JP2010018756A - 粒状アニオン界面活性剤の製造法 - Google Patents
粒状アニオン界面活性剤の製造法 Download PDFInfo
- Publication number
- JP2010018756A JP2010018756A JP2008182443A JP2008182443A JP2010018756A JP 2010018756 A JP2010018756 A JP 2010018756A JP 2008182443 A JP2008182443 A JP 2008182443A JP 2008182443 A JP2008182443 A JP 2008182443A JP 2010018756 A JP2010018756 A JP 2010018756A
- Authority
- JP
- Japan
- Prior art keywords
- anionic surfactant
- weight
- granular
- raw material
- particle size
- Prior art date
- Legal status (The legal status is an assumption and is not a legal conclusion. Google has not performed a legal analysis and makes no representation as to the accuracy of the status listed.)
- Granted
Links
Landscapes
- Detergent Compositions (AREA)
Abstract
【解決手段】 次の工程1及び2を有する、アニオン界面活性剤含有量が80〜99.5重量%の粒状アニオン界面活性剤の製造法、これらの製造法により得られる粒状アニオン界面活性剤。
工程1:アニオン界面活性剤に対して、1〜50重量%の該アニオン界面活性剤以外の粉体原料と、該アニオン界面活性剤とを、水分4〜15重量%の条件下に混合する工程
工程2:工程1で得られた混合物に、減圧下でアニオン界面活性剤ペーストを添加しつつ、乾燥と同時に造粒を行う工程
【選択図】 なし
Description
工程1:アニオン界面活性剤に対して、1〜50重量%の該アニオン界面活性剤以外の粉体原料と、該アニオン界面活性剤とを、水分4〜15重量%の条件下に混合する工程
工程2:工程1で得られた混合物に、減圧下でアニオン界面活性剤ペーストを添加しつつ、乾燥と同時に造粒を行う工程
粉化工程:工程1で得られた混合物を、温度が50℃を越えない範囲まで攪拌下で昇温して粉化する工程
本発明に用いられるアニオン界面活性剤としては、特に限定されないが、アルキル硫酸塩、ポリオキシアルキレンアルキルエーテル硫酸塩、α−オレフィン硫酸塩、アルキルベンゼンスルホン酸塩、α−スルホ脂肪酸エステル塩等が挙げられる。これらの中では、アルキル硫酸塩及びポリオキシアルキレンアルキルエーテル硫酸塩が好ましい。塩としては、アルカリ金属塩、アルカリ土類金属塩、アンモニウム塩、アルカノールアミン塩等が挙げられる。これらの塩の中では、アルカリ金属塩が好ましく、ナトリウム塩やカリウム塩、及びそれら塩の混合物も好ましい。
(式中、R1は炭素数8〜24、好ましくは8〜18の直鎖又は分岐鎖のアルキル基又はアルケニル基、M1はアルカリ金属原子、アルカリ土類金属原子、アルカノール置換若しくは無置換のアンモニウム基等の陽イオン、pはM1の価数であって1又は2を示す。)
またポリオキシアルキレンアルキルエーテル硫酸塩としては、例えば、式(II)で表されるポリオキシアルキレンアルキルエーテル硫酸塩等が挙げられる。
(式中、R2は炭素数8〜24の直鎖又は分岐鎖のアルキル基又はアルケニル基、Aは炭素数2〜4のアルキレン基を示し、m個のAは同一であっても異なっていても良い。mはアルキレンオキサイドの平均付加モル数を示す0.05〜20の数である。M2はアルカリ金属原子、アルカリ土類金属原子、アルカノール置換若しくは無置換のアンモニウム基等の陽イオン、qはM2の価数であって1又は2を示す。)
式(II)で表されるポリオキシアルキレンアルキルエーテル硫酸塩のアルキレンオキサイドの平均付加モル数mは、優れた粒状物性を得る観点及び粒状でのケーキング性を抑制させる観点から、0.05〜2.0が好ましく、0.1〜1.0がさらに好ましく、0.2〜0.8が特に好ましい。またR2は、粉末化した際のケーキング性や粒子の溶解性の観点から、炭素数8〜20、更に8〜18、特に10〜18のアルキル基又はアルケニル基が好ましく、アルキル基が更に好ましい。AOは、炭素数2〜3、特に2のオキシアルキレン基が好ましい。M2は、Na,K等のアルカリ金属原子、Ca,Mg等のアルカリ土類金属原子、又はアルカノール置換もしくは無機置換のアンモニウム基が好ましく、更にアルカリ金属原子、特にNaが好ましい。qは1又は2が好ましく、1が更に好ましい。
(式中、R3は炭素数8〜20、好ましくは10〜18の直鎖アルキル基、nはアルキレンオキサイドの平均付加モル数を示す0.05〜2の数である。A,q及びM2は前記の意味を示す。)
式(II)で表されるポリオキシアルキレンアルキルエーテル硫酸塩は、また、アルキレンオキサイドの付加分布に特に制限はなく、ブロード及びナロー分布等の既知の方法で得られる付加分布で良い。
(1)炭素数8〜24、好ましくは8〜20のアルコール(以下高級アルコールという)にアルキレンオキサイドを平均付加モル数0.05〜20、好ましくは0.05〜2となるように付加した高級アルコールのアルキレンオキサイド付加物を、硫酸化し、中和する方法。
(2)高級アルコールと高級アルコールのアルキレンオキサイド付加物を、混合物のアルキレンオキサイド平均付加モル数が0.05〜20、好ましくは0.05〜2になるように混合した後、硫酸化し、中和する方法。
(3)高級アルコール及び高級アルコールのアルキレンオキサイド付加物を予め別々に硫酸化し、中和したものを、混合物のアルキレンオキサイド平均付加モル数が0.05〜20、好ましくは0.05〜2になるように混合する方法。
本発明における工程1は、アニオン界面活性剤に対して、1〜50重量%の該アニオン界面活性剤以外の粉体原料と、該アニオン界面活性剤とを、水分4〜15重量%の条件下に混合する工程である。
本発明においては、粗粒を低減し、粒度をシャープにする観点から、工程1と工程2の間に、工程1で得られた混合物を、温度が50℃を越えない範囲まで攪拌下で昇温して粉化する工程を有することが好ましい。
本発明における工程2は、工程1又は粉化工程で得られた混合物に、減圧下でアニオン界面活性剤ペーストを添加しつつ、乾燥と同時に造粒を行う工程である。ここで、アニオン界面活性剤ペーストに含有されるアニオン界面活性剤は、工程1で用いたアニオン界面活性剤とは、同一の化合物または同一の構成成分であっても、異なるものであっても良いが、生産性の点で、同一の界面活性剤を用いることが望ましい。
アニオン界面活性剤ペーストの添加量及び添加速度は、粒状物の温度が上記範囲内になるように制御することが好ましい。アニオン界面活性剤ペーストの添加量は、アニオン界面活性剤ペーストと工程1又は粉化工程で得られた混合物の重量比が、1/10〜10/1、更に4/4〜7/1となる割合が好ましい。また、添加速度に関しては、ペーストを滴下し始めてから操作温度に達するまでの時間が長いと造粒物が得にくく、又、滴下速度が速すぎると粗粒化する場合があり、安定運転しずらくなってしまうことがある。この為、操作温度に達するまでの時間とペースト添加時間との比は、1/50〜1/3が好ましい。
造粒機内の圧力は、操作品温を低くして、ペースト及び造粒物の分解を抑制する観点から、0.67〜40kPaが好ましく、更に真空ポンプへの負担や造粒機の気密性の観点から、2.7〜40kPaが好ましく、特に4.0〜8.0kPaが好ましい。
造粒機の加熱源としては、温水ジャケット、電気トレーシング等が挙げられるが、温水ジャケットが好ましく、またジャケット温度は、115℃以下が好ましく、更に好ましくは100℃以下、更に熱に敏感な原料にも適用させる観点から、90℃以下が特に好ましい。
本発明においては、アニオン界面活性剤ペーストの添加中に、乾燥をより効果的に実施させるために造粒機へ空気及び/又は不活性ガスを導入しても良い。導入量は、好ましくは2〜30L/min、より好ましくは3〜10L/minである。
本発明においては、圧密化の促進や、付着層を十分に形成させて粒度分布を狭くする観点から、以下の式で定義される造粒機の羽根のフルード数が1〜5であることが好ましく、更に好ましくは1.5〜4である。
(式中、Frはフルード数を、Vは攪拌翼の先端の周速[m/sec] を、Rは攪拌翼の回転半径[m]を、gは重力加速度[m/sec.2]を示す。)
工程2で使用される造粒機は、攪拌翼と解砕翼が装備され、攪拌翼が回転する際に攪拌翼と壁面との間にクリアランスを形成するものが好ましい。平均クリアランスは1〜30mmが好ましく、更に好ましくは3〜10mmである。平均クリアランスが1mm以上では付着層の圧密度が適度で、造粒機が過動力とならない。また平均クリアランスが30mm以下であると圧密化の効率がよく、粒度分布がブロードとならず、生産性が良好である。
本発明の方法により得られる粒状アニオン界面活性剤は、アニオン界面活性剤自体の機能を有効に発揮させる観点から、アニオン界面活性剤含有量が80〜99.5重量%であり、90〜99.0重量%が好ましい。
本発明の粒状アニオン界面活性剤は、必要により、その他の添加剤を含有することができる。その他の添加剤としては、例えば、珪酸塩、炭酸塩等のアルカリ剤、クエン酸塩、ゼオライト等の2価金属イオン捕捉剤、ポリビニルピロリドン、カルボキシメチルセルロース等の再汚染防止剤、その他、ケーキング防止剤、酸化防止剤等が挙げられる。かかるその他の添加剤は、本発明の目的が阻害されない範囲で用いることができる。
内径16mmφ、長さ5mの薄膜流下型反応器内に、2.0体積%の三酸化硫黄ガスと共に、アルキル基の炭素数12〜16でその分布がC12/C14/C16=67%/28%/5%である高級アルコール(分子量199)を、60℃で連続的に投下し反応させた。高級アルコールに対する三酸化硫黄ガスの反応モル比が1.01となるように流量を調節した。得られた硫酸化物を32.2%水酸化ナトリウム水溶液で中和し、75%リン酸(緩衝剤)を添加した後、32.1%水酸化ナトリウム水溶液でpH=10に微調整した。得られたアルキル硫酸ナトリウム塩ペースト(以下ペースト1という)の有効成分は75.1%であった。
容量65Lの真空乾燥機[深江パウテック(株)製、FMD−65J型]にアルキル硫酸ナトリウム塩の粉体[EMAL 10P−HD:花王(株)製、平均粒径0.03mm]4.3kgと硫酸ナトリウム[四国化成(株)製芒硝、平均粒径0.03mm]0.67kgを添加した。次にジャケット温度65℃、機内圧力5.3kPa、攪拌翼回転数200rpm、解砕翼回転数2000rpmの条件で、40℃に加温したペースト1を1000kg/hr・m3で6.5kg添加した。その時の混合物水分は7.2%であった。その時のアニオン界面活性剤に対する芒硝の比率は6.8%であった。その後、品温45±3℃になるようにペースト1を総計20.3kgまで添加し、乾燥と造粒を同時に行った。初めに加えた4.3kgの粉体も含め、得られたアルキル硫酸ナトリウム粉粒体の重量は20.3kgであった。
容量65Lの真空乾燥機[深江パウテック(株)製、FMD−65J型]にアルキル硫酸ナトリウム塩の粉体[EMAL 10P−HD:花王(株)製、平均粒径0.03mm]4.3kgと硫酸ナトリウム[四国化成(株)製芒硝、平均粒径0.03mm]0.67kgを添加した。次にジャケット温度65℃、機内圧力5.3kPa、攪拌翼回転数200rpm、解砕翼回転数2000rpmの条件で、40℃に加温したペースト1を923kg/hr・m3で5.0kg添加した。その時の混合物水分は7.8%であった。その時のアニオン界面活性剤に対する芒硝の比率は7.7%であった。その後、品温50±3℃になるようにペースト1を総計20.1kgまで添加し、乾燥と造粒を同時に行った。初めに加えた4.3kgの粉体も含め、得られたアルキル硫酸ナトリウム塩粉粒体の重量は19.6kgであった。
容量65Lの真空乾燥機[深江パウテック(株)製、FMD−65J型]にアルキル硫酸ナトリウム塩の粉体[EMAL 10P−HD:花王(株)製、平均粒径0.03mm]4.3kgと硫酸ナトリウム[四国化成(株)製芒硝、平均粒径0.03mm]0.67kgを添加した。次にジャケット温度65℃、機内圧力5.3kPa、攪拌翼回転数200rpm、解砕翼回転数2000rpmの条件で、40℃に加温したペースト1を1649kg/hr・m3で5.4kg添加した。その時の混合物水分は9.6%であった。その時のアニオン界面活性剤に対する芒硝の比率は7.4%であった。その後、ペースト1の供給のみを停止し攪拌を再開し、品温が50℃に達した時点からペースト1の供給を再開し、品温45±3℃になるようにペースト1を総計20.2kgまで添加し、乾燥と造粒を同時に行った。初めに加えた4.3kgの粉体も含め、得られたアルキル硫酸ナトリウム塩粉粒体の重量は20.3kgであった。
容量2500Lの真空乾燥機[深江パウテック(株)製、FMD−1200JE型]にアルキル硫酸ナトリウム塩の粉体[EMAL 10P−HD:花王(株)製、平均粒径0.03mm]130kgと硫酸ナトリウム[四国化成(株)製芒硝、平均粒径0.11mm]20.5kgを添加した。次にジャケット温度65℃、機内圧力4.0kPa、攪拌翼回転数70rpm、解砕翼回転数1800rpmの条件で、40℃に加温したペースト1を360kg/hr・m3で175kg添加した。その時の混合物水分は5.9%であった。その時のアニオン界面活性剤に対する芒硝の比率は7.3%であった。その後、ペースト1の供給のみを停止し攪拌を再開し、品温が43.5℃に達した時点からペースト1の供給を再開し、品温44±3℃になるように乾燥と造粒を同時に行った。初めに加えた130kgの粉体も含め、得られたアルキル硫酸ナトリウム塩粉粒体の重量は677kgであった。
容量2500Lの真空乾燥機[深江パウテック(株)製、FMD−1200JE型]にアルキル硫酸ナトリウム塩の粉体[EMAL 10P−HD:花王(株)製、平均粒径0.03mm]160kgと硫酸ナトリウム[四国化成(株)製芒硝、平均粒径0.11mm]20kgを添加した。次にジャケット温度65℃、機内圧力4.0kPa、攪拌翼回転数70rpm、解砕翼回転数1800rpmの条件で、40℃に加温したペースト1を品温44±3℃になるように添加し、乾燥と造粒を同時に行った。初めに加えた160kgの粉体も含め、得られたアルキル硫酸ナトリウム塩粉粒体の重量は600kgであった。
容量65Lの真空乾燥機[深江パウテック(株)製、FMD−65J型]にアルキル硫酸ナトリウム塩の粉体[EMAL 10P−HD:花王(株)製、平均粒径0.03mm]4.3kgと硫酸ナトリウム[四国化成(株)製芒硝、平均粒径0.03mm]0.67kgを添加した。次にジャケット温度65℃、機内圧力4.0kPa、攪拌翼回転数200rpm、解砕翼回転数2000rpmの条件で、40℃に加温したペースト1を品温45±3℃になるように添加し、乾燥と造粒を同時に行った。初めに加えた4.3kgの粉体も含め、得られたアルキル硫酸ナトリウム塩粉粒体の重量は19kgであった。
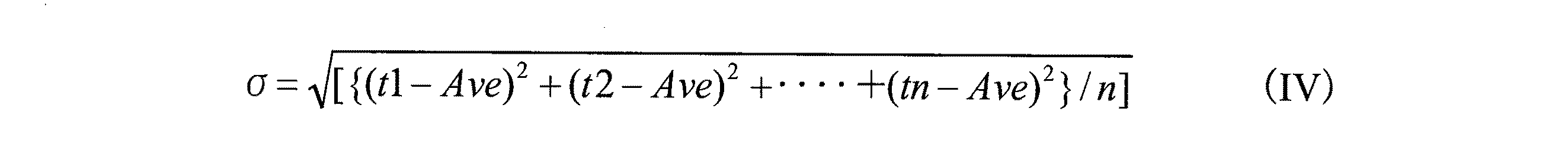
容量65Lの真空乾燥機[深江パウテック(株)製、FMD−65J型]にアルキル硫酸ナトリウム塩の粉体[EMAL 10P−HD:花王(株)製、平均粒径0.03mm]4.3kgと硫酸ナトリウム[四国化成(株)製芒硝、平均粒径0.11mm]0.67kgを添加した。次にジャケット温度65℃、機内圧力5.3kPa、攪拌翼回転数200rpm、解砕翼回転数2000rpmの条件で、40℃に加温したペースト1を736kg/hr・m3で5.1kg添加した。その時の混合物水分は3.3%であった。その時のアニオン界面活性剤に対する芒硝の比率は7.6%であった。その後、ペースト1の供給のみを停止し攪拌を再開し、品温が37.6℃に達した時点での水分は1.9%であり、また前記式(IV)で表される粉体の粒度別芒硝濃度の標準偏差σは6.75であった。
Claims (8)
- 次の工程1及び2を有する、アニオン界面活性剤含有量が80〜99.5重量%の粒状アニオン界面活性剤の製造法。
工程1:アニオン界面活性剤に対して、1〜50重量%の該アニオン界面活性剤以外の粉体原料と、該アニオン界面活性剤とを、水分4〜15重量%の条件下に混合する工程
工程2:工程1で得られた混合物に、減圧下でアニオン界面活性剤ペーストを添加しつつ、乾燥と同時に造粒を行う工程 - 工程1と工程2の間に、下記粉化工程を有する、請求項1記載の製造法。
粉化工程:工程1で得られた混合物を、温度が50℃を越えない範囲まで攪拌下で昇温して粉化する工程 - 工程2を、攪拌翼及び解砕翼を有する造粒機内で、粒状物の温度が35〜75℃で、その温度変化が±5℃以内となるように制御して行う、請求項1又は2記載の製造法。
- 工程2における造粒機内圧力が、0.67〜40kPaである、請求項1〜3いずれかに記載の製造法。
- アニオン界面活性剤以外の粉体原料が、水溶性無機塩及び非水溶性無機塩からなる群より選ばれる少なくとも1種を含有する、請求項1〜4いずれかに記載の製造法。
- 工程2で得られた粒状物の一部を、工程1の原料として用いる、請求項1〜5いずれかに記載の製造法。
- 請求項1〜7いずれかに記載の製造法により得られる、粒状アニオン界面活性剤。
Priority Applications (1)
| Application Number | Priority Date | Filing Date | Title |
|---|---|---|---|
| JP2008182443A JP5403961B2 (ja) | 2008-07-14 | 2008-07-14 | 粒状アニオン界面活性剤の製造法 |
Applications Claiming Priority (1)
| Application Number | Priority Date | Filing Date | Title |
|---|---|---|---|
| JP2008182443A JP5403961B2 (ja) | 2008-07-14 | 2008-07-14 | 粒状アニオン界面活性剤の製造法 |
Publications (2)
| Publication Number | Publication Date |
|---|---|
| JP2010018756A true JP2010018756A (ja) | 2010-01-28 |
| JP5403961B2 JP5403961B2 (ja) | 2014-01-29 |
Family
ID=41703976
Family Applications (1)
| Application Number | Title | Priority Date | Filing Date |
|---|---|---|---|
| JP2008182443A Expired - Fee Related JP5403961B2 (ja) | 2008-07-14 | 2008-07-14 | 粒状アニオン界面活性剤の製造法 |
Country Status (1)
| Country | Link |
|---|---|
| JP (1) | JP5403961B2 (ja) |
Citations (11)
| Publication number | Priority date | Publication date | Assignee | Title |
|---|---|---|---|---|
| JPH08157894A (ja) * | 1994-12-02 | 1996-06-18 | Lion Corp | 界面活性剤粉体の製造方法およびそれを用いた粒状洗剤組成物の製造方法 |
| JPH08506368A (ja) * | 1993-02-11 | 1996-07-09 | ヘンケル・コマンディットゲゼルシャフト・アウフ・アクチェン | 界面活性剤顆粒の製造方法 |
| JPH09194894A (ja) * | 1996-01-18 | 1997-07-29 | Lion Corp | 高嵩密度の粒状アニオン界面活性剤および粒状洗剤組成物の製造方法 |
| JPH10195497A (ja) * | 1997-01-16 | 1998-07-28 | Lion Corp | 界面活性剤粉体の製造方法および粒状洗剤組成物 |
| JP2003292990A (ja) * | 2002-01-29 | 2003-10-15 | Kao Corp | アニオン性界面活性剤粉体 |
| JP2005068413A (ja) * | 2003-08-06 | 2005-03-17 | Kao Corp | 粒状アニオン界面活性剤の製造法 |
| JP2005206798A (ja) * | 2003-12-26 | 2005-08-04 | Kao Corp | 粒状アニオン界面活性剤の製造方法 |
| JP2005239809A (ja) * | 2004-02-25 | 2005-09-08 | Kao Corp | 自動食器洗浄機用洗剤組成物 |
| JP2006057001A (ja) * | 2004-08-20 | 2006-03-02 | Kao Corp | 洗浄用組成物 |
| JP2006219654A (ja) * | 2005-01-13 | 2006-08-24 | Kao Corp | アニオン界面活性剤粉粒体 |
| WO2007108418A1 (ja) * | 2006-03-17 | 2007-09-27 | Lion Corporation | アニオン界面活性剤粉体の製造方法およびアニオン界面活性剤粉体 |
-
2008
- 2008-07-14 JP JP2008182443A patent/JP5403961B2/ja not_active Expired - Fee Related
Patent Citations (11)
| Publication number | Priority date | Publication date | Assignee | Title |
|---|---|---|---|---|
| JPH08506368A (ja) * | 1993-02-11 | 1996-07-09 | ヘンケル・コマンディットゲゼルシャフト・アウフ・アクチェン | 界面活性剤顆粒の製造方法 |
| JPH08157894A (ja) * | 1994-12-02 | 1996-06-18 | Lion Corp | 界面活性剤粉体の製造方法およびそれを用いた粒状洗剤組成物の製造方法 |
| JPH09194894A (ja) * | 1996-01-18 | 1997-07-29 | Lion Corp | 高嵩密度の粒状アニオン界面活性剤および粒状洗剤組成物の製造方法 |
| JPH10195497A (ja) * | 1997-01-16 | 1998-07-28 | Lion Corp | 界面活性剤粉体の製造方法および粒状洗剤組成物 |
| JP2003292990A (ja) * | 2002-01-29 | 2003-10-15 | Kao Corp | アニオン性界面活性剤粉体 |
| JP2005068413A (ja) * | 2003-08-06 | 2005-03-17 | Kao Corp | 粒状アニオン界面活性剤の製造法 |
| JP2005206798A (ja) * | 2003-12-26 | 2005-08-04 | Kao Corp | 粒状アニオン界面活性剤の製造方法 |
| JP2005239809A (ja) * | 2004-02-25 | 2005-09-08 | Kao Corp | 自動食器洗浄機用洗剤組成物 |
| JP2006057001A (ja) * | 2004-08-20 | 2006-03-02 | Kao Corp | 洗浄用組成物 |
| JP2006219654A (ja) * | 2005-01-13 | 2006-08-24 | Kao Corp | アニオン界面活性剤粉粒体 |
| WO2007108418A1 (ja) * | 2006-03-17 | 2007-09-27 | Lion Corporation | アニオン界面活性剤粉体の製造方法およびアニオン界面活性剤粉体 |
Also Published As
| Publication number | Publication date |
|---|---|
| JP5403961B2 (ja) | 2014-01-29 |
Similar Documents
| Publication | Publication Date | Title |
|---|---|---|
| JP4417195B2 (ja) | 粒状アニオン界面活性剤の製造法 | |
| CN100595267C (zh) | 颗粒状阴离子表面活性剂的制造方法 | |
| JP5108403B2 (ja) | アニオン界面活性剤粉粒体の製造方法 | |
| CN1191348C (zh) | 制备洗涤剂组合物的连续方法 | |
| US5968891A (en) | Process for preparing detergent composition having high bulk density | |
| US6794354B1 (en) | Continuous process for making detergent composition | |
| JP5403961B2 (ja) | 粒状アニオン界面活性剤の製造法 | |
| JP5020482B2 (ja) | アニオン界面活性剤粉粒体 | |
| JP4088793B2 (ja) | ノニオン界面活性剤含有粒子及びその製造方法並びに洗剤組成物 | |
| CA2375488C (en) | Process for making a granular detergent composition | |
| US5707958A (en) | Process for preparing detergent composition having high bulk density | |
| JP4358613B2 (ja) | 洗剤粒子群の製造方法 | |
| MXPA02000027A (es) | Procedimiento para elaborar detergente granular en un granulador de cama fluida que tiene reciclado de particulas de tamano no apropiado. | |
| JP3911078B2 (ja) | 高嵩密度粒状洗剤組成物の製造方法 | |
| JPH0765078B2 (ja) | 高嵩密度洗剤組成物の製造方法 | |
| JP2659698B2 (ja) | 流動性に優れた高密度粉末洗剤の連続的製造方法 | |
| CN1817432A (zh) | 阴离子表面活性剂粉粒 | |
| JP2006282954A (ja) | 洗剤粒子の製造方法 | |
| JPH11140500A (ja) | 高嵩密度粒状洗剤組成物の製造方法 | |
| JPH09100499A (ja) | 高密度・高濃度粒状洗剤の製造方法 | |
| JPH11509263A (ja) | 改善された流動性を有する凝集洗剤組成物の製法 | |
| MXPA01002871A (en) | Continuous process for making a detergent composition | |
| JPH0959697A (ja) | 高嵩密度洗剤組成物の製造方法 | |
| JP2003105398A (ja) | 粒状洗剤組成物の製造方法 | |
| JP2014031450A (ja) | 洗剤粒子群の製造方法 |
Legal Events
| Date | Code | Title | Description |
|---|---|---|---|
| A621 | Written request for application examination |
Free format text: JAPANESE INTERMEDIATE CODE: A621 Effective date: 20110613 |
|
| A977 | Report on retrieval |
Free format text: JAPANESE INTERMEDIATE CODE: A971007 Effective date: 20121214 |
|
| A131 | Notification of reasons for refusal |
Free format text: JAPANESE INTERMEDIATE CODE: A131 Effective date: 20121225 |
|
| A521 | Request for written amendment filed |
Free format text: JAPANESE INTERMEDIATE CODE: A523 Effective date: 20130221 |
|
| TRDD | Decision of grant or rejection written | ||
| A01 | Written decision to grant a patent or to grant a registration (utility model) |
Free format text: JAPANESE INTERMEDIATE CODE: A01 Effective date: 20131022 |
|
| A61 | First payment of annual fees (during grant procedure) |
Free format text: JAPANESE INTERMEDIATE CODE: A61 Effective date: 20131029 |
|
| R151 | Written notification of patent or utility model registration |
Ref document number: 5403961 Country of ref document: JP Free format text: JAPANESE INTERMEDIATE CODE: R151 |
|
| R250 | Receipt of annual fees |
Free format text: JAPANESE INTERMEDIATE CODE: R250 |
|
| R250 | Receipt of annual fees |
Free format text: JAPANESE INTERMEDIATE CODE: R250 |
|
| R250 | Receipt of annual fees |
Free format text: JAPANESE INTERMEDIATE CODE: R250 |
|
| R250 | Receipt of annual fees |
Free format text: JAPANESE INTERMEDIATE CODE: R250 |
|
| R250 | Receipt of annual fees |
Free format text: JAPANESE INTERMEDIATE CODE: R250 |
|
| R250 | Receipt of annual fees |
Free format text: JAPANESE INTERMEDIATE CODE: R250 |
|
| R250 | Receipt of annual fees |
Free format text: JAPANESE INTERMEDIATE CODE: R250 |
|
| LAPS | Cancellation because of no payment of annual fees |
