DE69831791T2 - Übergangsmetallverbindungen der gruppe 5 - Google Patents

Übergangsmetallverbindungen der gruppe 5 Download PDF

Info

Publication number
DE69831791T2
DE69831791T2 DE69831791T DE69831791T DE69831791T2 DE 69831791 T2 DE69831791 T2 DE 69831791T2 DE 69831791 T DE69831791 T DE 69831791T DE 69831791 T DE69831791 T DE 69831791T DE 69831791 T2 DE69831791 T2 DE 69831791T2
Authority
DE
Germany
Prior art keywords
group
polymerization
metal
catalyst
monomers
Prior art date
Legal status (The legal status is an assumption and is not a legal conclusion. Google has not performed a legal analysis and makes no representation as to the accuracy of the status listed.)
Expired - Lifetime
Application number
DE69831791T
Other languages
English (en)
Other versions
DE69831791D1 (de
Inventor
John Vincent MURPHY
W. Howard TURNER
Current Assignee (The listed assignees may be inaccurate. Google has not performed a legal analysis and makes no representation or warranty as to the accuracy of the list.)
ExxonMobil Chemical Patents Inc
Original Assignee
ExxonMobil Chemical Patents Inc
Priority date (The priority date is an assumption and is not a legal conclusion. Google has not performed a legal analysis and makes no representation as to the accuracy of the date listed.)
Filing date
Publication date
Application filed by ExxonMobil Chemical Patents Inc filed Critical ExxonMobil Chemical Patents Inc
Publication of DE69831791D1 publication Critical patent/DE69831791D1/de
Application granted granted Critical
Publication of DE69831791T2 publication Critical patent/DE69831791T2/de
Anticipated expiration legal-status Critical
Expired - Lifetime legal-status Critical Current

Links

Classifications

    • CCHEMISTRY; METALLURGY
    • C08ORGANIC MACROMOLECULAR COMPOUNDS; THEIR PREPARATION OR CHEMICAL WORKING-UP; COMPOSITIONS BASED THEREON
    • C08FMACROMOLECULAR COMPOUNDS OBTAINED BY REACTIONS ONLY INVOLVING CARBON-TO-CARBON UNSATURATED BONDS
    • C08F10/00Homopolymers and copolymers of unsaturated aliphatic hydrocarbons having only one carbon-to-carbon double bond
    • CCHEMISTRY; METALLURGY
    • C07ORGANIC CHEMISTRY
    • C07FACYCLIC, CARBOCYCLIC OR HETEROCYCLIC COMPOUNDS CONTAINING ELEMENTS OTHER THAN CARBON, HYDROGEN, HALOGEN, OXYGEN, NITROGEN, SULFUR, SELENIUM OR TELLURIUM
    • C07F9/00Compounds containing elements of Groups 5 or 15 of the Periodic Table
    • C07F9/005Compounds of elements of Group 5 of the Periodic Table without metal-carbon linkages
    • CCHEMISTRY; METALLURGY
    • C08ORGANIC MACROMOLECULAR COMPOUNDS; THEIR PREPARATION OR CHEMICAL WORKING-UP; COMPOSITIONS BASED THEREON
    • C08FMACROMOLECULAR COMPOUNDS OBTAINED BY REACTIONS ONLY INVOLVING CARBON-TO-CARBON UNSATURATED BONDS
    • C08F210/00Copolymers of unsaturated aliphatic hydrocarbons having only one carbon-to-carbon double bond
    • C08F210/16Copolymers of ethene with alpha-alkenes, e.g. EP rubbers
    • CCHEMISTRY; METALLURGY
    • C08ORGANIC MACROMOLECULAR COMPOUNDS; THEIR PREPARATION OR CHEMICAL WORKING-UP; COMPOSITIONS BASED THEREON
    • C08FMACROMOLECULAR COMPOUNDS OBTAINED BY REACTIONS ONLY INVOLVING CARBON-TO-CARBON UNSATURATED BONDS
    • C08F4/00Polymerisation catalysts
    • C08F4/42Metals; Metal hydrides; Metallo-organic compounds; Use thereof as catalyst precursors
    • C08F4/44Metals; Metal hydrides; Metallo-organic compounds; Use thereof as catalyst precursors selected from light metals, zinc, cadmium, mercury, copper, silver, gold, boron, gallium, indium, thallium, rare earths or actinides
    • C08F4/60Metals; Metal hydrides; Metallo-organic compounds; Use thereof as catalyst precursors selected from light metals, zinc, cadmium, mercury, copper, silver, gold, boron, gallium, indium, thallium, rare earths or actinides together with refractory metals, iron group metals, platinum group metals, manganese, rhenium technetium or compounds thereof
    • C08F4/62Refractory metals or compounds thereof
    • C08F4/639Component covered by group C08F4/62 containing a transition metal-carbon bond
    • C08F4/63908Component covered by group C08F4/62 containing a transition metal-carbon bond in combination with an ionising compound other than alumoxane, e.g. (C6F5)4B-X+
    • CCHEMISTRY; METALLURGY
    • C08ORGANIC MACROMOLECULAR COMPOUNDS; THEIR PREPARATION OR CHEMICAL WORKING-UP; COMPOSITIONS BASED THEREON
    • C08FMACROMOLECULAR COMPOUNDS OBTAINED BY REACTIONS ONLY INVOLVING CARBON-TO-CARBON UNSATURATED BONDS
    • C08F4/00Polymerisation catalysts
    • C08F4/42Metals; Metal hydrides; Metallo-organic compounds; Use thereof as catalyst precursors
    • C08F4/44Metals; Metal hydrides; Metallo-organic compounds; Use thereof as catalyst precursors selected from light metals, zinc, cadmium, mercury, copper, silver, gold, boron, gallium, indium, thallium, rare earths or actinides
    • C08F4/60Metals; Metal hydrides; Metallo-organic compounds; Use thereof as catalyst precursors selected from light metals, zinc, cadmium, mercury, copper, silver, gold, boron, gallium, indium, thallium, rare earths or actinides together with refractory metals, iron group metals, platinum group metals, manganese, rhenium technetium or compounds thereof
    • C08F4/62Refractory metals or compounds thereof
    • C08F4/639Component covered by group C08F4/62 containing a transition metal-carbon bond
    • C08F4/63912Component covered by group C08F4/62 containing a transition metal-carbon bond in combination with an organoaluminium compound

Landscapes

  • Chemical & Material Sciences (AREA)
  • Organic Chemistry (AREA)
  • Health & Medical Sciences (AREA)
  • Chemical Kinetics & Catalysis (AREA)
  • Medicinal Chemistry (AREA)
  • Polymers & Plastics (AREA)
  • Transition And Organic Metals Composition Catalysts For Addition Polymerization (AREA)

Description

  • Technisches Gebiet
  • Diese Erfindung betrifft organometallische Verbindungen, die einen polyanionischen Hilfsliganden der Gruppe 15 umfassen, der kovalent an ein Gruppe 5-Metallzentrum gebunden ist, insbesondere jene, die zur Katalyse der Olefinpolymerisation geeignet sind.
  • Hintergrund der Erfindung
  • Koordinationspolymerisation von olefinisch ungesättigten Monomeren ist wohl bekannt und hat zu großem Aufschwung von thermoplastischen Materialzusammensetzungen aus Olefinen geführt, wie Polyethylen, Polypropylen und Ethylen-Propylen-Kautschuk. Frühe Pioniere verwendeten die frühen Übergangsmetallverbindungen, insbesondere jene der Gruppe 4-Metalle, mit solchen Aktivatoren wie Aluminiumalkylverbindungen. Spätere Entwicklungen erweiterten diese Arbeiten auf raumerfüllenden Hilfsliganden enthaltende (z. B. η5-Cyclopentadienyl)-Übergangsmetallverbindungen ("Metallocene") mit Aktivatoren wie Alkylalumoxanen. Repräsentative Arbeiten, die Effekte von substituierten Mono- und Bis-Metallocenverbindungen auf das Molekulargewicht des Polymers ansprechen, sind in EP-A-0 129 368 und ihrer entsprechenden US-A-5 324 800 beschrieben. Heteroatomhaltige Monocyclopentadienyl-Metallocenverbindungen sind in US-A-5 057 475 beschrieben, und siliciumverbrückte Biscyclopentadienyl-Metallocenkatalysatoren sind in US-A-5 017 714 beschrieben. Neuere Entwicklungen haben die Wirksamkeit ionischer Katalysatoren gezeigt, die aus aktivierten Metallocenkationen zusammengesetzt sind, die durch verträgliche nicht-koordinierende Anionen stabilisiert sind, siehe beispielsweise US-A-5 278 119 und US-A-5 384 299 und WO-A-92/00333.
  • Übergangsmetall-Polymerisationskatalysatorsysteme von Metallen der Gruppe 5 bis 10, bei denen das aktive Übergangsmetallzentrum in einem hohen Oxidationszustand ist und durch polyanionische Hilfsligandensysteme mit niedriger Koordinationszahl stabilisiert sind, sind in US-A-5 502 124 und seinem abgeteilten Patent US-A-5 504 049 beschrieben. Geeignete polyanionische Hilfsliganden mit niedriger Koordinationszahl schließen sowohl raumerfüllende Imide als auch Carbolide ein. Diese werden als allein oder in Kombination mit konventionellen monoanionischen Hilfsliganden geeignet beschrieben, wie Cyclopentadienylderivaten. Beispiele 2 und 8 illustrieren Gruppe 5-Metallkatalysatorverbindungen, die (Cyclopentadienyl)vanadium(p-tolylimido)dichlorid beziehungsweise (Cyclopentadienyl)niob(2,6-diisopropyl-phenylimido)dimethyl umfassen. Olefinpolymerisationskatalysatoren aus Gruppe 5 oder 6-Metallimidokomplexen sind auch in EP-A-0 641 804 beschrieben. Die Gruppe 5-Metallkomplexe schließen einen Imidoliganden und eine monoanionische organische Gruppe ein, die einen Cyclopentadienylkern enthält. Beispiel 1 illustriert die Herstellung von (Cyclopentadienyl)vanadium(p-tolylimido)dichlorid und die Tabellen auf Seiten 7 bis 9 illustrieren Polymerisation unter Verwendung desselben. Auf diese Dokumente wird für die Zwecke der US-Patentpraxis Bezug genommen.
  • Effektive Olefinpolymerisationskatalysatoren auf Basis von Vanadiumalkylkomplexen, bei denen das Metallzentrum in seinem höchsten Oxidationszustand stabilisiert ist, sind schwer zu fassen, da es keine gut etablierten Verfahren zur Synthese derartiger Verbindungen gibt. Schwierigkeiten, die mit der Synthese von Vanadiumalkylen verbunden sind, bei denen das Metallzentrum in seinem höchsten Oxidationszustand stabilisiert ist, sind gut dokumentiert. Siehe beispielsweise J. Buijink, J. Organomet. Chem 1995, 497, 161–170, D. D. Devore, J. Am. Chem. Soc., 1987, 109, 7408–7416 und andere Druckschriften, die Fachleuten wohl bekannt sind.
  • EP-A-532 098 offenbaren Imidoarylvanadiumkomplexe, die drei Halogene als einwertige Liganden umfassen (von denen einer durch eine Aminogruppe ersetzt werden kann), in Kombination mit einer organometallischen Verbindung als Olefinpolymerisationskatalysatorzusammensetzung.
  • WO-A-94/14854 offenbart Imidoarylvanadiumkomplexe, die zwei Halogene und eine Amingruppe als einwertige Liganden umfassen, in Kombination mit einer organometallischen Verbindung als Olefinpolymerisationskatalysatorzusammensetzung.
  • Es wäre daher erwünscht, Vanadiumalkylkomplexe zu liefern, in denen das Vanadiummetallzentrum in seinem höchsten Oxidationszustand durch (a) einen polyanionischen Liganden mit niedriger Koordinationszahl und (b) geeignete weitere Hilfsliganden stabilisiert ist.
  • Offenbarung der Erfindung
  • Diese Erfindung betrifft eine Olefinpolymerisationskatalysatorzusammensetzung, die das Reaktionsprodukt von 1) einer Gruppe 5-Metallverbindung, die einen polyanionischen Gruppe 15-Element-Hilfsliganden und drei ein- oder mehrzähnige einwertige Liganden umfasst, die Gruppe 14-16-Elemente an das Gruppe 5-Metall gebunden umfassen, jedoch unter Ausschluss von Cyclopentadienylliganden, und 2) Katalysatoraktivatorverbindung umfasst, wobei die Katalysatoraktivatorverbindung eine ionisierende nicht-koordinierende Anionvorläuferverbindung ist, wobei die einwertigen Liganden einen Liganden, der Gruppe 15-16-Element umfasst, und zwei Liganden umfassen, die Gruppe 14-Elemente umfassen, wobei die Elemente an das Gruppe 5-Metall gebunden sind.
  • Die Erfindung schließt ein Polymerisationsverfahren ein, das dadurch gekennzeichnet ist, dass ein oder mehrere Monomere, die durch Koordinations- oder carbokationische Polymerisation polymerisierbar sind, unter geeigneten Polymerisationsbedingungen mit diesen Katalysatorzusammensetzungen kontaktiert werden.
  • Bester Modus und Beispiele der Erfindung
  • Die oben beschriebenen erfindungsgemäßen Gruppe 5-Metallverbindungen können generisch durch die folgenden Symbole wiedergegeben werden: [RJ]MR'3 (1)und [(RJ)Yn(X)]MR'2 (2)wobei M ein Gruppe 5 Metall ist; J ein Gruppe 15-Heteroatomligand ist, der kovalent an M gebunden ist; R eine substituierte oder unsubstituierte Aryl-, Kohlenwasserstoff- oder Organometalloidgruppe ist, die kovalent an J gebunden ist, vorzugsweise substituiertes oder unsubstituiertes Aryl oder alicyclisches Kohlenwasserstoff; jedes R' unabhängig ein einfach negativer Ligand ist, z. B. substituierte oder unsubstituierte Aryl-, substituierte oder unsubstiutierte lineare oder cyclische Kohlenwasserstoff-, Silyl-, Hydrid- oder substituierte oder unsubstituierte Organometalloidgruppe ist, wobei zudem beliebige zwei R' unter Bildung eines Metallozyklus verbunden sein können; X ein einwertiger ein- oder mehrzähniger Hilfsligand ist, der mindestens ein Gruppe 14-16-Element umfasst, das kovalent an M gebunden ist; und Y eine optionale kovalente Brückengruppe ist, die R und X verbindet, die mindestens ein Gruppe 14-16-Element umfasst, n = 1 ist, wenn X kovalent an R gebunden ist, und n = 0 ist, wenn X nicht kovalent an R gebunden ist. Der Begriff "substituiert" bedeutet, dass ein oder mehrere Wasserstoffatome an der Kohlenwasserstoff-, Aryl- oder Organometalloidgruppe durch einen C1- bis C20-Kohlenwasserstoffrest oder jeglichen von einem Arylrest, einem Halogenidrest, einem Phosphidorest, einem Alkoxid- oder Aryloxidrest (vorzugsweise mit einem bis zwanzig Kohlenstoffatomen) oder jeglichen anderen Rest, der eine Lewis-saure oder -basische Funktionalität enthält, ersetzt worden ist.
  • Die erfindungsgemäßen Gruppe 5-Metallverbindungen mit einem polyanionischen Hilfsliganden und drei einwertigen ein- oder mehrzähnigen Liganden können durch die folgenden Figuren wiedergegeben werden:
    Figure 00050001
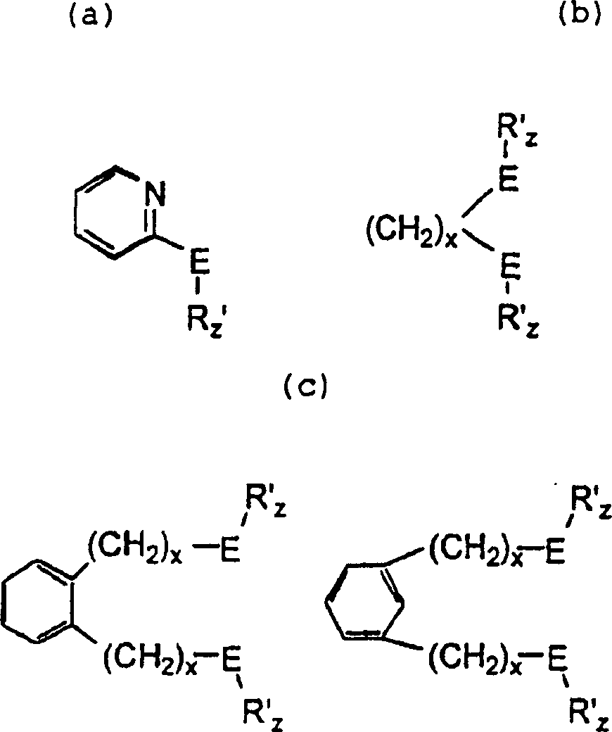
    wobei jeder der markierten Substituenten wie oben definiert ist. Geeignete einzähnige Liganden X schließen jene in der Gruppe bestehend aus Aryloxiden oder Alkoxiden [-OR1], Siloxiden [-OsiR1 3], Thiolen [-SR1], Amiden [-NR1 2] und Phosphiden [-PR1 2] ein, wobei R1 jedes beliebige Element der oben für R' definierten Gruppe sein kann. Geeignete mehrzähnige Liganden werden durch die zweizähnigen Carboxylate [-O2CR1], Carboxythiolate [-S2CR1], Triflate [-O3SR1], Acetylacetate [η2-R1COCR1COR1], Amidate [η2-R1NCR1NR1], Gruppe 15 oder 16-orthosubstituierte Pyridine (Darstellung (a)), Gruppe 15 oder 16-substituierte Kohlenwasserstoffe (Darstellung (b)), Gruppe 15 oder 16-substituierte Aryle (Darstellung (c)) wiedergegeben:
    Figure 00060001
    wobei x = 0 bis 6 ist, jedes x unabhängig ausgewählt wird und E unabhängig ein Gruppe 15-Element (wobei z in diesem Fall 1 oder 2 sein kann) oder ein Gruppe 16-Element ist (wobei z in diesem Fall 0 oder 1 sein kann).
  • Außerdem können mehrzähnige Liganden wie in Darstellung (d) gezeigt verwendet werden:
    Figure 00070001
  • Zu repräsentativen (1) Verbindungen gehören die Folgenden:
    Figure 00070002
  • Zu repräsentativen (2) Verbindungen gehören die Folgenden:
    Figure 00080001
    wobei E entweder ein Gruppe 15-Element (in diesen Fall ist z = 1) oder ein Gruppe 16-Element (in diesem Fall ist z = 0) ist; x, R1 sind wie oben definiert. D*ie erfindungsgemäßen Katalysatorverbindungen können in hohen Ausbeuten unter Verwendung der folgenden Techniken hergestellt werden. Die Synthese kann für Vanadium beispielsweise mit einer Reaktion zwischen Vanadiumoxytrichlorid und einem geeigneten organischen Molekül wie einem Isocyanat, einem Amin oder einem Alkalimetallsalz eines Amins beginnen (siehe Schema 1).
  • Schema 1
    • VOCl3 + RNCO ----- [RN]VCl3
  • Weitere chemische Modifikationen können durch Ligandenaustauschreaktionen wie Metathese vorgenommen werden. (Siehe Schema 2).
  • Schema 2
    Figure 00090001
  • Die Behandlung eines Arylimidogruppe-(V)-Trialkylkomplexes mit einem Äquivalent eines protischen Reagenzes wie eines Amins oder eines Alkohols führt zu Eliminierung eines Äquivalents Alkan zusammen mit Ligandbildung einer Amidogruppe unter Bildung von erfindungsgemäßen Verbindungen. Alternativ können die erfindungsgemäßen Verbindungen durch anfängliche Substitution eines einzelnen Chloridliganden aus einem Arylimidogruppe-(V)-Metalltrichlorid durch Reaktion mit beispielsweise Alkalimetallsalz eines Alkohols hergestellt werden, die zur Bildung einer Arylimidogruppe-(V)-metall(alkoxy)dichlorid führt. Alkylierung des Arylimidogruppe-(V)-(alkoxy)dichlorids führt zur Bildung der erfindungsgemäßen Verbindungen. Ein früherer Versuch zur Herstellung von Verbindungen dieser Typen beinhaltet direkte Zugabe von Alkylierungsmitteln zu (Tolylimido)vanadium(V)trichlorid. Diese Reaktion führt zur Bildung von (Tolylimido)vanadium(V)(bismethyltrimethylsilyl)chlorid, siehe beispielsweise D. D. Devore, J. Am. Chem. Soc., 1987, 109, 7408–7416. Die oben zur Herstellung der erfindungsgemäßen Verbindungen beschriebenen Verfahren bieten größere Vielseitigkeit und Kontrolle sterischer und elektronischer Variationen um das Metallzentrum herum.
  • Die Verwendung von (a) polyanionischem Liganden mit niedriger Koordinationszahl und (b) einem weiteren Hilfsliganden, der dem Vanadiummetallzentrum einsame n-Elektronenpaare zur Verfügung stellen kann (siehe repräsentative Beispiele für Formel (2)) führt zu erhöhter Stabilität, wodurch die Bildung von Vanadiumalkylomplexen möglich ist, bei denen das Vanadiummetallzentrum in seinem höchsten Oxidationszustand stabilisiert ist. Diese unerwartete Feststellung wird erhärtet durch (1) die geringe Menge an Vanadiumalkylkomplexen, in denen das Vanadiummetallzentrum in seinem höchsten Oxidationszustand stabilisiert ist, und (2) bestätigt die Instabilität von Vanadium(V)alkylkomplexen, die nicht die Hilfsligandanordnungen der erfindungsgemäßen Verbindungen besitzen. Es wird beispielsweise berichtet, dass tert.-Butylimido-cyclopentadienylvanadiumdimethyl thermisch instabil ist und sich bei Raumtemperatur innerhalb von Minuten zersetzt. Siehe F. Preuss, Z. Naturforsch 1990, 45b, 191–198.
  • Weitere Details finden sich in Progress in Inorganic Chemistry, Volume 42, 1994, 239–482 und anderen Druckschriften, die dem Fachmann leicht zugänglich sind.
  • Die erfindungsgemäßen Gruppe 5-Metallverbindungen können in beliebiger ausreichender Weise für die Polymerisationskatalyse aktiviert werden, um Koordinations- oder kationische Polymerisation zu ermöglichen. Dies kann für Koordinationspolymerisation erreicht werden, wenn ein Ligand abstrahiert werden kann und ein weiterer entweder Einschub der ungesättigten Monomere erlaubt oder in ähnlicher Weise zum Ersatz durch einen solchen, der Einschub des ungesättigten Monomers erlaubt, z. B. Alkyl, Silyl oder Hydrid, abstrahierbar ist. Die vorliegenden Aktivatoren für die Koordinationspolymerisation sind ionisierende nicht-koordinierende Anionvorläuferverbindungen, die einen Liganden abstrahieren, um so das Gruppe 5-Metall zentrum zu einem Kation zu ionisieren und ein die Ladung ausgleichendes nicht-koordinierendes Anion zu liefern.
  • Der Begriff "nicht-koordinierendes Anion" ist bekannt und bedeutet ein Anion, das entweder nicht mit dem Metallkation koordiniert oder an dieses nur schwach koordiniert ist, wodurch es ausreichend labil bleibt, um durch eine neutrale Lewisbase verdrängt zu werden, wie ein olefinisch oder acetylenisch ungesättigtes Monomer.
  • Beschreibungen von ionischen Katalysatoren, jenen, die ein Übergangsmetallkation und ein nicht-koordinierendes Anion umfassen, die für Koordinationspolymerisation geeignet sind, erscheinen in den frühen Arbeiten in US-A-5 064 802, US-A-5 132 380, US-A-5 198 401, US-A-5 278 119, US-A-5 321 106, US-A-5 347 024, US-A-5 408 017, US-A-5 599 671 und den internationalen Veröffentlichungen WO-A-92/00333 und WO-A-93/14132. Diese lehren ein bevorzugtes Herstellungsverfahren, wobei Metallocene durch nicht-koordinierende Anionenvorläufer protoniert werden, so dass eine Alkyl/Hydridgruppe von einem Übergangsmetall abstrahiert wird, um es sowohl kationisch zu machen als auch in der Ladung durch das nicht-koordinierende Anion auszugleichen. Da die Abstraktions- und Einschubliganden dieser Metallocene auch Liganden der erfindungsgemäßen Gruppe 5-Metallverbindungen sein können, können ähnliche Verfahren zur Herstellung als aktive Polymerisationskatalysatorkomponenten nachgearbeitet werden.
  • Die Verwendung von ionisierenden ionischen Verbindungen, die kein aktives Proton enthalten, jedoch in der Lage sind, sowohl das aktive Gruppe 5-Metallkation als auch ein nicht-koordinierendes Anion zu produzieren, ist auch brauchbar. Siehe EP-A-0 426 637, EP-A-0 573 403 und US-A-5 387 568 hinsichtlich instruktiver ionischer Verbindungen. Reaktive Kationen der ionisierenden ionischen Verbindungen, die von den Brönstedt- Säuren verschieden sind, schließen Ferrocenium, Silber, Tropylium, Triphenylcarbenium und Triethylsilylium oder Alkalimetall- oder Erdalkalimetallkationen wie Natrium-, Magnesium- oder Lithiumkationen ein. Eine weitere Klasse von erfindungsgemäß geeigneten nicht-koordinierenden Anionvorläufern sind hydratisierte Salze, die die Alkalimetall- oder Erdalkalimetallkationen und nicht-koordinierendes Anion wie oben beschrieben umfassen. Die hydratisierten Salze können durch Reaktion des Metallkation-nicht-koordinierenden Anion-Salzes mit Wasser hergestellt werden, beispielsweise durch Hydrolyse des kommerziell erhältlichen oder leicht synthetisierten LiB(pfp)4, die [Li·xH2O][B(pfp)4] ergibt, wobei (pfp) Pentafluorphenyl oder Perfluorphenyl ist.
  • Jedes Metall oder Metalloid, das einen Koordinationskomplex bilden kann, der nicht durch Wasser (oder andere Brönstedt- oder Lewissäuren) abgebaut werden kann, kann in dem nicht-koordinierenden Anion verwendet oder enthalten sein. Zu geeigneten Metallen gehören Aluminium, Gold, Platin und dergleichen, sind jedoch nicht auf diese begrenzt. Zu geeigneten Metalloiden gehören Bor, Phosphor, Silicium und dergleichen, sind jedoch nicht auf diese begrenzt. Die Beschreibung der nicht-koordinierenden Anionen und Vorläufern derselben aus den Druckschriften der vorhergehenden Absätze werden hier zu Zwecken der US-Patentpraxis zitiert zum Zweck der Bezugnahme.
  • Ein weiteres Verfahren zur Herstellung der erfindungsgemäßen aktiven Polymerisationskatalysatoren verwendet ionisierende Anionvorläufer, die anfangs neutrale Lewissäuren sind, jedoch nach Ionisierungsreaktion mit den erfindungsgemäßen Verbindungen ein Gruppe 5-Metallkation und das nicht-koordinierende Anion bilden, beispielsweise wirkt Tris(pentafluorphenyl)bor so, dass ein Kohlenwasserstoff-, Hydrid- oder Silylligand abstrahiert wird, um ein Gruppe 5-Metallkation und stabi lisierendes nicht-koordinierendes Anion zu ergeben, siehe EP-A-0 427 697 und EP-A-9 520 732 zur Illustration der Verwendung von Gruppe 4-Metallocenverbindungen. Siehe auch die Verfahren und Verbindungen von EP-A-0 495 375. Die Beschreibung der nicht-koordinierenden Anionen und Vorläufern derselben aus diesen Druckschriften wird in ähnlicher Weise zu Zwecken der US-Patentpraxis zitiert zum Zweck der Bezugnahme.
  • Wenn der Kationanteil eines ionischen nicht-koordiniernden Anionvorläufers eine Brönstedtsäure wie Protonen oder protonierte Lewisbasen (außer Wasser) oder eine reduzierbare Lewissäure wie Ferrocenium oder Silberkationen oder Alkalimetall- oder Erdalkalimetallkationen ist, wie jene von Natrium-, Magnesium- oder Lithiumkationen, kann das Molverhältnis von Übergangsmetall zu Aktivator jedes beliebige Verhältnis sein, vorzugsweise jedoch 10:1 bis 1:10, insbesondere 5:1 bis 1:5, besonders bevorzugt 2:1 bis 1:2 und am meisten bevorzugt 1,2:1 bis 1:1,2, wobei das Verhältnis von 1:1 am meisten bevorzugt ist.
  • Geeignete aktive Katalysatorkomplexe für die Koordinationspolymerisation können somit durch Aktivierung mit den traditionellen Metallocenaktivatoren hergestellt werden, typischerweise den Alkylaluminiumhalogeniden, Alkylalumoxanen und ionisierenden Bor- oder Aluminiumverbindungen, die in der Technik bekannt sind. Die aktiven Katalysatoren sind somit katalytisch aktive Komponenten, die Komplexe umfassen, die von den Gruppe 5-Metallverbindungen, die die erfindungsgemäßen Hilfsliganden enthalten, und Aluminiumalkylen, Alumoxanen und nicht-koordinierenden Anionen abgeleitet sind. Die erfindungsgemäßen carbokationischen Katalysatorkomplexe sind jene, die mit den ionisierenden nicht-koordinierenden Anionvorläuferverbindungen hergestellt sind.
  • Die erfindungsgemäßen Katalysatorkomplexe sind zur Polymerisation von ungesättigten Monomeren brauchbar, die bekanntermaßen konventionell unter entweder Koordinationspolymerisationsbedingungen oder kationischen Polymerisationsbedingungen unter Verwendung von Metallocenen polymerisierbar sind. Solche Bedingungen sind wohl bekannt und schließen Lösungspolymerisation, Aufschlämmungspolymerisation und Nieder-, Mittel- und Hochdruck-Gasphasenpolymerisation ein. Der erfindungsgemäße Katalysator kann trägergestützt sein und ist als solcher besonders brauchbar in den bekannten Betriebsmodi unter Verwendung von Festbett-, Bewegtbett-, Wirbelbett- oder Aufschlämmungsverfahren, die in Einzel-, Reihen- oder Parallelreaktoren durchgeführt werden.
  • Bei Verwendung der erfindungsgemäßen Katalysatoren, insbesondere wenn sie auf einem Träger immobilisiert sind, enthält das Gesamtkatalysatorsystem allgemein zusätzlich ein oder mehrere Abfangverbindungen. Der Begriff "Abfangverbindungen" soll in dieser Anmeldung und ihren Ansprüchen jene Verbindungen einschließen, die zur Entfernung polarer Verunreinigungen aus der Reaktionsumgebung wirksam sind. Verunreinigungen können versehentlich mit irgendwelchen Polymerisationsreaktionskomponenten eingebracht werden, insbesondere mit Lösungsmittel, Monomer- und Katalysatoreinsatzmaterial, und können Katalysatoraktivität und Stabilität nachteilig beeinflussen. Es kann zu Abnahme oder sogar Wegfall der katalytischen Aktivität führen, insbesondere wenn ionisierende Anionenvorläufer das Katalysatorsystem aktivieren. Zu den polaren Verunreinigungen oder Katalysatorgiften gehören Wasser, Sauerstoff, Metallverunreinigungen, usw. Vorzugsweise werden vor Einbringung derselben in das Reaktionsgefäß Maßnahmen ergriffen, beispielsweise durch chemische Behandlung oder sorgfältige Trenntechniken nach oder während der Synthese oder Herstellung der verschie denen Komponenten, normalerweise werden jedoch noch geringere Mengen an Abfangverbindung in dem Polymerisationsverfahren selbst verwendet.
  • Diese Abfangverbindungen sind in der Regel organometallische Verbindungen wie die organometallischen Gruppe-13-Verbindungen von US-A-5 153 157, US-A-5 241 025 und WO-A-91/09882, WO-A-94/03506, WO-A-93/14132, und jene von WO-A-95/07941. Zu beispielhaften Verbindungen gehören Triethylaluminium, Triethylboran, Triisobutylaluminium, Methylalumoxan, Isobutylaluminoxan und Tri(n-octyl)aluminium. Jene Abfangverbindungen mit raumerfüllenden oder linearen C6-C20-Kohlenwasserstoffsubstituenten, die kovalent an das Metall- oder Metalloidzentrum gebunden sind, sind bevorzugt, um nachteilige Wechselwirkung mit dem aktiven Katalysator zu minimieren. Zu Beispielen gehören Triethylaluminium, insbesondere jedoch raumerfüllende Verbindungen wie Triisobutylaluminium, Triisoprenylaluminium und langkettige lineare alkylsubstituierte Aluminiumverbindungen, wie Tri-n-hexylaluminium, Tri-n-octylaluminium oder Tri-n-dodecylaluminium. Wenn Alumoxan als Aktivator verwendet wird, wirkt jeglicher Überschuss gegenüber der Menge, die erforderlich ist, um die vorhandenen Katalysatoren zu aktivieren, als Abfangverbindungen, und möglicherweise sind keine weiteren Abfangverbindungen erforderlich. Alumoxane können auch in Abfangmengen mit anderen Aktivierungsmitteln verwendet werden, z. B. Methylalumoxan und Triisobutylaluminoxan. Die mit den erfindungsgemäßen Gruppe 5-Katalysatorverbindungen zu verwendende Menge an Abfangmittel wird während Polymerisationsreaktionen auf jene Menge minimiert, die wirksam ist, um Aktivität zu erhöhen, und ganz weggelassen, wenn die Einsatzmaterialien ausreichend frei von zufällig anwesenden Verunreinigungen sein können.
  • Der erfindungsgemäße Katalysator kann zur Verwendung in Gasphasen-, Massen-, Aufschlämmungspolymerisationsverfahren oder ansonsten nach Bedarf trägergestützt sein. In der Technik sind zahlreiche Trägerverfahren für Copolymerisationsverfahren für Olefine bekannt, insbesondere für Katalysatoren, die mit Alumoxanen aktiviert werden, hiervon ist jedes für das erfindungsgemäße Verfahren in seinem allgemeinsten Umfang geeignet. Siehe beispielsweise US-A-5 057 475 und US-A-5 227 440. Ein Beispiel für trägergestützte ionische Katalysatoren findet sich in WO-A-94/03056. Ein besonders effektives Verfahren ist dasjenige, das in der gleichzeitig anhängigen US-Patentanmeldung 08/474 948, eingereicht am 7. Juni 1995, und WO-A-96/04319 beschrieben ist. Ein Massen- oder Aufschlämmungsverfahren, das trägergestützte erfindungsgemäße Gruppe 5-Metallverbindungen verwendet, die mit Alumoxan-Cokatalysatoren aktiviert werden, kann wie für Ethylen-Propylen-Kautschuk in US-A-5 001 205 und US-A-5 229 478 beschrieben verwendet werden, diese Verfahren sind auch mit den Katalysatorsystemen von dieser Anmeldung geeignet. Gemäß der Kenntnisse auf dem Sektor können sowohl anorganische Oxid- als auch polymere Träger verwendet werden. Siehe US-A-5 422 325, US-A-5 427 991, US-A-5 498 582, US-A-5 466 649, die gleichzeitig anhängigen US-Patentanmeldungen Nr. 08/265,532 und 08/265,533, beide eingereicht am 24. Juni 1995, und die internationalen Veröffentlichungen WO-A-93/11172 und WO-A-94/07928.
  • In bevorzugten Ausführungsformen des erfindungsgemäßen Verfahrens wird das Katalysatorsystem in der Flüssigphase (Lösung, Aufschlämmung, Suspension, Massenphase oder Kombinationen davon), in Hochdruck-Flüssig- oder überkritischer Fluidphase oder in der Gasphase verwendet. Jedes dieser Verfahren kann in Einzel-, Parallel- oder Reihenreaktoren verwendet werden. Die Flüssigverfahren beinhalten das Kontaktieren von Ole finmonomeren mit dem oben beschriebenen Katalysatorsystem in geeignetem Verdünnungsmittel oder Lösungsmittel und Reagierenlassen der Monomere für eine ausreichende Zeit, um die erfindungsgemäßen Copolymere zu produzieren. Geeignet sind sowohl aliphatische als auch aromatische Kohlenwasserstofflösungsmittel, Hexan und Toluol sind bevorzugt. Halogenkohlenwasserstofflösungsmittel, z. B. Methylenchlorid, sind auch geeignet. Massen- und Aufschlämmungsverfahren werden in der Regel durchgeführt, indem die Katalysatoren mit einer Aufschlämmung von flüssigem Monomer kontaktiert werden, wobei das Katalysatorsystem trägergestützt ist. Gasphasenverfahren verwenden typischerweise einen trägergestützten Katalysator und werden in jeder Weise durchgeführt, die bekanntermaßen für Ethylenhomopolymere oder -copolymere geeignet ist, die durch Koordinationspolymerisation hergestellt werden. Illustrierende Beispiele finden sich in den US-Patenten 4 543 399, 4 588 790, 5 028 670, 5 382 638, 5 352 749, 5 436 304, 5 453 471 und 5 463 999, sowie WO-A-95/07942.
  • Die Verwendung von Alkylhalogenidpromotoren, wie Hexachlorcyclopentadien, Ethyltrichloracetat oder Benzoylchlorid mit Ziegler-Vanadiumkatalysatoren zur Leistungssteigerung (d. h. Erhöhung der Polyethylenausbeuten) ist wohl bekannt und kann mit den erfindungsgemäßen Katalysatoren verwendet werden. Siehe beispielsweise US-A-4 232 140, US-A-4 508 842 und EP-0 44 119 und EP-0 196 830.
  • Die Polymerisationsreaktionstemperatur kann allgemein gesagt von –50°C bis 250°C variieren. Die Reaktionstemperaturbedingungen sind vorzugsweise –20°C bis 220°, insbesondere unter 200°C. Der Druck kann von etwa 1 × 105 Pa (1 mm) Hg bis 2,5 × 105 Pa (2500 bar), vorzugsweise 0,1 bar bis 1600 bar, am meisten bevorzugt 1,0 bis 500 bar variieren. Wenn Copolymere mit niedrigerem Molekulargewicht, z. B. Mn < 10.000, angestrebt werden, ist es geeignet, die Reaktionsverfahren bei Temperaturen über etwa 0°C und Drücken unter 5 × 107 Pa (500 bar) durchzuführen. Die Multiboraktivatoren von US-A-5 278 119 können zusätzlich verwendet werden, um die Herstellung der erfindungsgemäßen Copolymere mit niedrigem Molekulargewicht zu erleichtern.
  • Lineares Polyethylen einschließlich Polyethylenen mit hohem und ultrahohem Molekulargewicht einschließlich sowohl Homo- als auch Copolymeren mit anderen α-Olefinmonomeren, α-olefinischen und/oder nicht-konjugierten Diolefinen, beispielsweise C3-C20-Olefinen, Diolefinen oder cyclischen Olefinen, werden durch Zugabe von Ethylen und gegebenenfalls einem oder mehreren der anderen Monomere in ein Reaktionsgefäß unter niedrigem Druck (typischerweise 5 × 106 Pa (50 bar)) bei einer typischen Temperatur von 20–250°C mit dem erfindungsgemäßen Katalysator hergestellt, der mit Lösungsmittel wie Heptan oder Toluol aufgeschlämmt worden ist. Die Polymerisationswärme wird in der Regel durch Kühlen abgeleitet. Gasphasenpolymerisation kann beispielsweise in einem kontinuierlichen Wirbelbett-Gasphasenreaktor, der mit 2000 bis 3000 kPa und bei 60–160°C betrieben wird, unter Verwendung von Wasserstoff als Reaktionsmodifizierungsmittel (100–200 ppm), C4-C8-Comonomereinsatzmaterialstrom (0,5–1,2 Mol.%) und C2-Einsatzmaterialstrom (25–35 Mol) durchgeführt werden. Siehe US-A-4 543 399, US-A-4 588 790, US-A-5 028 670 und US-A-5 405 922 und US-A-5 462 999, auf die hier für die Zwecke der US-Patentpraxis Bezug genommen wird.
  • Ethylen-α-Olefin- (einschließlich Ethylen-cyclisches Olefin- und Ethylen-α-Olefin-Diolefin)-Elastomere mit hohem Molekulargewicht und niedriger Kristallinität können unter Verwendung der erfindungsgemäßen Katalysatoren unter Verwendung von traditionellen Lösungspolymerisationsverfahren oder durch Einbringen von Ethylengas in eine Aufschlämmung hergestellt wer den, die das α-Olefin oder cyclische Olefin oder Mischung davon mit anderen polymerisierbaren oder nicht-polymerisierbaren Monomeren als Polymerisationsverdünnungsmittel einsetzt, in dem der erfindungsgemäße Katalysator suspendiert wird. Typische Ethylendrücke liegen zwischen 10 und 1000 psig (69 bis 6895 kPa), und die Polymerisationsverdünnungsmitteltemperatur liegt typischerweise zwischen –10 und 160°C. Das Verfahren kann in einem oder mehreren gerührten Tankreaktor durchgeführt werden, die in Reihe oder parallel betrieben werden. Hinsichtlich der allgemeinen Verfahrensbedingungen siehe die allgemeine Offenbarung von US-A-5 001 205. Siehe auch die gleichzeitig anhängigen US-Patentanmeldungen mit den Aktenzeichen 08/426 363, eingereicht am 21. April 1995, und 08/545 973, eingereicht am 20. Oktober 1995.
  • Präpolymerisation des erfindungsgemäßen trägergestützten Katalysators kann auch zur weiteren Steuerung der Polymerteilchenmorphologie in typischen Aufschlämmungs- oder Gasphasenreaktionsverfahren gemäß konventionellen Lehren verwendet werden. Dies kann beispielsweise durch Präpolymerisieren von C2-C6-α-Olefin für eine begrenzte Zeit bewirkt werden, beispielsweise wird Ethylen mit dem trägergestützten Katalysator bei einer Temperatur von –15 bis 30°C und Ethylendruck bis zu etwa 1724 kPa (250 psig) für 75 Minuten kontaktiert, um eine Polymerbeschichtung aus Polyethylen mit einem Molekulargewicht von 30 000 bis 150 000 auf dem Träger zu erhalten. Der präpolymerisierte Katalysator steht dann zur Verwendung in den oben genannten Polymerisationsverfahren zur Verfügung. Die Verwendung polymerer Harze als Trägerbeschichtung kann zusätzlich verwendet werden, typischerweise durch Suspendieren eines festen Trägers in gelöstem Harz von solchem Material wie Polystyrol mit anschließendem Abtrennen und Trocknen. Hinsichtlich der Beschreibung von Metallocenverbindungen, ionischen Aktivatoren und brauchbaren Abfangverbindungen wird hier auf alle Dokumente Bezug genommen.
  • Unter Verwendung der erfindungsgemäßen Katalysatoren können durch entweder Koordinations- oder carbokationische Polymerisation andere olefinisch ungesättigte Monomere neben den oben speziell beschriebenen polymerisiert werden, beispielsweise Styrol, alkylsubstituiertes Styrol, Ethylidennorbornen, Norbornadien, Dicyclopentadien und andere olefinisch ungesättigte Monomere einschließlich anderer cyclischer Olefine, wie Cyclopenten, Norbornen, alkylsubstituierter Norbornene, und einschließlich Isobutylen, Isopren, Butadien, Vinylethern, Vinylcarbazolen, usw. Es können zudem auch α-olefinische Makromonomere mit bis zu 100 Monomer-Einheiten oder mehr durch Copolymerisation eingebaut werden.
  • Schmieröladditivzusammensetzungen können vorteilhaft hergestellt werden, wenn α-Olefin-Copolymere mit niedrigem Molekulargewicht mit endständiger Vinyl- oder Vinylidenungesättigtheit mit den erfindungsgemäßen Katalysatoren hergestellt werden. Siehe die Offenbarungen von US-A-5 498 809 und den internationalen Patentanmeldungen WO-A-93/24359, WO-A-94/19436 und WO-A-94/13715 und die dort für weitere Informationen, wie hinsichtlich α-Olefinpolymeren mit niedrigem Molekulargewicht, aufgeführten Dokumente.
  • In ähnlicher Weise, jedoch unter Verwendung von α-Olefin/Diolefin-Copolymer mit höherem Molekulargewicht (10 000 < Mn < 300 000) mit einer ausreichend niedrigen Kristallinität, um Öllöslichkeit zu ermöglichen (z. B. Kristallinität < 40 %) können wie in den gleichzeitig anhängigen US-Patentanmeldungen 08/426 363, eingereicht am 21. April 1995, und 08/545 973, eingereicht am 20. Oktober 1995, beschrieben multifunktionale Viskositätsmodifizierungs-Schmieröladditive produziert werden. Siehe die Beschreibungen der Schmierölmodifizierungsmittel und Schmierölzusammensetzungen in US-A-4 749 505, US-A-4 772 406 und WO-A-93/12148.
  • Carbokationische Polymerisation kann durch Verwendung der erfindungsgemäßen Katalysatoren bewirkt werden, wenn sie durch asktivierende Ionisierung in aktive kationische Spezies überführt werden. Solche Polymerisationstechniken sind in der Technik wohl bekannt, siehe J. P. Kennedy, Carbocationic Polymerization of Olefins : A Critical Inventory (John Wiley & Sons, 1975). Siehe auch Michael C. Baird et al., η5-C5Me5TiMe3B(C6F5)3: A Carbocationic Olefin Polymerization Initiator Masquerading as a Ziegler-Natta Catalyst, J. Am. Chem. Soc. 1994, 116, 6435–6436, hinsichtlich Bedingungen, unter denen das Metall Ti der ersten Reihe in stabiler kationischer Metallocenform zur carbokationischen Polymerisation verwendet wurde. Auf jedes wird hier zu Zwecken der US-Patentpraxis Bezug genommen.
  • Die erfindungsgemäßen Katalysatorzusammensetzungen können wie oben beschrieben individuell zur Koordinations- oder carbokationischen Polymerisation verwendet werden oder können zur Herstellung von Polymergemischen mit anderen bekannten Olefinpolymerisationskatalysatorverbindungen gemischt werden. Durch Auswahl von Monomeren, Gemischen von Koordinationskatalysatorverbindungen oder Gemischen von carbokationischen Katalysatorverbindungen oder beliebigen davon zusammen können Polymergemische unter Polymerisationsbedingungen hergestellt werden, die zu jenen unter Verwendung von individuellen Katalysatorzusammensetzungen analog sind. Polymere mit erhöhter MWD zur verbesserten Verarbeitung und anderen traditionellen Vorteilen, die aus mit gemischten Katalysatorsystemen hergestellten Polymeren erhältlich sind, können so erreicht werden.
  • Die folgenden Beispiele werden zur Veranschaulichung der vorhergehenden Erörterung gegeben. Alle Teile, Proportionen und Prozentsätze beziehen sich auf das Gewicht, wenn nicht anders angegeben. Für die Polymerisationsbeispiele wurden, wenn nicht anders angegeben, Umgebungstemperaturen verwendet. Obwohl die Beispiele auf bestimmte Ausführungsformen der vorliegenden Erfindung abzielen, sollen sie nicht als die Erfindung in irgendeiner speziellen Weise einschränkend angesehen werden. In diesen Beispielen werden bestimmte Abkürzungen verwendet, um die Beschreibung zu erleichtern. Hierzu gehören chemische Standardabkürzungen für die Elemente und bestimmte, allgemein anerkannte Abkürzungen, wie: Me = Methyl, Et = Ethyl, Pr1 = Isopropyl, Bu = Butyl, Ph = Phenyl, und THF = Tetrahydrofuran.
  • Beispiel 1 – Herstellung von Katalysator
  • (a) Herstellung von (2,6-Pr1 2C6H3N)VCl3·THF
  • Eine Lösung von 25 g VOCl3 (0,14 Mol) und 25 g 2,6-Diisopropylphenylisocyanat (0,12 Mol) in 100 ml Oktan wurde zusammen 24 Stunden unter Rückfluss gehalten. Anschließende Lösungsmittelentfernung unter vermindertem Druck ergab einen dunkelgrünen öligen Feststoff. Dieser Feststoff wurde mit 50 ml Pentan extrahiert, filtriert und mit ungefähr 20 ml THF behandelt, um einen sandfarbenen Niederschlag zu produzieren. Das Auffangen durch Filtration ergab 33,6 g (2,6-Pr1 2C6H3N)VCl3·THF. Weitere 6, 0 g wurden durch eine zweite Extraktion des verbleibenden grünen öligen Feststoffs, anschließende Behandlung mit THF und Isolierung durch Filtration erhalten. Gesamtausbeute 39,6 g (0,10 Mol), 69 % bezogen auf Vanadium.
  • (b) Herstellung von (2,6-Pr1 2C6H3N)V(CH2C6H5)3
  • Eine Lösung von (2,6-Pr1 2C6H3N)VCl3·THF (20 g, 0,049 mol) in 50 ml Hexan wurde auf –30°C abgekühlt. Eine Lösung von C6H5CH2MgCl (148 ml, 1 M Lösung in Diethylether, 0,148 Mol) wurde tropfenweise über einen Zeitraum von 15 Minuten zugegeben, was zu einer Änderung der Farbe der Lösung von grün nach rot führte. Die resultierende rote Lösung wurde auf Raumtemperatur erwärmen gelassen, woraufhin sie filtriert wurde und das Lösungsmittel unter einem Stickstoffstrom entfernt wurde. Umkristallisation des resultierenden rohen öligen Feststoffs aus Hexan ergab (2,6-Pr1 2C6H3N)V(CH2C6H5)3 als dunkelroten kristallinen Feststoff (16 g, 0,032 Mol, 65 %).
  • (c) Herstellung von (2,6-Pr1 2C6H3N)V(OC(CF3)3)(CH2C6H5)2
  • Eine Lösung von (2,6-Pr1 2C6H3N)V(CH2C6H5)3 (0,53 g, 1,0 mmol) in 20 ml Hexan wurde mit (CF3)3COH (138 μl, 1,0 mmol) behandelt und über Nacht gerührt. Lösungsmittelentfernung unter einem Stickstoffstrom hinterließ einen öligen braunen Feststoff. Umkristallisation aus einer Hexanlösung bei –30°C ergab große dunkelbraune Kristalle aus (2,6-Pr1 2C6H3N)V(OC(CF3)3)(CH2C6H5)2 in 60 % Ausbeute (0,40 g, 0,6 mmol).
  • (d) Herstellung von (2,6-Pr1 2C6H3N)V(NPhMe)(CH2C6H5)2
  • Eine Lösung von (2,6-Pr1 2C6H3N)V(CH2C6H5)3 (0,3 g, 0,6 mmol ) in 20 ml Hexan wurde mit N-Methylanilin (65 μl, 0,6 mmol) behandelt und 48 Stunden gerührt. Lösungsmittelentfernung unter einem Stickstoffstrom hinterließ einen öligen braunen Feststoff. Umkristallisation aus einer Hexanlösung bei –30°C ergab rote Kristalle aus (2,6-Pr1 2C6H3N)V(NPhMe)(CH2C6H5)2 in 55 % Ausbeute (0,17 g, 0,33 mmol).
  • (e) Herstellung von (2,6-Pr1 2C6H3N)V(OC6H3-2,6-Pr1 2)(CH2C6H5)2
  • Eine Lösung von (2,6-Pr1 2C6H3N)V(CH2C6H5)3 (1,2 g, 2,4 mmol) in 20 ml Dichlormethan wurde mit 2,6-Pr1 2C6H3OH (450 μl, 2,4 mmol) behandelt und 48 Stunden gerührt. Lösungsmittelentfernung unter einem Stickstoffstrom hinterließ einen öligen rot braunen Feststoff. Umkristallisation aus einer Hexanlösung bei –30°C ergab dunkelrote Kristalle aus (2,6-Pr1 2C6H3N)V(OC6H3-2,6-Pr1 2)(CH2C6H5)2 in 75 % Ausbeute (1,05 g, 1,8 mmol).
  • Beispiel 2 – Polymerisationsbeispiele
    • (a) Eine Katalysatorlösung, die 50 mg 2,6-Pr1 2C6H3N)V(NPhMe)(CH2C6H5)2 und 80 mg [PhNHMe2][B(C6F5)4] enthält, wurde in 5 ml Toluol in einer serumverschlossenen Flasche hergestellt. 10 Minuten wurde Ethylen durch die Lösung geblasen, was zur Ausfällung des Polymers führte. Die Flasche wurde geöffnet und der Inhalt mit Wasser verdünnt. Das feste Polymer wurde mit Aceton gewaschen und getrocknet. Die Ausbeute an Polyethylen betrug 1 g.
    • (b) Eine Katalysatorlösung, die 50 mg 2,6-Pr1 2C6H3N)V(OC6H3-2,6-Pr1 2)(CH2C6H5)2 und 78 mg [Ph3C][B(C6F5)4] enthielt, wurde in 5 ml Toluol hergestellt. Die Katalysatorlösung wurde zusammen mit 400 ml Hexan und 45 ml 1-Hexen in einen 1 L Autoklaven aus rostfreiem Stahl gegeben, der zuvor mit Stickstoff gespült worden war. Der Autoklav wurde mit Ethylen auf 150 psi unter Druck gesetzt und die Mischung bei 30°C eine Stunde gerührt, woraufhin der Autoklav entlüftet wurde. Aus diesem Verfahren wurde 1 g Polymer produziert.
    • (c) In diesem Beispiel wurde eine Mischung aus 20 mg (2,6-Me2-C6H3N)V(CH2C6H5)3 und 25 mg [PhNHMe2][B(C6F5)4] in 5 ml Toluol hergestellt. Der resultierenden Mischung wurden 10 ml 1-Hexen zugefügt. Nach einer Stunde wurde das Lösungsmittel unter einem Stickstoffstrom entfernt, und das feste Polymer wurde mit Aceton gewaschen und getrocknet. Die Ausbeute an Polyhexen betrug 1 g.

Claims (11)

  1. Olefinpolymerisationskatalysatorzusammensetzung, die das Reaktionsprodukt von 1) Gruppe 5-Metallverbindung, die einen polyanionischen Gruppe 15-Element-Hilfsliganden und drei ein- oder mehrzähnige einwertige Liganden umfasst, die Gruppe 14-16-Elemente an das Gruppe 5-Metall gebunden umfassen, jedoch unter Ausschluss von Cyclopentadienylliganden, und 2) Katalysatoraktivatorverbindung umfasst, wobei die Katalysatoraktivatorverbindung eine ionisierende nicht-koordinierende Anionvorläuferverbindung ist, wobei die einwertigen Liganden einen Liganden, der Gruppe 15-16-Element umfasst, und zwei Liganden umfassen, die Gruppe 14-Elemente umfassen, wobei die Elemente an das Gruppe 5-Metall gebunden sind.
  2. Katalysatorzusammensetzung nach Anspruch 1, bei der die Gruppe 5-Metallverbindungen durch die Symbole [RJ]MR'3 (1)und [(RJ)Yn(X)]MR'2 (2)wiedergegeben werden, wobei M ein Gruppe 5-Übergangsmetall ist; J ein Gruppe 15-Heteroatomligand ist, der kovalent an M gebunden ist; R eine substituierte oder unsubstituierte Aryl-, Kohlenwasserstoff- oder Organometalloidgruppe ist, die kovalent an J gebunden ist; jedes R' unabhängig ein einfach negativer Ligand ausgewählt aus der Gruppe bestehend aus substituiertem oder unsubstituiertem Aryl, substituiertem oder unsubstituiertem linearem oder cyclischem Kohlenwasserstoff, Silyl, Hydrid oder substituierter oder unsubstituierter Organometalloidgruppe ist; X ein einwertiger ein- oder mehrzähniger Hilfsligand ist, der mindestens ein Gruppe 14-16-Element umfasst, das kovalent an M gebunden ist; und Y eine optionale kovalente Brückengruppe ist, die R und X verbindet, mindestens ein Gruppe 14-16-Element umfasst, n = 1 ist, wenn X kovalent an R gebunden ist, und n = 0 ist, wenn X nicht kovalent an R gebunden ist.
  3. Katalysatorzusammensetzung nach Anspruch 1, bei der das Gruppe 5-Metall Vanadium ist.
  4. Katalysatorzusammensetzung nach Anspruch 2, bei der das Gruppe 5-Metall Vanadium ist.
  5. Katalysatorzusammensetzung nach Anspruch 3, bei der Verbindung 1) ausgewählt ist aus der Gruppe bestehend aus (2,6-Pr1 2C6H3N)V(OC(CF3)3)(CH2C6H5)2, (2,6-Pr1 2C6H3N)V(NPhMe)(CH2C6H5)2 und (2,6-Pr1 2C6H3N)V(OC6H3-2,6-Pr1 2)(CH2C6H5)2
  6. Polymerisationsverfahren, dadurch gekennzeichnet, dass ein oder mehrere durch Koordinationspolymerisation polymerisierbare Monomere unter geeigneten Koordinationspolymerisationsbedingungen mit einer Katalysatorzusammensetzung gemäß Anspruch 1 kontaktiert werden.
  7. Verfahren nach Anspruch 6, bei dem die Monomere mindestens ein Mitglied der Gruppe bestehend aus Ethylen, α-Olefinen, cyclischen Olefinen, nicht-konjugierten Olefinen, acetylenisch ungesättigten Monomeren, olefinisch un gesättigten aromatischen Monomeren und C20-C100-Makromeren umfassen.
  8. Verfahren nach Anspruch 7, bei dem die Monomere mindestens ein Mitglied der Gruppe bestehend aus Ethylen und C2-C20-α-Olefinen umfassen.
  9. Verfahren nach Anspruch 7, bei dem die Monomere Ethylen und mindestens ein cyclisches Olefin umfassen.
  10. Verfahren nach Anspruch 7, bei dem die Katalysatorverbindung zusätzlich festen porösen Träger umfasst.
  11. Polymerisationsverfahren, dadurch gekennzeichnet, dass ein oder mehrere durch carbokationische Polymerisation polymerisierbare Monomere unter geeigneten carbokationischen Polymerisationsbedingungen mit Katalysatorzusammensetzung gemäß Anspruch 1 kontaktiert werden.
DE69831791T 1997-02-07 1998-02-05 Übergangsmetallverbindungen der gruppe 5 Expired - Lifetime DE69831791T2 (de)

Applications Claiming Priority (3)

Application Number Priority Date Filing Date Title
US798412 1997-02-07
US08/798,412 US5851945A (en) 1997-02-07 1997-02-07 Olefin polymerization catalyst compositions comprising group 5 transition metal compounds stabilized in their highest metal oxidation state
PCT/US1998/002246 WO1998034964A1 (en) 1997-02-07 1998-02-05 Group 5 transition metal compounds

Publications (2)

Publication Number Publication Date
DE69831791D1 DE69831791D1 (de) 2006-02-16
DE69831791T2 true DE69831791T2 (de) 2006-06-22

Family

ID=25173338

Family Applications (1)

Application Number Title Priority Date Filing Date
DE69831791T Expired - Lifetime DE69831791T2 (de) 1997-02-07 1998-02-05 Übergangsmetallverbindungen der gruppe 5

Country Status (7)

Country Link
US (2) US5851945A (de)
EP (1) EP0960142B1 (de)
JP (1) JP2001511208A (de)
CA (1) CA2278130C (de)
DE (1) DE69831791T2 (de)
ES (1) ES2246527T3 (de)
WO (1) WO1998034964A1 (de)

Families Citing this family (38)

* Cited by examiner, † Cited by third party
Publication number Priority date Publication date Assignee Title
US6143686A (en) * 1994-08-03 2000-11-07 Exxon Chemical Patents, Inc. Supported ionic catalyst compositions
CN1234779C (zh) * 1998-06-09 2006-01-04 卡伯特公司 生产炭黑的方法和装置
US6114270A (en) * 1998-08-07 2000-09-05 Equistar Chemicals, L.P. Polymerization-stable anionic ancillary ligand containing alkylimido catalysts and method of using the same
US6271325B1 (en) 1999-05-17 2001-08-07 Univation Technologies, Llc Method of polymerization
DE60032790T2 (de) 1999-09-01 2007-11-08 Exxonmobil Chemical Patents Inc., Baytown Atmungsfähiger film und verfahren zu dessen herstellung
US6417304B1 (en) 1999-11-18 2002-07-09 Univation Technologies, Llc Method of polymerization and polymer produced therefrom
US6624107B2 (en) 1999-10-22 2003-09-23 Univation Technologies, Llc Transition metal catalyst compounds having deuterium substituted ligand and catalyst systems thereof
US6274684B1 (en) 1999-10-22 2001-08-14 Univation Technologies, Llc Catalyst composition, method of polymerization, and polymer therefrom
US6300439B1 (en) 1999-11-08 2001-10-09 Univation Technologies, Llc Group 15 containing transition metal catalyst compounds, catalyst systems and their use in a polymerization process
US6475946B1 (en) 1999-10-22 2002-11-05 Exxonmobil Chemical Patents Inc. Olefin polymerization catalysis with aryl substituted carbenium cationic complexes
US6271323B1 (en) 1999-10-28 2001-08-07 Univation Technologies, Llc Mixed catalyst compounds, catalyst systems and their use in a polymerization process
US6265505B1 (en) 1999-11-18 2001-07-24 Univation Technologies, Llc Catalyst system and its use in a polymerization process
US6380328B1 (en) 1999-12-10 2002-04-30 Univation Technologies, Llc Catalyst systems and their use in a polymerization process
US6300438B1 (en) 1999-10-22 2001-10-09 Univation Technolgies, Llc Hafnium transition metal catalyst compounds, catalyst systems and their use in a polymerization process
US6476164B1 (en) 1999-10-22 2002-11-05 Exxonmobil Chemical Patents Inc. Carbenium cationic complexes suitable for polymerization catalysts
US6281155B1 (en) * 1999-11-19 2001-08-28 Equistar Chemicals, L.P. Supported olefin polymerization catalysts
US6822057B2 (en) * 1999-12-09 2004-11-23 Exxon Mobil Chemical Patents Inc. Olefin polymerization catalysts derived from Group-15 cationic compounds and processes using them
US6489480B2 (en) 1999-12-09 2002-12-03 Exxonmobil Chemical Patents Inc. Group-15 cationic compounds for olefin polymerization catalysts
WO2001046273A1 (en) 1999-12-20 2001-06-28 Exxon Chemical Patents Inc. Processes for the preparation polyolefin resins using supported ionic catalysts
US6809209B2 (en) 2000-04-07 2004-10-26 Exxonmobil Chemical Patents Inc. Nitrogen-containing group-13 anionic compounds for olefin polymerization
CA2424370A1 (en) * 2000-10-19 2002-04-25 Exxonmobil Chemical Patents Inc. Cationic group-3 catalyst system
WO2003000740A2 (en) 2001-06-20 2003-01-03 Exxonmobil Chemical Patents Inc. Polyolefins made by catalyst comprising a noncoordinating anion and articles comprising them
DE10140135A1 (de) * 2001-08-16 2003-02-27 Bayer Ag Vanadium-Imidoaryl-Komplexe für die Olefinpolymerisation
US7943700B2 (en) * 2002-10-01 2011-05-17 Exxonmobil Chemical Patents Inc. Enhanced ESCR of HDPE resins
EP1620479B1 (de) 2002-10-15 2013-07-24 ExxonMobil Chemical Patents Inc. Polyolefinklebstoffzusammensetzungen und daraus hergestellte gegenstände
US6953764B2 (en) 2003-05-02 2005-10-11 Dow Global Technologies Inc. High activity olefin polymerization catalyst and process
US7985811B2 (en) * 2004-01-02 2011-07-26 Univation Technologies, Llc Method for controlling sheeting in gas phase reactors
US20050148742A1 (en) * 2004-01-02 2005-07-07 Hagerty Robert O. Method for controlling sheeting in gas phase reactors
US20070073012A1 (en) 2005-09-28 2007-03-29 Pannell Richard B Method for seed bed treatment before a polymerization reaction
CA2473378A1 (en) * 2004-07-08 2006-01-08 Nova Chemicals Corporation Novel borate activator
EP1803747A1 (de) 2005-12-30 2007-07-04 Borealis Technology Oy Oberflächemodifizierte Polymerisationskatalysatoren zur Herstellung von Polyolefinfilmen mit niedrigem Gelgehalt
US8198373B2 (en) * 2006-10-02 2012-06-12 Exxonmobil Chemical Patents Inc. Plastic toughened plastics
CN101274968B (zh) * 2007-03-28 2012-11-21 中国石油化工股份有限公司 一种用于生产宽分子量分布的聚乙烯的复合催化剂
CA2688217C (en) * 2009-12-11 2016-07-12 Nova Chemicals Corporation Multi reactor process
CA2864573C (en) 2014-09-22 2021-07-06 Nova Chemicals Corporation Shrink film from single site catalyzed polyethylene
CA2874895C (en) 2014-12-16 2022-02-15 Nova Chemicals Corporation High modulus single-site lldpe
WO2018022263A1 (en) 2016-07-29 2018-02-01 Exxonmobil Chemical Patents Inc. Polymerization processes using high molecular weight polyhydric quenching agents
EP4330294A1 (de) 2021-04-30 2024-03-06 ExxonMobil Chemical Patents Inc. Verfahren zum übergang zwischen verschiedenen polymerisationskatalysatoren in einem polymerisationsreaktor

Family Cites Families (30)

* Cited by examiner, † Cited by third party
Publication number Priority date Publication date Assignee Title
US3052660A (en) * 1960-04-27 1962-09-04 Hercules Powder Co Ltd Polymerization of olefins with catalysts of metal alkyls and cyclopentadienyl vanadium oxydihalides
NL262576A (de) * 1961-03-20
US3700710A (en) * 1966-04-04 1972-10-24 Monsanto Co Methylene bis(aluminum dihalides) useful as polymerization catalyst components
US3655583A (en) * 1968-07-30 1972-04-11 Sumitomo Chemical Co Vanadye compound having cyclic hydrocarbon substituent and polymerization catalyst containing said compound
JPS5242095B2 (de) * 1972-06-16 1977-10-22
DE2256695A1 (de) * 1972-11-18 1974-05-22 Veba Chemie Ag Verfahren zur herstellung von polymerisationskatalysatoren und die polymerisation und copolymerisation von olefinen
DE2847986A1 (de) * 1978-11-04 1980-05-22 Huels Chemische Werke Ag Verfahren zur herstellung von pulverfoermigen, thermoplastischen copolymeren aus aethylen und buten-(1)
US4508842A (en) * 1983-03-29 1985-04-02 Union Carbide Corporation Ethylene polymerization using supported vanadium catalyst
US5324800A (en) * 1983-06-06 1994-06-28 Exxon Chemical Patents Inc. Process and catalyst for polyolefin density and molecular weight control
ZA844157B (en) * 1983-06-06 1986-01-29 Exxon Research Engineering Co Process and catalyst for polyolefin density and molecular weight control
PL276385A1 (en) * 1987-01-30 1989-07-24 Exxon Chemical Patents Inc Method for polymerization of olefines,diolefins and acetylene unsaturated compounds
US5384299A (en) * 1987-01-30 1995-01-24 Exxon Chemical Patents Inc. Ionic metallocene catalyst compositions
US5017714A (en) * 1988-03-21 1991-05-21 Exxon Chemical Patents Inc. Silicon-bridged transition metal compounds
US5057475A (en) * 1989-09-13 1991-10-15 Exxon Chemical Patents Inc. Mono-Cp heteroatom containing group IVB transition metal complexes with MAO: supported catalyst for olefin polymerization
US5036034A (en) * 1989-10-10 1991-07-30 Fina Technology, Inc. Catalyst for producing hemiisotactic polypropylene
JPH0570516A (ja) * 1990-03-29 1993-03-23 Sumitomo Chem Co Ltd オレフイン系炭化水素重合触媒及びオレフイン系炭化水素重合体の製造方法
WO1992000333A2 (en) * 1990-06-22 1992-01-09 Exxon Chemical Patents Inc. Aluminum-free monocyclopentadienyl metallocene catalysts for olefin polymerization
EP0569388B1 (de) * 1990-12-27 1996-03-13 Exxon Chemical Patents Inc. Übergangsmetall-amidoverbindung und katalysatorsystem zur herstellung von isotaktischem propylen
US5086023A (en) * 1991-06-13 1992-02-04 Akzo N.V. Catalyst for EPDM polymerization
NL9101536A (nl) * 1991-09-11 1993-04-01 Dsm Nv Katalysator en werkwijze voor de bereiding van een amorf copolymeer van etheen.
US5198399A (en) * 1992-01-17 1993-03-30 Quantum Chemical Corporation Polymerization catalyst and method
US5434116A (en) * 1992-06-05 1995-07-18 Tosoh Corporation Organic transition metal compound having π-bonding heterocyclic ligand and method of polymerizing olefin by using the same
CA2139356C (en) * 1992-07-01 2001-02-06 Donna J. Crowther Transition metal olefin polymerization catalysts
BE1006453A3 (nl) * 1992-12-21 1994-08-30 Dsm Nv Katalysator en werkwijze voor een ziegler polymerisatie.
US5416053A (en) * 1993-06-28 1995-05-16 Union Carbide Chemicals & Plastics Technology Corporation Homogenous polyethylenes and ethylene/propylene copolymers rubbers
US5405924A (en) * 1993-07-22 1995-04-11 Shell Oil Company Imido transition metal complex metathesis catalysts
EP0641804A3 (de) * 1993-08-25 1995-06-14 Bp Chem Int Ltd Katalysator zur Olefin-Polymerisation.
US5707913A (en) * 1994-06-15 1998-01-13 Basf Aktiengesellschaft Amidinato catalyst systems for the polymerization of olefins
JPH10508893A (ja) * 1994-11-17 1998-09-02 チバ スペシャルティ ケミカルズ ホールディング インコーポレーテッド 環状オレフィンと光重合可能な化合物を重合させる方法
US5670439A (en) * 1995-03-29 1997-09-23 Quantum Chemical Corporation Vanadium-containing catalyst system

Also Published As

Publication number Publication date
DE69831791D1 (de) 2006-02-16
US6232416B1 (en) 2001-05-15
EP0960142A1 (de) 1999-12-01
WO1998034964A1 (en) 1998-08-13
CA2278130C (en) 2008-04-22
ES2246527T3 (es) 2006-02-16
EP0960142B1 (de) 2005-10-05
JP2001511208A (ja) 2001-08-07
CA2278130A1 (en) 1998-08-13
US5851945A (en) 1998-12-22

Similar Documents

Publication Publication Date Title
DE69831791T2 (de) Übergangsmetallverbindungen der gruppe 5
DE69916834T2 (de) Verfahren zur polymerisation von olefinen unter verwendung von aktivierten lewis säure-base komplexen
DE69910611T2 (de) Stickstoff-enthaltende anionische komplexe der gruppe 13 für olefinpolymerisation
DE69817357T2 (de) Katalysator für die herstellung von olefinpolymeren
DE69922548T2 (de) Verbrückte metallocene zur olefincopolymerisation
DE69900794T2 (de) Herstellung von halbsandwich substituierten katalysator-vorläufern
DE69326463T2 (de) Olefinpolymerisationskatalysatoren auf basis von uebergangsmetallen
DE60025204T2 (de) Polymerisationsverfahren
DE69704614T2 (de) Olefinpolymerisationkatalysatorsysteme von gemischten übergangsmetalen
US6294495B1 (en) Tridentate ligand-containing metal catalyst complexes for olefin polymerization
DE69701909T2 (de) Olefinpolymerisationskatalysator auf Basis von organometallischen Komplexen und Verfahren zur Herstellung von Polyolefinen mit diesem Katalysator
DE3788096T2 (de) Polymerisationskatalysator auf Träger.
DE69635719T2 (de) Polymerisation von α-Olefinen in Gegenwart von Übergangsmetallkatalysatoren basierend auf Pyridin oder Chinolin enthaltenden zweizähnigen Liganden
DE69613798T2 (de) Katalysatorszusammensetzung mit verbesserter Comonomerenreaktivität
DE60201340T2 (de) Katalysatorbestandteil für olefinpolymerisation und katalysatorsystem und polymerisationsverfahren unter verwendung eines solchen katalysatorsystems
DE602004010642T2 (de) Verfahren zur polymerisation von olefinmonomeren mit mischkatalysatorsystemen
DE69220676T2 (de) Modifizierte monocyclopentadienyl-uebergangsmetal/aluminoxan katalysatorsystem fuer olefinpolymerisation
DE60012878T2 (de) Diiminverbindungen
DE69835373T2 (de) Olefin-polymerisationskatalysatorzusammensetzung, die übergangsmetallverbindungen in niedriger oxidationsstufe enthält
EP0111902B1 (de) Katalysator und Verfahren zur Herstellung von Olefinpolymeren unter Verwendung dieses Katalysators
US6872683B2 (en) Method for preparing chelated catalyst for olefin polymerization
DE60204455T2 (de) Einen pyrrolbisiminliganden enthaltende katalysatoren zur polymerisierung von olefinen
DE60021210T2 (de) Eisen enthaltender olefincopolymerisationskatalysator
DE60103747T2 (de) Stickstoff-enthaltende anionische Gruppe 13 Verbindungen zur Olefinpolymerisation
US7196148B2 (en) Cationic catalyst system

Legal Events

Date Code Title Description
8364 No opposition during term of opposition