ES2717604T3 - Sistemas conservantes que comprenden tensioactivos catiónicos - Google Patents
Sistemas conservantes que comprenden tensioactivos catiónicos Download PDFInfo
- Publication number
- ES2717604T3 ES2717604T3 ES05776122T ES05776122T ES2717604T3 ES 2717604 T3 ES2717604 T3 ES 2717604T3 ES 05776122 T ES05776122 T ES 05776122T ES 05776122 T ES05776122 T ES 05776122T ES 2717604 T3 ES2717604 T3 ES 2717604T3
- Authority
- ES
- Spain
- Prior art keywords
- lae
- cationic
- cationic surfactant
- derived
- cationic surfactants
- Prior art date
- Legal status (The legal status is an assumption and is not a legal conclusion. Google has not performed a legal analysis and makes no representation as to the accuracy of the status listed.)
- Expired - Lifetime
Links
Classifications
-
- A—HUMAN NECESSITIES
- A61—MEDICAL OR VETERINARY SCIENCE; HYGIENE
- A61Q—SPECIFIC USE OF COSMETICS OR SIMILAR TOILETRY PREPARATIONS
- A61Q19/00—Preparations for care of the skin
- A61Q19/10—Washing or bathing preparations
-
- A—HUMAN NECESSITIES
- A23—FOODS OR FOODSTUFFS; TREATMENT THEREOF, NOT COVERED BY OTHER CLASSES
- A23B—PRESERVATION OF FOODS, FOODSTUFFS OR NON-ALCOHOLIC BEVERAGES; CHEMICAL RIPENING OF FRUIT OR VEGETABLES
- A23B2/00—Preservation of foods or foodstuffs, in general
- A23B2/70—Preservation of foods or foodstuffs, in general by treatment with chemicals
- A23B2/725—Preservation of foods or foodstuffs, in general by treatment with chemicals in the form of liquids or solids
- A23B2/729—Organic compounds; Microorganisms; Enzymes
- A23B2/742—Organic compounds containing oxygen
- A23B2/754—Organic compounds containing oxygen containing carboxyl groups
-
- A—HUMAN NECESSITIES
- A23—FOODS OR FOODSTUFFS; TREATMENT THEREOF, NOT COVERED BY OTHER CLASSES
- A23B—PRESERVATION OF FOODS, FOODSTUFFS OR NON-ALCOHOLIC BEVERAGES; CHEMICAL RIPENING OF FRUIT OR VEGETABLES
- A23B2/00—Preservation of foods or foodstuffs, in general
- A23B2/70—Preservation of foods or foodstuffs, in general by treatment with chemicals
- A23B2/725—Preservation of foods or foodstuffs, in general by treatment with chemicals in the form of liquids or solids
- A23B2/729—Organic compounds; Microorganisms; Enzymes
- A23B2/742—Organic compounds containing oxygen
- A23B2/754—Organic compounds containing oxygen containing carboxyl groups
- A23B2/758—Carboxylic acid esters
-
- A—HUMAN NECESSITIES
- A23—FOODS OR FOODSTUFFS; TREATMENT THEREOF, NOT COVERED BY OTHER CLASSES
- A23B—PRESERVATION OF FOODS, FOODSTUFFS OR NON-ALCOHOLIC BEVERAGES; CHEMICAL RIPENING OF FRUIT OR VEGETABLES
- A23B2/00—Preservation of foods or foodstuffs, in general
- A23B2/70—Preservation of foods or foodstuffs, in general by treatment with chemicals
- A23B2/725—Preservation of foods or foodstuffs, in general by treatment with chemicals in the form of liquids or solids
- A23B2/729—Organic compounds; Microorganisms; Enzymes
- A23B2/762—Organic compounds containing nitrogen
-
- A—HUMAN NECESSITIES
- A23—FOODS OR FOODSTUFFS; TREATMENT THEREOF, NOT COVERED BY OTHER CLASSES
- A23B—PRESERVATION OF FOODS, FOODSTUFFS OR NON-ALCOHOLIC BEVERAGES; CHEMICAL RIPENING OF FRUIT OR VEGETABLES
- A23B2/00—Preservation of foods or foodstuffs, in general
- A23B2/70—Preservation of foods or foodstuffs, in general by treatment with chemicals
- A23B2/725—Preservation of foods or foodstuffs, in general by treatment with chemicals in the form of liquids or solids
- A23B2/729—Organic compounds; Microorganisms; Enzymes
- A23B2/771—Organic compounds containing hetero rings
-
- A—HUMAN NECESSITIES
- A23—FOODS OR FOODSTUFFS; TREATMENT THEREOF, NOT COVERED BY OTHER CLASSES
- A23B—PRESERVATION OF FOODS, FOODSTUFFS OR NON-ALCOHOLIC BEVERAGES; CHEMICAL RIPENING OF FRUIT OR VEGETABLES
- A23B2/00—Preservation of foods or foodstuffs, in general
- A23B2/70—Preservation of foods or foodstuffs, in general by treatment with chemicals
- A23B2/725—Preservation of foods or foodstuffs, in general by treatment with chemicals in the form of liquids or solids
- A23B2/788—Inorganic compounds
-
- A—HUMAN NECESSITIES
- A23—FOODS OR FOODSTUFFS; TREATMENT THEREOF, NOT COVERED BY OTHER CLASSES
- A23B—PRESERVATION OF FOODS, FOODSTUFFS OR NON-ALCOHOLIC BEVERAGES; CHEMICAL RIPENING OF FRUIT OR VEGETABLES
- A23B4/00—Preservation of meat, sausages, fish or fish products
- A23B4/14—Preserving with chemicals not covered by groups A23B4/02 or A23B4/12
- A23B4/18—Preserving with chemicals not covered by groups A23B4/02 or A23B4/12 in the form of liquids or solids
- A23B4/20—Organic compounds; Microorganisms; Enzymes
-
- A—HUMAN NECESSITIES
- A23—FOODS OR FOODSTUFFS; TREATMENT THEREOF, NOT COVERED BY OTHER CLASSES
- A23B—PRESERVATION OF FOODS, FOODSTUFFS OR NON-ALCOHOLIC BEVERAGES; CHEMICAL RIPENING OF FRUIT OR VEGETABLES
- A23B4/00—Preservation of meat, sausages, fish or fish products
- A23B4/14—Preserving with chemicals not covered by groups A23B4/02 or A23B4/12
- A23B4/18—Preserving with chemicals not covered by groups A23B4/02 or A23B4/12 in the form of liquids or solids
- A23B4/24—Inorganic compounds
-
- A—HUMAN NECESSITIES
- A23—FOODS OR FOODSTUFFS; TREATMENT THEREOF, NOT COVERED BY OTHER CLASSES
- A23B—PRESERVATION OF FOODS, FOODSTUFFS OR NON-ALCOHOLIC BEVERAGES; CHEMICAL RIPENING OF FRUIT OR VEGETABLES
- A23B7/00—Preservation of fruit or vegetables; Chemical ripening of fruit or vegetables
- A23B7/14—Preserving or ripening with chemicals not covered by group A23B7/08 or A23B7/10
- A23B7/153—Preserving or ripening with chemicals not covered by group A23B7/08 or A23B7/10 in the form of liquids or solids
- A23B7/154—Organic compounds; Microorganisms; Enzymes
-
- A—HUMAN NECESSITIES
- A23—FOODS OR FOODSTUFFS; TREATMENT THEREOF, NOT COVERED BY OTHER CLASSES
- A23B—PRESERVATION OF FOODS, FOODSTUFFS OR NON-ALCOHOLIC BEVERAGES; CHEMICAL RIPENING OF FRUIT OR VEGETABLES
- A23B7/00—Preservation of fruit or vegetables; Chemical ripening of fruit or vegetables
- A23B7/14—Preserving or ripening with chemicals not covered by group A23B7/08 or A23B7/10
- A23B7/153—Preserving or ripening with chemicals not covered by group A23B7/08 or A23B7/10 in the form of liquids or solids
- A23B7/157—Inorganic compounds
-
- A—HUMAN NECESSITIES
- A61—MEDICAL OR VETERINARY SCIENCE; HYGIENE
- A61K—PREPARATIONS FOR MEDICAL, DENTAL OR TOILETRY PURPOSES
- A61K8/00—Cosmetics or similar toiletry preparations
- A61K8/18—Cosmetics or similar toiletry preparations characterised by the composition
- A61K8/30—Cosmetics or similar toiletry preparations characterised by the composition containing organic compounds
- A61K8/40—Cosmetics or similar toiletry preparations characterised by the composition containing organic compounds containing nitrogen
- A61K8/44—Aminocarboxylic acids or derivatives thereof, e.g. aminocarboxylic acids containing sulfur; Salts; Esters or N-acylated derivatives thereof
-
- A—HUMAN NECESSITIES
- A61—MEDICAL OR VETERINARY SCIENCE; HYGIENE
- A61K—PREPARATIONS FOR MEDICAL, DENTAL OR TOILETRY PURPOSES
- A61K8/00—Cosmetics or similar toiletry preparations
- A61K8/18—Cosmetics or similar toiletry preparations characterised by the composition
- A61K8/30—Cosmetics or similar toiletry preparations characterised by the composition containing organic compounds
- A61K8/40—Cosmetics or similar toiletry preparations characterised by the composition containing organic compounds containing nitrogen
- A61K8/44—Aminocarboxylic acids or derivatives thereof, e.g. aminocarboxylic acids containing sulfur; Salts; Esters or N-acylated derivatives thereof
- A61K8/442—Aminocarboxylic acids or derivatives thereof, e.g. aminocarboxylic acids containing sulfur; Salts; Esters or N-acylated derivatives thereof substituted by amido group(s)
-
- A—HUMAN NECESSITIES
- A61—MEDICAL OR VETERINARY SCIENCE; HYGIENE
- A61K—PREPARATIONS FOR MEDICAL, DENTAL OR TOILETRY PURPOSES
- A61K8/00—Cosmetics or similar toiletry preparations
- A61K8/18—Cosmetics or similar toiletry preparations characterised by the composition
- A61K8/30—Cosmetics or similar toiletry preparations characterised by the composition containing organic compounds
- A61K8/49—Cosmetics or similar toiletry preparations characterised by the composition containing organic compounds containing heterocyclic compounds
- A61K8/494—Cosmetics or similar toiletry preparations characterised by the composition containing organic compounds containing heterocyclic compounds with more than one nitrogen as the only hetero atom
- A61K8/4946—Imidazoles or their condensed derivatives, e.g. benzimidazoles
-
- A—HUMAN NECESSITIES
- A61—MEDICAL OR VETERINARY SCIENCE; HYGIENE
- A61Q—SPECIFIC USE OF COSMETICS OR SIMILAR TOILETRY PREPARATIONS
- A61Q19/00—Preparations for care of the skin
-
- A—HUMAN NECESSITIES
- A61—MEDICAL OR VETERINARY SCIENCE; HYGIENE
- A61K—PREPARATIONS FOR MEDICAL, DENTAL OR TOILETRY PURPOSES
- A61K2800/00—Properties of cosmetic compositions or active ingredients thereof or formulation aids used therein and process related aspects
- A61K2800/40—Chemical, physico-chemical or functional or structural properties of particular ingredients
- A61K2800/52—Stabilizers
- A61K2800/524—Preservatives
-
- Y—GENERAL TAGGING OF NEW TECHNOLOGICAL DEVELOPMENTS; GENERAL TAGGING OF CROSS-SECTIONAL TECHNOLOGIES SPANNING OVER SEVERAL SECTIONS OF THE IPC; TECHNICAL SUBJECTS COVERED BY FORMER USPC CROSS-REFERENCE ART COLLECTIONS [XRACs] AND DIGESTS
- Y02—TECHNOLOGIES OR APPLICATIONS FOR MITIGATION OR ADAPTATION AGAINST CLIMATE CHANGE
- Y02A—TECHNOLOGIES FOR ADAPTATION TO CLIMATE CHANGE
- Y02A40/00—Adaptation technologies in agriculture, forestry, livestock or agroalimentary production
- Y02A40/90—Adaptation technologies in agriculture, forestry, livestock or agroalimentary production in food processing or handling, e.g. food conservation
Landscapes
- Life Sciences & Earth Sciences (AREA)
- Engineering & Computer Science (AREA)
- Chemical & Material Sciences (AREA)
- Health & Medical Sciences (AREA)
- Wood Science & Technology (AREA)
- Zoology (AREA)
- Food Science & Technology (AREA)
- Polymers & Plastics (AREA)
- Public Health (AREA)
- Animal Behavior & Ethology (AREA)
- General Health & Medical Sciences (AREA)
- Veterinary Medicine (AREA)
- Chemical Kinetics & Catalysis (AREA)
- General Chemical & Material Sciences (AREA)
- Birds (AREA)
- Epidemiology (AREA)
- Inorganic Chemistry (AREA)
- Microbiology (AREA)
- Dermatology (AREA)
- Agricultural Chemicals And Associated Chemicals (AREA)
- Cosmetics (AREA)
- Food Preservation Except Freezing, Refrigeration, And Drying (AREA)
- Pharmaceuticals Containing Other Organic And Inorganic Compounds (AREA)
- Acyclic And Carbocyclic Compounds In Medicinal Compositions (AREA)
Description
DESCRIPCIÓN
Sistemas conservantes que comprenden tensioactivos catiónicos
Esta invención se refiere a nuevos sistemas conservantes a base de tensioactivos catiónicos.
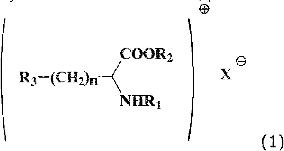
En la técnica se conoce el uso de un sistema conservante que comprende un tensioactivo catiónico, derivado de la condensación de ácidos grasos y aminoácidos dibásicos esterificados, que tiene la fórmula (1)
donde:
X- es Br-, Cl-, o HSO4-Ri: es una cadena de alquilo lineal de un ácido graso saturado o un hidroxi ácido que tiene de 8 a 14 átomos de carbono unidos al grupo a-amino a través de un enlace amida,
R2 : es una cadena de alquilo lineal o ramificada de 1 a 18 átomos de carbono o un grupo aromático y
R3 : es:
-NH
3
donde n es de 0 a 4.
Los tensioactivos catiónicos son conocidos como conservantes utilizados en la industria alimentaria. Debido a su composición, los productos alimentarios son susceptibles de actuar como medio de cultivo para microorganismos y esto constituye un posible riesgo para la salud humana. Así, los productos alimentarios requieren una buena protección contra la contaminación microbiana. Durante el uso prolongado, la clase de tensioactivos catiónicos ha resultado ser altamente efectiva contra la proliferación microbiana y, al mismo tiempo, segura para la ingesta en seres humanos y mamíferos en general.
Debido a su composición, muchos productos cosméticos son propensos a actuar como medio de cultivo para microorganismos, y esto posiblemente puede causar cambios en la preparación cosmética y constituir un riesgo para la salud humana. Por lo tanto, una composición cosmética necesariamente requiere una buena protección contra la contaminación microbiológica. Por esta razón, se utiliza un gran número de conservantes para inhibir o reducir la población microbiana.
La mayoría de los sistemas conservantes usados actualmente muestran incompatibilidades con la piel humana, como irritaciones y alergias, y también son tóxicos para los seres humanos. Por otra parte, se ha demostrado que los tensioactivos catiónicos derivados del ácido láurico y la arginina son sustancias protectoras contra los microorganismos, en particular, el éster etílico de la lauramida del monoclorhidrato de arginina, en lo sucesivo denominado LAE. En el uso práctico, LAE resultó ser bien tolerado y mostrar una toxicidad muy baja para los seres humanos. LAE tiene la estructura química de fórmula (2) que se muestra a continuación. Si en la presente solicitud hay una referencia a la parte catiónica de la molécula sin el contraión cargado negativamente, esta parte de la molécula se identificará como el compuesto catiónico LAE . La molécula completa, incluido el contraión, se caracteriza en función del tipo de contraión, LAE es la sal de clorhidrato y la sal bromhídrica correspondiente se caracterizaría como bromuro LAE o LAE Br.
El compuesto LAE es notable por su actividad contra diferentes microorganismos, como las bacterias, mohos y levaduras que pueden estar presentes en los productos alimentarios y también en formulaciones y preparaciones cosméticas, y su inocuidad para los seres humanos.
La preparación de los tensioactivos catiónicos se describe en la patente española ES 512643 y las solicitudes internacionales de patente WO96/21642, WO 01/94292 y WO 03/064669.
Se conocen interacciones entre los tensioactivos catiónicos y otras moléculas. Una combinación de los tensioactivos catiónicos con hidrocoloides aniónicos se describe en el documento WO 03/094638, esta combinación da lugar a la generación de compuestos sólidos que contienen aproximadamente compuestos estequiométricos del tensioactivo catiónico y el hidrocoloide aniónico. Una combinación adicional de los tensioactivos catiónicos se describe en el documento WO 02/087328, esta combinación que está relacionada con el sorbato de potasio, el sorbato de calcio o el ácido sórbico, que resultó ser altamente efectiva en la conservación de alimentos.
Una combinación adicional de los tensioactivos catiónicos se describe en el documento WO 03/013454, esta combinación que está relacionada con 2-bromo-2-nitro-1,3-propanodiol, parabenos, imidazolidinil urea, fenoxietanol, DMDM hidantoína, 2-metil-5-cloro-3,4-isotiazolinona/2-metil-3,4-isotiazolinona y quaternium-15, que se describen como particularmente adecuados en preparaciones cosméticas y dermatológicas.
Estos sistemas conservantes descritos en el documento WO 02/087328 y WO 03/094638 se caracterizan por su actividad sinérgica.
El documento WO 03/013453 se refiere a sistemas conservantes basados en LAE para el uso como tensioactivos catiónicos en preparaciones cosméticas.
El documento WO 03/034842 se refiere al uso de conservantes catiónicos a base de LAE como conservantes en preparaciones alimentarias.
El documento WO2006/125099 se refiere a composiciones antimicrobianas que comprenden LAE y al menos un metal antimicrobiano
Tanda, Kazutoshi et al. "Liquid make-up stock with good transparency, moisture retention and skin affinity" (patente JP10114618 A) se refiere a composiciones cosméticas, que pueden comprender un componente LAE.
Myazawa, Kyoshi et al. "Hair treatments containing amidoalkylamines and amino acid derivatives" (patente JP 5271035 A) se refiere a composiciones cosméticas, que pueden comprender un componente LAE.
Se ha encontrado ahora que la actividad antimicrobiana de las combinaciones de LAE y los otros compuestos definidos por la fórmula de acuerdo con las reivindicaciones con la mayoría de los conservantes iónicos y no iónicos comunes utilizados para proteger productos alimentarios y también formulaciones y preparaciones cosméticas es mayor que la actividad mostrada por cada uno de los componentes cuando se usan solas en la misma dosis. Se ha observado sinergia cuando se reducen las cantidades de los compuestos de la fórmula de acuerdo con las reivindicaciones y el otro antimicrobiano. Por lo tanto, también se han reducido los efectos tóxicos adversos y/o la irritación y/o alergia mostrados por las combinaciones de los conservantes.
Se ha observado en estudios prácticos que los tensioactivos catiónicos se hidrolizan parcialmente con la consecuencia de la reducción de sus efectos biológicos. Este fenómeno se puede observar en todos los productos frescos que se conservan con los tensioactivos catiónicos. Por ejemplo, se ha observado en la aplicación de LAE en productos frescos seleccionados de pescado, carne y verduras. Para mejorar la eficacia de los tensioactivos catiónicos en dichos productos, se necesita alguna herramienta para prolongar la acción biológica de los tensioactivos catiónicos.
Existe una necesidad permanente en los diferentes campos técnicos para lograr métodos de conservación más efectivos. En particular, existe un amplio interés en desarrollar nuevos sistemas de conservación que requieran cantidades reducidas de agentes conservantes en áreas donde está involucrado el contacto directo con los mamíferos, como en la conservación de preparaciones alimentarias y en agentes conservantes añadidos a los productos cosméticos.
Por lo tanto, el objetivo de la presente invención es proporcionar sistemas conservantes adicionales que sean más efectivos que los sistemas conservantes conocidos hasta ahora en la técnica. Más específicamente, el objetivo de la presente invención es proporcionar sistemas conservantes mejorados adicionales a base de LAE.
Este objeto se consigue proporcionando los tensioactivos catiónicos para ser utilizados como agentes conservantes como una sal de un ácido inorgánico u orgánico de acuerdo con las reivindicaciones. Como se ha indicado anteriormente, los tensioactivos catiónicos que se usarán como agentes conservantes son conocidos en la técnica como sales del ácido clorhídrico, ácido bromhídrico y ácido sulfúrico; estas opciones de ácidos inorgánicos están excluidas del alcance de esta realización de la invención. De lo demás, se puede usar cualquier ácido inorgánico u orgánico adecuado.
El objeto se consigue adicionalmente proporcionando el tensioactivo catiónico en combinación con una sal de un ácido orgánico o inorgánico o cualquier base de acuerdo con las reivindicaciones. Algunas sales ya se conocen en combinación con tensioactivos catiónicos, como ciertas sales del ácido sórbico; estas opciones están excluidas del alcance de la invención.
El objeto de la invención también se consigue proporcionando una combinación de los tensioactivos catiónicos de acuerdo con la invención con otro compuesto de éster o con una amida o inhibidor de enzima de acuerdo con las reivindicaciones.
El objeto de la invención también puede conseguirse proporcionando el tensioactivo catiónico en combinación con una molécula catiónica adicional de acuerdo con las reivindicaciones.
Y finalmente, el objeto de la invención se puede conseguir proporcionando el tensioactivo catiónico en una forma que hace que la molécula sea menos susceptible a la hidrólisis a través de la influencia de enzimas u otras fuentes, y también menos disponible para la interacción con otras sustancias. De acuerdo con este aspecto de la invención, el tensioactivo catiónico se separa de su entorno mediante la encapsulación en liposomas o micelas, u otras medidas similares, de acuerdo con las reivindicaciones.
La solicitud contiene los siguientes dibujos:
Figura 1. Acción conservante de diferentes sales de LAE en pollos cocidos, se muestran los valores medios de la determinación de log ufc/g por triplicado por día y tipo de tratamiento,
Figura 2. Acción conservante de la combinación de LAE con sales en salchichas Bratwurst, se muestran los valores medios de la determinación de log ufc/g por triplicado por día y tipo de tratamiento,
Fig. 3. Concentración de LAE después de la administración de una combinación de LAE y ésteres a garbanzos en remojo, se muestran los valores medios de las determinaciones de concentración por triplicado de LAE por día y tipo de tratamiento,
Fig. 4. Acción conservante de la combinación de LAE con ésteres en garbanzos en remojo, se muestran los valores medios de la determinación de log ufc/g por triplicado por día y tipo de tratamiento,
Fig. 5. Acción conservante de la combinación de LAE con una molécula catiónica en pollos cocidos, se muestran los valores medios de la determinación de log ufc/g por triplicado por día y tipo de tratamiento,
Fig. 6. Acción conservante de LAE encapsulado en pollos cocidos, se muestran los valores medios de la determinación de log ufc/g por triplicado por día y tipo de tratamiento.
Fig. 7. Acción conservante de la combinación de LAE encapsulado como la sal de acetato en combinación con otros compuestos éster y una sal de un ácido orgánico en pollos cocidos, se muestran los valores medios de la determinación de log ufc/g por triplicado por día y tipo de tratamiento.
I. Sales de tensioactivos catiónicos.
Ahora se describe el aspecto de proporcionar sales nuevas y más eficaces de los tensioactivos catiónicos.
La presente solicitud describe algunas nuevas formas de productos de los tensioactivos catiónicos de la fórmula de acuerdo con las reivindicaciones, en particular las nuevas sales.
Estas nuevas formas de productos de los tensioactivos catiónicos también están cubiertas por el término general "tensioactivos catiónicos", de modo que cuando hay una referencia en la presente solicitud a "tensioactivos catiónicos", se incluyen estas nuevas formas de productos, más en particular estas nuevas sales.
El contraión X- definido en la fórmula de acuerdo con las reivindicaciones es el contraión que se conoce en la
técnica. De acuerdo con el primer aspecto de la presente invención, los tensioactivos catiónicos correspondientes están provistos de contraiones que son diferentes de cloruro, bromuro y sulfato.
Los ácidos orgánicos, que pueden usarse como fuente para obtener el contraión adicional, son ácido cítrico, ácido láctico, ácido acético, ácido glutámico y ácido láurico.
Los ácidos inorgánicos, que pueden usarse como fuente para obtener el contraión adicional, son hexametafosfato de sodio.
Como fuente del anión en los tensioactivos catiónicos puede ser más adecuado usar una sal de los ácidos orgánicos e inorgánicos enumerados anteriormente. Se pueden utilizar las sales habituales de los ácidos orgánicos e inorgánicos.
Para la selección del anión no es importante que el compuesto original, en particular el ácido original o la sal original, a partir de la cual se deriva el anión, presente una acción conservante por sí mismo. El único criterio es que debe ser adecuado como anión en combinación con el agente conservante catiónico. Sin embargo, en caso de que el compuesto original muestre una acción conservante por sí mismo, entonces su combinación como anión con el agente conservante catiónico puede mostrar un perfil de actividad aún más favorable, en particular, se puede observar una acción conservante sinérgica.
Por ejemplo, las sales adecuadas de tensioactivos catiónicos son las sales de citrato, laurato, lactato.
La preparación de las nuevas sales de los tensioactivos catiónicos puede realizarse usando métodos que son habituales en la técnica.
Se puede disponer un cambio del contraión presente originalmente por medio de resinas de intercambio iónico aniónicas o catiónicas que incluyen las siguientes etapas
1. Equilibrio y disposición de la resina de intercambio iónico utilizando el contraión final deseado,
2. Procedimiento de intercambio mediante la adición de un tensioactivo catiónico de la fórmula de acuerdo con las reivindicaciones, con X- que es cualquier base apropiada, como Cl-),
3. Completar el proceso de intercambio,
4. Purificación opcional.
También se pueden usar otras formas convencionales de producir sales de tensioactivos catiónicos (es decir, metátesis, reacción ácido-base directa, etc.).
II. Combinación de tensioactivos catiónicos con sales.
Ahora se describe el aspecto del tensioactivo catiónico en combinación con una sal de un ácido orgánico o inorgánico.
Los productos alimentarios, así como los productos cosméticos, comprenden moléculas que tienen una carga negativa. Como los tensioactivos catiónicos pueden proporcionar fácilmente las partes iónicas cargadas de su molécula, la parte catiónica de la molécula puede interactuar con esta carga negativa y, por lo tanto, puede reducirse para lograr cualquier efecto biológico.
El propósito de añadir sales de ácidos orgánicos o inorgánicos o cualquier otra base orgánica o inorgánica adecuada es que las cargas negativas de las sales interactúen con el tensioactivo catiónico, de modo que cree una protección alrededor de la molécula del tensioactivo catiónico evitando que el tensioactivo catiónico interactúe con los elementos aniónicos en los productos alimentarios o los productos cosméticos. Esto dará lugar a una mejora de la actividad biológica del tensioactivo catiónico.
En general, la acción de las bacterias en productos alimentarios y productos cosméticos da lugar a la acidificación de estos productos. Cuando se usa una combinación del tensioactivo catiónico con una sal o bases adecuadas, se puede lograr un efecto de estabilización y control del valor de pH. Por lo tanto, se pueden mantener la estructura y la eficacia del tensioactivo catiónico.
Para la acción deseada de la combinación, se puede seleccionar cualquier sal de ácidos orgánicos o inorgánicos. Los ácidos orgánicos adecuados para la preparación de la sal son ácido cítrico, ácido láctico, ácido acético, ácido glutámico y ácido láurico. Los ácidos inorgánicos adecuados son ácido fosfórico, ácido sulfúrico, ácido nítrico y ácido clorhídrico.
Se pueden preparar sales de estos ácidos con cualquier catión biocompatible adecuado. Las sales adecuadas son, por ejemplo, citrato de sodio, acetato de sodio, laurato de sodio, lactato de sodio y hexametafosfato de sodio.
La combinación con algunas sales ya se ha descrito en la técnica, estas combinaciones conocidas están excluidas del alcance de la presente solicitud. Dichas combinaciones conocidas son, por ejemplo, la combinación de LAE con sorbato de calcio y sorbato de potasio.
La combinación del tensioactivo catiónico con la sal de un ácido orgánico o inorgánico se puede proporcionar como una forma sólida o como un líquido. Cuando la combinación se proporciona en forma sólida, contiene al menos un tensioactivo catiónico y al menos una sal de un ácido orgánico o inorgánico. El tensioactivo catiónico puede ser cualquiera de los tensioactivos catiónicos conocidos; se prefiere usar LAE. Si se usa LAE de acuerdo con la realización preferida, puede proporcionarse como la sal de cloruro, bromuro o sulfato como las preparaciones conocidas en la técnica, o puede proporcionarse como una sal diferente como se describe en otra parte en la presente solicitud. Diferentes sales del mismo tensioactivo catiónico pueden estar presentes al mismo tiempo. Pueden estar presentes diferentes tensioactivos catiónicos al mismo tiempo, dichos diferentes tensioactivos catiónicos que pueden proporcionarse en forma de sal igual o diferente.
Cuando la combinación del tensioactivo catiónico con la sal del ácido orgánico o inorgánico se proporciona como un líquido, se puede usar cualquier disolvente adecuado. Al disolver o dispersar el tensioactivo catiónico y la sal del ácido orgánico o inorgánico en el disolvente, la composición del objeto se puede producir de manera eficiente. Ejemplos de los disolventes adecuados incluyen alcoholes monohídricos tales como alcohol n-butílico, alcohol isobutílico, alcohol sec-butílico, alcohol t-butílico, alcohol n-amílico, alcohol isoamílico, alcohol sec-amílico, alcohol nhexílico, alcohol metil amílico, alcohol etil butílico, alcohol heptílico, alcohol n-octílico, alcohol sec-octílico, alcohol 2-etilhexílico, alcohol isooctílico, alcohol n-nonílico, 2,6-dimetil-4-heptanol, alcohol n-decílico y ciclohexanol; glicoles y alcoholes polihídricos tales como etilenglicol, dietilenglicol, trietilenglicol, tetraetilenglicol, propilenglicol, dipropilenglicol, 1,4-butilenglicol, 2,3-butilenglicol, hexilenglicol, octilenglicol y glicerol; celosolvas como etilenglicol monometil éter, etilenglicol etil éter, etilenglicol dietil éter, etilenglicol butil éter, etilenglicol dibutil éter, etilenglicol fenil éter, etilenglicol bencil éter, etilenglicol etil hexil éter, dietilenglicol etil éter, dietilenglicol dietil éter, dietilenglicol butil éter, dietilenglicol dibutil éter, propilenglicol metil éter, propilenglicol etil éter, propilenglicol butil éter, dipropilenglicol metil éter, dipropilenglicol etil éter, tripropilenglicol metil éter, tetraetilenglicol dimetil éter y tetraetilenglicol dibutil éter; éteres corona tales como benzo-15-corona-5, benzo-12-corona-4, benzo-18-corona-6 y dibenzo-18-corona-6; cetonas tales como etil butil cetona, dipropil cetona, metil amil cetona, metil hexil cetona y diisobutil cetona; y ácidos grasos tales como ácidos grasos que tienen de 3 a 30 átomos de carbono descritos anteriormente.
La concentración de la sal de un ácido orgánico o inorgánico disuelto o dispersado en el disolvente anterior no está particularmente limitada y puede seleccionarse adecuadamente de acuerdo con las circunstancias.
MI. Combinación de tensioactivos catiónicos con compuestos éster, amidas o inhibidores de enzimas.
Ahora se describe el aspecto adicional de proporcionar el tensioactivo catiónico en combinación con otro compuesto éster o amida.
Compuestos éster adecuados para este aspecto de la invención son citrato de trietilo y arginato de etilo. Si es apropiado, se pueden usar combinaciones de estos ésteres.
El tensioactivo catiónico puede estar presente en combinación con el compuesto éster adicional como una sal de bromuro, cloruro o sulfato convencional. Es más adecuado usar el tensioactivo catiónico como la sal de ácido acético, ácido láctico o ácido glutámico.
No hay pruebas científicas de la eficacia de la combinación de los tensioactivos catiónicos anteriores con otros compuestos éster o amidas, pero se supone que la presencia de un compuesto o amida más esterificado puede llevar a un retraso en la degradación enzimática de las moléculas del tensioactivo catiónico debido a un fenómeno similar a la competencia. Para el efecto antimicrobiano de los tensioactivos catiónicos anteriores, la molécula debe estar intacta. La hidrólisis del enlace éster o amida reduce el efecto antimicrobiano de los compuestos.
La unión más lábil presente en los tensioactivos catiónicos es la función éster que produce el ácido correspondiente. La amida unida es mucho más estable, pero también puede verse afectada por algún tipo de enzimas.
Como la intención de la combinación de los tensioactivos catiónicos con el compuesto éster adicional es reducir la descomposición a través de la influencia enzimática, es obvio que el mismo efecto final que se logra a través de la combinación con un compuesto éster adicional se puede conseguir a través de la combinación con un compuesto que inhibe directamente la actividad de hidrolización enzimática. Dicho inhibidor de enzimas es, por ejemplo, el producto genisteína.
Los tensioactivos catiónicos tienen una estructura que es fácilmente reconocible por la capacidad natural de metabolización de los seres vivos. Esta es una de las principales razones para explicar su baja toxicidad. Una de las desventajas de esta característica es que los tensioactivos catiónicos pueden hidrolizarse parcialmente por las enzimas naturales presentes en muchos productos alimentarios. Los productos alimentarios que tienen ingredientes crudos (verduras, carne, pescado, etc.) y cualquier producto alimentario en cuya preparación se añada un producto
crudo (incluso si finalmente se cocinan) pueden reducir la concentración efectiva de tensioactivos catiónicos.
Los inventores han descubierto que la adición de inhibidores enzimáticos mejora la eficacia de los tensioactivos catiónicos en estos tipos de productos. Además, la adición de ésteres o amidas simples, que no se conocen como inhibidores enzimáticos específicos, retrasa la hidrólisis de los tensioactivos catiónicos y mejora su eficacia. Incluso si la degradación no es significativa (5-10 % de la cantidad inicial de los tensioactivos catiónicos), la eficacia se mejora sustancialmente, probablemente, porque la homogeneidad/eficiencia es mejor.
Muchos productos cosméticos contienen aditivos naturales que aún pueden tener alguna actividad enzimática remanente. Aparte de eso, los productos cosméticos, por definición, se aplican en la piel, dentro de la boca, etc. En todas estas aplicaciones, los productos cosméticos llegarán a estar en contacto con enzimas activas.
Al igual que en los productos alimentarios, se ha descubierto que la adición de inhibidores enzimáticos mejora la eficacia de los productos cosméticos. Además, la adición de ésteres o amidas simples, que no se conocen como inhibidores enzimáticos específicos, retrasa la hidrólisis de los tensioactivos catiónicos y mejora su eficacia. Incluso si la degradación no es significativa (5-10 % de la cantidad inicial de los tensioactivos catiónicos) la eficacia se mejora sustancialmente, probablemente, porque la eficiencia es mejor.
Ejemplos de retardadores e inhibidores enzimáticos son, por ejemplo, ésteres, amidas e inhibidores de enzimas, como se enumeran a continuación.
Ésteres:
1. Cualquier alcohol éster de aminoácidos, es decir, arginato de etilo,
2. Ésteres de ácidos grasos de glicerol, mono, di y tri-acilglicéridos,
3. Triacetina, diacetina,
4. Ésteres de ácidos grasos del ácido ascórbico,
5. Ésteres acéticos, lácticos, cítricos, tartáricos de mono y diglicéridos,
6. Sucroésteres de ácido graso,
7. Sucroglicéridos,
8. Cualquier otra molécula de éster adecuada.
Amidas:
1. Péptidos naturales, dipéptidos, proteínas, etc.,
2. Cualquier molécula de amida adecuada, por ejemplo, acetamida de arginina.
Inhibidores de enzimas:
1. Genisteína,
2. Azúcares y péptidos de altramuz.
3. Cualquier otro inhibidor enzimático adecuado.
Los ésteres adecuados en relación con este aspecto de la invención son arginato de etilo.
La combinación del tensioactivo catiónico con el éster, la amida o el inhibidor de enzimas se puede proporcionar en forma sólida o líquida. Si la combinación del tensioactivo catiónico con un éster, una amida o un inhibidor de enzimas se proporciona en forma líquida, se pueden usar varios disolventes. Los ejemplos de disolventes incluyen alcoholes monohídricos tales como alcohol n-butílico, alcohol isobutílico, alcohol sec-butílico, alcohol t-butílico, alcohol n-amílico, alcohol isoamílico, alcohol sec-amílico, alcohol n-hexílico, alcohol metilamílico, alcohol etilbutílico, alcohol heptílico, alcohol n-octílico, alcohol sec-octílico, alcohol 2-etilhexílico, alcohol isooctílico, alcohol n-nonílico, 2,6-dimetil-4-heptanol, alcohol n-decílico y ciclohexanol; glicoles y alcoholes polihídricos tales como etilenglicol, dietilenglicol, trietilenglicol, tetraetilenglicol, propilenglicol, dipropilenglicol, 1,4-butilenglicol, 2,3-butilenglicol, hexilenglicol, octilenglicol y glicerol; celosolvas como etilenglicol monometil éter, etilenglicol etil éter, etilenglicol dietil éter, etilenglicol butil éter, etilenglicol dibutil éter, etilenglicol fenil éter, etilenglicol bencil éter, etilenglicol etil hexil éter, dietilenglicol etil éter, dietilenglicol dietil éter, dietilenglicol butil éter, dietilenglicol dibutil éter, propilenglicol metil éter, propilenglicol etil éter, propilenglicol butil éter, dipropilenglicol metil éter, dipropilenglicol etil éter, tripropilenglicol metil éter, tetraetilenglicol dimetil éter y tetraetilenglicol dibutil éter; éteres corona tales como benzo-15-corona-5, benzo-12-corona-4, benzo-18-corona-6 y dibenzo-18-corona-6; cetonas tales como etil butil cetona, dipropil cetona, metil amil cetona, metil hexil cetona y diisobutil cetona; y ácidos grasos tales como ácidos grasos que tienen de 3 a 30 átomos de carbono descritos anteriormente.
IV. Combinación de tensioactivos catiónicos con otros compuestos catiónicos.
Ahora se describe el aspecto adicional de proporcionar el tensioactivo catiónico en combinación con otro compuesto catiónico.
Debido a sus altas características de tensioactivo catiónico, los tensioactivos catiónicos tienen la tendencia a unirse a sitios aniónicos de matrices complejas a las que se aplican. Dichas matrices complejas cubren productos alimentarios y formulaciones cosméticas. Estos sitios aniónicos en las matrices complejas pueden comprender proteínas, glicoproteínas, tensioactivos, sílice, etc.
Si los tensioactivos catiónicos se mezclan con otras moléculas catiónicas, su actividad se mejora sorprendentemente. Esto se debe a que los tensioactivos catiónicos son más libres de unirse a los microorganismos que a otros sitios aniónicos que ya se han bloqueado por las moléculas catiónicas añadidas. En otras palabras, se reduce la disponibilidad de sitios aniónicos en el material que se va a tratar mediante la aplicación de los tensioactivos catiónicos.
La otra molécula catiónica que se mezcla con los tensioactivos catiónicos no tiene que mostrar necesariamente ningún efecto conservante propio. Por supuesto, si la otra molécula catiónica tiene alguna actividad de conservación conocida (incluso si es leve), entonces se puede observar una sinergia y en ese caso la combinación puede ser sorprendentemente efectiva.
Ejemplos generales de moléculas catiónicas comprenden:
1. glucosamina y otras monosacárido-aminas,
2. quitosano, oligómeros de quitosano y otras poliaminas como polilisina, etc.
3. polisacáridos catiónicos (es decir, almidón catiónico),
4. aminoácidos y péptidos catiónicos, por ejemplo, ácido glutámico,
5. ésteres de aminoácidos,
6. lipoplexos y
7. Cualquier otra molécula catiónica adecuada.
Un ejemplo adecuado de los agentes catiónicos anteriores es el arginato de etilo.
La combinación del tensioactivo catiónico con el otro compuesto catiónico se puede proporcionar en forma sólida o líquida. Si la combinación del tensioactivo catiónico con un éster, una amida o un inhibidor de enzimas se proporciona en forma líquida, se pueden usar varios disolventes. Los ejemplos de disolventes incluyen alcoholes monohídricos tales como alcohol n-butílico, alcohol isobutílico, alcohol sec-butílico, alcohol t-butílico, alcohol namílico, alcohol isoamílico, alcohol sec-amílico, alcohol n-hexílico, alcohol metilamílico, alcohol etilbutílico, alcohol heptílico, alcohol n-octílico, alcohol sec-octílico, alcohol 2-etilhexílico, alcohol isooctílico, alcohol n-nonílico, 2,6-dimetil-4-heptanol, alcohol n-decílico y ciclohexanol; glicoles y alcoholes polihídricos tales como etilenglicol, dietilenglicol, trietilenglicol, tetraetilenglicol, propilenglicol, dipropilenglicol, 1,4-butilenglicol, 2,3-butilenglicol, hexilenglicol, octilenglicol y glicerol; celosolvas como etilenglicol monometil éter, etilenglicol etil éter, etilenglicol dietil éter, etilenglicol butil éter, etilenglicol dibutil éter, etilenglicol fenil éter, etilenglicol bencil éter, etilenglicol etil hexil éter, dietilenglicol etil éter, dietilenglicol dietil éter, dietilenglicol butil éter, dietilenglicol dibutil éter, propilenglicol metil éter, propilenglicol etil éter, propilenglicol butil éter, dipropilenglicol metil éter, dipropilenglicol etil éter, tripropilenglicol metil éter, tetraetilenglicol dimetil éter y tetraetilenglicol dibutil éter; éteres corona tales como benzo-15-corona-5, benzo-12-corona-4, benzo-18-corona-6 y dibenzo-18-corona-6; cetonas tales como etil butil cetona, dipropil cetona, metil amil cetona, metil hexil cetona y diisobutil cetona; y ácidos grasos tales como ácidos grasos que tienen de 3 a 30 átomos de carbono descritos anteriormente.
V. Tensioactivos catiónicos en forma encapsulada.
Ahora se describe el aspecto adicional de proporcionar el tensioactivo catiónico en forma encapsulada o protegida físicamente.
Los alimentos procesados y los productos cosméticos comprenden algunas moléculas o aditivos que tienen una carga negativa. Dado que los tensioactivos catiónicos son moléculas catiónicas, pueden interactuar con esta carga negativa y la actividad de los tensioactivos catiónicos como conservante se reduciría en consecuencia.
Aparte de eso, estos conservantes catiónicos poseen una estructura que es fácilmente reconocible por el metabolismo natural de los seres vivos. Esta es una de las principales razones para explicar su baja toxicidad. Una de las desventajas de esta característica es que los tensioactivos catiónicos pueden ser parcialmente hidrolizados por enzimas naturales presentes en muchos productos alimentarios y cosméticos y/o en muchas aplicaciones alimentarias o cosméticas.
Las técnicas de encapsulación/recubrimiento (físicas, químicas, debido a las características tensioactivas de los tensioactivos catiónicos) son formas conocidas de proteger los aditivos e ingredientes de condiciones de almacenamiento agresivas o para modificar la velocidad de liberación de estos productos. Las características tensioactivas de los tensioactivos catiónicos implican una gran variedad potencial de estructuras de autoagregación (micelas, líquidos cristalinos, etc.).
En teoría, estas técnicas no serían útiles para evitar el contacto de los tensioactivos catiónicos con sitios aniónicos y/o enzimas, porque una vez que el tensioactivo catiónico se ha liberado interactuaría inmediatamente con sitios aniónicos o con enzimas y, por lo tanto, su actividad disminuiría como si no estuviera cubierto.
Sorprendentemente, la cobertura de los tensioactivos catiónicos por medios fisicoquímicos aumenta su eficiencia. Aprovechar las diferentes estructuras de autoagregación también aumenta la eficiencia de los tensioactivos catiónicos. Se ha observado que diferentes técnicas de encapsulación dan lugar a una estabilidad mejorada en diferentes circunstancias de temperatura, pH, humedad y otras. También mejora la estabilidad de los tensioactivos catiónicos contra la influencia de la degradación enzimática.
Las explicaciones de este comportamiento inesperado pueden estar basadas en el hecho de que los tensioactivos catiónicos interactúan más preferiblemente con microorganismos que con sitios aniónicos y enzimas y una vez que ha hecho contacto con los microorganismos, este contacto es permanente e irreversible. Por lo tanto, todas estas técnicas de encapsulación eventualmente dan lugar a un aumento de la actividad de los tensioactivos catiónicos. Las técnicas de encapsulación pueden basarse en métodos físicos (enfriamiento por aspersión, secado por aspersión, atomización de disco rotatorio, recubrimiento en lecho fluido, coextrusión de boquilla estacionaria, coextrusión de cabezal centrífugo, coextrusión de boquilla sumergida, recubrimiento de bandeja, etc.).
O, en métodos químicos (separación de fases, evaporación de disolventes, extracción de disolventes, polimerización interfacial, coacervación simple y compleja, polimerización in situ, tecnología de liposomas, nano-encapsulación, etc.).
Debido a las características tensioactivas de los tensioactivos catiónicos, pueden existir otras formas potenciales de encapsular/cubrir los tensioactivos catiónicos o cambiar física/químicamente la forma de añadir los tensioactivos catiónicos. Por ejemplo, micelas mixtas, emulsiones aceite en agua, emulsiones agua en aceite, microemulsiones (o/w, w/o o bicontinuas), emulsión de múltiples capas, solubilización de los tensioactivos catiónicos en diferentes disolventes o con diferentes sales o productos disueltos para cambiar la autoagregación de los tensioactivos catiónicos (micelas (tamaño y cantidad), líquido cristalino, etc.), etc.
Se pueden usar los siguientes agentes de recubrimiento:
1. aceites vegetales, animales o minerales, por ejemplo, aceite de palma (punto de fusión 35-80 °C);
2. grasas vegetales, animales o minerales;
3. biopolímeros vegetales o animales;
4. tensioactivos (no iónicos, aniónicos, catiónicos);
5. lecitina;
6. ciclodextrinas y
7. Cualquier otro producto adecuado que pueda cubrir los tensioactivos catiónicos.
VI. Combinación de diferentes mejoras de eficacia.
En las secciones anteriores I a V se han descrito diferentes sistemas conservantes, cada uno con el objetivo de mejorar los sistemas conservantes que se conocen en la técnica. Se han encontrado diferentes soluciones para la mejora de la actividad biológica de tensioactivos catiónicos como LAE. Cada una de estas soluciones es capaz de mejorar el efecto logrado mediante la adición de LAE solo.
Es posible combinar las diferentes soluciones descritas en las secciones anteriores. En la sección I se ha descrito la diferencia de la actividad biológica de diferentes sales de LAE. Las sales del ácido sulfúrico, ácido clorhídrico y ácido bromhídrico se conocían en la técnica y la mejora se detectó sorprendentemente mediante la sustitución del contraión con otros contraiones, como acetato, glutamato y lactato. Otra opción de mejora es la combinación de tensioactivos catiónicos como LAE con una sal de un ácido orgánico o inorgánico. Se encontró que la combinación de LAE con una sal de un ácido orgánico tal como, por ejemplo, citrato de sodio, condujo a una mejora de la eficacia biológica. Esta prueba podría proporcionarse para la versión habitual de LAE, que es la forma de cloruro. Una opción adicional obvia según la invención es combinar las diferentes soluciones de la invención. Por lo tanto, una realización adicional de la presente invención es combinar las diferentes sales de LAE, como por ejemplo la sal de acetato, la sal de glutamato y la sal de lactato con una sal de ácido inorgánico u orgánico. De manera similar, las otras realizaciones de acuerdo con la invención pueden combinarse para obtener realizaciones mejoradas adicionales.
Ejemplos
La invención se explica ahora con más detalle a través de los siguientes ejemplos.
Para la determinación de los efectos logrados por los sistemas conservantes de acuerdo con la invención, se utilizan los siguientes métodos experimentales:
(1) Determinación de la acción conservante en productos cosméticos.
El método se basa en las Pruebas de eficacia antimicrobiana USP 24a edición, 1999 (págs. 1809-1811). Su finalidad es la demostración de que la actividad antimicrobiana de los sistemas conservantes según la invención es suficiente para evitar el crecimiento microbiano no deseado que podría tener un impacto negativo en el almacenamiento y uso de la preparación, y evitar los efectos adversos de la contaminación (real Farmacopea Española, 1a Edición, 1997). Este ensayo consiste en la contaminación de las formulaciones protectoras con una mezcla de inóculo de 108 ufc/ml de concentración, para cada uno de los microorganismos, y la determinación del número de células viables con el tiempo. Esta mezcla de inóculo está compuesta por los siguientes microorganismos:
Pseudomonas aeruginosa ATCC9027
Staphylococcus aureus ATCC6538
Candida albicans ATCC10231
Aspergillus niger ATCC16404
Eschetichia coli ATCC8739
La composición cosmética a analizar se divide en recipientes estériles con 50 g de producto para cada matraz. Cada recipiente se inocula con 0,5 ml de inóculo (108 ufc/ml). La concentración objetivo es de 106 ufc/ml, aproximadamente. Todos los contenedores se mantienen a una temperatura entre 20-25 °C y están protegidos de la luz.
El nivel de contaminación microbiana se verifica a las 0 horas, 7 días, 14 días y 28 días. El número de colonias se evalúa por dilución en una peptona tampón con el agente neutralizante apropiado del conservante. Los medios de cultivo utilizados para el recuento de los microorganismos son: Triptona de soja (35-37 °C, 48 horas) para la determinación de bacterias; Agar Sabouraud con cloranfenicol para hongos y levaduras (25 °C, 3-5 días).
Según las Pruebas de eficacia antimicrobiana USP 24a Edición, 1999 (pp. 1809-1811), un conservante antimicrobiano se considera efectivo en productos de uso tópico hechos con bases o vehículos acuosos, productos nasales y emulsiones no estériles, incluidos los aplicados a las membranas mucosas, si:
✓ no se alcanza una reducción logarítmica de menos de 2,0 a partir del recuento de bacterias calculado inicialmente a los 14 días y no se detecta ningún aumento desde el recuento de los 14 días a los 28 días; y ✓ no se observa ningún aumento del recuento inicial calculado de levaduras y mohos.
(2) Determinación de la acción conservante en pechuga de pollo.
Proceso de preparación
1. La pechuga de pollo fresca se cortó en pedazos.
2. Se añadió salmuera (8,70 % de cloruro de sodio y 4,35 % de tripolifosfato en agua) al pollo fresco en una cantidad de 11,5 g de salmuera por 88,5 g de carne en la preparación de control y 11,5 g de salmuera y 88,4 g de carne en las preparaciones tratadas con conservante.
3. La salmuera y la carne se mezclaron durante 15 minutos, en las preparaciones tratadas con conservante, el conservante se añadió después de 14 minutos en una cantidad de 0,2 g/kg.
4. Se realizó un volteo de refrigeración al vacío durante 30 minutos.
5. Las muestras se envasaron al vacío en bolsas estériles y se cocinaron a 85 °C durante 30 minutos.
6. El pollo cocinado fue refrigerado a 4 °C.
7. El pollo cocinado se cortó en cubitos en formas irregulares.
8. Luego, los trozos se almacenaron a 10 °C en bolsas estériles envasadas al vacío.
Análisis
Las muestras se analizaron por triplicado (recuento total de aeróbicos) después del almacenamiento durante 7, 14, 21, 28, 35, 42, 49 y 56 días. El recuento total de aeróbicos se analizó con el uso de 25 g de cada muestra en 225 g de agua de peptona tamponada. Se hicieron diluciones en agua de peptona tamponada. El agar de triptona de soja se recogió con cada dilución y se incubó a 35 °C durante 48 horas.
Se calculó el valor medio en log ufc/g de tres muestras por tratamiento y día de análisis.
(3) Determinación de la acción conservante en salchichas Bratwurst.
Salchicha Bratwurst
Proceso de preparación
Los ingredientes para todas las muestras fueron: lomo de cerdo picado, vientre, especias, sal y aditivos (proteína de
la leche, difosfato, antioxidante (E-300) y realce del sabor (E-621)).
1. En el cortador, la carne de lomo de cerdo picada se trituró y los ingredientes se añadieron en este orden: los aditivos (excepto el sistema conservante), el vientre, las especias y el sistema conservante (como el tensioactivo catiónico solo o en combinación con otros productos). También se añadió hielo para controlar la temperatura (máximo 5 °C) de la carne. El tiempo de mezcla fue de 12 minutos.
2. La masa se mezcló al vacío (92 %) durante 1 minuto.
3. La mezcla se embutió en tripas naturales. Las tripas se empaparon previamente en una solución de agua salada durante 30 minutos.
4. Las salchichas Bratwurst se pusieron en un carrito de cocina. La cocción se realizó en un horno a 80 °C durante 1 hora.
5. Después de la cocción, las salchichas Bratwurst se rociaron con agua fría durante 5 minutos y se pusieron en una cámara de frío (0-5 °C, 24 horas).
6. Al día siguiente, las salchichas Bratwurst se empaquetaron (cada una contenía cinco salchichas) y se pasteurizaron a 80 °C durante 30 minutos y entonces, se sumergieron en agua fría durante 30 minutos.
7. Finalmente, las salchichas Bratwurst se marcaron y almacenaron a 5 °C durante 90 días.
Análisis
Las muestras se analizaron (recuento total de aeróbicos) durante hasta 90 días. El recuento total de aeróbicos se analizó digiriendo 25 g de salchicha en 225 g de agua de peptona tamponada. Se hicieron diluciones en agua de peptona tamponada. El agar de triptona de soja se recogió con cada dilución y se incubó a 35 °C durante 48 horas. Se calcularon los valores promedio en log ufc/g de tres muestras por tratamiento y día de análisis.
(4) Determinación de la acción conservante en garbanzos en remojo.
Garbanzos en remojo
Los garbanzos son los ingredientes principales en muchas comidas listas para comer. Antes de cocinarlos, los garbanzos se deben remojar en agua a temperatura ambiente durante 24 horas. Durante este período, pueden ocurrir procesos de fermentación y, por lo tanto, los garbanzos no serían adecuados para comer. El proceso de remojo no se puede hacer a temperaturas de refrigeración, ya que la estructura de los garbanzos podría dañarse. Proceso de preparación
1. Los garbanzos se empaparon en agua durante 24 horas a 30 °C y el 50 % de HR (en las muestras tratadas, se añadió conservante en este punto); y
2. Después de 24 horas los garbanzos se colaron.
Análisis
Las muestras se analizaron (recuento total de aeróbicos y concentración del tensioactivo catiónico) por triplicado durante 24 horas.
El recuento total de aeróbicos se analizó digiriendo 25 g de garbanzos en 225 g de agua de peptona tamponada. Se hicieron diluciones en agua de peptona tamponada. El agar de triptona de soja se recogió con cada dilución y se incubó a 35 °C durante 48 horas.
Se calcularon los valores promedio en log ufc/g de tres muestras por tratamiento y día de análisis.
LAE se analizó mediante HPLC utilizando un método validado internamente.
En los siguientes ejemplos específicos, se describen con más detalle los productos según la invención y los efectos antimicrobianos mostrados por ellos.
Ejemplo 1 (Referencia)
Preparación de cloruro de LAE
La preparación del cloruro de LAE (LAE) se realizó de la manera descrita en las solicitudes internacionales de patente WO96/21642 y WO 01/94292.
Ejemplo 2
Preparación de acetato de LAE.
La resina Amberlite IRA402 (en forma de cloruro) se lavó con agua. Se introdujo una solución de acetato de sodio (Fluka) y después la resina se lavó nuevamente con agua. Se introdujo una solución de LAE en la columna de resina y se recogieron las fracciones. Las fracciones recogidas se liofilizaron. El acetato de LAE se obtiene como un polvo
blanco sólido.
Ejemplo 3
Preparación de lactato de LAE.
La resina Amberlite IRA402 (en forma de cloruro) se lavó con agua. Se introdujo una solución de lactato de sodio (Fluka) y después la resina se lavó nuevamente con agua. Se introdujo una solución de LAE en la columna de resina y se recogieron las fracciones. Las fracciones recogidas se liofilizaron. El lactato de LAE se obtiene como un polvo blanco sólido.
Ejemplo 4
Preparación de glutamato de LAE.
La resina Amberlite IRA402 (en forma de cloruro) se lavó con agua. Se introdujo una solución de glutamato de sodio (Fluka) y después la resina se lavó nuevamente con agua. Se introdujo una solución de LAE en la columna de resina y se recogieron las fracciones. Las fracciones recogidas se liofilizaron. El lactato de LAE se obtiene como un polvo blanco sólido.
Ejemplo 5
LAE encapsulado con aceite de palma (LAE palm)
Se rociaron 20 g de aceite de palma fundido caliente a 60 °C sobre 80 g de LAE en una máquina mezcladora de alta cizalla. El producto final se enfrió a temperatura ambiente.
El aceite de palma se obtuvo en la empresa Vandermoortele.
Ejemplo 6
LAE emulsionado con aceite de soja (LAE emSy)
Se disolvieron 20 g de LAE en 60 g de agua caliente, se agitó con Ultra Turrax®, se añadieron lentamente 20 g de aceite de soja con agitación y el producto final se enfrió muy rápido.
El aceite de soja se obtuvo en la empresa Mateo.
Ejemplo 7
LAE en la lecitina (LAE leci)
Se disolvieron 10 g de LAE y 10 g de lecitina en THF a 30 °C, evaporando el THF a 70 °C, dispersando la mezcla en agua y extruyendo a través de una membrana de 200 nm 5 veces.
La lecitina se obtuvo en Aldrich.
Ejemplo 8
LAE con Tween 20 (LAE T20)
Se disolvieron 20 g de LAE Cl y 20 g de Tween 20 en 60 g de agua.
Tween se obtuvo en Panreac.
Ejemplo 9
Sales de tensioactivos catiónicos
Aplicación en productos alimentarios.
Como método de prueba se eligió la determinación de la acción conservante en la pechuga de pollo.
Tratamientos
La preparación de los productos utilizados en este ejemplo se ha descrito en los ejemplos 1 a 4.
1. Control (sin tratamiento añadido): BI
2. LAE 0,2 g/kg: LAE
3. Acetato de LAE 0,2 g/kg: LAE Ac
4. Lactato de LAE 0,2 g/kg; LAE La
5. Glutamato de LAE 0,2 g/kg: LAE Gl
Todas las concentraciones en los tratamientos anteriores se relacionan con la cantidad de tensioactivo catiónico conservante por kg de producto final.
Resultados
Los datos experimentales se proporcionan en la Tabla 1. Una representación gráfica se muestra en la Figura 1. Las muestras de pollo cocinado tratado con LAE tienen un recuento por debajo de 4,0 log ufc/g durante 5 semanas. Las muestras de control al mismo tiempo tienen 6,7 log ufc/g que pueden considerarse como ya pasadas.
En contraste, las muestras de pollo tratadas con LAE combinadas con acetato, lactato o glutamato tienen un recuento por debajo de 4,0 log ufc/g incluso a las 8 semanas (3 semanas más tarde que con LAE).
A las 8 semanas, las muestras de pollo tratado con LAE combinadas con acetato, lactato o glutamato están 1,5 log ufc/g por debajo de las muestras de pollo tratado con LAE.
Todas las muestras tratadas tienen un aspecto agradable y correcto al final del experimento.
Las muestras de control a las 8 semanas han llegado a 8,3 log ufc/g, huelen muy mal y se detecta la presencia de líquido viscoso.
Tabla 1.
R l l r n r i l
Todos los resultados se expresan en log ufc/g
Ejemplo 10
Sales de tensioactivos catiónicos.
Aplicación en productos cosméticos.
Como método de prueba, se eligió el método anterior para la determinación de la acción conservante en productos cosméticos.
Emulsión aceite en agua
La composición de la formulación cosmética en emulsión de aceite en agua, con tensioactivo no iónico, es (en g):
Polisorbato 60 3,00
Estearato de sorbitán 2,00
Alcohol cetílico 1,00
Parafina 3,00
Miristato de isopropilo 3,00
Triglicéridos caprílico-caproico 3,00
Dimeticona 0,50
Propilenglicol 3,00
Goma de celulosa 0,25
Carbómero 940 0,10
Trietanolamina 0,10
Agua 100 csp
Los productos utilizados se obtuvieron en las siguientes fuentes: Polisorbato 60: Uniqema; estearato de sorbitán: Uniqema; alcohol cetílico: Degussa; parafina: Impex; miristato de isopropilo: Degussa; triglicéridos caprílico-caproico: Degussa; dimeticona: Degussa; propilenglicol: Quimidroga; goma de celulosa: Hercules; carbómero 940: Degussa y trietanolamina: Quimidroga.
La preparación de la emulsión de aceite en agua fue la siguiente: los ingredientes del aceite (polisorbato 60, estearato de sorbitán, alcohol cetílico, parafina, miristato de isopropilo, triglicéridos caprílico-caproico, dimeticona) se mezclaron y calentaron a 75 °C. La fase acuosa (que consiste en propilenglicol, goma de celulosa, carbómero 940 y agua) también se calentó a 75 °C.
La fase oleosa se añadió a la fase acuosa con agitación de aproximadamente 5000 rpm mediante Ultraturrax. La emulsión se completó en 2 minutos. La emulsión se enfrió rápidamente a temperatura ambiente mientras se agitaba a una velocidad baja de 20 rpm. Se añadió trietanolamina para ajustar el pH a 6-7.
Esta formulación se completa con los diferentes sistemas conservantes y su capacidad de conservación se evalúa contra la formulación sin LAE (control).
1. Control (sin tratamiento añadido): BI
2. LAE 0,2 g/kg: LAE
3. Acetato de LAE 0,2 g/kg: LAE Ac
4. Lactato de LAE 0,2 g/kg; LAE La
5. Glutamato de LAE 0,2 g/kg: LAE Gl
La concentración indicada es en g por kg de la emulsión de aceite en agua.
Los resultados se muestran en la siguiente tabla 2.
Tabla 2.
Los resultados se proporcionan en log ufc/g.
A los 28 días no se detecta ningún aumento en comparación con el recuento a los 14 días.
Por lo tanto, está claro que las emulsiones de aceite en agua tratadas con LAE y LAE X- donde X- es acetato, lactato y glutamato se conservan de manera efectiva.
Cambiar el contraión Cl- por otros aniones (como acetato, lactato o glutamato) aumenta las reducciones logarítmicas de los microorganismos inoculados en más de 1 log ufc/ml.
La conservación con LAE X- donde X- es acetato, lactato y glutamato se mejora en comparación con LAE.
Ejemplo 11
Combinación con sales de ácidos orgánicos/inorgánicos.
Aplicación en productos alimentarios.
Se utilizó el método de prueba de la determinación de la acción conservante en salchichas Bratwurst.
Tratamientos
1. Control (sin tratamiento añadido) Control
2. LAE 0,2 g/kg LAE
3. LAE 0,2 g/kg citrato de sodio 3,0 g/kg LAE NaC
4. LAE 0,2 g/kg hexametafosfato de sodio 3,0 g/kg LAE NaP
El citrato de sodio se obtuvo en: Quimidroga, hexametafosfato de sodio en BK Giulini Chemie.
Todas las concentraciones en los tratamientos anteriores se relacionan con la cantidad de compuesto conservante por kg de salchicha Bratwurst.
Resultados microbiológicos
En la Tabla 3 y la Figura 2 correspondiente se muestra que en el día 45 las muestras de control tienen un recuento de más de 4 log ufc/g, sin embargo, las muestras tratadas con LAE tienen 2,8 log ufc/g y las muestras tratadas con combinaciones de LAE con citrato de sodio y hexametafosfato de sodio tienen 2,0 log ufc/g.
En el día 75, las muestras de control se consideran pasadas, las muestras tratadas con LAE ya tienen un recuento de más de 4 log ufc/g y si las muestras se tratan con las combinaciones de LAE con citrato de sodio y hexametafosfato de sodio, este recuento mejora, 3 log ufc/g.
Por lo tanto, un tratamiento de LAE en combinación con sales es incluso más efectivo que un tratamiento con LAE solo.
Durante 90 días, todas las muestras tratadas con LAE solo o en combinación tienen un buen aspecto y color, pero en las muestras de control se observó un líquido viscoso en la superficie de la salchicha.
Tabla 3.
Los resultados se expresan en log ufc/g.
Resultados fisicoquímicas
La evolución del pH de los cuatro tratamientos se analizó durante los 90 días. No se observó diferencia entre los valores de pH en ninguna de las muestras tratadas y de control. Por lo tanto, la adición de LAE combinada con sales no influyó en las características de pH de las salchichas Bratwurst.
Ejemplo 12.
Combinación con sales de ácidos orgánicos/inorgánicos.
Aplicación en productos cosméticos.
Como método de prueba, se eligió el método anterior para la determinación de la acción conservante en productos cosméticos.
Geles de baño
Se preparó la siguiente composición de una formulación para un gel de baño (en g):
Laurilsulfato de sodio (sol. 27 %) 14,00
Cocamidopropil betaína 6,00
Cocoamfoacetato disódico 6,00
Ácido láctico 0,25
Cloruro de sodio 0,50
Agua 100 csp
Esta formulación se aplica en geles de baño.
Los productos utilizados se obtuvieron en las siguientes fuentes: laurilsulfato de sodio: Cognis; cocamidopropil betaína: Degussa; cocoamfoacetato de disodio: Impex; ácido láctico: Purac y cloruro de sodio: Panreac.
Esta formulación se completa con los diferentes tratamientos y su capacidad de conservación se evalúa frente a la formulación sin LAE (control).
1. Control (sin tratamiento añadido) Control
2. LAE 0,2 g/kg LAE
3. LAE 0,2 g/kg citrato de sodio 3,0 g/kg LAE NaC
4. LAE 0,2 g/kg hexametafosfato de sodio 3,0 g/kg LAE NaP
Resultados microbiológicos
Los datos experimentales se proporcionan en la Tabla 4.
Tabla 4
Los resultados se expresan en log ufc/g.
No se observaron recuentos de aeróbicos, mohos y levaduras el día 28. Según los resultados del estudio, si un gel de baño se trata con las combinaciones de LAE con citrato de sodio y hexametafosfato de sodio, se conserva de manera efectiva.
Un tratamiento del gel de baño con citratos o fosfatos reduce el log de microorganismos inoculados en más de 2 log ufc/ml. El conservante combinado tiene una eficacia aún mejor como conservante que LAE sin sales.
Resultados fisicoquímicos
La evolución del pH de los cuatro tratamientos se analizó durante los 28 días. No se observó diferencia entre los valores de pH en ninguna de las muestras tratadas o en las muestras de control. Por lo tanto, la adición de LAE combinada con sales no influyó en las características de pH del gel de baño.
Ejemplo 13.
Combinación de tensioactivos catiónicos con otro compuesto de éster.
Aplicación en productos alimentarios.
Se utilizó el método de prueba de determinación de la acción conservante y la concentración en los garbanzos. Tratamientos
1. Control (sin tratamiento añadido) BI
2. Se añadió LAE 0,2 g/kg en agua de remojo LAE
3. Se añadieron LAE 0,2 g/kg citrato de trietilo 1,0 g/kg en agua de remojo LAE tECs 4. Se añadieron LAE 0,2 g/kg arginato de etilo 1,0 g/kg en agua de remojo LAE EtAr Resultados de la concentración de LAE
En la Figura 3 y en la Tabla 5 se muestran los datos expresados como % de la concentración inicial.
Como se puede observar en la figura y en los datos de la tabla, la hidrólisis de LAE alcanza casi el 10 % de la dosis original después de 24 horas.
Por otro lado, esta hidrólisis se retrasa en la combinación de LAE con citrato de trietilo y con arginato de etilo. A las 24 horas se mantiene la dosis inicial para ambos tratamientos.
Tabla 5.
Datos de concentración método HPLC ex resados como % de la dosis inicial
Resultados de aerobios en garbanzos.
Los datos experimentales se proporcionan en la Tabla 6. Una representación gráfica se muestra en la Figura 4. Las muestras de garbanzos en remojo tratados con LAE tuvieron un recuento ligeramente superior a 4,0 log ufc/g después de 24 horas de remojo.
Las muestras de control al mismo tiempo tenían 8,4 log ufc/g, que se pueden considerar como ya pasadas.
En contraste, las muestras de garbanzos tratados con LAE en combinación con arginato de etilo o citrato de trietilo tuvieron un recuento de alrededor de 3,0 log ufc/g después de 24 horas de remojo (1 log más bajo que con LAE). Después de 24 horas, las muestras de garbanzos tratados con LAE mezclado con arginato de etilo o LAE mezclado con citrato de trietilo fueron de 1,0 log ufc/g por debajo de las muestras de pollo tratado con LAE.
Todas las muestras tratadas tuvieron una apariencia agradable y correcta al final del experimento.
Las muestras de control, incluso a las 16 horas, habían llegado a 7,3 log ufc/g y el olor era muy malo y el aspecto general no era atractivo.
Tabla 6.
Los resultados se expresan en log ufc/g.
Ejemplo 14
Combinación de tensioactivos catiónicos con moléculas catiónicas
Aplicación en productos alimentarios.
Como método de prueba se eligió la determinación de la acción conservante en la pechuga de pollo. Tratamientos
1. Control (sin tratamiento añadido): BI
2. LAE 0,2 g/kg: LAE
3. LAE 0,2 g/kg arginato de etilo 1,0 g/kg: LAE EtAr
El arginato de etilo se obtuvo en Aldrich.
Todas las concentraciones en los tratamientos anteriores se refieren a la cantidad de compuesto conservante por kg de carne.
Resultados
Los resultados se muestran en la siguiente Tabla 7. Una representación gráfica se muestra en la Figura 5.
Las muestras de pollo cocinado tratadas con LAE tienen un recuento inferior a 4,0 log ufc/g durante 5 semanas. Las muestras de control al mismo tiempo tienen 6,9 log ufc/g que pueden considerarse ya pasadas.
En contraste, las muestras de pollo tratado con LAE mezclado con arginato de etilo tienen un recuento por debajo de 4,0 log ufc/g incluso a las 8 semanas (3 semanas más tarde que con LAE).
A las 8 semanas, las muestras de pollo tratado con LAE mezclado con arginato de etilo están 1,5 log ufc/g por debajo de las muestras de pollo tratado con LAE.
Todas las muestras tratadas tienen un aspecto agradable y correcto al final del experimento.
Las muestras de control a las 8 semanas han llegado a 8,5 log ufc/g, huelen muy mal y se detecta la presencia de líquido viscoso.
Tabla 7.
R l l r n r i l
Los resultados se expresan en log ufc/g.
Ejemplo 15.
Combinación de tensioactivos catiónicos con moléculas catiónicas.
Aplicación en productos cosméticos.
Como método de prueba, se eligió el método anterior para la determinación de la acción conservante en productos cosméticos.
Geles de baño
Se preparó la siguiente composición de una formulación para un gel de baño (en g):
Laurilsulfato de sodio (sol. 27 %) 14,00
Cocamidopropil betaína 6,00
Cocoamfoacetato disódico 6,00
Ácido láctico 0,25
Cloruro de sodio 0,50
Agua 100 csp
Los productos utilizados se obtuvieron en las siguientes fuentes: laurilsulfato de sodio: Cognis; cocamidopropil betaína: Degussa; cocoamfoacetato de disodio: Impex; ácido láctico: Purac y cloruro de sodio: Panreac.
Esta formulación se aplica en geles de baño para obtener una solución acuosa.
Esta formulación se completó con la adición de diferentes conservantes y su capacidad de conservación se evaluó frente a la formulación sin LAE (control).
1. Control (sin tratamiento añadido) BI
2. LAE 0,2 g/kg LAE
3. LAE 0,2 g/kg arginato de etilo 1,0 g/kg LAE EtAr
La concentración indicada está en g por kg de la formulación.
Los resultados se muestran en la siguiente Tabla 8.
Tabla 8
Los resultados se proporcionan en log ufc/g
A los 28 días no se detectó ningún aumento en comparación con el recuento después de 14 días.
En conclusión, está claro que un gel de baño tratado con una combinación de LAE con arginato de etilo se conserva de manera efectiva.
La adición de arginato de etilo aumenta las reducciones logarítmicas de microorganismos inoculados en más de 1 log ufc/ml.
Se mejora la conservación con LAE mezclado con arginato de etilo.
Ejemplo 16.
Encapsulación de tensioactivos catiónicos
Aplicación en productos alimentarios
Pechuga de pollo cocida
Tratamientos
1. Control (sin tratamiento añadido) BI
2. LAE 0,2 g/kg LAE
3. LAE encapsulado con aceite de palma 0,20 g de LAE/kg LAE palm
4. Emulsión de LAE con aceite de soja 0,20 g de LAE/kg. LAE emSy
5. LAE en lecitina 0,20 g de LAE/kg LAE leci
6. LAE con Tween 20 a 0,20 g de LAE/kg LAE t20
Resultados
Los datos experimentales se proporcionan en la Tabla 9. Una representación gráfica se muestra en la Figura 6. Las muestras de pollo cocinado tratadas con LAE tienen un recuento por debajo de 4,0 log ufc/g durante 5 semanas. Las muestras de control al mismo tiempo tienen 6,9 log ufc/g que pueden considerarse ya pasadas.
En contraste, las muestras de pollos tratados con LAE encapsulados con diferentes tecnologías tienen recuentos por debajo de 4,0 log ufc/g incluso a las 8 semanas (3 semanas más tarde que con LAE).
Todas las muestras tratadas tienen un aspecto agradable y correcto al final del experimento.
Las muestras de control a las 8 semanas han llegado a 8,5 log ufc/g, huelen muy mal y se detecta la presencia de líquido viscoso.
Tabla 9.
Los resultados se expresan en log ufc/g.
Ejemplo 17
Encapsulación de tensioactivos catiónicos
Aplicación en productos cosméticos.
Emulsión de aceite en agua con un emulsionante iónico
La composición de una emulsión de aceite en agua con un emulsionante iónico, utilizada como formulación cosmética, es (en g):
Ácido esteárico 1,90
Estearato de glicerilo SE 2,80
Alcohol cetílico 1,80
Parafina 3,10
Miristato de isopropilo 3,00
Triglicéridos caprílico-caproico 3,00
Dimeticona 0,40
Propilenglicol 3,00
Goma de celulosa 0,50
Trietanolamina 1,05
Agua 100 csp
Los productos utilizados se obtuvieron en las siguientes fuentes: ácido esteárico: Uniqema; estearato de glicerilo: Degussa; alcohol cetílico: Degussa; parafina: Impex; miristato de isopropilo: Degussa; triglicéridos caprílico-caproico: Degussa; dimeticona: Degussa; propilenglicol: Quimidroga; goma de celulosa: Hercules y trietanolamina: Quimidroga.
La preparación de la emulsión de aceite en agua con un emulsionante iónico fue la siguiente: los ingredientes del aceite (ácido esteárico, estearato de glicerilo SE, alcohol cetílico, parafina, miristato de isopropilo, triglicéridos caprílico-caproico, dimeticona) se mezclaron y calentaron a 75 °C. La fase acuosa (que consiste en propilenglicol, goma de celulosa, trietanolamina y agua) también se calentó a 75 °C.
La fase oleosa se añadió a la fase acuosa con agitación de aproximadamente 5000 rpm mediante Ultraturrax. La emisión se completó en 2 minutos. La emulsión se enfrió rápidamente a temperatura ambiente mientras se agitaba a una velocidad baja de 20 rpm. Se añadió trietanolamina para ajustar el pH a 6-7.
Esta formulación se completa con los diferentes tratamientos y su capacidad de conservación se evalúa frente a la formulación sin LAE (control).
1. Control (sin tratamiento añadido) BI
2. LAE 0,2 g/kg LAE
3. LAE encapsulado con aceite de palma 0,20 g de LAE/kg LAE palm
4. Emulsión de LAE con aceite de soja 0,20 g de LAE/kg LAE emSy
5. LAE en lecitina a 0,20 g de LAE/kg LAE leci
6. LAE con Tween 20 a 0,20 g de LAE/kg LAE t20
Los datos experimentales se proporcionan en la Tabla 10.
Tabla 10
Los resultados están en log ufc/g
A los 28 días no se ha detectado ningún aumento en el recuento de los 14 días.
✓ Por lo tanto, está claro que la emulsión de aceite en agua con un emulsionante iónico tratado con LAE a 0,2 g/kg (LAE), LAE encapsulado con aceite de palma a 0,20 g de LAE/kg (LAE palm), emulsión de LAE con aceite de soja a 0,20 g de LAE/kg (LAE emSy), LAE en lecitina a 0,20 g de LAE/kg (LAE leci) y LAE con Tween 20 a 0,20 g de LAE/kg (LAE t20) se conservan efectivamente.
Los tratamientos de LAE cubierto/encapsulado (LAE encapsulado con aceite de palma a 0,20 g de LAE/kg (LAE palm), emulsión de LAE con aceite de soja a 0,20 g de LAE/kg (LAE emSy), LAE en lecitina a 0,20 g LAE/kg (LAE leci) y LAE con Tween 20 a 0,20 g de LAE/kg (LAE t20) aumentan las reducciones logarítmicas de microorganismos inoculados en más de 1 log ufc/ml.
Por lo tanto, los tratamientos de la LAE cubierto/encapsulado dan lugar a mejores resultados en comparación con LAE.
Ejemplo 18
Encapsulación de tensioactivos catiónicos y combinación con compuestos de sal y éster
Aplicación en productos alimentarios
Pechuga de pollo cocida
Tratamientos
1. Control (sin tratamiento añadido) BI 2. LAE a 0,2 g/kg LAE 3. Acetato de LAE en lecitina a 0,2 g de LAE/kg arginato de etilo a 1,0 g/kg citrato de sodio a 3,0 LAE g/kg citrato de trietilo a 1,0 g/kg SYN Los resultados se muestran en la siguiente Tabla 11.
Tabla 11
Los resultados se expresan en log ufc/g.
Las muestras de pollo cocinado tratadas con LAE tuvieron un recuento por debajo de 4,0 log ufc/g durante 5 semanas.
Las muestras de control al mismo tiempo tenían 7,1 log ufc/g, que pueden considerarse ya pasadas.
En contraste, las muestras de pollo tratadas con LAE SYN tuvieron recuentos por debajo de 2,5 log ufc/g incluso a las 8 semanas.
A las 8 semanas, las muestras de pollo tratado con LAE SYN estaban 3,5 log ufc/g por debajo de las muestras de pollo tratado con LAE.
Todas las muestras tratadas tuvieron una apariencia agradable y correcta al final del experimento.
Las muestras de control a las 8 semanas habían llegado a 8,6 log ufc/g. Olían muy mal y se detectó la presencia de líquido viscoso.
Ejemplo 19
Aplicación en productos cosméticos
Como método de prueba, se eligió el método anterior para la determinación de la acción conservante en productos cosméticos.
Geles de baño
Se preparó la siguiente composición de una formulación para un gel de baño (en g):
Laurilsulfato de sodio (sol. 27 %) 14,00
Cocamidopropil betaína 6,00
Cocoamfoacetato disódico 6,00
Ácido láctico 0,25
Cloruro de sodio 0,50
Agua 100 csp
Los productos utilizados se obtuvieron en las siguientes fuentes: laurilsulfato de sodio: Cognis; cocamidopropil betaína: Degussa; cocoamfoacetato de disodio: Impex; ácido láctico: Purac y cloruro de sodio: Panreac.
Esta formulación se aplica en geles de baño para obtener una solución acuosa.
Esta formulación se completó con la adición de diferentes conservantes y su capacidad de conservación se evaluó frente a la formulación sin LAE (control).
1. Control (sin tratamiento añadido) BI 2. LAE a 0,2 g/kg LAE 3. Acetato de LAE en lecitina a 0,2 g de LAE/kg arginato de etilo a 1,0 g/kg citrato de sodio a 3,0 LAE g/kg citrato de trietilo a 1,0 g/kg SYN
Los datos experimentales se proporcionan en la Tabla 12. Una representación gráfica se muestra en la Figura 7.
Tabla 12
Resultados en log ufc/g
A los 28 días no se ha detectado ningún aumento en el recuento de los 14 días.
Por lo tanto, está claro que el gel de baño tratado con LAE SYN se conserva efectivamente porque:
✓ Se alcanza una reducción del recuento de bacterias de más de 2,0 logaritmos respecto al recuento calculado inicialmente a los 14 días y no se detecta ningún aumento del recuento de 14 días a los 28 días
✓ No se observa ningún aumento en el recuento inicial calculado de levaduras y mohos.
LAE SYN aumenta las reducciones logarítmicas de microorganismos inoculados en más de 1 log ufc/ml.
La conservación con LAE SYN se mejora en comparación con LAE solo.
Claims (12)
2. Sistema conservante que consiste en una combinación de un tensioactivo catiónico, derivado de la condensación de ácidos grasos y aminoácidos dibásicos esterificados, que tiene la fórmula:
en donde
X- es un anión derivado de ácidos orgánicos o inorgánicos, y
al menos una sal de un ácido orgánico o inorgánico seleccionada del grupo que consiste en citrato de sodio, lactato de sodio, acetato de sodio, laurato de sodio y hexametafosfato de sodio.
3. Sistema conservante que consiste en una combinación de un tensioactivo catiónico, derivado de la condensación de ácidos grasos y aminoácidos dibásicos esterificados, que tiene la fórmula:
en donde
X- es un anión derivado de ácidos orgánicos o inorgánicos, y
al menos un compuesto de éster, amida o inhibidor de enzimas, seleccionado del grupo que consiste en arginato de etilo y citrato de trietilo.
4. Sistema conservante que consiste en un tensioactivo catiónico, derivado de la condensación de ácidos grasos y aminoácidos dibásicos esterificados, que tiene la fórmula:
en donde
X- es un anión derivado de ácidos orgánicos o inorgánicos, y
al menos una molécula catiónica, en donde la al menos una molécula catiónica es arginato de etilo.
6. Sistema conservante según la reivindicación 5, en el que la al menos una forma encapsulada es una emulsión de aceite en agua.
7. Sistema conservante según las reivindicaciones 5 o 6, en el que el aceite usado es aceite de palma (punto de fusión de 35-80 °C), aceite de soja o aceite de girasol.
8. Sistema conservante según las reivindicaciones 2 a 7, en el que X- es cloruro.
10. Uso de un sistema conservante según una cualquiera de las reivindicaciones 2 a 8 para la conservación de productos alimentarios.
11. Uso del tensioactivo catiónico de la reivindicación 1 o del sistema conservante de acuerdo con una cualquiera de las reivindicaciones 2 a 8 para la conservación de productos cosméticos.
12. Composiciones cosméticas para el cuidado de la piel, el cuidado bucal y el control del olor corporal que comprenden el tensioactivo catiónico como se define en la reivindicación 1 o el sistema conservante como se define en cualquiera de las reivindicaciones 2 a 8.
Applications Claiming Priority (1)
| Application Number | Priority Date | Filing Date | Title |
|---|---|---|---|
| PCT/EP2005/053735 WO2007014580A1 (en) | 2005-08-01 | 2005-08-01 | Preservative systems comprising cationic surfactants |
Publications (1)
| Publication Number | Publication Date |
|---|---|
| ES2717604T3 true ES2717604T3 (es) | 2019-06-24 |
Family
ID=36204714
Family Applications (1)
| Application Number | Title | Priority Date | Filing Date |
|---|---|---|---|
| ES05776122T Expired - Lifetime ES2717604T3 (es) | 2005-08-01 | 2005-08-01 | Sistemas conservantes que comprenden tensioactivos catiónicos |
Country Status (13)
| Country | Link |
|---|---|
| US (1) | US10130830B2 (es) |
| EP (1) | EP1909746B1 (es) |
| JP (1) | JP2009502181A (es) |
| AR (1) | AR055348A1 (es) |
| AU (1) | AU2005335074A1 (es) |
| BR (1) | BRPI0520473A2 (es) |
| CA (1) | CA2614978A1 (es) |
| ES (1) | ES2717604T3 (es) |
| IL (1) | IL188656A0 (es) |
| MX (1) | MX2008001517A (es) |
| NZ (1) | NZ565412A (es) |
| UY (1) | UY30485A1 (es) |
| WO (1) | WO2007014580A1 (es) |
Families Citing this family (435)
| Publication number | Priority date | Publication date | Assignee | Title |
|---|---|---|---|---|
| US8926997B1 (en) | 2003-02-06 | 2015-01-06 | Richard F. Stockel | Polymeric biocidal salts |
| US20070084897A1 (en) | 2003-05-20 | 2007-04-19 | Shelton Frederick E Iv | Articulating surgical stapling instrument incorporating a two-piece e-beam firing mechanism |
| US9060770B2 (en) | 2003-05-20 | 2015-06-23 | Ethicon Endo-Surgery, Inc. | Robotically-driven surgical instrument with E-beam driver |
| US9072535B2 (en) | 2011-05-27 | 2015-07-07 | Ethicon Endo-Surgery, Inc. | Surgical stapling instruments with rotatable staple deployment arrangements |
| US11998198B2 (en) | 2004-07-28 | 2024-06-04 | Cilag Gmbh International | Surgical stapling instrument incorporating a two-piece E-beam firing mechanism |
| US11896225B2 (en) | 2004-07-28 | 2024-02-13 | Cilag Gmbh International | Staple cartridge comprising a pan |
| US8215531B2 (en) | 2004-07-28 | 2012-07-10 | Ethicon Endo-Surgery, Inc. | Surgical stapling instrument having a medical substance dispenser |
| US8365976B2 (en) | 2006-09-29 | 2013-02-05 | Ethicon Endo-Surgery, Inc. | Surgical staples having dissolvable, bioabsorbable or biofragmentable portions and stapling instruments for deploying the same |
| US9237891B2 (en) | 2005-08-31 | 2016-01-19 | Ethicon Endo-Surgery, Inc. | Robotically-controlled surgical stapling devices that produce formed staples having different lengths |
| US7934630B2 (en) | 2005-08-31 | 2011-05-03 | Ethicon Endo-Surgery, Inc. | Staple cartridges for forming staples having differing formed staple heights |
| US11484312B2 (en) | 2005-08-31 | 2022-11-01 | Cilag Gmbh International | Staple cartridge comprising a staple driver arrangement |
| US10159482B2 (en) | 2005-08-31 | 2018-12-25 | Ethicon Llc | Fastener cartridge assembly comprising a fixed anvil and different staple heights |
| US11246590B2 (en) | 2005-08-31 | 2022-02-15 | Cilag Gmbh International | Staple cartridge including staple drivers having different unfired heights |
| US7669746B2 (en) | 2005-08-31 | 2010-03-02 | Ethicon Endo-Surgery, Inc. | Staple cartridges for forming staples having differing formed staple heights |
| US20070106317A1 (en) | 2005-11-09 | 2007-05-10 | Shelton Frederick E Iv | Hydraulically and electrically actuated articulation joints for surgical instruments |
| US20110295295A1 (en) | 2006-01-31 | 2011-12-01 | Ethicon Endo-Surgery, Inc. | Robotically-controlled surgical instrument having recording capabilities |
| US8820603B2 (en) | 2006-01-31 | 2014-09-02 | Ethicon Endo-Surgery, Inc. | Accessing data stored in a memory of a surgical instrument |
| US11224427B2 (en) | 2006-01-31 | 2022-01-18 | Cilag Gmbh International | Surgical stapling system including a console and retraction assembly |
| US8708213B2 (en) | 2006-01-31 | 2014-04-29 | Ethicon Endo-Surgery, Inc. | Surgical instrument having a feedback system |
| US20120292367A1 (en) | 2006-01-31 | 2012-11-22 | Ethicon Endo-Surgery, Inc. | Robotically-controlled end effector |
| US7753904B2 (en) | 2006-01-31 | 2010-07-13 | Ethicon Endo-Surgery, Inc. | Endoscopic surgical instrument with a handle that can articulate with respect to the shaft |
| US11278279B2 (en) | 2006-01-31 | 2022-03-22 | Cilag Gmbh International | Surgical instrument assembly |
| US20110024477A1 (en) | 2009-02-06 | 2011-02-03 | Hall Steven G | Driven Surgical Stapler Improvements |
| US11793518B2 (en) | 2006-01-31 | 2023-10-24 | Cilag Gmbh International | Powered surgical instruments with firing system lockout arrangements |
| US8186555B2 (en) | 2006-01-31 | 2012-05-29 | Ethicon Endo-Surgery, Inc. | Motor-driven surgical cutting and fastening instrument with mechanical closure system |
| US7845537B2 (en) | 2006-01-31 | 2010-12-07 | Ethicon Endo-Surgery, Inc. | Surgical instrument having recording capabilities |
| US8992422B2 (en) | 2006-03-23 | 2015-03-31 | Ethicon Endo-Surgery, Inc. | Robotically-controlled endoscopic accessory channel |
| US8322455B2 (en) | 2006-06-27 | 2012-12-04 | Ethicon Endo-Surgery, Inc. | Manually driven surgical cutting and fastening instrument |
| US10568652B2 (en) | 2006-09-29 | 2020-02-25 | Ethicon Llc | Surgical staples having attached drivers of different heights and stapling instruments for deploying the same |
| US11980366B2 (en) | 2006-10-03 | 2024-05-14 | Cilag Gmbh International | Surgical instrument |
| US8632535B2 (en) | 2007-01-10 | 2014-01-21 | Ethicon Endo-Surgery, Inc. | Interlock and surgical instrument including same |
| US8652120B2 (en) | 2007-01-10 | 2014-02-18 | Ethicon Endo-Surgery, Inc. | Surgical instrument with wireless communication between control unit and sensor transponders |
| US8684253B2 (en) | 2007-01-10 | 2014-04-01 | Ethicon Endo-Surgery, Inc. | Surgical instrument with wireless communication between a control unit of a robotic system and remote sensor |
| US11291441B2 (en) | 2007-01-10 | 2022-04-05 | Cilag Gmbh International | Surgical instrument with wireless communication between control unit and remote sensor |
| US11039836B2 (en) | 2007-01-11 | 2021-06-22 | Cilag Gmbh International | Staple cartridge for use with a surgical stapling instrument |
| US8701958B2 (en) | 2007-01-11 | 2014-04-22 | Ethicon Endo-Surgery, Inc. | Curved end effector for a surgical stapling device |
| US20080206414A1 (en) * | 2007-02-26 | 2008-08-28 | Conopco, Inc., D/B/A Unilever | Preservative method |
| US7673782B2 (en) | 2007-03-15 | 2010-03-09 | Ethicon Endo-Surgery, Inc. | Surgical stapling instrument having a releasable buttress material |
| US8893946B2 (en) | 2007-03-28 | 2014-11-25 | Ethicon Endo-Surgery, Inc. | Laparoscopic tissue thickness and clamp load measuring devices |
| US11857181B2 (en) | 2007-06-04 | 2024-01-02 | Cilag Gmbh International | Robotically-controlled shaft based rotary drive systems for surgical instruments |
| US8931682B2 (en) | 2007-06-04 | 2015-01-13 | Ethicon Endo-Surgery, Inc. | Robotically-controlled shaft based rotary drive systems for surgical instruments |
| US7753245B2 (en) | 2007-06-22 | 2010-07-13 | Ethicon Endo-Surgery, Inc. | Surgical stapling instruments |
| US11849941B2 (en) | 2007-06-29 | 2023-12-26 | Cilag Gmbh International | Staple cartridge having staple cavities extending at a transverse angle relative to a longitudinal cartridge axis |
| US20110177229A1 (en) * | 2007-07-03 | 2011-07-21 | Bakal Gil J | Food preservatives |
| GB0717182D0 (en) * | 2007-09-04 | 2007-10-17 | Danisco | Composition |
| US8758391B2 (en) | 2008-02-14 | 2014-06-24 | Ethicon Endo-Surgery, Inc. | Interchangeable tools for surgical instruments |
| US7819298B2 (en) | 2008-02-14 | 2010-10-26 | Ethicon Endo-Surgery, Inc. | Surgical stapling apparatus with control features operable with one hand |
| JP5410110B2 (ja) | 2008-02-14 | 2014-02-05 | エシコン・エンド−サージェリィ・インコーポレイテッド | Rf電極を有する外科用切断・固定器具 |
| US11986183B2 (en) | 2008-02-14 | 2024-05-21 | Cilag Gmbh International | Surgical cutting and fastening instrument comprising a plurality of sensors to measure an electrical parameter |
| US9179912B2 (en) | 2008-02-14 | 2015-11-10 | Ethicon Endo-Surgery, Inc. | Robotically-controlled motorized surgical cutting and fastening instrument |
| US8573465B2 (en) | 2008-02-14 | 2013-11-05 | Ethicon Endo-Surgery, Inc. | Robotically-controlled surgical end effector system with rotary actuated closure systems |
| US7866527B2 (en) | 2008-02-14 | 2011-01-11 | Ethicon Endo-Surgery, Inc. | Surgical stapling apparatus with interlockable firing system |
| US8636736B2 (en) | 2008-02-14 | 2014-01-28 | Ethicon Endo-Surgery, Inc. | Motorized surgical cutting and fastening instrument |
| US9615826B2 (en) | 2010-09-30 | 2017-04-11 | Ethicon Endo-Surgery, Llc | Multiple thickness implantable layers for surgical stapling devices |
| US9023891B2 (en) * | 2008-05-29 | 2015-05-05 | Nevada Naturals, Inc. | Synergistic antimicrobial agents |
| US8210411B2 (en) | 2008-09-23 | 2012-07-03 | Ethicon Endo-Surgery, Inc. | Motor-driven surgical cutting instrument |
| US11648005B2 (en) | 2008-09-23 | 2023-05-16 | Cilag Gmbh International | Robotically-controlled motorized surgical instrument with an end effector |
| US9005230B2 (en) | 2008-09-23 | 2015-04-14 | Ethicon Endo-Surgery, Inc. | Motorized surgical instrument |
| US9386983B2 (en) | 2008-09-23 | 2016-07-12 | Ethicon Endo-Surgery, Llc | Robotically-controlled motorized surgical instrument |
| US8608045B2 (en) | 2008-10-10 | 2013-12-17 | Ethicon Endo-Sugery, Inc. | Powered surgical cutting and stapling apparatus with manually retractable firing system |
| US8517239B2 (en) | 2009-02-05 | 2013-08-27 | Ethicon Endo-Surgery, Inc. | Surgical stapling instrument comprising a magnetic element driver |
| US8444036B2 (en) | 2009-02-06 | 2013-05-21 | Ethicon Endo-Surgery, Inc. | Motor driven surgical fastener device with mechanisms for adjusting a tissue gap within the end effector |
| BRPI1008667A2 (pt) | 2009-02-06 | 2016-03-08 | Ethicom Endo Surgery Inc | aperfeiçoamento do grampeador cirúrgico acionado |
| CH701769A1 (de) | 2009-09-08 | 2011-03-15 | Schoeller Textil Ag | Wiederbeladbare Ausrüstungen für Textilien und Formulierungen zur Beladung solcher Ausrüstungen. |
| US9284265B1 (en) | 2009-12-02 | 2016-03-15 | Vishwas Sadhu Ghare | Preparation of organic acid salts of cationic surfactants |
| US8212061B1 (en) | 2009-12-02 | 2012-07-03 | Vishwas Sadhu Ghare | Preparation of organic acid salts of cationic surfactants |
| US8851354B2 (en) | 2009-12-24 | 2014-10-07 | Ethicon Endo-Surgery, Inc. | Surgical cutting instrument that analyzes tissue thickness |
| US8220688B2 (en) | 2009-12-24 | 2012-07-17 | Ethicon Endo-Surgery, Inc. | Motor-driven surgical cutting instrument with electric actuator directional control assembly |
| WO2011094714A1 (en) * | 2010-01-29 | 2011-08-04 | Rhodia, Inc | Structured suspending systems |
| MX2012009716A (es) | 2010-03-23 | 2012-10-05 | Gojo Ind Inc | Composiciones antimicrobianas. |
| US8783543B2 (en) | 2010-07-30 | 2014-07-22 | Ethicon Endo-Surgery, Inc. | Tissue acquisition arrangements and methods for surgical stapling devices |
| DE102010038952A1 (de) | 2010-08-05 | 2012-02-09 | Henkel Ag & Co. Kgaa | Konservierungsmittel-Zusammensetzungen und Kosmetika enthaltend diese |
| US9629814B2 (en) | 2010-09-30 | 2017-04-25 | Ethicon Endo-Surgery, Llc | Tissue thickness compensator configured to redistribute compressive forces |
| US11298125B2 (en) | 2010-09-30 | 2022-04-12 | Cilag Gmbh International | Tissue stapler having a thickness compensator |
| US10945731B2 (en) | 2010-09-30 | 2021-03-16 | Ethicon Llc | Tissue thickness compensator comprising controlled release and expansion |
| US12213666B2 (en) | 2010-09-30 | 2025-02-04 | Cilag Gmbh International | Tissue thickness compensator comprising layers |
| US9320523B2 (en) | 2012-03-28 | 2016-04-26 | Ethicon Endo-Surgery, Llc | Tissue thickness compensator comprising tissue ingrowth features |
| US8777004B2 (en) | 2010-09-30 | 2014-07-15 | Ethicon Endo-Surgery, Inc. | Compressible staple cartridge comprising alignment members |
| US9592050B2 (en) | 2010-09-30 | 2017-03-14 | Ethicon Endo-Surgery, Llc | End effector comprising a distal tissue abutment member |
| US11925354B2 (en) | 2010-09-30 | 2024-03-12 | Cilag Gmbh International | Staple cartridge comprising staples positioned within a compressible portion thereof |
| US9211120B2 (en) | 2011-04-29 | 2015-12-15 | Ethicon Endo-Surgery, Inc. | Tissue thickness compensator comprising a plurality of medicaments |
| US9232941B2 (en) * | 2010-09-30 | 2016-01-12 | Ethicon Endo-Surgery, Inc. | Tissue thickness compensator comprising a reservoir |
| US11812965B2 (en) | 2010-09-30 | 2023-11-14 | Cilag Gmbh International | Layer of material for a surgical end effector |
| US8695866B2 (en) | 2010-10-01 | 2014-04-15 | Ethicon Endo-Surgery, Inc. | Surgical instrument having a power control circuit |
| WO2012055855A1 (en) * | 2010-10-29 | 2012-05-03 | Laboratorios Miret, S.A. | Concentrated preparations of lae and their use |
| AU2012250197B2 (en) | 2011-04-29 | 2017-08-10 | Ethicon Endo-Surgery, Inc. | Staple cartridge comprising staples positioned within a compressible portion thereof |
| US11207064B2 (en) | 2011-05-27 | 2021-12-28 | Cilag Gmbh International | Automated end effector component reloading system for use with a robotic system |
| DE102011089407A1 (de) | 2011-12-21 | 2013-06-27 | Henkel Ag & Co. Kgaa | Konservierungsmittelzusammensetzungen und Kosmetika enthaltend diese |
| US9044230B2 (en) | 2012-02-13 | 2015-06-02 | Ethicon Endo-Surgery, Inc. | Surgical cutting and fastening instrument with apparatus for determining cartridge and firing motion status |
| BR112014024098B1 (pt) | 2012-03-28 | 2021-05-25 | Ethicon Endo-Surgery, Inc. | cartucho de grampos |
| MX358135B (es) | 2012-03-28 | 2018-08-06 | Ethicon Endo Surgery Inc | Compensador de grosor de tejido que comprende una pluralidad de capas. |
| MX353040B (es) | 2012-03-28 | 2017-12-18 | Ethicon Endo Surgery Inc | Unidad retenedora que incluye un compensador de grosor de tejido. |
| EP2846637B1 (en) | 2012-05-07 | 2017-11-01 | Nevada Naturals, Inc. | Synergistic antimicrobial agents |
| US9101358B2 (en) | 2012-06-15 | 2015-08-11 | Ethicon Endo-Surgery, Inc. | Articulatable surgical instrument comprising a firing drive |
| US9282974B2 (en) | 2012-06-28 | 2016-03-15 | Ethicon Endo-Surgery, Llc | Empty clip cartridge lockout |
| US9289256B2 (en) | 2012-06-28 | 2016-03-22 | Ethicon Endo-Surgery, Llc | Surgical end effectors having angled tissue-contacting surfaces |
| US20140005718A1 (en) | 2012-06-28 | 2014-01-02 | Ethicon Endo-Surgery, Inc. | Multi-functional powered surgical device with external dissection features |
| US20140005678A1 (en) | 2012-06-28 | 2014-01-02 | Ethicon Endo-Surgery, Inc. | Rotary drive arrangements for surgical instruments |
| US12383267B2 (en) | 2012-06-28 | 2025-08-12 | Cilag Gmbh International | Robotically powered surgical device with manually-actuatable reversing system |
| BR112014032776B1 (pt) | 2012-06-28 | 2021-09-08 | Ethicon Endo-Surgery, Inc | Sistema de instrumento cirúrgico e kit cirúrgico para uso com um sistema de instrumento cirúrgico |
| US11197671B2 (en) | 2012-06-28 | 2021-12-14 | Cilag Gmbh International | Stapling assembly comprising a lockout |
| EP2866686A1 (en) | 2012-06-28 | 2015-05-06 | Ethicon Endo-Surgery, Inc. | Empty clip cartridge lockout |
| US20140001231A1 (en) | 2012-06-28 | 2014-01-02 | Ethicon Endo-Surgery, Inc. | Firing system lockout arrangements for surgical instruments |
| DE102012223401A1 (de) | 2012-12-17 | 2014-06-18 | Henkel Ag & Co. Kgaa | Emulsion mit antibakteriellem Wirkstoff |
| RU2672520C2 (ru) | 2013-03-01 | 2018-11-15 | Этикон Эндо-Серджери, Инк. | Шарнирно поворачиваемые хирургические инструменты с проводящими путями для передачи сигналов |
| MX364729B (es) | 2013-03-01 | 2019-05-06 | Ethicon Endo Surgery Inc | Instrumento quirúrgico con una parada suave. |
| US9629629B2 (en) | 2013-03-14 | 2017-04-25 | Ethicon Endo-Surgey, LLC | Control systems for surgical instruments |
| US9332987B2 (en) | 2013-03-14 | 2016-05-10 | Ethicon Endo-Surgery, Llc | Control arrangements for a drive member of a surgical instrument |
| BR112015026109B1 (pt) | 2013-04-16 | 2022-02-22 | Ethicon Endo-Surgery, Inc | Instrumento cirúrgico |
| US10149680B2 (en) | 2013-04-16 | 2018-12-11 | Ethicon Llc | Surgical instrument comprising a gap setting system |
| BR112016003329B1 (pt) | 2013-08-23 | 2021-12-21 | Ethicon Endo-Surgery, Llc | Instrumento cirúrgico |
| US20150053743A1 (en) | 2013-08-23 | 2015-02-26 | Ethicon Endo-Surgery, Inc. | Error detection arrangements for surgical instrument assemblies |
| DE102013226874A1 (de) | 2013-12-20 | 2014-04-17 | Henkel Ag & Co. Kgaa | Konservierungsmittel für Kosmetika |
| US9962161B2 (en) | 2014-02-12 | 2018-05-08 | Ethicon Llc | Deliverable surgical instrument |
| US10201364B2 (en) | 2014-03-26 | 2019-02-12 | Ethicon Llc | Surgical instrument comprising a rotatable shaft |
| US9804618B2 (en) | 2014-03-26 | 2017-10-31 | Ethicon Llc | Systems and methods for controlling a segmented circuit |
| BR112016021943B1 (pt) | 2014-03-26 | 2022-06-14 | Ethicon Endo-Surgery, Llc | Instrumento cirúrgico para uso por um operador em um procedimento cirúrgico |
| US10004497B2 (en) | 2014-03-26 | 2018-06-26 | Ethicon Llc | Interface systems for use with surgical instruments |
| US12232723B2 (en) | 2014-03-26 | 2025-02-25 | Cilag Gmbh International | Systems and methods for controlling a segmented circuit |
| US9877721B2 (en) | 2014-04-16 | 2018-01-30 | Ethicon Llc | Fastener cartridge comprising tissue control features |
| BR112016023825B1 (pt) | 2014-04-16 | 2022-08-02 | Ethicon Endo-Surgery, Llc | Cartucho de grampos para uso com um grampeador cirúrgico e cartucho de grampos para uso com um instrumento cirúrgico |
| BR112016023807B1 (pt) | 2014-04-16 | 2022-07-12 | Ethicon Endo-Surgery, Llc | Conjunto de cartucho de prendedores para uso com um instrumento cirúrgico |
| CN106456176B (zh) | 2014-04-16 | 2019-06-28 | 伊西康内外科有限责任公司 | 包括具有不同构型的延伸部的紧固件仓 |
| US20150297225A1 (en) | 2014-04-16 | 2015-10-22 | Ethicon Endo-Surgery, Inc. | Fastener cartridges including extensions having different configurations |
| US10206677B2 (en) | 2014-09-26 | 2019-02-19 | Ethicon Llc | Surgical staple and driver arrangements for staple cartridges |
| US11311294B2 (en) | 2014-09-05 | 2022-04-26 | Cilag Gmbh International | Powered medical device including measurement of closure state of jaws |
| US10016199B2 (en) | 2014-09-05 | 2018-07-10 | Ethicon Llc | Polarity of hall magnet to identify cartridge type |
| BR112017004361B1 (pt) | 2014-09-05 | 2023-04-11 | Ethicon Llc | Sistema eletrônico para um instrumento cirúrgico |
| US10105142B2 (en) | 2014-09-18 | 2018-10-23 | Ethicon Llc | Surgical stapler with plurality of cutting elements |
| JP6648119B2 (ja) | 2014-09-26 | 2020-02-14 | エシコン エルエルシーEthicon LLC | 外科ステープル留めバットレス及び付属物材料 |
| US11523821B2 (en) | 2014-09-26 | 2022-12-13 | Cilag Gmbh International | Method for creating a flexible staple line |
| WO2016056904A1 (en) * | 2014-10-06 | 2016-04-14 | Purac Biochem B.V. | Preservation of meat products |
| US10076325B2 (en) | 2014-10-13 | 2018-09-18 | Ethicon Llc | Surgical stapling apparatus comprising a tissue stop |
| WO2016060562A1 (en) * | 2014-10-15 | 2016-04-21 | Purac Biochem B.V. | Preservation of meat products |
| US9924944B2 (en) | 2014-10-16 | 2018-03-27 | Ethicon Llc | Staple cartridge comprising an adjunct material |
| US11141153B2 (en) | 2014-10-29 | 2021-10-12 | Cilag Gmbh International | Staple cartridges comprising driver arrangements |
| US10517594B2 (en) | 2014-10-29 | 2019-12-31 | Ethicon Llc | Cartridge assemblies for surgical staplers |
| US9844376B2 (en) | 2014-11-06 | 2017-12-19 | Ethicon Llc | Staple cartridge comprising a releasable adjunct material |
| US10736636B2 (en) | 2014-12-10 | 2020-08-11 | Ethicon Llc | Articulatable surgical instrument system |
| RU2703684C2 (ru) | 2014-12-18 | 2019-10-21 | ЭТИКОН ЭНДО-СЕРДЖЕРИ, ЭлЭлСи | Хирургический инструмент с упором, который выполнен с возможностью избирательного перемещения относительно кассеты со скобами вокруг дискретной неподвижной оси |
| US9844374B2 (en) | 2014-12-18 | 2017-12-19 | Ethicon Llc | Surgical instrument systems comprising an articulatable end effector and means for adjusting the firing stroke of a firing member |
| US10085748B2 (en) | 2014-12-18 | 2018-10-02 | Ethicon Llc | Locking arrangements for detachable shaft assemblies with articulatable surgical end effectors |
| US9844375B2 (en) | 2014-12-18 | 2017-12-19 | Ethicon Llc | Drive arrangements for articulatable surgical instruments |
| US9943309B2 (en) | 2014-12-18 | 2018-04-17 | Ethicon Llc | Surgical instruments with articulatable end effectors and movable firing beam support arrangements |
| US9987000B2 (en) | 2014-12-18 | 2018-06-05 | Ethicon Llc | Surgical instrument assembly comprising a flexible articulation system |
| US11154301B2 (en) | 2015-02-27 | 2021-10-26 | Cilag Gmbh International | Modular stapling assembly |
| US10441279B2 (en) | 2015-03-06 | 2019-10-15 | Ethicon Llc | Multiple level thresholds to modify operation of powered surgical instruments |
| US9808246B2 (en) | 2015-03-06 | 2017-11-07 | Ethicon Endo-Surgery, Llc | Method of operating a powered surgical instrument |
| US9901342B2 (en) | 2015-03-06 | 2018-02-27 | Ethicon Endo-Surgery, Llc | Signal and power communication system positioned on a rotatable shaft |
| US10617412B2 (en) | 2015-03-06 | 2020-04-14 | Ethicon Llc | System for detecting the mis-insertion of a staple cartridge into a surgical stapler |
| US10687806B2 (en) | 2015-03-06 | 2020-06-23 | Ethicon Llc | Adaptive tissue compression techniques to adjust closure rates for multiple tissue types |
| US10245033B2 (en) | 2015-03-06 | 2019-04-02 | Ethicon Llc | Surgical instrument comprising a lockable battery housing |
| JP2020121162A (ja) | 2015-03-06 | 2020-08-13 | エシコン エルエルシーEthicon LLC | 測定の安定性要素、クリープ要素、及び粘弾性要素を決定するためのセンサデータの時間依存性評価 |
| US9924961B2 (en) | 2015-03-06 | 2018-03-27 | Ethicon Endo-Surgery, Llc | Interactive feedback system for powered surgical instruments |
| US9993248B2 (en) | 2015-03-06 | 2018-06-12 | Ethicon Endo-Surgery, Llc | Smart sensors with local signal processing |
| US10548504B2 (en) | 2015-03-06 | 2020-02-04 | Ethicon Llc | Overlaid multi sensor radio frequency (RF) electrode system to measure tissue compression |
| US10390825B2 (en) | 2015-03-31 | 2019-08-27 | Ethicon Llc | Surgical instrument with progressive rotary drive systems |
| WO2016159750A1 (es) * | 2015-04-01 | 2016-10-06 | Jifkins S.A. De C.V. | Recubrimiento poscosecha y su proceso de obtención |
| US11058425B2 (en) | 2015-08-17 | 2021-07-13 | Ethicon Llc | Implantable layers for a surgical instrument |
| US10238386B2 (en) | 2015-09-23 | 2019-03-26 | Ethicon Llc | Surgical stapler having motor control based on an electrical parameter related to a motor current |
| US10105139B2 (en) | 2015-09-23 | 2018-10-23 | Ethicon Llc | Surgical stapler having downstream current-based motor control |
| US10299878B2 (en) | 2015-09-25 | 2019-05-28 | Ethicon Llc | Implantable adjunct systems for determining adjunct skew |
| US10980539B2 (en) | 2015-09-30 | 2021-04-20 | Ethicon Llc | Implantable adjunct comprising bonded layers |
| US10327777B2 (en) | 2015-09-30 | 2019-06-25 | Ethicon Llc | Implantable layer comprising plastically deformed fibers |
| US11890015B2 (en) | 2015-09-30 | 2024-02-06 | Cilag Gmbh International | Compressible adjunct with crossing spacer fibers |
| US10271849B2 (en) | 2015-09-30 | 2019-04-30 | Ethicon Llc | Woven constructs with interlocked standing fibers |
| DE102015225005A1 (de) | 2015-12-11 | 2017-06-14 | Henkel Ag & Co. Kgaa | Emulsionen enthaltend mindestens eine spezielle Konservierungsmittelkombination |
| DE102015225003A1 (de) | 2015-12-11 | 2017-06-14 | Henkel Ag & Co. Kgaa | Emulsionen enthaltend mindestens drei voneinander verschiedene Konservierungsmittel |
| DE102015225004A1 (de) | 2015-12-11 | 2017-06-14 | Henkel Ag & Co. Kgaa | Tensid-haltige Reinigungsmittel mit mindestens drei unterschiedlichen Konservierungsmitteln |
| DE102015225006A1 (de) | 2015-12-11 | 2017-06-14 | Henkel Ag & Co. Kgaa | Tensid-haltige Reinigungsmittel mit speziellen Konservierungsmittelkombinationen |
| DE102015225686A1 (de) | 2015-12-17 | 2017-06-22 | Henkel Ag & Co. Kgaa | Treibmittel-haltige Deodorant- und/oder Antitranspirantien mit mindestens zwei voneinander verschiedenen Konservierungsmitteln |
| DE102015225694A1 (de) | 2015-12-17 | 2017-06-22 | Henkel Ag & Co. Kgaa | Treibmittelhaltige Deodorant- und/oder Antitranspirantien mit speziellen Konservierungsmittelkombinationen |
| DE102015225687A1 (de) | 2015-12-17 | 2017-06-22 | Henkel Ag & Co. Kgaa | Treibmittelfreie Deodorant- und/oder Antitranspirantien mit mindestens zwei voneinander verschiedenen Konservierungsmitteln |
| DE102015225693A1 (de) | 2015-12-17 | 2017-06-22 | Henkel Ag & Co. Kgaa | Treibmittelfreie Deodorant- und/oder Antitranspirantien mit speziellen Konservierungsmittelkombinationen |
| US10368865B2 (en) | 2015-12-30 | 2019-08-06 | Ethicon Llc | Mechanisms for compensating for drivetrain failure in powered surgical instruments |
| US10265068B2 (en) | 2015-12-30 | 2019-04-23 | Ethicon Llc | Surgical instruments with separable motors and motor control circuits |
| US10292704B2 (en) | 2015-12-30 | 2019-05-21 | Ethicon Llc | Mechanisms for compensating for battery pack failure in powered surgical instruments |
| US11213293B2 (en) | 2016-02-09 | 2022-01-04 | Cilag Gmbh International | Articulatable surgical instruments with single articulation link arrangements |
| US10413291B2 (en) | 2016-02-09 | 2019-09-17 | Ethicon Llc | Surgical instrument articulation mechanism with slotted secondary constraint |
| CN108882932B (zh) | 2016-02-09 | 2021-07-23 | 伊西康有限责任公司 | 具有非对称关节运动构造的外科器械 |
| US10448948B2 (en) | 2016-02-12 | 2019-10-22 | Ethicon Llc | Mechanisms for compensating for drivetrain failure in powered surgical instruments |
| US11224426B2 (en) | 2016-02-12 | 2022-01-18 | Cilag Gmbh International | Mechanisms for compensating for drivetrain failure in powered surgical instruments |
| US10617413B2 (en) | 2016-04-01 | 2020-04-14 | Ethicon Llc | Closure system arrangements for surgical cutting and stapling devices with separate and distinct firing shafts |
| US10828028B2 (en) | 2016-04-15 | 2020-11-10 | Ethicon Llc | Surgical instrument with multiple program responses during a firing motion |
| US10426467B2 (en) | 2016-04-15 | 2019-10-01 | Ethicon Llc | Surgical instrument with detection sensors |
| US10456137B2 (en) | 2016-04-15 | 2019-10-29 | Ethicon Llc | Staple formation detection mechanisms |
| US10357247B2 (en) | 2016-04-15 | 2019-07-23 | Ethicon Llc | Surgical instrument with multiple program responses during a firing motion |
| US11179150B2 (en) | 2016-04-15 | 2021-11-23 | Cilag Gmbh International | Systems and methods for controlling a surgical stapling and cutting instrument |
| US11607239B2 (en) | 2016-04-15 | 2023-03-21 | Cilag Gmbh International | Systems and methods for controlling a surgical stapling and cutting instrument |
| US10492783B2 (en) | 2016-04-15 | 2019-12-03 | Ethicon, Llc | Surgical instrument with improved stop/start control during a firing motion |
| US10335145B2 (en) | 2016-04-15 | 2019-07-02 | Ethicon Llc | Modular surgical instrument with configurable operating mode |
| US11317917B2 (en) | 2016-04-18 | 2022-05-03 | Cilag Gmbh International | Surgical stapling system comprising a lockable firing assembly |
| US20170296173A1 (en) | 2016-04-18 | 2017-10-19 | Ethicon Endo-Surgery, Llc | Method for operating a surgical instrument |
| US10433840B2 (en) | 2016-04-18 | 2019-10-08 | Ethicon Llc | Surgical instrument comprising a replaceable cartridge jaw |
| US10548673B2 (en) | 2016-08-16 | 2020-02-04 | Ethicon Llc | Surgical tool with a display |
| CN106562892A (zh) * | 2016-10-27 | 2017-04-19 | 广州市花安堂生物科技有限公司 | 一种无添加化学合成防腐剂的防腐组合物及其应用和由其制成的化妆品 |
| US11160551B2 (en) | 2016-12-21 | 2021-11-02 | Cilag Gmbh International | Articulatable surgical stapling instruments |
| US10667809B2 (en) | 2016-12-21 | 2020-06-02 | Ethicon Llc | Staple cartridge and staple cartridge channel comprising windows defined therein |
| US10675026B2 (en) | 2016-12-21 | 2020-06-09 | Ethicon Llc | Methods of stapling tissue |
| US20180168625A1 (en) | 2016-12-21 | 2018-06-21 | Ethicon Endo-Surgery, Llc | Surgical stapling instruments with smart staple cartridges |
| JP7010956B2 (ja) | 2016-12-21 | 2022-01-26 | エシコン エルエルシー | 組織をステープル留めする方法 |
| US10624635B2 (en) | 2016-12-21 | 2020-04-21 | Ethicon Llc | Firing members with non-parallel jaw engagement features for surgical end effectors |
| US10682138B2 (en) | 2016-12-21 | 2020-06-16 | Ethicon Llc | Bilaterally asymmetric staple forming pocket pairs |
| US20180168619A1 (en) | 2016-12-21 | 2018-06-21 | Ethicon Endo-Surgery, Llc | Surgical stapling systems |
| MX2019007295A (es) | 2016-12-21 | 2019-10-15 | Ethicon Llc | Sistema de instrumento quirúrgico que comprende un bloqueo del efector de extremo y un bloqueo de la unidad de disparo. |
| US11134942B2 (en) | 2016-12-21 | 2021-10-05 | Cilag Gmbh International | Surgical stapling instruments and staple-forming anvils |
| US10492785B2 (en) | 2016-12-21 | 2019-12-03 | Ethicon Llc | Shaft assembly comprising a lockout |
| US10888322B2 (en) | 2016-12-21 | 2021-01-12 | Ethicon Llc | Surgical instrument comprising a cutting member |
| US10856868B2 (en) | 2016-12-21 | 2020-12-08 | Ethicon Llc | Firing member pin configurations |
| US10835246B2 (en) | 2016-12-21 | 2020-11-17 | Ethicon Llc | Staple cartridges and arrangements of staples and staple cavities therein |
| US10426471B2 (en) | 2016-12-21 | 2019-10-01 | Ethicon Llc | Surgical instrument with multiple failure response modes |
| BR112019011947A2 (pt) | 2016-12-21 | 2019-10-29 | Ethicon Llc | sistemas de grampeamento cirúrgico |
| US10667810B2 (en) | 2016-12-21 | 2020-06-02 | Ethicon Llc | Closure members with cam surface arrangements for surgical instruments with separate and distinct closure and firing systems |
| JP7010957B2 (ja) | 2016-12-21 | 2022-01-26 | エシコン エルエルシー | ロックアウトを備えるシャフトアセンブリ |
| US20180168615A1 (en) | 2016-12-21 | 2018-06-21 | Ethicon Endo-Surgery, Llc | Method of deforming staples from two different types of staple cartridges with the same surgical stapling instrument |
| JP6983893B2 (ja) | 2016-12-21 | 2021-12-17 | エシコン エルエルシーEthicon LLC | 外科用エンドエフェクタ及び交換式ツールアセンブリのためのロックアウト構成 |
| JP2020501815A (ja) | 2016-12-21 | 2020-01-23 | エシコン エルエルシーEthicon LLC | 外科用ステープル留めシステム |
| US11419606B2 (en) | 2016-12-21 | 2022-08-23 | Cilag Gmbh International | Shaft assembly comprising a clutch configured to adapt the output of a rotary firing member to two different systems |
| JP2020504190A (ja) * | 2017-01-16 | 2020-02-06 | ハンツマン ペトロケミカル エルエルシーHuntsman Petrochemical LLC | ジェミニ様およびオリゴマー様界面活性剤組成物 |
| US20180228189A1 (en) | 2017-02-14 | 2018-08-16 | Kraft Foods Group Brands Llc | Process for maintaining freshness of vegetable pieces |
| US11382638B2 (en) | 2017-06-20 | 2022-07-12 | Cilag Gmbh International | Closed loop feedback control of motor velocity of a surgical stapling and cutting instrument based on measured time over a specified displacement distance |
| US10881399B2 (en) | 2017-06-20 | 2021-01-05 | Ethicon Llc | Techniques for adaptive control of motor velocity of a surgical stapling and cutting instrument |
| US10980537B2 (en) | 2017-06-20 | 2021-04-20 | Ethicon Llc | Closed loop feedback control of motor velocity of a surgical stapling and cutting instrument based on measured time over a specified number of shaft rotations |
| US10881396B2 (en) | 2017-06-20 | 2021-01-05 | Ethicon Llc | Surgical instrument with variable duration trigger arrangement |
| US11653914B2 (en) | 2017-06-20 | 2023-05-23 | Cilag Gmbh International | Systems and methods for controlling motor velocity of a surgical stapling and cutting instrument according to articulation angle of end effector |
| US11071554B2 (en) | 2017-06-20 | 2021-07-27 | Cilag Gmbh International | Closed loop feedback control of motor velocity of a surgical stapling and cutting instrument based on magnitude of velocity error measurements |
| US11517325B2 (en) | 2017-06-20 | 2022-12-06 | Cilag Gmbh International | Closed loop feedback control of motor velocity of a surgical stapling and cutting instrument based on measured displacement distance traveled over a specified time interval |
| US10307170B2 (en) | 2017-06-20 | 2019-06-04 | Ethicon Llc | Method for closed loop control of motor velocity of a surgical stapling and cutting instrument |
| US10624633B2 (en) | 2017-06-20 | 2020-04-21 | Ethicon Llc | Systems and methods for controlling motor velocity of a surgical stapling and cutting instrument |
| USD879809S1 (en) | 2017-06-20 | 2020-03-31 | Ethicon Llc | Display panel with changeable graphical user interface |
| USD890784S1 (en) | 2017-06-20 | 2020-07-21 | Ethicon Llc | Display panel with changeable graphical user interface |
| US10646220B2 (en) | 2017-06-20 | 2020-05-12 | Ethicon Llc | Systems and methods for controlling displacement member velocity for a surgical instrument |
| US10813639B2 (en) | 2017-06-20 | 2020-10-27 | Ethicon Llc | Closed loop feedback control of motor velocity of a surgical stapling and cutting instrument based on system conditions |
| US10779820B2 (en) | 2017-06-20 | 2020-09-22 | Ethicon Llc | Systems and methods for controlling motor speed according to user input for a surgical instrument |
| US10888321B2 (en) | 2017-06-20 | 2021-01-12 | Ethicon Llc | Systems and methods for controlling velocity of a displacement member of a surgical stapling and cutting instrument |
| USD879808S1 (en) | 2017-06-20 | 2020-03-31 | Ethicon Llc | Display panel with graphical user interface |
| US11090046B2 (en) | 2017-06-20 | 2021-08-17 | Cilag Gmbh International | Systems and methods for controlling displacement member motion of a surgical stapling and cutting instrument |
| US11266405B2 (en) | 2017-06-27 | 2022-03-08 | Cilag Gmbh International | Surgical anvil manufacturing methods |
| US11324503B2 (en) | 2017-06-27 | 2022-05-10 | Cilag Gmbh International | Surgical firing member arrangements |
| US20180368844A1 (en) | 2017-06-27 | 2018-12-27 | Ethicon Llc | Staple forming pocket arrangements |
| US10856869B2 (en) | 2017-06-27 | 2020-12-08 | Ethicon Llc | Surgical anvil arrangements |
| US10772629B2 (en) | 2017-06-27 | 2020-09-15 | Ethicon Llc | Surgical anvil arrangements |
| US10993716B2 (en) | 2017-06-27 | 2021-05-04 | Ethicon Llc | Surgical anvil arrangements |
| USD869655S1 (en) | 2017-06-28 | 2019-12-10 | Ethicon Llc | Surgical fastener cartridge |
| US11564686B2 (en) | 2017-06-28 | 2023-01-31 | Cilag Gmbh International | Surgical shaft assemblies with flexible interfaces |
| US10695057B2 (en) | 2017-06-28 | 2020-06-30 | Ethicon Llc | Surgical instrument lockout arrangement |
| EP3420947B1 (en) | 2017-06-28 | 2022-05-25 | Cilag GmbH International | Surgical instrument comprising selectively actuatable rotatable couplers |
| USD906355S1 (en) | 2017-06-28 | 2020-12-29 | Ethicon Llc | Display screen or portion thereof with a graphical user interface for a surgical instrument |
| US11246592B2 (en) | 2017-06-28 | 2022-02-15 | Cilag Gmbh International | Surgical instrument comprising an articulation system lockable to a frame |
| US10903685B2 (en) | 2017-06-28 | 2021-01-26 | Ethicon Llc | Surgical shaft assemblies with slip ring assemblies forming capacitive channels |
| US10765427B2 (en) | 2017-06-28 | 2020-09-08 | Ethicon Llc | Method for articulating a surgical instrument |
| US11000279B2 (en) | 2017-06-28 | 2021-05-11 | Ethicon Llc | Surgical instrument comprising an articulation system ratio |
| US10716614B2 (en) | 2017-06-28 | 2020-07-21 | Ethicon Llc | Surgical shaft assemblies with slip ring assemblies with increased contact pressure |
| US11259805B2 (en) | 2017-06-28 | 2022-03-01 | Cilag Gmbh International | Surgical instrument comprising firing member supports |
| US10898183B2 (en) | 2017-06-29 | 2021-01-26 | Ethicon Llc | Robotic surgical instrument with closed loop feedback techniques for advancement of closure member during firing |
| US11007022B2 (en) | 2017-06-29 | 2021-05-18 | Ethicon Llc | Closed loop velocity control techniques based on sensed tissue parameters for robotic surgical instrument |
| US10932772B2 (en) | 2017-06-29 | 2021-03-02 | Ethicon Llc | Methods for closed loop velocity control for robotic surgical instrument |
| US11944300B2 (en) | 2017-08-03 | 2024-04-02 | Cilag Gmbh International | Method for operating a surgical system bailout |
| US11304695B2 (en) | 2017-08-03 | 2022-04-19 | Cilag Gmbh International | Surgical system shaft interconnection |
| US11974742B2 (en) | 2017-08-03 | 2024-05-07 | Cilag Gmbh International | Surgical system comprising an articulation bailout |
| US11471155B2 (en) | 2017-08-03 | 2022-10-18 | Cilag Gmbh International | Surgical system bailout |
| US10743872B2 (en) | 2017-09-29 | 2020-08-18 | Ethicon Llc | System and methods for controlling a display of a surgical instrument |
| US11399829B2 (en) | 2017-09-29 | 2022-08-02 | Cilag Gmbh International | Systems and methods of initiating a power shutdown mode for a surgical instrument |
| US10765429B2 (en) | 2017-09-29 | 2020-09-08 | Ethicon Llc | Systems and methods for providing alerts according to the operational state of a surgical instrument |
| USD907647S1 (en) | 2017-09-29 | 2021-01-12 | Ethicon Llc | Display screen or portion thereof with animated graphical user interface |
| US10729501B2 (en) | 2017-09-29 | 2020-08-04 | Ethicon Llc | Systems and methods for language selection of a surgical instrument |
| USD917500S1 (en) | 2017-09-29 | 2021-04-27 | Ethicon Llc | Display screen or portion thereof with graphical user interface |
| US10796471B2 (en) | 2017-09-29 | 2020-10-06 | Ethicon Llc | Systems and methods of displaying a knife position for a surgical instrument |
| USD907648S1 (en) | 2017-09-29 | 2021-01-12 | Ethicon Llc | Display screen or portion thereof with animated graphical user interface |
| US11134944B2 (en) | 2017-10-30 | 2021-10-05 | Cilag Gmbh International | Surgical stapler knife motion controls |
| US11090075B2 (en) | 2017-10-30 | 2021-08-17 | Cilag Gmbh International | Articulation features for surgical end effector |
| US10842490B2 (en) | 2017-10-31 | 2020-11-24 | Ethicon Llc | Cartridge body design with force reduction based on firing completion |
| US10779903B2 (en) | 2017-10-31 | 2020-09-22 | Ethicon Llc | Positive shaft rotation lock activated by jaw closure |
| US11006955B2 (en) | 2017-12-15 | 2021-05-18 | Ethicon Llc | End effectors with positive jaw opening features for use with adapters for electromechanical surgical instruments |
| US10779825B2 (en) | 2017-12-15 | 2020-09-22 | Ethicon Llc | Adapters with end effector position sensing and control arrangements for use in connection with electromechanical surgical instruments |
| US10966718B2 (en) | 2017-12-15 | 2021-04-06 | Ethicon Llc | Dynamic clamping assemblies with improved wear characteristics for use in connection with electromechanical surgical instruments |
| US10869666B2 (en) | 2017-12-15 | 2020-12-22 | Ethicon Llc | Adapters with control systems for controlling multiple motors of an electromechanical surgical instrument |
| US10743874B2 (en) | 2017-12-15 | 2020-08-18 | Ethicon Llc | Sealed adapters for use with electromechanical surgical instruments |
| US10828033B2 (en) | 2017-12-15 | 2020-11-10 | Ethicon Llc | Handheld electromechanical surgical instruments with improved motor control arrangements for positioning components of an adapter coupled thereto |
| US11033267B2 (en) | 2017-12-15 | 2021-06-15 | Ethicon Llc | Systems and methods of controlling a clamping member firing rate of a surgical instrument |
| US10743875B2 (en) | 2017-12-15 | 2020-08-18 | Ethicon Llc | Surgical end effectors with jaw stiffener arrangements configured to permit monitoring of firing member |
| US11071543B2 (en) | 2017-12-15 | 2021-07-27 | Cilag Gmbh International | Surgical end effectors with clamping assemblies configured to increase jaw aperture ranges |
| US11197670B2 (en) | 2017-12-15 | 2021-12-14 | Cilag Gmbh International | Surgical end effectors with pivotal jaws configured to touch at their respective distal ends when fully closed |
| US10779826B2 (en) | 2017-12-15 | 2020-09-22 | Ethicon Llc | Methods of operating surgical end effectors |
| US10687813B2 (en) | 2017-12-15 | 2020-06-23 | Ethicon Llc | Adapters with firing stroke sensing arrangements for use in connection with electromechanical surgical instruments |
| US10729509B2 (en) | 2017-12-19 | 2020-08-04 | Ethicon Llc | Surgical instrument comprising closure and firing locking mechanism |
| US11045270B2 (en) | 2017-12-19 | 2021-06-29 | Cilag Gmbh International | Robotic attachment comprising exterior drive actuator |
| US10835330B2 (en) | 2017-12-19 | 2020-11-17 | Ethicon Llc | Method for determining the position of a rotatable jaw of a surgical instrument attachment assembly |
| US11020112B2 (en) | 2017-12-19 | 2021-06-01 | Ethicon Llc | Surgical tools configured for interchangeable use with different controller interfaces |
| US10716565B2 (en) | 2017-12-19 | 2020-07-21 | Ethicon Llc | Surgical instruments with dual articulation drivers |
| USD910847S1 (en) | 2017-12-19 | 2021-02-16 | Ethicon Llc | Surgical instrument assembly |
| US11129680B2 (en) | 2017-12-21 | 2021-09-28 | Cilag Gmbh International | Surgical instrument comprising a projector |
| US12336705B2 (en) | 2017-12-21 | 2025-06-24 | Cilag Gmbh International | Continuous use self-propelled stapling instrument |
| US11311290B2 (en) | 2017-12-21 | 2022-04-26 | Cilag Gmbh International | Surgical instrument comprising an end effector dampener |
| US11883019B2 (en) | 2017-12-21 | 2024-01-30 | Cilag Gmbh International | Stapling instrument comprising a staple feeding system |
| US11076853B2 (en) | 2017-12-21 | 2021-08-03 | Cilag Gmbh International | Systems and methods of displaying a knife position during transection for a surgical instrument |
| US10624368B1 (en) | 2018-02-01 | 2020-04-21 | Nevada Naturals Inc. | Control of pathogenic bacteria in foods |
| CN110317684B (zh) * | 2018-06-22 | 2021-05-25 | 华东师范大学 | 天然环保无毒的厨房油污清洗剂 |
| US10779821B2 (en) | 2018-08-20 | 2020-09-22 | Ethicon Llc | Surgical stapler anvils with tissue stop features configured to avoid tissue pinch |
| US11207065B2 (en) | 2018-08-20 | 2021-12-28 | Cilag Gmbh International | Method for fabricating surgical stapler anvils |
| US10912559B2 (en) | 2018-08-20 | 2021-02-09 | Ethicon Llc | Reinforced deformable anvil tip for surgical stapler anvil |
| US11324501B2 (en) | 2018-08-20 | 2022-05-10 | Cilag Gmbh International | Surgical stapling devices with improved closure members |
| US20200054321A1 (en) | 2018-08-20 | 2020-02-20 | Ethicon Llc | Surgical instruments with progressive jaw closure arrangements |
| US11291440B2 (en) | 2018-08-20 | 2022-04-05 | Cilag Gmbh International | Method for operating a powered articulatable surgical instrument |
| US11083458B2 (en) | 2018-08-20 | 2021-08-10 | Cilag Gmbh International | Powered surgical instruments with clutching arrangements to convert linear drive motions to rotary drive motions |
| US11253256B2 (en) | 2018-08-20 | 2022-02-22 | Cilag Gmbh International | Articulatable motor powered surgical instruments with dedicated articulation motor arrangements |
| US11039834B2 (en) | 2018-08-20 | 2021-06-22 | Cilag Gmbh International | Surgical stapler anvils with staple directing protrusions and tissue stability features |
| US11045192B2 (en) | 2018-08-20 | 2021-06-29 | Cilag Gmbh International | Fabricating techniques for surgical stapler anvils |
| USD914878S1 (en) | 2018-08-20 | 2021-03-30 | Ethicon Llc | Surgical instrument anvil |
| US10856870B2 (en) | 2018-08-20 | 2020-12-08 | Ethicon Llc | Switching arrangements for motor powered articulatable surgical instruments |
| US10842492B2 (en) | 2018-08-20 | 2020-11-24 | Ethicon Llc | Powered articulatable surgical instruments with clutching and locking arrangements for linking an articulation drive system to a firing drive system |
| US11172929B2 (en) | 2019-03-25 | 2021-11-16 | Cilag Gmbh International | Articulation drive arrangements for surgical systems |
| US11696761B2 (en) | 2019-03-25 | 2023-07-11 | Cilag Gmbh International | Firing drive arrangements for surgical systems |
| US11147551B2 (en) | 2019-03-25 | 2021-10-19 | Cilag Gmbh International | Firing drive arrangements for surgical systems |
| US11147553B2 (en) | 2019-03-25 | 2021-10-19 | Cilag Gmbh International | Firing drive arrangements for surgical systems |
| US11432816B2 (en) | 2019-04-30 | 2022-09-06 | Cilag Gmbh International | Articulation pin for a surgical instrument |
| US11426251B2 (en) | 2019-04-30 | 2022-08-30 | Cilag Gmbh International | Articulation directional lights on a surgical instrument |
| US11903581B2 (en) | 2019-04-30 | 2024-02-20 | Cilag Gmbh International | Methods for stapling tissue using a surgical instrument |
| US11452528B2 (en) | 2019-04-30 | 2022-09-27 | Cilag Gmbh International | Articulation actuators for a surgical instrument |
| US11648009B2 (en) | 2019-04-30 | 2023-05-16 | Cilag Gmbh International | Rotatable jaw tip for a surgical instrument |
| US11253254B2 (en) | 2019-04-30 | 2022-02-22 | Cilag Gmbh International | Shaft rotation actuator on a surgical instrument |
| US11471157B2 (en) | 2019-04-30 | 2022-10-18 | Cilag Gmbh International | Articulation control mapping for a surgical instrument |
| US11298127B2 (en) | 2019-06-28 | 2022-04-12 | Cilag GmbH Interational | Surgical stapling system having a lockout mechanism for an incompatible cartridge |
| US11224497B2 (en) | 2019-06-28 | 2022-01-18 | Cilag Gmbh International | Surgical systems with multiple RFID tags |
| US12004740B2 (en) | 2019-06-28 | 2024-06-11 | Cilag Gmbh International | Surgical stapling system having an information decryption protocol |
| US11627959B2 (en) | 2019-06-28 | 2023-04-18 | Cilag Gmbh International | Surgical instruments including manual and powered system lockouts |
| US11771419B2 (en) | 2019-06-28 | 2023-10-03 | Cilag Gmbh International | Packaging for a replaceable component of a surgical stapling system |
| US11246678B2 (en) | 2019-06-28 | 2022-02-15 | Cilag Gmbh International | Surgical stapling system having a frangible RFID tag |
| US11399837B2 (en) | 2019-06-28 | 2022-08-02 | Cilag Gmbh International | Mechanisms for motor control adjustments of a motorized surgical instrument |
| US11497492B2 (en) | 2019-06-28 | 2022-11-15 | Cilag Gmbh International | Surgical instrument including an articulation lock |
| US11660163B2 (en) | 2019-06-28 | 2023-05-30 | Cilag Gmbh International | Surgical system with RFID tags for updating motor assembly parameters |
| US11638587B2 (en) | 2019-06-28 | 2023-05-02 | Cilag Gmbh International | RFID identification systems for surgical instruments |
| US11376098B2 (en) | 2019-06-28 | 2022-07-05 | Cilag Gmbh International | Surgical instrument system comprising an RFID system |
| US11298132B2 (en) | 2019-06-28 | 2022-04-12 | Cilag GmbH Inlernational | Staple cartridge including a honeycomb extension |
| US11051807B2 (en) | 2019-06-28 | 2021-07-06 | Cilag Gmbh International | Packaging assembly including a particulate trap |
| US11478241B2 (en) | 2019-06-28 | 2022-10-25 | Cilag Gmbh International | Staple cartridge including projections |
| US11464601B2 (en) | 2019-06-28 | 2022-10-11 | Cilag Gmbh International | Surgical instrument comprising an RFID system for tracking a movable component |
| US11241235B2 (en) | 2019-06-28 | 2022-02-08 | Cilag Gmbh International | Method of using multiple RFID chips with a surgical assembly |
| US11523822B2 (en) | 2019-06-28 | 2022-12-13 | Cilag Gmbh International | Battery pack including a circuit interrupter |
| US11426167B2 (en) | 2019-06-28 | 2022-08-30 | Cilag Gmbh International | Mechanisms for proper anvil attachment surgical stapling head assembly |
| US11553971B2 (en) | 2019-06-28 | 2023-01-17 | Cilag Gmbh International | Surgical RFID assemblies for display and communication |
| US11219455B2 (en) | 2019-06-28 | 2022-01-11 | Cilag Gmbh International | Surgical instrument including a lockout key |
| US11291451B2 (en) | 2019-06-28 | 2022-04-05 | Cilag Gmbh International | Surgical instrument with battery compatibility verification functionality |
| US11684434B2 (en) | 2019-06-28 | 2023-06-27 | Cilag Gmbh International | Surgical RFID assemblies for instrument operational setting control |
| US11259803B2 (en) | 2019-06-28 | 2022-03-01 | Cilag Gmbh International | Surgical stapling system having an information encryption protocol |
| US11464512B2 (en) | 2019-12-19 | 2022-10-11 | Cilag Gmbh International | Staple cartridge comprising a curved deck surface |
| US11844520B2 (en) | 2019-12-19 | 2023-12-19 | Cilag Gmbh International | Staple cartridge comprising driver retention members |
| US11607219B2 (en) | 2019-12-19 | 2023-03-21 | Cilag Gmbh International | Staple cartridge comprising a detachable tissue cutting knife |
| US11911032B2 (en) | 2019-12-19 | 2024-02-27 | Cilag Gmbh International | Staple cartridge comprising a seating cam |
| US11576672B2 (en) | 2019-12-19 | 2023-02-14 | Cilag Gmbh International | Surgical instrument comprising a closure system including a closure member and an opening member driven by a drive screw |
| US11304696B2 (en) | 2019-12-19 | 2022-04-19 | Cilag Gmbh International | Surgical instrument comprising a powered articulation system |
| US11559304B2 (en) | 2019-12-19 | 2023-01-24 | Cilag Gmbh International | Surgical instrument comprising a rapid closure mechanism |
| US11504122B2 (en) | 2019-12-19 | 2022-11-22 | Cilag Gmbh International | Surgical instrument comprising a nested firing member |
| US11931033B2 (en) | 2019-12-19 | 2024-03-19 | Cilag Gmbh International | Staple cartridge comprising a latch lockout |
| US11234698B2 (en) | 2019-12-19 | 2022-02-01 | Cilag Gmbh International | Stapling system comprising a clamp lockout and a firing lockout |
| US11529137B2 (en) | 2019-12-19 | 2022-12-20 | Cilag Gmbh International | Staple cartridge comprising driver retention members |
| US11701111B2 (en) | 2019-12-19 | 2023-07-18 | Cilag Gmbh International | Method for operating a surgical stapling instrument |
| US11291447B2 (en) | 2019-12-19 | 2022-04-05 | Cilag Gmbh International | Stapling instrument comprising independent jaw closing and staple firing systems |
| US11446029B2 (en) | 2019-12-19 | 2022-09-20 | Cilag Gmbh International | Staple cartridge comprising projections extending from a curved deck surface |
| US12035913B2 (en) | 2019-12-19 | 2024-07-16 | Cilag Gmbh International | Staple cartridge comprising a deployable knife |
| US11529139B2 (en) | 2019-12-19 | 2022-12-20 | Cilag Gmbh International | Motor driven surgical instrument |
| USD966512S1 (en) | 2020-06-02 | 2022-10-11 | Cilag Gmbh International | Staple cartridge |
| USD967421S1 (en) | 2020-06-02 | 2022-10-18 | Cilag Gmbh International | Staple cartridge |
| USD975851S1 (en) | 2020-06-02 | 2023-01-17 | Cilag Gmbh International | Staple cartridge |
| USD976401S1 (en) | 2020-06-02 | 2023-01-24 | Cilag Gmbh International | Staple cartridge |
| USD974560S1 (en) | 2020-06-02 | 2023-01-03 | Cilag Gmbh International | Staple cartridge |
| USD975850S1 (en) | 2020-06-02 | 2023-01-17 | Cilag Gmbh International | Staple cartridge |
| USD975278S1 (en) | 2020-06-02 | 2023-01-10 | Cilag Gmbh International | Staple cartridge |
| US11883024B2 (en) | 2020-07-28 | 2024-01-30 | Cilag Gmbh International | Method of operating a surgical instrument |
| US11896217B2 (en) | 2020-10-29 | 2024-02-13 | Cilag Gmbh International | Surgical instrument comprising an articulation lock |
| US11931025B2 (en) | 2020-10-29 | 2024-03-19 | Cilag Gmbh International | Surgical instrument comprising a releasable closure drive lock |
| USD980425S1 (en) | 2020-10-29 | 2023-03-07 | Cilag Gmbh International | Surgical instrument assembly |
| US11617577B2 (en) | 2020-10-29 | 2023-04-04 | Cilag Gmbh International | Surgical instrument comprising a sensor configured to sense whether an articulation drive of the surgical instrument is actuatable |
| US12053175B2 (en) | 2020-10-29 | 2024-08-06 | Cilag Gmbh International | Surgical instrument comprising a stowed closure actuator stop |
| US11779330B2 (en) | 2020-10-29 | 2023-10-10 | Cilag Gmbh International | Surgical instrument comprising a jaw alignment system |
| US11517390B2 (en) | 2020-10-29 | 2022-12-06 | Cilag Gmbh International | Surgical instrument comprising a limited travel switch |
| US11534259B2 (en) | 2020-10-29 | 2022-12-27 | Cilag Gmbh International | Surgical instrument comprising an articulation indicator |
| US11717289B2 (en) | 2020-10-29 | 2023-08-08 | Cilag Gmbh International | Surgical instrument comprising an indicator which indicates that an articulation drive is actuatable |
| USD1013170S1 (en) | 2020-10-29 | 2024-01-30 | Cilag Gmbh International | Surgical instrument assembly |
| US11452526B2 (en) | 2020-10-29 | 2022-09-27 | Cilag Gmbh International | Surgical instrument comprising a staged voltage regulation start-up system |
| US11844518B2 (en) | 2020-10-29 | 2023-12-19 | Cilag Gmbh International | Method for operating a surgical instrument |
| US11737751B2 (en) | 2020-12-02 | 2023-08-29 | Cilag Gmbh International | Devices and methods of managing energy dissipated within sterile barriers of surgical instrument housings |
| US11653920B2 (en) | 2020-12-02 | 2023-05-23 | Cilag Gmbh International | Powered surgical instruments with communication interfaces through sterile barrier |
| US12471982B2 (en) | 2020-12-02 | 2025-11-18 | Cilag Gmbh International | Method for tissue treatment by surgical instrument |
| US11678882B2 (en) | 2020-12-02 | 2023-06-20 | Cilag Gmbh International | Surgical instruments with interactive features to remedy incidental sled movements |
| US11744581B2 (en) | 2020-12-02 | 2023-09-05 | Cilag Gmbh International | Powered surgical instruments with multi-phase tissue treatment |
| US11890010B2 (en) | 2020-12-02 | 2024-02-06 | Cllag GmbH International | Dual-sided reinforced reload for surgical instruments |
| US11627960B2 (en) | 2020-12-02 | 2023-04-18 | Cilag Gmbh International | Powered surgical instruments with smart reload with separately attachable exteriorly mounted wiring connections |
| US11653915B2 (en) | 2020-12-02 | 2023-05-23 | Cilag Gmbh International | Surgical instruments with sled location detection and adjustment features |
| US11944296B2 (en) | 2020-12-02 | 2024-04-02 | Cilag Gmbh International | Powered surgical instruments with external connectors |
| US11849943B2 (en) | 2020-12-02 | 2023-12-26 | Cilag Gmbh International | Surgical instrument with cartridge release mechanisms |
| US11980362B2 (en) | 2021-02-26 | 2024-05-14 | Cilag Gmbh International | Surgical instrument system comprising a power transfer coil |
| US11751869B2 (en) | 2021-02-26 | 2023-09-12 | Cilag Gmbh International | Monitoring of multiple sensors over time to detect moving characteristics of tissue |
| US11696757B2 (en) | 2021-02-26 | 2023-07-11 | Cilag Gmbh International | Monitoring of internal systems to detect and track cartridge motion status |
| US11723657B2 (en) | 2021-02-26 | 2023-08-15 | Cilag Gmbh International | Adjustable communication based on available bandwidth and power capacity |
| US11744583B2 (en) | 2021-02-26 | 2023-09-05 | Cilag Gmbh International | Distal communication array to tune frequency of RF systems |
| US11701113B2 (en) | 2021-02-26 | 2023-07-18 | Cilag Gmbh International | Stapling instrument comprising a separate power antenna and a data transfer antenna |
| US11950779B2 (en) | 2021-02-26 | 2024-04-09 | Cilag Gmbh International | Method of powering and communicating with a staple cartridge |
| US11812964B2 (en) | 2021-02-26 | 2023-11-14 | Cilag Gmbh International | Staple cartridge comprising a power management circuit |
| US11749877B2 (en) | 2021-02-26 | 2023-09-05 | Cilag Gmbh International | Stapling instrument comprising a signal antenna |
| US12324580B2 (en) | 2021-02-26 | 2025-06-10 | Cilag Gmbh International | Method of powering and communicating with a staple cartridge |
| US11793514B2 (en) | 2021-02-26 | 2023-10-24 | Cilag Gmbh International | Staple cartridge comprising sensor array which may be embedded in cartridge body |
| US12108951B2 (en) | 2021-02-26 | 2024-10-08 | Cilag Gmbh International | Staple cartridge comprising a sensing array and a temperature control system |
| US11925349B2 (en) | 2021-02-26 | 2024-03-12 | Cilag Gmbh International | Adjustment to transfer parameters to improve available power |
| US11950777B2 (en) | 2021-02-26 | 2024-04-09 | Cilag Gmbh International | Staple cartridge comprising an information access control system |
| US11730473B2 (en) | 2021-02-26 | 2023-08-22 | Cilag Gmbh International | Monitoring of manufacturing life-cycle |
| US11737749B2 (en) | 2021-03-22 | 2023-08-29 | Cilag Gmbh International | Surgical stapling instrument comprising a retraction system |
| US11759202B2 (en) | 2021-03-22 | 2023-09-19 | Cilag Gmbh International | Staple cartridge comprising an implantable layer |
| US11806011B2 (en) | 2021-03-22 | 2023-11-07 | Cilag Gmbh International | Stapling instrument comprising tissue compression systems |
| US11723658B2 (en) | 2021-03-22 | 2023-08-15 | Cilag Gmbh International | Staple cartridge comprising a firing lockout |
| US11717291B2 (en) | 2021-03-22 | 2023-08-08 | Cilag Gmbh International | Staple cartridge comprising staples configured to apply different tissue compression |
| US11826042B2 (en) | 2021-03-22 | 2023-11-28 | Cilag Gmbh International | Surgical instrument comprising a firing drive including a selectable leverage mechanism |
| US11826012B2 (en) | 2021-03-22 | 2023-11-28 | Cilag Gmbh International | Stapling instrument comprising a pulsed motor-driven firing rack |
| US11896218B2 (en) | 2021-03-24 | 2024-02-13 | Cilag Gmbh International | Method of using a powered stapling device |
| US11857183B2 (en) | 2021-03-24 | 2024-01-02 | Cilag Gmbh International | Stapling assembly components having metal substrates and plastic bodies |
| US11832816B2 (en) | 2021-03-24 | 2023-12-05 | Cilag Gmbh International | Surgical stapling assembly comprising nonplanar staples and planar staples |
| US11849944B2 (en) | 2021-03-24 | 2023-12-26 | Cilag Gmbh International | Drivers for fastener cartridge assemblies having rotary drive screws |
| US11896219B2 (en) | 2021-03-24 | 2024-02-13 | Cilag Gmbh International | Mating features between drivers and underside of a cartridge deck |
| US11944336B2 (en) | 2021-03-24 | 2024-04-02 | Cilag Gmbh International | Joint arrangements for multi-planar alignment and support of operational drive shafts in articulatable surgical instruments |
| US11849945B2 (en) | 2021-03-24 | 2023-12-26 | Cilag Gmbh International | Rotary-driven surgical stapling assembly comprising eccentrically driven firing member |
| US11786243B2 (en) | 2021-03-24 | 2023-10-17 | Cilag Gmbh International | Firing members having flexible portions for adapting to a load during a surgical firing stroke |
| US12102323B2 (en) | 2021-03-24 | 2024-10-01 | Cilag Gmbh International | Rotary-driven surgical stapling assembly comprising a floatable component |
| US11744603B2 (en) | 2021-03-24 | 2023-09-05 | Cilag Gmbh International | Multi-axis pivot joints for surgical instruments and methods for manufacturing same |
| US11793516B2 (en) | 2021-03-24 | 2023-10-24 | Cilag Gmbh International | Surgical staple cartridge comprising longitudinal support beam |
| US11786239B2 (en) | 2021-03-24 | 2023-10-17 | Cilag Gmbh International | Surgical instrument articulation joint arrangements comprising multiple moving linkage features |
| US11903582B2 (en) | 2021-03-24 | 2024-02-20 | Cilag Gmbh International | Leveraging surfaces for cartridge installation |
| US20220378426A1 (en) | 2021-05-28 | 2022-12-01 | Cilag Gmbh International | Stapling instrument comprising a mounted shaft orientation sensor |
| CN115721638B (zh) * | 2021-08-30 | 2024-05-17 | 华东师范大学 | 月桂酰精氨酸乙酯盐酸盐在制备促伤口愈合药物中的应用 |
| US11877745B2 (en) | 2021-10-18 | 2024-01-23 | Cilag Gmbh International | Surgical stapling assembly having longitudinally-repeating staple leg clusters |
| US12239317B2 (en) | 2021-10-18 | 2025-03-04 | Cilag Gmbh International | Anvil comprising an arrangement of forming pockets proximal to tissue stop |
| US11957337B2 (en) | 2021-10-18 | 2024-04-16 | Cilag Gmbh International | Surgical stapling assembly with offset ramped drive surfaces |
| US11980363B2 (en) | 2021-10-18 | 2024-05-14 | Cilag Gmbh International | Row-to-row staple array variations |
| US12089841B2 (en) | 2021-10-28 | 2024-09-17 | Cilag CmbH International | Staple cartridge identification systems |
| US11937816B2 (en) | 2021-10-28 | 2024-03-26 | Cilag Gmbh International | Electrical lead arrangements for surgical instruments |
| US12432790B2 (en) | 2021-10-28 | 2025-09-30 | Cilag Gmbh International | Method and device for transmitting UART communications over a security short range wireless communication |
Family Cites Families (15)
| Publication number | Priority date | Publication date | Assignee | Title |
|---|---|---|---|---|
| JPS5014651B1 (es) * | 1969-12-30 | 1975-05-29 | ||
| GB1352420A (en) | 1971-06-18 | 1974-05-08 | Ajinomoto Kk | Arginine derivatives their production and their use |
| WO1994019027A1 (en) * | 1993-02-26 | 1994-09-01 | Wesley-Jessen Corporation | Method and composition for disinfecting contact lenses |
| ES2092958B1 (es) | 1995-01-10 | 1997-08-01 | Miret Lab | Procedimiento para la sintesis de tensioactivos cationicos derivados de la condensacion de acidos grasos con aminoacidos de caracter basico esterificados y su aplicacion como agentes antimicrobianos. |
| JP3641532B2 (ja) * | 1996-10-07 | 2005-04-20 | 株式会社ノエビア | 液状化粧料 |
| US6277359B1 (en) * | 1999-01-29 | 2001-08-21 | Cognis Deutschland Gmbh | Deodorizing formulation |
| BR0015879B1 (pt) | 2000-06-03 | 2012-02-22 | processo para preparação de tensoativos catiÈnicos. | |
| DE10033717A1 (de) * | 2000-07-12 | 2002-01-24 | Beiersdorf Ag | Kosmetische und dermatologische Zubereitung zur Beseitigung von Sebum |
| DK1450608T3 (da) * | 2001-04-28 | 2006-01-09 | Miret Lab | Antimikrobiel sammensætning omfattende kaliumsorbat og LAE |
| MXPA04001168A (es) * | 2001-08-09 | 2005-02-17 | Miret Lab | Uso de agentes tensioactivos cationicos en preparaciones cosmeticas. |
| DE60139032D1 (de) * | 2001-08-09 | 2009-07-30 | Miret Lab | Neue konservierungssysteme und deren verwendung in kosmetischen mitteln |
| US7407679B2 (en) * | 2001-10-25 | 2008-08-05 | Laboratorios Miret, S.A. | Use of cationic preservative in food products |
| US7029698B2 (en) * | 2001-11-21 | 2006-04-18 | R.P. Scherer Technologies, Inc. | Acetaminophen compositions |
| MXPA04007277A (es) | 2002-02-01 | 2004-10-29 | Miret Lab | Sintesis enzimatica de esteres de n(alfa)-acil-l-arginina. |
| EP1501379B1 (en) | 2002-05-08 | 2007-11-14 | Laboratorios Miret, S.A. | New preservatives and protective systems |
-
2005
- 2005-08-01 EP EP05776122.3A patent/EP1909746B1/en not_active Expired - Lifetime
- 2005-08-01 BR BRPI0520473-9A patent/BRPI0520473A2/pt not_active IP Right Cessation
- 2005-08-01 NZ NZ565412A patent/NZ565412A/en not_active IP Right Cessation
- 2005-08-01 ES ES05776122T patent/ES2717604T3/es not_active Expired - Lifetime
- 2005-08-01 JP JP2008524366A patent/JP2009502181A/ja active Pending
- 2005-08-01 AU AU2005335074A patent/AU2005335074A1/en not_active Abandoned
- 2005-08-01 WO PCT/EP2005/053735 patent/WO2007014580A1/en not_active Ceased
- 2005-08-01 CA CA002614978A patent/CA2614978A1/en not_active Abandoned
- 2005-08-01 MX MX2008001517A patent/MX2008001517A/es not_active Application Discontinuation
- 2005-08-01 US US11/997,160 patent/US10130830B2/en active Active
-
2006
- 2006-07-04 AR ARP060102881A patent/AR055348A1/es not_active Application Discontinuation
-
2007
- 2007-07-13 UY UY30485A patent/UY30485A1/es not_active Application Discontinuation
-
2008
- 2008-01-08 IL IL188656A patent/IL188656A0/en unknown
Also Published As
| Publication number | Publication date |
|---|---|
| US10130830B2 (en) | 2018-11-20 |
| JP2009502181A (ja) | 2009-01-29 |
| BRPI0520473A2 (pt) | 2009-05-12 |
| IL188656A0 (en) | 2008-08-07 |
| AR055348A1 (es) | 2007-08-22 |
| AU2005335074A1 (en) | 2007-02-08 |
| US20100092420A1 (en) | 2010-04-15 |
| UY30485A1 (es) | 2007-08-31 |
| NZ565412A (en) | 2011-03-31 |
| WO2007014580A1 (en) | 2007-02-08 |
| EP1909746B1 (en) | 2019-01-30 |
| EP1909746A1 (en) | 2008-04-16 |
| CA2614978A1 (en) | 2007-02-08 |
| MX2008001517A (es) | 2008-02-15 |
Similar Documents
| Publication | Publication Date | Title |
|---|---|---|
| ES2717604T3 (es) | Sistemas conservantes que comprenden tensioactivos catiónicos | |
| CN101227884A (zh) | 包括阳离子表面活性剂的防腐体系 | |
| ES2324979T3 (es) | Nuevos sistemas conservantes y su uso en preparaciones cosmeticas. | |
| ES2706178T3 (es) | Composiciones para mejorar el sabor y la seguridad en productos de carnes marinadas | |
| ES2625469T5 (es) | Aditivo para pienso de animales y pienso para animales que comprende ésteres de alquilo de ácidos grasos de cadena media, y su uso en pienso para animales | |
| ES2923413T3 (es) | Combinación de antioxidantes naturales | |
| US8895034B2 (en) | Collagen production compound | |
| US20090098254A1 (en) | Methods And Compositions For Improving Sensory And Shelf Life Characteristics Of Raw Meat Products | |
| WO2009087632A3 (en) | Emulsified wax compositions and uses thereof | |
| KR100879283B1 (ko) | 해조 추출물을 포함하는 화장료 조성물 | |
| KR101634226B1 (ko) | 무 계면활성제 치약 조성물과 이의 제조방법 | |
| JP2002205913A (ja) | 化粧料組成物 | |
| CN105767845A (zh) | 一种含溶菌酶的天然食品防腐剂 | |
| ES2569182T3 (es) | Composición para conservar productos alimenticios y su uso | |
| JP2004238310A (ja) | 化粧料組成物又は飲食品 | |
| JP2008273888A (ja) | 頭皮頭髪用組成物、及び変色又は光による褪色抑制方法 | |
| ES2551681T3 (es) | Combinaciones de un fungicida poliénico con un tensoactivo catiónico | |
| KR102592996B1 (ko) | 반려동물 식재료의 유해세균 제거 및 염분저감방법 | |
| JP4374362B2 (ja) | パック用ソルト,及びそれを用いたパック剤 | |
| ES2369183A1 (es) | Composiciones conservantes de aceitunas con actividad antifúngica. | |
| RU2611171C1 (ru) | Средство для антимикробной защиты готовой мясной продукции при хранении | |
| JP2011051963A (ja) | 遺体保存用の酸化防止・消臭剤及び化粧剤の製造法、及び該製造法で製した遺体保存用の酸化防止・消臭剤及び化粧剤 | |
| Tarté | Food Safety Ingredients in Meat Products | |
| JP2013236577A (ja) | 内服組成物 | |
| WO2020165960A1 (ja) | 液体状ボディソープ |



























