JP3561009B2 - 記録可能な光学要素 - Google Patents
記録可能な光学要素 Download PDFInfo
- Publication number
- JP3561009B2 JP3561009B2 JP25065994A JP25065994A JP3561009B2 JP 3561009 B2 JP3561009 B2 JP 3561009B2 JP 25065994 A JP25065994 A JP 25065994A JP 25065994 A JP25065994 A JP 25065994A JP 3561009 B2 JP3561009 B2 JP 3561009B2
- Authority
- JP
- Japan
- Prior art keywords
- carbon atoms
- group
- dye
- optical
- alkyl group
- Prior art date
- Legal status (The legal status is an assumption and is not a legal conclusion. Google has not performed a legal analysis and makes no representation as to the accuracy of the status listed.)
- Expired - Fee Related
Links
- 230000003287 optical effect Effects 0.000 title claims description 47
- 125000004432 carbon atom Chemical group C* 0.000 claims description 26
- 125000000217 alkyl group Chemical group 0.000 claims description 18
- 239000000758 substrate Substances 0.000 claims description 16
- 125000003118 aryl group Chemical group 0.000 claims description 12
- 229910052739 hydrogen Inorganic materials 0.000 claims description 11
- 239000001257 hydrogen Substances 0.000 claims description 11
- 125000005843 halogen group Chemical group 0.000 claims description 8
- 239000000126 substance Substances 0.000 claims description 8
- 125000001072 heteroaryl group Chemical group 0.000 claims description 7
- 150000002431 hydrogen Chemical group 0.000 claims description 6
- UFHFLCQGNIYNRP-UHFFFAOYSA-N Hydrogen Chemical compound [H][H] UFHFLCQGNIYNRP-UHFFFAOYSA-N 0.000 claims description 5
- 125000003178 carboxy group Chemical group [H]OC(*)=O 0.000 claims description 3
- 229910052760 oxygen Inorganic materials 0.000 claims description 3
- 125000000020 sulfo group Chemical group O=S(=O)([*])O[H] 0.000 claims description 3
- 229910052717 sulfur Inorganic materials 0.000 claims description 3
- NINIDFKCEFEMDL-UHFFFAOYSA-N Sulfur Chemical group [S] NINIDFKCEFEMDL-UHFFFAOYSA-N 0.000 claims description 2
- QVGXLLKOCUKJST-UHFFFAOYSA-N atomic oxygen Chemical group [O] QVGXLLKOCUKJST-UHFFFAOYSA-N 0.000 claims description 2
- 125000000753 cycloalkyl group Chemical group 0.000 claims description 2
- 125000006575 electron-withdrawing group Chemical group 0.000 claims description 2
- 239000001301 oxygen Substances 0.000 claims description 2
- 239000011593 sulfur Chemical group 0.000 claims description 2
- 239000000975 dye Substances 0.000 description 60
- 239000010410 layer Substances 0.000 description 28
- 239000000463 material Substances 0.000 description 22
- OKKJLVBELUTLKV-UHFFFAOYSA-N Methanol Chemical compound OC OKKJLVBELUTLKV-UHFFFAOYSA-N 0.000 description 12
- 239000002904 solvent Substances 0.000 description 11
- XLYOFNOQVPJJNP-UHFFFAOYSA-N water Substances O XLYOFNOQVPJJNP-UHFFFAOYSA-N 0.000 description 10
- 239000000243 solution Substances 0.000 description 9
- PXHVJJICTQNCMI-UHFFFAOYSA-N Nickel Chemical compound [Ni] PXHVJJICTQNCMI-UHFFFAOYSA-N 0.000 description 8
- YMWUJEATGCHHMB-UHFFFAOYSA-N Dichloromethane Chemical compound ClCCl YMWUJEATGCHHMB-UHFFFAOYSA-N 0.000 description 7
- -1 metal complex anion Chemical class 0.000 description 7
- 239000004417 polycarbonate Substances 0.000 description 7
- 229920000515 polycarbonate Polymers 0.000 description 7
- ZMXDDKWLCZADIW-UHFFFAOYSA-N N,N-Dimethylformamide Chemical compound CN(C)C=O ZMXDDKWLCZADIW-UHFFFAOYSA-N 0.000 description 6
- 230000015572 biosynthetic process Effects 0.000 description 6
- 239000011248 coating agent Substances 0.000 description 6
- 238000000576 coating method Methods 0.000 description 6
- 238000011534 incubation Methods 0.000 description 6
- 150000001450 anions Chemical class 0.000 description 5
- 230000000052 comparative effect Effects 0.000 description 5
- 229910052737 gold Inorganic materials 0.000 description 5
- 239000010931 gold Substances 0.000 description 5
- 238000000034 method Methods 0.000 description 5
- 239000000203 mixture Substances 0.000 description 5
- 239000007787 solid Substances 0.000 description 5
- 238000013112 stability test Methods 0.000 description 5
- 238000003786 synthesis reaction Methods 0.000 description 5
- ANRHNWWPFJCPAZ-UHFFFAOYSA-M thionine Chemical compound [Cl-].C1=CC(N)=CC2=[S+]C3=CC(N)=CC=C3N=C21 ANRHNWWPFJCPAZ-UHFFFAOYSA-M 0.000 description 5
- 150000001768 cations Chemical class 0.000 description 4
- PCHJSUWPFVWCPO-UHFFFAOYSA-N gold Chemical compound [Au] PCHJSUWPFVWCPO-UHFFFAOYSA-N 0.000 description 4
- 229910052751 metal Inorganic materials 0.000 description 4
- 239000002184 metal Substances 0.000 description 4
- 229910052759 nickel Inorganic materials 0.000 description 4
- 239000011241 protective layer Substances 0.000 description 4
- 238000002310 reflectometry Methods 0.000 description 4
- 150000003839 salts Chemical class 0.000 description 4
- VWDWKYIASSYTQR-UHFFFAOYSA-N sodium nitrate Chemical compound [Na+].[O-][N+]([O-])=O VWDWKYIASSYTQR-UHFFFAOYSA-N 0.000 description 4
- 238000004809 thin layer chromatography Methods 0.000 description 4
- ZWEHNKRNPOVVGH-UHFFFAOYSA-N 2-Butanone Chemical compound CCC(C)=O ZWEHNKRNPOVVGH-UHFFFAOYSA-N 0.000 description 3
- WEVYAHXRMPXWCK-UHFFFAOYSA-N Acetonitrile Chemical compound CC#N WEVYAHXRMPXWCK-UHFFFAOYSA-N 0.000 description 3
- UHOVQNZJYSORNB-UHFFFAOYSA-N Benzene Chemical compound C1=CC=CC=C1 UHOVQNZJYSORNB-UHFFFAOYSA-N 0.000 description 3
- RTZKZFJDLAIYFH-UHFFFAOYSA-N Diethyl ether Chemical compound CCOCC RTZKZFJDLAIYFH-UHFFFAOYSA-N 0.000 description 3
- KFZMGEQAYNKOFK-UHFFFAOYSA-N Isopropanol Chemical compound CC(C)O KFZMGEQAYNKOFK-UHFFFAOYSA-N 0.000 description 3
- YXFVVABEGXRONW-UHFFFAOYSA-N Toluene Chemical compound CC1=CC=CC=C1 YXFVVABEGXRONW-UHFFFAOYSA-N 0.000 description 3
- 239000011358 absorbing material Substances 0.000 description 3
- 239000000654 additive Substances 0.000 description 3
- 229910052799 carbon Inorganic materials 0.000 description 3
- 125000002091 cationic group Chemical group 0.000 description 3
- 230000000694 effects Effects 0.000 description 3
- 229930195733 hydrocarbon Natural products 0.000 description 3
- VLKZOEOYAKHREP-UHFFFAOYSA-N n-Hexane Chemical compound CCCCCC VLKZOEOYAKHREP-UHFFFAOYSA-N 0.000 description 3
- FVAUCKIRQBBSSJ-UHFFFAOYSA-M sodium iodide Chemical compound [Na+].[I-] FVAUCKIRQBBSSJ-UHFFFAOYSA-M 0.000 description 3
- 238000004528 spin coating Methods 0.000 description 3
- 125000000008 (C1-C10) alkyl group Chemical group 0.000 description 2
- QPFMBZIOSGYJDE-UHFFFAOYSA-N 1,1,2,2-tetrachloroethane Chemical compound ClC(Cl)C(Cl)Cl QPFMBZIOSGYJDE-UHFFFAOYSA-N 0.000 description 2
- NBUKAOOFKZFCGD-UHFFFAOYSA-N 2,2,3,3-tetrafluoropropan-1-ol Chemical compound OCC(F)(F)C(F)F NBUKAOOFKZFCGD-UHFFFAOYSA-N 0.000 description 2
- IAZDPXIOMUYVGZ-UHFFFAOYSA-N Dimethylsulphoxide Chemical compound CS(C)=O IAZDPXIOMUYVGZ-UHFFFAOYSA-N 0.000 description 2
- LFQSCWFLJHTTHZ-UHFFFAOYSA-N Ethanol Chemical compound CCO LFQSCWFLJHTTHZ-UHFFFAOYSA-N 0.000 description 2
- AMQJEAYHLZJPGS-UHFFFAOYSA-N N-Pentanol Chemical compound CCCCCO AMQJEAYHLZJPGS-UHFFFAOYSA-N 0.000 description 2
- 125000000129 anionic group Chemical group 0.000 description 2
- 239000000987 azo dye Substances 0.000 description 2
- 125000003917 carbamoyl group Chemical group [H]N([H])C(*)=O 0.000 description 2
- SWXVUIWOUIDPGS-UHFFFAOYSA-N diacetone alcohol Chemical compound CC(=O)CC(C)(C)O SWXVUIWOUIDPGS-UHFFFAOYSA-N 0.000 description 2
- 239000012954 diazonium Substances 0.000 description 2
- IJGRMHOSHXDMSA-UHFFFAOYSA-O diazynium Chemical compound [NH+]#N IJGRMHOSHXDMSA-UHFFFAOYSA-O 0.000 description 2
- IIEWJVIFRVWJOD-UHFFFAOYSA-N ethylcyclohexane Chemical compound CCC1CCCCC1 IIEWJVIFRVWJOD-UHFFFAOYSA-N 0.000 description 2
- 238000001914 filtration Methods 0.000 description 2
- 239000011521 glass Substances 0.000 description 2
- 238000010438 heat treatment Methods 0.000 description 2
- 150000002430 hydrocarbons Chemical class 0.000 description 2
- 238000004519 manufacturing process Methods 0.000 description 2
- 238000000465 moulding Methods 0.000 description 2
- 229910052757 nitrogen Inorganic materials 0.000 description 2
- 238000000424 optical density measurement Methods 0.000 description 2
- 238000002360 preparation method Methods 0.000 description 2
- 239000011541 reaction mixture Substances 0.000 description 2
- 239000004317 sodium nitrate Substances 0.000 description 2
- 235000010344 sodium nitrate Nutrition 0.000 description 2
- 238000012360 testing method Methods 0.000 description 2
- VDZOOKBUILJEDG-UHFFFAOYSA-M tetrabutylammonium hydroxide Chemical compound [OH-].CCCC[N+](CCCC)(CCCC)CCCC VDZOOKBUILJEDG-UHFFFAOYSA-M 0.000 description 2
- DURPTKYDGMDSBL-UHFFFAOYSA-N 1-butoxybutane Chemical compound CCCCOCCCC DURPTKYDGMDSBL-UHFFFAOYSA-N 0.000 description 1
- YQADLKDQAXAIKW-UHFFFAOYSA-N 2-amino-5-bromopyridin-3-ol Chemical compound NC1=NC=C(Br)C=C1O YQADLKDQAXAIKW-UHFFFAOYSA-N 0.000 description 1
- 125000002941 2-furyl group Chemical group O1C([*])=C([H])C([H])=C1[H] 0.000 description 1
- 125000004105 2-pyridyl group Chemical group N1=C([*])C([H])=C([H])C([H])=C1[H] 0.000 description 1
- OKTJSMMVPCPJKN-UHFFFAOYSA-N Carbon Chemical compound [C] OKTJSMMVPCPJKN-UHFFFAOYSA-N 0.000 description 1
- 239000004215 Carbon black (E152) Substances 0.000 description 1
- RYGMFSIKBFXOCR-UHFFFAOYSA-N Copper Chemical compound [Cu] RYGMFSIKBFXOCR-UHFFFAOYSA-N 0.000 description 1
- XDTMQSROBMDMFD-UHFFFAOYSA-N Cyclohexane Chemical compound C1CCCCC1 XDTMQSROBMDMFD-UHFFFAOYSA-N 0.000 description 1
- CTQNGGLPUBDAKN-UHFFFAOYSA-N O-Xylene Chemical compound CC1=CC=CC=C1C CTQNGGLPUBDAKN-UHFFFAOYSA-N 0.000 description 1
- XUIMIQQOPSSXEZ-UHFFFAOYSA-N Silicon Chemical compound [Si] XUIMIQQOPSSXEZ-UHFFFAOYSA-N 0.000 description 1
- BQCADISMDOOEFD-UHFFFAOYSA-N Silver Chemical compound [Ag] BQCADISMDOOEFD-UHFFFAOYSA-N 0.000 description 1
- VMHLLURERBWHNL-UHFFFAOYSA-M Sodium acetate Chemical compound [Na+].CC([O-])=O VMHLLURERBWHNL-UHFFFAOYSA-M 0.000 description 1
- 239000002250 absorbent Substances 0.000 description 1
- 230000002745 absorbent Effects 0.000 description 1
- MQRWBMAEBQOWAF-UHFFFAOYSA-N acetic acid;nickel Chemical compound [Ni].CC(O)=O.CC(O)=O MQRWBMAEBQOWAF-UHFFFAOYSA-N 0.000 description 1
- 150000001252 acrylic acid derivatives Chemical class 0.000 description 1
- 125000004442 acylamino group Chemical group 0.000 description 1
- 239000005456 alcohol based solvent Substances 0.000 description 1
- 150000001298 alcohols Chemical class 0.000 description 1
- 125000003545 alkoxy group Chemical group 0.000 description 1
- 125000004453 alkoxycarbonyl group Chemical group 0.000 description 1
- 125000004466 alkoxycarbonylamino group Chemical group 0.000 description 1
- 239000000956 alloy Substances 0.000 description 1
- 229910045601 alloy Inorganic materials 0.000 description 1
- 229910052782 aluminium Inorganic materials 0.000 description 1
- XAGFODPZIPBFFR-UHFFFAOYSA-N aluminium Chemical compound [Al] XAGFODPZIPBFFR-UHFFFAOYSA-N 0.000 description 1
- 125000004397 aminosulfonyl group Chemical group NS(=O)(=O)* 0.000 description 1
- 229940040526 anhydrous sodium acetate Drugs 0.000 description 1
- 239000007864 aqueous solution Substances 0.000 description 1
- 125000005161 aryl oxy carbonyl group Chemical group 0.000 description 1
- 125000004104 aryloxy group Chemical group 0.000 description 1
- 239000011230 binding agent Substances 0.000 description 1
- 238000004364 calculation method Methods 0.000 description 1
- 125000001951 carbamoylamino group Chemical group C(N)(=O)N* 0.000 description 1
- 238000006243 chemical reaction Methods 0.000 description 1
- 150000003841 chloride salts Chemical class 0.000 description 1
- 239000002131 composite material Substances 0.000 description 1
- 150000004696 coordination complex Chemical class 0.000 description 1
- 229910052802 copper Inorganic materials 0.000 description 1
- 239000010949 copper Substances 0.000 description 1
- 125000004093 cyano group Chemical group *C#N 0.000 description 1
- 239000003085 diluting agent Substances 0.000 description 1
- POLCUAVZOMRGSN-UHFFFAOYSA-N dipropyl ether Chemical compound CCCOCCC POLCUAVZOMRGSN-UHFFFAOYSA-N 0.000 description 1
- 238000001035 drying Methods 0.000 description 1
- 150000002170 ethers Chemical class 0.000 description 1
- 125000001495 ethyl group Chemical group [H]C([H])([H])C([H])([H])* 0.000 description 1
- 150000002343 gold Chemical class 0.000 description 1
- 229910052736 halogen Inorganic materials 0.000 description 1
- 150000002367 halogens Chemical class 0.000 description 1
- 125000002887 hydroxy group Chemical group [H]O* 0.000 description 1
- 238000002955 isolation Methods 0.000 description 1
- 125000001449 isopropyl group Chemical group [H]C([H])([H])C([H])(*)C([H])([H])[H] 0.000 description 1
- 150000002576 ketones Chemical class 0.000 description 1
- 239000004922 lacquer Substances 0.000 description 1
- 238000005259 measurement Methods 0.000 description 1
- 238000002844 melting Methods 0.000 description 1
- 230000008018 melting Effects 0.000 description 1
- 238000001465 metallisation Methods 0.000 description 1
- 150000002739 metals Chemical class 0.000 description 1
- 125000002496 methyl group Chemical group [H]C([H])([H])* 0.000 description 1
- 229940078494 nickel acetate Drugs 0.000 description 1
- TVMXDCGIABBOFY-UHFFFAOYSA-N octane Chemical compound CCCCCCCC TVMXDCGIABBOFY-UHFFFAOYSA-N 0.000 description 1
- 230000003647 oxidation Effects 0.000 description 1
- 238000007254 oxidation reaction Methods 0.000 description 1
- 125000001820 oxy group Chemical group [*:1]O[*:2] 0.000 description 1
- 125000001997 phenyl group Chemical group [H]C1=C([H])C([H])=C(*)C([H])=C1[H] 0.000 description 1
- 229920003229 poly(methyl methacrylate) Polymers 0.000 description 1
- 239000004926 polymethyl methacrylate Substances 0.000 description 1
- BDERNNFJNOPAEC-UHFFFAOYSA-N propan-1-ol Chemical compound CCCO BDERNNFJNOPAEC-UHFFFAOYSA-N 0.000 description 1
- 230000001681 protective effect Effects 0.000 description 1
- 238000001226 reprecipitation Methods 0.000 description 1
- 239000011347 resin Substances 0.000 description 1
- 229920005989 resin Polymers 0.000 description 1
- 229910052710 silicon Inorganic materials 0.000 description 1
- 239000010703 silicon Substances 0.000 description 1
- 229910052709 silver Inorganic materials 0.000 description 1
- 239000004332 silver Substances 0.000 description 1
- 235000009518 sodium iodide Nutrition 0.000 description 1
- 159000000000 sodium salts Chemical class 0.000 description 1
- LYPGDCWPTHTUDO-UHFFFAOYSA-M sodium;methanesulfinate Chemical compound [Na+].CS([O-])=O LYPGDCWPTHTUDO-UHFFFAOYSA-M 0.000 description 1
- 239000011877 solvent mixture Substances 0.000 description 1
- 238000009987 spinning Methods 0.000 description 1
- 238000004544 sputter deposition Methods 0.000 description 1
- 230000006641 stabilisation Effects 0.000 description 1
- 238000011105 stabilization Methods 0.000 description 1
- 239000003381 stabilizer Substances 0.000 description 1
- 239000007858 starting material Substances 0.000 description 1
- 238000003756 stirring Methods 0.000 description 1
- 125000001424 substituent group Chemical group 0.000 description 1
- 125000006296 sulfonyl amino group Chemical group [H]N(*)S(*)(=O)=O 0.000 description 1
- 239000004094 surface-active agent Substances 0.000 description 1
- 125000005031 thiocyano group Chemical group S(C#N)* 0.000 description 1
- 239000012780 transparent material Substances 0.000 description 1
- 239000008096 xylene Substances 0.000 description 1
Classifications
-
- G—PHYSICS
- G11—INFORMATION STORAGE
- G11B—INFORMATION STORAGE BASED ON RELATIVE MOVEMENT BETWEEN RECORD CARRIER AND TRANSDUCER
- G11B7/00—Recording or reproducing by optical means, e.g. recording using a thermal beam of optical radiation by modifying optical properties or the physical structure, reproducing using an optical beam at lower power by sensing optical properties; Record carriers therefor
- G11B7/24—Record carriers characterised by shape, structure or physical properties, or by the selection of the material
- G11B7/241—Record carriers characterised by shape, structure or physical properties, or by the selection of the material characterised by the selection of the material
- G11B7/242—Record carriers characterised by shape, structure or physical properties, or by the selection of the material characterised by the selection of the material of recording layers
- G11B7/244—Record carriers characterised by shape, structure or physical properties, or by the selection of the material characterised by the selection of the material of recording layers comprising organic materials only
- G11B7/249—Record carriers characterised by shape, structure or physical properties, or by the selection of the material characterised by the selection of the material of recording layers comprising organic materials only containing organometallic compounds
- G11B7/2495—Record carriers characterised by shape, structure or physical properties, or by the selection of the material characterised by the selection of the material of recording layers comprising organic materials only containing organometallic compounds as anions
-
- G—PHYSICS
- G11—INFORMATION STORAGE
- G11B—INFORMATION STORAGE BASED ON RELATIVE MOVEMENT BETWEEN RECORD CARRIER AND TRANSDUCER
- G11B7/00—Recording or reproducing by optical means, e.g. recording using a thermal beam of optical radiation by modifying optical properties or the physical structure, reproducing using an optical beam at lower power by sensing optical properties; Record carriers therefor
- G11B7/24—Record carriers characterised by shape, structure or physical properties, or by the selection of the material
- G11B7/241—Record carriers characterised by shape, structure or physical properties, or by the selection of the material characterised by the selection of the material
- G11B7/242—Record carriers characterised by shape, structure or physical properties, or by the selection of the material characterised by the selection of the material of recording layers
- G11B7/244—Record carriers characterised by shape, structure or physical properties, or by the selection of the material characterised by the selection of the material of recording layers comprising organic materials only
- G11B7/246—Record carriers characterised by shape, structure or physical properties, or by the selection of the material characterised by the selection of the material of recording layers comprising organic materials only containing dyes
-
- G—PHYSICS
- G11—INFORMATION STORAGE
- G11B—INFORMATION STORAGE BASED ON RELATIVE MOVEMENT BETWEEN RECORD CARRIER AND TRANSDUCER
- G11B7/00—Recording or reproducing by optical means, e.g. recording using a thermal beam of optical radiation by modifying optical properties or the physical structure, reproducing using an optical beam at lower power by sensing optical properties; Record carriers therefor
- G11B7/24—Record carriers characterised by shape, structure or physical properties, or by the selection of the material
- G11B7/241—Record carriers characterised by shape, structure or physical properties, or by the selection of the material characterised by the selection of the material
- G11B7/242—Record carriers characterised by shape, structure or physical properties, or by the selection of the material characterised by the selection of the material of recording layers
- G11B7/244—Record carriers characterised by shape, structure or physical properties, or by the selection of the material characterised by the selection of the material of recording layers comprising organic materials only
- G11B7/246—Record carriers characterised by shape, structure or physical properties, or by the selection of the material characterised by the selection of the material of recording layers comprising organic materials only containing dyes
- G11B7/247—Record carriers characterised by shape, structure or physical properties, or by the selection of the material characterised by the selection of the material of recording layers comprising organic materials only containing dyes methine or polymethine dyes
- G11B7/2472—Record carriers characterised by shape, structure or physical properties, or by the selection of the material characterised by the selection of the material of recording layers comprising organic materials only containing dyes methine or polymethine dyes cyanine
-
- G—PHYSICS
- G11—INFORMATION STORAGE
- G11B—INFORMATION STORAGE BASED ON RELATIVE MOVEMENT BETWEEN RECORD CARRIER AND TRANSDUCER
- G11B7/00—Recording or reproducing by optical means, e.g. recording using a thermal beam of optical radiation by modifying optical properties or the physical structure, reproducing using an optical beam at lower power by sensing optical properties; Record carriers therefor
- G11B7/24—Record carriers characterised by shape, structure or physical properties, or by the selection of the material
- G11B7/241—Record carriers characterised by shape, structure or physical properties, or by the selection of the material characterised by the selection of the material
- G11B7/242—Record carriers characterised by shape, structure or physical properties, or by the selection of the material characterised by the selection of the material of recording layers
- G11B7/244—Record carriers characterised by shape, structure or physical properties, or by the selection of the material characterised by the selection of the material of recording layers comprising organic materials only
- G11B7/246—Record carriers characterised by shape, structure or physical properties, or by the selection of the material characterised by the selection of the material of recording layers comprising organic materials only containing dyes
- G11B7/2467—Record carriers characterised by shape, structure or physical properties, or by the selection of the material characterised by the selection of the material of recording layers comprising organic materials only containing dyes azo-dyes
-
- G—PHYSICS
- G11—INFORMATION STORAGE
- G11B—INFORMATION STORAGE BASED ON RELATIVE MOVEMENT BETWEEN RECORD CARRIER AND TRANSDUCER
- G11B7/00—Recording or reproducing by optical means, e.g. recording using a thermal beam of optical radiation by modifying optical properties or the physical structure, reproducing using an optical beam at lower power by sensing optical properties; Record carriers therefor
- G11B7/24—Record carriers characterised by shape, structure or physical properties, or by the selection of the material
- G11B7/241—Record carriers characterised by shape, structure or physical properties, or by the selection of the material characterised by the selection of the material
- G11B7/252—Record carriers characterised by shape, structure or physical properties, or by the selection of the material characterised by the selection of the material of layers other than recording layers
- G11B7/253—Record carriers characterised by shape, structure or physical properties, or by the selection of the material characterised by the selection of the material of layers other than recording layers of substrates
- G11B7/2533—Record carriers characterised by shape, structure or physical properties, or by the selection of the material characterised by the selection of the material of layers other than recording layers of substrates comprising resins
- G11B7/2534—Record carriers characterised by shape, structure or physical properties, or by the selection of the material characterised by the selection of the material of layers other than recording layers of substrates comprising resins polycarbonates [PC]
-
- G—PHYSICS
- G11—INFORMATION STORAGE
- G11B—INFORMATION STORAGE BASED ON RELATIVE MOVEMENT BETWEEN RECORD CARRIER AND TRANSDUCER
- G11B7/00—Recording or reproducing by optical means, e.g. recording using a thermal beam of optical radiation by modifying optical properties or the physical structure, reproducing using an optical beam at lower power by sensing optical properties; Record carriers therefor
- G11B7/24—Record carriers characterised by shape, structure or physical properties, or by the selection of the material
- G11B7/241—Record carriers characterised by shape, structure or physical properties, or by the selection of the material characterised by the selection of the material
- G11B7/252—Record carriers characterised by shape, structure or physical properties, or by the selection of the material characterised by the selection of the material of layers other than recording layers
- G11B7/258—Record carriers characterised by shape, structure or physical properties, or by the selection of the material characterised by the selection of the material of layers other than recording layers of reflective layers
- G11B7/2595—Record carriers characterised by shape, structure or physical properties, or by the selection of the material characterised by the selection of the material of layers other than recording layers of reflective layers based on gold
-
- Y—GENERAL TAGGING OF NEW TECHNOLOGICAL DEVELOPMENTS; GENERAL TAGGING OF CROSS-SECTIONAL TECHNOLOGIES SPANNING OVER SEVERAL SECTIONS OF THE IPC; TECHNICAL SUBJECTS COVERED BY FORMER USPC CROSS-REFERENCE ART COLLECTIONS [XRACs] AND DIGESTS
- Y10—TECHNICAL SUBJECTS COVERED BY FORMER USPC
- Y10S—TECHNICAL SUBJECTS COVERED BY FORMER USPC CROSS-REFERENCE ART COLLECTIONS [XRACs] AND DIGESTS
- Y10S430/00—Radiation imagery chemistry: process, composition, or product thereof
- Y10S430/146—Laser beam
Landscapes
- Chemical & Material Sciences (AREA)
- Organic Chemistry (AREA)
- Optical Record Carriers And Manufacture Thereof (AREA)
- Thermal Transfer Or Thermal Recording In General (AREA)
- Non-Silver Salt Photosensitive Materials And Non-Silver Salt Photography (AREA)
Description
【0001】
【産業上の利用分野】
本発明は、光学記録材料に関する。この材料は、特に記録可能なコンパクトディスクを作成するのに有用である。
【0002】
【従来の技術】
多くのタイプの公知の光学記録材料が存在する。その材料の多くでは、操作方法は、記録されていない物質が高吸収性を有し、記録されている領域(しばしば、ピットと呼ばれる)は低光学的濃度もしくは高反射を有する。高反射ピットは、高吸収性記録材料を取り去り、通常下にある反射支持体を露出することにより作成される。
【0003】
情報を光学的に収納する昨今の一般的形態は、コンパクトディスク、即ち、CDである。デジタル情報は、上記光学記録材料の真反対の異なる反射裏面の、高光学密度マーク(mark)もしくはピットの形で保存される。この形式では、光学情報は、しばしば読み出し専用メモり、即ちROMの形である。光学情報は、一般的にリアルタイムでは記録されず、むしろプレス成形により生産される。典型的なプロセスでは、光学的記録基板を、再生されるデジタル情報を有するマスター(master)を用いて最初にプレス成形する。このように作られた情報を、その後反射層で上塗りし、そして光学的保護層で上塗りする。変型もしくはピットを有するこれらの領域では、光学的濃度が変型を持たない領域よりも高い。リアルタイムで記録される場合、通常の読み出しのCDにそっくりの光学的記録媒体を製造することが望ましい。読み出しは780nmである。この方法では、情報をCDに追加することができ、このCDを通常のCDプレイヤーで用いることができる。
【0004】
このタイプの最近開示されたあるシステムは、いわゆる「フォトCD」である。このシステムでは、通常の写真フィルムを先ず通常の方法で現像する。そして、そのフィルムの画像をデジタル化して、そのデジタル情報を光学記録材料上にCD読取可能な形で記録する。そして、画像をCD型プレイヤーで通常のテレビに再生することができる。CDは、典型的な市販フィルムのロールを越えるいくつかのデジタル化された画像の容量を持っているので、ユーザーが、既に画像が存在しているCDに画像を追加しようとすることが予期される。したがって、記録可能な、CDに適合する光学記録材料の要求がある。
【0005】
この方法に用いられる材料は、米国特許第4,940,618号明細書、欧州特許出願0,353,393号明細書およびカナダ国特許出願第2,005,520号明細書に記載されている。
これらの文献に記載されるタイプの商業的に有用な材料は、厳しい要件を有している。これらの要件の一つは、光安定性である。フォトCDは、消費材なので、極端な環境にも耐えることができなければならない。例えば、最初の画像を記録した時間と次の画像を記録した時間との間に、CDが強烈な日光の下に置かれるかも知れない。このためこの記録層は、極めて高い光安定性でなければならない。米国特許第4,626,496号明細書(以下、「’496号明細書」という)では、記録層が、有機色素陽イオンと金属錯体陰イオンとの「複塩」から本質的になっている光学記録媒体を記載する。この例では、陽イオン色素の大部分が、シアニン色素である。単数荷電陰イオンは、金属錯体であるが、複数荷電陰イオンの例は無く、特に複数荷電陰イオン性アゾ色素の例は無い。’496号明細書の陰イオンの主な目的は、シアニン色素を安定にすることである。屈折率調製並びに安定化を行うために陰イオンを用いる開示は無い。報告されている反射率に基づくと、これらの「複塩」は、書込み可能なCDタイプシステムには有用でないであろう。この明細書の後の比較例において、このことが示されている。
【0006】
【発明が解決しようとする課題】
従って、CDに適合し、かつ光安定であるような必要な光学特性を有する光学記録材料の要求が依然として存在する。本発明の目的は、この問題の解決に向けられている。
【0007】
【課題を解決するための手段】
本発明に従うと、透明基板並びにその基板の表面の、a)光吸収物質を含有する記録層およびb)光反射層を有する記録可能な光学要素であって、
前記光吸収物質が次式:
【0008】
【化2】
【0009】
[式中、Rは、水素、炭素数1〜20を有するアルキル、置換されたもしくは非置換の炭素数6〜10のアリールであって、
R1 は、水素もしくは炭素数1〜6のアルキル基を表わし;
R2 は、水素、炭素数1〜5のアルキル基;SO2 R”’もしくはSO2 NHR”’(ここで、R”’は炭素数1〜10のアルキル基);炭素数6〜10のアリール基もしくは炭素数5〜10のヘタリール(hetaryl)基またはハロゲン原子を表わし;
R3 は、水素、炭素数1〜4のアルキル基もしくはハロゲン原子を表わし;
R4 は、炭素数1〜10のアルキル基;SO2 R”’、SO2 NHR”’(ここで、R”’は炭素数1〜10のアルキル基);炭素数6〜10のアリール基もしくは炭素数5〜10のヘタリール基またはハロゲン原子を表わし、
R5 は、例えば、NO2 、CN、SO2 R””、SO2 NRV RVI等の電子求引性基(ここで、R””、RV もしくはRVIは、それぞれ独立して水素、炭素数1〜5のアルキルと表わすことができる);炭素数6〜10のアリール基;炭素数5〜10のヘタリール基;もしくは炭素数5〜7のシクロアルキル基を表わし、 R6 は、水素;炭素数1〜5のアルキル;もしくはハロゲン原子を表わし、
Xは、酸素、硫黄またはカルボキシル基もしくはスルホ基を表わし、そして
Dye + は、一つもしくはそれ以上の正電荷を有する任意の色素となることができる]
であることを特徴とする光学要素が提供される。
【0010】
上記構造は、四つの色素分子を有する物質を規定する。二つは、ニッケルと錯体をつくり、他の二つは、陽イオンの対イオンである。四つの色素分子を持つので、便宜上この物質を「テトラ色素」と呼ぶ。
【0011】
【具体的な態様】
本発明によると、光学記録要素は、上記のテトラ色素光吸収物質を含む色素記録層を有する。また、このテトラ色素光吸収物質の混合物並びにこれらの物質と他のクラスの色素との混合物も考えることができる。
上記の説明では、アルキルは、メチル、エチルもしくはイソプロピル等の、炭素数10までの直鎖もしくは分枝鎖の基となることができる。アリール基は、例えば、フェニル、アミノフェニルもしくはプロピオニルアミノフェニルとなることができる。ヘテロアリール基は、例えば、2−ピリジルもしくは2−フリルとなることができる。
【0012】
上記の説明では、また、種々の置換基を考えることができる。従って、前記の基は、一つ以上の、アルコキシ基、アルコキシカルボニル基、アリールオキシ基、アリールオキシカルボニル基、カルバミル基、スルファモイル基、アシルアミノ基、スルホニルアミノ基、ハロゲン、ウレイド基、ヒドロキシ基、カルバモイルオキシ基、アルコキシカルボニルアミノ基、シアノ基、チオシアノ基、カルボキシ基もしくはスルホ基等で置換されることができる。
【0013】
好ましい態様では、Dye + は、一般式:
【0014】
【化3】
【0015】
[式中、Tは、T1 と同一もしくは異なっていても良く、それぞれ、C、N、OもしくはSを表わし;
Aは、A1 と同一もしくは異なっていても良く、それぞれ、芳香環を表わし;
Bは、B1 と同一もしくは異なっていても良く、それぞれ、−O−、−S−、
【0016】
【化4】
【0017】
、−Se−、−CH=CH−、もしくは
【0018】
【化5】
【0019】
(ここで、Eは、非置換もしくは置換されたC1 〜C10のアルキル基、または非置換もしくは置換された芳香環)を表わすか、またはBは、Aと結合して芳香環を形成しても良く;
RおよびR1 は、TがCもしくはNである場合に存在し、RはR1 と同一かもしくは異なっており、そして非置換もしくは置換されたC1 〜C10のアルキル基または非置換もしくは置換された芳香環を表わし、そして
nは、1〜2の整数を表わす]
を持つシアニン色素である。
【0020】
このタイプの典型的な色素は、米国特許第4,994,343号及び同4,996,089号各明細書に記載されている。
以下の例に先だって、本発明の有用なテトラ色素光吸収物質の典型的な合成を記載する。合成の説明に続く表は、有用な具体的な物質の例を提供する。
本発明の要素は、テトラ色素光吸収物質を用いる。この光学情報記録媒体は、光透過の、典型的にプリグルーブ(pregrooved)された基板、その基板を上塗りするテトラ色素光吸収物質光吸収層、その光吸収層を上塗りする光反射層、およびその光反射層を上塗りする保護層を含んでなる。この記録プロセスは、書込まれた場合、ディスクのマークされていない領域よりも低反射率のマークを生じ、770〜800nmの間のダイオードレーザー照射を用いて読み取る。前記色素分子の置換基を、780nm光源を用いて測定した未書込みの光吸収層の複合屈折率の実数部(N)が1.8より小さくないように、そして虚数部(K)が0.3より大きくないように選択することが好ましい。
【0021】
この基板は、機械的かつ光学的要求を満足する任意の透明材料となることができる。一般的には、溝深さ20nm〜250nm、溝幅0.2〜1μm及びピッチ1〜2μmで、プリグルーブされている。好ましい材料はポリカーボネートであり、その他の材料は、ガラス、ポリメチルメタクリレートおよび適当なポリマー材料である。
【0022】
本発明の光学記録要素の製造は、適当な溶剤から透明基板上へ、テトラ色素それ自身、または他の色素(単数)もしくは色素(複数)伴って、または添加剤を伴って、テトラ色素をスピンコートすることにより達成される。コートする場合、このテトラ色素(添加剤を伴うかもしくは添加剤無し)を、色素が溶剤の100体積部に対して20重量部もしくはそれより少なくなるように、適当な溶剤に溶解する。この要素の色素記録層を、その後、減圧下で抵抗加熱もしくはスパッタ方法により金属反射層で上塗りし、最終的に保護樹脂で上塗りする。
【0023】
色素記録層の塗布溶剤を、それ等の基板への影響を最小にするように選択する。有用な溶剤は、アルコール類、エーテル類、、炭化水素類、ハロゲン化物炭化水素類、セルロソルブ類、ケトン類を包含する。溶剤の例は、メタノール、エタノール、プロパノール、ペンタノール、2,2,3,3−テトラフルオロプロパノール、テトラクロロエタン、ジクロロメタン、ジエチルエーテル、ジプロピルエーテル、ジブチルエーテル、メチルセルロソルブ、エチルセルロソルブ、1−メチル−2−プロパノール、メチルエチルケトン、4−ヒドロキシ−4−メチル−2−ペンタノン、ヘキサン、シクロヘキサン、エチルシクロヘキサン、オクタン、ベンゼン、トルエン、およびキシレンである。他のあまり望ましくない溶剤は、水およびジメチルスルホキシドを含む。好ましい溶剤は、好ましいポリカーボネート基板にほとんど影響しないという理由から、炭化水素溶剤およびアルコール溶剤である。溶剤混合物もまた用いることができる。
【0024】
記録層の有用な添加剤は、安定剤、界面活性剤、バインダーおよび希釈剤を含む。
反射層は、光学記録材料に通常用いられる任意の金属となることができる。有用な金属を、真空蒸着もしくはスパッターすることができ、金、銀、アルミニウムおよび銅ならびにそれらの合金を包含する。
【0025】
反射層を覆う保護層は、同じように、当該技術分野での通常のものである。有用な材料は、UV硬化性アクリレート類である。
ある種の好ましい保護層は、米国特許出願第815,020号(1991年12月27日出願)(KosinskiおよびAmell )明細書に記載されている。この明細書は、反射層に隣接する層がスピンコートされ、第二層がスクリーン印刷されている二層構造を開示する。
【0026】
中間層(酸化から金属層を保護する)も存在することができる。
本発明の要素は、米国特許第4,940,618号明細書に記載されるように、予め記録されているROMを有することができる。この基板の表面は、米国特許第4,990,388号明細書に記載されるように、別の熱変型性層を有することができる。記録可能なCDタイプ要素のその他の関連する特許は、米国特許第5,009,818号、同5,080,946号、同5,090,009号、同4,577,291号、同5,075,147号および同5,079,135号である。
【0027】
【実施例】
次の準備例は、本発明に有用な色素の準備を説明する。
合成
【0028】
【化6】
【0029】
2−アミノ−5−ブロモ−3−ヒドロキシ−6−(5−クロロ−2−ヒドロキシ−4−メチルスルホニル)ピリジンの合成
5−クロロ−2−ヒドロキシ−4−メチルスルホニルアニリン(20g)を、水(90ml)と濃HCl(27ml)との混合物に溶解し、この溶液を、<5℃に冷却した。硝酸ナトリウム(6.51g)の水溶液(15ml)をゆっくりと添加し、このジアゾニウム溶液を、氷浴温度で2時間攪拌した。
【0030】
2−アミノ−5−ブロモ−3−ヒドロキシピリジン(17g)を、無水酢酸ナトリウム(110g)を含有するメタノール(600ml)に溶解し、この溶液を、0℃まで冷却した。このジアゾニウム溶液を、ゆっくりとカプラー溶液に添加し、この反応混合物を室温で2時間攪拌し、その後、水で希釈し、濾過して色素を除去した。固形分を水で十分に洗浄し、50℃の真空オーブン中で乾燥した。薄層クロマトグラフィー(TLC)により生じた純粋な物質は、35gであった。
【0031】
【化7】
【0032】
2−アミノ−3−ヒドロキシ−5−メチルスルホニル−6−(5−クロロ−2−ヒドロキシ−4−メチルスルホニル)ピリジン
上記ブロモ化合物(36g)を、ジメチルホルムアミド(DMF)(700ml)に溶解し、固形のナトリウムメタンスルフィナートを添加し、この混合物を、室温で4時間攪拌した。この反応を、TLCでモニターして、出発物質が消失したところで、この溶液を硝酸ナトリウム(50g)を含有した水(1.2L)で希釈した。一晩攪拌した後、固形分を濾過して集めて、水で十分に洗浄して乾燥した。収量は、34.9gであった。
【0033】
【化8】
【0034】
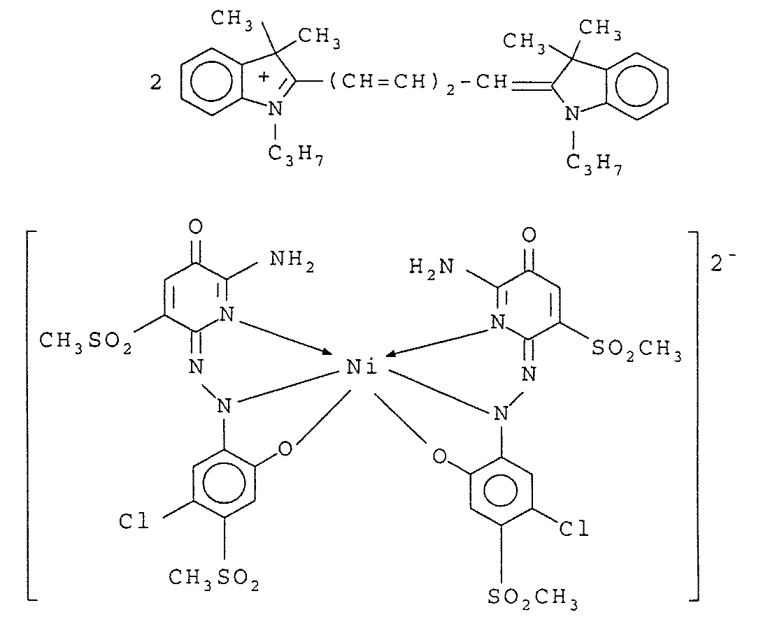
2:1の色素:ニッケル錯体のナトリウム塩の生成
二陰イオン性色素(28g)を、メタノール性テトラブチルアンモニウム水酸化物(1M、140ml)に添加し、メタノール(500ml)で希釈した。固体の酢酸ニッケルを少しづつ添加して、TLCで金属化をモニターした。7.1gを添加した後は、金属化されてない色素は無かった。この反応混合物を水(1.5L)に注ぎ、一晩攪拌した。この生成物を濾過して除き、水で洗浄し、真空オーブン中で乾燥した。ビステトラブチルアンモニウム塩は、38.1gであり、32gを、アセトニトリル(500ml)に溶解することによりビスナトリウム塩に変え、沃化ナトリウム(16g)を加え、濾過して生成物を除去した。収量は22gであった。
【0035】
【化9】
【0036】
シアニン色素および色素:ニッケル錯体からのテトラ色素の単離
塩化物塩としてのシアニン色素(4.7g)をメタノール(100ml)に溶解し、色素:ニッケル錯体(4.7g)を添加した。この混合物を攪拌して、水(100ml)で希釈した。沈澱した固形分を濾過して除き、水で洗浄し、次にイソプロピルアルコール(5ml)で洗浄した。オーブンで乾燥した後、収量は、7.3gであった。ジクロロメタンに溶解し、次に濾過し、リグロインで再沈澱させて精製した。他のテトラ色素類も同じように適当な陽イオン性色素および二陰イオン性金属化アゾ色素類から準備した。
【0037】
次の表Iのアゾ構造式を、表IIに挙げる陽イオン性色素のいくつかと組み合せた。
【0038】
【化10】
【0039】
【表1】
【0040】
【表2】
【0041】
【表3】
【0042】
【表4】
【0043】
上記の陰イオン性部分「C」を有する昨今の好ましいテトラ色素類は、次の通りである:
【0044】
【化11】
【0045】
これらの色素は、良好な光学特性および光安定性を有する。特に、色素類C2は優れた光学特性を、色素類C4は、優れた光安定性を有する。従って、これらの色素が、現在好ましいテトラ色素である。C2の合成は、上記で説明した。
【0046】
色素A1を用いる例1
この例は、テトラ色素「A1」の使用を表わす。即ち、陰イオン部分が、表Iの「A」であり、陽イオン部分が、表IIの「1」である。厚さ1.2mm、外径120mm、および内径15mmを有し、その表面に幅0.4μm、そして深さ0.08μmかつピッチ1.6μmにプリグリーブ形成された渦巻線を有するポリカーボネートディスク基板を射出成形により作成した。
【0047】
光吸収層を形成するために、色素A1の1重量部を、40体積部の2,2,3,3−テトラフルオロプロパノールに溶解し、室温で1時間攪拌した。その後、この溶液を0.2μフィルターを通して濾過した。この溶液を、スピンコートにより、基板の表面に、671nmで1.3の光学濃度まで塗布した。これを80℃で15分間乾燥した。
【0048】
そして、金反射層を抵抗加熱により、ディスクの表面全体に、約1200オングストローム(12000nm)厚さまで付着させた。
この金層を保護するため、ラッカー「Daicure SD−17 (商標)」を、スピンコートにより、金層上に7〜11μmの厚さになるまで塗布し、出力3000W/インチで15秒間、融解システム硬化を用いるH型バルブで、UV硬化した。
【0049】
このようにして、得られた光ディスクをテストするために、788nmレーザー、0.5NAレンズ、位相トラッキング、および1/2開口焦点合わせを備えた光学ヘッドからなるテストシステムを使用した。光学系は、円偏光を用いてレーザーフィードバック効果を少なくした。記録および再生を、5.6m/s回転スピードで同じレーザーを用いて実施した。読取出力は、0.6mWを維持した。12mW書込み出力で、30Kzフィルターを通して、約3.5μmマーク長さを用いて、単一周波数を記録し、788nm光で照射する光源を用いて試験した場合に、マークされていない領域よりも反射率の低いマークを形成した。マークを読み取ったとき、CNR(ノイズに対する搬送波の比)は65dBであった。
【0050】
例2〜18
例2〜18においてテストするディスクを、例1と同じ手順で同じ基板で準備した。光学濃度、CNR(dB)および記録のレーザー出力を表IIIに表わす。
【0051】
【表5】
【0052】
色素安定例
本発明に有用な色素および比較色素を、光安定性および暗安定性の両方についてテストした。
光安定性テストのために、これらの色素を、2×2インチ(5.1×5.1cm)ポリカーボネートスライド上にスピンコートした。ダイオードアレイ分光光度計を用いて波長400nm〜800nmで、スライドの両側のエッジから5mmで、光学濃度測定を行った。測定したスライドの一方の側を被覆して、このスライドを、ポリカーボネートを通して、標準50kルクス昼光露光(ANSI IT9.9−1980 「Stability Color Photographic Images 」、5章、5.6節、模擬室内間接昼光露光を記載する)のため、画像安定技術センターで16日間露光した。16日後、両側の光学濃度を再度測定した。光学濃度損失の比率を計算するため、露光前のλ−max での光学濃度から、露光後の光学濃度を引算した。得られた値を露光前の光学濃度で割り100倍した。この計算を、スライドの被覆されていない側と被覆された側との両方に関して実施した。そして、被覆されていない側から得られた値から、被覆された側から得られた値を引算し、得られた値を露光による光学濃度損失率とした。
【0053】
光安定性テスト結果
【0054】
【表6】
【0055】
暗安定性
暗安定性テストのために、これらの色素を、2×2インチ(5.1×5.1cm)ポリカーボネートスライド上にスピンコートした。ダイオードアレイ分光光度計を用いて波長400nm〜800nmで、インキュベーションの前に光学濃度測定を行った。このスライドを、上部を僅かに開けたペトリ皿に色素面を上にして、スライドを置き、温度を80℃、相対湿度を80%で設定した湿度チャンバー内で、6週間インキュベートした。そして、6週間のインキュベーション後、光学測定を行った。光学濃度損失の比率を計算するため、インキュベーション前のλ−max での光学濃度から、インキュベーション後の光学濃度を引算した。得られた値をインキュベーション前の光学濃度で割り100倍し、インキュベーションによる光学濃度損失率を得た。
【0056】
暗安定性テスト結果
【0057】
【表7】
【0058】
このように、従来技術の色素の暗安定性は、妥当であるけれども、本発明に用いる色素は、光安定性が非常に改良されている。
【0059】
’496号明細書に由来する色素を持つ比較例
’496号明細書の色素が有効でないことを確認するために、’496号明細に記載される、色素陽イオンIV−8および金属錯体陰イオンA15に相当する色素を調製した。(これは、上記光安定性テストおよび暗安定性テストに用いた色素と同じである。比較例の「A15」を、本発明のA15色素と混同すべきでない。比較例において示される「A15」は、’496号明細書のものである。)
まず、IV8−A15色素を溶解するが、ポリカーボネート基板を攻撃しない溶剤を、見つけることができなかった。次に、この物質の光学的指標を得るために、この物質を別の溶剤からシリコンウェーハに塗布することを試みたが失敗した。この塗膜は不透明になった。1,2−ジクロロメタン中2.5%溶液のこの色素を用いて、671nmで1.46の光学濃度になるまでスピンコートし、その後、120nm厚に成るまで金コートしたガラスディスクを調製した。この塗布層は、788nmでテストしたとき、僅か23.7%の反射率であった。書込みしようとしたが、11mW出力で僅か45.6dBの最大CNRであった。
【産業上の利用分野】
本発明は、光学記録材料に関する。この材料は、特に記録可能なコンパクトディスクを作成するのに有用である。
【0002】
【従来の技術】
多くのタイプの公知の光学記録材料が存在する。その材料の多くでは、操作方法は、記録されていない物質が高吸収性を有し、記録されている領域(しばしば、ピットと呼ばれる)は低光学的濃度もしくは高反射を有する。高反射ピットは、高吸収性記録材料を取り去り、通常下にある反射支持体を露出することにより作成される。
【0003】
情報を光学的に収納する昨今の一般的形態は、コンパクトディスク、即ち、CDである。デジタル情報は、上記光学記録材料の真反対の異なる反射裏面の、高光学密度マーク(mark)もしくはピットの形で保存される。この形式では、光学情報は、しばしば読み出し専用メモり、即ちROMの形である。光学情報は、一般的にリアルタイムでは記録されず、むしろプレス成形により生産される。典型的なプロセスでは、光学的記録基板を、再生されるデジタル情報を有するマスター(master)を用いて最初にプレス成形する。このように作られた情報を、その後反射層で上塗りし、そして光学的保護層で上塗りする。変型もしくはピットを有するこれらの領域では、光学的濃度が変型を持たない領域よりも高い。リアルタイムで記録される場合、通常の読み出しのCDにそっくりの光学的記録媒体を製造することが望ましい。読み出しは780nmである。この方法では、情報をCDに追加することができ、このCDを通常のCDプレイヤーで用いることができる。
【0004】
このタイプの最近開示されたあるシステムは、いわゆる「フォトCD」である。このシステムでは、通常の写真フィルムを先ず通常の方法で現像する。そして、そのフィルムの画像をデジタル化して、そのデジタル情報を光学記録材料上にCD読取可能な形で記録する。そして、画像をCD型プレイヤーで通常のテレビに再生することができる。CDは、典型的な市販フィルムのロールを越えるいくつかのデジタル化された画像の容量を持っているので、ユーザーが、既に画像が存在しているCDに画像を追加しようとすることが予期される。したがって、記録可能な、CDに適合する光学記録材料の要求がある。
【0005】
この方法に用いられる材料は、米国特許第4,940,618号明細書、欧州特許出願0,353,393号明細書およびカナダ国特許出願第2,005,520号明細書に記載されている。
これらの文献に記載されるタイプの商業的に有用な材料は、厳しい要件を有している。これらの要件の一つは、光安定性である。フォトCDは、消費材なので、極端な環境にも耐えることができなければならない。例えば、最初の画像を記録した時間と次の画像を記録した時間との間に、CDが強烈な日光の下に置かれるかも知れない。このためこの記録層は、極めて高い光安定性でなければならない。米国特許第4,626,496号明細書(以下、「’496号明細書」という)では、記録層が、有機色素陽イオンと金属錯体陰イオンとの「複塩」から本質的になっている光学記録媒体を記載する。この例では、陽イオン色素の大部分が、シアニン色素である。単数荷電陰イオンは、金属錯体であるが、複数荷電陰イオンの例は無く、特に複数荷電陰イオン性アゾ色素の例は無い。’496号明細書の陰イオンの主な目的は、シアニン色素を安定にすることである。屈折率調製並びに安定化を行うために陰イオンを用いる開示は無い。報告されている反射率に基づくと、これらの「複塩」は、書込み可能なCDタイプシステムには有用でないであろう。この明細書の後の比較例において、このことが示されている。
【0006】
【発明が解決しようとする課題】
従って、CDに適合し、かつ光安定であるような必要な光学特性を有する光学記録材料の要求が依然として存在する。本発明の目的は、この問題の解決に向けられている。
【0007】
【課題を解決するための手段】
本発明に従うと、透明基板並びにその基板の表面の、a)光吸収物質を含有する記録層およびb)光反射層を有する記録可能な光学要素であって、
前記光吸収物質が次式:
【0008】
【化2】
【0009】
[式中、Rは、水素、炭素数1〜20を有するアルキル、置換されたもしくは非置換の炭素数6〜10のアリールであって、
R1 は、水素もしくは炭素数1〜6のアルキル基を表わし;
R2 は、水素、炭素数1〜5のアルキル基;SO2 R”’もしくはSO2 NHR”’(ここで、R”’は炭素数1〜10のアルキル基);炭素数6〜10のアリール基もしくは炭素数5〜10のヘタリール(hetaryl)基またはハロゲン原子を表わし;
R3 は、水素、炭素数1〜4のアルキル基もしくはハロゲン原子を表わし;
R4 は、炭素数1〜10のアルキル基;SO2 R”’、SO2 NHR”’(ここで、R”’は炭素数1〜10のアルキル基);炭素数6〜10のアリール基もしくは炭素数5〜10のヘタリール基またはハロゲン原子を表わし、
R5 は、例えば、NO2 、CN、SO2 R””、SO2 NRV RVI等の電子求引性基(ここで、R””、RV もしくはRVIは、それぞれ独立して水素、炭素数1〜5のアルキルと表わすことができる);炭素数6〜10のアリール基;炭素数5〜10のヘタリール基;もしくは炭素数5〜7のシクロアルキル基を表わし、 R6 は、水素;炭素数1〜5のアルキル;もしくはハロゲン原子を表わし、
Xは、酸素、硫黄またはカルボキシル基もしくはスルホ基を表わし、そして
Dye + は、一つもしくはそれ以上の正電荷を有する任意の色素となることができる]
であることを特徴とする光学要素が提供される。
【0010】
上記構造は、四つの色素分子を有する物質を規定する。二つは、ニッケルと錯体をつくり、他の二つは、陽イオンの対イオンである。四つの色素分子を持つので、便宜上この物質を「テトラ色素」と呼ぶ。
【0011】
【具体的な態様】
本発明によると、光学記録要素は、上記のテトラ色素光吸収物質を含む色素記録層を有する。また、このテトラ色素光吸収物質の混合物並びにこれらの物質と他のクラスの色素との混合物も考えることができる。
上記の説明では、アルキルは、メチル、エチルもしくはイソプロピル等の、炭素数10までの直鎖もしくは分枝鎖の基となることができる。アリール基は、例えば、フェニル、アミノフェニルもしくはプロピオニルアミノフェニルとなることができる。ヘテロアリール基は、例えば、2−ピリジルもしくは2−フリルとなることができる。
【0012】
上記の説明では、また、種々の置換基を考えることができる。従って、前記の基は、一つ以上の、アルコキシ基、アルコキシカルボニル基、アリールオキシ基、アリールオキシカルボニル基、カルバミル基、スルファモイル基、アシルアミノ基、スルホニルアミノ基、ハロゲン、ウレイド基、ヒドロキシ基、カルバモイルオキシ基、アルコキシカルボニルアミノ基、シアノ基、チオシアノ基、カルボキシ基もしくはスルホ基等で置換されることができる。
【0013】
好ましい態様では、Dye + は、一般式:
【0014】
【化3】
【0015】
[式中、Tは、T1 と同一もしくは異なっていても良く、それぞれ、C、N、OもしくはSを表わし;
Aは、A1 と同一もしくは異なっていても良く、それぞれ、芳香環を表わし;
Bは、B1 と同一もしくは異なっていても良く、それぞれ、−O−、−S−、
【0016】
【化4】
【0017】
、−Se−、−CH=CH−、もしくは
【0018】
【化5】
【0019】
(ここで、Eは、非置換もしくは置換されたC1 〜C10のアルキル基、または非置換もしくは置換された芳香環)を表わすか、またはBは、Aと結合して芳香環を形成しても良く;
RおよびR1 は、TがCもしくはNである場合に存在し、RはR1 と同一かもしくは異なっており、そして非置換もしくは置換されたC1 〜C10のアルキル基または非置換もしくは置換された芳香環を表わし、そして
nは、1〜2の整数を表わす]
を持つシアニン色素である。
【0020】
このタイプの典型的な色素は、米国特許第4,994,343号及び同4,996,089号各明細書に記載されている。
以下の例に先だって、本発明の有用なテトラ色素光吸収物質の典型的な合成を記載する。合成の説明に続く表は、有用な具体的な物質の例を提供する。
本発明の要素は、テトラ色素光吸収物質を用いる。この光学情報記録媒体は、光透過の、典型的にプリグルーブ(pregrooved)された基板、その基板を上塗りするテトラ色素光吸収物質光吸収層、その光吸収層を上塗りする光反射層、およびその光反射層を上塗りする保護層を含んでなる。この記録プロセスは、書込まれた場合、ディスクのマークされていない領域よりも低反射率のマークを生じ、770〜800nmの間のダイオードレーザー照射を用いて読み取る。前記色素分子の置換基を、780nm光源を用いて測定した未書込みの光吸収層の複合屈折率の実数部(N)が1.8より小さくないように、そして虚数部(K)が0.3より大きくないように選択することが好ましい。
【0021】
この基板は、機械的かつ光学的要求を満足する任意の透明材料となることができる。一般的には、溝深さ20nm〜250nm、溝幅0.2〜1μm及びピッチ1〜2μmで、プリグルーブされている。好ましい材料はポリカーボネートであり、その他の材料は、ガラス、ポリメチルメタクリレートおよび適当なポリマー材料である。
【0022】
本発明の光学記録要素の製造は、適当な溶剤から透明基板上へ、テトラ色素それ自身、または他の色素(単数)もしくは色素(複数)伴って、または添加剤を伴って、テトラ色素をスピンコートすることにより達成される。コートする場合、このテトラ色素(添加剤を伴うかもしくは添加剤無し)を、色素が溶剤の100体積部に対して20重量部もしくはそれより少なくなるように、適当な溶剤に溶解する。この要素の色素記録層を、その後、減圧下で抵抗加熱もしくはスパッタ方法により金属反射層で上塗りし、最終的に保護樹脂で上塗りする。
【0023】
色素記録層の塗布溶剤を、それ等の基板への影響を最小にするように選択する。有用な溶剤は、アルコール類、エーテル類、、炭化水素類、ハロゲン化物炭化水素類、セルロソルブ類、ケトン類を包含する。溶剤の例は、メタノール、エタノール、プロパノール、ペンタノール、2,2,3,3−テトラフルオロプロパノール、テトラクロロエタン、ジクロロメタン、ジエチルエーテル、ジプロピルエーテル、ジブチルエーテル、メチルセルロソルブ、エチルセルロソルブ、1−メチル−2−プロパノール、メチルエチルケトン、4−ヒドロキシ−4−メチル−2−ペンタノン、ヘキサン、シクロヘキサン、エチルシクロヘキサン、オクタン、ベンゼン、トルエン、およびキシレンである。他のあまり望ましくない溶剤は、水およびジメチルスルホキシドを含む。好ましい溶剤は、好ましいポリカーボネート基板にほとんど影響しないという理由から、炭化水素溶剤およびアルコール溶剤である。溶剤混合物もまた用いることができる。
【0024】
記録層の有用な添加剤は、安定剤、界面活性剤、バインダーおよび希釈剤を含む。
反射層は、光学記録材料に通常用いられる任意の金属となることができる。有用な金属を、真空蒸着もしくはスパッターすることができ、金、銀、アルミニウムおよび銅ならびにそれらの合金を包含する。
【0025】
反射層を覆う保護層は、同じように、当該技術分野での通常のものである。有用な材料は、UV硬化性アクリレート類である。
ある種の好ましい保護層は、米国特許出願第815,020号(1991年12月27日出願)(KosinskiおよびAmell )明細書に記載されている。この明細書は、反射層に隣接する層がスピンコートされ、第二層がスクリーン印刷されている二層構造を開示する。
【0026】
中間層(酸化から金属層を保護する)も存在することができる。
本発明の要素は、米国特許第4,940,618号明細書に記載されるように、予め記録されているROMを有することができる。この基板の表面は、米国特許第4,990,388号明細書に記載されるように、別の熱変型性層を有することができる。記録可能なCDタイプ要素のその他の関連する特許は、米国特許第5,009,818号、同5,080,946号、同5,090,009号、同4,577,291号、同5,075,147号および同5,079,135号である。
【0027】
【実施例】
次の準備例は、本発明に有用な色素の準備を説明する。
合成
【0028】
【化6】
【0029】
2−アミノ−5−ブロモ−3−ヒドロキシ−6−(5−クロロ−2−ヒドロキシ−4−メチルスルホニル)ピリジンの合成
5−クロロ−2−ヒドロキシ−4−メチルスルホニルアニリン(20g)を、水(90ml)と濃HCl(27ml)との混合物に溶解し、この溶液を、<5℃に冷却した。硝酸ナトリウム(6.51g)の水溶液(15ml)をゆっくりと添加し、このジアゾニウム溶液を、氷浴温度で2時間攪拌した。
【0030】
2−アミノ−5−ブロモ−3−ヒドロキシピリジン(17g)を、無水酢酸ナトリウム(110g)を含有するメタノール(600ml)に溶解し、この溶液を、0℃まで冷却した。このジアゾニウム溶液を、ゆっくりとカプラー溶液に添加し、この反応混合物を室温で2時間攪拌し、その後、水で希釈し、濾過して色素を除去した。固形分を水で十分に洗浄し、50℃の真空オーブン中で乾燥した。薄層クロマトグラフィー(TLC)により生じた純粋な物質は、35gであった。
【0031】
【化7】
【0032】
2−アミノ−3−ヒドロキシ−5−メチルスルホニル−6−(5−クロロ−2−ヒドロキシ−4−メチルスルホニル)ピリジン
上記ブロモ化合物(36g)を、ジメチルホルムアミド(DMF)(700ml)に溶解し、固形のナトリウムメタンスルフィナートを添加し、この混合物を、室温で4時間攪拌した。この反応を、TLCでモニターして、出発物質が消失したところで、この溶液を硝酸ナトリウム(50g)を含有した水(1.2L)で希釈した。一晩攪拌した後、固形分を濾過して集めて、水で十分に洗浄して乾燥した。収量は、34.9gであった。
【0033】
【化8】
【0034】
2:1の色素:ニッケル錯体のナトリウム塩の生成
二陰イオン性色素(28g)を、メタノール性テトラブチルアンモニウム水酸化物(1M、140ml)に添加し、メタノール(500ml)で希釈した。固体の酢酸ニッケルを少しづつ添加して、TLCで金属化をモニターした。7.1gを添加した後は、金属化されてない色素は無かった。この反応混合物を水(1.5L)に注ぎ、一晩攪拌した。この生成物を濾過して除き、水で洗浄し、真空オーブン中で乾燥した。ビステトラブチルアンモニウム塩は、38.1gであり、32gを、アセトニトリル(500ml)に溶解することによりビスナトリウム塩に変え、沃化ナトリウム(16g)を加え、濾過して生成物を除去した。収量は22gであった。
【0035】
【化9】
【0036】
シアニン色素および色素:ニッケル錯体からのテトラ色素の単離
塩化物塩としてのシアニン色素(4.7g)をメタノール(100ml)に溶解し、色素:ニッケル錯体(4.7g)を添加した。この混合物を攪拌して、水(100ml)で希釈した。沈澱した固形分を濾過して除き、水で洗浄し、次にイソプロピルアルコール(5ml)で洗浄した。オーブンで乾燥した後、収量は、7.3gであった。ジクロロメタンに溶解し、次に濾過し、リグロインで再沈澱させて精製した。他のテトラ色素類も同じように適当な陽イオン性色素および二陰イオン性金属化アゾ色素類から準備した。
【0037】
次の表Iのアゾ構造式を、表IIに挙げる陽イオン性色素のいくつかと組み合せた。
【0038】
【化10】
【0039】
【表1】
【0040】
【表2】
【0041】
【表3】
【0042】
【表4】
【0043】
上記の陰イオン性部分「C」を有する昨今の好ましいテトラ色素類は、次の通りである:
【0044】
【化11】
【0045】
これらの色素は、良好な光学特性および光安定性を有する。特に、色素類C2は優れた光学特性を、色素類C4は、優れた光安定性を有する。従って、これらの色素が、現在好ましいテトラ色素である。C2の合成は、上記で説明した。
【0046】
色素A1を用いる例1
この例は、テトラ色素「A1」の使用を表わす。即ち、陰イオン部分が、表Iの「A」であり、陽イオン部分が、表IIの「1」である。厚さ1.2mm、外径120mm、および内径15mmを有し、その表面に幅0.4μm、そして深さ0.08μmかつピッチ1.6μmにプリグリーブ形成された渦巻線を有するポリカーボネートディスク基板を射出成形により作成した。
【0047】
光吸収層を形成するために、色素A1の1重量部を、40体積部の2,2,3,3−テトラフルオロプロパノールに溶解し、室温で1時間攪拌した。その後、この溶液を0.2μフィルターを通して濾過した。この溶液を、スピンコートにより、基板の表面に、671nmで1.3の光学濃度まで塗布した。これを80℃で15分間乾燥した。
【0048】
そして、金反射層を抵抗加熱により、ディスクの表面全体に、約1200オングストローム(12000nm)厚さまで付着させた。
この金層を保護するため、ラッカー「Daicure SD−17 (商標)」を、スピンコートにより、金層上に7〜11μmの厚さになるまで塗布し、出力3000W/インチで15秒間、融解システム硬化を用いるH型バルブで、UV硬化した。
【0049】
このようにして、得られた光ディスクをテストするために、788nmレーザー、0.5NAレンズ、位相トラッキング、および1/2開口焦点合わせを備えた光学ヘッドからなるテストシステムを使用した。光学系は、円偏光を用いてレーザーフィードバック効果を少なくした。記録および再生を、5.6m/s回転スピードで同じレーザーを用いて実施した。読取出力は、0.6mWを維持した。12mW書込み出力で、30Kzフィルターを通して、約3.5μmマーク長さを用いて、単一周波数を記録し、788nm光で照射する光源を用いて試験した場合に、マークされていない領域よりも反射率の低いマークを形成した。マークを読み取ったとき、CNR(ノイズに対する搬送波の比)は65dBであった。
【0050】
例2〜18
例2〜18においてテストするディスクを、例1と同じ手順で同じ基板で準備した。光学濃度、CNR(dB)および記録のレーザー出力を表IIIに表わす。
【0051】
【表5】
【0052】
色素安定例
本発明に有用な色素および比較色素を、光安定性および暗安定性の両方についてテストした。
光安定性テストのために、これらの色素を、2×2インチ(5.1×5.1cm)ポリカーボネートスライド上にスピンコートした。ダイオードアレイ分光光度計を用いて波長400nm〜800nmで、スライドの両側のエッジから5mmで、光学濃度測定を行った。測定したスライドの一方の側を被覆して、このスライドを、ポリカーボネートを通して、標準50kルクス昼光露光(ANSI IT9.9−1980 「Stability Color Photographic Images 」、5章、5.6節、模擬室内間接昼光露光を記載する)のため、画像安定技術センターで16日間露光した。16日後、両側の光学濃度を再度測定した。光学濃度損失の比率を計算するため、露光前のλ−max での光学濃度から、露光後の光学濃度を引算した。得られた値を露光前の光学濃度で割り100倍した。この計算を、スライドの被覆されていない側と被覆された側との両方に関して実施した。そして、被覆されていない側から得られた値から、被覆された側から得られた値を引算し、得られた値を露光による光学濃度損失率とした。
【0053】
光安定性テスト結果
【0054】
【表6】
【0055】
暗安定性
暗安定性テストのために、これらの色素を、2×2インチ(5.1×5.1cm)ポリカーボネートスライド上にスピンコートした。ダイオードアレイ分光光度計を用いて波長400nm〜800nmで、インキュベーションの前に光学濃度測定を行った。このスライドを、上部を僅かに開けたペトリ皿に色素面を上にして、スライドを置き、温度を80℃、相対湿度を80%で設定した湿度チャンバー内で、6週間インキュベートした。そして、6週間のインキュベーション後、光学測定を行った。光学濃度損失の比率を計算するため、インキュベーション前のλ−max での光学濃度から、インキュベーション後の光学濃度を引算した。得られた値をインキュベーション前の光学濃度で割り100倍し、インキュベーションによる光学濃度損失率を得た。
【0056】
暗安定性テスト結果
【0057】
【表7】
【0058】
このように、従来技術の色素の暗安定性は、妥当であるけれども、本発明に用いる色素は、光安定性が非常に改良されている。
【0059】
’496号明細書に由来する色素を持つ比較例
’496号明細書の色素が有効でないことを確認するために、’496号明細に記載される、色素陽イオンIV−8および金属錯体陰イオンA15に相当する色素を調製した。(これは、上記光安定性テストおよび暗安定性テストに用いた色素と同じである。比較例の「A15」を、本発明のA15色素と混同すべきでない。比較例において示される「A15」は、’496号明細書のものである。)
まず、IV8−A15色素を溶解するが、ポリカーボネート基板を攻撃しない溶剤を、見つけることができなかった。次に、この物質の光学的指標を得るために、この物質を別の溶剤からシリコンウェーハに塗布することを試みたが失敗した。この塗膜は不透明になった。1,2−ジクロロメタン中2.5%溶液のこの色素を用いて、671nmで1.46の光学濃度になるまでスピンコートし、その後、120nm厚に成るまで金コートしたガラスディスクを調製した。この塗布層は、788nmでテストしたとき、僅か23.7%の反射率であった。書込みしようとしたが、11mW出力で僅か45.6dBの最大CNRであった。
Claims (1)
- 透明基板並びにその基板の表面の、a)光吸収物質を含有する記録層およびb)光反射層を有する記録可能な光学要素であって、
前記光吸収物質が次式:
[式中、Rは、水素、炭素数1〜20を有するアルキル、置換されたもしくは非置換の炭素数6〜10のアリールであって、
R1 は、水素もしくは炭素数1〜6のアルキル基を表わし;
R2 は、水素、炭素数1〜5のアルキル基;SO2 R”’もしくはSO2 NHR”’(ここで、R”’は炭素数1〜10のアルキル基);炭素数6〜10のアリール基もしくは炭素数5〜10のヘタリール基またはハロゲン原子を表わし;
R3 は、水素、炭素数1〜4のアルキル基もしくはハロゲン原子を表わし;
R4 は、炭素数1〜10のアルキル基;SO2 R”’、SO2 NHR”’(ここで、R”’は炭素数1〜10のアルキル基);炭素数6〜10のアリール基もしくは炭素数5〜10のヘタリール基またはハロゲン原子を表わし、
R5 は、電子求引性基;炭素数6〜10のアリール基;炭素数5〜10のヘタリール基;もしくは炭素数5〜7のシクロアルキル基を表わし、
R6 は、水素;炭素数1〜5のアルキル;もしくはハロゲン原子を表わし、
Xは、酸素、硫黄またはカルボキシル基もしくはスルホ基を表わし、そして
Dye + は、一つもしくはそれ以上の正電荷を有する任意の色素となることができる]
であることを特徴とする光学要素。
Applications Claiming Priority (2)
| Application Number | Priority Date | Filing Date | Title |
|---|---|---|---|
| US137331 | 1993-10-18 | ||
| US08/137,331 US5426015A (en) | 1993-10-18 | 1993-10-18 | Metallized azo dianion with two cationic dye counter ions for optical information recording medium |
Publications (2)
| Publication Number | Publication Date |
|---|---|
| JPH07175166A JPH07175166A (ja) | 1995-07-14 |
| JP3561009B2 true JP3561009B2 (ja) | 2004-09-02 |
Family
ID=22476905
Family Applications (1)
| Application Number | Title | Priority Date | Filing Date |
|---|---|---|---|
| JP25065994A Expired - Fee Related JP3561009B2 (ja) | 1993-10-18 | 1994-10-17 | 記録可能な光学要素 |
Country Status (4)
| Country | Link |
|---|---|
| US (1) | US5426015A (ja) |
| EP (1) | EP0649133B1 (ja) |
| JP (1) | JP3561009B2 (ja) |
| DE (1) | DE69422132T2 (ja) |
Families Citing this family (23)
| Publication number | Priority date | Publication date | Assignee | Title |
|---|---|---|---|---|
| JPH07186547A (ja) * | 1993-10-21 | 1995-07-25 | Eastman Kodak Co | 光学記録層用色素混合物 |
| KR100285541B1 (en) * | 1994-09-30 | 2001-01-04 | Samsung Electronics Co Ltd | Method for manufacturing organic optical cd-recordable disc |
| EP0805441B1 (de) * | 1996-05-03 | 2003-10-08 | Ciba SC Holding AG | Optische Speichermedien mit hoher Kapazität, die Xanthenfarbstoffe enthalten |
| US5773193A (en) * | 1996-10-16 | 1998-06-30 | Eastman Kodak Company | Optical recording layers containing no k metallized formazan dyes mixed with symmetrical and unsymmetrical cyanine dyes |
| US6361922B1 (en) * | 1996-10-16 | 2002-03-26 | Eastman Kodak Company | Thicker optical recording layers comprising a tetra dye having a metallized azo dianionic dye with cationic dye counterions |
| US5922504A (en) * | 1996-10-16 | 1999-07-13 | Eastman Kodak Company | Optical recording elements having recording layers containing mixtures of no k metallized formazan and cyanine dyes |
| US5876821A (en) * | 1996-10-16 | 1999-03-02 | Eastman Kodak Company | Tetra dye mixed with another dye or dyes for optical recording elements |
| US5731054A (en) * | 1996-10-16 | 1998-03-24 | Eastman Kodak Company | Mixtures of low K metallized formazan dyes with symmetrical and unsymmetrical cyanine dyes |
| US5922429A (en) * | 1996-10-16 | 1999-07-13 | Eastman Kodak Company | Optical recording elements having recording layers containing mixtures of low k metallized formazan and cyanine dyes |
| WO1998028737A1 (en) * | 1996-12-20 | 1998-07-02 | Ciba Specialty Chemicals Holding Inc. | Complex polymethine dyes and their use |
| US5821346A (en) * | 1997-06-25 | 1998-10-13 | Eastman Kodak Company | Metallized carbamoylazo dyes |
| US5786124A (en) * | 1997-06-25 | 1998-07-28 | Eastman Kodak Company | Optical recording elements containing metallized carbamoylazo dyes |
| US5821029A (en) * | 1997-06-25 | 1998-10-13 | Eastman Kodak Company | Optical recording elements containing mixtures of metallized carbamoylazo and cyanine dyes |
| US6270943B1 (en) | 1998-02-20 | 2001-08-07 | Eastman Kodak Company | Optical recording elements comprising novel metallized azo ether dyes |
| US6582881B1 (en) | 1998-02-20 | 2003-06-24 | Eastman Kodak Company | Optical recording elements containing mixture of metallized azo ether and cyanine dyes |
| US6447981B1 (en) | 1998-05-26 | 2002-09-10 | Eastman Kodak Company | Metallized azo thioether dyes |
| US20050123804A1 (en) * | 2002-01-25 | 2005-06-09 | Leonhard Feiler | Optical recording materials having high storage density |
| ES2279997T3 (es) | 2004-07-29 | 2007-09-01 | Clariant Finance (Bvi) Limited | Ligandos azoicos a base de aminoantipirinas y sus complejos metalicos de utilidad como medios de registro optico. |
| JP2008510052A (ja) * | 2004-08-16 | 2008-04-03 | チバ スペシャルティ ケミカルズ ホールディング インコーポレーテッド | 大容量光学記憶媒体 |
| TW200702396A (en) * | 2005-04-07 | 2007-01-16 | Clariant Int Ltd | Basic yellow dyes as dye component for optical data recording media |
| US20100047509A1 (en) * | 2008-07-30 | 2010-02-25 | Industrial Technology Research Institute | Organic dye compound and high density optical recording medium including the same |
| US20100291706A1 (en) * | 2009-05-15 | 2010-11-18 | Millipore Corporation | Dye conjugates and methods of use |
| WO2013075285A1 (zh) * | 2011-11-22 | 2013-05-30 | 大连理工大学 | 一类双苄基五甲川菁荧光染料、其制备方法及应用 |
Family Cites Families (17)
| Publication number | Priority date | Publication date | Assignee | Title |
|---|---|---|---|---|
| JPS5978341A (ja) * | 1982-10-28 | 1984-05-07 | Ricoh Co Ltd | 光学的情報記録媒体 |
| US5219707A (en) * | 1983-01-12 | 1993-06-15 | Tdk Corporation | Photostable cyanine dye and optical recording medium |
| JPS6044389A (ja) * | 1983-08-23 | 1985-03-09 | Tdk Corp | 光記録媒体 |
| JPS60205840A (ja) * | 1984-03-30 | 1985-10-17 | Tdk Corp | 光記録媒体 |
| US4626496A (en) * | 1984-06-19 | 1986-12-02 | Ricoh Co., Ltd. | Optical information recording medium |
| DE3529061A1 (de) * | 1984-08-13 | 1986-02-13 | Ricoh Co., Ltd., Tokio/Tokyo | Optisches informationsaufzeichnungsmaterial |
| US4735839A (en) * | 1985-07-10 | 1988-04-05 | Ricoh Co., Ltd. | Optical information recording medium |
| US4756987A (en) * | 1985-11-27 | 1988-07-12 | Mitsubishi Chemical Industries Limited | Optical recording medium |
| US5178995A (en) * | 1986-09-18 | 1993-01-12 | Canon Kabushiki Kaisha | Optical information recording medium |
| EP0264198B1 (en) * | 1986-09-18 | 1993-03-03 | Canon Kabushiki Kaisha | Optical information recording medium |
| JPH0798421B2 (ja) * | 1987-06-09 | 1995-10-25 | 富士写真フイルム株式会社 | 光情報記録媒体 |
| KR0171182B1 (ko) * | 1988-07-18 | 1999-04-15 | 와따나베 히로시 | 정보기록메체 및 그 제조방법 |
| US4940618A (en) * | 1988-07-30 | 1990-07-10 | Taiyo Yuden Company, Ltd. | Optical information recording medium |
| US5090009A (en) * | 1988-07-30 | 1992-02-18 | Taiyo Yuden Co., Ltd. | Optical information recording medium |
| DE68928559T2 (de) * | 1988-12-15 | 1998-06-18 | Mitsui Toatsu Chemicals | Absorbiermittel im nahen Infrarot und Anzeige-/Aufzeichnungsmaterialien, die daraus hergestellt sind |
| CA2063579A1 (en) * | 1990-05-25 | 1991-11-26 | Mitsubishi Chemical Corporation | Dye-incorporated composition and optical recording medium |
| US5272047A (en) * | 1992-06-26 | 1993-12-21 | Eastman Kodak Company | Optical information recording medium using azo dyes |
-
1993
- 1993-10-18 US US08/137,331 patent/US5426015A/en not_active Expired - Fee Related
-
1994
- 1994-10-17 EP EP94116328A patent/EP0649133B1/en not_active Expired - Lifetime
- 1994-10-17 JP JP25065994A patent/JP3561009B2/ja not_active Expired - Fee Related
- 1994-10-17 DE DE69422132T patent/DE69422132T2/de not_active Expired - Fee Related
Also Published As
| Publication number | Publication date |
|---|---|
| EP0649133A1 (en) | 1995-04-19 |
| DE69422132D1 (de) | 2000-01-20 |
| JPH07175166A (ja) | 1995-07-14 |
| DE69422132T2 (de) | 2000-05-25 |
| EP0649133B1 (en) | 1999-12-15 |
| US5426015A (en) | 1995-06-20 |
Similar Documents
| Publication | Publication Date | Title |
|---|---|---|
| JP3561009B2 (ja) | 記録可能な光学要素 | |
| US5500325A (en) | Dye mixtures for optical recording layers | |
| KR100370405B1 (ko) | 헤미시아닌 색소 및 이를 이용한 광기록매체 | |
| US5272047A (en) | Optical information recording medium using azo dyes | |
| US5294471A (en) | Optical information recording medium using metallized formazan dyes | |
| JP3441410B2 (ja) | 光記録媒体 | |
| KR20030083593A (ko) | 신규한 인돌스티릴 화합물 및 고밀도 레코딩 매체에서의이들의 용도 | |
| US5876821A (en) | Tetra dye mixed with another dye or dyes for optical recording elements | |
| EP0649880B1 (en) | Metallized azo-ether dyes for optical recording layers | |
| JPH10151863A (ja) | 光学記録要素 | |
| US5356685A (en) | Recordable optical element having a leuco dye | |
| EP0937751A1 (en) | Metallized azo ether dyes and optical recording elements comprising the same | |
| JPH10172178A (ja) | 光学記録要素 | |
| JPH11328723A (ja) | 光学記録素子 | |
| JPH11102537A (ja) | 光学記録素子 | |
| US6165683A (en) | Metallized azo-ether dyes for optical recording layers | |
| JP3879166B2 (ja) | 金属キレートアゾメチン化合物及びこれを用いた光学的記録媒体 | |
| JPH1134497A (ja) | 光記録媒体 | |
| EP0961266A2 (en) | Optical recording element containing mixtures of metallized azo thioether and cyanine dyes | |
| US6447981B1 (en) | Metallized azo thioether dyes | |
| JPH11170695A (ja) | 光学記録材料 | |
| JPH09208560A (ja) | 光学記録材料 | |
| JPH10130518A (ja) | ニッケルホルマザン系色素の混合物 | |
| JP2597517B2 (ja) | 情報記録媒体 | |
| JPH11321098A (ja) | 光記録媒体 |
Legal Events
| Date | Code | Title | Description |
|---|---|---|---|
| TRDD | Decision of grant or rejection written | ||
| A01 | Written decision to grant a patent or to grant a registration (utility model) |
Free format text: JAPANESE INTERMEDIATE CODE: A01 Effective date: 20040427 |
|
| A61 | First payment of annual fees (during grant procedure) |
Free format text: JAPANESE INTERMEDIATE CODE: A61 Effective date: 20040527 |
|
| R150 | Certificate of patent or registration of utility model |
Free format text: JAPANESE INTERMEDIATE CODE: R150 |
|
| LAPS | Cancellation because of no payment of annual fees |
