DE69822933T2 - Dielektrische keramische Zusammensetzung und deren Verwendung in einem monolithischen keramischen Kondensator - Google Patents

Dielektrische keramische Zusammensetzung und deren Verwendung in einem monolithischen keramischen Kondensator Download PDF

Info

Publication number
DE69822933T2
DE69822933T2 DE69822933T DE69822933T DE69822933T2 DE 69822933 T2 DE69822933 T2 DE 69822933T2 DE 69822933 T DE69822933 T DE 69822933T DE 69822933 T DE69822933 T DE 69822933T DE 69822933 T2 DE69822933 T2 DE 69822933T2
Authority
DE
Germany
Prior art keywords
sample
voltage
tio
composition
component
Prior art date
Legal status (The legal status is an assumption and is not a legal conclusion. Google has not performed a legal analysis and makes no representation as to the accuracy of the status listed.)
Expired - Lifetime
Application number
DE69822933T
Other languages
English (en)
Other versions
DE69822933D1 (de
Inventor
Shinobu Nagaokakyo-shi Kyoto-fu Mizuno
Norihiko Nagaokakyo-shi Kyoto-fu Sakamoto
Nobuyuku Nagaokakyo-shi Kyoto-fu Wada
Current Assignee (The listed assignees may be inaccurate. Google has not performed a legal analysis and makes no representation or warranty as to the accuracy of the list.)
Murata Manufacturing Co Ltd
Original Assignee
Murata Manufacturing Co Ltd
Priority date (The priority date is an assumption and is not a legal conclusion. Google has not performed a legal analysis and makes no representation as to the accuracy of the date listed.)
Filing date
Publication date
Priority claimed from JP12862398A external-priority patent/JP3334606B2/ja
Priority claimed from JP12862498A external-priority patent/JP3783402B2/ja
Priority claimed from JP12862698A external-priority patent/JP3783403B2/ja
Application filed by Murata Manufacturing Co Ltd filed Critical Murata Manufacturing Co Ltd
Application granted granted Critical
Publication of DE69822933D1 publication Critical patent/DE69822933D1/de
Publication of DE69822933T2 publication Critical patent/DE69822933T2/de
Anticipated expiration legal-status Critical
Expired - Lifetime legal-status Critical Current

Links

Classifications

    • HELECTRICITY
    • H01ELECTRIC ELEMENTS
    • H01BCABLES; CONDUCTORS; INSULATORS; SELECTION OF MATERIALS FOR THEIR CONDUCTIVE, INSULATING OR DIELECTRIC PROPERTIES
    • H01B3/00Insulators or insulating bodies characterised by the insulating materials; Selection of materials for their insulating or dielectric properties
    • H01B3/02Insulators or insulating bodies characterised by the insulating materials; Selection of materials for their insulating or dielectric properties mainly consisting of inorganic substances
    • H01B3/12Insulators or insulating bodies characterised by the insulating materials; Selection of materials for their insulating or dielectric properties mainly consisting of inorganic substances ceramics
    • HELECTRICITY
    • H01ELECTRIC ELEMENTS
    • H01GCAPACITORS; CAPACITORS, RECTIFIERS, DETECTORS, SWITCHING DEVICES, LIGHT-SENSITIVE OR TEMPERATURE-SENSITIVE DEVICES OF THE ELECTROLYTIC TYPE
    • H01G4/00Fixed capacitors; Processes of their manufacture
    • H01G4/002Details
    • H01G4/018Dielectrics
    • H01G4/06Solid dielectrics
    • H01G4/08Inorganic dielectrics
    • H01G4/12Ceramic dielectrics
    • H01G4/1209Ceramic dielectrics characterised by the ceramic dielectric material
    • H01G4/1218Ceramic dielectrics characterised by the ceramic dielectric material based on titanium oxides or titanates
    • H01G4/1227Ceramic dielectrics characterised by the ceramic dielectric material based on titanium oxides or titanates based on alkaline earth titanates
    • CCHEMISTRY; METALLURGY
    • C04CEMENTS; CONCRETE; ARTIFICIAL STONE; CERAMICS; REFRACTORIES
    • C04BLIME, MAGNESIA; SLAG; CEMENTS; COMPOSITIONS THEREOF, e.g. MORTARS, CONCRETE OR LIKE BUILDING MATERIALS; ARTIFICIAL STONE; CERAMICS; REFRACTORIES; TREATMENT OF NATURAL STONE
    • C04B35/00Shaped ceramic products characterised by their composition; Ceramics compositions; Processing powders of inorganic compounds preparatory to the manufacturing of ceramic products
    • C04B35/01Shaped ceramic products characterised by their composition; Ceramics compositions; Processing powders of inorganic compounds preparatory to the manufacturing of ceramic products based on oxide ceramics
    • C04B35/46Shaped ceramic products characterised by their composition; Ceramics compositions; Processing powders of inorganic compounds preparatory to the manufacturing of ceramic products based on oxide ceramics based on titanium oxides or titanates
    • C04B35/462Shaped ceramic products characterised by their composition; Ceramics compositions; Processing powders of inorganic compounds preparatory to the manufacturing of ceramic products based on oxide ceramics based on titanium oxides or titanates based on titanates
    • C04B35/465Shaped ceramic products characterised by their composition; Ceramics compositions; Processing powders of inorganic compounds preparatory to the manufacturing of ceramic products based on oxide ceramics based on titanium oxides or titanates based on titanates based on alkaline earth metal titanates
    • C04B35/468Shaped ceramic products characterised by their composition; Ceramics compositions; Processing powders of inorganic compounds preparatory to the manufacturing of ceramic products based on oxide ceramics based on titanium oxides or titanates based on titanates based on alkaline earth metal titanates based on barium titanates
    • C04B35/4682Shaped ceramic products characterised by their composition; Ceramics compositions; Processing powders of inorganic compounds preparatory to the manufacturing of ceramic products based on oxide ceramics based on titanium oxides or titanates based on titanates based on alkaline earth metal titanates based on barium titanates based on BaTiO3 perovskite phase
    • BPERFORMING OPERATIONS; TRANSPORTING
    • B32LAYERED PRODUCTS
    • B32BLAYERED PRODUCTS, i.e. PRODUCTS BUILT-UP OF STRATA OF FLAT OR NON-FLAT, e.g. CELLULAR OR HONEYCOMB, FORM
    • B32B2311/00Metals, their alloys or their compounds
    • B32B2311/22Nickel or cobalt
    • CCHEMISTRY; METALLURGY
    • C04CEMENTS; CONCRETE; ARTIFICIAL STONE; CERAMICS; REFRACTORIES
    • C04BLIME, MAGNESIA; SLAG; CEMENTS; COMPOSITIONS THEREOF, e.g. MORTARS, CONCRETE OR LIKE BUILDING MATERIALS; ARTIFICIAL STONE; CERAMICS; REFRACTORIES; TREATMENT OF NATURAL STONE
    • C04B2235/00Aspects relating to ceramic starting mixtures or sintered ceramic products
    • C04B2235/02Composition of constituents of the starting material or of secondary phases of the final product
    • C04B2235/30Constituents and secondary phases not being of a fibrous nature
    • C04B2235/32Metal oxides, mixed metal oxides, or oxide-forming salts thereof, e.g. carbonates, nitrates, (oxy)hydroxides, chlorides
    • C04B2235/3201Alkali metal oxides or oxide-forming salts thereof
    • C04B2235/3203Lithium oxide or oxide-forming salts thereof
    • CCHEMISTRY; METALLURGY
    • C04CEMENTS; CONCRETE; ARTIFICIAL STONE; CERAMICS; REFRACTORIES
    • C04BLIME, MAGNESIA; SLAG; CEMENTS; COMPOSITIONS THEREOF, e.g. MORTARS, CONCRETE OR LIKE BUILDING MATERIALS; ARTIFICIAL STONE; CERAMICS; REFRACTORIES; TREATMENT OF NATURAL STONE
    • C04B2235/00Aspects relating to ceramic starting mixtures or sintered ceramic products
    • C04B2235/02Composition of constituents of the starting material or of secondary phases of the final product
    • C04B2235/30Constituents and secondary phases not being of a fibrous nature
    • C04B2235/32Metal oxides, mixed metal oxides, or oxide-forming salts thereof, e.g. carbonates, nitrates, (oxy)hydroxides, chlorides
    • C04B2235/3205Alkaline earth oxides or oxide forming salts thereof, e.g. beryllium oxide
    • CCHEMISTRY; METALLURGY
    • C04CEMENTS; CONCRETE; ARTIFICIAL STONE; CERAMICS; REFRACTORIES
    • C04BLIME, MAGNESIA; SLAG; CEMENTS; COMPOSITIONS THEREOF, e.g. MORTARS, CONCRETE OR LIKE BUILDING MATERIALS; ARTIFICIAL STONE; CERAMICS; REFRACTORIES; TREATMENT OF NATURAL STONE
    • C04B2235/00Aspects relating to ceramic starting mixtures or sintered ceramic products
    • C04B2235/02Composition of constituents of the starting material or of secondary phases of the final product
    • C04B2235/30Constituents and secondary phases not being of a fibrous nature
    • C04B2235/32Metal oxides, mixed metal oxides, or oxide-forming salts thereof, e.g. carbonates, nitrates, (oxy)hydroxides, chlorides
    • C04B2235/3205Alkaline earth oxides or oxide forming salts thereof, e.g. beryllium oxide
    • C04B2235/3206Magnesium oxides or oxide-forming salts thereof
    • CCHEMISTRY; METALLURGY
    • C04CEMENTS; CONCRETE; ARTIFICIAL STONE; CERAMICS; REFRACTORIES
    • C04BLIME, MAGNESIA; SLAG; CEMENTS; COMPOSITIONS THEREOF, e.g. MORTARS, CONCRETE OR LIKE BUILDING MATERIALS; ARTIFICIAL STONE; CERAMICS; REFRACTORIES; TREATMENT OF NATURAL STONE
    • C04B2235/00Aspects relating to ceramic starting mixtures or sintered ceramic products
    • C04B2235/02Composition of constituents of the starting material or of secondary phases of the final product
    • C04B2235/30Constituents and secondary phases not being of a fibrous nature
    • C04B2235/32Metal oxides, mixed metal oxides, or oxide-forming salts thereof, e.g. carbonates, nitrates, (oxy)hydroxides, chlorides
    • C04B2235/3205Alkaline earth oxides or oxide forming salts thereof, e.g. beryllium oxide
    • C04B2235/3208Calcium oxide or oxide-forming salts thereof, e.g. lime
    • CCHEMISTRY; METALLURGY
    • C04CEMENTS; CONCRETE; ARTIFICIAL STONE; CERAMICS; REFRACTORIES
    • C04BLIME, MAGNESIA; SLAG; CEMENTS; COMPOSITIONS THEREOF, e.g. MORTARS, CONCRETE OR LIKE BUILDING MATERIALS; ARTIFICIAL STONE; CERAMICS; REFRACTORIES; TREATMENT OF NATURAL STONE
    • C04B2235/00Aspects relating to ceramic starting mixtures or sintered ceramic products
    • C04B2235/02Composition of constituents of the starting material or of secondary phases of the final product
    • C04B2235/30Constituents and secondary phases not being of a fibrous nature
    • C04B2235/32Metal oxides, mixed metal oxides, or oxide-forming salts thereof, e.g. carbonates, nitrates, (oxy)hydroxides, chlorides
    • C04B2235/3205Alkaline earth oxides or oxide forming salts thereof, e.g. beryllium oxide
    • C04B2235/3213Strontium oxides or oxide-forming salts thereof
    • CCHEMISTRY; METALLURGY
    • C04CEMENTS; CONCRETE; ARTIFICIAL STONE; CERAMICS; REFRACTORIES
    • C04BLIME, MAGNESIA; SLAG; CEMENTS; COMPOSITIONS THEREOF, e.g. MORTARS, CONCRETE OR LIKE BUILDING MATERIALS; ARTIFICIAL STONE; CERAMICS; REFRACTORIES; TREATMENT OF NATURAL STONE
    • C04B2235/00Aspects relating to ceramic starting mixtures or sintered ceramic products
    • C04B2235/02Composition of constituents of the starting material or of secondary phases of the final product
    • C04B2235/30Constituents and secondary phases not being of a fibrous nature
    • C04B2235/32Metal oxides, mixed metal oxides, or oxide-forming salts thereof, e.g. carbonates, nitrates, (oxy)hydroxides, chlorides
    • C04B2235/3205Alkaline earth oxides or oxide forming salts thereof, e.g. beryllium oxide
    • C04B2235/3215Barium oxides or oxide-forming salts thereof
    • CCHEMISTRY; METALLURGY
    • C04CEMENTS; CONCRETE; ARTIFICIAL STONE; CERAMICS; REFRACTORIES
    • C04BLIME, MAGNESIA; SLAG; CEMENTS; COMPOSITIONS THEREOF, e.g. MORTARS, CONCRETE OR LIKE BUILDING MATERIALS; ARTIFICIAL STONE; CERAMICS; REFRACTORIES; TREATMENT OF NATURAL STONE
    • C04B2235/00Aspects relating to ceramic starting mixtures or sintered ceramic products
    • C04B2235/02Composition of constituents of the starting material or of secondary phases of the final product
    • C04B2235/30Constituents and secondary phases not being of a fibrous nature
    • C04B2235/32Metal oxides, mixed metal oxides, or oxide-forming salts thereof, e.g. carbonates, nitrates, (oxy)hydroxides, chlorides
    • C04B2235/3217Aluminum oxide or oxide forming salts thereof, e.g. bauxite, alpha-alumina
    • CCHEMISTRY; METALLURGY
    • C04CEMENTS; CONCRETE; ARTIFICIAL STONE; CERAMICS; REFRACTORIES
    • C04BLIME, MAGNESIA; SLAG; CEMENTS; COMPOSITIONS THEREOF, e.g. MORTARS, CONCRETE OR LIKE BUILDING MATERIALS; ARTIFICIAL STONE; CERAMICS; REFRACTORIES; TREATMENT OF NATURAL STONE
    • C04B2235/00Aspects relating to ceramic starting mixtures or sintered ceramic products
    • C04B2235/02Composition of constituents of the starting material or of secondary phases of the final product
    • C04B2235/30Constituents and secondary phases not being of a fibrous nature
    • C04B2235/32Metal oxides, mixed metal oxides, or oxide-forming salts thereof, e.g. carbonates, nitrates, (oxy)hydroxides, chlorides
    • C04B2235/3224Rare earth oxide or oxide forming salts thereof, e.g. scandium oxide
    • CCHEMISTRY; METALLURGY
    • C04CEMENTS; CONCRETE; ARTIFICIAL STONE; CERAMICS; REFRACTORIES
    • C04BLIME, MAGNESIA; SLAG; CEMENTS; COMPOSITIONS THEREOF, e.g. MORTARS, CONCRETE OR LIKE BUILDING MATERIALS; ARTIFICIAL STONE; CERAMICS; REFRACTORIES; TREATMENT OF NATURAL STONE
    • C04B2235/00Aspects relating to ceramic starting mixtures or sintered ceramic products
    • C04B2235/02Composition of constituents of the starting material or of secondary phases of the final product
    • C04B2235/30Constituents and secondary phases not being of a fibrous nature
    • C04B2235/32Metal oxides, mixed metal oxides, or oxide-forming salts thereof, e.g. carbonates, nitrates, (oxy)hydroxides, chlorides
    • C04B2235/3224Rare earth oxide or oxide forming salts thereof, e.g. scandium oxide
    • C04B2235/3225Yttrium oxide or oxide-forming salts thereof
    • CCHEMISTRY; METALLURGY
    • C04CEMENTS; CONCRETE; ARTIFICIAL STONE; CERAMICS; REFRACTORIES
    • C04BLIME, MAGNESIA; SLAG; CEMENTS; COMPOSITIONS THEREOF, e.g. MORTARS, CONCRETE OR LIKE BUILDING MATERIALS; ARTIFICIAL STONE; CERAMICS; REFRACTORIES; TREATMENT OF NATURAL STONE
    • C04B2235/00Aspects relating to ceramic starting mixtures or sintered ceramic products
    • C04B2235/02Composition of constituents of the starting material or of secondary phases of the final product
    • C04B2235/30Constituents and secondary phases not being of a fibrous nature
    • C04B2235/32Metal oxides, mixed metal oxides, or oxide-forming salts thereof, e.g. carbonates, nitrates, (oxy)hydroxides, chlorides
    • C04B2235/3231Refractory metal oxides, their mixed metal oxides, or oxide-forming salts thereof
    • C04B2235/3232Titanium oxides or titanates, e.g. rutile or anatase
    • CCHEMISTRY; METALLURGY
    • C04CEMENTS; CONCRETE; ARTIFICIAL STONE; CERAMICS; REFRACTORIES
    • C04BLIME, MAGNESIA; SLAG; CEMENTS; COMPOSITIONS THEREOF, e.g. MORTARS, CONCRETE OR LIKE BUILDING MATERIALS; ARTIFICIAL STONE; CERAMICS; REFRACTORIES; TREATMENT OF NATURAL STONE
    • C04B2235/00Aspects relating to ceramic starting mixtures or sintered ceramic products
    • C04B2235/02Composition of constituents of the starting material or of secondary phases of the final product
    • C04B2235/30Constituents and secondary phases not being of a fibrous nature
    • C04B2235/32Metal oxides, mixed metal oxides, or oxide-forming salts thereof, e.g. carbonates, nitrates, (oxy)hydroxides, chlorides
    • C04B2235/3231Refractory metal oxides, their mixed metal oxides, or oxide-forming salts thereof
    • C04B2235/3244Zirconium oxides, zirconates, hafnium oxides, hafnates, or oxide-forming salts thereof
    • CCHEMISTRY; METALLURGY
    • C04CEMENTS; CONCRETE; ARTIFICIAL STONE; CERAMICS; REFRACTORIES
    • C04BLIME, MAGNESIA; SLAG; CEMENTS; COMPOSITIONS THEREOF, e.g. MORTARS, CONCRETE OR LIKE BUILDING MATERIALS; ARTIFICIAL STONE; CERAMICS; REFRACTORIES; TREATMENT OF NATURAL STONE
    • C04B2235/00Aspects relating to ceramic starting mixtures or sintered ceramic products
    • C04B2235/02Composition of constituents of the starting material or of secondary phases of the final product
    • C04B2235/30Constituents and secondary phases not being of a fibrous nature
    • C04B2235/32Metal oxides, mixed metal oxides, or oxide-forming salts thereof, e.g. carbonates, nitrates, (oxy)hydroxides, chlorides
    • C04B2235/3231Refractory metal oxides, their mixed metal oxides, or oxide-forming salts thereof
    • C04B2235/3244Zirconium oxides, zirconates, hafnium oxides, hafnates, or oxide-forming salts thereof
    • C04B2235/3248Zirconates or hafnates, e.g. zircon
    • CCHEMISTRY; METALLURGY
    • C04CEMENTS; CONCRETE; ARTIFICIAL STONE; CERAMICS; REFRACTORIES
    • C04BLIME, MAGNESIA; SLAG; CEMENTS; COMPOSITIONS THEREOF, e.g. MORTARS, CONCRETE OR LIKE BUILDING MATERIALS; ARTIFICIAL STONE; CERAMICS; REFRACTORIES; TREATMENT OF NATURAL STONE
    • C04B2235/00Aspects relating to ceramic starting mixtures or sintered ceramic products
    • C04B2235/02Composition of constituents of the starting material or of secondary phases of the final product
    • C04B2235/30Constituents and secondary phases not being of a fibrous nature
    • C04B2235/32Metal oxides, mixed metal oxides, or oxide-forming salts thereof, e.g. carbonates, nitrates, (oxy)hydroxides, chlorides
    • C04B2235/3231Refractory metal oxides, their mixed metal oxides, or oxide-forming salts thereof
    • C04B2235/3244Zirconium oxides, zirconates, hafnium oxides, hafnates, or oxide-forming salts thereof
    • C04B2235/3248Zirconates or hafnates, e.g. zircon
    • C04B2235/3249Zirconates or hafnates, e.g. zircon containing also titanium oxide or titanates, e.g. lead zirconate titanate (PZT)
    • CCHEMISTRY; METALLURGY
    • C04CEMENTS; CONCRETE; ARTIFICIAL STONE; CERAMICS; REFRACTORIES
    • C04BLIME, MAGNESIA; SLAG; CEMENTS; COMPOSITIONS THEREOF, e.g. MORTARS, CONCRETE OR LIKE BUILDING MATERIALS; ARTIFICIAL STONE; CERAMICS; REFRACTORIES; TREATMENT OF NATURAL STONE
    • C04B2235/00Aspects relating to ceramic starting mixtures or sintered ceramic products
    • C04B2235/02Composition of constituents of the starting material or of secondary phases of the final product
    • C04B2235/30Constituents and secondary phases not being of a fibrous nature
    • C04B2235/32Metal oxides, mixed metal oxides, or oxide-forming salts thereof, e.g. carbonates, nitrates, (oxy)hydroxides, chlorides
    • C04B2235/3262Manganese oxides, manganates, rhenium oxides or oxide-forming salts thereof, e.g. MnO
    • CCHEMISTRY; METALLURGY
    • C04CEMENTS; CONCRETE; ARTIFICIAL STONE; CERAMICS; REFRACTORIES
    • C04BLIME, MAGNESIA; SLAG; CEMENTS; COMPOSITIONS THEREOF, e.g. MORTARS, CONCRETE OR LIKE BUILDING MATERIALS; ARTIFICIAL STONE; CERAMICS; REFRACTORIES; TREATMENT OF NATURAL STONE
    • C04B2235/00Aspects relating to ceramic starting mixtures or sintered ceramic products
    • C04B2235/02Composition of constituents of the starting material or of secondary phases of the final product
    • C04B2235/30Constituents and secondary phases not being of a fibrous nature
    • C04B2235/32Metal oxides, mixed metal oxides, or oxide-forming salts thereof, e.g. carbonates, nitrates, (oxy)hydroxides, chlorides
    • C04B2235/3284Zinc oxides, zincates, cadmium oxides, cadmiates, mercury oxides, mercurates or oxide forming salts thereof
    • CCHEMISTRY; METALLURGY
    • C04CEMENTS; CONCRETE; ARTIFICIAL STONE; CERAMICS; REFRACTORIES
    • C04BLIME, MAGNESIA; SLAG; CEMENTS; COMPOSITIONS THEREOF, e.g. MORTARS, CONCRETE OR LIKE BUILDING MATERIALS; ARTIFICIAL STONE; CERAMICS; REFRACTORIES; TREATMENT OF NATURAL STONE
    • C04B2235/00Aspects relating to ceramic starting mixtures or sintered ceramic products
    • C04B2235/02Composition of constituents of the starting material or of secondary phases of the final product
    • C04B2235/30Constituents and secondary phases not being of a fibrous nature
    • C04B2235/34Non-metal oxides, non-metal mixed oxides, or salts thereof that form the non-metal oxides upon heating, e.g. carbonates, nitrates, (oxy)hydroxides, chlorides
    • C04B2235/3418Silicon oxide, silicic acids or oxide forming salts thereof, e.g. silica sol, fused silica, silica fume, cristobalite, quartz or flint
    • CCHEMISTRY; METALLURGY
    • C04CEMENTS; CONCRETE; ARTIFICIAL STONE; CERAMICS; REFRACTORIES
    • C04BLIME, MAGNESIA; SLAG; CEMENTS; COMPOSITIONS THEREOF, e.g. MORTARS, CONCRETE OR LIKE BUILDING MATERIALS; ARTIFICIAL STONE; CERAMICS; REFRACTORIES; TREATMENT OF NATURAL STONE
    • C04B2235/00Aspects relating to ceramic starting mixtures or sintered ceramic products
    • C04B2235/02Composition of constituents of the starting material or of secondary phases of the final product
    • C04B2235/30Constituents and secondary phases not being of a fibrous nature
    • C04B2235/34Non-metal oxides, non-metal mixed oxides, or salts thereof that form the non-metal oxides upon heating, e.g. carbonates, nitrates, (oxy)hydroxides, chlorides
    • C04B2235/3427Silicates other than clay, e.g. water glass
    • CCHEMISTRY; METALLURGY
    • C04CEMENTS; CONCRETE; ARTIFICIAL STONE; CERAMICS; REFRACTORIES
    • C04BLIME, MAGNESIA; SLAG; CEMENTS; COMPOSITIONS THEREOF, e.g. MORTARS, CONCRETE OR LIKE BUILDING MATERIALS; ARTIFICIAL STONE; CERAMICS; REFRACTORIES; TREATMENT OF NATURAL STONE
    • C04B2235/00Aspects relating to ceramic starting mixtures or sintered ceramic products
    • C04B2235/02Composition of constituents of the starting material or of secondary phases of the final product
    • C04B2235/30Constituents and secondary phases not being of a fibrous nature
    • C04B2235/44Metal salt constituents or additives chosen for the nature of the anions, e.g. hydrides or acetylacetonate
    • C04B2235/449Organic acids, e.g. EDTA, citrate, acetate, oxalate
    • CCHEMISTRY; METALLURGY
    • C04CEMENTS; CONCRETE; ARTIFICIAL STONE; CERAMICS; REFRACTORIES
    • C04BLIME, MAGNESIA; SLAG; CEMENTS; COMPOSITIONS THEREOF, e.g. MORTARS, CONCRETE OR LIKE BUILDING MATERIALS; ARTIFICIAL STONE; CERAMICS; REFRACTORIES; TREATMENT OF NATURAL STONE
    • C04B2235/00Aspects relating to ceramic starting mixtures or sintered ceramic products
    • C04B2235/02Composition of constituents of the starting material or of secondary phases of the final product
    • C04B2235/50Constituents or additives of the starting mixture chosen for their shape or used because of their shape or their physical appearance
    • C04B2235/54Particle size related information
    • C04B2235/5418Particle size related information expressed by the size of the particles or aggregates thereof
    • C04B2235/5445Particle size related information expressed by the size of the particles or aggregates thereof submicron sized, i.e. from 0,1 to 1 micron
    • CCHEMISTRY; METALLURGY
    • C04CEMENTS; CONCRETE; ARTIFICIAL STONE; CERAMICS; REFRACTORIES
    • C04BLIME, MAGNESIA; SLAG; CEMENTS; COMPOSITIONS THEREOF, e.g. MORTARS, CONCRETE OR LIKE BUILDING MATERIALS; ARTIFICIAL STONE; CERAMICS; REFRACTORIES; TREATMENT OF NATURAL STONE
    • C04B2235/00Aspects relating to ceramic starting mixtures or sintered ceramic products
    • C04B2235/60Aspects relating to the preparation, properties or mechanical treatment of green bodies or pre-forms
    • C04B2235/602Making the green bodies or pre-forms by moulding
    • C04B2235/6025Tape casting, e.g. with a doctor blade
    • CCHEMISTRY; METALLURGY
    • C04CEMENTS; CONCRETE; ARTIFICIAL STONE; CERAMICS; REFRACTORIES
    • C04BLIME, MAGNESIA; SLAG; CEMENTS; COMPOSITIONS THEREOF, e.g. MORTARS, CONCRETE OR LIKE BUILDING MATERIALS; ARTIFICIAL STONE; CERAMICS; REFRACTORIES; TREATMENT OF NATURAL STONE
    • C04B2235/00Aspects relating to ceramic starting mixtures or sintered ceramic products
    • C04B2235/65Aspects relating to heat treatments of ceramic bodies such as green ceramics or pre-sintered ceramics, e.g. burning, sintering or melting processes
    • C04B2235/656Aspects relating to heat treatments of ceramic bodies such as green ceramics or pre-sintered ceramics, e.g. burning, sintering or melting processes characterised by specific heating conditions during heat treatment
    • CCHEMISTRY; METALLURGY
    • C04CEMENTS; CONCRETE; ARTIFICIAL STONE; CERAMICS; REFRACTORIES
    • C04BLIME, MAGNESIA; SLAG; CEMENTS; COMPOSITIONS THEREOF, e.g. MORTARS, CONCRETE OR LIKE BUILDING MATERIALS; ARTIFICIAL STONE; CERAMICS; REFRACTORIES; TREATMENT OF NATURAL STONE
    • C04B2235/00Aspects relating to ceramic starting mixtures or sintered ceramic products
    • C04B2235/65Aspects relating to heat treatments of ceramic bodies such as green ceramics or pre-sintered ceramics, e.g. burning, sintering or melting processes
    • C04B2235/658Atmosphere during thermal treatment
    • C04B2235/6582Hydrogen containing atmosphere
    • CCHEMISTRY; METALLURGY
    • C04CEMENTS; CONCRETE; ARTIFICIAL STONE; CERAMICS; REFRACTORIES
    • C04BLIME, MAGNESIA; SLAG; CEMENTS; COMPOSITIONS THEREOF, e.g. MORTARS, CONCRETE OR LIKE BUILDING MATERIALS; ARTIFICIAL STONE; CERAMICS; REFRACTORIES; TREATMENT OF NATURAL STONE
    • C04B2235/00Aspects relating to ceramic starting mixtures or sintered ceramic products
    • C04B2235/65Aspects relating to heat treatments of ceramic bodies such as green ceramics or pre-sintered ceramics, e.g. burning, sintering or melting processes
    • C04B2235/658Atmosphere during thermal treatment
    • C04B2235/6583Oxygen containing atmosphere, e.g. with changing oxygen pressures
    • C04B2235/6584Oxygen containing atmosphere, e.g. with changing oxygen pressures at an oxygen percentage below that of air
    • CCHEMISTRY; METALLURGY
    • C04CEMENTS; CONCRETE; ARTIFICIAL STONE; CERAMICS; REFRACTORIES
    • C04BLIME, MAGNESIA; SLAG; CEMENTS; COMPOSITIONS THEREOF, e.g. MORTARS, CONCRETE OR LIKE BUILDING MATERIALS; ARTIFICIAL STONE; CERAMICS; REFRACTORIES; TREATMENT OF NATURAL STONE
    • C04B2235/00Aspects relating to ceramic starting mixtures or sintered ceramic products
    • C04B2235/65Aspects relating to heat treatments of ceramic bodies such as green ceramics or pre-sintered ceramics, e.g. burning, sintering or melting processes
    • C04B2235/658Atmosphere during thermal treatment
    • C04B2235/6588Water vapor containing atmospheres
    • CCHEMISTRY; METALLURGY
    • C04CEMENTS; CONCRETE; ARTIFICIAL STONE; CERAMICS; REFRACTORIES
    • C04BLIME, MAGNESIA; SLAG; CEMENTS; COMPOSITIONS THEREOF, e.g. MORTARS, CONCRETE OR LIKE BUILDING MATERIALS; ARTIFICIAL STONE; CERAMICS; REFRACTORIES; TREATMENT OF NATURAL STONE
    • C04B2235/00Aspects relating to ceramic starting mixtures or sintered ceramic products
    • C04B2235/70Aspects relating to sintered or melt-casted ceramic products
    • C04B2235/72Products characterised by the absence or the low content of specific components, e.g. alkali metal free alumina ceramics
    • CCHEMISTRY; METALLURGY
    • C04CEMENTS; CONCRETE; ARTIFICIAL STONE; CERAMICS; REFRACTORIES
    • C04BLIME, MAGNESIA; SLAG; CEMENTS; COMPOSITIONS THEREOF, e.g. MORTARS, CONCRETE OR LIKE BUILDING MATERIALS; ARTIFICIAL STONE; CERAMICS; REFRACTORIES; TREATMENT OF NATURAL STONE
    • C04B2235/00Aspects relating to ceramic starting mixtures or sintered ceramic products
    • C04B2235/70Aspects relating to sintered or melt-casted ceramic products
    • C04B2235/74Physical characteristics
    • C04B2235/79Non-stoichiometric products, e.g. perovskites (ABO3) with an A/B-ratio other than 1
    • CCHEMISTRY; METALLURGY
    • C04CEMENTS; CONCRETE; ARTIFICIAL STONE; CERAMICS; REFRACTORIES
    • C04BLIME, MAGNESIA; SLAG; CEMENTS; COMPOSITIONS THEREOF, e.g. MORTARS, CONCRETE OR LIKE BUILDING MATERIALS; ARTIFICIAL STONE; CERAMICS; REFRACTORIES; TREATMENT OF NATURAL STONE
    • C04B2237/00Aspects relating to ceramic laminates or to joining of ceramic articles with other articles by heating
    • C04B2237/30Composition of layers of ceramic laminates or of ceramic or metallic articles to be joined by heating, e.g. Si substrates
    • C04B2237/32Ceramic
    • C04B2237/34Oxidic
    • C04B2237/345Refractory metal oxides
    • C04B2237/346Titania or titanates
    • CCHEMISTRY; METALLURGY
    • C04CEMENTS; CONCRETE; ARTIFICIAL STONE; CERAMICS; REFRACTORIES
    • C04BLIME, MAGNESIA; SLAG; CEMENTS; COMPOSITIONS THEREOF, e.g. MORTARS, CONCRETE OR LIKE BUILDING MATERIALS; ARTIFICIAL STONE; CERAMICS; REFRACTORIES; TREATMENT OF NATURAL STONE
    • C04B2237/00Aspects relating to ceramic laminates or to joining of ceramic articles with other articles by heating
    • C04B2237/30Composition of layers of ceramic laminates or of ceramic or metallic articles to be joined by heating, e.g. Si substrates
    • C04B2237/40Metallic
    • C04B2237/405Iron metal group, e.g. Co or Ni
    • CCHEMISTRY; METALLURGY
    • C04CEMENTS; CONCRETE; ARTIFICIAL STONE; CERAMICS; REFRACTORIES
    • C04BLIME, MAGNESIA; SLAG; CEMENTS; COMPOSITIONS THEREOF, e.g. MORTARS, CONCRETE OR LIKE BUILDING MATERIALS; ARTIFICIAL STONE; CERAMICS; REFRACTORIES; TREATMENT OF NATURAL STONE
    • C04B35/00Shaped ceramic products characterised by their composition; Ceramics compositions; Processing powders of inorganic compounds preparatory to the manufacturing of ceramic products
    • C04B35/01Shaped ceramic products characterised by their composition; Ceramics compositions; Processing powders of inorganic compounds preparatory to the manufacturing of ceramic products based on oxide ceramics
    • C04B35/46Shaped ceramic products characterised by their composition; Ceramics compositions; Processing powders of inorganic compounds preparatory to the manufacturing of ceramic products based on oxide ceramics based on titanium oxides or titanates
    • C04B35/462Shaped ceramic products characterised by their composition; Ceramics compositions; Processing powders of inorganic compounds preparatory to the manufacturing of ceramic products based on oxide ceramics based on titanium oxides or titanates based on titanates
    • C04B35/465Shaped ceramic products characterised by their composition; Ceramics compositions; Processing powders of inorganic compounds preparatory to the manufacturing of ceramic products based on oxide ceramics based on titanium oxides or titanates based on titanates based on alkaline earth metal titanates
    • C04B35/468Shaped ceramic products characterised by their composition; Ceramics compositions; Processing powders of inorganic compounds preparatory to the manufacturing of ceramic products based on oxide ceramics based on titanium oxides or titanates based on titanates based on alkaline earth metal titanates based on barium titanates
    • HELECTRICITY
    • H01ELECTRIC ELEMENTS
    • H01GCAPACITORS; CAPACITORS, RECTIFIERS, DETECTORS, SWITCHING DEVICES, LIGHT-SENSITIVE OR TEMPERATURE-SENSITIVE DEVICES OF THE ELECTROLYTIC TYPE
    • H01G4/00Fixed capacitors; Processes of their manufacture
    • H01G4/30Stacked capacitors

Landscapes

  • Engineering & Computer Science (AREA)
  • Chemical & Material Sciences (AREA)
  • Ceramic Engineering (AREA)
  • Manufacturing & Machinery (AREA)
  • Power Engineering (AREA)
  • Materials Engineering (AREA)
  • Inorganic Chemistry (AREA)
  • Structural Engineering (AREA)
  • Organic Chemistry (AREA)
  • Microelectronics & Electronic Packaging (AREA)
  • Compositions Of Oxide Ceramics (AREA)
  • Inorganic Insulating Materials (AREA)

Description

  • Hintergrund der Erfindung
  • 1. Gebiet der Erfindung
  • Die vorliegende Erfindung betrifft eine dielektrische Keramikzusammensetzung und einen monolithischen Keramikkondensator, welcher selbige verwendet.
  • 2. Beschreibung des betroffenen Fachgebiets
  • Ein herkömmlicher Keramikkondensator wird üblicherweise durch das folgende Verfahren hergestellt.
  • Zuerst wird ein Blatt eines dielektrischen Materials, das auf seiner Oberfläche mit einem Elektrodenmaterial beschichtet ist, um als Innenelektroden zu dienen, hergestellt. Ein im wesentlichen aus BaTiO3 zusammengesetztes Material wird als das dielektrische Material verwendet. Dann wird das Blatt des dielektrischen Materials, beschichtet mit diesem Elektrodenmaterial, durch Heißpressen zu einem monolithischen Körper laminiert, gefolgt von Brennen bei 1250 bis 1350°C in einer atmosphärischen Umgebung, wodurch ein keramischer monolithischer Körper, welcher Innenelektroden aufweist, erhalten wird. Ein monolithischer Keramikkondensator wird durch Glasieren von Außenelektroden, welche elektrisch an Innenelektroden angeschlossen sind, erhalten.
  • Edelmetalle, wie Platin, Gold, Palladium oder Silber sind herkömmlicherweise für das Material der Innenelektrode dieses monolithischen Keramikkondensators verwendet worden. Allerdings sind diese Elektrodenmaterialien kostspielig, während sie hervorragende Merkmale aufweisen, was die Produktionskosten steigen läßt. Deshalb wird derzeitig ein monolithischer Kondensator unter Verwendung von Grundmetallen, wie Ni, in der Innenelektrode vorgeschlagen, um die Produktionskosten zu reduzieren, wobei sein Einsatz auf dem Markt stetig zunimmt.
  • Zusammenfassung der Erfindung
  • In dem Trend bzw. Bestreben, elektronische Geräte kompakt, hochleistungsfähig und preisgünstig zu machen, wird von dem monolithischen Kondensator in starkem Maße verlangt, preisgünstig zu sein, hinsichtlich der Isolierungsdauerhaftigkeit, Isolierungseigenschaften und -zuverlässigkeit verbessert zu sein und eine große Kapazität aufzuweisen. Obwohl es zum Verringern der Kosten der elektronischen Geräte vorteilhaft ist, einen kostengünstigen monolithischen Keramikkondensator zu verwenden, in welchem Nickel für die Innenelektrode verwendet wird, kommt es zu dem Problem, daß der Isolationswiderstand, die Isolierungshaltbarkeit und -zuverlässigkeit extrem verschlechtert werden, wenn die elektronischen Geräte unter einer hohen elektrischen Feldstärke verwendet werden, weil herkömmliche dielektrische Keramikmaterialien auf der Grundlage entworfen sind, daß sie unter einer geringen elektrischen Feldstärke eingesetzt werden. Mit anderen Worten gab es keinen monolithischen Keramikkondensator, der unter einer hohen elektrischen Feldstärke einhergehend mit der Verwendung von Nickel für die Innenelektrode verwendet werden konnte.
  • Während beispielsweise die dielektrischen Materialien, offenbart in der japanischen geprüften Patentveröffentlichung Nr. 57-42588 und der japanischen ungeprüften Patentveröffentlichung Nr. 61-101459, eine große dielektrische Konstante aufzeigen können, ist die Korngröße der dielektrischen Keramik groß, wodurch Mängel aufgezeigt werden, so daß die Isolierungshaltbarkeit des monolithischen Keramikkondensators gering wird, wenn selbiger unter einer hohen elektrischen Feldstärke verwendet wird, oder die mittlere Lebensdauer unter dem Hochtemperatur-Belastungstest kurz wird.
  • In dem dielektrischen Material, welches in der japanischen geprüften Patentveröffentlichung Nr. 61-14611 offenbart wird, bestand der Mangel, daß die dielektrische Konstante, oder die elektrostatische Kapazität, extrem verringert wird, wenn der Kondensator unter einer hohen elektrischen Feldstärke verwendet wird, obwohl seine, unter einer niedrigen elektrischen Feldstärke erhaltene, dielektrische Konstante so hoch wie 2000 bis 2800 ist. Es bestand auch ein Mangel dahingehend, daß der Isolationswiderstand gering ist.
  • Es ist wünschenswert, eine dielektrische Keramikzusammensetzung vorzusehen, welche zur Bildung beispielsweise von dielektrischen Keramikschichten eines monolithischen Keramikkondensators fähig ist, wobei der Isolationswiderstand, repräsentiert durch ein Produkt mit der elektrostatischen Kapazität (ein Produkt CR), so hoch wie 4900 bis 5000 Ω·F oder mehr bzw. 200 Ω·F oder mehr bei Raumtemperatur bzw. 150°C ist, wenn der Kondensator unter einer hohen elektrischen Feldstärke von zum Beispiel so viel wie etwa 10 kV/mm eingesetzt wird, wobei überdies eine kleine Spannungsabhängigkeit des Isolationswiderstands vorliegt, wobei eine hervorragende Stabilität der elektrostatischen Kapazität gegen Gleichsstrom-Vorspannung aufgewiesen wird, eine hohe Isolierungshaltbarkeit aufgewiesen wird, wobei überdies die Temperaturcharakteristik der elektrostatischen Kapazität sowohl den B-Niveau-Charakteristik-Standard, festgelegt im JIS-Standard, als auch den X7R-Niveau-Charakteristik-Standard bzw. – Merkmalsstandard, festgelegt im EIA-Standard, erfüllt, und wobei er ein hervorragendes Witterungsbeständigkeits-Leistungsverhalten aufweist, welches durch einen Hochtemperatur-Belastungstest und einen Hochluftfeuchtigkeits-Belastungstest gezeigt wird. Darüber hinaus ist es wünschenswert, einen monolithischen Keramikkondensator vorzusehen, dessen Innenelektrode aus Ni oder Ni-Legierungen aufgebaut ist, wobei eine solche dielektrische Keramikzusammensetzung als eine dielektrische Keramikschicht verwendet wird.
  • Das EP 0 737 655 A1 offenbart eine dielektrische Keramik, erhältlich aus einer Zusammensetzung, umfassend Bariumtitanat, enthaltend 0,02 Gew.-% oder weniger Alkalimetalloxide, Bariumzirkonat und Manganoxid, weiterhin eine wesentliche Komponente, enthaltend (BaO)mTiO2, γBaZrO3 und MnO, und schließlich als eine Nebenkomponente ein Oxidgas, repräsentiert durch Li2O-(Si, Ti)O2-MO (worin MO mindestens eines von Al2O3 und ZrO2 ist). Die zusätzliche dielektrische Keramik ist jedoch noch nicht vollständig zufriedenstellend in Hinsicht auf ihre Temperaturcharkteristik, welche die B-Niveau-Charakteristik und X7R-Charakteristik erfüllen sollte, und hinsichtlich der spezifischen dielektrischen Konstante, welche über 1000 gehalten werden sollte.
  • Es ist deshalb ein Ziel der vorliegenden Erfindung, eine verbesserte dielektrische Keramik mit einer verbesserten Temperaturcharakteristik, welche die B-Niveau-Charakteristik/X7R-Charakteristik erfüllt, und einer verbesserten spezifischen dielektrischen Konstante vorzusehen.
  • Gemäß der vorliegenden Erfindung wird dieses Ziel durch eine dielektrische Keramik gemäß Anspruch 1 erzielt. Die dielektrische Keramik gemäß der vorliegenden Erfindung unterscheidet sich von der in EP 0 737 655 A1 offenbarten dielektrischen Keramik dahingehend, daß mindestens eines von entweder Scandiumoxid oder Yttriumoxid vorhanden ist, und dahingehend, daß eine wesentliche Komponente αM2O3 enthält (worin M2O3 mindestens eines von entweder Sc2O3 oder Y2O3 repräsentiert, wobei α, welches das Molverhältnis repräsentiert, in dem Bereich von 0,001 ≤ α ≤ 0,06 liegt). Die Gegenwart von entweder Scandiumoxid Sc2O3 oder Yttriumoxid Y2O3 innerhalb des zuvor erwähnten Bereichs von 0,001 ≤ α ≤ 0,06 hilft bei der Erzielung der gewünschten B-Niveau-Charakteristik/X7R-Charakteristik und der gewünschten spezifischen dielektrischen Konstante.
  • Bevorzugte Ausführungsformen sind in den abhängigen Patentansprüchen dargelegt.
  • Die wesentliche Komponente kann ferner g Molverhältnis von Magnesiumoxid enthalten, wobei 0,001 < γ ≤ 0,12, 0,001 < g ≤ 0,12 und γ + g ≤ 0,13 gilt.
  • In der obenstehend beschriebenen dielektrischen Keramikzusammensetzung wird es bevorzugt, daß die erste Nebenkomponente, wenn ihre Zusammensetzung durch xLi2O-y(SiwTi1–w)O2-zMO angegeben ist, (worin x, y und z für Mol-% stehen und w im Bereich von 0,30 ≤ w ≤ 1,00 ist) innerhalb oder auf den Begrenzungslinien der Fläche liegt, die umgeben ist durch Geraden, verbindend jeden Punkt, angegeben durch A (x = 20, y = 80, z = 0), B (x = 10, y = 80, z = 10), C (x = 10, y = 70, z = 20), D (x = 35, y = 45, z = 20), E (x = 45, y = 45, z = 10) und F (x = 45, y = 55, z = 0) (wenn die Zusammensetzung auf die Gerade A-F fällt, w innerhalb eines Bereichs von 0,3 ≤ w < 1,0 liegt) in dem Drei-Komponenten-Diagramm, definiert durch die jeder Komponente entsprechenden Scheitelpunkte.
  • In der obenstehend beschriebenen dielektrischen Keramik wird es bevorzugt, dass die zweite Nebenkomponente, wenn ihre Zusammensetzung durch xSiO2-yTiO2-zXO angegeben ist, (worin x, y und z für Mol-% stehen), innerhalb oder auf den Begrenzungslinien der Fläche liegt, die durch Geraden umgeben ist, verbindend jeden Punkt, angegeben durch A (x = 85, y = 1, z = 14), B (x = 35, y = 51, z = 14), C (x = 30, y = 20, z = 50) und D (x = 39, y = 1, z = 60) in dem Drei-Komponenten-Diagramm, definiert durch die jeder Komponente entsprechenden Scheitelpunkte.
  • Die zweite Nebenkomponente enthält insgesamt 15 Gewichtsteile von mindestens einem von Al2O3 und ZrO2 (der Gehalt von ZrO2 beträgt 5 Gewichtsteile oder weniger), relativ zu 100 Gewichtsteilen des Oxids, repräsentiert durch SiO2-TiO2-XO.
  • Die vorliegende Erfindung sieht, gemäß eines anderen Aspektes, einen monolithischen Keramikkondensator vor, versehen mit einer Vielzahl an dielektrischen Keramikschichten, Innenelektroden, die zwischen den Keramikschichten, und elektrisch mit den Innenelektroden verbundenen Außenelektroden gebildet sind, wobei die dielektrischen Keramikschichten aus der obenstehend beschriebenen dielektrischen Keramikzusam mensetzung aufgebaut sind, und die Innenelektroden aus Nickel oder einer Nickellegierung aufgebaut sind.
  • Die Außenelektrode kann mit einer gesinterten Schicht aus einem elektrisch leitenden Metallpulver oder einem elektrisch leitenden Metallpulver, ergänzt durch Glasfritten, ausgestattet sein.
  • Kurze Beschreibung der Zeichnungen
  • Die 1 ist eine Querschnittsansicht, welche den monolithischen Keramikkondensator gemäß einer Ausführungsform der vorliegenden Erfindung zeigt.
  • Die 2 ist eine Plan- bzw. Ebenen-Ansicht, welche den dielektrischen Keramikschicht-Abschnitt mit Innenelektroden des in 1 gezeigten monolithischen Keramikkondensators zeigt.
  • Die 3 ist eine perspektivische Zerlegungs-Ansicht, welche den keramischen monolithischen Abschnitt des in 1 gezeigten monolithischen Keramikkondensators zeigt.
  • Die 4 ist ein Drei-Komponenten-Phasendiagramm von Li2O-(Siw, Ti1–w)O2-MO-Oxiden.
  • Die 5 ist ein Drei-Komponenten-Phasendiagramm von SiO2-TiO2-XO-Oxiden.
  • Beschreibung der bevorzugten Ausführungsform
  • Die grundlegende Konstruktion des monolithischen Keramikkondensators gemäß der ersten Ausführungsform der vorliegenden Erfindung wird hierin nachstehend unter Bezugnahme auf die Zeichnungen beschrieben werden. Die 1 ist ein Querschnitt, welcher ein Beispiel des monolithischen Keramikkondensators zeigt. Die 2 ist eine Ebenen-Ansicht, welche den dielektrischen Keramikabschnitt mit Innenelektroden des monolithischen Keramikkondensators in 1 zeigt, und 3 ist eine perspektivische Zerlegungs-Ansicht, welche den dielektrischen keramischen Abschnitt mit Innenelektroden des monolithischen Keramikkondensators in 1 zeigt.
  • Wie in der 1 gezeigt, ist der monolithische Keramikkondensator 1 gemäß der vorliegenden Ausführungsform mit einem rechteckig geformten monolithischen Keramikkörper 3 ausgestattet, erhalten durch Laminieren einer Vielzahl von dielektrischen Kera mikschichten 2a und 2b über die Innenelektroden 4. Eine Außenelektrode 5 ist auf den beiden Seitenflächen des monolithischen Keramikkörpers 3 so geformt, daß die Außenelektroden elektrisch mit jeder der angegebenen Innenelektroden 4 verbunden sind, auf welcher eine erste Plattierungsschicht 6, umfassend Nickel oder Kupfer, plattiert ist, wobei eine zweite Plattierungsschicht 7, umfassend ein Lötmittel oder Zinn, ferner auf der ersten Plattierungsschicht ausgebildet ist.
  • Das Verfahren zur Herstellung des monolithischen Keramikkondensators 1 wird als Nächstes in der Reihenfolge der Herstellungsschritte beschrieben werden.
  • Zuerst wird ein Rohmaterialpulver aus Bariumtitanat, hergestellt durch Abwiegen und Mischen in einem gegebenen Zusammensetzungsverhältnis, als eine wesentliche Komponente der dielektrischen Keramikschichten 2a und 2b hergestellt.
  • Dann wird eine Aufschlämmung durch Zusetzen eines organischen Bindemittels in dieses Rohmaterialpulver hergestellt, und nach Formen dieser Aufschlämmung zu einer Folie wird eine Grünfolie zur Verwendung in den dielektrischen Keramikschichten 2a und 2b erhalten.
  • Als Nächstes wird eine Innenelektrode 4, umfassend Nickel oder eine Nickellegierung, auf einer Hauptfläche der Grünfolie gebildet, um als die dielektrischen Keramikschichten 2b zu dienen. Nickel oder Nickellegierungen als Basismetalle können für das Material der Innenelektrode 4 verwendet werden, wenn die dielektrischen Keramikschichten 2a und 2b unter Verwendung der dielektrischen Keramikzusammensetzung, wie obenstehend beschrieben, gebildet werden. Die Innenelektrode 4 kann durch ein Siebdruckverfahren, ein Ablagerungsverfahren oder ein Plattierungsverfahren gebildet werden.
  • Nach Laminieren einer erforderlichen Anzahl der Grünfolien zur Verwendung in den dielektrischen Keramikschichten 2b mit den Innenelektroden 4, werden die Grünfolien zwischen die Grünfolien zur Verwendung in der dielektrischen Keramikschicht 2a ohne Innenelektrode eingefügt, wodurch ein roher monolithischer Körper durch Pressverkleben dieser Grünfolien erhalten wird.
  • Dann wird dieser rohe monolithische Körper bei einer gegebenen Temperatur gebrannt, um einen keramischen monolithischen Körper 3 zu erhalten.
  • Die Außenelektroden 5 werden auf den beiden Seitenflächen des keramischen monolithischen Körpers 3 so gebildet, daß sie elektrisch mit den Innenelektroden 4 verbunden sind. Dasselbe Material, wie verwendet in den Innenelektroden 4, kann für die Außenelektroden 5 verwendet werden. Obgleich Silber, Palladium, eine Silber-Palladium-Legierung, Kupfer und eine Kupferlegierung neben einer Zusammensetzung, hergestellt durch Hinzufügen einer Glasfritte wie einem B2O3-SiO2-BaO-Glas oder Li2O-SiO2-BaO-Glas in diese Metallpulver, verfügbar sind, sollte ein angemessenes Material gewählt werden, indem das Anwendungs-Objekt bzw. -Ziel und die Anwendungsstelle des monolithischen Kondensators in Betracht gezogen werden. Während die Außenelektroden 5 durch Beschichten des keramischen monolithischen Körpers 3, erhalten durch Brennen mit einer Metallpulverpaste als Rohmaterial, gefolgt von Hitze-Verklebung, gebildet werden, können sie durch Hitzeverkleben der Metallpulverpaste gleichzeitig mit dem keramischen monolithischen Körper 3 gebildet werden.
  • Die erste Plattierungsschicht 6 wird dann durch Aufbringen einer Plattierung mit Nickel oder Kupfer auf der Außenelektrode 5 gebildet. Schließlich wird die zweite Plattierungsschicht 7, umfassend ein Lötmittel oder Zinn, auf der ersten Plattierungsschicht 6 gebildet, wodurch der monolithische Kondensator 1 vervollständigt wird. Ein solches Verfahren zur weiteren Bildung einer leitfähigen Schicht auf der Außenelektrode 5 kann, in Abhängigkeit von dem Anwendungsgebiet des monolithischen Keramikkondensators, weggelassen werden.
  • Durch Verwenden der dielektrischen Keramikzusammensetzung, wie zuvor beschrieben, zum Aufbau der dielektrischen Keramikschichten 2a und 2b wird die Charakteristik der dielektrischen keramischen Schichten nicht verschlechtert, selbst wenn sie in einer reduzierenden Atmosphäre gebrannt wird. Mit anderen Worten werden solche Merkmale erhalten, in welchen das Produkt zwischen dem Isolierungs-Widerstand und der elektrostatischen Kapazität (ein Produkt CR) so hoch wie 4900 bis 5000 Ω·F oder mehr bzw. 200 Ω·F oder mehr bei Raumtemperatur bzw. 150°C ist, wenn der Kondensator unter einer so hohen elektrischen Feldstärke wie etwa 10 kV/mm verwendet wird, wobei überdies eine geringe Spannungsabhängigkeit des Isolationswiderstands vorliegt, der absolute Wert des Kapazität-Verringerungsverhältnisses bei einer angelegten Gleichspannung von 5 kV/mm so klein wie 40% bis 45% ist, die Isolierungsbeständigkeit so hoch wie 12 kV/mm oder mehr unter einer Wechselspannung und 14 kV/mm unter einer Gleichspannung ist, wobei überdies ihre Temperaturcharakteristik der elektrostatischen Kapazität den B-Niveau-Charakteristik-Standard, festgelegt im JIS-Standard, im Temperaturbereich von –25°C bis +85°C und den X7R-Niveau-Charakteristik-Standard, festgelegt im EIA-Standard, im Temperaturbereich von –55°C bis +125°C erfüllt, und eine hervorragende Witterungsbeständigkeits-Leistung aufgewiesen wird, was durch einen Hochtemperatur-Belastungstest bei 150°C und bei Gleichspannung von 25 kV/mm und einen Belastungstest bei hoher Luftfeuchtigkeit gezeigt wird.
  • Es ist bestätigt worden, daß unter Erdalkalimetalloxiden, wie SrO und CaO, welche in Bariumtitanat als Verunreinigungen vorkommen, Alkalimetalloxiden, wie Na2O und K2O, und anderen Oxiden, wie Al2O3 und SiO2, speziell der Gehalt der Alkalimetalloxide einen starken Einfluß auf die elektrischen Merkmale aufweist. Während die spezifische dielektrische Konstante verringert wird, wenn die Zugabemengen von Seltenerd-Element-Oxiden, wie Eu2O3, Gd2O3, Tb2O3, Dy2O3, Ho2O3, Er2O3, Tm2O3 und Yb2O3, und Sc2O3 und Y2O3 erhöht werden, kann die spezifische dielektrische Konstante auf einen praktisch annehmbaren Bereich von 900 bis 1600 gehalten werden, indem der Gehalt der in Bariumtitanat als Verunreinigungen enthaltenen Alkalimetalloxide auf 0,02 Gew.-% oder weniger gehalten wird.
  • Das Zusetzen eines Oxids, repräsentiert durch Li2O-(Si, Ti)O2-MO (worin MO mindestens eines von Al2O3 und ZrO2 ist), in die dielektrische Keramikzusammensetzung gestattet das Sintern der Zusammensetzung bei einer relativ geringen Temperatur von 1300°C oder weniger, was die Hochtemperatur-Belastungscharakteristik weiter verbessert.
  • Das Zusetzen eines Oxids, repräsentiert durch Si2O-TiO2-XO (worin XO mindestens eine Art von Verbindung ist, gewählt aus BaO, CaO, SrO, MgO, ZnO und MnO) in die dielektrische Keramikzusammensetzung gestattet, daß die Zusammensetzung hinsichtlich des Sintervermögens sowie hinsichtlich der Hochtemperatur-Belastungscharakteristik als auch der Luftfeuchtigkeitsbeständigkeits-Belastungscharakteristik verbessert wird. Ein höherer Isolationswiderstand kann erhalten werden durch Zugeben von Al2O3 und/oder ZrO2 in das Oxid, welches durch Si2O-TiO2-XO repräsentiert wird.
  • (Beispiele)
  • Die vorliegende Erfindung wird nun ausführlicher auf dem Wege von Beispielen beschrieben werden. Allerdings ist die Ausführungsform innerhalb des Umfangs der vorliegenden Erfindung nicht auf diese Beispiele beschränkt.
  • (Beispiel 1)
  • Nach Herstellen und Abwiegen von TiCl4 und Ba(NO3)2 von verschiedener Reinheit als Ausgangsmaterialien wurden die Verbindungen als Titanylbariumoxalat (Ba-TiO(C2O4)·4 H2O) durch Zusetzen von Oxalsäure präzipitiert. Dieses Präzipitat wurde durch Erwärmung bei einer Temperatur von 1000°C oder mehr zersetzt, um vier Arten von Bariumtitanat zu synthetisieren, welche in der Tabelle 1 aufgelistet sind.
  • Tabelle 1
    Figure 00090001
  • Oxide, Carbonate oder Hydroxide als jeweilige Komponente der ersten Nebenkomponente wurden so abgewogen, daß ein Zusammensetzungsverhältnis (Molverhältnis) von 0,25 Li2O-0,65(0,30 TiO2·0,70 SiO2)-0,10 Al2O3 vorlag, wodurch ein Pulver durch Zerkleinern und Mischen erhalten wurde.
  • In gleicher Weise wurden Oxide, Carbonate oder Hydroxide als jeweilige Komponente der zweiten Nebenkomponente so abgewogen, daß ein Zusammensetzungsverhältnis (Molverhältnis) von 0,66 SiO2-0,17 TiO2-0,15 BaO-0,02 MnO vorlag, wodurch ein Pulver durch Zerkleinern und Mischen erhalten wurde.
  • Oxidpulver der ersten und zweiten Nebenkomponenten wurden in separaten Platin-Tiegeln jeweilig eingebracht und bei 1500°C erwärmt. Nach Abschrecken und Zerkleinern des Gemischs wurde jedes Oxidpulver mit einer mittleren Teilchengröße von 1 μm oder weniger erhalten.
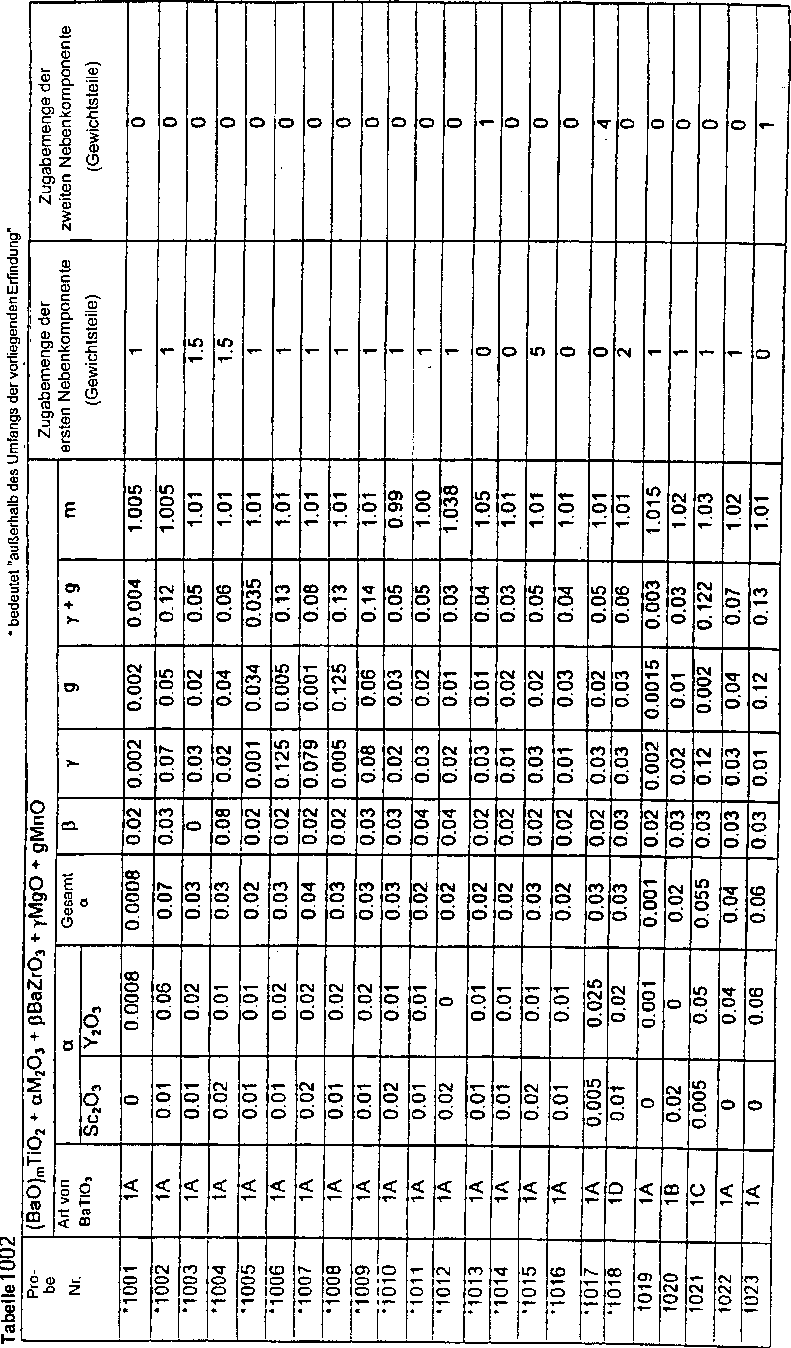
  • Im nächsten Schritt wurden BaCO3 zur Einstellung des Molverhältnisses Ba/Ti (m) in Bariumtitanat, Sc2O3, Y2O3, Eu2O3, Gd2O3, Tb2O3 und Dy2O3, und BaZrO3, MgO und MnO, jeweils mit einer Reinheit von 99% oder mehr, hergestellt. Diese Rohmaterialpulver und die obenstehend beschriebenen Oxide, welche eine der beiden Nebenkomponenten sein sollen, werden so gewichtet, daß die in der Tabelle 2 und Tabelle 3 gezeigten Zusammensetzungen gebildet werden. Die Zugabemengen der ersten und zweiten Nebenkomponenten sind durch Gewichtsteile relativ zu 100 Gewichtsteilen der wesentlichen Komponente (BaO)mTiO2 + αM2O3 + βR2O3 + γBaZrO3 + gMgO + h MnO angegeben.
  • Figure 00100001
  • Figure 00110001
  • Organische Lösungsmittel, wie Polyvinylbutyral-Bindemittel und Ethanol, wurden zu den abgewogenen Verbindungen zugesetzt, und die Mischung wurde im nassen Zustand in einer Kugelmühle gemischt, um eine keramische Aufschlämmung herzustellen. Diese keramische Aufschlämmung wurde durch ein Rakelmesser-Verfahren zu einer Blatt geformt, um eine rechteckig geformte Grünfolie mit einer Dicke von 35 μm zu erhalten, gefolgt von Aufdrucken einer elektrisch leitenden Paste, welche hauptsächlich aus Ni aufgebaut war, auf die keramische Grünfolie zur Bildung einer elektrisch leitenden Pastenschicht zur Ausbildung von Innenelektroden.
  • Dann wurde eine Vielzahl der keramischen Grünfolien, auf welchen die elektrisch leitende Schicht gebildet ist, so laminiert, daß die Seiten, wo die elektrisch leitende Paste nach außen gerichtet ist, abwechselnd aufeinander platziert werden, wodurch man einen monolithischen Körper erhält. Dieser monolithische Körper wurde in einer N2-Atmosphäre bei 350°C erwärmt, und nach Zulassen der Zersetzung des Bindemittels wurde der monolithische Körper bei den in Tabelle 4 und Tabelle 5 gezeigten Temperaturen in einer reduzierenden Atmosphäre, welche H2-N2-H2O-Gase umfaßte, unter einem Sauerstoffpartialdruck von 10–9 bis 10–12 MPa gebrannt, wodurch ein gesinterter keramischer Körper erhalten wurde.
  • Die beiden Seitenflächen des gesinterten Keramikkörpers wurden mit einer Silberpaste, enthaltend B2O3-Li2O-SiO2-BaO-Glasfritten, beschichtet und bei einer Temperatur von 600°C in einer N2-Atmosphäre gebrannt, wodurch elektrisch an die Innenelektroden angeschlossene Außenelektroden erhalten wurden.
  • Die Gesamtabmessungen des so erhaltenen monolithischen Keramikkondensators waren 5,0 mm Breite, 5,7 mm Länge und 2,4 mm Dicke, während die Dicke der dielektrischen Keramikschicht 30 μm betrug. Die Gesamtzahl an effektiven dielektrischen Keramikschichten belief sich auf 57, wobei die Fläche der gegenüberliegenden bzw. konfrontierenden Elektrode je einer Schicht sich auf 8,2 × 10–6m2 belief.
  • Die elektrischen Merkmale dieser monolithischen Keramikkondensatoren wurden gemessen. Die elektrostatische Kapazität (C) und der dielektrische Verlust (tan δ) wurden unter Verwendung eines automatischen Messgeräts vom Brücken-Typ bei 1 kHz, 1 Vrms und 25°C gemessen, und die dielektrische Konstante (ε) wurde aus der elektrostatischen Kapazität berechnet. Als Nächstes wurde der Isolationswiderstand unter Verwendung eines Isolationswiderstands-Testers bei 25°C und 150°C durch Anlegen von Gleichspannungen von 315 V (oder 10 kV/mm) und 945 V (oder 30 kV/mm) während 2 Minuten gemessen, wobei man ein Produkt der elektrostatischen Kapazität und des Isolationswiderstandes, oder ein Produkt CR, erhielt.
  • Die Rate der Änderung der elektrostatischen Kapazität gegenüber Temperaturänderungen wurde ebenfalls gemessen. Die Rate der Änderung bei –25°C und 85°C durch Heranziehen der elektrostatischen Kapazität bei 20°C als Standard (ΔC/C20), die Rate der Änderung bei –55°C und 125°C durch Heranziehen der elektrostatischen Kapazität bei 25°C als Standard (ΔC/C25) und der Maximalwert der Rate der Änderung (|ΔC|max) als Absolutwert wurden als die elektrostatischen Kapazitäten gegenüber Temperaturänderungen gemessen.
  • Die Gleichstrom-Vorspannungs-Charakteristik wurde ebenfalls ausgewertet. Zuerst wurde die elektrostatische Kapazität gemessen, als eine Wechselspannung von 1 kHz und 1 Vrms angelegt wurde. Dann wurde die elektrostatische Kapazität gemessen, als eine Gleichspannung von 150 V und eine Wechselspannung von 1 kHz und 1 Vrms gleichzeitig angelegt wurden, wodurch die Rate der Reduktion der elektrostatischen Kapazität (ΔC/C) aufgrund des Ladens bzw. Anlegens der Gleichspannung berechnet wurde.
  • In dem Hochtemperatur-Belastungstest wurde eine Gleichspannung von 750 V (oder 25 kV/mm) bei 150°C auf 36 Stücke jeder Probe angelegt, um die zeitabhängigen Änderungen des Isolationswiderstandes zu messen. Die Zeit, bei welcher der Isolationswiderstand jeder Probe unter 106 Ω verringert war, wurde als Lebensdauerzeit definiert, und die mittlere Lebensdauerzeit wurde ausgewertet.
  • In dem Luftfeuchtigkeits-Beständigkeitstest wurde die Anzahl der Teststücke, welche einen Isolationswiderstand von 106 Ω oder weniger aufwiesen, unter den 72 Teststücken gezählt, nachdem eine Gleichspannung von 315 V unter einem atmosphärischen Druck von 2 atm (relative Luftfeuchtigkeit 100%) bei 120°C während 250 Stunden angelegt worden war.
  • Isolationsdurchschlag bzw. Isolationsdurchbruch-Spannungen unter Wechselstrom- und Gleichstromspannungen wurden durch Anlegen von Wechselstrom- und Gleichstromspannungen bei einer Spannungszuwachsrate von 100 V/sec gemessen.
  • Die obenstehend beschriebenen Ergebnisse sind in der Tabelle 4 und der Tabelle 5 aufgelistet.
  • Figure 00140001
  • Figure 00150001
  • Aus Tabelle 1 bis Tabelle 5 ist es offensichtlich, daß der monolithische Keramikkondensator gemäß der vorliegenden Erfindung eine so geringe Kapazitätsverringerungsrate wie innerhalb von –45% bei einer angelegten Spannung von 5 kV/mm und einen dielektrischen Verlust von weniger als 1,0% aufweist, wobei die Änderungsrate der elektrostatischen Kapazität gegenüber Temperaturänderungen sowohl den B-Niveau-Merkmalsstandard, festgelegt im JIS-Standard, im Temperaturbereich von –25°C bis +85°C als auch den X7R-Niveau-Merkmalsstandard, festgelegt im EIA-Standard, im Temperaturbereich von –55°C bis +125°C erfüllt.
  • Darüber hinaus zeigen die Isolationswiderstände bei 25°C und 150°C, wie ausgedrückt durch das Produkt CR, so hohe Werte wie 5000 Ω·F oder mehr bzw. 200 Ω·F oder mehr, wenn der Keramikkondensator unter einer hohen elektrischen Feldstärke von 10 kV/mm verwendet wird. Die Isolationsdurchschlagspannung zeigt ebenfalls hohe Werte von 12 kV/mm oder mehr unter der Wechselspannung und 14 kV/mm oder mehr unter der Gleichspannung. Darüber hinaus ergab ein Beschleunigungstest bei 150°C und einer Gleichspannung von 25 kV/mm eine so lange mittlere Lebensdauer wie 800 Stunden oder mehr, neben der Ermöglichung einer relativ geringen Brenntemperatur von 1300°C oder weniger.
  • Der Grund, warum die Zusammensetzung in der vorliegenden Erfindung eingeschränkt wurde, wird hierin nachstehend beschrieben werden.
  • In der Zusammensetzung von (BaO)mTiO2 + αM2O3 + βR2O3 + γBaZrO3 + gMgO + hMnO (worin M2O3 mindestens eines von entweder Sc2O3 oder Y2O3 repräsentiert, und R2O3 mindestens eine der Verbindungen repräsentiert, gewählt aus Eu2O3, Gd2O3, Tb2O3 und Dy2O3, und wobei α, β, γ, g bzw. h jeweils ein Molverhältnis repräsentieren) wird ein M2O3-Gehalt α von weniger als 0,001, wie gezeigt in der Probe Nr. 1 nicht bevorzugt, weil die Temperaturcharakteristik die B-Niveau-Charakteristik/X7R-Charakteristik nicht erfüllt. Andererseits ist auch ein M2O3-Gehalt α von mehr als 0,05, wie gezeigt in der Probe Nr. 2, nicht zu bevorzugen, weil die spezifische dielektrische Konstante auf weniger als 1000 verringert wird. Folglich beträgt der bevorzugte Bereich des Mn2O3-Gehaltes α 0,001 ≤ α ≤ 0,05.
  • Es wird nicht bevorzugt, daß der R2O3-Gehalt β kleiner als 0,001 ist, wie in der Probe Nr. 3, weil der Isolationswiderstand so niedrig ist, daß das Produkt CR klein wird. Es wird ebenfalls nicht bevorzugt, daß der R2O3-Gehalt β mehr als 0,05 beträgt, wie in der Probe Nr. 4, weil die Temperaturcharakteristik die B-Niveau-Charakteristik/X7R- Charakteristik nicht erfüllt, wodurch die Zuverlässigkeit verringert wird. Folglich beläuft sich der bevorzugte Bereich des R2O3-Gehaltes β auf 0,001 ≤ β ≤ 0,05.
  • Wenn die vereinigte Menge von M2O3 und R2O3 (α + β) mehr als 0,06 beträgt, wird der dielektrische Verlust auf bis zu 2,0% erhöht, während die mittlere Lebensdauer verkürzt wird, was nicht bevorzugt wird, weil die Anzahl von Ausschußstücken im Luftfeuchtigkeitbeständigkeit-Belastungstest erhöht ist. Folglich liegt die vereinigte Menge von M2O3 und R2O3 (α + β) vorzugsweise im Bereich von α + β ≤ 0,06.
  • Wie in der Probe Nr. 6 ersichtlich, ist es nicht zu bevorzugen, daß der BaZrO3-Gehalt γ gleich null ist, da der Isolationswiderstand niedrig wird, während eine größere Spannungsabhängigkeit des Isolationswiderstandes vorliegt als in dem System, welches BaZrO3 enthält. Wenn andererseits der BaZrO3-Gehalt γ 0,06 übersteigt, wie in der Probe Nr. 7, erfüllt die Temperaturcharakteristik nicht die B-Niveau-Charakteristik/X7R-Charakteristik, was nicht bevorzugt wird, da die mittlere Lebensspanne verkürzt wird. Folglich beläuft sich der bevorzugte Bereich des BaZrO3-Gehaltes γ auf 0,005 ≤ γ ≤ 0,06.
  • Wie in der Probe Nr. 8 ersichtlich, wird es nicht bevorzugt, daß der MgO-Gehalt g gleich 0,001 ist, da der Isolationswiderstand niedrig wird, wobei überdies die Temperaturcharakteristika nicht die B-Niveau-Charakteristik/X7R-Charakteristik erfüllt. Wenn andererseits der MgO-Gehalt g 0,12 übersteigt, wie ersichtlich in der Probe Nr. 9, wird die Sintertemperatur hoch, und der dielektrische Verlust übersteigt 2,0%, was nicht zu bevorzugen ist, weil Ausschußstücke in dem Feuchtigkeitsbeständigkeitstest extrem erhöht sind, während die mittlere Lebensdauer verkürzt wird. Folglich beläuft sich der bevorzugte Bereich des MgO-Gehaltes g auf 0,001 ≤ g ≤ 0,12.
  • Es wird nicht bevorzugt, daß der MnO-Gehalt h gleich 0,001 ist, wie in der Probe Nr. 10 ersichtlich, weil die Probe aufgrund von Halbleiterbildung unmeßbar wird. Es ist andererseits nicht zu bevorzugen, daß der MnO-Gehalt h 0,12 übersteigt, weil die Temperaturcharakteristik X7R nicht erfüllt wird, wobei überdies der Isolationswiderstand niedrig wird und die mittlere Lebensdauer kurz wird. Folglich liegt der zu bevorzugende MnO-Gehalt h im Bereich von 0,001 ≤ h ≤ 0,12.
  • Wie in der Probe Nr. 12 ersichtlich, wird es nicht bevorzugt, daß der vereinigte Gehalt von MgO und MnO (g + h) 0,13 übersteigt, weil der dielektrische Verlust auf 2,0% erhöht wird, die mittlere Lebensdauer verkürzt ist, und die Ausschuß-Anzahl in dem Feuchtigkeitsbeständigkeit-Belastungstest erhöht ist. Folglich liegt der vereinigte Gehalt von MgO und MnO (g + h) vorzugsweise in dem Bereich von g + h ≤ 0,13.
  • Es wird nicht bevorzugt, daß das BaO/TiO2-Verhältnis m kleiner als 1,000 ist, wie in der Probe Nr. 13, weil Messungen aufgrund der Bildung von Halbleitern unmöglich sind. Es wird ebenfalls nicht bevorzugt, daß, wie ersichtlich in der Probe Nr. 14, das BaO/TiO2-Verhältnis m gleich 1,000 ist, weil der Isolationswiderstand sowie die Wechsel- und Gleichstrom-Durchschlagspannung niedrig wird, wobei überdies eine Verkürzung der mittleren Lebensdauer vorliegt. Es wird andererseits nicht bevorzugt, daß das BaO/TiO2-Verhältnis m über 1,035 liegt, weil Messungen aufgrund von ungenügendem Sintern unmöglich werden. Folglich ist ein BaO/TiO2-Verhältnis m im Bereich von 1,000 < m ≤ 1,035 zu bevorzugen.
  • Es wird nicht bevorzugt, daß die Zugabemenge der ersten oder zweiten Nebenkomponente Null ist, wie in den Proben Nr. 17 und 19, weil Messungen aufgrund ungenügenden Sinterns unmöglich sind. Wenn die Zugabemenge der ersten oder zweiten Nebenkomponente 3,0 Gewichtsteile übersteigt, wie ersichtlich in den Proben Nr. 18 und 20, überschreitet der dielektrische Verlust 1,0%, und der Isolationswiderstand und die Isolationsdurchschlagspannung werden gesenkt, wobei überdies eine Verkürzung der mittleren Lebensdauer vorliegt, was nicht bevorzugt wird. Folglich beträgt der bevorzugte Gehalt von entweder den ersten oder den zweiten Komponenten 0,2 bis 3,0 Gewichtsteile.
  • Der Gehalt der in Bariumtitanat als Verunreinigungen enthaltenen Alkalimetalloxide wird unterhalb von 0,02 Gew.-% gehalten, weil, wenn der Gehalt der Erdalkalimetalloxide 0,02 Gew.-% übersteigt, die dielektrische Konstante verringert wird.
  • (Beispiel 2)
  • Ein Ausgangsmaterial BaO1,010·TiO2 + 0,010 Y2O3 + 0,02 Gd2O3 + 0,01 BaZrO3 + 0,05 MgO + 0,01 MnO (Molverhältnis) wurde unter Verwendung von Bariumtitanat "A" in Tabelle 1 als dielektrisches Pulver hergestellt, zu welchem Li2O-(Si, Ti)O2-MO-Oxid mit einer mittleren Teilchengröße von 1 μm oder weniger, gezeigt in der Tabelle 6, hergestellt durch Erwärmen bei 1200 bis 1500°C, als eine erste Nebenkomponente zugesetzt wurde. Ein monolithischer Keramikkondensator wurde durch das gleiche Verfahren wie in Beispiel 1 hergestellt, außer daß das Ausgangsmaterial, wie obenstehend beschrieben, verwendet wurde. Die Gesamtabmessungen des hergestellten monolithischen Keramikkondensators sind die gleichen wie in Beispiel 1.
  • Tabelle 6
    Figure 00190001
  • Danach wurden die elektrischen Merkmale durch das gleiche Verfahren, wie beschrieben in Beispiel 1, gemessen. Die Ergebnisse sind in der Tabelle 7 gezeigt.
  • Figure 00200001
  • Wie aus Tabelle 6 und Tabelle 7 offensichtlich, werden bevorzugte Ergebnisse in den Proben Nr. 101 bis 112, 118 und 120 erhalten, in welchen Oxide mit Zusammensetzungen innerhalb oder auf den Begrenzungslinien der Fläche, umgeben von den geraden Linien, welche jeden Punkt verbinden, angegeben durch A (X = 20, y = 80, z = 0), B (X – 10, y = 80, z = 10), C (X = 10, y = 70, z = 20), D (X = 35, y = 45, z = 20), E (X – 45, y – 45, z = 10) und F (X = 45, y = 55, z = 0) in dem Drei-Komponenten-Phasendiagramm der Oxide, repräsentiert durch Li2O-(Siw, Ti1–w)O2-MO, gezeigt in 4, zugegeben werden, wobei die Proben ein Kapazitäts-Verringerungsverhältnis von so wenig wie innerhalb –45% bei einer angelegten Spannung von 5 kV/mm und einen dielektrischen Verlust von 1,0% oder weniger aufweisen, wobei überdies die Änderungsrate der elektrostatischen Kapazität gegenüber Temperaturänderungen den B-Niveau-Charakteristikstandard, festgelegt im JIS-Standard, im Temperaturbereich von –25°C bis +85°C und den X7R-Niveau-Charakteristik-Standard, festgelegt im EIA-Standard, im Temperaturbereich von –55°C bis +125°C erfüllt.
  • Der Isolationswiderstand, repräsentiert durch das Produkt CR, zeigt bei 25°C bzw. 150°C so hohe Werte wie 5000 Ω·F oder mehr bzw. 200 Ω·F oder mehr, wenn der Kondensator unter einer elektrischen Feldstärke von 10 kV/mm verwendet wird. Die Isolationsdurchschlagspannungen sind so hoch wie 12 kV/mm oder mehr unter einer Wechselspannung und 14 kV/mm oder mehr unter einer Gleichspannung. Die mittlere Lebensdauer ist so lang wie 800 Stunden oder mehr in dem Beschleunigungstest bei 150°C und Gleichspannung von 25 kV/mm, während eine relativ geringe Brenntemperatur von 1300°C oder weniger ermöglicht wird.
  • Im Gegensatz dazu wird, wenn die Li2O-(Siw, Ti1–w)O2-MO-Oxide außerhalb des obenstehend beschriebenen Zusammensetzungsbereichs liegen, das Sintern ungenügend, oder viele Proben werden im Luftfeuchtigkeitsbeständigkeits-Belastungstest sogar nach dem Sintern in den Proben Nr. 113 bis 117 und 119 als Ausschuß zurückgewiesen. Bei den Proben mit einer Zusammensetzung, welche mit der Linie A-F zusammenfällt, und mit w = 1,0, wie in den Proben Nr. 119 und 121 wird die Sintertemperatur hoch, wobei überdies viele Ausschuß-Fälle im Luftfeuchtigkeitsbeständigkeits-Belastungstest verursacht werden. Wenn der Wert von w kleiner als 0,30 ist, wie gezeigt in der Probe Nr. 122, wird die Sintertemperatur hoch, wobei überdies viele Ausschuß-Fälle im Feuchtigkeits-Beständigkeits-Belastungstest verursacht werden.
  • (Beispiel 3)
  • Ein Ausgangsmaterial BaO1,010·TiO2 + 0,010 Y2O3 + 0,01 Eu2O3 + 0,01 Gd2O3 + 0,01 BaZrO3 + 0,05 MgO + 0,01 MnO (Molverhältnis) wurde unter Verwendung von Bariumtitanat in Tabelle 1A als einem dielektrischen Pulver hergestellt, in welches Oxide, repräsentiert durch SiO2-TiO2-XO, mit einer mittleren Teilchengröße von 1 μm oder weniger, gezeigt in Tabelle 8, hergestellt durch Erwärmen bei 1200 bis 1500°C, als eine zweite Nebenkomponente zugegeben wurden. Ein monolithischer Keramikkondensator wurde durch dasselbe Verfahren wie in Beispiel 1 hergestellt, außer daß das Ausgangsmaterial, wie obenstehend beschrieben, verwendet wurde. Die Zugabemengen von Al2O3 und ZrO2 entsprechen den Zugabemengen im Verhältnis zu 100 Gewichtsteilen der zweiten Nebenkomponente (xSiO2-yTiO2-zXO). Die Gesamtabmessungen des hergestellten monolithischen Kondensators sind die gleichen wie in Beispiel 1.
  • Figure 00230001
  • Dann wurden die elektrischen Merkmale wie in Beispiel 1 gemessen. Die Ergebnisse sind in der Tabelle 9 gezeigt.
  • Figure 00240001
  • Wie aus Tabelle 8 und Tabelle 9 offensichtlich, werden bevorzugte Ergebnisse in den Proben Nr. 201 bis 212 erhalten, in welchen Oxide mit Zusammensetzungen innerhalb oder auf den Begrenzungslinien der Fläche, die durch jeden Punkt, angegeben durch A (X = 85, y = 1, z = 14), B (X = 35, y = 51, z = 14), C (X = 30, y = 20, z = 50) und D (X = 39, y = 1, z = 60), wobei x, y, und z Mol-% repräsentieren, in dem Drei-Komponenten-Phasendiagramm der SiO2-TiO2-XO-Oxide, gezeigt in 5, verbindende Geraden umgeben ist, zugegeben werden, wobei die Proben ein Kapazitätsverringerungsverhältnis von so wenig wie innerhalb –45% bei einer angelegten Spannung von 5 kV/mm und einen dielektrischen Verlust von 1,0% oder weniger aufweisen, wobei überdies die Änderungsrate der elektrostatischen Kapazität gegenüber Temperaturänderungen den B-Niveau-Charakteristik-Standard, festgelegt im JIS-Standard, im Temperaturbereich von –25°C bis +85°C und den X7R-Niveau-Merkmalsstandard, festgelegt im EIA-Standard, im Temperaturbereich von –55°C bis +125°C erfüllt.
  • Wenn der Kondensator unter einer hohen elektrischen Feldstärke von 10 kV/mm verwendet wird, zeigt der Isolationswiderstand, repräsentiert durch das Produkt CR, bei 25°C bzw. 150°C einen hohen Wert von 5000 Ω·F oder mehr bzw. 200 Ω·F oder mehr. Die Isolationsdurchbruchsspannung zeigt ebenfalls hohe Werte von 12 kV/mm oder mehr unter Wechselspannung und 14 kV/mm oder mehr unter Gleichspannung. Die mittlere Lebensdauer im Beschleunigungstest bei 150°C und Gleichspannung von 25 kV/mm ist so lang wie 800 Stunden, wobei überdies keine Ausschuß-Fälle in dem Feuchtigkeitsbeständigkeits-Belastungstest vorkommen, und es möglich ist, das Sintern bei einer relativ niedrigen Sintertemperatur von 1300°C vorzunehmen.
  • Bei dem SiO2-TiO2-XO-Oxid wird andererseits das Sintern ungenügend, wie in den Proben Nr. 213 bis 219, oder Ausschuß-Fälle treten im Feuchtigkeits-Beständigkeits-Belastungstest sogar nach dem Sintern auf.
  • Obwohl ein monolithischer Kondensator vorliegt, welcher Isolationswiderstände von 5400 Ω·F oder mehr bzw. 300 Ω·F oder mehr bei 25°C bzw. 150°C unter der elektrischen Feldstärke von 10 kV/mm aufweist, ist die Sintereigenschaft extrem verschlechtert, wenn die Zugabemengen von Al2O3 und ZrO2 15 Gewichtsteile bzw. 5 Gewichtsteile überschreiten.
  • (Beispiel 4)
  • Vier Arten von Bariumtitanat (BaTiO3) in der Tabelle 1, ein Oxidpulver als erste Nebenkomponente und ein Oxidpulver als zweite Nebenkomponente wurden durch das gleiche Verfahren wie in Beispiel 1 erhalten.
  • Als Nächstes wurden BaCO3 zur Einstellung des Ba/Ti-Molverhältnisses m von Bariumtitanat und Sc2O3, Y2O3, Eu2O3, Gd2O3, Tb2O3 und Dy2O3, und BaZrO3 und MnO, jeweils mit einer Reinheit von 99% oder mehr, hergestellt. Diese Rohmaterialpulver und das vorstehende Oxidpulver als eine Nebenkomponente entweder der ersten oder der zweiten Komponente wurden abgewogen, um die Zusammensetzungen, gezeigt in Tabelle 10 und Tabelle 11, zu erhalten. Die Zugabemengen der ersten und zweiten Nebenkomponenten entsprechen der Zugabemenge relativ zu 100 Gewichtsteilen der wesentlichen Komponente (BaO)mTiO2 + αM2O3 + βR2O3 + γBaZrO3 + gMnO. Ein monolithischer Keramikkondensator wurde unter Verwendung dieser abgewogenen Materialien durch das gleiche Verfahren wie in Beispiel 1 hergestellt. Die Gesamtabmessungen des hergestellten monolithischen Keramikkondensators sind die gleichen wie in Beispiel 1.
  • Figure 00270001
  • Figure 00280001
  • Die elektrischen Merkmale wurden durch das gleiche Verfahren wie in Beispiel 1 gemessen. Die Ergebnisse sind in der Tabelle 12 und Tabelle 13 gezeigt.
  • Figure 00290001
  • Figure 00300001
  • Wie aus Tabelle 10 bis Tabelle 13 offensichtlich ist, besitzt der monolithische Kondensator gemäß der vorliegenden Erfindung ein so kleines Kapazitätsverringerungs-Verhältnis wie innerhalb von –45% bei einer angelegten Spannung von 5 kV/mm und einen dielektrischen Verlust von 1,0% oder weniger, wobei überdies die Änderungsrate der elektrostatischen Kapazität gegenüber Temperaturänderungen den B-Niveau-Merkmalsstandard, festgelegt im JIS-Standard, im Temperaturbereich von –25°C bis +85°C und den X7R-Niveau-Merkmalsstandard, festgelegt im EIA-Standard, im Temperaturbereich von –55°C bis +125°C erfüllt.
  • Wenn der Kondensator unter einer hohen elektrischen Feldstärke von 10 kV/mm verwendet wird, zeigt weiterhin der Isolationswiderstand, repräsentiert durch das Produkt CR, bei 25°C und 150°C einen hohen Wert von 4900 Ω·F oder mehr bzw. 200 Ω·F oder mehr. Die Isolationsdurchbruchsspannung zeigt ebenfalls hohe Werte von 12 kV/mm oder mehr unter der Wechselspannung und 14 kV/mm unter der Gleichspannung. Die mittlere Lebensdauer im Beschleunigungstest bei 150°C und einer Gleichspannung von 25 kV/mm ist so lang wie 800 Stunden, wobei es überdies möglich ist, das Sintern bei einer relativ geringen Sintertemperatur von 1300°C vorzunehmen.
  • Der Grund, warum die Zusammensetzung in der vorliegenden Erfindung eingeschränkt wurde, wird hierin nachstehend beschrieben werden.
  • In der Zusammensetzung von (BaO)mTiO2 + αM2O3 + βR2O3 + γBaZrO3 + gMnO (worin M2O3 mindestens eines von entweder Sc2O3 oder Y2O3 repräsentiert, und R2O3 mindestens eine der Verbindungen repräsentiert, gewählt aus Eu2O3, Gd2O3, Tb2O3 und Dy2O3, und α, β, γ bzw. g ein Molverhältnis repräsentieren) ist ein M2O3-Gehalt α von weniger als 0,001, wie gezeigt in der Probe Nr. 301, nicht zu bevorzugen, weil die Temperaturcharakteristik nicht die B-Niveau-Charakteristik/X7R-Charakteristik erfüllt. Andererseits wird auch ein M2O3-Gehalt α von mehr als 0,05, wie gezeigt in der Probe Nr. 302, nicht bevorzugt, weil die spezifische dielektrische Konstante auf weniger als 900 verringert wird. Folglich ist der bevorzugte Bereich des M2O3-Gehaltes α 0,001 ≤ α ≤ 0,05.
  • Es wird nicht bevorzugt, daß der R2O3-Gehalt β weniger als 0,001 ist, wie in der Probe Nr. 303, weil der Isolationswiderstand so niedrig ist, daß das Produkt CR klein wird. Es wird ebenfalls nicht bevorzugt, daß der R2O3-Gehalt β mehr als 0,05 beträgt, wie in der Probe Nr. 304, weil die Temperaturcharakteristik die B-Niveau-Charakteristik/X7R-Charakteristik nicht erfüllt, was die Zuverlässigkeit verringert. Folglich ist der bevorzugte Bereich des R2O3-Gehaltes β 0,001 ≤ β ≤ 0,05.
  • Wenn die vereinigte Menge von M2O3 und R2O3 (α + β) mehr als 0,06 ist, wie in der Probe Nr. 305, wird der dielektrische Verlust auf bis zu 2,0% erhöht, während die mittlere Lebensdauer verkürzt wird, was nicht bevorzugt wird, weil die Ausschußanzahl im Feuchtigkeitsbeständigkeits-Belastungstest erhöht wird. Folglich liegt die vereinigte Menge von M2O3 und R2O3 (α + β) vorzugsweise im Bereich von α + β ≤ 0,06.
  • Es ist nicht zu bevorzugen, daß, wie in der Probe Nr. 306 ersichtlich, der BaZrO3-Gehalt γ gleich Null ist, da der Isolationswiderstand niedrig wird, während eine größere Spannungsabhängigkeit des Isolationswiderstandes vorliegt, als in dem System, welches BaZrO3 enthält. Wenn andererseits der BaZrO3-Gehalt γ 0,06 überschreitet, wie in der Probe Nr. 307, erfüllt die Temperaturcharakteristik nicht die B-Niveau-Charakteristik/X7R-Charakteristik, was nicht zu bevorzugen ist, weil die mittlere Lebensdauer verkürzt wird. Folglich beträgt der bevorzugte Bereich des BaZrO3-Gehalt γ 0,005 ≤ γ ≤ 0,06.
  • Es wird nicht bevorzugt, daß, wie in der Probe Nr. 308 ersichtlich, der MnO-Gehalt g gleich 0,001 ist, da Messungen aufgrund von Halbleiter-Bildung unmöglich sind. Es wird andererseits nicht bevorzugt, daß der MnO-Gehalt g 0,13 übersteigt, wie ersichtlich in der Probe Nr. 309, weil die Temperaturcharakteristik X7R nicht erfüllt wird, wobei überdies der Isolationswiderstand niedrig ist und die mittlere Lebensdauer kurz wird. Folglich beläuft sich der bevorzugte Bereich des MnO-Gehalts g auf 0,001 < g ≤ 0,13.
  • Es ist nicht zu bevorzugen, daß das BaO/TiO2-Verhältnis m geringer als 1,000 ist, wie in der Probe Nr. 310, weil Messungen aufgrund der Bildung von Halbleitern unmöglich sind. Es wird ebenfalls nicht bevorzugt, daß, wie in der Probe Nr. 311 ersichtlich, das BaO/TiO2-Verhältnis m gleich 1,000 ist, da der Isolationswiderstand sowie die Wechsel- und Gleichstrom-Durchschlagspannungen niedrig werden, wobei überdies eine Verkürzung der mittleren Lebensdauer vorliegt. Es wird andererseits nicht bevorzugt, daß das BaO/TiO2-Verhältnis m über 1,035 beträgt, wie in den Proben Nr. 312 und 313, da Messungen aufgrund ungenügenden Sinterns unmöglich werden. Folglich ist ein BaO/TiO2-Verhältnis m im Bereich von 1,000 < m ≤ 1,035 zu bevorzugen.
  • Es wird nicht bevorzugt, daß die Zugabemenge der ersten oder zweiten Nebenkomponente null ist, wie in den Proben Nr. 314 und 316, weil Messungen wegen ungenügenden Sinterns unmöglich werden. Es wird nicht bevorzugt, daß die Zugabemenge der ersten oder zweiten Nebenkomponente 3,0 Gewichtsteile übersteigt, wie ersichtlich in den Proben Nr. 315 und 317, weil der dielektrische Verlust 1,0% überschreitet und der Isolationswiderstand und die Isolationsdurchbruchsspannung gesenkt werden, wobei überdies eine Verkürzung der mittleren Lebensdauer vorliegt. Folglich beläuft sich der bevorzugte Gehalt entweder der ersten oder der zweiten Komponente auf 0,2 bis 3,0 Gewichtsteile.
  • Der Gehalt der in Bariumtitanat als Verunreinigungen enthaltenen Erdalkalimetalloxide wird auf unter 0,02 Gew.-% gehalten, weil wenn der Gehalt der Erdalkalimetalloxide 0,02 Gew.-% übersteigt, wie in der Probe Nr. 318, die dielektrische Konstante verringert wird.
  • (Beispiel 5)
  • Ein Ausgangsmaterial der Zusammensetzung BaO1,010·TiO2 + 0,01 Y2O3 + 0,02 Dy2O3 + 0,01 BaZrO3 + 0,06 MnO (Molverhältnis) wurde unter Verwendung von Bariumtitanat in Tabelle 1 A als ein dielektrisches Pulver hergestellt, in welches Oxide, repräsentiert durch Li2O-(Si, Ti)O2-MO mit einer mittleren Teilchengröße von 1 μm oder weniger, gezeigt in Tabelle 6, hergestellt durch Erwärmen bei 1200 bis 1500°C, als eine erste Nebenkomponente zugesetzt wurden. Ein monolithischer Keramikkondensator wurde durch das gleiche Verfahren wie in Beispiel 1 hergestellt, mit der Ausnahme, daß das Ausgangsmaterial, wie obenstehend beschrieben, verwendet wurde. Die Gesamtabmessungen des monolithischen Kondensators sind die gleichen wie in Beispiel 1. Die elektrischen Merkmale wurden durch das gleiche Verfahren wie in Beispiel 1 gemessen. Die Ergebnisse sind in der Tabelle 14 gezeigt. Die Proben Nr. 401 bis 422 in Tabelle 14 entsprechen jeweils den Proben Nr. 101 bis 122 in Tabelle 6, wobei zum Beispiel die Nebenkomponente in der Probe Nr. 101 in Tabelle 6 zu der Probe Nr. 401 in der Tabelle 14 zugegeben wird.
  • Figure 00340001
  • Wie aus der Tabelle 14 ersichtlich, werden zu bevorzugende Ergebnisse in den Proben Nr. 401 bis 412, 418 und 420, erhalten, in welche Oxide in den Proben Nr. 101 bis 112, 118 und 120 in Tabelle 6 mit Zusammensetzungen innerhalb oder auf der Begrenzungslinie der Fläche, umgeben durch die Geraden, verbindend jeden Punkt, angegeben durch A (X = 20, y = 80, z = 0), B (X = 10, y = 80, z = 10), C (X = 10, y = 70, z = 20), D (X = 35, y = 45, z = 20), E (X = 45, y = 45, z = 10) und F (X = 45, y = 55, z = 0), worin x, y und z Mol-% repräsentieren und w ein Molverhältnis ist, in dem Drei-Komponenten-Phasendiagramm der Li2O-(Siw, Ti1–w)O2-MO-Oxide, gezeigt in 4, zugegeben werden, wobei die Proben ein so kleines Kapazitätsverringerungsverhältnis wie innerhalb von –40% bei einer angelegten Spannung von 5 kV/mm und einen dielektrischen Verlust von 1,0% oder weniger aufweisen, wobei überdies die Änderungsrate der elektrostatischen Kapazität gegenüber Temperaturänderungen den B-Niveau-Merkmalsstandard, festgelegt im JIS-Standard, im Temperaturbereich von – 25°C bis +85°C und den X7R-Niveau-Merkmalsstandard, festgelegt im EIA-Standard, im Temperaturbereich von –55°C bis +125°C erfüllt.
  • Wenn der Kondensator unter einer hohen elektrischen Feldstärke von 10 kV/mm verwendet wird, zeigt der Isolationswiderstand, repräsentiert durch das Produkt CR, bei 25°C bzw. 150°C einen hohen Wert von 4900 Ω·F oder mehr bzw. 200 Ω·F oder mehr. Die Isolationsdurchbruchsspannung zeigt ebenfalls hohe Werte von 12 kV/mm oder mehr unter einer Wechselspannung und 14 kV/mm unter Gleichspannung. Die mittlere Lebensdauer im Beschleunigungstest bei 150°C und Gleichspannung von 25 kV/mm ist so lang wie 800 Stunden, wobei es überdies möglich ist, das Sintern bei einer relativ niedrigen Sintertemperatur von 1300°C vorzunehmen.
  • Wenn, im Gegensatz dazu, die durch Li2O-(Siw,Ti1–w)O2-MO repräsentierten Oxide außerhalb des obenstehend beschriebenen Zusammensetzungsbereichs liegen, wie in den Proben Nr. 113 bis 117 und 119 in der Tabelle 6, wird das Sintern ungenügend, oder viele Proben werden in dem Feuchtigkeitsbeständigkeits-Belastungstest sogar nach dem Sintern abgelehnt, wie ersichtlich in den Proben Nr. 413 bis 417 und 419. Die Proben mit der Zusammensetzung, welche auf die Linie A-F fällt, und W = 1,0 besitzen eine hohe Sintertemperatur, wobei überdies viele Ausschußfälle im Feuchtigkeitsbeständigkeits-Belastungstest verursacht werden, wie ersichtlich in den Proben Nr. 119 und 121 in der Tabelle 14. Wenn der Wert von w kleiner als 0,30 ist, wie gezeigt in der Probe Nr. 122 in der Tabelle 6, wird die Sintertemperatur hoch, wobei überdies viele Ausschußfälle im Feuchtigkeitsbeständigkeits-Belastungstest verursacht werden, wie ersichtlich in der Probe Nr. 433 in Tabelle 14.
  • (Beispiel 6)
  • Ein Ausgangsmaterial mit einer Zusammensetzung Ba01,010·TiO2 + 0,01 Y2O3 + 0,01 Eu2O3 + 0,01 Tb2O3 + 0,015 BaZrO3 + 0,06 MnO (Molverhältnis) wurde hergestellt unter Verwendung von Bariumtitanat in der Tabelle 1 A als einem dielektrischen Pulver, in welches das Oxid, repräsentiert durch SiO2-TiO2-XO, mit einer mittleren Teilchengröße von 1 μm oder weniger, wie gezeigt in Tabelle 8, hergestellt durch Erwärmen bei 1200 bis 1500°C, als eine zweite Nebenkomponente zugesetzt wurde. Ein monolithischer Keramikkondensator wurde durch das gleiche Verfahren wie in Beispiel 1 hergestellt, außer daß das Ausgangsmaterial, wie obenstehend beschrieben, verwendet wurde. Die Gesamtabmessungen des hergestellten monolithischen Kondensators sind die gleichen wie in Beispiel 1. Die elektrischen Merkmale wurden durch das gleiche Verfahren wie in Beispiel 1 gemessen. Die Ergebnisse sind in der Tabelle 15 gezeigt. Die Proben Nr. 501 bis 519 in Tabelle 15 entsprechen jeweils den Proben Nr. 201 bis 219 in Tabelle 8, wobei beispielsweise die Probe Nr. 501 in Tabelle 15 durch Zugeben der Nebenkomponente in der Probe Nr. 201 in Tabelle 8 erhalten wurde.
  • Figure 00370001
  • Wie aus den Proben Nr. 501 bis 512 in der Tabelle 15 ersichtlich ist, werden bevorzugte Ergebnisse in den Proben erhalten, in welche die Oxide der Proben Nr. 201 bis 212 in Tabelle 8 mit Zusammensetzungen innerhalb oder auf den Begrenzungslinien der Fläche, umgeben durch die geraden Linien, verbindend jeden Punkt, angegeben durch A (X = 85, y = 1, z = 14), B (X = 35, y = 51, z = 14), C (X = 30, y = 20, z = 50) und D (X = 39, y = 1, z = 60), worin x, y und z Mol-% repräsentieren, im Drei-Komponenten-Phasendiagramm der Oxide, repräsentiert durch SiO2-TiO2-XO, gezeigt in 5, zugesetzt werden, wobei die Proben ein Kapazitätsverringerungsverhältnis von so wenig wie innerhalb –40% bei einer angelegten Spannung von 5 kV/mm und einen dielektrischen Verlust von 1,0% oder weniger aufweisen, wobei überdies die Änderungsrate der elektrostatischen Kapazität gegenüber Temperaturänderungen den B-Niveau-Merkmalsstandard, festgelegt im JIS-Standard, im Temperaturbereich von –25°C bis +85°C und den X7R-Niveau-Merkmalsstandard, festgelegt im EIA-Standard, im Temperaturbereich von –55°C bis +125°C erfüllt.
  • Wenn der Kondensator unter einer hohen elektrischen Feldstärke von 10 kV/mm verwendet wird, zeigt der Isolationswiderstand, repräsentiert durch das Produkt CR, bei 25°C bzw. 150°C einen hohen Wert von 4900 Ω·F oder mehr bzw. 200 Ω·F oder mehr. Die Isolationsdurchbruchsspannung zeigt ebenfalls hohe Werte von 12 kV/mm oder mehr unter der Wechselspannung und 14 kV/mm unter der Gleichspannung. Die mittlere Lebensdauer im Beschleunigungstest bei 150°C und Gleichspannung von 25 kV/mm ist so lang wie 800 Stunden, wobei überdies keine Ausschußfälle im Feuchtigkeitsbeständigkeits-Belastungstest vorliegen, und es möglich ist, bei einer relativ geringen Sintertemperatur von 1300°C zu Sintern.
  • Wenn, im Gegensatz dazu, die SiO2-TiO2-XO-Oxide außerhalb des obenstehend beschriebenen Zusammensetzungsbereichs liegen, wie in den Proben Nr. 213 bis 219 in der Tabelle 8, wird das Sintern ungenügend, oder viele Proben werden im Feuchtigkeitsbeständigkeits-Belastungstest, sogar nach Sintern, abgelehnt, wie ersichtlich in den Proben Nr. 513 bis 519 in der Tabelle 15.
  • Wenn zugelassen wird, dass Al2O3 und/oder ZrO2 in den Oxiden, repräsentiert durch SiO2-TiO2-XO, enthalten ist, wie in den Proben Nr. 211 und 212 in der Tabelle 8, kann ein monolithischer Kondensator mit Isolationswiderständen von 5300 Ω·F oder mehr bzw. 300 Ω·F oder mehr bei 25°C bzw. 150°C unter einer elektrischen Feldstärke von 10 kV/mm, wie die Proben Nr. 511 und 512 in Tabelle 15, erhalten werden. Wenn jedoch die Zugabemengen von Al2O3 und ZrO2 15 Gewichtsteile bzw. 5 Gewichtsteile überschreiten, wie in den Proben Nr. 217 und 218 in der Tabelle 8, wird das Sintervermögen extrem verschlechtert, wie in den Proben Nr. 217 und 218 in der Tabelle 8.
  • (Beispiel 7)
  • Nach Herstellen und Abwiegen von TiCl4 und Ba(NO3)2 verschiedener Reinheit als Ausgangsmaterialien wurden die Verbindungen als Titanylbariumoxalat (Ba-TiO(C2O4)·4 H2O) durch Zusetzen von Oxalsäure gefällt. Dieses Präzipitat wurde durch Erwärmen bei einer Temperatur von 1000°C oder mehr zersetzt, um vier Arten von Bariumtitanat, aufgelistet in Tabelle 1, zu synthetisieren.
  • Oxide, Carbonate oder Hydroxide als jeweilige Komponente der ersten Nebenkomponente wurden so abgewogen, daß ein Zusammensetzungsverhältnis (Molverhältnis) von 0,25 Li2O-0,65(0,30 TiO2·0,70 SiO2)-0,10 Al2O3 vorlag, um ein Pulver durch Zerkleinern und Mischen zu erhalten.
  • In gleicher Weise wurden Oxide, Carbonate oder Hydroxide als jeweilige Komponente der zweiten Nebenkomponente so abgewogen, daß ein Zusammensetzungsverhältnis (Molverhältnis) von 0,66 SiO2-0,17 TiO2-0,15 BaO-0,02 MnO vorlag, um ein Pulver durch Zerkleinern und Mischen zu erhalten.
  • Oxidpulver der ersten bzw. zweiten Nebenkomponenten wurden jeweilig in getrennte Platintiegel eingebracht und bei 1500°C erwärmt. Nach Abschrecken und Zerkleinern der Mischung wurde jedes Oxidpulver mit einer mittleren Teilchengröße von 1 μm oder weniger erhalten.
  • Im nächsten Schritt wurden BaCO3 zum Einstellen des Molverhältnisses Ba/Ti (m) in Bariumtitanat, Sc2O3, Y2O3, BaZrO3, MgO und MnO jeweils mit einer Reinheit von 99 oder mehr hergestellt. Die Rohmaterialpulver und die obenstehend beschriebenen Oxide, welche entweder die erste oder zweite Nebenkomponente sein sollten, wurden so abgewogen, daß die in Tabelle 1002 und Tabelle 1003 gezeigten Zusammensetzungen gebildet werden. Die Zugabemengen der ersten und zweiten Nebenkomponenten sind durch Gewichtsteile relativ zu 100 Gewichtsteilen der wesentlichen Komponente, repräsentiert durch ((BaO)mTiO2 + αM2O3 + βBaZrO3 + γMgO + gMnO) angegeben.
  • Figure 00400001
  • Figure 00410001
  • Organische Lösungsmittel, wie Polyvinylbutyrat-Bindemittel und Ethanol, wurden zu den abgewogenen Verbindungen zugesetzt, und die Mischung wurde in einer Kugelmühle in nassem Zustand vermischt, um eine keramische Aufschlämmung herzustellen. Diese Keramikaufschlämmung wurde durch ein Rakelmesserverfahren zu einem Blatt geformt, um eine rechteckig geformte Grünfolie mit einer Dicke von 35 μm zu erhalten, gefolgt von Aufdrucken einer elektrisch leitenden Paste, welche hauptsächlich aufgebaut war aus Ni, auf die keramische Grünfolie unter Bildung einer elektrisch leitenden Pasten-Schicht zur Ausbildung von Innenelektroden.
  • Dann wurde eine Vielzahl der keramischen Grünfolien, auf welchen die elektrisch leitende Schicht gebildet ist, so laminiert, daß die Seiten, auf denen die elektrisch leitende Paste nach außen gerichtet ist, abwechselnd miteinander angeordnet sind, wodurch ein monolithischer Körper erhalten wird. Dieser monolithische Körper wurde in einer N2-Atmosphäre auf 350°C erwärmt, und, nachdem zugelassen wird, daß sich das Bindemittel zersetzt, wurde der monolithische Körper bei den Temperaturen, gezeigt in Tabelle 1004 und Tabelle 1005, in einer reduzierenden Atmosphäre, umfassend H2-N2-H2O-Gase, unter einem Sauerstoffpartialdruck von 10–9 bis 10–12 MPa zwei Stunden lang gebrannt, wodurch ein keramischer gesinterter Körper erhalten wurde.
  • Die beiden Seitenflächen des keramischen gesinterten Körpers wurden mit einer Silberpaste beschichtet, enthaltend B2O3-Li2O-SiO2-BaO-Glasfritten, und bei einer Temperatur von 600°C in einer N2-Atmosphäre gebrannt, wodurch elektrisch mit den Innenelektroden verbundene Außenelektroden erhalten wurden.
  • Die Gesamtabmessungen des so erhaltenen, monolithischen Keramikkondensators beliefen sich auf 5,0 mm Breite, 5,7 mm Länge und 2,4 mm Dicke, während die Dicke der dielektrischen Keramikschicht 30 μm betrug. Die Gesamtzahl der effektiven dielektrischen Keramikschichten belief sich auf 57, wobei die Fläche der gegenüberliegenden bzw. konfrontierenden Elektrode pro einer Schicht 8,2 × 10–6m2 betrug.
  • Die elektrischen Merkmale dieser monolithischen Keramikkondensatoren wurden gemessen. Die elektrostatische Kapazität (C) und der dielektrische Verlust (tan δ) wurden unter Verwendung eines Messinstrumentes vom automatischen Brücken-Typ bei 1 kHz, 1 Vrms und 25°C gemessen, und die dielektrische Konstante (ε) wurde aus der elektrostatischen Kapazität berechnet. Als Nächstes wurde der Isolationswiderstand unter Verwendung einer Isolationswiderstand-Testvorrichtung bei 25°C und 150°C durch Anlegen von Gleichspannungen von 315 V (oder 10 kV/mm) und 945 V (oder 30 kV/mm) während 2 Minuten gemessen, wobei ein Produkt der elektrostatischen Kapazität und des Isolationswiderstandes, oder ein Produkt CR, erhalten wurde.
  • Die Änderungsrate der elektrostatischen Kapazität gegenüber Temperaturänderungen wurde ebenfalls gemessen. Die Änderungsrate bei –25°C und 85°C durch Heranziehen der elektrostatischen Kapazität bei 20°C als einen Standard (ΔC/C20), die Änderungsrate bei –55°C und 125°C durch Heranziehen der elektrostatischen Kapazität bei 20°C als einen Standard (Δ C/C25) und der Maximumwert der Änderungsrate (|ΔC| max) als ein Absolutwert wurden als die elektrostatischen Kapazitäten gegenüber Temperaturänderungen gemessen.
  • Die Gleichstrom-Vorspannungs-Charakteristik wurde ebenfalls ausgewertet. Zuerst wurde die elektrostatische Kapazität bei Anlegen einer Wechselspannung von 1 kHz und 1 Vrms gemessen. Dann wurde die elektrostatische Kapazität bei gleichzeitigem Anlegen einer Gleichspannung von 150 V und einer Wechselspannung von 1 kHz und 1 Vrms gemessen, wodurch die Rate der Reduktion der elektrostatischen Kapazität (ΔC/C) aufgrund des Ladens bzw. Anlegens der Gleichspannung berechnet wurde.
  • Im Hochtemperaturbelastungstest wurde eine Gleichspannung von 750 V (oder 25 kV/mm) bei 150°C auf 36 Stücke jeder Probe angelegt, um die zeitabhängigen Änderungen des Isolationswiderstandes zu messen. Die Zeit, bei welcher der Isolationswiderstand jeder Probe auf unter 106 Ω verringert war, wurde als die Lebensdauerzeit definiert, und die mittlere Lebensdauerzeit wurde ausgewertet.
  • Im Feuchtigkeitsbeständigkeitstest wurde die Anzahl der Teststücke mit einem Isolationswiderstand von 106 Ω oder weniger unter den 72 Teststücken, nach Anlegen einer Gleichspannung von 315 V unter einem atmosphärischen Druck von 2 atm (relative Feuchtigkeit 100%) bei 120°C während 250 Stunden, gezählt.
  • Isolationsdurchschlagspannungen unter Wechselstrom- und Gleichspannungen wurden durch Anlegen von Wechselstrom- und Gleichspannungen bei einer Spannungszuwachsrate von 100 V/sec gemessen.
  • Die obenstehend beschriebenen Ergebnisse sind in der Tabelle 1004 und der Tabelle 1005 aufgelistet.
  • Figure 00440001
  • Figure 00450001
  • Aus der Tabelle 1002 bis Tabelle 1005 ist offensichtlich, daß der monolithische Keramikkondensator gemäß der vorliegenden Erfindung ein Kapazitätsverringerungsverhältnis von so wenig wie innerhalb –45% bei einer angelegten Spannung von 5 kV/mm und einen dielektrischen Verlust von weniger als 1,0% aufweist, wobei die Änderungsrate gegenüber Temperaturänderungen sowohl den B-Niveau-Merkmalsstandard, festgelegt im JIS-Standard, im Temperaturbereich von –25°C bis +85°C, als auch den X7R-Niveau-Merkmalsstandard, festgelegt im EIA-Standard, im Temperaturbereich von –55°C bis +125°C erfüllt.
  • Darüber hinaus zeigen die Isolationswiderstände bei 25°C und 150°C, wie ausgedrückt durch das Produkt CR, so hohe Werte wie 5000 Ω·F oder mehr bzw. 200 Ω·F oder mehr, wenn der keramische Kondensator unter einer hohen elektrischen Feldstärke von 10 kV/mm verwendet wird. Die Isolationsdurchbruchsspannung zeigt ebenfalls hohe Werte von 12 kV/mm oder mehr unter der Wechselspannung und 14 kV/mm oder mehr unter der Gleichspannung. Darüber hinaus ergaben ein Beschleunigungstest bei 150°C und Gleichspannung von 25 kV/mm eine so lange mittlere Lebensdauer wie 800 Stunden oder mehr, wobei überdies eine relativ niedrige Brenntemperatur von 1300°C oder weniger ermöglicht wurde.
  • Der Grund, warum die Zusammensetzung in der vorliegenden Erfindung eingeschränkt war, wird hierin nachstehend beschrieben werden.
  • In der Zusammensetzung von (BaO)mTiO2 + αM2O3 + βBaZrO3 + γMgO + gMnO (worin M2O3 mindestens eines von entweder Sc2O3 oder Y2O3 repräsentiert, und α, β, γ und g jeweils Molverhältnisse repräsentieren) wird ein M2O3-Gehalt α von weniger als 0,001, wie gezeigt in der Probe Nr. 1001, nicht bevorzugt, weil die Temperaturcharakteristik nicht die B-Niveau-Charakteristik/X7R-Charakteristik erfüllt. Andererseits ist ein M2O3-Gehalt α von mehr als 0,06, wie gezeigt in der Probe Nr. 1002, ebenfalls nicht zu bevorzugen, weil die spezifische dielektrische Konstante auf weniger als 1000 verringert wird. Folglich beläuft sich der bevorzugte Bereich des M2O3-Gehaltes α auf 0,001 ≤ α ≤ 0,06.
  • Es wird nicht bevorzugt, daß der BaZrO3-Gehalt β Null ist, wie in der Probe Nr. 1003, da der Isolationswiderstand niedrig ist und die Spannungsabhängigkeit des Isolationswiderstandes größer ist als diejenige des Zusammensetzungssystems, welches BaZrO3 enthält. Es wird ebenfalls nicht bevorzugt, daß der BaZrO3-Gehalt β mehr als 0,06 beträgt, wie in der Probe Nr. 1004, weil die Temperaturcharakteristik die B-Niveau-Charakteristik/X7R-Charakteristik nicht erfüllt.
  • Es wird nicht bevorzugt, daß die Zugabemenge der ersten oder zweiten Nebenkomponente Null ist, wie in den Proben Nr. 1014 und 1016, weil Messungen aufgrund ungenügenden Sinterns unmöglich sind. Es wird nicht bevorzugt, daß die Zugabemenge der ersten oder zweiten Nebenkomponente 3,0 Gewichtsteile überschreitet, wie ersichtlich in den Proben Nr. 1015 und 1017, weil der dielektrische Verlust 1,0% übersteigt, und der Isolationswiderstand und die Isolationsdurchbruchsspannung verringert werden, wobei überdies die mittlere Lebensdauer verkürzt wird. Folglich ist der bevorzugte Gehalt entweder der ersten oder der zweiten Komponenten 0,2 bis 0,3 Gewichtsteile.
  • Der Gehalt der in Bariumtitanat als Verunreinigungen enthaltenen Erdalkalimetalloxide wird auf unter 0,02 Gew.-% unterdrückt bzw. gehalten, weil, wenn der Gehalt der Erdalkalimetalloxide 0,02 Gew.-% übersteigt, wie in der Probe Nr. 1018, die dielektrische Konstante verringert wird.
  • (Beispiel 8)
  • Ein Material mit einer Zusammensetzung von BaO1,010·TiO2 + 0,03 Y2O3 + 0,02 BaZrO3 + 0,05 MgO + 0,01 MnO (Molverhältnis) wurde hergestellt, wobei Bariumtitanat in der Tabelle 1 A als ein dielektrisches Pulver verwendet wurde. Ein monolithischer Keramikkondensator wurde durch das gleiche Verfahren wie in Beispiel 1 hergestellt, außer daß ein Oxid, repräsentiert durch Li2O-(Si, Ti)O2-MO, gezeigt in Tabelle 1006, mit einer mittleren Teilchengröße von 1 μm oder weniger, hergestellt durch Erwärmen des obenstehend beschriebenen Materials bei 1200 bis 1500°C, als die erste Nebenkomponente zugesetzt wurde. Die Gesamtabmessungen des hergestellten monolithischen Keramikkondensators sind die gleichen wie in Beispiel 1.
  • Tabelle 1006
    Figure 00480001
  • Die elektrischen Merkmale wurden dann durch das gleiche Verfahren wie in Beispiel 1 gemessen. Die Ergebnisse sind in der Tabelle 1007 gezeigt.
  • Figure 00490001
  • Wie aus Tabelle 1006 und Tabelle 1007 offensichtlich, werden bevorzugte Ergebnisse in den Proben Nr. 1101 bis 1112, 1118 und 1120 erhalten, in welchen Oxide mit Zusammensetzungen innerhalb oder auf den Begrenzungslinien der Fläche, umgeben durch die geraden Linien, verbindend jeden Punkt, angegeben durch A (X = 20, y = 80, z = 0), B (X = 10, y = 80, z = 10), C (X = 10, y = 70, z = 20), D (X = 35, y = 45, z = 20), E (X = 45, y = 45, z = 10) und F (X = 45, y = 55, z = 0), (worin x, y und z Mol-% repräsentieren, und w ein Molverhältnis repräsentiert, welches im Bereich von 0,3 ≤ w < 1,0 in der Zusammensetzung auf der Linie A-F liegt) des Drei-Komponenten-Phasendiagramms der Oxide, repräsentiert durch Li2O-(Siw, Ti1–w)O2-MO, gezeigt in 4, zugesetzt werden, wobei die Proben ein Kapazitäts-Verringerungsverhältnis von so wenig wie innerhalb –45% bei einer angelegten Spannung von 5 kV/mm und einen dielektrischen Verlust von 1,0% oder weniger aufweisen, wobei überdies die Änderungsrate der elektrostatischen Kapazität gegenüber Temperaturänderungen den B-Niveau-Merkmalsstandard, festgelegt im JIS-Standard, im Temperaturbereich von –25°C bis +85°C und den X7R-Niveau-Merkmalsstandard, festgelegt im EIA-Standard, im Temperaturbereich von –55°C bis +125°C erfüllt.
  • Darüber hinaus zeigen die Isolationswiderstände bei 25°C und 150°C, wie ausgedrückt durch das Produkt CR, so hohe Werte wie 5000 Ω·F oder mehr bzw. 200 Ω·F oder mehr, wenn der Keramikkondensator unter einer hohen elektrischen Feldstärke von 10 kV/mm verwendet wird. Die Isolationsdurchbruchsspannung zeigt ebenfalls hohe Werte von 12 kV/mm oder mehr unter der Wechselspannung und 14 kV/mm oder mehr unter der Gleichspannung. Darüber hinaus ergab ein Beschleunigungstest bei 150°C und Gleichspannung von 25 kV/mm eine mittlere Lebensdauer, die so lang wie 800 Stunden oder mehr war, wobei überdies eine relativ niedrige Brenntemperatur von 1300°C oder weniger ermöglicht wurde.
  • Wenn, im Gegensatz dazu, die Li2O-(Siw,Ti1–w)O2-MO-Oxide außerhalb des obenstehend beschriebenen Zusammensetzungsbereiches liegen, wie oben gezeigt in den Proben Nr. 1113 bis 1117 und 1119, wird das Sintern ungenügend, oder viele Proben werden im Luftfeuchtigkeits-Beständigkeits-Belastungstest, sogar nach dem Sintern, abgelehnt. Die Proben mit einer Zusammensetzung, welche auf die Linie A-F fällt, und W = 1,0, wie in den Proben Nr. 1119 und 1121, besitzen eine hohe Sintertemperatur, wobei überdies viele Ausschußfälle im Feuchtigkeits-Beständigkeits-Belastungstest verursacht werden. Wenn der Wert von w geringer als 0,30 ist, wie gezeigt in der Probe Nr. 1122, wird die Sintertemperatur hoch, wobei überdies viele Ausschußfälle im Feuchtigkeitsbeständigkeits-Belastungstest verursacht werden.
  • (Beispiel 9)
  • Ein Material mit einer Zusammensetzung BaO1,010·TiO2 + 0,03 Sc2O3 + 0,15 BaZrO3 + 0,05 MgO + 0,01 MnO (Molverhältnis) wurde unter Verwendung von Bariumtitanat in Tabelle 1 A als dielektrisches Pulver hergestellt. Ein monolithischer Keramikkondensator wurde durch dasselbe Verfahren wie in Beispiel 1 hergestellt, außer daß ein Oxid Li2O-TiO2-XO, gezeigt in der Tabelle 1008, mit einer mittleren Teilchengröße von 1 μm oder weniger, hergestellt durch Erwärmen des obenstehend beschriebenen Materials bei 1200 bis 1500°C, als die zweite Nebenkomponente zugesetzt wurde. Die Zugabemengen von Al2O3 und ZrO2 entsprechen Gewichtsteilen relativ zu 100 Gewichtsteilen (xSiO2-yTiO2-zXO). Die Gesamtabmessungen des hergestellten monolithischen Keramikkondensators sind die gleichen wie in Beispiel 1.
  • Figure 00520001
  • Die elektrischen Merkmale wurden dann durch das gleiche Verfahren wie in Beispiel 1 gemessen. Die Ergebnisse sind in der Tabelle 1009 gezeigt.
  • Figure 00530001
  • Wie aus Tabelle 1008 und Tabelle 1009 offensichtlich, werden bevorzugte Ergebnisse in den Proben Nr. 1201 bis 1212 erhalten, in welchen Oxide mit Zusammensetzungen innerhalb oder auf den Begrenzungslinien der Fläche, umgeben durch die geraden Linien, verbindend jeden Punkt, angegeben durch A (X = 85, y = 1, z = 14), B (X = 35, y = 51, z = 14), C (X = 30, y = 20, z = 50) und D (X = 39, y = 1, z = 60) (worin x, y und z Mol-% repräsentieren), des Drei-Komponenten-Phasendiagramms der Oxide, repräsentiert durch SiO2-TiO2-XO, gezeigt in 5, zugegeben werden, wobei die Proben ein Kapazitäts-Verringerungsverhältnis von so wenig wie –45% bei einer angelegten Spannung von 5 kV/mm und einen dielektrischen Verlust von 1,0% oder weniger aufweisen, wobei überdies die Änderungsrate der elektrostatischen Kapazität gegenüber Temperaturänderungen den B-Niveau-Merkmalsstandard, festgelegt im JIS-Standard, im Temperaturbereich von –25°C bis +85°C und den X7R-Niveau-Merkmalsstandard, festgelegt im EIA-Standard, im Temperaturbereich von –55°C bis +125°C erfüllt.
  • Darüber hinaus zeigen die Isolationswiderstände bei 25°C und 150°C, wie ausgedrückt durch das Produkt CR, so hohe Werte wie 5000 Ω·F oder mehr bzw. 200 Ω·F oder mehr, wenn der Keramikkondensator unter einer hohen elektrischen Feldstärke von 10 kV/mm verwendet wird. Die Isolationsdurchbruchsspannung zeigt ebenfalls hohe Werte von 12 kV/mm oder mehr unter der Wechselspannung und 14 kV/mm oder mehr unter der Gleichspannung. Darüber hinaus ergab ein Beschleunigungstest bei 150°C und Gleichspannung von 25 kV/mm eine mittlere Lebensdauer, welche so lang wie 800 Stunden oder mehr war, wobei überdies eine relativ niedrige Brenntemperatur von 1300°C oder weniger ermöglicht wurde.
  • Wenn die Zusammensetzung des durch SiO2-TiO2-XO repräsentierten Oxids außerhalb des obenstehend beschriebenen Zusammensetzungsbereichs liegt, wird andererseits das Sintern ungenügend, wie ersichtlich in den Proben Nr. 1213 bis 1219, oder viele Ausschußfälle treten im Feuchtigkeitsbeständigkeits-Belastungstest, sogar nach dem Sintern, auf.
  • Wenn zugelassen wird, daß Al2O3 und/oder ZrO2 in den Oxiden, repräsentiert durch SiO2-TiO2-XO, enthalten ist, wie in den Proben Nr. 1211 und 1212, kann ein monolithischer Kondensator mit Isolationswiderständen von 5400 Ω·F oder mehr bzw. 300 Ω·F oder mehr bei 25°C bzw. 150°C unter einer elektrischen Feldstärke von 10 kV/mm erhalten werden. Wenn jedoch die Zugabemengen von Al2O3 und ZrO2 15 Gewichtsteile bzw. 5 Gewichtsteile überschreiten, wird das Sintervermögen extrem verschlechtert, wie in den Proben Nr. 1271 und 1218.
  • (Beispiel 10)
  • Vier Arten von Bariumtitanat (BaTiO3) in der Tabelle 1, ein Oxidpulver als eine erste Nebenkomponente und ein Oxidpulver als eine zweite Nebenkomponente wurden durch das gleiche Verfahren wie in Beispiel 1 erhalten.
  • Danach wurden BaCO3 zur Einstellung des Ba/Ti-Molverhältnisses in Bariumtitanat, und Sc2O3, Y2O3, BaZrO3 und MnO mit einer Reinheit von 99% oder mehr hergestellt. Dieses Rohmaterialpulver und Oxidpulver, welches entweder die erste oder die zweite Nebenkomponente sein soll, wurden so abgewogen, daß die in Tabelle 1010 und Tabelle 1011 gezeigte Zusammensetzung erhalten wurde. Die Zugabemenge der ersten oder zweiten Nebenkomponente entspricht der Menge, relativ zu 100 Teilen der essentiellen Komponente von ((BaO)mTiO2 + αM2O3 + βBaZrO3 + γMnO). Ein monolithischer Keramikkondensator wurde unter Verwendung dieser abgewogenen Verbindungen durch das gleiche Verfahren wie in Beispiel 1 hergestellt. Die Gesamtabmessungen des hergestellten monolithischen Keramikkondensators sind dieselben wie in Beispiel 1.
  • Figure 00560001
  • Figure 00570001
  • Die elektrischen Merkmale wurden durch das gleiche Verfahren wie in Beispiel 1 gemessen. Die Ergebnisse sind in der Tabelle 1012 und 1013 gezeigt.
  • Figure 00580001
  • Figure 00590001
  • Wie aus Tabelle 1012 und Tabelle 1013 offensichtlich, besitzt der Keramikkondensator gemäß der vorliegenden Erfindung ein Kapazitätsverringerungsverhältnis von so wenig wie innerhalb –40% bei einer angelegten Gleichspannung von 5 kV/mm und einen dielektrischen Verlust von 1,0% oder weniger, wobei überdies die Änderungsrate der elektrostatischen Kapazität gegenüber Temperaturänderungen den B-Niveau-Merkmalsstandard, festgelegt im JIS-Standard, im Temperaturbereich von –25°C bis +85°C und den X7R-Niveau-Merkmalsstandard, festgelegt im EIA-Standard, im Temperaturbereich von –55°C bis +125°C erfüllt.
  • Darüber hinaus zeigen die Isolationswiderstände bei 25°C und 150°C, wie ausgedrückt durch das Produkt CR, so hohe Werte wie 4900 Ω·F oder mehr bzw. 190 Ω·F oder mehr, wenn der Keramikkondensator unter einer hohen elektrischen Feldstärke von 10 kV/mm verwendet wird. Die Isolationsdurchbruchsspannung zeigt ebenfalls hohe Werte von 12 kV/mm oder mehr unter der Wechselspannung und 14 kV/mm oder mehr unter der Gleichspannung. Darüber hinaus ergab ein Beschleunigungstest bei 150°C und Gleichspannung von 25 kV/mm eine mittlere Lebensdauer, die so lang wie 800 Stunden oder mehr war, wobei überdies eine relativ niedrige Brenntemperatur von 1300°C oder weniger ermöglicht wurde.
  • Der Grund, warum die Zusammensetzung in der vorliegenden Erfindung eingeschränkt wurde, wird hierin nachstehend beschrieben.
  • In der Zusammensetzung von (BaO)mTiO2 + αM2O3 + βBaZrO3 + γMnO (worin M2O3 mindestens eines von entweder Sc2O3 und Y2O3 widerspiegelt, und α, β bzw. γ jeweils ein Molverhältnis repräsentieren), ist ein M2O3-Gehalt α von weniger als 0,001, wie gezeigt in der Probe Nr. 1301, nicht bevorzugt, weil die Temperaturcharakteristik die B-Niveau-Charakteristik/X7R-Charakteristik nicht erfüllt. Andererseits wird auch ein M2O3-Gehalt α von mehr als 0,06, wie gezeigt in der Probe Nr. 1302, nicht zu bevorzugt, weil die spezifische dielektrische Konstante auf weniger als 900 verringert wird. Folglich beläuft sich der bevorzugte Bereich des M2O3-Gehaltes α auf 0,001 ≤ α ≤ 0,06.
  • Es wird nicht bevorzugt, daß der BaZrO3-Gehalt β gleich Null ist, wie in der Probe Nr. 1303, weil der Isolationswiderstand niedrig ist und die Spannungsabhängigkeit des Isolationswiderstandes größer ist als diejenige des Zusammensetzungssystems, welches BaZrO3 enthält. Es wird ebenfalls nicht bevorzugt, daß der BaZrO3-Gehalt β mehr als 0,06 beträgt, wie in der Probe Nr. 1304, weil die Temperaturcharakteristik nicht die B-Niveau-Charakteristik/X7R-Charakteristik erfüllt, wobei überdies eine Verkürzung der mittleren Lebensdauer vorliegt. Folglich beträgt der bevorzugte Bereich des BaZrO3-Gehaltes β 0,005 ≤ β ≤ 0,06.
  • Wie in der Probe Nr. 1305 ersichtlich, wird es nicht bevorzugt, daß der MgO-Gehalt γ gleich 0,001 ist, da Messungen aufgrund von Halbleiterbildung unmöglich werden. Es wird nicht bevorzugt, daß der MgO-Gehalt γ 0,13 übersteigt, wie in der Probe Nr. 1306, weil die Temperaturcharakteristik die X7R-Charakteristik nicht erfüllt, wobei überdies der Isolationswiderstand niedrig ist und die mittlere Lebensdauer verkürzt ist. Folglich ist der bevorzugte Bereich des MgO-Gehaltes γ in dem Bereich von 0,001 < γ ≤ 0,13.
  • Es wird nicht bevorzugt, daß das BaO/TiO2-Verhältnis m kleiner als 1,000 ist, wie in der Probe Nr. 1307, weil Messungen aufgrund der Bildung von Halbleitern unmöglich sind. Es wird ebenfalls nicht bevorzugt, daß, wie ersichtlich in der Probe Nr. 1308, das BaO/TiO2-Verhältnis m gleich 1,000 ist, weil der Isolationswiderstand sowie die Wechsel- und Gleichstrom-Durchbruchsspannung niedrig wird, wobei überdies die mittlere Lebensspanne verkürzt wird. Es wird andererseits nicht bevorzugt, daß das BaO/TiO2-Verhältnis m über 1,035 beträgt, wie in den Proben Nr. 1309 und 1310, weil Messungen aufgrund ungenügenden Sinterns unmöglich werden. Folglich wird ein BaO/TiO2-Verhältnis m im Bereich von 1,000 < m ≤ 1,035 bevorzugt.
  • Es wird nicht bevorzugt, daß die Zugabemenge der ersten oder zweiten Nebenkomponente gleich Null ist, wie in den Proben Nr. 1311 und 1313, weil Messungen aufgrund ungenügenden Sinterns unmöglich sind. Es wird andererseits nicht bevorzugt, daß die Zugabemenge der ersten oder zweiten Nebenkomponente 3,0 Gewichtsteile übersteigt, wie ersichtlich in den Proben Nr. 1312 und 1314, weil der dielektrische Verlust 1,0 übersteigt und der Isolationswiderstand und die Isolationsdurchschlagspannung verringert werden, wobei überdies eine Verkürzung der mittleren Lebensdauer vorliegt. Folglich liegt der bevorzugte Gehalt entweder der ersten oder der zweiten Komponenten im Bereich von 0,2 bis 3,0 Gewichtsteilen.
  • Der Gehalt der in Bariumtitanat als Verunreinigungen enthaltenen Erdalkalimetalloxide wird auf unter 0,02 Gew.-% gehalten, weil, wie in der Probe Nr. 1315, wenn der Gehalt der Erdalkalimetalloxide 0,02 Gew.-% überschreitet, die dielektrische Konstante verringert wird.
  • (Beispiel 11)
  • Ein Material mit einer Zusammensetzung von Ba01,010·TiO2 + 0,02 Y2O3 + 0,01 BaZrO3 + 0,04 MnO (Molverhältnis) wurde unter Verwendung von Bariumtitanat in Tabelle 1A als dielektrisches Pulver hergestellt. Ein monolithischer Keramikkondensator wurde durch das gleiche Verfahren wie in Beispiel 1 hergestellt, mit der Ausnahme, daß ein Oxid, repräsentiert durch Li2O-(Si, Ti)O2-MO, wie gezeigt in Tabelle 1006, mit einer mittleren Teilchengröße von 1 μm oder weniger, hergestellt durch Erwärmen des obenstehend beschriebenen Materials bei 1200 bis 1500°C, als die erste Nebenkomponente zugesetzt wurde. Die Gesamtabmessungen des hergestellten monolithischen Keramikkondensators sind die gleichen wie in Beispiel 1. Die elektrischen Merkmale wurden dann durch das gleiche Verfahren wie in Beispiel 1 gemessen. Die Ergebnisse sind in der Tabelle 1014 gezeigt. Die Proben Nr. 1401 bis 1422 in Tabelle 1014 entsprechen jeweils den Proben Nr. 1101 bis 1122 in der Tabelle 1006. Beispielsweise wurde die Probe Nr. 1401 in der Tabelle 1014 durch Zusetzen der Nebenkomponente der Probe Nr. 1101 in der Tabelle 1006 erhalten.
  • Figure 00630001
  • Wie ersichtlich aus den Proben Nr. 1401 bis 1412, 1418 und 1420 in der Tabelle 1014, werden bevorzugte Ergebnisse in den Proben erhalten, in welchen Oxide der Proben Nr. 1101 bis 1112, 1118 und 1120 in der Tabelle 1006 mit Zusammensetzungen innerhalb oder auf den Begrenzungslinien der Fläche, umgeben von den geraden Linien, verbindend jeden Punkt, angegeben durch A (X = 20, y = 80, z = 0), B (X = 10, y = 80, z = 10), C (X = 10, y = 70, z = 20), D (X = 35, y = 45, z = 20), E (x = 45, y = 45, z = 10) und F (x = 45, y = 55, z = 0), (worin x, y und z Mol-% repräsentieren, w ein Molverhältnis repräsentiert und w im Bereich von 0,3 ≤ w < 1,0 in der Zusammensetzung auf der Linie A-F liegt) innerhalb des Drei-Komponenten-Phasendiagramms der Oxide, repräsentiert durch Li2O-(Siw, Ti1–w)O2-MO, gezeigt in 4, als Nebenkomponenten zugesetzt, wobei die Proben ein so geringes Kapazitäts-Verringerungsverhältnis wie innerhalb –40 % bei einer angelegten Spannung von 5 kV/mm und einen dielektrischen Verlust von 1,0% oder weniger aufweisen, wobei überdies die Änderungsrate der elektrostatischen Kapazität gegenüber Temperaturänderungen den B-Niveau-Merkmalsstandard, festgelegt im JIS-Standard, im Temperaturbereich von –25°C bis +85°C und den X7R-Niveau-Merkmalsstandard, festgelegt im EIA-Standard, im Temperaturbereich von –55°C bis +125°C, erfüllt.
  • Darüber hinaus zeigen die Isolationswiderstände bei 25°C und 150°C, wie ausgedrückt durch das Produkt CR, so hohe Werte wie 4900 Ω·F oder mehr bzw. 200 Ω·F oder mehr, wenn der Keramikkondensator unter einer hohen elektrischen Feldstärke von 10 kV/mm verwendet wird. Die Isolationsdurchschlagspannung zeigt ebenfalls hohe Werte von 12 kV/mm oder mehr unter der Wechselspannung und 14 kV/mm oder mehr unter der Gleichspannung. Darüber hinaus ergab ein Beschleunigungstest bei 150°C und Gleichspannung von 25 kV/mm eine mittlere Lebensdauer, welche so lang wie 800 Stunden oder mehr war, wobei überdies eine relativ niedrige Brenntemperatur von 1300°C oder weniger ermöglicht wurde.
  • Wenn, im Gegensatz dazu, die Oxide, repräsentiert durch Li2O-(Siw, Ti1–w)O2-MO, außerhalb des obenstehend beschriebenen Zusammensetzungsbereiches liegen, wie gezeigt in den Proben Nr. 1113 bis 1117 und 1119 in der Tabelle 1006, wird das Sintern ungenügend, oder viele Proben werden im Feuchtigkeitsbeständigkeits-Belastungstest, sogar nach dem Sintern, abgelehnt, wie ersichtlich in den Proben Nr. 1413 bis 1417 und 1419 in der Tabelle 1014. Die Proben mit einer Zusammensetzung, welche auf die Linie A-F fällt, und W = 1,0, wie in den Proben Nr. 1119 und 1121 in der Tabelle 1006, besitzen eine hohe Sintertemperatur, wobei überdies viele Ausschußfälle im Feuchtigkeitsbeständigkeits-Belastungstest verursacht werden, wie ersichtlich in den Proben Nr. 1419 und 1421 in der Tabelle 1014. Wenn der Wert von w geringer als 0,30 ist, wie ge zeigt in Probe Nr. 1122 in der Tabelle 1006, wird die Sintertemperatur hoch, wobei überdies viele Ausschußfälle im Feuchtigkeitsbeständigkeits-Belastungstest verursacht werden, wie ersichtlich in der Probe Nr. 1422 in der Tabelle 1014.
  • (Beispiel 12)
  • Ein Material mit einer Zusammensetzung von BaO1,010·TiO2 + 0,02 Sc2O3 + 0,01 BaZrO3 + 0,04 MnO (Molverhältnis) wurde unter Verwendung von Bariumtitanat in der Tabelle 1A als dielektrisches Pulver hergestellt. Ein monolithischer Keramikkondensator wurde durch dasselbe Verfahren wie in Beispiel 1 hergestellt, mit der Ausnahme, daß ein Oxid, repräsentiert durch SiO2-TiO2-XO, gezeigt in der Tabelle 1008, mit einer mittleren Teilchengröße von 1 μm oder weniger, hergestellt durch Erwärmen des obenstehend beschriebenen Materials bei 1200 bis 1500°C, als die zweite Nebenkomponente zugesetzt wurde. Die Gesamtabmessungen des hergestellten monolithischen Keramikkondensators sind die gleichen wie in Beispiel 1. Die elektrischen Merkmale wurden dann durch das gleiche Verfahren wie in Beispiel 1 gemessen. Die Ergebnisse sind in der Tabelle 1015 gezeigt. In der Tabelle 1015 entsprechen die Proben Nr. 1501 bis 1519 den Proben Nr. 1201 bis 1219 in der Tabelle 1008. Zum Beispiel wurde die Probe Nr. 1501 in der Tabelle 1015 durch Zusetzen der Nebenkomponente der Probe Nr. 1201 in der Tabelle 1008 erhalten.
  • Figure 00660001
  • Wie aus den Proben Nr. 1501 bis 1512 in der Tabelle 1015 offensichtlich ist, werden bevorzugte Ergebnisse in den Proben erhalten, in welche Oxide der Proben Nr. 1201 bis 1212 in der Tabelle 1008 mit Zusammensetzungen innerhalb oder auf den Begrenzungslinien der Fläche, umgeben von den geraden Linien, verbindend jeden Punkt, angegeben durch A (X = 85, y = 1, z = 14), B (X = 35, y = 51, z = 14), C (X = 30, y = 20, z = 50) und D (X = 39, y = 1, z = 60), (worin x, y und, z Mol-% repräsentieren) des Drei-Komponenten-Phasendiagramms der Oxide, repräsentiert durch SiO2-TiO2-XO, gezeigt in 5, als eine Nebenkomponente zugesetzt werden, wobei die Proben ein Kapazitäts-Verringerungsverhältnis von so wenig wie innerhalb –40% bei einer angelegten Spannung von 5 kV/mm und einen dielektrischen Verlust von 1,0% oder weniger aufweisen, wobei überdies die Änderungsrate der elektrostatischen Kapazität gegenüber Temperaturänderungen den B-Niveau-Merkmalsstandard, festgelegt im JIS-Standard, im Temperaturbereich von –25°C bis +85°C und den X7R-Niveau-Merkmalsstandard, festgelegt im EIA-Standard, im Temperaturbereich von –55°C bis +125°C, erfüllt.
  • Darüber hinaus zeigen die Isolationswiderstände bei 25°C und 150°C, wie ausgedrückt durch das Produkt CR, so hohe Werte wie 4900 Ω·F oder mehr bzw. 190 Ω·F oder mehr, wenn der Keramikkondensator unter einer hohen elektrischen Feldstärke von 10 kV/mm verwendet wird. Die Isolationsdurchschlagspannung zeigt ebenfalls hohe Werte von 12 kV/mm oder mehr unter der Wechselspannung und 14 kV/mm oder mehr unter der Gleichspannung. Darüber hinaus ergab ein Beschleunigungstest bei 150°C und Gleichspannung von 25 kV/mm eine mittlere Lebensdauer, welche so lang wie 800 Stunden oder mehr war, und es wurden keine Ausschußfälle im Feuchtigkeitsbeständigkeits-Belastungstest gefunden, wobei überdies eine relativ niedrige Brenntemperatur von 1300°C oder weniger ermöglicht wurde.
  • Wenn das Oxid SiO2-TiO2-XO eine Zusammensetzung außerhalb der obenstehend beschriebenen Zusammensetzung aufweist, wie in den Proben Nr. 1213 bis 1219 in der Tabelle 1008, wird im Gegensatz dazu das Sintern ungenügend, oder viele Ausschußfälle erscheinen im Feuchtigkeitsbeständigkeits-Belastungstest, sogar nach dem Sintern, wie ersichtlich in den Proben Nr. 1513 bis 1519 in der Tabelle 1015.
  • Während ein monolithischer Kondensator mit einem Isolationswiderstand von 5290 Ω·F oder mehr bzw. 310 Ω·F oder mehr bei 25°C bzw. 150°C unter einem starken elektrischen Feld von 10 kV/mm erhalten werden kann, wie gezeigt in den Proben Nr. 1511 und 1512 in der Tabelle 1015, indem zugelassen wird, daß Al2O3 und/oder ZrO2 in den SiO2-TiO2-XO-Oxiden enthalten sind, wie in der Probe Nr. 1211 und 1212 in der Tabelle 1008, wird das Sintervermögen extrem verringert, wenn Al2O3 und ZrO2 in Mengen von 15 Gewichtsteilen oder mehr bzw. 5 Gewichtsteilen oder mehr zugegeben werden, wie in den Proben Nr. 1217 und 1218 in der Tabelle 1008.
  • (Beispiel 13)
  • Nach Herstellen und Abwiegen von TiCl4 und Ba(NO3)2 von vielfältiger Reinheit als Ausgangsmaterialien wurden die Verbindungen als Titanylbariumoxalat (Ba-TiO(C2O4)·4 H2O) durch Zusetzen von Oxalsäure gefällt. Dieses Präzipitat wurde durch Erwärmen bei einer Temperatur von 1000°C oder mehr zersetzt, um vier Arten von Bariumtitanat, aufgelistet in Tabelle 1, zu synthetisieren.
  • Oxide, Carbonate oder Hydroxide als jede Komponente der ersten Nebenkomponente wurden so abgewogen, daß ein Zusammensetzungsverhältnis (Molverhältnis) von 0,25 Li2O-0,65(0,30 TiO2·0,70 SiO2)-0,10 Al2O3 vorliegt, um durch Zerkleinern und Mischen ein Pulver zu erhalten.
  • In gleicher Weise wurden Oxide, Carbonate oder Hydroxide als jede Komponente der zweiten Nebenkomponente so abgewogen, daß ein Zusammensetzungsverhältnis (Molverhältnis) von 0,66 SiO2-0,17 TiO2-0,15 BaO-0,02 MnO (Molverhältnis) vorliegt, um ein Pulver durch Zerkleinern und Mischen zu erhalten.
  • Oxidpulver der ersten und zweiten Nebenkomponenten wurden in getrennte Platin-Tiegel gebracht und auf 1500°C erwärmt. Nach Abschrecken und Zerkleinern der Mischung wurde jedes Oxidpulver mit einer mittleren Teilchengröße von 1 μm oder weniger erhalten.
  • Im nächsten Schritt wurden BaCO3 zur Einstellung des Molverhältnisses Ba/Ti (m) in Bariumtitanat, Eu2O3, Gd2O3, Tb2O3, Dy2O3, Ho2O3, Er2O3, Tm2O3 und Yb2O3, und BaZrO3, MgO und MnO, jeweils mit einer Reinheit von 99% oder mehr, hergestellt. Diese Rohmaterialpulver und die obenstehend beschriebenen Oxide, welche eine von der ersten oder zweiten Nebenkomponente sein sollen, wurden so abgewogen, daß die in der Tabelle 2002 und Tabelle 2003 gezeigten Zusammensetzungen gebildet werden. Die Zugabemengen der ersten und zweiten Nebenkomponenten sind durch Gewichtsteile relativ zu 100 Gewichtsteilen der wesentlichen Komponente (BaO)mTiO2 + αR2O3 + βBaZrO3 + γMgO + gMnO angegeben.
  • Figure 00690001
  • Figure 00700001
  • Organische Lösungsmittel, wie Polyvinylbutyral-Bindemittel und Ethanol, wurden zu den abgewogenen Verbindungen zugesetzt, welche in einer Kugelmühle in nassem Zustand vermischt wurden, um eine keramische Aufschlämmung herzustellen. Diese keramische Aufschlämmung wurde durch ein Rakelmesser-Verfahren zu einem Blatt geformt, wodurch man eine rechteckig geformte Grünfolie mit einer Dicke von 35 μm erhielt, gefolgt von Aufdrucken einer elektrisch leitenden, hauptsächlich aus Ni aufgebauten, Paste auf die keramische Grünfolie, um eine Schicht der elektrisch leitenden Paste zur Bildung von Innenelektroden zu formen.
  • Danach wurde eine Vielzahl der keramischen Grünfolien, auf welchen die elektrisch leitende Schicht gebildet ist, so laminiert, daß die Seiten, auf welchen die elektrisch leitende Paste nach außen blickt, abwechselnd übereinander aufgebracht sind, wodurch man einen monolithischen Körper erhält. Dieser monolithische Körper wurde bei 350°C in einer N2-Atmosphäre erwärmt, und der monolithische Körper wurde, nach Zulassen, daß sich das Bindemittel zersetzt, bei den Temperaturen, gezeigt in Tabelle 2004 und Tabelle 2005, in einer reduzierenden Atmosphäre, umfassend H2-N2-H2O-Gase, unter einem Sauerstoffpartialdruck von 10–9 bis 10–12 MPa zwei Stunden lang gebrannt, wodurch man einen keramischen gesinterten Körper erhielt.
  • Die beiden Seitenflächen des keramischen gesinterten Körpers wurden mit einer Silberpaste beschichtet, enthaltend B2O3-Li2O-SiO2-BaO-Glasfritten, und bei einer Temperatur von 600°C in einer N2-Atmosphäre gebrannt, wodurch elektrisch mit den Innenelektroden verbundene Außenelektroden erhalten wurden.
  • Die Gesamtabmessungen des so erhaltenen monolithischen Keramikkondensators beliefen sich auf 5,0 mm Breite, 5,7 mm Länge und 2,4 mm Dicke, während die Dicke der dielektrischen Keramikschicht 30 μm betrug. Die Gesamtanzahl der effektiven dielektrischen Keramikschichten belief sich auf 57, wobei die Fläche der gegenüberliegenden Elektrode pro einer Schicht 8,2 × 10–6m2 betrug.
  • Die elektrischen Merkmale dieser monolithischen Keramikkondensatoren wurden gemessen. Die elektrostatische Kapazität (C) und der dielektrische Verlust (tan δ) wurden gemessen unter Verwendung eines Messinstruments vom automatischen Brücken-Typ bei 1 kHz, 1 Vrms und 25°C, und die dielektrische Konstante (ε) wurde aus der elektrostatischen Kapazität berechnet. Als Nächstes wurde der Isolationswiderstand unter Verwendung einer Isolationswiderstand-Testvorrichtung bei 25°C und 150°C durch Anlegen von Gleichspannungen von 315 V (oder 10 kV/mm) und 945 V (oder 30 kV/mm) während 2 Minuten gemessen, wodurch ein Produkt der elektrostatischen Kapazität und des Isolationswiderstandes, oder ein Produkt CR erhalten wurde.
  • Die Änderungsrate der elektrostatischen Kapazität gegenüber Temperaturänderungen wurde ebenfalls gemessen. Die Änderungsrate bei –25°C und 85°C durch Heranziehen der elektrostatischen Kapazität bei 20°C als Standard (ΔC/C20), die Änderungsrate bei – 55°C und 125°C durch Heranziehen der elektrostatischen Kapazität bei 20°C als Standard (ΔC/C25) und der Maximumwert der Änderungsrate (|ΔC| max) als Absolutwert im Temperaturbereich von –55°C bis 125°C wurden als die elektrostatischen Kapazitäten gegenüber Temperaturänderungen gemessen.
  • Auch die Gleichstromvorspannungs-Charakteristik wurde ausgewertet. Zuerst wurde die elektrostatische Kapazität, als eine Wechselspannung von 1 kHz und 1 Vrms angelegt wurde, gemessen. Danach wurde die elektrostatische Kapazität, als eine Gleichspannung von 150 V und eine Wechselspannung von 1 kHz und 1 Vrms gleichzeitig angelegt wurden, gemessen, wodurch die Verringerungsrate der elektrostatischen Kapazität (Δ C/C) aufgrund des Ladens bzw. Anlegens der Gleichspannung berechnet wurde.
  • Im Hochtemperatur-Belastungstest wurde eine Gleichspannung von 750 V (oder 25 kV/mm) bei 150°C an 36 Stücken jeder Probe angelegt, um die zeitabhängigen Änderungen des Isolationswiderstandes zu messen. Die Zeit, an der Isolationswiderstand jeder Probe auf unter 106 Ω verringert wurde, wurde als die Lebensdauer-Zeit definiert, und die mittlere Lebensdauer-Zeit wurde ausgewertet.
  • In dem Feuchtigkeits-Beständigkeitstest wurde die Anzahl der Teststücke mit einem Isolationswiderstand von 106 Ω oder weniger unter den 72 Teststücken nach Anlegen einer Gleichspannung von 315 V unter einem atmosphärischen Druck von 2 atm (relative Feuchtigkeit 100%) bei 120°C während 250 Stunden gezählt.
  • Die Isolationsdurchbruchsspannungen unter Wechsel- und Gleichspannungen wurden gemessen durch Anlegen von Wechsel- und Gleichspannungen bei einer Spannungszuwachsrate von 100 V/sec.
  • Die obenstehend beschriebenen Ergebnisse sind in der Tabelle 2004 und der Tabelle 2005 aufgelistet.
  • Figure 00730001
  • Figure 00740001
  • Es ist aus Tabelle 2002 bis Tabelle 2005 offensichtlich, daß der monolithische Keramikkondensator gemäß der vorliegenden Erfindung ein Kapazitätsverringerungsverhältnis von so wenig wie innerhalb von –45% bei einer angelegten Spannung von 5 kV/mm und einen dielektrischen Verlust von weniger als 1,0% aufweist, wobei die Änderungsrate gegenüber Temperaturänderungen sowohl den B-Niveau-Merkmalsstandard, festgelegt im JIS-Standard, im Temperaturbereich von –25°C bis +85°C als auch den X7R-Niveau-Merkmalsstandard, festgelegt im EIA-Standard, im Temperaturbereich von –55°C bis +125°C erfüllt.
  • Darüber hinaus zeigen die Isolationswiderstände bei 25°C und 150°C, wie ausgedrückt durch das Produkt CR, so hohe Werte wie 5000 Ω·F oder mehr bzw. 200 Ω·F oder mehr, wenn der Keramikkondensator unter einer hohen elektrischen Feldstärke von 10 kV/mm verwendet wird. Die Isolationsdurchbruchsspannung zeigt ebenfalls hohe Werte von 12 kV/mm oder mehr unter der Wechselspannung und 14 kV/mm unter der Gleichspannung. Weiterhin ergab ein Beschleunigungstest bei 150°C und Gleichspannung von 25 kV/mm eine mittlere Lebensdauer, die so lang wie 800 Stunden oder mehr war, wobei überdies eine relativ niedrige Brenntemperatur von 1300°C oder weniger ermöglicht wurde.
  • Der Grund, warum die Zusammensetzung in der vorliegenden Erfindung eingeschränkt war, wird hierin nachstehend beschrieben werden.
  • In der Zusammensetzung von (BaO)mTiO2 + αR2O3 + βBaZrO3 + γMgO + gMnO (worin R2O3 mindestens eine Verbindung repräsentiert, gewählt aus Eu2O3, Gd2O3, Tb2O3, Dy2O3, Ho2O3, Er2O3, Tm2O3 und Yb2O3, und α, β, γ und g jeweils Molverhältnisse repräsentieren) ist ein R2O3-Gehalt α von weniger als 0,001, wie gezeigt in der Probe Nr. 2001, nicht zu bevorzugen, weil der Isolationswiderstand niedrig ist und das Produkt CR klein wird. Andererseits wird auch ein R2O3-Gehalt α von mehr als 0,06, wie gezeigt in der Probe Nr. 2002, nicht bevorzugt, weil die Temperaturcharakteristik nicht die B-Niveau-Charakteristik/X7R-Charakteristik erfüllt, wobei sie eine schlechte Zuverlässigkeit aufweist. Folglich beläuft sich der bevorzugte Bereich des R2O3-Gehaltes α auf 0,001 ≤ α ≤ 0,06.
  • Ein BaZrO3-Gehalt β von Null, wie in der Probe Nr. 2003, ist nicht zu bevorzugen, weil der Isolationswiderstand niedrig ist und die Spannungsabhängigkeit des Isolationswiderstandes größer ist als diejenige des Zusammensetzungssystems, welches BaZrO3 enthält. Es wird ebenfalls nicht bevorzugt, daß der BaZrO3-Gehalt β mehr als 0,06 beträgt, wie in der Probe Nr. 2004, weil die Temperaturcharakteristik die B-Niveau- Charakteristik/X7R-Charakteristik nicht erfüllt, wobei überdies eine Verkürzung der mittleren Lebensdauer vorliegt. Folglich beläuft sich der bevorzugte Bereich des BaZrO3-Gehaltes β auf 0,005 ≤ β ≤ 0,06.
  • Es wird nicht bevorzugt, daß, wie ersichtlich in der Probe Nr. 2005, der MgO-Gehalt γ gleich 0,001 ist, weil der Isolationswiderstand niedrig wird und die Temperaturcharakteristik nicht die B-Niveau-Charakteristik/X7R-Charakteristik erfüllt. Andererseits wird es nicht bevorzugt, daß der MgO-Gehalt γ 0,12 übersteigt, wie in der Probe Nr. 2006, weil die Sintertemperatur hoch wird, der dielektrische Verlust 2,0% überschreitet, die Anzahl von Ausschußfällen im Feuchtigkeitsbeständigkeits-Belastungstest extrem erhöht wird, wobei überdies die mittlere Lebensdauer kurz ist. Folglich liegt der bevorzugte Bereich des MgO-Gehalts γ im Bereich von 0,001 < γ ≤ 0,12.
  • Es wird nicht bevorzugt, daß, wie ersichtlich in der Probe Nr. 2007, der MnO-Gehalt g gleich 0,001 ist, da eine Messung aufgrund der Bildung von Halbleitern unmöglich wird. Es wird andererseits nicht bevorzugt, daß der MnO-Gehalt g 0,12 überschreitet, wie ersichtlich in der Probe Nr. 2008, weil die Temperaturcharakteristik X7R nicht erfüllt wird und der Isolationswiderstand verringert wird, wobei überdies die mittlere Lebensdauer kurz wird. Folglich liegt der bevorzugte Bereich des MnO-Gehalt g im Bereich von 0,001 < g ≤ 0,12.
  • Es ist nicht zu bevorzugen, daß, wie in der Probe Nr. 2009, die vereinigte Menge von γ + g des MgO-Gehaltes und MnO-Gehaltes 0,13 überschreitet, weil der dielektrische Verlust auf 2,0% erhöht wird und die mittlere Lebensdauer verkürzt wird, wobei überdies die Ausschußzahl im Feuchtigkeitsbeständigkeits-Belastungstest zunimmt. Folglich liegt die vereinigte Menge von γ + g des MgO-Gehaltes und MnO-Gehaltes vorzugsweise im Bereich von γ + g ≤ 0,13.
  • Es wird nicht zu bevorzugt, daß das BaO/TiO2-Verhältnis m geringer als 1,000 ist, wie in der Probe Nr. 2010, weil Messungen aufgrund der Bildung von Halbleitern unmöglich sind. Es wird ebenfalls nicht bevorzugt, daß, wie ersichtlich in der Probe Nr. 2011, das BaO/TiO2-Verhältnis m gleich 1,000 ist, weil der Isolationswiderstand sowie die Wechsel- und Gleichstrom-Durchschlagspannung niedrig wird, wobei überdies eine Verkürzung der mittleren Lebensdauer vorliegt. Es wird andererseits nicht bevorzugt, daß das BaO/TiO2-Verhältnis m über 1,035 beträgt, wie in den Proben Nr. 2012 und 2013, weil Messungen aufgrund ungenügenden Sinterns unmöglich werden. Folglich ist ein BaO/TiO2-Verhältnis m im Bereich von 1,000 < m ≤ 1,035 zu bevorzugen.
  • Es ist nicht zu bevorzugen, daß die Zugabemenge der ersten oder zweiten Nebenkomponente gleich Null ist, wie in den Proben Nr. 2014 und 2016, weil Messungen aufgrund ungenügenden Sinterns unmöglich sind. Es wird andererseits nicht bevorzugt, daß die Zugabemenge der ersten oder zweiten Nebenkomponente 3,0 Gewichtsteile übersteigt, wie ersichtlich in den Proben Nr. 2015 und 2017, weil der dielektrische Verlust 1,0%, überschreitet und der Isolationswiderstand und die Isolationsdurchschlagspannung gesenkt werden, wobei überdies eine Verkürzung der mittleren Lebensdauer vorliegt. Folglich beläuft sich der bevorzugte Gehalt entweder der ersten oder der zweiten Komponenten auf 0,2 bis 3,0 Gewichtsteile.
  • Der Gehalt der in Bariumtitanat als Verunreinigungen enthaltenen Erdalkalimetalloxide wird auf unter 0,02 Gew.-% unterdrückt, weil, wenn der Gehalt der Erdalkalimetalloxide 0,02 Gew.-% überschreitet, wie in der Probe Nr. 2018, die dielektrische Konstante verringert wird.
  • (Beispiel 14)
  • Ein Material mit einer Zusammensetzung von BaO1,010·TiO2 + 0,03 Gd2O3 + 0,025 BaZrO3 + 0,05 MgO + 0,01 MnO (Molverhältnis) wurde unter Verwendung von Bariumtitanat in Tabelle 1A als dielektrisches Pulver hergestellt. Ein monolithischer Keramikkondensator wurde durch das gleiche Verfahren wie in Beispiel 1 hergestellt, mit der Ausnahme, daß ein Oxid, repräsentiert durch Li2O-(Si, Ti)O2-MO, gezeigt in Tabelle 2006, mit einer mittleren Teilchengröße von 1 μm oder weniger, hergestellt durch Erwärmen des obenstehend beschriebenen Materials bei 1200 bis 1500°C, als die erste Nebenkomponente zugesetzt wurde. Die Gesamtabmessungen des hergestellten monolithischen Keramikkondensators sind die gleichen wie in Beispiel 1.
  • Tabelle 2006
    Figure 00780001
  • Dann wurden die elektrischen Merkmale durch das gleiche Verfahren wie in Beispiel 1 gemessen. Die Ergebnisse sind in der Tabelle 2007 gezeigt.
  • Figure 00790001
  • Wie aus Tabelle 2006 und Tabelle 2007 offensichtlich, werden bevorzugte Ergebnisse in den Proben Nr. 2101 bis 2112, 2118 und 2120 erhalten, in welche die Oxide mit Zusammensetzungen innerhalb oder auf den Begrenzungslinien der Fläche, umgeben durch die geraden Linien, verbindend jeden Punkt, angegeben durch A (X = 20, y = 80, z = 0), B (X = 10, y = 80, z = 10), C (X = 10, y = 70, z = 20), D (X = 35, y = 45, z = 20), E (X = 45, y = 45, z = 10) und F (X = 45, y = 55, z = 0) (worin x, y und z Mol-% repräsentieren, und w ein Molverhältnis repräsentiert, wobei w im Bereich von 0,3 ≤ w < 1,0 ist, wenn es auf die Linie A-F fällt) des Drei-Komponenten-Phasendiagramms der Oxide, repräsentiert durch Li2O-(Siw, Ti1–w)O2-MO, gezeigt in 4, zugesetzt werden, wobei die Proben ein Kapazitäts-Verringerungsverhältnis von so wenig wie innerhalb –45% bei einer angelegten Spannung von 5 kV/mm und einen dielektrischen Verlust von 1,0 oder weniger aufweisen, wobei überdies die Änderungsrate der elektrostatischen Kapazität gegenüber Temperaturänderungen den B-Niveau-Merkmalsstandard, festgelegt im JIS-Standard, im Temperaturbereich von –25°C bis +85°C und den X7R-Niveau-Merkmalsstandard, festgelegt im EIA-Standard, im Temperaturbereich von –55°C bis +125°C erfüllt.
  • Darüber hinaus zeigen die Isolationswiderstände bei 25°C und 150°C, wie ausgedrückt durch das Produkt CR, so hohe Werte wie 5000 Ω·F oder mehr bzw. 200 Ω·F oder mehr, wenn der Keramikkondensator unter einer hohen elektrischen Feldstärke von 10 kV/mm verwendet wird. Die Isolationsdurchbruchsspannung zeigt ebenfalls hohe Werte von 12 kV/mm oder mehr unter der Wechselspannung und 14 kV/mm unter der Gleichspannung. Weiterhin ergab ein Beschleunigungstest bei 150°C und Gleichspannung von 25 kV/mm eine mittlere Lebensdauer, die so lang wie 800 Stunden oder mehr war, wobei überdies eine relativ niedrige Brenntemperatur von 1300°C oder weniger ermöglicht wurde.
  • Wenn das durch Li2O-(Siw, Ti1–w)O2-MO repräsentierte Oxid eine Zusammensetzung außerhalb der obenstehend beschriebenen Zusammensetzung aufweist, wie in den Proben Nr. 2113 bis 2117 und 2119, wird andererseits das Sintern ungenügend oder viele Ausschußfälle erscheinen im Feuchtigkeitsbeständigkeits-Belastungstest, sogar nach dem Sintern. Wenn die Zusammensetzung auf die Linie A-F fällt und w = 1,0, wird die Sintertemperatur hoch, was eine große Zahl an Ausschuß-Stücken im Feuchtigkeitsbeständigkeits-Belastungstest ergibt, wie gezeigt in den Proben Nr. 2119 und 2121. Wenn der Wert von w geringer als 3,0 ist, wird die Sintertemperatur so hoch, daß viele Ausschuß-Stücke im Feuchtigkeitsbeständigkeitstest erscheinen, wie gezeigt in der Probe Nr. 2122.
  • (Beispiel 15)
  • Ein Material mit einer Zusammensetzung Ba01,010·TiO2 + 0,03 Dy2O3 + 0,02 BaZrO3 + 0,05 MgO + 0,01 MnO (Molverhältnis) wurde unter Verwendung von Bariumtitanat in der Tabelle 1A als dielektrisches Pulver hergestellt. Ein monolithischer Keramikkondensator wurde durch das gleiche Verfahren wie in Beispiel 1 hergestellt, mit der Ausnahme, daß ein Oxid, repräsentiert durch Si2O-TiO2-XO, gezeigt in der Tabelle 2008, mit einer mittleren Teilchengröße von 1 μm oder weniger, hergestellt durch Erwärmen des obenstehend beschriebenen Materials bei 1200 bis 1500°C, als die zweite Nebenkomponente zugesetzt wurde. Die Zugabemengen von Al2O3 und ZrO3 sind durch Gewichtsteile relativ zu 100 Gewichtsteilen der zweiten Nebenkomponente (xSiO2 – yTiO2 - zXO) angegeben. Die Gesamtabmessungen des hergestellten monolithischen Keramikkondensators sind die gleichen wie in Beispiel 1.
  • Figure 00820001
  • Dann wurden die elektrischen Merkmale durch das gleiche Verfahren wie in Beispiel 1 gemessen. Die Ergebnisse sind in der Tabelle 2009 gezeigt.
  • Figure 00830001
  • Wie aus Tabelle 2008 und Tabelle 2009 offensichtlich, werden bevorzugte Ergebnisse in den Proben Nr. 2201 bis 2212 erhalten, in welchen Oxide mit Zusammensetzungen innerhalb oder auf den Begrenzungslinien der Fläche, umgeben durch die geraden Linien, verbindend jeden Punkt, angegeben durch A (X = 85, y = 1, z = 14), B (X = 35, y = 51, z = 14), C (X = 30, y = 20, z = 50) und D (X = 39, y = 1, z = 60), (worin x, y, und z Mol-% repräsentieren) des Drei-Komponenten-Phasendiagramms der Oxide, repräsentiert durch SiO2-TiO2-XO, gezeigt in 5, zugesetzt werden, wobei die Proben ein Kapazitätsverringerungsverhältnis von so wenig wie innerhalb –45% bei einer angelegten Spannung von 5 kV/mm und einen dielektrischen Verlust von 1,0% oder weniger aufweisen, wobei überdies die Änderungsrate der elektrostatischen Kapazität gegenüber Temperaturänderungen den B-Niveau-Merkmalsstandard, festgesetzt im JIS-Standard, im Temperaturbereich von –25°C bis +85°C und den X7R-Niveau-Merkmalsstandard, festgesetzt im EIA-Standard, im Temperaturbereich von –55°C bis +125°C erfüllt.
  • Darüber hinaus zeigen die Isolationswiderstände bei 25°C und 150°C, wie ausgedrückt durch das Produkt CR, so hohe Werte wie 5000 Ω·F oder mehr bzw. 200 Ω·F oder mehr, wenn der Keramikkondensator unter einer hohen elektrischen Feldstärke von 10 kV/mm verwendet wird. Die Isolationsdurchbruchsspannung zeigt ebenfalls hohe Werte von 12 kV/mm oder mehr unter Wechselstromspannung und 14 kV/mm unter der Gleichstromspannung. Weiterhin ergab ein Beschleunigungstest bei 150°C und Gleichspannung von 25 kV/mm eine mittlere Lebensdauer, die so lang wie 800 Stunden oder mehr war, und es wurden keine Ausschuß-Stücke im Feuchtigkeitsbeständigkeits-Belastungstest gefunden, wobei überdies eine relativ niedrige Brenntemperatur von 1300°C oder weniger ermöglicht wurde.
  • Wenn das Oxid, repräsentiert durch SiO2-TiO2-XO, eine Zusammensetzung außerhalb der obenstehend beschriebenen Zusammensetzung aufweist, wie in den Proben Nr. 2213 bis 2219, wird im Gegensatz dazu das Sintern ungenügend oder viele Ausschußfälle erscheinen im Feuchtigkeitsbeständigkeits-Belastungstest sogar nach dem Sintern.
  • Während ein monolithischer Kondensator mit einem Isolationswiderstand von 5400 Ω·F oder mehr bzw. 300 Ω·F oder mehr bei 25°C bzw. 150°C unter einem starken elektrischen Feld von 10 kV/mm erhalten werden kann, indem zugelassen wird, daß Al2O3 und/oder ZrO2 in den SiO2-TiO2-XO-Oxiden enthalten sind, wie in der Probe Nr. 2211 und 2212, wird das Sintervermögen extrem verringert, wenn Al2O3 und ZrO2 in Mengen von 15 Gewichtsteilen oder mehr bzw. 5 Gewichtsteilen oder mehr zugesetzt werden, wie in den Proben Nr. 2217 und 2218.
  • (Beispiel 16)
  • Vier Arten von Bariumtitanat (BaTiO3), ein Oxidpulver als eine erste Nebenkomponente und ein Oxidpulver als eine zweite Nebenkomponente wurden durch das gleiche Verfahren wie in Beispiel 1 erhalten.
  • Dann wurden BaCO3 zur Einstellung des Molverhältnisses Ba/Ti in Bariumtitanat, Eu2O3, Gd2O3, Tb2O3, Dy2O3, Ho2O3, Er2O3, Tm2O3 und Yb2O3, und MnO, jeweils mit einer Reinheit von 99% oder mehr, hergestellt. Diese Rohmaterialpulver und die obenstehend beschriebenen Oxide, welche entweder die erste oder die zweite Komponente sein sollen, wurden so abgewogen, daß die Zusammensetzung in der Tabelle 2010 und Tabelle 2011 erhalten wurde. Die Zugabemengen der ersten und zweiten Nebenkomponenten sind definiert durch die Zugabemenge relativ zu 100 Gewichtsteilen (BaO)mTiO2 + αR2O3 + βBaZrO3 + γMnO. Ein monolithischer Keramikkondensator wurde durch das gleiche Verfahren wie in Beispiel 1 unter Verwendung dieser abgewogenen Materialien hergestellt. Die Gesamtabmessungen des monolithischen Keramikkondensators sind die gleichen wie in Beispiel 1.
  • Figure 00860001
  • Figure 00870001
  • Die elektrischen Merkmale wurden durch das gleiche Verfahren wie in Beispiel 1 gemessen. Die Ergebnisse sind in der Tabelle 2012 und Tabelle 2013 gezeigt.
  • Figure 00880001
  • Figure 00890001
  • Es ist aus Tabelle 2010 bis Tabelle 2013 offensichtlich, daß der monolithische Keramikkondensator gemäß der vorliegenden Erfindung ein Kapazitätsverringerungsverhältnis von so wenig wie innerhalb von –40% oder weniger bei einer angelegten Spannung von 5 kV/mm und einen dielektrischen Verlust von weniger als 1,0% aufweist, wobei die Änderungsrate gegenüber Temperaturänderungen sowohl den B-Niveau-Merkmalsstandard, festgelegt im JIS-Standard, im Temperaturbereich von –25°C bis +85°C und den X7R-Niveau-Merkmalsstandard, festgelegt im EIA-Standard, im Temperaturbereich von –55°C bis +125°C erfüllt.
  • Darüber hinaus zeigen die Isolationswiderstände bei 25°C und 150°C, wie ausgedrückt durch das Produkt CR, so hohe Werte wie 5000 Ω·F oder mehr bzw. 200 Ω·F oder mehr, wenn der Keramikkondensator unter einer hohen elektrischen Feldstärke von 10 kV/mm verwendet wird. Die Isolationsdurchbruchsspannung zeigt ebenfalls hohe Werte von 12 kV/mm oder mehr unter Wechselspannung und 14 kV/mm unter Gleichspannung. Weiterhin ergab ein Beschleunigungstest bei 150°C und Gleichspannung von 25 kV/mm eine mittlere Lebensdauer, die so lang war wie 800 Stunden oder mehr, wobei überdies eine relativ niedrige Brenntemperatur von 1300°C oder weniger ermöglicht wurde.
  • Der Grund, warum die Zusammensetzung in der vorliegenden Erfindung eingeschränkt war, wird hierin nachstehend beschrieben werden.
  • In der Zusammensetzung von (BaO)mTiO2 + αR2O3 + βBaZrO3 + γMgO (worin R2O3 mindestens eine Verbindung repräsentiert, gewählt aus Eu2O3, Gd2O3, Tb2O3, Dy2O3, Ho2O3, Er2O3, Tm2O3 und Yb2O3, und α, β und γ jeweils Molverhältnisse repräsentieren) wird ein Mn2O3-Gehalt α von weniger als 0,001, wie gezeigt in der Probe Nr. 2301, nicht bevorzugt, weil das Temperaturcharakteristik nicht die B-Niveau-Charakteristik/X7R-Charakteristik erfüllt. Andererseits wird auch ein Mn2O3-Gehalt α von mehr als 0,06, wie gezeigt in der Probe Nr. 2302, nicht bevorzugt, weil die spezifische dielektrische Konstante so klein wie 900 wird. Folglich beläuft sich der bevorzugte Bereich des Mn2O3-Gehaltes α auf 0,001 ≤ α ≤ 0,06.
  • Ein BaZrO3-Gehalt β von Null, wie in der Probe Nr. 2303, ist nicht zu bevorzugen, weil der Isolationswiderstand niedrig ist, und die Spannungsabhängigkeit des Isolationswiderstandes größer ist als diejenige des Zusammensetzungssystems, welches BaZrO3 enthält. Es wird ebenfalls nicht bevorzugt, daß der BaZrO3-Gehalt β mehr als 0,06 beträgt, wie in der Probe Nr. 2304, weil die Temperaturcharakteristik nicht die B-Niveau-Charakteristik/X7R-Charakteristik erfüllt, wobei überdies eine Verkürzung der mittleren Lebensdauer vorliegt. Folglich beläuft sich der bevorzugte Bereich des BaZrO3-Gehaltes β auf 0,005 ≤ β ≤ 0,06.
  • Es wird nicht bevorzugt, daß, wie ersichtlich in der Probe Nr. 2305, der MgO-Gehalt γ gleich 0,001 ist, weil Messungen aufgrund der Bildung von Halbleitern unmöglich sind. Andererseits wird es nicht bevorzugt, daß der MgO-Gehalt γ 0,13 übersteigt, wie in der Probe Nr. 2306, weil die Temperaturcharakteristik X7R nicht erfüllt wird und der Isolationskapazität niedrig ist, wobei überdies die mittlere Lebensdauer kurz ist. Folglich liegt der Bereich des Mn-Gehalts γ vorzugsweise im Bereich von 0,001 ≤ γ < 0,13.
  • Es wird nicht bevorzugt, daß das BaO/TiO2-Verhältnis m geringer als 1,000 ist, wie in der Probe Nr. 2307, weil Messungen aufgrund der Bildung von Halbleitern unmöglich sind. Es wird ebenfalls nicht bevorzugt, daß, wie ersichtlich in der Probe Nr. 2308, das BaO/TiO2-Verhältnis m gleich 1,000 ist, weil der Isolationswiderstand sowie die Wechsel- und Gleichstrom-Durchschlagspannung niedrig wird, wobei überdies eine Verkürzung der mittleren Lebensdauer vorliegt. Es wird andererseits nicht bevorzugt, daß das BaO/TiO2-Verhältnis m über 1,035 beträgt, wie in den Proben Nr. 2309 und 2310, weil Messungen aufgrund ungenügenden Sinterns unmöglich werden. Folglich ist ein BaO/TiO2-Verhältnis m im Bereich von 1,000 < m ≤ 1,035 zu bevorzugen.
  • Es ist nicht zu bevorzugen, daß die Zugabemenge der ersten oder zweiten Nebenkomponente gleich Null ist, wie in den Proben Nr. 2311 und 2313, weil Messungen aufgrund ungenügenden Sinterns unmöglich sind. Es wird andererseits nicht bevorzugt, daß die Zugabemenge der ersten oder zweiten Nebenkomponente 3,0 Gewichtsteile übersteigt, wie ersichtlich in den Proben Nr. 2312 und 2314, weil der dielektrische Verlust 1,0%, überschreitet und der Isolationswiderstand und die Isolationsdurchbruchsspannung gesenkt werden, wobei überdies eine Verkürzung der mittleren Lebensdauer vorliegt. Folglich beläuft sich der bevorzugte Gehalt entweder der ersten oder der zweiten Komponenten auf 0,2 bis 3,0 Gewichtsteile.
  • Der Gehalt der in Bariumtitanat als Verunreinigungen enthaltenen Erdalkalimetalloxide wird auf unter 0,02 Gew.-% unterdrückt, weil, wenn der Gehalt der Erdalkalimetalloxide 0,02 Gew.-% überschreitet, wie in der Probe Nr. 2315, die dielektrische Konstante verringert wird.
  • (Beispiel 17)
  • Ein Material mit einer Zusammensetzung BaO1,010·TiO2 + 0,015 Ho2O3 + 0,01 BaZrO3 + 0,03 MnO (Molverhältnis) wurde unter Verwendung von Bariumtitanat in Tabelle 1A als dielektrisches Pulver hergestellt. Ein monolithischer Keramikkondensator wur de durch das gleiche Verfahren wie in Beispiel 1 hergestellt, mit der Ausnahme, daß ein Oxid, repräsentiert durch Li2O-(Si, Ti)O2-MO, wie gezeigt in der Tabelle 2006, mit einer mittleren Teilchengröße von 1 μm oder weniger, hergestellt durch Erwärmen des obenstehend beschriebenen Materials bei 1200 bis 1500°C, als die erste Nebenkomponente zugesetzt wurde. Die Gesamtabmessungen des hergestellten monolithischen Keramikkondensators sind die gleichen wie in Beispiel 1. Die elektrischen Merkmale wurden dann durch das gleiche Verfahren wie in Beispiel 1 gemessen. Die Ergebnisse sind in der Tabelle 2014 gezeigt. In der Tabelle 2014 entsprechen die Proben Nr. 2401 bis 2422 den Proben Nr. 2101 bis 2122 in der Tabelle 2006. Beispielsweise wurde die Probe Nr. 2401 in der Tabelle 2014 durch Zusetzen der Nebenkomponente der Probe Nr. 2101 in Tabelle 2006 erhalten.
  • Figure 00930001
  • Wie aus den Proben Nr. 2401 bis 2412, 2418 und 2420 offensichtlich, werden bevorzugte Ergebnisse in den Proben erhalten, in welchen Oxide der Proben Nr. 2101 bis 2112, 2118 und 2120 in Tabelle 2006 mit Zusammensetzungen innerhalb oder auf den Begrenzungslinien der Fläche, umgeben durch die geraden Linien, verbindend jeden Punkt, angegeben durch A (x = 20, y = 80, z = 0), B (X = 10, y = 80, z = 10), C (X = 10, y = 70, z = 20), D (X = 35, y = 45, z = 20), E (x = 45, y = 45, z = 10) und F (x = 45, y = 55, z = 0), (worin x, y und z Mol-% repräsentieren, und w ein Molverhältnis repräsentiert, wobei w im Bereich von 0,3 ≤ w < 1,0 liegt, wenn es auf die Linie A-F fällt) des Drei-Komponenten-Phasendiagramms der Oxide, repräsentiert durch Li2O-(Siw, Ti1–w)O2-MO, gezeigt in 4, zugesetzt werden, wobei die Proben ein Kapazitäts-Verringerungsverhältnis von so wenig wie innerhalb –40% bei einer angelegten Spannung von 5 kV/mm und einen dielektrischen Verlust von 1,0% oder weniger aufweisen, wobei überdies die Änderungsrate der elektrostatischen Kapazität gegenüber Temperaturänderungen den B-Niveau-Merkmalsstandard, festgelegt im JIS-Standard, im Temperaturbereich von –25°C bis +85°C und den X7R-Niveau-Merkmalsstandard, festgelegt im EIA-Standard, im Temperaturbereich von –55°C bis +125°C erfüllt.
  • Darüber hinaus zeigen die Isolationswiderstände bei 25°C und 150°C, wie ausgedrückt durch das Produkt CR, so hohe Werte wie 5000 Ω·F oder mehr bzw. 190 Ω·F oder mehr, wenn der Keramikkondensator unter einer hohen elektrischen Feldstärke von 10 kV/mm verwendet wird. Die Isolationsdurchbruchsspannung zeigt ebenfalls hohe Werte von 12 kV/mm oder mehr unter der Wechselspannung und 14 kV/mm oder mehr unter der Gleichspannung. Darüber hinaus ergab ein Beschleunigungstest bei 150°C und einer Gleichspannung von 25 kV/mm eine mittlere Lebensdauer, die so lang wie 800 Stunden oder mehr war, wobei überdies eine relativ niedrige Brenntemperatur von 1300°C oder weniger ermöglicht wurde.
  • Wenn, andererseits, das Oxid, repräsentiert durch Li2O-(Siw, Ti1–w)O2-MO, eine Zusammensetzung außerhalb der obenstehend beschriebenen Zusammensetzung aufweist, wie in den Proben Nr. 2113 bis 2117 und 2119, wird das Sintern ungenügend, oder viele Ausschuß-Stücke erscheinen im Feuchtigkeitsbeständigkeits-Belastungstest sogar nach Sintern, wie ersichtlich in den Proben Nr. 2413 bis 2417 und 2419 in der Tabelle 2014. Wenn die Zusammensetzung auf die Linie A-F fällt, und w = 1,0, wie in den Proben Nr. 2119 und 2121 in der Tabelle 2006, wird die Sintertemperatur hoch und viele Ausschuß-Fälle treten im Feuchtigkeitsbeständigkeits-Belastungstest auf. Wenn der Wert von w geringer als 0,30 ist, wie in der Probe Nr. 2122 in der Tabelle 2006, wird die Sintertemperatur hoch und viele Ausschuß-Fälle erscheinen im Feuchtigkeitsbeständigkeits-Belastungstest, wie ersichtlich in der Probe Nr. 2422 in der Tabelle 2014.
  • (Beispiel 18)
  • Ein Material mit einer Zusammensetzung BaO0,010·TiO2 + 0,025 Eu2O3 + 0,01 BaZrO3 + 0,05 MnO (Molverhältnis) wurde unter Verwendung von Bariumtitanat "A" in der Tabelle 1 als dielektrisches Pulver hergestellt. Ein monolithischer Keramikkondensator wurde durch dasselbe Verfahren wie in Beispiel 1 hergestellt, mit der Ausnahme, daß ein Oxid SiO2-TiO2-XO, gezeigt in der Tabelle 2008, mit einer mittleren Teilchengröße von 1 μm oder weniger, hergestellt durch Erwärmen des obenstehend beschriebenen Materials bei 1200 bis 1500°C, als die zweite Nebenkomponente zugesetzt wurde. Die Gesamtabmessungen des hergestellten monolithischen Keramikkondensators sind die gleichen wie in Beispiel 1. Die elektrischen Merkmale wurden dann durch das gleiche Verfahren wie in Beispiel 1 gemessen. Die Ergebnisse sind in der Tabelle 2015 gezeigt. In der Tabelle 2015 entsprechen die Proben Nr. 2501 bis 2519 in der Tabelle 2015 den Proben Nr. 2201 bis 2219 in der Tabelle 2008. Zum Beispiel wurde die Probe Nr. 2501 in der Tabelle 2015 durch Zusetzen der Nebenkomponente der Probe Nr. 2201 in Tabelle 2008 erhalten.
  • Figure 00960001
  • Wie aus den Proben Nr. 2501 bis 2512 in der Tabelle 2015 offensichtlich ist, werden bevorzugte Ergebnisse in den Proben erhalten, in welche Oxide der Proben Nr. 2201 bis 2212 in der Tabelle 2008 mit Zusammensetzungen innerhalb oder auf den Begrenzungslinien der Fläche, umgeben von den geraden Linien, verbindend jeden Punkt, angegeben durch A (x = 85, y = 1, z = 14), B (X = 35, y = 51, z = 14), C (X = 30, y = 20, z = 50) und D (X = 39, y = 1, z = 60), (worin x, y und z Mol-% repräsentieren) im Drei-Komponenten-Phasendiagramm der SiO2-TiO2-XO-Oxide, gezeigt in 5, zugesetzt werden, wobei die Proben ein Kapazitäts-Verringerungsverhältnis von so wenig wie innerhalb –40% bei einer angelegten Spannung von 5 kV/mm und einen dielektrischen Verlust von 1,0% oder weniger aufweisen, wobei überdies die Änderungsrate der elektrostatischen Kapazität gegenüber Temperaturänderungen den B-Niveau-Merkmalsstandard, festgelegt im JIS-Standard, im Temperaturbereich von –25°C bis +85°C und den X7R-Niveau-Merkmalsstandard, festgelegt im EIA-Standard, im Temperaturbereich von –55°C bis +125°C erfüllt.
  • Darüber hinaus zeigen die Isolationswiderstände bei 25°C und 150°C, wie ausgedrückt durch das Produkt CR, so hohe Werte wie 5000 Ω·F oder mehr bzw. 200 Ω·F oder mehr, wenn der Keramikkondensator unter einer hohen elektrischen Feldstärke von 10 kV/mm verwendet wird. Die Isolationsdurchschlagspannung zeigt ebenfalls hohe Werte von 12 kV/mm oder mehr unter der Wechselspannung und 14 kV/mm oder mehr unter der Gleichspannung. Darüber hinaus ergab ein Beschleunigungstest bei 150°C und Gleichspannung von 25 kV/mm eine mittlere Lebensdauer, welche so lang wie 800 Stunden oder mehr war, wobei überdies eine relativ niedrige Brenntemperatur von 1300°C oder weniger ermöglicht wurde.
  • Wenn das Oxid SiO2-TiO2-XO eine Zusammensetzung außerhalb der obenstehend beschriebenen Zusammensetzung aufweist, wie in den Proben Nr. 2213 bis 2119 in der Tabelle 2008, wird andererseits das Sintern ungenügend, oder viele Ausschußfälle erscheinen im Feuchtigkeitsbeständigkeits-Belastungstest, sogar nach dem Sintern, wie ersichtlich in den Proben Nr. 2513 bis 2519 in der Tabelle 2015.
  • Während ein monolithischer Kondensator mit einem Isolationswiderstand von 5400 Ω·F oder mehr bzw. 330 Ω·F oder mehr bei 25°C bzw. 150°C unter einem starken elektrischen Feld von 10 kV/mm erhalten werden kann, indem zugelassen wird, daß Al2O3 und/oder ZrO2 in den SiO2-TiO2-XO-Oxiden enthalten sind, wie in der Probe Nr. 2211 und 2212 in der Tabelle 2008, wird die Sintereigenschaft extrem verringert, wie gezeigt in den Proben Nr. 2517 und 2518 in Tabelle 2015, wenn Al2O3 und ZrO2 in Mengen von 15 Gewichtsteilen oder mehr bzw. 5 Gewichtsteilen oder mehr zugegeben werden, wie in den Proben Nr. 2517 und 2518 in der Tabelle 2015.
  • Obwohl in den vorstehenden Beispielen durch das Oxalsäure-Verfahren hergestellte Pulver verwendet wurden, sind die Verfahren nicht darauf eingeschränkt, aber auch ein Pulver von Bariumtitanat, hergestellt durch ein Alkoxid-Verfahren oder hydrothermales Syntheseverfahren, kann verwendet werden. Es kann dazu kommen, dass die Merkmale des monolithischen Keramikkondensators stärker verbessert werden, als jene, die in den vorstehenden Beispielen gezeigt werden, indem diese Pulver verwendet werden.
  • Die Oxidpulver als Ausgangsmaterialien sind nicht auf diejenigen eingeschränkt, welche bisher beschrieben wurden, aber die resultierenden Merkmale werden in keinem Sinne durch Verwendung einer Lösung eines Alkoxids oder einer organometallischen Verbindung beeinflußt, vorausgesetzt dass die Ausgangsmaterialien so formuliert werden, dass die dielektrischen Keramikschichten innerhalb des Umfangs der vorliegenden Erfindung konstruiert werden.
  • Aus den vorstehenden Beschreibungen kann es klar gemacht werden, dass die dielektrische Keramikzusammensetzung gemäß der vorliegenden Erfindung nicht durch Brennen in einer reduzierenden Atmosphäre reduziert wird und weiterhin nicht zu Halbleitern geformt wird, wobei überdies ein Sintern bei einer relativ geringen Temperatur von 1300°C oder weniger möglich ist.
  • Folglich können, wenn ein monolithischer Keramikkondensator unter Verwendung dieser dielektrischen Keramikzusammensetzung als dielektrische Keramikschichten konstruiert wird, die Herstellungskosten des monolithischen Keramikkondensators verringert werden, da Grundmetalle, wie Nickel oder Nickellegierungen, als Elektrodenmaterialien verwendet werden können.
  • Wenn der monolithische Keramikkondensator unter Verwendung dieser Keramikzusammensetzung unter einem hohen elektrischen Feld von 10 kV/mm eingesetzt wird, bei welchem aufgrund geringen Isolationswiderstandes in dem monolithischen Keramikkondensator unter Verwendung von Nickel oder Nickellegierungen für die herkömmlichen Innenelektroden keine Zuverlässigkeit gewährleistet werden kann, kann ein monolithischer Keramikkondensator, der hervorragende Witterungsbeständigkeits-Eigenschaften, wie hohe Temperaturbelastung bei einer angelegten Gleichspannung von 25 kV/mm bei 150°C, und Luftfeuchtigkeitsbeständigkeit-Belastung aufweist, erhalten werden, wobei der Isolationswiderstand bei Raumtemperatur bzw. bei 150°C, repräsentiert durch ein Produkt des Isolationswiderstands und der elektrostatischen Kapazität (ein Produkt CR), so hoch wie 4900 bis 5000 Ω·F bzw. 190 bis 200 Ω·F wird, die Spannungsabhängigkeit des Isolationswiderstands gering ist, das Kapazitätsverringerungs- Verhältnis bei einer angelegten Spannung von 5 kV/mm so niedrig wie 40 bis 45% ist und die Isolationshaltbarkeit hoch ist, wobei überdies die Temperaturcharakteristik der elektrostatischen Kapazität den B-Niveau-Merkmalsstandard, festgesetzt im JIS-Standard, und den X7R-Niveau-Merkmalsstandard, festgesetzt im EIA-Standard, erfüllt.

Claims (9)

  1. Dielektrische Keramik, erhältlich aus einer Zusammensetzung umfassend: Bariumtitanat, enthaltend 0,02 Gew.-% oder weniger an Alkalimetalloxiden, mindestens eines aus Scandiumoxid oder Yttriumoxid, Bariumzirconat und Manganoxid, eine wesentliche Komponente, angegeben durch die folgende Zusammensetzungsformel: (BaO)mTiO2 + αM2O3 + βBaZrO3 + γMnO, worin M2O3 für mindestens eines aus Sc2O3 oder Y2O3 steht, und α, β und γ für Molverhältnisse im Bereich von 0,001 ≤ α ≤ 0,06, 0,005 ≤ β ≤ 0,06 und 0,001 ≤ γ ≤ 0,13 stehen, wobei 1,000 < m ≤ 1,035; und 0,2 bis 3,0 Gewichtsteile entweder einer ersten oder zweiten Nebenkomponente im Verhältnis zu 100 Gewichtsteilen der wesentlichen Komponente, wobei die erste Nebenkomponente ein Oxid ist, angegeben durch Li2O-(Si, Ti)O2-MO, worin MO mindestens eines von Al2O3 oder ZrO2 ist und die zweite Nebenkomponente ein Oxid ist, angegeben durch SiO2-TiO2-XO, worin XO mindestens eine der Verbindungen, gewählt aus BaO, CaO, SrO, MgO, ZnO und MnO ist.
  2. Dielektrische Keramik nach Anspruch 1, wobei die wesentliche Komponente weiter ein g-Molverhältnis von Magnesiumoxid enthält, wobei 0,001 < γ ≤ 0,12, 0,001 < g ≤ 0,12 und γ + g ≤ 0,13 ist.
  3. Dielektrische Keramik nach Anspruch 1 oder 2, wobei die erste Nebenkomponente, wenn ihre Zusammensetzung durch xLi2O-y(SiWTi1–w)O2-zMO angegeben ist, worin x, y und z für Mol-% stehen und w im Bereich von 0,30 ≤ w ≤ 1,00 ist, innerhalb oder auf den Begrenzungslinien einer Fläche liegt, die durch sechs Punkte (A, B, C, D, E, F) in einem Drei-Komponenten-Phasendiagramm verbindende Geraden umgeben ist, definiert durch die jeder einzelnen Komponente entsprechenden Scheitelpunkte, wobei ein erster Punkt (A) definiert ist durch x = 20, y = 80, z = 0, ein zweiter Punkt (B) definiert ist durch x = 10, y = 80, z = 10, ein dritter Punkt (C) definiert ist durch x = 10, y = 70, z = 20, ein vierter Punkt (D) definiert ist durch x = 35, y = 45, z = 20, ein fünfter Punkt (E) definiert ist durch x = 45, y = 45, z = 10, und ein sechster Punkt (D) definiert ist durch x = 45, y = 55, z = 0, und worin w innerhalb eines Bereichs von 0,3 ≤ w < 1,0 ist, wenn die Zusammensetzung auf die Gerade, welche den ersten und sechsten Punkt (A, F) verbindet, fällt.
  4. Dielektrische Keramik nach Anspruch 1 oder 2, wobei die zweite Nebenkomponente, wenn ihre Zusammensetzung durch xSiO2-yTiO2-zXO angegeben ist, worin x, y und z für Mol-% stehen, innerhalb oder auf den Begrenzungslinien einer Fläche liegt, die durch vier Punkte (A, B, C, D) in einem Drei-Komponenten-Phasendiagramm verbindende Geraden umgeben ist, definiert durch die jeder einzelnen Komponente entsprechenden Scheitelpunkte, wobei ein erster Punkt (A) definiert ist durch x = 85, y = 1, z = 14, ein zweiter Punkt (B) definiert ist durch x = 35, y = 51, z = 14, ein dritter Punkt (C) definiert ist durch x = 30, y = 20, z = 50, und ein vierter Punkt (D) definiert ist durch x = 39, y = 1, z = 60.
  5. Dielektrische Keramik nach Anspruch 4, wobei die zweite Nebenkomponente insgesamt 15 Gewichtsteile oder weniger mindestens einem aus Al2O3 und ZrO2 im Verhältnis zu 100 Gewichtsteilen des durch SiO2-TiO2-XO angegebenen Oxids enthält, wobei der Gehalt an ZrO2 5 Gewichtsteile oder weniger beträgt.
  6. Monolithischer Keramikkondensator, versehen mit einer Vielzahl an dielektrischen Keramikschichten, Innenelektroden, die zwischen den Keramikschichten und mit den Innenelektroden elektrisch verbundenen Außenelektroden gebildet sind, wobei die dielektrischen Keramikschichten aus der dielektrischen Keramik gemäß einem der Ansprüche 1 bis 5 aufgebaut sind und die Innenelektroden aus Nickel oder einer Nickellegierung aufgebaut sind.
  7. Monolithischer Keramikkondensator nach Anspruch 6, wobei die Außenelektrode mit einer gesinterten Schicht aus einem elektrisch leitenden Metallpulver oder einem elektrisch leitenden Metallpulver, ergänzt durch Glasfritten, ausgestattet ist.
  8. Monolithischer Keramikkondensator nach Anspruch 6, wobei die Außenelektrode ausgestattet ist mit einer ersten Schicht umfassend eine gesinterte Schicht aus dem elektrisch leitenden Metallpulver oder dem elektrisch leitenden Metallpulver, ergänzt durch Glasfritten, und einer zweiten Schicht, umfassend eine Plattierungsschicht darauf.
  9. Monolithischer Keramikkondensator nach Anspruch 7, wobei die Außenelektrode ausgestattet ist mit einer ersten Schicht umfassend eine gesinterte Schicht aus dem elektrisch leitenden Metallpulver oder dem elektrisch leitenden Metallpulver, ergänzt durch Glasfritten, und einer zweiten Schicht, umfassend eine Plattierungsschicht darauf.
DE69822933T 1997-07-23 1998-07-23 Dielektrische keramische Zusammensetzung und deren Verwendung in einem monolithischen keramischen Kondensator Expired - Lifetime DE69822933T2 (de)

Applications Claiming Priority (12)

Application Number Priority Date Filing Date Title
JP19717097 1997-07-23
JP19717097 1997-07-23
JP19717197 1997-07-23
JP19717297 1997-07-23
JP19717197 1997-07-23
JP19717297 1997-07-23
JP12862698 1998-05-12
JP12862498 1998-05-12
JP12862398A JP3334606B2 (ja) 1997-07-23 1998-05-12 誘電体磁器組成物および積層セラミックコンデンサ
JP12862498A JP3783402B2 (ja) 1997-07-23 1998-05-12 誘電体磁器組成物および積層セラミックコンデンサ
JP12862698A JP3783403B2 (ja) 1997-07-23 1998-05-12 誘電体磁器組成物および積層セラミックコンデンサ
JP12862398 1998-05-12

Publications (2)

Publication Number Publication Date
DE69822933D1 DE69822933D1 (de) 2004-05-13
DE69822933T2 true DE69822933T2 (de) 2004-09-02

Family

ID=27552729

Family Applications (2)

Application Number Title Priority Date Filing Date
DE69822933T Expired - Lifetime DE69822933T2 (de) 1997-07-23 1998-07-23 Dielektrische keramische Zusammensetzung und deren Verwendung in einem monolithischen keramischen Kondensator
DE69835044T Expired - Lifetime DE69835044T2 (de) 1997-07-23 1998-07-23 Dielektrische Keramik und monolitischer keramischer Kondensator diese enthaltend

Family Applications After (1)

Application Number Title Priority Date Filing Date
DE69835044T Expired - Lifetime DE69835044T2 (de) 1997-07-23 1998-07-23 Dielektrische Keramik und monolitischer keramischer Kondensator diese enthaltend

Country Status (6)

Country Link
US (1) US6051516A (de)
EP (3) EP0893419B1 (de)
KR (1) KR100313003B1 (de)
CN (1) CN1179423C (de)
DE (2) DE69822933T2 (de)
SG (1) SG65086A1 (de)

Families Citing this family (32)

* Cited by examiner, † Cited by third party
Publication number Priority date Publication date Assignee Title
JP3644235B2 (ja) * 1998-03-03 2005-04-27 株式会社村田製作所 積層セラミック電子部品
JP3334607B2 (ja) * 1998-05-12 2002-10-15 株式会社村田製作所 誘電体磁器組成物および積層セラミックコンデンサ
JPH11340075A (ja) * 1998-05-27 1999-12-10 Philips Japan Ltd 誘電体磁器組成物
US6243254B1 (en) * 1998-08-11 2001-06-05 Murata Manufacturing Co., Ltd. Dielectric ceramic composition and laminated ceramic capacitor using the same
JP2000072540A (ja) * 1998-08-31 2000-03-07 Ngk Spark Plug Co Ltd 誘電体材料
JP2000143341A (ja) * 1998-09-11 2000-05-23 Murata Mfg Co Ltd 誘電体セラミック組成物及び積層セラミック部品
US6469517B1 (en) * 1998-11-25 2002-10-22 Murata Manufacturing Co., Ltd. Sorting method of monolithic ceramic capacitors based on insulation resistance
JP3606079B2 (ja) * 1998-12-25 2005-01-05 株式会社村田製作所 非直線性誘電体磁器、パルス発生用コンデンサ、高圧蒸気放電灯回路および高圧蒸気放電灯
JP4252665B2 (ja) * 1999-04-08 2009-04-08 アイファイヤー アイピー コーポレイション El素子
US6556422B2 (en) * 2000-07-05 2003-04-29 Samsung Electro-Mechanics Co., Ltd. Dielectric ceramic composition, multi-layer ceramic capacitor using the same, and manufacturing method therefor
KR100380720B1 (ko) * 2000-07-05 2003-04-18 삼성전기주식회사 유전체 세라믹 조성물 및 이를 이용한 적층 세라믹 커패시터
JP3452033B2 (ja) * 2000-07-05 2003-09-29 株式会社村田製作所 導電性ペーストおよび積層セラミック電子部品
TWI299328B (en) * 2002-01-15 2008-08-01 Tdk Corp Dielectric ceramic composition and multi-layer ceramic capacitor
JP4506084B2 (ja) * 2002-04-16 2010-07-21 株式会社村田製作所 非還元性誘電体セラミックおよびその製造方法ならびに積層セラミックコンデンサ
TWI240288B (en) * 2003-01-31 2005-09-21 Murata Manufacturing Co Dielectric ceramic and the manufacturing method thereof, and the laminated ceramic condenser
EP1829842A4 (de) * 2004-12-24 2011-03-23 Murata Manufacturing Co Dielektrische keramik und mehrschichtiger keramikkondensator
US8623737B2 (en) * 2006-03-31 2014-01-07 Intel Corporation Sol-gel and mask patterning for thin-film capacitor fabrication, thin-film capacitors fabricated thereby, and systems containing same
JP4936825B2 (ja) * 2006-08-02 2012-05-23 太陽誘電株式会社 積層セラミックコンデンサ
TW200927698A (en) * 2007-09-28 2009-07-01 Tdk Corp Dielectric ceramic composition and electronic device
TW201107267A (en) * 2009-08-21 2011-03-01 Darfon Electronics Corp Ceramic powder composition, ceramic material and laminated ceramic capacitor made of the same
JP5120406B2 (ja) * 2010-03-31 2013-01-16 Tdk株式会社 セラミック電子部品及びセラミック電子部品の製造方法
JP2017216358A (ja) * 2016-05-31 2017-12-07 太陽誘電株式会社 積層セラミックコンデンサ
JP6570478B2 (ja) 2016-05-31 2019-09-04 太陽誘電株式会社 積層セラミックコンデンサおよびその製造方法
US10957485B2 (en) 2018-03-06 2021-03-23 Taiyo Yuden Co., Ltd. Multilayer ceramic capacitor and ceramic material powder
KR102292797B1 (ko) * 2019-02-13 2021-08-24 삼성전기주식회사 유전체 자기 조성물 및 이를 포함하는 적층 세라믹 커패시터
JP7672199B2 (ja) * 2019-06-18 2025-05-07 太陽誘電株式会社 セラミック電子部品およびその製造方法
CN111266590B (zh) * 2020-01-21 2022-02-15 中科英冠(厦门)陶瓷科技有限公司 陶瓷金属化原料、陶瓷金属化的方法及金属化陶瓷
CN111205091B (zh) * 2020-03-30 2021-11-12 郑州轻工业大学 一种锆掺杂锰酸钆多铁陶瓷及其制备方法
CN112159224A (zh) * 2020-09-30 2021-01-01 泗阳群鑫电子有限公司 一种高介电陶瓷电容器介质材料及其制备工艺
JP7535005B2 (ja) * 2021-03-31 2024-08-15 Tdk株式会社 積層電子部品
CN114262227A (zh) * 2021-11-26 2022-04-01 西安交通大学 等价-受主掺杂提高钛酸钡陶瓷介电非线性介电性方法
KR102753731B1 (ko) * 2021-12-15 2025-01-14 한국에너지기술연구원 복합체 및 이의 제조 방법

Family Cites Families (7)

* Cited by examiner, † Cited by third party
Publication number Priority date Publication date Assignee Title
JPS5742588A (en) 1980-08-25 1982-03-10 Saito Osamu Heat-insulating material for spray filling
JPS6114611A (ja) 1984-06-29 1986-01-22 Fujitsu Ltd 光フアイバの接続部補強方法
JPH0678189B2 (ja) 1984-10-20 1994-10-05 京セラ株式会社 非還元性高誘電率系誘電体磁器組成物
JP3227859B2 (ja) * 1993-01-08 2001-11-12 株式会社村田製作所 非還元性誘電体磁器組成物
US5646081A (en) * 1995-04-12 1997-07-08 Murata Manufacturing Co., Ltd. Non-reduced dielectric ceramic compositions
JP3039397B2 (ja) * 1996-01-18 2000-05-08 株式会社村田製作所 誘電体磁器組成物とそれを用いた積層セラミックコンデンサ
SG48535A1 (en) * 1996-08-05 1998-04-17 Murata Manufacturing Co Dielectric ceramic composition and monolithic ceramic capacitor using the same

Also Published As

Publication number Publication date
EP1346965B1 (de) 2006-06-21
EP1357095A3 (de) 2009-11-25
KR100313003B1 (ko) 2002-01-15
CN1179423C (zh) 2004-12-08
EP0893419B1 (de) 2004-04-07
DE69835044D1 (de) 2006-08-03
KR19990014102A (ko) 1999-02-25
CN1210374A (zh) 1999-03-10
EP0893419A1 (de) 1999-01-27
EP1346965A1 (de) 2003-09-24
US6051516A (en) 2000-04-18
DE69835044T2 (de) 2007-06-21
EP1357095A1 (de) 2003-10-29
SG65086A1 (en) 1999-05-25
DE69822933D1 (de) 2004-05-13

Similar Documents

Publication Publication Date Title
DE69822933T2 (de) Dielektrische keramische Zusammensetzung und deren Verwendung in einem monolithischen keramischen Kondensator
DE69928873T2 (de) Dielektrische keramische Zusammensetzung und keramischer Vielschichtkondensator
DE19937999B4 (de) Dielektrische Keramikzusammensetzung und dieselbe verwendender laminierter Keramikkondensator
DE69602578T2 (de) Dielektrische keramische Zusammensetzung und deren Verwendung in einem monolithischen keramischen Kondensator
DE69710259T2 (de) Dielektrische keramische Zusammensetzung und ihre Verwendung in einem monolithischen keramischen Kondensator
DE69807366T2 (de) Monolithischer keramischer Kondensator
DE69728457T2 (de) Dielektrische keramische Zusammensetzung und diese verwendender keramischer Kondensator
DE69913284T2 (de) Dielektrische keramische Zusammensetzung und monolithischer keramischer Kondensator
DE69725068T2 (de) Monolithischer keramischer Kondensator
DE69720168T2 (de) Keramische Zusammensetzung und diese verwendender keramischer Kondensator
DE10024236B4 (de) Keramisches Dielektrikum und Verfahren zu seiner Herstellung
DE10035612B4 (de) Dielektrische Keramikzusammensetzung und monolithischer Keramikkondensator
DE69604510T2 (de) Monolithische keramische Kondensatoren
DE69710265T2 (de) Dielektrische keramische Zusammensetzung und diese verwendender monolithischer keramischer Kondensator
DE69704580T2 (de) Dielektrische keramische Zusammmensetzung und ihre Verwendung in einem monolithischen keramischen Kondensator
DE69209417T2 (de) Nichtreduzierbare dielektrische keramische Zusammensetzung
DE69619947T2 (de) Dielektrische keramische Zusammensetzung und ihre Verwendung für einen monolithischen Kondensator
DE69700235T2 (de) Monolithischer keramischer Kondensator
DE102004001241B4 (de) Dielektrische Keramiken und deren Verwendung in einem Monolithischen Kramikkondensator
DE60129533T2 (de) Dielektrische porzellan zusammensetzung und elektronische teile
DE112009002221B4 (de) Dielektrische Keramikzusammensetzung und monolithischer Keramikkondensator
DE10043882A1 (de) Dielektrische Keramik zusammensetzung und monolitisches Keramikbauteil
DE102011014986B4 (de) Dielektrische Keramikzusammensetzung und monolithischer Keramikkondensator
DE69201108T2 (de) Keramischer Kondensator und sein Herstellungsverfahren.
DE112004001237B4 (de) Dielektrische keramische Zusammensetzung und deren Verwendung für einen laminierten keramischen Kondensator

Legal Events

Date Code Title Description
8364 No opposition during term of opposition