JP2005292354A - 電子写真感光体 - Google Patents
電子写真感光体 Download PDFInfo
- Publication number
- JP2005292354A JP2005292354A JP2004105490A JP2004105490A JP2005292354A JP 2005292354 A JP2005292354 A JP 2005292354A JP 2004105490 A JP2004105490 A JP 2004105490A JP 2004105490 A JP2004105490 A JP 2004105490A JP 2005292354 A JP2005292354 A JP 2005292354A
- Authority
- JP
- Japan
- Prior art keywords
- photosensitive member
- charge transfer
- electrophotographic photosensitive
- transfer agent
- formula
- Prior art date
- Legal status (The legal status is an assumption and is not a legal conclusion. Google has not performed a legal analysis and makes no representation as to the accuracy of the status listed.)
- Pending
Links
- 108091008695 photoreceptors Proteins 0.000 title claims abstract description 24
- 239000003795 chemical substances by application Substances 0.000 claims abstract description 69
- 229920005989 resin Polymers 0.000 claims abstract description 54
- 239000011347 resin Substances 0.000 claims abstract description 54
- IEQIEDJGQAUEQZ-UHFFFAOYSA-N phthalocyanine Chemical compound N1C(N=C2C3=CC=CC=C3C(N=C3C4=CC=CC=C4C(=N4)N3)=N2)=C(C=CC=C2)C2=C1N=C1C2=CC=CC=C2C4=N1 IEQIEDJGQAUEQZ-UHFFFAOYSA-N 0.000 claims abstract description 46
- 150000001875 compounds Chemical class 0.000 claims abstract description 22
- 238000002441 X-ray diffraction Methods 0.000 claims abstract description 18
- 238000001228 spectrum Methods 0.000 claims abstract description 13
- 239000011230 binding agent Substances 0.000 claims abstract description 12
- 238000012546 transfer Methods 0.000 claims description 64
- YMWUJEATGCHHMB-UHFFFAOYSA-N Dichloromethane Chemical compound ClCCl YMWUJEATGCHHMB-UHFFFAOYSA-N 0.000 claims description 10
- 125000004435 hydrogen atom Chemical class [H]* 0.000 claims description 8
- 125000004432 carbon atom Chemical group C* 0.000 claims description 7
- 125000005843 halogen group Chemical group 0.000 claims description 5
- 125000003118 aryl group Chemical group 0.000 claims description 4
- 230000005855 radiation Effects 0.000 claims description 4
- 229910052739 hydrogen Inorganic materials 0.000 claims description 2
- 239000001257 hydrogen Substances 0.000 claims description 2
- 125000000547 substituted alkyl group Chemical group 0.000 claims description 2
- 125000001424 substituent group Chemical group 0.000 claims 7
- 125000004169 (C1-C6) alkyl group Chemical group 0.000 claims 3
- 125000003545 alkoxy group Chemical group 0.000 claims 3
- 125000000217 alkyl group Chemical group 0.000 claims 3
- 125000004663 dialkyl amino group Chemical group 0.000 claims 3
- 125000003342 alkenyl group Chemical group 0.000 claims 1
- 238000000034 method Methods 0.000 abstract description 30
- 230000008569 process Effects 0.000 abstract description 14
- 230000035945 sensitivity Effects 0.000 abstract description 11
- 230000002093 peripheral effect Effects 0.000 abstract description 2
- 230000006866 deterioration Effects 0.000 abstract 1
- 239000010410 layer Substances 0.000 description 60
- 239000011248 coating agent Substances 0.000 description 16
- 238000000576 coating method Methods 0.000 description 16
- 239000000049 pigment Substances 0.000 description 15
- 230000000052 comparative effect Effects 0.000 description 10
- -1 polyazo Polymers 0.000 description 10
- 239000013078 crystal Substances 0.000 description 9
- 239000002904 solvent Substances 0.000 description 8
- 229920002554 vinyl polymer Polymers 0.000 description 7
- ZWEHNKRNPOVVGH-UHFFFAOYSA-N 2-Butanone Chemical compound CCC(C)=O ZWEHNKRNPOVVGH-UHFFFAOYSA-N 0.000 description 6
- RTZKZFJDLAIYFH-UHFFFAOYSA-N Diethyl ether Chemical compound CCOCC RTZKZFJDLAIYFH-UHFFFAOYSA-N 0.000 description 6
- WYURNTSHIVDZCO-UHFFFAOYSA-N Tetrahydrofuran Chemical compound C1CCOC1 WYURNTSHIVDZCO-UHFFFAOYSA-N 0.000 description 6
- 239000010408 film Substances 0.000 description 6
- 239000000203 mixture Substances 0.000 description 6
- 239000000843 powder Substances 0.000 description 6
- 239000000758 substrate Substances 0.000 description 6
- YLQBMQCUIZJEEH-UHFFFAOYSA-N tetrahydrofuran Natural products C=1C=COC=1 YLQBMQCUIZJEEH-UHFFFAOYSA-N 0.000 description 5
- HEDRZPFGACZZDS-UHFFFAOYSA-N Chloroform Chemical compound ClC(Cl)Cl HEDRZPFGACZZDS-UHFFFAOYSA-N 0.000 description 4
- PPBRXRYQALVLMV-UHFFFAOYSA-N Styrene Chemical compound C=CC1=CC=CC=C1 PPBRXRYQALVLMV-UHFFFAOYSA-N 0.000 description 4
- 229910052782 aluminium Inorganic materials 0.000 description 4
- XAGFODPZIPBFFR-UHFFFAOYSA-N aluminium Chemical compound [Al] XAGFODPZIPBFFR-UHFFFAOYSA-N 0.000 description 4
- MWPLVEDNUUSJAV-UHFFFAOYSA-N anthracene Chemical compound C1=CC=CC2=CC3=CC=CC=C3C=C21 MWPLVEDNUUSJAV-UHFFFAOYSA-N 0.000 description 4
- 230000015572 biosynthetic process Effects 0.000 description 4
- 230000008859 change Effects 0.000 description 4
- 229920005668 polycarbonate resin Polymers 0.000 description 4
- 239000004431 polycarbonate resin Substances 0.000 description 4
- 238000012545 processing Methods 0.000 description 4
- BBEAQIROQSPTKN-UHFFFAOYSA-N pyrene Chemical compound C1=CC=C2C=CC3=CC=CC4=CC=C1C2=C43 BBEAQIROQSPTKN-UHFFFAOYSA-N 0.000 description 4
- CSCPPACGZOOCGX-UHFFFAOYSA-N Acetone Chemical compound CC(C)=O CSCPPACGZOOCGX-UHFFFAOYSA-N 0.000 description 3
- LFQSCWFLJHTTHZ-UHFFFAOYSA-N Ethanol Chemical compound CCO LFQSCWFLJHTTHZ-UHFFFAOYSA-N 0.000 description 3
- XEKOWRVHYACXOJ-UHFFFAOYSA-N Ethyl acetate Chemical compound CCOC(C)=O XEKOWRVHYACXOJ-UHFFFAOYSA-N 0.000 description 3
- OKKJLVBELUTLKV-UHFFFAOYSA-N Methanol Chemical compound OC OKKJLVBELUTLKV-UHFFFAOYSA-N 0.000 description 3
- ZMXDDKWLCZADIW-UHFFFAOYSA-N N,N-Dimethylformamide Chemical compound CN(C)C=O ZMXDDKWLCZADIW-UHFFFAOYSA-N 0.000 description 3
- VYPSYNLAJGMNEJ-UHFFFAOYSA-N Silicium dioxide Chemical compound O=[Si]=O VYPSYNLAJGMNEJ-UHFFFAOYSA-N 0.000 description 3
- YXFVVABEGXRONW-UHFFFAOYSA-N Toluene Chemical compound CC1=CC=CC=C1 YXFVVABEGXRONW-UHFFFAOYSA-N 0.000 description 3
- 229920000180 alkyd Polymers 0.000 description 3
- DQXBYHZEEUGOBF-UHFFFAOYSA-N but-3-enoic acid;ethene Chemical compound C=C.OC(=O)CC=C DQXBYHZEEUGOBF-UHFFFAOYSA-N 0.000 description 3
- 239000006185 dispersion Substances 0.000 description 3
- 238000001035 drying Methods 0.000 description 3
- 239000005038 ethylene vinyl acetate Substances 0.000 description 3
- 238000011156 evaluation Methods 0.000 description 3
- 230000006870 function Effects 0.000 description 3
- 239000011521 glass Substances 0.000 description 3
- RAXXELZNTBOGNW-UHFFFAOYSA-N imidazole Natural products C1=CNC=N1 RAXXELZNTBOGNW-UHFFFAOYSA-N 0.000 description 3
- 239000012528 membrane Substances 0.000 description 3
- VLKZOEOYAKHREP-UHFFFAOYSA-N n-Hexane Chemical compound CCCCCC VLKZOEOYAKHREP-UHFFFAOYSA-N 0.000 description 3
- 229920001200 poly(ethylene-vinyl acetate) Polymers 0.000 description 3
- 229920002037 poly(vinyl butyral) polymer Polymers 0.000 description 3
- 229920005749 polyurethane resin Polymers 0.000 description 3
- DNXIASIHZYFFRO-UHFFFAOYSA-N pyrazoline Chemical compound C1CN=NC1 DNXIASIHZYFFRO-UHFFFAOYSA-N 0.000 description 3
- 239000010409 thin film Substances 0.000 description 3
- UBOXGVDOUJQMTN-UHFFFAOYSA-N 1,1,2-trichloroethane Chemical compound ClCC(Cl)Cl UBOXGVDOUJQMTN-UHFFFAOYSA-N 0.000 description 2
- AZQWKYJCGOJGHM-UHFFFAOYSA-N 1,4-benzoquinone Chemical compound O=C1C=CC(=O)C=C1 AZQWKYJCGOJGHM-UHFFFAOYSA-N 0.000 description 2
- FCEHBMOGCRZNNI-UHFFFAOYSA-N 1-benzothiophene Chemical compound C1=CC=C2SC=CC2=C1 FCEHBMOGCRZNNI-UHFFFAOYSA-N 0.000 description 2
- UJOBWOGCFQCDNV-UHFFFAOYSA-N 9H-carbazole Chemical compound C1=CC=C2C3=CC=CC=C3NC2=C1 UJOBWOGCFQCDNV-UHFFFAOYSA-N 0.000 description 2
- 239000004925 Acrylic resin Substances 0.000 description 2
- 229920000178 Acrylic resin Polymers 0.000 description 2
- OKTJSMMVPCPJKN-UHFFFAOYSA-N Carbon Chemical compound [C] OKTJSMMVPCPJKN-UHFFFAOYSA-N 0.000 description 2
- LCGLNKUTAGEVQW-UHFFFAOYSA-N Dimethyl ether Chemical compound COC LCGLNKUTAGEVQW-UHFFFAOYSA-N 0.000 description 2
- IAZDPXIOMUYVGZ-UHFFFAOYSA-N Dimethylsulphoxide Chemical compound CS(C)=O IAZDPXIOMUYVGZ-UHFFFAOYSA-N 0.000 description 2
- SIKJAQJRHWYJAI-UHFFFAOYSA-N Indole Chemical compound C1=CC=C2NC=CC2=C1 SIKJAQJRHWYJAI-UHFFFAOYSA-N 0.000 description 2
- 229920000877 Melamine resin Polymers 0.000 description 2
- LRHPLDYGYMQRHN-UHFFFAOYSA-N N-Butanol Chemical compound CCCCO LRHPLDYGYMQRHN-UHFFFAOYSA-N 0.000 description 2
- IMNFDUFMRHMDMM-UHFFFAOYSA-N N-Heptane Chemical compound CCCCCCC IMNFDUFMRHMDMM-UHFFFAOYSA-N 0.000 description 2
- PXHVJJICTQNCMI-UHFFFAOYSA-N Nickel Chemical compound [Ni] PXHVJJICTQNCMI-UHFFFAOYSA-N 0.000 description 2
- OFBQJSOFQDEBGM-UHFFFAOYSA-N Pentane Chemical compound CCCCC OFBQJSOFQDEBGM-UHFFFAOYSA-N 0.000 description 2
- 239000004721 Polyphenylene oxide Substances 0.000 description 2
- XBDQKXXYIPTUBI-UHFFFAOYSA-M Propionate Chemical compound CCC([O-])=O XBDQKXXYIPTUBI-UHFFFAOYSA-M 0.000 description 2
- GWEVSGVZZGPLCZ-UHFFFAOYSA-N Titan oxide Chemical compound O=[Ti]=O GWEVSGVZZGPLCZ-UHFFFAOYSA-N 0.000 description 2
- BZHJMEDXRYGGRV-UHFFFAOYSA-N Vinyl chloride Chemical compound ClC=C BZHJMEDXRYGGRV-UHFFFAOYSA-N 0.000 description 2
- DZBUGLKDJFMEHC-UHFFFAOYSA-N acridine Chemical compound C1=CC=CC2=CC3=CC=CC=C3N=C21 DZBUGLKDJFMEHC-UHFFFAOYSA-N 0.000 description 2
- XECAHXYUAAWDEL-UHFFFAOYSA-N acrylonitrile butadiene styrene Chemical compound C=CC=C.C=CC#N.C=CC1=CC=CC=C1 XECAHXYUAAWDEL-UHFFFAOYSA-N 0.000 description 2
- 239000004676 acrylonitrile butadiene styrene Substances 0.000 description 2
- 229920000122 acrylonitrile butadiene styrene Polymers 0.000 description 2
- RDOXTESZEPMUJZ-UHFFFAOYSA-N anisole Chemical compound COC1=CC=CC=C1 RDOXTESZEPMUJZ-UHFFFAOYSA-N 0.000 description 2
- 239000003963 antioxidant agent Substances 0.000 description 2
- 230000003078 antioxidant effect Effects 0.000 description 2
- 239000011324 bead Substances 0.000 description 2
- 229910052799 carbon Inorganic materials 0.000 description 2
- MVPPADPHJFYWMZ-UHFFFAOYSA-N chlorobenzene Chemical compound ClC1=CC=CC=C1 MVPPADPHJFYWMZ-UHFFFAOYSA-N 0.000 description 2
- 238000005520 cutting process Methods 0.000 description 2
- DMEGYFMYUHOHGS-UHFFFAOYSA-N cycloheptane Chemical compound C1CCCCCC1 DMEGYFMYUHOHGS-UHFFFAOYSA-N 0.000 description 2
- JHIVVAPYMSGYDF-UHFFFAOYSA-N cyclohexanone Chemical compound O=C1CCCCC1 JHIVVAPYMSGYDF-UHFFFAOYSA-N 0.000 description 2
- 239000003822 epoxy resin Substances 0.000 description 2
- 239000004210 ether based solvent Substances 0.000 description 2
- 230000001747 exhibiting effect Effects 0.000 description 2
- 239000000706 filtrate Substances 0.000 description 2
- GVEPBJHOBDJJJI-UHFFFAOYSA-N fluoranthrene Natural products C1=CC(C2=CC=CC=C22)=C3C2=CC=CC3=C1 GVEPBJHOBDJJJI-UHFFFAOYSA-N 0.000 description 2
- 150000002576 ketones Chemical class 0.000 description 2
- 239000000463 material Substances 0.000 description 2
- 238000005259 measurement Methods 0.000 description 2
- 229910052751 metal Inorganic materials 0.000 description 2
- 239000002184 metal Substances 0.000 description 2
- YNPNZTXNASCQKK-UHFFFAOYSA-N phenanthrene Chemical compound C1=CC=C2C3=CC=CC=C3C=CC2=C1 YNPNZTXNASCQKK-UHFFFAOYSA-N 0.000 description 2
- BASFCYQUMIYNBI-UHFFFAOYSA-N platinum Chemical compound [Pt] BASFCYQUMIYNBI-UHFFFAOYSA-N 0.000 description 2
- 229920003227 poly(N-vinyl carbazole) Polymers 0.000 description 2
- 229920006122 polyamide resin Polymers 0.000 description 2
- 229920000647 polyepoxide Polymers 0.000 description 2
- 229920000570 polyether Polymers 0.000 description 2
- 229920000642 polymer Polymers 0.000 description 2
- BDERNNFJNOPAEC-UHFFFAOYSA-N propan-1-ol Chemical compound CCCO BDERNNFJNOPAEC-UHFFFAOYSA-N 0.000 description 2
- 239000011241 protective layer Substances 0.000 description 2
- 229910052710 silicon Inorganic materials 0.000 description 2
- 239000010703 silicon Substances 0.000 description 2
- 229920002050 silicone resin Polymers 0.000 description 2
- 239000000126 substance Substances 0.000 description 2
- OGIDPMRJRNCKJF-UHFFFAOYSA-N titanium oxide Inorganic materials [Ti]=O OGIDPMRJRNCKJF-UHFFFAOYSA-N 0.000 description 2
- SCYULBFZEHDVBN-UHFFFAOYSA-N 1,1-Dichloroethane Chemical compound CC(Cl)Cl SCYULBFZEHDVBN-UHFFFAOYSA-N 0.000 description 1
- WNXJIVFYUVYPPR-UHFFFAOYSA-N 1,3-dioxolane Chemical compound C1COCO1 WNXJIVFYUVYPPR-UHFFFAOYSA-N 0.000 description 1
- RYHBNJHYFVUHQT-UHFFFAOYSA-N 1,4-Dioxane Chemical compound C1COCCO1 RYHBNJHYFVUHQT-UHFFFAOYSA-N 0.000 description 1
- FKNIDKXOANSRCS-UHFFFAOYSA-N 2,3,4-trinitrofluoren-1-one Chemical compound C1=CC=C2C3=C([N+](=O)[O-])C([N+]([O-])=O)=C([N+]([O-])=O)C(=O)C3=CC2=C1 FKNIDKXOANSRCS-UHFFFAOYSA-N 0.000 description 1
- XNWFRZJHXBZDAG-UHFFFAOYSA-N 2-METHOXYETHANOL Chemical compound COCCO XNWFRZJHXBZDAG-UHFFFAOYSA-N 0.000 description 1
- LYTMVABTDYMBQK-UHFFFAOYSA-N 2-benzothiophene Chemical compound C1=CC=CC2=CSC=C21 LYTMVABTDYMBQK-UHFFFAOYSA-N 0.000 description 1
- DDTHMESPCBONDT-UHFFFAOYSA-N 4-(4-oxocyclohexa-2,5-dien-1-ylidene)cyclohexa-2,5-dien-1-one Chemical compound C1=CC(=O)C=CC1=C1C=CC(=O)C=C1 DDTHMESPCBONDT-UHFFFAOYSA-N 0.000 description 1
- KOKPBCHLPVDQTK-UHFFFAOYSA-N 4-methoxy-4-methylpentan-2-one Chemical compound COC(C)(C)CC(C)=O KOKPBCHLPVDQTK-UHFFFAOYSA-N 0.000 description 1
- NXOVZLREWXNIDP-UHFFFAOYSA-N 7h-pyrazino[2,3-c]carbazole Chemical compound N1=CC=NC2=C3C4=CC=CC=C4NC3=CC=C21 NXOVZLREWXNIDP-UHFFFAOYSA-N 0.000 description 1
- NLHHRLWOUZZQLW-UHFFFAOYSA-N Acrylonitrile Chemical compound C=CC#N NLHHRLWOUZZQLW-UHFFFAOYSA-N 0.000 description 1
- 229910000838 Al alloy Inorganic materials 0.000 description 1
- 229910001369 Brass Inorganic materials 0.000 description 1
- DKPFZGUDAPQIHT-UHFFFAOYSA-N Butyl acetate Natural products CCCCOC(C)=O DKPFZGUDAPQIHT-UHFFFAOYSA-N 0.000 description 1
- NLZUEZXRPGMBCV-UHFFFAOYSA-N Butylhydroxytoluene Chemical compound CC1=CC(C(C)(C)C)=C(O)C(C(C)(C)C)=C1 NLZUEZXRPGMBCV-UHFFFAOYSA-N 0.000 description 1
- FERIUCNNQQJTOY-UHFFFAOYSA-M Butyrate Chemical compound CCCC([O-])=O FERIUCNNQQJTOY-UHFFFAOYSA-M 0.000 description 1
- 239000004709 Chlorinated polyethylene Substances 0.000 description 1
- VYZAMTAEIAYCRO-UHFFFAOYSA-N Chromium Chemical compound [Cr] VYZAMTAEIAYCRO-UHFFFAOYSA-N 0.000 description 1
- RYGMFSIKBFXOCR-UHFFFAOYSA-N Copper Chemical compound [Cu] RYGMFSIKBFXOCR-UHFFFAOYSA-N 0.000 description 1
- XDTMQSROBMDMFD-UHFFFAOYSA-N Cyclohexane Chemical compound C1CCCCC1 XDTMQSROBMDMFD-UHFFFAOYSA-N 0.000 description 1
- XTHFKEDIFFGKHM-UHFFFAOYSA-N Dimethoxyethane Chemical compound COCCOC XTHFKEDIFFGKHM-UHFFFAOYSA-N 0.000 description 1
- 239000004593 Epoxy Substances 0.000 description 1
- 235000000177 Indigofera tinctoria Nutrition 0.000 description 1
- KFZMGEQAYNKOFK-UHFFFAOYSA-N Isopropanol Chemical compound CC(C)O KFZMGEQAYNKOFK-UHFFFAOYSA-N 0.000 description 1
- 239000004640 Melamine resin Substances 0.000 description 1
- NTIZESTWPVYFNL-UHFFFAOYSA-N Methyl isobutyl ketone Chemical compound CC(C)CC(C)=O NTIZESTWPVYFNL-UHFFFAOYSA-N 0.000 description 1
- UIHCLUNTQKBZGK-UHFFFAOYSA-N Methyl isobutyl ketone Natural products CCC(C)C(C)=O UIHCLUNTQKBZGK-UHFFFAOYSA-N 0.000 description 1
- RJUFJBKOKNCXHH-UHFFFAOYSA-N Methyl propionate Chemical compound CCC(=O)OC RJUFJBKOKNCXHH-UHFFFAOYSA-N 0.000 description 1
- ZOKXTWBITQBERF-UHFFFAOYSA-N Molybdenum Chemical compound [Mo] ZOKXTWBITQBERF-UHFFFAOYSA-N 0.000 description 1
- 229930192627 Naphthoquinone Natural products 0.000 description 1
- 239000004677 Nylon Substances 0.000 description 1
- CTQNGGLPUBDAKN-UHFFFAOYSA-N O-Xylene Chemical compound CC1=CC=CC=C1C CTQNGGLPUBDAKN-UHFFFAOYSA-N 0.000 description 1
- ZCQWOFVYLHDMMC-UHFFFAOYSA-N Oxazole Chemical compound C1=COC=N1 ZCQWOFVYLHDMMC-UHFFFAOYSA-N 0.000 description 1
- 206010034972 Photosensitivity reaction Diseases 0.000 description 1
- 229920003171 Poly (ethylene oxide) Polymers 0.000 description 1
- 229920002845 Poly(methacrylic acid) Polymers 0.000 description 1
- 229930182556 Polyacetal Natural products 0.000 description 1
- 239000004695 Polyether sulfone Substances 0.000 description 1
- 229920000265 Polyparaphenylene Polymers 0.000 description 1
- 239000004734 Polyphenylene sulfide Substances 0.000 description 1
- 239000004743 Polypropylene Substances 0.000 description 1
- 229920000292 Polyquinoline Polymers 0.000 description 1
- 235000001630 Pyrus pyrifolia var culta Nutrition 0.000 description 1
- 240000002609 Pyrus pyrifolia var. culta Species 0.000 description 1
- NRCMAYZCPIVABH-UHFFFAOYSA-N Quinacridone Chemical compound N1C2=CC=CC=C2C(=O)C2=C1C=C1C(=O)C3=CC=CC=C3NC1=C2 NRCMAYZCPIVABH-UHFFFAOYSA-N 0.000 description 1
- BUGBHKTXTAQXES-UHFFFAOYSA-N Selenium Chemical compound [Se] BUGBHKTXTAQXES-UHFFFAOYSA-N 0.000 description 1
- 239000006087 Silane Coupling Agent Substances 0.000 description 1
- BQCADISMDOOEFD-UHFFFAOYSA-N Silver Chemical compound [Ag] BQCADISMDOOEFD-UHFFFAOYSA-N 0.000 description 1
- PJANXHGTPQOBST-VAWYXSNFSA-N Stilbene Natural products C=1C=CC=CC=1/C=C/C1=CC=CC=C1 PJANXHGTPQOBST-VAWYXSNFSA-N 0.000 description 1
- 239000004809 Teflon Substances 0.000 description 1
- 229920006362 Teflon® Polymers 0.000 description 1
- ATJFFYVFTNAWJD-UHFFFAOYSA-N Tin Chemical compound [Sn] ATJFFYVFTNAWJD-UHFFFAOYSA-N 0.000 description 1
- RTAQQCXQSZGOHL-UHFFFAOYSA-N Titanium Chemical compound [Ti] RTAQQCXQSZGOHL-UHFFFAOYSA-N 0.000 description 1
- XTXRWKRVRITETP-UHFFFAOYSA-N Vinyl acetate Chemical compound CC(=O)OC=C XTXRWKRVRITETP-UHFFFAOYSA-N 0.000 description 1
- KXKVLQRXCPHEJC-UHFFFAOYSA-N acetic acid trimethyl ester Natural products COC(C)=O KXKVLQRXCPHEJC-UHFFFAOYSA-N 0.000 description 1
- 150000001298 alcohols Chemical class 0.000 description 1
- 150000001338 aliphatic hydrocarbons Chemical class 0.000 description 1
- 229910045601 alloy Inorganic materials 0.000 description 1
- 239000000956 alloy Substances 0.000 description 1
- HSFWRNGVRCDJHI-UHFFFAOYSA-N alpha-acetylene Natural products C#C HSFWRNGVRCDJHI-UHFFFAOYSA-N 0.000 description 1
- CECABOMBVQNBEC-UHFFFAOYSA-K aluminium iodide Chemical compound I[Al](I)I CECABOMBVQNBEC-UHFFFAOYSA-K 0.000 description 1
- PNEYBMLMFCGWSK-UHFFFAOYSA-N aluminium oxide Inorganic materials [O-2].[O-2].[O-2].[Al+3].[Al+3] PNEYBMLMFCGWSK-UHFFFAOYSA-N 0.000 description 1
- 238000007743 anodising Methods 0.000 description 1
- PYKYMHQGRFAEBM-UHFFFAOYSA-N anthraquinone Natural products CCC(=O)c1c(O)c2C(=O)C3C(C=CC=C3O)C(=O)c2cc1CC(=O)OC PYKYMHQGRFAEBM-UHFFFAOYSA-N 0.000 description 1
- 150000004056 anthraquinones Chemical class 0.000 description 1
- 239000002518 antifoaming agent Substances 0.000 description 1
- 150000004945 aromatic hydrocarbons Chemical class 0.000 description 1
- 230000004888 barrier function Effects 0.000 description 1
- 239000010951 brass Substances 0.000 description 1
- 235000010354 butylated hydroxytoluene Nutrition 0.000 description 1
- 150000008280 chlorinated hydrocarbons Chemical class 0.000 description 1
- HGAZMNJKRQFZKS-UHFFFAOYSA-N chloroethene;ethenyl acetate Chemical compound ClC=C.CC(=O)OC=C HGAZMNJKRQFZKS-UHFFFAOYSA-N 0.000 description 1
- 229910052804 chromium Inorganic materials 0.000 description 1
- 239000011651 chromium Substances 0.000 description 1
- 239000003086 colorant Substances 0.000 description 1
- 239000006258 conductive agent Substances 0.000 description 1
- 229920001940 conductive polymer Polymers 0.000 description 1
- 229910052802 copper Inorganic materials 0.000 description 1
- 239000010949 copper Substances 0.000 description 1
- 239000003431 cross linking reagent Substances 0.000 description 1
- 230000007547 defect Effects 0.000 description 1
- 238000011161 development Methods 0.000 description 1
- 238000010586 diagram Methods 0.000 description 1
- 229910003460 diamond Inorganic materials 0.000 description 1
- 239000010432 diamond Substances 0.000 description 1
- 125000000664 diazo group Chemical group [N-]=[N+]=[*] 0.000 description 1
- 150000002081 enamines Chemical class 0.000 description 1
- 230000007613 environmental effect Effects 0.000 description 1
- 239000003759 ester based solvent Substances 0.000 description 1
- 150000002148 esters Chemical class 0.000 description 1
- 150000002170 ethers Chemical class 0.000 description 1
- YLQWCDOCJODRMT-UHFFFAOYSA-N fluoren-9-one Chemical compound C1=CC=C2C(=O)C3=CC=CC=C3C2=C1 YLQWCDOCJODRMT-UHFFFAOYSA-N 0.000 description 1
- RMBPEFMHABBEKP-UHFFFAOYSA-N fluorene Chemical compound C1=CC=C2C3=C[CH]C=CC3=CC2=C1 RMBPEFMHABBEKP-UHFFFAOYSA-N 0.000 description 1
- WBJINCZRORDGAQ-UHFFFAOYSA-N formic acid ethyl ester Natural products CCOC=O WBJINCZRORDGAQ-UHFFFAOYSA-N 0.000 description 1
- 239000007849 furan resin Substances 0.000 description 1
- 238000007429 general method Methods 0.000 description 1
- PCHJSUWPFVWCPO-UHFFFAOYSA-N gold Chemical compound [Au] PCHJSUWPFVWCPO-UHFFFAOYSA-N 0.000 description 1
- 229910052737 gold Inorganic materials 0.000 description 1
- 239000010931 gold Substances 0.000 description 1
- 150000008282 halocarbons Chemical class 0.000 description 1
- FUZZWVXGSFPDMH-UHFFFAOYSA-N hexanoic acid Chemical compound CCCCCC(O)=O FUZZWVXGSFPDMH-UHFFFAOYSA-N 0.000 description 1
- 150000007857 hydrazones Chemical class 0.000 description 1
- 230000001771 impaired effect Effects 0.000 description 1
- 230000006872 improvement Effects 0.000 description 1
- 229940097275 indigo Drugs 0.000 description 1
- COHYTHOBJLSHDF-UHFFFAOYSA-N indigo powder Natural products N1C2=CC=CC=C2C(=O)C1=C1C(=O)C2=CC=CC=C2N1 COHYTHOBJLSHDF-UHFFFAOYSA-N 0.000 description 1
- 229910052738 indium Inorganic materials 0.000 description 1
- APFVFJFRJDLVQX-UHFFFAOYSA-N indium atom Chemical compound [In] APFVFJFRJDLVQX-UHFFFAOYSA-N 0.000 description 1
- 229910003437 indium oxide Inorganic materials 0.000 description 1
- PJXISJQVUVHSOJ-UHFFFAOYSA-N indium(iii) oxide Chemical compound [O-2].[O-2].[O-2].[In+3].[In+3] PJXISJQVUVHSOJ-UHFFFAOYSA-N 0.000 description 1
- PZOUSPYUWWUPPK-UHFFFAOYSA-N indole Natural products CC1=CC=CC2=C1C=CN2 PZOUSPYUWWUPPK-UHFFFAOYSA-N 0.000 description 1
- RKJUIXBNRJVNHR-UHFFFAOYSA-N indolenine Natural products C1=CC=C2CC=NC2=C1 RKJUIXBNRJVNHR-UHFFFAOYSA-N 0.000 description 1
- 239000005453 ketone based solvent Substances 0.000 description 1
- 239000007788 liquid Substances 0.000 description 1
- 229910001416 lithium ion Inorganic materials 0.000 description 1
- 239000006224 matting agent Substances 0.000 description 1
- JDSHMPZPIAZGSV-UHFFFAOYSA-N melamine Chemical compound NC1=NC(N)=NC(N)=N1 JDSHMPZPIAZGSV-UHFFFAOYSA-N 0.000 description 1
- 150000002736 metal compounds Chemical class 0.000 description 1
- 229910021645 metal ion Inorganic materials 0.000 description 1
- 150000002739 metals Chemical class 0.000 description 1
- NYGZLYXAPMMJTE-UHFFFAOYSA-M metanil yellow Chemical group [Na+].[O-]S(=O)(=O)C1=CC=CC(N=NC=2C=CC(NC=3C=CC=CC=3)=CC=2)=C1 NYGZLYXAPMMJTE-UHFFFAOYSA-M 0.000 description 1
- UZKWTJUDCOPSNM-UHFFFAOYSA-N methoxybenzene Substances CCCCOC=C UZKWTJUDCOPSNM-UHFFFAOYSA-N 0.000 description 1
- 229940017219 methyl propionate Drugs 0.000 description 1
- 238000003801 milling Methods 0.000 description 1
- 239000012046 mixed solvent Substances 0.000 description 1
- 238000002156 mixing Methods 0.000 description 1
- 229910052750 molybdenum Inorganic materials 0.000 description 1
- 239000011733 molybdenum Substances 0.000 description 1
- YKYONYBAUNKHLG-UHFFFAOYSA-N n-Propyl acetate Natural products CCCOC(C)=O YKYONYBAUNKHLG-UHFFFAOYSA-N 0.000 description 1
- 150000002791 naphthoquinones Chemical class 0.000 description 1
- 229910052759 nickel Inorganic materials 0.000 description 1
- 150000002825 nitriles Chemical class 0.000 description 1
- 229920001778 nylon Polymers 0.000 description 1
- NIHNNTQXNPWCJQ-UHFFFAOYSA-N o-biphenylenemethane Natural products C1=CC=C2CC3=CC=CC=C3C2=C1 NIHNNTQXNPWCJQ-UHFFFAOYSA-N 0.000 description 1
- TVMXDCGIABBOFY-UHFFFAOYSA-N octane Chemical compound CCCCCCCC TVMXDCGIABBOFY-UHFFFAOYSA-N 0.000 description 1
- WCPAKWJPBJAGKN-UHFFFAOYSA-N oxadiazole Chemical compound C1=CON=N1 WCPAKWJPBJAGKN-UHFFFAOYSA-N 0.000 description 1
- 239000002245 particle Substances 0.000 description 1
- 239000008188 pellet Substances 0.000 description 1
- 125000002080 perylenyl group Chemical group C1(=CC=C2C=CC=C3C4=CC=CC5=CC=CC(C1=C23)=C45)* 0.000 description 1
- CSHWQDPOILHKBI-UHFFFAOYSA-N peryrene Natural products C1=CC(C2=CC=CC=3C2=C2C=CC=3)=C3C2=CC=CC3=C1 CSHWQDPOILHKBI-UHFFFAOYSA-N 0.000 description 1
- 239000002530 phenolic antioxidant Substances 0.000 description 1
- 239000005011 phenolic resin Substances 0.000 description 1
- 230000036211 photosensitivity Effects 0.000 description 1
- 229910052697 platinum Inorganic materials 0.000 description 1
- 238000005498 polishing Methods 0.000 description 1
- 229920000834 poly(ferrocenylene) polymer Polymers 0.000 description 1
- 229920000553 poly(phenylenevinylene) Polymers 0.000 description 1
- 229920002492 poly(sulfone) Polymers 0.000 description 1
- 229920001197 polyacetylene Polymers 0.000 description 1
- 229920002239 polyacrylonitrile Polymers 0.000 description 1
- 229920000767 polyaniline Polymers 0.000 description 1
- 229920001230 polyarylate Polymers 0.000 description 1
- 229920000015 polydiacetylene Polymers 0.000 description 1
- 229920001225 polyester resin Polymers 0.000 description 1
- 239000004645 polyester resin Substances 0.000 description 1
- 229920006393 polyether sulfone Polymers 0.000 description 1
- 229920013716 polyethylene resin Polymers 0.000 description 1
- 229920001721 polyimide Polymers 0.000 description 1
- 239000009719 polyimide resin Substances 0.000 description 1
- 229920000306 polymethylpentene Polymers 0.000 description 1
- 239000011116 polymethylpentene Substances 0.000 description 1
- 229920006324 polyoxymethylene Polymers 0.000 description 1
- 229920000069 polyphenylene sulfide Polymers 0.000 description 1
- 229920001155 polypropylene Polymers 0.000 description 1
- 229920001451 polypropylene glycol Polymers 0.000 description 1
- 229920000128 polypyrrole Polymers 0.000 description 1
- 229920000123 polythiophene Polymers 0.000 description 1
- 239000011148 porous material Substances 0.000 description 1
- 238000002360 preparation method Methods 0.000 description 1
- 229940090181 propyl acetate Drugs 0.000 description 1
- WVIICGIFSIBFOG-UHFFFAOYSA-N pyrylium Chemical class C1=CC=[O+]C=C1 WVIICGIFSIBFOG-UHFFFAOYSA-N 0.000 description 1
- 239000002516 radical scavenger Substances 0.000 description 1
- 230000003252 repetitive effect Effects 0.000 description 1
- 238000011160 research Methods 0.000 description 1
- 230000004043 responsiveness Effects 0.000 description 1
- 239000004576 sand Substances 0.000 description 1
- 229920006395 saturated elastomer Polymers 0.000 description 1
- 229910052711 selenium Inorganic materials 0.000 description 1
- 239000011669 selenium Substances 0.000 description 1
- 239000004065 semiconductor Substances 0.000 description 1
- 230000001235 sensitizing effect Effects 0.000 description 1
- 239000000377 silicon dioxide Substances 0.000 description 1
- 229910052709 silver Inorganic materials 0.000 description 1
- 239000004332 silver Substances 0.000 description 1
- 239000002356 single layer Substances 0.000 description 1
- 239000007784 solid electrolyte Substances 0.000 description 1
- 239000003381 stabilizer Substances 0.000 description 1
- 229910001220 stainless steel Inorganic materials 0.000 description 1
- 239000010935 stainless steel Substances 0.000 description 1
- PJANXHGTPQOBST-UHFFFAOYSA-N stilbene Chemical compound C=1C=CC=CC=1C=CC1=CC=CC=C1 PJANXHGTPQOBST-UHFFFAOYSA-N 0.000 description 1
- 235000021286 stilbenes Nutrition 0.000 description 1
- 229920005792 styrene-acrylic resin Polymers 0.000 description 1
- 238000003786 synthesis reaction Methods 0.000 description 1
- NLDYACGHTUPAQU-UHFFFAOYSA-N tetracyanoethylene Chemical group N#CC(C#N)=C(C#N)C#N NLDYACGHTUPAQU-UHFFFAOYSA-N 0.000 description 1
- PCCVSPMFGIFTHU-UHFFFAOYSA-N tetracyanoquinodimethane Chemical compound N#CC(C#N)=C1C=CC(=C(C#N)C#N)C=C1 PCCVSPMFGIFTHU-UHFFFAOYSA-N 0.000 description 1
- 229920001187 thermosetting polymer Polymers 0.000 description 1
- 239000002562 thickening agent Substances 0.000 description 1
- 239000011135 tin Substances 0.000 description 1
- 229910052718 tin Inorganic materials 0.000 description 1
- XOLBLPGZBRYERU-UHFFFAOYSA-N tin dioxide Chemical compound O=[Sn]=O XOLBLPGZBRYERU-UHFFFAOYSA-N 0.000 description 1
- 229910001887 tin oxide Inorganic materials 0.000 description 1
- 239000010936 titanium Substances 0.000 description 1
- 229910052719 titanium Inorganic materials 0.000 description 1
- 150000004992 toluidines Chemical class 0.000 description 1
- 230000007704 transition Effects 0.000 description 1
- ODHXBMXNKOYIBV-UHFFFAOYSA-N triphenylamine Chemical compound C1=CC=CC=C1N(C=1C=CC=CC=1)C1=CC=CC=C1 ODHXBMXNKOYIBV-UHFFFAOYSA-N 0.000 description 1
- AAAQKTZKLRYKHR-UHFFFAOYSA-N triphenylmethane Chemical compound C1=CC=CC=C1C(C=1C=CC=CC=1)C1=CC=CC=C1 AAAQKTZKLRYKHR-UHFFFAOYSA-N 0.000 description 1
- 239000006097 ultraviolet radiation absorber Substances 0.000 description 1
- NQPDZGIKBAWPEJ-UHFFFAOYSA-N valeric acid Chemical compound CCCCC(O)=O NQPDZGIKBAWPEJ-UHFFFAOYSA-N 0.000 description 1
- 239000008096 xylene Substances 0.000 description 1
Images
Landscapes
- Photoreceptors In Electrophotography (AREA)
Abstract
【課題】複写機、プリンタ−装置の小型化、高速化に伴い、感光体の小径化、周速の早いプロセスに対応できる感光体であって、且つ、長波長域において高感度であり、繰り返し使用しても電気特性の劣化がなく、しかも安定性が高い電子写真感光体を提供すること。
【解決手段】導電性支持体上に少なくとも電荷発生剤と電荷移動剤と結着樹脂とを含有する感光層を積層してなる電子写真感光体において、該電荷発生剤がオキシチタニウムフタロシアニンであって、該オキシチタニウムフタロシアニンがCuKαを線源とするX線回折スペクトルにおいて、ブラッグ角(2θ±0.2°)27.3°に最大ピークを有し、前記電荷移動剤が下式で表される化合物を含有することを特徴とする電子写真感光体。
【選択図】なし
【解決手段】導電性支持体上に少なくとも電荷発生剤と電荷移動剤と結着樹脂とを含有する感光層を積層してなる電子写真感光体において、該電荷発生剤がオキシチタニウムフタロシアニンであって、該オキシチタニウムフタロシアニンがCuKαを線源とするX線回折スペクトルにおいて、ブラッグ角(2θ±0.2°)27.3°に最大ピークを有し、前記電荷移動剤が下式で表される化合物を含有することを特徴とする電子写真感光体。
【選択図】なし
Description
本発明は、特定の結晶型であるオキシチタニウムフタロシアニンを電荷発生剤として含有し、特定の化合物を電荷移動剤として含有する電子写真感光体に関する。
近年、電子写真方式を採用する、ノンインパクトプリンタの露光光源としては半導体レーザーやLED等長波長の光源が主に使用されている。さらにまた、複写機、プリンター装置の小型化、高速化に伴い、感光体の小径化、周速の早いプロセスが採用されてきている。そのため、電子写真感光体は長波長域に感度を有する電荷発生剤を使用するのが一般的である。従来、このような材料としてフタロシアニン系顔料がよく用いられている。このフタロシアニン系顔料はその結晶型によって感度が異なることはよく知られている。また、近年の省電力化に伴い、プリンタ等電子写真装置の露光光源の出力を抑えるために電子写真感光体には高感度化の要求が高まっている。
フタロシアニン系顔料のなかで長波長域に高い感度を有するものとしてはオキシチタニウムフタロシアニンが挙げられる。オキシチタニウムフタロシアニンには、いくつもの結晶型が紹介されているが、その中でも27.3°に最大回折ピークを示すものが高感度であるとされている。しかしながら、高速のプロセスで用いると、繰り返し使用後の感光体の電位特性が劣化し、得られる画像にカブリ、黒スジ及び濃度ムラなどが生じてしまう。これは、オキシチタニウムフタロシアニンのもつ高感度特性により、電荷の発生量が比較的多いため、通常では高応答性などの利点を有するものの、高速プロセスに用いた場合は、感光層中に電荷が残留し、感光体上にメモリーとなって残り、次工程の電子写真プロセスでメモリー現象として画像に現われてしまうものと考えられる。また、電荷移動剤の電荷輸送能力との関係もあり、両者の組み合わせが重要である(例えば、特許文献1参照。)。
特開昭61−239248号公報
そこで、長波長域の感度が高く、高速で繰り返し使用しても電子写真特性、特に初期電位と繰り返し使用後の電位の再現性が安定している電子写真感光体が求められている。また、高い電荷発生効率を有する電荷発生剤を用いても、電荷移動剤との相性が悪いと充分な感度を得ることができないだけでなく、高温高湿から低温低湿までさまざま使用環境においても高品質の画像が得られない。電荷発生剤と電荷移動剤との相性は、さまざまな視点から研究されているが、明確に見出されてはいないのが現状である。
本発明の課題は、複写機、プリンター装置の小型化、高速化に伴い、感光体の小径化、周速の早いプロセスに対応できる感光体であって、且つ、長波長域において高感度であり、繰り返し使用しても電気特性の劣化がなく、しかも安定性が高い電子写真感光体を提供することである。
本発明者等は、前記課題を解決すべく鋭意研究を重ねた結果、電荷発生剤として特定のX線回折ピークを示すオキシチタニウムフタロシアニンを用い、特定化合物の電荷移動剤を用いた電子写真感光体が、前記従来の技術の問題点を解決することを見出し、本発明を完成するに至った。
本発明は、電子写真プロセスにおける帯電工程、露光工程、現像工程、転写工程、除電工程、定着工程を感光体が1回転するのに要する時間が0.75秒以下の高速プロセスを有する電子写真装置に特に適合する感光体を提供するものである。さらに、本発明者等は、感光層として塗布形成した後のオキシチタニウムフタロシアニンの結晶型を特定することで、使用環境変動に対しても感光体の電位変動が少ないことに着目した。さらに特定の電荷移動剤と組み合わせることで、従来の課題を解決するに至った。
電子写真感光体に用いるオキシチタニウムフタロシアニンのX線回折スペクトルは従来、合成後所望の結晶型にした粉末状のオキシチタニウムフタロシアニン、若しくは感光層を形成する際に作成される樹脂や分散溶媒等を含んだ塗工液をペレット状にしたものを試料として測定していた。
しかし、感光層形成前の段階でオキシチタニウムフタロアシアニンのX線回折スペクトルを測定しても、感光層中に含有されているオキシチタニウムフタロシアニンの結晶型を正確に判断できない。すなわち、感光層の形成にあたってはさまざまな外因があり、感光層形成前と形成後では回折スペクトルが異なる可能性がある。
すなわち、電荷発生層上に電荷移動層を積層する積層型感光体においては、電荷発生剤を含有する塗工液を支持体上に塗布形成し、必要に応じて乾燥し、その後電荷移動剤を含有する塗工液を塗布して電荷移動層を形成し、乾燥して各層を固着させる工程により感光層を形成するため、乾燥工程による熱的外因、電荷移動層形成用塗工液に用いられる溶媒との接触等により電荷発生剤の回折スペクトルが結晶転移し、必ずしも塗工液の状態の回折スペクトルと、感光体の最終状態での回折スペクトルと同じ結晶型を示さない可能性がある。よって、実際に機能している状態の電荷発生剤の回折スペクトルを調べるためには、感光層を形成した後に電荷発生剤を取り出して測定する必要がある。
本発明は、上記のような研究結果から得られたものであり、請求項1記載の発明は、導電性支持体上に少なくとも電荷発生剤と電荷移動剤と結着樹脂を含有する感光層を積層してなる電子写真感光体において、該電荷発生剤がオキシチタニウムフタロシアニンであって、該オキシチタニウムフタロシアニンがCuKαを線源とするX線回折スペクトルにおいてブラッグ角(2θ±0.2°)27.3°に最大ピークを有し、かつ電荷移動剤が一般式〔I〕で表される化合物を含有することを特徴とする電子写真感光体である。
さらに、該オキシチタニウムフタロシアニンは、ブラッグ角(2θ±0.2°)27.3°に最大ピークを有し、かつ他の回折ピーク強度が27.3°の回折ピーク強度に対して20%以下の強度であることを特徴とする。
又は、該オキシチタニウムフタロシアニンは、ブラッグ角(2θ±0.2°)7.0°、9.0°、18.0°、24.0°及び27.3°に回折ピークを有することを特徴とする。
さらに、該オキシチタニウムフタロシアニンは、ブラッグ角(2θ±0.2°)27.3°に最大ピークを有し、かつ他の回折ピーク強度が27.3°の回折ピーク強度に対して20%以下の強度であることを特徴とする。
又は、該オキシチタニウムフタロシアニンは、ブラッグ角(2θ±0.2°)7.0°、9.0°、18.0°、24.0°及び27.3°に回折ピークを有することを特徴とする。
感光層中からオキシチタニウムフタロシアニンを抽出する際に、オキシチタニウムフタロシアニンが結晶転移しないように注意しなければならない。また、感光層中にはバインダー樹脂や電荷移動剤等が含有されており、X線回折スペクトルを測定する上でそれらが障害となる。よって、バインダー樹脂や電荷移動剤等を除去し、オキシチタニウムフタロシアニンの結晶型を変えない溶媒を適宜選択する必要がある。
後記の実施例と比較例の特性差からみてもわかるように、本発明の電子写真感光体は、繰り返し安定性を有し、高い市場要求に応えられるものである。
本発明の電子写真感光体は、特定のX線回折スペクトルを有するオキシチタニウムフタロシアニンを電荷発生材料として基体上の感光層に含有させてなるものである。
本発明に係る電子写真感光体の好ましい実施の形態を、詳細に説明する。本発明は例えば、導電性支持体上に、少なくとも電荷発生剤が含有される電荷発生層が形成され、その上に少なくとも電荷移動剤が含有される電荷移動層が形成される機能分離型電子写真感光体が適用されるものである。この場合、電荷発生層と電荷移動層とにより感光層が形成される。
電荷発生層の形成方法としては、各種の方法を使用することができるが、例えば本発明のフタロシアニン組成物を電荷発生剤として用い、バインダー樹脂とともに適当な溶媒により分散もしくは溶解した塗布液を、所定の下地となる支持体上に塗布し、必要に応じて乾燥させて形成することができる。
電荷発生層の形成方法としては、各種の方法を使用することができるが、例えば本発明のフタロシアニン組成物を電荷発生剤として用い、バインダー樹脂とともに適当な溶媒により分散もしくは溶解した塗布液を、所定の下地となる支持体上に塗布し、必要に応じて乾燥させて形成することができる。
電荷移動層は、少なくとも後述する電荷移動剤を有するものであり、この電荷移動層は、例えば、その下地となる電荷発生層上に電荷移動剤をバインダー樹脂を用いて結着することにより形成することができる。
電荷移動層の形成方法としては、各種の方法を使用することができるが、通常の場合、電荷移動剤をバインダー樹脂とともに適当な溶媒により分散もしくは溶解した塗布液を、下地となる電荷発生層上に塗布し、乾燥させる方法を用いることができる。
また、電荷発生層と電荷移動層を上下逆に積層させた逆積層型電子写真感光体等についても適用することができる。さらに、電荷発生剤と電荷移動剤とを同一層に含有する単層型電子写真感光体にも適用できる。
また、電荷発生層と電荷移動層を上下逆に積層させた逆積層型電子写真感光体等についても適用することができる。さらに、電荷発生剤と電荷移動剤とを同一層に含有する単層型電子写真感光体にも適用できる。
本発明に用いることができる導電性支持体としては、アルミニウム、真鍮、ステンレス鋼、ニッケル、クロム、チタン、金、銀、銅、錫、白金、モリブデン、インジウム等の金属単体やそれらの合金の加工体が挙げられる。形状は、シート状、フイルム状、ベルト状等フレキシブルな形状であればいずれのものでもよく、そして、無端、有端を問わない。また、導電性支持体の直径は、60mm以下、好ましくは30mm以下のものが特に有効である。
この中でも、JIS3000系、JIS5000系、JIS6000系等のアルミニウム合金が用いられ、EI法、ED法、DI法、II法等一般的な方法により成形を行なったものであり、ダイヤモンドバイト等による表面切削加工や研磨、陽極酸化処理等の表面処理、またはこれらの加工、処理を行なわない無切削管などいずれのものでもよい。
また、基体として樹脂を用いる場合、樹脂中に金属粉や導電性カーボン等の導電剤を含有させたり、基体形成用樹脂として導電性樹脂を用いることもできる。
さらに、基体にガラスを用いる場合、その表面に酸化錫、酸化インジウム、ヨウ化アルミニウムで被覆し、導電性を持たせてもよい。
さらに、基体にガラスを用いる場合、その表面に酸化錫、酸化インジウム、ヨウ化アルミニウムで被覆し、導電性を持たせてもよい。
また、支持体上に樹脂層を形成してもよい。この樹脂層は接着向上機能、アルミニウム管からの流れ込み電流を防止するバリヤー機能、アルミニウム管表面の欠陥被覆機能等をもつ。この樹脂層には、ポリエチレン樹脂、アクリル樹脂、エポキシ樹脂、ポリカーボネート樹脂、ポリウレタン樹脂、塩化ビニル樹脂、酢酸ビニル樹脂、ポリビニルブチラール樹脂、ポリアミド樹脂、ナイロン樹脂、アルキド樹脂、メラミン樹脂等の各種樹脂を用いることができる。これらの樹脂層は、単独の樹脂で構成してもよく、2種類以上の樹脂を混合して構成してもよい。また、層中に金属化合物、カーボン、シリカ、樹脂粉末等を分散させることもできる。さらに、特性改善のために各種顔料、電子受容性物質や電子供与性物質等を含有させることもできる。
電荷発生剤としては、CuKαを線源とするX線回折スペクトルにおいてブラッグ角(2θ±0.2°)27.3°に最大ピークを示すオキシチタニウムフタロシアニンが用いられる。
なお、上記に示す回折ピークは、感光層が形成された後に感光層からオキシチタニウムフタロシアニンを抽出した状態において測定されたものである。このオキシチタニウムフタロシアニンを用いることにより、長波長域に優れた感度を有し、しかも使用環境特に湿度に影響されずに安定した特性を示す電子写真感光体を提供できる。
感光層中には、適切な光感度波長や増感作用を得るために、本発明のオキシチタニウムフタロシアニンとともに、本発明以外のオキシチタニウムフタロシアニンやアゾ顔料等を混合させることもできる。これらは、感度の相性が良い点で望ましい。その他、例えば、モノアゾ顔料、ビスアゾ顔料、トリスアゾ顔料、ポリアゾ顔料、インジゴ顔料、スレン顔料、トルイジン顔料、ピラゾリン顔料、ペリレン顔料、キナクリドン顔料、ピリリウム塩等を用いることができる。
感光層を形成するためのバインダー樹脂としては、ポリカーボネート樹脂、スチレン樹脂、アクリル樹脂、スチレン−アクリル樹脂、エチレン−酢酸ビニル樹脂、ポリプロピレン樹脂、塩化ビニル樹脂、塩素化ポリエーテル、塩化ビニル−酢酸ビニル樹脂、ポリエステル樹脂、フラン樹脂、ニトリル樹脂、アルキッド樹脂、ポリアセタール樹脂、ポリメチルペンテン樹脂、ポリアミド樹脂、ポリウレタン樹脂、エポキシ樹脂、ポリアリレート樹脂、ジアリレート樹脂、ポリスルホン樹脂、ポリエーテルスルホン樹脂、ポリアリルスルホン樹脂、シリコーン樹脂、ケトン樹脂、ポリビニルブチラール樹脂、ポリエーテル樹脂、フェノール樹脂、EVA(エチレン・酢酸ビニル)樹脂、ACS(アクリロニトリル・塩素化ポリエチレン・スチレン)樹脂、ABS(アクリロニトリル・ブタジエン・スチレン)樹脂及びエポキシアリレート等の樹脂がある。
それらは単体で用いてもよいが、2種以上混合して使用することも可能である。分子量の異なった樹脂を混合して用いた場合には、硬度や耐摩耗性を改善できて好ましい。
なお、感光層が電荷発生層と電荷移動層とからなる場合には、前記樹脂はどちらの層にも適用できる。
塗布液に使用する溶剤には、メタノール、エタノール、n−プロパノール、i−プロパノール、ブタノール等のアルコール類、ペンタン、ヘキサン、ヘプタン、オクタン、シクロヘキサン、シクロヘプタン等の飽和脂肪族炭化水素、トルエン、キシレン等の芳香族炭化水素、ジクロロメタン、ジクロロエタン、クロロホルム、クロロベンゼン等の塩素系炭化水素、ジメチルエーテル、ジエチルエーテル、テトラヒドロフラン(THF)、メトキシエタノール等のエーテル類、アセトン、メチルエチルケトン、メチルイソブチルケトン、シクロヘキサノン等のケトン類、ギ酸エチル、ギ酸プロピル、酢酸メチル、酢酸エチル、酢酸プロピル、酢酸ブチル、プロピオン酸メチル等のエステル類、ジエチルエーテル、ジメトキシエタン、テトラヒドロフラン、ジオキソラン、ジオキサン、あるいはアニソール等のエーテル系溶媒、N,N−ジメチルホルムアミド、ジメチルスルホキシド等がある。特にその中でも、ケトン系溶媒、エステル系溶媒、エーテル系溶媒、あるいはハロゲン化炭化水素系溶媒が好ましく、これらは単独、あるいは2種以上の混合溶媒として用いることができる。
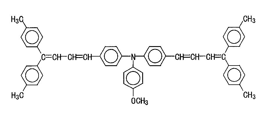
本発明の電子写真感光体には、電荷移動剤として一般式〔I〕で表される化合物が含有される。
上記電荷移動剤は、オキシチタニウムフタロシアニンとの相性がよく、耐環境性に強い電子写真感光体を提供できるものである。
一般式〔I〕に示す化合物において、特に式〔Ia〕〜〔Ij〕に示す化合物がオキシチタニウムフタロシアニンとの相性がよく好ましい。
以下、具体的化合物を示すがこれらに限定されるものではない。
以下、具体的化合物を示すがこれらに限定されるものではない。
この場合、電荷移動層中の一般式〔I〕で表される化合物の含有量は、結着樹脂1重量部に対し、0.3〜2.0重量部とすることが好ましい。この化合物の含有量が0.3重量部より少ないと、残留電位が上昇するなど電気特性が悪化する。他方、2.0重量部より多いと、耐摩耗性等の機械特性が低下する。
さらに、一般式〔I〕で表される化合物と他の電荷移動剤とを混合して用いることもできる。この場合、一般式〔I〕の化合物と他の化合物の含有比率は、〔I〕:他の化合物=50:50〜5:95、好ましくは30:70〜5:95の範囲がよい。
他の電荷移動剤としては、ポリビニルカルバゾール、ハロゲン化ポリビニルカルバゾール、ポリビニルピレン、ポリビニルインドロキノキサリン、ポリビニルベンゾチオフェン、ポリビニルアントラセン、ポリビニルアクリジン、ポリビニルピラゾリン、ポリアセチレン、ポリチオフェン、ポリピロール、ポリフェニレン、ポリフェニレンビニレン、ポリイソチアナフテン、ポリアニリン、ポリジアセチレン、ポリヘプタジイエン、ポリピリジンジイル、ポリキノリン、ポリフェニレンスルフィド、ポリフェロセニレン、ポリペリナフチレン、ポリフタロシアニン等の導電性高分子化合物を用いることができる。又、低分子化合物として、トリニトロフルオレノン、テトラシアノエチレン、テトラシアノキノジメタン、キノン、ジフェノキノン、ナフトキノン、アントラキノン及びこれらの誘導体、アントラセン、ピレン、フェナントレン等の多環芳香族化合物、インドール、カルバゾール、イミダゾール等の含窒素複素環化合物、フルオレノン、フルオレン、オキサジアゾール、オキサゾール、ピラゾリン、ヒドラゾン、トリフェニルメタン、トリフェニルアミン、エナミン、スチルベン等を使用することができる。また、ポリエチレンオキシド、ポリプロピレンオキシド、ポリアクリロニトリル、ポリメタクリル酸等の高分子化合物にLiイオン等の金属イオンをドープした高分子固体電解質等も用いることができる。さらに、テトラチアフルバレン−テトラシアノキノジメタンで代表される電子供与性化合物と電子受容性化合物で形成された有機電荷移動錯体等も用いることができ、これらを1種だけ添加して又は2種以上の化合物を混合して添加して、所望の感光体特性を得ることができる。
本発明の電子写真感光体を製造するための塗布液には、特性を損なわない範囲で、酸化防止剤、紫外線吸収剤、ラジカル捕捉剤、軟化剤、硬化剤、架橋剤等を添加して、感光体の特性、耐久性、機械特性の向上を図ることができる。特に、フェノール系酸化防止剤は感光体の耐久性向上に寄与し有用である。さらに、分散安定剤、沈降防止剤、色分かれ防止剤、レベリング剤、消泡剤、増粘剤、艶消し剤等を添加すれば、感光体の仕上がり外観や、塗布液の寿命を改善できる。
加えて、感光層の上に、ポリビニルホルマール樹脂、ポリカーボネート樹脂、フッ素樹脂、ポリウレタン樹脂、シリコーン樹脂等の有機薄膜や、シランカップリング剤の加水分解物で形成されるシロキサン構造体から成る薄膜を成膜して表面保護層を設けてもよく、その場合には、感光体の耐久性が向上するので好ましい。この表面保護層は、耐久性向上以外の他の機能を向上させるために設けてもよい。
本発明の電子写真感光体が搭載される電子写真装置としては、通常、帯電方式はブラシ、ローラーなどの接触式、スコロトロン、コロトロン等の非接触式の、いずれの方式でもよく、正負いずれの帯電電荷でもよい。露光方式は、LED,LD等いずれでもよい。現像方式は、2成分、1成分、磁性/非磁性いずれでもよい。転写方式もローラー、ベルト等いずれでもよい。
以下、本発明に係る電子写真感光体の実施例を実験例、比較例とともに詳細に説明する。
(実験例1)
直径24mmの無切削アルミニウムからなる円筒ドラム上に、アルミナ被覆された酸化チタン粒子とポリイミド樹脂とを重量比で1:1の割合で混合したものを塗布し、140℃で30分乾燥し、膜厚18.0μmの第1の下引層を形成した。次いで、前記下引層上に、熱硬化性樹脂としてのメラミン・アルキド樹脂と酸化チタンとを1:3の割合とし、メチルエチルケトンに溶解して塗布液として、前記下引層上に第2の下引層を0.7μmの膜厚で積層した。
直径24mmの無切削アルミニウムからなる円筒ドラム上に、アルミナ被覆された酸化チタン粒子とポリイミド樹脂とを重量比で1:1の割合で混合したものを塗布し、140℃で30分乾燥し、膜厚18.0μmの第1の下引層を形成した。次いで、前記下引層上に、熱硬化性樹脂としてのメラミン・アルキド樹脂と酸化チタンとを1:3の割合とし、メチルエチルケトンに溶解して塗布液として、前記下引層上に第2の下引層を0.7μmの膜厚で積層した。
次に、図2のX線回折ピークを示すβ型オキシチタニウムフタロシアニン粉末10gをガラスビーズとともにSUSポットに入れ、サンドミル分散装置で40時間乾式粉砕し、無定形のオキシチタニウムフタロシアニンとする。次いで、1,1,2−トリクロロエタン/ジクロロメタン/テトラヒドロフラン=7/2/1の割合で500ml用意し、これにポリビニルブチラール樹脂5gを溶解し、30分間ミリング後、上記SUSポットに入れ20時間分散し、得られた分散液をろ過してガラスビーズを取り去り、電荷発生層用塗布液を作成した。これを浸漬塗工後乾燥し、膜厚0.2μmの電荷発生層を形成した。
次にバインダー樹脂としてポリカーボネート樹脂と、電荷移動剤として、式〔Ia〕で表される化合物と、酸化防止剤として2,6−ジ−tert−ブチル−4−メチル−フェノールとを、重量比1.0:1.0:0.1で用意し、クロロホルムに溶解し、電荷移動層用塗工液を調製した。電荷発生層を形成した基体を該電荷移動層用塗工液に浸漬塗工し、100℃で60分乾燥し膜厚25.0μmの電荷移動層を形成し、電子写真感光体を作製した。
X線回折用検体試料の作成
実施例1で得られた感光体表面に事務用カッターで円周方向とそれに交差する円筒軸方向にそれぞれ切込みを入れ、一辺が約2cmの切れ目を形成させる。その切り目の入った部分よりピンセットを用いて感光膜を剥離する。4−メトキシ−4−メチルペンタノン15mlを50mlビーカーに入れ、その中に前記剥離膜を浸漬し、電荷移動層を完全に溶解させた後によくかき混ぜてゲル状の微細片として溶媒中に分散させる。これをテフロン(登録商標)製メンブランフィルター(Pore size 0.2μm)で吸引ろ過し、ろ過物をPTX 10mlで洗浄する。次にろ過物が内側になるようにメンブランフィルターをシリコン無反射板に密着させ、メンブランフィルターだけを剥がしてシリコン無反射板にオキシチタニウムフタロシアニンを付着させ、それを風乾しX線回折の検体試料とした。
実施例1で得られた感光体表面に事務用カッターで円周方向とそれに交差する円筒軸方向にそれぞれ切込みを入れ、一辺が約2cmの切れ目を形成させる。その切り目の入った部分よりピンセットを用いて感光膜を剥離する。4−メトキシ−4−メチルペンタノン15mlを50mlビーカーに入れ、その中に前記剥離膜を浸漬し、電荷移動層を完全に溶解させた後によくかき混ぜてゲル状の微細片として溶媒中に分散させる。これをテフロン(登録商標)製メンブランフィルター(Pore size 0.2μm)で吸引ろ過し、ろ過物をPTX 10mlで洗浄する。次にろ過物が内側になるようにメンブランフィルターをシリコン無反射板に密着させ、メンブランフィルターだけを剥がしてシリコン無反射板にオキシチタニウムフタロシアニンを付着させ、それを風乾しX線回折の検体試料とした。
X線回折
上記のように作成された検体試料を測定する場合は、薄膜法にて測定しX線源としてCuKα(波長1.54178Å)を用い、X線入射角度を0.5°とした。なお、オキシチタニウムフタロシアニン粉末を測定する場合は、粉末法にて測定しX線源としてCuKα(波長1.54178Å)を用いた。検体試料のX線回折図を図1に示す。図1によると、感光層から抽出されたオキシチタニウムフタロシアニンは、27.3°に特徴的な回折ピークを有し、かつ他の回折ピーク強度が27.3°の回折ピーク強度に対して20%以下である。
上記のように作成された検体試料を測定する場合は、薄膜法にて測定しX線源としてCuKα(波長1.54178Å)を用い、X線入射角度を0.5°とした。なお、オキシチタニウムフタロシアニン粉末を測定する場合は、粉末法にて測定しX線源としてCuKα(波長1.54178Å)を用いた。検体試料のX線回折図を図1に示す。図1によると、感光層から抽出されたオキシチタニウムフタロシアニンは、27.3°に特徴的な回折ピークを有し、かつ他の回折ピーク強度が27.3°の回折ピーク強度に対して20%以下である。
(実験例2)
実験例1で用いた電荷発生剤に代えて、図2で表されるブラッグ角(2θ±0.2°)7.0°、9.0°、18.0°、24.0°及び27.3°に回折ピークを有する電荷発生剤を用い、他は実施例1と同様にして電子写真感光体を作成した。
実験例1で用いた電荷発生剤に代えて、図2で表されるブラッグ角(2θ±0.2°)7.0°、9.0°、18.0°、24.0°及び27.3°に回折ピークを有する電荷発生剤を用い、他は実施例1と同様にして電子写真感光体を作成した。
(実施例1〜5)
実施例1と同様にして電子写真感光体を作成した。
実施例1と同様にして電子写真感光体を作成した。
(実施例6)
実施例1で用いた電荷移動剤に代えて、式〔Ib〕で表される電荷移動剤を用い、他は実験例1と同様にして電子写真感光体を作成した。
実施例1で用いた電荷移動剤に代えて、式〔Ib〕で表される電荷移動剤を用い、他は実験例1と同様にして電子写真感光体を作成した。
(実施例7)
実施例1で用いた電荷移動剤に代えて、式〔Ic〕で表される電荷移動剤を用い、他は実験例1と同様にして電子写真感光体を作成した。
実施例1で用いた電荷移動剤に代えて、式〔Ic〕で表される電荷移動剤を用い、他は実験例1と同様にして電子写真感光体を作成した。
(比較例1、2)
実施例1で用いられた電荷移動剤に代えて、式〔A〕で表される電荷移動剤を用い、他は実施例1と同様にして電子写真感光体を作成した。
実施例1で用いられた電荷移動剤に代えて、式〔A〕で表される電荷移動剤を用い、他は実施例1と同様にして電子写真感光体を作成した。
(比較例5)
実施例1で用いられた電荷発生剤に代えて、図3で表されるβ型オキシチタニウムフタロシアニンを用い、他は実施例1と同様にして電子写真感光体を作成した。
実施例1で用いられた電荷発生剤に代えて、図3で表されるβ型オキシチタニウムフタロシアニンを用い、他は実施例1と同様にして電子写真感光体を作成した。
(比較例6)
実施例1で用いられた電荷発生剤に代えて、図4で表されるα型オキシチタニウムフタロシアニンを用い、さらに実施例1で用いられた電荷移動剤に代えて、式〔Ib〕を用いた他は実施例1と同様にして電子写真感光体を作成した。
実施例1で用いられた電荷発生剤に代えて、図4で表されるα型オキシチタニウムフタロシアニンを用い、さらに実施例1で用いられた電荷移動剤に代えて、式〔Ib〕を用いた他は実施例1と同様にして電子写真感光体を作成した。
評価方法
評価方法は、以下に述べるとおりである。
〔静電特性の測定〕
電子写真感光体評価装置(山梨電子工業社製)を用い、実験例、実施例及び比較例によって作製された電子写真感光体を帯電、露光、現像、転写を1サイクルとして、1サイクル目の電位を初期とし、さらに1万サイクル後の表面電位(V0)、残留電位(VL)の静電特性を測定し、変化量を求めることにより評価した。
また、感光体が1回転するのに要する時間(sec)を表1の通り設定した。
その結果を表1に示す。
評価方法は、以下に述べるとおりである。
〔静電特性の測定〕
電子写真感光体評価装置(山梨電子工業社製)を用い、実験例、実施例及び比較例によって作製された電子写真感光体を帯電、露光、現像、転写を1サイクルとして、1サイクル目の電位を初期とし、さらに1万サイクル後の表面電位(V0)、残留電位(VL)の静電特性を測定し、変化量を求めることにより評価した。
また、感光体が1回転するのに要する時間(sec)を表1の通り設定した。
その結果を表1に示す。
表1から明らかなように、実験例1〜2、実施例1〜7は、本願発明の電荷発生剤と電荷移動剤との組み合わせにより、初期帯電電位、残留電位、1万サイクル後の帯電電位、残留電位も大きな変化がなく、感光体特性として良好なものであった。これに対し、実験例3、比較例1〜4は、本願発明の電荷発生剤と他の電荷移動剤との組み合わせにより、1万サイクル後の残留電位が大きく変化し、感光体特性として満足できるものでなかった。さらに比較例5,6も、他の電荷発生剤と本願発明の電荷移動剤との組み合わせによると、1万サイクル後の残留電位が大きく変化し、感光体特性として満足できるものでなかった。
また、本願発明によれば、感光体が1回転するのに要する時間が0.75sec以下であれば、さらに電位変化のない良好な感光体を提供できるものである。
Claims (10)
- 請求項1の電子写真感光体において、該オキシチタニウムフタロシアニンは、ブラッグ角(2θ±0.2°)27.3°に最大ピークを有し、かつ他の回折ピーク強度が27.3°の回折ピーク強度に対して20%以下の強度であることを特徴とする電子写真感光体。
- 請求項1の電子写真感光体において、該オキシチタニウムフタロシアニンは、ブラッグ角(2θ±0.2°)7.0°、9.0°、18.0°、24.0°及び27.3°に回折ピークを有することを特徴とする電子写真感光体。
- 請求項1の電子写真感光体において、該オキシチタニウムフタロシアニンは、少なくともバインダー樹脂とともに感光層中に分散されてなり、該感光層が形成された後に感光層から抽出した状態において、CuKαを線源とするX線回折スペクトルにおいてブラッグ角(2θ±0.2°)27.3°に最大ピークを有することを特徴とする電子写真感光体。
- 請求項1の電荷移動剤において、一般式〔III〕で表される電荷移動剤を含有することを特徴とする請求項1記載の電子写真感光体。
一般式〔III〕
〔式中、R24〜R27は、各々同一であっても異なっていてもよく、各々独立に水素原子、ハロゲン原子、炭素数1〜6のアルキル基若しくはアルコキシ基、又は置換基を有してもよいアリール基のいずれかを表し、R28は水素原子、ハロゲン原子、炭素数1〜6のアルキル基若しくはアルコキシ基、置換基を有してもよいアリール基、又は置換基を有してもよいアルケニル基若しくはアルカジエニル基、又は一般式(III’)のいずれかを表し、fは0又は1の整数を表す。〕
一般式〔III’〕
(式中、R29、R30は、各々同一であっても異なっていてもよく、各々独立に水素原子、ハロゲン原子、炭素数1〜6のアルキル基若しくはアルコキシ基、又は置換基を有してもよいアリール基のいずれかを表し、nは0又は1の整数を表す。) - 感光体の直径が30mm以下であることを特徴とする請求項1記載の電子写真感光体。
- 感光体が1回転するのに要する時間が0.75sec以下で回転すること特徴とする請求項1記載の電子写真感光体を搭載する電子写真装置。
Priority Applications (1)
| Application Number | Priority Date | Filing Date | Title |
|---|---|---|---|
| JP2004105490A JP2005292354A (ja) | 2004-03-31 | 2004-03-31 | 電子写真感光体 |
Applications Claiming Priority (1)
| Application Number | Priority Date | Filing Date | Title |
|---|---|---|---|
| JP2004105490A JP2005292354A (ja) | 2004-03-31 | 2004-03-31 | 電子写真感光体 |
Publications (1)
| Publication Number | Publication Date |
|---|---|
| JP2005292354A true JP2005292354A (ja) | 2005-10-20 |
Family
ID=35325365
Family Applications (1)
| Application Number | Title | Priority Date | Filing Date |
|---|---|---|---|
| JP2004105490A Pending JP2005292354A (ja) | 2004-03-31 | 2004-03-31 | 電子写真感光体 |
Country Status (1)
| Country | Link |
|---|---|
| JP (1) | JP2005292354A (ja) |
Cited By (3)
| Publication number | Priority date | Publication date | Assignee | Title |
|---|---|---|---|---|
| JP2007271962A (ja) * | 2006-03-31 | 2007-10-18 | Yamanashi Electronics Co Ltd | 電子写真感光体 |
| US8026027B2 (en) * | 2008-06-30 | 2011-09-27 | Xerox Corporation | (Enylaryl)bisarylamine containing photoconductors |
| US8278016B2 (en) * | 2008-06-11 | 2012-10-02 | Ricoh Company, Ltd. | Electrophotographic photoconductor |
-
2004
- 2004-03-31 JP JP2004105490A patent/JP2005292354A/ja active Pending
Cited By (3)
| Publication number | Priority date | Publication date | Assignee | Title |
|---|---|---|---|---|
| JP2007271962A (ja) * | 2006-03-31 | 2007-10-18 | Yamanashi Electronics Co Ltd | 電子写真感光体 |
| US8278016B2 (en) * | 2008-06-11 | 2012-10-02 | Ricoh Company, Ltd. | Electrophotographic photoconductor |
| US8026027B2 (en) * | 2008-06-30 | 2011-09-27 | Xerox Corporation | (Enylaryl)bisarylamine containing photoconductors |
Similar Documents
| Publication | Publication Date | Title |
|---|---|---|
| CN103376675B (zh) | 电子照相感光体、处理盒和成像装置 | |
| JP2013231866A (ja) | 電子写真感光体、プロセスカートリッジ、及び画像形成装置 | |
| JP2008250149A (ja) | 単層分散型感光体、電子写真装置 | |
| JP2007233351A (ja) | 電子写真感光体及び電子写真装置 | |
| JP5336826B2 (ja) | 電子写真感光体及び電子写真装置 | |
| JP2009175329A (ja) | 電子写真感光体及び電子写真装置 | |
| JP2007271962A (ja) | 電子写真感光体 | |
| JP2007206168A (ja) | 電子写真感光体並びに電子写真装置 | |
| JP2005292354A (ja) | 電子写真感光体 | |
| JP2009282458A (ja) | 電子写真感光体及び電子写真装置 | |
| JP5540965B2 (ja) | 電子写真感光体及び電子写真装置 | |
| JP2005227580A (ja) | 電子写真感光体 | |
| WO2007088770A1 (ja) | 電子写真感光体及び電子写真装置 | |
| JP2002107980A (ja) | 電子写真感光体 | |
| JP5540966B2 (ja) | 電子写真感光体及び電子写真装置 | |
| JP5472578B2 (ja) | 電子写真感光体及び画像形成装置 | |
| JP2002196519A (ja) | 電子写真感光体 | |
| JP5277716B2 (ja) | 電子写真感光体及び電子写真装置 | |
| JP2004061635A (ja) | 電子写真感光体 | |
| JP5590506B2 (ja) | 電子写真感光体及び電子写真装置 | |
| JP5540956B2 (ja) | 電子写真感光体及び電子写真装置 | |
| JP2008256851A (ja) | 電子写真感光体及び電子写真装置 | |
| JP5278661B2 (ja) | 電子写真感光体および電子写真装置 | |
| JP4623849B2 (ja) | フタロシアニン及びその製造方法、フタロシアニンを用いた光電変換素子及び電子写真感光体 | |
| JP5472580B2 (ja) | 電子写真感光体 |
