JP7257397B2 - Iap阻害剤として有用なsmac模倣物及びその用途 - Google Patents
Iap阻害剤として有用なsmac模倣物及びその用途 Download PDFInfo
- Publication number
- JP7257397B2 JP7257397B2 JP2020526193A JP2020526193A JP7257397B2 JP 7257397 B2 JP7257397 B2 JP 7257397B2 JP 2020526193 A JP2020526193 A JP 2020526193A JP 2020526193 A JP2020526193 A JP 2020526193A JP 7257397 B2 JP7257397 B2 JP 7257397B2
- Authority
- JP
- Japan
- Prior art keywords
- compound
- alkyl
- pharmaceutically acceptable
- reaction
- acceptable salt
- Prior art date
- Legal status (The legal status is an assumption and is not a legal conclusion. Google has not performed a legal analysis and makes no representation as to the accuracy of the status listed.)
- Active
Links
Classifications
-
- C—CHEMISTRY; METALLURGY
- C07—ORGANIC CHEMISTRY
- C07K—PEPTIDES
- C07K5/00—Peptides containing up to four amino acids in a fully defined sequence; Derivatives thereof
- C07K5/04—Peptides containing up to four amino acids in a fully defined sequence; Derivatives thereof containing only normal peptide links
- C07K5/06—Dipeptides
-
- C—CHEMISTRY; METALLURGY
- C07—ORGANIC CHEMISTRY
- C07K—PEPTIDES
- C07K5/00—Peptides containing up to four amino acids in a fully defined sequence; Derivatives thereof
- C07K5/04—Peptides containing up to four amino acids in a fully defined sequence; Derivatives thereof containing only normal peptide links
- C07K5/06—Dipeptides
- C07K5/06008—Dipeptides with the first amino acid being neutral
- C07K5/06017—Dipeptides with the first amino acid being neutral and aliphatic
- C07K5/06026—Dipeptides with the first amino acid being neutral and aliphatic the side chain containing 0 or 1 carbon atom, i.e. Gly or Ala
-
- A—HUMAN NECESSITIES
- A61—MEDICAL OR VETERINARY SCIENCE; HYGIENE
- A61K—PREPARATIONS FOR MEDICAL, DENTAL OR TOILETRY PURPOSES
- A61K31/00—Medicinal preparations containing organic active ingredients
- A61K31/33—Heterocyclic compounds
- A61K31/395—Heterocyclic compounds having nitrogen as a ring hetero atom, e.g. guanethidine or rifamycins
- A61K31/40—Heterocyclic compounds having nitrogen as a ring hetero atom, e.g. guanethidine or rifamycins having five-membered rings with one nitrogen as the only ring hetero atom, e.g. sulpiride, succinimide, tolmetin, buflomedil
- A61K31/403—Heterocyclic compounds having nitrogen as a ring hetero atom, e.g. guanethidine or rifamycins having five-membered rings with one nitrogen as the only ring hetero atom, e.g. sulpiride, succinimide, tolmetin, buflomedil condensed with carbocyclic rings, e.g. carbazole
- A61K31/404—Indoles, e.g. pindolol
- A61K31/4045—Indole-alkylamines; Amides thereof, e.g. serotonin, melatonin
-
- A—HUMAN NECESSITIES
- A61—MEDICAL OR VETERINARY SCIENCE; HYGIENE
- A61K—PREPARATIONS FOR MEDICAL, DENTAL OR TOILETRY PURPOSES
- A61K38/00—Medicinal preparations containing peptides
-
- A—HUMAN NECESSITIES
- A61—MEDICAL OR VETERINARY SCIENCE; HYGIENE
- A61K—PREPARATIONS FOR MEDICAL, DENTAL OR TOILETRY PURPOSES
- A61K38/00—Medicinal preparations containing peptides
- A61K38/04—Peptides having up to 20 amino acids in a fully defined sequence; Derivatives thereof
- A61K38/05—Dipeptides
-
- A—HUMAN NECESSITIES
- A61—MEDICAL OR VETERINARY SCIENCE; HYGIENE
- A61P—SPECIFIC THERAPEUTIC ACTIVITY OF CHEMICAL COMPOUNDS OR MEDICINAL PREPARATIONS
- A61P35/00—Antineoplastic agents
-
- C—CHEMISTRY; METALLURGY
- C07—ORGANIC CHEMISTRY
- C07D—HETEROCYCLIC COMPOUNDS
- C07D403/00—Heterocyclic compounds containing two or more hetero rings, having nitrogen atoms as the only ring hetero atoms, not provided for by group C07D401/00
- C07D403/02—Heterocyclic compounds containing two or more hetero rings, having nitrogen atoms as the only ring hetero atoms, not provided for by group C07D401/00 containing two hetero rings
- C07D403/06—Heterocyclic compounds containing two or more hetero rings, having nitrogen atoms as the only ring hetero atoms, not provided for by group C07D401/00 containing two hetero rings linked by a carbon chain containing only aliphatic carbon atoms
-
- C—CHEMISTRY; METALLURGY
- C07—ORGANIC CHEMISTRY
- C07D—HETEROCYCLIC COMPOUNDS
- C07D403/00—Heterocyclic compounds containing two or more hetero rings, having nitrogen atoms as the only ring hetero atoms, not provided for by group C07D401/00
- C07D403/14—Heterocyclic compounds containing two or more hetero rings, having nitrogen atoms as the only ring hetero atoms, not provided for by group C07D401/00 containing three or more hetero rings
-
- C—CHEMISTRY; METALLURGY
- C07—ORGANIC CHEMISTRY
- C07D—HETEROCYCLIC COMPOUNDS
- C07D413/00—Heterocyclic compounds containing two or more hetero rings, at least one ring having nitrogen and oxygen atoms as the only ring hetero atoms
- C07D413/14—Heterocyclic compounds containing two or more hetero rings, at least one ring having nitrogen and oxygen atoms as the only ring hetero atoms containing three or more hetero rings
-
- C—CHEMISTRY; METALLURGY
- C07—ORGANIC CHEMISTRY
- C07D—HETEROCYCLIC COMPOUNDS
- C07D471/00—Heterocyclic compounds containing nitrogen atoms as the only ring hetero atoms in the condensed system, at least one ring being a six-membered ring with one nitrogen atom, not provided for by groups C07D451/00 - C07D463/00
- C07D471/02—Heterocyclic compounds containing nitrogen atoms as the only ring hetero atoms in the condensed system, at least one ring being a six-membered ring with one nitrogen atom, not provided for by groups C07D451/00 - C07D463/00 in which the condensed system contains two hetero rings
- C07D471/04—Ortho-condensed systems
Landscapes
- Chemical & Material Sciences (AREA)
- Organic Chemistry (AREA)
- Health & Medical Sciences (AREA)
- Life Sciences & Earth Sciences (AREA)
- General Health & Medical Sciences (AREA)
- Medicinal Chemistry (AREA)
- Veterinary Medicine (AREA)
- Pharmacology & Pharmacy (AREA)
- Animal Behavior & Ethology (AREA)
- Public Health (AREA)
- Proteomics, Peptides & Aminoacids (AREA)
- Nuclear Medicine, Radiotherapy & Molecular Imaging (AREA)
- General Chemical & Material Sciences (AREA)
- Chemical Kinetics & Catalysis (AREA)
- Biophysics (AREA)
- Biochemistry (AREA)
- Genetics & Genomics (AREA)
- Molecular Biology (AREA)
- Epidemiology (AREA)
- Engineering & Computer Science (AREA)
- Immunology (AREA)
- Bioinformatics & Cheminformatics (AREA)
- Gastroenterology & Hepatology (AREA)
- Pharmaceuticals Containing Other Organic And Inorganic Compounds (AREA)
- Plural Heterocyclic Compounds (AREA)
- Nitrogen Condensed Heterocyclic Rings (AREA)
Description
本出願は、2017年11月13日に中国国家知識産権局に出願された第201711117079.6号中国特許出願の優先権及び利益を主張し、前記出願の開示内容全体が参照により本明細書に組み込まれる。
X1はC(R5)及びNから選択され、
X2はC(R6)、N、O及びSから選択され、
Lは単結合及び-O-から選択され、
R1は、-C(=O)NH2、CN、C1-5アルキル、C1-5ヘテロアルキル、フェニル、5~6員のヘテロアリール及び5~6員のヘテロシクロアルキルから選択され、前記C1-5アルキル、C1-5ヘテロアルキル、フェニル、5~6員のヘテロアリール又は5~6員のヘテロシクロアルキルは所望により1、2又は3個のRにより置換され、
R2はH、ハロゲン、CN、COOH、-C(=O)NH2、C1-4アルキル及びC1-4ヘテロアルキルから選択され、前記C1-4アルキル又はC1-4ヘテロアルキルは所望により1、2又は3個のRにより置換され、
R3及びR7はそれぞれ独立してH、ハロゲン及びC1-4アルキルから選択され、前記C1-4アルキルは所望により1、2又は3個のRにより置換され、
R4はH、フェニル及び5~6員のヘテロアリールから選択され、
R5はH及びハロゲンから選択され、
R6はH、ハロゲン、C1-4アルキル、C1-4ヘテロアルキル、CN及びCOOHから選択され、前記C1-4アルキル又はC1-4ヘテロアルキルは所望により1、2又は3個のRにより置換され、
Rはハロゲン、OH、CN、CH3、CH3CH2、CH3CH2CH2、CH(CH3)2、OCH3、OCF3、CHF2、CH2F及びNH2から選択され、前記C1-4ヘテロアルキル、C1-5ヘテロアルキル、5~6員のヘテロシクロアルキル、及び、5~6員のヘテロアリールはそれぞれ、-NH-、-O-、-S-、N、-C(=O)O-、-C(=O)-、-C(=O)NH-、-C(=S)-、-S(=O)-、-S(=O)2-、-C(=NH)-、-S(=O)2NH-、-S(=O)NH-及び-NHC(=O)NH-から独立して選ばれた1、2又は3個のヘテロ原子及びヘテロ原子団を含む。)で表される化合物又はその薬学的に許容される塩を提供する。
本発明のいくつかの形態において、上記X2はC(H)、C(Cl)、C(CH3)及びNから選択される。
本発明のいくつかの形態において、上記R1は、
本発明のいくつかの形態において、上記R2は、H、ハロゲン、C1-4アルキル及びC1-4アルキル-O-から選択され、前記C1-4アルキル又はC1-4アルキル-O-は所望により1、2又は3個のハロゲンにより置換されていてもよい。
本発明のいくつかの形態において、上記R5はH及びClから選択される。
本発明のいくつかの形態において、上記構成単位
本発明のいくつかの形態において、上記構成単位
本発明のいくつかの形態において、上記X2は、C(R6)及びNから選択され、これ以外のものは上記定義と同じである。
本発明のいくつかの形態において、上記R5は、H及びClから選択され、これ以外のものは上記定義と同じである。
本発明のいくつかの形態において、上記構成単位
本発明の別の形態は、上記各要素を任意に組み合わせたものである。
本発明のいくつかの形態において、上記化合物又はその薬学的に許容される塩は、
本発明はさらに、
本発明のいくつかの形態において、上記化合物又はその薬学的に許容される塩は、
本発明はさらに、有効成分として治療上有効な量の上記化合物又はその薬学的に許容される塩と、薬学的に許容される担体とを含む医薬組成物を提供する。
特に断りのない限り、本明細書で使用される下記の用語やフレーズは、次の意味を有する。特定の用語やフレーズは、特に定義されていなくても、意味不明又は不明確なものとして解されるべきではなく、通常の意味で理解されるべきである。本明細書に記載の商品名は、それに対応する商品またはその有効成分を指すものである。本明細書において、「薬学的に許容される」という用語は、化合物、材料、組成物及び/又は剤形が、健全な医学的判断の範囲内で、過度な毒性、刺激、アレルギー反応、またはその他の問題もしくは合併症がなく、ヒト及び動物の組織と接触して使用するのに適しており、妥当な効果/リスク比に見合う化合物、材料、組成物、及び/又は剤形を指すために用いられる。
(i)哺乳類における疾患または疾患状態の発生を予防すること(特に、そのような哺乳動物がこの疾患状態を患いやすくなっているが、未だそれに罹患していると診断されていない場合)、
(ii)疾患または疾患状態を阻害し、すなわちその発生・進行を停止させること、
(iii)疾患または疾患状態を緩和し、すなわち疾患または疾患状態を減退させること、を含む。
特に指定のない限り、「アルキル」という用語は、一置換(例えば、-CH2F)又は多置換(例えば-CF3)されていてもよく、一価(例えば、メチル)、二価(例えばメチレン)又は多価(例えばメチン)であってもよい直鎖状又は分枝状の飽和炭化水素基を表す。アルキルの例としては、メチル(Me)、エチル(Et)、プロピル(例えば、n-プロピル及びイソプロピル)、ブチル(例えば、n-ブチル、イソブチル、sec-ブチル、tert-ブチル)、ペンチル(例えば、n-ペンチル、イソペンチル、ネオペンチル)などが挙げられる。
特に指定のない限り、「アルキルチオ」という用語は-S-アルキルを指す。
特に指定のない限り、「アルキルスルホニル」という用語はアルキル-S(=O)2-を指す。
本発明では、下記の略語を使用する。DMFはN,N-ジメチルホルムアミドを表し、DMAはN,N-ジメチルアセトアミドを表し、TEAはトリエチルアミンを表し、DIPEAはN,N-ジイソプロピルエチルアミンを表し、Pd(dppf)Cl2は[1,1’-ビス(ジフェニルホスフィノ)フェロセン]パラジウム(II)ジクロライドを表し、Pd2(dba)3はトリス(ジベンジリデンアセトン)ジパラジウムを表し、DPPFは1,1’-ビス(ジフェニルホスフィノ)フェロセンを表し、NBSはN-ブロモスクシンイミドを表し、POCl3はオキシ塩化リンを表し、HOBtは1-ヒドロキシベンゾトリアゾールを表し、HATUは2-(7-オキシベンゾトリアゾール)-N,N,N’,N’-テトラメチル尿素ヘキサフルオロホスフェートを表し、EDCIは1-(3-ジメチルアミノプロピル)-3-エチルカルボジイミド塩酸塩を表し、DIADはアゾジギ酸ジイソプロピルを表し、Boc2Oはジ-tert-ブチルジカーボネートを表し、ODPHはO-ジフェニルホスフィンヒドロキシルアミンを表す。
以下、実施例により本発明を詳細に説明するが、本発明に対する何らかの限定を意味するものではない。本明細書において本発明を詳細に説明し、具体的な実施形態も開示しているので、本発明の趣旨及び範囲から逸脱しない限り、本発明の具体的な実施形態に対する様々な変更や修正を行えることは当業者には明白である。
反応経路1において、式Iで表される化合物を調製する。
15℃において、塩化アンモニウム(7.92g、148mmol、5.17mL、4.0当量)の1,2-ジクロロエタン(100mL)懸濁液に、無水酢酸(7.55g、74mmol、6.93mL、2.0当量)を滴下し、混合物を15℃で30分間撹拌し,混合物に化合物1-1(5.0g、37mmol、1.0当量)の1,2-ジクロロエタン(50mL)溶液を加え、混合物を15℃で2時間撹拌した。反応液に三塩化アルミニウム(9.87g、74mmol、2.0当量)を加え、反応液が非均質相から均質相へと変わり、反応液にさらに無水酢酸(3.78g、37mmol、3.47mL、1.0当量)を加え、反応液を15℃で30分間撹拌した。LCMSは、原料の反応が完全に進行したことを示した。反応液を氷水(200mL)に徐々に注ぎ、得られた混合物を酢酸エチル(100mL×2)で抽出し、合体した有機相を食塩水(100mL)で洗ってから分液し、減圧濃縮して、得られた残留物をシリカゲルカラムクロマトグラフィー(石油エーテル:酢酸エチル=10:1~1:1)で精製することで、化合物1-2を得た。LCMS(ESI)m/z:178.1(M+1).
(ステップ2)
化合物1-2(1.36g、6.67mmol、1.0当量)のDMF(20mL)溶液に化合物1-3(7.11g、20.01mmol、3.0当量)及び炭酸カリウム(4.61g、33.35mmol、5.0当量)を加え、窒素雰囲気下で、得られた混合物を100℃まで加熱し、15時間反応させた。LCMSは原料の反応が完全でないことを示し、反応液を120℃まで加熱し、2時間反応させ、LCMSは反応が完全に進行したことを示した。反応液に水(30mL)を加え、得られた混合物を酢酸エチル(30mL×3)で抽出した。合体した有機相を食塩水(30mL)で洗ってから濃縮し、得られた残留物をシリカゲルカラムクロマトグラフィー(石油エーテル:酢酸エチル=10:1~3:1)で精製することで、化合物1-4を得た。LCMS(ESI)m/z:361.1(M+1).
(ステップ3)
0℃において、化合物1-4(2.0g、3.71mmol、1.0当量)の酢酸エチル(20mL)溶液に塩化水素/酢酸エチル溶液(4.0モル/L、20mL、21.57当量)を加え、得られた反応液を15℃で1時間撹拌した結果、固体が多く析出し、LCMSは反応が完全に進行したことを示した。反応液をろ過し、ケーキを酢酸エチル(10mL)で洗ってから乾燥させることで、化合物1-5を得、粗生成物を次のステップにおいて直接使用した。1H NMR(400MHz,DMSO-d6)δ8.75(s,1H),7.90-7.79(m,2H),7.17(dt,J=9.2,2.6Hz,1H),4.84-4.58(m,2H),3.36-3.20(m,1H),3.19-3.04(m,1H),2.44(d,J=2.8Hz,4H),2.18-2.06(m,1H),2.02(brdd,J=7.9,5.5Hz,1H),1.88(td,J=12.6,7.9Hz,1H),1.80-1.67(m,1H);LCMS(ESI)m/z:261.1(M+1).
(ステップ4)
化合物1-5(1.0g、3.37mmol、1.0当量)のジクロロメタン(30mL)溶液に化合物1-6(1.30g、5.05mmol、1.5当量)、HOBt(500.85mg、3.71mmol、1.1当量)、EDCI(710.56mg、3.71mmol、1.1当量)及びDIPEA(1.31g、10.11mmol、1.76mL、3当量)を加え、得られた混合物を15℃で16時間反応させた。LCMSは反応が完全に進行したことを示した。反応液を水(50mL)に加え、得られた混合物をジクロロメタン(50mL×3)で抽出した。合体した有機相を濃縮し、得られた残留物をシリカゲルカラムクロマトグラフィー(石油エーテル:酢酸エチル=10:1~1:1)で精製することで、化合物1-7を得た。LCMS(ESI)m/z:500.2(M+1).
(ステップ5)
0℃において、化合物1-7(1.75g、3.39mmol、1.0当量)の酢酸エチル(20mL)溶液に塩化水素/酢酸エチル(4.0モル/L、20mL、23.61当量)を加え、混合物を15℃で1時間反応させ、LCMSは反応が完全に進行したことを示した。反応液を濃縮し、化合物1-8を得、粗生成物を次のステップにおいて直接使用した。LCMS(ESI)m/z:400.1(M+1).
(ステップ6)
化合物1-8(1.5g、3.44mmol、1.0当量)のジクロロメタン(30mL)溶液に化合物1-9(1.05g、5.16mmol、1.5当量)、HOBt(511.41mg、3.78mmol、1.1当量)、EDCI(725.54mg、3.78mmol、1.1当量)及びDIPEA(1.33g、10.32mmol、1.8mL、3当量)を加え、得られた反応液を15℃で14時間反応させた。LCMSは反応が完全に進行したことを示した。反応液を水(50mL)に加え、得られた混合物をジクロロメタン(50mL×3)で抽出し、合体した有機相を濃縮した。得られた残留物をシリカゲルカラムクロマトグラフィー(石油エーテル:酢酸エチル=2:1~1:4)で精製することで、化合物1-10を得た。LCMS(ESI)m/z:585.3(M+1).
(ステップ7)
0℃において、化合物1-10(1.30g、2.22mmol、1.0当量)の酢酸エチル(20mL)溶液に塩化水素/酢酸エチル(4.0モル/L、18.57mL、33.41当量)を加え、得られた混合物を15℃で1時間反応させた。LCMSは反応が完全に進行したことを示した。反応液を濃縮し、得られた残留物を、準備されたHPLC(塩酸系:移動相:水(0.05%塩酸)-アセトニトリル、グラジエント勾配:アセトニトリル15%-25%)で精製することで、実施例1の塩酸塩を得た。1H NMR(400MHz,CD3OD)δ8.28(s,1H),7.87(dd,J=9.7,2.4Hz,1H),7.78(dd,J=8.9,4.2Hz,1H),7.04(dt,J=9.0,2.4Hz,1H),4.56-4.42(m,3H),4.14-4.02(m,1H),3.95(q,J=6.8Hz,1H),3.83(q,J=8.4Hz,1H),3.77-3.66(m,1H),2.67(s,3H),2.50(s,3H),2.25-2.09(m,1H),2.03-1.93(m,1H),1.85-1.64(m,9H),1.51(d,J=7.0Hz,3H),1.33-1.01(m,6H);LCMS(ESI)m/z:485.2(M+1).
15℃において、塩化アンモニウム(3.53g、65.97mmol、2.31mL、2.0当量)の1,2-ジクロロエタン(10mL)懸濁液に無水酢酸(6.73g、65.97mmol、6.18mL、2.0当量)を滴下し、混合物を15℃で15分間撹拌し、混合物に化合物2-1(5.0g、32.98mmol、1.0当量)を加え、混合物を15℃で2時間撹拌した。反応液に三塩化アルミニウム(8.80g、65.97mmol、2.0当量)を加え、反応液を15℃で30分間撹拌して、反応液にさらに無水酢酸(3.37g、32.98mmol、3.09mL、1.0当量)を加え、反応液を15℃で15分間撹拌した。LCMSは、原料の反応が完全に進行したことを示した。反応液を氷水に徐々に注ぎ、得られた混合物を酢酸エチル(100mL*3)で抽出し、抽出液をNa2SO4で乾燥させ、減圧濃縮して、得られた残留物をシリカゲルカラムクロマトグラフィー(石油エーテル:酢酸エチル=1:1)で精製することで、化合物2-2を得た。LCMS(ESI)m/z:194.1(M+1).
(ステップ2)
化合物1-3(7.54g、20.66mmol、2.0当量)のDMF(70mL)溶液に化合物2-2(2.00g、10.33mmol、1.0当量)及び炭酸カリウム(7.14g、51.65mmol、5.0当量)を加え、混合物を加熱し、100℃で12時間撹拌した。反応液に水(300mL)及び酢酸エチル(300mL)を加え、有機相を食塩水(100mL)で洗い、Na2SO4で乾燥させ、ろ過して減圧濃縮させることで、化合物2-3を得た。LCMS(ESI)m/z:377.0(M+1).
(ステップ3)
化合物2-3(2.4g、3.07mmol、1.0当量)のジオキサン(20mL)溶液に塩化水素/ジオキサン溶液(4.0モル/L、20mL、26.04当量)を加え、得られた反応液を15℃で撹拌10時間,LCMSは反応が完全に進行したことを示した。反応液をろ過し、ケーキを酢酸エチル(10mL*3)で洗ってから乾燥させることで、化合物2-4を得、粗生成物を次のステップにおいて直接使用した。LCMS(ESI)m/z:277.1(M+1).
(ステップ4)
化合物1-6(625.81mg、2.43mmol、1.1当量)のDMF(5mL)の溶液にDIPEA(857.20mg、6.63mmol、1.16mL、3当量)及びHATU(1.01g、2.65mmol、1.2当量)を加え、混合物を15℃で30分間撹拌して、化合物2-4(700mg、2.21mmol、1.0当量、塩酸塩)を反応液に加え、反応混合物を15℃で1.5時間撹拌した。反応液に水(30mL)及び酢酸エチル(40mL)を加え、有機相をクエン酸(20mL、10%水溶液)及び食塩水(20mL)で洗い、Na2SO4で乾燥させて、ろ過し、減圧濃縮することで、化合物2-5を得た。LCMS(ESI)m/z:516.2(M+1).
(ステップ5)
化合物2-5(1.10g、2.13mmol、1.0当量)のジオキサン(10mL)溶液に塩化水素/ジオキサン(4.0モル/L、18.33mL、34.40当量)を加え、混合物を15℃で1.5時間反応させた。反応液をろ過し、ケーキを酢酸エチル(20mL)で洗ってから乾燥させることで、化合物2-6を得た。LCMS(ESI)m/z:416.2(M+1).
(ステップ6)
化合物1-9(188.50mg、927.48μmol、1.1当量)のDMF(5mL)の溶液にDIPEA(326.91mg、2.53mmol、440.58μL、3当量)、HATU(384.71mg、1.01mmol、1.2当量)及び化合物2-6(500mg、843.16μmol、1.0当量、塩酸塩)を加え、反応混合物を15℃で1時間撹拌した。反応液に水(30mL)及び酢酸エチル(20mL)を加え、有機相をクエン酸(20mL、10%水溶液)及び食塩水(20mL)で洗い、Na2SO4で乾燥させて、ろ過し、減圧濃縮することで、化合物2-7を得、粗生成物を次のステップにおいて直接使用した。LCMS(ESI)m/z:601.1(M+1).
(ステップ7)
0℃において、化合物2-7(500mg、787.28μmol、1.0当量)のジクロロメタン(10mL)溶液にトリフルオロ酢酸(3mL),得られた混合物を0℃で1時間反応させた。LCMSは反応が完全に進行したことを示した。反応液を濃縮し、得られた残留物を、準備されたHPLC(塩酸)で精製することで、実施例2の塩酸塩を得た。LCMS(ESI)m/z:501.4(M+1).1H NMR(400MHz,DMSO-d6)δ9.50(brs,1H),8.88(brd,J=5.3Hz,1H),8.78(d,J=8.2Hz,1H),8.47(s,1H),8.15(d,J=2.1Hz,1H),7.89(d,J=8.8Hz,1H),7.32(dd,J=2.1,8.7Hz,1H),4.48-4.33(m,3H),4.10(brdd,J=14.8,9.9Hz,1H),3.90-3.90(m,1H),3.73-3.54(m,2H),2.46-2.45(m,1H),2.44(s,3H),2.16-2.01(m,1H),1.97-1.81(m,1H),1.79-1.52(m,9H),1.34(d,J=6.8Hz,3H),1.27-0.87(m,6H).
化合物12-1(1.0g、9.89mmol、0.96mL、1.0当量)のジクロロメタン(20mL)溶液に化合物1-6(2.54g、9.89mmol、1.0当量)、HATU(3.76g、9.89mmol、1.0当量)及びDIPEA(3.83g、29.66mmol、5.17mL、3.0当量)を加えた。混合物を30℃で2.0時間反応させた。TLC(石油エーテル:酢酸エチル=1:1)で原料の反応が完全に進行したと確認された。反応液を水(100mL)に注ぎ、酢酸エチル(50mL×2)で抽出し、合体した有機相を濃縮した。得られた残留物をシリカゲルカラムクロマトグラフィー(石油エーテル:酢酸エチル=5:1~1:1)で精製することで、化合物12-2を得た。1H NMR(400MHz,CDCl3)δ5.21(brd,J=9.0Hz,1H),4.75(brd,J=6.4Hz,1H),4.31-4.18(m,2H),3.95-3.78(m,1H),3.69-3.61(m,1H),3.60-3.52(m,1H),3.47(td,J=10.2,7.3Hz,1H),2.12-2.03(m,2H),1.96-1.80(m,3H),1.69-1.51(m,5H),1.41(s,9H),1.22-0.97(m,6H);LCMS(ESI)m/z:341.2(M+1).
(ステップ2)
化合物12-2(1.80g、5.29mmol、1.0当量)のジクロロメタン(40mL)溶液にTEA(1.60g、15.86mmol、2.21mL、3.0当量)及びp-トルエンスルホニルクロリド(1.21g、6.34mmol、1.20当量)を加えた。得られた混合物を30℃で2.0時間反応させた。LCMSで原料の反応が完全でないと示され、反応液に水(100mL)を加え、分液し、得られた有機相を飽和食塩水(100mL)で洗い、有機相を濃縮することで、化合物12-3を得た。粗生成物を次のステップにおいて直接使用した。LCMS(ESI)m/z:495.3(M+1).
(ステップ3)
化合物12-5の製造方法は化合物1-4を参照する。LCMS(ESI)m/z:550.2(M+1).
(ステップ4)
化合物12-6の製造方法は化合物1-8を参照する。LCMS(ESI)m/z:450.2(M+1).
(ステップ5)
化合物12-7の製造方法は化合物1-10を参照する。LCMS(ESI)m/z:635.3(M+1).
(ステップ6)
実施例12の塩酸塩の製造方法は実施例1を参照する。1H NMR(400MHz,DMSO-d6)δ9.31(brs,1H),8.87(brd,J=8.2Hz,2H),8.21(d,J=1.6Hz,1H),7.93(d,J=8.8Hz,1H),7.40(dd,J=8.8,1.7Hz,1H),4.57-4.29(m,3H),4.28-4.11(m,1H),3.82(brs,2H),2.60(s,3H),2.11-1.93(m,2H),1.81-1.51(m,8H),1.44-0.90(m,12H);LCMS(ESI)m/z:535.2(M+1).
0℃において、化合物14-1(4g、26.22mmol、1.0当量)のDMA(100mL)溶液にヨウ素(13.31g、52.43mmol、10.56mL、2.0当量)、水酸化カリウム(5.88g、104.86mmol、4当量) を加えた。得られた混合物を20℃で12時間反応させた。LCMSは反応が完全に進行したことを示した。反応液に飽和亜硫酸ナトリウム水溶液(200mL)を加え、得られた混合物を酢酸エチル(200mL×2)で抽出し、合体した有機相を飽和食塩水(200mL)で洗ってから濃縮した。得られた残留物を石油エーテル(5mL)で懸濁させることで、化合物14-2を得た。1H NMR(400MHz,DMSO-d6)δ13.71(brs,1H),7.60(d,J=8.8Hz,1H),7.47-7.38(m,2H).
(ステップ2)
化合物14-3の製造方法は化合物1-4を参照する。1H NMR(400MHz,DMSO-d6)δ7.66(d,J=8.9Hz,1H), 7.54-7.41(m,2H),4.56-4.41(m,2H),4.23-4.05(m,1H),3.29-3.01(m,2H),1.93-1.57(m,4H),1.37(brs,5H),1.11(brs,4H);LCMS(ESI)m/z:484.1(M+23).
(ステップ3)
窒素雰囲気下で、化合物14-3(4.80g、10.21mmol、1.0当量)のDMF(100mL)溶液にシアン化亜鉛(0.72g、6.12mmol、0.388mL、0.6当量)、Pd2(dba)3(0.93g、1.02mmol、0.1当量)、亜鉛粉(1.33g、20.42mmol、2.0当量)及びDPPF(1.13g、2.04mmol、0.2当量)を加え、得られた混合物を100℃まで加熱し、2時間反応させた。LCMSは反応が完全に進行したことを示した。反応液を冷却してからろ過し、ケーキを酢酸エチル(50mL)で洗い、ろ液を濃縮した。得られた残留物をシリカゲルカラムクロマトグラフィー(石油エーテル:酢酸エチル=10:1~3:1)で精製することで、化合物14-4を得た。LCMS(ESI)m/z:383.2(M+23).
(ステップ4)
0℃において、化合物14-4(0.8g、2.22mmol、1当量)のテトラヒドロフラン(20mL)溶液に臭化メチルマグネシウム(3モル/L、1.48mL、2当量)を加え、得られた混合物を20℃で2時間反応させた。LCMSは反応が完全に進行したことを示した。反応液を水(100mL)に徐々に注ぎ、酢酸エチル(50mL×2)で抽出し、合体した有機相を飽和食塩水(100mL)で洗ってから分液し、有機相を濃縮することで、化合物14-5を得た。粗生成物を次のステップにおいて直接使用した。LCMS(ESI)m/z:378.1(M+1).
(ステップ5)
化合物14-6の製造方法は化合物1-5を参照する。LCMS(ESI)m/z:278.1(M+1).
(ステップ6)
化合物14-7の製造方法は化合物1-7を参照する。LCMS(ESI)m/z:539.4(M+23).
(ステップ7)
化合物14-8の製造方法は化合物1-8を参照する。LCMS(ESI)m/z:417.1(M+1).
(ステップ8)
化合物14-9の製造方法は化合物1-10を参照する。LCMS(ESI)m/z:624.3(M+23).
(ステップ9)
実施例14の製造方法は実施例1を参照する.1H NMR(400MHz,DMSO-d6)δ9.06-8.79(m,2H),8.70(brd,J=8.2Hz,1H),8.17-8.10(m,1H),7.97(brd,J=8.9Hz,1H),7.56(brd,J=8.7Hz,1H),4.71(brdd,J=13.2,3.8Hz,1H),4.58-4.44(m,2H),4.38(brt,J=7.6Hz,1H),3.85(brd,J=5.1Hz,2H),2.62(s,3H),1.92-1.74(m,5H),1.72-1.49(m,8H),1.31(brd,J=6.7Hz,3H),1.13(brd,J=13.7Hz,4H),1.04-0.91(m,2H);LCMS(ESI)m/z:502.1(M+1).
化合物16-2の製造方法は化合物1-4を参照する。LCMS(ESI)m/z:336.2(M+1).
(ステップ2)
-20℃において、化合物16-2のDMF(20mL)溶液に化合物16-3(997.86mg、7.05mmol、612.18μL、1.5当量)を加え、得られた混合物を0℃で2時間撹拌した。TLCは原料の反応が完全に進行したことを示した。-20℃において、上記反応液に1.5mLの化合物16-3(2.44g、17.28mmol、1.5mL、3.68当量)を追加し、得られた混合物を0℃で0.5時間撹拌した。LC-MSは、原料の反応が完全に進行したことを示した。反応混合物に水(50mL)を加え、得られた混合物をろ過し、ケーキを水(20mL×2)で洗ってから真空乾燥させた。得られた残留物をシリカゲルカラムクロマトグラフィー(石油エーテル:酢酸エチル=50:1至10:1)で精製することで、化合物16-3を得た。1H NMR(400MHz,DMSO-d6)δ0.98(brs,5H),1.14-1.31(m,4H),1.80(brd,J=17.85Hz,4H),3.17-3.31(m,2H),4.12-4.30(m,2H),4.35-4.44(m,1H),8.24-8.39(m,1H),8.42-8.57(m,2H);LCMS(ESI)m/z:361.1(M+1).
(ステップ3)
化合物16-5の製造方法は化合物14-5を参照する。LCMS(ESI)m/z:378.2(M+1).
(ステップ4)
化合物16-6の製造方法は化合物1-5を参照する。LCMS(ESI)m/z:278.0(M+1).
(ステップ5)
化合物16-7の製造方法は化合物1-7を参照する。LCMS(ESI)m/z:539.4(M+23).
(ステップ6)
化合物16-8の製造方法は化合物1-8を参照する。LCMS(ESI)m/z:417.3(M+1).
(ステップ7)
化合物16-9の製造方法は化合物1-10を参照する。LCMS(ESI)m/z:624.1(M+23).
(ステップ8)
実施例16の製造方法は実施例1を参照する。1H NMR(400MHz,DMSO-d6)δ1.02-1.14(m,6H),1.35-1.49(m,2H),1.58(brs,4H),1.66-1.80(m,4H),1.87(brd,J=6.72Hz,2H),2.09-2.20(m,3H),2.46(s,3H),2.93(dt,J=13.57,6.79Hz,1H),3.54(brd,J=9.90Hz,2H),3.62-3.70(m,1H),4.21-4.41(m,2H),4.48(brdd,J=13.51,7.03Hz,1H),4.68(brd,J=3.18Hz,1H),7.80(brd,J=8.80Hz,1H),8.32-8.40(m,1H),8.40-8.47(m,1H),8.55-8.66(m,1H);LCMS(ESI)m/z:502.1(M+1).
窒素雰囲気下で、化合物1-1(1.0g、7.40mmol、1.0当量)のテトラヒドロフラン(20mL)にカリウムtert-ブトキシド(0.91g、8.14mmol、1.1当量)を加え、混合物を15℃で0.5時間反応させた後、反応液にトリエチルボランのテトラヒドロフラン溶液(1モル/L、8.14mL、1.1当量)を徐々に加えた。反応液を引き続き15℃で0.5時間反応させてから、さらに反応液にメタンスルホニルクロリド(0.93g、8.14mmol、0.63mL、1.1当量)を加えた。反応液をを-15℃で10時間反応させた。LCMSは反応が完全に進行したことを示した。反応系に飽和塩化アンモニウム水溶液(100mL)を加え、得られた混合物を酢酸エチル(100mL×2)で抽出し、合体した有機相を濃縮することで、化合物20-1を得た。LCMS(ESI)m/z:214.0(M+1).
(ステップ2)
化合物20-2の製造方法は化合物1-4を参照する。LCMS(ESI)m/z:397.1(M+1).
(ステップ3)
化合物20-3の製造方法は化合物1-5を参照する。LCMS(ESI)m/z:297.1(M+1).
(ステップ4)
化合物20-4の製造方法は化合物1-7を参照する。LCMS(ESI)m/z:558.1(M+23).
(ステップ5)
化合物20-5の製造方法は化合物1-8を参照する。
化合物20-6の製造方法は化合物1-10を参照する。LCMS(ESI)m/z:643.4(M+23).
(ステップ7)
実施例20の製造方法は実施例1を参照する。1H NMR(400MHz,DMSO-d6)δ9.61-9.37(m,1H),8.96-8.83(m,1H),8.79(d,J=8.2Hz,1H),8.23-8.19(m,1H),7.98(dd,J=9.2,4.4Hz,1H),7.52(dd,J=9.4,2.5Hz,1H),7.26(dt,J=9.2,2.5Hz,1H),4.51-4.32(m,3H),4.15(dd,J=13.2,8.6Hz,1H),3.98-3.79(m,1H),3.20(s,3H),2.46(t,J=5.3Hz,3H),2.08(td,J=12.2,8.7Hz,1H),1.95-1.82(m,1H),1.77-1.49(m,9H),1.37-1.30(m,3H),1.26-0.91(m,6H);LCMS(ESI)m/z:521.3(M+1).
化合物17-8(175mg、308.27μmol、1.0当量)のエタノール(8mL)溶液に炭酸カリウム(85.21mg、616.53μmol、2.0当量)、過酸化水素(9.44g、83.26mmol、8mL、濃度為30%,270.09当量)を加え、得られた反応液を50℃で1時間反応させた。LCMSは反応が完全に進行したことを示した。反応液に水(40mL)を加え、得られた混合物を酢酸エチル(30mL)で抽出し、合体した有機相を飽和食塩水(20mL)で洗い、無水硫酸ナトリウムで乾燥させてからろ過し、ろ液を減圧濃縮して、化合物22-2を得た。LCMS(ESI)m/z:586.6(M+1).
(ステップ2)
実施例22の製造方法は実施例1を参照する。1H NMR(400MHz,DMSO-d6)δ9.48(brs,1H),8.88(brs,1H),8.81(brd,J=7.9Hz,1H),8.16(s,1H),7.87-7.78(m,2H),7.13-7.06(m,1H),4.44-4.36(m,2H),4.32(brd,J=4.1Hz,1H),4.03(brdd,J=13.5,9.6Hz,1H),3.86(brd,J=4.9Hz,2H),3.63-3.53(m,1H),2.44(brs,1H),2.15-2.02(m,1H),1.91(brs,1H),1.77-1.58(m,9H),1.35(brd,J=6.8Hz,3H),1.21-0.99(m,6H);LCMS(ESI)m/z:486.5(M+1).
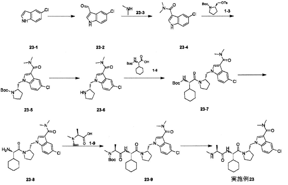
0℃において、30分間内でDMF(8.55g、116.97mmol、9mL、5.91当量)溶液にPOCl3(3.96g、25.83mmol、2.40mL、1.31当量)を徐々に滴下した。混合液に化合物23-1(3.0g、19.79mmol、1.0当量)のDMF(3mL)溶液を滴下し、得られた混合物を25℃で1時間撹拌した。TLC(石油エーテル:酢酸エチル=3:1)及びLC-MSは、原料の反応が完全に進行したことを示した。反応液を水(150mL)に徐々に注ぎ、10%NaOH溶液で混合液のpHが9となるように調整してから、酢酸エチルで抽出した(200mL×2)。合体した有機相を飽和食塩水(100mL×2)で洗い、無水硫酸ナトリウムで乾燥してから濃縮することで、化合物23-2を得た。1H NMR(400MHz,DMSO-d6)δ7.28(dd,J=8.66,2.13Hz,1H),7.54(d,J=8.66Hz,1H),8.06(d,J=2.01Hz,1H),8.36(s,1H),9.93(s,1H),12.29(brs,1H);LCMS(ESI)m/z:180.1(M+1).
(ステップ2)
化合物23-2(3g、16.70mmol、1.0当量)及びシアン化ナトリウム(163.72mg、3.34mmol、0.2当量)のDMF(30mL)溶液に化合物23-3(2モル/L、33.41mL、4.0当量)を加え、得られた混合物を30℃で10分間撹拌した。混合物に二酸化マンガン(36.30g、417.59mmol、25.0当量)を数回に分けて加え、得られた混合物を30℃下継続撹拌14時間。LCMSは、原料の反応が完全に進行したことを示した。反応混合物をろ過し、ケーキを酢酸エチル(100mL×2)で洗った。合体した有機相を飽和硫酸第一鉄溶液(50mL×2)、食塩水(100mL)を用いてこの順で洗い、無水硫酸ナトリウムで乾燥してから濃縮することで、化合物23-4を得、粗生成物を次のステップにおいて直接使用した。LCMS(ESI)m/z:223.2(M+1).
(ステップ3)
化合物23-5の製造方法は化合物1-4を参照する。LCMS(ESI)m/z:406.0(M+1).
(ステップ4)
化合物23-6の製造方法は化合物1-5を参照する。1H NMR(400MHz,DMSO-d6)δ1.62-1.77(m,1H),1.80-1.92(m,1H),1.94-2.04(m,1H),2.06-2.17(m,1H),3.04-3.15(m,6H)3.20-3.31(m,1H),3.86(brs,1H),4.52-4.56(m,1H),4.61(brdd,J=14.87,5.08Hz,2H),4.69-4.77(m,1H),4.69-4.77(m,1H),7.26(dd,J=8.72,2.07Hz,1H),7.79(d,J=8.78Hz,1H),7.90(d,J=2.01Hz,1H),8.26(s,1H),9.35(brs,1H),10.04(brs,1H);LCMS(ESI)m/z:306.1(M+1).
(ステップ5)
化合物23-7の製造方法は化合物1-7を参照する。LCMS(ESI)m/z:545.4(M+1)
(ステップ6)
化合物23-8の製造方法は化合物1-8を参照する。LCMS(ESI)m/z:445.0(M+1).
(ステップ7)
化合物23-9の製造方法は化合物1-10を参照する。LCMS(ESI)m/z:630.3(M+1).
(ステップ8)
実施例23の製造方法は実施例1を参照する。1H NMR(400MHz,CD3OD)δ1.00-1.30(m,5H),1.47-1.54(m,3H),1.61(brd,J=12.23Hz,1H),1.65-1.87(m,7H),1.99(brs,1H),2.06-2.23(m,1H),2.64-2.71(m,3H),3.1-3.30(m,6H),3.72(brd,J=6.48Hz,1H),3.83(q,J=8.48Hz,1H),3.90-4.02(m,1H),4.09-4.20(m,1H),4.46(brd,J=7.46Hz,1H),4.51-4.62(m,2H),7.24-7.30(m,1H),7.74(s,1H),7.80(d,J=9.05Hz,1H),7.92(brs,1H);LCMS(ESI)m/z:530.3(M+1).
化合物1-1(0.2g、1.48mmol、1.0当量)のDMF(2mL)溶液に、NBS(276.58mg、1.55mmol、1.05当量)を数回に分けて加え、得られた混合物を15℃で1時間撹拌した。TLC(石油エーテル:酢酸エチル=3:1)は、原料の反応が完全に進行したことを示し、LCMSは生成物があったことを示した。反応液に飽和亜硫酸ナトリウム溶液(2mL)を加え、混合物を酢酸エチル(2mL×3)で抽出した。合体した有機相を濃縮することで、化合物25-1を得、粗生成物を次のステップにおいて直接使用した。LCMS(ESI)m/z:211.9(M-1).
(ステップ2)
窒素雰囲気下で、化合物25-1(1.5g、7.01mmol、1.0当量)のテトラヒドロフラン(18mL)及び水(3.0mL)の混合溶液に、化合物25-2(1.91g、14.02mmol、2.0当量)、リン酸カリウム(2.98g、14.02mmol、2.0当量)及びPd(dppf)Cl2(512.80mg、700.82μmol、0.1当量)を加え、得られた混合物を80℃で16時間撹拌した。LCMSは、原料の反応が完全に進行したことを示した。反応液を無水硫酸ナトリウムで乾燥してからろ過し、ろ液を減圧濃縮して、得られた残留物をシリカゲルカラムクロマトグラフィー(石油エーテル:酢酸エチル=1:0到5:1)で精製することで、化合物25-3を得た。1H NMR(400MHz,DMSO-d6)δ8.07-7.86(m,1H),7.52(d,J=2.4Hz,1H),7.46-7.40(m,1H),7.37-7.30(m,1H),7.26-7.21(m,2H),7.13-7.05(m,2H),6.99(dt,J=9.1,2.3,1H),2.29(s,3H);LCMS(ESI)m/z:224.0(M-1).
(ステップ3)
化合物25-4の製造方法は化合物1-4を参照する。1H NMR(400MHz,CDCl3)δ7.43-7.24(m,5H),7.22-7.13(m,1H),7.13-7.07(m,1H),7.05-6.97(m,1H),4.49-4.36(m,1H),4.31-4.24(m,1H),3.50-3.33(m,1H),3.26-3.11(m,1H),2.35(s,3H),1.95-1.85(m,1H),1.83-1.71(m,2H),1.59-1.46(m,11H);LCMS(ESI)m/z:431.3(M+23).
(ステップ4)
化合物25-5の製造方法は化合物1-5を参照する。LCMS(ESI)m/z:309.2(M+1).
(ステップ5)
化合物25-6の製造方法は化合物1-7を参照する。LCMS(ESI)m/z:548.1(M+1).
(ステップ6)
化合物25-7の製造方法は化合物1-8を参照する。LCMS(ESI)m/z:448.2(M+1).
(ステップ7)
化合物25-8の製造方法は化合物1-10を参照する。LCMS(ESI)m/z:633(M+1).
(ステップ8)
実施例25の製造方法は化合物の実施例1を参照する。1H NMR(400MHz,CD3OD)δ7.70(dd,J=8.9,4.1Hz,1H),7.31(dd,J=4.7,3.2Hz,2H),7.27(s,1H),7.25-7.19(m,2H),7.03-6.94(m,2H),4.62-4.47(m,3H),4.21-4.07(m,1H),3.97-3.88(m,1H),3.86-3.74(m,1H),3.70-3.59(m,1H),2.68(s,3H),2.28(s,3H),2.09-1.57(m,11H),1.52(d,J=6.9Hz,3H),1.39-1.02(m,6H);LCMS(ESI)m/z:533.2(M+1).
20℃において、化合物23-1(1.0g、6.60mmol、1.0当量)のDMF(20mL)溶液にヨウ素(1.67g、6.60mmol、1.0当量)のDMF(20mL)溶液及び水酸化カリウム(0.92g、16.49mmol、2.5当量)を加え、得られた混合物を20℃で1時間撹拌して反応させた。TLC(石油エーテル:酢酸エチル=3:1)で原料の反応が完全に進行したと確認された。反応液を飽和亜硫酸ナトリウム水溶液(100mL)に徐々に注いだ後、酢酸エチル(100mL)で抽出した。合体した有機相を飽和食塩水(100mL)で洗ってから濃縮することで、化合物28-1を得た。粗生成物を次のステップにおいて直接使用した。LCMS(ESI)m/z:277.9(M+1).
(ステップ2)
化合物28-1(1.5g、5.41mmol、1.0当量)のジクロロメタン(50mL)溶液にBoc2O(1.42g、6.49mmol、1.49mL、1.2当量)、TEA(1.64g、16.22mmol、1当量)及びDMAP(66mg、0.54mmol、0.1当量)を加えた。得られた混合物を20℃で10時間撹拌して反応させた。TLC(石油エーテル:酢酸エチル=10:1)で原料の反応が完全に進行したと確認された。反応を濃縮し、得られた残留物をシリカゲルカラムクロマトグラフィー(石油エーテル:酢酸エチル=20:1~10:1)で精製することで、化合物28-2を得た。1H NMR(400MHz,DMSO-d6)δ8.01(d,J=8.8Hz,1H),7.91(s,1H),7.39(dd,J=8.8,2.0Hz,1H),7.30(d,J=1.8Hz,1H),1.61(s,9H);LCMS(ESI)m/z:378.0(M+1).
(ステップ3)
窒素雰囲気下で、化合物28-2(1.5g、3.97mmol、1.0当量)のジオキサン(40mL)溶液に化合物28-3(1.01g、11.92mmol、0.91mL、3.0当量)、ヨウ化第一銅(0.37mg、1.99mmol、0.5当量)、炭酸セシウム(3.88g、11.92mmol、3.0当量)、N,N-ジメチルエチレンジアミン(0.35g、3.97mmol、1.0当量)を加えた。反応液を80℃まで加熱し、2.0時間反応させた。LCMSは、原料の反応が完全に進行したことを示した。反応液を20℃に冷却してろ過し、ケーキを酢酸エチル(50mL)で洗い、ろ液を濃縮した。得られた残留物をシリカゲルカラムクロマトグラフィー(石油エーテル:酢酸エチル=5:1~1:1)で精製することで、化合物28-4を得た。1H NMR(400MHz,CDCl3)δ8.97(brs,1H),7.53(d,J=1.8Hz,1H),7.19-7.01(m,3H),3.92(t,J=7.0Hz,2H),2.64(t,J=8.2Hz,2H),2.32-2.24(m,2H);LCMS(ESI)m/z:234.1(M+1).
(ステップ4)
化合物28-5の製造方法は化合物1-4を参照する。1H NMR(400MHz,CDCl3)δ7.61(brd,J=6.1Hz,1H),7.48(brd,J=8.7Hz,1H),7.44-7.38(m,1H),7.32(brd,J=8.7Hz,1H),7.15(dd,J=8.8,1.9Hz,1H),4.22-4.13(m,1H),3.98(brt,J=7.0Hz,2H),3.45-3.15(m,2H),2.95(s,1H),2.87(s,1H),2.59(t,J=8.1Hz,2H),2.30-2.16(m,2H),1.93-1.65(m,4H),1.50(s,10H);LCMS(ESI)m/z:418.2(M+1).
(ステップ5)
化合物28-6の製造方法は化合物1-5を参照する。LCMS(ESI)m/z:318.1(M+1).
(ステップ6)
化合物28-7の製造方法は化合物1-7を参照する。LCMS(ESI)m/z:557.3(M+1).
(ステップ7)
化合物28-8の製造方法は化合物1-8を参照する。LCMS(ESI)m/z:457.2(M+1).
(ステップ8)
化合物28-9の製造方法は化合物1-10を参照する。LCMS(ESI)m/z:642.3(M+1).
(ステップ9)
実施例28の製造方法は実施例1を参照する。1H NMR(400MHz,DMSO-d6)δ9.41(brs,1H),9.08-8.72(m,2H),7.84-7.49(m,3H),7.26-7.09(m,1H),4.51-4.23(m,3H),4.10-3.79(m,4H),3.72-3.51(m,1H),2.46(brs,6H),2.14(brd,J=6.0Hz,2H),1.95(brs,1H),1.90-1.54(m,9H),1.35(brd,J=6.2Hz,3H),1.29-0.94(m,6H);LCMS(ESI)m/z:542.3(M+1).
化合物31-1(10g、43.24mmol、1.0当量)のDMF(100mL)溶液に炭酸カリウム(17.93g、129.73mmol、3.0当量)及びヨウ化メチル(9.21g、64.87mmol、4.04mL、1.5当量)を加え、得られた混合物を15℃で5時間反応させた。TLC(石油エーテル:酢酸エチル=1:1)は反応が完全に進行したことを示した。反応液に水(100mL)を加え、得られた混合物を酢酸エチル(100mL×2)で抽出した。合体した有機相を飽和食塩水(100mL×3)で洗ってから濃縮することで、化合物31-2を得た。粗生成物を次のステップにおいて直接使用した。
窒素雰囲気下で、化合物31-2(9.0g、36.69mmol、1.0当量)のテトラヒドロフラン(150mL)溶液にフェノール(3.8g、40.36mmol、3.55mL、1.1当量)、トリフェニルホスフィン(10.59g、40.36mmol、1.1当量)及びDIAD(8.16g、40.36mmol、7.85mL、1.1当量)を加えた。得られた混合物を15℃で12時間撹拌した。LCMSは反応が完全に進行したことを示した。反応液を濃縮し、得られた残留物に水(100mL)、酢酸エチル(200mL)を加えて、分液した。有機相を飽和食塩水(100mL×2)で洗ってから濃縮することで、化合物31-3を得た。粗生成物を次のステップにおいて直接使用した。LCMS(ESI)m/z:322.2(M+1).
(ステップ3)
0℃において、化合物31-3(9g、28.01mmol、1.0当量)のテトラヒドロフラン(100mL)溶液に水素化アルミニウムリチウム(1.59g、42.01mmol、1.5当量)を加え、得られた混合物を15℃で2時間反応させた。LCMSは反応が完全に進行したことを示した。反応液に水(3mL)、30%水酸化ナトリウム溶液(6mL)、水(3mL)をこの順で滴下して反応を止めた。得られた混合物をろ過し、ケーキを酢酸エチル(100mL)で洗い、ろ液を濃縮した。得られた残留物をシリカゲルカラムクロマトグラフィー(石油エーテル:酢酸エチル=10:~2:1)で精製することで、化合物31-4を得た。LCMS(ESI)m/z:316.2(M+23).
(ステップ4)
0℃において、化合物31-4(5g、17.04mmol、1.0当量)のジクロロメタン(150mL)溶液にピリジン(4.04g、51.13mmol、4.13mL、3.0当量)及びp-トルエンスルホニルクロリド(6.50g、34.09mmol、2.0当量)を加え、得られた混合物を15℃で10時間撹拌した。LCMSは反応が完全に進行したことを示した。反応液を濃縮し、得られた残留物をシリカゲルカラムクロマトグラフィー(石油エーテル:酢酸エチル=20:1~3:1)で精製することで、化合物31-5を得た。LCMS(ESI)m/z:470.2(M+23).
(ステップ5)
化合物31-7の製造方法は化合物1-4を参照する。LCMS(ESI)m/z:453.1(M+1).
(ステップ6)
化合物31-8の製造方法は化合物1-5を参照する。
化合物31-9の製造方法は化合物1-7を参照する。LCMS(ESI)m/z:592.1(M+1).
(ステップ8)
化合物31-10の製造方法は化合物1-8を参照する。
化合物31-11の製造方法は化合物1-10を参照する。LCMS(ESI)m/z:677.2(M+1).
(ステップ10)
実施例31の製造方法は実施例1を参照する。1H NMR(400MHz,DMSO-d6)δ9.60-9.34(m,1H),8.98-8.83(m, 1H),8.80(d,J=7.8Hz,1H),7.98(s,1H),7.83(dd,J=9.8,2.6Hz,1H),7.73(dd,J=9.0,4.5Hz,1H),7.44-7.34(m,2H),7.15-7.08(m,3H),7.07-7.01(m,1H),5.22(brs,1H),4.73-4.56(m,2H),4.37(t,J=7.6Hz,1H),4.33-4.22(m,1H),4.10(dd,J=11.8,4.6Hz,1H),3.93-3.83(m,2H),2.45(brt,J=5.2Hz,4H),2.31(s,3H),2.21-2.09(m,1H),2.00(brd,J=14.2Hz,1H),1.71-1.55(m,6H),1.35(d,J=6.8Hz,3H),1.22-0.92(m,6H);LCMS(ESI)m/z:577.2(M+1).
本発明に係る化合物はIAP阻害剤である。以下の実験結果は、本特許出願に記載の化合物がIAP阻害剤であり、潜在的な抗癌剤として使用できることを示す。本明細書で使用されるIC50とは、最大阻害の50%をを引き起こす試薬の濃度を意味する。
[実験例一:cIAP1 BIR3及びXIAP BIR3との結合実験]
(実験材料)
試験のバッファ系(cIAP1 BIR3又はXIAP BIR3のバッファ):100mMのリン酸カリウム、pH 7.5、0.1%BSA、0.005%トリトンX-100及び1%ジメチルスルホキシド。
プローブ:ARPFAQ-K(5-FAM)-NH2。
cIAP1-BIR3-his:RBC Cat#APT-11-370、ヒトcIAP1のBIR3ドメイン(アミノ酸258~363を含む;cIAP1 BIR3)をGST融合タンパク質として大腸菌(E.coli)で発現させて精製したもの。
5nM ARPFAQ-K(5-FAM)-NH2,20nM cIAP1 BIR3及び30nM XIAP BIR3。
まず、cIAP1 BIR3又はXIAP BIR3の新鮮なバッファを調製し、そして2倍量のcIAP1 BIR3又はXIAP BIR3の溶液を加え、さらに、100%DMSOに溶解した試験化合物を音響技術によりcIAP1 BIR3又はXIAP BIR3のバッファ溶液に加えた後、2倍量のプローブを添加し、室温下で暗所において混合して60分間インキュベートし、蛍光偏光を測定してmP値を算出し、最後にIC50値を求める。
表1に示す。
本発明の化合物はcIAP1 BIR3結合活性を示し、cIAP1 及びXIAPに対する選択性を有する。
[実験例二:インビトロ細胞生存率試験]
(実験材料)
RPMI 1640培地(Invitrogen-22400089)、ウシ胎児血清(Invitrogen-10099141)、Trypsin、0.05%(1X)with EDTA 4Na(Invitrogen-25300062)、発光法細胞生存率検出キット(Promega-G7573)、ダルベッコのリン酸緩衝生理食塩水(HyClone-SH30028.01B)、384ウェルプレート(Corning-6007680)。Envisionマルチマークアナライザー。
(1)384ウェルプレートのウェルに、250個のMDA-MB-231細胞を含む30μLのMDA-MB-231細胞懸濁液を加えた。
(4)細胞プレートにPromega CellTiter-Glo試薬を1ウェルにつき20μLで加えた。
(実験結果)
表1に示す。
本発明の化合物はMDA-MB-231細胞増殖抑制作用を有する。
MDA-MB-231トリプルネガティブ乳癌患者由来のヒト腫瘍細胞系の異種移植を皮下で行った(CDX)BALB/cヌードマウスによるインビボ有効性試験
(実験の操作)
メス、6~8週齢、体重約18~22gのBALB/cヌードマウスを、病原菌を含まない特別な環境において維持し、単一換気ケージ(ケージ当たり3匹のマウス)で飼育した。すべてのケージ、寝具、水は使用前に消毒された。すべての動物に市販の規格認証実験食を自由に摂食させた。上海シプルビック実験動物有限公司(Shanghai BK Laboratory Animal Co.,LTD)から購入した合計48匹のマウスを試験に用いた。腫瘍成長のために、各マウスの右脇腹の皮下に腫瘍細胞(リン酸バッファ中の10×106個)を移植した。平均腫瘍体積が約147mm3に達したとき、薬物を投与し始めた。試験化合物を30mg/kgの用量で毎日経口投与した。腫瘍体積を3日毎に二次元キャリパーで測定し、体積をmm3単位で下記の式により求めた。
抗腫瘍効果は、化合物で処理された動物の平均腫瘍増加量を未処理動物の平均腫瘍増加量で割ることにより確認した。
表2に示す。
MDA-MB-231トリプルネガティブ乳癌CDXインビボ有効性モデルにおいて、本発明の化合物は有効性を示した。
MDA-MB-231トリプルネガティブ乳癌患者由来のヒト腫瘍細胞系の異種移植を皮下で行った(CDX)BALB/cヌードマウスによるインビボ有効性試験。
メス、6~8週齢、体重約18~22gのBALB/cヌードマウスを、病原菌を含まない特別な環境において維持し、単一換気ケージ(ケージ当たり3匹のマウス)で飼育した。すべてのケージ、寝具、水は使用前に消毒された。すべての動物に市販の規格認証実験食を自由に摂食させた。上海シプルビック実験動物有限公司(Shanghai BK Laboratory Animal Co.,LTD)から購入した合計48匹のマウスを試験に用いた。腫瘍成長のために、各マウスの右脇腹の皮下に腫瘍細胞(リン酸バッファ中の10×106個)を移植した。平均腫瘍体積が約110立方ミリメートルに達したとき、薬物を投与し始めた。試験化合物を30mg/kgの用量で毎日経口投与した。腫瘍体積を3日毎に二次元キャリパーで測定し、体積をmm3単位で下記の式により求めた。
抗腫瘍効果は、化合物で処理された動物の平均腫瘍増加量を未処理動物の平均腫瘍増加量で割ることにより確認した。
MDA-MB-231トリプルネガティブ乳癌CDXインビボ有効性モデルにおいて、本発明の化合物は良好な有効性を示した。
Claims (21)
- 式(I)
(式中、X1はC(R5)及びNから選択され、X2はC(R6)、N、O及びSから選択され、
はそれぞれ独立して単結合及び二重結合から選択され、Lは単結合及び-O-から選択され、R1は、-C(=O)NH2、CN、C1-5アルキル、C1-5ヘテロアルキル、フェニル、5~6員のヘテロアリール及び5~6員のヘテロシクロアルキルから選択され、前記C1-5アルキル、C1-5ヘテロアルキル、フェニル、5~6員のヘテロアリール又は5~6員のヘテロシクロアルキルは、所望により1、2又は3個のRにより置換され、R2は、H、ハロゲン、CN、COOH、-C(=O)NH2、C1-4アルキル及びC1-4ヘテロアルキルから選択され、前記C1-4アルキル又はC1-4ヘテロアルキルは所望により1、2又は3個のRにより置換され、R3及びR7はそれぞれ独立してH、ハロゲン及びC1-4アルキルから選択され、前記C1-4アルキルは所望により1、2又は3個のRにより置換され、R4は、H、フェニル及び5~6員のヘテロアリールから選択され、R5はH及びハロゲンから選択され、R6は、H、ハロゲン、C1-4アルキル、C1-4ヘテロアルキル、CN及びCOOHから選択され、前記C1-4アルキル又はC1-4ヘテロアルキルは所望により1、2又は3個のRにより置換され、Rは、ハロゲン、OH、CN、CH3、CH3CH2、CH3CH2CH2、CH(CH3)2、OCH3、OCF3、CHF2、CH2F及びNH2から選択され、前記C1-4ヘテロアルキル、C1-5ヘテロアルキル、5~6員のヘテロシクロアルキル、及び、5~6員のヘテロアリールはそれぞれ、-NH-、-O-、-S-、N、-C(=O)O-、-C(=O)-、-C(=O)NH-、-C(=S)-、-S(=O)-、-S(=O)2-、-C(=NH)-、-S(=O)2NH-、-S(=O)NH-及び-NHC(=O)NH-から独立して選ばれた1、2又は3個のヘテロ原子又はヘテロ原子団を含む。)で表される化合物又はその薬学的に許容される塩であって、ここにおいて、
構成単位
は
から選択される、化合物又はその薬学的に許容される塩。 - X2はC(R6)及びNから選択される請求項1又は2に記載の化合物又はその薬学的に許容される塩。
- X2は、C(H)、C(Cl)、C(CH3)及びNから選択される請求項3に記載の化合物又はその薬学的に許容される塩。
- R1は、-C(=O)NH2、CN、CH3、CH3CH2、C1-5アルキル-C(=O)-、C1-4アルキル-C(=O)-、C1-5アルキル-S(=O)2-、C1-5アルキル-N(H)C(=O)-、C1-4アルキル-N(H)C(=O)-、(C1-2アルキル)2-N-C(=O)-、フェニル、
から選択され、前記CH3、CH3CH2、C1-5アルキル-C(=O)-、C1-4アルキル-C(=O)-、C1-5アルキル-S(=O)2-、C1-5アルキル-N(H)C(=O)-、C1-4アルキル-N(H)C(=O)-、(C1-2アルキル)2-N-C(=O)-、フェニル、
は所望により1、2又は3個のRにより置換されていてもよい請求項1又は2に記載の化合物又はその薬学的に許容される塩。 - R2は、H、ハロゲン、C1-4アルキル及びC1-4アルキル-O-から選択され、前記C1-4アルキル又はC1-4アルキル-O-は所望により1、2又は3個のハロゲンにより置換されていてもよい請求項1又は2に記載の化合物又はその薬学的に許容される塩。
- R2は、H、F、Cl、Br、CF3、OCF3から選択される請求項7に記載の化合物又はその薬学的に許容される塩。
- R3及びR7はそれぞれ独立してH、F及びClから選択される請求項1又は2に記載の化合物又はその薬学的に許容される塩。
- R5は、H及びClから選択される請求項1又は2に記載の化合物又はその薬学的に許容される塩。
- R6は、H、Cl及びCH3から選択される請求項1又は2に記載の化合物又はその薬学的に許容される塩。
- 有効成分として治療上有効な量の請求項1~17のいずれか1項に記載の化合物又はその薬学的に許容される塩と、薬学的に許容される担体とを含む医薬組成物。
- IAP阻害剤を製造するための請求項1~17のいずれか1項に記載の化合物又はその薬学的に許容される塩又は請求項18に記載の組成物の使用。
- IAP阻害剤が癌治療薬である請求項19に記載の使用。
- 前記癌が乳癌である請求項20に記載の使用。
Applications Claiming Priority (3)
| Application Number | Priority Date | Filing Date | Title |
|---|---|---|---|
| CN201711117079.6 | 2017-11-13 | ||
| CN201711117079 | 2017-11-13 | ||
| PCT/CN2018/115256 WO2019091492A1 (zh) | 2017-11-13 | 2018-11-13 | 用作iap抑制剂的smac模拟物及其用途 |
Publications (2)
| Publication Number | Publication Date |
|---|---|
| JP2021502397A JP2021502397A (ja) | 2021-01-28 |
| JP7257397B2 true JP7257397B2 (ja) | 2023-04-13 |
Family
ID=66438734
Family Applications (1)
| Application Number | Title | Priority Date | Filing Date |
|---|---|---|---|
| JP2020526193A Active JP7257397B2 (ja) | 2017-11-13 | 2018-11-13 | Iap阻害剤として有用なsmac模倣物及びその用途 |
Country Status (16)
| Country | Link |
|---|---|
| US (1) | US11358950B2 (ja) |
| EP (1) | EP3712162B1 (ja) |
| JP (1) | JP7257397B2 (ja) |
| KR (1) | KR102707188B1 (ja) |
| CN (2) | CN114685602A (ja) |
| AU (1) | AU2018364218B2 (ja) |
| BR (1) | BR112020009369A2 (ja) |
| CA (1) | CA3082437A1 (ja) |
| DK (1) | DK3712162T3 (ja) |
| EA (1) | EA202091169A1 (ja) |
| ES (1) | ES2927195T3 (ja) |
| IL (1) | IL274598B2 (ja) |
| PL (1) | PL3712162T3 (ja) |
| SG (1) | SG11202004377XA (ja) |
| WO (1) | WO2019091492A1 (ja) |
| ZA (1) | ZA202003178B (ja) |
Families Citing this family (4)
| Publication number | Priority date | Publication date | Assignee | Title |
|---|---|---|---|---|
| WO2020177765A1 (zh) * | 2019-03-07 | 2020-09-10 | 正大天晴药业集团股份有限公司 | Iap抑制剂与免疫检查点抑制剂的组合 |
| DK3967702T3 (da) * | 2019-05-10 | 2024-04-15 | Chia Tai Tianqing Pharmaceutical Group Co Ltd | Krystallisering af smac-mimic anvendt som iap-inhibitor og fremgangsmåde til fremstilling deraf |
| WO2024175554A1 (en) | 2023-02-21 | 2024-08-29 | Institut Curie | Trail agonists for use in the treatment of cancer in patients having an activating alteration of fgfr3 |
| WO2025082431A1 (zh) * | 2023-10-18 | 2025-04-24 | 正大天晴药业集团股份有限公司 | 一种吲哚衍生物治疗头颈部肿瘤的用途 |
Citations (6)
| Publication number | Priority date | Publication date | Assignee | Title |
|---|---|---|---|---|
| JP2007532504A (ja) | 2004-04-07 | 2007-11-15 | ノバルティス アクチエンゲゼルシャフト | Iapの阻害剤 |
| JP2008505904A (ja) | 2004-07-02 | 2008-02-28 | ジェネンテック・インコーポレーテッド | Iapのインヒビター |
| JP2009544727A (ja) | 2006-07-24 | 2009-12-17 | テトラロジック ファーマシューティカルズ コーポレーション | Iap阻害剤 |
| JP2010506847A (ja) | 2006-10-12 | 2010-03-04 | ノバルティス アーゲー | Iap阻害剤としてのピロリジン誘導体 |
| JP2010513561A (ja) | 2006-12-19 | 2010-04-30 | ジェネンテック, インコーポレイテッド | Iapのイミダゾピリジンインヒビター |
| JP2011520770A (ja) | 2008-01-24 | 2011-07-21 | テトラロジック ファーマシューティカルズ コーポレーション | Iap阻害剤 |
Family Cites Families (3)
| Publication number | Priority date | Publication date | Assignee | Title |
|---|---|---|---|---|
| ES2349110T5 (es) | 2004-12-20 | 2013-11-27 | Genentech, Inc. | Inhibidores de IAP derivados de pirrolidina |
| NO2755614T3 (ja) | 2012-01-03 | 2018-03-31 | ||
| KR20150011822A (ko) | 2012-05-04 | 2015-02-02 | 노파르티스 아게 | Iap 억제제 요법을 위한 바이오마커 |
-
2018
- 2018-11-13 KR KR1020207015888A patent/KR102707188B1/ko active Active
- 2018-11-13 SG SG11202004377XA patent/SG11202004377XA/en unknown
- 2018-11-13 AU AU2018364218A patent/AU2018364218B2/en active Active
- 2018-11-13 US US16/763,746 patent/US11358950B2/en active Active
- 2018-11-13 JP JP2020526193A patent/JP7257397B2/ja active Active
- 2018-11-13 WO PCT/CN2018/115256 patent/WO2019091492A1/zh not_active Ceased
- 2018-11-13 ES ES18875727T patent/ES2927195T3/es active Active
- 2018-11-13 DK DK18875727.2T patent/DK3712162T3/da active
- 2018-11-13 EA EA202091169A patent/EA202091169A1/ru unknown
- 2018-11-13 CN CN202210145394.4A patent/CN114685602A/zh active Pending
- 2018-11-13 EP EP18875727.2A patent/EP3712162B1/en active Active
- 2018-11-13 IL IL274598A patent/IL274598B2/en unknown
- 2018-11-13 PL PL18875727.2T patent/PL3712162T3/pl unknown
- 2018-11-13 BR BR112020009369-6A patent/BR112020009369A2/pt unknown
- 2018-11-13 CA CA3082437A patent/CA3082437A1/en active Pending
- 2018-11-13 CN CN201880070118.8A patent/CN111247161B/zh active Active
-
2020
- 2020-05-28 ZA ZA2020/03178A patent/ZA202003178B/en unknown
Patent Citations (6)
| Publication number | Priority date | Publication date | Assignee | Title |
|---|---|---|---|---|
| JP2007532504A (ja) | 2004-04-07 | 2007-11-15 | ノバルティス アクチエンゲゼルシャフト | Iapの阻害剤 |
| JP2008505904A (ja) | 2004-07-02 | 2008-02-28 | ジェネンテック・インコーポレーテッド | Iapのインヒビター |
| JP2009544727A (ja) | 2006-07-24 | 2009-12-17 | テトラロジック ファーマシューティカルズ コーポレーション | Iap阻害剤 |
| JP2010506847A (ja) | 2006-10-12 | 2010-03-04 | ノバルティス アーゲー | Iap阻害剤としてのピロリジン誘導体 |
| JP2010513561A (ja) | 2006-12-19 | 2010-04-30 | ジェネンテック, インコーポレイテッド | Iapのイミダゾピリジンインヒビター |
| JP2011520770A (ja) | 2008-01-24 | 2011-07-21 | テトラロジック ファーマシューティカルズ コーポレーション | Iap阻害剤 |
Also Published As
| Publication number | Publication date |
|---|---|
| EP3712162A4 (en) | 2021-08-04 |
| ZA202003178B (en) | 2022-10-26 |
| CN111247161A (zh) | 2020-06-05 |
| CA3082437A1 (en) | 2019-05-16 |
| SG11202004377XA (en) | 2020-06-29 |
| IL274598B2 (en) | 2025-01-01 |
| EA202091169A1 (ru) | 2020-08-06 |
| CN114685602A (zh) | 2022-07-01 |
| JP2021502397A (ja) | 2021-01-28 |
| ES2927195T3 (es) | 2022-11-03 |
| US11358950B2 (en) | 2022-06-14 |
| AU2018364218B2 (en) | 2023-03-02 |
| AU2018364218A1 (en) | 2020-06-04 |
| PL3712162T3 (pl) | 2022-11-14 |
| IL274598B1 (en) | 2024-09-01 |
| EP3712162B1 (en) | 2022-08-24 |
| EP3712162A1 (en) | 2020-09-23 |
| BR112020009369A2 (pt) | 2020-10-13 |
| CN111247161B (zh) | 2021-12-31 |
| WO2019091492A1 (zh) | 2019-05-16 |
| DK3712162T3 (da) | 2022-09-19 |
| KR102707188B1 (ko) | 2024-09-13 |
| IL274598A (en) | 2020-06-30 |
| KR20200081456A (ko) | 2020-07-07 |
| US20210371400A1 (en) | 2021-12-02 |
Similar Documents
| Publication | Publication Date | Title |
|---|---|---|
| JP7065113B2 (ja) | A2A受容体阻害剤としての[1,2,4]トリアゾロ[1,5-c]ピリミジン誘導体 | |
| JP7377798B2 (ja) | c-MET/AXL阻害剤としてのウラシル系化合物 | |
| CN112442031B (zh) | 作为krasg12c突变蛋白抑制剂的吡啶酮并嘧啶类衍生物 | |
| KR102089234B1 (ko) | Ask1 억제제로서의 피리딘 유도체 및 이의 제조방법과 용도 | |
| EP3333157B1 (en) | Vinyl compounds as fgfr and vegfr inhibitors | |
| JP7257397B2 (ja) | Iap阻害剤として有用なsmac模倣物及びその用途 | |
| JP6836693B2 (ja) | A2a受容体アンタゴニストとしての縮合環誘導体 | |
| EP3738961B1 (en) | Heterocyclic compound as csf-1r inhibitor and use thereof | |
| JP2022549030A (ja) | 複素環アミド化合物、その薬学的に許容される塩およびその調製方法と使用 | |
| KR102750159B1 (ko) | Rip-1 키나아제 억제제인 바이사이클릭 화합물 및 이의 응용 | |
| CN109071508B (zh) | 作为新型二价iap拮抗剂的苯并咪唑联吲哚化合物 | |
| CN113677339B (zh) | Iap抑制剂与免疫检查点抑制剂的组合 | |
| HK40025047B (zh) | 用作iap抑制剂的smac模拟物及其用途 | |
| HK40025047A (en) | Smac mimetics used as iap inhibitors and use thereof | |
| NZ764490A9 (en) | Smac mimetics used as iap inhibitors and use thereof | |
| EA040409B1 (ru) | Применяемые в качестве ингибиторов iap миметики smac и их применение | |
| HK40034314A (en) | Heterocyclic compound as csf-1r inhibitor and use thereof | |
| WO2017202376A1 (zh) | 磺酰胺衍生物 |
Legal Events
| Date | Code | Title | Description |
|---|---|---|---|
| A621 | Written request for application examination |
Free format text: JAPANESE INTERMEDIATE CODE: A621 Effective date: 20211015 |
|
| A977 | Report on retrieval |
Free format text: JAPANESE INTERMEDIATE CODE: A971007 Effective date: 20220915 |
|
| A131 | Notification of reasons for refusal |
Free format text: JAPANESE INTERMEDIATE CODE: A131 Effective date: 20221004 |
|
| A521 | Request for written amendment filed |
Free format text: JAPANESE INTERMEDIATE CODE: A523 Effective date: 20221214 |
|
| TRDD | Decision of grant or rejection written | ||
| A01 | Written decision to grant a patent or to grant a registration (utility model) |
Free format text: JAPANESE INTERMEDIATE CODE: A01 Effective date: 20230307 |
|
| A61 | First payment of annual fees (during grant procedure) |
Free format text: JAPANESE INTERMEDIATE CODE: A61 Effective date: 20230403 |
|
| R150 | Certificate of patent or registration of utility model |
Ref document number: 7257397 Country of ref document: JP Free format text: JAPANESE INTERMEDIATE CODE: R150 |



























































































