DE69920555T2 - Tinte, Tintenset, Tintenbehälter, Aufzeichnungseinheit, Bildaufzeichnungsverfahren und Bildaufzeichnungsgerät - Google Patents

Tinte, Tintenset, Tintenbehälter, Aufzeichnungseinheit, Bildaufzeichnungsverfahren und Bildaufzeichnungsgerät Download PDF

Info

Publication number
DE69920555T2
DE69920555T2 DE69920555T DE69920555T DE69920555T2 DE 69920555 T2 DE69920555 T2 DE 69920555T2 DE 69920555 T DE69920555 T DE 69920555T DE 69920555 T DE69920555 T DE 69920555T DE 69920555 T2 DE69920555 T2 DE 69920555T2
Authority
DE
Germany
Prior art keywords
ink
recording
image
recording head
water
Prior art date
Legal status (The legal status is an assumption and is not a legal conclusion. Google has not performed a legal analysis and makes no representation as to the accuracy of the status listed.)
Expired - Lifetime
Application number
DE69920555T
Other languages
English (en)
Other versions
DE69920555D1 (de
Inventor
Koromo Ohta-ku Shirota
Shoji Ohta-ku Koike
Shinichi Ohta-ku Hakamada
Current Assignee (The listed assignees may be inaccurate. Google has not performed a legal analysis and makes no representation or warranty as to the accuracy of the list.)
Canon Inc
Original Assignee
Canon Inc
Priority date (The priority date is an assumption and is not a legal conclusion. Google has not performed a legal analysis and makes no representation as to the accuracy of the date listed.)
Filing date
Publication date
Application filed by Canon Inc filed Critical Canon Inc
Publication of DE69920555D1 publication Critical patent/DE69920555D1/de
Application granted granted Critical
Publication of DE69920555T2 publication Critical patent/DE69920555T2/de
Anticipated expiration legal-status Critical
Expired - Lifetime legal-status Critical Current

Links

Classifications

    • CCHEMISTRY; METALLURGY
    • C09DYES; PAINTS; POLISHES; NATURAL RESINS; ADHESIVES; COMPOSITIONS NOT OTHERWISE PROVIDED FOR; APPLICATIONS OF MATERIALS NOT OTHERWISE PROVIDED FOR
    • C09DCOATING COMPOSITIONS, e.g. PAINTS, VARNISHES OR LACQUERS; FILLING PASTES; CHEMICAL PAINT OR INK REMOVERS; INKS; CORRECTING FLUIDS; WOODSTAINS; PASTES OR SOLIDS FOR COLOURING OR PRINTING; USE OF MATERIALS THEREFOR
    • C09D11/00Inks
    • C09D11/30Inkjet printing inks
    • C09D11/38Inkjet printing inks characterised by non-macromolecular additives other than solvents, pigments or dyes

Landscapes

  • Chemical & Material Sciences (AREA)
  • Life Sciences & Earth Sciences (AREA)
  • Engineering & Computer Science (AREA)
  • Materials Engineering (AREA)
  • Wood Science & Technology (AREA)
  • Organic Chemistry (AREA)
  • Ink Jet Recording Methods And Recording Media Thereof (AREA)
  • Inks, Pencil-Leads, Or Crayons (AREA)

Description

  • Die vorliegende Erfindung betrifft eine Tinte für die Tintenstrahlaufzeichnung, welche auf einem Aufzeichnungsmaterial aufzeichnet, während Tintentropfen als Antwort auf Aufzeichnungssignale aus Öffnungen ausgestoßen werden, sowie ein Tintenset, eine Tintenkartusche, eine Aufzeichnungseinheit, ein Bildaufzeichnungsgerät und ein Bildaufzeichnungsverfahren, welche die Tinte einsetzen.
  • Es wurde herkömmlicher Weise von Tinten mit verschiedenen Zusammensetzungen, wie solchen die für die Tintenstrahlaufzeichnung eingesetzt werden, berichtet oder es wurden solche vorgeschlagen. Insbesondere in den letzten Jahren wurden Tinten studiert und hinsichtlich verschiedener Gesichtspunkte wie etwa deren Zusammensetzungen und deren physikalische Eigenschaften detailliert untersucht, um eine hervorragende Aufzeichnung auf Normalpapier wie etwa einem Kopierpapier, einem Zeitungspapier (reporting paper), Notizbüchern, Briefpapier oder dergleichen, welche gewöhnlicher Weise in Büros eingesetzt werden, sowie auf Gewebe durchzuführen.
  • Ebenso wurden für das Tintenstrahlaufzeichnungsverfahren verschiedene Modi vorgeschlagen, einschließlich einem Modus, welcher kontinuierlich elektrisch geladene Flüssigkeitstropfen erzeugt und einen Teil der flüssigen Tropfen für die Aufzeichnung einsetzt, einem anderen Modus, welcher Signale an einen Aufzeichnungskopf mit einem piezoelektrischem Element überträgt und die Aufzeichnung durch Ausstoßen einer Aufzeichnungsflüssigkeit als Antwort auf die Signale durchführt, und noch einem weiteren Modus, welcher Wärmeenergie entsprechend den Aufzeichnungssignalen an eine Aufzeichnungsflüssigkeit, die in einer Kammer in einem Aufzeichnungskopf enthalten ist, zur Verfügung stellt und die Aufzeichnung durch Ausstoßen der Aufzeichnungsflüssigkeit durchführt. Zum Beispiel offenbart die offengelegte Japanische Patentanmeldung Nr. 54-59936 ein Tintenstrahlaufzeichnungsverfahren, in welchem eine Tinte durch Verwendung eines durch Wärmeenergie erzeugten Tintenblasen-Phänomens ausgestoßen wird. Das Verfahren ermöglicht eine hohe Integration der Öffnungen, durch welche die Tinte ausgestoßen wird (hierin nachstehend als Öffnungen bezeichnet) oder ermöglicht die Anordnung der Öffnungen mit einer hohen Dichte, und dadurch ist es momentan eines der am meisten eingesetzten Tintenstrahlaufzeichnungsverfahren. Als eine der bevorzugten Eigenschaften für die Tinte für das Tintenstrahlaufzeichnungsverfahren können die Eigenschaft zur möglichst guten Verhinderung der Verstopfung der Öffnungen erwähnt werden, was eine ungenügende Tintenausstoßung oder keine Tintenausstoßung verursachen kann, wenn die Aufzeichnung nach einer Unterbrechung der Aufzeichnung gestartet wird.
  • Als ein momentaner Trend bezüglich des Tintenstrahlaufzeichnungsverfahrens wurden intensive Forschungen und Entwicklungen zur Erzielung viel kleinerer Durchmesser der Öffnungen durchgeführt, um die Forderung nach Bildern mit einer höheren Qualität zu erfüllen. Zusätzlich werden die Umgebungen für ihren Einsatz vielfältiger, weil sich Tintenstrahlaufzeichnungsgeräte durchsetzen. Auf der Basis der bisher durchgeführten Forschungen erkannten die Erfinder der vorliegenden Erfindung, dass es wichtig war, die vorstehend erwähnten Tinteneigenschaft für den Trend und für vielfältigere Anwendungen für eine stabilere Tintenstrahlaufzeichnung anzupassen.
  • Auf der Basis dieser Erkenntnis untersuchten die Erfinder wiederholtermaßen eine Tinte mit wasserlöslichen färbenden Materialien (zum Beispiel eine Tinte, welche ein wasserlösliches färbendes Material und ein wasserlösliches organisches Lösungsmittel wie etwa Glykol enthält, das heißt, eine Tinte, welche hauptsächlich momentan als Tintenzusammensetzung eingesetzt wird, und Zusammensetzungen mit wasserlöslichen färbenden Materialien besitzt). Als Ergebnis fanden die Erfinder, dass die Tinte kaum ausgestoßen werden kann oder dazu neigt, ein Phänomen der ungenauen Wiederausstoßung (zum Beispiel ein Phänomen, dass Tintenauftreffpunkte abweichen, oder ein Phänomen, dass Tinte spritztn) nach der Aufzeichnungsunterbrechung zu zeigen, wenn zum Beispiel die Temperatur gering ist oder die Durchmesser der Öffnungen kleiner sind. Obwohl ein Grund für diese Tendenzen nicht geklärt ist, liefern die bisher durchgeführten Untersuchungen Ergebnisse, dass die Komponenten wie etwa Wasser, welche einen relativ geringen Dampfdruck der wässrigen Tinte besitzen, von der in den Öffnungen enthaltenen wässrigen Tinte durch die Öffnungen verdampft werden, um dadurch die Konzentration der Komponenten wie etwa der wasserlöslichen organischen Lösungsmittel, welche einen relativ hohen Dampfdruck besitzen, in der in den Öffnungen enthaltenen Tinte ansteigt, und für den Fall dass das wasserlösliche färbende Material eine höhere Affinität mit einem organischen Lösungsmittel als zu Wasser besitzt, wird angenommen, dass die Konzentration des färbenden Materials in der in den Öffnungen enthaltenen wässrigen Tinte höher als die erwartete Konzentration wird, was dazu führt, dass die Verdampfung von Wasser oder dergleichen resultiert, wodurch eine Viskosität der in den Öffnungen enthaltenen Tinte höher als ein von Fachleuten erwarteten Niveau wird. Es wird angenommen, dass der unerwartete Anstieg der Konzentration des färbenden Materials zu Schwierigkeiten bei der Tintenwiederausstoßbarkeit führt, insbesondere wenn der Kopf in einer Umgebung niedriger Temperatur platziert ist, in welcher die Viskosität der Tinte weiter erhöht ist oder bei einem Aufzeichnungskopf, der mit kleineren Öffnungen versehen ist, dessen Ausstoßungskraft aus den Öffnungen relativ klein ist.
  • Die EP-A-0 769 536 offenbart eine Tintenstrahltinte, die einen wässrigen Farbstoff und Wasser und ein oberflächenaktives Mittel mit einer speziellen Struktur umfasst. Ferner umfasst die Tinte der D1 ein flüssiges Medium, welches Wasser ist, entweder alleine oder zusätzlich zu einem wassermischbaren organischen Lösungsmittel mit einer hohen Feuchtigkeitsrückhaltenden Eigenschaft, um eine zuverlässige Tinte zu erhalten.
  • Die EP-A-0 779 344 offenbart eine Tintenstrahltinte, die ein Aufzeichnungsmittel und ein flüssiges Medium umfasst, welches das Aufzeichnungsmittel darin löst und/oder dispergiert, wobei die Tinte Phytinsäure und/oder ein Salz davon enthält.
  • Eine Aufgabe der vorliegenden Erfindung ist es deshalb, eine Tinte bereitzustellen, welche nach einer Pause der Aufzeichnung selten aus den Öffnungen nicht wiederausgestoßen werden kann, und zwar selbst bei der Verwendung in verschiedenartigen Umgebungen oder selbst wenn die Durchmesser der Öffnungen weiter reduziert worden sind.
  • Eine weitere Aufgabe der vorliegenden Erfindung ist es, ein Bilderzeugungsverfahren bereitzustellen, welches stabil hochqualitative Bildern ausbilden kann, und zwar selbst bei der Verwendung in verschiedenartigen Umgebungen, oder stabil seinen Effekt zeigen kann, selbst wenn die Durchmesser der Öffnungen zur Erhöhung der Qualität der aufgezeichneten Bilder fein reduziert worden sind.
  • Eine weitere Aufgabe der vorliegenden Erfindung ist es, ein Bilderzeugungsgerät bereitzustellen, welches eine stabile Aufzeichnung von hochqualitativen Bildern ermöglicht, und zwar selbst bei der Verwendung in verschiedenartigen Umgebungen, oder stabil seinen Effekt zeigen kann, selbst wenn die Durchmesser der Öffnungen zur Steigerung der Qualität der Bilder fein reduziert worden sind, sowie eine Tintenkartusche, ein Tintenset und eine Aufzeichnungseinheit, welche in dem Bilderzeugungsgerät einsetzbar sind, bereitzustellen.
  • Gemäß einem ersten Gesichtspunkt der vorliegenden Erfindung wird eine Tinte mit einem wasserlöslichen färbenden Material und einem wässrigen Lösungsmittel bereitgestellt, wobei die Tinte ferner Bis-Hydroxyethylsulfon und Harnstoff in den Mengen enthält, wie sie in Anspruch 1 definiert.
  • Gemäß einem weiteren Gesichtspunkt der vorliegenden Erfindung wird ein Bildaufzeichnungsverfahren vorgesehen, welches einen Schritt des Aufbringens einer Tinte auf eine Bilderzeugungsregion eines Aufzeichnungsmediums umfasst, wobei die Tinte wie in Anspruch 1 oder 2 definiert ist.
  • Gemäß einem weiteren Gesichtspunkt der vorliegenden Erfindung wird ein Bildaufzeichnungsgerät bereitgestellt, welches eine Aufzeichnungseinheit umfasst, die einen Tintenbehälterabschnitt mit einer Tinte gemäß Anspruch 1 oder 2, Einrichtungen zur Aufbringung der Tinte auf ein Aufzeichnungsmedium, Einrichtungen zur Zuführung der Tinte zu diesen Einrichtungen und Einrichtungen zum Betreiben der Einrichtungen für das Aufbringen der Aufzeichnungstinte auf das Aufzeichnungsmedium als Antwort auf ein Aufzeichnungssignal umfasst.
  • Gemäß einem weiteren Gesichtspunkt der vorliegenden Erfindung wird ein Tintenset bereitgestellt, das eine Kombination einer ersten Tinte gemäß Anspruch 1 oder 2 und einer zweiten Tinte mit einem zweiten färbenden Material umfasst, wobei das erste und das zweite färbende Material Farben besitzen, welche aus der aus gelb, magenta, cyan, schwarz, rot, blau und grün bestehenden Gruppe ausgewählt sind.
  • Gemäß einem weiteren Gesichtspunkt der vorliegenden Erfindung wird eine Tintenkartusche bereitgestellt, die einen Tintenbehälterabschnitt mit einer Tinte gemäß Anspruch 1 oder 2 umfasst.
  • Gemäß einem weiteren Gesichtspunkt der vorliegenden Erfindung wird eine Aufzeichnungseinheit bereitgestellt, die einen Tintenbehälterabschnitt mit einer Tinte gemäß Anspruch 1 oder 2, Einrichtungen zur Aufbringung einer Tinte auf ein Aufzeichnungsmedium und Einrichtungen zur Zuführung der Tinte zu der Einrichtung zur Aufbringung einer Tinte auf ein Aufzeichnungsmedium umfasst.
  • Gemäß diesen Ausführungsformen der vorliegenden Erfindung ist es möglich, eine Wiederausstoßungsfähigkeit der wässrigen Tinte mit einem wasserlöslichem färbenden Material in verschiedenartigen Aufzeichnungsumgebungen zu stabilisieren, selbst falls die Durchmesser der Öffnungen fein reduziert worden sind.
  • Gemäß einem weiteren Gesichtspunkt der vorliegenden Erfindung wird ein Tintenaufzeichnungsverfahren vorgesehen, das die folgenden Schritte umfasst: Bereitstellen eines Tintenaufzeichnungsgeräts, umfassend a) eine Aufzeichnungseinheit, die mit i) einem Tintenbehälterabschnitt mit einer Tinte, ii) einem Aufzeichnungskopf zur Ausstoßung der Tinte aus einer Öffnung auf das Aufzeichnungsmedium, und iii) Einrichtungen zur Zuführung der Tinte aus dem Tintenbehälterabschnitt zu dem Aufzeichnungskopf versehen ist; und b) Einrichtungen zum Betreiben des Aufzeichnungskopfes zur Ausstoßung der Tinte auf ein Aufzeichnungsmedium als Antwort auf ein Aufzeichnungssignal; und Betreiben des Bildaufzeichnungsgeräts, Ausstoßen der Tinte aus einer Öffnung und Anhaften der Tinte auf eine Bildaufzeichnungsregion auf einem Aufzeichnungsmedium, wobei die Tinte wie in Anspruch 1 oder 2 definiert ist, und wobei die Öffnung eine Größe aufweist, dass sie zur Ausstoßung von 0,1 bis 40 Picolitern Tinte mit einer Ausstoßungsoperation fähig ist.
  • Diese Ausführungsform ermöglicht eine stabile Aufzeichnung von hoch aufgelösten Bildern.
  • Gemäß einem weiteren Gesichtspunkt der vorliegenden Erfindung wird ein Aufzeichnungsgerät bereitgestellt, welches das folgende umfasst: a) eine Aufzeichnungseinheit, die mit i) einem Tintenbehälterabschnitt mit einer Tinte gemäß Anspruch 1 oder 2, ii) einem Aufzeichnungskopf zur Ausstoßung einer Tinte aus einer Öffnung auf ein Aufzeichnungsmedium, und iii) Einrichtungen zur Zuführung der Tinte in dem Tintenbehälterabschnitt zu dem Aufzeichnungskopf versehen ist; und b) Einrichtungen zur Ermöglichung der Ausstoßung der Tinte aus der Aufzeichnungseinheit als Antwort auf ein Aufzeichnungssignal, wobei die Öffnung eine Größe besitzt, die zur Ausstoßung von 0,1 bis 40 Picolitern Tinte mit einer Ausstoßungsoperation fähig ist.
  • Gemäß einem noch weiteren Gesichtspunkt der vorliegenden Erfindung wird eine Aufzeichnungseinheit bereitgestellt, die einen Tintenbehälterabschnitt mit einer Tinte gemäß Anspruch 1 oder 2, einen Aufzeichnungskopf zur Ausstoßung der aufzuzeichnenden Tinte aus einer Öffnung auf ein Aufzeichnungsmedium, und Einrichtungen zur Zuführung der Tinte in den Tintenbehälterabschnitt zu dem Aufzeichnungskopf umfasst; wobei die Öffnung eine Größe besitzt, die zur Ausstoßung von 0,1 bis 40 Picolitern Tinte mit einer einzigen Ausstoßungsoperation fähig ist.
  • Diese Ausführungsformen ermöglichen eine stabile Aufzeichnung eines Bildes mit einer bemerkenswert hohen Qualität.
  • Obwohl der Grund dafür, dass jede der Aufgaben der vorliegenden Erfindung durch jede der vorstehend beschriebenen Ausführungsformen erreicht werden kann, nicht klar ist, wird jedoch angenommen, dass Bis-Hydroxyethylsulfon bei normaler Temperatur ein Feststoff ist und in einer wachsartigen Bedingung abgetrennt wird, wenn es in einem wässrigen Medium in einem Verhältnis von über 80 Gew.-% enthalten ist, wodurch dieses Phänomen mikroskopisch ebenso in der in den Öffnungen enthaltenen Tinte auftritt, wenn das Wasser verdampft ist. Ferner erhöht Harnstoff die Affinität zwischen Wasser und einem wasserlöslichen Farbstoff merklich, und somit wird angenommen, dass die Koexistenz von Bis-Hydroxyethylsulfon und Harnstoff den Effekt der Unterdrückung der Verdampfung von Wasser in der Tinte aus den Öffnungen aufgrund der Abtrennung von BHES in der in den Öffnungen enthaltenen Tinte multipliziert, und zwar durch einen Effekt zur Unterdrückung der abrupten Erhöhung einer Farbstoffkonzentration in der Tinte in der Nähe der Öffnungen.
  • Die offengelegte Japanische Patentanmeldung Nr. 6-271798 offenbart eine Tinte mit Bis-Hydroxyethylsulfon und offenbart, dass ein Ausbluten und eine langsame Trocknungseigenschaft der Tinte auf dem Aufzeichnungsmedium (zum Beispiel Papier, Gewebe oder dergleichen) verbessert ist, wenn eine Tintenstrahlaufzeichnung unter Verwendung der Tinte durchgeführt wird. Ferner wird gesagt, dass die Tinte eine gesteigerte Ausstoßungs stabilität besitzt. Jedoch gibt es in diesem Patent keine Offenbarung der vorstehend beschriebenen technischen Probleme, und die Erfindung legt nicht den mit der erfindungsgemäßen Tinte erhaltenen Effekt dar und schlägt diesen auch nicht vor.
  • Ferner offenbart die offengelegte Japanische Patentanmeldung Nr. 8-127981 eine Tinte für den Textildruck mittels eines Tintenstrahlverfahrens, welche einen dispergierten Farbstoff und ein wässriges Medium enthält, und zu welcher Bis-Hydroxyethylsulfon und ein Derivat davon hinzugegeben worden sind. Zusätzlich wird beschrieben, dass Harnstoff hinzugegeben werden kann. Das vorstehend erwähnte technische Problem ist jedoch nicht offenbart, und dieses Patent gibt ebenso keinen Hinweis selbst auf die vorstehend beschriebenen technischen Probleme, spricht nicht von der erfindungsgemäßen Tinte und schlägt auch nicht den mit der Tinte erhaltenen Effekt vor.
  • Kurzbeschreibung der Zeichnungen
  • 1 ist ein Längsschnitt, der eine Ausführungsform eines Kopfes des Tintenstrahlaufzeichnungsgeräts gemäß der vorliegenden Erfindung veranschaulicht;
  • 2 ist eine Schnittansicht entlang der Linie 2-2 in 1;
  • 3 ist ein schematisches Diagramm, welches Mehrfachköpfe veranschaulicht;
  • 4 ist eine schematische perspektivische Ansicht, die eine Ausführungsform des Tintenstrahlaufzeichnungsgeräts gemäß der vorliegenden Erfindung zeigt;
  • 5 ist ein Längsschnitt, der eine Ausführungsform der Tintenkartusche veranschaulicht;
  • 6 ist eine schematische perspektivische Ansicht, die exemplarisch einen weiteren Aufbau des Kopfes des Tintenstrahlaufzeichnungsgeräts veranschaulicht;
  • 7 ist ein schematisches Diagramm, welches einen Aufzeichnungskopf, an den vier Tintenkartuschen angebracht sind, veranschaulicht; und
  • 8 ist ein schematisches Diagramm, welches einen Aufbau veranschaulicht, in der vier Aufzeichnungsköpfe auf einem Träger angeordnet sind.
  • (Tinte)
  • Die erfindungsgemäße Tinte umfasst ein wasserlösliches färbendes Material, Bis-Hydroxyethylsulfon (BHES) und Harnstoff in einem wässrigen Lösungsmittel in den Mengen wie sie in Anspruch 1 definiert sind.
  • (BHES und seine Zugabemenge)
  • BHES hat eine Struktur, die durch die nachstehend gezeigte Strukturformel (I) ausgedrückt ist, und ist kommerziell erhältliches BHES, welches mittels herkömmlicher Verfahren synthetisiert worden ist.
  • Figure 00090001
  • Der Gehalt an BHES in der Tinte relativ zu dem Gesamtgewicht der Tinte liegt bei 1 bis 20 Gew.-%.
  • (Harnstoff)
  • Kommerziell erhältlicher Harnstoff, welcher durch herkömmliche Verfahren synthetisiert worden ist, ist einsetzbar.
  • Der Gehalt an Harnstoff in der Tinte liegt bei 0,1 bis 15 Gew.-%, relativ zu dem Gesamtgewicht der Tinte.
  • Ferner liegt der Gesamtgehalt an BHES und Harnstoff in der Tinte bei 1,1 bis 30 Gew.-%, relativ zu dem Gesamtgewicht der Tinte. Falls die Tinte BHES und Harnstoffen in den Mengen innerhalb der vorstehend spezifizierten Bereiche enthält, kann die Tinte einen der erfindungsgemäßen Effekte zeigen, das heißt, eine Wiederausstoßungsfähigkeit, welche weniger von den Umgebungsbedingungen bei der Verwendung abhängig ist und selbst dann ausgezeichnet ist, wenn der Durchmesser einer Ausstoßungsdüse reduziert worden ist. Ferner ermöglichen die Gehalte an BHES und Harnstoff innerhalb der vorstehend spezifizierten Bereiche eine Reduzierung der Trockenheit eines Bildes auf ein vernachlässigbares Niveau, wenn es auf einem Papier durch ein Tintenstrahlverfahren aufgezeichnet worden ist.
  • (Gehalt an wasserlöslichem organischen Lösungsmittel in der Tinte)
  • Der Gehalt des vorstehend erwähnten wasserlöslichen organischen Lösungsmittels liegt im Allgemeinen innerhalb eines Bereichs von 0 bis 50 Gew.-% und bevorzugt von 0,2 bis 45 Gew.-%, relativ zum Gesamtgewicht der Tinte. Ein wasserlösliches organisches Lösungsmittel kann alleine oder als eine Mischung eingesetzt werden, wenn ein Medium wie etwa das vorstehend erwähnte in Kombination eingesetzt wird, und bevorzugte wasserlösliche organische Lösungsmittel sind einwertige Alkohole, ein Keton, Glycerin, Ethylenglykol, Diethylenglykol, Triethylenglykol, Tetraethylenglykol, Thiodiglykol, Propylenglykol, Dipropylenglykol und deren Derivate (insbesondere Alkylether). Ferner können, falls nötig, verschiedene Arten von Antischäumungsmitteln, Viskositätsmodifikationsmitteln, Oberflächenspannungsmodifikationsmittel, pH-Wert-Modifikationsmittel oder dergleichen zu der erfindungsgemäßen Tinte hinzugegeben werden.
  • (Farbstoff)
  • Als wasserlösliche färbende Materialien sind herkömmlicher Weise bekannte wasserlösliche Farbstoffe, zum Beispiel wasserlösliche anionische Farbstoffe, Direktfarbstoffe, saure Farbstoffe und Reaktivfarbstoffe einsetzbar.
  • (Konkrete Beispiele von wasserlöslichen Farbstoffen)
  • Nachstehend sind Beispiele von Farbstoffen erwähnt, welche als wasserlösliche Farbstoffe, die anionische Gruppen enthalten, einsetzbar sind.
  • (Schwarze Tinte)
  • Farbstoffe, die in einer schwarzen Tinte einsetzbar sind, sind zum Beispiel die folgenden: C.I. Direct Black 17, C.I. Direct Black 19, C.I. Direct Black 22, C.I. Direct Black 31, C.I. Direct Black 32, C.I. Direct Black 51, C.I. Direct Black 62, C.I. Direct Black 71, C.I. Direct Black 74, C.I. Direct Black 112, C.I. Direct Black 113, C.I. Direct Black 154, C.I. Direct Black 168, C.I. Acid Black 2, C.I. Acid Black 48, C.I. Acid Black 51, C.I. Acid Black 52, C.I. Acid Black 110, C.I. Acid Black 115, C.I. Acid Black 156, C.I. Reactive Black 1, C.I. Reactive Black 8, C.I. Reactive Black 12, C.I. Reactive Black 13, C.I. Food Black 1 und C.I. Food Black 2.
  • (Gelbe Tinte)
  • Farbstoffe, die in einer gelben Tinte einsetzbar sind, sind zum Beispiel die folgenden: C.I. Acid Yellow 11, C.I. Acid Yellow 17, C.I. Acid Yellow 23, C.I. Acid Yellow 25, C.I. Acid Yellow 29, C.I. Acid Yellow 42, C.I. Acid Yellow 49, C.I. Acid Yellow 61, C.I. Acid Yellow 71, C.I. Direct Yellow 12, C.I. Direct Yellow 24, C.I. Direct Yellow 26, C.I. Direct Yellow 44, C.I. Direct Yellow 86, C.I. Direct Yellow 87, C.I. Direct Yellow 98, C.I. Direct Yellow 100, C.I. Direct Yellow 130 und C.I. Direct Yellow 142.
  • (Magentafarbene Tinte)
  • Farbstoffe, welche in einer magentafarbenen Tinte einsetzbar sind, sind zum Beispiel die folgenden: C.I. Acid Red 1, C.I. Acid Red 6, C.I. Acid Red 8, C.I. Acid Red 32, C.I. Acid Red 35, C.I. Acid Red 37, C.I. Acid Red 51, C.I. Acid Red 52, C.I. Acid Red 80, C.I. Acid Red 85, C.I. Acid Red 87, C.I. Acid Red 92, C.I. Acid Red 94, C.I. Acid Red 115, C.I. Acid Red 180, C.I. Acid Red 254, C.I. Acid Red 256, C.I. Acid Red 289, C.I. Acid Red 315, C.I. Acid Red 317, C.I. Direct Red 1, C.I. Direct Red 4, C.I. Direct Red 13, C.I. Direct Red 17, C.I. Direct Red 23, C.I. Direct Red 28, C.I. Direct Red 31, C.I. Direct Red 62, C.I. Direct Red 79, C.I. Direct Red 81, C.I. Direct Red 83, C.I. Direct Red 89, C.I. Direct Red 227, C.I. Direct Red 240, C.I. Direct Red 242 und C.I. Direct Red 243.
  • (Cyanfarbene Tinte)
  • Farbstoffe, welche in einer cyanfarbenen Tinte einsetzbar sind, sind zum Beispiel die folgenden: C.I. Acid Blue 9, C.I. Acid Blue 22, C.I. Acid Blue 40, C.I. Acid Blue 59, C.I. Acid Blue 93, C.I. Acid Blue 102, C.I. Acid Blue 104, C.I. Acid Blue 113, C.I. Acid Blue 117, C.I. Acid Blue 120, C.I. Acid Blue 167, C.I. Acid Blue 229, C.I. Acid Blue 234, C.I. Acid Blue 254, C.I. Direct Blue 6, C.I. Direct Blue 22, C.I. Direct Blue 25, C.I. Direct Blue 71, C.I. Direct Blue 78, C.I. Direct Blue 86, C.I. Direct Blue 90, C.I. Direct Blue 106 und C.I. Direct Blue 199.
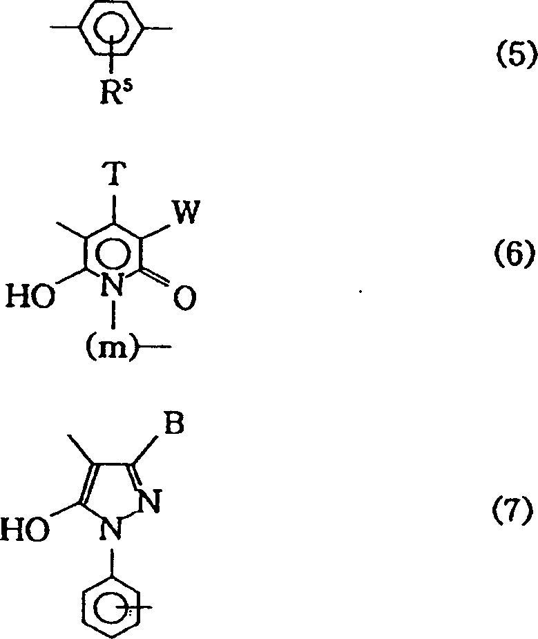
  • Ein Farbstoff, welcher eine oder mehrere -COOM-Gruppen (M steht für ein Alkalimetall, Ammonium oder ein organisches Ammonium) in einem Molekül besetzt, ist ein weiteres Beispiel eines bevorzugt einsetzbaren wasserlöslichen Farbstoffs. Genauer gesagt können Farbstoffe erwähnt werden, welche durch die folgenden allgemeinen Formeln (II) bis (V) ausgedrückt werden können:
    Figure 00120001
    [worin die Bezugssymbole A und B für Hydroxylgruppen oder Wasserstoffatome stehen, das Bezugssymbol C ein Wasserstoffatom oder SO3M kennzeichnet und das Bezugssymbol D für SO3M steht]
    Figure 00130001
    [worin das Bezugssymbol G für eine Gruppe steht, welche durch irgendeine der folgenden Strukturformeln (1) bis (4) ausgedrückt wird:]
    Figure 00130002
  • Das Bezugssymbol Z steht für NHCH2CH2OH, N(CH2CH2OH)2 oder dergleichen und das Bezugssymbol R oder R1, das in den Strukturformen (1) bis (4) benutzt wird, kennzeichnet H, eine Niederalkylgruppe oder dergleichen.
    Figure 00130003
    [worin das Bezugssymbol J für eine Gruppe steht, welche durch irgendeine der folgenden Strukturformeln (5) bis (7) ausgedrückt wird:)
    Figure 00140001
  • Das Bezugssymbol L steht für die folgende Strukturformel (8) oder (9): -CH2CH2- (8)
    Figure 00140002
  • Das Bezugssymbol X steht für eine Gruppe, welche durch irgendeine der folgenden Strukturformeln (10) bis (12) ausgedrückt wird:
    Figure 00140003
  • Die Bezugssymbole R1 bis R4 stehen für -H, eine Niederalkylgruppe oder dergleichen. In den vorstehend erwähnten Strukturformeln (5) bis (12) steht das Bezugssymbol B für -H oder -COOH, kennzeichnet das Bezugssymbol W -H, -CN, eine Amidgruppe, eine Pyridiniumgruppe oder -COOH, steht das Bezugssymbol m für eine Zahl von 1 bis 8, steht das Bezugssymbol Z für eine Alkoxygruppe, -OH, eine Alkylaminogruppe, -NH2 oder dergleichen, steht das Bezugssymbol Y für -H, -Cl oder -CN, steht das Bezugssymbol E für -Cl oder -CN und steht das Bezugssymbol R5 für -H, eine Niederalkylgruppe oder dergleichen.
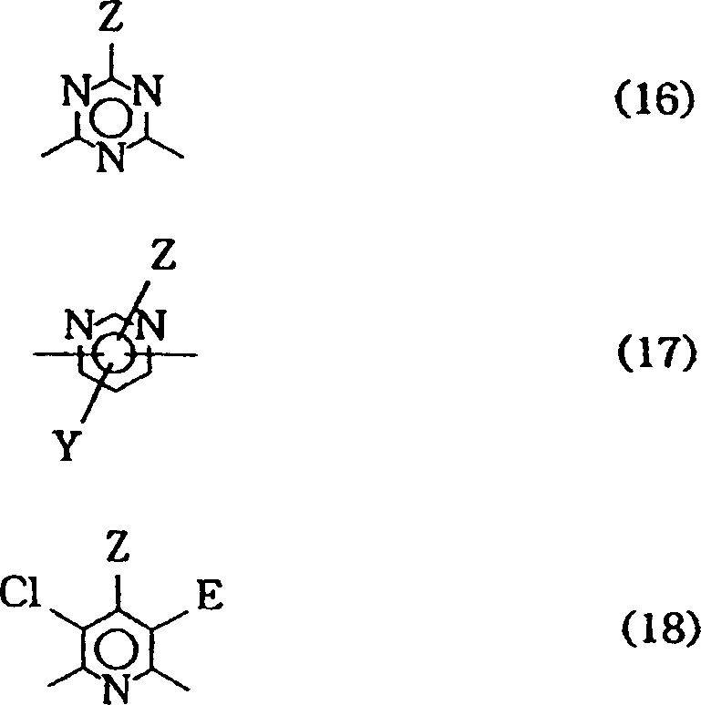
    Figure 00150001
    [worin das Bezugssymbol J für die folgende Strukturformel (13) steht:]
    Figure 00150002
  • Das Bezugssymbol L steht für die folgende Strukturformel (14) oder (15): -CH2CH2- (14)
    Figure 00150003
  • Das Bezugssymbol X steht für irgendeine der folgenden Strukturformeln (16) bis (18):
    Figure 00150004
  • Das Bezugssymbol R1 oder R2 steht für -H oder eine Niederalkylgruppe, und in den vorstehend erwähnten Strukturformeln (14) bis (18) steht das Bezugssymbol Z für eine Alkoxygruppe, -OH, eine ALkylaminogruppe, -NH2 oder dergleichen, steht das Bezugssymbol Y für -H, -Cl oder -CN und steht das Bezugssymbol E für -Cl oder -CN.
  • (Gehalt an Farbstoff)
  • Obwohl der Gehalt des wasserlöslichen Farbstoffs in der Tinte nicht besonders beschränkt ist, ist der Gehalt an wasserlöslichem Farbstoff von 0,1 bis 15 Gew.-% und insbesondere innerhalb eines Bereichs von 1 bis 10 Gew.-%, relativ zu dem Gesamtgewicht der Tinte als Standard, bevorzugt, da es ein solcher Gehalt es ermöglicht, ein Bild mit einer hinreichenden Dichte aufzuzeichnen, und verhindert, dass die Viskosität der Tinte von einem Bereich abweicht, in dem die Tinte normal mittels dem Tintenstrahlaufzeichnungsverfahren ausgestoßen werden kann.
  • (Wässriges Medium)
  • Das wässrige Medium wird eingesetzt, um das BHES, den Harnstoff und das wasserlösliche färbende Material in einem gelösten Zustand zu halten, um dadurch die Tinte aufzubauen. Es ist bevorzugt, dass das wässrige Medium wenigstens Wasser als einen Inhaltsstoff enthält.
  • (Gehalt an Wasser)
  • Es ist bevorzugt, dass der Gehalt an Wasser relativ zu dem Gesamtgewicht der Tinte zum Beispiel bei 20 bis 95 Gew.-%, insbesondere bei 40 bis 95 Gew.-% und bevorzugt bei 60 bis 95 Gew.-% liegt.
  • (Wasserlösliches organisches Lösungsmittel)
  • Ein wasserlösliches organisches Lösungsmittel kann in dem wässrigen Medium enthalten sein. Die Löslichkeit einer jeden Komponente der Tinte kann gesteigert werden und die Viskosität kann zum Beispiel durch Verwendung von wasserlöslichen organischen Lösungsmitteln, welche nachstehend aufgelistet sind, eingestellt werden. Die wasserlöslichen organischen Lösungsmittel sind einwertige Alkohole wie etwa Methanol, Ethanol und Isopropylalkohol, Ketone oder Keto-Alkohole wie etwa Aceton und Diacetonalkohol; Ether wie etwa Tetrahydrofuran und Dioxan; Additionspolymere aus Oxyethylen oder Oxypropylen wie etwa Diethylenglykol, Triethylenglykol, Tetraethylenglykol, Dipropylenglykol, Tripropylenglykol, Polyethylenglykol und Polypropylenglykol; Alkylenglykole mit einer Alkylengruppe, die 2 bis 6 Kohlenstoffatome enthält, wie etwa Ethylenglykol, Propylenglykol, Trimethylenglykol, Butylenglykol und Hexylenglykol; Triole wie etwa 1,2,6-Hexantriol; Thiodiglykol; Glyzerin; Niederalkylether von Polyalkoholen wie etwa Ethylenglykolmonomethylether (oder Ethylenglykolmonoethylether), Diethylenglykolmonomethylether (oder Diethylenglykolmonoethylether) und Triethylenglykolmonomethylether (oder Triethylenglykolmonoethylether); Niederdialkylether von Polyalkoholen wie etwa Triethylenglykoldimethylether (oder Triethylenglykoldiethylether) und Tetraethylenglykoldimethylether (oder Tetraethylenglykoldiethylether); Sulfolan, N-Methyl-2-pyrrolidon, 2-Pyrrolidon und 1,3-Dimethyl-2-imidazolidinon.
  • (Gehalt an wasserlöslichem organischen Lösungsmittel)
  • Der Gehalt des wasserlöslichen organischen Lösungsmittels liegt zum Beispiel innerhalb eines Bereichs von 1 bis 30 Gewichtsprozent und insbesondere bei 1 bis 20 Gewichtsprozent, relativ zu dem Gesamtgewicht der Tinte.
  • (Anwendung der Tinte in einem Tintenstrahlaufzeichnungsverfahren)
  • Die vorstehend beschriebene Tinte wird für das Tintenstrahlaufzeichnungsverfahren eingesetzt, welches die Tinte mittels Wärmeenergie oder mechanischer Energie über eine Düse auf ein Aufzeichnungsmedium ausstößt und es erübrigt sich zu erwähnen, dass sie in anderen Tintenstrahlaufzeichnungsverfahren einsetzbar ist.
  • Wenn es erwünscht ist, die Tinte insbesondere für die Tintenstrahlaufzeichnung geeignet zu machen, werden die Mischverhältnisse unter den aus den vorstehend erwähnten Materialien ausgewählten Komponenten der Tinte in dem Mischschritt derart eingestellt, dass die Tinte eine Oberflächenspannung von 30 bis 68 dyn/cm und eine Viskosität von nicht mehr als 15 cP, insbesondere 10 cP und weiter bevorzugt 5 cP bei einer Tintentemperatur von 25°C besitzt, wodurch die Tinte eine Tintenstrahlausstoßeigenschaft besitzt, welche insbesondere zur Aufzeichnung von hochqualitativen Bildern geeignet ist. Die in den später beschriebenen Beispielen 1 bis 7 erhaltene Tinte kann zum Beispiel als eine Tinte mit einer konkreten Zusammensetzung zur Erzielung solcher Eigenschaften erwähnt werden.
  • (Gerät)
  • Es wird nachstehend das Tintenstrahlaufzeichnungsgerät beschrieben, in dem die Tinte eingesetzt werden kann, und dadurch ein Bildaufzeichnungsverfahren.
  • (Aufbau des Tintenkopfes)
  • 1 ist eine schematische Schnittansicht entlang der Längsrichtung einer Öffnung einer Ausführungsform eines Kopfes, eine der Hauptkomponenten eines Tintenstrahlaufzeichnungsgeräts eines Typs, welcher Tinte unter Verwendung von Wärmeenergie ausstößt. Ferner ist 2 eine Schnittansicht entlang der Linie 2-2 aus 1. In den 1 und 2 wird ein Kopf 13 durch Zementieren eines Glas-, eines Keramik- oder Kunststoffblatts oder dergleichen, welches einen Tintendurchgangsschlitz 14 besitzt, auf einen exothermen Kopf (der gezeigte Kopf ist nicht beschränkend), erhalten. Der exotherme Kopf 15 besteht aus einem Schutzfilm 16, der aus einem Siliziumoxid oder dergleichen hergestellt ist, aus Aluminiumelektroden 17-1 und 17-2, einer exothermen Widerstandsschicht 18, die aus einer Nickel-Chrom-Legierung oder dergleichen hergestellt ist, einer Wärmeakkumulationsschicht 19 und einem Substrat 20, das aus Aluminiumoxid oder dergleichen mit einer hohen Wärmeableitungseigenschaft hergestellt ist. Eine Tinte 21 hat eine Öffnung (einen dünnen Schlitz) 22 erreicht und bildet unter einem vorbestimmten Druck P einen Miniskus 23 aus. Wenn elektrische Signale an die Elektroden 17-1 und 17-2 angelegt werden, erzeugt die durch das Bezugssymbol n gekennzeichnete Region des exothermen Kopfes 15 abrupt Wärme, so dass dadurch die Tinte 21, welche in Kontakt mit dieser Region steht, aufgeschäumt wird, der Miniskus 23 wölbt sich unter einem Druck vor, die Tinte 21 wird aufgeschäumt und wird aus der Öffnung 22 ausgestoßen, und zwar wird sie auf ein Aufzeichnungsmedium 25 (zum Beispiel ein Papier) ausgespritzt und haftet auf der Bildaufzeichnungsfläche des Aufzeichnungsmediums unter Ausbildung eines Bildes an.
  • 3 ist das äußere Erscheinungsbild eines Mehrfachkopfes, der aus einer großen Anzahl an Köpfen besteht, die parallel zueinander angeordnet sind. Der Mehrfachkopf wird durch Inkontaktbringen einer Glasplatte 27 mit mehreren Furchen 26 mit einem exothermen Kopf 28, der ähnlich zu dem unter Bezugnahme auf 1 beschriebenen ist, aufgebaut.
  • Die Größe der Öffnung in dem Kopf mit dem vorstehend beschriebenen Aufbau ist nicht besonders beschränkt und kann in Abhängigkeit einer gewünschten Bildqualität adäquat ausgewählt werden. Jedoch wurde versucht, in den letzten Jahren die Größe einer Öffnung zu reduzieren, und zwar aufgrund von Forderungen nach einer höheren Bildqualität. Genauer gesagt wurde versucht, die Größe einer Öffnung derart zu reduzieren, dass die Tinte aus der Öffnung in einer Menge von 0,1 bis 50 Picolitern (pl), insbesondere 0,1 bis 30 pl und weiter bevorzugt 1 bis 15 pl mittels einer einzelnen Ausstoßoperation ausgestoßen wird. Eines der technischen Ziele, welches insbesondere für eine Öffnung mit einer solchen Größe bevorzugt ist, ist die stabile Wiederausstoßung von Tinte nach einer Aufzeichnungspause. Die Tinte gemäß den bevorzugten Ausführungsformen der vorliegenden Erfindung kann als eine der technischen Mittel erwähnt werden, die zur Erzielung des technischen Ziels extrem effektiv ist.
  • Selbst wenn die Größe einer Öffnung nicht fein reduziert ist, kann bei verschiedenen Umgebungen bei der Verwendung des Tintenstrahlaufzeichnungsgeräts in seinem vorherrschenden Einsatzbereich oder in einem konkreten Fall, in dem es in einer Umgebung eingesetzt wird, in welchem die Umgebungstemperatur 5°C oder geringer ist (z.B. in einem Raum, der nicht beheizt ist, oder in einem kalten Gebiet im Freien), die Tinte aufgrund eines Verstopfens der Öffnung, wie es vorstehend beschrieben wurde, nicht ausgestoßen werden und es ist eines der wichtigen technischen Ziele, das hinsichtlich eines größeren allgemeinen Anwendbarkeitsbereichs des Tintenstrahlaufzeichnungsgeräts erreicht werden soll. Die Tinte gemäß den bevorzugten Ausführungsformen kann als eines der technischen Mittel erwähnt werden, welches zum Erzielen dieses technischen Ziels effektiv ist.
  • (Tintenstrahlaufzeichnungsgerät)
  • 4 zeigt ein Tintenstrahlaufzeichnungsgerät, in welchem der vorstehend beschriebene Aufzeichnungskopf eingebaut ist. In 4 ist das Bezugszeichen 61 eine Klinge, welche als ein Abstreifelement funktioniert, und ein Ende der Klinge wird durch ein Klingenhalteelement derart gehalten, dass es ein fixiertes Ende ausbildet, das als ein Cantilever fungiert. Die Klinge 61 ist an einem zu einer Aufzeichnungsfläche benachbarten Ort angeordnet, in welcher ein Bild mittels des Aufzeichnungskopfes aufgezeichnet werden soll, und wird in einem Zustand gehalten, in dem es in den Bewegungsweg des Aufzeichnungskopfes hineinragt. Das Bezugszeichen 62 steht für eine Kappe, welche in der Ausgangsposition benachbart zu der Klinge 61 angeordnet ist, und die so aufgebaut ist, dass sie sich in einer zur Bewegungsrichtung des Aufzeichnungskopfes senkrechten Richtung bewegt bis sie in Kontakt mit der Ausstoßöffnungsoberfläche kommt und diese bedeckt. Ferner steht das Bezugszeichen 63 für einen Absorptionskörper, welcher zu der Klinge 61 benachbart angeordnet ist und ähnlich wie die Klinge 61 in einem Zustand gehalten wird, in dem er in den Bewegungsweg des Aufzeichnungskopfes hineinragt. Die vorstehend beschriebene Klinge 61, Kappe 62 und der vorstehend beschriebene Absorptionskörper 63 bauen den Ausstoßungswiederherstellungsabschnitt 64 auf und Feuchtigkeit, Staub oder dergleichen werden von der Tintenausstoßöffnungsoberfläche durch die Klinge 61 und den Absorptionskörper 63 entfernt. Das Bezugszeichen 65 steht für den Aufzeichnungskopf, welcher Erzeugungseinrichtungen für die Ausstoßungsenergie besitzt und die Aufzeichnung durch Ausstoßung von Tinte auf ein Gewebe, das gegenüber der Ausstoßöffnungsoberfläche, in der eine Ausstoßöffnung ausgebildet ist, angeordnet ist, durchführt. Und das Bezugszeichen 66 steht für einen Träger, welcher den Aufzeichnungskopf 65 trägt und bewegt. Der Träger 66 ist gleitbar mit einer Führungsachse 67 verbunden und ein Bereich des Trägers 66 ist mit einem Band 69 (nicht gezeigt) verbunden, welches durch einen Motor 68 angetrieben wird. Dem gemäß ist der Träger 66 entlang der Führungsachse 67 bewegbar und lässt den Aufzeichnungskopf 65 zu der Aufzeichnungsfläche und eine dazu benachbarte Fläche bewegen. Das Bezugszeichen 51 steht für eine Papierzuführeinrichtung, welche zur Einführung eines Papiers eingesetzt wird, und das Bezugszeichen 52 steht für eine Papierzuführwalze, welche durch einen Motor (nicht gezeigt) angetrieben wird. Das Tintenstrahlaufzeichnungsgerät, welches wie vorstehend beschrieben aufgebaut ist, führt das Papier zu einem Ort, der gegenüber der Ausstoßungsöffnungsoberfläche des Aufzeichnungskopfes liegt, und stößt das Papier in eine Papierausstoßeinrichtung aus, in welcher eine Gewebeausstoßwalze 53 angeordnet ist.
  • In dem vorstehend beschriebenen Aufbau ist die Kappe 62 der Ausstoßungswiederherstellungseinrichtung 64 von dem Bewegungsweg des Aufzeichnungskopfes 65 zurückgesetzt, aber die Klinge 61 ragt in den Bewegungsweg vor, wenn der Aufzeichnungskopf 65 in die Ausgangsposition bei Beendigung der Aufzeichnung zurückkehrt. Als Ergebnis wird die Ausstoßungsöffnungsoberfläche des Aufzeichnungskopfes 65 abgestriffen. Zusätzlich bewegt sich die Kappe 62 derart, dass sie in den Bewegungsweg für den Aufzeichnungskopf vorragt, wenn die Kappe 62 in Kontakt mit der Ausstoßungsoberfläche des Aufzeichnungskopfes 65 zum Abdecken gebracht wird.
  • Während der Aufzeichnungskopf 65 aus der Ausgangsposition an die Aufzeichnungsstartposition bewegt wird, sind die Kappe 62 und die Klinge 61 an den gleichen Orten des Abstreifschrittes positioniert. Als Ergebnis wird die Ausstoßöffnungsoberfläche des Aufzeichnungskopfes 65 ebenso während der Bewegung abgestriffen. Der Aufzeichnungskopf bewegt sich an die Ausgangsposition nicht nur bei Beendigung der Aufzeichnung und zur Wiederherstellung der Ausstoßung. Während sich der Aufzeichnungskopf für die Aufzeichnung innerhalb der Aufzeichnungsfläche bewegt, wird er ebenso in vorbestimmten Intervallen in die zu der Aufzeichnungsfläche benachbarte Ausgangsposition bewegt, um dadurch das Abstreifen durchzuführen.
  • (Tintenkartusche)
  • 5 veranschaulicht eine Tintenkartusche, welche die zum Beispiel durch eine Röhre zuzuführende Tinte beinhaltet. In 5 steht das Bezugszeichen 40 für einen Tintenbehälterabschnitt, zum Beispiel eine Tintentasche, welche die zuzuführende Tinte beinhaltet und ein Kautschukstopper 42 ist am Ende der Tintenbehältereinrichtung 40 angeordnet. Wenn eine Nadel (nicht gezeigt) durch den Stopper 42 eingeführt wird, kann die Tinte in der Tintentasche 40 zu dem Aufzeichnungskopf zugeführt werden. Das Bezugszeichen 44 steht für einen Absorptionskörper, welcher austretende Tinte aufnimmt. Es ist bevorzugt für den Aufzeichnungskopf gemäß der vorliegenden Erfindung einen Tintenbehälter einzusetzen, welcher eine Tintenkontaktoberfläche aus Polyolefin und insbesondere Polyethylen besitzt. Nicht nur der Aufzeichnungskopf, welcher eine separate Tintenkartusche wie sie vorstehend beschrieben wurde besitzt, sondern ebenso einen Aufzeichnungskopf, welcher eine Tintenkartusche integriert besitzt, wie in 6 gezeigt ist, wird bevorzugt mit dem Tintenstrahlaufzeichnungsgerät gemäß der vorliegenden Erfindung eingesetzt.
  • (Aufzeichnungseinheit)
  • In 6 steht das Bezugszeichen 70 für eine Aufzeichnungseinheit, welche zum Beispiel einen Tintenabsorptionskörper beinhaltet, welcher Tinte beinhaltet, die als Tintentropfen von einem Kopfbereich 71 mit einer Vielzahl von Öffnungen ausgestoßen wird. Für das Tintenstrahlaufzeichnungsgerät gemäß der vorliegenden Erfindung ist es bevorzugt, Polyurethan als ein Material für den Tintenabsorptionskörper einzusetzen. Das Bezugszeichen 72 steht für eine Belüftung, damit das Innere der Aufzeichnungseinheit mit der Umgebung in Verbindung steht. Die Aufzeichnungseinheit 70 wird anstelle des in 4 gezeigten Aufzeichnungskopfes eingesetzt und ist an dem Träger 66 frei montierbar und von diesem abnehmbar.
  • (Tintenset)
  • Die Tinte gemäß den vorstehend beschriebenen bevorzugten Ausführungsformen kann in Abhängigkeit der Auswahl der färbenden Materialien eine gelbe Tinte, eine magentafarbene Tinte, eine cyanfarbene Tinte, eine rote Tinte, eine grüne Tinte, eine blaue Tinte oder eine schwarze Tinte sein. Jede Sorte von Tinte kann für die Aufzeichnung eines Bildes alleine eingesetzt werden. Alternativ dazu ist es möglich, zwei oder mehrere Tintensorten mit unterschiedlichen Farben als Tintensets zu kombinieren, welche bevorzugt zur Ausbildung von Farbbildern einsetzbar sind. Ferner werden Tintensets, welche für die Ausbildung von Bildern mit einer hohen Güte bevorzugt einsetzbar sind, durch Kombinieren von zweien oder mehreren Tintensorten erhalten, welche die gleiche Farbe haben, aber unterschiedliche färbende Materialien enthalten, oder durch Kombinieren von zweien oder mehreren Tintensorten, welche die gleiche Farbe aber unterschiedliche Konzentrationen haben. Zur Ausbildung von Bildern unter Verwendung dieser Tintensets ist es möglich, ein Aufzeichnungsgerät mit einem Träger einzusetzen, auf welchem zum Beispiel der in 3 gezeigte Aufzeichnungskopf in einer Anzahl von 4 angeordnet ist. Eine Ausführungsform eines solchen Aufzeichnungsgeräts ist in 8 gezeigt, wobei die Bezugszeichen 86, 87, 88 und 89 für Aufzeichnungs köpfe stehen, welche zum Beispiel gelbe, magentafarbene, cyanfarbene bzw. schwarze Tinten ausstoßen. Diese Aufzeichnungsköpfe werden in den vorstehend beschriebenen Aufzeichnungsgeräten angeordnet und stoßen die Tinte mit unterschiedlichen Farben in Übereinstimmung mit den Aufzeichnungssignalen aus. Obwohl 8 ein Beispiel eines Aufzeichnungsgeräts zeigt, in welchem die vier Aufzeichnungsköpfe eingesetzt werden, ist dieses Beispiel nicht beschränkend und es wird überlegt, vier Tintenkartuschen von vier Farben in einem einzelnen Kopf einzusetzen, wobei Tintendurchflusswege zur Aufzeichnung eines Farbbildes getrennt voneinander vorliegen, wie in 7 gezeigt ist.
  • Vorstehend wurden die Ausführungsformen beschrieben, in denen das Gerät, welches Wärmeenergie auf Tinten überträgt und die Tinte durch Wärmeenergie ausstößt, und die Tinte gemäß der vorliegenden Erfindung in den Bildaufzeichnungsverfahren unter Verwendung des Aufzeichnungsgerätes eingesetzt werden. Jedoch ist die erfindungsgemäße Tinte in dem Tintenstrahlaufzeichnungsgerät, welches vom Ausstoßtyp mit mechanischer Energie ist, und ebenso in Bildaufzeichnungsverfahren, welche ein solches Tintenstrahlaufzeichnungsgerät einsetzen, einsetzbar, wobei dadurch ähnlich ausgezeichnete Effekte erhalten werden.
  • Die vorliegende Erfindung wird detaillierter unter Bezugnahme auf mehrere konkrete Beispiele beschrieben, welche die vorliegende Erfindung nicht beschränken.
  • (Beispiele 1 bis 7 und Vergleichsbeispiele 1 bis 7)
  • In den Beispielen 1 bis 7 und in den Vergleichsbeispielen 1 bis 7 wird eine Tinte durch Vermischen der in der nachstehend gezeigten Tabelle 1 aufgelisteten Komponenten, durch Rühren von diesen über 2 Stunden oder länger, durch Einstellen des pH-Werts auf 7 unter Verwendung einer 10 %igen wässrigen Lösung von Natriumhydroxid und durch Filtrieren von diesen mit einem 0,2 μm Membranfilter hergestellt.
  • Figure 00250001
  • [Auswertung 1]
  • Unter Verwendung eines Tintenstrahldruckers (Marke: BJ130, hergestellt von Canon Ltd.), welcher ein exothermes Element als eine Ausstoßenergiequelle einsetzt, wurde eine Aufzeichung auf einem kommerziell erhältlichen Normalpapier bei einer Antriebsfrequenz von 2 kHz mit jeder der vorstehend beschriebenen Tintensorten durchgeführt, wobei danach die Tinte hinsichtlich der Verstopfungseigenschaft und der Frequenzantwort nach einer Druckpause ausgewertet wurden. Der eingesetzte Drucker hatte einen Kopf, welcher zur Ausstoßung von annähernd 60 pl Tinte aus einer Öffnung mittels einer einzelnen Ausstoßoperation konfiguriert war. Die Auswertebedingungen waren wie nachstehend beschrieben eingestellt:
  • (1) Verstopfungseigenschaft nach einer Druckpause
  • Nach dem Beladen des Druckers mit einer jeden Tintensorte und nach dem kontinuierlichen alphanumerischen Drucken über eine Minute bei einer Raumtemperatur von 0°C und einer Feuchtigkeit von 25 ± 5%, wurde das Drucken für 30 Sekunden unterbrochen und die nach der Pause gedruckten alphanumerischen Zeichen wurden nach Defekten wie etwa einem Ausbluten und einem Verwackeln ausgewertet. Der Aufzeichnungskopf hatte eine Temperatur von 35°C.
    • A: Das Erste und die nachfolgenden alphanumerische Zeichen waren nicht verwackelt.
    • B: Das erste alphanumerische Zeichen war teilweise verwackelt oder fehlte.
    • C: Das erste numerischen Zeichen wurde überhaupt nicht gedruckt.
  • (2) Frequenzantwort
  • Die erhaltenen Drucke wurden visuell durch Untersuchung von diesen hinsichtlich der Druckbedingungen ausgewertet, das heißt auf ihre Verwackelung, auf Leerstellen und auf ungenügende Tintenauftreffpunkte, verursacht durch Spritzen bzw. Verdrehen.
    • AA: Die Tinte folgte der Frequenz gut und ein Vollfarbendruck bzw. Zeichendruck zeigte keine Verwacklung, keine Leerstellen und keinen Punkt einer ungenügenden Tintenzuführung.
    • A: Die Tinte folgte der Frequenz fast ordnungsgemäß, wobei Zeichendrucke keine Leerstellen und keine ungenügenden Tintenauftreffpunkte aufwiesen, aber Vollflächendrucke leicht verwackelt waren.
    • B: Zeichendrucke zeigten keine Verwacklungen und keine Leerstellen, aber hatten einige ungenügende Tintenauftreffpunkte. Ein Drittel der Vollfarbendrucke waren verwackelt und zeigten Leerstellen.
    • C: Die meisten Vollfarbendrucke waren verwackelt und zeigten Fehlstellen. Eine große Anzahl der Zeichendrucke waren verwackelt und hatten ungenügende Tintenauftreffpunkte.
  • [Auswertung 2]
  • Ein Tintenstrahlkopf, welcher ein exothermes Element als Tintenausstoßenergie verwendete, wurde hergestellt. Dieser Kopf war so aufgebaut, dass er 10 pl Tinte durch eine Öffnung mittels einer einzigen Ausstoßungsoperation ausstieß. Unter Verwendung dieses Kopfes wurde eine Aufzeichnung auf einem Kopierpapier durchgeführt, welches das gleiche wie das für die Auswertung 1 war, und zwar mit einer Antriebsfrequenz von 5 kHz. Die nach einer Druckpause erhaltenen Drucke wurden hinsichtlich der Verstopfungseigenschaft und der Frequenzantworteigenschaft der Öffnung ausgewertet. Die Auswertebedingungen waren die gleichen wie die für die Auswertung 1, außer dass die Raumtemperatur auf 20°C eingestellt war. Ein Auswertestandard war ebenso der gleiche wie für die Auswertung 1.
  • Die durch die Auswertung 1 und die Auswertung 2 erhaltenen Ergebnisse sind in den folgenden Tabelle 2 und 3 zusammengefasst:
  • [Auswertung 1] Tabelle 2
    Figure 00280001
  • [Auswertung 2] Tabelle 3
    Figure 00290001
  • Diese Ausführungsformen der vorliegenden Erfindung schaffen Effekte, welche nachstehend aufgeführt sind:
    • (1) Die Stabilisierung einer Wiederausstoßung der wässrigen Tinte, welche ein wasserlösliches färbendes Material enthält, in vielfältigen Umgebungen zur Aufzeichnung oder selbst wenn der Durchmesser einer Öffnung reduziert ist.
    • (2) Eine stabile Aufzeichnung eines hochgenauen Bildes.
    • (3) Die Sicherstellung, dass ein hochgenaues Bild erhalten werden kann.
    • (4) Erfüllung der Anforderungen an eine für eine Tintenstrahlaufzeichnung eingesetzte Tinte, um dadurch eine höchst zuverlässige Tintenstrahlaufzeichnung zu ermöglichen, selbst in einem kalten Gebiet oder dergleichen und um eine hohe Zuverlässigkeit für die Wiederaufzeichnung nach einer Pause sicherzustellen, selbst wenn ein Aufzeichnungskopf für ein hochgenaues Bild eingesetzt wird.
  • Tinte, welche nach einer Pause der Aufzeichnung in vielfältigen Umgebungen bei der Verwendung oder selbst bei einer Reduzierung des Durchmessers der Öffnung, selten nicht ausgestoßen werden kann.

Claims (10)

  1. Tintenstrahltinte mit einem wasserlöslichen färbenden Material, einem wässrigen Medium, Bishydroxyethylsulfon und Harnstoff, dadurch gekennzeichnet, dass Bishydroxyethylsulfon in einer Menge von 1 bis 20 Gew.-%, relativ zum Gesamtgewicht der Tinte enthalten ist, Harnstoff in einer Menge von 0,1 bis 15 Gew.-%, relativ zum Gesamtgewicht der Tinte enthalten ist, und die Gesamtmenge an Bishydroxyethylsulfon und Harnstoff in der Tinte in einer Menge von 1,1 bis 30 Gew.-%, relativ zum Gesamtgewicht der Tinte, ist.
  2. Die Tinte gemäß Anspruch 1, wobei die Tinte ein wasserlösliches organisches Lösungsmittel als das wässrige Lösungsmittel enthält.
  3. Ein Tintenset, umfassend: eine erste Tinte gemäß Anspruch 1 oder 2, welche ein erstes wasserlösliches färbendes Material enthält; und eine zweite Tinte, welche ein zweites färbendes Material enthält, wobei jedes des ersten und zweiten färbenden Materi als aus der Gruppe ausgewählt ist, die aus gelb, magenta, cyan, schwarz, rot, blau und grün besteht.
  4. Ein Bildaufzeichnungsgerät, das eine Aufzeichnungseinheit, die einen Tintenbehälterabschnitt mit einer Tinte gemäß Anspruch 1 oder 2 umfasst, einen Aufzeichnungskopf zur Ausstoßung der Tinte, Mittel zur Zuführung der Tinte zu dem Auszeichnungskopf und Mittel zum Antrieb des Aufzeichnungskopfes als Reaktion auf ein Aufzeichnungssignal umfasst.
  5. Ein Bildaufzeichnungsgerät gemäß Anspruch 4, wobei der Aufzeichnungskopf eine Öffnung aufweist, aus welcher die Tinte ausgestoßen wird, und die Öffnung eine Größe besitzt, die zur Ausstoßung von 0,1 bis 40 Picolitern Tinte bei einer Ausstoßoperation fähig ist.
  6. Eine Tintenkartusche, umfassend einen Tintenbehälterabschnitt mit einer Tinte gemäß Anspruch 1 oder 2.
  7. Eine Aufzeichnungseinheit, umfassend einen Tintenbehälterabschnitt mit einer Tinte gemäß Anspruch 1 oder 2, einen Aufzeichnungskopf zur Ausstoßung der Tinte und Mittel zur Zuführung der Tinte zu dem Aufzeichnungskopf.
  8. Eine Aufzeichnungseinheit gemäß Anspruch 7, wobei der Aufzeichnungskopf Öffnungen besitzt, aus welchen die Tinte ausgestoßen wird; und wobei die Öffnung eine Größe besitzt, die zur Ausstoßung von 0,1 bis 40 Picolitern Tinte mit einer einzigen Ausstoßoperation fähig ist.
  9. Ein Bildaufzeichnungsverfahren, welches den Schritt der Übertragung einer Tinte gemäß Anspruch 1 oder 2 auf eine Bilderzeugungsregion eines Aufzeichnungsmediums mittels eines Tintenstrahlaufzeichnungsgeräts umfasst.
  10. Ein Bildaufzeichnungsverfahren gemäß Anspruch 9, welches ferner die folgenden Schritte umfasst: Vorsehen eines Bildaufzeichnungsgeräts gemäß Anspruch 4 oder 5; und Betreiben des Bildaufzeichnungsgeräts, Ausstoßen der Tinte gemäß Anspruch 1 oder 2 aus einer Öffnung und Anhaften der Tinte auf eine Bildaufzeichnungsregion auf einem Aufzeichnungsmedium.
DE69920555T 1998-03-03 1999-03-02 Tinte, Tintenset, Tintenbehälter, Aufzeichnungseinheit, Bildaufzeichnungsverfahren und Bildaufzeichnungsgerät Expired - Lifetime DE69920555T2 (de)

Applications Claiming Priority (2)

Application Number Priority Date Filing Date Title
JP5051298 1998-03-03
JP5051298 1998-03-03

Publications (2)

Publication Number Publication Date
DE69920555D1 DE69920555D1 (de) 2004-11-04
DE69920555T2 true DE69920555T2 (de) 2005-10-20

Family

ID=12861032

Family Applications (1)

Application Number Title Priority Date Filing Date
DE69920555T Expired - Lifetime DE69920555T2 (de) 1998-03-03 1999-03-02 Tinte, Tintenset, Tintenbehälter, Aufzeichnungseinheit, Bildaufzeichnungsverfahren und Bildaufzeichnungsgerät

Country Status (3)

Country Link
US (1) US6474803B1 (de)
EP (1) EP0940455B1 (de)
DE (1) DE69920555T2 (de)

Families Citing this family (45)

* Cited by examiner, † Cited by third party
Publication number Priority date Publication date Assignee Title
JP2001146008A (ja) 1999-09-10 2001-05-29 Canon Inc メディアカートリッジ及びメディアカートリッジを着脱自在に構成された画像記録装置
US6676254B2 (en) * 2000-12-21 2004-01-13 Canon Kabushiki Kaisha Recording method, ink cartridge, printing device and information recording apparatus
AU2003243975B2 (en) 2003-05-02 2010-04-22 Canon Kabushiki Kaisha Aqueous fluorescent ink, recorded image using same, and judging method
BRPI0507723A (pt) 2004-03-16 2007-07-10 Canon Kk tinta para jato de tinta, método de gravação a jato de tinta, cartucho de tinta, e, aparelho de gravação a jato de tinta
JP4856885B2 (ja) 2004-03-16 2012-01-18 キヤノン株式会社 液体組成物、液体組成物とインクのセット及び画像記録方法
JP3958325B2 (ja) * 2004-03-16 2007-08-15 キヤノン株式会社 プリント媒体用塗布液、インクジェット用インク、画像形成方法、プリント媒体用塗布液とインクジェット用インクとのセット、及びインクジェット記録装置
CA2565700C (en) * 2004-06-28 2010-05-04 Canon Kabushiki Kaisha Aqueous ink, ink-jet recording method, ink cartridge, recording unit, ink-jet recording apparatus and image forming method
WO2006001543A1 (ja) * 2004-06-28 2006-01-05 Canon Kabushiki Kaisha 記録方法、インクカートリッジ及び画像形成方法
WO2006001538A1 (ja) * 2004-06-28 2006-01-05 Canon Kabushiki Kaisha 水性インク、水性インクセット、インクカートリッジ、インクジェット記録装置、インクジェット記録方法及び画像形成方法
ATE474026T1 (de) * 2004-06-28 2010-07-15 Canon Kk Wässrige tinte, tintensatz und bilderzeugungsverfahren
JP2006188045A (ja) 2004-12-09 2006-07-20 Canon Inc 反応液、インク組成物と反応液とのセット及び画像記録方法
CN103965689B (zh) * 2005-01-18 2017-04-12 佳能株式会社 墨、成套墨、喷墨记录方法、墨盒和喷墨记录设备
JP2006225637A (ja) * 2005-01-18 2006-08-31 Canon Inc インク、インクセット、インクジェット記録方法、インクカートリッジ及びインクジェット記録装置
CN101193990B (zh) * 2005-06-10 2013-01-16 佳能株式会社 喷墨墨、生产喷墨墨的方法、喷墨记录方法、墨盒和黄色墨
WO2006132427A1 (en) * 2005-06-10 2006-12-14 Canon Kabushiki Kaisha Ink jet ink, method of producing ink jet ink, ink jet recording method, ink cartridge, and cyan ink
DE602006011105D1 (de) * 2005-10-28 2010-01-28 Canon Kk Wässrige Tinte, Verfahren für den Tintenstrahldruck, Tintenpatrone, Aufzeichnungseinheit und Tintenstrahlaufzeichnungsgerät
EP1780247B1 (de) * 2005-10-28 2011-04-06 Canon Kabushiki Kaisha Wässrige Tinte, Tintenstrahlaufzeichnungsverfahren, Tintenbehälter, Aufzeichnungseinheit und Tintenstrahlaufzeichnungsgerät
EP1780013B2 (de) 2005-10-28 2021-09-08 Canon Kabushiki Kaisha Wässrige Tinte, Tintenstrahlaufzeichnungsverfahren, Tintenpatrone, Aufzeichnungseinheit und Tintenstrahlaufzeichnungsgerät
US7381257B2 (en) * 2006-02-15 2008-06-03 Canon Kabushiki Kaisha Aqueous ink, ink-jet recording method, ink cartridge, recording unit and ink jet recording apparatus
JP2007277362A (ja) 2006-04-05 2007-10-25 Canon Inc インクジェット記録用インク、記録方法及び記録装置
JP5089070B2 (ja) * 2006-04-05 2012-12-05 キヤノン株式会社 インクジェット記録用インク及び記録方法
EP1918109B1 (de) * 2006-06-22 2011-11-30 Canon Kabushiki Kaisha Aufzeichnungseinheit, tintenstrahlaufzeichner und tintenstrahlaufzeichnungsverfahren
JP5064783B2 (ja) * 2006-12-20 2012-10-31 キヤノン株式会社 インク及びインクジェット記録方法
JP2008174736A (ja) * 2006-12-20 2008-07-31 Canon Inc 水性インク、インクジェット記録方法、インクカートリッジ及びインクジェット記録装置
US7918928B2 (en) 2007-02-09 2011-04-05 Canon Kabushiki Kaisha Pigment ink, ink jet recording method, ink cartridge, recording unit and ink jet recording apparatus
US8013051B2 (en) 2007-02-09 2011-09-06 Canon Kabushiki Kaisha Liquid composition, image forming method, cartridge, recording unit and ink jet recording apparatus
JP5578772B2 (ja) * 2007-05-25 2014-08-27 キヤノン株式会社 インクジェット用インク、インクジェット記録方法、インクカートリッジ及びインクジェット記録装置
US8328341B2 (en) * 2007-07-23 2012-12-11 Canon Kabushiki Kaisha Ink jet recording ink, ink jet image-forming method and ink jet recording apparatus
EP2173823B1 (de) * 2007-07-23 2017-05-17 Canon Kabushiki Kaisha Tintenstrahlaufzeichnungstinte
EP2173558B1 (de) * 2007-07-23 2019-07-03 Canon Kabushiki Kaisha Tintenstrahlbilderzeugungsverfahren, tintenstrahlfarbbilderzeugungsverfahren und tintenstrahlaufzeichnungsvorrichtung
JP4859256B2 (ja) * 2008-03-19 2012-01-25 キヤノン株式会社 インクジェット用インク、インクジェット記録方法、インクカートリッジ、記録ユニット、及びインクジェット記録装置
JP5605993B2 (ja) * 2008-03-19 2014-10-15 キヤノン株式会社 インクジェット用インク、インクジェット記録方法、インクカートリッジ、及びインクジェット記録装置
JP5268696B2 (ja) * 2008-03-19 2013-08-21 キヤノン株式会社 インクジェット用インク、インクジェット記録方法、インクカートリッジ、記録ユニット、及びインクジェット記録装置
JP5995396B2 (ja) 2008-08-08 2016-09-21 キヤノン株式会社 インクセット、インクジェット記録方法、及びインクジェット記録装置
JP5517515B2 (ja) * 2008-08-08 2014-06-11 キヤノン株式会社 インクジェット記録方法、インクセット及びインクジェット記録装置
JP5787482B2 (ja) * 2009-01-22 2015-09-30 キヤノン株式会社 インクジェット記録用インク及びインクジェット画像形成方法
JP2010188721A (ja) * 2009-01-22 2010-09-02 Canon Inc インクジェット画像形成方法及びインクジェット記録装置
EP2395056B1 (de) * 2010-06-11 2013-01-09 Dong-A Teaching Materials Co., Ltd. Rekristallisation von Tintenzusammensetzung
JP6039213B2 (ja) 2011-04-19 2016-12-07 キヤノン株式会社 インク、インクカートリッジ及びインクジェット記録方法
EP3196260A1 (de) 2016-01-22 2017-07-26 Canon Kabushiki Kaisha Tinte, tintenpatrone und bildaufzeichnungsverfahren
EP3196261B1 (de) 2016-01-22 2019-06-19 Canon Kabushiki Kaisha Tinte, tintenpatrone und bildaufzeichnungsverfahren
US10196532B2 (en) 2016-01-22 2019-02-05 Canon Kabushiki Kaisha Ink, ink cartridge, and image recording method
JP2017132980A (ja) 2016-01-22 2017-08-03 キヤノン株式会社 インク、インクカートリッジ、及び画像記録方法
JP2017128700A (ja) 2016-01-22 2017-07-27 キヤノン株式会社 インク、インクカートリッジ、及び画像記録方法
US10125284B2 (en) 2016-05-20 2018-11-13 Canon Kabushiki Kaisha Aqueous ink, ink cartridge, and ink jet recording method

Family Cites Families (13)

* Cited by examiner, † Cited by third party
Publication number Priority date Publication date Assignee Title
JPS5459936A (en) 1977-10-03 1979-05-15 Canon Inc Recording method and device therefor
EP0588316B1 (de) * 1992-09-17 1999-02-03 Canon Kabushiki Kaisha Tinten-Set für Tintenstrahlaufzeichnungsverfahren enthaltend Oberflächendurchdringungsmittel und Tintenstrahldrucker
JPH06271798A (ja) 1993-03-22 1994-09-27 Canon Inc インク、これを用いたインクジェット記録方法及び機器
JP3591867B2 (ja) * 1994-04-08 2004-11-24 キヤノン株式会社 インク、これを用いたインクジェット捺染方法、及び該インクを用いた記録装置
JPH08127981A (ja) 1994-10-28 1996-05-21 Canon Inc インクジェット捺染用インク及びインクジェット捺染方法
JP3761940B2 (ja) 1994-10-28 2006-03-29 キヤノン株式会社 インクジェット捺染用インク、インクジェット捺染方法、転写捺染方法、捺染物、記録ユニット、インクカートリッジ、インクジェット記録装置、及び加工品
GB9514524D0 (en) * 1995-07-15 1995-09-13 Zeneca Ltd Dye mixtures
JPH09111165A (ja) 1995-10-20 1997-04-28 Canon Inc インク及びそれを用いたカラーインクジェット記録方法
JP3466800B2 (ja) * 1995-11-30 2003-11-17 キヤノン株式会社 インクジェット用インク、インクジェット記録方法及びインクジェット機器
JPH1018184A (ja) * 1996-05-02 1998-01-20 Canon Inc インクジェット捺染方法及び捺染物
JP3825891B2 (ja) * 1996-08-02 2006-09-27 キヤノン株式会社 インクジェット記録方法
US5997124A (en) * 1997-03-12 1999-12-07 Raster Graphics Inc. Method and apparatus for drop volume normalization in an ink jet printing operation
US5997623A (en) * 1997-06-16 1999-12-07 Xerox Corporation Ink jet inks comprising anti-curl agents and printing processes

Also Published As

Publication number Publication date
DE69920555D1 (de) 2004-11-04
US6474803B1 (en) 2002-11-05
EP0940455A1 (de) 1999-09-08
EP0940455B1 (de) 2004-09-29

Similar Documents

Publication Publication Date Title
DE69920555T2 (de) Tinte, Tintenset, Tintenbehälter, Aufzeichnungseinheit, Bildaufzeichnungsverfahren und Bildaufzeichnungsgerät
DE69917696T2 (de) Tinte, Tintenset, Tintenbehälter, Aufzeichnungseinheit, Bildaufzeichnungsverfahren und Bildaufzeichnungsgerät
DE69106188T4 (de) Tinte, diese Tintenverwendendes Tintenstrahlaufzeichnungsverfahren und Apparat oder Instrument unter Verwendung desselben.
DE69107372T2 (de) Aufzeichnungslösung, ihre Verwendung in Tintenstrahldruckverfahren und Verfahren zur Herstellung derselben.
DE69914117T2 (de) Tinte, Tintenset, Tintebehälter, Aufzeichnungseinheit, Bildaufzeichnungsverfahren und Bildaufzeichnungsgerät
DE69919790T2 (de) Tinte, Verfahren zur Tintenstrahlaufzeichnung, Aufzeichnungseinheit, Farbkartusche und Tintenstrahlaufzeichnungsgerät
DE69122283T2 (de) Tinte, Tintenstrahldruck-Aufzeichnungsverfahren und Verwendung dieser Tinte
DE69102662T2 (de) Tinte, Tintenstrahldruckverfahren und diese Tinte verwendendes Instrument.
DE69329613T2 (de) Tinte, Verfahren zur Tintenstrahlaufzeichnung und Tintenstrahlaufzeichnungsgerät
DE69102663T2 (de) Tinte, Tintenstrahldruckverfahren und diese Tinte verwendendes Instrument.
DE69608085T2 (de) Tintenstrahl-Tinte, Tintenstrahl-Aufzeichnungsverfahren und Tintenstrahlgerät
DE69122638T2 (de) Tinte, Tintenstrahldruck-Aufzeichnungsverfahren und Vorrichtung für diese Tinte
DE60032084T2 (de) Tinte, Tintensatz und Bildaufzeichnungsverfahren zur Verbesserung der Dichtheit von tintenstrahlbedruckten Bildern
DE69106750T2 (de) Tinte, Tintenstrahlaufzeichnungsverfahren und diese Tinte verwendendes Instrument.
DE69434076T2 (de) Tinte
US5183502A (en) Water based ink for ink-jet printing
DE69308787T2 (de) Tintenstrahlaufzeichnungsverfahren
DE69609005T2 (de) Druckgerät und Aufzeichnungslösung
DE69300805T2 (de) Tinte sowie Verfahren und Gerät zur Tintenstrahlaufzeichnung die diese benutzen.
DE69527336T2 (de) Wässrige Dispersion-Druckfarbe zum Bläschenstrahldrucken, Tintenstrahl-Aufzeichnungsverfahren und Vorrichtung unter Verwendung derselben
DE69021306T2 (de) Tinte, Tintenstrahl-Aufzeichnungsverfahren unter Verwendung dieses Materials, Verfahren zur Herstellung der Tinte und Verwendung der Tinte zum Aufzeichnen auf ein Substrat.
DE69420065T2 (de) Tinte, Tintenstrahl-Aufzeichnungsverfahren unter Verwendung derselben und Vorrichtung
DE69208308T2 (de) Tinte, Tintenstrahl-Aufzeichnungsverfahren und Vorrichtung unter Verwendung desselben
DE69102664T2 (de) Tinte, Tintenstrahldruckverfahren und Tintenstrahldruckvorrichtung unter Verwendung derselben.
DE3751420T2 (de) Registrierverfahren und Flüssigkeit unter Verwendung eines wasserlöslichen organischen Lösungsmittels.

Legal Events

Date Code Title Description
8364 No opposition during term of opposition