JP2011069806A - 回転角検出装置 - Google Patents
回転角検出装置 Download PDFInfo
- Publication number
- JP2011069806A JP2011069806A JP2010094061A JP2010094061A JP2011069806A JP 2011069806 A JP2011069806 A JP 2011069806A JP 2010094061 A JP2010094061 A JP 2010094061A JP 2010094061 A JP2010094061 A JP 2010094061A JP 2011069806 A JP2011069806 A JP 2011069806A
- Authority
- JP
- Japan
- Prior art keywords
- rotation angle
- phase difference
- signal
- output signal
- sine wave
- Prior art date
- Legal status (The legal status is an assumption and is not a legal conclusion. Google has not performed a legal analysis and makes no representation as to the accuracy of the status listed.)
- Granted
Links
Images
Classifications
-
- G—PHYSICS
- G01—MEASURING; TESTING
- G01D—MEASURING NOT SPECIALLY ADAPTED FOR A SPECIFIC VARIABLE; ARRANGEMENTS FOR MEASURING TWO OR MORE VARIABLES NOT COVERED IN A SINGLE OTHER SUBCLASS; TARIFF METERING APPARATUS; MEASURING OR TESTING NOT OTHERWISE PROVIDED FOR
- G01D5/00—Mechanical means for transferring the output of a sensing member; Means for converting the output of a sensing member to another variable where the form or nature of the sensing member does not constrain the means for converting; Transducers not specially adapted for a specific variable
- G01D5/12—Mechanical means for transferring the output of a sensing member; Means for converting the output of a sensing member to another variable where the form or nature of the sensing member does not constrain the means for converting; Transducers not specially adapted for a specific variable using electric or magnetic means
- G01D5/244—Mechanical means for transferring the output of a sensing member; Means for converting the output of a sensing member to another variable where the form or nature of the sensing member does not constrain the means for converting; Transducers not specially adapted for a specific variable using electric or magnetic means influencing characteristics of pulses or pulse trains; generating pulses or pulse trains
- G01D5/24471—Error correction
- G01D5/2448—Correction of gain, threshold, offset or phase control
Landscapes
- Physics & Mathematics (AREA)
- General Physics & Mathematics (AREA)
- Transmission And Conversion Of Sensor Element Output (AREA)
- Measurement Of Length, Angles, Or The Like Using Electric Or Magnetic Means (AREA)
Abstract
【解決手段】第1の磁気センサ11からは、V1=sinθの出力信号が出力され、第2の磁気センサ12からは、V2=cos(θ+α)の出力信号が出力される。回転角演算装置20の出力信号補正部22は、磁気センサ11,12の配置位相差(90°+α)が目標位相差90°となるよう一方の磁気センサ12の出力信号V2を出力信号V2’(=cosθ)に補正する。回転角演算部23は、補正された信号V2’(=cosθ)と、他方の出力信号V1(=sinθ)とに基づいて、ロータ1の回転角θを演算する。
【選択図】図1
Description
θ=tan−1(sinθ/cosθ)
=tan−1(V1/V2)…(1)
また、この発明の目的は、2つのセンサの相対的な配置を任意に決定することが可能となる回転角検出装置を提供することである。
請求項5記載の発明は、前記配置位相差は、前記目標位相差より小さい、請求項3または4に記載の回転角検出装置である。請求項5記載の発明によれば、2つのセンサを実装するための基板を小さくすることが可能となる。たとえば、目標位相差が90°である場合には、配置位相差を90°より小さくできる。この場合には、2つのセンサ間の角度間隔を90°より小さい角度間隔にできるので、2つのセンサ間の角度間隔が90°である場合に比べて、2つのセンサを実装するための基板を小さくできる。
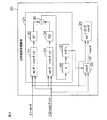
図1は、この発明の第1の実施形態に係る回転角検出装置の構成を示す模式図である。
この回転角検出装置は、たとえば、電動パワーステアリングのブラシレスモータのロータの回転角を検出するために用いることができる。回転角検出装置は、たとえば、ブラシレスモータの回転に応じて回転する検出用ロータ1を有している。ロータ1は、複数の磁極対を有する円筒状の磁石を含んでいる。この例では、磁石は、1対の磁極対を有している。つまり、磁石は、等間隔に配置された2つの磁極N,Sを有している。
両磁気センサ11,12は、ロータ1の回転中心軸を中心として、予め設定された所定の位相差(以下、「目標位相差」という)に対応する角度間隔をおいて配置されることが好ましい。この実施形態では、目標位相差は90°に設定されている。しかし、実際には、製造誤差等により、両磁気センサ11,12間の角度間隔は、目標位相差に対応する角度間隔とならない場合がある。この実施形態では、両磁気センサ11,12間の実際の角度間隔が、製造誤差等により、目標位相差に対応した90°ではなく、(90°+α)となっているものとする。αは、目標位相差に対する位相差誤差である。両磁気センサ11,12間の実際の角度間隔に対応した位相差(この例では、(90°+α))を、配置位相差ということにする。各位相差は、電気角である。
位相差誤差演算部21は、信号和演算部31と、第1の振幅演算部32と、信号差演算部33と、第2の振幅演算部34と、振幅差演算部35と、誤差演算部36と、メモリ37とを含んでいる。
信号和演算部31は、2つの磁気センサ11,12の出力信号V1,V2の和を演算する。出力信号V1,V2の和に相当する信号(以下、「和信号」という)は、次式(2)で表される。
前記式(7)において、Kは比例定数である。この比例定数Kは、図3に示すサインカーブのうち、横軸の値が−(π/6)/2〜(π/6)/2である範囲内の部分を直線とみなした場合に、その直線の傾きy/xに相当する。したがって、比例定数Kは、次式(8)で表される。
出力信号補正部22は、次式(11)に基づいて、出力信号V2(=cos(θ+α))を補正することにより、位相差誤差αが補正された信号V2’(=cosθ)を得る。つまり、出力信号補正部22は、出力信号V1(=sinθ)と、出力信号V2(=cos(θ+α))と、sinαと、cosαとから、補正された信号V2’(=cosθ)を求める。なお、式(11)は、cos(θ+α)を三角関数の加法定理により展開した式に基づいて、導出することができる。
θ=tan−1(sinθ/cosθ)
=tan−1(V1/V2’)…(12)
なお、回転角演算部23は、式(12)を用いる方法とは異なる方法を用いて、信号V2’(=cosθ)および出力信号V1(=sinθ)から回転角θを求めるようにしてもよい。たとえば、特開2001-264114号公報に開示されている方法を用いて、信号V2’(=cosθ)および出力信号V1(=sinθ)から回転角θを求めるようにしてもよい。
回転角演算処理は、所定の演算周期毎に繰り返し行なわれる。まず、回転角演算装置20は、磁気センサ11,12の出力信号V1(=sinθ),V2(=cos(θ+α))を取り込む(ステップS1)。そして、回転角演算装置20の出力信号補正部22は、ステップS1で取り込まれた出力信号V1,V2とメモリに格納されている位相差誤差αとを用い、前記式(11)に基づいて、第2の出力信号V2を補正する(ステップS2)。これにより、位相差誤差αが補正された信号V2’(=cosθ)が得られる。
前記第1の実施形態によれば、2つの磁気センサ11,12間の角度間隔(両センサ11,12の相対的な配置)に誤差がある場合でも、正確な回転角θを検出することができるようになる。
図5は、この発明の第2の実施形態に係る回転角検出装置の構成を示す模式図である。
V2=sin(θ+φ)=sinθ・cosφ+cosθ・sinφ…(13)
この式(13)を変形することにより、信号V2を信号V2’に補正するための式(14)が得られる。
θ=tan−1(sinθ/cosθ)=tan−1(V1/V2’)…(15)
なお、回転角演算部42は、式(15)を用いる方法とは異なる方法で、信号V2’(=cosθ)および出力信号V1(=sinθ)から回転角θを求めるようにしてもよい。たとえば、特開2001-264114号公報参照に開示されている方法を用いて、信号V2’(=cosθ)および出力信号V1(=sinθ)から回転角θを求めるようにしてもよい。
回転角演算処理は、所定の演算周期毎に繰り返し行なわれる。まず、回転角演算装置40は、磁気センサ11,12の出力信号V1(=sinθ),V2(=sin(θ+φ))を取り込む(ステップS11)。そして、回転角演算装置40の出力信号補正部41は、ステップS11で取り込まれた出力信号V1,V2と、メモリに格納されている“配置位相差φ”または“sinφおよびcosφ”の値を用い、前記式(14)に基づいて、第2の出力信号V2を補正する(ステップS12)。これにより、出力信号V1に対する位相差が90°(目標位相差)となる補正信号V2’(=cosθ)が得られる。
前記第2の実施形態によれば、2つの磁気センサ11,12の出力信号V1,V2の配置位相差にかかわらず、それらの信号のうちの一方の出力信号を、それらの信号間の位相差がロータ1の回転角θを演算するのに適した目標位相差(たとえば90°)となるように、補正することができる。このため、2つの磁気センサ11,12の出力信号V1,V2の配置位相差にかかわらず、ロータ1の回転角θを演算することが可能となるので、2つの磁気センサ11,12間の角度間隔(両センサ11,12の相対的な配置)を任意に決定することができるようになる。
sin(θ+φ+α)=sinθ・cos(φ+α)+cosθ・sin(φ+α)…(21)
この式(21)を変形すると、次式(22)が得られる。
図7は、この発明の第3の実施形態に係る回転角検出装置の構成を示す模式図である。
ロータ1は、2つの磁極N,Sを有する磁石を含んでいる。ロータ1の周囲には、第1の磁気センサ11及び第2の磁気センサ12が、ロータ1の回転中心軸を中心として所定の角度間隔φをおいてそれぞれ第1の位置及び第2の位置に配置されている。この角度間隔φは、任意の角度に設定することができる。この実施形態では、両磁気センサ11,12間の角度間隔φは、90度より小さい角度間隔に設定されている。両磁気センサ11,12は、図7に鎖線で示す基板33上に実装されている。
V2=sin(θ+φ)=sinθ・cosφ+cosθ・sinφ…(23)
この式(23)を変形することにより、信号V2を信号V2’に補正するための式(24)が得られる。
θ=tan−1(sinθ/cosθ)=tan−1(V1/V2’)…(25)
なお、回転角演算部62は、式(25)を用いる方法とは異なる方法で、信号V2’(=cosθ)および出力信号V1(=sinθ)から回転角θを求めるようにしてもよい。たとえば、特開2001-264114号公報参照に開示されている方法を用いて、信号V2’(=cosθ)および出力信号V1(=sinθ)から回転角θを求めるようにしてもよい。
図8の処理は、第1の磁気センサ11の出力信号V1(=sinθ)が零に固定されているか否かを判定するために行なわれる。第1の磁気センサ11の出力信号V1が零に固定された場合には、出力信号補正部61によって演算される信号V2’(cosθに相当する信号)は、前記式(24)にV1=0を代入することにより、V2’=V2/sinφとなる。したがって、出力信号補正部61によって演算される信号V2’が演算値(V2/sinφ)と等しいか否かを所定時間(第2の演算周期)毎に判別し、V2’=V2/sinφの状態が所定回数以上継続する場合には、第1の磁気センサ11に故障が発生したと判定することができる。
図8に戻り、第1のV1異常監視部71は、今演算周期で取り込まれた第2の磁気センサ12の出力信号V2が、sinφおよび−sinφのいずれの値にも一致しないか否かを判別する(ステップS1)。第2の磁気センサ12の出力信号V2が、sinφまたは−sinφの値と一致した場合には(ステップS1:NO)、第1のV1異常監視部71は、今演算周期での処理を終了する。
ステップS5では、第1のV1異常監視部71は、第1カウント値cnt1が所定のしきい値A以上であるか否かを判別する。第1カウント値cnt1がしきい値A未満である場合には(ステップS5:NO)、第1のV1異常監視部71は、今演算周期での処理を終了する。一方、第1カウント値cnt1がしきい値A以上であると判別された場合には(ステップS5:YES)、第1のV1異常監視部71は、第1の磁気センサ11に故障が発生したことを検知し、図示しないブラシレスモータのモータ制御装置にモータ停止指令を出力する(ステップS6)。また、第1のV1異常監視部71は、全ての異常監視部71〜74の動作を停止させる(ステップS7)。モータ制御装置は、第1のV1異常監視部71からのモータ停止指令を受信すると、ブラシレスモータの駆動を停止させる。
図9の処理は、第2の磁気センサ12の出力信号V2(=sin(θ+φ))が零に固定されているか否かを判定するために行なわれる。第2の磁気センサ12の出力信号V2が零に固定された場合には、出力信号補正部61によって演算される信号V2’(cosθに相当する信号)は、前記式(24)にV2=0を代入することにより、V2’=−V1・cosφ/sinφとなる。したがって、信号V2’が演算値(−V1・cosφ/sinφ)と等しいか否かを所定時間(第2の演算周期)毎に判別し、V2’=−V1・cosφ/sinφの状態が所定回数以上継続する場合には、第2の磁気センサ12に故障が発生したと判定することができる。
ステップS15では、第1のV2異常監視部72は、第2カウント値cnt2が所定のしきい値A以上であるか否かを判別する。第2カウント値cnt2がしきい値A未満である場合には(ステップS15:NO)、第1のV2異常監視部72は、今演算周期での処理を終了する。一方、第2カウント値cnt2がしきい値A以上であると判別された場合には(ステップS15:YES)、第1のV2異常監視部72は、第2の磁気センサ12に故障が発生したことを検知し、図示しないブラシレスモータのモータ制御装置にモータ停止指令を出力する(ステップS16)。また、第1のV2異常監視部72は、全ての異常監視部71〜74の動作を停止させる(ステップS17)。モータ制御装置は、第1のV2異常監視部72からのモータ停止指令を受信すると、ブラシレスモータの駆動を停止させる。
図10の処理は、第1の磁気センサ11の出力信号V1(=sinθ)が1(上限値)または−1(下限値)に固定されているか否かを判定するために行なわれる。第1の磁気センサ11の出力信号V1が1に固定された場合には、出力信号補正部61によって演算される信号V2’(cosθに相当する信号)は、前記式(24)にV1=1を代入することにより、V2’=(V2−cosφ)/sinφとなる。また、第1の磁気センサ11の出力信号V1が−1に固定された場合には、出力信号補正部61によって演算される信号V2’(cosθに相当する信号)は、前記式(24)にV1=−1を代入することにより、V2’=(V2+cosφ)/sinφとなる。したがって、信号V2’が演算値{(V2−cosφ)/sinφ}または{(V2+cosφ)/sinφ}と等しいか否かを所定時間(第2の演算周期)毎に判別し、V2’=(V2−cosφ)/sinφまたはV2’=(V2+cosφ)/sinφの状態が所定回数以上継続する場合には、第1の磁気センサ11に故障が発生したと判定することができる。
ステップS25では、第2のV1異常監視部73は、第3カウント値cnt3が所定のしきい値A以上であるか否かを判別する。第3カウント値cnt3がしきい値A未満である場合には(ステップS25:NO)、第2のV1異常監視部73は、今演算周期での処理を終了する。一方、第3カウント値cnt3がしきい値A以上であると判別された場合には(ステップS25:YES)、第2のV1異常監視部73は、第1の磁気センサ11に故障が発生したことを検知し、図示しないブラシレスモータのモータ制御装置にモータ停止指令を出力する(ステップS26)。また、第2のV1異常監視部73は、全ての異常監視部71〜74の動作を停止させる(ステップS27)。モータ制御装置は、第2のV1異常監視部73からのモータ停止指令を受信すると、ブラシレスモータの駆動を停止させる。
図11の処理は、第2の磁気センサ12の出力信号V1(=sin(θ+φ))が1(上限値)または−1(下限値)に固定されているか否かを判定するために行なわれる。第2の磁気センサ12の出力信号V2が1に固定された場合には、出力信号補正部61によって演算される信号V2’(cosθに相当する信号)は、前記式(24)にV2=1を代入することにより、V2’=−(V1・cosφ−1)/sinφとなる。また、第2の磁気センサ12の出力信号V2が−1に固定された場合には、出力信号補正部61によって演算される信号V2’(cosθに相当する信号)は、前記式(24)にV2=−1を代入することにより、V2’=−(V1・cosφ+1)/sinφとなる。したがって、信号V2’が演算値{−(V1・cosφ−1)/sinφ}または{−(V1・cosφ+1)/sinφ}と等しいか否かを所定時間(第2の演算周期)毎に判別し、V2’=−(V1・cosφ−1)/sinφまたはV2’=−(V1・cosφ+1)/sinφの状態が所定回数以上継続する場合には、第2の磁気センサ12に故障が発生したと判定することができる。
ステップS35では、第2のV2異常監視部74は、第4カウント値cnt4が所定のしきい値A以上であるか否かを判別する。第4カウント値cnt4がしきい値A未満である場合には(ステップS35:NO)、第2のV2異常監視部74は、今演算周期での処理を終了する。一方、第4カウント値cnt4がしきい値A以上であると判別された場合には(ステップS35:YES)、第2のV2異常監視部74は、第2の磁気センサ12に故障が発生したことを検知し、図示しないブラシレスモータのモータ制御装置にモータ停止指令を出力する(ステップS36)。また、第2のV2異常監視部74は、全ての異常監視部71〜74の動作を停止させる(ステップS37)。モータ制御装置は、第2のV2異常監視部74からのモータ停止指令を受信すると、ブラシレスモータの駆動を停止させる。
以上、この発明をブラシレスモータのロータの回転角を検出するための装置に適用した場合の実施形態について説明したが、ブラシレスモータのロータ以外の回転体の回転角を検出するための装置にもこの発明を適用することができる。
その他、特許請求の範囲に記載された事項の範囲で種々の設計変更を施すことが可能である。
Claims (7)
- 回転体の回転角を検出する回転角検出装置において、
前記回転体の周囲である第1の位置に配置され、第1の正弦波信号を前記回転体の回転に応じて出力する、第1のセンサと、
前記第1の位置とは角度間隔を持って前記回転体の周囲である第2の位置に配置され、前記第1の正弦波信号とは前記角度間隔に対応する配置位相差を有する第2の正弦波信号を前記回転体の回転に応じて出力する、第2のセンサと、
前記第1の正弦波信号と前記第2の正弦波信号とに基づき前記回転角を演算する、回転角演算装置と、
を備えた回転角検出装置であって、
前記回転角演算装置は、
前記第1の正弦波信号及び前記第2の正弦波信号のうちの一方の正弦波信号を、それらの信号間の位相差である前記配置位相差が、目標位相差となるように補正する、信号補正部と、
前記信号補正部によって補正された一方の正弦波信号と、他方の正弦波信号とに基づいて前記回転角を演算する、回転角演算部と、
を含む回転角検出装置。 - 前記配置位相差と前記目標位相差との差は、前記第1のセンサと前記第2のセンサとの相対的な配置誤差に起因して発生する、前記二つの正弦波信号間の位相差誤差であり、
前記回転角演算装置は、前記位相差誤差を演算する位相差誤差演算部を更に含み、
前記信号補正部は、前記位相差誤差に基づいて、前記一方の正弦波信号を補正する、請求項1に記載の回転角検出装置。 - 前記目標位相差は、前記配置位相差とは異なる、請求項1に記載の回転角検出装置。
- 前記配置位相差には、前記第1のセンサと前記第2のセンサとの相対的な配置誤差に起因して発生する、前記二つの正弦波信号間の位相差誤差が重畳されており、
前記回転角演算装置は、前記位相差誤差を演算する位相差誤差演算部を更に含み、
前記信号補正部は、前記配置位相差及び前記位相差誤差に基づいて、前記一方の正弦波信号を補正する、請求項3に記載の回転角検出装置。 - 前記配置位相差は、前記目標位相差より小さい、請求項3または4に記載の回転角検出装置。
- 前記回転角演算装置は、
前記信号補正部によって補正された一方の正弦波信号と、前記第2の正弦波信号とに基づいて、前記第1の正弦波信号が異常であるか否かを判定する第1の信号異常判定部と、
前記信号補正部によって補正された一方の正弦波信号と、前記第1の正弦波信号とに基づいて、前記第2の正弦波信号が異常であるか否かを判定する第2の信号異常判定部と、
を更に含む、請求項1,3,4または5に記載の回転角検出装置。 - 前記目標位相差は90度である、請求項1〜6のいずれか一項に記載の回転角検出装置。
Priority Applications (5)
| Application Number | Priority Date | Filing Date | Title |
|---|---|---|---|
| JP2010094061A JP5333863B2 (ja) | 2009-08-26 | 2010-04-15 | 回転角検出装置 |
| US13/389,985 US8933692B2 (en) | 2009-08-26 | 2010-08-20 | Rotation angle detection device |
| EP10811780.5A EP2472232B1 (en) | 2009-08-26 | 2010-08-20 | Rotation angle detection device |
| PCT/JP2010/064102 WO2011024730A1 (ja) | 2009-08-26 | 2010-08-20 | 回転角検出装置 |
| CN201080037553.4A CN102483335B (zh) | 2009-08-26 | 2010-08-20 | 旋转角检测装置 |
Applications Claiming Priority (3)
| Application Number | Priority Date | Filing Date | Title |
|---|---|---|---|
| JP2009195188 | 2009-08-26 | ||
| JP2009195188 | 2009-08-26 | ||
| JP2010094061A JP5333863B2 (ja) | 2009-08-26 | 2010-04-15 | 回転角検出装置 |
Publications (2)
| Publication Number | Publication Date |
|---|---|
| JP2011069806A true JP2011069806A (ja) | 2011-04-07 |
| JP5333863B2 JP5333863B2 (ja) | 2013-11-06 |
Family
ID=43627836
Family Applications (1)
| Application Number | Title | Priority Date | Filing Date |
|---|---|---|---|
| JP2010094061A Expired - Fee Related JP5333863B2 (ja) | 2009-08-26 | 2010-04-15 | 回転角検出装置 |
Country Status (5)
| Country | Link |
|---|---|
| US (1) | US8933692B2 (ja) |
| EP (1) | EP2472232B1 (ja) |
| JP (1) | JP5333863B2 (ja) |
| CN (1) | CN102483335B (ja) |
| WO (1) | WO2011024730A1 (ja) |
Cited By (5)
| Publication number | Priority date | Publication date | Assignee | Title |
|---|---|---|---|---|
| JP2013164325A (ja) * | 2012-02-10 | 2013-08-22 | Panasonic Corp | エンコーダ |
| JP2014115259A (ja) * | 2012-12-12 | 2014-06-26 | Jtekt Corp | 回転角検出装置およびそれを備えた電動パワーステアリング装置 |
| KR20180067546A (ko) * | 2015-09-17 | 2018-06-20 | 보우린스, 인크. | 기능적 안전성을 구비한 스티어링 각센서 |
| KR20180089314A (ko) * | 2017-01-31 | 2018-08-08 | 아날로그 디바이시즈 글로벌 언리미티드 컴퍼니 | 위상 보상을 갖는 자기 센서 위치 측정 |
| JP2018185198A (ja) * | 2017-04-25 | 2018-11-22 | 日本精工株式会社 | 角度検出装置、相対角度検出装置、トルクセンサ、電動パワーステアリング装置及び車両 |
Families Citing this family (17)
| Publication number | Priority date | Publication date | Assignee | Title |
|---|---|---|---|---|
| JP5375796B2 (ja) * | 2010-11-05 | 2013-12-25 | 株式会社デンソー | 回転角検出装置、および、これを用いた電動パワーステアリング装置 |
| JP5660381B2 (ja) * | 2011-03-09 | 2015-01-28 | 株式会社ジェイテクト | 回転角検出装置 |
| JP2013257231A (ja) * | 2012-06-13 | 2013-12-26 | Jtekt Corp | 回転角センサ |
| US9772198B2 (en) * | 2013-01-10 | 2017-09-26 | Murata Machinery, Ltd. | Displacement sensor and displacement detection method |
| EP3019830B1 (en) * | 2013-07-11 | 2019-03-27 | MPS Tech Switzerland Sàrl | Angular orientation sensor and corresponding methods and devices |
| JP6318538B2 (ja) * | 2013-10-21 | 2018-05-09 | 株式会社リコー | 角度検出装置、角度検出方法 |
| WO2016063324A1 (ja) * | 2014-10-20 | 2016-04-28 | 三菱電機株式会社 | 回転角度検出装置、回転電機、及びエレベータ用巻上機 |
| JP2017112148A (ja) * | 2015-12-14 | 2017-06-22 | デクセリアルズ株式会社 | 接続方法 |
| JP6354961B2 (ja) * | 2016-05-20 | 2018-07-11 | Tdk株式会社 | 状態判別装置および方法、物理量情報生成装置ならびに角度センサ |
| US10836429B2 (en) * | 2016-07-20 | 2020-11-17 | Tdk Corporation | Angle sensor and angle sensor system |
| GB2552385B (en) | 2016-07-22 | 2021-09-15 | Cmr Surgical Ltd | Calibrating position sensor readings |
| JP6319601B1 (ja) * | 2016-12-19 | 2018-05-09 | Tdk株式会社 | 角度センサの補正装置および角度センサ |
| KR102557609B1 (ko) | 2017-12-19 | 2023-07-20 | 엘지이노텍 주식회사 | 센싱 장치 및 로터 및 센서의 이상 여부 판단 방법 |
| JP7000263B2 (ja) * | 2018-06-20 | 2022-01-19 | 株式会社東海理化電機製作所 | 初期設定方法及び初期設定装置 |
| JP2020016556A (ja) * | 2018-07-26 | 2020-01-30 | 日本電波工業株式会社 | 角度誤差検出装置 |
| JP6818822B1 (ja) * | 2019-07-25 | 2021-01-20 | 三菱電機株式会社 | 回転角検出装置、回転角推定装置および車載モータ制御システム |
| CN110446035B (zh) * | 2019-09-18 | 2024-09-27 | 深圳飞马机器人股份有限公司 | 一种相机动态拍摄模糊度的测试系统 |
Citations (2)
| Publication number | Priority date | Publication date | Assignee | Title |
|---|---|---|---|---|
| JP2002228488A (ja) * | 2001-02-06 | 2002-08-14 | Canon Inc | エンコーダ出力信号の自動調整装置および自動調整方法 |
| JP2008082739A (ja) * | 2006-09-26 | 2008-04-10 | Denso Corp | 回転角度検出装置およびそれを用いた回転制御装置 |
Family Cites Families (12)
| Publication number | Priority date | Publication date | Assignee | Title |
|---|---|---|---|---|
| JP3075452B2 (ja) * | 1993-06-01 | 2000-08-14 | 株式会社ニコン | 位置測定装置 |
| EP0740776B1 (de) | 1994-11-22 | 2002-06-12 | Robert Bosch Gmbh | Anordnung zur berührungslosen drehwinkelerfassung eines drehbaren elements |
| JP2003083823A (ja) | 2001-09-14 | 2003-03-19 | Koyo Seiko Co Ltd | 回転角検出装置、トルク検出装置及び舵取装置 |
| US20020124663A1 (en) * | 1999-04-07 | 2002-09-12 | Yoshitomo Tokumoto | Rotational angle detecting device, torque detecting device and steering apparatus |
| JP2001264114A (ja) | 2000-03-21 | 2001-09-26 | Koyo Seiko Co Ltd | 回転角度検出装置、ブラシレスモータ及び電動パワーステアリング装置 |
| JP3827533B2 (ja) | 2001-02-27 | 2006-09-27 | 株式会社ジェイテクト | 回転角検出装置、トルク検出装置及び舵取装置 |
| US7537388B2 (en) * | 2003-10-22 | 2009-05-26 | Ntn Corporation | Bearing assembly with built-in absolute encoder |
| US7933373B2 (en) * | 2006-06-19 | 2011-04-26 | Panasonic Corporation | Phase correction circuit of encoder signal |
| JP4950824B2 (ja) | 2007-09-28 | 2012-06-13 | 株式会社東芝 | 回転機の制御装置、制御システムおよび制御方法 |
| JP2009150795A (ja) * | 2007-12-21 | 2009-07-09 | Hitachi Ltd | 非接触式回転角度検出センサ装置およびその出力補正方法 |
| JP2009195188A (ja) | 2008-02-22 | 2009-09-03 | Yanmar Co Ltd | 施肥ユニット |
| JP5286020B2 (ja) | 2008-10-15 | 2013-09-11 | 八鹿鉄工株式会社 | 移植機 |
-
2010
- 2010-04-15 JP JP2010094061A patent/JP5333863B2/ja not_active Expired - Fee Related
- 2010-08-20 EP EP10811780.5A patent/EP2472232B1/en not_active Not-in-force
- 2010-08-20 US US13/389,985 patent/US8933692B2/en not_active Expired - Fee Related
- 2010-08-20 WO PCT/JP2010/064102 patent/WO2011024730A1/ja not_active Ceased
- 2010-08-20 CN CN201080037553.4A patent/CN102483335B/zh not_active Expired - Fee Related
Patent Citations (2)
| Publication number | Priority date | Publication date | Assignee | Title |
|---|---|---|---|---|
| JP2002228488A (ja) * | 2001-02-06 | 2002-08-14 | Canon Inc | エンコーダ出力信号の自動調整装置および自動調整方法 |
| JP2008082739A (ja) * | 2006-09-26 | 2008-04-10 | Denso Corp | 回転角度検出装置およびそれを用いた回転制御装置 |
Cited By (9)
| Publication number | Priority date | Publication date | Assignee | Title |
|---|---|---|---|---|
| JP2013164325A (ja) * | 2012-02-10 | 2013-08-22 | Panasonic Corp | エンコーダ |
| JP2014115259A (ja) * | 2012-12-12 | 2014-06-26 | Jtekt Corp | 回転角検出装置およびそれを備えた電動パワーステアリング装置 |
| KR20180067546A (ko) * | 2015-09-17 | 2018-06-20 | 보우린스, 인크. | 기능적 안전성을 구비한 스티어링 각센서 |
| JP2018527582A (ja) * | 2015-09-17 | 2018-09-20 | ボーンズ、インコーポレイテッド | 機能的安全性を有するステアリング角度センサ |
| US11009372B2 (en) | 2015-09-17 | 2021-05-18 | Bourns, Inc. | Steering angle sensor with functional security |
| KR102658164B1 (ko) * | 2015-09-17 | 2024-04-16 | 보우린스, 인크. | 기능적 안전성을 구비한 스티어링 각센서 |
| KR20180089314A (ko) * | 2017-01-31 | 2018-08-08 | 아날로그 디바이시즈 글로벌 언리미티드 컴퍼니 | 위상 보상을 갖는 자기 센서 위치 측정 |
| KR102536006B1 (ko) * | 2017-01-31 | 2023-05-23 | 아날로그 디바이시즈 글로벌 언리미티드 컴퍼니 | 위상 보상을 갖는 자기 센서 위치 측정 |
| JP2018185198A (ja) * | 2017-04-25 | 2018-11-22 | 日本精工株式会社 | 角度検出装置、相対角度検出装置、トルクセンサ、電動パワーステアリング装置及び車両 |
Also Published As
| Publication number | Publication date |
|---|---|
| US20120139532A1 (en) | 2012-06-07 |
| US8933692B2 (en) | 2015-01-13 |
| EP2472232A1 (en) | 2012-07-04 |
| EP2472232B1 (en) | 2018-10-10 |
| WO2011024730A1 (ja) | 2011-03-03 |
| EP2472232A4 (en) | 2017-04-12 |
| JP5333863B2 (ja) | 2013-11-06 |
| CN102483335B (zh) | 2015-04-08 |
| CN102483335A (zh) | 2012-05-30 |
Similar Documents
| Publication | Publication Date | Title |
|---|---|---|
| JP5333863B2 (ja) | 回転角検出装置 | |
| JP5716954B2 (ja) | 回転角検出装置 | |
| CN102859327B (zh) | 旋转角检测装置 | |
| JP5807770B2 (ja) | 回転角検出装置 | |
| US9013179B2 (en) | Angle detecting device | |
| CN102564295B (zh) | 旋转角检测装置以及使用该装置的电动助力转向设备 | |
| TW201842299A (zh) | 旋轉角度檢測裝置及旋轉角度檢測方法 | |
| JP6359079B2 (ja) | 外部磁界に対して鈍感なホールセンサ | |
| US10876862B2 (en) | Rotary encoder | |
| KR102195533B1 (ko) | 로터리 인코더 및 로터리 인코더의 각도 보정 방법 | |
| EP2477004B1 (en) | Rotation angle detecting device | |
| JP2005351849A (ja) | 回転角度検出装置および回転角度検出方法 | |
| EP2498063A2 (en) | Rotation angle detection device | |
| JP2012127910A (ja) | 回転角検出装置 | |
| JP2012189376A (ja) | 回転角検出装置およびトルク検出装置 | |
| KR20180032178A (ko) | 로터리 인코더, 및 로터리 인코더의 절대 각도 위치 검출 방법 | |
| JP4923730B2 (ja) | レゾルバ角度検出における補償方法及びこれを用いた角度検出装置 | |
| JP2014013209A (ja) | 角度検出装置 | |
| JP5892359B2 (ja) | 回転角検出装置 | |
| JP2018132357A (ja) | ロータリエンコーダ | |
| JP2011047735A (ja) | 回転角検出装置 | |
| TW201727199A (zh) | 編碼器 | |
| JP6395062B2 (ja) | 角度センサの補正装置および角度センサ | |
| JP2016080408A (ja) | 回転角度検出回路 | |
| JP2018132359A (ja) | ロータリエンコーダ |
Legal Events
| Date | Code | Title | Description |
|---|---|---|---|
| A621 | Written request for application examination |
Free format text: JAPANESE INTERMEDIATE CODE: A621 Effective date: 20130320 |
|
| A131 | Notification of reasons for refusal |
Free format text: JAPANESE INTERMEDIATE CODE: A131 Effective date: 20130502 |
|
| A521 | Written amendment |
Free format text: JAPANESE INTERMEDIATE CODE: A523 Effective date: 20130613 |
|
| TRDD | Decision of grant or rejection written | ||
| A01 | Written decision to grant a patent or to grant a registration (utility model) |
Free format text: JAPANESE INTERMEDIATE CODE: A01 Effective date: 20130704 |
|
| A61 | First payment of annual fees (during grant procedure) |
Free format text: JAPANESE INTERMEDIATE CODE: A61 Effective date: 20130717 |
|
| R150 | Certificate of patent or registration of utility model |
Ref document number: 5333863 Country of ref document: JP Free format text: JAPANESE INTERMEDIATE CODE: R150 Free format text: JAPANESE INTERMEDIATE CODE: R150 |
|
| LAPS | Cancellation because of no payment of annual fees |
