DE69818211T2 - Magnetischer Aufzeichnungsträger - Google Patents

Magnetischer Aufzeichnungsträger Download PDF

Info

Publication number
DE69818211T2
DE69818211T2 DE1998618211 DE69818211T DE69818211T2 DE 69818211 T2 DE69818211 T2 DE 69818211T2 DE 1998618211 DE1998618211 DE 1998618211 DE 69818211 T DE69818211 T DE 69818211T DE 69818211 T2 DE69818211 T2 DE 69818211T2
Authority
DE
Germany
Prior art keywords
polyurethane
magnetic
recording medium
magnetic recording
binder
Prior art date
Legal status (The legal status is an assumption and is not a legal conclusion. Google has not performed a legal analysis and makes no representation as to the accuracy of the status listed.)
Expired - Fee Related
Application number
DE1998618211
Other languages
English (en)
Other versions
DE69818211D1 (de
Inventor
Yuichiro Odawara-shi Murayama
Katsuhiko Odawara-shi Meguro
Hiroshi Odawara-shi Hashimoto
Current Assignee (The listed assignees may be inaccurate. Google has not performed a legal analysis and makes no representation or warranty as to the accuracy of the list.)
Fujifilm Corp
Original Assignee
Fuji Photo Film Co Ltd
Priority date (The priority date is an assumption and is not a legal conclusion. Google has not performed a legal analysis and makes no representation as to the accuracy of the date listed.)
Filing date
Publication date
Priority claimed from JP35761797A external-priority patent/JP3922664B2/ja
Priority claimed from JP8593998A external-priority patent/JPH11283239A/ja
Priority claimed from JP8593898A external-priority patent/JPH11283238A/ja
Application filed by Fuji Photo Film Co Ltd filed Critical Fuji Photo Film Co Ltd
Application granted granted Critical
Publication of DE69818211D1 publication Critical patent/DE69818211D1/de
Publication of DE69818211T2 publication Critical patent/DE69818211T2/de
Anticipated expiration legal-status Critical
Expired - Fee Related legal-status Critical Current

Links

Classifications

    • GPHYSICS
    • G11INFORMATION STORAGE
    • G11BINFORMATION STORAGE BASED ON RELATIVE MOVEMENT BETWEEN RECORD CARRIER AND TRANSDUCER
    • G11B5/00Recording by magnetisation or demagnetisation of a record carrier; Reproducing by magnetic means; Record carriers therefor
    • G11B5/62Record carriers characterised by the selection of the material
    • G11B5/68Record carriers characterised by the selection of the material comprising one or more layers of magnetisable material homogeneously mixed with a bonding agent
    • G11B5/70Record carriers characterised by the selection of the material comprising one or more layers of magnetisable material homogeneously mixed with a bonding agent on a base layer
    • G11B5/706Record carriers characterised by the selection of the material comprising one or more layers of magnetisable material homogeneously mixed with a bonding agent on a base layer characterised by the composition of the magnetic material
    • G11B5/70605Record carriers characterised by the selection of the material comprising one or more layers of magnetisable material homogeneously mixed with a bonding agent on a base layer characterised by the composition of the magnetic material metals or alloys
    • G11B5/70621Record carriers characterised by the selection of the material comprising one or more layers of magnetisable material homogeneously mixed with a bonding agent on a base layer characterised by the composition of the magnetic material metals or alloys containing Co metal or alloys
    • GPHYSICS
    • G11INFORMATION STORAGE
    • G11BINFORMATION STORAGE BASED ON RELATIVE MOVEMENT BETWEEN RECORD CARRIER AND TRANSDUCER
    • G11B5/00Recording by magnetisation or demagnetisation of a record carrier; Reproducing by magnetic means; Record carriers therefor
    • G11B5/62Record carriers characterised by the selection of the material
    • G11B5/68Record carriers characterised by the selection of the material comprising one or more layers of magnetisable material homogeneously mixed with a bonding agent
    • G11B5/70Record carriers characterised by the selection of the material comprising one or more layers of magnetisable material homogeneously mixed with a bonding agent on a base layer
    • G11B5/702Record carriers characterised by the selection of the material comprising one or more layers of magnetisable material homogeneously mixed with a bonding agent on a base layer characterised by the bonding agent
    • G11B5/7021Record carriers characterised by the selection of the material comprising one or more layers of magnetisable material homogeneously mixed with a bonding agent on a base layer characterised by the bonding agent containing a polyurethane or a polyisocyanate
    • GPHYSICS
    • G11INFORMATION STORAGE
    • G11BINFORMATION STORAGE BASED ON RELATIVE MOVEMENT BETWEEN RECORD CARRIER AND TRANSDUCER
    • G11B5/00Recording by magnetisation or demagnetisation of a record carrier; Reproducing by magnetic means; Record carriers therefor
    • G11B5/62Record carriers characterised by the selection of the material
    • G11B5/68Record carriers characterised by the selection of the material comprising one or more layers of magnetisable material homogeneously mixed with a bonding agent
    • G11B5/70Record carriers characterised by the selection of the material comprising one or more layers of magnetisable material homogeneously mixed with a bonding agent on a base layer
    • G11B5/702Record carriers characterised by the selection of the material comprising one or more layers of magnetisable material homogeneously mixed with a bonding agent on a base layer characterised by the bonding agent
    • G11B5/7021Record carriers characterised by the selection of the material comprising one or more layers of magnetisable material homogeneously mixed with a bonding agent on a base layer characterised by the bonding agent containing a polyurethane or a polyisocyanate
    • G11B5/7022Record carriers characterised by the selection of the material comprising one or more layers of magnetisable material homogeneously mixed with a bonding agent on a base layer characterised by the bonding agent containing a polyurethane or a polyisocyanate containing mixtures of polyurethanes or polyisocyanates with other polymers
    • YGENERAL TAGGING OF NEW TECHNOLOGICAL DEVELOPMENTS; GENERAL TAGGING OF CROSS-SECTIONAL TECHNOLOGIES SPANNING OVER SEVERAL SECTIONS OF THE IPC; TECHNICAL SUBJECTS COVERED BY FORMER USPC CROSS-REFERENCE ART COLLECTIONS [XRACs] AND DIGESTS
    • Y10TECHNICAL SUBJECTS COVERED BY FORMER USPC
    • Y10STECHNICAL SUBJECTS COVERED BY FORMER USPC CROSS-REFERENCE ART COLLECTIONS [XRACs] AND DIGESTS
    • Y10S428/00Stock material or miscellaneous articles
    • Y10S428/90Magnetic feature
    • YGENERAL TAGGING OF NEW TECHNOLOGICAL DEVELOPMENTS; GENERAL TAGGING OF CROSS-SECTIONAL TECHNOLOGIES SPANNING OVER SEVERAL SECTIONS OF THE IPC; TECHNICAL SUBJECTS COVERED BY FORMER USPC CROSS-REFERENCE ART COLLECTIONS [XRACs] AND DIGESTS
    • Y10TECHNICAL SUBJECTS COVERED BY FORMER USPC
    • Y10TTECHNICAL SUBJECTS COVERED BY FORMER US CLASSIFICATION
    • Y10T428/00Stock material or miscellaneous articles
    • Y10T428/24Structurally defined web or sheet [e.g., overall dimension, etc.]
    • Y10T428/24942Structurally defined web or sheet [e.g., overall dimension, etc.] including components having same physical characteristic in differing degree
    • Y10T428/2495Thickness [relative or absolute]
    • Y10T428/24967Absolute thicknesses specified
    • YGENERAL TAGGING OF NEW TECHNOLOGICAL DEVELOPMENTS; GENERAL TAGGING OF CROSS-SECTIONAL TECHNOLOGIES SPANNING OVER SEVERAL SECTIONS OF THE IPC; TECHNICAL SUBJECTS COVERED BY FORMER USPC CROSS-REFERENCE ART COLLECTIONS [XRACs] AND DIGESTS
    • Y10TECHNICAL SUBJECTS COVERED BY FORMER USPC
    • Y10TTECHNICAL SUBJECTS COVERED BY FORMER US CLASSIFICATION
    • Y10T428/00Stock material or miscellaneous articles
    • Y10T428/25Web or sheet containing structurally defined element or component and including a second component containing structurally defined particles
    • YGENERAL TAGGING OF NEW TECHNOLOGICAL DEVELOPMENTS; GENERAL TAGGING OF CROSS-SECTIONAL TECHNOLOGIES SPANNING OVER SEVERAL SECTIONS OF THE IPC; TECHNICAL SUBJECTS COVERED BY FORMER USPC CROSS-REFERENCE ART COLLECTIONS [XRACs] AND DIGESTS
    • Y10TECHNICAL SUBJECTS COVERED BY FORMER USPC
    • Y10TTECHNICAL SUBJECTS COVERED BY FORMER US CLASSIFICATION
    • Y10T428/00Stock material or miscellaneous articles
    • Y10T428/25Web or sheet containing structurally defined element or component and including a second component containing structurally defined particles
    • Y10T428/256Heavy metal or aluminum or compound thereof
    • YGENERAL TAGGING OF NEW TECHNOLOGICAL DEVELOPMENTS; GENERAL TAGGING OF CROSS-SECTIONAL TECHNOLOGIES SPANNING OVER SEVERAL SECTIONS OF THE IPC; TECHNICAL SUBJECTS COVERED BY FORMER USPC CROSS-REFERENCE ART COLLECTIONS [XRACs] AND DIGESTS
    • Y10TECHNICAL SUBJECTS COVERED BY FORMER USPC
    • Y10TTECHNICAL SUBJECTS COVERED BY FORMER US CLASSIFICATION
    • Y10T428/00Stock material or miscellaneous articles
    • Y10T428/25Web or sheet containing structurally defined element or component and including a second component containing structurally defined particles
    • Y10T428/256Heavy metal or aluminum or compound thereof
    • Y10T428/257Iron oxide or aluminum oxide
    • YGENERAL TAGGING OF NEW TECHNOLOGICAL DEVELOPMENTS; GENERAL TAGGING OF CROSS-SECTIONAL TECHNOLOGIES SPANNING OVER SEVERAL SECTIONS OF THE IPC; TECHNICAL SUBJECTS COVERED BY FORMER USPC CROSS-REFERENCE ART COLLECTIONS [XRACs] AND DIGESTS
    • Y10TECHNICAL SUBJECTS COVERED BY FORMER USPC
    • Y10TTECHNICAL SUBJECTS COVERED BY FORMER US CLASSIFICATION
    • Y10T428/00Stock material or miscellaneous articles
    • Y10T428/31504Composite [nonstructural laminate]
    • Y10T428/31551Of polyamidoester [polyurethane, polyisocyanate, polycarbamate, etc.]
    • Y10T428/31609Particulate metal or metal compound-containing

Landscapes

  • Engineering & Computer Science (AREA)
  • Metallurgy (AREA)
  • Paints Or Removers (AREA)
  • Magnetic Record Carriers (AREA)

Description

  • Die vorliegende Erfindung bezieht sich auf einen magnetischen Aufzeichnungsträger, der einen nicht magnetischen Träger, eine auf dem nicht magnetischen Träger vorgesehene Unterschicht und wenigstens eine auf der Unterschicht vorgesehene magnetische Schicht umfasst, und spezieller auf einen magnetischen Aufzeichnungsträger des vorstehenden Typs, welcher im Hinblick auf die elektromagnetische Leistung und Haltbarkeit verbessert ist.
  • Magnetische Aufzeichnungsträger werden nun in weitem Umfang in Form von Aufzeichnungsbändern, Videobändern und Disketten benutzt. Ein magnetischer Aufzeichnungsträger umfasst eine magnetische Aufzeichnungsschicht, die auf einem nicht magnetischen Träger aufgebracht ist, und in welcher ferromagnetische Pulver in einem Bindemittel verteilt sind.
  • Der magnetische Aufzeichnungsträger sollte verschiedene Eigenschaften aufrechterhalten, wie die elektromagnetische Leistung, die Haltbarkeit während des Betriebs und die Laufleistung auf hohem Niveau. Mit anderen Worten ist es nun für ein Tonaufzeichnungs- und Wiedergabe-Audioband erforderlich, zur Tonwiedergabe mit höherer Wiedergabetreue befähigt zu sein. Für ein Videoband ist es nun auch erforderlich, dass es eine ausgezeichnete elektromagnetische Leistung hat. So ist es z. B. für das Videoband erforderlich, dass es zur Bildwiedergabe mit höherer Wiedergabetreue befähigt ist.
  • Somit ist es für den magnetischen Aufzeichnungsträger erforderlich, dass er eine solche ausgezeichnete elektromagnetische Leistung und gleichzeitig eine befriedigende Haltbarkeit während des Betriebs hat, wie vorstehend erwähnt. Es ist bekannt, dass eine Hauptkomponente der magnetischen Schicht, d.h. das Bindemittel, eine wichtige Rolle bei der Verbesserung der Haltbarkeit und der elektromagnetischen Leistung spielt. Probleme mit Harzen, die bisher im Stand der Technik verwendet wurden, z. B. Vinylchloridharz, Celluloseharz, Urethanharz und Acrylharz, sind, dass sie die Verschleißbeständigkeit der magnetischen Schicht schwächen und die mechanischen Einrichtungen zum Lauf des magnetischen Bandes verunreinigen.
  • Die Verunreinigung eines Magnetkopfes ist eine Hauptursache für die Verschlechterung der elektromagnetischen Leistung. In Ausrüstungen zum Aufzeichnen mit hoher Dichte ist insbesondere die Anzahl der Drehungen des Magnetkopfes nun am Ansteigen. So verwendet z. B. ein digitaler Videobandrecorder einen Magnetkopf, der mit 9600 Upm viel höher rotiert als 1800 Upm im Falle von analogen Videobandrecordern für den Verbraucher und 5000 Upm im Falle von industriell verwendeten analogen Bandrecordern. Bei solch hohen Rotationsgeschwindigkeiten steigt auch die Gleitgeschwindigkeit zwischen dem magnetischen Aufzeichnungsträger und dem Magnetkopf an. Der Magnetkopf selbst wird durch einen Miniaturmagnetkopf, wie ein Dünnfilm-Magnetkopf, ersetzt. Somit ist es sehr erforderlich, die Verunreinigung des Magnetkopfes mit aus dem magnetischen Aufzeichnungsträger stammenden Komponenten zu verhindern.
  • Zur Lösung solcher Probleme ist vorgeschlagen worden, die Härte der magnetischen Schicht durch Verwendung eines dauerhafteren, harten Bindemittels zu erhöhen.
  • So beschreibt z. B. JP-A 6-259746 einen magnetischen Aufzeichnungsträger, worin ein Polyurethan als Bindemittel verwendet wird, das aus einem ein verzweigtes oder alicyclisches Glycol enthaltenden Polyesterdiol, einer aromatischen, dibasischen Säure und einer alicyclischen, dibasischen Säure aufgebaut ist.
  • Das in dem Synthesebeispiel genannte Polyesterharz hat jedoch eine Glasübergangstemperatur Tg von 8 bis 30°C. Wenn dieses Polyurethan dann zur Herstellung einer Beschichtung verwendet wird, wird die Beschichtung insgesamt weich, was zu einem Haltbarkeitsabfall führt. Da die aromatische, dibasische Säure und die alicyclische, dibasische Säure als Säurekomponenten des Polyesters verwendet werden, nimmt die Löslichkeit des Polyurethans in Lösungsmittel ab, und die Dispergierbarkeit nimmt ebenfalls ab. JP-A 6-96437 beschreibt einen magnetischen Aufzeichnungsträger, der ein Polyesterpolyurethan mit einer Urethangruppenkonzentration von 2,5 mmol/g oder mehr und ein Polyvinylacetalharz verwendet, und JP-A 7-50010 beschreibt ein Polyurethan, das 0 bis 5 mol-% Polyol in Urethan enthält und eine hohe Urethankonzentration hat. Diese Polyurethane sind jedoch im Hinblick auf die Dispergierbarkeit nicht zufriedenstellend. Zusätzlich beschreiben diese Publikationen nichts über die Vorteile, die durch Verwen dung solcher Polyurethane in Kombination mit speziellen ferromagnetischen Pulvern erhalten werden.
  • Wenn ein Polyurethan mit keiner langen Verzweigung darin eine erhöhte Urethangruppenkonzentration hat, nimmt seine Löslichkeit in Lösungsmittel aufgrund der zu hohen Polarität ab, und die Dispergierbarkeit von magnetischen Pulvern darin wird ungenügend. Demgemäß steigt die Viskosität einer aus diesem Polyurethan erhaltenen Beschichtungslösung an und ergibt so eine Beschichtung mit einer beträchtlich großen Oberflächenrauheit. Somit wird keine hohe elektromagnetische Leistung erhalten.
  • JP-A 3-88119 beschreibt einen magnetischen Aufzeichnungsträger, der eine ein aliphatisches Urethan enthaltende untere Schicht und eine ein aromatisches Urethan enthaltende obere Schicht umfasst, JP-A 6-76265 beschreibt ein Polyurethan, das ein Polyesterdiol unter Verwendung eines verzweigten mehrwertigen Alkohols umfasst, und JP-A 6-314424 beschreibt ein Polyurethan, das ein Polyesterpolyol unter Verwendung von 3-Methyl-1,5-pentandiol und einer aliphatischen Dicarbonsäure umfasst. Sämtliche dieser Polyurethane ergeben jedoch aufgrund ihrer niedrigen Tg eine Beschichtung, die insgesamt oder auf der Oberfläche weich ist. Ein Problem mit dieser Beschichtung ist, wenn sie bei einem Videoband verwendet wird, dass sie für eine Fluidisation aufgrund des Gleitens zwischen ihr und einem Rotationskopf empfänglich wird, was zu einem Haltbarkeitsabfall beim Betrieb führt. Ein anderes Problem ist, dass, nachdem das Videoband in einer Umgebung von hoher Temperatur gelagert ist, die Oberfläche der Beschichtung weich wird und so der Reibungskoeffizient ansteigt, was zu einer Stockung des Videobands führt.
  • JP-A 8-127632 beschreibt ein Urethan, welches ein Polyesterpolyol umfasst, welches ein verzweigtes aliphatisches Glycol und einen eine tertiäre Aminogruppe enthaltenden Kettenverlängerer verwendet und eine Tg von 30°C oder höher hat. Dieses Urethan wird jedoch als unzureichend sowohl hinsichtlich der Löslichkeit in Lösungsmittel als auch der Dispergierbarkeit befunden, da eine Verbindung mit einem aromatischen Ring für das Polyesterpolyol verwendet wird. Wenn ein mit diesem Urethan beschichtetes Videoband durch einen Videobandrecorder nach der Lagerung bei hoher Temperatur und Feuchtigkeit läuft, besteht eine Neigung zum Auftreten eines Laufproblems aufgrund einer Festigkeitsabnahme der Beschichtung.
  • JP-A 9-69222 beschreibt die Verwendung eines Polyurethans, welches ein kurzkettiges Diol mit einer cyclischen Struktur zusammen mit 10 bis 50 Gew.-% Polyetherpolyol enthält. Dieses Urethan vom Polyethertyp wird für eine untere Schicht verwendet. Es wird jedoch festgestellt, dass ein Mehrschichtenband mit einem Urethan vom Polyestertyp, das für eine obere Schicht verwendet wird, eine unzureichende elektromagnetische Leistung hat, da eine Beschichtung eine raue Oberfläche hat.
  • JP-A 3-83221 beschreibt einen magnetischen Aufzeichnungsträger, welcher Polyetherurethan für eine untere Schicht und Polyesterurethan für eine obere Schicht verwendet. Das für die obere Schicht verwendete Polyesterurethan hat jedoch aufgrund des hohen Gehalts von aromatischem Polyesterpolyol eine erniedrigte Löslichkeit in Lösungsmittel und hat somit eine unzureichende Dispergierbarkeit. Da das für die untere Schicht verwendete Polyetherurethan eine Tg niedriger als Raumtemperatur hat, und somit eine Beschichtung ergibt, die insgesamt weich ist, wird festgestellt, dass dieser magnetische Aufzeichnungsträger ebenfalls eine unzureichende Haltbarkeit hat.
  • JP-A 7-176042 beschreibt, dass ein aliphatisches Polyesterurethan für die oberste Schicht und ein Urethan mit einem Bisphenol A-Polypropylenoxid in seiner Hauptkette für magnetische Schichten verwendet wird, die von der obersten Schicht verschieden sind. Das aliphatische Polyesterpolyurethan, das für eine obere Schicht verwendet wird, ist jedoch aufgrund seiner niedrigen Tg und seiner niedrigen Beschichtungsfestigkeit unzureichend hinsichtlich der Haltbarkeit, und das für eine untere Schicht verwendete Urethan hat eine erniedrigte Löslichkeit in Lösungsmittel und ist somit unzureichend hinsichtlich der Dispergierbarkeit in Pulvern in der unteren Schicht. Die Veröffentlichung erwähnt keine Kettenverlängerer, und das Beispiel darin verwendet ein Neopentylglycol mit 2 Kohlenstoftatomen in einer verzweigten Kette. Die Dispergierbarkeit ist immer noch unzureichend.
  • JP-A 9-44840 beschreibt ein magnetisches Aufzeichnungsmedium, wo ein Urethanharz, das ein Polyesterpolyol unter Verwendung von Terephthalsäure, Naphthalindicarboxylat und 2-Methyl-1,3-propandiol umfasst, als Bindemittel verwendet wird. Da ein aromatischer Ring oder Naphthalin als Dicarbonsäurekomponente des Polyesters verwendet wird, hat dieses Urethanharz jedoch eine erniedrigte Löslichkeit in Lösungsmittel und somit eine unzureichende Dispergierbarkeit. Wenn ein mit diesem Urethanharz beschichtetes Magnetband bei hoher Temperatur gelagert wird, wird festgestellt, dass der Reibungskoeffizient ansteigt.
  • Magnetische Aufzeichnungsträger, umfassend Yttrium enthaltende ferromagnetische Pulver, sind in JP-A 7-210856 und in JP-A 7-272253 beschrieben. JP-A 7-272253 bezieht sich nur auf die Verwendung von Polyurethan in Zusammenhang von allgemeinen Bindemitteln. Es ist schwierig, mit diesem Polyurethan ferromagnetische Pulver aufgrund der hohen magnetischen Energie zwischen ferromagnetischen Pulverteilchen zu dispergieren.
  • Eine Aufgabe der vorliegenden Erfindung ist es, einen magnetischen Aufzeichnungsträger bereitzustellen, der eine Beschichtung umfasst, in welcher ferromagnetische Pulver mit noch höherer Dispergierbarkeit dispergiert sind, um ausgezeichnete elektromagnetische Leistung und hohe Beschichtungsfestigkeit sicherzustellen, und die auch hinsichtlich der Haltbarkeit beim Betrieb stark verbessert ist.
  • Eine andere Aufgabe der Erfindung ist es, einen magnetischen Aufzeichnungsträger bereitzustellen, der eine Deckschicht mit einer noch höheren Glätte umfasst, um eine noch höhere elektromagnetische Leistung sicherzustellen. Eine noch andere Aufgabe der Erfindung ist es, einen magnetischen Aufzeichnungsträger sowohl mit ausgezeichneter Dispergierbarkeit und Dispersionsstabilität als auch mit ausgezeichneter elektromagnetischer Leistung bereitzustellen. Eine noch andere Aufgabe der Erfindung ist es, einen magnetischen Aufzeichnungsträger mit ausgezeichneter Laufleistung und Lagerungsstabilität bei hoher Temperatur bereitzustellen.
  • Eine weitere Aufgabe der Erfindung ist es, einen magnetischen Aufzeichnungsträger mit ausgezeichneter Stand-Haltbarkeit bereitzustellen.
  • Die vorliegende Erfindung stellt einen magnetischen Aufzeichnungsträger bereit, umfassend einen nicht magnetischen Träger, eine auf dem nicht magnetischen Träger vorgesehene untere Schicht, in welcher unteren Schicht ein magnetisches Pulver oder ein anorganisches Pulver und ein Bindemittel zusammen dispergiert sind, und wenigstens eine auf der unteren Schicht vorgesehene magnetische Schicht, in welcher magneti schen Schicht ein ferromagnetisches Pulver und ein Bindemittel zusammen dispergiert sind, worin
    wenigstens ein Bindemittel in der unteren Schicht und der magnetischen Schicht als wesentliches Bindemittel ein Polyurethan umfasst, erhalten aus einem Polyesterpolyol, einem Kettenverlängerer und einem organischen Diisocyanat, und
    das ferromagnetische Pulver ein feines, ferromagnetisches Pulver ist, das Eisen als eine Hauptkomponente enthält und ein Verhältnis von Yttrium zu Eisen, Y/Fe, von 0,5 bis 20 at-% hat,
    worin das Polyurethan ein Polyurethan (PAO) ist, umfassend ein Polyesterpolyol, enthaltend eine aliphatische, dibasische Säure als dibasische Säure darin, und eine Diolkomponente, wobei wenigstens 70 mol-% davon eine alkylverzweigte Seitenkette mit wenigstens 2 Kohlenstoffatomen haben,
    dadurch gekennzeichnet, dass die magnetische Schicht eine organische Phosphorverbindung enthält, ausgewählt aus solchen, die durch die folgenden Formeln (1) bis (3) wiedergegeben werden:
    Figure 00060001
    worin R eine unsubstituierte oder substituierte Alkyl-, Alkenyl- oder Arylgruppe bedeutet, und n = 1 oder 2 ist.
  • Die vorliegende Erfindung stellt weiter einen magnetischen Aufzeichnungsträger bereit, umfassend einen nicht magnetischen Träger, eine auf diesem nicht magnetischen Träger vorgesehene untere Schicht, in welcher unteren Schicht ein magnetisches Pulver oder ein anorganisches Pulver und ein Bindemittel zusammen dispergiert sind, und wenigstens eine auf der unteren Schicht vorgesehene magnetische Schicht, in welcher magnetischen Schicht ein ferromagnetisches Pulver und ein Bindemittel zusammen dispergiert sind, worin
    wenigstens ein Bindemittel in der unteren Schicht und der magnetischen Schicht als wesentliches Bindemittel ein Polyurethan umfasst, erhalten aus einem Polyesterpolyol, einem Kettenverlängerer und einem organischen Diisocyanat, und
    das ferromagnetische Pulver ein feines, ferrornagnetisches Pulver ist, das Eisen als eine Hauptkomponente enthält und ein Verhältnis von Yttrium zu Eisen, Y/Fe, von 0,5 bis 20 at-% hat,
    wobei das Polyurethan ein Polyurethan (PA0) ist, umfassend ein Polyesterpolyol, enthaltend eine aliphatische, dibasische Säure als dibasische Säure darin, und eine Diolkomponente, wobei wenigstens 70 mol-% davon eine alkylverzweigte Seitenkette mit wenigstens 2 Kohlenstoffatomen haben,
    dadurch gekennzeichnet, dass wenigstens eine aus der unteren Schicht und der magnetischen Schicht eine organische Phosphorverbindung enthalten, ausgewählt aus solchen, die durch die folgenden Formeln (1) bis (3) wiedergegeben werden, und die magnetische Schicht eine Dicke von höchstens 1,0 μm hat:
    Figure 00070001
    worin R eine unsubstituierte oder substituierte Alkyl-, Alkenyl- oder Arylgruppe bedeutet, und n = 1 oder 2 ist.
  • In dem vorstehenden magnetischen Aufzeichnungsträger ist das Polyurethan vorzugsweise ein Polyurethan (PA1), in welchem ein Polyesterpolyol eine aliphatische, dibasische Säure als dibasische Säure und eine Diolkomponente umfasst, wobei wenigstens 70 mol-% davon eine alkylverzweigte Seitenkette mit wenigstens 2 Kohlenstoffatomen enthalten, die frei von einer cyclischen Struktur ist, oder ein Polyurethan (PA2), welches ein Polyesterpolyolnmfasst, umfassend eine aliphatische, dibasische Säure als dibasische Säure und eine Diolkomponente, wobei wenigstens 70 mol-% davon ein alkylverzweigtes, aliphatisches Diol mit insgesamt wenigstens 2 Kohlenstoffatomen in einer verzweigten Seitenkette davon pro Molekül enthalten, und einen Kettenverlängerer, umfassend ein alkylverzweigtes, aliphatisches Diol mit insgesamt wenigstens 3 Kohlenstoffatomen in einer verzweigten Seitenkette davon pro Molekül.
  • Vorzugweise ist in dem vorstehenden magnetischen Aufzeichnungsträger das Polyurethan ein Polyurethan, das wenigstens eine polare Gruppe enthält, ausgewählt aus den folgenden Gruppen:
    SO3M, SO4M, PO3M2, OPO3M2 und -NR2,
    worin M ein Wasserstoffatom, ein Alkalimetall, ein Erdalkalimetall oder Ammonium bedeutet, und R für eine Alkylgruppe mit 1 bis 12 Kohlenstoffatomen steht.
  • Vorzugsweise hat in dem vorstehenden magnetischen Aufzeichnungsträger die magnetische Schicht eine Dicke von höchstens 0,2 μm nach dem Trocknen, und die untere Schicht hat eine Dicke von wenigstens 1 μm nach dem Trocknen.
  • Vorzugsweise hat in dem vorstehenden magnetischen Aufzeichnungsträger das Polyurethan (PA1) oder (PA2) eine Urethangruppenkonzentration von 3,0 mÄquiv./g bis 4,0 mÄquiv./g.
  • Vorzugsweise enthält in dem vorstehenden magnetischen Aufzeichnungsträger das Bindemittel in der magnetischen Schicht ein Polyurethan, erhalten durch die Umsetzung von Ausgangsmaterialien, umfassend ein Polyesterpolyol, einen Kettenverlängerer und ein organisches Diisocyanat, wobei das Polyurethan ein Polyurethan (PA3) ist, umfassend ein Polyesterpolyol, enthaltend eine aliphatische, dibasische Säure als dibasische Säure und eine aliphatische Diolkomponente, wobei wenigstens 70 mol-% davon eine alkylverzweigte Seitenkette umfassen, die frei von einer cyclischen Struktur ist, und einen Kettenverlängerer, umfassend ein aliphatisches Diol, umfassend eine alkylverzweigte Seitenkette mit insgesamt wenigstens 3 Kohlenstoffatomen in einer verzweigten Seitenkette davon, und wobei das Bindemittel in der unteren Schicht ein Polyurethan (PB1) ist, umfassend 10 bis 50 Gew.-% eines Polyols, enthaltend 1,0 bis 6,0 mmol/g einer Ethergruppe, 15 bis 50 Gew.-% eines Kettenverlängerers, umfassend ein Diol mit einer cyclischen Struktur, und ein organisches Diisocyanat.
  • In dem vorstehenden magnetischen Aufzeichnungsträger hat das Polyurethan (PA3) vorzugsweise eine Urethangruppenkonzentration von 2,5 bis 4,5 mmol/g.
  • In dem vorstehenden magnetischen Aufzeichnungsträger umfasst das Polyurethan (PB1) vorzugsweise ein Polyol, enthaltend darin 1,0 bis 6,0 mmol/g einer Ethergruppe, wiedergegeben durch HO(R1)n-X-(R2)mOH worin:
    n = 4 bis 40, und m = 4 bis 40,
    Figure 00090001
    X wenigstens eine Gruppe ist, ausgewählt aus den folgenden Gruppen:
    Figure 00090002
    Figure 00100001
  • Vorzugsweise umfasst in dem vorstehenden magnetischen Aufzeichnungsträger das Polyurethan (PB1) einen Diol-Kettenverlängerer mit einer cyclischen Struktur, wiedergegeben durch die folgende Formel: HO(R1)n-X-(R2)mOH worin:
    n = 4 bis 40, und m = 4 bis 40,
    Figure 00100002
    X wenigstens eine Gruppe ist, ausgewählt aus den folgenden Gruppen:
    Figure 00100003
  • Vorzugsweise ist in dem vorstehenden magnetischen Aufzeichnungsträger das Bindemittel in der magnetischen Schicht ein Polyurethan (PB1), umfassend 10 bis 50 Gew.-% eines Polyols, enthaltend 1,0 bis 6,0 mmol/g einer Ethergruppe, 15 bis 50 Gew.-% eines Kettenverlängerers, umfassend ein Diol mit einer cyclischen Struktur, und ein organisches Diisocyanat, und das Bindemittel in der unteren Schicht enthält ein Polyurethan, erhalten durch die Umsetzung von Ausgangsmaterialien, umfassend ein Polyesterpolyol, einen Kettenverlängerer und ein organisches Diisocyanat, wobei das Polyurethan ein Polyurethan (PA3) ist, umfassend ein Polyesterpolyol, enthaltend eine aliphatische, dibasische Säure als dibasische Säure und eine aliphatische Diolkomponente, wobei wenigstens 70 mol-% davon eine alkylverzweigte Seitenkette umfassen, die frei von einer cyclischen Struktur ist, und einen Kettenverlängerer, umfassend ein aliphatisches Diol, umfassend eine alkylverzweigte Seitenkette mit insgesamt wenigstens 3 Kohlenstoffatomen in einer verzweigten Seitenkette davon.
  • In dem vorstehenden magnetischen Aufzeichnungsträger hat das Polyurethan (PA3) vorzugsweise eine Urethangruppenkonzentration von 2,5 bis 4,5 mmol/g.
  • In dem vorstehenden magnetischen Aufzeichnungsträger umfasst das Polyurethan (PB1) vorzugsweise ein Polyol, enthaltend darin 1,0 bis 6,0 mmol/g einer Ethergruppe, wiedergegeben durch: HO(R1)n-X-(R2)mOH worin:
    n = 4 bis 40, und m = 4 bis 40,
    Figure 00110001
    X wenigstens eine Gruppe ist, ausgewählt aus den folgenden Gruppen:
    Figure 00120001
  • In dem vorstehenden magnetischen Aufzeichnungsmedium umfasst das Polyurethan (PB1) vorzugsweise einen Diol-Kettenverlängerer mit einer durch HO(R1)n-X-(R2)mOH wiedergegebenen cyclischen Struktur,
    worin: n = O bis 3, und m = O bis 3,
    Figure 00120002
    X wenigstens eine Gruppe ist, ausgewählt aus den folgenden Gruppen:
    Figure 00130001
  • Gemäß der Erfindung ist nun festgestellt worden, dass ein hinsichtlich der elektromagnetischen Leistung und Haltbarkeit beim Betrieb verbesserter magnetischer Aufzeichnungsträger erhalten werden kann, indem ferromagnetische Pulver, die Yttrium enthaltendes Eisen als Hauptkomponente enthalten und weniger empfindlich gegen Dispersion aufgrund starker magnetischer Energie zwischen ihnen sind, durch Verwendung eines Bindemittels dispergiert werden, welches ein Polyurethan umfasst, das eine ausgezeichnete Dispergierbarkeit und eine spezielle chemische Struktur hat.
  • Ein Problem bei einem gewöhnlichen Band ist, dass, wenn das Band in einer Umgebung von hoher Temperatur gelagert wird, eine in einem Polyurethanmolekül enthaltene weiche Komponente mit relativ niedrigem Molekulargewicht zum Ausfallen auf der Oberfläche der darauf aufgebrachten Schicht neigt. Gemäß der Erfindung ist festgestellt worden, dass dieses Problem gelöst werden kann, indem ferromagnetische Pulver in Kombination mit einem Polyurethan verwendet werden, das von einem Polyesterpolyol abgeleitet ist, in welchem ein aliphatisches Diol eingeführt ist, das eine alkylverzweigte Seitenkette mit wenigstens 2 Kohlenstoffatomen enthält. Das gemäß der Erfindung verwendete Polyurethan hat eine Urethangruppenkonzentration, die höher ist als gewöhnlich, so dass ihre Glasübergangstemperatur, Tg, erhöht werden kann, was zu einer Haltbarkeitsverbesserung führt. Die Löslichkeit dieses Polyurethans in Lösungsmitteln neigt jedoch dazu, aufgrund der hohen Urethangruppenkonzentration niedrig zu werden. Eine solche niedrige Löslichkeit in Lösungsmittel kann durch die Verwendung des eine verzweigte Seitenkette mit zwei oder mehr Kohlenstoffatomen enthaltenden Diols erhöht werden. Somit verbessert das gemäß der Erfindung verwendete Polyurethan die Haltbarkeit, während die Dispergierbarkeit auf einem hohen Wert gehalten wird.
  • Selbst wenn das Band bei hohen Temperaturen gelagert wird, ist es somit möglich, einen Anstieg des Reibungskoeffizienten zu verhindern, und so zu verhindern, dass das Band durch einen Videobandrecorder stockt.
  • In dem gemäß der vorliegenden Erfindung verwendeten Polyurethan (PA3) umfasst das Polyesterpolyol eine aliphatische, dibasische Säure und ein aliphatisches Diol mit einer alkylverzweigten Seitenkette. Mit anderen Worten ist das Polyol frei von jeder cyclischen Struktur, die unvorteilhaft auf die Löslichkeit in Lösungsmittel wirkt, z. B. ein aromatischer Ring oder ein Cyclohexanring, oder das Diol hat eine verzweigte Seitenkette. Dies kann zu einem Vorteil von PA3 beitragen, dass die Assoziation von Urethan- oder Esterbindungen sterisch geändert werden kann, um eine molekulare Wechselwirkung zu verringern, was zu einer Verbesserung der Löslichkeit in Lösungsmittel führt, insbesondere einer Verbesserung der Dispergierbarkeit eines magnetischen Materials, das zur Agglomeration aufgrund von magnetischer Energie neigt. Ein anderer Vorteil von PA3 ist, dass es gewöhnlich weniger zur thermischen Zersetzung neigt, als ein Polyurethan vom Polyethertyp. Wenn insbesondere PA3 für die äußerste magnetische Schicht in Kontakt mit einem Kopf eines Videobandrecorders verwendet wird, ist es daher möglich, einen Abfall der Beschichtungsfestigkeit aufgrund der Gleitwärme der Bandoberfläche auf dem Kopf zu verhindern.
  • Das gemäß der Erfindung verwendete Polyurethan (PB1) enthält eine Ethergruppe in einer geeigneten Menge und verbessert die Dispergierbarkeit von Pulvern in der unteren Schicht. Es wird angenommen, dass dies auf der Fähigkeit der Ethergruppe beruht, Pulver darauf zu adsorbieren. Ferner stellt PB1 sowohl eine verbesserte Beschichtungsfestigkeit als auch eine Verbesserung der Haltbarkeit aufgrund der Anwesenheit eines kurzkettigen Diols mit einer cyclischen Struktur darin sicher. Wenn insbesondere PB1 für die untere Schicht in einem magnetischen Aufzeichnungsträger verwendet wird, worin die obere Schicht aus Polyurethan PA3 hergestellt ist, wobei als Kettenverlängerer ein langkettiges Diol mit einer alkylverzweigten Seitenkette mit einer Gesamtzahl von wenigstens 3 Kohlenstoftatomen verwendet wird, wird festgestellt, dass Ausstülpungen oder Oberflächenunebenheiten von 10 nm oder länger verringert werden können. Es ist somit möglich, Kopfabstandverluste, insbesondere in dem Fall eines bei einer kurzen Aufzeichnungswellenlänge arbeitenden digitalen Systems zu verringern und so eine Ver besserung der elektromagnetischen Leistung zu erzielen. Ein möglicher Grund hierfür ist, dass, wenn die oberen und unteren Schichten miteinander aufgebracht werden, die Diffusion des Bindemittels aus der unteren Schicht in die obere Schicht kaum erfolgt, was ein Phänomen bewirkt, worin es unwahrscheinlich ist, dass eine Störung der Beschichtungsgrenzfläche zwischen ihnen auftritt und so eine glattere Beschichtungsoberfläche erreicht wird.
  • Da das gemäß der Erfindung verwendete Polyurethan (PA3) weniger verträglich mit einem gewöhnlich erhältlichen Gleitmittel vom Estertyp ist, kann das Gleitmittel leicht auf die Beschichtungsoberfläche in einer Trocknungsstufe usw. aufsteigen. Durch die Verwendung von PA3 in Kombination mit einer hoch dispergierbaren magnetischen Schicht unter Verwendung von PB1 ist es somit möglich, einen vernünftigen Ausgleich zwischen hoher elektromagnetischer Leistung und hoher Haltbarkeit beim Betrieb zu erreichen. Insbesondere ist eine ausgezeichnete Stand-Haltbarkeit erreichbar.
  • Nun werden die hierin verwendeten Polyurethane erläutert.
  • Für die aliphatischen Diole mit einer verzweigten Seitenkette, die für das Polyurethan PAO und das Polyurethan PA1 verwendet werden können, und die verzweigten, aliphatischen Diole, die für das Polyurethan PA3 verwendet werden können, kann z. B. von 2,2-Dimethyl-1,3-propandiol, 3,3-Dimethyl-1,5-pentandiol, 2-Methyl-2-ethyl-1,3-propandiol, 3-Methyl-3-ethyl-1,5-pentandiol, 2-Methyl-2-propyl-1,3-propandiol, 3-Methyl-3-propyl-1,5-pentandiol, 2-Methyl-2-butyl-1,3-propandiol, 3-Methyl-3-butyl-1,5-pentandiol, 2,2-Diethyl-1,3-propandiol, 3,3-Diethyl-1,5-pentandiol, 2-Ethyl-2-butyl-1,3-propandiol, 3-Ethyl-3-butyl-1,5-pentandiol, 2-Ethyl-2-propyl-1,3-propandiol, 3-Ethyl-3-propyl-1,5-pentandiol, 2,2-Dibutyl-1,3-propandiol, 3,3-Dibutyl-1,5-pentandiol, 2,2-Dipropyl-1,3-propandiol, 3,3-Dipropyl-1,5-pentandiol, 2-Butyl-2-propyl-1,3-propandiol, 3-Butyl-3-propyl-1,5-pentandiol, 2-Ethyl-1,3-propandiol, 2-Propyl-1,3-propandiol, 2-Butyl-1,3-propandiol, 3-Ethyl-1,5-pentandiol, 3-Propyl-1,5-pentandiol, 3-Butyl-1,5-pentandiol, 3-Octyl-1,5-pentandiol, 3-Myristyl-1,5-pentandiol, 3-Stearyl-1,5-pentandiol, 2-Ethyl-1,6-hexandiol, 2-Propyl-1,6-hexandiol, 2-Butyl-1,6-hexandiol, 5-Ethyl-1,9-nonandiol, 5-Propyl-1,9-nonandiol und 5-Butyl-1,9-nonandiol Gebrauch gemacht werden.
  • Besonders bevorzugte Beispiele des von einer cyclischen Struktur freien Diols, das eine alkylverzweigte Seitenkette mit 2 oder mehr Kohlenstoffatomen enthält, welche für das Polyurethan PA1 verwendet werden können, sind 2-Ethyl-1,3-hexandiol, 2-Butyl-1,3-propandiol und 2,2-Diethyl-1,3-propandiol.
  • Bevorzugte Beispiele des Diols mit alkylverzweigter Seitenkette mit insgesamt 2 oder mehr Kohlenstoffatomen in einer verzweigten Seitenkette pro Molekül, welche für das Polyurethan PA2 verwendet werden können, sind 2,2-Dimethyl-1,3-propandiol und 3,3-Dimethyl-1,5-pentandiol.
  • Besonders bevorzugte Beispiele des Diols mit alkylverzweigter Seitenkette mit insgesamt 2 oder mehr Kohlenstoffatomen in einer verzweigten Seitenkette pro Molekül, welche für das Polyurethan PA3 verwendet werden können, sind 2,2-Dimethyl-1,3-propandiol, 2-Ethyl-2-butyl-1,3-propandiol und 2,2-Diethyl-1,3-propandiol.
  • Das für das Polyesterpolyol verwendete Diol enthält ein Diol mit einer verzweigten Seitenkette in einer Menge von vorzugsweise 80 bis 100 mol-% und bevorzugter von 90 bis 100 mol-%.
  • Für das verzweigte, aliphatische Diol, welches für das Polyurethan PA2 verwendet werden kann, und insgesamt 3 oder mehr Kohlenstoffatome in einer verzweigten Seitenkette pro Molekül enthält, kann z. B. von 2-Methyl-2-ethyl-1,3-propandiol, 3-Methyl-3-ethyl-1,5-pentandiol, 2-Methyl-2-propyl-1,3-propandiol, 3-Methyl-3-propyl-1,5-pentandiol, 2-Methyl-2-butyl-1,3-propandiol, 3-Methyl-3-butyl-1,5-pentandiol, 2,2-Diethyl-1,3-propandiol, 3,3-Diethyl-1,5-pentandiol, 2-Ethyl-2-butyl-1,3-propandiol, 3-Ethyl-3-butyl-1,5-pentandiol, 2-Ethyl-2-propyl-1,3-propandiol, 3-Ethyl-3-propyl-1,5-pentandiol, 2,2-Dibutyl-1,3-propandiol, 3,3-Dibutyl-1,5-pentandiol, 2,2-Dipropyl-1,3-propandiol, 3,3-Dipropyl-1,5-pentandiol, 2-Butyl-2-propyl-1,3-propandiol, 3-Butyl-3-propyl-1,5-pentandiol, 2-Ethyl-1,3-propandiol, 2-Propyl-1,3-propandiol, 2-Butyl-1,3-propandiol, 3-Ethyl-1,5-pentandiol, 3-Propyl-1,5-pentandiol, 3-Butyl-1,5-pentandiol, 3-Octyl-1,5-pentandiol, 3-Myristyl-1,5-pentandiol, 3-Stearyl-1,5-pentandiol, 2-Ethyl-1,6-hexandiol, 2-Propyl-1,6-hexandiol, 2-Butyl-1,6-hexandiol, 5-Ethyl-1,9-nonandiol, 5-Propyl-1,9-nonandiol und 5-Butyl-1,9-nonandiol Gebrauch gemacht werden.
  • Besonders bevorzugt ist 2-Ethyl-2-butyl-1,3-propandiol und 2,2-Diethyl-1,3-propandiol.
  • Für die aliphatische, dibasische Säure, die für das Polyesterpolyol verwendet werden kann, kann beispielhaft Bernsteinsäure, Adipinsäure, Azelainsäure, Sebacinsäure, Malonsäure, Glutarsäure, Pimelinsäure und Suberinsäure genannt werden.
  • Besonders bevorzugt ist Bernsteinsäure, Adipinsäure und Sebacinsäure.
  • Bevorzugt beträgt die Menge der aliphatischen, dibasischen Säure wenigstens 70 mol-% sämtlicher dibasischer Säurekomponenten des Polyesterpolyols. Bei weniger als 70 mol-% nimmt der Anteil von dibasischen Säurekomponenten mit einer cyclischen Struktur, z. B. aromatische, dibasische Säuren, beträchtlich zu, was zum Abfall der Löslichkeit in Lösungsmittel und zum Abfall der Dispergierbarkeit führt.
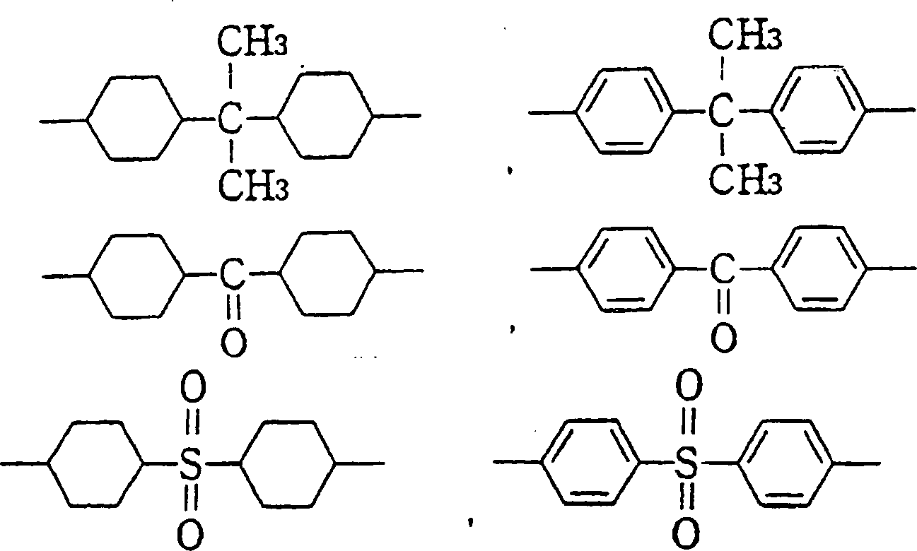
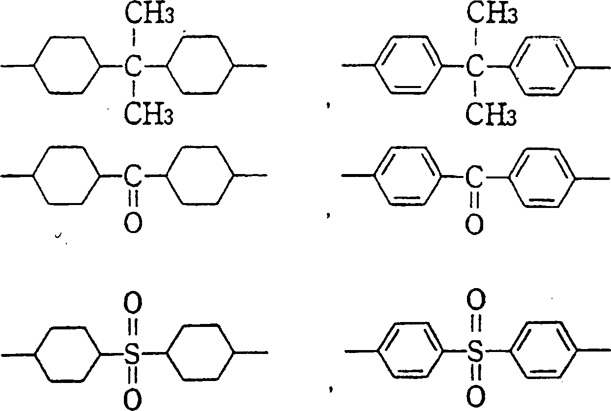
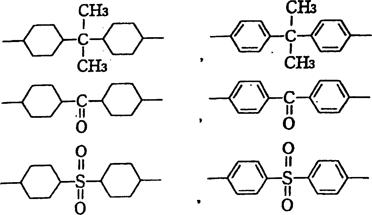
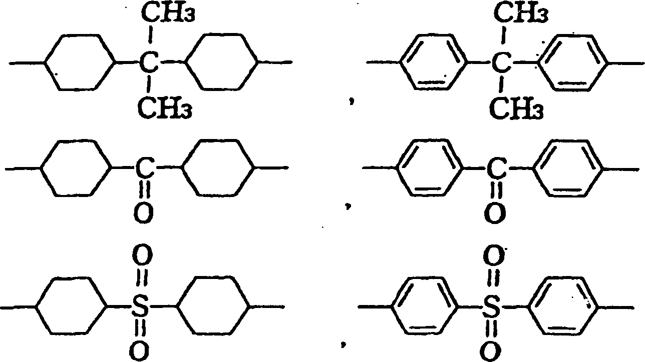
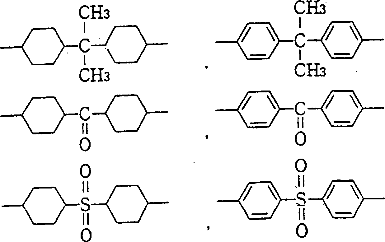
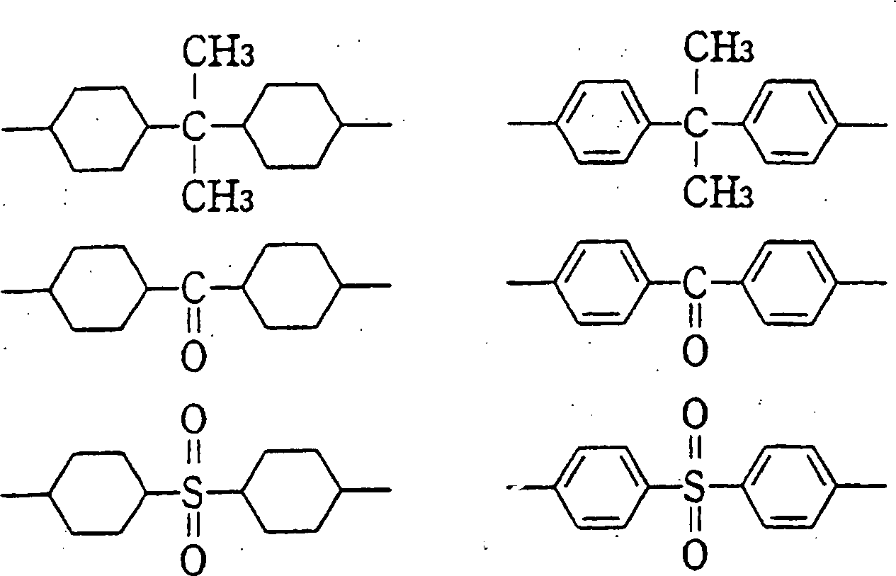
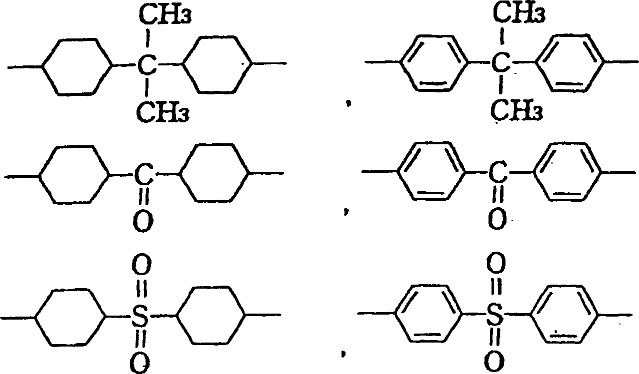
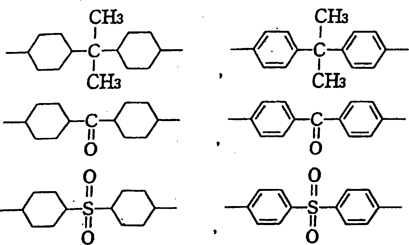
  • Für das kurzkettige Diol, welches eine cyclische Struktur hat und für das Polyurethan PB1 verwendet werden kann, wird beispielhaft Bisphenol A, hydriertes Bisphenol A, Bisphenol S, hydriertes Bisphenol S, Bisphenol P und hydriertes Bisphenol P genannt, zu welchen Ethylenoxid und Propylenoxid, wie nachstehend gezeigt, zugesetzt werden kann. Besonders bevorzugt ist hydriertes Bisphenol A, zu welchem Propylenoxid zugesetzt oder nicht zugesetzt werden kann. Es ist dann bevorzugt, dass der Gehalt des kurzkettigen Diols mit einer cyclischen Struktur 20 bis 40 Gew.-% beträgt. Bei weniger als 20 Gew.-% nehmen die dynamische Festigkeit und die Haltbarkeit ab. Bei mehr als 40 Gew.-% nehmen die Löslichkeit in Lösungsmittel und die Dispergierbarkeit ab. HO(R1)n-X-(R2)mOH worin: n = O bis 3, und m = O bis 3,
    Figure 00170001
    Figure 00180001
    X wenigstens eine Gruppe ist, ausgewählt aus den folgenden Gruppen:
    Figure 00180002
  • Für das Polyol, welches für das Polyurethan PB1 verwendet werden kann und eine Ethergruppe enthält, kann beispielhaft Bisphenol A, hydriertes Bisphenol A, Bisphenol S, hydriertes Bisphenol S, Bisphenol P und hydriertes Bisphenol P genannt werden, zu welchen Ethylenoxid und Propylenoxid, wie nachstehend gezeigt, zugesetzt werden können. Besonders bevorzugt ist hydriertes Bisphenol A, zu welchem Propylenoxid zugesetzt oder nicht zugesetzt werden kann. HO(R1)n-X-(R2)mOH worin: n = 4 bis 40, und m = 4 bis 40,
    Figure 00180003
    X wenigstens eine Gruppe ist, ausgewählt aus den folgenden Gruppen:
    Figure 00190001
  • Es ist dann bevorzugt, dass der Gehalt des eine Ethergruppe enthaltenden Polyols 20 Gew.-% bis 45 Gew.-% beträgt. Bei weniger als 20 Gew.-% nimmt die Dispergierbarkeit ab mit einer Abnahme der Fähigkeit des Bindemittels, Pulver darauf zu adsorbieren. Bei mehr als 45 Gew.-% nimmt die Haltbarkeit aufgrund einer Abnahme der Beschichtungsfestigkeit ab.
  • Für das organische Diisocyanat können beispielhaft aromatische Diisocycanate, wie 2,4-Tolylendiisocyanat, 2,6-Tolylendiisocyanat, Xylol-1,4-diisocyanat, Xylol-1,3-diisocyanat, 4,4'-Diphenylmethandiisocyanat, 4,4-Diphenyletherdiisocyanat, 2-Nitrodiphenyl-4,4'-diisocyanat, 2,2'-Diphenylpropan-4,4'-diisocyanat, 4,4'-Diphenylpropandiisocyanat, m-Phenylendiisocyanat, p-Phenylendiisocyanat, Naphthylen-1,4-diisocyanat, Naphthylen-1,5-diisocyanat und 3,3'-Dimethoxydiphenyl-4,4'-diisocyanat, aliphatische Diisocyanate, wie Tetramethylendiisocyanat, Hexamethylendiisocyanat und Lysindiisocyanat, und alicyclische Diisocyanate, wie Isophorondiisocyanat, hydriertes Tolylendiisocyanat und hydriertes Phenylmethandiisocyanat, genannt werden.
  • Bevorzugt sind die aromatischen Diisocycante, und besonders bevorzugt sind 4,4-Diphenylmethandiisocyanat, 2,2-Tolylendiisocyanat, p-Phenylendiisocyanat und Isophorondiisocyanat.
  • Bevorzugt hat das gemäß der Erfindung verwendete Polyurethan ein Molekulargewicht von 30000 bis 70000 und insbesondere von 40000 bis 60000, wiedergegeben durch das gewichtsmittlere Molekulargewicht Mw.
  • Bei weniger als 30000 nimmt die Haltbarkeit mit abnehmender Beschichtungsfestigkeit ab. Bei mehr als 70000 nimmt die Dispergierbarkeit mit abnehmbarer Löslichkeit in Lösungsmittel ab.
  • Das gemäß der Erfindung verwendete Polyurethan hat eine Glasübergangstemperatur Tg von vorzugsweise 50°C bis 150°C, bevorzugter von 70°C bis 120°C und noch bevorzugter von 80°C bis 100°C.
  • Bei weniger als 50°C nehmen die Haltbarkeit und die Lagerfähigkeit mit abnehmender Beschichtungsfestigkeit bei hohen Temperaturen ab. Bei mehr als 150°C nimmt die Formbarkeit beim Kalandern ab, was zu einer Erniedrigung der elektromagnetischen Leistung führt.
  • Für die polare Gruppe in dem in der Erfindung verwendeten Polyurethan sind -SO3M, -OSO3M, -PO3M2 und -COOM bevorzugt, wobei -SO3M und -OSO3M am bevorzugtesten sind. Das in der Erfindung verwendete Polyurethan hat einen Gehalt der polaren Gruppe von vorzugsweise 1 × 10 –5 Äquiv./g bis 2 × 10–4 Äquiv./g. Bei weniger als 1 × 10–5 Äquiv./g wird die Adsorption des Polyurethans an ein magnetisches Material unzureichend, was zu einem Abfall der Dispergierbarkeit führt. Bei mehr als 2 × 10–4 Äquiv./g wird die Löslichkeit des Polyurethans in Lösungsmitteln niedrig, was wiederum zu einem Abfall der Dispergierbarkeit führt.
  • Das gemäß der Erfindung verwendete Polyurethan hat eine Urethangruppenkonzentration von vorzugsweise 3,0 mÄquiv./g bis 4,0 mÄquiv./g und bevorzugter von 3,3 mmol/g bis 3,7 mmol/g für das Polyurethan PA1 bzw. das Polyurethan PA2. Bei weniger als 3,0 mmol/g ergibt das Polyurethan eine Beschichtung mit abnehmender Glasübergangstemperatur Tg und daher abnehmender Haltbarkeit. Bei mehr als 4,0 mmol/g nimmt die Dispergierbarkeit mit abnehmender Löslichkeit in Lösungsmittel ab. Zusätzlich treten einige Syntheseprobleme auf, da es unvermeidlich unmöglich ist, das Polyol in das Poly urethan einzuarbeiten. So ist es z. B. schwierig, das Molekulargewicht des Polyurethans zu regeln.
  • Das Polyurethan PA3 hat einen Gehalt der polaren Gruppe von vorzugsweise 2,5 mmol/g bis 4,5 mmol/g und weiter vorzugsweise von 3,0 mmol/g bis 4,0 mmol/g. Bei weniger als 2,5 mmol/g ergibt das Polyurethan eine Beschichtung mit abnehmender Glasübergangstemperatur Tg und somit abnehmender Haltbarkeit. Bei mehr als 4,5 mmol/g nimmt die Dispergierbarkeit mit abnehmender Löslichkeit in Lösungsmittel ab. Zusätzlich treten einige Syntheseprobleme auf, da es unvermeidlich unmöglich ist, das Polyol in das Polyurethan einzuarbeiten. So ist es z. B. schwierig, das Molekulargewicht des Polyurethans zu regeln.
  • Das gemäß der Erfindung verwendete Polyurethan sollte vorzugsweise 2 bis 20 OH-Gruppen und insbesondere 3 bis 15 OH-Gruppen pro Molekül enthalten. Bei weniger als 3 OH-Gruppen pro Molekül nimmt die Reaktivität des Polyurethans mit dem Isocyanat-Härtungsmittel ab, was zu einer Abnahme der Festigkeit und der Haltbarkeit der Beschichtung führt. Bei mehr als 15 OH-Gruppen pro Molekül nimmt andererseits die Dispergierbarkeit mit abnehmender Löslichkeit in Lösungsmittel ab.
  • Die folgenden organischen Phosphorverbindungen werden in das Bindemittel in dem magnetischen Aufzeichnungsträger der Erfindung eingearbeitet:
    Figure 00210001
    worin R eine unsubstituierte oder substituierte Alkyl-, Alkenyl- oder Arylgruppe bedeutet, und n = 1 oder 2 ist.
  • Beispielhafte organische Phosphorverbindungen sind (Ph-O)PO(OH)2, (Ph-O)2PO(OH), (Ph-O)P(OH)2, (Ph-O)2PO(OH), Ph-PO(OH)2, (Ph-O)2PO(OH), C6H13OPO(OH)2, (C6H13)2PO(OH), C6H13OP(OH)2, (C6H13O)2P(OH), C6H13PO(OH)2, (C6H13)2PO(OH), C8H17OPO(OH)2, C1OH21OPO(OH)2, C12H25OPO(OH)2, C14H29OPO(OH)2, C16H33OPO(OH)2, C18H37OPO(OH)2, C8H173PO(OH)2, C10H21PO(OH)2, C12H25PO(OH)2, C14H29PO(OH)2, C16H33PO(OH)2 und C18H37PO(OH)2. Es ist hier darauf hinzuweisen, dass Ph eine Phenylgruppe bedeutet.
  • Unter diesen Verbindungen sind (Ph-O)PO(OH)2, (Ph-O)P(OH)2, Ph-PO(OH)2, (Ph-O)2PO(OH), C10H21OPO(OH)2, C12H25OPO(OH)2, C14H29OPO(OH)2, C16H33OPO(OH)2, C18H37OPO(OH)2, C10H21PO(OH)2, C12H25PO(OH)2, C14H29PO(OH)2, C16H33PO(OH)2 und C18H37PO(OH)2 bevorzugt.
  • Wenn das in der Erfindung verwendete Bindemittel für die magnetische Schicht verwendet wird, ist es annehmbar, ein synthetisches Harz vom Vinylchloridtyp in Kombination mit dem gemäß der Erfindung verwendeten Polyurethan zu verwenden. Das Vinylchloridharz, welches in der Erfindung verwendet werden kann, hat einen Polymerisationsgrad von vorzugsweise 200 bis 600 und bevorzugter von 250 bis 450. Das hierin verwendete Vinylchloridharz kann auch ein Copolymer von Vinylmonomeren, z. B. Vinylacetat, Vinylalkohol, Vinylidenchlorid und Acrylnitril, sein.
  • Zur Bildung jeder magnetischen Schicht können verschiedene synthetische Harze zusätzlich zu dem in der Erfindung verwendeten Polyurethan und dem Vinylchloridharz verwendet werden. So können z. B. Ethylen-Vinylacetat-Copolymere, Cellulosederivate, wie Nitrocellulose, Acrylharze, Polyvinylacetalharze, Polyvinylbutyralharze, Epoxyharze und Phenoxyherze allein oder in Kombination von zwei oder mehreren verwendet werden.
  • Wenn diese zusätzlichen synthetischen Harze verwendet werden, ist es erwünscht, dass das in der magnetischen Schicht enthaltene Polyurethan vorzugsweise 10 bis 90 Gew.-%, weiter vorzugsweise 20 bis 80 Gew.-% und noch weiter vorzugsweise 25 bis 60 Gew.-% des Bindemittels ausmacht. Es ist auch erwünscht, dass das Vinylchloridharz vorzugsweise 10 bis 80 Gew.-%, weiter vorzugsweise 20 bis 70 Gew.-% und noch weiter vorzugsweise 30 bis 60 Gew.-% des Bindemittels ausmacht.
  • Es kann ein Härtungsmittel, wie eine Polyisocyanatverbindung, zusammen mit dem gemäß der Erfindung verwendeten Bindemittel verwendet werden. Beispiele der Polyisocyanatverbindung sind ein Reaktionsprodukt von 3 mol Tolylendiisocyanat und 1 mol Trimethylolpropan (z. B. Desmodule L-75, hergestellt von Bayer AG), ein Reaktionsprodukt von 3 mol eines Diisocyanats, wie Xylylendiisocyanat oder Hexamethylendiisocyanat, und 1 mol Trimethylolpropan, ein Bürettenaddukt zu 3 mol Hexamethylendiisocyanat, eine Isocyanatverbindung mit 5 mol Tolylendiisocyanat, eine Isocyanurat-Adduktverbindung von 3 mol Tolylendiisocyanat und 2 mol Hexamethylendiisocyanat und ein Polymer von Isophorondiisocyanat und Diphenylmethandiisocyanat.
  • Es ist dann erwünscht, dass die in der magnetischen Schicht enthaltene Polyisocyanatverbindung vorzugsweise 10 bis 50 Gew.-% und weiter vorzugsweise 20 bis 40 Gew.-% des Bindemittels ausmacht.
  • Wenn eine Elektronenstrahlhärtung durchgeführt wird, ist es annehmbar, von einer Verbindung mit einer reaktiven Doppelbindung, z. B. Urethanacrylat, Gebrauch zu machen.
  • Das Gesamtgewicht der Harzkomponente plus dem Härtungsmittel (d.h. das Bindemittel) liegt gewöhnlich in dem Bereich von vorzugsweise 15 bis 40 Gewichtsteilen und weiter vorzugsweise 20 bis 30 Gewichtsteilen pro 100 Gewichtsteile der ferromagnetischen Pulver.
  • Für die ferromagnetischen Pulver zur Verwendung mit dem magnetischen Aufzeichnungsmedium der Erfindung ist es erwünscht, Cobalt enthaltende, ferromagnetische Eisenoxidpulver oder Cobalt enthaltende, ferromagnetische Legierungspulver mit einer SBET-spezifischen Oberfläche von 40 bis 80 m2/g und vorzugsweise von 50 bis 70 m2/g zu verwenden. Die Kristallitgröße beträgt 12 bis 25 nm, vorzugsweise 13 bis 22 nm und weiter vorzugsweise 14 bis 20 nm. Die Länge beträgt 0,05 bis 0,25 μm, vorzugsweise 0,07 bis 0,2 μm und weiter vorzugsweise 0,08 bis 0,15 μm. Die hierin verwendeten ferromagnetischen Pulver können solche sein, die auf Cobalt enthaltendem Eisen und auf Co-Ni-Fe-Systemen basieren, welche zusätzlich Yttrium enthalten. Bezüglich des Gehalts von Yttrium in den ferromagnetischen Pulvern beträgt das Verhältnis von Yttrium zu Eisen Y/Fe = 0,5 at-% bis 20 at-%, und vorzugsweise beträgt Y/Fe = 5 at-% bis 10 at-%. Bei weniger als 0,5 at-% können die ferromagnetischen Pulver keinen hohen σS-Wert haben, und sie haben daher keine hohen magnetischen Eigenschaften und somit keine hohe elektromagnetische Leistung. Bei mehr als 20 at-% nimmt der Gehalt von Eisen ab, was zu einem Abfall der magnetischen Eigenschaften und somit zu einem Abfall der elektromagnetischen Leistung führt. Zusätzlich können die ferromagnetischen Pulver Elemente enthalten, wie Aluminium, Silicium, Schwefel, Scandium, Titan, Vanadium, Chrom, Mangan, Kupfer, Zink, Molybdän, Rhodium, Palladium, Gold, Zinn, Antimon, Bor, Barium, Tantal, Wolfram, Rhenium, Blei, Phosphor, Lanthan, Cer, Praseodym, Neodym, Tellur und Wismut, in dem Bereich von bis zu 20 at-% pro 100 at-% Eisen. Die ferromagnetischen Pulver können auch kleine Mengen von Wasser, Hydroxiden und Oxiden enthalten.
  • Nachstehend ist ein Beispiel wiedergegeben, wie das ferromagnetische Pulver hergestellt wird, welches als eine Hauptkomponente Eisen mit Cobalt enthält und darin gemäß der Erfindung Yttrium eingeführt enthält.
  • In diesem Beispiel wird Eisenoxyhydroxid, erhalten durch Einblasen eines oxidierenden Gases in eine wässrige Suspension, die eine Mischung aus Eisen(II)-salz und Alkali enthält, als Ausgangsmaterial verwendet.
  • Ein bevorzugtes Eisenoxyhydroxid ist α-FeOOH. Gemäß dem ersten Verfahren zur Herstellung dieses Eisenoxyhydroxids wird das Eisen(II)-salz zuerst mit Alkalihydroxid neutralisiert, um eine wässrige Suspension von Fe(OH)2 herzustellen. Dann wird das oxidierende Gas in die Suspension eingeblasen, um eine azikuläre Form von α-FeOOH zu erhalten. Andererseits wird gemäß dem zweiten Verfahren das Eisen(II)-salz zuerst mit Alkalicarbonat neutralisiert, um eine wässrige Suspension von FeCO3 herzustellen. Dann wird das oxidierende Gas in die Suspension eingeblasen, um eine Spindelform von α-FeOOH zu erhalten. Ein bevorzugtes Eisenoxyhydroxid ist erhältlich, indem eine wässrige Eisen(II)-salzlösung mit einer wässrigen Alkalilösung reagieren gelassen wird, um eine Eisen(II)-hydroxid enthaltende Lösung zu erhalten, und Oxidieren der wässrigen, das Eisen(II)-hydroxid enthaltenden Lösung mit Luft usw. In diesem Fall können Salze von Erdalkalielementen, wie Ni-, Ca-, Ba- und Sr-salze, Cr-salz, Zn-salz oder Ähnliches mit der wässrigen Eisen(II)-salzlösung vorliegen. Es ist möglich, die Teilchenform und Größe (das Verhältnis von Länge zu Breite) zu regeln, indem eine geeignete Auswahl aus solchen Salzen getroffen wird.
  • Es ist bevorzugt, als Eisen(II)-salz Eisen(II)-chlorid, Eisen(II)-sulfat usw. zu verwenden, und es ist bevorzugt, als Alkali Natriumhydroxid, Ammoniakwasser, Ammoniumcarbonat, Natriumcarbonat usw. zu verwenden. Bevorzugte Salze, die mit der wässrigen Eisen(II)salzlösung vorliegen können, sind Chloride, wie Nickelchlorid, Calciumchlorid, Bariumchlorid, Strontiumchlorid, Chromchlorid und Zinkchlorid.
  • Dann wird eine wässrige Lösung einer Cobaltverbindung, wie Cobaltsulfat und Cobaltchlorid, mit einer Aufschlämmung des vorstehenden Eisenoxyhydroxids gerührt und vermischt, um Cobalt darin einzuführen. Zur Einführung von Yttrium wird zuerst eine Aufschlämmung von Cobalt enthaltendem Eisenoxyhydroxid hergestellt. Dann wird eine wässrige Lösung, die eine Yttriumverbindung enthält, mit der Aufschlämmung gerührt und vermischt.
  • Von Yttrium verschiedene Elemente, z. B. Neodym, Samarium, Praseodym und Lanthan, können auch in das in der Erfindung verwendete ferromagnetische Pulver eingeführt werden. Diese Elemente können in das ferromagnetische Pulver in der Form von Chloriden, wie Yttriumchlorid, Neodymchlorid, Samariumchlorid, Praseodymchlorid und Lanthanchlorid, und Nitraten, wie Neodymnitrat und Gadoliniumnitrat, die allein oder in Kombination von zwei oder mehreren verwendet werden können, eingeführt werden.
  • Gewöhnlich, aber nicht ausschließlich, kann das in der Erfindung verwendete ferromagnetische Pulver in einer azikulären, körnigen, würfelartigen, reiskornartigen und blattartigen Form verwendet werden. Es ist besonders bevorzugt, eine azikuläre Form von ferromagnetischen Pulvern zu verwenden.
  • Die vorstehende Harzkomponente, das Härtungsmittel und die ferromagnetischen Pulver werden mit einem gewöhnlich zur Herstellung von magnetischen Beschichtungsmaterialien verwendeten Lösungsmittel, z. B. Methylethylketon, Dioxan, Cyclohexanon und Ethylacetat, gemahlen und dispergiert, um ein magnetisches Beschichtungsmaterial herzustellen. Das Mahlen und Dispergieren sollten vorzugsweise wie gewöhnlich ausgeführt werden.
  • Es wird hier darauf hingewiesen, dass das magnetische Beschichtungsmaterial zusätzlich zu den vorstehenden Komponenten gewöhnlich verwendete Additive und Füllstoffe, z. B. Schleifmittel, wie α-Al2O3 und Cr2O3, antistatische Mittel, wie Ruß, und Gleitmittel und Dispergiermittel, wie Fettsäuren, Fettsäureester und Siliconöl, enthalten kann.
  • Nun werden die untere nicht magnetische Schicht und die untere magnetische Schicht in der Mehrschichtenstruktur der Erfindung erläutert. Die für die untere Schicht in der Erfindung verwendeten anorganischen Pulver können entweder magnetische Pulver oder nicht magnetische Pulver sein. Die nicht magnetischen Pulver können z. B. ausgewählt werden aus anorganischen Verbindungen, wie Metalloxide, Metallcarbonate, Metallsulfate, Metallnitride, Metallcarbide und Metallsulfide. Als anorganische Verbindungen können z. B. α-Aluminiumoxid mit einem α-Phasengehalt von 90 bis 100%, β-Aluminiumoxid, γ-Aluminiumoxid, Siliciumcarbid, Chromoxid, Ceroxid, α-Eisenoxid, Korund, Siliciumnitrid, Titancarbid, Titanoxid, Siliciumdioxid, Zinnoxid, Magnesiumoxid, Wolframoxid, Zirkonoxid, Bornitrid, Zinkoxid, Calciumcarbonat, Calciumsulfat, Bariumsulfat und Molybdändisulfid verwendet werden. Diese können allein oder in Kombination von zwei oder mehreren verwendet werden. Besonders bevorzugt ist Titandioxid, Zinkoxid, Eisenoxid und Bariumsulfat, wobei das Titandioxid am bevorzugtesten ist. Vorzugsweise haben diese nicht magnetischen Pulver eine mittlere Teilchengröße von 0,005 bis 2 μm. Die Vorteile der Erfindung können jedoch sogar erhalten werden, wenn die nicht magnetischen Pulver mit variierender mittlerer Teilchengröße in Kombination von zwei oder mehreren verwendet werden, oder es wird ein einzelner Typ von nicht magnetischen Pulvern mit einer breiten Teilchengrößenverteilung verwendet. Bevorzugter sollten die nicht magnetischen Pulver eine mittlere Teilchengröße von 0,01 μm bis 0,2 μm und einen pH-Wert zwischen 6 und 9 haben. Die nicht magnetischen Pulver sollten eine spezifische Oberfläche von vorzugsweise 1 bis 100 m2/g, bevorzugter von 5 bis 50 m2/g und noch bevorzugter von 7 bis 40 m2/g haben. Die nicht magnetischen Pulver sollten auch eine Kristallitgröße von vorzugsweise 0,01 μm bis 2 μm, eine DBP-Öl-absorption von 5 bis 100 ml/100 g, vorzugsweise von 10 bis 80 ml/100 g und weiter vorzugsweise von 20 bis 60 ml/100 g und ein spezifisches Gewicht von 1 bis 12 und vorzugsweise 3 bis 6 haben. Die verwendeten nicht magnetischen Pulver können in azikulärer, kugeliger, polyedrischer oder blattartiger Form vorliegen.
  • Vorzugsweise sollten die nicht magnetischen Pulver oberflächenbehandelt sein, um Al2O3, SiO2, TiO2, ZrO2, SnO2, Sb2O3 und ZnO auf ihrer Oberfläche vorhanden sein zu lassen. Besonders bevorzugt sind Al2O3, SiO2, TiO2 und ZrO2 aufgrund ihrer ausgezeichneten Dispergierbarkeit, unter welchen Al2O3, SiO2 und ZrO2 am bevorzugtesten sind. Diese Verbindungen können allein oder in Kombination von zwei oder mehreren verwendet werden. Alternativ kann eine oberflächenbehandelte Schicht verwendet werden, die einer Copräzipitation entsprechend dem Zweck unterworfen wurde. Weiter alternativ kann die Oberfläche des nicht magnetischen Pulvers mit Aluminiumoxid behandelt werden, und die Aluminiumoxidschicht kann dann mit Siliciumdioxid und umgekehrt behandelt werden. Die oberflächenbehandelte Schicht kann eine poröse Schicht entsprechend dem Zweck sein, obwohl es bevorzugt eine homogene und zusammenhängende Schicht ist.
  • Wenn Ruß mit der unteren Schicht vermischt wird, ist es dann möglich, eine Abnahme von Rs zu erreichen, wie sie im Stand der Technik durchgeführt wird, und eine Mikro-Vickers-Härte, wie erwünscht, zu erhalten. Zu diesem Zweck können Ofenruß für Kautschuk, thermischer Ruß für Kautschuk, Färberuß, Acetylenruß usw. verwendet werden.
  • Der hierin verwendete Ruß sollte eine spezifische Oberfläche von 100 bis 500 m2/g und vorzugsweise von 150 bis 400 m2/g, eine DBP-Ölabsorption von 20 bis 400 ml/100 g und vorzugsweise von 30 bis 200 ml/100 g, eine mittlere Teilchengröße von 5 μm bis 80 μm, vorzugsweise von 10 bis 50 μm und weiter vorzugsweise von 10 bis 40 μm, einen pH-Wert von 2 bis 10, einen Wassergehalt von 0,1 bis 10%, und eine Klopfdichte von 0,1 bis 1 g/ml haben. Beispielhafte Produkte des hierin verwendeten Rußes sind BLACK PEARLS 2000, 1300, 1000, 900, 800, 880 und 700 und VULCAN XC-72, sämtliche hergestellt von Cabot Co., Ltd., #3050B, 3150B, 3250B, #3750B, #3950B, #950, #650B, #970B, #850B und MA-600, sämtliche hergestellt von Mitsubishi Chemical Industries, Ltd., CONDUCTEX SC und RAVEN 8800, 8000, 7000, 5750, 5250, 3500, 2100, 2000, 1800, 1500, 1255 und 1250, sämtliche hergestellt von Colombian Carbon Co., Ltd., und Ketchen Black EC, hergestellt von Aczo Co., Ltd.
  • Magnetische Pulver können auch für die gemäß der Erfindung verwendete untere Schicht verwendet werden. Die hierin verwendeten magnetischen Pulver sind z. B. γ-Fe2O3, mit Co dotiertes γ-Fe2O3, hauptsächlich aus α-Fe bestehende Legierungen und CrO2, unter welchen mit Co dotiertes γ-Fe2O3 am bevorzugtesten ist. Die für die untere Schicht verwendeten ferromagnetischen Pulver sollten vorzugsweise die gleiche Zusammensetzung und Leistung wie in der gemäß der Erfindung verwendeten oberen magnetischen Schicht haben. Die Leistung der unteren und oberen Schichten können jedoch entsprechend dem Zweck variiert werden, wie es gewöhnlich im Stand der Tech nik durchgeführt wird. Um die Aufzeichnungsleistung bei längeren Wellenlängen zu verbessern, ist es z. B. erwünscht, die Hc der unteren magnetischen Schicht niedriger zu machen als diejenige der oberen magnetischen Schicht, und die Br der unteren magnetischen Schicht höher zu machen als diejenige der oberen magnetischen Schicht. Zusätzlich ist es möglich, Vorteile aus einer bekannten Mehrschichtenstruktur zu ziehen.
  • Das Bindemittel, das Gleitmittel, das Dispergiermittel, das Additiv und das Lösungsmittel und die verwendeten Dispersionstechniken für die untere magnetische Schicht und die nicht magnetischen Schichten können die Gleichen sein wie in bekannten magnetischen Schichten. Insbesondere können die für bekannte magnetische Schichten anwendbaren Techniken auf die Menge und den Typ des Bindemittels und die Menge und den Typ des Lösungsmittels und des Dispergiermittels angewandt werden.
  • Das aus den vorstehenden Materialien hergestellte magnetische Beschichtungsmaterial wird auf den nicht magnetischen Träger zur Bildung einer magnetischen Schicht aufgebracht.
  • Bekannte Träger, wie biaxial verstreckte Polyethylennaphthalat-, Polyethylenterephthalat-, Polyamid-, Polyimid-, Polyamidimid-, aromatische Polyamid- und Polybenzoxydazolträger können für den hierin verwendeten, nicht magnetischen Träger verwendet werden. Unter diesen sind Polyethylen- und aromatische Polyamidträger bevorzugt. Diese nicht magnetischen Träger können Vorbehandlungen, wie einer Coronaentladungsbehandlung, einer Plasmabehandlung, einer Behandlung für leichte Bindung und einer thermischen Behandlung, unterworfen worden sein. Der hierin verwendete nicht magnetische Träger sollte vorzugsweise eine sehr glatte Oberfläche haben, wiedergegeben durch eine mittlere Mittellinie-Oberflächenrauheit zwischen 0,1 nm und 20 nm und insbesondere 1 nm und 10 nm bei einem Abschneidewert von 0,25 mm. Ferner sollte der nicht magnetische Träger nicht nur eine kleine mittlere Mittellinien-Rauheit haben, sondern auch von groben Oberflächenunebenheiten von größer als 1 μ frei sein.
  • Der magnetische Aufzeichnungsträger der Erfindung kann z. B. hergestellt werden durch Aufbringen einer Beschichtungslösung für die magnetische Schicht auf die Oberfläche des sich bewegenden nicht magnetischen Trägers in einer solchen Weise, dass die magnetische Schicht eine Dicke zwischen 0,05 μm und 3,0 μm und vorzugsweise von 0,07 μm und 1,0 μm hat, gemessen nach dem Trocknen. In diesem Fall kann eine Mehrzahl von Beschichtungsmaterialien gleichzeitig oder nacheinander auf den nicht magnetischen Träger aufgebracht werden.
  • Als Beschichtungssystem zum Aufbringen des magnetischen Beschichtungsmaterials können verschiedene Beschichtungsmaschinen verwendet werden, einschließlich Luftrakelbeschichtungs-, Messerbeschichtungs-, Stabbeschichtungs-, Extrusionsbeschichtungs-, Luftmesserbeschichtungs-, Quetschbeschichtungs-, Tauchbeschichtungs-, Umkehnnralzenbeschichtungs-, Übertragungswalzenbeschichtungs-, Gravurbeschichtungs-, Schleifauftragbeschichtungs-, Gießbeschichtungs-, Sprühbeschichtungs- und Schleuderbeschichtungsmaschinen.
  • Für diese Maschinen wird z. B. auf "The State-of-the-Art in Coating Techniques", herausgegeben von Sogo Gijutsu Center Co., Ltd. am 31. Mai 1983, verwiesen.
  • Es ist bevorzugt, die folgenden Beschichtungsmaschinen und -verfahren zu verwenden.
    • (1) Zuerst wird die untere Schicht auf einen nicht magnetischen Träger unter Verwendung einer gewöhnlich für das Aufbringen von magnetischen Beschichtungsmaterialien verwendeten Beschichtungsmaschine, z. B. einer Gravur-, Walzen-, Messeroder Extrusionsbeschichtungsmaschine, aufgebracht. Dann wird die obere Schicht, während die Unterschicht noch ungetrocknet vorliegt, unter Verwendung einer Extrusionsbeschichtungsmaschine vom Trägerdrucktyp aufgebracht, wie in JP-B 1-46186 und in JP-A 60-238179 und JP-A 2-265672 beschrieben.
    • (2) Die untere Schicht und die obere Schicht werden fast gleichzeitig auf einen nicht magnetischen Träger unter Verwendung eines einzigen Beschichtungskopfes mit zwei Zufuhrschlitzen für Beschichtungslösungen aufgebracht, wie in JP-A 63-88080, JP-A 2-17971 und JP-A 2-265672 beschrieben.
    • (3) Die untere Schicht und die obere Schicht werden fast gleichzeitig auf einen nicht magnetischen Träger unter Verwendung einer mit einer Stützwalze versehenen Extrusionsbeschichtungsmaschine aufgebracht, wie in JP-A 2-174965 beschrieben.
  • Eine Verstärkungsschicht kann auf der Oberfläche des hierin verwendeten nicht magnetischen Trägers, der kein magnetisches Beschichtungsmaterial darauf aufgebracht hat, vorgesehen sein. Gewöhnlich wird die Verstärkungsschicht erhalten, indem die von magnetischem Beschichtungsmaterial freie Oberfläche des nicht magnetischen Trägers mit einem eine Verstärkungsschicht bildenden Beschichtungsmaterial überzogen wird, in welchem körnige Komponenten, wie Schleifmittel, und antistatische Mittel und ein Bindemittel zusammen in einem organischen Lösungsmittel dispergiert sind.
  • Es ist hier darauf hinzuweisen, dass beide Oberflächen des nicht magnetischen Trägers mit Klebeschichten beschichtet worden sein können.
  • Die durch Aufbringen des magnetischen Beschichtungsmaterials auf den nicht magnetischen Träger erhaltene Überzugsschicht wird getrocknet, nachdem die in der Überzugsschicht enthaltenen ferromagnetischen Pulver in einem magnetischen Feld orientiert worden sind.
  • Die so getrocknete Überzugsschicht wird einer Oberflächenglättungsbehandlung unterworfen. Für die Oberflächenglättungsbehandlung kann z. B. eine Super-Kalandennialze verwendet werden. Durch Durchführen der Oberflächenglättungsbehandlung ist es möglich, einen magnetischen Aufzeichnungsträger mit einer hohen elektromagnetischen Leistung zu erhalten, da die Füllrate der ferromagnetischen Pulver bezüglich der magnetischen Schicht durch das Verschwinden von Leerstellen, die durch die Entfernung des Lösungsmittels beim Trocknen hervorgerufen wurden, erhöht wird.
  • Wärmebeständige Kunststoffwalzen, wie Epoxy-, Polyimid-, Polyamid- und Polyamidimidwalzen können als Kalanderwalze verwendet werden. Zu diesem Zweck kann auch eine Metallwalze verwendet werden.
  • Der magnetische Aufzeichnungsträger der Erfindung sollte vorzugsweise eine äußerst glatte Oberfläche haben, wiedergegeben durch eine mittlere Mittellinie-Oberflächenrauheit von 0,1 nm und 4 nm und insbesondere von 1 nm und 3 nm bei einem Abschneidewert von 0,25 mm. Zu diesem Zweck ist es z. B. bevorzugt, die aus einem speziellen ferromagnetischen Pulver und einem ausgewählten Bindemittel hergestellte magneti sche Schicht der vorstehend genannten Kalanderbehandlung zu unterwerfen. Mit Bezug auf die Kalanderbehandlungsbedingungen wird die Kalanderwalze in dem Temperaturbereich von 60 bis 100°C, vorzugsweise von 70 bis 100°C und weiter vorzugsweise von 80 bis 100°C eingeregelt, und der Kalanderdruck wird in dem Bereich von 100 bis 500 kg/cm2, vorzugsweise 200 bis 450 kg/cm2 und weiter vorzugsweise 300 bis 400 kg/cm2 eingeregelt.
  • Die so gehärtete Mehrschichtenstruktur wird in jede erwünschte Form geschnitten.
  • Das in der Erfindung verwendete Polyurethan enthält als Polyolkomponenten eine aliphatische, dibasische Säure und ein verzweigtes, aliphatisches Diol in einer Menge, die größer ist als die bisher im Stand der Technik verwendete Menge, wie bereits erwähnt, und hat somit eine hohe Löslichkeit in Lösungsmittel mit Verbesserungen der Dispergierbarkeit der ferromagnetischen Pulver darin. Zusätzlich hat das in der Erfindung verwendete Polyurethan eine hohe Urethangruppenkonzentration, so dass seine Tg höher sein kann als diejenige von herkömmlichem aliphatischem Urethan.
  • Der Anstieg der Konzentration der Urethangruppe, die eine Wasserstoffbindungskomponente ist, gibt einerseits Anlass zu einem Anstieg der Beschichtungsfestigkeit, wie der Tg, aufgrund der molekularen Wechselwirkung in dem getrockneten Überzugsfilm. Dieser Anstieg gibt andererseits Anlass zu einem Abfall der Löslichkeit des Polyurethans in einem Lösungsmittel, welcher die Dispergierbarkeit von ferromagnetischen Pulvern darin erniedrigt aufgrund eines Anstiegs der Viskosität der Überzugslösung. Das in der Erfindung verwendete Polyurethan ist jedoch dadurch gekennzeichnet, dass seine Löslichkeit in Lösungsmittel, aufgrund seiner hohen Urethangruppenkonzentration, und weil die aliphatische dibasische Säure und verzweigtes aliphatisches Diol als Polyesterpolyolkomponente verwendet werden, nicht abfällt. Dies scheint auf dem Umstand zu beruhen, dass eine Assoziation von Polyurethanmolekülen in der Beschichtungslösung aufgrund der Anwesenheit der verzweigten Kette verhindert wird.
  • BEISPIELE
  • Die folgenden Beispiele liegen nicht innerhalb des Bereichs der Patentansprüche.
  • Falls nicht anders angegeben, bedeutet "Teil" einen Gewichtsteil und "%" bedeutet Gew.-%.
  • Synthesebeispiel 1 von Polyurethan
  • Die in der Tabelle 1 gezeigten Polyesterpolyole und Kettenverlängerer, Diole und DEIS (Dimethylsulfoisophthalat), gezeigt in Tabelle 2, wurden in Cyclohexanon bei 60°C in einem Stickstoffstrom in einem Gefäß aufgelöst, wobei dieses Gefäß mit einem Rückflusskühler und einem Rühren ausgerüstet war, und die Atmosphäre darin durch Stickstoff ersetzt war. In Tabelle 1 ist die gezeigte Menge als mol-% wiedergegeben, und das wiedergegebene Molekulargewicht wird aus dem Hydroxylgruppenwert festgestellt.
  • Dann wurden 60 ppm eines Katalysators, Di-n-dibutylzinndilaurat, dazu zugesetzt und in der Lösung während 5 Minuten aufgelöst. Zusätzlich wurde 4,4'-Diphenylmethandiisocyanat (MDI) in der in der Tabelle 2 gezeigten Menge zu der Lösung für eine 6-stündige Reaktion unter Anwendung von Wärme von 90°C zugesetzt, wodurch eine Polyurethanlösung erhalten wurde. Das gewichtsmittlere Molekulargewicht und die Glasübergangstemperaturjedes Polyurethans PA1 sind in Tabelle 2 gezeigt.
  • Tabelle 1
    Figure 00330001
  • Tabelle 2
    Figure 00340001
  • Beispiel 1–1
  • 100 Teile ferromagnetisches Legierungspulver (Zusammensetzung: Co/Fe = 5 at-% und Y/Fe = 6 at-%, Hc: 2000 Oe, Kristallitgröße: 15 nm, BET-spezifische Oberfläche: 59 m2/g, Länge: 0,12 μm, Aspektverhältnis: 7 und σs: 150 emE/g) wurden in einem offenen Kneter 10 Minuten pulverisiert. Dann wurde das Pulver mit 20 Teilen (Feststoffgehalt) Polyurethan 1A und 60 Teilen Cyclohexanon gemahlen. Dann wurde die Mischung 120 Minuten in einer Sandmühle unter Zugabe der folgenden Komponenten dispergiert:
    Schleifmittel (Al2O3 mit einer Teilchengröße von 0,3 μm) 2 Teile
    Ruß (mit einer Teilchengröße von 40 nm) 2 Teile
    Methylethylketon/Toluol = 1/1 200 Teile
  • Die Dispersion wurde gerührt und weitere 20 Minuten unter Zugabe der folgenden Komponenten vermischt:
    Polyisocyanat (Colonate 3041, hergestellt von Nippon Polyurethane Co., Ltd.) 5 Teile (Feststoffgehalt)
    Butylstearat 2 Teile
    Stearinsäure 1 Teil
    Methylethylketon 50 Teile
  • Danach wurde die Mischung durch ein Filter mit einem mittleren Porendurchmesser von 1 μm filtriert, um ein magnetisches Beschichtungsmaterial herzustellen.
  • Dann wurde ein Sulfonsäure enthaltendes Polyesterharz mittels eines Spulenstabs auf die Oberfläche eines 10 μm dicken Polyethylennaphthalatträgers aufgebracht, um darauf eine Klebschicht von 0,1 μm Dicke, gemessen nach dem Trocknen, herzustellen.
  • Dann wurden das erhaltene nicht magnetische Beschichtungsmaterial und das magnetische Beschichtungsmaterial für die obere Schicht fast gleichzeitig auf den Träger in der beschriebenen Reihenfolge unter Verwendung einer Umkehrwalze aufgebracht, wobei das Erstere eine Dicke nach dem Trocknen von 2,0 μm und das Letztere eine Dicke nach dem Trocknen von 0,1 μm hatte. Der nicht magnetische Träger mit dem darauf aufgebrachten magnetischen Beschichtungsmaterial wurde in einem magnetischen Feld, das durch einen Magneten von 3000 G hervorgerufen wurde, orientiert, wobei das magnetische Beschichtungsmaterial noch in ungetrocknetem Zustand verblieb, und dann getrocknet. Das Bandprodukt wurde durch eine Kombination einer Metallwalze – Metallwalze – Metallwalze – Metallwalze – Metallwalze – Metallwalze – Metallwalze (bei einer Geschwindigkeit von 100 m/min, einem Lineardruck von 300 kg/cm und einer Temperatur von 90°C) kalandert und dann auf eine Breite von 6,35 mm zur Herstellung eines magnetischen Bandes geschnitten.
  • Beispiele 1–2 bis 1–7 und Vergleichsbeispiele 1–1 bis 1–8
  • In den Beispielen 1–2 bis 1–7 und den Vergleichsbeispielen 1–7 bis 1–8 wurden magnetische Bänder nach dem Verfahren von Beispiel 1–1 hergestellt, mit der Ausnahme, dass Polyurethan 1A durch die in Tabelle 3 gezeigten Polyurethane ersetzt war.
  • Beispiel 1–8
  • Ein magnetisches Band wurde gemäß dem Verfahren von Beispiel 1–1 hergestellt, mit der Ausnahme, dass die Zusammensetzung der ferromagnetischen Pulver ersetzt wurde durch Y/Fe = 0,5 at-% und Co/Fe = 5 at-%.
  • Beispiel 1–9
  • Ein magnetisches Band wurde nach dem Verfahren von Beispiel 1–1 hergestellt, mit der Ausnahme, dass die Zusammensetzung der ferromagnetischen Pulver ersetzt wurde durch Y/Fe = 20 at-% und Co/Fe = 5 at-%.
  • Beispiele 1–10 bis 1–14
  • Die magnetische Beschichtungslösung von Beispiel 1–1 wurde als magnetische Beschichtungslösung für die obere Schicht verwendet.
  • Herstellung einer nicht magnetischen Lösung für die untere Schicht
  • 85 Teile α-Fe2O3 (oberflächenbehandelt, so dass es Al2O3 und SiO2 darauf enthält, und mit einer mittleren Teilchengröße von 0,15 μm, einer BET-spezifischen Oberfläche von 52 m2/g und einem pH-Wert von 6,5 bis 8,0) wurden in einem offenen Kneter 10 Minuten pulverisiert. Das Pulver wurde dann mit 7,5 Teilen einer Verbindung, erhalten durch Zugabe von Natriumhydroxyethylsulfonat zu einem Copolymer von Vinylchlorid/Vinylacetat/Glycidylmethacrylat = 86/9/5 (SO3Na = 6 × 10–5 Äquiv./g, Epoxy = 10–3 Äquiv./g und Mw = 30000), 10 Teilen (Feststoffgehalt) des Sulfonsäure enthaltenden, in Tabelle 3 gezeigten Polyurethans und 60 Teilen Cyclohexanon, während 60 Minuten gemahlen. Die Mischung wurde dann 120 Minuten in einer Sandmühle unter Zugabe der folgenden Komponente dispergiert:
    Methylethylketon/Cyclohexanon = 6/4 200 Teile
  • Die Dispersion wurde dann weitere 20 Minuten mit den folgenden Komponenten gerührt und vermischt:
    Butylstearat 2 Teile
    Stearinsäure 1 Teil
    Methylethylketon 50 Teile
  • Die Mischung wurde dann durch ein Filter mit einem mittleren Porendurchmesser von 1 μm filtriert, um ein nicht magnetisches Beschichtungsmaterial für die untere Schicht herzustellen.
  • Dann wurde ein Sulfonsäure enthaltendes Polyesterharz mittels eines Spulenstabs auf die Oberfläche eines 10 μm dicken Polyethylennaphthalatträgers aufgebracht, um darauf eine Klebschicht von 0,1 μm Dicke, gemessen nach dem Trocknen, herzustellen.
  • Dann wurden fast gleichzeitig das erhaltene nicht magnetische Beschichtungsmaterial und das magnetische Beschichtungsmaterial auf den Träger in der beschriebenen Reihenfolge unter Verwendung einer Umkehrwalze aufgebracht, das Erstere mit einer Dicke nach dem Trocknen von 2,0 μm und das Letztere mit einer Dicke nach dem Trocknen von 0,1 μm. Der nicht magnetische Träger mit dem darauf aufgebrachten magnetischen Beschichtungsmaterial wurde in einem durch einen 3000 G-Magneten erzeugten magnetischen Feld orientiert, wobei das magnetische Beschichtungsmaterial noch ungetrocknet vorlag, und dann getrocknet. Das Bandprodukt wurde durch eine Kombination von Metallwalze – Metallwalze – Metallwalze – Metallwalze – Metallwalze – Metallwalze – Metallwalze (bei einer Geschwindigkeit von 100 m/min, einem Lineardruck von 300 kg/cm und einer Temperatur von 90°C) kalandert und dann auf eine Breite von 6,35 mm geschnitten, um ein Videoband herzustellen.
  • Vergleichsbeispiel 1–9
  • Ein Videoband wurde nach dem Verfahren von Beispiel 1–1 hergestellt, mit der Ausnahme, dass die Zusammensetzung des ferromagnetischen Pulvers ersetzt wurde durch Co/Fe = 5 at-%.
  • Vergleichsbeispiel 1–10
  • Ein Videoband wurde nach dem Verfahren von Beispiel 1–1 hergestellt, mit der Ausnahme, dass die Zusammensetzung des ferromagnetischen Pulvers ersetzt wurde durch Y/Fe = 25 at-% und Co/Fe = 5 at-%.
  • Vergleichsbeispiel 1–11
  • Ein Videoband wurde nach dem Verfahren von Beispiel 1–1 hergestellt, mit der Ausnahme, dass Polyurethan 1 A ersetzt wurde durch Polyurethan 1 H.
  • Vergleichsbeispiel 1–12
  • Ein Videoband wurde nach dem Verfahren von Beispiel 1–1 hergestellt, mit der Ausnahme, dass Polyurethan 1A ersetzt wurde durch Polyurethan 1T.
  • Dann wurden die Eigenschaften der Videobänder gemäß den Beispielen und den Vergleichsbeispielen durch das folgende Messvertahren A gemessen. Die Ergebnisse sind in Tabelle 3 wiedergegeben.
  • Messverfahren A
  • a) Elektromagnetische Leistung:
  • Ein Probeband wurde in einen digitalen Videobandrecorder (NV BJ1, Matsushita Electric Industrial Co., Ltd.) eingesetzt, um Signale mit einer Aufzeichnungswellenlänge von 0,5 μm aufzuzeichnen und wiederzugeben. Die Ausgangsleistung des Bandes wurde relativ auf der Basis des Referenzbandes (Vergleichsbeispiel 1–1) bewertet, der eine Ausgangsleistung von 0 dB bei der Wiedergabe zugeordnet wurde.
  • b) SQ:
  • Der SQ-Wert wurde bei Hm = 5 kOe unter Verwendung eines Flussmessgeräts vom Schwingungsprobentyp (hergestellt von Toei Kogyo Co., Ltd.) gemessen.
  • c) Wiederholungslaufleistung:
  • Ein 60-Minuten-Band wurde in das VTR-Gerät eingesetzt, das bei (a) für kontinuierlich wiederholte 100 Laufzyklen in einer Umgebung von 40°C und 80% relativer Feuchte verwendet wurde, um festzustellen, wie stark der Videokopf verunreinigt wurde. Die Videoausgangsleistungen wurden kontinuierlich aufgezeichnet, um einen Abfall der Ausgangsleistung mit Bezug auf die erste Ausgangsleistung zu messen, der 0 dB zugeschrieben wurde.
  • Verunreinigung des Videokopfes
  • Ausgezeichnet (überhaupt keine Verunreinigung festgestellt) und Ungenügend (Verunreinigung visuell festgestellt).
  • d) Anstieg des Abfalls:
  • Mit einem in den Videobandrecorder, der zur Messung der elektromagnetischen Leistung bei (a) verwendet wurde, eingesetzten Probeband wurde ein 5-Minuten-Laufzyklus 1000 mal in einer Umgebung von 23°C und 10% relativer Feuchte wiederholt. Danach wurde die Anzahl von Abfällen mit einer wenigstens –10 dB Abnahme der Ausgangsleistung über eine Zeit von wenigstens 15 μs gemessen.
  • e) Änderung des Reibungskoeffizienten aufgrund von Lagerung bei hoher Temperatur:
  • Während ein 6,35 mm breites Band in Kontakt mit einem nicht rostenden (SUS 420J) Stab von 4 mm Durchmesser unter einer Spannung von 20 g (T1) und einem Wicklungswinkel von 180° war, wurde das Band 100-mal bei einer Geschwindigkeit von 14 mm/s und über eine Länge von 100 mm laufen gelassen. Dann wurde die Spannung (T2) gemessen, der Reibungskoeffizient ergab sich durch Reibungskoeffizient = 1/π·ln (T2/T1) Ein 60-Minuten-Band in aufgewickeltem Zustand wurde in ein verschlossenes Gefäß mit darin enthaltenem Silicagel eingebracht, das dann 1 Woche in einem Ofen von 60°C gelagert wurde. Dann wurde der Reibungskoeffizient des Bandes verglichen mit demjenigen des Bandes vor der Lagerung, dem der Wert 100 zugeschrieben wurde.
  • Tabelle 3
    Figure 00410001
  • Synthesebeispiel 2 von Polyurethan
  • Die in Tabelle 1 gezeigten Polyesterpolyole und die in Tabelle 4 gezeigten Kettenverlängerer wurden in Cyclohexanon bei 60°C in einem Stickstoffstrom in einem Gefäß aufgelöst, das mit einem Rückflusskühler und einem Rührer versehen war, und die Atmosphäre darin wurde durch Stickstoff ersetzt. Dann wurden 60 ppm eines Katalysators, Di-n-dibutylzinndilaurat, dazu zugesetzt und während 15 Minuten in der Lösung aufgelöst. Zusätzlich wurde 4,4'-Diphenylmethandiisocyanat (MDI) in der in Tabelle 2 gezeigten Menge zu der Lösung für eine 6-standige Reaktion unter Anwendung von Wärme von 90°C zugesetzt, wodurch eine Polyurethanlösung erhalten wurde. Das gewichtsmittlere Molekulargewicht und die Glasübergangstemperatur von jedem Polyurethan sind in Tabelle 4 wiedergegeben.
  • Tabelle 4
    Figure 00430001
  • Beispiele 2–1 bis 2–15 und Vergleichsbeispiele 2–1 bis 2–9
  • Herstellung einer magnetischen Lösung für die obere Schicht
  • 100 Teile ferromagnetisches Legierungspulver (Zusammensetzung: 89 at-% Fe, 5 at-% Co und 6 at-% Al, Hc: 20000 Oe, Kristallitgröße: 15 nm, BET-spezifische Oberfläche: 59 m2/g, Länge: 0,12 μm, Aspektverhältnis: 7 und σs: 150 emE/g) wurden in einem offenen Kneter 10 Minuten pulverisiert. Dann wurde das Pulver mit 20 Teilen (Feststoffgehalt) Polyurethan in Tabelle 4 und 60 Teilen Cyclohexanon gemahlen. Dann wurde die Mischung 120 Minuten in einer Sandmühle unter Zugabe der folgenden Komponenten dispergiert:
    Schleifmittel (Al2O3 mit einer Teilchengröße von 0,3 μm) 2Teile
    Ruß (mit einer Teilchengröße von 40 nm) 2 Teile
    Methylethylketon/Toluol = 1/1 200 Teile
  • Die Dispersion wurde weitere 20 Minuten unter Zugabe der folgenden Komponenten gerührt und vermischt:
    Polyisocyanat (Colonate 3041, hergestellt von Nippon Polyurethane Co., Ltd.) 5 Teile (Feststoffgehalt)
    Butylstearat 2 Teile
    Stearinsäure 1 Teil
    Methylethylketon 50 Teile
  • Danach wurde die Mischung durch ein Filter mit einem mittleren Porendurchmesser von 1 μm filtriert, um ein magnetisches Beschichtungsmaterial herzustellen.
  • Herstellung einer nicht magnetischen Lösung für die untere Schicht
  • 85 Teile α-Fe2O3 (oberflächenbehandelt, damit sich Al2O3 und SiO2 darauf befinden, und mit einer mittleren Teilchengröße von 0,15 μm, einer BET-spezifischen Oberfläche von 52 m2/g und einem pH-Wert von 6,5 bis 8,0) wurden 10 Minuten in einem offenen Kneter pulverisiert. Das Pulver wurde dann mit 7,5 Teilen einer Verbindung, erhalten durch Zugabe von Natriumhydroxyethylsulfonat zu einem Copolymer von Vinylchlorid/Vinylacetat/Glycidylmethacrylat = 86/9/5 (SO3Na = 6 × 10–5 Äquiv./g, Epoxy = 10–3 Äquiv./g und Mw = 30000), 10 Teilen (Feststoffgehalt) des Sulfonsäure enthaltenden, in Tabelle 4 gezeigten Polyurethans und 60 Teilen Cyclohexanon, während 60 Minuten gemahlen. Die Mischung wurde dann 120 Minuten in einer Sandmühle unter Zugabe der folgenden Komponente dispergiert:
    Methylethylketon/Cyclohexanon = 6/4 200 Teile
  • Die Dispersion wurde weitere 20 Minuten mit den folgenden Komponenten gerührt und vermischt:
    Butylstearat 2Teile
    Stearinsäure 1Teil
    Methylethylketon 50Teile
  • Danach wurde die Mischung durch ein Filter mit einem mittleren Porendurchmesser von 1 μm filtriert, um ein nicht magnetisches Beschichtungsmaterial für die untere Schicht herzustellen.
  • Dann wurde ein Sulfonsäure enthaltendes Polyesterharz mittels eines Spulenstabs auf die Oberfläche eines 10 μm dicken Polyethylennaphthalatträgers aufgebracht, um darauf eine Klebschicht von 0,1 μm Dicke, gemessen nach dem Trocknen, herzustellen.
  • Dann wurden das erhaltene nicht magnetische Beschichtungsmaterial und das magnetische Beschichtungsmaterial fast gleichzeitig auf den Träger in der beschriebenen Reihenfolge unter Verwendung einer Umkehrwalze aufgebracht, das Erstere mit einer Dicke nach dem Trocknen von 2,0 μm und das Letztere mit einer Dicke nach dem Trocknen von 0,1 μm. Der nicht magnetische Träger mit dem darauf aufgebrachten magnetischen Beschichtungsmaterial wurde in einem durch einen 3000 G-Magneten erzeugten magnetischen Feld orientiert, wobei das magnetische Beschichtungsmaterial noch ungetrocknet verblieb, und dann getrocknet. Das Bandprodukt wurde durch eine Kombination von Metallwalze – Metallwalze – Metallwalze – Metallwalze – Metallwalze – Metallwalze – Metallwalze (bei einer Geschwindigkeit von 100 m/min, einem Lineardruck von 300 kg/cm und einer Temperatur von 90°C) kalandert und dann auf eine Breite von 6,35 mm geschnitten, um ein Videoband herzustellen.
  • Dann wurden die Eigenschaften von Videobändern gemäß den Beispielen 2–1 bis 2–15 und den Vergleichsbeispielen 2–1 bis 2–9 durch das folgende Messverfahren B gemessen. Die Ergebnisse sind in Tabelle 5 wiedergegeben.
  • Messverfahren B
  • a) Oberflächenrauheit Ra:
  • Unter Verwendung einer Lichtinterferenztechnik mit einem digitalen, optischen Profilometer (hergestellt von WYKO) wurde die Mittellinie-Oberflächenrauheit Ra bei einem Abschneidewert von 0,25 mm gemessen.
  • b) Elektromagnetische Leistung:
  • Ein Probeband wurde in einen digitalen Videobandrecorder (NV-BJ1, Matsushita Electric Industrial Co., Ltd.) eingesetzt, um Signale mit einer Aufzeichnungswellenlänge von 0,5 μm aufzuzeichnen und wiederzugeben. Die Ausgangsleistungen des Bandes wurden relativ auf der Grundlage des Referenzbandes (Vergleichsbeispiel 2–2) bewertet, dem eine Ausgangsleistung von 0 dB bei der Wiedergabe zugeschrieben wurde.
  • c) SQ:
  • Der SQ-Wert wurde bei Hm = 5 kOe unter Verwendung eines Flussmessgeräts vom Schwingungsprobentyp (hergestellt von Toei Kogyo Co., Ltd.) gemessen.
  • d) Änderung des Reibungskoeffizienten aufgrund von Lagerung bei hoher Temperatur:
  • Während ein 6,35 mm breites Band in Kontakt mit einem nicht rostenden (SUS 420J) Stab von 4 mm Durchmesser unter einer Spannung von 20 g (T1) und einem Wick lungswinkel von 180° war, wurde das Band 100-mal bei einer Geschwindigkeit von 14 mm/s und über eine Länge von 100 mm laufen gelassen. Dann wurde die Spannung (T2) gemessen, der Reibungskoeffizient ergab sich durch Reibungskoeffizient = 1/π·ln (T2 / T1)
  • e) Reibungskoeffizient nach der Lagerung:
  • Ein 60-Minuten-Band in aufgewickeltem Zustand wurde in einer trockenen Umgebung von 60°C 1 Woche gelagert. Dann wurde der Reibungskoeffizient gemessen.
  • Tabelle 5
    Figure 00480001
  • In Tabelle 5 bedeutet Ph eine Phenylgruppe
  • Synthesebeispiel 3 von Polyurethan
  • Die Polyesterpolyole A und I mit den in Tabelle 6 gezeigten Zusammensetzungen und 2-Ethyl-2-butyl-1,3-propandiol in den in Tabelle 7 gezeigten Zusammensetzungsverhältnissen, wurden in einer 30%-igen Lösung von Cyclohexanon bei 60°C und in einem Stickstoffstrom in einem mit einem Rückflusskühler und einem Rührer versehenen Gefäß aufgelöst, und die Atmosphäre wurde durch Stickstoff ersetzt. Dann wurden 60 ppm eines Katalysators, Di-n-dibutyldilaurat, dazu zugesetzt und während 15 Minuten in der Lösung aufgelöst. Zusätzlich wurden 4,4'-Diphenylmethandüsocyanat (MDI) in der in Tabelle 7 oder 8 gezeigten Menge zu der Lösung für eine 6-standige Reaktion unter Anwendung von Wärme von 90°C zugesetzt, wodurch eine Polyurethanlösung erhalten wurde. Tabelle 7 zeigt das gewichtsmittlere Molekulargewicht von jedem Polyurethan PA3, und Tabelle 8 zeigt das gewichtsmittlere Molekulargewicht des Polyurethans PB1.
  • Tabelle 6
    Figure 00490001
  • Tabelle 7
    Figure 00500001
  • Tabelle 8
    Figure 00510001
  • Figure 00520001
  • Beispiel 3–1
  • Herstellung eines magnetischen Beschichtungsmaterials für die obere Schicht
  • 100 Teile ferromagnetisches Legierungspulver (Zusammensetzung: 89 at-% Fe, 5 at-% Co und 6 at-% Y Hc: 2000 Oe, Kristallitgröße: 15 nm, BET-spezifische Oberfläche: 59 m2/g, Länge: 0,12 μm, Aspektverhältnis: 7 und σs: 150 emE/g) wurden 10 Minuten in einem offenen Kneter pulverisiert. Dann wurde das Pulver 60 Minuten mit den folgenden Komponenten gemahlen:
    Polyurethan 3A 20 Teile (Feststoffgehalt)
    Cyclohexanon 60 Teile
  • Dann wurde die Mischung 120 Minuten in einer Sandmühle unter Zugabe der folgenden Komponenten dispergiert:
    Schleifmittel (Al2O3 mit einer Teilchengröße von 0,3 μm) 2Teile
    Ruß (mit einer Teilchengröße von 40 nm) 2 Teile
    Methylethylketon/Toluol = 1/1 200 Teile
  • Die Dispersion wurde unter Zugabe der folgenden Komponenten während weiterer 20 Minuten gerührt und vermischt:
    Polyisocyanat (Colonate 3041, hergestellt von Nippon Polyurethane Co., Ltd.) 5 Teile (Feststoftgehalt)
    Butylstearat 2 Teile
    Stearinsäure 1 Teil
    Methylethylketon 50 Teile
  • Danach wurde die Mischung durch ein Filter mit einem mittleren Porendurchmesser von 1 μm filtriert, um ein Beschichtungsmaterial für die untere Schicht herzustellen.
  • Herstellung eines Beschichtungsmaterial für die untere Schicht
  • 85 Teile α-Fe2O3 (oberflächenbehandelt, damit sich Al2O3 und SiO2 darauf befinden, und mit einer mittleren Teilchengröße von 0,15 μm, einer BET-spezifischen Oberfläche von 52 m2/g und einem pH-Wert von 6,5 bis 8,0) wurden 10 Minuten in einem offenen Kneter pulverisiert. Das Pulver wurde dann mit 7,5 Teilen einer Verbindung, erhalten durch Zugabe von Natriumhydroxyethylsulfonat zu einem Copolymer von Vinylchlorid/Vinylacetat/Glycidylmethacrylat = 86/9/5 (SO3Na = 6 × 10–5 Äquiv./g, Epoxy = 10–3 Äquiv./g und Mw = 30000), 10 Teilen (Feststoffgehalt) Polyurethan 4B und 60 Teilen Cyclohexanon, 60 Minuten gemahlen. Die Mischung wurde dann 120 Minuten in einer Sandmühle unter Zugabe der folgenden Komponente dispergiert:
    Methylethylketon/Cyclohexanon = 6/4 200 Teile
    Die Dispersion wurde weitere 20 Minuten mit den folgenden Komponenten gerührt und vermischt:
    Butylstearat 2Teile
    Stearinsäure 1 Teil
    Methylethylketon 50Teile
  • Danach wurde die Mischung durch ein Filter mit einem mittleren Porendurchmesser von 1 μm filtriert, um ein Beschichtungsmaterial für die untere Schicht herzustellen.
  • Herstellung eines magnetischen Bandes
  • Dann wurde ein Sulfonsäure enthaltendes Polyesterharz mittels eines Spulenstabs auf der Oberfläche eines 10 μm dicken Polyethylennaphthalatträgers beschichtet, um darauf eine Klebschicht von 0,1 μm Dicke herzustellen, gemessen nach dem Trocknen.
  • Dann wurden das Beschichtungsmaterial für die untere Schicht und das magnetische Beschichtungsmaterial für die obere Schicht fast gleichzeitig auf den Träger in der beschriebenen Reihenfolge unter Verwendung einer Umkehrwalze aufgebracht, das Erstere mit einer Dicke nach dem Trocknen von 1,5 μm und das Letztere mit einer Dicke nach dem Trocknen von 0,1 μm. Der nicht magnetische Träger mit dem darauf aufgebrachten magnetischen Beschichtungsmaterial wurde in einem durch einen 3000 G-Magneten erzeugten magnetischen Feld orientiert, wobei das magnetische Beschichtungsmaterial noch ungetrocknet verblieb, und dann getrocknet. Das Bandprodukt wurde durch eine Kombination von Metallwalze – Metallwalze – Metallwalze – Metallwalze – Metallwalze – Metallwalze – Metallwalze bei einer Geschwindigkeit von 100 m/min, einem Lineardruck von 300 kg/cm und einer Temperatur von 90°C kalandert und dann auf eine Breite von 3,8 mm geschnitten, um ein magnetisches Band herzustellen.
  • Die Eigenschaften des so erhaltenen magnetischen Bandes wurden unter Verwendung des folgenden Bewertungsverfahrens gemessen. Die Ergebnisse sind in Tabelle 9 wiedergegeben.
  • Beispiele 3–2 bis 3–7 und Vergleichsbeispiele 3–1 bis 3–12
  • In den Beispielen 3–2 bis 3–7 und den Vergleichsbeispielen 3–1 bis 3–12 wurden magnetische Bänder nach dem Verfahren von Beispiel 3–1 hergestellt, mit der Ausnahme, dass Polyurethan 3A für die obere magnetische Schicht und Polyurethan 4B für die untere magnetische Schicht durch die in der Tabelle 9 gezeigten Polyurethane ersetzt wurden.
  • Die Eigenschaften der so erhaltenen magnetischen Bänder wurden unter Verwendung des folgenden Bewertungsverfahrens gemessen. Die Ergebnisse sind der Tabelle 9 wiedergegeben.
  • Beispiel 3–8
  • In Beispiel 3–8 wurde ein magnetisches Band nach dem Verfahren von Beispiel 3–2 hergestellt mit der Ausnahme, dass das α-Fe2O3 (oberflächenbehandelt, damit sich Al2O3 und SiO2 darauf befinden, und einer mittleren Teilchengröße von 0,15 μm, einem SBET-Wert von 52 m2/g und einem pH-Wert von 6,5 bis 8,0) für die untere Schicht durch Titanoxid (Kristallrutil mit einer mittleren Teilchengröße von 0,035 μm, einem TO2-Gehalt von 90% oder mehr, einer oberflächenbehandelten Schicht von Aluminiumoxid, einem SBET-Wert von 35 bis 42 m2/g, einem wahren spezifischen Gewicht von 4,1 und einem pH-Wert von 6,5 bis 8,0) ersetzt wurde.
  • Die Eigenschaften der so erhaltenen magnetischen Bänder wurden unter Verwendung des folgenden Bewertungsverfahrens gemessen. Die Ergebnisse sind in Tabelle 9 wiedergegeben.
  • Vergleichsbeispiele 3–13 und 3–14
  • In diesen Vergleichsbeispielen wurden magnetische Bänder nach dem Verfahren von Beispiel 3–8 hergestellt mit der Ausnahme, dass die Polyurethane für die unteren und oberen Schichten durch die in Tabelle 9 gezeigten Polyurethane ersetzt wurden.
  • Die Eigenschaften der so erhaltenen magnetischen Bänder wurden unter Verwendung des folgenden Messverfahrens C gemessen. Die Ergebnisse sind in Tabelle 9 wiedergegeben.
  • Messverfahren C
  • a) Oberflächenrauheit Ra:
  • Die mittlere Mittellinie-Oberflächenrauheit Ra (in nm) wurde bei einem Abschneidewert von 0,25 mm unter Verwendung der MIRAU-Technik mit einem digitalen, optischen Profilometer (hergestellt von WYKO) gemessen.
  • b) Anzahl von Oberflächenunebenheiten größer als 10 nm:
  • Eine Probe wurde über einen Bereich von 30 μm × 30 μm mit einem Tunnelstrom von 10 nA und einem Vormagnetisierungsstrom von 400 mV unter Verwendung von NANO-SCOPE, hergestellt von Digital Instrument Co., Ltd., abgetastet. Der erhaltene Wert wurde mit demjenigen des Vergleichsbeispiels 3–1 verglichen, dem der Wert 100 zugeschrieben wurde.
  • c) Elektromagnetische Leistung:
  • Unter Verwendung eines DDS3-Antriebs (Model C1537, HP Co., Ltd.) wurde ein Einzelfrequenzensignal von 4,7 MHz bei dem optimalen Aufzeichnungsstrom aufgezeichnet, um eine Ausgangsleistung bei der Wiedergabe zu messen. Die Ausgangsleistung ist auf der Basis derjenigen des Vergleichsbeispiels 1 gezeigt, welcher der Wert 100 zugeschrieben wurde.
  • d) Haltbarkeit während der Lagerung bei hohen Temperaturen und Feuchtigkeit:
  • Zuerst wurde eine Bandprobe 1 Woche in einer Umgebung von 60°C und 90% relativer Feuchte gelagert. Diese Probe wurde in einer Umgebung von 40°C und 80% relativer Feuchte dann unter eine Last von 10 g (T1) gebracht, während die Oberfläche ihrer magnetischen Schicht sich in Kontakt mit einem für den DDS3-Antrieb verwendeten Führungsstab befand. Anschließend wurde eine Spannung (T2) auf die Probe in einer solchen Weise aufgebracht, dass die Geschwindigkeit 8 mm/s betrug. Aus T2/T1 wurde der Reibungskoeffizient der magnetischen Oberfläche mit Bezug auf den Führungsstab durch die folgende Gleichung festgestellt.
  • Zur Messung wurde die Probe 500-mal laufen gelassen, und der Reibungskoeffizient der Probe wurde beim ersten Durchgang und beim 500. Durchgang gemessen.
    Reibungskoeffizient = 1/π·ln (T2 / T1)
  • Nach der Messung wurde die Verunreinigung des Führungsstabs unter einem optischen Differentialinterferenzmikroskop festgestellt und gemäß dem folgenden Kriterium bewertet.
    Ausgezeichnet: Es wurde überhaupt keine Verunreinigung festgestellt.
    Gut: Nicht verunreinigte Stellen sind sehr viel häufiger als verunreinigte Stellen.
    Ungenügend: Verunreinigte Stellen sind sehr viel häufiger als nicht verunreinigte Stellen.
  • Tabelle 9
    Figure 00580001
  • Beispiel 4–1
  • Herstellung eines magnetischen Beschichtungsmaterials für die obere Schicht
  • 100 Teile ferromagnetisches Legierungspulver (Zusammensetzung: 89 at-% Fe, 5 at-% Co und 6 at-% Y, Hc: 2000 Oe, Kristallitgröße: 15 nm, BET-spezifische Oberfläche: 59 m2/g, Länge: 0,12 μm, Aspektverhältnis: 7 und σs: 150 emE/g) wurden in einem offenen Kneter 10 Minuten pulverisiert. Dann wurde das Pulver 60 Minuten mit den in Tabelle 8 gezeigten Komponenten gemahlen:
    Polyurethan 4A 20 Teile (Feststoffgehalt)
    Cyclohexanon 60 Teile
  • Dann wurde die Mischung 120 Minuten in einer Sandmühle unter Zugabe der folgenden Komponenten dispergiert:
    Schleifmittel (Al2O3 mit einer Teilchengröße von 0,3 μm) 2 Teile
    Ruß (mit einer Teilchengröße von 40 nm) 2 Teile
    Methylethylketon/Toluol = 1/1 200Teile
  • Die Dispersion wurde weitere 20 Minuten unter Zugabe der folgenden Komponenten gerührt und vermischt:
    Polyisocyanat (Colonate 3041, hergestellt von Nippon Polyurethane Co., Ltd.) 5 Teile (Feststoffgehalt)
    Butylstearat 2Teile
    Stearinsäure 1 Teil
    Methylethylketon 50Teile
  • Danach wurde die Mischung durch ein Filter mit einem mittleren Porendurchmesser von 1 μm filtriert, um ein magnetisches Aufzeichnungsmaterial für die obere Schicht herzustellen.
  • Herstellung eines Beschichtungsmaterials für die untere Schicht
  • 85 Teile α-Fe2O3 (oberflächenbehandelt, damit sich Al2O3 und SiO2 darauf befinden, und mit einer mittleren Teilchengröße von 0,15 μm, einer BET-spezifischen Oberfläche von 52 m2/g und einem pH-Wert von 6,5 bis 8,0) wurden 10 Minuten in einem offenen Kneter pulverisiert. Das Pulver wurde dann mit 7,5 Teilen einer Verbindung, erhalten durch Zugabe von Natriumhydroxyethylsulfonat zu einem Copolymer von Vinylchlorid/Vinylacetat/ Glycidylmethacrylat = 86/9/5 (SO3Na = 6 × 10–5 Äquiv./g, Epoxy = 10–3 Äquiv./g und einem gewichtsmittleren Molekulargewicht = 30000), 10 Teilen (Feststoftgehalt) Polyurethan 3B, gezeigt in Tabelle 7, und 60 Teilen Cyclohexanon, 60 Minuten gemahlen. Die Mischung wurde dann 120 Minuten in einer Sandmühle unter Zugabe der folgenden Komponente dispergiert:
    Methylethylketon/Cyclohexanon = 6/4 200 Teile
  • Die Dispersion wurde weitere 20 Minuten mit den folgenden Komponenten gerührt und vermischt:
    Butylstearat 2 Teile
    Stearinsäure 1 Teil
    Methylethylketon 50Teile
  • Danach wurde die Mischung durch ein Filter mit einem mittleren Porendurchmesser von 1 μm filtriert, um ein Beschichtungsmaterial für die untere Schicht herzustellen.
  • Herstellung eines magnetischen Bandes
  • Dann wurde ein Sulfonsäure enthaltendes Polyesterharz mittels eines Spulenstabs auf die Oberfläche eines 10 μm dicken Polyethylennaphthalatträgers aufgebracht, um darauf eine Klebschicht von 0,1 μm Dicke, gemessen nach dem Trocknen, herzustellen.
  • Dann wurden das Beschichtungsmaterial für die untere Schicht und das magnetische Beschichtungsmaterial für die obere Schicht fast gleichzeitig auf den Träger in der be schriebenen Reihenfolge unter Verwendung einer Umkehrwalze aufgebracht, das Erstere mit einer Dicke nach dem Trocknen von 1,5 μm und das Letztere mit einer Dicke nach dem Trocknen von 0,1 μm. Der nicht magnetische Träger mit dem darauf aufgebrachten magnetischen Beschichtungsmaterial wurde in einem durch einen 3000 G-Magneten erzeugten magnetischen Feld orientiert, wobei das magnetische Beschichtungsmaterial noch ungetrocknet verblieb, und dann getrocknet. Das Bandprodukt wurde durch eine Kombination von Metallwalze – Metallwalze – Metallwalze – Metallwalze – Metallwalze – Metallwalze – Metallwalze bei einer Geschwindigkeit von 100 m/min, einem Lineardruck von 300 kg/cm und einer Temperatur von 90°C kalandert und dann auf eine Breite von 3,8 mm geschnitten, um ein magnetisches Band herzustellen.
  • Die Eigenschaften des so erhaltenen magnetischen Bandes wurden unter Verwendung des folgenden Bewertungsverfahrens gemessen. Die Ergebnisse sind in Tabelle 10 wiedergegeben.
  • Beispiele 4–2 bis 4–7 und Vergleichsbeispiele 4–1 bis 4–12
  • In den Beispielen 4–2 bis 4–7 und den Vergleichsbeispielen 4–1 bis 4–12 wurden magnetische Bänder nach den Verfahren von Beispiel 4–1 hergestellt mit der Ausnahme, dass Polyurethan 4A für die obere magnetische Schicht und Polyurethan 4B für die untere Schicht durch die in Tabelle 10 gezeigten Polyurethane ersetzt wurden.
  • Die Eigenschaften der so erhaltenden magnetischen Bänder wurden gemäß dem folgenden Bewertungsverfahren gemessen. Die Ergebnisse sind in Tabelle 10 wiedergegeben.
  • Beispiel 4–8
  • Im Beispiel 4–8 wurde ein magnetisches Band nach dem Verfahren von Beispiel 4–2 hergestellt mit der Ausnahme, dass das α-Fe2O3 (oberflächenbehandelt, damit sich Al2O3 und SiO2 darauf befinden, und mit einer mittleren Teilchengröße von 0,15 μm, einem SBET-Wert von 52 m2/g und einem pH-Wert von 6,5 bis 8,0) für die untere Schicht durch Titandioxid (Kristallrutil mit einer mittleren Teilchengröße von 0,035 μm, einem TiO2-Gehalt von 90% oder mehr, einer oberflächenbehandelten Schicht von Aluminiumoxid, einem SBET-Wert von 35 bis 42 m2/g, einem wahren spezifischen Gewicht von 4,1 und einem pH-Wert von 6,0 bis 8,0) ersetzt wurde.
  • Die Eigenschaften der so erhaltenen magnetischen Bänder wurden unter Verwendung des folgenden Bewertungsverfahrens gemessen. Die Ergebnisse sind in Tabelle 10 wiedergegeben.
  • Vergleichsbeispiele 4–13 und 4–14
  • In diesen Vergleichsbeispielen wurden magnetische Bänder nach dem Verfahren von Beispiel 4–8 hergestellt mit der Ausnahme, dass die Polyurethane für die unteren und oberen Schichten durch die Tabelle 10 gezeigten Polyurethane ersetzt wurden.
  • Die Eigenschaften der so erhaltenen magnetischen Bänder wurden unter Verwendung des folgenden Messverfahrens D gemessen. Die Ergebnisse sind Tabelle 10 wiedergegeben.
  • Messverfahren D
  • a) Oberflächenrauheit Ra:
  • Die mittlere Mittellinie-Oberflächenrauheit Ra (in nm) wurde bei einem Abschneidewert von 0,25 mm unter Verwendung der MIRAU-Technik mit einem digitalen, optischen Profilometer (hergestellt von WYKO) gemessen.
  • b) Elektromagnetische Leistung:
  • Unter Verwendung eines Trommelprüfgeräts (hergestellt von Kono Seisakusho) wurden Signale auf einem Probeband bei einer Aufzeichnungswellenlänge von 0,5 μm und einer Kopfgeschwindigkeit von 10 m/s aufgezeichnet und dann wiedergegeben, um die Ausgangsleistung bei Wiedergabe zu messen. Die relative Ausgangsleistung wird gezeigt auf der Basis der Ausgangsleistung des Vergleichsbeispiels 4–1, dem der Wert 100 zugeschrieben wurde.
  • c) Haltbarkeit nach Lagerung bei hoher Temperatur und Feuchtigkeit:
  • (1) Abfall der Ausgangsleistung und Verunreinigung des Videokopfes:
  • Zuerst wurde ein 60-Minuten-Band 1 Woche in einer Umgebung von 60°C und 90 relativer Feuchtigkeit gelagert. Das Band wurde dann in einer Umgebung von 40°C und 80°C relativer Feuchte 100-mal durch einen digitalen Videobandrecorder (NV-BJ1, Matsushita Electric Industrial Co., Ltd.) laufen gelassen, um die Verunreinigung des Videokopfes festzustellen. Die relative Ausgangsleistung wurde auf der Basis der Ausgangsleistung des ersten Laufs bewertet, dem der Wert 0 dB zugeschrieben wurde. Das Kriterium für die Bewertung ist ausgezeichnet: es wurde visuell überhaupt keine Verunreinigung festgestellt, und ungenügend: es wurde visuell eine Verunreinigung des Kopfes festgestellt.
  • (2) Stand-Haltbarkeit:
  • Die Stand-Haltbarkeit wurde durch einen Zeitraum bis zu einem 50%-igen Abfall im Standzustand in einem digitalen Videobandrecorder (NV-BJ1, Matsushita Electric Industrial Co., Ltd.) bewertet, der in einer Umgebung von 40°C und 80% relativer Feuchte gehalten wurde.
  • Tabelle 10
    Figure 00640001
  • Der magnetische Aufzeichnungsträger der Erfindung erfährt keinen Anstieg des Reibungskoeffizienten nach Lagerung bei hohen Temperaturen und hat eine verbesserte elektromagnetische Leistung aufgrund von Verbesserungen der Dispergierbarkeit des magnetischen Pulvers. Zusätzlich ist die Oberflächenfestigkeit der magnetischen Schicht so verbessert, dass eine Verunreinigung eines Kopfes aufgrund von wiederholten Durchgängen verhindert werden kann, ohne dass ein Abfall der Ausgangsleistung eintritt. Es wird unerwarteterweise ein Träger vom Bandtyp mit hoher Haltbarkeit und ausgezeichneter elektromagnetischer Leistung erhalten, da der Anstieg des Abfalls aufgrund eines verringerten Brechens der Bandkante verringert werden kann. Eine Verbesserung der Glätte der Überzugsschicht ergibt Verbesserungen der Haltbarkeit beim Lauf, der Dispergierbarkeit und der Orientierungsfähigkeit von magnetischen Pulvern. Obwohl die magnetische Schicht eine glatte Oberfläche hat, nimmt der Reibungskoeffizient ab, was zu ausgezeichneter elektromagnetischer Leistung, verbesserter Lagerstabilität bei hohen Temperaturen und stabiler Laufleistung führt.
  • Das Polyurethanharz, welches eine hohe Dispergierbarkeit hat und eine glatte Oberfläche sicherstellt, so dass die Wanderungsmenge an einer Grenzfläche in einer Mehrschichtenstruktur verringert werden kann, wird als das Bindemittel für die untere Schicht verwendet. Selbst wenn die obere magnetische Schicht an der unteren Schicht klebt, hat demgemäß die magnetische Schicht eine hohe Oberflächenglätte, da die Grenzfläche in der Mehrschichtenstruktur sich in gutem Zustand befindet. Zusätzlich hat die magnetische Schicht eine hohe Wärmebeständigkeit. Der magnetische Aufzeichnungsträger der Erfindung kann somit in Umgebungen von hoher Temperatur und Feuchtigkeit haltbarer sein.
  • Es wird eine ausgezeichnete elektromagnetische Leistung aufgrund der hohen Oberflächenglätte der magnetischen Schicht erreicht. Zusätzlich hat die magnetische Schicht eine hohe Wärmebeständigkeit. Der magnetische Aufzeichnungsträger der Erfindung kann somit verbessert hinsichtlich der Stand-Haltbarkeit in Umgebungen von hoher Temperatur und Feuchtigkeit sein.

Claims (14)

  1. Magnetischer Aufzeichnungsträger, umfassend einen nicht magnetischen Träger, eine auf dem nicht magnetischen Träger vorgesehene untere Schicht, in welcher unteren Schicht ein magnetisches Pulver oder ein anorganisches Pulver und ein Bindemittel zusammen dispergiert sind, und wenigstens eine auf der unteren Schicht vorgesehene magnetische Schicht, in welcher magnetischen Schicht ein ferromagnetisches Pulver und ein Bindemittel zusammen dispergiert sind, worin wenigstens ein Bindemittel in der unteren Schicht und der magnetischen Schicht als wesentliches Bindemittel ein Polyurethan umfasst, erhalten aus einem Polyesterpolyol, einem Kettenverlängerer und einem organischen Diisocyanat, und das ferromagnetische Pulver ein feines, ferromagnetisches Pulver ist, das Eisen als eine Hauptkomponente enthält und ein Verhältnis von Yttrium zu Eisen, Y/Fe, von 0,5 bis 20 at-% hat, worin das Polyurethan ein Polyurethan (PAO) ist, umfassend ein Polyesterpolyol, enthaltend eine aliphatische, dibasische Säure als dibasische Säure darin, und eine Diolkomponente, wobei wenigstens 70 mol-% davon eine alkylverzweigte Seitenkette mit wenigstens 2 Kohlenstoffatomen haben, dadurch gekennzeichnet, dass die magnetische Schicht eine organische Phosphorverbindung enthält, ausgewählt aus solchen, die durch die folgenden Formeln (1) bis (3) wiedergegeben werden:
    Figure 00670001
    worin R eine unsubstituierte oder substituierte Alkyl-, Alkenyl- oder Arylgruppe bedeutet, und n = 1 oder 2 ist.
  2. Magnetischer Aufzeichnungsträger, umfassend einen nicht magnetischen Träger, eine auf diesem nicht magnetischen Träger vorgesehene untere Schicht, in welcher unteren Schicht ein magnetisches Pulver oder ein anorganisches Pulver und ein Bindemittel zusammen dispergiert sind, und wenigstens eine auf der unteren Schicht vorgesehene magnetische Schicht, in welcher magnetischen Schicht ein ferromagnetisches Pulver und ein Bindemittel zusammen dispergiert sind, worin wenigstens ein Bindemittel in der unteren Schicht und der magnetischen Schicht als wesentliches Bindemittel ein Polyurethan umfasst, erhalten aus einem Polyesterpolyol, einem Kettenverlängerer und einem organischen Diisocyanat, und das ferromagnetische Pulver ein feines, ferromagnetisches Pulver ist, das Eisen als eine Hauptkomponente enthält und ein Verhältnis von Yttrium zu Eisen, Y/Fe, von 0,5 bis 20 at-% hat, wobei das Polyurethan ein Polyurethan (PAO) ist, umfassend ein Polyesterpolyol, enthaltend eine aliphatische, dibasische Säure als dibasische Säure darin, und eine Diolkomponente, wobei wenigstens 70 mol-% davon eine alkylverzweigte Seitenkette mit wenigstens 2 Kohlenstoffatomen haben, dadurch gekennzeichnet, dass wenigstens eine aus der unteren Schicht und der magnetischen Schicht eine organische Phosphorverbindung enthalten, ausgewählt aus solchen, die durch die folgenden Formeln (1) bis (3) wiedergegeben werden, und die magnetische Schicht eine Dicke von höchstens 1,0 μm hat:
    Figure 00680001
    worin R eine unsubstituierte oder substituierte Alkyl-, Alkenyl- oder Arylgruppe bedeutet, und n = 1 oder 2 ist.
  3. Magnetischer Aufzeichnungsträger nach Anspruch 1 oder 2, dadurch gekennzeichnet, dass das Polyurethan ein Polyurethan (PA1), in welchem ein Polyester- polyol eine aliphatische, dibasische Säure als dibasische Säure und eine Diolkomponente umfasst, wobei wenigstens 70 mol-% davon eine alkylverzweigte Seitenkette mit wenigstens 2 Kohlenstoffatomen enthalten, die frei von einer cyclischen Struktur ist, oder ein Polyurethan (PA2) ist, welches ein Polyesterpolyolnmfasst, umfassend eine aliphatische, dibasische Säure als dibasische Säure und eine Diolkomponente, wobei wenigstens 70 mol-% davon ein alkylverzweigtes, aliphatisches Diol mit insgesamt wenigstens 2 Kohlenstoffatomen in einer verzweigten Seitenkette davon pro Molekül enthalten, und einen Kettenverlängerer, umfassend ein alkylverzweigtes, aliphatisches Diol mit insgesamt wenigstens 3 Kohlenstoffatomen in einer verzweigten Seitenkette davon pro Molekül.
  4. Magnetischer Aufzeichnungsträger nach Anspruch 1 oder 2, dadurch gekennzeichnet, dass das Polyurethan ein Polyurethan ist, das wenigstens eine polare Gruppe enthält, ausgewählt aus den folgenden Gruppen: SO3M, SO4M, PO3M2, OPO3M2 und -NR2, worin M ein Wasserstoffatom, ein Alkalimetall, ein Erdalkalimetall oder Ammonium bedeutet, und R für eine Alkylgruppe mit 1 bis 12 Kohlenstoffatomen steht.
  5. Magnetischer Aufzeichnungsträger nach Anspruch 1 oder 2, dadurch gekennzeichnet, dass die magnetische Schicht eine Dicke von höchstens 0,2 μm nach dem Trocknen hat, und dass die untere Schicht eine Dicke von höchstens 1 μm nach dem Trocknen hat.
  6. Magnetischer Aufzeichnungsträger nach Anspruch 3, dadurch gekennzeichnet, dass das Polyurethan (PA1) oder (PA2) eine Urethangruppenkonzentration von 3,0 mÄquiv./g bis 4,0 mÄquiv./g hat.
  7. Magnetischer Aufzeichnungsträger nach Anspruch 1 oder 2, dadurch gekennzeichnet, dass das Bindemittel in der magnetischen Schicht ein Polyurethan enthält, erhalten durch die Umsetzung von Ausgangsmaterialien, umfassend ein Polyesterpolyol, einen Kettenverlängerer und ein organisches Diisocyanat, wobei das Polyurethan ein Polyurethan (PA3) ist, umfassend ein Polyesterpolyol, enthaltend eine aliphatische, dibasische Säure als dibasische Säure und eine aliphatische Diolkomponente, wobei wenigstens 70 mol-% davon eine alkylverzweigte Seitenkette umfassen, die frei von einer cyclischen Struktur ist, und einen Kettenverlängerer, umfassend ein aliphatisches Diol, umfassend eine alkylverzweigte Seitenkette mit insgesamt wenigstens 3 Kohlenstoffatomen in einer verzweigten Seitenkette davon, und wobei das Bindemittel in der unteren Schicht ein Polyurethan (PB1) ist, umfassend 10 bis 50 Gew.-% eines Polyols, enthaltend 1,0 bis 6,0 mmol/g einer Ethergruppe, 15 bis 50 Gew.-% eines Kettenverlängerers, umfassend ein Diol mit einer cyclischen Struktur, und ein organisches Diisocyanat.
  8. Magnetisches Aufzeichnungsmedium nach Anspruch 7, dadurch gekennzeichnet, dass das Polyurethan (PA3) eine Urethangruppenkonzentration von 2,5 bis 4,5 mmol/g hat.
  9. Magnetischer Aufzeichnungsträger nach Anspruch 7, dadurch gekennzeichnet, dass das Polyurethan (PB1) ein Polyol umfasst, enthaltend darin 1,0 bis 6,0 mmol/g einer Ethergruppe, wiedergegeben durch HO(R1)n-X-(R2)mOH worin: n = 4 bis 40, und m = 4 bis 40,
    Figure 00700001
    X wenigstens eine Gruppe ist, ausgewählt aus den folgenden Gruppen:
    Figure 00700002
  10. Magnetischer Aufzeichnungsträger nach Anspruch 7, dadurch gekennzeichnet, dass das Polyurethan (PB1) einen Diol-Kettenverlängerer mit einer cyclischen Struktur umfasst, wiedergegeben durch die folgende Formel: HO(R1)n-X-(R2)mOH worin: n = O bis 3, und m = O bis 3,
    Figure 00700003
    Figure 00710001
    X wenigstens eine Gruppe ist, ausgewählt aus den folgenden Gruppen:
    Figure 00710002
  11. Magnetischer Aufzeichnungsträger nach Anspruch 1 oder 2, dadurch gekennzeichnet, dass das Bindemittel in der magnetischen Schicht ein Polyurethan (PB1) ist, umfassend 10 bis 50 Gew.-% eines Polyols, enthaltend 1,0 bis 6,0 mmol/g einer Ethergruppe, 15 bis 50 Gew.-% eines Kettenverlängerers, umfassend ein Diol mit einer cyclischen Struktur, und ein organisches Diisocyanat, und das Bindemittel in der unteren Schicht ein Polyurethan enthält, erhalten durch die Umsetzung von Ausgangsmaterialien, umfassend ein Polyesterpolyol, einen Kettenverlängerer und ein organisches Diisocyanat, wobei das Polyurethan ein Polyurethan (PA3) ist, umfassend ein Polyesterpolyol, enthaltend eine aliphatische, dibasische Säure als dibasische Säure und eine aliphatische Diolkomponente, wobei wenigstens 70 mol-% davon eine alkylverzweigte Seitenketten umfassen, die frei von einer cyclischen Struktur ist, und einen Kettenverlängerer, umfassend ein aliphatisches Diol, umfassend eine alkylverzweigte Seitenkette mit insgesamt wenigstens 3 Kohlenstoffatomen in einer verzweigten Seitenkette davon.
  12. Magnetischer Aufzeichnungsträger nach Anspruch 11, dadurch gekennzeichnet, dass das Polyurethan (PA3) eine Urethangruppenkonzentration von 2,5 bis 4,5 mmol/g hat.
  13. Magnetischer Aufzeichnungsträger nach Anspruch 11, dadurch gekennzeichnet, dass das Polyurethan (PB1) ein Polyol umfasst, enthaltend darin 1,0 bis 6,0 mmol/g einer Ethergruppe, wiedergegeben durch HO(R1)n-X-(R2)mOH worin: n = 4 bis 40, und m = 4 bis 40,
    Figure 00720001
    X wenigstens eine Gruppe ist, ausgewählt aus den folgenden Gruppen:
    Figure 00720002
  14. Magnetischer Aufzeichnungsträger nach Anspruch 11, dadurch gekennzeichnet, dass das Polyurethan (PB1) einen Diol-Kettenverlängerer mit einer cyclischen Struktur hat, wiedergegeben durch HO(R1)n-X-(R2)mOH worin: n = O bis 3, und m = O bis 3,
    Figure 00730001
    X wenigstens eine Gruppe ist, ausgewählt aus den folgenden Gruppen
    Figure 00730002
DE1998618211 1997-12-25 1998-12-24 Magnetischer Aufzeichnungsträger Expired - Fee Related DE69818211T2 (de)

Applications Claiming Priority (8)

Application Number Priority Date Filing Date Title
JP35761897 1997-12-25
JP35761897 1997-12-25
JP35761797 1997-12-25
JP35761797A JP3922664B2 (ja) 1997-05-21 1997-12-25 磁気記録媒体
JP8593998 1998-03-31
JP8593898 1998-03-31
JP8593998A JPH11283239A (ja) 1998-03-31 1998-03-31 磁気記録媒体
JP8593898A JPH11283238A (ja) 1998-03-31 1998-03-31 磁気記録媒体

Publications (2)

Publication Number Publication Date
DE69818211D1 DE69818211D1 (de) 2003-10-23
DE69818211T2 true DE69818211T2 (de) 2004-04-08

Family

ID=27467184

Family Applications (1)

Application Number Title Priority Date Filing Date
DE1998618211 Expired - Fee Related DE69818211T2 (de) 1997-12-25 1998-12-24 Magnetischer Aufzeichnungsträger

Country Status (3)

Country Link
US (1) US6221468B1 (de)
EP (1) EP0926661B1 (de)
DE (1) DE69818211T2 (de)

Families Citing this family (6)

* Cited by examiner, † Cited by third party
Publication number Priority date Publication date Assignee Title
US6545119B2 (en) * 1999-03-08 2003-04-08 Toyo Boseki Kabushiki Kaisha Magnetic recording media and thermoplastic polyurethane resins therefor
JP2001101646A (ja) * 1999-09-30 2001-04-13 Sony Corp 磁気記録媒体及びその製造方法
JP2001126230A (ja) 1999-10-29 2001-05-11 Sony Corp 磁気記録媒体及びその製造方法
EP1207522A1 (de) * 2000-11-16 2002-05-22 Fuji Photo Film Co., Ltd. Magnetisches Aufzeichnungsmittel
JP2003030814A (ja) * 2001-07-17 2003-01-31 Fuji Photo Film Co Ltd 磁気記録媒体
WO2024112439A1 (en) * 2022-11-23 2024-05-30 Rikarbon, Inc. Composition and process of making bio-based upcycled oils in flow reactors

Family Cites Families (8)

* Cited by examiner, † Cited by third party
Publication number Priority date Publication date Assignee Title
DE2442762C2 (de) * 1974-09-06 1983-02-24 Basf Ag, 6700 Ludwigshafen Schichtmagnetogrammträger mit Polyurethanelastomer-Bindemitteln in der Magnetschicht
EP0729990B1 (de) * 1994-09-21 2003-04-02 Kyowa Hakko Kogyo Co., Ltd. Polyurethan enthaltend ein polyester polyol mit 2,4-diethyl-1,5-pentandiol einheiten
US5952437A (en) * 1994-09-21 1999-09-14 Kyowa Hakko Kogyo Co., Ltd. Polyurethane
JPH08147670A (ja) * 1994-09-22 1996-06-07 Fuji Photo Film Co Ltd 磁気記録媒体
JP2835699B2 (ja) * 1994-12-13 1998-12-14 富士写真フイルム株式会社 磁気記録媒体
JPH08293115A (ja) * 1995-02-24 1996-11-05 Fuji Photo Film Co Ltd 磁気記録媒体用結合剤および磁気記録媒体
JP3669521B2 (ja) * 1995-03-31 2005-07-06 富士写真フイルム株式会社 磁気記録媒体
JP3651861B2 (ja) * 1996-05-13 2005-05-25 富士写真フイルム株式会社 磁気記録媒体

Also Published As

Publication number Publication date
US6221468B1 (en) 2001-04-24
EP0926661B1 (de) 2003-09-17
EP0926661A2 (de) 1999-06-30
DE69818211D1 (de) 2003-10-23
EP0926661A3 (de) 1999-09-15

Similar Documents

Publication Publication Date Title
DE69432923T2 (de) Verfahren zur produktion eines magnetischen aufzeichnungsmediums
DE10146429A1 (de) Magnetisches Aufzeichnungsmedium
US6074724A (en) Magnetic recording medium
JP3922664B2 (ja) 磁気記録媒体
DE69818211T2 (de) Magnetischer Aufzeichnungsträger
DE602004008135T2 (de) Magnetisches Aufzeichnungsmittel
US6500551B1 (en) Magnetic recording medium
JPH05298662A (ja) 磁気記録媒体用結合剤および磁気記録媒体
DE69515960T2 (de) Methode zur Herstellung eines magnetischen Aufzeichnungsmediums
JP4046367B2 (ja) 磁気記録媒体
US20040191528A1 (en) Magnetic recording medium
DE602005002278T2 (de) Magnetisches Aufzeichnungsband
US6815055B2 (en) Magnetic recording medium
DE60311738T2 (de) Magnetisches Aufzeichnungsmittel
DE4041738A1 (de) Magnetaufzeichnungsmedium
DE4006142C2 (de) Magnetaufzeichnungsmedium
US7005203B2 (en) Magnetic recording medium
US6913818B2 (en) Magnetic recording medium
JP3638360B2 (ja) 磁気記録媒体
DE3934476A1 (de) Magnetaufzeichnungsmedium
JP3824282B2 (ja) 磁気記録媒体
JP4162158B2 (ja) 磁気記録媒体
JP3862386B2 (ja) 磁気記録媒体
JP3841367B2 (ja) 磁気記録媒体
JPH10198946A (ja) 磁気記録媒体用結合剤および磁気記録媒体

Legal Events

Date Code Title Description
8364 No opposition during term of opposition
8327 Change in the person/name/address of the patent owner

Owner name: FUJIFILM CORP., TOKIO/TOKYO, JP

8339 Ceased/non-payment of the annual fee