EP0802390B1 - Verfahren zur Bestimmung einer korrigierten Zerlegungszeit eines programmierbar zerlegbaren Geschosses - Google Patents

Verfahren zur Bestimmung einer korrigierten Zerlegungszeit eines programmierbar zerlegbaren Geschosses Download PDF

Info

Publication number
EP0802390B1
EP0802390B1 EP96118039A EP96118039A EP0802390B1 EP 0802390 B1 EP0802390 B1 EP 0802390B1 EP 96118039 A EP96118039 A EP 96118039A EP 96118039 A EP96118039 A EP 96118039A EP 0802390 B1 EP0802390 B1 EP 0802390B1
Authority
EP
European Patent Office
Prior art keywords
projectile
velocity
equation
time
barrel
Prior art date
Legal status (The legal status is an assumption and is not a legal conclusion. Google has not performed a legal analysis and makes no representation as to the accuracy of the status listed.)
Expired - Lifetime
Application number
EP96118039A
Other languages
English (en)
French (fr)
Other versions
EP0802390A1 (de
Inventor
André Boss
Current Assignee (The listed assignees may be inaccurate. Google has not performed a legal analysis and makes no representation or warranty as to the accuracy of the list.)
Rheinmetall Air Defence AG
Original Assignee
Oerlikon Contraves AG
Priority date (The priority date is an assumption and is not a legal conclusion. Google has not performed a legal analysis and makes no representation as to the accuracy of the date listed.)
Filing date
Publication date
Application filed by Oerlikon Contraves AG filed Critical Oerlikon Contraves AG
Publication of EP0802390A1 publication Critical patent/EP0802390A1/de
Application granted granted Critical
Publication of EP0802390B1 publication Critical patent/EP0802390B1/de
Anticipated expiration legal-status Critical
Expired - Lifetime legal-status Critical Current

Links

Images

Classifications

    • FMECHANICAL ENGINEERING; LIGHTING; HEATING; WEAPONS; BLASTING
    • F42AMMUNITION; BLASTING
    • F42CAMMUNITION FUZES; ARMING OR SAFETY MEANS THEREFOR
    • F42C17/00Fuze-setting apparatus
    • F42C17/04Fuze-setting apparatus for electric fuzes
    • FMECHANICAL ENGINEERING; LIGHTING; HEATING; WEAPONS; BLASTING
    • F42AMMUNITION; BLASTING
    • F42CAMMUNITION FUZES; ARMING OR SAFETY MEANS THEREFOR
    • F42C11/00Electric fuzes
    • F42C11/06Electric fuzes with time delay by electric circuitry

Definitions

  • the invention relates to a method for determining a corrected disassembly time one programmably disassembled from a gun barrel Projectile according to the preamble of claim 1.
  • a device which has a measuring device for the projectile velocity arranged at the mouth of a gun barrel.
  • the measuring device consists of two ring coils arranged at a certain distance from one another.
  • a pulse is generated in short succession in each ring coil due to the change in magnetic flux that occurs.
  • the pulses are fed to evaluation electronics, in which the projectile speed is calculated from the time interval between the pulses and the distance between the ring coils.
  • a transmitting coil is arranged behind the measuring device for the speed, which co-operates with a receiving coil provided in the projectile.
  • the receiving coil is connected to a counter via a high-pass filter, which is connected on the output side to a timer.
  • a disassembly time is formed from the calculated bullet speed and a target distance to a target object, which is transmitted inductively to the bullet immediately after the measuring device has flown through. With this disassembly time, the time fuse is set so that the projectile can be disassembled in the area of the target object.
  • Describe the ejected subprojectiles a spin-stabilized caused by the rotation of the projectile Trajectory and lie evenly distributed on approximately semicircular curves of Circular areas of a cone, so that there is a good chance of hitting or firing can be achieved.
  • the invention has for its object a method according to Propose generic term, by means of which avoiding the aforementioned Disadvantages an optimal hit or shot probability is achievable.
  • a given optimal disassembly distance between a disassembly point of the projectile and a meeting point of the target is kept constant by correcting the disassembly time of the projectile.
  • the correction is made by adding a correction factor multiplied by a speed difference to the disassembly time.
  • the speed difference is formed from the difference between the current measured floor speed and a lead speed of the projectile, the lead speed being calculated from the mean of a number of previous successive floor speeds.
  • the advantages achieved with the invention can be seen in the fact that a given disassembly distance independent of the current measured bullet speed is, so that a permanent optimal hit or shot probability is achieved can.
  • the proposed correction factor for correcting the disassembly time is based only on the shooting elements of the meeting point for controlling the Weapon, namely the gun angles ⁇ , ⁇ , the hit time Tf and the lead speed V0v of the floor. So the possibility of a simple, a minimal Integration into existing weapon control systems requiring effort given.
  • 1 denotes a fire control and 2 a gun.
  • the fire control system 1 consists of a search sensor 3 for the detection of a target 4 , a follow-up sensor 5 connected to the search sensor 3 for target detection, 3-D target tracking and 3-D target measurement, and a fire control computer 6 .
  • the fire control computer 6 has at least one main filter 7 and a lead computing unit 9 .
  • the main filter 7 is connected on the input side to the follow sensor 5 and on the output side to the lead computing unit 9 , the main filter 7 receiving the 3-D target data received from the follow sensor 5 in the form of estimated target data Z such as position, speed, acceleration, etc.
  • Computing unit 9 forwards. Meteorological data can be supplied to the lead computing unit 9 via a further input Me. The meaning of the designations on the individual connections or connections is explained in more detail below on the basis of the functional description.
  • a computer of the gun 2 has an evaluation circuit 10 , an update computing unit 11 and a correction computing unit 12 .
  • the evaluation circuit 10 is connected on the input side to a measuring device 14 for the projectile speed, which is arranged at the mouth of a gun barrel 13 and is described in greater detail below with reference to FIG . 2 , and is connected on the output side to the lead computing unit 9 and the update computing unit 11 .
  • the update computing unit 11 is connected on the input side to the reserve and to the correction computing unit 9, 12 and is connected on the output side to a programmer integrated in the measuring device 14 .
  • the correction computing unit 12 is connected on the input side to the lead computing unit 9 and on the output side to the updating computing unit 11 .
  • a gun servo 15 and a triggering device 16 responding to a fire command are also connected to the lead computing unit 9 .
  • the connections between the fire control 1 and the gun 2 are combined to form a data transmission, which is designated by 17 .
  • the meaning of the designations on the individual connections between the computing units 10, 11, 12 and between the fire control system 1 and the gun 2 is explained in more detail below on the basis of the functional description.
  • 18 and 18 ' denote a floor which is shown during a programming phase ( 18 ) and at the time of disassembly ( 18' ).
  • the projectile 18 is a programmable projectile with primary and secondary ballistics, which is equipped with an ejection charge and a time fuse and is filled with sub-projectiles 19 .
  • a support tube 20 attached to the muzzle of the gun barrel 13 consists of three parts 21, 22, 23 . Between the first part 21 and the second or third part 22, 23 , ring coils 24, 25 are arranged for measuring the projectile speed. On the third part 23 — also called the programming part — a transmission coil 27 held in a coil body 26 is fastened. The type of attachment of the support tube 20 and the three parts 21, 22, 23 to each other is not shown and described. Lines 28, 29 are provided for supplying the ring coils. Soft iron rods 30 are arranged on the circumference of the support tube 20 for the purpose of shielding against magnetic fields which interfere with the measurement.
  • the projectile 18 has a receiving coil 31 which is connected to a timer 34 via a filter 32 and a counter 33 .
  • a pulse is generated in short succession in each ring coil.
  • These pulses are fed to the evaluation circuit 10 ( FIG. 1 ), in which the projectile speed is calculated from the time interval of the pulses and a distance a between the ring coils 24, 25 .
  • a disassembly time is calculated, as described in more detail below, which is transmitted inductively to the receiving coil 31 in digital form when the bullet 18 passes through the transmitting coil 27 for the purpose of setting the counter 32 .
  • Pz denotes a point of disassembly of the projectile 18 .
  • the ejected subprojectiles are, depending on the distance from the point of decomposition Pz, evenly distributed on approximately semicircular curves of (in perspective) circular areas F1, F2, F3, F4 of a cone C.
  • F1, F2, F3, F4 of a cone C.
  • the distance from the point of decomposition Pz is plotted in meters m
  • the area sizes of the areas F1, F2, F3, F4 are plotted in square meters m 2 and their diameter in meters m.
  • the warded off target designates the preceding in a meeting place or firing position (4) and in one of the meeting place or position firing position (4' is 4, and 4) is shown.
  • the lead computation unit 9 calculates a target distance RT from a lead speed VOv and the target data Z, taking meteorological data into account for storeys with primary and secondary ballistics.
  • the lead speed VOv is formed, for example, from the mean value of a number of measured projectile speeds Vm supplied via the data transmission 17 , which immediately precede the current measured projectile speed Vm.
  • the lead computing unit 9 also determines a gun angle ⁇ of the azimuth and a gun angle I of the elevation.
  • the quantities ⁇ , ⁇ , Tf and VOv are referred to as shooting elements of the meeting point and are fed to the correction computing unit 12 via the data transmission 17 .
  • the shooting elements ⁇ and ⁇ are also fed to the gun servo 15 and the shooting elements VOv and Tf or Tz to the update computing unit 11 .
  • the current (running) time (t) is interpolated or extrapolated.
  • the correction arithmetic unit 12 calculates a correction actuator K at the beginning of each cycle i with the latest set of shooting elements ⁇ , ⁇ , Tz or Tf and VOv, for which purpose a determination equation for the correction factor K is developed as described in more detail below.
  • Equation Eq.17 the derivation of the flight time ⁇ TG / ⁇ t o ( t o ) from the fire control 1 can be calculated using various mathematical methods.
  • ⁇ 2 is a known function of ⁇ ⁇ ( t o ), ⁇ ( t o ) and ⁇ ⁇ ( t o ). These sizes can either be calculated or measured directly on gun 2.
  • the sizes p 2 G / ⁇ 2 G and ⁇ p G ⁇ O ⁇ G are given by ballistics. There are functions in the first order of flight time and in the second order of pipe elevation, which can be negligible. For example, a solution according to d'Antonio can be used to determine these variables.
  • equations Eq.18 and Eq.19 the correction factor K results where the sizes TG , ⁇ TG / ⁇ t o , ⁇ , ⁇ , ⁇ ⁇ , ⁇ ⁇ and ⁇ o refer to the time t o .
  • the corrected dismantling time Tz (Vm) is depending on the time validity for the current running time t is interpolated or extrapolated.
  • the new calculated disassembly time Tz (Vm, t) is the transmitter coil 27 of the Programming part 23 of the measuring device 14 supplied and how already described above with reference to FIG missile 18 transmitted.
  • the disassembly distance Dz (Fig. 3,4) regardless of the spread of the bullet speed be kept constant, so that an optimal meeting or Probability of shooting can be achieved.

Landscapes

  • General Engineering & Computer Science (AREA)
  • Engineering & Computer Science (AREA)
  • Aiming, Guidance, Guns With A Light Source, Armor, Camouflage, And Targets (AREA)
  • Crushing And Grinding (AREA)
  • Electrotherapy Devices (AREA)
  • Paper (AREA)
  • Gasification And Melting Of Waste (AREA)
  • Toys (AREA)
  • Washing And Drying Of Tableware (AREA)
  • Fishing Rods (AREA)
  • Extrusion Moulding Of Plastics Or The Like (AREA)
  • Debugging And Monitoring (AREA)
  • Testing Of Balance (AREA)
  • Investigating, Analyzing Materials By Fluorescence Or Luminescence (AREA)

Description

Die Erfindung betrifft ein Verfahren zur Bestimmung einer korrigierten Zerlegungszeit eines aus einem Geschützrohr abgeschossenen programmierbar zerlegbaren Geschosses nach dem Oberbegriff des Anspruchs 1.
Mit der europäischen Patentanmeldung 0 300 255 ist eine Vorrichtung bekannt geworden, die eine an der Mündung eines Geschützrohres angeordnete Messvorrichtung für die Geschossgeschwindigkeit aufweist. Die Messvorrichtung besteht aus zwei in einem bestimmten Abstand voneinander angeordne-ten Ringspulen. Beim Durchgang eines Geschosses durch die beiden Ringspulen wird aufgrund der dabei auftretenden Aenderung des magnetischen Flus-ses kurz hintereinander in jeder Ringspule ein Impuls erzeugt. Die Impulse wer-den einer Auswerteelektronik zugeführt, in welcher aus dem zeitlichen Abstand der Impulse und dem Abstand zwischen den Ringspulen die Geschossgeschwindigkeit errechnet wird. In Bewegungsrichtung des Geschosses ist hinter der Messvorrichtung für die Geschwindigkeit eine Sendespule angeordnet, die mit einer im Geschoss vorgesehenen Empfangsspule zusammenwirkt. Die Empfangsspule ist über ein Hochpassfilter mit einem Zähler verbunden, der ausgangsseitig mit einem Zeitzünder in Verbindung steht. Aus der errechneten Geschossgeschwindigkeit und einer aus Sensordaten ermittelten Treffdistanz zu einem Zielobjekt wird eine Zerlegungszeit gebildet, die unmittelbar nach dem Durchfliegen der Messvorrichtung induktiv auf das Geschoss übertragen wird. Mit dieser Zerlegungszeit wird der Zeitzünder eingestellt, so dass das Geschoss im Bereiche des Zielobjektes zerlegtwerden kann.
Werden Geschosse mit Subprojektilen verwendet (Munition mit Primär- und Sekundärballistik), so kann wie beispielsweise aus einer Druckschrift OC 2052 d 94 der Firma Oerlikon-Contraves, Zürich, bekannt, ein angreifendes Ziel durch mehrfache Treffer zerstört werden, wenn nach Ausstossen der Subprojektile im Zerlegungszeitpunkt das Erwartungsgebiet des Zieles von einer durch die Subprojektile gebildeten Wolke belegt ist. Bei der Zerlegung eines solchen Geschosses wird der die Subprojektile tragende Teil abgetrennt und an Sollbruchstellen aufgerissen. Die ausgestossenen Subprojektile beschreiben eine durch die Rotation des Geschosses hervorgerufene drallstabilisierte Flugbahn und liegen gleichmässig verteilt auf annähernd halbkreisförmigen Kurven von Kreisflächen eines Kegels, so dass eine gute Treff- bzw. Abschusswahrscheinlichkeit erreicht werden kann.
Bei vorstehend beschriebener Vorrichtung kann durch Streuungen in der Zerlegungsdistanz, die beispielsweise durch Streuungen der Geschossgeschwindigkeit und/oder Verwendung nicht aktualisierter Werte verursacht werden, nicht in jedem Fall eine gute Treff- bzw. Abschusswahrscheinlichkeit erreicht werden. Bei grösseren Zerlegungsdistanzen würde wohl die Kreisfläche grösser, die Dichte der Subprojektile jedoch kleiner werden. Bei kleineren Zerlegungsdistanzen tritt der umgekehrte Fall ein: Die Dichte der Subprojektile wäre grösser, die Kreisfläche jedoch kleiner.
Der Erfindung liegt die Aufgabe zugrunde ein Verfahren gemäss Oberbegriff vorzuschlagen, mittels welchen unter Vermeidung vorstehend erwähnter Nachteile eine optimale Treff- bzw. Abschusswahrscheinlichkeit erreichbar ist.
Diese Aufgabe wird durch die im Patentanspruch 1 angegebene Erfindung gelöst. Hierbei wird eine gegebene optimale Zerlegungsdistanz zwischen einem Zerlegungspunkt des Geschosses und einem Treffpunkt des Zieles durch Korrektur der Zerlegungszeit des Geschosses gleichbleibend gehalten. Die Korrektur erfolgt indem zur Zerlegungszeit ein mit einer Geschwindigkeitsdifferenz multiplizierter Korrekturfaktor addiert wird. Die Ge-schwindigkeitsdifferenz wird aus der Differenz der aktuellen gemessenen Geschossge-schwindigkeit und einer Vorhaltgeschwindigkeit des Geschosses gebildet, wobei die Vor-haltgeschwindigkeit aus dem Mittelwert einer Anzahl vorhergehender, aufeinanderfolgender Geschossgeschwindigkeiten errechnet wird.
Die mit der Erfindung erzielten Vorteile sind darin zu sehen, dass eine gegebene Zerlegungsdistanz von der aktuellen gemessenen Geschossgeschwindigkeit unabhängig ist, so dass eine dauernde optimale Treff- bzw. Abschusswahrscheinlichkeit erzielt werden kann. Der vorgeschlagene Korrekturfaktor für die Korrektur der Zerlegungszeit basiert lediglich auf den Schiesselementen des Treffpunktes für die Steuerung der Waffe, nämlich den Geschützwinkeln α, λ, der Treffzeit Tf und der Vorhaltgeschwindigkeit V0v des Geschosses. Damit ist die Möglichkeit einer einfachen, einen minimalen Aufwand erfordernden Integration in bereits bestehende Waffensteuerungssysteme gegeben.
Im folgenden wird die Erfindung anhand eines Ausführungsbeispieles im Zusammenhang mit der Zeichnung näher erläutert. Es zeigen.
Fig.1
eine schematische Darstellung eines Waffensteuerungs-Systems mit der er findungsgemässen Vorrichtung,
Fig.2
einen Längsschnitt durch eine Mess- und Programmiervorrichtung,
Fig.3
ein Diagramm der Verteilung von Subprojektilen in Abhängigkeit von der Zer legungsdistanz, und
Fig.4
eine andere Darstellung des Waffensteuerungs-Systems gemäss Fig.1.
In der Fig.1 ist mit 1 eine Feuerleitung und mit 2 ein Geschütz bezeichnet. Die Feuerleitung 1 besteht aus einem Suchsensor 3 für die Entdeckung eines Zieles 4, einem mit dem Suchsensor 3 verbundenen Folgesensor 5 für die Zielerfassung, die 3-D-Zielverfolgung und die 3-D-Zielvermessung, sowie einem Feuerteitungsrechner 6. Der Feuerleitungsrechner 6 weist mindestens ein Hauptfilter 7 und eine Vorhalt-Rechen-einheit 9 auf. Das Hauptfilter 7 ist eingangsseitig mit dem Folgesensor 5 und ausgangsseitig mit der Vorhalt-Recheneinheit 9 verbunden, wobei das Hauptfilter 7 die vom Folgesensor 5 empfangenen 3-D-Zieldaten in Form von geschätzten Zieldaten Z wie Position, Geschwindigkeit, Beschleunigung usw. an die Vorhalt-Recheneinheit 9 weiterleitet. Ueber einen weiteren Eingang Me können der Vorhalt-Recheneinheit 9 meteorologische Daten zugeführt werden. Die Bedeutung der Bezeichnungen an den einzelnen Verbindungen bzw. Anschlüssen wird nachstehend anhand der Funktionsbeschreibung näher erläutert.
Ein Rechner des Geschützes 2 weist eine Auswerteschaltung 10, eine Aufdatierungs-Recheneinheit 11 und eine Korrektur-Recheneinheit 12 auf. Die Auswerteschaltung 10 ist eingangsseitig an einer an der Mündung eines Geschützrohres 13 angeordneten, nachstehend anhand der Fig.2 näher beschriebenen Messvorrichtung 14 für die Geschossgeschwindigkeit angeschlossen und ausgangsseitig mit der Vorhalt-Recheneinheit 9 und der Aufdatierungs-Recheneinheit 11 verbunden. Die Aufdatierungs-Recheneinheit 11 ist eingangsseitig an der Vorhalt- und an der Korrektur-Recheneinheit 9, 12 angeschlossen und steht ausgangsseitig mit einem in der Messvorrichtung 14 integrierten Programmierte in Verbindung. Die Korrektur-Recheneinheit 12 ist eingangsseitig mit der Vorhalt-Recheneinheit 9 und ausgangsseitig mit der Aufdatier-Recheneinheit 11 verbunden. Ein Geschützservo 15 und eine auf einen Feuerbefehl ansprechende Auslöseeinrichtung 16 sind ebenfalls an der Vorhalt-Recheneinheit 9 angeschlossen. Die Verbindungen zwi-schen der Feuerleitung 1 und dem Geschütz 2 sind zu einer Data-Transmission zusammengefasst, die mit 17 bezeichnet ist. Die Bedeutung der Bezeichnungen an den einzelnen Verbindungen zwischen den Recheneinheiten 10, 11, 12 sowie zwischen der Feuerleitung 1 und dem Geschütz 2 wird nachstehend anhand der Funktionsbeschreibung näher erläutert. Mit 18 und 18' ist ein Geschoss bezeichnet, das während einer Program-mierphase (18) und im Zerlegungszeitpunkt (18') dargestellt ist. Beim Geschoss 18 handelt es sich um ein programmierbares Geschoss mit Primär-und Sekundärballistik, das mit einer Ausstossladung und einem Zeitzünder ausgestattet und mit Subprojektilen 19 gefüllt ist.
Gemäss Fig.2 besteht ein an der Mündung des Geschützrohres 13 befestigtes Tragrohr 20 aus drei Teilen 21, 22, 23. Zwischen dem ersten Teil 21 und dem zweiten bzw. dritten Teil 22, 23 sind Ringspulen 24, 25 für die Messung der Geschossgeschwindigkeit angeordnet. Am dritten Teil 23 -auch Programmierteil genannt- ist eine in einem Spulenkörper 26 gehaltene Sendespule 27 befestigt. Die Art der Befestigung des Tragrohres 20 und der drei Teile 21, 22, 23 miteinander ist nicht weiter dargestellt und beschrieben. Für die Speisung der Ringspulen sind Leitungen 28, 29 vorgesehen. Am Umfang des Tragrohres 20 sind zwecks Abschirmung von die Messung störenden Magnetfeldem Weicheisenstäbe 30 angeordnet. Das Geschoss 18 weist eine Empfangsspule 31 auf, die über ein Filter 32 und einen Zähler 33 mit einem Zeitzünder 34 verbunden ist. Beim Durchgang des Geschosses 18 durch die beiden Ringspulen 24, 25 wird kurz hintereinander in jeder Ringspule ein Impuls erzeugt. Diese Impulse werden der Auswerteschaltung 10 (Fig.1) zugeführt, in welcher aus dem zeitlichen Abstand der Impulse und einem Abstand a zwischen den Ringspulen 24, 25 die Geschossgeschwindigkeit errechnet wird. Unter Berück-sichtigung der Geschossgeschwindigkeit wird, wie nachstehend näher beschrieben, eine Zerlegungszeit errechnet, die in digitaler Form beim Durchgang des Geschos-ses 18 durch die Sendespule 27 zum Zwecke der Einstellung des Zählers 32 induktiv auf die Empfangsspule 31 übertragen wird.
In der Fig.3 ist mit Pz ein Zerlegungspunkt des Geschosses 18 bezeichnet. Die ausgestossenen Subprojektile liegen je nach Abstand von Zerlegungspunkt Pz gleichmässig verteilt auf annähernd halbkreisförmigen Kurven von (perspektivisch dargestellten) Kreisflächen F1, F2, F3, F4 eines Kegels C. Auf einer ersten Abzisse I ist der Abstand vom Zerlegungspunkt Pz in Metern m aufgetragen, während auf einer zweiten Abzisse II die Flächengrössen der Flächen F1, F2, F3, F4 in Quadratmetern m2 und deren Durchmesser in Metern m aufgetragen sind. Bei einem charakteristischem Geschoss mit beispielsweise 152 Subprojektilen und einem Scheitelwinkel des Kegels C von anfänglich 10° ergeben sich in Abhängigkeit vom Abstand die auf der Abzisse II aufgetragenen Werte. Die Dichte der auf den Kreisflächen F1, F2, F3, F4 befindlichen Subprojektile nimmt mit zunehmendem Abstand ab und beträgt bei den gewählten Verhältnissen 64, 16, 7 und 4 Subprojektile pro Quadratmeter. Bei einer vorgegebenen, der nachfolgend beschriebenen Berechnung der Zerlegungszeit zugrunde gelegten Zerlegungsdistanz Dz von beispielsweise 20 m, würde beim angenommenen Beispiel ein Zielgebiet von 3,5 m Durchmesser mit 16 Subprojektilen pro Quadratmeter belegt sein.
In der Fig.4 ist mit 4 und 4' das abzuwehrende Ziel bezeichnet, das in einer Treff- bzw. Abschussposition (4) und in einer der Treff- bzw. Abschussposition vorhergehenden Position (4') dargestellt ist.
Die vorstehend beschriebene Vorrichtung arbeitet wie folgt:
Die Vorhalt-Recheneinheit 9 errechnet aus einer Vorhaltgeschwindigkeit VOv und den Zieldaten Z unter Berücksichtigung von meteorologischen Daten bei Geschossen mit Primär-und Sekundärballistik eine Treffdistanz RT.
Die Vorhaltgeschwindigkeit VOv wird beispielsweise aus dem Mittelwert einer Anzahl über die Data-Transmission 17 zugeführter gemessener Geschossgeschwindigkeiten Vm gebildet, die der aktuellen gemessenen Geschossgeschwindigkeit Vm unmittelbar vorhergehen.
Aufgrund einer vorgegebenen Zerlegungsdistanz Dz und unter Berücksichtigung der von einer Treffzeit Tf abhängigen Geschossgeschwindigkeit Vg (Tf) kann eine Zerlegungszeit Tz des Geschosses nach folgenden Beziehungen ermittelt werden: Dz = Vg (Tf) * ts und Tz = Tf - ts worin Vg(Tf) durch ballistische Approximation bestimmt ist und Tz die Flugzeit des Geschosses bis zum Zerlegungszeitpunkt Pz, sowie ts die Flugzeit eines in der Geschossrichtung fliegenden Subprojektiles vom Zerlegungspunkt Pz bis zum Treffpunkt Pf bedeuten (Fig. 3, 4)
Die Vorhalt-Recheneinheit 9 ermittelt ferner einen Geschützwinkel α des Azimutes und einen Geschütrwinkel I der Elevation. Die Grössen α, λ, Tf und VOv werden als Schiesselemente des Treffpunktes bezeichnet und über die Data-Transmission 17 der Korrektur-Recheneinheit 12 zugeführt. Die Schiesselemente α und λ werden ausserdem noch dem Geschützservo 15 und die Schiesselemente VOv und Tf oder Tz noch der Aufdatier-Recheneinheit 11 zugeführt.
Die vorstehend beschriebenen Berechnungen werden taktweise wiederholt durchgeführt, so dass jeweils im aktuellen Takt i die neuesten Daten α, λ, Tz oder Tf und VOv für eine bestimmte Gültigkeitsdauer zur Verfügung stehen.
Zwischen den Taktwerten wird für die aktuellen (laufende) Zeit (t) jeweils interpoliert bzw. extrapoliert.
Die Korrektur-Recheneinheit 12 errechnet am Anfang eines jeden Taktes i mit dem jeweils neuesten Satz Schiesselemente α, λ, Tz oder Tf und VOv einen Korrekturtaktor K, zu welchem Zweck wie nachstehend näher beschrieben eine Bestimmungsgleichung für den Korrekturfaktor K entwickelt wird.
In einer Definition des Korrekturfaktors K K := D 1 t* (υ o ) = - υ rel o ), p G υ o υ rel o ), υ rel o )〉 ist v rel die relative Geschwindigkeit zwischen Geschoss und Ziel und
Figure 00070001
die Ableitung der Geschossposition nach dem Betrag der Anfangsgeschwindigkeit. Bei Annahme einer gestreckten Ballistik, bei der die Richtung des Vektors ∂ p G / ∂υ o ungefähr gleich der Richtung des Geschützrohres 13 ist kann
Figure 00080001
gesetzt werden. Hierbei wird der Betrag der Komponente der Vorhalt-Anfangsgeschwindigkeit υ o in Rohrrichtung als konstant angenommen. Das heisst TG = TG(to ) und
Figure 00080002
Zu beachten ist jedoch, dass υ o = υ o (to ) wegen der Bewegung des Geschützrohres 13 trotzdem von der Zeit abhängig ist, was durch die ballistische Lösung
Figure 00080003
ausgedrückt wird. Die Treffbedingung lautet dann
Figure 00080004
Die Ableitung der Gleichung Gl.10 nach to liefert
Figure 00080005
was eine Zerlegung der Zielgeschwindigkeit in die Geschossgeschwindigkeit und einen Vektor C . darstellt, wobei
Figure 00080006
ist. Aus der allgemeinen Theorie ist bekannt, dass unter den gegebenen Voraussetzungen der Ausdruck in Gleichung Gl.11.1
Figure 00080007
ist. Ausserdem ist die Rohrgeschwindigkeit
Figure 00080008
klein, so dass der Vektor
Figure 00080009
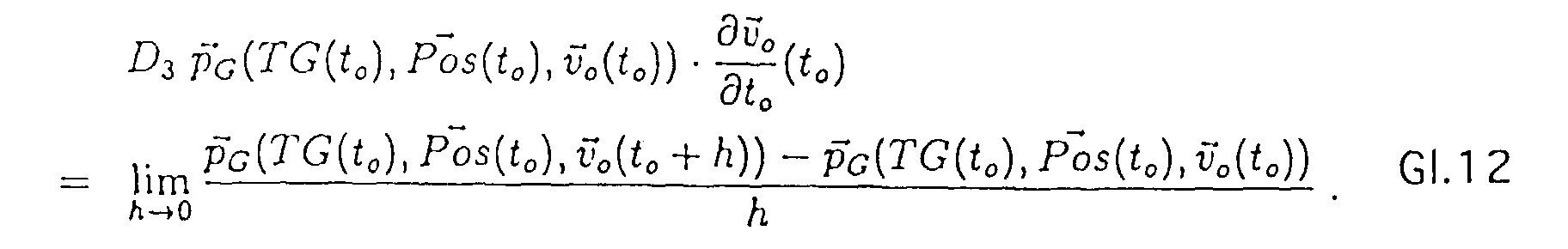
in Gleichung Gl.11.1 als vernachlässigbar klein betrachtete werden darf. Nach der allgmeinen Definition der Ableitung gilt für D3 in Gleichung Gl.11.1
Figure 00080010
Bei Vernachlässigung der Elevation des Geschützrohes 13 ist
Figure 00090001
so dass sich annähernd
Figure 00090002
ergibt. Der Punkt p G (TG(to ),
Figure 00090003
bewegt sich somit annähernd auf einer Kreisbahn in einer Ebene (Drehebene), welche durch die Vektoren p G (TG(to ),
Figure 00090004
aufgespannt wird. Damit kann für Gleichung Gl.12
Figure 00090005
geschrieben werden, wobei ω der Drehvektor senkrecht zur Drehebene ist. Hierbei wird angenommen, dass die Winkelgeschwindigkeit des Geschützrohres 13 um seine momentane Drehachse dem Betrag nach gleich der Winkelgeschwindigkeit der p G (TG(to ),
Figure 00090006
ist, so dass sich
Figure 00090007
ergibt. Unter der zusätzlichen Annahme, dass im Fall gestreckter Ballistik die Geschossgeschwindigkeit ungefähr parallel zur Zielrichtung ist, das heisst
Figure 00090008
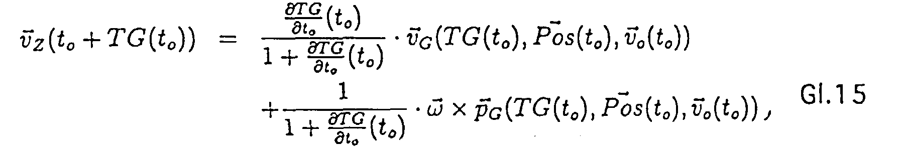
ist, wird aus Gleichung Gl.11 eine die Zerlegung der Zielgeschwindigkeit in zwei orthogonale Komponenten ausdrückende Gleichung Gl.15 gewonnen:
Figure 00090009
Durch Einsetzen der Gleichung Gl.9 in Gleichung Gl.8 und unter Berücksichtigung der Definition für υ rel ( υ o )
Figure 00090010
und der Definitionen
Figure 00100001
Figure 00100002
υ Z := ∥ υ Z (t o + TG(t o ))∥ ergibt sich
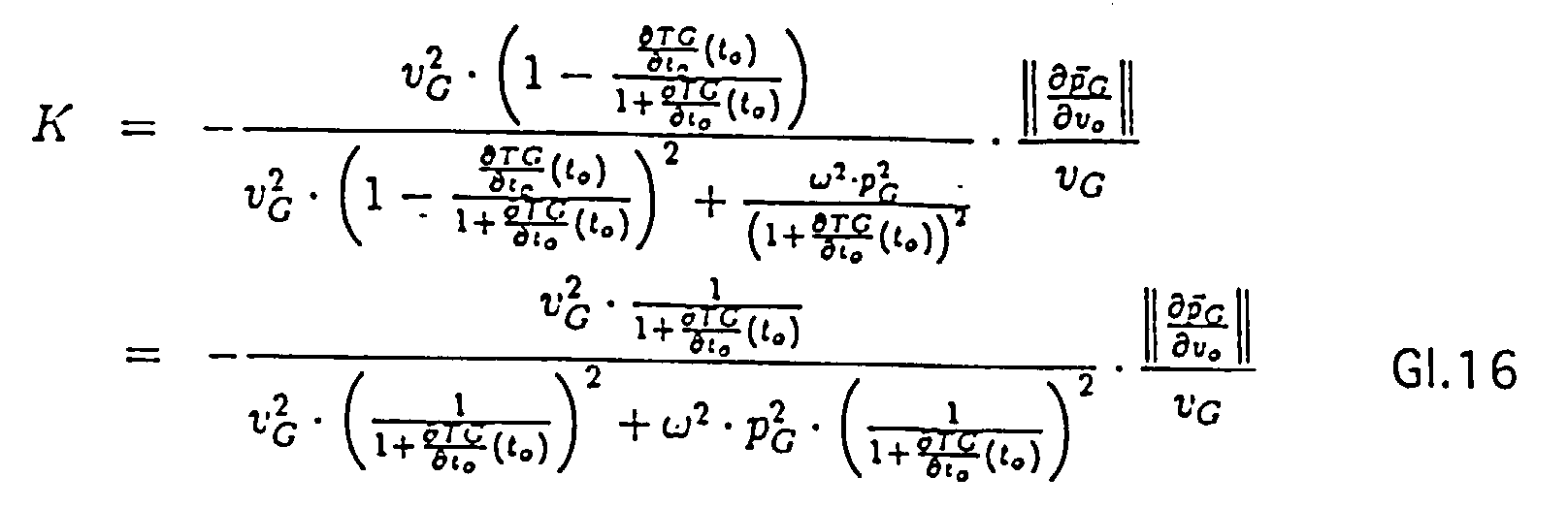
Figure 00100003
Aus den Gleichungen Gl.14 und Gl.15 folgt unter Berücksichtigung der Definitionen für pG,vG und vZ
Figure 00100004
sowie υ2 Z = TG t o (t o )1 + TG t o (t o ) · υ2 G + ω2·p 2 G 1 + TG t o (t o ) , so dass
Figure 00100005
wird. Durch Kürzen mit υ2 G 1 + TG t o (t o ) wird Gleichung Gl.16 vereinfacht, wobei sich der Korrekturfaktor K zu K = - 1 + TG t o (t o )1 + p 2 G υ2 G · ω2 · p G ∂υo υG ergibt. In Gleichung Gl.17 kann die Ableitung der Flugzeit ∂TG / ∂t o (to ) von der Feuerleitung 1 mittels verschiedener mathematischer Methoden berechnet werden. Nach Gleichung Gl.13 ist ω2 eine bekannte Funktion von α ˙(to ), λ(to ) und λ ˙(to ). Diese Grössen können entweder berechnet oder direkt am Geschütz 2 gemessen werden.
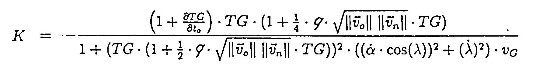
Die Grössen p 2 G / υ2 G und p G ∂υo υ G sind durch die Ballistik gegeben. Es sind Funktionen in erster Ordnung der Flugzeit und in zweiter Ordnung der Rohrelevation, welche vernachlässigbar sein kann. Für die Ermittlung dieser Grössen kann beispielsweise eine Lösung nach d'Antonio angewendet werden. Dieser Ansatz liefert p G υ G = TG(t o ) · (1 + 12 · q · υ o (t o )∥ ∥υ n · TG(t o )) p G ∂υo υ G = TG(t o ) · (1 + 14 · q · υ o (t o )∥ ∥υ n · TG(t o ))υ o (t o )∥ , wobei q := n · Luftdichte · Geschossquerschnitt2·Geschossmasse ist und υ n eine Geschwindigkeit (nominelle Anfangsgeschwindigkeit des Geschosses) bedeutet, die sich auf den cw-Wert bezieht. Durch Einsetzen der Gleichungen Gl.18 und Gl.19 in Gleichung Gl.17 ergibt sich der Korrekturfaktor K zu
Figure 00110001
wobei die Grössen TG, ∂TG / ∂t o , α, λ, α ˙, λ ˙ und υ o sich auf den Zeitpunkt to beziehen.
Die vorstehend angewendete mathematische bzw. physikalische Notation bedeutet:
υ
ein Vektor
υ
Norm des Vektors
u , υ
Skalarprodukt
u × υ
Vektorprodukt
Id
Einheitsmatrix
skalare oder Matrixmultiplikation
g := A.
die Grösse g wird definiert als Ausdruck A
g = g(x 1,...,xn )
die Grösse g hängt ab von x1,.......,xn
tg(t)
Zuordnung (t wird die Auswertung von g an der Stelle t zugeordnet)
g ˙
Ableitung von g nach der Zeit
Di g(x 1, ...,xn )
partielle Ableitung von g nach der i-ten Variablen
∂ / ∂t g(t, x 1,...,xn )
partielle Ableitung von g nach der Zeit t
lim h 0 A(h)
Limes des Ausdruckes A für h gegen 0
inf t M
Infimum der Menge M über alle t
p G , υ G , a G
Position,Geschwindigkeit,Beschleunigung des Geschosses
p Z , υ Z , a Z
Position,Geschwindigkeit,Beschleunigung des Zieles
p rel , υ rel , a rel
relative Position,Geschwindigkeit,Beschleunigung Geschoss-Ziel
Figure 00120001
Position der Rohrmündung
α, λ
Azimut und Elevation des Geschützrohres
υ o
Vorhalt-Anfangsgeschwindigkeit des Geschosses
υ o
Betrag der Komponente der Vorhalt-Anfangsgeschwindigkeit der Geschosses in Rohrrichtung
υ m
Betrag der Komponente der effektiven Anfangsgeschwindigkeit des Geschosses in Rohrrichtung
TG
Vorhalt Flugzeit des Geschosses
t*
Flugzeit des Geschosses
to
Zeitpunkt zu dem das Geschoss die Rohrmündung passiert.
Die Aufdatierungs-Recheneinheit 11 errechnet aus dem von der Korrektur-Recheneinheit 12 zugeführten Korrekturfaktor K, der von der Auswerteschaltung 10 zugeführten aktuellen gemessenen Geschossgeschwindigkeit Vm und der von der Vorhalt-Recheneinheit 9 zugeführten Vorhaltgeschwindigkeit Vov und Zerlegungszeit Tz eine korrigierte Zerlegungszeit Tz (Vm) nach der Beziehung Tz (Vm) = Tz + K * (Vm-VOv).
Die korrigierte Zerlegungszeit Tz (Vm) wird je nach Zeitgültigkeit für die aktuelle laufende Zeit t interpoliert bzw. extrapoliert. Die neu errechnete Zerlegungszeit Tz(Vm,t) wird der Sendespule 27 des Programmierteils 23 der Messvorrichtung 14 zugeführt und wie bereits vorstehend anhand der Fig.2 beschrieben induktiv auf ein vorbeifliegendes Geschoss 18 übertragen.
Mit der Korrektur der Zerlegungszeit Tz kann die Zerlegungsdistanz Dz (Fig.3,4) unabhängig von den Streuungen der Geschossgeschwindigkeit gleichbleibend gehalten werden, so dass eine optimale Treff-bzw. Abschusswahrscheinlichkeit erzielt werden kann.
Anstatt Gleichung Gl.9, kann bei Annahme gestreckter Ballistik auch
Figure 00130001
gesetzt werden, wobei dieser Ansatz in erster Ordnung bei Berücksichtigung der Fallwinkel für eine kurze Ballistik zum gleichen Ergebnis für den Korrekturfaktor K führt.

Claims (2)

  1. Verfahren zur Bestimmung einer korrigierten Zerlegungszeit (Tz(Vm)) eines aus einem Geschützrohr (13) abgeschossenen, programmier zerlegbaren Geschosses (12), zwecks gleichbleibend Halten einer gegebenen Zerlegungsdistanz (Dz) zwischen einem Zerlegungspunkt (Pz) des Geschosses (12) und einem Treffpunkt (Pf) des Geschosses (12) mit einem eine Geschwindigkeit aufweisenden Zielobjekt, wobei
    Sensordaten gemessen werden, aus welchen eine Treffdistanz (RT) vom Geschützrohr (13) zum Zielobjekt berechnet wird,
    an der Mündung des Geschützrohres (13) die Geschwindigkeit (Vm) des abgeschossenen Geschosses gemessen wird, und
    der Bestimmung der korrigierten Zerlegungszeit (Tz(Vm)) mindestens
    die genannte Treffdistanz (RT),
    die genannte Geschwindigkeit (Vm) des Geschosses (12) sowie
    die Zerlegungsdistanz (Dz) zugrunde gelegt wird,
    dadurch gekennzeichnet,
    dass aus den gemessenen Sensordaten im weiteren eine Vorhaltegeschwindigkeit (Vov) des Geschosses ermittelt wird, und
    dass die korrigierte Zerlegungszeit (Tz(Vm)) aus der ursprünglich festgelegten Zer legungszeit (Tz) durch die Beziehung Tz (Vm) = Tz + K * (Vm-Vov) bestimmt wird, in welcher Beziehung
    Tz (Vm)
    die korrigierte Zerlegungszeit,
    Tz
    die ursprünglich festgelegte Zerlegungszeit,
    K
    einen Korrekturfaktor,
    Vm
    die aktuelle gemessene Geschossgeschwindigkeit an der Mündung und
    Vov
    eine Vorhaltgeschwindigkeit des Geschosses bedeuten.
    wobei der Korrekturfaktor (K) ausgehend von der Definition K := D 1 t* (υ o ) = - υ rel o ), p G υ o υ rel o ), υ rel o )〉 und der Ableitung der Geschossposition nach dem Betrag der Anfangsgeschwindigkeit bei Annahme einer gestreckten Ballistik
    Figure 00150001
    sowie der ballistischen Lösung
    Figure 00150002
    und der Treffbedingung
    Figure 00160001
    durch folgende Berechnungsschritte in Beziehung zu einer Flugzeit (TG) des Geschosses, den Geschützwinkeln (α, λ) und der Vorhaltgeschwindigkeit gesetzt wird,
    differenzieren der Gleichung Gl.10 nach der Zeit to liefert
    Figure 00160002
    wobei Gleichung Gl.11 eine Zerlegung der Zielgeschwindigkeit in die Geschossgeschwindigkeit und einen Vektor ( C ) darstellt, und wobei
    Figure 00160003
    ist,
    vernachlässigen des Ausdrucks
    Figure 00160004
    in Gleichung Gl.11.1,
    definieren der Ableitung D3 in Gleichung Gl.11.1
    Figure 00160005
    vernachlässigen der Elevation des Geschützrohres (13), wobei
    Figure 00160006
    ist und sich annähernd
    Figure 00160007
    ergibt, so dass Gleichung Gl.12 als
    Figure 00160008
    geschrieben werden kann, wobei ω ein Drehvektor senkrecht zu einer Drehebene ist,
    voraussetzen, dass die Winkelgeschwindigkeit des Geschützrohres (13) um seine momentane Drehachse dem Betrag nach gleich der Winkelgeschwindigkeit der p G (TG(to ),
    Figure 00170001
    ist, so dass sich
    Figure 00170002
    ergibt,
    voraussetzen, dass bei gestreckter Ballistik die Geschossgeschwindigkeit ungefähr parallel zur Zielrichtung ist, das heisst
    Figure 00170003
    ist und aus Gleichung Gl.11 eine die Zerlegung der Zielgeschwindigkeit in zwei orthogonale Komponenten ausdrückende Gleichung Gl.15 gewonnen wird
    Figure 00170004
    einsetzen von Gleichung Gl.9 in Gleichung Gl.8 unter Berücksichtigung der Definition von
    Figure 00170005
    und der Definitionen
    Figure 00170006
    Figure 00170007
    υ Z := ∥ υ Z (t o + TG(t o ))∥ ergibt
    Figure 00170008
    berücksichtigen der Definitionen für pG, vG und vZ ergibt aus Gleichung Gl.14 und Gl.15
    Figure 00170009
    sowie υ2 Z = TG t o (t o )1 + TG t o (t o ) · υ2 G + ω2·p 2 G 1 + TG t o (t o ) , so dass
    Figure 00180001
    wird,
    kürzen von Gleichung Gl.16 mit υ2 G 1 + TG t o (t o ) , so dass sich der Korrekturfaktor (K) zu K = - 1 + TG t o (t o )1 + p 2 G υ2 G · ω2 · p G ∂υ o υ G ergibt, wobei
    p G , υ G , a G
    Position,Geschwindigkeit,Beschleunigung des Geschosses
    p Z, υ Z , a Z
    Position,Geschwindigkeit,Beschleunigung des Zieles
    p rel , υ rel , a rel
    relative Position,Geschwindigkeit,Beschleunigung Geschoss-Ziel
    Figure 00180002
    Position der Rohrmündung
    α, λ
    Azimut und Elevation des Geschützrohres
    υ o
    Vorhalt-Anfangsgeschwindigkeit des Geschosses
    υ o
    Betrag der Komponente der Vorhalt-Anfangsgeschwindigkeit des Geschosses in Rohrrichtung
    υ m
    Betrag der Komponente der effektiven Anfangsgeschwindigkeit des Geschosses in Rohrrichtung
    TG
    Vorhalt-Flugzeit des Geschosses
    t*
    Flugzeit des Geschosses
    to
    Zeitpunkt zu dem das Geschoss die Rohrmündung passiert
    bedeuten.
  2. Verfahren nach Anspruch 1,
    dadurch gekennzeichnet,
    dass die Grössen p 2 G / υ2 G und p G ∂υ o υ G der Gleichung Gl.17 nach den Gleichungen p G υ G = TG(t o ) · (1 + 12 · q · υ o (t o )∥ ∥υ n · TG(t o )) p G ∂υ o υ G = TG(t o ) · (1 + 14 · q · υ o (t o )∥ ∥υ n · TG(t o ))υ o (t o )∥ ermittelt werden, wobei q := n · Luftdichte·Geschossquerschnitt2·Geschossmasse und
    υ n
    eine Geschossgeschwindigkeit ist, die sich auf den cw-Wert bezieht, und
    dass die Gleichungen Gl.18 und Gl.19 in Gleichung Gl.17 eingesetzt werden, wobei sich
    Figure 00190001
    ergibt.
EP96118039A 1996-04-19 1996-11-11 Verfahren zur Bestimmung einer korrigierten Zerlegungszeit eines programmierbar zerlegbaren Geschosses Expired - Lifetime EP0802390B1 (de)

Applications Claiming Priority (3)

Application Number Priority Date Filing Date Title
CH100096 1996-04-19
CH1000/96 1996-04-19
CH100096 1996-04-19

Publications (2)

Publication Number Publication Date
EP0802390A1 EP0802390A1 (de) 1997-10-22
EP0802390B1 true EP0802390B1 (de) 2000-10-18

Family

ID=4200121

Family Applications (1)

Application Number Title Priority Date Filing Date
EP96118039A Expired - Lifetime EP0802390B1 (de) 1996-04-19 1996-11-11 Verfahren zur Bestimmung einer korrigierten Zerlegungszeit eines programmierbar zerlegbaren Geschosses

Country Status (12)

Country Link
US (1) US5814755A (de)
EP (1) EP0802390B1 (de)
JP (1) JP4008520B2 (de)
KR (1) KR100410719B1 (de)
AT (1) ATE197090T1 (de)
AU (1) AU716344B2 (de)
CA (1) CA2190386C (de)
DE (1) DE59606025D1 (de)
NO (1) NO312143B1 (de)
SG (1) SG83657A1 (de)
TR (1) TR199600939A1 (de)
ZA (1) ZA969543B (de)

Families Citing this family (12)

* Cited by examiner, † Cited by third party
Publication number Priority date Publication date Assignee Title
FR2761767B1 (fr) * 1997-04-03 1999-05-14 Giat Ind Sa Procede de programmation en vol d'un instant de declenchement d'un element de projectile, conduite de tir et fusee mettant en oeuvre un tel procede
EP0992761B1 (de) 1998-10-08 2002-11-13 Oerlikon Contraves Pyrotec AG Verfahren zum Korrigieren einer vorprogrammierten Auslösung eines Vorganges in einem drallstabilisierten Geschoss, Vorrichtung zur Durchführung des Verfahrens und Verwendung der Vorrichtung
EP0992762B1 (de) 1998-10-08 2002-03-06 Oerlikon Contraves Ag Verfahren und Vorrichtung zur Übertragung von Informationen auf programmierbare Geschosse
DE59914323D1 (de) 1998-10-08 2007-06-14 Contraves Ag Verfahren und Vorrichtung zur Korrektur der Zerlegungszeit bzw. der Zerlegungsumdrehungszahl eines drallstabilisierten programmierbaren Geschosses
DE102009011447B9 (de) * 2009-03-03 2012-08-16 Diehl Bgt Defence Gmbh & Co. Kg Verfahren zum Zünden eines Gefechtskopfs einer Granate und Fahrzeug
DE102010006530B4 (de) * 2010-02-01 2013-12-19 Rheinmetall Air Defence Ag Programmierbare Munition
DE102010006528B4 (de) * 2010-02-01 2013-12-12 Rheinmetall Air Defence Ag Verfahren und Vorrichtung zur Programmierung eines Projektils
US11047663B1 (en) * 2010-11-10 2021-06-29 True Velocity Ip Holdings, Llc Method of coding polymer ammunition cartridges
DE102011018248B3 (de) * 2011-04-19 2012-03-29 Rheinmetall Air Defence Ag Vorrichtung und Verfahren zur Programmierung eines Geschosses
DE102011106198B3 (de) * 2011-06-07 2012-03-15 Rheinmetall Air Defence Ag Verfahren zur Bestimmung der Mündungsaustrittsgeschwindigkeit eines Projektils
DE102013007229A1 (de) * 2013-04-26 2014-10-30 Rheinmetall Waffe Munition Gmbh Verfahren zum Betrieb eines Waffensystems
US10883809B1 (en) * 2019-05-07 2021-01-05 U.S. Government As Represented By The Secretary Of The Army Muzzle velocity correction

Family Cites Families (17)

* Cited by examiner, † Cited by third party
Publication number Priority date Publication date Assignee Title
US3575085A (en) * 1968-08-21 1971-04-13 Hughes Aircraft Co Advanced fire control system
US4142442A (en) * 1971-12-08 1979-03-06 Avco Corporation Digital fuze
US4267776A (en) * 1979-06-29 1981-05-19 Motorola, Inc. Muzzle velocity compensating apparatus and method for a remote set fuze
US4283989A (en) * 1979-07-31 1981-08-18 Ares, Inc. Doppler-type projectile velocity measurement and communication apparatus, and method
US4449041A (en) * 1980-10-03 1984-05-15 Raytheon Company Method of controlling antiaircraft fire
FR2514884B1 (fr) * 1981-10-20 1985-07-12 Sfim Procede et dispositif pour corriger globalement, d'un tir au suivant, le tir d'une arme a tir tendu
DE3309147A1 (de) * 1983-03-15 1984-09-20 Rainer Dipl.-Phys. 6901 Gaiberg Berthold Verfahren und anordnung zur korrektur eines zuendzeitpunktes
US4750423A (en) * 1986-01-31 1988-06-14 Loral Corporation Method and system for dispensing sub-units to achieve a selected target impact pattern
FR2609165A1 (fr) * 1986-12-31 1988-07-01 Thomson Brandt Armements Projectile comportant des sous-projectiles a zone d'efficacite predefinie
EP0300255B1 (de) * 1987-07-20 1991-04-24 Werkzeugmaschinenfabrik Oerlikon-Bührle AG Vorrichtung zum digitalen Einstellen eines Zählers zum Auslösen eines Zeitzünders in einem Geschoss
GB2226624B (en) * 1987-12-12 1991-07-03 Thorn Emi Electronics Ltd Projectile
DE3830518A1 (de) * 1988-09-08 1990-03-22 Rheinmetall Gmbh Vorrichtung zur einstellung eines geschosszeitzuenders
DE59100529D1 (de) * 1990-07-19 1993-12-02 Contraves Ag Empfangsspule für einen programmierbaren Geschosszünder.
US5140329A (en) * 1991-04-24 1992-08-18 Lear Astronics Corporation Trajectory analysis radar system for artillery piece
CA2082448C (en) * 1991-05-08 2002-04-30 Christopher Robert Gent Weapons systems
US5267502A (en) * 1991-05-08 1993-12-07 Sd-Scicon Uk Limited Weapons systems future muzzle velocity neural network
US5497704A (en) * 1993-12-30 1996-03-12 Alliant Techsystems Inc. Multifunctional magnetic fuze

Also Published As

Publication number Publication date
KR970070942A (ko) 1997-11-07
AU716344B2 (en) 2000-02-24
AU7172896A (en) 1997-10-23
JP4008520B2 (ja) 2007-11-14
ATE197090T1 (de) 2000-11-15
NO964756D0 (no) 1996-11-08
EP0802390A1 (de) 1997-10-22
NO964756L (no) 1997-10-20
NO312143B1 (no) 2002-03-25
ZA969543B (en) 1997-06-17
CA2190386A1 (en) 1997-10-20
JPH09280798A (ja) 1997-10-31
TR199600939A1 (xx) 1997-11-21
DE59606025D1 (de) 2000-11-23
SG83657A1 (en) 2001-10-16
US5814755A (en) 1998-09-29
CA2190386C (en) 2003-09-16
KR100410719B1 (ko) 2004-05-06

Similar Documents

Publication Publication Date Title
EP0802391B1 (de) Verfahren zur Bestimmung einer korrigierten Zerlegungszeit eines programmierbar zerlegbaren Geschosses
EP0802392B1 (de) Verfahren und Vorrichtung zur Bestimmung einer korrigierten Zerlegungszeit eines programmierbar zerlegbaren Geschosses
EP0802390B1 (de) Verfahren zur Bestimmung einer korrigierten Zerlegungszeit eines programmierbar zerlegbaren Geschosses
DE69708343T2 (de) Passives Geschwindigkeitsdatensystem
DE102010006528B4 (de) Verfahren und Vorrichtung zur Programmierung eines Projektils
EP1726911A1 (de) Verfahren und Vorrichtung zur Tempierung und/oder Korrektur des Zündzeitpunktes eines Geschosses
DE102007059397A1 (de) Taumelzünder
EP1920209B1 (de) Verfahren zur optimierung eines feuerauslösens einer waffe oder eines geschützes
DE2452586C3 (de) Verfahren und Vorrichtung zur Festlegung der Dauer des Flugweges eines Geschosses
DE602004001766T2 (de) Verfahren zum aktivieren eines geschosses in einer flugbahn an einem gewünschten punkt und zu einem berechneten zeitpunkt
EP0411073A1 (de) Verfahren und vorrichtung zur verbesserung der treffgenauigkeit
EP2699871B1 (de) Vorrichtung und verfahren zur programmierung eines geschosses
DE69213615T2 (de) Verfahren und Anordnung für ein Waffensystem
EP0992762B1 (de) Verfahren und Vorrichtung zur Übertragung von Informationen auf programmierbare Geschosse
EP0992758B1 (de) Verfahren und Vorrichtung zur Korrektur der Zerlegungszeit bzw. der Zerlegungsumdrehungszahl eines drallstabilisierten programmierbaren Geschosses
DE3821309C2 (de)
EP0992761A1 (de) Verfahren zum Korrigieren einer vorprogrammierten Auslösung eines Vorganges in einem drallstabilisierten Geschoss, Vorrichtung zur Durchführung des Verfahrens und Verwendung der Vorrichtung
DE102011106198B3 (de) Verfahren zur Bestimmung der Mündungsaustrittsgeschwindigkeit eines Projektils
DE60219564T2 (de) Verfahren zum Einstellen eines Geschosszünders, Programmiereinrichtung und Zeitzünder die in einen solchem Verfahren verwendet werden
DE102022001289A1 (de) Verfahren zum Ausweichen eines Flugkörpers vor einem Abfangflugkörper
DE3716450C1 (en) Setting electronic timer for munition detonator - entering type, temp. of drive charge weather and target data in fuse ignition computer
EP2226607A2 (de) Verfahren zum Zünden eines Gefechtskopfs einer Granate und Fahrzeug
DE69719852T2 (de) Vorrichtung zur Rollwinkelbestimmung eines Flugkörpers, insbesondere einer Munition
EP0348985A2 (de) Zündeinrichtung für Sprenggeschosse
DE4119740C1 (en) Ground-to-ground projectile - has control system with wire which may disable spacing sensor

Legal Events

Date Code Title Description
PUAI Public reference made under article 153(3) epc to a published international application that has entered the european phase

Free format text: ORIGINAL CODE: 0009012

AK Designated contracting states

Kind code of ref document: A1

Designated state(s): AT BE CH DE FR GB IT LI NL SE

17P Request for examination filed

Effective date: 19971211

17Q First examination report despatched

Effective date: 19990526

RTI1 Title (correction)

Free format text: METHOD FOR IDENTIFYING THE DESINTEGRATION TIME OF A PROGRAMMABLE AND FRANGIBLE PROJECTILE

RAP1 Party data changed (applicant data changed or rights of an application transferred)

Owner name: OERLIKON CONTRAVES AG

GRAG Despatch of communication of intention to grant

Free format text: ORIGINAL CODE: EPIDOS AGRA

RTI1 Title (correction)

Free format text: METHOD FOR IDENTIFYING A CORRECTED DESINTEGRATION TIME OF A PROGRAMMABLE AND FRANGIBLE PROJECTILE

GRAG Despatch of communication of intention to grant

Free format text: ORIGINAL CODE: EPIDOS AGRA

GRAH Despatch of communication of intention to grant a patent

Free format text: ORIGINAL CODE: EPIDOS IGRA

GRAH Despatch of communication of intention to grant a patent

Free format text: ORIGINAL CODE: EPIDOS IGRA

GRAA (expected) grant

Free format text: ORIGINAL CODE: 0009210

AK Designated contracting states

Kind code of ref document: B1

Designated state(s): AT BE CH DE FR GB IT LI NL SE

REF Corresponds to:

Ref document number: 197090

Country of ref document: AT

Date of ref document: 20001115

Kind code of ref document: T

REG Reference to a national code

Ref country code: CH

Ref legal event code: EP

REF Corresponds to:

Ref document number: 59606025

Country of ref document: DE

Date of ref document: 20001123

REG Reference to a national code

Ref country code: CH

Ref legal event code: NV

Representative=s name: OK PAT AG

GBT Gb: translation of ep patent filed (gb section 77(6)(a)/1977)

Effective date: 20001109

ET Fr: translation filed
ITF It: translation for a ep patent filed
NLR4 Nl: receipt of corrected translation in the netherlands language at the initiative of the proprietor of the patent
PLBE No opposition filed within time limit

Free format text: ORIGINAL CODE: 0009261

STAA Information on the status of an ep patent application or granted ep patent

Free format text: STATUS: NO OPPOSITION FILED WITHIN TIME LIMIT

26N No opposition filed
REG Reference to a national code

Ref country code: GB

Ref legal event code: IF02

PGFP Annual fee paid to national office [announced via postgrant information from national office to epo]

Ref country code: AT

Payment date: 20101112

Year of fee payment: 15

PGFP Annual fee paid to national office [announced via postgrant information from national office to epo]

Ref country code: GB

Payment date: 20101118

Year of fee payment: 15

REG Reference to a national code

Ref country code: DE

Ref legal event code: R084

Ref document number: 59606025

Country of ref document: DE

REG Reference to a national code

Ref country code: DE

Ref legal event code: R082

Ref document number: 59606025

Country of ref document: DE

Representative=s name: THUL PATENTANWALTSGESELLSCHAFT MBH, DE

REG Reference to a national code

Ref country code: DE

Ref legal event code: R084

Ref document number: 59606025

Country of ref document: DE

Effective date: 20111021

PGFP Annual fee paid to national office [announced via postgrant information from national office to epo]

Ref country code: BE

Payment date: 20111110

Year of fee payment: 16

REG Reference to a national code

Ref country code: DE

Ref legal event code: R082

Ref document number: 59606025

Country of ref document: DE

Representative=s name: THUL PATENTANWALTSGESELLSCHAFT MBH, DE

REG Reference to a national code

Ref country code: DE

Ref legal event code: R082

Ref document number: 59606025

Country of ref document: DE

Representative=s name: THUL PATENTANWALTSGESELLSCHAFT MBH, DE

Effective date: 20111219

Ref country code: DE

Ref legal event code: R082

Ref document number: 59606025

Country of ref document: DE

Representative=s name: THUL PATENTANWALTSGESELLSCHAFT MBH, DE

Effective date: 20120523

Ref country code: DE

Ref legal event code: R081

Ref document number: 59606025

Country of ref document: DE

Owner name: RHEINMETALL AIR DEFENCE AG, CH

Free format text: FORMER OWNER: OERLIKON-CONTRAVES AG, ZUERICH, CH

Effective date: 20120523

BERE Be: lapsed

Owner name: *OERLIKON CONTRAVES A.G.

Effective date: 20121130

REG Reference to a national code

Ref country code: AT

Ref legal event code: MM01

Ref document number: 197090

Country of ref document: AT

Kind code of ref document: T

Effective date: 20121111

GBPC Gb: european patent ceased through non-payment of renewal fee

Effective date: 20121111

PG25 Lapsed in a contracting state [announced via postgrant information from national office to epo]

Ref country code: AT

Free format text: LAPSE BECAUSE OF NON-PAYMENT OF DUE FEES

Effective date: 20121111

PG25 Lapsed in a contracting state [announced via postgrant information from national office to epo]

Ref country code: BE

Free format text: LAPSE BECAUSE OF NON-PAYMENT OF DUE FEES

Effective date: 20121130

PG25 Lapsed in a contracting state [announced via postgrant information from national office to epo]

Ref country code: GB

Free format text: LAPSE BECAUSE OF NON-PAYMENT OF DUE FEES

Effective date: 20121111

PGFP Annual fee paid to national office [announced via postgrant information from national office to epo]

Ref country code: DE

Payment date: 20141119

Year of fee payment: 19

Ref country code: FR

Payment date: 20141119

Year of fee payment: 19

Ref country code: SE

Payment date: 20141119

Year of fee payment: 19

Ref country code: CH

Payment date: 20141119

Year of fee payment: 19

PGFP Annual fee paid to national office [announced via postgrant information from national office to epo]

Ref country code: NL

Payment date: 20141119

Year of fee payment: 19

PGFP Annual fee paid to national office [announced via postgrant information from national office to epo]

Ref country code: IT

Payment date: 20141125

Year of fee payment: 19

REG Reference to a national code

Ref country code: DE

Ref legal event code: R119

Ref document number: 59606025

Country of ref document: DE

REG Reference to a national code

Ref country code: CH

Ref legal event code: PL

PG25 Lapsed in a contracting state [announced via postgrant information from national office to epo]

Ref country code: CH

Free format text: LAPSE BECAUSE OF NON-PAYMENT OF DUE FEES

Effective date: 20151130

Ref country code: IT

Free format text: LAPSE BECAUSE OF NON-PAYMENT OF DUE FEES

Effective date: 20151111

Ref country code: LI

Free format text: LAPSE BECAUSE OF NON-PAYMENT OF DUE FEES

Effective date: 20151130

REG Reference to a national code

Ref country code: NL

Ref legal event code: MM

Effective date: 20151201

REG Reference to a national code

Ref country code: FR

Ref legal event code: ST

Effective date: 20160729

PG25 Lapsed in a contracting state [announced via postgrant information from national office to epo]

Ref country code: SE

Free format text: LAPSE BECAUSE OF NON-PAYMENT OF DUE FEES

Effective date: 20151112

PG25 Lapsed in a contracting state [announced via postgrant information from national office to epo]

Ref country code: NL

Free format text: LAPSE BECAUSE OF NON-PAYMENT OF DUE FEES

Effective date: 20151201

PG25 Lapsed in a contracting state [announced via postgrant information from national office to epo]

Ref country code: DE

Free format text: LAPSE BECAUSE OF NON-PAYMENT OF DUE FEES

Effective date: 20160601

PG25 Lapsed in a contracting state [announced via postgrant information from national office to epo]

Ref country code: FR

Free format text: LAPSE BECAUSE OF NON-PAYMENT OF DUE FEES

Effective date: 20151130