JP7102403B2 - 高分子化合物の製造方法 - Google Patents
高分子化合物の製造方法 Download PDFInfo
- Publication number
- JP7102403B2 JP7102403B2 JP2019523519A JP2019523519A JP7102403B2 JP 7102403 B2 JP7102403 B2 JP 7102403B2 JP 2019523519 A JP2019523519 A JP 2019523519A JP 2019523519 A JP2019523519 A JP 2019523519A JP 7102403 B2 JP7102403 B2 JP 7102403B2
- Authority
- JP
- Japan
- Prior art keywords
- group
- solvent
- polymer compound
- formula
- groups
- Prior art date
- Legal status (The legal status is an assumption and is not a legal conclusion. Google has not performed a legal analysis and makes no representation as to the accuracy of the status listed.)
- Active
Links
Classifications
-
- C—CHEMISTRY; METALLURGY
- C08—ORGANIC MACROMOLECULAR COMPOUNDS; THEIR PREPARATION OR CHEMICAL WORKING-UP; COMPOSITIONS BASED THEREON
- C08G—MACROMOLECULAR COMPOUNDS OBTAINED OTHERWISE THAN BY REACTIONS ONLY INVOLVING UNSATURATED CARBON-TO-CARBON BONDS
- C08G61/00—Macromolecular compounds obtained by reactions forming a carbon-to-carbon link in the main chain of the macromolecule
- C08G61/12—Macromolecular compounds containing atoms other than carbon in the main chain of the macromolecule
-
- C—CHEMISTRY; METALLURGY
- C08—ORGANIC MACROMOLECULAR COMPOUNDS; THEIR PREPARATION OR CHEMICAL WORKING-UP; COMPOSITIONS BASED THEREON
- C08G—MACROMOLECULAR COMPOUNDS OBTAINED OTHERWISE THAN BY REACTIONS ONLY INVOLVING UNSATURATED CARBON-TO-CARBON BONDS
- C08G2261/00—Macromolecular compounds obtained by reactions forming a carbon-to-carbon link in the main chain of the macromolecule
- C08G2261/10—Definition of the polymer structure
- C08G2261/13—Morphological aspects
- C08G2261/135—Cross-linked structures
-
- C—CHEMISTRY; METALLURGY
- C08—ORGANIC MACROMOLECULAR COMPOUNDS; THEIR PREPARATION OR CHEMICAL WORKING-UP; COMPOSITIONS BASED THEREON
- C08G—MACROMOLECULAR COMPOUNDS OBTAINED OTHERWISE THAN BY REACTIONS ONLY INVOLVING UNSATURATED CARBON-TO-CARBON BONDS
- C08G2261/00—Macromolecular compounds obtained by reactions forming a carbon-to-carbon link in the main chain of the macromolecule
- C08G2261/30—Monomer units or repeat units incorporating structural elements in the main chain
- C08G2261/31—Monomer units or repeat units incorporating structural elements in the main chain incorporating aromatic structural elements in the main chain
- C08G2261/316—Monomer units or repeat units incorporating structural elements in the main chain incorporating aromatic structural elements in the main chain bridged by heteroatoms, e.g. N, P, Si or B
- C08G2261/3162—Arylamines
-
- C—CHEMISTRY; METALLURGY
- C08—ORGANIC MACROMOLECULAR COMPOUNDS; THEIR PREPARATION OR CHEMICAL WORKING-UP; COMPOSITIONS BASED THEREON
- C08G—MACROMOLECULAR COMPOUNDS OBTAINED OTHERWISE THAN BY REACTIONS ONLY INVOLVING UNSATURATED CARBON-TO-CARBON BONDS
- C08G2261/00—Macromolecular compounds obtained by reactions forming a carbon-to-carbon link in the main chain of the macromolecule
- C08G2261/40—Polymerisation processes
- C08G2261/41—Organometallic coupling reactions
- C08G2261/411—Suzuki reactions
-
- C—CHEMISTRY; METALLURGY
- C08—ORGANIC MACROMOLECULAR COMPOUNDS; THEIR PREPARATION OR CHEMICAL WORKING-UP; COMPOSITIONS BASED THEREON
- C08G—MACROMOLECULAR COMPOUNDS OBTAINED OTHERWISE THAN BY REACTIONS ONLY INVOLVING UNSATURATED CARBON-TO-CARBON BONDS
- C08G2261/00—Macromolecular compounds obtained by reactions forming a carbon-to-carbon link in the main chain of the macromolecule
- C08G2261/50—Physical properties
- C08G2261/51—Charge transport
- C08G2261/512—Hole transport
-
- C—CHEMISTRY; METALLURGY
- C08—ORGANIC MACROMOLECULAR COMPOUNDS; THEIR PREPARATION OR CHEMICAL WORKING-UP; COMPOSITIONS BASED THEREON
- C08G—MACROMOLECULAR COMPOUNDS OBTAINED OTHERWISE THAN BY REACTIONS ONLY INVOLVING UNSATURATED CARBON-TO-CARBON BONDS
- C08G2261/00—Macromolecular compounds obtained by reactions forming a carbon-to-carbon link in the main chain of the macromolecule
- C08G2261/70—Post-treatment
- C08G2261/76—Post-treatment crosslinking
Landscapes
- Chemical & Material Sciences (AREA)
- Health & Medical Sciences (AREA)
- Chemical Kinetics & Catalysis (AREA)
- Medicinal Chemistry (AREA)
- Polymers & Plastics (AREA)
- Organic Chemistry (AREA)
- Polyoxymethylene Polymers And Polymers With Carbon-To-Carbon Bonds (AREA)
Description
[1] 架橋性基を有する高分子化合物の製造方法であって、
(1)遷移金属錯体の存在下、溶媒中で、単量体成分を重合させることにより、架橋性基を有する第一の高分子化合物を得る工程、ここで、前記単量体成分は架橋性基を有する単量体を含む、並びに、
(2)第一の溶媒と前記第一の高分子化合物とを含む溶液、及び、第二の溶媒を混合した後、2以上の層に分離させ、ポリスチレン換算の重量平均分子量が最も大きい高分子化合物を含む層を選別することにより、架橋性基を有する第二の高分子化合物を得る工程、ここで、前記第一の溶媒は工程(1)で用いた溶媒と同種の溶媒を含み、前記第二の溶媒は前記第一の高分子化合物に対して貧溶媒であり、前記2以上の層の各層に含まれる溶媒は実質的に有機溶媒である、
を含む、高分子化合物の製造方法。
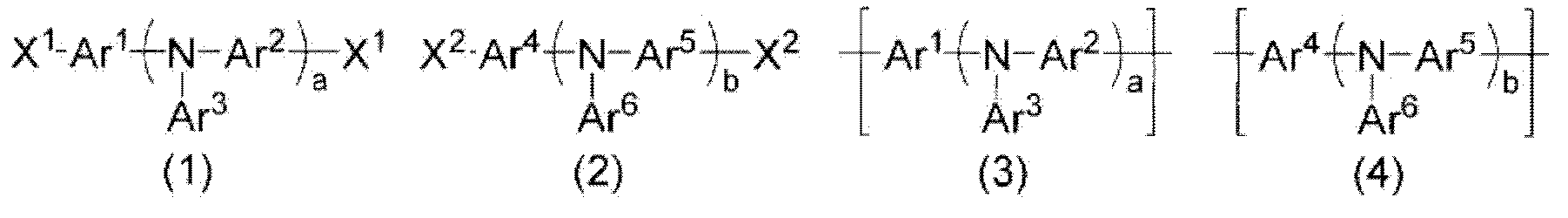
[2] 前記単量体成分が、式(1)で表される化合物及び式(2)で表される化合物であり、且つ、
前記第一の高分子化合物及び前記第二の高分子化合物が、それぞれ、式(3)で表される構成単位と式(4)で表される構成単位とを含む高分子化合物である、[1]に記載の高分子化合物の製造方法。
[式中、
a及びbは、それぞれ独立に、0~2の整数を表す。
Ar1、Ar2、Ar4及びAr5は、それぞれ独立に、2価の芳香族炭化水素基、2価の複素環基、又は2価の芳香族炭化水素基と2価の複素環基が結合した基を表し、これらの基は置換基を有していてもよい。Ar2又はAr5が複数存在する場合、それらは各々同一又は異なっていてもよい。
Ar3及びAr6は、それぞれ独立に、1価の芳香族炭化水素基、又は1価の複素環基を表し、これらの基は置換基を有していてもよい。Ar3又はAr6が複数存在する場合、それらは各々同一又は異なっていてもよい。
ただし、Ar1、Ar2、Ar3、Ar4、Ar5又はAr6のうち少なくとも一つは、置換基として架橋性基を含む基を有する。
X1は、塩素原子、臭素原子、ヨウ素原子、又は-O-S(=O)2Ra1を表す。Ra1は、アルキル基又はアリール基を表し、これらの基は置換基を有していてもよい。複数存在するX1は、同一又は異なっていてもよい。
X2は、-B(OH)2、ボラン残基、ホウ酸エステル残基、又は-BF3Tを表す。Tは、リチウム原子、ナトリウム原子、カリウム原子、ルビジウム原子、又はセシウム原子を表す。複数存在するX2は、同一又は異なっていてもよい。]
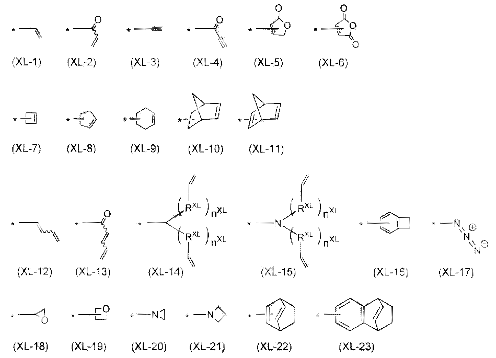
[3] 前記架橋性基を含む基が、式(5)で表される基である、[2]に記載の高分子化合物の製造方法。
[式中、
Lは、それぞれ独立に、単結合、或いは、-(CH2)-、-O-、-S-、-(CO)-、-(C6H4)-、又はこれらから選ばれる2個以上の基が結合した2価の基を表す。但し、-O-同士、並びに、-S-同士、-O-及び-S-は、互いに直接結合しない。
nは1~5の整数を表す。
Yは架橋性基を表す。Yが複数存在する場合、それらは同一でも異なっていてもよい。]
[4] 前記式(5)において、
Lが、-(CH2)m-、-(CH2)p-(C6H4)-(CH2)q-、-(CH2)r-O-(CH2)s-、又は-(CH2)t-(C6H4)-O-(CH2)u-であり、
mは0~20の整数を表し、pは0~10の整数を表し、qは0~10の整数を表し、rは0~10の整数を表し、sは0~10の整数を表し、tは0~10の整数を表し、uは0~10の 整数を表す、
[3]に記載の高分子化合物の製造方法。
[5] 前記式(5)において、
Yで表される架橋性基が、架橋性基群Aから選択される基である、[3]又は[4]に記載の高分子化合物の製造方法。
<架橋性基群A>
[式中、
これらの基はそれぞれ、アルキル基及びアリール基からなる群より選ばれる置換基を有していてもよい。
nXLは、0~5の整数を表す。nXLが複数存在する場合、それらは同一でも異なっていてもよい。
RXLは、-(CH2) -、-O-、-S-、-(CO)-、又はこれらから選ばれる2個以上の基が結合した2価の基を表す。但し、-O-同士、-S-同士、並びに、-O-及び-S-は、互いに直接結合しない。RXLが複数存在する場合、それらは同一でも異なっていてもよい。
*はLとの結合部位である。]
[6] 前記遷移金属錯体が、
トリアルキルホスフィン、ジアルキルモノアリールホスフィン、モノアルキルジアリールホスフィン、及びトリアリールホスフィンからなる群から選択される少なくとも1種の配位子(当該ホスフィン上のアリール基はそれぞれ独立に、アルキル基、アルコキシ基、フェニル基(当該フェニル基は、アルキル基及びアルコキシ基からなる群より選ばれる1~3個の置換基を有していてもよい)、及び置換アミノ基からなる群より選ばれる1~3個の置換基を有していてもよい)と、
パラジウムとを含むパラジウム錯体である、
[1]~[5]のいずれか一項に記載の製造方法。
[7] 前記架橋性基が、式(XL-1)及び式(XL-16)からなる群から選ばれる基である、[5]又は[6]に記載の高分子化合物の製造方法。
[8] 前記第一の溶媒が芳香族炭化水素溶媒であり、前記第二の溶媒がアルコール溶媒である、[1]~[7]のいずれか一項に記載の高分子化合物の製造方法。
[9] 前記第一の溶媒及び架橋性基を有する第一の高分子化合物を含む溶液100重量部に対して、前記第二の溶媒20~300重量部を使用する、[1]~[8]のいずれか一項に記載の高分子化合物の製造方法。
[10] 前記工程(2)の前に、前記工程(1)で得られた前記第一の高分子化合物を吸着精製する工程を含む、[1]~[9]のいずれか一項に記載の高分子化合物の製造方法。
本明細書及び特許請求の範囲で使用する用語を以下に説明する。
当該置換アリール基としては、例えば、2-フェニルフェニル基、3-フェニルフェニル基、4-フェニルフェニル基等が挙げられる。
次に、本実施形態の高分子化合物の製造方法について説明する。
本発明の架橋性基を有する高分子化合物の製造方法は、
(1)遷移金属錯体の存在下、溶媒中で、単量体成分を重合させることにより、架橋性基を有する第一の高分子化合物を得る工程、ここで、前記単量体成分は架橋性基を有する単量体を含む、並びに、(2)第一の溶媒と前記第一の高分子化合物とを含む溶液、及び、第二の溶媒を混合した後、2以上の層に分離させ、ポリスチレン換算の重量平均分子量が最も大きい高分子化合物を含む層を選別することにより、架橋性基を有する第二の高分子化合物を得る工程、ここで、前記第一の溶媒は工程(1)で用いた溶媒と同種の溶媒を含み、前記第二の溶媒は前記第一の高分子化合物に対して貧溶媒であり、前記2以上の層の各層に含まれる溶媒は実質的に有機溶媒である、を含むことを特徴とする。
工程(1)は、遷移金属錯体の存在下、溶媒中で、架橋性基を有する単量体を含む単量体成分を重合させて、架橋性基を有する第一の高分子化合物を得る工程である。
遷移金属錯体は、架橋性基を有する単量体を含む単量体成分を重合(カップリング反応)するための触媒として用いられる。具体的には、式(1)で表される化合物と式(2)で表される化合物を互いに重合する触媒として用いられる。遷移金属錯体としては、第10族遷移金属錯体が好ましく、パラジウム錯体がより好ましい。前記第10族遷移金属錯体としては、0価第10族遷移金属錯体又は2価第10族遷移金属錯体が好ましく、2価第10族遷移金属錯体がより好ましい。前記パラジウム錯体としては、均一系パラジウム錯体であっても不均一系パラジウム錯体であってもよく、好ましくは、均一系パラジウム錯体である。
工程(1)で用いる溶媒は、生成する架橋性基を有する第一の高分子化合物を溶解し得るもの、即ち、第一の高分子化合物に対する良溶媒であれば特に限定はない。
芳香族炭化水素溶媒の炭素数は、好ましくは6~12であり、より好ましくは7~9である。芳香族炭化水素溶媒としては、好ましくはトルエン、キシレン及びメシチレンである。
エーテル溶媒は、直鎖状、分岐状及び環状のエーテル溶媒のいずれであってもよいが、好ましくは環状のエーテル溶媒である。エーテル溶媒の炭素数は、好ましくは4~7である。エーテル溶媒としては、好ましくはテトラヒドロフランである。
塩基としては、工程(1)のカップリング反応(重合反応)を促進するものであれば特に限定はない。塩基は、無機塩基及び有機塩基のいずれでもよく、好ましくは有機塩基である。塩基は、一種単独で用いても二種以上を併用してもよい。
相間移動触媒としては、例えば、アンモニウム塩化合物、ホスホニウム塩化合物及び大環状ポリエーテル等が挙げられ、好ましくは、アンモニウム塩化合物である。相間移動触媒は、一種単独で用いても二種以上を併用してもよい。
工程(1)では、反応容器内を不活性ガス雰囲気とし酸素濃度を低減させた後、架橋性基を有する単量体を含む単量体成分を重合することが好ましい。
工程(1)の反応に用いられる原料の「架橋性基を有する単量体を含む単量体成分」とは、架橋性基を有する単量体を含み、さらに必要に応じて架橋性基を含まない他の単量体を含む1又は2以上の単量体を意味する。
[式中、Ar1、Ar2、Ar3、Ar4、Ar5、Ar6、X1、X2、a及びbは前記に同じ。]
[式中、Lは、それぞれ独立に、単結合、或いは、-(CH2)-、-O-、-S-、-(CO)-、-(C6H4)-、又はこれらから選ばれる2個以上の基が結合した2価の基を表す。但し、-O-同士、-S-同士、-O-及び-S-は、互いに直接結合しない。Yは架橋性基を表す。nは1~5の整数を表す。]
<架橋性基群A>
(式中、これらの基はそれぞれ、アルキル基及びアリール基からなる群から選ばれる置換基を有していてもよい。RXLは、-(CH2) -、-O-、-S-、-(CO)-、又はこれらから選ばれる2個以上の基が結合した2価の基を表す。但し、-O-同士、-S-同士、-O-及び-S-は、互いに直接結合しない。nXLは、0~5の整数を表す。RXLが複数存在する場合、それらは同一でも異なっていてもよく、nXLが複数存在する場合、それらは同一でも異なっていてもよい。*はLとの結合部位である。)
第一の高分子化合物は、架橋性基を有する単量体のみを重合した化合物、又は架橋性基を有する単量体とその他の単量体とを重合した化合物のいずれをも包含する。そのうち、架橋性基を有する単量体とその他の単量体とを重合した化合物が好ましい。
[式中、Ar1、Ar2、Ar3、Ar4、Ar5、Ar6、X1、X2、a及びbは前記に同じ。]
工程(2)は、第一の溶媒及び前記第一の高分子化合物を含む溶液に、前記第一の高分子化合物に対して貧溶媒である第二の溶媒を添加した後、2以上の層に分離させ、ポリスチレン換算の重量平均分子量が最も大きい高分子化合物を含む層を選別することにより、架橋性基を有する第二の高分子化合物を得る工程である。
第一の溶媒は、工程(1)で用いた溶媒と同種の溶媒を含み、当該溶媒は、第一の高分子化合物を溶解し得る溶媒(良溶媒)であることが好ましい。第一の溶媒は工程(1)で用いた溶媒の中から、第一の高分子化合物に対して良溶媒となるものを選択して使用することができる。第一の溶媒は、一種単独で用いても二種以上を併用してもよく、また、水を含有していてもよい。これらのうち、芳香族炭化水素溶媒及びエーテル溶媒が好ましく、芳香族炭化水素溶媒がより好ましい。
第二の溶媒は、第一の高分子化合物に対して貧溶媒である。
工程(2)は、第一の溶媒及び第一の高分子化合物を含む溶液と、第二の溶媒とを混合した後、撹拌し、静置して2以上の層(液層)に分離させ、重量平均分子量が最も大きい高分子化合物を含む層を選別する。これにより、より大きい重量平均分子量を有し、且つ、多分散度が小さい架橋性基を有する第二の高分子化合物を取得することができる。
工程(2)の分画操作により得られる第二の高分子化合物は、基本的に、第一の高分子化合物と同じく、式(3)で表される構成単位と式(4)で表される構成単位とを含有する化合物である。しかし、第二の高分子化合物は、低分子量の化合物が工程(2)の分画操作により除かれているため、第一の高分子化合物に比べて、重量平均分子量がより大きく、且つ、多分散度が飛躍的に小さくなっている。
上記の工程(1)及び工程(2)は連続した工程であっても、両工程の間に他の工程を設けてもよい。また、工程(2)の後に、さらに他の工程を設けてもよい。他の工程としては、例えば、工程(1)で得られた第一の高分子化合物の末端封止工程、分液工程、共沸脱水工程、精製工程等が挙げられる。
或いは、単官能性化合物として、前述の架橋性基群Aから選ばれる架橋性基を有するアリール基又は1価の複素環基と反応性基X1又はX2とが結合した化合物、式(XL-16)で表される基と反応性基X1又はX2とが結合した化合物等が挙げられる。
高分子化合物のポリスチレン換算の重量平均分子量(Mw)、ポリスチレン換算の数平均分子量(Mn)、多分散度(Mw/Mn)は、ゲルパーミエーションクロマトグラフィ(GPC)により求めた。
・分析条件
測定装置:HLC-8320GPC(東ソー株式会社製)
カラム:PLgel 10μm MIXED-B(東ソー株式会社製)
カラム温度:40℃
移動相:テトラヒドロフラン
流量:0.5mL/分
検出波長:228nm
[重合工程:工程(1)]
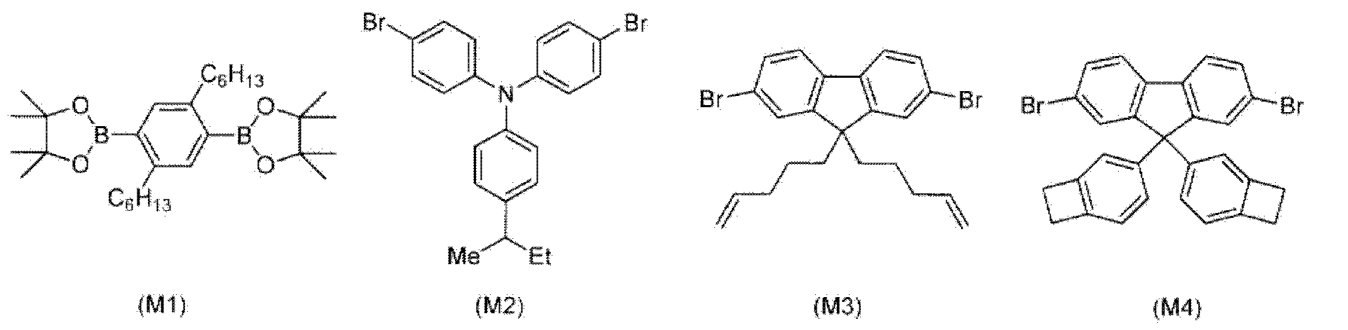
反応容器内を不活性ガス雰囲気とした後、化合物(M1)(20.26mmol)、化合物(M2)(18.01mmol)、化合物(M3)(2.25mmol)、化合物(M4)(2.25mmol)、ジクロロビス[トリス(2-メトキシフェニル)ホスフィン]パラジウム(0.0135mmol)、及びトルエン(165.1g)を加えた。その後、反応容器内の酸素濃度を0.01体積%未満に調整し、80℃に加熱した。その後、そこへ、20重量%水酸化テトラエチルアンモニウム水溶液(124.3g)を加え、3時間撹拌した。その後、化合物(M1)(0.80mmol)を加え3時間撹拌し、さらに化合物(M1)(0.80mmol)を加え2時間撹拌し、さらに化合物(M1)(0.19mmol)を加え2時間撹拌し、第一の高分子化合物の粗生成物を得た。第一の高分子化合物の粗生成物は、Mnが2.8×104であり、Mwが9.5×104であり、多分散度が3.7であった。
重合完了後の反応液に、フェニルボロン酸(2.25mmol)を加え5時間撹拌した。
反応液を室温まで冷却し、反応液をトルエン(1074.3g)で希釈し分液後、イオン交換水(372g)で3回洗浄した。
トルエン溶液を、18kPaまで減圧し、65℃まで加熱し、還流脱水を実施した。
得られたトルエン溶液を、アルミナ及びシリカゲルを混合したカラムに通すことにより吸着精製し、1000.2gの第一の高分子化合物(P1)のトルエン溶液を得た。第一の高分子化合物(P1)は、Mnが2.8×104であり、Mwが9.6×104であり、多分散度が3.4であった。
得られた第一の高分子化合物(P1)のトルエン溶液(553.7g)に対し、撹拌動力0.3kW/m3で、メタノール(149.5g)(トルエン溶液100重量部に対しメタノール27重量部)を滴下し、1時間撹拌した。得られた混合物を22℃で17.5時間静置することで二層に分離し、ポリスチレン換算の重量平均分子量が大きい下層を分別した。分別された下層をトルエン(310.5g)で希釈し、第二の高分子化合物(P2)を得た。第二の高分子化合物(P2)は、Mnが6.1×104であり、Mwが1.3×105であり、多分散度が2.1であった。
得られた第二の高分子化合物(P2)のトルエン溶液をメタノール(2117g)に滴下し、1時間撹拌した後、得られた固体をろ取し、乾燥させ、高分子化合物(P3)を得た。高分子化合物(P3)は、Mnが6.3×104であり、Mwが1.3×105であり、多分散度が2.1であった。
[分画工程:工程(2)]
実施例1のカラム工程で得られた第一の高分子化合物(P1)のトルエン溶液100重量部に対し、エタノール39重量部を滴下し、撹拌した。得られた混合物を23℃で2.5時間静置することで二層に分離し、ポリスチレン換算の重量平均分子量が大きい下層を分別した。分別された下層をトルエンで希釈し、第二の高分子化合物(P4)を得た。高分子化合物(P4)は、Mnが8.8×104であり、Mwが1.7×105であり、多分散度が2.0であった。
[分画工程:工程(2)]
実施例1のカラム工程で得られた第一の高分子化合物(P1)のトルエン溶液100重量部に対し、イソプロパノール60重量部を滴下し、撹拌した。得られた混合物を23℃で20時間静置することで二層に分離し、ポリスチレン換算の重量平均分子量が大きい下層を分別した。分別された下層をトルエンで希釈し、第二の高分子化合物(P5)を得た。高分子化合物(P5)は、Mnが6.8×104であり、Mwが1.3×105であり、多分散度が2.0であった。
[分画工程:工程(2)]
実施例1のカラム工程で得られた第一の高分子化合物(P1)のトルエン溶液100重量部に対し、アセトン90重量部を滴下し、撹拌した。得られた混合物を23℃で20時間静置することで二層に分離し、ポリスチレン換算の重量平均分子量が大きい下層を分別した。分別された下層をトルエンで希釈し、第二の高分子化合物(P6)を得た。高分子化合物(P6)は、Mnが8.3×104であり、Mwが1.5×105であり、多分散度が1.8であった。
[分画工程:工程(2)]
実施例1のカラム工程で得られた第一の高分子化合物(P1)のトルエン溶液100重量部に対し、酢酸エチル254重量部を滴下し、撹拌した。得られた混合物を23℃で20時間静置することで二層に分離し、ポリスチレン換算の重量平均分子量が大きい下層を分別した。分別された下層をトルエンで希釈し、第二の高分子化合物(P7)を得た。高分子化合物(P7)は、Mnが1.3×105であり、Mwが2.1×105であり、多分散度が1.6であった。
[晶析工程]
実施例1のカラム工程で得られた第一の高分子化合物(P1)のトルエン溶液(277.0g)を、分画工程を経ることなく、メタノール(1802g)に滴下し、1時間撹拌した。得られた固体をろ取し、乾燥させ、高分子化合物(P8)を得た。高分子化合物(P8)は、Mnが3.0×104であり、Mwが9.6×104であり、多分散度が3.2であった。
これより、分画工程を経ずに晶析して得られた高分子化合物の多分散度は、カラム工程後の高分子化合物の多分散度とほとんど変化がないことが確認された。
[分画工程:工程(2)]
実施例1のカラム工程で得られた第一の高分子化合物(P1)のトルエン溶液100重量部に対し、キシレン50重量部を滴下し、撹拌した。得られた混合物を23℃で24時間静置したが、二層に分離しなかった。トルエン及びキシレンの混合溶液中の高分子化合物(P22)は、Mnが2.8×104であり、Mwが9.6×104であり、多分散度が3.4であった。
[分画工程:工程(2)]
実施例1のカラム工程で得られた第一の高分子化合物(P1)のトルエン溶液100重量部に対し、テトラヒドロフラン50重量部を滴下し、撹拌した。得られた混合物を23℃で24時間静置したが、二層に分離しなかった。トルエン及びテトラヒドロフランの混合溶液中の高分子化合物(P23)は、Mnが2.6×104であり、Mwが9.5×104であり、多分散度が3.6であった。
[重合工程:工程(1)]
反応容器内を不活性ガス雰囲気とした後、化合物(M1)(18.96mmol)、化合物(M2)(7.98mmol)、化合物(M3)(2.00mmol)、化合物(M4)(2.00mmol)、化合物(M5)(7.98mmol)、ビス[ジ-tert-ブチル(4-ジメチルアミノフェニル)ホスフィン]ジクロロパラジウム(0.0100mmol)、臭化テトラブチルアンモニウム(643.7mg)、及びキシレン(168.3g)を加えた。その後、反応容器内の酸素濃度を0.01体積%未満に調整し、80℃に加熱した。その後、そこへ、15重量%水酸化テトラメチルアンモニウム水溶液(101.4g)を加え、2時間撹拌し、第一の高分子化合物の粗生成物を得た。第一の高分子化合物の粗生成物は、Mnが1.2×104であり、Mwが1.0×105であり、多分散度が8.4であった。
重合完了後の反応液に、フェニルボロン酸(9.97mmol)を加え8時間撹拌した。
反応液を室温まで冷却し、反応液をキシレン(1061.0g)で希釈し分液後、イオン交換水(372g)で3回洗浄した。
キシレン溶液を、18kPaまで減圧し、65℃まで加熱し、還流脱水を実施した。
得られたキシレン溶液を、アルミナ及びシリカゲルを混合したカラムに通すことにより吸着精製し、第一の高分子化合物(P9)のキシレン溶液を得た。高分子化合物(P9)は、Mnが1.1×104であり、Mwが9.9×104であり、多分散度が8.7であった。
得られた第一の高分子化合物(P9)のキシレン溶液100重量部に対し、メタノール24重量部を滴下し、23℃で撹拌した。得られた混合物を23℃で1.5時間静置することで二層に分離し、ポリスチレン換算の重量平均分子量が大きい下層を分別した。分別された下層をキシレンで希釈し、第二の高分子化合物(P10)を得た。第二の高分子化合物(P10)は、Mnが5.3×104であり、Mwが1.2×105であり、多分散度が2.3であった。
[分画工程:工程(2)]
実施例6のカラム工程で得られた第一の高分子化合物(P9)のキシレン溶液100重量部に対し、エタノール40重量部を滴下し、撹拌した後、23℃で1.5時間静置し二層に分離し、ポリスチレン換算の重量平均分子量が大きい下層を分別し、キシレンで希釈し、第二の高分子化合物(P11)を得た。高分子化合物(P11)は、Mnが5.1×104であり、Mwが1.2×105であり、多分散度が2.3であった。
[分画工程:工程(2)]
実施例6のカラム工程で得られた第一の高分子化合物(P9)のキシレン溶液100重量部に対し、イソプロパノール46重量部を滴下し、撹拌した。得られた混合物を23℃で2時間静置することで二層に分離し、ポリスチレン換算の重量平均分子量が大きい下層を分別した。分別された下層をキシレンで希釈し、第二の高分子化合物(P12)を得た。高分子化合物(P12)は、Mnが6.6×104であり、Mwが1.5×105であり、多分散度が2.3であった。
[分画工程:工程(2)]
実施例6のカラム工程で得られた第一の高分子化合物(P9)のキシレン溶液100重量部に対し、アセトン65重量部を滴下し、撹拌した。得られた混合物を23℃で2時間静置することで二層に分離し、ポリスチレン換算の重量平均分子量が大きい下層を分別した。分別された下層をキシレンで希釈し、第二の高分子化合物(P13)を得た。高分子化合物(P13)は、Mnが7.2×104であり、Mwが1.8×105であり、多分散度が2.5であった。
[分画工程:工程(2)]
実施例6のカラム工程で得られた第一の高分子化合物(P9)のキシレン溶液100重量部に対し、酢酸エチル150重量部を滴下し、撹拌した。得られた混合物を23℃で3時間静置することで二層に分離し、ポリスチレン換算の重量平均分子量が大きい下層を分別した。分別された下層をキシレンで希釈し、第二の高分子化合物(P14)を得た。高分子化合物(P14)は、Mnが7.6×104であり、Mwが1.6×105であり、多分散度が2.2であった。
[分画工程:工程(2)]
実施例6のカラム工程で得られた第一の高分子化合物(P9)のキシレン溶液100重量部に対し、N-メチル-2-ピロリドン161重量部を滴下し、撹拌した。得られた混合物を23℃で22時間静置することで二層に分離し、ポリスチレン換算の重量平均分子量が大きい下層を分別した。分別された下層をキシレンで希釈し、第二の高分子化合物(P15)を得た。高分子化合物(P15)は、Mnが8.1×104であり、Mwが1.7×105であり、多分散度が2.1であった。
[分画工程:工程(2)]
実施例6のカラム工程で得られた第一の高分子化合物(P9)のキシレン溶液100重量部に対し、メタノール24重量部を滴下し、撹拌した。得られた混合物を10℃で3時間静置し二層に分離し、ポリスチレン換算の重量平均分子量が大きい下層を分別した。分別された下層をキシレンで希釈し、第二の高分子化合物(P16)を得た。高分子化合物(P16)は、Mnが5.0×104であり、Mwが1.2×105であり、多分散度が2.4であった。
[分画工程:工程(2)]
実施例6のカラム工程で得られた第一の高分子化合物(P9)のキシレン溶液100重量部に対し、メタノール24重量部を滴下し、撹拌した。得られた混合物を35℃で3時間静置することで二層に分離し、ポリスチレン換算の重量平均分子量が大きい下層を分別した。分別された下層をキシレンで希釈し、第二の高分子化合物(P17)を得た。高分子化合物(P17)は、Mnが5.1×104であり、Mwが1.2×105であり、多分散度が2.4であった。
[重合工程:工程(1)]
反応容器内を不活性ガス雰囲気とした後、化合物(M6)(5.00mmol)、化合物(M2)(4.75mmol)、化合物(M7)(0.28mmol)、炭酸カリウム(25mmol)、テトラヒドロフラン(75g)、及び水(12.5g)を加えた。その後、反応容器内の酸素濃度を0.01体積%未満に調整し、80℃に加熱した。その後、そこへ、[トリス(ジベンジリデンアセトン)]ジパラジウム(0.100mmol)、及びトリ-tert-ブチルホスホニウムテトラフルオロボラート(0.400mmol)を加え、3時間撹拌し、第一の高分子化合物の粗生成物を得た。
反応液を室温まで冷却し、反応液をトルエン(264.7g)で希釈し分液後、イオン交換水(90g)で3回洗浄した。
得られたテトラヒドロフラン及びトルエンの混合溶液を、アルミナ及びシリカゲルを混合したカラムに通すことにより吸着精製し、282.8gの第一の高分子化合物(P18)のテトラヒドロフラン及びトルエンの混合溶液を得た。第一の高分子化合物(P18)は、Mnが4.4×103であり、Mwが2.7×105であり、多分散度が61.3であった。
得られた第一の高分子化合物(P18)のテトラヒドロフラン及びトルエンの混合溶液100重量部に対し、メタノール20重量部を滴下し、撹拌した。得られた混合物を23℃で1.5時間静置することで二層に分離し、ポリスチレン換算の重量平均分子量が大きい下層を分別した。分別された下層をトルエンで希釈し、第二の高分子化合物(P19)を得た。第二の高分子化合物(P19)は、Mnが2.4×104であり、Mwが3.4×105であり、多分散度が13.9であった。
[分画工程:工程(2)]
実施例14のカラム工程で得られた第一の高分子化合物(P18)のテトラヒドロフラン及びトルエンの混合溶液100重量部に対し、メタノール16重量部を滴下し、撹拌した。得られた混合物を23℃で1.5時間静置することで二層に分離し、ポリスチレン換算の重量平均分子量が大きい下層を分別した。分別された下層をトルエンで希釈し、第二の高分子化合物(P20)を得た。第二の高分子化合物(P20)は、Mnが2.8×104であり、Mwが5.3×105であり、多分散度が18.9であった。
[分画工程:工程(2)]
実施例14のカラム工程で得られた第一の高分子化合物(P18)のテトラヒドロフラン及びトルエンの混合溶液100重量部に対し、酢酸エチル100重量部を滴下し、撹拌した。得られた混合物を23℃で1.5時間静置することで二層に分離し、ポリスチレン換算の重量平均分子量が大きい下層を分別した。分別された下層をトルエンで希釈し、第二の高分子化合物(P21)を得た。第二の高分子化合物(P21)は、Mnが3.3×104であり、Mwが4.9×105であり、多分散度が14.7であった。
Claims (7)
- 架橋性基を有する高分子化合物の製造方法であって、
(1)遷移金属錯体の存在下、溶媒中で、架橋性基を有する単量体を含む単量体成分を重合させることにより、架橋性基を有する第一の高分子化合物を得る工程、並びに、
(2)第一の溶媒と前記第一の高分子化合物とを含む溶液、及び、第二の溶媒を混合した後、2以上の層に分離させ、ポリスチレン換算の重量平均分子量が最も大きい高分子化合物を含む層を選別することにより、架橋性基を有する第二の高分子化合物を得る工程、
を含む、高分子化合物の製造方法;
ここで、前記第一の溶媒は工程(1)で用いた溶媒と同種の溶媒を含み、前記第一の溶媒は、芳香族炭化水素溶媒及びエーテル溶媒からなる群より選ばれる少なくとも1種であり、
前記第二の溶媒は前記第一の高分子化合物に対して貧溶媒であり、前記第二の溶媒は、アミド溶媒、アルコール溶媒、ケトン溶媒、脂肪族炭化水素溶媒、エステル溶媒、及びニトリル溶媒からなる群より選ばれる少なくとも1種であり、
前記2以上の層の各層に含まれる溶媒は実質的に有機溶媒である、
ここで、前記単量体成分が、式(1)で表される化合物及び式(2)で表される化合物であり、且つ、
前記第一の高分子化合物及び前記第二の高分子化合物が、それぞれ、式(3)で表される構成単位と式(4)で表される構成単位とを含む高分子化合物である、
[式中、
a及びbは、それぞれ独立に、0~2の整数を表す。
Ar1、Ar2、Ar4及びAr5は、それぞれ独立に、2価の芳香族炭化水素基、2価の複素環基、又は2価の芳香族炭化水素基と2価の複素環基が結合した基を表し、これらの基は置換基を有していてもよい。Ar2又はAr5が複数存在する場合、それらは各々同一又は異なっていてもよい。
Ar3及びAr6は、それぞれ独立に、1価の芳香族炭化水素基、又は1価の複素環基を表し、これらの基は置換基を有していてもよい。Ar3又はAr6が複数存在する場合、それらは各々同一又は異なっていてもよい。
ただし、Ar1、Ar2、Ar3、Ar4、Ar5又はAr6のうちの少なくとも一つは、置換基として架橋性基を含む基を有する。
X1は、塩素原子、臭素原子、ヨウ素原子、又は-O-S(=O)2Ra1を表す。Ra1は、アルキル基又はアリール基を表し、これらの基は置換基を有していてもよい。複数存在するX1は、同一又は異なっていてもよい。
X2は、-B(OH)2、ボラン残基、ホウ酸エステル残基、又は-BF3Tを表す。Tは、リチウム原子、ナトリウム原子、カリウム原子、ルビジウム原子、又はセシウム原子を表す。複数存在するX2は、同一又は異なっていてもよい。]
ここで、前記架橋性基を含む基が、式(5)で表される基である、
[式中、
Lは、単結合、或いは、-(CH 2 )-、-O-、-S-、-(CO)-、-(C 6 H 4 )-、又はこれらから選ばれる2個以上の基が結合した2価の基を表す。但し、-O-同士、-S-同士、並びに、-O-及び-S-は、互いに直接結合しない。
nは1を表す。
Yは架橋性基を表す。]
ここで、Yで表される架橋性基が、架橋性基群Aから選択される基である。
<架橋性基群A>
[式中、
これらの基はそれぞれ、アルキル基及びアリール基からなる群より選ばれる置換基を有していてもよい。
n XL は、0~5の整数を表す。n XL が複数存在する場合、それらは同一でも異なっていてもよい。
R XL は、-(CH 2 )-、-O-、-S-、-(CO)-、又はこれらから選ばれる2個以上の基が結合した2価の基を表す。但し、-O-同士、-S-同士、並びに、-O-及び-S-は、互いに直接結合しない。R XL が複数存在する場合、それらは同一でも異なっていてもよい。
*はLとの結合部位である。] - 前記式(5)において、
Lが、-(CH2)m-、-(CH2)p-(C6H4)-(CH2)q-、-(CH2)r-O-(CH2)s-、又は-(CH2)t-(C6H4)-O-(CH2)u-であり、
mは0~20の整数を表し、pは0~10の整数を表し、qは0~10の整数を表し、rは0~10の整数を表し、sは0~10の整数を表し、tは0~10の整数を表し、uは0~10の整数を表す、
請求項1に記載の高分子化合物の製造方法。 - 前記遷移金属錯体が、
トリアルキルホスフィン、ジアルキルモノアリールホスフィン、モノアルキルジアリールホスフィン、及びトリアリールホスフィンからなる群から選択される少なくとも1種の配位子(当該ホスフィン上のアリール基はそれぞれ独立に、アルキル基、アルコキシ基、フェニル基(当該フェニル基は、アルキル基及びアルコキシ基からなる群より選ばれる1~3個の置換基を有していてもよい)、及び置換アミノ基からなる群より選ばれる1~3個の置換基を有していてもよい)と、
パラジウムとを含むパラジウム錯体である、
請求項1又は2に記載の高分子化合物の製造方法。 - 前記架橋性基が、式(XL-1)及び式(XL-16)からなる群から選ばれる基である、請求項1~3のいずれか一項に記載の高分子化合物の製造方法。
- 前記第一の溶媒が芳香族炭化水素溶媒であり、前記第二の溶媒がアルコール溶媒である、請求項1~4のいずれか一項に記載の高分子化合物の製造方法。
- 前記第一の溶媒及び架橋性基を有する第一の高分子化合物を含む溶液100重量部に対して、前記第二の溶媒20~300重量部を使用する、請求項1~5のいずれか一項に記載の高分子化合物の製造方法。
- 前記工程(2)の前に、前記工程(1)で得られた前記第一の高分子化合物を吸着精製する工程を含む、請求項1~6のいずれか一項に記載の高分子化合物の製造方法。
Applications Claiming Priority (3)
| Application Number | Priority Date | Filing Date | Title |
|---|---|---|---|
| JP2017112969 | 2017-06-07 | ||
| JP2017112969 | 2017-06-07 | ||
| PCT/JP2018/021334 WO2018225674A1 (ja) | 2017-06-07 | 2018-06-04 | 高分子化合物の製造方法 |
Publications (2)
| Publication Number | Publication Date |
|---|---|
| JPWO2018225674A1 JPWO2018225674A1 (ja) | 2020-04-09 |
| JP7102403B2 true JP7102403B2 (ja) | 2022-07-19 |
Family
ID=64566107
Family Applications (1)
| Application Number | Title | Priority Date | Filing Date |
|---|---|---|---|
| JP2019523519A Active JP7102403B2 (ja) | 2017-06-07 | 2018-06-04 | 高分子化合物の製造方法 |
Country Status (5)
| Country | Link |
|---|---|
| EP (1) | EP3636690A4 (ja) |
| JP (1) | JP7102403B2 (ja) |
| KR (1) | KR102529488B1 (ja) |
| CN (1) | CN110741029B (ja) |
| WO (1) | WO2018225674A1 (ja) |
Families Citing this family (2)
| Publication number | Priority date | Publication date | Assignee | Title |
|---|---|---|---|---|
| JP7320405B2 (ja) * | 2018-09-28 | 2023-08-03 | 住友化学株式会社 | 高分子化合物の製造方法 |
| JP7214497B2 (ja) * | 2019-02-14 | 2023-01-30 | 国立大学法人東海国立大学機構 | 輪状化合物の製造方法 |
Citations (10)
| Publication number | Priority date | Publication date | Assignee | Title |
|---|---|---|---|---|
| JP2002241426A (ja) | 2001-02-15 | 2002-08-28 | Asahi Medical Co Ltd | 医療用ポリマー及びその精製方法 |
| JP2002265519A (ja) | 2001-03-06 | 2002-09-18 | Asahi Medical Co Ltd | ポリマーの精製方法 |
| JP2008260792A (ja) | 2007-04-10 | 2008-10-30 | Konica Minolta Medical & Graphic Inc | ポリマーとその精製方法及びこれを用いる微粒子分散物、熱現像感光材料 |
| JP2009263665A (ja) | 2008-04-02 | 2009-11-12 | Mitsubishi Chemicals Corp | 高分子化合物、該高分子化合物を架橋させてなる網目状高分子化合物、有機電界発光素子用組成物、有機電界発光素子、有機elディスプレイ及び有機el照明 |
| JP2009287000A (ja) | 2008-02-15 | 2009-12-10 | Mitsubishi Chemicals Corp | 共役ポリマー、有機電界発光素子材料、有機電界発光素子用組成物、ポリマーの製造方法、有機電界発光素子、有機elディスプレイ、及び有機el照明 |
| JP2011149013A (ja) | 2009-12-25 | 2011-08-04 | Sumitomo Chemical Co Ltd | 組成物及び該組成物を用いてなる発光素子 |
| JP2013127057A (ja) | 2011-11-16 | 2013-06-27 | Sumitomo Chemical Co Ltd | 重合体、および当該重合体を用いた太陽電池用封止材 |
| JP2014001349A (ja) | 2012-06-20 | 2014-01-09 | Sumitomo Chemical Co Ltd | 組成物、高分子化合物およびそれらを用いた発光素子 |
| WO2014185079A1 (ja) | 2013-05-17 | 2014-11-20 | 三井化学株式会社 | 高分子化合物ならびにそれを用いた有機電界発光素子用材料および有機電界発光素子 |
| JP2015117271A (ja) | 2013-12-17 | 2015-06-25 | 日立化成株式会社 | 高分子の精製方法および精製された高分子とそれを用いた半導体用接着剤 |
Family Cites Families (2)
| Publication number | Priority date | Publication date | Assignee | Title |
|---|---|---|---|---|
| EP2797635B1 (en) * | 2011-12-30 | 2020-05-20 | University of Washington Through Its Center for Commercialization | Chromophoric polymer dots with narrow-band emission |
| US20150045560A1 (en) * | 2012-03-29 | 2015-02-12 | Corning Incorporated | Novel fused naphthalene cyclohetero ring compounds, and methods and uses thereof |
-
2018
- 2018-06-04 CN CN201880037820.4A patent/CN110741029B/zh active Active
- 2018-06-04 JP JP2019523519A patent/JP7102403B2/ja active Active
- 2018-06-04 EP EP18813058.7A patent/EP3636690A4/en not_active Withdrawn
- 2018-06-04 KR KR1020207000014A patent/KR102529488B1/ko active Active
- 2018-06-04 WO PCT/JP2018/021334 patent/WO2018225674A1/ja not_active Ceased
Patent Citations (10)
| Publication number | Priority date | Publication date | Assignee | Title |
|---|---|---|---|---|
| JP2002241426A (ja) | 2001-02-15 | 2002-08-28 | Asahi Medical Co Ltd | 医療用ポリマー及びその精製方法 |
| JP2002265519A (ja) | 2001-03-06 | 2002-09-18 | Asahi Medical Co Ltd | ポリマーの精製方法 |
| JP2008260792A (ja) | 2007-04-10 | 2008-10-30 | Konica Minolta Medical & Graphic Inc | ポリマーとその精製方法及びこれを用いる微粒子分散物、熱現像感光材料 |
| JP2009287000A (ja) | 2008-02-15 | 2009-12-10 | Mitsubishi Chemicals Corp | 共役ポリマー、有機電界発光素子材料、有機電界発光素子用組成物、ポリマーの製造方法、有機電界発光素子、有機elディスプレイ、及び有機el照明 |
| JP2009263665A (ja) | 2008-04-02 | 2009-11-12 | Mitsubishi Chemicals Corp | 高分子化合物、該高分子化合物を架橋させてなる網目状高分子化合物、有機電界発光素子用組成物、有機電界発光素子、有機elディスプレイ及び有機el照明 |
| JP2011149013A (ja) | 2009-12-25 | 2011-08-04 | Sumitomo Chemical Co Ltd | 組成物及び該組成物を用いてなる発光素子 |
| JP2013127057A (ja) | 2011-11-16 | 2013-06-27 | Sumitomo Chemical Co Ltd | 重合体、および当該重合体を用いた太陽電池用封止材 |
| JP2014001349A (ja) | 2012-06-20 | 2014-01-09 | Sumitomo Chemical Co Ltd | 組成物、高分子化合物およびそれらを用いた発光素子 |
| WO2014185079A1 (ja) | 2013-05-17 | 2014-11-20 | 三井化学株式会社 | 高分子化合物ならびにそれを用いた有機電界発光素子用材料および有機電界発光素子 |
| JP2015117271A (ja) | 2013-12-17 | 2015-06-25 | 日立化成株式会社 | 高分子の精製方法および精製された高分子とそれを用いた半導体用接着剤 |
Also Published As
| Publication number | Publication date |
|---|---|
| JPWO2018225674A1 (ja) | 2020-04-09 |
| CN110741029A (zh) | 2020-01-31 |
| KR20200016924A (ko) | 2020-02-17 |
| WO2018225674A1 (ja) | 2018-12-13 |
| KR102529488B1 (ko) | 2023-05-09 |
| CN110741029B (zh) | 2023-07-07 |
| EP3636690A4 (en) | 2021-03-24 |
| EP3636690A1 (en) | 2020-04-15 |
Similar Documents
| Publication | Publication Date | Title |
|---|---|---|
| JP6090317B2 (ja) | 高分子化合物およびそれを用いた発光素子 | |
| CN104918979B (zh) | 反应性化合物 | |
| KR20200003387A (ko) | 발광 소자 | |
| CN110483748B (zh) | 一种用于制备不饱和聚酯的联吡啶双酚-铝催化剂及制备方法 | |
| JP7102403B2 (ja) | 高分子化合物の製造方法 | |
| WO2020066510A1 (ja) | 高分子化合物及び発光素子の製造方法 | |
| WO2018016414A1 (ja) | 高分子化合物の製造方法 | |
| JPWO2015037521A1 (ja) | 高分子化合物およびそれを用いた発光素子 | |
| JP7490548B2 (ja) | 高分子化合物の製造方法 | |
| WO2008016090A1 (fr) | Procédé de production d'un composé polymère | |
| CN112020779A (zh) | 发光元件 | |
| WO2019155972A1 (ja) | 高分子化合物の製造方法 | |
| JP7067476B2 (ja) | 高分子化合物の製造方法 | |
| Tong et al. | Post-functionalization of disubstituted polyacetylenes via click chemistry | |
| JP7091030B2 (ja) | 高分子化合物の製造方法 | |
| KR20220119444A (ko) | 금속 착체 그리고 그것을 함유하는 조성물 및 발광 소자 | |
| KR102825404B1 (ko) | 화합물, 이의 제조 방법, 상기 화합물로 유래되는 단분자 및 중합체 | |
| JP7330018B2 (ja) | 高分子化合物の製造方法 | |
| JP6187120B2 (ja) | アリールアミン化合物の製造方法 | |
| CN116769159B (zh) | 一种聚芳基吡啶及其制备方法与应用 | |
| JP3762998B2 (ja) | フッ素イオン検出用剤及びその製造方法 | |
| van Breemen et al. | 1H and 13C NMR Full Assignment of a Series of Precursor Polymers Derived from the Sulfinyl Route Towards Poly (p‐phenylene vinylene) | |
| JP2011153117A (ja) | 縮環芳香族高分子およびその製造方法 | |
| JP2006077169A (ja) | 光学活性アセチレン化合物、アセチレン系重合体およびその製造方法 | |
| JP6166648B2 (ja) | アミン化合物の製造方法 |
Legal Events
| Date | Code | Title | Description |
|---|---|---|---|
| A521 | Request for written amendment filed |
Free format text: JAPANESE INTERMEDIATE CODE: A523 Effective date: 20210514 |
|
| A621 | Written request for application examination |
Free format text: JAPANESE INTERMEDIATE CODE: A621 Effective date: 20210514 |
|
| A131 | Notification of reasons for refusal |
Free format text: JAPANESE INTERMEDIATE CODE: A131 Effective date: 20220322 |
|
| A521 | Request for written amendment filed |
Free format text: JAPANESE INTERMEDIATE CODE: A523 Effective date: 20220428 |
|
| TRDD | Decision of grant or rejection written | ||
| A01 | Written decision to grant a patent or to grant a registration (utility model) |
Free format text: JAPANESE INTERMEDIATE CODE: A01 Effective date: 20220607 |
|
| A61 | First payment of annual fees (during grant procedure) |
Free format text: JAPANESE INTERMEDIATE CODE: A61 Effective date: 20220706 |
|
| R150 | Certificate of patent or registration of utility model |
Ref document number: 7102403 Country of ref document: JP Free format text: JAPANESE INTERMEDIATE CODE: R150 |
































