EP0443631A1 - Mischungen von Egalisierhilfsmitteln und Ammoniumfluorosilikat - Google Patents
Mischungen von Egalisierhilfsmitteln und Ammoniumfluorosilikat Download PDFInfo
- Publication number
- EP0443631A1 EP0443631A1 EP91104413A EP91104413A EP0443631A1 EP 0443631 A1 EP0443631 A1 EP 0443631A1 EP 91104413 A EP91104413 A EP 91104413A EP 91104413 A EP91104413 A EP 91104413A EP 0443631 A1 EP0443631 A1 EP 0443631A1
- Authority
- EP
- European Patent Office
- Prior art keywords
- formula
- dye
- parts
- mixture
- dyes
- Prior art date
- Legal status (The legal status is an assumption and is not a legal conclusion. Google has not performed a legal analysis and makes no representation as to the accuracy of the status listed.)
- Withdrawn
Links
- 239000000203 mixture Substances 0.000 title claims abstract description 76
- -1 ammonium fluorosilicate Chemical compound 0.000 title description 22
- 150000001875 compounds Chemical class 0.000 claims abstract description 36
- 125000004432 carbon atom Chemical group C* 0.000 claims abstract description 10
- 229910052783 alkali metal Inorganic materials 0.000 claims abstract description 6
- QGZKDVFQNNGYKY-UHFFFAOYSA-O Ammonium Chemical group [NH4+] QGZKDVFQNNGYKY-UHFFFAOYSA-O 0.000 claims abstract description 5
- 150000001340 alkali metals Chemical group 0.000 claims abstract description 5
- 125000000217 alkyl group Chemical group 0.000 claims abstract description 5
- 229910052739 hydrogen Inorganic materials 0.000 claims abstract description 5
- 239000001257 hydrogen Substances 0.000 claims abstract description 5
- 125000004435 hydrogen atom Chemical group [H]* 0.000 claims abstract description 5
- 150000001450 anions Chemical class 0.000 claims abstract description 4
- QGZKDVFQNNGYKY-UHFFFAOYSA-N Ammonia Chemical compound N QGZKDVFQNNGYKY-UHFFFAOYSA-N 0.000 claims abstract 2
- 238000004043 dyeing Methods 0.000 abstract description 24
- 238000000034 method Methods 0.000 abstract description 20
- 239000004952 Polyamide Substances 0.000 abstract description 14
- 229920002647 polyamide Polymers 0.000 abstract description 14
- 239000000463 material Substances 0.000 abstract description 9
- 239000000835 fiber Substances 0.000 abstract description 3
- 239000000975 dye Substances 0.000 description 89
- 125000000020 sulfo group Chemical group O=S(=O)([*])O[H] 0.000 description 27
- LXPCOISGJFXEJE-UHFFFAOYSA-N oxifentorex Chemical compound C=1C=CC=CC=1C[N+](C)([O-])C(C)CC1=CC=CC=C1 LXPCOISGJFXEJE-UHFFFAOYSA-N 0.000 description 19
- 239000000434 metal complex dye Substances 0.000 description 18
- 210000002268 wool Anatomy 0.000 description 17
- 239000002657 fibrous material Substances 0.000 description 15
- 239000003795 chemical substances by application Substances 0.000 description 14
- VYZAMTAEIAYCRO-UHFFFAOYSA-N Chromium Chemical compound [Cr] VYZAMTAEIAYCRO-UHFFFAOYSA-N 0.000 description 13
- 239000003513 alkali Substances 0.000 description 13
- 229910052804 chromium Inorganic materials 0.000 description 13
- 239000011651 chromium Substances 0.000 description 13
- UHOVQNZJYSORNB-UHFFFAOYSA-N Benzene Chemical compound C1=CC=CC=C1 UHOVQNZJYSORNB-UHFFFAOYSA-N 0.000 description 9
- BDAGIHXWWSANSR-UHFFFAOYSA-N formic acid Substances OC=O BDAGIHXWWSANSR-UHFFFAOYSA-N 0.000 description 8
- 238000004040 coloring Methods 0.000 description 7
- 229940104869 fluorosilicate Drugs 0.000 description 7
- QTBSBXVTEAMEQO-UHFFFAOYSA-N Acetic acid Chemical compound CC(O)=O QTBSBXVTEAMEQO-UHFFFAOYSA-N 0.000 description 6
- 150000003839 salts Chemical class 0.000 description 6
- 125000000542 sulfonic acid group Chemical group 0.000 description 6
- XLYOFNOQVPJJNP-UHFFFAOYSA-N water Substances O XLYOFNOQVPJJNP-UHFFFAOYSA-N 0.000 description 6
- IAYPIBMASNFSPL-UHFFFAOYSA-N Ethylene oxide Chemical compound C1CO1 IAYPIBMASNFSPL-UHFFFAOYSA-N 0.000 description 5
- 229910004883 Na2SiF6 Inorganic materials 0.000 description 5
- PMZURENOXWZQFD-UHFFFAOYSA-L Sodium Sulfate Chemical compound [Na+].[Na+].[O-]S([O-])(=O)=O PMZURENOXWZQFD-UHFFFAOYSA-L 0.000 description 5
- 229910052938 sodium sulfate Inorganic materials 0.000 description 5
- 235000011152 sodium sulphate Nutrition 0.000 description 5
- OSWFIVFLDKOXQC-UHFFFAOYSA-N 4-(3-methoxyphenyl)aniline Chemical compound COC1=CC=CC(C=2C=CC(N)=CC=2)=C1 OSWFIVFLDKOXQC-UHFFFAOYSA-N 0.000 description 4
- SJEYSFABYSGQBG-UHFFFAOYSA-M Patent blue Chemical compound [Na+].C1=CC(N(CC)CC)=CC=C1C(C=1C(=CC(=CC=1)S([O-])(=O)=O)S([O-])(=O)=O)=C1C=CC(=[N+](CC)CC)C=C1 SJEYSFABYSGQBG-UHFFFAOYSA-M 0.000 description 4
- 239000002253 acid Substances 0.000 description 4
- 150000003254 radicals Chemical class 0.000 description 4
- WSFSSNUMVMOOMR-UHFFFAOYSA-N Formaldehyde Chemical compound O=C WSFSSNUMVMOOMR-UHFFFAOYSA-N 0.000 description 3
- UFWIBTONFRDIAS-UHFFFAOYSA-N Naphthalene Chemical compound C1=CC=CC2=CC=CC=C21 UFWIBTONFRDIAS-UHFFFAOYSA-N 0.000 description 3
- MUBZPKHOEPUJKR-UHFFFAOYSA-N Oxalic acid Chemical compound OC(=O)C(O)=O MUBZPKHOEPUJKR-UHFFFAOYSA-N 0.000 description 3
- 239000000980 acid dye Substances 0.000 description 3
- 230000002378 acidificating effect Effects 0.000 description 3
- 125000004397 aminosulfonyl group Chemical group NS(=O)(=O)* 0.000 description 3
- 150000004696 coordination complex Chemical class 0.000 description 3
- VAYGXNSJCAHWJZ-UHFFFAOYSA-N dimethyl sulfate Chemical compound COS(=O)(=O)OC VAYGXNSJCAHWJZ-UHFFFAOYSA-N 0.000 description 3
- 235000019253 formic acid Nutrition 0.000 description 3
- 229910052736 halogen Inorganic materials 0.000 description 3
- 150000002367 halogens Chemical group 0.000 description 3
- 238000010438 heat treatment Methods 0.000 description 3
- 229910052751 metal Inorganic materials 0.000 description 3
- 239000002184 metal Substances 0.000 description 3
- 230000001617 migratory effect Effects 0.000 description 3
- ALSTYHKOOCGGFT-KTKRTIGZSA-N (9Z)-octadecen-1-ol Chemical compound CCCCCCCC\C=C/CCCCCCCCO ALSTYHKOOCGGFT-KTKRTIGZSA-N 0.000 description 2
- 125000004178 (C1-C4) alkyl group Chemical group 0.000 description 2
- 125000000229 (C1-C4)alkoxy group Chemical group 0.000 description 2
- 229910019975 (NH4)2SiF6 Inorganic materials 0.000 description 2
- NLXLAEXVIDQMFP-UHFFFAOYSA-N Ammonia chloride Chemical compound [NH4+].[Cl-] NLXLAEXVIDQMFP-UHFFFAOYSA-N 0.000 description 2
- NBIIXXVUZAFLBC-UHFFFAOYSA-N Phosphoric acid Chemical compound OP(O)(O)=O NBIIXXVUZAFLBC-UHFFFAOYSA-N 0.000 description 2
- FAPWRFPIFSIZLT-UHFFFAOYSA-M Sodium chloride Chemical compound [Na+].[Cl-] FAPWRFPIFSIZLT-UHFFFAOYSA-M 0.000 description 2
- QAOWNCQODCNURD-UHFFFAOYSA-N Sulfuric acid Chemical compound OS(O)(=O)=O QAOWNCQODCNURD-UHFFFAOYSA-N 0.000 description 2
- 150000007513 acids Chemical class 0.000 description 2
- 150000001447 alkali salts Chemical class 0.000 description 2
- 150000001412 amines Chemical class 0.000 description 2
- 150000003863 ammonium salts Chemical class 0.000 description 2
- 150000001449 anionic compounds Chemical class 0.000 description 2
- 229910001430 chromium ion Inorganic materials 0.000 description 2
- 239000003086 colorant Substances 0.000 description 2
- 125000000664 diazo group Chemical group [N-]=[N+]=[*] 0.000 description 2
- 150000002430 hydrocarbons Chemical group 0.000 description 2
- NYGZLYXAPMMJTE-UHFFFAOYSA-M metanil yellow Chemical group [Na+].[O-]S(=O)(=O)C1=CC=CC(N=NC=2C=CC(NC=3C=CC=CC=3)=CC=2)=C1 NYGZLYXAPMMJTE-UHFFFAOYSA-M 0.000 description 2
- 229910052757 nitrogen Inorganic materials 0.000 description 2
- 125000004433 nitrogen atom Chemical group N* 0.000 description 2
- 229940055577 oleyl alcohol Drugs 0.000 description 2
- XMLQWXUVTXCDDL-UHFFFAOYSA-N oleyl alcohol Natural products CCCCCCC=CCCCCCCCCCCO XMLQWXUVTXCDDL-UHFFFAOYSA-N 0.000 description 2
- 150000007524 organic acids Chemical class 0.000 description 2
- 239000011814 protection agent Substances 0.000 description 2
- 239000008247 solid mixture Substances 0.000 description 2
- 229920002994 synthetic fiber Polymers 0.000 description 2
- 239000004758 synthetic textile Substances 0.000 description 2
- LDLCZOVUSADOIV-UHFFFAOYSA-N 2-bromoethanol Chemical compound OCCBr LDLCZOVUSADOIV-UHFFFAOYSA-N 0.000 description 1
- SZIFAVKTNFCBPC-UHFFFAOYSA-N 2-chloroethanol Chemical compound OCCCl SZIFAVKTNFCBPC-UHFFFAOYSA-N 0.000 description 1
- MXCDRFGKHNFKIP-UHFFFAOYSA-N 2-hydroxy-5-[(4-sulfophenyl)diazenyl]benzoic acid Chemical compound C1=C(O)C(C(=O)O)=CC(N=NC=2C=CC(=CC=2)S(O)(=O)=O)=C1 MXCDRFGKHNFKIP-UHFFFAOYSA-N 0.000 description 1
- WDJHALXBUFZDSR-UHFFFAOYSA-N Acetoacetic acid Natural products CC(=O)CC(O)=O WDJHALXBUFZDSR-UHFFFAOYSA-N 0.000 description 1
- LSNNMFCWUKXFEE-UHFFFAOYSA-M Bisulfite Chemical compound OS([O-])=O LSNNMFCWUKXFEE-UHFFFAOYSA-M 0.000 description 1
- WKBOTKDWSSQWDR-UHFFFAOYSA-N Bromine atom Chemical compound [Br] WKBOTKDWSSQWDR-UHFFFAOYSA-N 0.000 description 1
- VEXZGXHMUGYJMC-UHFFFAOYSA-M Chloride anion Chemical compound [Cl-] VEXZGXHMUGYJMC-UHFFFAOYSA-M 0.000 description 1
- ZAMOUSCENKQFHK-UHFFFAOYSA-N Chlorine atom Chemical compound [Cl] ZAMOUSCENKQFHK-UHFFFAOYSA-N 0.000 description 1
- BRLQWZUYTZBJKN-UHFFFAOYSA-N Epichlorohydrin Chemical compound ClCC1CO1 BRLQWZUYTZBJKN-UHFFFAOYSA-N 0.000 description 1
- PXGOKWXKJXAPGV-UHFFFAOYSA-N Fluorine Chemical compound FF PXGOKWXKJXAPGV-UHFFFAOYSA-N 0.000 description 1
- XKTMIJODWOEBKO-UHFFFAOYSA-M Guinee green B Chemical compound [Na+].C=1C=C(C(=C2C=CC(C=C2)=[N+](CC)CC=2C=C(C=CC=2)S([O-])(=O)=O)C=2C=CC=CC=2)C=CC=1N(CC)CC1=CC=CC(S([O-])(=O)=O)=C1 XKTMIJODWOEBKO-UHFFFAOYSA-M 0.000 description 1
- 101000952234 Homo sapiens Sphingolipid delta(4)-desaturase DES1 Proteins 0.000 description 1
- DGAQECJNVWCQMB-PUAWFVPOSA-M Ilexoside XXIX Chemical compound C[C@@H]1CC[C@@]2(CC[C@@]3(C(=CC[C@H]4[C@]3(CC[C@@H]5[C@@]4(CC[C@@H](C5(C)C)OS(=O)(=O)[O-])C)C)[C@@H]2[C@]1(C)O)C)C(=O)O[C@H]6[C@@H]([C@H]([C@@H]([C@H](O6)CO)O)O)O.[Na+] DGAQECJNVWCQMB-PUAWFVPOSA-M 0.000 description 1
- WHXSMMKQMYFTQS-UHFFFAOYSA-N Lithium Chemical compound [Li] WHXSMMKQMYFTQS-UHFFFAOYSA-N 0.000 description 1
- 239000007832 Na2SO4 Substances 0.000 description 1
- ZLMJMSJWJFRBEC-UHFFFAOYSA-N Potassium Chemical compound [K] ZLMJMSJWJFRBEC-UHFFFAOYSA-N 0.000 description 1
- OFOBLEOULBTSOW-UHFFFAOYSA-N Propanedioic acid Natural products OC(=O)CC(O)=O OFOBLEOULBTSOW-UHFFFAOYSA-N 0.000 description 1
- 102100037416 Sphingolipid delta(4)-desaturase DES1 Human genes 0.000 description 1
- QAOWNCQODCNURD-UHFFFAOYSA-L Sulfate Chemical compound [O-]S([O-])(=O)=O QAOWNCQODCNURD-UHFFFAOYSA-L 0.000 description 1
- GSEJCLTVZPLZKY-UHFFFAOYSA-N Triethanolamine Chemical compound OCCN(CCO)CCO GSEJCLTVZPLZKY-UHFFFAOYSA-N 0.000 description 1
- CIUQDSCDWFSTQR-UHFFFAOYSA-N [C]1=CC=CC=C1 Chemical compound [C]1=CC=CC=C1 CIUQDSCDWFSTQR-UHFFFAOYSA-N 0.000 description 1
- 125000000738 acetamido group Chemical group [H]C([H])([H])C(=O)N([H])[*] 0.000 description 1
- GCPWJFKTWGFEHH-UHFFFAOYSA-N acetoacetamide Chemical compound CC(=O)CC(N)=O GCPWJFKTWGFEHH-UHFFFAOYSA-N 0.000 description 1
- DYRDKSSFIWVSNM-UHFFFAOYSA-N acetoacetanilide Chemical compound CC(=O)CC(=O)NC1=CC=CC=C1 DYRDKSSFIWVSNM-UHFFFAOYSA-N 0.000 description 1
- CQPFMGBJSMSXLP-UHFFFAOYSA-M acid orange 7 Chemical compound [Na+].OC1=CC=C2C=CC=CC2=C1N=NC1=CC=C(S([O-])(=O)=O)C=C1 CQPFMGBJSMSXLP-UHFFFAOYSA-M 0.000 description 1
- 125000004442 acylamino group Chemical group 0.000 description 1
- 239000000654 additive Substances 0.000 description 1
- 150000007933 aliphatic carboxylic acids Chemical class 0.000 description 1
- 125000003545 alkoxy group Chemical group 0.000 description 1
- 125000004453 alkoxycarbonyl group Chemical group 0.000 description 1
- 125000003282 alkyl amino group Chemical group 0.000 description 1
- 229910000147 aluminium phosphate Inorganic materials 0.000 description 1
- 235000019270 ammonium chloride Nutrition 0.000 description 1
- BFNBIHQBYMNNAN-UHFFFAOYSA-N ammonium sulfate Chemical compound N.N.OS(O)(=O)=O BFNBIHQBYMNNAN-UHFFFAOYSA-N 0.000 description 1
- 229910052921 ammonium sulfate Inorganic materials 0.000 description 1
- 235000011130 ammonium sulphate Nutrition 0.000 description 1
- 125000002490 anilino group Chemical group [H]N(*)C1=C([H])C([H])=C([H])C([H])=C1[H] 0.000 description 1
- PYKYMHQGRFAEBM-UHFFFAOYSA-N anthraquinone Chemical class CCC(=O)c1c(O)c2C(=O)C3C(C=CC=C3O)C(=O)c2cc1CC(=O)OC PYKYMHQGRFAEBM-UHFFFAOYSA-N 0.000 description 1
- 150000004056 anthraquinones Chemical class 0.000 description 1
- 239000012752 auxiliary agent Substances 0.000 description 1
- WXLFIFHRGFOVCD-UHFFFAOYSA-L azophloxine Chemical compound [Na+].[Na+].OC1=C2C(NC(=O)C)=CC(S([O-])(=O)=O)=CC2=CC(S([O-])(=O)=O)=C1N=NC1=CC=CC=C1 WXLFIFHRGFOVCD-UHFFFAOYSA-L 0.000 description 1
- GDTBXPJZTBHREO-UHFFFAOYSA-N bromine Substances BrBr GDTBXPJZTBHREO-UHFFFAOYSA-N 0.000 description 1
- 229910052794 bromium Inorganic materials 0.000 description 1
- 125000004106 butoxy group Chemical group [*]OC([H])([H])C([H])([H])C(C([H])([H])[H])([H])[H] 0.000 description 1
- 125000000484 butyl group Chemical group [H]C([*])([H])C([H])([H])C([H])([H])C([H])([H])[H] 0.000 description 1
- 125000003917 carbamoyl group Chemical group [H]N([H])C(*)=O 0.000 description 1
- 150000001768 cations Chemical class 0.000 description 1
- 239000001913 cellulose Substances 0.000 description 1
- 229920002678 cellulose Polymers 0.000 description 1
- 239000007795 chemical reaction product Substances 0.000 description 1
- 239000000460 chlorine Substances 0.000 description 1
- 229910052801 chlorine Inorganic materials 0.000 description 1
- VXIVSQZSERGHQP-UHFFFAOYSA-N chloroacetamide Chemical compound NC(=O)CCl VXIVSQZSERGHQP-UHFFFAOYSA-N 0.000 description 1
- 230000008878 coupling Effects 0.000 description 1
- 238000010168 coupling process Methods 0.000 description 1
- 238000005859 coupling reaction Methods 0.000 description 1
- 125000004093 cyano group Chemical group *C#N 0.000 description 1
- WOWBFOBYOAGEEA-UHFFFAOYSA-N diafenthiuron Chemical compound CC(C)C1=C(NC(=S)NC(C)(C)C)C(C(C)C)=CC(OC=2C=CC=CC=2)=C1 WOWBFOBYOAGEEA-UHFFFAOYSA-N 0.000 description 1
- GKIPXFAANLTWBM-UHFFFAOYSA-N epibromohydrin Chemical compound BrCC1CO1 GKIPXFAANLTWBM-UHFFFAOYSA-N 0.000 description 1
- 125000001495 ethyl group Chemical group [H]C([H])([H])C([H])([H])* 0.000 description 1
- 238000011156 evaluation Methods 0.000 description 1
- 229910052731 fluorine Inorganic materials 0.000 description 1
- 239000011737 fluorine Substances 0.000 description 1
- 125000000623 heterocyclic group Chemical group 0.000 description 1
- 229910052500 inorganic mineral Inorganic materials 0.000 description 1
- 125000001449 isopropyl group Chemical group [H]C([H])([H])C([H])(*)C([H])([H])[H] 0.000 description 1
- 229910052744 lithium Inorganic materials 0.000 description 1
- VZCYOOQTPOCHFL-UPHRSURJSA-N maleic acid Chemical compound OC(=O)\C=C/C(O)=O VZCYOOQTPOCHFL-UPHRSURJSA-N 0.000 description 1
- 239000011976 maleic acid Substances 0.000 description 1
- 229910021645 metal ion Inorganic materials 0.000 description 1
- 125000002496 methyl group Chemical group [H]C([H])([H])* 0.000 description 1
- 230000005012 migration Effects 0.000 description 1
- 238000013508 migration Methods 0.000 description 1
- 239000011707 mineral Substances 0.000 description 1
- LNOPIUAQISRISI-UHFFFAOYSA-N n'-hydroxy-2-propan-2-ylsulfonylethanimidamide Chemical compound CC(C)S(=O)(=O)CC(N)=NO LNOPIUAQISRISI-UHFFFAOYSA-N 0.000 description 1
- 150000002790 naphthalenes Chemical class 0.000 description 1
- 125000001624 naphthyl group Chemical group 0.000 description 1
- 125000000449 nitro group Chemical group [O-][N+](*)=O 0.000 description 1
- 235000005985 organic acids Nutrition 0.000 description 1
- 235000006408 oxalic acid Nutrition 0.000 description 1
- 229920002239 polyacrylonitrile Polymers 0.000 description 1
- 229920000728 polyester Polymers 0.000 description 1
- 229910052700 potassium Inorganic materials 0.000 description 1
- 239000011591 potassium Substances 0.000 description 1
- 125000001436 propyl group Chemical group [H]C([*])([H])C([H])([H])C([H])([H])[H] 0.000 description 1
- 125000002943 quinolinyl group Chemical group N1=C(C=CC2=CC=CC=C12)* 0.000 description 1
- 239000000985 reactive dye Substances 0.000 description 1
- 238000005185 salting out Methods 0.000 description 1
- 229910052708 sodium Inorganic materials 0.000 description 1
- 239000011734 sodium Substances 0.000 description 1
- UWMZZSRDUVJJDP-UHFFFAOYSA-N sodium 4-[[9-(2-carboxyphenyl)-6-(2-methylanilino)xanthen-10-ium-3-yl]amino]-3-methylbenzenesulfonate Chemical compound [Na+].Cc1ccccc1Nc1ccc2c(-c3ccccc3C(O)=O)c3ccc(Nc4ccc(cc4C)S([O-])(=O)=O)cc3[o+]c2c1 UWMZZSRDUVJJDP-UHFFFAOYSA-N 0.000 description 1
- 239000011780 sodium chloride Substances 0.000 description 1
- SHBDDIJUSNNBLQ-UHFFFAOYSA-M sodium;3-[[4-[(2-chlorophenyl)-[4-[ethyl-[(3-sulfonatophenyl)methyl]azaniumylidene]cyclohexa-2,5-dien-1-ylidene]methyl]-n-ethylanilino]methyl]benzenesulfonate Chemical compound [Na+].C=1C=C(C(=C2C=CC(C=C2)=[N+](CC)CC=2C=C(C=CC=2)S([O-])(=O)=O)C=2C(=CC=CC=2)Cl)C=CC=1N(CC)CC1=CC=CC(S([O-])(=O)=O)=C1 SHBDDIJUSNNBLQ-UHFFFAOYSA-M 0.000 description 1
- 238000002798 spectrophotometry method Methods 0.000 description 1
- 238000001228 spectrum Methods 0.000 description 1
- 238000001694 spray drying Methods 0.000 description 1
- 125000001424 substituent group Chemical group 0.000 description 1
- 125000000547 substituted alkyl group Chemical group 0.000 description 1
- 239000003760 tallow Substances 0.000 description 1
- 239000004753 textile Substances 0.000 description 1
- VZCYOOQTPOCHFL-UHFFFAOYSA-N trans-butenedioic acid Natural products OC(=O)C=CC(O)=O VZCYOOQTPOCHFL-UHFFFAOYSA-N 0.000 description 1
- 125000002023 trifluoromethyl group Chemical group FC(F)(F)* 0.000 description 1
- AAAQKTZKLRYKHR-UHFFFAOYSA-N triphenylmethane Chemical class C1=CC=CC=C1C(C=1C=CC=CC=1)C1=CC=CC=C1 AAAQKTZKLRYKHR-UHFFFAOYSA-N 0.000 description 1
- 239000000080 wetting agent Substances 0.000 description 1
- 239000001018 xanthene dye Chemical class 0.000 description 1
- 238000009970 yarn dyeing Methods 0.000 description 1
Classifications
-
- D—TEXTILES; PAPER
- D06—TREATMENT OF TEXTILES OR THE LIKE; LAUNDERING; FLEXIBLE MATERIALS NOT OTHERWISE PROVIDED FOR
- D06P—DYEING OR PRINTING TEXTILES; DYEING LEATHER, FURS OR SOLID MACROMOLECULAR SUBSTANCES IN ANY FORM
- D06P1/00—General processes of dyeing or printing textiles, or general processes of dyeing leather, furs, or solid macromolecular substances in any form, classified according to the dyes, pigments, or auxiliary substances employed
- D06P1/44—General processes of dyeing or printing textiles, or general processes of dyeing leather, furs, or solid macromolecular substances in any form, classified according to the dyes, pigments, or auxiliary substances employed using insoluble pigments or auxiliary substances, e.g. binders
- D06P1/673—Inorganic compounds
-
- D—TEXTILES; PAPER
- D06—TREATMENT OF TEXTILES OR THE LIKE; LAUNDERING; FLEXIBLE MATERIALS NOT OTHERWISE PROVIDED FOR
- D06P—DYEING OR PRINTING TEXTILES; DYEING LEATHER, FURS OR SOLID MACROMOLECULAR SUBSTANCES IN ANY FORM
- D06P3/00—Special processes of dyeing or printing textiles, or dyeing leather, furs, or solid macromolecular substances in any form, classified according to the material treated
- D06P3/02—Material containing basic nitrogen
- D06P3/04—Material containing basic nitrogen containing amide groups
- D06P3/06—Material containing basic nitrogen containing amide groups using acid dyes
-
- D—TEXTILES; PAPER
- D06—TREATMENT OF TEXTILES OR THE LIKE; LAUNDERING; FLEXIBLE MATERIALS NOT OTHERWISE PROVIDED FOR
- D06P—DYEING OR PRINTING TEXTILES; DYEING LEATHER, FURS OR SOLID MACROMOLECULAR SUBSTANCES IN ANY FORM
- D06P1/00—General processes of dyeing or printing textiles, or general processes of dyeing leather, furs, or solid macromolecular substances in any form, classified according to the dyes, pigments, or auxiliary substances employed
- D06P1/44—General processes of dyeing or printing textiles, or general processes of dyeing leather, furs, or solid macromolecular substances in any form, classified according to the dyes, pigments, or auxiliary substances employed using insoluble pigments or auxiliary substances, e.g. binders
- D06P1/60—General processes of dyeing or printing textiles, or general processes of dyeing leather, furs, or solid macromolecular substances in any form, classified according to the dyes, pigments, or auxiliary substances employed using insoluble pigments or auxiliary substances, e.g. binders using compositions containing polyethers
- D06P1/607—Nitrogen-containing polyethers or their quaternary derivatives
- D06P1/6076—Nitrogen-containing polyethers or their quaternary derivatives addition products of amines and alkylene oxides or oxiranes
-
- D—TEXTILES; PAPER
- D06—TREATMENT OF TEXTILES OR THE LIKE; LAUNDERING; FLEXIBLE MATERIALS NOT OTHERWISE PROVIDED FOR
- D06P—DYEING OR PRINTING TEXTILES; DYEING LEATHER, FURS OR SOLID MACROMOLECULAR SUBSTANCES IN ANY FORM
- D06P1/00—General processes of dyeing or printing textiles, or general processes of dyeing leather, furs, or solid macromolecular substances in any form, classified according to the dyes, pigments, or auxiliary substances employed
- D06P1/44—General processes of dyeing or printing textiles, or general processes of dyeing leather, furs, or solid macromolecular substances in any form, classified according to the dyes, pigments, or auxiliary substances employed using insoluble pigments or auxiliary substances, e.g. binders
- D06P1/673—Inorganic compounds
- D06P1/67333—Salts or hydroxides
- D06P1/6735—Salts or hydroxides of alkaline or alkaline-earth metals with anions different from those provided for in D06P1/67341
-
- D—TEXTILES; PAPER
- D06—TREATMENT OF TEXTILES OR THE LIKE; LAUNDERING; FLEXIBLE MATERIALS NOT OTHERWISE PROVIDED FOR
- D06P—DYEING OR PRINTING TEXTILES; DYEING LEATHER, FURS OR SOLID MACROMOLECULAR SUBSTANCES IN ANY FORM
- D06P3/00—Special processes of dyeing or printing textiles, or dyeing leather, furs, or solid macromolecular substances in any form, classified according to the material treated
- D06P3/02—Material containing basic nitrogen
- D06P3/04—Material containing basic nitrogen containing amide groups
- D06P3/14—Wool
- D06P3/16—Wool using acid dyes
-
- D—TEXTILES; PAPER
- D06—TREATMENT OF TEXTILES OR THE LIKE; LAUNDERING; FLEXIBLE MATERIALS NOT OTHERWISE PROVIDED FOR
- D06P—DYEING OR PRINTING TEXTILES; DYEING LEATHER, FURS OR SOLID MACROMOLECULAR SUBSTANCES IN ANY FORM
- D06P3/00—Special processes of dyeing or printing textiles, or dyeing leather, furs, or solid macromolecular substances in any form, classified according to the material treated
- D06P3/02—Material containing basic nitrogen
- D06P3/04—Material containing basic nitrogen containing amide groups
- D06P3/24—Polyamides; Polyurethanes
- D06P3/241—Polyamides; Polyurethanes using acid dyes
-
- Y—GENERAL TAGGING OF NEW TECHNOLOGICAL DEVELOPMENTS; GENERAL TAGGING OF CROSS-SECTIONAL TECHNOLOGIES SPANNING OVER SEVERAL SECTIONS OF THE IPC; TECHNICAL SUBJECTS COVERED BY FORMER USPC CROSS-REFERENCE ART COLLECTIONS [XRACs] AND DIGESTS
- Y10—TECHNICAL SUBJECTS COVERED BY FORMER USPC
- Y10S—TECHNICAL SUBJECTS COVERED BY FORMER USPC CROSS-REFERENCE ART COLLECTIONS [XRACs] AND DIGESTS
- Y10S8/00—Bleaching and dyeing; fluid treatment and chemical modification of textiles and fibers
- Y10S8/916—Natural fiber dyeing
- Y10S8/917—Wool or silk
Definitions
- the present invention relates to new mixtures of leveling agents and ammonium fluorosilicate, containing a compound of the formula wherein R is an alkyl or alkenyl radical having 12 to 22 carbon atoms, M is hydrogen, alkali metal or ammonium and m and n are integers, the sum of m and n being 2 to 14, or of the formula wherein R 'independently of R has the meaning given for R, A is an anion, Q is an optionally substituted alkyl radical and p and q are integers, the sum of p and q being 2 to 50, or of the formula wherein R ′′ independently of R has the meaning given for R and x and y are integers, the sum of x and y being 80 to 140, containing a mixture of compounds of the formula (1) and (2) or a mixture Compounds of the formulas (1), (2) and (3) or (1a), (2) and (3) and 5 to 25 percent by weight (NH4) 2SiF6 based on that Weight of the compounds of the formulas (1)
- the mixtures according to the invention are suitable for a process for fiber and flat dyeing of natural and synthetic polyamide fiber materials with 1: 1 metal complex dyes containing sulfo groups or with dye mixtures containing 1: 1 metal complex dyes containing sulfo groups and metal-free dyes containing sulfonic acid groups in the presence of 10 to 45 liquors Weight percent of an ammonium hexafluorosilicate, or alkali fluorosilicate and ammonium hexafluorosilicate, based on the amount by weight of the 1: 1 metal complex dye used in the presence of an auxiliary, dyeing at a fiber-preserving pH of 3 to 5, the dye bath being practically completely extracted, the dyeing is well-colored and has good overall fastness properties, in particular good wet fastness properties and good light fastness properties.
- a disadvantage of the dyeing processes used hitherto for natural or synthetic polyamide materials with 1: 1 metal complex dyes or mixtures of 1: 1 metal complex dyes with metal-free acid dyes is that these dyes or mixtures are dyed at a pH of approximately 1.9 to 2.8 must be in order to obtain level coloring.
- the pH value of the dyebath is of crucial importance in addition to the dyeing time, since natural and synthetic polyamide materials, especially wool, are strong both in the strongly acidic and in the alkaline pH range to be attacked.
- the mixtures according to the invention can be used to carry out a process which does not have the disadvantages mentioned and which allows natural or synthetic textile polyamide fiber materials in the fiber-protecting pH range from 3 to 5, in particular 3.5 to 4.5, to be carried out in a simple manner. preferably 3.7 to 4.2 to color.
- the leveling aids of the mixtures according to the invention are known per se and are produced by known methods.
- the mixtures according to the invention preferably contain, as leveling aid mixtures, 5 to 70 parts by weight of the compounds of the formula (1) or (1a), 15 to 60 parts by weight of the compound of the formula (2) and 5 to 60 parts by weight of the compound of the formula (3) to 100 parts by weight of the leveling agent mixture, where in the formulas (1), (1a), (2) and (3) R, R 'and R' 'independently of one another denote an alkyl or alkenyl radical having 16 to 22 carbon atoms.
- the mixtures according to the invention advantageously contain a compound of the formula (2) in which A and Q are derived from the quaternizing agents chloroacetamide, ethylene chlorohydrin, ethylene bromohydrin, epichlorohydrin, epibromohydrin or preferably dimethyl sulfate.
- the mixtures according to the invention contain in particular a leveling aid mixture which, in addition to compounds of the formulas (1) or (1a), (2) and (3), the sum of p and q in formula (2) preferably being 20 to 50, also an adduct from 60 to 100 moles of ethylene oxide to one mole of C15-C20 alkenyl alcohol.
- the mixtures according to the invention likewise preferably contain a leveling aid mixture which contains the compounds of the formulas (1) and (2) or (1a) and (2), in which the sum of the symbols p and q in formula (2) is 4 to 10.
- the mixtures according to the invention preferably also contain a leveling aid mixture of compounds of the formula (2), in which the sum of the symbols p and q in formula (2) is 30 to 40 and R 'is an alkyl radical having 15 to 22 carbon atoms.
- the leveling agent mixture which is very particularly preferred for the mixtures according to the invention can, in addition to water, contain, for example, an adduct of 60 to 100 moles of ethylene oxide with one mole of C15-C20 alkenyl alcohol, preferably 80 moles of ethylene oxide with one mole of oleyl alcohol.
- the mixture according to the invention is produced by mixing at least one compound of the formulas (1), (1a), (2) or (3) with 5 to 25 percent by weight ammonium hexafluorosilicate.
- the mixing process takes place, for example, in suitable mixers.
- the mixture according to the invention can be used together with a dye mixture containing alkali and / or ammonium hexafluorosilicate for dyeing natural or synthetic polyamide fiber materials.
- mixtures which can be used together with the mixtures according to the invention are solid mixtures comprising at least one 1: 1 metal complex dye containing sulfo groups, in particular 1: 1 chromium complex dye, and optionally at least one metal-free dye containing sulfo groups and 10 to 45% by weight of an alkali metal or ammonium hexafluorosilicate based on the 1: 1 metal complex weight amount.
- sulfo-containing 1: 1 chromium complex dye and optionally at least one sulfo-containing metal-free dye with 10 to 45 percent by weight (based on the weight of the 1: 1 metal complex dye) alkali and / or Mixes ammonium hexafluorosilicate.
- the mixing process takes place, for example, in suitable mills, for example ball or pin mills, as well as in kneaders or mixers.
- the solid mixtures can be used for dyeing natural or synthetic textile polyamide fiber materials.
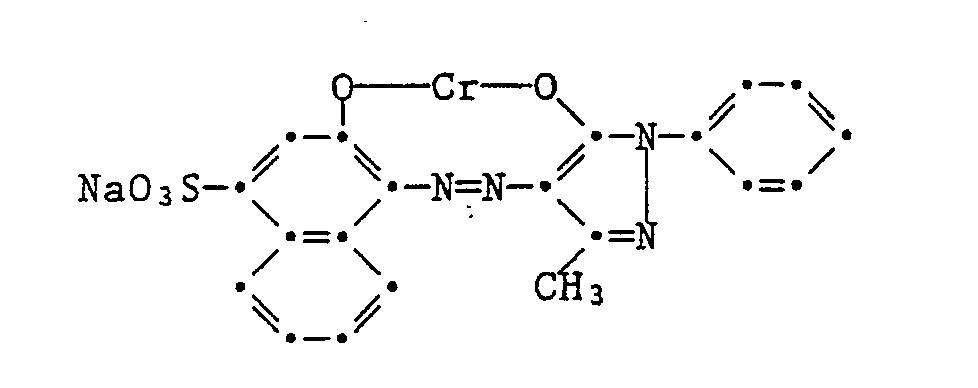
- the usable 1: 1 metal complex dyes containing sulfo groups are preferably monoazo or disazo dyes which contain a chromium ion as the metal ion.
- 1: 1 metal complex azomethine dyes, which preferably contain a chromium ion, can also be used.
- the usable sulfo-containing metal-free dyes are preferably acidic to strongly acidic acid dyes from the series of monoazo or polyazo, anthraquinone, triphenylmethane or xanthene dyes, which can contain the substituents customary for acid dyes.
- the sulfo-containing metal-free dyes can be substituted by fiber-reactive radicals.
- the amounts in which the defined dyes or dye mixtures are used in the dyebaths can vary within wide limits depending on the desired depth of color, in general amounts of from 0.01 to 10 percent by weight, based on the material to be dyed, of one or more dyes proven advantageous.
- Alkali metal salts of hexafluorosilicic acid are used as alkali metal fluorosilicates.
- NH4 2SiF6 or a mixture of Na2SiF6 and (NH4) 2SiF6 is used.
- the amount in which the ammonium hexafluorosilicate, or alkali fluorosilicate and ammonium hexafluorosilicate, is used in the dyebaths is 10 to 45 percent by weight, preferably 15 to 45 percent by weight, in particular 20 to 35 percent by weight, based on the amount by weight of the 1: 1 metal complex dye.
- amount by weight of the 1: 1 metal complex dye refers to the raw dye, i.e. to the amount by weight of a dye isolated by customary methods (e.g. salting out), which contains about 20 to 40 percent by weight of salt.
- the amount in which the leveling aid or the leveling aid mixture is used in the dyebaths can vary within wide limits, in general an amount of 0.3 to 3 percent by weight, preferably 1 to 2 percent by weight, based on the fiber material, of leveling aid or Leveling agent mixture proved to be advantageous.
- the dyebaths can contain mineral acids, such as sulfuric acid, sulfamic acid or phosphoric acid, organic acids, expediently lower, aliphatic carboxylic acids, such as formic, acetic or maleic acid.
- the acids primarily serve to adjust the pH of the liquors used.
- the pH is preferably adjusted from 3 to 5 using an organic acid, in particular formic acid or acetic acid.
- the dye liquor of alkali fluorosilicate or ammonium hexafluorosilicate can be various salts, in particular ammonium or alkali salts such as e.g. Contain ammonium sulfate or preferably sodium sulfate as an auxiliary. Preferably 1 to 10 percent by weight of ammonium or alkali salts, based on the fiber material, are used.
- the 1: 1 metal complex dyes which can be used are preferably those which have at least one 1: 1 chromium complex azo or azomethine dye with 1 to 3 sulfonic acid groups, in particular 1 to 2 sulfonic acid groups, and in the case of dye mixtures, at least one metal-free dye with 1 to 2 sulfonic acid groups included.
- metal-free dyes containing sulfo groups those with good migration properties are used.
- the migrating ability of these dyes should correspond to the migrating ability of the 1: 1 chromium complex azo or azomethine dyes.
- the migratory capacity on wool is determined by treating a sample dyed to 1/1 standard depth together with an uncolored sample of the same weight in a blind bath.
- the treatment conditions for determining the migratory capacity correspond to the conditions given in Example 1 with regard to liquor ratio, pH and treatment duration.
- the evaluation is done by spectrophotometric Determination of the amount of dye on the originally undyed wool in percent of the originally colored wool.
- a range of 25 to 50% has proven to be advantageous as good migratory power, colored at pH 4 to 5 and measured as a difference in strength.
- Suitable metal-free dyes containing sulfo groups are, for example, C-I. Acid Blue 1, 7, 13, 23, 40, 40: 1, 43, 45, 47, 72, 147, 258 and 277; C.I. Acid Red 1, 5, 37, 42, 52, 57 and 361; C.I. Acid Yellow 10, 17, 25, 27, 99 and 219; C.I. Acid Orange 1, 3 and 156; C.I. Acid Green 3, 9 and 16; C.I. Acid Violet 9 and 36; C.I. Acid Brown 10, 11 and 248.
- the color mixture of suitably selected yellow or understand orange, red and blue coloring dyes with which any desired shade of the visible color spectrum can be adjusted by a suitable choice of the proportions of the dyes.
- 1: 1 chromium complex azo or azomethine dyes are those of the formula used, in which - (CO) 0-1 -O- and (0 or NR1) in the vicinity of the azo bridge are bonded to D and K, D the rest of a diazo component of the benzene or naphthalene series, K the rest of a coupling component of the benzene, Naphthalene or heterocyclic series or the acetoacetic acid arylide series, R1 hydrogen, or an optionally substituted alkyl or phenyl radical, M is a cation and An is an anion, and Y represents the nitrogen atom or the CH group.
- sulfo group-containing 1: 1 chromium complex azo or azomethine dyes of the formula (4) are used, in which D is a benzene or naphthalene radical optionally substituted by halogen, C1-C4-alkyl, C1-C4-alkoxy, nitro or sulfamoyl, K an optionally by halogen, C1-C4-alkyl, C1-C4-alkoxy, C2-C4-alkanoylamino, sulfamoyl or hydroxy-substituted phenyl, naphthyl, 1-phenyl-3-methylpyrazolone- (5) -, acetoacetamide, especially acetoacetoanilide or quinoline residue, R1 is hydrogen and M is an alkali application.
- Y in formula (4) preferably denotes the nitrogen atom.
- the metal-free dyes containing sulfonic acid groups used are those of the dye series mentioned above, which can be substituted, for example, by alkyl groups with 1 to 4 carbon atoms, such as methyl, ethyl, propyl, isopropyl and butyl, alkoxy groups with 1 to 4 carbon atoms, such as methoxy, ethoxy, Propoxy, isopropoxy and butoxy, acylamino groups with 1 to 6 carbon atoms, such as acetylamino and propionylamino, benzoylamino, amino, alkylamino with 1 to 4 carbon atoms, phenylamino, alkoxycarbonyl with 1 to 4 carbon atoms in the alkoxy radical, nitro, acetyl, cyano, trifluoromethyl, halogen, such as fluorine, chlorine and bromine, sulfamoyl, carbamoyl, ureido, hydroxy, carboxy and
- the metal-free dyes containing sulfonic acid groups can be substituted by one or more fiber-reactive radicals.
- Suitable fiber-reactive radicals are, for example, the radicals mentioned in DE-OS 29 13 102.
- Mixtures of sulfo-containing 1: 1 metal complex dyes and sulfo-containing metal-free dyes are preferably used in a weight ratio of 40:60 to 95: 5.
- the sulfo-containing dyes used are either in the form of their free sulfonic acid or, preferably, as their salts.
- suitable salts are the alkali, alkaline earth or ammonium salts or the salts of an organic amine.
- suitable salts include the sodium, lithium, potassium or ammonium salts or the salt of triethanolamine.
- the 1: 1 metal complex dyes containing sulfo groups and the metal-free dyes containing sulfo groups are known per se and are obtained by known methods.
- the dye mixtures used can be prepared by mixing the individual dyes. This mixing process takes place, for example, in suitable mills, e.g. Ball or pin mills, as well as in kneaders or mixers.
- the dye mixtures can be prepared by spray drying the aqueous dye mixtures.
- the dyebaths can also contain other customary additives, such as wool protection agents, wetting agents and defoamers.
- the liquor ratio can be selected within a wide range, from 1: 6 to 1:80, preferably 1:10 to 1:30.
- Dyeing is carried out from an aqueous liquor using the exhaust process, e.g. at temperatures between 80 and 105 ° C or 110 ° C when using a formaldehyde-releasing wool protection agent, preferably between 98 and 103 ° C.
- the dyeing time is usually 30 to 120 minutes.
- the usual dyeing apparatus and machines for example for flake, sliver, strand yarn, bobbins, piece goods and carpets, can be used.
- the leveling aid and the alkali fluorosilicate or ammonium hexafluorosilicate are expediently admixed with the aqueous dye liquor and applied simultaneously with the dye mixture.
- An interesting procedure is characterized in that one enters into a liquor with the fiber material, which contains acid and a leveling agent containing ammonium hexafluorosilicate as well as Na2SO4 and has a temperature of 30 to 70 ° C. Subsequently, the dyes or dye mixtures which contain alkali and / or ammonium hexafluorosilicate are added, and the temperature of the dyebath is increased by a heating rate of 0.75 to 3 ° C. per minute, if appropriate with a temperature stop during the heating, in order to Color range from 80 ° C to 105 ° C. The bath is then cooled and the colored material rinsed and dried as usual.
- the fiber material can be in a wide variety of forms, such as loose material, sliver, yarn and piece goods or as a carpet.
- fiber material made of synthetic polyamides which can be dyed, it comes into consideration from all known, suitable synthetic polyamides.
- the fiber material can be in a wide variety of forms, e.g. as loose material, sliver, yarn and piece goods or as carpet.
- the metal-free dyes containing sulfo groups can contain one or more fiber-reactive groups.
- Such dye mixtures of the defined 1: 1 metal complex dyes and the sulfo-containing metal-free dyes are preferably used, in which the metal-free dyes used are either all reactive dyes or are all free of fiber-reactive groups; in particular, metal-free dyes containing sulfo groups are used, free of fiber-reactive groups.
- a particularly interesting embodiment is characterized in that the dye mixtures used consist of such defined metal-containing and metal-free dyes which give colorations of the same nuances, i.e., the use of a mixture of at least one blue-coloring, 1: 1 metal complex dye containing sulfo groups and at least one blue-coloring, metal-free dye containing sulfo groups.
- the process which can be carried out with the mixtures according to the invention has the following advantages over the known processes for fiber material made from natural or synthetic polyamides, in addition to those already mentioned.
- the material dyed under the dyeing conditions mentioned has better overall fastness properties, in particular better wet fastness properties. Another important advantage is that the dyes are almost completely absorbed.
- the method for dyeing wool is used.
- the process which can be carried out with the mixtures according to the invention surprisingly manages with a significantly smaller amount of ammonium hexafluorosilicate, or alkali fluorosilicate and ammonium hexafluorosilicate.
- the following examples serve to illustrate the invention.
- the parts are parts by weight and the percentages are percentages by weight.
- the temperatures are given in degrees Celsius.
- the relationship between parts by weight and parts by volume is the same as that between grams and cubic centimeters.
- the indicated amounts of dye refer to raw dye.
- the dye liquor After adding a solution of 1.1 parts of the 1: 1 chromium complex of the dye of the formula 0.5 parts of the 1: 1 chromium complex of the dye of the formula 0.23 parts of the 1: 1 chromium complex of the dye of the formula 0.23 parts of the 1: 1 chromium complex of the dye of the formula 0.64 parts of the dye of the formula 0.97 parts of the dye of the formula and 0.4 parts of the dye of the formula the dye liquor is kept at 50 ° for a further 10 minutes and then heated to 98 ° at a heating rate of 0.8 ° / minute. The pH at the beginning of dyeing is 3.8. After 90 minutes at 98 °, the mixture is cooled to 50 ° and the dye liquor is drained off. The brown-colored wool yarn is rinsed at 50 ° for 10 minutes, then at room temperature and dried as usual. The medium brown color obtained is excellent in fiber and has good fastness properties.
- the dye liquor After adding a 50 ° warm solution containing 1.72 parts of the mixture 0.96 parts of the dye of the formula 0.45 parts of the dye of the formula and 0.31 parts (NH4) 2SiF6; 1.88 parts of the mixture 1.2 parts of the dye of the formula 0.3 parts of the dye of the formula and 0.38 parts (NH4) 2SiF6; and 1.91 parts of a mixture of 1.5 parts of the dye of the formula and 0.41 parts (NH4) 2SiF6 in 1000 parts of water, the dye liquor is kept at 50 ° for 10 minutes and then heated to 98 ° at a rate of 1 ° / minute. The pH is 3.5 at the start of dyeing.
- the mixture After 90 minutes of dyeing at 98 °, the mixture is allowed to cool to 50 °, the light brown colored wool yarn is rinsed at 50 ° and then at room temperature for 10 minutes and dried as usual.
- the pH towards the end of dyeing is 3.8.
- the beige color obtained is excellently fibrous; the dyed worsted shows a full, soft feel.
- the final fleet is undyed.
Landscapes
- Engineering & Computer Science (AREA)
- Textile Engineering (AREA)
- Chemical & Material Sciences (AREA)
- Inorganic Chemistry (AREA)
- Coloring (AREA)
Abstract
Die Erfindung betrifft Mischungen enthaltend eine Verbindung der Formel <IMAGE> worin R einen Alkyl- oder Alkenylrest mit 12 bis 22 Kohlenstoffatomen, M Wasserstoff, Alkalimetall oder Ammonium und m und n ganze Zahlen bedeuten, wobei die Summe von m und n 2 bis 14 ist, oder der Formel <IMAGE> worin R' unabhängig von R die für R angegebene Bedeutung hat, A ein Anion, Q einen gegebenenfalls substituierten Alkylrest und p und q ganze Zahlen bedeuten, wobei die Summe von p und q 2 bis 50 ist, oder der Formel <IMAGE> worin R'' unabhängig von R die für R angegebene Bedeutung hat und x und y ganze Zahlen bedeuten, wobei die Sume von x und y 80 bis 140 ist, eine Mischung enthaltend Verbindungen der Formel (1) und (2) oder eine Mischung enthaltend Verbindungen der Formeln (1), (2) und (3) oder (1a), (2) und (3) sowie 5 bis 25 Gewichtsprozent (NH4)2SiF6 bezogen auf das Gewicht der Verbindungen der Formeln (1), (1a), (2) oder (3) oder deren Mischung. Die erfindungsgemässen Mischungen eignen sich für Verfahren zum Färben von natürlichen oder synthetischen Polyamidmaterialien, wobei faser- und flächenegale Färbungen mit guten Echtheiten erzielt werden.
Description
- Die vorliegende Erfindung betrifft neue Mischungen von Egalisierhilfsmitteln und Ammoniumfluorosilikat, enthaltend eine Verbindung der Formel
worin R einen Alkyl- oder Alkenylrest mit 12 bis 22 Kohlenstoffatomen, M Wasserstoff, Alkalimetall oder Ammonium und m und n ganze Zahlen bedeuten, wobei die Summe von m und n 2 bis 14 ist, oder der Formel
worin R' unabhängig von R die für R angegebene Bedeutung hat, A ein Anion, Q einen gegebenenfalls substituierten Alkylrest und p und q ganze Zahlen bedeuten, wobei die Summe von p und q 2 bis 50 ist, oder der Formel
worin R'' unabhängig von R die für R angegebene Bedeutung hat und x und y ganze Zahlen bedeuten, wobei die Sume von x und y 80 bis 140 ist, eine Mischung enthaltend Verbindungen der Formel (1) und (2) oder eine Mischung enthaltend Verbindungen der Formeln (1), (2) und (3) oder (1a), (2) und (3) sowie 5 bis 25 Gewichtsprozent (NH₄)₂SiF₆ bezogen auf das Gewicht der Verbindungen der Formeln (1), (1a), (2) oder (3) oder deren Mischung. - Die erfindungsgemässen Mischungen eignen sich für ein Verfahren zum faser- und flächenegalen Färben von natürlichen und synthetischen Polyamidfasermaterialien mit sulfogruppenhaltigen 1:1-Metallkomplexfarbstoffen oder mit Farbstoffmischungen, enthaltend sulfogruppenhaltige 1:1-Metallkomplexfarbstoffe und metallfreie sulfonsäuregruppenhaltige Farbstoffe aus wässriger Flotte in Gegenwart von 10 bis 45 Gewichtsprozent eines Ammoniumhexafluorosilikats, oder Alkalifluorosilikats und Ammoniumhexafluorosilikats, bezogen auf die eingesetzte Gewichtsmenge des 1:1-Metallkomplexfarbstoffes in Gegenwart eines Hilfsmittels, wobei bei einem faserschonenden pH-Wert von 3 bis 5 gefärbt wird, das Färbebad praktisch vollständig ausgezogen wird, die Färbung gut durchgefärbt ist und gute Gesamtechtheiten, insbesondere gute Nassechtheiten und gute Lichtechtheit zeigt.
- Nachteil der bisher üblichen Färbeverfahren für natürliche oder synthetische Polyamidmaterialien mit 1:1-Metallkomplexfarbstoffen oder Mischungen von 1:1-Metallkomplexfarbstoffen mit metallfreien Säurefarbstoffen ist, dass diese Farbstoffe oder Mischungen bei einem pH-Wert von ca. 1,9 bis 2,8 gefärbt werden müssen, um egale Färbungen zu erhalten. Dem pH-Wert des Färbebades kommt beim Färben von natürlichen und synthetischen Polyamidmaterialien, insbesondere beim Färben von Wolle, neben der Färbedauer eine entscheidende Bedeutung zu, da natürliche und synthetische Polyamidmaterialien, insbesondere die Wolle, sowohl im stark sauren wie im alkalischen pH-Bereich stark angegriffen werden.
- Ueberraschenderweise kann mit den erfindungsgemässen Mischungen ein Verfahren ausgeführt werden, das die genannten Nachteile nicht aufweist und welches erlaubt, auf einfache Art und Weise natürliche oder synthetische textile Polyamidfasermaterialien im faserschonenden pH-Bereich von 3 bis 5, insbesondere 3,5 bis 4,5, vorzugsweise 3,7 bis 4,2, zu färben.
- Die Egalisierhilfsmittel der erfindungsgemässen Mischungen sind an sich bekannt und werden nach bekannten Methoden hergestellt.
- Die erfindungsgemässen Mischungen enthalten als Egalisier-Hilfsmittelgemische bevorzugt 5 bis 70 Gewichtsteile der Verbindungen der Formel (1) oder (1a), 15 bis 60 Gewichtsteile der Verbindung der Formel (2) und 5 bis 60 Gewichtsteile der Verbindung der Formel (3), bezogen auf 100 Gewichtsteile des Egalisier-Hilfsmittelgemisches, wobei in den Formeln (1), (1a), (2) und (3) R, R' und R'' unabhängig voneinander einen Alkyl- oder Alkenylrest mit 16 bis 22 Kohlenstoffatomen bedeuten.
- Vorteilsweise enthalten die erfindungsgemässen Mischungen eine Verbindung der Formel (2), worin sich A und Q von den Quaternisierungsmitteln Chloracetamid, Aethylenchlorhydrin, Aethylenbromhydrin, Epichlorhydrin, Epibromhydrin oder vorzugsweise Dimethylsulfat ableiten.
- Die erfindungsgemässen Mischungen enthalten insbesondere ein Egalisierhilfsmittelgemisch, welches ausser Verbindungen der Formeln (1) oder (1a), (2) und (3), wobei die Summe von p und q in Formel (2) vorzugsweise 20 bis 50 ist, noch ein Addukt von 60 bis 100 Molen Aethylenoxid an ein Mol C₁₅-C₂₀-Alkenylalkohol.
- Ebenfalls bevorzugt enthalten die erfindungsgemässen Mischungen ein Egalisierhilfsmittelgemisch, welches die Verbindungen der Formeln (1) und (2) oder (1a) und (2) enthält, worin die Summe der Symbole p und q in Formel (2) 4 bis 10 ist.
- Bevorzugt enthalten die erfindungsgemässen Mischungen ferner ein Egalisierhilfsmittelgemisch aus Verbindungen der Formel (2), worin die Summe der Symbole p und q in Formel (2) 30 bis 40 ist und R' ein Alkylrest mit 15 bis 22 Kohlenstoffatomen ist.
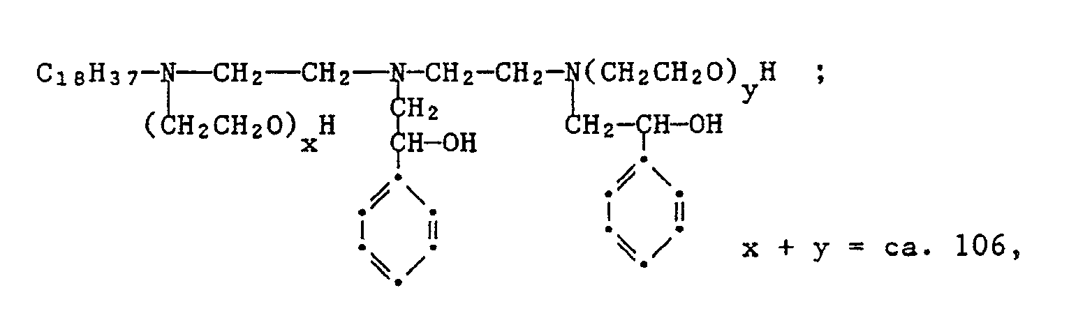
- Ganz besonders bevorzugt enthalten die erfindungsgemässen Mischungen ein Egalisierhilfsmittelgemisch, enthaltend die Verbindung der Formel (1a), worin R ein C₁₆-C₁₈-Alkylrest und m + n = 7 oder 8 ist, die Verbindung der Formel (2), worin R' ein C₂₀-C₂₂-Alkylrest, A und Q sich von dem Quaternisierungsmittel Dimethylsulfat ableiten, und p + q = 7 bis 8 ist, die Verbindung der Formel (2), worin R' ein C₂₀-C₂₂-Alkylrest, A und Q sich von dem Quaternisierungsmittel Dimethylsulfat ableiten, und p + q = 34 ist, und die Verbindung der Formel (3), worin R'' ein C₂₀-C₂₂-Alkylrest und x + y = 106 ist. Das für die erfindungsgemässen Mischungen ganz besonders bevorzugte Egalisierhilfsmittelgemisch kann ausser Wasser z.B. noch ein Addukt von 60 bis 100 Molen Aethylenoxid an ein Mol C₁₅-C₂₀-Alkenylalkohol, vorzugsweis 80 Mol Aethylenoxid an ein Mol Oleylalkohol, enthalten.
- Insbesondere enthält das für die erfindungsgemässen Mischungen ganz besonders bevorzugte Egalisierhilfsmittelgemisch 20 bis 40 Gewichtsteile der Verbindung der Formel (1a), 20 bis 40 Gewichtsteile der Verbindung der Formel (2), worin p + q = 7 oder 8 ist, 10 bis 25 Gewichtsteile der Verbindung der Formel (2), worin p + q = 34 ist, 3 bis 9 Gewichtsteile der Verbindung der Formel (3) und gegebenenfalls bis zu 8 Gewichtsteilen des Adduktes von Aethylenoxid an einen Alkenylalkohol bezogen auf 100 Teile des wasserfreien Egalisierhilfsmittelgemisches.
- Die erfindungsgemässe Mischung wird hergestellt, indem man mindestens eine Verbindung der Formeln (1), (1a), (2) oder (3) mit 5 bis 25 Gewichtsprozent Ammoniumhexafluorosilikat mischt. Der Mischprozess erfolgt beispielsweise in geeigneten Mixern.
- Die erfindungsgemässe Mischung kann zusammen mit einer Farbstoffmischung enthaltend Alkali-und/oder Ammoniumhexafluorsilikat zum Färben von natürlichen oder synthetischen Polyamidfasermaterialien verwendet werden.
- Die mit den erfindungsgemässen Mischungen zusammen verwendbaren oben genannten Mischungen sind feste Mischungen enthaltend mindestens einen sulfogruppenhaltigen 1:1-Metallkomplexfarbstoff, insbesondere einen 1:1-Chromkomplexfarbstoff, und gegebenenfalls mindestens einen sulfogruppenhaltigen metallfreien Farbstoff und 10 bis 45 Gewichtsprozent eines Alkali- oder Ammoniumhexafluorosilikats bezogen auf die 1:1-Metallkomplexgewichtsmenge.
- Diese werden hergestellt, indem man mindestens einen sulfogruppenhaltigen 1:1-Chromkomplexfarbstoff und gegebenenfalls mindestens einen sulfogruppenhaltigen metallfreien Farbstoff mit 10 bis 45 Gewichtsprozent (bezogen auf das Gewicht des 1:1-Metallkomplexfarbsstoffs) Alkali- und/oder Ammoniumhexafluorosilikat mischt. Der Mischprozess erfolgt beispielsweise in geeigneten Mühlen, z.B. Kugel- oder Stiftmühlen, sowie in Knetern oder Mixern.
- Die festen Mischungen können zum Färben von natürlichen oder synthetischen textilen Polyamidfasermaterialien verwendet werden.
- Die verwendbaren sulfogruppenhaltigen 1:1-Metallkomplexfarbstoffe sind vorzugsweise Monoazo- oder Disazofarbstoffe, die als Metallion ein Chromion enthalten. Ebenfalls können 1:1-Metallkomplexazomethinfarbstoffe verwendet werden, die vorzugsweise ein Chromion enthalten.
- Die verwendbaren sulfogruppenhaltigen metallfreien Farbstoffe sind vorzugsweise sauer bis stark sauer ziehende Säurefarbstoffe aus der Reihe der Monoazo- oder Polyazo-, Anthrachinon-, Triphenylmethan-oder Xanthen-Farbstoffe, welche die für Säurefarbstoffe üblichen Substituenten enthalten können. Die sulfogruppenhaltigen metallfreien Farbstoffe können durch faserreaktive Reste substituiert sein.
- Die Mengen, in denen die definierten Farbstoffe oder Farbstoffmischungen in den Färbebädern verwendet werden, können je nach der gewünschten Farbtiefe in weiten Grenzen schwanken, im allgemeinen haben sich Mengen von 0,01 bis 10 Gewichtsprozent, bezogen auf das Färbegut, eines oder mehrerer Farbstoffe als vorteilhaft erwiesen.
- Das Färben von natürlichen oder synthetischen Polyamidfasermaterialien mit 1:1-Metallkomplexfarbstoffen oder deren Mischung mit metallfreien Farbstoffen in Gegenwart von Alkalisulfat oder -chlorid, wie z.B. Natriumsulfat und Natriumchlorid, und gegebenenfalls einem Hilfsmittel ist seit langem bekannt. Ueberraschenderweise ermöglicht die Verwendung von Ammoniumhexafluorosilikat, oder Ammoniumhexafluorosilikat und Alkalifluorosilikat, bereits in einer Menge von 10 bis 45 Gewichtsprozent, bezogen auf die eingesetzte Gewichtsmenge des 1:1-Metallkomplexfarbstoffes, in Gegenwart eines Hilfsmittels, das Färben dieser Fasermaterialien im faserschonenden pH-Bereich, wobei gut und egal durchgefärbte Färbungen erhalten werden.
- Als Alkalifluorosilikate werden Alkalisalze der Hexafluorokieselsäure verwendet. Vorzugsweise wird (NH₄)₂SiF₆ oder eine Mischung aus Na₂SiF₆ und (NH₄)₂SiF₆ verwendet.
- Verfahren zum Färben werden ausgeführt, indem man
- a) die Fasermaterialien mit einer Mischung enthaltend mindestens einen sulfogruppenhaltigen 1:1-Metallkomplexfarbstoff und mindestens einen sulfogruppenhaltigen metallfreien Farbstoff in Gegenwart von 10 bis 45 Gewichtsprozent eines Ammoniumhexafluorosilikats, oder Ammoniumhexafluorosilikats und Alkalifluorosilikats, bezogen auf die eingesetzte Menge des 1:1-Metallkomplexfarbstoffs und in Gegenwart eines Hilfsmittels bei einem pH-Wert von 3 bis 5 färbt;
- b) in Gegenwart von Ammoniumhexafluorosilikat färbt;
- c) in Gegenwart einer Mischung aus Na₂SiF₆ und (NH₄)₂SiF₆ färbt, wobei das Verhältnis Na₂SiF₆:(NH₄)₂SiF₆ 20:80 bis 80:20 ist.
- Die Menge, in der das Ammoniumhexafluorosilikat, oder Alkalifluorosilikat und Ammoniumhexafluorosilikat, in den Färbebädern verwendet wird, beträgt 10 bis 45 Gewichtsprozent, vorzugsweise 15 bis 45 Gewichtsprozent, insbesondere 20 bis 35 Gewichtsprozent, bezogen auf die Gewichtsmenge des 1: 1-Metallkomplexfarbstoffs.
- Die Bezeichnung "Gewichtsmenge des 1:1-Metallkomplexfarbstoffes" bezieht sich auf den Rohfarbstoff, d.h. auf die Gewichtsmenge eines nach üblichen Methoden (z.B. Aussalzen) isolierten Farbstoffes, der ca. 20 bis 40 Gewichtsprozent Salz enthält.
- Die Menge, in der das Egalisierhilfsmittel oder das Egalisierhilfsmittelgemisch in den Färbebädern verwendet wird, kann in weiten Grenzen schwanken, im allgemeinen hat sich eine Menge von 0,3 bis 3 Gewichtsprozent, vorzugsweise 1 bis 2 Gewichtsprozent, bezogen auf das Fasermaterial, an Egalisierhilfsmittel oder Egalisierhilfsmittelgemisch als vorteilhaft erwiesen.
- Als weitere Hilfsmittel können die Färbebäder Mineralsäuren, wie Schwefelsäure, Sulfaminsäure oder Phosphorsäure, organische Säuren, zweckmässig niedere, aliphatische Carbonsäuren, wie Ameisen-, Essig- oder Maleinsäure, enthalten. Die Säuren dienen vor allem der Einstellung des pH-Wertes der verwendeten Flotten.
- Vorzugsweise erfolgt die Einstellung des pH-Wertes von 3 bis 5 mit einer organischen Säure, insbesondere Ameisensäure oder Essigsäure.
- Vorzugsweise färbt man bei einem pH-Wert von 3,5 bis 4,5 insbesondere 3,7 bis 4,2.
- Ferner kann die Färbeflotte von Alkalifluorosilikat oder Ammoniumhexafluorosilikat verschiedene Salze, insbesondere Ammonium- oder Alkalisalze wie z.B. Ammoniumsulfat oder vorzugsweise Natriumsulfat als Hilfsmittel enthalten. Vorzugsweise werden 1 bis 10 Gewichtsprozent Ammonium-oder Alkalisalze, bezogen auf das Fasermaterial, verwendet.
- Die verwendbaren 1:1-Metallkomplexfarbstoffe sind vorzugsweise solche, welche mindestens einen 1:1-Chromkomplexazo- oder -azomethin-farbstoff mit 1 bis 3 Sulfonsäuregruppen, insbesondere 1 bis 2 Sulfonsäuregruppen, und im Fall von Farbstoffmischungen ausserdem mindestens einen metallfreien Farbstoff mit 1 bis 2 Sulfonsäuregruppen enthalten.
- Insbesondere werden als metallfreie sulfogruppenhaltige Farbstoffe solche mit gutem Migriervermögen verwendet. Das Migriervermögen dieser Farbstoffe soll dem Migriervermögen der 1:1-Chromkomplexazo-oder -azomethinfarbstoffe entsprechen.
- Das Migriervermögen wird auf Wolle bestimmt, indem eine in 1/1 Richttyptiefe gefärbte Probe zusammen mit einer gewichtsgleichen ungefärbten Probe in einem Blindbad behandelt wird.
- Die Behandlungsbedingungen zur Bestimmung des Migriervermögens entsprechen bezüglich Flottenverhältnis, pH und Behandlungsdauer den in Beispiel 1 angegebenen Bedingungen. Die Bewertung erfolgt durch spektrophotometrische Bestimmung der Farbstoffmenge auf der ursprünglich ungefärbten Wolle in Prozent der ursprünglich gefärbten Wolle.
- Als gutes Migriervermögen, gefärbt bei pH 4 bis 5 und als Stärkedifferenz gemessen, hat sich ein Bereich von 25 bis 50 % als vorteilhaft erwiesen.
- Geeignete metallfreie sulfogruppenhaltige Farbstoffe sind beispielsweise C-I. Acid Blue 1, 7, 13, 23, 40, 40:1, 43, 45, 47, 72, 147, 258 und 277; C.I. Acid Red 1, 5, 37, 42, 52, 57 und 361; C.I. Acid Yellow 10, 17, 25, 27, 99 und 219; C.I. Acid Orange 1, 3 und 156; C.I. Acid Green 3, 9 und 16; C.I. Acid Violet 9 und 36; C.I. Acid Brown 10, 11 und 248.
- Es können gegebenenfalls auch Mischungen mehrerer definitionsgemässer Farbstoffe oder Farbstoffmischungen verwendet werden.
- Insbesondere verwendet man eine Mischung definitionsgemässer Farbstoffe oder Farbstoffmischungen, welche
- a) mindestens zwei 1:1-Chromkomplexazo- oder -azomethinfarbstoffe und gegebenenfalls mindestens einen sulfogruppenhaltigen metallfreien Farbstoff enthält; und
- b) mindestens drei 1:1-Chromkomplexazo- oder -azomethinfarbstoffe und gegebenenfalls mindestens einen sulfogruppenhaltigen metallfreien Farbstoff enthält; oder
- c) zum Trichromiefärben mindestens drei 1:1-Chromkomplexazo- oder -azomethinfarbstoffe aus gelb- bzw. orange-, rot- und blaufärbenden Farbstoffen und gegebenenfalls mindestens einen sulfogruppenhaltigen metallfreien Farbstoff aus gelb- bzw. orange- und/oder rot- und/oder blaufärbenden Farbstoffen enthält.
- Unter Trichromie ist dabei die Farbmischung passend gewählter gelb-bzw. orange-, rot- und blaufärbender Farbstoffe zu verstehen, mit denen jede gewünschte Nuance des sichtbaren Farbspektrums durch geeignete Wahl der Mengenverhältnisse der Farbstoffe eingestellt werden kann.
- Insbesondere werden als 1:1-Chromkomplexazo- oder -azomethinfarbstoffe solche der Formel
verwendet, worin -(CO)0-1-O- und (0 oder NR₁) in Nachbarstellung zur Azobrücke an D und K gebunden sind, D der Rest einer Diazokomponente der Benzol- oder Naphthalinreihe, K der Rest einer Kupplungskomponente der Benzol-, Naphthalin- oder heterocyclischen Reihe oder der Acetessigsäurearylidreihe, R₁ Wasserstoff, oder ein gegebenenfalls substituierter Alkyl- oder Phenylrest, M ein Kation und An ein Anion ist, und Y das Stickstoffatom oder die CH-Gruppe bedeutet. - Insbesondere werden sulfogruppenhaltige 1:1-Chromkomplexazo- oder -azomethinfarbstoffe der Formel (4) verwendet, worin D ein gegebenenfalls durch Halogen, C₁-C₄-Alkyl, C₁-C₄-Alkoxy, Nitro oder Sulfamoyl substituierter Benzol- oder Naphthalinrest, K ein gegebenenfalls durch Halogen, C₁-C₄-Alkyl, C₁-C₄-Alkoxy, C₂-C₄-Alkanoylamino, Sulfamoyl oder Hydroxy substituierter Phenyl-, Naphthyl-, 1-Phenyl-3-methylpyrazolon-(5)-, Acetoacetamid-, insbesondere Acetacetoanilid- oder Chinolinrest, R₁ Wasserstoff und M ein Alkalikation ist.
- Vorzugsweise bedeutet Y in Formel (4) das Stickstoffatom.
- Insbesondere werden als sulfonsäuregruppenhaltige metallfreie Farbstoffe solche der weiter oben genannten Farbstoffreihen verwendet, die z.B. substituiert sein können durch Alkylgruppen mit 1 bis 4 Kohlenstoffatomen, wie Methyl, Aethyl, Propyl, Isopropyl und Butyl, Alkoxygruppen mit 1 bis 4 Kohlenstoffatomen, wie Methoxy, Aethoxy, Propoxy, Isopropoxy und Butoxy, Acylaminogruppen mit 1 bis 6 Kohlenstoffatomen, wie Acetylamino und Propionylamino, Benzoylamino, Amino, Alkylamino mit 1 bis 4 Kohlenstoffatomen, Phenylamino, Alkoxycarbonyl mit 1 bis 4 Kohlenstoffatomen im Alkoxyrest, Nitro, Acetyl, Cyano, Trifluormethyl, Halogen, wie Fluor, Chlor und Brom, Sulfamoyl, Carbamoyl, Ureido, Hydroxy, Carboxy und Sulfomethyl.
- Ferner können die sulfonsäuregruppenhaltigen metallfreien Farbstoffe durch einen oder mehrere faserreaktive Reste substituiert sein. Als faserreaktive Reste kommen beispielsweise die in der DE-OS 29 13 102 genannten Reste in Betracht.
- Es werden vorzugsweise Mischungen von sulfogruppenhaltigen 1:1-Metallkomplexfarbstoffen und sulfogruppenhaltigen metallfreien Farbstoffen im Gewichtsverhältnis von 40:60 bis 95:5 verwendet.
- Die verwendeten sulfogruppenhaltigen Farbstoffe liegen entweder in Form ihrer freien Sulfonsäure oder vorzugsweise als deren Salze vor.
- Als Salze kommen beispielsweise die Alkali- , Erdalkali- oder Ammoniumsalze oder die Salze eines organischen Amins in Betracht. Als Beispiele seien die Natrium-, Lithium-, Kalium- oder Ammoniumsalze oder das Salz des Triäthanolamins genannt.
- Die verwendeten sulfogruppenhaltigen 1:1-Metallkomplexfarbstoffe und die sulfogruppenhaltigen metallfreien Farbstoffe sind an sich bekannt und werden nach bekannten Methoden erhalten.
- Die verwendeten Farbstoffmischungen können durch Mischung der Einzelfarbstoffe hergestellt werden. Dieser Mischprozess erfolgt beispielsweise in geeigneten Mühlen, z.B. Kugel- oder Stiftmühlen, sowie in Knetern oder Mixern.
- Ferner können die Farbstoffmischungen durch Zerstäubungstrocknen der wässrigen Farbstoffmischungen hergestellt werden.
- Die Färbebäder können neben dem Farbstoff und den genannten Hilfsmitteln noch weitere übliche Zusätze wie z.B. Wollschutz-, Netz- und Entschäumungsmittel enthalten.
- Das Flottenverhältnis kann innerhalb eines weiten Bereichs gewählt werden, von 1:6 bis 1:80, vorzugsweise 1:10 bis 1:30.
- Das Färben erfolgt aus wässriger Flotte nach dem Ausziehverfahren z.B. bei Temperaturen zwischen 80 und 105°C bzw. 110°C bei Verwendung eines Formaldehyd-abspaltenden Wollschutzmittels, vorzugsweise zwischen 98 und 103°C.
- Die Färbedauer beträgt in der Regel 30 bis 120 Minuten.
- Besondere Vorrichtungen sind beim Verfahren nicht erforderlich. Es können die üblichen Färbeapparate und -maschinen, beispielsweise für Flocke, Kammzug, Stranggarn, Wickelkörper, Stückware und Teppiche verwendet werden.
- Das Egalisierhilfsmittel und das Alkalifluorosilikat oder Ammoniumhexafluorosilikat wird zweckmässigerweise der wässrigen Farbstoff-Flotte zugemischt und gleichzeitig mit der Farbstoffmischung appliziert.
- Eine interessante Verfahrensweise ist dadurch gekennzeichnet, dass man mit dem Fasermaterial in eine Flotte eingeht, die Säure und ein Ammoniumhexafluorsilikat-haltiges Egalisierhilfsmittel sowie Na₂SO₄ enthält und eine Temperatur von 30 bis 70°C aufweist. Anschliessend werden die Farbstoffe oder Farbstoffmischungen, welche Alkali-und/oder Ammoniumhexafluorsilikat enthalten, zugegeben, und die Temperatur des Färbebades mit einer Aufheizrate von 0,75 bis 3°C pro Minute, gegebenenfalls mit einem Temperaturstop während des Aufheizens, gesteigert, um im angegebenen Temperaturbereich von 80°C bis 105°C zu färben. Anschliessend wird das Bad abgekühlt und das gefärbte Material wie üblich gespült und getrocknet.
- Als textiles Fasermaterial aus natürlichen Polyamiden, das gefärbt werden kann, sind vor allem Wolle, aber auch Mischungen aus Wolle/Polyamid, Wolle/Polyester, Wolle/Cellulose oder Wolle/Polyacrylnitril sowie Seide zu erwähnen. Das Fasermaterial kann dabei in den verschiedensten Aufmachungsformen vorliegen, wie z.B. als loses Material, Kammzug, Garn und Stückware oder als Teppich.
- Als Fasermaterial aus synthetischen Polyamiden, das gefärbt werden kann, kommt solches aus allen bekannten, dafür geeigneten synthetischen Polyamiden in Betracht. Das Fasermaterial kann dabei in den verschiedensten Aufmachungsformen vorliegen, wie z.B. als loses Material, Kammzug, Garn und Stückware oder als Teppich.
- Die verwendeten sulfogruppenhaltigen, metallfreien Farbstoffe können eine oder mehrere faserreaktive Gruppen enthalten. Vorzugsweise werden solche Farbstoffmischungen aus den definierten 1:1-Metallkomplexfarbstoffen und den sulfogruppenhaltigen metallfreien Farbstoffen verwendet, worin die verwendeten metallfreien Farbstoffe entweder alle Reaktivfarbstoffe sind, oder alle von faserreaktiven Gruppen frei sind; insbesondere werden von faserreaktiven Gruppen freie sulfogruppenhaltige, metallfreie Farbstoffe verwendet.
- Eine ganz besonders interessante Ausführungsform ist dadurch gekennzeichnet, dass die verwendeten Farbstoffmischungen aus solchen definierten metallhaltigen und metallfreien Farbstoffen bestehen, die Färbungen gleicher Nuancen ergeben, d.h. beispielsweise die Verwendung einer Mischung aus mindestens einem blaufärbenden sulfogruppenhaltigen 1:1-Metallkomplexfarbstoff und mindestens einem blaufärbenden, sulfogruppenhaltigen, metallfreien Farbstoff.
- Das mit den erfindungsgemässen Mischungen ausführbare Verfahren weist gegenüber den bekannten Verfahren für Fasermaterial aus natürlichen oder synthetischen Polyamiden neben den bereits genannten noch folgende Vorteile auf. Das unter den genannten Färbebedingungen gefärbte Material zeichnet sich durch bessere Gesamtechtheiten, insbesondere bessere Nassechtheiten aus. Ein weiterer wesentlicher Vorteil besteht darin, dass die Farbstoffe praktisch vollständig aufgenommen werden.
- Vorzugsweise wird das Verfahren zum Färben von Wolle verwendet.
- Nach beendetem Färben sind die Färbebäder nahezu vollständig ausgezogen.
- Gegenüber dem aus der EP-A-O 163 608 bekannten Verfahren kommt das mit den erfindungsgemässen Mischungen ausführbare Verfahren überraschenderweise mit einer deutlich geringeren Menge an Ammoniumhexafluorsilikat, oder Alkalifluorosilikat und Ammoniumhexafluorosilikat, aus.
- Die nachfolgenden Beispiele dienen der Veranschaulichung der Erfindung. Darin sind die Teile Gewichtsteile und die Prozente Gewichtsprozente. Die Temperaturen sind in Celsiusgraden angegeben. Die Beziehung zwischen Gewichtsteilen und Volumenteilen ist dieselbe wie diejenige zwischen Gramm und Kubikzentimeter. Die angegebenen Farbstoffmengen beziehen sich auf Rohfarbstoff.
- Erläuterungsbeispiel: 800 Teile Wollkammgarn werden in einem Färbebad, welches auf 20 000 Teile Wasser von 50°, 64 Teile Natriumsulfat, 0,55 Teile (NH₄)₂SiF₆, 20 Teile 85%ige Ameisensäure und 12 Teile eines Egalisierhilfsmittels, bestehend aus 24 Teilen der anionischen Verbindung der Formel
R₂ = C₁₆-C₁₈-Kohlenwasserstoffrest; m + n = 7;
24 Teilen der quaternären Verbindung der Formel
R₃ = C₂₀-C₂₂-Kohlenwasserstoffrest;
5 Teilen Ammoniumchlorid
3 Teilen Oxalsäure und
44 Teilen Wasser, bezogen auf 100 Teile Egalisierhilfsmittel, während 15 Minuten bei 50° vorbehandelt. Nach Zugabe einer Lösung von 1,1 Teilen des 1:1-Chromkomplexes des Farbstoffes der Formel
0,5 Teilen des 1:1-Chromkomplexes des Farbstoffes der Formel
0,23 Teilen des 1:1-Chromkomplexes des Farbstoffes der Formel
0,23 Teilen des 1:1-Chromkomplexes des Farbstoffes der Formel
0,64 Teilen des Farbstoffes der Formel 0,97 Teilen des Farbstoffes der Formel
und 0,4 Teilen des Farbstoffes der Formel
wird die Färbeflotte noch 10 Minuten bei 50° gehalten und anschliessend mit einer Aufheizrate von 0,8°/Minute auf 98° erwärmt. Der pH beträgt zu Anfang des Färbens 3,8. Nach 90 Minuten bei 98° wird auf 50° abgekühlt und die Färbeflotte abgelassen. Das braungefärbte Wollgarn wird je 10 Minuten erst bei 50°, dann bei Raumtemperatur gespült und wie üblich getrocknet. Die erhaltene mittelbraune Färbung ist ausgezeichnet faseregal und weist gute Echtheiten auf. - Beipiel: 800 Teile Wollkammgarn werden in einem Färbebad, welches auf 14 400 Teile enthärtetes (deionisiertes) Wasser von 50° 28 Teile Ameisensäure (85%ig), 64 Teile Natriumsulfat und 12 Teile eines Egalisierhilfsmittels, bestehend aus
10 Teilen der anionischen Verbindung der Formel
R₂ = Kohlenwasserstoffrest des Talgfettamins, m + n = 7;
10 Teilen der quaternären Verbindung der Formel
R₃ = C₂₀-C₂₂-Kohlenwasserstoffrest;
2 Teilen des Umsetzungsproduktes von Oleylalkohol mit 80 Mol Aethylenoxid;
2 Teilen der Verbindung der Formel
5 Teilen der quaternären Verbindung der Formel; und
5 Teilen (NH₄)₂SiF₆
sowie 66 Teilen Wasser, bezogen auf 100 Teile des Egalisierhilfsmittelgemisches, enthält, während 15 Minuten bei 50° vorbehandelt. Nach Zugabe einer 50° warmen Lösung enthaltend 1,72 Teile der Mischung aus
0,96 Teilen des Farbstoffes der Formel 0,45 Teilen des Farbstoffes der Formel
und 0,31 Teilen (NH₄)₂SiF₆;
1,88 Teile der Mischung aus
1,2 Teilen des Farbstoffes der Formel
0,3 Teilen des Farbstoffs der Formel
und 0,38 Teilen (NH₄)₂SiF₆; und
1,91 Teilen einer Mischung aus
1,5 Teilen des Farbstoffes der Formel
und 0,41 Teilen (NH₄)₂SiF₆ in 1000 Teilen Wasser wird die Färbeflotte noch 10 Minuten bei 50° gehalten und anschliessend mit einer Aufheizrate von 1°/Minute auf 98° erwärmt. Der pH-Wert beträgt am Anfang des Färbens 3,5. Nach 90 Minuten Färbezeit bei 98° wird auf 50° abkühlen gelassen, das hellbraun gefärbte Wollgarn je 10 Minuten erst bei 50° und dann bei Raumtemperatur gespült und wie üblich getrocknet. Der pH-Wert gegen Ende des Färbens beträgt 3,8. Die erhaltene beige Färbung ist ausgezeichnet faseregal; das gefärbte Kammgarn zeigt einen vollen, weichen Griff. Die Endflotte ist ungefärbt. - Eine mit den gleichen Farbstoffen nach dem obigen Verfahren, aber ohne Zusatz von (NH₄)₂SiF₆ durchgeführte Garnfärbung ist stark faserunegal und ganz bedeutend schwächer. Die Endflotte ist noch deutlich gefärbt.
Claims (4)
- Mischung enthaltend eine Verbindung der Formel
worin R einen Alkyl- oder Alkenylrest mit 12 bis 22 Kohlenstoffatomen, M Wasserstoff, Alkalimetall oder Ammonium und m und n ganze Zahlen bedeuten, wobei die Summe von m und n 2 bis 14 ist, oder der Formel worin R' unabhängig von R die für R angegebene Bedeutung hat, A ein Anion, Q einen gegebenenfalls substituierten Alkylrest und p und q ganze Zahlen bedeuten, wobei die Summe von p und q 2 bis 50 ist, oder der Formel worin R'' unabhängig von R die für R angegebene Bedeutung hat und x und y ganze Zahlen bedeuten, wobei die Sume von x und y 80 bis 140 ist, eine Mischung enthaltend Verbindungen der Formel (1) und (2) oder eine Mischung enthaltend Verbindungen der Formeln (1), (2) und (3) oder (1a), (2) und (3) sowie 5 bis 25 Gewichtsprozent (NH₄)₂SiF₆ bezogen auf das Gewicht der Verbindungen der Formeln (1), (1a), (2) oder (3) oder deren Mischung. - Mischungen gemäss Anspruch 1, welche eine Verbindung der Formel (1) und eine Verbindung der Formel (2) enthalten.
- Mischungen gemäss Anspruch 1, welche eine Verbindung der Formel (1) (2) und (3) enthalten.
- Mischungen gemäss Anspruch 1, welche eine Verbindung der Formel (1a) (2) und (3) enthalten.
Applications Claiming Priority (2)
| Application Number | Priority Date | Filing Date | Title |
|---|---|---|---|
| CH406186 | 1986-10-10 | ||
| CH4061/86 | 1986-10-10 |
Related Parent Applications (1)
| Application Number | Title | Priority Date | Filing Date |
|---|---|---|---|
| EP87810571.7 Division | 1987-10-05 |
Publications (1)
| Publication Number | Publication Date |
|---|---|
| EP0443631A1 true EP0443631A1 (de) | 1991-08-28 |
Family
ID=4269077
Family Applications (2)
| Application Number | Title | Priority Date | Filing Date |
|---|---|---|---|
| EP91104413A Withdrawn EP0443631A1 (de) | 1986-10-10 | 1987-10-05 | Mischungen von Egalisierhilfsmitteln und Ammoniumfluorosilikat |
| EP87810571A Expired - Lifetime EP0264346B1 (de) | 1986-10-10 | 1987-10-05 | Verfahren zum Färben von Fasermaterial aus natürlichen oder synthetischen Polyamiden mit 1:1-Metallkomplexfarbstoffen |
Family Applications After (1)
| Application Number | Title | Priority Date | Filing Date |
|---|---|---|---|
| EP87810571A Expired - Lifetime EP0264346B1 (de) | 1986-10-10 | 1987-10-05 | Verfahren zum Färben von Fasermaterial aus natürlichen oder synthetischen Polyamiden mit 1:1-Metallkomplexfarbstoffen |
Country Status (11)
| Country | Link |
|---|---|
| US (1) | US4818248A (de) |
| EP (2) | EP0443631A1 (de) |
| JP (1) | JPS63105193A (de) |
| KR (1) | KR960003085B1 (de) |
| AU (1) | AU608778B2 (de) |
| CA (1) | CA1302017C (de) |
| DE (1) | DE3777746D1 (de) |
| ES (1) | ES2030094T3 (de) |
| HK (1) | HK114794A (de) |
| NZ (1) | NZ222093A (de) |
| ZA (1) | ZA877607B (de) |
Cited By (1)
| Publication number | Priority date | Publication date | Assignee | Title |
|---|---|---|---|---|
| EP0593392A1 (de) * | 1992-09-30 | 1994-04-20 | Ciba-Geigy Ag | Verfahren zum Färben von natürlichen und synthetischen Polyamidfasermaterialien mit Farbstoffmischungen |
Families Citing this family (3)
| Publication number | Priority date | Publication date | Assignee | Title |
|---|---|---|---|---|
| DE3928978A1 (de) * | 1989-09-01 | 1991-03-07 | Basf Ag | Ethoxylierte fettsaeureamide |
| JP4724391B2 (ja) * | 2004-07-26 | 2011-07-13 | 純三郎 情野 | 鮮明青緑色の濃色染色方法 |
| EP1777337A1 (de) * | 2005-10-07 | 2007-04-25 | Clariant International Ltd. | Verfahren zum Färben von Polyamidfasern |
Citations (4)
| Publication number | Priority date | Publication date | Assignee | Title |
|---|---|---|---|---|
| US4139425A (en) * | 1978-04-05 | 1979-02-13 | R. O. Hull & Company, Inc. | Composition, plating bath, and method for electroplating tin and/or lead |
| US4284601A (en) * | 1980-08-18 | 1981-08-18 | E. I. Du Pont De Nemours And Company | Surfactant foams and their use |
| EP0163608A1 (de) * | 1984-05-30 | 1985-12-04 | Ciba-Geigy Ag | Verfahren zum Färben von Fasermaterial aus natürlichen oder synthetischen Polyamiden mit 1:1-Metallkomplexfarbstoffen |
| EP0203890A1 (de) * | 1985-05-24 | 1986-12-03 | Ciba-Geigy Ag | Verfahren zum Färben von Fasermaterial aus natürlichen Polyamiden mit Farbstoffmischungen |
Family Cites Families (7)
| Publication number | Priority date | Publication date | Assignee | Title |
|---|---|---|---|---|
| US1372038A (en) * | 1918-08-10 | 1921-03-22 | Kohnstamm & Co H | Dye assistant |
| DE1296600B (de) * | 1963-12-04 | 1969-06-04 | Crompton & Knowles Corp | Farbstoffmischung und Verfahren zum Faerben von Nylonfasern |
| US3630662A (en) * | 1966-09-19 | 1971-12-28 | Celanese Corp | Process of dyeing shaped condensation polymer material in heated two-phase dye liquid |
| US3990842A (en) * | 1975-05-15 | 1976-11-09 | Pennwalt Corporation | Ammonium silicofluoride assisted dyeing |
| EP0089004B1 (de) * | 1982-03-12 | 1986-04-16 | Ciba-Geigy Ag | Verfahren zum Färben von Fasermaterial aus natürlichen Polyamiden |
| US4681596A (en) * | 1984-05-30 | 1987-07-21 | Ciba-Geigy Corporation | Process for dyeing natural or synthetic polyamide fibre materials with 1:1 metal complex dyes or mixtures of dyes with fluoride, fluorosilicate or fluoroborate |
| JPH0616012B2 (ja) * | 1984-05-31 | 1994-03-02 | 富士通株式会社 | ガス濃度測定方式 |
-
1987
- 1987-09-30 US US07/102,942 patent/US4818248A/en not_active Expired - Lifetime
- 1987-10-05 EP EP91104413A patent/EP0443631A1/de not_active Withdrawn
- 1987-10-05 EP EP87810571A patent/EP0264346B1/de not_active Expired - Lifetime
- 1987-10-05 DE DE8787810571T patent/DE3777746D1/de not_active Expired - Lifetime
- 1987-10-05 ES ES198787810571T patent/ES2030094T3/es not_active Expired - Lifetime
- 1987-10-08 NZ NZ222093A patent/NZ222093A/xx unknown
- 1987-10-08 CA CA000548856A patent/CA1302017C/en not_active Expired - Lifetime
- 1987-10-09 JP JP62253952A patent/JPS63105193A/ja active Granted
- 1987-10-09 AU AU79523/87A patent/AU608778B2/en not_active Ceased
- 1987-10-09 ZA ZA877607A patent/ZA877607B/xx unknown
- 1987-10-10 KR KR1019870011227A patent/KR960003085B1/ko not_active Expired - Fee Related
-
1994
- 1994-10-20 HK HK114794A patent/HK114794A/xx not_active IP Right Cessation
Patent Citations (4)
| Publication number | Priority date | Publication date | Assignee | Title |
|---|---|---|---|---|
| US4139425A (en) * | 1978-04-05 | 1979-02-13 | R. O. Hull & Company, Inc. | Composition, plating bath, and method for electroplating tin and/or lead |
| US4284601A (en) * | 1980-08-18 | 1981-08-18 | E. I. Du Pont De Nemours And Company | Surfactant foams and their use |
| EP0163608A1 (de) * | 1984-05-30 | 1985-12-04 | Ciba-Geigy Ag | Verfahren zum Färben von Fasermaterial aus natürlichen oder synthetischen Polyamiden mit 1:1-Metallkomplexfarbstoffen |
| EP0203890A1 (de) * | 1985-05-24 | 1986-12-03 | Ciba-Geigy Ag | Verfahren zum Färben von Fasermaterial aus natürlichen Polyamiden mit Farbstoffmischungen |
Cited By (2)
| Publication number | Priority date | Publication date | Assignee | Title |
|---|---|---|---|---|
| EP0593392A1 (de) * | 1992-09-30 | 1994-04-20 | Ciba-Geigy Ag | Verfahren zum Färben von natürlichen und synthetischen Polyamidfasermaterialien mit Farbstoffmischungen |
| US5356445A (en) * | 1992-09-30 | 1994-10-18 | Ciba-Geigy Corporation | Process for dyeing natural or synthetic polyamide fibre material with dye mixtures |
Also Published As
| Publication number | Publication date |
|---|---|
| DE3777746D1 (de) | 1992-04-30 |
| US4818248A (en) | 1989-04-04 |
| JPS63105193A (ja) | 1988-05-10 |
| KR960003085B1 (ko) | 1996-03-04 |
| ZA877607B (en) | 1988-04-11 |
| JPH0364635B2 (de) | 1991-10-07 |
| ES2030094T3 (es) | 1992-10-16 |
| NZ222093A (en) | 1990-10-26 |
| CA1302017C (en) | 1992-06-02 |
| AU7952387A (en) | 1988-04-14 |
| AU608778B2 (en) | 1991-04-18 |
| KR880005322A (ko) | 1988-06-28 |
| HK114794A (en) | 1994-10-27 |
| EP0264346B1 (de) | 1992-03-25 |
| EP0264346A1 (de) | 1988-04-20 |
Similar Documents
| Publication | Publication Date | Title |
|---|---|---|
| EP0089004B1 (de) | Verfahren zum Färben von Fasermaterial aus natürlichen Polyamiden | |
| EP0202436A2 (de) | Verfahren zum Färben oder Bedrucken von Cellulosefasern oder Cellulosemischfasern | |
| EP1247842A1 (de) | Faserreaktive Anthrachinonfarbstoffe, deren Herstellung und deren Verwendung | |
| DE4209261A1 (de) | Anionische disazoverbindungen | |
| EP0135198B1 (de) | Verfahren zum Färben von Fasermaterial aus synthetischen Polyamiden | |
| EP0425434B1 (de) | Farbstoffmischungen und deren Verwendung | |
| EP0309405B1 (de) | Verfahren zum Färben oder Bedrucken von Fasermaterial aus natürlichen oder synthetischen Polyamiden mit Reaktivfarbstoffen | |
| EP1273694A2 (de) | Verfahren zum Färben oder Bedrucken von cellulosehaltigen Fasermaterialien und neue Reaktivfarbstoffe | |
| EP0163608B1 (de) | Verfahren zum Färben von Fasermaterial aus natürlichen oder synthetischen Polyamiden mit 1:1-Metallkomplexfarbstoffen | |
| EP0548014B1 (de) | Farbstoffmischungen und deren Verwendung | |
| EP0199950A1 (de) | Verfahren zum Färben oder Bedrucken von Hydroxygruppen enthaltenden Fasermaterialien mit neuen faserreaktiven Farbstoffen | |
| EP0264346B1 (de) | Verfahren zum Färben von Fasermaterial aus natürlichen oder synthetischen Polyamiden mit 1:1-Metallkomplexfarbstoffen | |
| DE1910587A1 (de) | Verfahren zum kontinuierlichen Faerben oder Bedrucken von anionisch modifizierten Polyacrylnitril-,Polyamid- und Polyesterfasermaterialien | |
| EP0203890B1 (de) | Verfahren zum Färben von Fasermaterial aus natürlichen Polyamiden mit Farbstoffmischungen | |
| EP0352222B1 (de) | Faserreaktive Formazanfarbstoffe, Verfahren zu deren Herstellung und deren Verwendung | |
| EP0795586A2 (de) | Farbstoffmischungen von faserreaktiven Disazofarbstoffen | |
| EP0730010A1 (de) | Mischungen von Reaktivfarbstoffen für marineblaue Farbtöne | |
| EP0593392B1 (de) | Verfahren zum Färben von natürlichen und synthetischen Polyamidfasermaterialien mit Farbstoffmischungen | |
| EP0474594B1 (de) | Verfahren zum Färben von Wolle und deren Mischungen mit anderen Fasern mit Reaktivfarbstoffen | |
| EP0341206A1 (de) | Faserreaktive Formazanfarbstoffe, Verfahren zu deren Herstellung und deren Verwendung | |
| EP0360735A1 (de) | Verfahren zum Trichromie-Färben oder -Bedrucken | |
| CH649774A5 (de) | Wasserloesliche azoverbindungen. | |
| EP0430878B1 (de) | Farbstoffmischungen und deren Verwendung | |
| DE3427806C2 (de) | ||
| EP0430877B1 (de) | Farbstoffmischungen und deren Verwendung |
Legal Events
| Date | Code | Title | Description |
|---|---|---|---|
| PUAI | Public reference made under article 153(3) epc to a published international application that has entered the european phase |
Free format text: ORIGINAL CODE: 0009012 |
|
| 17P | Request for examination filed |
Effective date: 19910321 |
|
| AC | Divisional application: reference to earlier application |
Ref document number: 264346 Country of ref document: EP |
|
| AK | Designated contracting states |
Kind code of ref document: A1 Designated state(s): BE CH DE ES FR GB IT LI |
|
| 17Q | First examination report despatched |
Effective date: 19931119 |
|
| STAA | Information on the status of an ep patent application or granted ep patent |
Free format text: STATUS: THE APPLICATION IS DEEMED TO BE WITHDRAWN |
|
| 18D | Application deemed to be withdrawn |
Effective date: 19940531 |
























