EP0802391B1 - Verfahren zur Bestimmung einer korrigierten Zerlegungszeit eines programmierbar zerlegbaren Geschosses - Google Patents

Verfahren zur Bestimmung einer korrigierten Zerlegungszeit eines programmierbar zerlegbaren Geschosses Download PDF

Info

Publication number
EP0802391B1
EP0802391B1 EP96118044A EP96118044A EP0802391B1 EP 0802391 B1 EP0802391 B1 EP 0802391B1 EP 96118044 A EP96118044 A EP 96118044A EP 96118044 A EP96118044 A EP 96118044A EP 0802391 B1 EP0802391 B1 EP 0802391B1
Authority
EP
European Patent Office
Prior art keywords
projectile
velocity
time
target
fragmentation
Prior art date
Legal status (The legal status is an assumption and is not a legal conclusion. Google has not performed a legal analysis and makes no representation as to the accuracy of the status listed.)
Expired - Lifetime
Application number
EP96118044A
Other languages
English (en)
French (fr)
Other versions
EP0802391A1 (de
Inventor
André Boss
Current Assignee (The listed assignees may be inaccurate. Google has not performed a legal analysis and makes no representation or warranty as to the accuracy of the list.)
Rheinmetall Air Defence AG
Original Assignee
Oerlikon Contraves AG
Priority date (The priority date is an assumption and is not a legal conclusion. Google has not performed a legal analysis and makes no representation as to the accuracy of the date listed.)
Filing date
Publication date
Application filed by Oerlikon Contraves AG filed Critical Oerlikon Contraves AG
Publication of EP0802391A1 publication Critical patent/EP0802391A1/de
Application granted granted Critical
Publication of EP0802391B1 publication Critical patent/EP0802391B1/de
Anticipated expiration legal-status Critical
Expired - Lifetime legal-status Critical Current

Links

Images

Classifications

    • FMECHANICAL ENGINEERING; LIGHTING; HEATING; WEAPONS; BLASTING
    • F42AMMUNITION; BLASTING
    • F42BEXPLOSIVE CHARGES, e.g. FOR BLASTING, FIREWORKS, AMMUNITION
    • F42B15/00Self-propelled projectiles or missiles, e.g. rockets; Guided missiles
    • FMECHANICAL ENGINEERING; LIGHTING; HEATING; WEAPONS; BLASTING
    • F42AMMUNITION; BLASTING
    • F42CAMMUNITION FUZES; ARMING OR SAFETY MEANS THEREFOR
    • F42C17/00Fuze-setting apparatus
    • F42C17/04Fuze-setting apparatus for electric fuzes

Definitions

  • the invention relates to a method for determining a corrected disassembly time one of a programmable disassembled from a gun barrel Projectile according to the preamble of the only claim.
  • a device which has a measuring device for the projectile velocity arranged at the mouth of a gun barrel.
  • the measuring device consists of two ring coils arranged at a certain distance from one another.
  • a pulse is generated in short succession in each ring coil due to the change in magnetic flux that occurs.
  • the pulses are fed to evaluation electronics, in which the projectile speed is calculated from the time interval between the pulses and the distance between the ring coils.
  • a transmitting coil is arranged behind the measuring device for the speed, which co-operates with a receiving coil provided in the projectile.
  • the receiving coil is connected to a counter via a high-pass filter, which is connected on the output side to a timer.
  • a disassembly time is formed from the calculated bullet speed and a target distance to a target object, which is transmitted inductively to the bullet immediately after the measuring device has flown through. With this disassembly time, the time fuse is set so that the projectile can be disassembled in the area of the target object.
  • an attacking target can be destroyed by multiple hits, as is known, for example, from a publication OC 2052 d 94 from the company Oerlikon-Contraves, Zurich, if, after the sub-projectiles have been ejected, Time of disassembly the expected area of the target is occupied by a cloud formed by the subprojectiles.
  • the part carrying the subprojectiles is separated and torn open at predetermined breaking points.
  • the ejected sub-projectiles describe a swirl-stabilized trajectory caused by the rotation of the projectile and lie evenly distributed on approximately semicircular curves of circular areas of a cone, so that a good chance of hitting can be achieved.
  • the invention has for its object to propose a method according to the preamble, by means of which an optimal while avoiding the disadvantages mentioned above Hit or shot probability is achievable.
  • the advantages achieved with the invention can be seen in the fact that a given disassembly distance is independent of the current measured bullet speed, so that a permanent optimal hit or shot probability is achieved can.
  • the proposed correction factor for correcting the disassembly time is based only on the relative velocity of the bullet-target and a derivation of the ballistics at the meeting point.
  • 1 denotes a fire control and 2 a gun.
  • the fire control system 1 consists of a search sensor 3 for the detection of a target 4 , a follow-up sensor 5 connected to the search sensor 3 for target detection, 3-D target tracking and 3-D target measurement, and a fire control computer 6 .
  • the fire control computer 6 has at least one main filter 7 , a lead computing unit 9 and a correction computing unit 12 .
  • the main filter 7 is connected on the input side to the follow sensor 5 and on the output side to the lead computing unit 9 , the main filter 7 receiving the 3-D target data received from the follow sensor 5 in the form of estimated target data 2 such as position, speed, acceleration, etc. forward the lead computing unit 9 , which is connected on the output side to the correction computing unit.
  • Meteorological data can be supplied to the lead computing unit 9 via a further input Me. The meaning of the designations on the individual connections or connections is explained in more detail below on the basis of the functional description.
  • a computer of the gun 2 has an evaluation circuit 10 and an update computing unit 11 .
  • the evaluation circuit 10 is connected on the input side to a measuring device 14 for the projectile speed, which is arranged at the mouth of a gun barrel 13 and is described in greater detail below with reference to FIG . 2 , and is connected on the output side to the lead computing unit 9 and the update computing unit 11 .
  • the update computing unit 11 is connected on the input side to the reserve and correction computing unit 9, 12 and is connected on the output side to a programming part integrated in the measuring device 14 .
  • the correction arithmetic unit 12 is connected on the input side to the lead arithmetic unit 9 and on the output side to the update arithmetic unit 11 .
  • a gun servo 15 and a triggering device 16 responding to a fire command are also connected to the lead computing unit 9 .
  • the connections between the fire control 1 and the gun 2 are combined to form a data transmission, which is designated by 17 .
  • the meaning of the designations on the individual connections between the computing units 10, 11, 12 and between the fire control system 1 and the gun 2 is explained in more detail below on the basis of the functional description.
  • 18 and 18 ' designate a floor which is shown during a programming phase ( 18 ) and at the time of disassembly ( 18' ).
  • the projectile 18 is a programmable projectile with primary and secondary ballistics, which is equipped with an ejection charge and a time fuse and is filled with sub-projectiles 19 .
  • a support tube 20 attached to the muzzle of the gun barrel 13 consists of three parts 21, 22, 23 . Between the first part 21 and the second or third part 22, 23 , ring coils 24, 25 are arranged for measuring the projectile speed. On the third part 23 — also called the programming part — a transmission coil 27 held in a coil body 26 is fastened. The type of attachment of the support tube 20 and the three parts 21, 22, 23 to each other is not shown and described. Lines 28, 29 are provided for supplying the ring coils. Soft iron bars 30 are arranged on the circumference of the support tube 20 for the purpose of shielding against magnetic fields which interfere with the measurement.
  • the projectile 18 has a receiving coil 31 which is connected to a timer 34 via a filter 32 and a counter 33 .
  • a pulse is generated in short succession in each ring coil.
  • These pulses of the evaluation circuit 10 (Fig.1) are supplied, in which from the time interval of the pulses and a distance a between the toroid coils, the projectile velocity is calculated 24.25.
  • a disassembly time is calculated, as described in more detail below, which is transmitted inductively in digital form to the receiving coil 31 when the projectile 18 passes through the transmitting coil 27 for the purpose of setting the counter 32 .
  • Pz denotes a point of disassembly of the projectile 18 .
  • the ejected subprojectiles are, depending on the distance from the point of decomposition Pz, evenly distributed on approximately semicircular curves of (perspectively represented) circular areas F1, F2, F3, F4 of a cone C.
  • F1, F2, F3, F4 of a cone C.
  • On a first abscissa the distance from the point of decomposition Pz is plotted in meters m, while on a second abscissa II the area sizes of the areas F1, F2, F3, F4 are plotted in square meters m 2 and their diameter in meters m.
  • 4 and 4 ' denote the target to be defended, which is shown in a hit or shoot position ( 4 ) and in a position ( 4' ) preceding the hit or shoot position.
  • the lead computation unit 9 calculates a target distance RT, a disassembly time Tz and a sub-projectile flight time ts from a predetermined disassembly distance Dz, a retention speed VOv and the target data Z, taking meteorological data into account for projectiles with primary and secondary ballistics.
  • Tz is the flight time of the projectile to the point of disassembly Pz
  • ts is the flight time of a subprojectile flying in the projectile direction from the point of disassembly Pz to the meeting point Pf ( Fig . 3,4 ).
  • the lead speed VOv is formed, for example, from the mean value of a number of measured projectile speeds Vm supplied via the data transmission 17 , which immediately precede the current measured projectile speed Vm.
  • the lead computing unit 9 also determines a gun angle a of the azimuth and a gun angle ⁇ of the elevation.
  • the quantities ⁇ , ⁇ , Tz and VOv are fed to the correction computing unit 12 , which calculates a correction factor K as described in more detail below.
  • the current (running) time (t) is interpolated or extrapolated.
  • the ballistics of a projectile is determined by a system of differential equations of the form described, along with the initial conditions a clear ballistic solution is determined.
  • ⁇ o ( t o ) With becomes a component of ⁇ o ( t o ) in the pipe direction and with ⁇ (2) / o defines a perpendicular component, so that is where means the speed of the pipe mouth and is a reserve size which is actually maintained by the projectile.
  • the corrected decomposition time Tz (Vm) is interpolated or extrapolated depending on the validity for the current running time t.
  • the disassembly time Tz (Vm, t) now calculated is supplied to the transmitter coil 27 of the programming part 23 of the measuring device 14 and, as already described above with reference to FIG. 2 , is transmitted inductively to a projectile 18 flying by.
  • the disassembly distance Dz ( FIG. 3, 4 ) can be kept constant regardless of the variations in the projectile speed , and / or caused by the use of non-updated values, so that an optimal meeting or Probability of shooting can be achieved.

Landscapes

  • Engineering & Computer Science (AREA)
  • General Engineering & Computer Science (AREA)
  • Chemical & Material Sciences (AREA)
  • Aviation & Aerospace Engineering (AREA)
  • Combustion & Propulsion (AREA)
  • Aiming, Guidance, Guns With A Light Source, Armor, Camouflage, And Targets (AREA)
  • Investigating, Analyzing Materials By Fluorescence Or Luminescence (AREA)
  • Generation Of Surge Voltage And Current (AREA)
  • Control Of Ac Motors In General (AREA)
  • Electrotherapy Devices (AREA)
  • Control Of Electric Motors In General (AREA)
  • Fishing Rods (AREA)
  • Testing Of Balance (AREA)

Description

Die Erfindung betrifft ein Verfahren zur Bestimmung einer korrigierten Zerlegungszeit eines eines aus einem Geschützrohr abgeschossenen programmierbar zerlegbaren Geschosses nach dem Oberbegriff des einzigen Anspruchs.
Mit der europäischen Patentanmeldung 0 300 255 ist eine Vorrichtung bekannt geworden, die eine an der Mündung eines Geschützrohres angeordnete Messvorrichtung für die Geschossgeschwindigkeit aufweist. Die Messvorrichtung besteht aus zwei in einem bestimmten Abstand voneinander angeordneten Ringspulen. Beim Durchgang eines Geschosses durch die beiden Ringspulen wird aufgrund der dabei auftretenden Aenderung des magnetischen Flusses kurz hintereinander in jeder Ringspule ein Impuls erzeugt. Die Impulse werden einer Auswerteelektronik zugeführt, in welcher aus dem zeitlichen Abstand der Impulse und dem Abstand zwischen den Ringspulen die Geschossgeschwindigkeit errechnet wird. In Bewegungsrichtung des Geschosses ist hinter der Messvorrichtung für die Geschwindigkeit eine Sendespule angeordnet, die mit einer im Geschoss vorgesehenen Empfangsspule zusammenwirkt. Die Empfangsspule ist über ein Hochpassfilter mit einem Zähler verbunden, der ausgangsseitig mit einem Zeitzünder in Verbindung steht. Aus der errechneten Geschossgeschwindigkeit und einer aus Sensordaten ermittelten Treffdistanz zu einem Zielobjekt wird eine Zerlegungszeit gebildet, die unmittelbar nach dem Durchfliegen der Messvorrichtung induktiv auf das Geschoss übertragen wird. Mit dieser Zerlegungszeit wird der Zeitzünder eingestellt, so dass das Geschoss im Bereiche des Zielobjektes zerlegt werden kann.
Werden Geschosse mit Subprojektilen verwendet (Munition mit Primär- und Sekundärballistik), so kann wie beispielsweise aus einer Druckschrift OC 2052 d 94 der Firma Oerlikon-Contraves, Zürich, bekannt, ein angreifendes Ziel durch mehrfache Treffer zerstört werden, wenn nach Ausstossen der Subprojektile im Zerlegungszeitpunkt das Erwartungsgebiet des Zieles von einer durch die Subprojektile gebildeten Wolke belegt ist. Bei der Zerlegung eines solchen Geschosses wird der die Subprojektile tragende Teil abgetrennt und an Sollbruchstellen aufgerissen. Die ausgestossenen Subprojektile beschreiben eine durch die Rotation des Geschosses hervorgerufene drallstabilisierte Flugbahn und liegen gleichmässig verteilt auf annähernd halbkreisförmigen Kurven von Kreisflächen eines Kegels, so dass eine gute Treffwahrscheinlichkeit erreicht werden kann.
Bei vorstehend beschriebener Vorrichtung kann durch Streuungen in der Zerlegungsdistanz, die beispielsweise durch Streuungen der Geschossgeschwindigkeit und/oder Verwendung nicht aktualisierter Werte verursacht werden, nicht in jedem Fall eine gute Treff-bzw. Abschusswahrscheinlichkeit erreicht werden. Bei grösseren Zerlegungsdistanzen würde wohl die Kreisfläche grösser, die Dichte der Subprojektile jedoch kleiner werden. Bei kleineren Zerlegungsdistanzen tritt der umgekehrte Fall ein: Die Dichte der Subprojektile wäre grösser, die Kreisfläche jedoch kleiner.
Der Erfindung liegt die Aufgabe zugrunde ein Verfahren gemäss Oberbegriff vorzuschlagen, mittels welchen unter Vermeidung vorstehend erwähnter Nachteile eine optimale Treff- bzw. Abschusswahrscheinlichkeit erreichbar ist.
Diese Aufgabe wird durch die im einzigen Patentanspruch angegebene Erfindung gelöst. Hierbei wird eine gegebene optimale Zerlegungsdistanz zwischen einem Zerlegungspunkt des Geschosses und einem Treffpunkt des Zieles durch Korrektur der Zerlegungszeit des Geschosses gleichbleibend gehalten. Die Korrek-tur erfolgt indem zur Zerlegungszeit ein mit einer Geschwindigkeitsdifferenz multiplizierter Korrekturfaktor addiert wird. Die Geschwindigkeitsdifferenz wird aus der Differenz der aktuellen gemessenen Geschossgeschwindigkeit und einer Vorhaltgeschwindigkeit des Geschosses gebildet, wobei die Vorhaltgeschwindigkeit aus dem Mittelwert einer Anzahl vorhergehender, aufeinanderfolgender Geschossgeschwindigkeiten errechnet wird.
Die mit der Erfindung erzielten Vorteile sind darin zu sehen, dass eine gegebene Zerlegungsdistanz von der aktuellen gemessenen Geschossgeschwindigkeit unabhängig ist, so dass eine dauernde optimale Treff- bzw. Abschusswahrscheinlichkeit erzielt werden kann. Der vorgeschlagene Korrekturfaktor für die Korrektur der Zerlegungszeit basiert lediglich auf der relativen Geschwindigkeit Geschoss-Ziel und einer Ableitung der Ballistik im Treffpunkt.
Im folgenden wird die Erfindung anhand eines Ausführungsbeispieles im Zusammenhang mit der Zeichnung näher erläutert. Es zeigen.
Fig.1
eine schematische Darstellung eines Waffensteuerungs-Systems mit der er findungsgemässen Vorrichtung,
Fig.2
einen Längsschnitt durch eine Mess- und Programmiervorrichtung,
Fig.3
ein Diagramm der Verteilung von Subprojektilen in Abhängigkeit von der Zer legungsdistanz, und
Fig.4
eine andere Darstellung des Waffensteuerungs-Systems gemäss Fig.1.
In der Fig.1 ist mit 1 eine Feuerleitung und mit 2 ein Geschütz bezeichnet. Die Feuerleitung 1 besteht aus einem Suchsensor 3 für die Entdeckung eines Zieles 4, einem mit dem Suchsensor 3 verbundenen Folgesensor 5 für die Zielerfassung, die 3-D-Zielverfolgung und die 3-D-Zielvermessung, sowie einem Feuerleitungsrechner 6. Der Feuerleitungsrechner 6 weist mindestens ein Hauptfilter 7, eine Vorhalt-Recheneinheit 9 und eine Korrektur-Recheneinheit 12 auf. Das Hauptfilter 7 ist eingangsseitig mit dem Folgesensor 5 und ausgangsseitig mit der Vorhalt-Recheneinheit 9 verbunden, wobei das Haupt-filter 7 die vom Folgesensor 5 empfangenen 3-D-Zieldaten in Form von geschätzten Zieldaten 2 wie Position, Geschwindigkeit, Beschleunigung usw. an die Vorhalt-Recheneinheit 9 weiterleitet, die ausgangsseitig mit der Korrektur-Recheneinheit in Verbindung steht. Ueber einen weiteren Eingang Me können der Vorhalt-Recheneinheit 9 meteorologische Daten zugeführt werden. Die Bedeutung der Bezeichnungen an den einzelnen Verbindungen bzw. Anschlüssen wird nachstehend anhand der Funktionsbeschreibung näher erläutert.
Ein Rechner des Geschützes 2 weist eine Auswerteschaltung 10 und eine Aufdatierungs-Recheneinheit 11 auf. Die Auswerteschaltung 10 ist eingangsseitig an einer an der Mündung eines Geschützrohres 13 angeordneten, nachstehend anhand der Fig.2 näher beschriebenen Messvorrichtung 14 für die Geschossgeschwindigkeit angeschlossen und ausgangsseitig mit der Vorhalt-Recheneinheit 9 und der Aufdatierungs-Recheneinheit 11 verbunden. Die Aufdatierungs-Recheneinheit 11 ist eingangsseitig an der Vorhalt- und an der Korrektur-Recheneinheit 9,12 angeschlossen und steht ausgangsseitig mit einem in der Messvorrichtung 14 integrierten Programmierteil in Verbindung. Die Korrektur-Recheneinheit 12 ist eingangsseitig mit der Vorhalt-Rechen-einheit 9 und ausgangsseitig mit der Aufdatier-Recheneinheit 11 verbunden. Ein Geschützservo 15 und eine auf einen Feuerbefehl ansprechende Auslöse-einrichtung 16 sind ebenfalls an der Vorhalt-Rechen-einheit 9 angeschlossen. Die Verbindungen zwischen der Feuerleitung 1 und dem Geschütz 2 sind zu einer Data-Transmission zusammengefasst, die mit 17 bezeichnet ist. Die Bedeutung der Bezeichnungen an den einzelnen Verbindungen zwischen den Recheneinheiten 10,11,12 sowie zwischen der Feuerleitung 1 und dem Geschütz 2 wird nachstehend anhand der Funktionsbeschreibung näher erläutert. Mit 18 und 18' ist ein Geschoss bezeichnet, das während einer Programmierphase (18) und im Zerlegungszeitpunkt (18') dargestellt ist. Beim Geschoss 18 handelt es sich um ein programmierbares Geschoss mit Primär-und Sekundärballistik, das mit einer Ausstossladung und einem Zeitzünder ausgestattet und mit Subprojektilen 19 gefüllt ist.
Gemäss Fig.2 besteht ein an der Mündung des Geschützrohres 13 befestigtes Tragrohr 20 aus drei Teilen 21, 22, 23. Zwischen dem ersten Teil 21 und dem zweiten bzw. dritten Teil 22, 23 sind Ringspulen 24, 25 für die Messung der Geschossgeschwindigkeit angeordnet. Am dritten Teil 23 -auch Programmier-teil genannt- ist eine in einem Spulenkörper 26 gehaltene Sendespule 27 be-festigt. Die Art der Befestigung des Tragrohres 20 und der drei Teile 21, 22, 23 miteinander ist nicht weiter dargestellt und beschrieben. Für die Speisung der Ringspulen sind Leitungen 28, 29 vorgesehen. Am Umfang des Tragrohres 20 sind zwecks Abschirmung von die Messung störenden Magnetfeldern Weicheisenstäbe 30 angeordnet. Das Geschoss 18 weist eine Empfangsspule 31 auf, die über ein Filter 32 und einen Zähler 33 mit einem Zeitzünder 34 verbunden ist. Beim Durchgang des Geschosses 18 durch die beiden Ringspulen 24,25 wird kurz hintereinander in jeder Ringspule ein Impuls erzeugt. Diese Impulse werden der Auswerteschaltung 10 (Fig.1) zugeführt, in welcher aus dem zeitlichen Abstand der Impulse und einem Abstand a zwischen den Ringspulen 24,25 die Geschossgeschwindigkeit errechnet wird. Unter Berücksichtigung der Geschossgeschwindigkeit wird, wie nachstehend näher beschrieben, eine Zerlegungszeit errechnet, die in digitaler Form beim Durchgang des Geschosses 18 durch die Sendespule 27 zum Zwecke der Einstellung des Zählers 32 induktiv auf die Empfangsspule 31 übertragen wird.
In der Fig.3 ist mit Pz ein Zerlegungspunkt des Geschosses 18 bezeichnet. Die ausgestossenen Subprojektile liegen je nach Abstand von Zerlegungspunkt Pz gleichmässig verteilt auf annähern halbkreisförmigen Kurven von (perspek-tivisch dargestellten) Kreisflächen F1, F2, F3, F4 eines Kegels C. Auf einer ersten Abzisse list der Abstand vom Zerlegungspunkt Pz in Metern m aufgetragen, während auf einer zweiten Abzisse II die Flächengrössen der Flächen F1, F2, F3, F4 in Quadratmetern m2 und deren Durchmesser in Metern m aufgetragen sind. Bei einem charakteristischem Geschoss mit beispielsweise 152 Subprojektilen und einem Scheitelwinkel des Kegels C von anfänglich 10° ergeben sich in Abhängigkeit vom Abstand die auf der Abzisse II aufgetragenen Werte. Die Dichte der auf den Kreisflächen F1, F2, F3, F4 befindlichen Subprojektile nimmt mit zunehmendem Abstand ab und beträgt bei den gewählten Verhältnissen 64, 16, 7 und 4 Subprojektile pro Quadratmeter. Bei einer vorgegebenen, der nachfolgend beschriebenen Berechnung der Zerlegungszeit zugrunde gelegten Zerlegungsdistanz Dz von beispielsweise 20 m, würde beim angenommenen Beispiel ein Zielgebiet von 3,5 m Durchmesser mit 16 Subprojektilen pro Quadratmeter belegt sein.
In der Fig. 4 ist mit 4 und 4' das abzuwehrende Ziel bezeichnet, das in einer Treff- bzw. Abschussposition (4) und in einer der Treff- bzw. Abschussposition vorhergehenden Position (4') dargestellt.
Die vorstehend beschriebene Vorrichtung arbeitet wie folgt:
Die Vorhalt-Recheneinheit 9 errechnet aus einer vorgegebenen Zerlegungsdistanz Dz, einer Vorhaltgeschwindigkeit VOv und den Zieldaten Z unter Berücksichtigung von meteorologischen Daten bei Geschossen mit Primär-und Sekundärballistik eine Treffdistanz RT, eine Zerlegungszeit Tz und eine Subprojektilflugzeit ts. Hierbei ist Tz die Flugzeit des Geschosses bis zum Zerlegungspunkt Pz und ts die Flugzeit eines in der Geschossrichtung fliegenden Subprojektiles vom Zerlegungspunkt Pz bis zum Treffpunkt Pf (Fig.3,4).
Die Vorhaltgeschwindigkeit VOv wird beispielsweise aus dem Mittelwert einer Anzahl über die Data-Transmission 17 zugeführter gemessener Geschossgeschwindigkeiten Vm gebildet, die der aktuellen gemessenen Geschossgeschwindigkeit Vm unmittelbar vorhergehen.
Die Vorhalt-Recheneinheit 9 ermittelt ferner einen Geschützwinkel a des Azimutes und einen Geschützwinkel λ der Elevation. Die Grössen α, λ, Tz und VOv werden der Korrektur-Recheneinheit 12 zugeführt, die wie nachstehend näher beschrieben einen Korrekturfaktor K errechnet. Die Grössen α, λ, Tz, VOv und K werden als Schiesselemente des Treffpunktes bezeichnet und über die Data-Transmission 17 dem Geschützrechner zugeführt, wobei die Schiesselemente α und λ dem Geschützservo 15 und die Schiesselemente VOv, Tz und K der Aufdatier-Recheneinheit 11 zugeführt werden. Wenn nur Primärballistik zur Anwendung kommt, so wird anstelle der Zerlegungszeit Tz die Treffzeit Tf = Tz+ts übermittelt (Fig.1, Fig.4).
Die vorstehend beschriebenen Berechnungen werden taktweise wiederholt durchgeführt, so dass jeweils im aktuellen Takt i die neuesten Daten α, λ, Tz oderTf, VOv und K für eine bestimmte Gültigkeitsdauer zur Verfügung stehen.
Zwischen den Taktwerten wird für die aktuellen (laufende) Zeit (t) jeweils interpoliert bzw. extrapoliert.
Die Ballistik eines Geschosses wird durch ein System von Differentialgleichungen der Form
Figure 00070001
Figure 00070002
beschrieben, wobei zusammen mit den Anfangsbedingungen
Figure 00070003
eine eindeutige ballistische Lösung
Figure 00070004
Figure 00070005
bestimmt wird. Im durch die Gleichungen Gl.1 und Gl.2 bestimmten System ist als Randbedingung die Treffbedingung
Figure 00070006
enthalten, wobei TG = TG(to ,ν o (to )) ist, und wobei die Vorhalt-Grösse ν o(to ) vom Geschoss nicht als Anfangsgeschwindigkeit angenommen wird. Mit
Figure 00080001
wird eine Komponente von ν o (to ) in Rohrrichtung und mit ν (2) / o eine senkrecht dazu gerichtete Komponente definiert, so dass
Figure 00080002
ist, wobei
Figure 00080003
die Geschwindigkeit der Rohrmündung bedeutet und eine Vorhalt-Grösse ist, welche vom Geschoss tatsächlich eingehalten wird. Dagegen kann à priori keine Aussage über den Betrag der Komponente der Anfangsgeschwindigkeit des Geschosses in Rohrrichtung gemacht werden. Die Grösse ν o = ν o (t o ) : = ∥ν (1) o wird vom Geschoss in der Tat nicht genau angenommen. Der tatsächliche Betrag der Komponente der Anfangsgeschwindigkeit des Geschosses in Rohrrichtung wird mit Vm bezeichnet. Diese Grösse wird für jedes Geschoss an der Rohrmündung gemessen (Fig.1 und 2). Die effektive Anfangsgeschwindigkeit des Geschosses beträgt jetzt
Figure 00080004
Der Einfachheit halber kann die Abhängigkeit von der Anfangsgeschwindigkeit durch die Abhängigkeit vom Betrag der Komponente der Anfangsgeschwindigkeit in Rohrrichtung ersetzt werden, so dass
Figure 00080005
ist und sich die ballistische Lösung zu
Figure 00080006
Figure 00080007
ergibt. Mit der effektiven Anfangsgeschwindigkeit gemäss Gleichung Gl.5 ist die Lösung der Gleichungen Gl.1, Gl.2 von der Form
Figure 00090001
Figure 00090002
Ein Geschoss mit der durch
Figure 00090003
gegebenen Bahn wird das Ziel im allgemeinen nicht mehr treffen. Bei der Berechnung des Korrekturfaktors K wird daher von der durch die Definition
Figure 00090004
gegebenen Flugzeit t* des kleinsten Abstandes zwischen einem Geschoss und einem Ziel und der partiellen Ableitung nach der Flugzeit
Figure 00090005
ausgegangen und durch Einsetzen der Definition
Figure 00090006
Figure 00090007
Figure 00090008
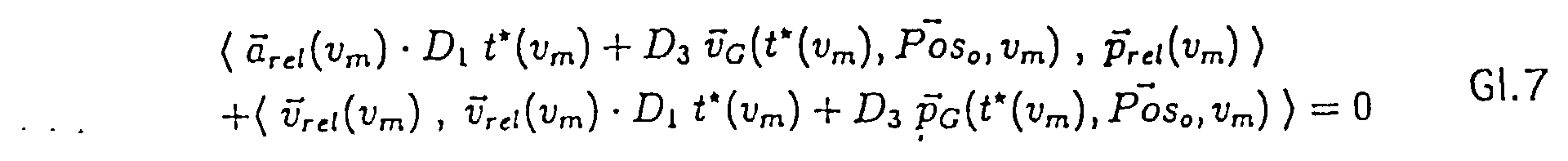
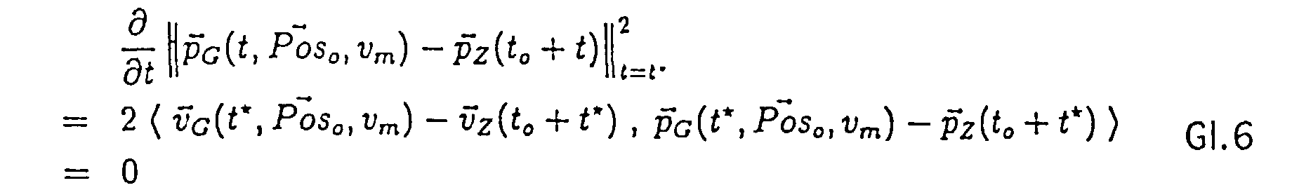
die Gleichung Gl.6 vereinfacht. Durch differenzieren der Gleichung Gl.6 wird
Figure 00090009
gewonnen. Danach wird die als Randbedingung im System der Differentialgleichungen der Ballistik enthaltene Treffbedingung gemäss Gleichung Gl.3 unter Berücksichtigung der Definition für t* t*(ν o ) = TG
Figure 00090010
eingesetzt, wobei aus Gleichung Gl.7 für Vm=vo
Figure 00090011
folgt. Durch Einsetzen der Definition
Figure 00100001
wird Gleichung Gl.7.1 vereinfacht, wobei sich der Korrekturfaktor K zu K := D 1 t*(ν o ) = -ν rel o ), P G νo ν rel o ), ν rel o )〉 ergibt.
Die vorstehend angewendete mathematische bzw. physikalische Notation bedeutet:
ν
ein Vektor
ν
Norm des Vektors
u , ν
Skalarprodukt
.
skalare oder Matrixmultiplikation
g := A
die Grösse g wird definiert als Ausdruck A
g = g(x 1,...,xn )
die Grösse g hängt ab von x1,....,xn
tg(t)
Zuordnung (t wird die Auswertung von g an der Stelle t zugeordnet)
g ˙
Ableitung von g nach der Zeit
Dig(x 1,...,xn )
partielle Ableitung von g nach der i-ten Variablen
∂ / ∂t g(t,x 1,...,xn )
partielle Ableitung von g nach der Zeit t
inf tM
Infimum der Menge M über alle t
p G, ν G, a G
Position,Geschwindigkeit,Beschleunigung des Geschosses
p Z, ν Z, a Z
Position,Geschwindigkeit,Beschleunigung des Zieles
p rel ,ν rel , a rel
relative Position,Geschwindigkeit,Beschleunigung Geschoss-Ziel
Figure 00100002
Position der Rohrmündung
ν o
Vorhalt-Anfangsgeschwindigkeit des Geschosses
ν o
Betrag der Komponente der Vorhalt-Anfangsgeschwindigkeit des Geschosses in Rohrrichtung
ν m
Betrag der Komponente der effektiven Anfangsgeschwindigkeit des Geschosses in Rohrrichtung
TG.
Vorhalt-Flugzeit des Geschosses
t*
Flugzeit des Geschosses
to
Zeitpunkt zu dem das Geschoss die Rohrmündung passiert.
Die Aufdatierungs-Recheneinheit 11 errechnet aus dem von der Korrektur-Recheneinheit 12 zugeführten Korrekturfaktor K, der von der Auswerteschaltung 10 zugeführten aktuellen gemessenen Geschossgeschwindigkeit Vm und der von der Vorhalt-Recheneinheit 9 zugeführten Vorhaltgeschwindigkeit Vov und Zerlegungszeit Tz eine korrigierte Zerlegungszeit Tz (Vm) nach der Beziehung Tz (Vm) = Tz ÷ K * (Vm-VOv).
Die korrigierte Zerlegungszeit Tz (Vm) wird je nach Zeitgültigkeit für die aktuelle laufende Zeit t interpoliert bzw. extrapoliert. Die nun errechnete Zerlegungszeit Tz (Vm,t) wird der Sendespule 27 des Programmierteils 23 der Messvorrichtung 14 zugeführt und wie bereits vorstehend anhand der Fig.2 beschrieben induktiv auf ein vorbeifliegendes Geschoss 18 übertragen.
Mit der Korrektur der Zerlegungszeit Tz kann die Zerlegungsdistanz Dz (Fig.3,4) unabhängig von den Streuungen der Geschossgeschwindigkeit, und/oder verursacht durch Verwendung nicht aktualisierter Werte gleichbleibend gehalten werden, so dass eine optimale Treff-bzw. Abschusswahrscheinlichkeit erzielt werden kann.

Claims (1)

  1. Verfahren zur Bestimmung einer korrigierten Zerlegungszeit (Tz(Vm)) eines aus einem Geschützrohr (13) abgeschossenen, programmier zerlegbaren Geschosses (12), zwecks gleichbleibend Halten einer gegebenen Zerlegungsdistanz (Dz) zwischen einem Zerlegungspunkt (Pz) des Geschosses (12) und einem Treffpunkt (Pf) des Geschosses (12) mit einem eine Geschwindigkeit aufweisenden Zielobjekt, wobei
    Sensordaten gemessen werden, aus welchen eine Treffdistanz (RT) vom Geschützrohr (13) zum Zielobjekt berechnet wird,
    an der Mündung des Geschützrohres (13) die Geschwindigkeit (Vm) des abgeschossenen Geschosses gemessen wird, und
    der Bestimmung der korrigierten Zerlegungszeit (Tz(Vm)) mindestens
    die genannte Treffdistanz (RT),
    die genannte Geschwindigkeit (Vm) des Geschosses (12) sowie
    die Zerlegungsdistanz (Dz) zugrunde gelegt wird,
    dadurch gekennzeichnet,
    dass aus den gemessenen Sensordaten im weiteren eine Vorhaltegeschwindigkeit (Vov) des Geschosses ermittelt wird, und
    dass die korrigierte Zerlegungszeit (Tz(Vm)) aus der ursprünglich festgelegten Zer legungszeit (Tz) durch die Beziehung Tz (Vm) = Tz + K * (Vm-Vov)    bestimmt wird, in welcher Beziehung
    Tz (Vm)
    die korrigierte Zerlegungszeit,
    Tz
    die ursprünglich festgelegte Zerlegungszeit,
    K
    einen Korrekturfaktor,
    Vm
    die aktuelle gemessene Geschossgeschwindigkeit an der Mündung und
    Vov
    eine Vorhaltgeschwindigkeit des Geschosses bedeuten.
    wobei der Korrekturfaktor (K) ausgehend von der durch die Definition
    Figure 00130001
    gegebenen Flugzeit (t*) des kleinsten Abstandes zwischen einem Geschoss und einem Ziel und der partiellen Ableitung nach der Flugzeit
    Figure 00130002
    durch folgende Berechnungsschritte ermittelt wird
    vereinfachen der Gleichung Gl.6 durch Einsetzen der Definitionen
    Figure 00140001
    Figure 00140002
    Figure 00140003
    differenzieren der Gleichung Gl.6 nach der aktuellen gemessenen Geschossgeschwindigkeit (Vm), wobei sich
    Figure 00140004
    ergibt,
    einsetzen einer als Randbedingung im System der Differentialgleichungen der Ballistik enthaltenen Treffbedingung Gl.3 in Gleichung Gl.7 unter Berücksichtigung der Definition für t* t*(ν o ) = TG
    Figure 00140005
    wobei aus Gleichung Gl.7 für vm=vo
    Figure 00140006
    folgt,
    vereinfachen der Gleichung Gl.7.1 durch Einsetzen der Definition
    Figure 00140007
    wobei sich der Korrekturfaktor (K) zu K := D 1 t*(ν o ) = - ν rel o ), P G ν o ν rel o ), ν rel o )〉 ergibt, und wobei
    p G,ν G , a G
    Position,Geschwindigkeit,Beschleunigung des Geschosses
    p Z , ν Z , a Z
    Position,Geschwindigkeit,Beschleunigung des Zieles
    p rel ,ν rel , a rel
    relative Position,Geschwindigkeit,Beschleunigung Geschoss-Ziel
    Figure 00140008
    Position der Rohrmündung
    ν o
    Vorhalt-Anfangsgeschwindigkeit des Geschosses
    ν o
    Betrag der Komponente der Vorhalt-Anfangsgeschwindigkeit des Geschosses in Rohrrichtung
    ν m
    Betrag der Komponente der effektiven Anfangsgeschwindigkeit des Geschosses in Rohrrichtung
    TG
    Vorhalt-Flugzeit des Geschosses
    t*
    Flugzeit des Geschosses
    to
    Zeitpunkt zu dem das Geschoss die Rohrmündung passiert bedeuten.
EP96118044A 1996-04-19 1996-11-11 Verfahren zur Bestimmung einer korrigierten Zerlegungszeit eines programmierbar zerlegbaren Geschosses Expired - Lifetime EP0802391B1 (de)

Applications Claiming Priority (3)

Application Number Priority Date Filing Date Title
CH1001/96 1996-04-19
CH100196 1996-04-19
CH100196 1996-04-19

Publications (2)

Publication Number Publication Date
EP0802391A1 EP0802391A1 (de) 1997-10-22
EP0802391B1 true EP0802391B1 (de) 2000-12-13

Family

ID=4200143

Family Applications (1)

Application Number Title Priority Date Filing Date
EP96118044A Expired - Lifetime EP0802391B1 (de) 1996-04-19 1996-11-11 Verfahren zur Bestimmung einer korrigierten Zerlegungszeit eines programmierbar zerlegbaren Geschosses

Country Status (12)

Country Link
US (1) US5834675A (de)
EP (1) EP0802391B1 (de)
JP (1) JP3891619B2 (de)
KR (1) KR100410718B1 (de)
AT (1) ATE198103T1 (de)
AU (1) AU716346B2 (de)
CA (1) CA2190384C (de)
DE (1) DE59606214D1 (de)
NO (1) NO311954B1 (de)
SG (1) SG83658A1 (de)
TR (1) TR199600952A1 (de)
ZA (1) ZA969536B (de)

Families Citing this family (18)

* Cited by examiner, † Cited by third party
Publication number Priority date Publication date Assignee Title
FR2761767B1 (fr) * 1997-04-03 1999-05-14 Giat Ind Sa Procede de programmation en vol d'un instant de declenchement d'un element de projectile, conduite de tir et fusee mettant en oeuvre un tel procede
ES2185285T3 (es) * 1998-10-08 2003-04-16 Contraves Pyrotec Ag Procedimiento para corregir una activacion previamente programada de un proceso en un proyectil estabilizado por rotacion, dispositivo para la realizacion del procedimiento y utilizacion del dispositivo.
DK0992758T3 (da) 1998-10-08 2007-06-18 Contraves Ag Fremgangsmåde og anordning til korrektion af sönderdelingstiden eller sönderdelingsomdrejningstallet for et spinstabiliseret projektil
EP0992762B1 (de) 1998-10-08 2002-03-06 Oerlikon Contraves Ag Verfahren und Vorrichtung zur Übertragung von Informationen auf programmierbare Geschosse
US20040237762A1 (en) * 1999-11-03 2004-12-02 Metal Storm Limited Set defence means
US6497170B1 (en) * 2001-07-05 2002-12-24 The United States Of America As Represented By The Secretary Of The Army Muzzle brake vibration absorber
DE50309574D1 (de) * 2003-02-26 2008-05-21 Rwm Schweiz Ag Verfahren zur Programmierung der Zerlegung von Projektilen und Rohrwaffen mit Programmiersystem
US7533612B1 (en) * 2004-09-23 2009-05-19 The United States Of America As Represented By The Secretary Of The Army Projectile height of burst determination method and system
DE102009011447B9 (de) * 2009-03-03 2012-08-16 Diehl Bgt Defence Gmbh & Co. Kg Verfahren zum Zünden eines Gefechtskopfs einer Granate und Fahrzeug
US11047663B1 (en) * 2010-11-10 2021-06-29 True Velocity Ip Holdings, Llc Method of coding polymer ammunition cartridges
DE102011018248B3 (de) 2011-04-19 2012-03-29 Rheinmetall Air Defence Ag Vorrichtung und Verfahren zur Programmierung eines Geschosses
DE102011106198B3 (de) 2011-06-07 2012-03-15 Rheinmetall Air Defence Ag Verfahren zur Bestimmung der Mündungsaustrittsgeschwindigkeit eines Projektils
US11933585B2 (en) 2013-03-27 2024-03-19 Nostromo Holdings, Llc Method and apparatus for improving the aim of a weapon station, firing a point-detonating or an air-burst projectile
US10514234B2 (en) 2013-03-27 2019-12-24 Nostromo Holdings, Llc Method and apparatus for improving the aim of a weapon station, firing a point-detonating or an air-burst projectile
EP2894429B1 (de) * 2014-01-08 2018-08-15 Nostromo Holdings, LLC Mörsersicherheitsvorrichtung
US9740326B2 (en) * 2015-03-31 2017-08-22 Synaptics Incorporated Sensor array with split-drive differential sensing
FR3071596B1 (fr) * 2017-09-27 2019-10-18 Thales Procede et dispositif de lancement de projectiles sur une cible a atteindre
US10883809B1 (en) * 2019-05-07 2021-01-05 U.S. Government As Represented By The Secretary Of The Army Muzzle velocity correction

Family Cites Families (17)

* Cited by examiner, † Cited by third party
Publication number Priority date Publication date Assignee Title
US4142442A (en) * 1971-12-08 1979-03-06 Avco Corporation Digital fuze
US4267776A (en) * 1979-06-29 1981-05-19 Motorola, Inc. Muzzle velocity compensating apparatus and method for a remote set fuze
US4449041A (en) * 1980-10-03 1984-05-15 Raytheon Company Method of controlling antiaircraft fire
US4625646A (en) * 1980-10-06 1986-12-02 The Boeing Aerospace Company Aerial missile having multiple submissiles with individual control of submissible ejection
FR2514884B1 (fr) * 1981-10-20 1985-07-12 Sfim Procede et dispositif pour corriger globalement, d'un tir au suivant, le tir d'une arme a tir tendu
DE3309147A1 (de) * 1983-03-15 1984-09-20 Rainer Dipl.-Phys. 6901 Gaiberg Berthold Verfahren und anordnung zur korrektur eines zuendzeitpunktes
US4799429A (en) * 1984-03-30 1989-01-24 Isc Technologies, Inc. Programming circuit for individual bomblets in a cluster bomb
US4750423A (en) * 1986-01-31 1988-06-14 Loral Corporation Method and system for dispensing sub-units to achieve a selected target impact pattern
FR2609165A1 (fr) * 1986-12-31 1988-07-01 Thomson Brandt Armements Projectile comportant des sous-projectiles a zone d'efficacite predefinie
US4837718A (en) * 1987-02-05 1989-06-06 Lear Siegler, Inc. Doppler radar method and apparatus for measuring a projectile's muzzle velocity
ES2022539B3 (es) 1987-07-20 1991-12-01 Werkzeugmaschinenfabrik Oerlikon-Buhrle Ag Dispositivo para el ajuste digital de un contador para el desembrague de una espoleta graduada en un proyectil.
GB2226624B (en) * 1987-12-12 1991-07-03 Thorn Emi Electronics Ltd Projectile
DE3830518A1 (de) * 1988-09-08 1990-03-22 Rheinmetall Gmbh Vorrichtung zur einstellung eines geschosszeitzuenders
ATE96536T1 (de) * 1990-07-19 1993-11-15 Contraves Ag Empfangsspule fuer einen programmierbaren geschosszuender.
CA2082448C (en) * 1991-05-08 2002-04-30 Christopher Robert Gent Weapons systems
US5267502A (en) * 1991-05-08 1993-12-07 Sd-Scicon Uk Limited Weapons systems future muzzle velocity neural network
US5497704A (en) * 1993-12-30 1996-03-12 Alliant Techsystems Inc. Multifunctional magnetic fuze

Also Published As

Publication number Publication date
AU7172796A (en) 1997-10-23
US5834675A (en) 1998-11-10
KR970070943A (ko) 1997-11-07
KR100410718B1 (ko) 2004-04-03
NO311954B1 (no) 2002-02-18
CA2190384A1 (en) 1997-10-20
EP0802391A1 (de) 1997-10-22
JPH09287899A (ja) 1997-11-04
AU716346B2 (en) 2000-02-24
NO964757L (no) 1997-10-20
NO964757D0 (no) 1996-11-08
SG83658A1 (en) 2001-10-16
ATE198103T1 (de) 2000-12-15
TR199600952A1 (xx) 1997-11-21
DE59606214D1 (de) 2001-01-18
JP3891619B2 (ja) 2007-03-14
ZA969536B (en) 1997-06-17
CA2190384C (en) 2003-09-30

Similar Documents

Publication Publication Date Title
EP0802391B1 (de) Verfahren zur Bestimmung einer korrigierten Zerlegungszeit eines programmierbar zerlegbaren Geschosses
EP0802392B1 (de) Verfahren und Vorrichtung zur Bestimmung einer korrigierten Zerlegungszeit eines programmierbar zerlegbaren Geschosses
DE69708343T2 (de) Passives Geschwindigkeitsdatensystem
DE2605374C3 (de) Vorrichtung zum digitalen Einstellen eines Zählers zum Auslösen eines Zeitzunders in einem Geschoß
DE102010006528B4 (de) Verfahren und Vorrichtung zur Programmierung eines Projektils
EP0802390B1 (de) Verfahren zur Bestimmung einer korrigierten Zerlegungszeit eines programmierbar zerlegbaren Geschosses
EP0118122A1 (de) Verfahren und Vorrichtung zur Einstellung der Laufzeit eines Geschoss-Zeitzünders
EP0769673B1 (de) Verfahren und Vorrichtung zum Programmieren von Zeitzündern von Geschossen
DE2423704A1 (de) Verzoegerungszuender fuer geschosse
DE2347374C2 (de) Abstandszünder für einen Gefechtskopf
EP1482311B1 (de) Vorrichtung und Verfahren zur Ermittlung der Mündungsgeschwindigkeit eines Projektils
DE2452586C3 (de) Verfahren und Vorrichtung zur Festlegung der Dauer des Flugweges eines Geschosses
EP2699871A1 (de) Vorrichtung und verfahren zur programmierung eines geschosses
DE1623362C3 (de) Einrichtung zum Zünden einer Sprengladung bzw. zum Auslosen einer Funktion
EP0992762B1 (de) Verfahren und Vorrichtung zur Übertragung von Informationen auf programmierbare Geschosse
EP0309734A1 (de) Verfahren zum Zünden eines Geschosses G in der Nähe eines Zieles Z
DE60219564T2 (de) Verfahren zum Einstellen eines Geschosszünders, Programmiereinrichtung und Zeitzünder die in einen solchem Verfahren verwendet werden
EP0992761A1 (de) Verfahren zum Korrigieren einer vorprogrammierten Auslösung eines Vorganges in einem drallstabilisierten Geschoss, Vorrichtung zur Durchführung des Verfahrens und Verwendung der Vorrichtung
DE102011106198B3 (de) Verfahren zur Bestimmung der Mündungsaustrittsgeschwindigkeit eines Projektils
EP0992758A1 (de) Verfahren und Vorrichtung zur Berechnung und Korrektur der Zerlegungszeit eines drallstabilisierten programmierbaren Geschosses
DE3621673A1 (de) Schaltung zur geschwindigkeitsmessung
EP1162428B1 (de) Verfahren und Vorrichtung zum Zünden eines Gefechtskopfes bei zielverfolgenden Lenkflugkörpern
DE3716450C1 (en) Setting electronic timer for munition detonator - entering type, temp. of drive charge weather and target data in fuse ignition computer
DE3925000C1 (de) Verfahren zur Vorgabe einer Geschoß-Laufzeit und Vorrichtung zur Durchführung dieses Verfahrens
EP2226607A2 (de) Verfahren zum Zünden eines Gefechtskopfs einer Granate und Fahrzeug

Legal Events

Date Code Title Description
PUAI Public reference made under article 153(3) epc to a published international application that has entered the european phase

Free format text: ORIGINAL CODE: 0009012

AK Designated contracting states

Kind code of ref document: A1

Designated state(s): AT BE CH DE FR GB IT LI NL SE

17P Request for examination filed

Effective date: 19971211

17Q First examination report despatched

Effective date: 19990526

RTI1 Title (correction)

Free format text: METHOD OF IDENTIFYING A CORRECTED DISINTEGRATION TIME OF A PROGRAMMABLE AND FRANGIBLE PROJECTILE

RAP1 Party data changed (applicant data changed or rights of an application transferred)

Owner name: OERLIKON CONTRAVES AG

GRAG Despatch of communication of intention to grant

Free format text: ORIGINAL CODE: EPIDOS AGRA

GRAG Despatch of communication of intention to grant

Free format text: ORIGINAL CODE: EPIDOS AGRA

GRAH Despatch of communication of intention to grant a patent

Free format text: ORIGINAL CODE: EPIDOS IGRA

GRAH Despatch of communication of intention to grant a patent

Free format text: ORIGINAL CODE: EPIDOS IGRA

GRAA (expected) grant

Free format text: ORIGINAL CODE: 0009210

AK Designated contracting states

Kind code of ref document: B1

Designated state(s): AT BE CH DE FR GB IT LI NL SE

REF Corresponds to:

Ref document number: 198103

Country of ref document: AT

Date of ref document: 20001215

Kind code of ref document: T

REG Reference to a national code

Ref country code: CH

Ref legal event code: EP

REG Reference to a national code

Ref country code: CH

Ref legal event code: NV

Representative=s name: OK PAT AG

REF Corresponds to:

Ref document number: 59606214

Country of ref document: DE

Date of ref document: 20010118

GBT Gb: translation of ep patent filed (gb section 77(6)(a)/1977)

Effective date: 20010112

ET Fr: translation filed
ITF It: translation for a ep patent filed
PLBE No opposition filed within time limit

Free format text: ORIGINAL CODE: 0009261

STAA Information on the status of an ep patent application or granted ep patent

Free format text: STATUS: NO OPPOSITION FILED WITHIN TIME LIMIT

26N No opposition filed
REG Reference to a national code

Ref country code: GB

Ref legal event code: IF02

PGFP Annual fee paid to national office [announced via postgrant information from national office to epo]

Ref country code: AT

Payment date: 20101112

Year of fee payment: 15

PGFP Annual fee paid to national office [announced via postgrant information from national office to epo]

Ref country code: GB

Payment date: 20101118

Year of fee payment: 15

REG Reference to a national code

Ref country code: DE

Ref legal event code: R082

Ref document number: 59606214

Country of ref document: DE

Representative=s name: THUL PATENTANWALTSGESELLSCHAFT MBH, DE

REG Reference to a national code

Ref country code: DE

Ref legal event code: R084

Ref document number: 59606214

Country of ref document: DE

Effective date: 20111019

PGFP Annual fee paid to national office [announced via postgrant information from national office to epo]

Ref country code: BE

Payment date: 20111110

Year of fee payment: 16

REG Reference to a national code

Ref country code: DE

Ref legal event code: R082

Ref document number: 59606214

Country of ref document: DE

Representative=s name: THUL PATENTANWALTSGESELLSCHAFT MBH, DE

REG Reference to a national code

Ref country code: DE

Ref legal event code: R082

Ref document number: 59606214

Country of ref document: DE

Representative=s name: THUL PATENTANWALTSGESELLSCHAFT MBH, DE

Effective date: 20111229

Ref country code: DE

Ref legal event code: R082

Ref document number: 59606214

Country of ref document: DE

Representative=s name: THUL PATENTANWALTSGESELLSCHAFT MBH, DE

Effective date: 20120523

Ref country code: DE

Ref legal event code: R081

Ref document number: 59606214

Country of ref document: DE

Owner name: RHEINMETALL AIR DEFENCE AG, CH

Free format text: FORMER OWNER: OERLIKON CONTRAVES AG, ZUERICH, CH

Effective date: 20120523

Ref country code: DE

Ref legal event code: R081

Ref document number: 59606214

Country of ref document: DE

Owner name: RHEINMETALL AIR DEFENCE AG, CH

Free format text: FORMER OWNER: OERLIKON-CONTRAVES AG, ZUERICH, CH

Effective date: 20111229

BERE Be: lapsed

Owner name: *OERLIKON CONTRAVES A.G.

Effective date: 20121130

REG Reference to a national code

Ref country code: AT

Ref legal event code: MM01

Ref document number: 198103

Country of ref document: AT

Kind code of ref document: T

Effective date: 20121111

GBPC Gb: european patent ceased through non-payment of renewal fee

Effective date: 20121111

PG25 Lapsed in a contracting state [announced via postgrant information from national office to epo]

Ref country code: AT

Free format text: LAPSE BECAUSE OF NON-PAYMENT OF DUE FEES

Effective date: 20121111

PG25 Lapsed in a contracting state [announced via postgrant information from national office to epo]

Ref country code: BE

Free format text: LAPSE BECAUSE OF NON-PAYMENT OF DUE FEES

Effective date: 20121130

PG25 Lapsed in a contracting state [announced via postgrant information from national office to epo]

Ref country code: GB

Free format text: LAPSE BECAUSE OF NON-PAYMENT OF DUE FEES

Effective date: 20121111

PGFP Annual fee paid to national office [announced via postgrant information from national office to epo]

Ref country code: DE

Payment date: 20141119

Year of fee payment: 19

Ref country code: CH

Payment date: 20141119

Year of fee payment: 19

Ref country code: FR

Payment date: 20141119

Year of fee payment: 19

Ref country code: SE

Payment date: 20141119

Year of fee payment: 19

PGFP Annual fee paid to national office [announced via postgrant information from national office to epo]

Ref country code: NL

Payment date: 20141119

Year of fee payment: 19

PGFP Annual fee paid to national office [announced via postgrant information from national office to epo]

Ref country code: IT

Payment date: 20141125

Year of fee payment: 19

REG Reference to a national code

Ref country code: DE

Ref legal event code: R119

Ref document number: 59606214

Country of ref document: DE

REG Reference to a national code

Ref country code: CH

Ref legal event code: PL

PG25 Lapsed in a contracting state [announced via postgrant information from national office to epo]

Ref country code: CH

Free format text: LAPSE BECAUSE OF NON-PAYMENT OF DUE FEES

Effective date: 20151130

Ref country code: IT

Free format text: LAPSE BECAUSE OF NON-PAYMENT OF DUE FEES

Effective date: 20151111

Ref country code: LI

Free format text: LAPSE BECAUSE OF NON-PAYMENT OF DUE FEES

Effective date: 20151130

REG Reference to a national code

Ref country code: NL

Ref legal event code: MM

Effective date: 20151201

REG Reference to a national code

Ref country code: FR

Ref legal event code: ST

Effective date: 20160729

PG25 Lapsed in a contracting state [announced via postgrant information from national office to epo]

Ref country code: SE

Free format text: LAPSE BECAUSE OF NON-PAYMENT OF DUE FEES

Effective date: 20151112

PG25 Lapsed in a contracting state [announced via postgrant information from national office to epo]

Ref country code: NL

Free format text: LAPSE BECAUSE OF NON-PAYMENT OF DUE FEES

Effective date: 20151201

PG25 Lapsed in a contracting state [announced via postgrant information from national office to epo]

Ref country code: DE

Free format text: LAPSE BECAUSE OF NON-PAYMENT OF DUE FEES

Effective date: 20160601

PG25 Lapsed in a contracting state [announced via postgrant information from national office to epo]

Ref country code: FR

Free format text: LAPSE BECAUSE OF NON-PAYMENT OF DUE FEES

Effective date: 20151130