(化合物301) 80質量部
円盤状液晶化合物(化合物302) 20質量部
重合性モノマー 10質量部
界面活性剤1(DIC社製メガファックF444) 0.18質量部
重合開始剤1 3質量部
キラル剤1 3.8質量部
メチルエチルケトン 290質量部
シクロヘキサノン 50質量部
上記塗布液B1から作製した液晶層1の表面上に、下記の組成の棒状液晶化合物を含む塗布液C1を5μmの膜厚になるように調整し、連続的に塗布した。フィルムの搬送速度は20m/minとした。塗布液の溶剤の乾燥および棒状液晶化合物の配向熟成のために、85℃の温風で120秒間加熱した。続いて、30℃にてUV照射を行い、液晶化合物の配向を固定化し光学異方性層(液晶層2)を形成した。このとき、UV照射量は300mJ/cm2とした。
棒状液晶化合物201 83質量部
棒状液晶化合物202 15質量部
棒状液晶化合物203 2質量部
多官能モノマーA-TMMT(新中村化学工業(株)製) 1質量部
重合開始剤IRGACURE819(BASF社製) 4質量部
本発明の重合体101 0.25質量部
キラル剤LC756(BASF社製) 5.1質量部
トルエン 165質量部
シクロヘキサノン 10質量部
上記塗布液A1、B1、およびC1と、下記の塗布液A2、B2、B3、およびC2~C12とを用い、表2に示す構成とした以外は、実施例1と同様にして光学フィルムを作製した。
なお、塗布液C2~C12は、重合体101の代わりに重合体102~112を用い、添加量を表2に示すものとした以外は、塗布液C1の処方と同様に調製した。
円盤状液晶化合物(化合物301) 80質量部
円盤状液晶化合物(化合物302) 20質量部
配向助剤1 0.9質量部
配向助剤2 0.1質量部
重合性モノマー(大阪有機化学社製 ビスコート#360)
10質量部
界面活性剤(DIC社製メガファックF444) 0.12質量部
含フッ素化合物1 0.03質量部
重合開始剤1 3質量部
メチルエチルケトン 218.7質量部
tert-ブタノール 62.5質量部
シクロヘキサノン 31.2質量部
円盤状液晶化合物(化合物301) 80質量部
円盤状液晶化合物(化合物302) 20質量部
重合性モノマー 10質量部
界面活性剤1(DIC社製メガファックF444) 0.18質量部
本発明の重合体101 0.05質量部
重合開始剤1 3質量部
キラル剤1 3.8質量部
メチルエチルケトン 290質量部
シクロヘキサノン 50質量部
重合性モノマーは塗布液B1で用いたものと同じである。
円盤状液晶化合物(化合物301) 80質量部
円盤状液晶化合物(化合物302) 20質量部
界面活性剤(DIC社製メガファックF444) 0.18質量部
含フッ素化合物1 0.03質量部
重合開始剤1 3質量部
キラル剤1 5.1質量部
メチルエチルケトン 125.2質量部
tert-ブタノール 38.5質量部
シクロヘキサノン 28.9質量部
攪拌機、温度計、還流冷却管、及び窒素ガス導入管を備えた300ミリリットル三口フラスコに、トルエン50.0gを仕込んで、120℃まで昇温した。次いで、2-(パーフルオロヘキシル)エチルアクリレート8.4g(20.0ミリモル)、ジビニルベンゼン2.6g(20.0ミリモル)、トルエン50.0g及び重合開始剤「V-601」(和光純薬(株)製)4.6gからなる混合溶液を、30分で滴下が完了するように等速で滴下した。滴下完了後、さらに2時間攪拌を続けた後、溶媒を減圧溜去し、120℃にて減圧乾燥し、メチルエチルケトン30gに溶解させた。この溶液をメタノール100gに再沈殿させ、比較例化合物(H-101)3.8gを得た。このポリマーの重量平均分子量(Mw)は16,600(ゲルパーミエーションクロマトグラフィー(GPC)によりポリスチレン換算で算出、使用カラムはTSKgel SuperHZM-H、TSKgel SuperHZ4000、TSKgel SuperHZ200(東ソー社製))であった。
F-552:市販フッ素系表面改質剤(DIC(株)社製、製品名:メガファックF-552)
重合体101の代わりにH-101~H104を用いて、表2に記載の添加量となるようにしたこと以外は、全て塗布液C1の処方にて比較例塗布液CH1~CH4を調製した。
<比較例1~4>
液晶層2にCH1~CH4を用いた以外は、実施例1と同様に作製した。
塗布液C1~C12およびCH1~CH4につき、セコニック社製Vm-100(振動式粘度計)を使用して粘度を測定し、全て1.5~10mPa・sの範囲内であった。
各実施例および比較例のフィルム15cm×20cm中の、各組成物を用いて形成した層のハジキの個数を数えた。ここで、下層の表面中において上層が形成されていない領域をハジキとした。その結果を元に、以下の基準で評価した。評価基準AまたはBであれば、生産効率に優れ、好適に用いることができ、評価基準Aであることがより好ましい。
A:ハジキが1個以下
B:ハジキが1~3個
C:ハジキが4~9個
D:ハジキが10個超
塗布後の層に関し、目視にて面状を確認した。評価基準A~Cのいずれかの評価であることが好ましい。評価基準AまたはBであれば、生産効率に優れ、好適に用いることができ、評価基準Aであることがより好ましい。
A:乾燥ムラやシワの無い面状である
B:乾燥ムラがわずかに見られるが問題なく使用できる
C:乾燥ムラや凹凸がBに比べ多いが問題なく使用できる
D:乾燥ムラに起因する明らかな凹凸が見られ、使用に適さない
液晶配向性の優劣は、偏向顕微鏡によって膜を観察したときの配向欠陥の有無によって、以下の基準にしたがって決定した。評価基準A~Cのいずれかの評価であることが好ましい。評価基準AまたはBであれば、生産効率に優れ、好適に用いることができ、評価基準Aであることがより好ましい。
A:配向不良なし
B:配向不良ほとんどなし
C:一部に若干の配向不良が見られる
D:全面に配向不良あり
市販の液晶表示装置(商品名「TH-L42D2」,パナソニック社製)を分解し、そのバックライトユニットにある輝度向上フィルムを本発明の光学フィルムに変更し、本発明の液晶表示装置としたところ、性能は良好であった。
二重結合の残存率が0mol%である実施例21は、二重結合残存率50mol%である実施例22と比較して、ハジキおよび配向の評価において優れていた。
一方、メソゲン基を有しない重合体を含有する比較例1および2、重合性基を一つだけ有する比較例3、二重結合の残存率が100mol%である比較例4は、性能評価において劣っていた。
Claims (15)
- 棒状液晶化合物および円盤状液晶化合物から選ばれる少なくとも1種の液晶化合物に由来するメソゲン基および2個以上の重合性基を有する化合物をラジカル重合させてなる部分構造を含み、分岐状である重合体。
- 前記円盤状液晶化合物に由来するメソゲン基および2個以上の重合性基を有する化合物が、下記一般式(I)で表される化合物である請求項1または2記載の重合体。
一般式(I)中、Y11、Y12およびY13は、それぞれ独立に置換されていてもよいメチンまたは窒素原子を表し、L1、L2およびL3は、それぞれ独立に単結合または二価の連結基を表し、H1、H2およびH3は、それぞれ独立に下記一般式(I-A)または下記一般式(I―B)を表し、R1、R2およびR3は、それぞれ独立に下記一般式(I-R)を表す。
一般式(I-A)中、YA1およびYA2は、それぞれ独立に置換基を有してもよいメチンまたは窒素原子を表し、XAは、酸素原子、硫黄原子、メチレンまたはイミノを表し、*は上記一般式(I)におけるL1~L3側と結合する位置を表し、**は上記一般式(I)におけるR1~R3側と結合する位置を表す。
一般式(I-B)中、YB1およびYB2は、それぞれ独立に置換基を有してもよいメチンまたは窒素原子を表し、XBは、酸素原子、硫黄原子、メチレンまたはイミノを表し、*は上記一般式(I)におけるL1~L3側と結合する位置を表し、**は上記一般式(I)におけるR1~R3側と結合する位置を表す。
一般式(I-R)中、*は一般式(I)におけるH1~H3側と結合する位置を表し、Lr1は単結合または二価の連結基を表し、Q2は少なくとも1種類の環状構造を有する二価の基を表し、n1は、0~4の整数を表し、Lr2およびLr3は二価の連結基をそれぞれ独立に表し、Q1は重合性基または水素原子を表す。ただし、複数存在するQ1の少なくとも2つは重合性基を表す。 - フッ素原子を有する化合物を重合反応させてなる部分構造を含む請求項1~3のいずれか1項記載の重合体。
- 重量平均分子量がゲル浸透クロマトグラフィーによるポリスチレン換算で1,000~300,000である請求項1~5のいずれか1項記載の重合体。
- 請求項1~6のいずれか1項記載の重合体を含有する組成物。
- 更に液晶化合物を含む請求項7記載の組成物。
- 前記液晶化合物が重合性液晶化合物である請求項8記載の組成物。
- 前記重合性液晶化合物が、重合性棒状液晶化合物および重合性円盤状液晶化合物から選ばれる少なくとも1種の重合性液晶化合物である請求項9記載の組成物。
- 支持体上に、請求項1~6のいずれか1項記載の重合体を含有するコレステリック液晶層を備えてなる光学フィルム。
- 複数の前記コレステリック液晶層を積層してなる積層構造を有する請求項11記載の光学フィルム。
- 複数の前記コレステリック液晶層のうち、少なくとも1層が棒状液晶化合物を含むコレステリック液晶層であり、少なくとも1層が円盤状液晶化合物を含むコレステリック液晶層である請求項12記載の光学フィルム。
- 前記棒状液晶化合物を含むコレステリック液晶層と、前記円盤状液晶化合物を含むコレステリック液晶層が互いに接している請求項13記載の光学フィルム。
- 請求項11~14のいずれか1項記載の光学フィルムを備えたバックライトユニットと液晶セルとを少なくとも含む液晶表示装置。
Priority Applications (4)
| Application Number | Priority Date | Filing Date | Title |
|---|---|---|---|
| JP2016534284A JP6445011B2 (ja) | 2014-07-18 | 2015-07-15 | 重合体、組成物、光学フィルムおよび液晶表示装置 |
| CN201580038568.5A CN106536575B (zh) | 2014-07-18 | 2015-07-15 | 聚合物、组合物、光学薄膜及液晶显示装置 |
| KR1020177001967A KR101958208B1 (ko) | 2014-07-18 | 2015-07-15 | 중합체, 조성물, 광학 필름 및 액정 표시 장치 |
| US15/405,038 US10487165B2 (en) | 2014-07-18 | 2017-01-12 | Polymer, composition, optical film, and liquid crystal display device |
Applications Claiming Priority (4)
| Application Number | Priority Date | Filing Date | Title |
|---|---|---|---|
| JP2014148352 | 2014-07-18 | ||
| JP2014-148352 | 2014-07-18 | ||
| JP2014266385 | 2014-12-26 | ||
| JP2014-266385 | 2014-12-26 |
Related Child Applications (1)
| Application Number | Title | Priority Date | Filing Date |
|---|---|---|---|
| US15/405,038 Continuation US10487165B2 (en) | 2014-07-18 | 2017-01-12 | Polymer, composition, optical film, and liquid crystal display device |
Publications (1)
| Publication Number | Publication Date |
|---|---|
| WO2016009648A1 true WO2016009648A1 (ja) | 2016-01-21 |
Family
ID=55078155
Family Applications (1)
| Application Number | Title | Priority Date | Filing Date |
|---|---|---|---|
| PCT/JP2015/003577 Ceased WO2016009648A1 (ja) | 2014-07-18 | 2015-07-15 | 重合体、組成物、光学フィルムおよび液晶表示装置 |
Country Status (5)
| Country | Link |
|---|---|
| US (1) | US10487165B2 (ja) |
| JP (1) | JP6445011B2 (ja) |
| KR (1) | KR101958208B1 (ja) |
| CN (1) | CN106536575B (ja) |
| WO (1) | WO2016009648A1 (ja) |
Cited By (4)
| Publication number | Priority date | Publication date | Assignee | Title |
|---|---|---|---|---|
| WO2017010560A1 (ja) * | 2015-07-16 | 2017-01-19 | 富士フイルム株式会社 | 液晶組成物、フィルム、投映像表示用ハーフミラー、およびフィルムの製造方法 |
| WO2021002333A1 (ja) * | 2019-07-03 | 2021-01-07 | 富士フイルム株式会社 | 液晶組成物、液晶層、積層体および画像表示装置 |
| JPWO2022009658A1 (ja) * | 2020-07-10 | 2022-01-13 | ||
| WO2023248719A1 (ja) | 2022-06-21 | 2023-12-28 | 富士フイルム株式会社 | 画像記録物及び画像記録物の製造方法、並びに、加飾成形体 |
Families Citing this family (5)
| Publication number | Priority date | Publication date | Assignee | Title |
|---|---|---|---|---|
| CN108690634A (zh) * | 2017-12-08 | 2018-10-23 | 华南师范大学 | 一种棒状液晶及其应用 |
| CN109256452B (zh) * | 2018-11-19 | 2020-10-30 | 合肥惠科金扬科技有限公司 | Led器件的制作方法及led器件 |
| JP7302974B2 (ja) * | 2019-01-18 | 2023-07-04 | 住友化学株式会社 | 積層体、楕円偏光板および重合性液晶組成物 |
| US11048122B1 (en) | 2019-12-17 | 2021-06-29 | Tcl China Star Optoelectronics Technology Co., Ltd. | Liquid crystal display panel and liquid crystal display device |
| CN110941120A (zh) * | 2019-12-17 | 2020-03-31 | Tcl华星光电技术有限公司 | 一种液晶显示面板和液晶显示装置 |
Citations (8)
| Publication number | Priority date | Publication date | Assignee | Title |
|---|---|---|---|---|
| JP2006076992A (ja) * | 2004-08-12 | 2006-03-23 | Fuji Photo Film Co Ltd | 液晶性化合物、組成物および薄膜 |
| JP2006124639A (ja) * | 2004-09-30 | 2006-05-18 | Fuji Photo Film Co Ltd | 高分子膜、液晶配向膜、位相差板及び液晶表示装置 |
| JP2006307150A (ja) * | 2005-03-29 | 2006-11-09 | Chisso Corp | 重合性液晶組成物および光学異方性薄膜 |
| JP2007131740A (ja) * | 2005-11-10 | 2007-05-31 | Fujifilm Corp | 重合性組成物、光学異方性層及びその製造方法、光学補償素子、液晶表示装置及び液晶プロジェクタ |
| JP2007231193A (ja) * | 2006-03-02 | 2007-09-13 | Fujifilm Corp | ポリマー、及びそれを含有する組成物、ならびにそれを用いた位相差板及び液晶表示装置 |
| JP2008257205A (ja) * | 2007-03-14 | 2008-10-23 | Fujifilm Corp | 液晶組成物、位相差板、液晶表示装置、及び位相差板の製造方法 |
| JP2010138283A (ja) * | 2008-12-11 | 2010-06-24 | Fujifilm Corp | 重合性液晶組成物、位相差フィルム、画像表示装置用基板、及び液晶表示装置 |
| JP2012087197A (ja) * | 2010-10-19 | 2012-05-10 | Fujifilm Corp | アルカリ耐性向上剤、光硬化性液晶組成物、光学フィルム、偏光板、及び液晶表示装置 |
Family Cites Families (14)
| Publication number | Priority date | Publication date | Assignee | Title |
|---|---|---|---|---|
| JPH0618864A (ja) * | 1992-07-03 | 1994-01-28 | Canon Inc | 液晶素子および情報記憶装置 |
| US7632540B2 (en) * | 2003-07-01 | 2009-12-15 | Transitions Optical, Inc. | Alignment facilities for optical dyes |
| JP4335714B2 (ja) | 2004-03-09 | 2009-09-30 | 富士フイルム株式会社 | 位相差板の製造方法、位相差板、画像表示装置 |
| JP4385997B2 (ja) | 2004-05-31 | 2009-12-16 | Dic株式会社 | 重合性液晶組成物及び光学異方体 |
| US7449223B2 (en) | 2004-05-31 | 2008-11-11 | Dainippon Ink And Chemicals, Inc. | Polymerizable liquid crystal composition and optically anisotropic medium |
| US7378135B2 (en) | 2005-03-29 | 2008-05-27 | Chisso Corporation | Polymerizable liquid crystal composition and optically anisotropic thin film |
| JP2007023180A (ja) * | 2005-07-19 | 2007-02-01 | Fujifilm Corp | 液晶組成物及び位相差板 |
| JP4708287B2 (ja) | 2006-08-25 | 2011-06-22 | 富士フイルム株式会社 | 光学フィルムの製造方法、光学フィルム、偏光板、転写材料、液晶表示装置、及び偏光紫外線露光装置 |
| JP5016568B2 (ja) | 2007-08-20 | 2012-09-05 | 富士フイルム株式会社 | 光学補償フィルム、その製造方法、並びにそれを用いた偏光板及び液晶表示装置 |
| JP5543097B2 (ja) | 2008-11-07 | 2014-07-09 | 富士フイルム株式会社 | 偽造防止箔 |
| GB2466621A (en) * | 2008-12-23 | 2010-06-30 | Buhler Sortex Ltd | Sorting matter in a flow by comparing reflectance intensities at different wavelengths |
| US9475901B2 (en) * | 2009-12-08 | 2016-10-25 | Transitions Optical, Inc. | Photoalignment materials having improved adhesion |
| JP5728298B2 (ja) * | 2010-06-10 | 2015-06-03 | 富士フイルム株式会社 | 光学フィルム、偏光板、及び画像表示装置 |
| WO2012074047A1 (ja) * | 2010-12-01 | 2012-06-07 | 日産化学工業株式会社 | 重合性含フッ素高分岐ポリマー及びそれを含む硬化性組成物 |
-
2015
- 2015-07-15 JP JP2016534284A patent/JP6445011B2/ja active Active
- 2015-07-15 KR KR1020177001967A patent/KR101958208B1/ko active Active
- 2015-07-15 WO PCT/JP2015/003577 patent/WO2016009648A1/ja not_active Ceased
- 2015-07-15 CN CN201580038568.5A patent/CN106536575B/zh active Active
-
2017
- 2017-01-12 US US15/405,038 patent/US10487165B2/en active Active
Patent Citations (8)
| Publication number | Priority date | Publication date | Assignee | Title |
|---|---|---|---|---|
| JP2006076992A (ja) * | 2004-08-12 | 2006-03-23 | Fuji Photo Film Co Ltd | 液晶性化合物、組成物および薄膜 |
| JP2006124639A (ja) * | 2004-09-30 | 2006-05-18 | Fuji Photo Film Co Ltd | 高分子膜、液晶配向膜、位相差板及び液晶表示装置 |
| JP2006307150A (ja) * | 2005-03-29 | 2006-11-09 | Chisso Corp | 重合性液晶組成物および光学異方性薄膜 |
| JP2007131740A (ja) * | 2005-11-10 | 2007-05-31 | Fujifilm Corp | 重合性組成物、光学異方性層及びその製造方法、光学補償素子、液晶表示装置及び液晶プロジェクタ |
| JP2007231193A (ja) * | 2006-03-02 | 2007-09-13 | Fujifilm Corp | ポリマー、及びそれを含有する組成物、ならびにそれを用いた位相差板及び液晶表示装置 |
| JP2008257205A (ja) * | 2007-03-14 | 2008-10-23 | Fujifilm Corp | 液晶組成物、位相差板、液晶表示装置、及び位相差板の製造方法 |
| JP2010138283A (ja) * | 2008-12-11 | 2010-06-24 | Fujifilm Corp | 重合性液晶組成物、位相差フィルム、画像表示装置用基板、及び液晶表示装置 |
| JP2012087197A (ja) * | 2010-10-19 | 2012-05-10 | Fujifilm Corp | アルカリ耐性向上剤、光硬化性液晶組成物、光学フィルム、偏光板、及び液晶表示装置 |
Cited By (7)
| Publication number | Priority date | Publication date | Assignee | Title |
|---|---|---|---|---|
| WO2017010560A1 (ja) * | 2015-07-16 | 2017-01-19 | 富士フイルム株式会社 | 液晶組成物、フィルム、投映像表示用ハーフミラー、およびフィルムの製造方法 |
| WO2021002333A1 (ja) * | 2019-07-03 | 2021-01-07 | 富士フイルム株式会社 | 液晶組成物、液晶層、積層体および画像表示装置 |
| JPWO2021002333A1 (ja) * | 2019-07-03 | 2021-01-07 | ||
| JP7350855B2 (ja) | 2019-07-03 | 2023-09-26 | 富士フイルム株式会社 | 液晶組成物、液晶層、積層体および画像表示装置 |
| JPWO2022009658A1 (ja) * | 2020-07-10 | 2022-01-13 | ||
| JP7553564B2 (ja) | 2020-07-10 | 2024-09-18 | 富士フイルム株式会社 | 含フッ素共重合体、組成物、光学フィルム、液晶フィルム、ハードコートフィルム、偏光板 |
| WO2023248719A1 (ja) | 2022-06-21 | 2023-12-28 | 富士フイルム株式会社 | 画像記録物及び画像記録物の製造方法、並びに、加飾成形体 |
Also Published As
| Publication number | Publication date |
|---|---|
| JP6445011B2 (ja) | 2018-12-26 |
| CN106536575B (zh) | 2020-09-29 |
| CN106536575A (zh) | 2017-03-22 |
| KR101958208B1 (ko) | 2019-03-15 |
| US20170121441A1 (en) | 2017-05-04 |
| KR20170029522A (ko) | 2017-03-15 |
| JPWO2016009648A1 (ja) | 2017-06-15 |
| US10487165B2 (en) | 2019-11-26 |
Similar Documents
| Publication | Publication Date | Title |
|---|---|---|
| JP6445011B2 (ja) | 重合体、組成物、光学フィルムおよび液晶表示装置 | |
| JP6423002B2 (ja) | 重合体、組成物、光学フィルム、および液晶表示装置 | |
| JP6379443B2 (ja) | 光学フィルム、光学積層体、光学フィルムの製造方法、およびディスプレイ装置 | |
| JP5531419B2 (ja) | 化合物および該化合物を含む光学フィルム | |
| US9541690B2 (en) | Film using polymerizable liquid crystal composition containing peeling preventive agent | |
| JP6571775B2 (ja) | 液晶組成物、フィルム、投映像表示用ハーフミラー、およびフィルムの製造方法 | |
| WO2016136231A1 (ja) | 積層体及び光学フィルム | |
| JP2024107027A (ja) | 積層体、光学装置および表示装置 | |
| JP6770634B2 (ja) | 液晶組成物、光学異方性層、光学積層体および画像表示装置 | |
| JP2016197219A (ja) | 積層体及び光学フィルム | |
| JP6639521B2 (ja) | 光学機能性層作製用組成物、光学フィルム、および液晶表示装置 | |
| CN104698523B (zh) | 光学各向异性膜 | |
| JP2016184013A (ja) | 位相差フィルムとその製造方法および該位相差フィルムを有する光学部材 | |
| WO2020149343A1 (ja) | 積層体および画像表示装置 | |
| WO2019187951A1 (ja) | 光学フィルムおよび光学フィルムの製造方法 | |
| KR101956568B1 (ko) | 광학 기능성층 제작용 조성물, 광학 기능성층을 포함하는 광학 필름의 제조 방법, 및 광학 필름 | |
| JP7335856B2 (ja) | 重合性液晶組成物、光学異方性膜、光学フィルム、偏光板および画像表示装置 | |
| WO2019159707A1 (ja) | バインダー組成物、バインダー層、光学積層体および画像表示装置 | |
| US20230124399A1 (en) | Liquid crystal composition, optical element, and light guide element | |
| KR20130004060A (ko) | 광학 필름 | |
| KR101717419B1 (ko) | 광학 필름 | |
| CN117980789A (zh) | 液晶组合物、液晶固化层、光学膜、偏振片及图像显示装置 |
Legal Events
| Date | Code | Title | Description |
|---|---|---|---|
| 121 | Ep: the epo has been informed by wipo that ep was designated in this application |
Ref document number: 15821753 Country of ref document: EP Kind code of ref document: A1 |
|
| ENP | Entry into the national phase |
Ref document number: 2016534284 Country of ref document: JP Kind code of ref document: A |
|
| NENP | Non-entry into the national phase |
Ref country code: DE |
|
| WWE | Wipo information: entry into national phase |
Ref document number: 1020177001967 Country of ref document: KR |
|
| 122 | Ep: pct application non-entry in european phase |
Ref document number: 15821753 Country of ref document: EP Kind code of ref document: A1 |

























































