DE60133014T2 - Substituierte imidazole als duale histamin h1 und h3 agonisten oder antagonisten - Google Patents

Substituierte imidazole als duale histamin h1 und h3 agonisten oder antagonisten Download PDF

Info

Publication number
DE60133014T2
DE60133014T2 DE60133014T DE60133014T DE60133014T2 DE 60133014 T2 DE60133014 T2 DE 60133014T2 DE 60133014 T DE60133014 T DE 60133014T DE 60133014 T DE60133014 T DE 60133014T DE 60133014 T2 DE60133014 T2 DE 60133014T2
Authority
DE
Germany
Prior art keywords
compound
compound according
alkyl
mmol
allergy
Prior art date
Legal status (The legal status is an assumption and is not a legal conclusion. Google has not performed a legal analysis and makes no representation as to the accuracy of the status listed.)
Expired - Lifetime
Application number
DE60133014T
Other languages
English (en)
Other versions
DE60133014D1 (de
Inventor
Neng-Yang North Caldwell SHIH
Daniel M. Edison SOLOMON
John J. Clinton Township PIWINSKI
Andrew T. Emerson LUPO
Michael J. Half Moon Bay GREEN
Current Assignee (The listed assignees may be inaccurate. Google has not performed a legal analysis and makes no representation or warranty as to the accuracy of the list.)
Merck Sharp and Dohme LLC
Original Assignee
Schering Corp
Priority date (The priority date is an assumption and is not a legal conclusion. Google has not performed a legal analysis and makes no representation as to the accuracy of the date listed.)
Filing date
Publication date
Application filed by Schering Corp filed Critical Schering Corp
Application granted granted Critical
Publication of DE60133014D1 publication Critical patent/DE60133014D1/de
Publication of DE60133014T2 publication Critical patent/DE60133014T2/de
Anticipated expiration legal-status Critical
Expired - Lifetime legal-status Critical Current

Links

Classifications

    • CCHEMISTRY; METALLURGY
    • C07ORGANIC CHEMISTRY
    • C07DHETEROCYCLIC COMPOUNDS
    • C07D401/00Heterocyclic compounds containing two or more hetero rings, having nitrogen atoms as the only ring hetero atoms, at least one ring being a six-membered ring with only one nitrogen atom
    • C07D401/02Heterocyclic compounds containing two or more hetero rings, having nitrogen atoms as the only ring hetero atoms, at least one ring being a six-membered ring with only one nitrogen atom containing two hetero rings
    • C07D401/12Heterocyclic compounds containing two or more hetero rings, having nitrogen atoms as the only ring hetero atoms, at least one ring being a six-membered ring with only one nitrogen atom containing two hetero rings linked by a chain containing hetero atoms as chain links
    • AHUMAN NECESSITIES
    • A61MEDICAL OR VETERINARY SCIENCE; HYGIENE
    • A61PSPECIFIC THERAPEUTIC ACTIVITY OF CHEMICAL COMPOUNDS OR MEDICINAL PREPARATIONS
    • A61P1/00Drugs for disorders of the alimentary tract or the digestive system
    • A61P1/04Drugs for disorders of the alimentary tract or the digestive system for ulcers, gastritis or reflux esophagitis, e.g. antacids, inhibitors of acid secretion, mucosal protectants
    • AHUMAN NECESSITIES
    • A61MEDICAL OR VETERINARY SCIENCE; HYGIENE
    • A61PSPECIFIC THERAPEUTIC ACTIVITY OF CHEMICAL COMPOUNDS OR MEDICINAL PREPARATIONS
    • A61P11/00Drugs for disorders of the respiratory system
    • AHUMAN NECESSITIES
    • A61MEDICAL OR VETERINARY SCIENCE; HYGIENE
    • A61PSPECIFIC THERAPEUTIC ACTIVITY OF CHEMICAL COMPOUNDS OR MEDICINAL PREPARATIONS
    • A61P25/00Drugs for disorders of the nervous system
    • AHUMAN NECESSITIES
    • A61MEDICAL OR VETERINARY SCIENCE; HYGIENE
    • A61PSPECIFIC THERAPEUTIC ACTIVITY OF CHEMICAL COMPOUNDS OR MEDICINAL PREPARATIONS
    • A61P27/00Drugs for disorders of the senses
    • A61P27/16Otologicals
    • AHUMAN NECESSITIES
    • A61MEDICAL OR VETERINARY SCIENCE; HYGIENE
    • A61PSPECIFIC THERAPEUTIC ACTIVITY OF CHEMICAL COMPOUNDS OR MEDICINAL PREPARATIONS
    • A61P29/00Non-central analgesic, antipyretic or antiinflammatory agents, e.g. antirheumatic agents; Non-steroidal antiinflammatory drugs [NSAID]
    • AHUMAN NECESSITIES
    • A61MEDICAL OR VETERINARY SCIENCE; HYGIENE
    • A61PSPECIFIC THERAPEUTIC ACTIVITY OF CHEMICAL COMPOUNDS OR MEDICINAL PREPARATIONS
    • A61P3/00Drugs for disorders of the metabolism
    • A61P3/04Anorexiants; Antiobesity agents
    • AHUMAN NECESSITIES
    • A61MEDICAL OR VETERINARY SCIENCE; HYGIENE
    • A61PSPECIFIC THERAPEUTIC ACTIVITY OF CHEMICAL COMPOUNDS OR MEDICINAL PREPARATIONS
    • A61P37/00Drugs for immunological or allergic disorders
    • A61P37/08Antiallergic agents
    • AHUMAN NECESSITIES
    • A61MEDICAL OR VETERINARY SCIENCE; HYGIENE
    • A61PSPECIFIC THERAPEUTIC ACTIVITY OF CHEMICAL COMPOUNDS OR MEDICINAL PREPARATIONS
    • A61P43/00Drugs for specific purposes, not provided for in groups A61P1/00-A61P41/00
    • AHUMAN NECESSITIES
    • A61MEDICAL OR VETERINARY SCIENCE; HYGIENE
    • A61PSPECIFIC THERAPEUTIC ACTIVITY OF CHEMICAL COMPOUNDS OR MEDICINAL PREPARATIONS
    • A61P9/00Drugs for disorders of the cardiovascular system
    • A61P9/10Drugs for disorders of the cardiovascular system for treating ischaemic or atherosclerotic diseases, e.g. antianginal drugs, coronary vasodilators, drugs for myocardial infarction, retinopathy, cerebrovascula insufficiency, renal arteriosclerosis
    • CCHEMISTRY; METALLURGY
    • C07ORGANIC CHEMISTRY
    • C07DHETEROCYCLIC COMPOUNDS
    • C07D401/00Heterocyclic compounds containing two or more hetero rings, having nitrogen atoms as the only ring hetero atoms, at least one ring being a six-membered ring with only one nitrogen atom
    • C07D401/14Heterocyclic compounds containing two or more hetero rings, having nitrogen atoms as the only ring hetero atoms, at least one ring being a six-membered ring with only one nitrogen atom containing three or more hetero rings

Landscapes

  • Health & Medical Sciences (AREA)
  • Chemical & Material Sciences (AREA)
  • Organic Chemistry (AREA)
  • Chemical Kinetics & Catalysis (AREA)
  • Engineering & Computer Science (AREA)
  • General Chemical & Material Sciences (AREA)
  • Medicinal Chemistry (AREA)
  • Nuclear Medicine, Radiotherapy & Molecular Imaging (AREA)
  • Bioinformatics & Cheminformatics (AREA)
  • Pharmacology & Pharmacy (AREA)
  • Life Sciences & Earth Sciences (AREA)
  • Animal Behavior & Ethology (AREA)
  • General Health & Medical Sciences (AREA)
  • Public Health (AREA)
  • Veterinary Medicine (AREA)
  • Pulmonology (AREA)
  • Vascular Medicine (AREA)
  • Diabetes (AREA)
  • Heart & Thoracic Surgery (AREA)
  • Urology & Nephrology (AREA)
  • Immunology (AREA)
  • Biomedical Technology (AREA)
  • Neurology (AREA)
  • Neurosurgery (AREA)
  • Child & Adolescent Psychology (AREA)
  • Cardiology (AREA)
  • Hematology (AREA)
  • Obesity (AREA)
  • Pain & Pain Management (AREA)
  • Rheumatology (AREA)
  • Pharmaceuticals Containing Other Organic And Inorganic Compounds (AREA)
  • Medicines That Contain Protein Lipid Enzymes And Other Medicines (AREA)
  • Plural Heterocyclic Compounds (AREA)

Description

  • GEBIET DER ERFINDUNG
  • Die vorliegende Erfindung betrifft neue substituierte Imidazolverbindungen mit wertvollen pharmakologischen Eigenschaften, insbesondere gegen entzündliche Erkrankungen und allergische Zustände. Erfindungsgemäße Verbindungen sind Antagonisten der Histaminrezeptoren. Einige sind Antagonisten der Histamin-H1-Rezeptoren. Einige sind Antagonisten der Histamin-H3-Rezeptoren. Einige sind Antagonisten von sowohl den H1- als auch den H3-Rezeptoren, in anderen Worten duale H1- und H3-Rezeptorantagonisten. Die in dieser Anmeldung offenbarte Erfindung beansprucht die Priorität der vorläufigen Anmeldung mit dem Aktenzeichen 60/230,053, eingereicht am 20. September 2000, und ist verwandt mit derjenigen in den anhängigen vorläufigen Anmeldungen mit den Aktenzeichen Nr. 60/234,039, 60/234 040 und Nr. 60/234 038, alle eingereicht am 20. September 2000.
  • HINTERGRUND DER ERFINDUNG
  • Die Histaminrezeptoren H1, H2 und H3 sind gut identifizierte Formen. Die H1-Rezeptoren sind jene, die die Reaktion vermitteln, die durch konventionelle Antihistamine antagonisiert wird. H1-Rezeptoren sind beispielsweise im Ileum, der Haut und der glatten Bronchialmuskeln von Menschen und anderen Säugern vorhanden. Ein wohl bekannter Antagonist von H1-Rezeptoren ist Loratadin, im Handel erhältlich unter der Handelsbezeichnung CLARITIN® von Schering-Plough Corporation, Madison, New Jersey, USA. Durch H2-Rezeptor-vermittelte Reaktionen stimuliert Histamin die Magensäuresekretion bei Säugern und den chronotropen Effekt im isoliertem Herzvorhof von Säugern.
  • H3-Rezeptorstellen finden sich an sympathischen Nerven, wo sie sympathische Neurotransmission modulieren und eine Vielfalt von Endorganreaktionen unter Kontrolle des sympathischen Nervensystems abschwächen. H3-Rezeptoraktivierung durch Histamin schwächt spezifisch die Norepinephrinausschüttung an Widerstands- und Kapazitätsgefäße ab, was Vasodilatation (Gefäßerweiterung) herbeiführt.
  • US 4,767,778 (Arrang et al.) offenbart bestimmte Imidazole, die sich wie Agonisten des H3-Rezeptors im Rattenhirn verhalten. EP-A2-0 420 396 (Smith Kline & French Laboratories Limited) und Howson et al. offenbaren Imidazolderivate mit einer Amidingruppe als H3-Agonisten. Van der Groot et al. (Eur. J. Med. Chem. (1992) Band 27, Seiten 511–517) beschreibt Isothioharnstoffanaloga von Histamin als potente Agonisten oder Antagonisten des Histamin-H3-Rezeptors, und diese Isothioharnstoffanaloga von Histamin überschneiden sich teilweise mit jenen der beiden bereits zitierten Druckschriften. Clapham et al. ["Ability of Histamine-H3 Receptor Antagonists to Improve Cognition and to Increase Acetylcholine Release in vivo in the Rat", British Assn. for Psychopharmacology, 25–28 Juli (1993), berichtet in J. Psychopharmacol. (Abstr. Book), A17], beschreiben die Fähigkeit von Histamin-H3-Rezeptoren, die Wahrnehmung zu verbessern und die Freisetzung von Acetylcholin in vivo bei der Ratte zu erhöhen. Clapham et al. ["Ability of the selective Histamine-H3 Receptor Antagonist Thioperamide to improve Short-term Memory and Reversal Learning in the Rat", Brit. J. Pharm. Suppl., 1993, Abstract 652] stellt Ergebnisse vor, die zeigen, dass Thioperamid das Kurzzeitgedächtnis und Umkehrlernen bei der Ratte verbessern kann und bringen dies in Zusammenhang mit der Beteiligung von H3-Rezeptoren bei der Mo dulation der kognitiven Funktion. Yokoyama et al. ["Effect of Thioperamide, a Histamine-H3 Receptor Antagonist, an Electrically Induced Convulsions in Mice", Eur. J. Pharmacol. (1993), Band 234, Seiten 129–133] berichtet, wie Thioperamid die Dauer jeder Krampfphase vermindert und die Elektrokrampfschwelle erhöht, und schlagen weiter vor, dass diese und andere Befunde die Hypothese stützen, dass das zentrale histaminerge System an der Inhibierung von Anfällen beteiligt ist. Die internationale Patentveröffentlichung Nr. WO 9301812-A1 (SmithKline Beecham PLC) beschreibt die Verwendung von S-[3-(4(5)-Imidazolyl)propyl]isothioharnstoff als Histamin-H3-Antagonist, insbesondere zur Behandlung kognitiver Störungen, z. B. Morbus Alzheimer und altersbedingter nachlassender Gedächtnisleistung. Schlicker et al. ["Novel Histamine-H3 Receptor Antagonists: Affinities in an H3 Receptor Einding Assay and Potencies in Two Functional H3 Receptor Models", British J. Pharmacol., (1994), Band 112, 1043–1048 beschreiben eine Reihe von Imidazolylalkylverbindungen, bei denen die Imidazolylalkylgruppe an eine Guanidingruppe, eine Estergruppe, eine Amidgruppe, eine Thioamidgruppe und eine Harnstoffgruppe gebunden ist, und verglichen diese mit Thioperamid. Leurs et al. ["The Histamine-H3-receptor: A Target for Developing New Drugs", Progr. Drug Res. (1992), Band 39, Seiten 127–165] und Lipp et al. ["Pharmacochemistry of H3-receptors" in The Histamine Receptor, Herausgeber: Schwartz und Haas, Wiley-Liss, New York (1992), Seiten 57–72] besprechen eine Vielfalt synthetischer H3-Rezeptorantagonisten, und Lipp et al. (ibid.) haben die notwendigen strukturellen Anforderungen an einen H3-Rezeptorantagonisten vorgeschlagen.
  • WO 95/14007 beansprucht H3-Rezeptorantagonisten mit der Formel
    Figure 00040001
    wobei A, m, n, R1 und R2 darin definiert sind. Von diesen Verbindungen wird offenbart, dass sie brauchbar zur Behandlung verschiedener Störungen sind, insbesondere solcher, die durch allergieinduzierte Reaktionen hervorgerufen werden.
  • WO 93/12093 offenbart Imidazolylmethylpiperazine und Diazepine als H3-Antagonisten. Die US-Patentanmeldung mit dem Aktenzeichen Nr. 08/965 754, eingereicht am 7. November 1997, offenbart imidazolylalkylsubstituierte heterocyclische Ringverbindungen als H3-Rezeptorantagonisten. Die US-Patentanmeldung mit dem Aktenzeichen Nr. 08/966 344, eingereicht am 7. November 1997, offenbart Phenylalkylimidazole als H3-Rezeptorantagonisten.
  • WO 96/29315 ( PCT/FR96/00432 ) offenbart bestimmte N-Imidazolylalkylverbindungen, die gebundene Phenyleinheiten enthalten.
  • H3-Rezeptorantagonisten werden ebenfalls offenbart in: H. Stark et al., Eur. J. of Pharmaceutical Sciences (1995) 3, 95–104; H. Stark et al., J. Med. Chem., (1996) 39, 1157–1163; H. Stark et al., Arch. Pharm. Pharm. Med. Chem., (1998) 331, 211–218; und A. Sasse et al., Bioorganic & Medicinal Chem., (2000) 8, 1139, 1139–1149.
  • Es wird auch auf J. R. Bagley et al., Journal of Medicinal Chemistry, (1991), Band 34, 827–841, verwiesen, worin unter anderem N-(imidazolylalkyl)substituierte cyclische Aminverbindungen offenbart sind, die als Analgetika brauchbar sind, wie die Aminverbindung mit der Formel:
    Figure 00050001
  • Die anhängige US-Patentanmeldung mit dem Aktenzeichen Nr. 09/173,642, eingereicht 16. Oktober 1998 (R. Wolin et al.), offenbart N-(imidazolylalkyl)substituierte cyclische Aminverbindungen mit H3-Antagonistaktivität.
  • A. Huls et al., Bioorg. & Med. Chem. Letters, 6 (1996), 2013–2018 offenbaren Imidazolverbindungen, die Diphenylethereinheiten enthalten, als H3-Rezeptorantagonisten. Es wird zudem offenbart, dass die Verbindungen H1-Rezeptorantagonistaktivität haben. Eine beispielhafte Verbindung aus jener Veröffentlichung ist:
    Figure 00050002
    wobei R1 und R2 wie dort definiert sind.
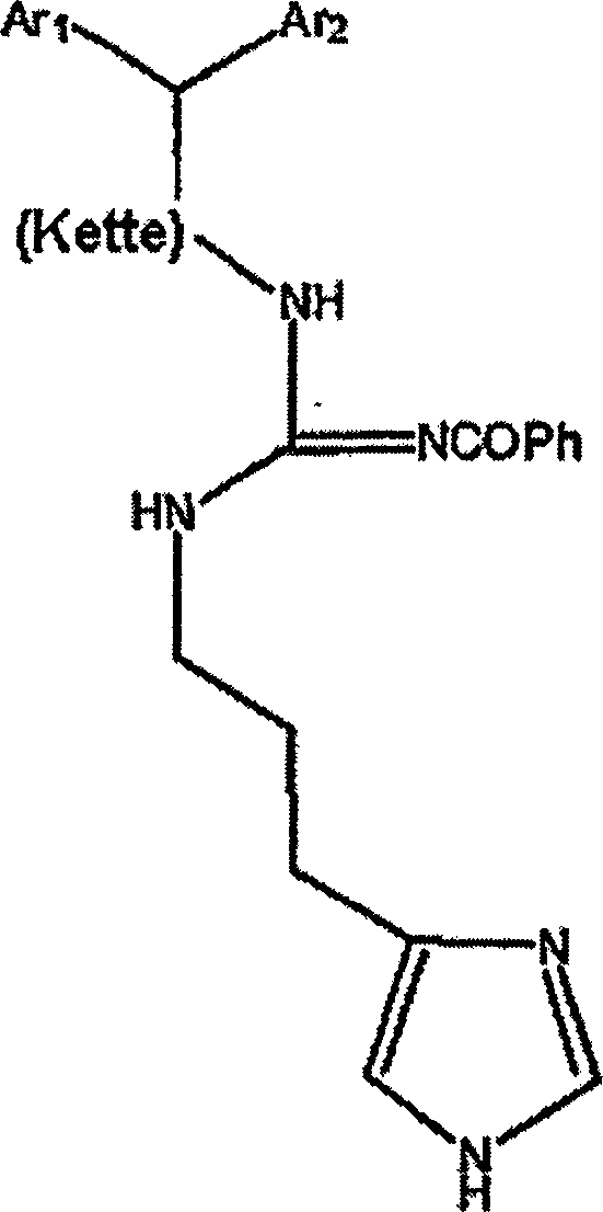
  • A. Buschauer, J. Med. Chem., 32 (1989), 1963–1970 offenbart unter anderem H2-Rezeptorantagonisten des Typs:
    Figure 00060001
    wobei Ar1 und Ar2 Phenyl und/oder Pyridyl sein können. EP-A1-448 765 (veröffentlicht am 30. März 1990) offenbart Neuropeptid-Y-Antagonist-Imidazole des Typs:
    Figure 00060002
    wobei Ar1 und Ar2 Phenyl und/oder Pyridyl sein können.
  • WO 98-58646 (übertragen auf Novo Nordisk A/S) offenbart Somatostatin-SSTR4-Rezeptorantagonistverbindungen des Typs:
    Figure 00070001
    worin m 2-6 ist; n 1-3 ist; p 1-6 ist; R1 und R2 unabhängig H oder C1-C6-Alkyl sind, das gegebenenfalls mit Halogen, Amino, Hydroxy, Alkoxy oder Aryl substituiert ist; X S, O, NH, NCOPh oder N(CN) ist; A Aryl ist, das gegebenenfalls mit Halogen, Amino, Hydroxy, Nitro, C1-6-Alkyl, C1-6-Alkoxy oder Arylsubstituiert ist; und B und D unabhängig Aryl sind, das gegebenenfalls mit Halogen, Amino, Hydroxy, C1-6-Alkyl, C1-6-Alkoxy oder Aryl substituiert ist.
  • Es ist in der Literatur über Verbindungen berichtet worden, die Aktivität gegen sowohl H1- als auch H2-Rezeptoren zeigen, d. h. duale Antagonisten gegen H1- und H2-Rezeptoren. So berichten beispielsweise F. Schulze et al., European J. of Pharmaceutical Sciences, 6 (1998), 177–186, über kombinierte H1/H2-Rezeptorantagonisten. Zu anderen Druckschriften in dieser Kategorie gehören F. Schulze et al., Arch. Pharm. (Weinheim), 327 (1994), 455–462; C. Wolf et al., Arch. Pharm. Pharm. Med. Chem., 329 (1996), 87–94; und C. Wolf et al., European J. of Pharmaceutical Sciences, 6 (1998), 177–186. Über Nicht-Imidazolhistamin-H3-Liganden, insbesondere substituierte Benzothiazolderivate als H3-Antagonisten und H1-Blockierungsaktivitäten sind von K. Walczynski et al, Il Farmaco, 54 (1999), 684–694 berichtet worden.
  • Es wäre nützlich, über Verbindungen zu verfügen, die als Antagonisten von sowohl den H1- als auch den H3-Histaminrezeptoren therapeutisch wirksam sind. Die einzige derartige berichtete Aktivität war mittels einer Kombination zweier verschiedener chemischer Strukturen, wobei eine Aktivität gegen H1-Rezeptoren und die andere Aktivität gegen H3-Rezeptoren zeigte. So offenbart beispielsweise US 5,869,479 (ausgegeben am 9. Februar 1999, Schering Corporation) die Kombination eines Histamin-H1-Rezeptorantagonisten und eines Histamin-H3-Rezeptorantagonisten zur Behandlung allergieinduzierter Reaktionen der Luftwege.
  • Die anhängige vorläufige Patentanmeldung mit dem Aktenzeichen Nr. 60/234.039, eingereicht am 20. September 2000, offenbart neue Imidazolverbindungen mit H3- sowie duale H1- und H3-Antagonistaktivität. Die dort offenbarten Verbindungen haben allgemeine Formeln, in denen ein Imidazol mittels einer oder mehreren Intermediäreinheiten an eine tricyclische Einheit gebunden ist, wobei mindestens eine Intermediäreinheit oder -einheiten eine cyclische Einheit ist.
  • Die anhängige vorläufige Patentanmeldung mit dem Aktenzeichen Nr. 60/234.038, eingereicht am 20. September 2000, offenbart neue Imidazolverbindungen mit H3- sowie dualer H1- und H3-Antagonistaktivität. Die dort offenbarten Verbindungen haben allgemeine Formeln, in denen ein Imidazol mittels einer oder mehreren Intermediäreinheiten an eine tricyclische Einheit gebunden ist, wobei die Intermediäreinheit oder -einheiten alle acyclische Einheiten sind.
  • Die anhängige vorläufige Patentanmeldung mit dem Aktenzeichen Nr. 60/234.040, eingereicht am 20. September 2000, offenbart neue Imidazolverbindungen mit H3- sowie dualer H1- und H3-Antagonistaktivität. Die dort offenbarten Verbindungen haben allgemeine Formeln, in denen ein Imidazol mittels einer oder mehreren Intermediäreinheiten an zwei cyclische Einheiten gebunden ist, wobei die Intermediäreinheit oder -einheiten acyclisch ist bzw. sind.
  • Es wäre ein willkommener Beitrag zu der Technik, über neue substituierte Imidazolverbindungen zu verfügen.
  • Es wäre brauchbar, wenn dieselbe chemische Struktur duale Aktivität gegen sowohl H1- als auch H3-Rezeptoren zeigen würde.
  • Es wäre brauchbar, über neue substituierte Imidazole zu verfügen, die Aktivität gegen sowohl H1- als auch H3-Rezeptoren zeigen.
  • US 5,801,175 (ausgegeben am 1. September 1998, Rechtsnachfolger: Schering Corporation) offenbart Verbindungen mit der folgenden allgemeinen Strukturformel als Inhibitoren der G-Proteinfunktion und zur Behandlung proliferierender Erkrankungen:
    Figure 00100001
    worin A, B, W, X, Z, R1 und R2 dort definiert sind. Dort sind Imidazole sowie andere Typen von Verbindungen offenbart.
  • US 5,719,148 (ausgegeben am 17. Februar 1998, Rechtsnachfolger: Schering Corporation), US 4,826,853 (ausgegeben am 2. Mai 1989, Rechtsnachfolger: Schering Corporation) und WO 96/30363 (veröffentlicht am 3. Oktober 1996, Rechtsnachfolger: Schering Corporation) offenbaren Verbindungen mit der folgenden allgemeinen Strukturformel als Inhibitoren der G-Proteinfunktion und zur Behandlung proliferierender Erkrankungen:
    Figure 00100002
    wobei die verschiedenen Elemente dort definiert sind. Dort sind Imidazole sowie andere Typen von Verbindungen offenbart. Auf die bereits genannten US 5,801,175 und US 4,826,853 und WO 96/30363 wird Bezug genommen.
  • Es ist nun gefunden worden, dass bestimmte Imidazolverbindungen, die in den oben genannten US 5,801,175 und US 4,826,853 und WO 96/30363 offenbart sind oder worauf dort Bezug genommen wurde, überraschenderweise H3- sowie duale H1- und H3-Antagonistaktivität zeigen. Die vorliegende Anmeldung offenbart überraschende Potenz und Verwendung dieser Imidazole, die die allgemeine Formel haben, in der ein Imidazol über eine oder mehrere Intermediäreinheit(en) an eine tricyclische Einheit gebunden ist, wobei mindestens eine der Intermediäreinheit(en) eine cyclische Einheit ist. Die H3-Aktivität sowie duale H1/H3-Aktivität dieser Verbindungen ist bislang noch nicht offenbart worden.
  • ZUSAMMENFASSUNG DER ERFINDUNG
  • Diese Erfindung liefert in einer Ausführungsform substituierte Imidazolverbindungen mit H3-Antagonistaktivität sowie dualer H1- und H3-Antagonistaktivität. Die erfindungsgemäßen Verbindungen sind substituierte Imidazole, in denen ein Imidazol mittels einer oder mehreren Intermediäreinheiten an eine tricyclische Einheit gebunden ist, wobei mindestens eine Intermediäreinheit oder -einheiten eine cyclische Einheit ist. Die Verbindungen haben die in Formel I gezeigte allgemeine Struktur:
    Figure 00120001
    in der f = 0, 1 oder 2 ist;
    X und Y unabhängig ausgewählt sind aus der Gruppe bestehend aus N, CH oder N-Oxid;
    G eine Einheit ausgewählt aus der Gruppe bestehend aus den Einheiten II, III und IV ist, wobei das obere Ende von II, III und IV mit der tricyclischen Einheit verbunden ist und das untere Ende von II, III und IV an M gebunden ist:
    Figure 00120002
    wobei s = t = 1 oder 2; und p = q = 0, 1 oder 2;
    M eine Einheit ausgewählt aus der Gruppe bestehend aus C1-C8-Alkyl; -C(O)-(CH2)y; -(CH2)x-A-(CH2)y-; -C(O)-O-(CH2)d- und -C(O)-NR3(CH2)d- ist; wobei A = O, S(O)r- und -NR4-;
    n = 0, 1, 2 oder 3 ist;
    x eine ganze Zahl im Bereich von 2 bis 5 ist;
    y eine ganze Zahl im Bereich von 0 bis 5 ist;
    d eine Zahl im Bereich von 0 bis 5 ist; r = 0, 1 oder 2 ist;
    R1 und R2 in irgendeiner Zahl von 1–3 vorhanden sind und unabhängig ausgewählt sind aus der Gruppe bestehend aus Wasserstoff, niederem Alkyl, niederem Alkoxy, Halogen, OCF3, OCHF2, -OH und -N(R4)2;
    R3 ausgewählt ist aus der Gruppe bestehend aus Wasserstoff, niederem Alkyl und Poly(halogen)niederem Alkyl;
    R4 ausgewählt ist aus Wasserstoff, niederem Alkyl, Poly(halogen)-niederem Alkyl, und
    R5 H, (C1-C6)-Alkyl oder OH ist.
  • Die folgenden Begriffe haben hier die angegebenen Bedeutungen:
    niederes Alkyl (einschließlich der Alkylanteile von niederem Alkoxy) – stehen für eine geradkettige oder verzweigte gesättigte Kohlenwasserstoffkette mit 1 bis 6, vorzugsweise 1 bis 4 Kohlenstoffatomen;
    Halogen – steht für Fluor, Chlor, Brom und Iod;
    Der Begriff "substituiert" bezieht sich, wenn nicht anders definiert, auf chemisch geeignete Substitution mit Einheiten wie beispielsweise Alkyl, Alkoxy, -CF3, Halogen oder Aryl. Es sei darauf hingewiesen, dass der Begriff "Alkyl", wenn dies geeignet erscheint, Alkylen einschließt, wobei "Alkylen" als eine Alkylgruppe definiert ist, bei der eines der Wasserstoffatome durch eine Bindung ersetzt wurde.
  • Zu dieser Erfindung gehören auch Tautomere, Enantiomere und andere optische Isomere der Verbindungen der Formel I sowie pharmazeutisch annehmbare Salze und Solvate davon.
  • Ein weiteres Merkmal der Erfindung sind pharmazeutische Zusammensetzungen, die als aktiven Bestandteil eine Verbindung der Formel I (oder deren Salz, Solvat oder Isomere) zusammen mit einem pharmazeutisch annehmbaren Träger oder Hilfsstoff enthalten.
  • Die Erfindung liefert auch Verfahren zur Herstellung von Verbindungen der Formel I sowie Verfahren zur Behandlung von Erkrankungen, wie beispielsweise Entzündung, Allergie, Erkrankungen des Gastrointestinaltrakts, Herz-Kreislauf-Erkrankungen oder Störungen des zentralen Nervensystems sowie allergieinduzierten Reaktionen der Luftwege (z. B. der oberen Luftwege), Schwellung der Nase sowie Fettleibigkeit. Die Behandlungsverfahren beinhalten das Verabreichen einer therapeutisch wirksamen Menge einer Verbindung der Formel I oder pharmazeutischen Zusammensetzungen, die eine Verbindung der Formel I enthalten, an einen Säugerpatienten (einschließlich Mensch und Tieren), der an der Erkrankung oder den Erkrankungen leidet.
  • DETAILLIERTE BESCHREIBUNG DER ERFINDUNG
  • Die vorliegende Erfindung liefert in einer Ausführungsform neue Imidazolverbindungen der Formel I als Verbindungen, die H1-Antagonistaktivität oder H3-Antagonistaktivität oder duale H1- und H3-Antagonistaktivität zeigen.
    Figure 00150001
    wobei die verschiedenen Symbole wie oben definiert sind. Nachfolgend werden repräsentative Verbindungen der Erfindung gezeigt, die H3-Antagonistaktivität zeigen:
    Figure 00150002
    Figure 00160001
    Figure 00170001
    Figure 00180001
    Figure 00190001
  • Zu einigen Beispielen für Verbindungen, die sowohl H1- als auch H3-Aktivität zeigen, gehören:
    Figure 00190002
    Figure 00200001
    Figure 00210001
    Figure 00220001
  • Zu repräsentativen Verbindungen, die H1-Aktivität zeigen, gehören:
    Figure 00230001
  • Die erfindungsgemäßen Verbindungen sind basisch und bilden pharmazeutisch annehmbare Salze mit organischen und anorganischen Säuren. Beispiele für geeignete Säuren für die Salzbil dung sind Salz-, Schwefel-, Phosphor-, Essig-, Citronen-, Oxal-, Malon-, Salicyl-, Äpfel-, Fumar-, Bernstein-, Ascorbin-, Malein-, Methansulfonsäure und andere Mineral- und Carbonsäuren, die Fachleuten wohl bekannt sind. Die Salze werden hergestellt, indem die freie Basenform mit einer ausreichenden Menge der gewünschten Säure kontaktiert wird, um in konventioneller Weise ein Salz zu produzieren. Die freien Basenformen können durch Behandlung des Salzes mit einer geeigneten verdünnten wässrigen Basenlösung regeneriert werden, wie mit verdünntem wässrigem Natriumhydroxid, Kaliumcarbonat, Ammoniak oder Natriumbicarbonat. Die freien Basenformen unterscheiden sich in bestimmten physikalischen Eigenschaften etwas von ihren jeweiligen Salzformen, wie Löslichkeit in polaren Lösungsmitteln, die Salze sind ansonsten für erfindungsgemäße Zwecke jedoch zu ihren jeweiligen freien Basenformen äquivalent.
  • In Abhängigkeit von den Substituenten der erfindungsgemäßen Verbindungen ist es vielleicht möglich, auch Salze mit Basen zu bilden. Wenn es beispielsweise Carbonsäuresubstituenten in dem Molekül gibt, können Salze mit anorganischen sowie mit organischen Basen gebildet werden, wie beispielsweise NaOH, KOH, NH4OH, Tetraalkylammoniumhydroxid und dergleichen.
  • Wie bereits gesagt schließt die Erfindung auch Tautomere, Enantiomere und andere Stereoisomere der Verbindungen ein. Wie der Fachmann weiß, können bestimmte Imidazolverbindungen in tautomeren Formen vorliegen. Solche Variationen werden als innerhalb des Umfangs der Erfindung liegend angesehen.
  • Eine weitere Ausführungsform der Erfindung offenbart ein Verfahren zur Herstellung der oben offenbarten substituierten Imidazole. Die Verbindungen können nach mehreren Verfahren hergestellt werden, die in der Technik wohl bekannt sind. Bei einem Verfahren können der Imidazolanteil (hier der Einfachheit halber als "die linke Komponente" bezeichnet) und der Di arylanteil (hier der Einfachheit halber als "die rechte Komponente" bezeichnet) getrennt hergestellt werden. Die linke Komponente und die rechte Komponente können an sie gebundene reaktive Einheiten enthalten, wobei die Einheiten unter geeigneten Reaktionsbedingungen miteinander umgesetzt werden können. Die linke Komponente kann somit beispielsweise ein Carbethoxyende enthalten, und die rechte Komponente kann ein Aminende aufweisen. Unter geeigneten Reaktionsbedingungen können die beiden Komponenten miteinander umgesetzt werden, wodurch ein Imidazol erhalten wird, das eine Diarylalkyleinheit enthält, die über eine verlängerte Amidkette gebunden ist. Andere substituierte Imidazole können in ähnlicher Weise hergestellt werden.
  • Die Isolierung der Verbindung in verschiedenen Stufen der Reaktion kann durch Standardtechniken erreicht werden, wie beispielsweise Filtration, Verdampfen von Lösungsmittel und dergleichen. Die Reinigung des Produkts, Intermediats und dergleichen kann auch nach Standardtechniken erfolgen, wie Umkristallisation, Destillation, Sublimation, Chromatographie, Überführung in ein geeignetes Derivat, das umkristallisiert und in die Ausgangsverbindung rückverwandelt werden kann, und dergleichen. Solche Techniken sind Fachleuten wohl bekannt.
  • Die so hergestellten Verbindungen können auf ihre Zusammensetzung und Reinheit analysiert werden sowie durch Standardanalysetechniken charakterisiert werden, wie beispielsweise Elementaranalyse, NMR, Massenspektroskopie und IR-Spektrum.
  • Die erfindungsgemäßen Verbindungen können nach bekannten Verfahren, wie beispielsweise E. A. Brown et al., British J. Pharm., (1986) Band 80, 569, leicht zur Bestimmung der Aktivität an sowohl H1- als auch H3-Rezeptoren bewertet werden. Die H3-Aktivität kann beispielsweise durch den Meerschweinchenhirn-Membranassay und den neuronalen Ileumkontraktionsassay am Meerschweinchen bestimmt werden, die beide in US 5,352,707 beschrieben sind. Ein weiterer brauchbarer Assay auf H3-Aktivität verwendet Rattenhirnmembranen und ist von West et al. ("Identification of Two H3-Histamine Receptor Subtypes", Molecular Pharmacology, (1990), Vol. 33, 610–613, beschrieben. Es wurde gefunden, dass mehrere der vorliegenden Verbindungen hohe H1- und H3-Antagonistaktivität hatten, was in dem folgenden Abschnitt BEISPIELE ausführlicher erörtert wird.
  • In einer anderen Ausführungsform liefert diese Erfindung pharmazeutische Zusammensetzungen, die die oben beschriebenen erfindungsgemäßen Imidazole als Wirkbestandteil enthalten. Die pharmazeutischen Zusammensetzungen enthalten im Allgemeinen außerdem pharmazeutisch annehmbares Trägerverdünnungsmittel, Hilfsmittel oder pharmazeutisch annehmbaren Träger (hier kollektiv als Trägermaterialien bezeichnet). Solche pharmazeutischen Zusammensetzungen besitzen wegen ihrer H1- und H3-Antagonistaktivität Nutzen zur Behandlung von Allergie, Entzündung, Nasenschleimhautschwellung, Bluthochdruck, Glaukom, Schlafstörungen, Zuständen der Hyper- und Hypomotilität des Gastrointestinaltrakts, Hypo- und Hyperaktivität des zentralen Nervensystems, Morbus Alzheimer, Schizophrenie, Migräne, Fettleibigkeit und ähnlichen Erkrankungen.
  • Die vorliegende Erfindung offenbart in einer weiteren Ausführungsform Verfahren zur Herstellung von pharmazeutischen Zusammensetzungen, die die erfindungsgemäßen Imidazolverbindungen als aktiven Bestandteil enthalten. In den erfindungsgemäßen pharmazeutischen Zusammensetzungen und Verwendungen werden die Wirkbestandteile in der Regel mit geeigneten Trägermaterialien gemischt verabreicht, die in Bezug auf die vorgesehene Form der Verabreichung in geeigneter Weise gewählt sind, d. h. orale Tabletten, Kapseln (entweder fest-gefüllt, halbfest-gefüllt oder flüssig-gefüllt), Pulver zur Auflösung, ora le Gele, Elixiere, dispergierbare Körnchen, Sirupe, Suspensionen und dergleichen und gemäß konventioneller pharmazeutischer Praxis sind. Zur oralen Verabreichung in Form von Tabletten oder Kapseln kann die aktive Arzneimittelkomponente beispielsweise mit beliebigem oralen, nicht-toxischen, pharmazeutisch annehmbaren, inerten Träger kombiniert werden, wie Lactose, Stärke, Sucrose, Cellulose, Magnesiumstearat, Dicalciumphosphat, Calciumsulfat, Talkum, Mannit, Ethylalkohol (flüssige Formen) und dergleichen. Der Mischung können zudem, falls gewünscht oder erforderlich, auch geeignete Schmiermittel, Sprengmittel und Färbungsmittel zugegeben werden. Pulver und Tabletten können aus etwa 5 bis etwa 95 erfindungsgemäßer Zusammensetzung zusammengesetzt sein.
  • Zu geeigneten Bindemittel gehören Stärke, Gelatine, natürliche Zucker, Maissüßungsmittel, natürliche und synthetische Gummis, wie Akaziengummi, Natriumalginat, Carboxymethylcellulose, Polyethylenglykol und Wachse. Unter den Schmiermitteln können zur Verwendung in diesen Dosierformen Borsäure, Natriumbenzoat, Natriumacetat, Natriumchlorid und dergleichen erwähnt werden. Sprengmittel schließen Stärke, Methylcellulose, Guar Gummi und dergleichen ein. Süßungs- und Aromatisierungsmittel und Konservierungsmittel können auch eingeschlossen werden, wo dies angebracht ist. Einige der oben aufgeführten Begriffe, nämlich Sprengmittel, Verdünnungsmittel, Schmiermittel, Bindemittel und dergleichen, werden nachfolgend detaillierter erörtert.
  • Die erfindungsgemäßen Zusammensetzungen können zudem zu Formen mit verzögerter Freisetzung formuliert werden, um für die kontrollierte Freisetzung von einer oder mehreren beliebigen der Verbindungen oder Wirkbestandteilen zu sorgen, um die therapeutischen Effekte zu optimieren, d. h. Antihistaminaktivität und dergleichen. Geeignete Dosierformen zur verzögerten Freisetzung schließen Schichtentabletten, die Schichten mit unterschiedlichen Zerfallgeschwindigkeiten enthalten, oder Polymermatrizes mit verzögerter Freisetzung, die mit den Wirkkomponenten imprägniert und zu Tablettenform geformt sind, oder Kapseln ein, die solche imprägnierten oder verkapselten porösen polymeren Matrizes enthalten.
  • Zubereitungen in flüssiger Form schließen Lösungen, Suspensionen und Emulsionen ein. Als Beispiel können Wasser oder Wasser-Propylenglykol-Lösungen für die parenterale Injektion oder Zugabe von Süßungsmitteln und Opazifizierungsmitteln für orale Lösungen, Suspensionen und Emulsionen genannt werden. Zubereitungen in flüssiger Form können auch Lösungen für intranasale Verabreichung einschließen.
  • Aerosolzubereitungen, die zur Inhalation geeignet sind, können Lösungen und Feststoffe in Pulverform einschließen, die in Kombination mit einem pharmazeutisch annehmbaren Träger wie inertem komprimiertem Gas, z. B. Stickstoff, vorliegen können.
  • Zur Herstellung von Zäpfchen wird ein niedrig schmelzendes Wachs, wie eine Mischung aus Fettsäureglyceriden, wie Kakaobutter, zuerst geschmolzen und der aktive Bestandteil darin homogen dispergiert, wie durch Rühren oder ähnliches Mischen. Die geschmolzene homogene Mischung wird dann in zweckmäßig bemessene Formen gegossen, abkühlen gelassen und dadurch verfestigt.
  • Ebenfalls eingeschlossen sind Zubereitungen in fester Form, die kurz vor Gebrauch in Zubereitungen in flüssiger Form für orale oder parenterale Verabreichung überführt werden sollen. Solche flüssigen Formen schließen Lösungen, Suspensionen und Emulsionen ein.
  • Die erfindungsgemäßen Verbindungen können auch transdermal verabreichbar sein. Die transdermalen Zusammensetzungen können die Form von Cremes, Lotionen, Aerosolen und/oder Emulsionen annehmen, und können einem Transdermalpflaster vom Matrix- oder Reservoirtyp zugefügt werden, wie in der Technik zu diesem Zweck konventionell ist.
  • Die Verbindung wird vorzugsweise oral verabreicht.
  • Die pharmazeutische Zubereitung liegt vorzugsweise in Einheitsdosisform vor. In einer solchen Form wird die Zubereitung in geeignet bemessene Einzeldosen unterteilt, die geeignete Mengen der aktiven Komponente enthalten, z. B. eine wirksame Menge, um den gewünschten Zweck zu erreichen.
  • Die Menge der erfindungsgemäßen aktiven Zusammensetzung in einer Einzeldosis der Zubereitung kann im Allgemeinen gemäß der speziellen Anwendung von etwa 1,0 mg bis etwa 1000 mg, vorzugsweise etwa 1,0 bis etwa 950 mg, insbesondere etwa 1,0 bis etwa 500 mg und in der Regel etwa 1 bis etwa 250 mg eingestellt werden. Die tatsächlich verwendete Dosis kann gemäß dem Alter des Patienten, seinem Geschlecht, Gewicht und dem Scheseregrad des behandelten Zustands variiert werden. Solche Techniken sind Fachleuten wohl bekannt.
  • Die humane orale Dosierform, die die Wirkbestandteile enthält, kann im Allgemeinen ein oder zwei Mal täglich verabreicht werden. Die Menge und Frequenz der Verabreichung wird gemäß dem Urteil des behandelnden Arztes geregelt. Ein allgemein empfohlenes Tagesdosierschema für die orale Verabreichung kann im Bereich von etwa 1,0 mg bis etwa 1000 mg pro Tag in Einzel- oder unterteilten Dosen liegen.
  • Kapsel bezieht sich auf einen speziellen Behälter oder eine spezielle Umhüllung, der bzw. die aus Methylcellulose, Polyvinylalkoholen oder denaturierten Gelatinen oder Stärke hergestellt ist, um die aktiven Bestandteile aufweisenden Zusammensetzungen zu halten oder zu enthalten. Hartschalenkapseln sind in der Regel aus Gemischen aus relativ gelreichen festen Knochengelatinen und Schweinehautgelatinen hergestellt. Die Kapsel selbst kann kleine Mengen an Farbstoffen, Opazifizierungsmitteln, Weichmachern und Konservierungsmitteln enthalten.
  • Tablette bezieht sich auf eine komprimierte oder geformte feste Dosierform, die die Wirkbestandteile mit geeigneten Verdünnungsmitteln enthält. Die Tablette kann durch Kompression von Mischungen oder Granulationen hergestellt werden, die durch Nassgranulierung, Trockengranulierung oder durch Verdichtung erhalten werden.
  • Orale Gele bezieht sich darauf, dass die Wirkbestandteile in einer hydrophilen halbfesten Matrix dispergiert oder solubilisiert sind.
  • Pulver zur Auflösung beziehen sich auf Pulvergemische, die die Wirkbestandteile und geeignete Verdünnungsmittel enthalten, die in Wasser oder Säften suspendiert werden können.
  • Verdünnungsmittel bezieht sich auf Substanzen, die üblicherweise den größeren Anteil der Zusammensetzung oder Dosierform ausmachen. Zu geeigneten Verdünnungsmitteln gehören Zucker, wie Lactose, Sucrose, Mannit und Sorbit, Stärken, die von Weizen, Mais, Reis und Kartoffel stammen, und Cellulosen, wie mikrokristalline Cellulose. Die Menge an Verdünnungsmittel in der Zusammensetzung kann im Bereich von etwa 10 bis etwa 90 Gew.-% der Gesamtzusammensetzung, vorzugsweise etwa 25 bis etwa 75 Gew.-%, insbesondere etwa 30 bis etwa 60 Gew.-%, besonders bevorzugt etwa 12 bis etwa 60% liegen.
  • Sprengmittel beziehen sich auf Materialien, die der Zusammensetzung zugefügt werden, um dazu beizutragen, dass sie aus einanderbricht (zerfällt; gesprengt wird) und die Wirkstoffe freisetzt. Geeignete Sprengmittel schließen Stärken, "kaltwas serlösliche" modifizierte Stärken wie Natriumcarboxymethylstärke; natürliche und synthetische Gummis wie Johannisbrotfrüchte, Karaya, Guar, Tragakanth und Agar, Cellulosederivate wie Methylcellulose und Natriumcarboxymethylcellulose; mikrokristalline Cellulosen und vernetzte mikrokristalline Cellulosen wie Natriumcroscarmellose, Alginate, wie Alginsäure und Natriumalginat, Tone, wie Bentonite, und Brausemischungen ein. Die Sprengmittelmenge in der Zusammensetzung kann im Bereich von etwa 2 bis etwa 15 Gew.-% der Zusammensetzung, insbesondere etwa 4 bis etwa 10 Gew.-% liegen.
  • Bindemittel bezieht sich auf Substanzen, die Pulver binden oder "verkleben", und macht sie durch Bildung von Körnchen kohäsiv, die so als "Kleber" in der Formulierung wirken. Bindemittel fügen Kohäsionsfestigkeit hinzu, die bereits in dem Verdünnungsmittel oder Volumenerhöhungsmittel zur Verfügung steht. Geeignete Bindemittel schließen Zucker, wie Sucrose, Stärken, die von Weizen, Mais, Reis und Kartoffel abgeleitet sind, natürliche Gummis wie Akaziengummis, Gelatine und Tragakanth, Derivate von Tang, wie Alginsäure, Natriumalginat und Ammoniumcalciumalginat, Cellulosematerialien, wie Methylcellulose und Natriumcarboxymethylcellulose und Hydroxypropylmethylcellulose, Polyvinylpyrrolidon und anorganische Materialien, wie Magnesiumaluminiumsilikat, ein. Die Menge an Bindemittel in der Zusammensetzung kann im Bereich von etwa 2 bis etwa 20 Gew.-% der Zusammensetzung, insbesondere etwa 3 bis etwa 10 Gew.-%, besonders bevorzugt etwa 3 bis etwa 6 Gew.-% liegen.
  • Schmiermittel bezieht sich auf eine Substanz, die der Dosierform zugegeben wird, damit die Tablette, Körner, usw., nachdem sie komprimiert worden sind, aus der Form oder dem Stempel gelöst werden können, indem Reibung oder Verschleiß herabgesetzt werden. Geeignete Schmiermittel schließen Metall stearate, wie Magnesiumstearat, Calciumstearat oder Kaliumstearat, Stearinsäure, Wachse mit hohem Schmelzpunkt und Wasserlösliche Schmiermittel wie Natriumchlorid, Natriumbenzoat, Natriumacetat, Natriumoleat, Polyethylenglykole und d,l-Leucin ein. Schmiermittel werden üblicherweise in der allerletzten Stufe vor der Kompression zugefügt, da sie auf den Oberflächen der Körnchen und zwischen diesen und den Teilen der Tablettenpresse vorhanden sein müssen. Die Menge an Schmiermittel in der Zusammensetzung kann im Bereich von etwa 0,2 bis etwa 5 Gew.-% der Zusammensetzung, insbesondere etwa 0,5 bis etwa 2 Gew.-%, besonders bevorzugt etwa 0,3 bis etwa 1,5 Gew.-% liegen.
  • Gleitmittel sind Materialien, die Zusammenbacken verhindern und die Fließcharakteristika von Granulationen verbessern, so dass das Fließen glatt und gleichförmig erfolgt. Geeignete Gleitmittel schließen Siliciumdioxid und Talkum ein. Die Gleitmittelmenge in der Zusammensetzung kann im Bereich von etwa 0,1 bis etwa 5 Gew.-% der Gesamtzusammensetzung, insbesondere etwa 0,5 bis etwa 2 Gew.-% liegen.
  • Färbungsmittel sind Hilfsstoffe, die der Zusammensetzung oder der Dosierform Färbung verleihen. Solche Hilfsstoffe können Lebensmittelfarbstoffe und auf einem geeigneten Adsorbens wie Ton oder Aluminiumoxid adsorbierte Lebensmittelfarbstoffe einschließen. Die Menge des Färbungsmittels kann von etwa 0,1 bis etwa 5 Gew.-% der Zusammensetzung, vorzugsweise etwa 0,1 bis etwa 1% variieren.
  • Bioverfügbarkeit bezieht sich auf die Rate und das Maß, bis zu dem der aktive Arzneimittelbestandteil oder die therapeutische Einheit von einer verabreichten Dosierform in den systemischen Kreislauf absorbiert wird, verglichen mit einem Standard oder einer Kontrolle.
  • Konventionelle Verfahren zur Herstellung von Tabletten sind bekannt. Zu solchen Verfahren gehören Trockenverfahren, wie direkte Kompression, und Kompression einer Granulation, die durch Verdichtung hergestellt ist, oder Nassverfahren oder andere Spezialverfahren. Konventionelle Verfahren zur Herstellung anderer Verabreichungsformen, wie beispielsweise Kapseln, Zäpfchen und dergleichen, sind auch wohl bekannt.
  • Eine andere Ausführungsform der Erfindung offenbart die Verwendung der oben offenbarten pharmazeutischen Zusammensetzungen zur Behandlung von Erkrankungen wie beispielsweise Allergie, Entzündung, Nasenschleimhautschwellung, Bluthochdruck, Glaukom, Schlafstörungen, Zustände von Hyper- und Hypomotilität des Gastrointestinaltrakts, Hypo- und Hyperaktivität des zentralen Nervensystems, Morbus Alzheimer, Schizophrenie, Migräne, Fettleibigkeit und dergleichen. Bei dem Verfahren wird einem Säugerpatienten mit einer derartigen Erkrankung oder derartigen Erkrankungen, der dieser Behandlung bedarf, eine therapeutisch wirksame Menge der erfindungsgemäßen pharmazeutischen Zusammensetzung verabreicht.
  • Fachleute werden erkennen, dass der Begriff "obere Luftwege" die oberen Atemwege bedeutet, d. h. Nase, Rachen und dazugehörige Strukturen.
  • Fachleuten werden erkennen, dass sowohl an Materialien als auch an Verfahren viele Modifikationen, Variationen und Änderungen vorgenommen werden können. Diese Modifikationen, Varianten und Veränderungen sollen in dem Geist und Umfang der vorliegenden Erfindung liegen.
  • Die folgenden Beispiele werden zur näheren Erläuterung der vorliegenden Erfindung gegeben. Sie dienen nur zu veranschaulichenden Zwecken und werden nicht als den Umfang der Erfindung in irgendeiner Weise einschränkend angesehen.
  • BEISPIELE
  • Wenn nicht anders angegeben, haben die folgenden Abkürzungen in den folgenden Beispielen die angegebenen Bedeutungen:
  • DBU
    = 1,8-Diazabicydo[5.4.0]undec-7-en
    DBN
    = 1,5-Diazabicyclo[4.3.0]non-5-en
    EDCI
    = 1-(3-Dimethylaminopropyl)-3-ethylcarbodiimid
    HOBT
    = 1-Hydroxybenzotriazol
    DCC
    = Dicyclohexylcarbodiimid
    Dibal-H
    = Diisobutylaluminumhydrid
    LAH
    = Lithiumaluminumhydrid;
    NaBH(OAc)3
    = Natriumtriacetoxyborhydrid
    NaBH4
    = Natriumborhydrid
    NaBH3CN
    = Natriumcyanborhydrid
    LDA
    = Lithiumdiisopropylamid
    p-TsOH
    = p-Toluolsulfonsäure
    m-CPBA
    = m-Chlorperbenzoesäure
    TMAD
    = N,N,N',N'-Tetramethylazodicarboxamid;
    CSA
    = Camphersulfonsäure
    NaHMDS
    = Natriumhexamethyldisilylazid
    HRMS
    = hochauflösende Massenspektroskopie
    HPLC
    = Hochleistungsflüssigchromatographie
    LRMS
    = niedrigauflösende Massenspektroskopie
    nM
    = nanomolar
    Ki
    = Inhibierungskonstante für den Substrat/Rezeptor-Komplex, pA2 = –logEC50, wie in J. Hey, Eur. J. Pharmacol., (1995), Vol. 294, 329–335 definiert.
    Ci/mmol
    = Curie/mmol (ein Maß für die spezifische Aktivität)
    Tr
    = Triphenylmethyl
    Tris
    = Tris(hydroxymethyl)aminomethan
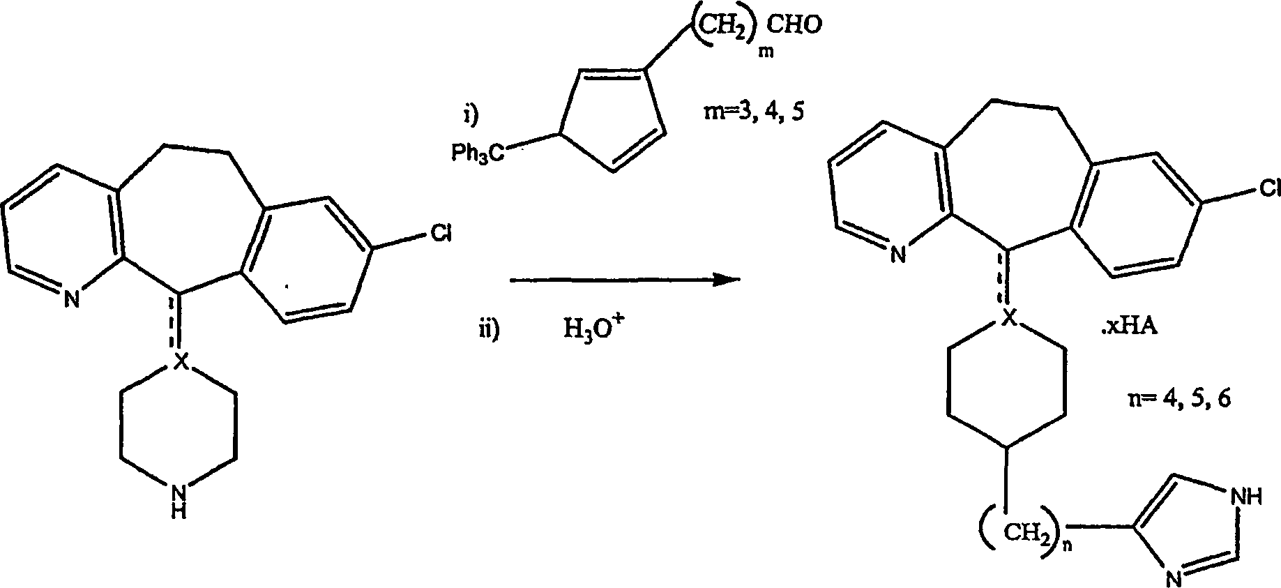
  • I. ALLGEMEINES SYNTHESEVERFAHREN 'A': REDUKTIVE AMINIERUNG
  • I. ALLGEMEINES VERFAHREN 'A': Reduktive Aminierung
  • Figure 00350001
  • Beispiel 1. Herstellung von 1-(Triphenylmethyl)-1H-imidazol-4-carboxaldehyd (2):
  • Figure 00350002
  • Zu einer gerührten Suspension von Aldehyd 1 (Aldrich Chemicals, Milwaukee, Wisconsin, USA) (35,0 g, 0,364 Mol) und Triethylamin (55,8 ml; 0,400 Mol) in Dichlormethan (2 L) wurde eine Lösung von Triphenylmethylchlorid in Dichlormethan (600 ml) gegeben, während die Reaktionstemperatur mit einem Kühlbad auf ungefähr 15°C gehalten wurde. Die resultierende Lösung wurde auf Raumtemperatur erwärmen gelassen und 19 Stunden gerührt. Die Lösung wurde mit einer Lösung von gesättigter Salzlösung und Wasser (1:3,5; 3 × 600 ml), anschließend mit Salzlösung (1 × 800 ml) gewaschen. Sie wurde über Natriumsulfat getrocknet, filtriert, um das Trockenmittel zu entfernen, und das Lösungsmittel wurde im Vakuum entfernt, um das gewünschte tritylierte Produkt als schmutzigweißen Feststoff zu erhalten, Schmelzpunkt 186,5–194°C. [Triturierung dieses Produkts mit Ether ergab ein cremefarbenes Pulver mit einem Schmelzpunkt von 195–197°C.]
  • Beispiel 2. Herstellung von of 4-[(Z)-4-(Phenylmethoxy)-1-butenyl]-1-(triphenylmethyl)-1H-imidazol (3):
  • Figure 00360001
  • Zu einer mechanisch gerührten Lösung des Aldehyds 2 in trockenem Tetrahydrofuran (1 L) wurde (3-Benzyloxypropyl)triphenylphosphoniumbromid (30,02 g, 0,0611 mmol) gegeben. Die resultierende Suspension wurde auf 15°C gekühlt, und danach wurde eine 1,0 M Lösung (61,4 ml, 0,0614 mmol) Kalium-t-butoxid in Tetrahydrofuran im Verlauf von fünf Minuten zugegeben. Die Reaktionsmischung wurde auf Raumtemperatur erwärmen gelassen und 2 Stunden gerührt. Die Reaktionsmischung wurde durch Celite filtriert; der Filter wurde mit Tetrahydrofuran (2 × 150 ml) gewaschen; das Filtrat und die Wäschen wurden kombiniert und mit Ether (800 ml) verdünnt und erneut durch frische Celite filtriert. Das Filtrat wurde unter Vakuumkonzentriert, und der Rückstand wurde an Silikagel chromatographiert, wobei mit einem Gradienten von Hexanen-Ethylacetat (3:1 → 2:1) elu iert wurde, um die Titelverbindung als blassgelbes Pulver zu erhalten, Schmelzpunkt 101–104°C. FABMS 471 (MH+; 6%); 243 (Ph3C+; 100%).
  • Beispiel 3. Herstellung von 1-(Triphenylmethyl)-1H-imidazol-4-butanol (4):
  • Figure 00370001
  • Eine Mischung des olefinischen Ethers 3 (18,27 g, 0,0388 mmol) in wasserfreiem Methanol (350 ml), 1,0 M etherischer Salzsäure (38,8 ml, 0,0388 mmol) und 10% Palladium-auf-Kohle-Katalysator wurde mit 48 psi 30 Minuten auf einer Parr-Schüttelapparatur hydriert. Die Reaktionsmischung wurde dann durch Celite filtriert und der Filterkuchen mit Methanol gewaschen. Die kombinierten Filtrate und Wäschen wurden konzentriert und unter Hochvakuum getrocknet, um den Titelalkohol als Hydrochlorid als schmutzigweißen Feststoff zu erhalten, Schmelzpunkt 144–146°C.
  • Beispiel 4. Herstellung von ω-[1-(Triphenylmethyl)-1H-imidazol-4-yl]-butanal (5):
  • Figure 00370002
  • In einem trockenen Kolben, der zur Bereitstellung einer Inertgasatmosphäre ausgerüstet war, wurde eine Lösung von Oxalylchlorid (2,18 ml, 0,0250 Mol) in trockenem Dichlormethan (50 ml) hergestellt und in einem CO2-Aceton-Bad auf –60°C abge kühlt. Eine Lösung von Dimethylsulfoxid (3,60 ml, 0,0507 mmol) in trockenem Dichlormethan (10 ml) wurde tropfenweise im Verlauf von 5 bis 10 Minuten zugegeben, während die Reaktionstemperatur auf –55 bis –60°C gehalten wurde. Es wurde weitere 5 Minuten bei –60°C gerührt, danach wurde eine Lösung von Alkohol-Hydrochlorid (4) (8,67 g, 0,0207 mol) in trockenem Dichlormethan (140 ml) im Verlauf von 15 bis 20 Minuten zugefügt, während die Reaktionstemperatur im Bereich von –55 bis –60°C gehalten wurde. Die Mischung wurde eine weitere Stunde bei –60°C gerührt, danach wurde unverdünntes Triethylamin (17,6 ml, 0,126 mmol) mit einer solchen Rate zugegeben, dass die Reaktionstemperatur auf –55 bis –60°C gehalten wurde. Die Reaktion wurde bei dieser Temperatur 5 Minuten gerührt. Das Kühlbad wurde entfernt und weitere 1,5 Stunden bei Raumtemperatur gerührt. Die Reaktionsmischung wurde mit Wasser (4 × 50 ml), danach Salzlösung (75 ml) gewaschen, über wasserfreiem Magnesiumsulfat getrocknet und Lösungsmittel unter Vakuum entfernt, um ein viskoses Öl zu ergeben. Um jegliches restliche Triethylaminhydrochlorid zu entfernen, wurde das restliche Öl in Diethylether (100 ml) gelöst, mit Wasser (1 × 30 ml; 2 × 10 ml), danach mit Salzlösung (30 ml) gewaschen und über wasserfreiem Magnesiumsulfat getrocknet. Das Lösungsmittel wurde unter Vakuum entfernt, um den Titelaldehyd als viskoses gelbes Öl zu erhalten, das zur weiteren Verwendung ausreichend rein war. FABMS: 381 (MH+; 10%); 243 (Ph3C+; 100%).
  • Beispiel 5. Herstellung von Ethyl-5-[1-(triphenylmethyl)-1H-imidazol-4-yl]-4-Z-pentenoat:
  • Figure 00380001
    • (i) Herstellung von (Ethoxycarbonylprop-1-yl)triphenylphosphoniumbromid (a): Eine Mischung aus Triphenylphosphin (24,6 g, 0,0936 Mol) und Ethyl-4-brombutyrat (14,4 ml, 0,101 Mol) wurde über einen Zeitraum von 15 bis 20 Minuten von Raumtemperatur auf 105°C erwärmt, danach wurde das Erwärmen auf 105° 10 Minuten fortgesetzt. Die Lösung wurde abkühlen gelassen, während sie jedoch noch war, wurde vorsichtig Diethylether (50 ml) über einen Kühler zugegeben. Das resultierende Gummi wurde trituriert, um ein weißes Pulver zu erhalten. Der Überstand wurde dekantiert, frischer Diethylether (50 ml) wurde zugegeben, und das Triturieren wurde 10 Minuten fortgesetzt. Das Produkt wurde filtriert, der Kuchen mit Diethylether gewaschen und dann Lösungsmittel unter Vakuum aus den kombinierten Filtraten und Wäschen entfernt, um eine Mischung aus Öl und Feststoffen zu erhalten. Diese Mischung wurde auf 100°C erwärmt, vorsichtig mit Diethylether (2 × 55 ml) behandelt und die oben beschriebene Sequenz aus Triturieren, Filtrieren und Konzentrieren wiederholt. Die beiden aus diesem Verfahren erhaltenen Chargen der weißen Feststoffe wurden kombiniert, mit Toluol (150 ml) trituriert und filtriert. Die aufgefangenen Feststoffe wurden mit Toluol gewaschen und unter Hochvakuum getrocknet, um das Titelsalz zu erhalten, Schmelzpunkt 177 bis 179°C, FABMS: 377 (M+ für Kation; 84%).
    • (ii) Herstellung von Ethyl-5-[1-(triphenylmethyl)-1H-imidazol-4-yl]-4-Z-pentenoat: Unter einer Stickstoffatmosphäre wurde das Triphenylphosphoniumsalz (a) (14,0 g, 0,0305 Mol) zu einer gerührten Lösung von Aldehyd 2 (9,81 g, 0,029 Mol) in Tetrahydrofuran (500 ml) gegeben. Die resultierende Suspension wurde auf 0–5°C abgekühlt, 1 M Kalium-t-butoxid in Tetrahydrofuran (31 ml, 0,031 Mol) im Verlauf von 3 bis 5 Minuten zugegeben und die Mischung 20 Minuten bei 0–5°C gerührt. Der Reaktionsmischung wurde Celite zugefügt, kurz gerührt und abfil triert. Der Filterkuchen wurde mit Diethylether und anschließend Dichlormethan gewaschen. Die kombinierten Filtrate und Wäschen wurden unter Vakuum konzentriert. Das restliche Öl wurde an Silikagel chromatographiert und mit einem Gradienten von Hexanen-Ethylacetat (3:1 → 2:1) eluiert, um die Titelverbindung als weißen Feststoff zu ergeben, Schmelzpunkt 90–92,5°C. FABMS: 437 (MH+; 3%); 243 (Ph3C+; 100%).
  • Beispiel 6. Herstellung von 5-[1-(Triphenylmethyl)-1H-imidazol-4-yl]-4-Z-pentenal:
  • Figure 00400001
  • Zu einer gerührten Lösung des Esters (671 mg, 1,54 mmol) in trockenem Dichlormethan (12 ml), die sich in einem Kältebad befand, wurde im Verlauf von ungefähr 4 Minuten eine 1 M Lösung von DIBAL-H in Toluol (3,08 ml, 3,08 mmol) gegeben, während die Reaktionstemperatur auf –55 bis –60°C gehalten wurde. Nachdem 8 bis 10 Minuten bei –58°C gerührt worden war, wurde die Reaktion durch die Zugabe von Methanol (0,4 ml) und Wasser (6 ml) gequencht. Die Reaktionsmischung wurde auf Raumtemperatur erwärmen gelassen. Der gallertartige Niederschlag wurde durch Filtration durch Celite entfernt. Der Filterkuchen wurde mit Dichlormethan gewaschen, und die kombinierten Filtrate und Wäschen wurden über wasserfreiem Magnesiumsulfat getrocknet. Das Trockenmittel wurde abfiltriert und Lösungsmittel unter vermindertem Druck entfernt, um den Titelaldehyd als weißes Pulver zu erhalten, Schmelzpunkt 117,5–120°C. FABMS: 393 (MH+; 12%); 243 (Ph3C+; 100%)
  • Beispiel 7. Herstellung von [1-(Triphenylmethyl)-1H-imidazol-4-yl]-pentanal (6):
  • Figure 00410001
  • Eine Mischung des ungesättigten Aldehyds (5,42 g, 13,8 mmol) und 5% Palladium-auf-Kohle-Katalysator (0,50 g) in wasserfreiem Methanol (130 ml) wurde 30 Minuten mit 30–35 psi auf einer Parr-Schüttelapparatur hydriert. Der Katalysator wurde durch Celite filtriert und das Filtrat unter vermindertem Druck eingedampft. Der Rückstand wurde unter Hochvakuum getrocknet, um die Titelverbindung als gelbes viskoses Öl oder Glas zu erhalten, das ausreichend rein für die weitere Chemie war. FABMS: 395 (MH+; 5%); 243 (Ph3C+; 100%).
  • Beispiel 8. Herstellung von Ethyl-6-[1-(triphenylmethyl)-1H-imidazol-4-yl]-5-Z-hexenoat:
  • Figure 00410002
  • Aldehyd 2 (12,4 g; 0,0367 Mol) wurde unter einer Stickstoffatmosphäre zu einer kräftig gerührten Teilsuspension von 4-Carboethoxybutyltriphenylphosphoniumbromid (von Lancaster Chemicals, Windham, New Hampshire, USA) (20,2 g; 0,0408 mol) in Tetrahydrofuran (630 ml) gegeben. Die Suspension wurde gerührt, bis der Aldehyd gelöst war. Die resultierende Mischung wurde auf 0–5°C abgekühlt und im Verlauf von 10 Minuten 1 M Kalium-t-butoxid in Tetrahydrofuran (40,8 ml, 0,0408 Mol) zu gegeben, und die Mischung wurde 40 Minuten bei 0–5°C, danach 30 Minuten bei 5–10°C kräftig gerührt. Es wurde trockenes Dichlormethan (100 ml) zugegeben, um jegliche Salzbeschichtung an den Wänden des Kolbens zu lösen, danach wurde die Reaktionsmischung auf 20°C erwärmen gelassen. Celite wurde zu der Reaktionsmischung gegeben, die kurz gerührt und filtriert wurde, und der Filterkuchen wurde mit Dichlormethan gewaschen. Die kombinierten Filtrate und Wäschen wurden unter Vakuum konzentriert. Das restliche Öl wurde an Silikagel chromatographiert und mit einem Gradienten von Hexanen-Ethylacetat (5:1 → 2:1) eluiert, um die Titelverbindung als weißes Pulver zu ergeben, Schmelzpunkt 78,5–85°C. FABMS: 451 (MH+; 2%); 243 (Ph3C+; 100%).
  • Beispiel 9. Herstellung von 6-[1-(Triphenylmethyl)-1H-imidazol-4-yl]-5-Z-hexenal:
  • Figure 00420001
  • Zu einer gerührten Lösung des Titel-Esters aus Beispiel 8 (3,98 g, 8,83 mmol) in trockenem Dichlormethan (50 ml), die sich in einem Kältebad befand, wurde im Verlauf von ungefähr 15 Minuten eine 1,0 M Lösung von DIBAL-H in Toluol (17,7 ml, 17,7 mmol) gegeben, während die Reaktionstemperatur auf –55 bis -60°C gehalten wurde. Nachdem 45 Minuten bei -58°C bis -60°C gerührt worden war, wurde die Reaktion durch die Zugabe von Methanol (2,3 ml) und Wasser (34 ml) gequencht. Die Reaktionsmischung wurde auf Raumtemperatur erwärmen gelassen und dann durch Celite filtriert. Der Filterkuchen wurde mit Dichlormethan gewaschen, und die kombinierten Filtrate und Wäschen wurden über wasserfreiem Magnesiumsulfat getrocknet. Das Trockenmittel wurde filtriert und Lösungsmittel unter redu ziertem Druck verdampft, um den Titel-Aldehyd als viskoses Öl zu erhalten, das ausreichend rein für die in Beispiel 10 beschriebene Verwendung war. FABMS: 515 (Verunreinigung; 4%); 407 (MH+; 2%); 243 (Ph3C+; 100%).
  • Beispiel 10. Herstellung von ω-[1-(Triphenylmethyl)-1H-imidazol-4-yl]-hexanal (7):
  • Figure 00430001
  • Eine Mischung des ungesättigten Aldehyds aus Beispiel 9 (3,41 g, 8,39 mmol) und 5% Palladium-auf-Kohle-Katalysator (0,3 g) in wasserfreiem Methanol (50 ml) wurde 45 Minuten mit 30–35 psi auf einer Parr-Schüttelapparatur hydriert. Der Katalysator wurde durch Celite filtriert, das Filtrat unter reduziertem Druck eingedampft und das restliche Öl an Silikagel chromatographiert. Die Eluierung mit einem Gradienten aus Hexanen-Ethylacetat (2:1 → 1:1 → 1:2) ergab die Titelverbindung, die nach Trocknen im Hochvakuum als weißer, etwas wachsartiger, hygroskopischer Feststoff, Schmelzpunkt 78–80,5°C, isoliert wurde. FABMS: 451 (MH+).
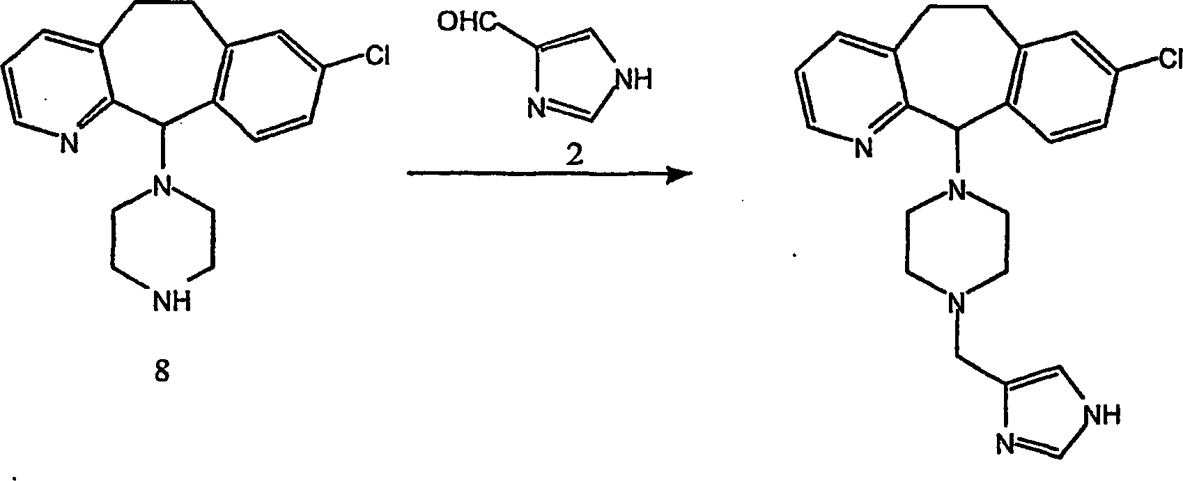
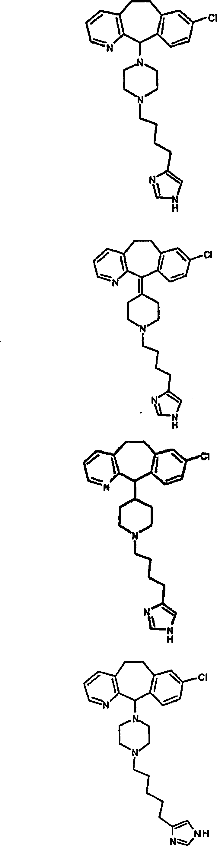
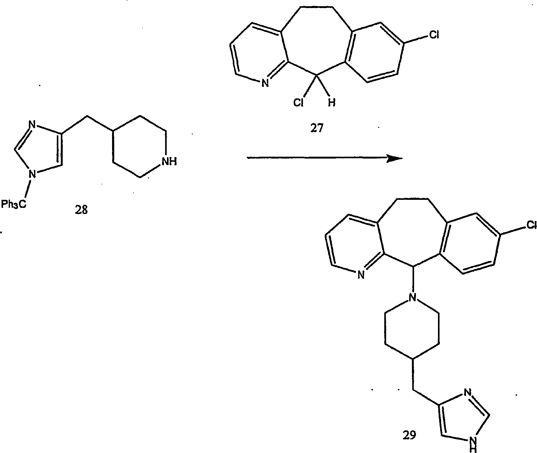
  • Beispiel 11. Herstellung von 1-(8-Chlor-6,11-dihydro-5H-benzo[5,6]cyclohepta[1,2-b]pyridin-11-yl)-4-[(1H-imidazol-4-yl)-methyl]-piperazin:
  • Figure 00440001
    • (i) Zu einer gerührten Lösung von 8-Chlor-6,11-dihydro-11-(1-piperazinyl)-5H-benzo[5,6]cyclohepta[1,2-b]pyridin (8) (6,40 g; 0,020 mol) (offenbart in der veröffentlichten Anmeldung WO 95/10516 , 20. April 1995) und 1 H-Imidazol-4-carboxaldehyd (2) (1,96 g; 0020 mol) in wasserfreiem Methanol (100 mL) wurde wasserfreies Magnesiumsulfat (4,91 g) gegeben. Die resultierende Suspension wurde bei Raumtemperatur 45 Minuten gerührt. Während die Reaktionstemperatur mittels eines Wasserbades auf 25–30°C gehalten wurde, wurde festes Natriumcyanoborhydrid (4,05 g von 95%; 0,0612 Mol) zugegeben und die resultierende Mischung 4 Stunden bei Raumtemperatur rühren gelassen. Es wurden weitere 0,64 g (0,0067 Mol) Aldehyd 2 zugegeben, und es wurde weitere 16 Stunden bei Raumtemperatur gerührt. Die Reaktionsmischung wurde mit Methanol (22 ml) verdünnt und filtriert. Der Filterkuchen wurde mit Methanol gewaschen, das Filtrat und die Wäschen wurden kombiniert und das Lösungsmittel unter reduziertem Druck entfernt. Der Rückstand wurde unter Hochvakuum getrocknet, um einen schmutzigweißen glasartigen Feststoff zu erhalten. Dieses Glas wurde erneut in Dichlormethan (175 ml)-Methanol (30 ml) gelöst und mit Wasser (1 × 25 ml) gewaschen. Die organische Lösung wurde über was serfreiem Magnesiumsulfat getrocknet, filtriert und Lösungsmittel unter vermindertem Druck entfernt. Der Rückstand wurde an Silikagel chromatographiert und mit einem Gradienten von Dichlormethan-Methanol-konzentriertem Ammoniumhydroxid (95:5:0,1 → 90:10:0,1 → 85:15:0,1 → 80:20:0,1) eluiert, was nach dem Trocknen unter Hochvakuum die Titelverbindung als weißes Glas ergab. FABMS: 394, 396 (MH+; 100, 39%); 228 (67%).
    • (ii) Zu einer gerührten Lösung der freien Basenform der Titelverbindung (5,48 g, 0,0139 Mol) in Methanol (200 ml) wurde eine etwa 3,4 M Lösung (12,3 ml, 0,0417 Mol) etherischem Chlorwasserstoff gegeben. Das Lösungsmittel wurde unter reduziertem Druck entfernt und die restlichen Feststoffe mit Ether (150 ml) gerührt. Der Feststoff wurde filtriert, unter einem Kautschukdamm getrocknet und wieder in Methanol (100 ml) gelöst. Die Lösung wurde mit ~3,4 M Lösung (10 ml, 0,034 Mol) von etherischem Chlorwasserstoff behandelt. Das Lösungsmittel wurde unter reduziertem Druck entfernt und die restlichen Feststoffe mit Ether (150 ml) gerührt. Die Feststoffe wurden abfiltriert, teilweise unter einem Kautschukdamm getrocknet und dann weiter unter Hochvakuum getrocknet, um das Hydrochloridsalz der Titelverbindung als weißes Pulver zu ergeben, danach als 2,8 Hydrochlorid-Hemihydrat analysiert, Schmelzpunkt 190,5–192°C (Zersetzung; wurde bei etwa 180°C dunkel). C22H24ClN5·2,8 HCl·0,5 H2O. FABMS: 394, 396 (MH+; 64/25%).
  • Beispiel 12. Herstellung von 8-Chlor-6,11-dihydro-11-[4-[4-(1H-imidazol-4-yl)butyl]-1-piperazinyl]-5H-benzo[5,6]cyclohepta[1,2-b]pyridin:
  • Figure 00460001
    • (i) Zu einer gerührten Lösung von 8-Chlor-6,11-dihydro-11-(1-piperazinyl)-5H-benzo[5,6]cyclohepta[1,2-b]pyridin (8) (348 mg; 1,11 mol), ω-[1-(Triphenylmethyl)-1H-imidazol-4-yl]-butanal (5) (459 mg; 1,21 mmol) und Methansulfonsäure (0,07 ml; 1,11 mmol) in wasserfreiem Methanol (15 ml) wurde wasserfreies Magnesiumsulfat (267 mg) gegeben. Die resultierende Suspension wurde bei Raumtemperatur 30 Minuten gerührt. Es wurde eine 1,0 M Lösung von Natriumcyanoborhydrid in Tetrahydrofuran (0,78 ml; 0,78 mmol) zugegeben und die resultierende Mischung 4,5 Stunden bei Raumtemperatur rühren gelassen. Die Mischung wurde durch Celite filtriert und das Filtrat unter vermindertem Druck eingedampft. Der Rückstand wurde in Dichlormethan (20 ml) gelöst und nacheinander mit 1,1 M Natriumbicarbonat (10 ml), Wasser (3 × 10 ml) und Salzlösung (15 ml) gewaschen. Die organische Phase wurde über wasserfreiem Magnesiumsulfat getrocknet, filtriert und Lösungsmittel unter vermindertem Druck entfernt. Der gummiartige Rückstand wurde an Silikagel chromatographiert, wobei mit einem Gradienten von Dichlormethan-Methanol-konzentriertem Ammoniumhydroxid (95:5:0,1 → 90:10:0,1) eluiert wurde, um den Imidazol-N-tritylierten Vorläufer der Titelverbindung als glasartigen Feststoff zu erhalten. Das Produkt wurde nach dem Trocknen im Hochvakuum ohne weitere Behandlung oder Charakterisierung wie folgt Detritylierung unterzogen:
    • (ii) Eine Methanollösung (75 ml) des N-tritylierten Produkts (512 mg; 0,755 mmol) der vorhergehenden Stufe und 1,0 M Salzsäure in Ether (8,7 ml, 8,7 mol) wurden 5 Stunden unter einer Stickstoffatmosphäre unter Rückfluss gehalten. Lösungsmittel wurde unter reduziertem Druck entfernt, und der Rückstand wurde mit Ether trituriert. Die Mischung wurde filtriert und der aufgefangene Feststoff mit Ether gewaschen und unter Hochvakuum getrocknet, um das HCl-Salz der Titelverbindung als weißen Feststoff zu erhalten, Schmelzpunkt 165–17°C (Zersetzung). C25H30ClN5·2,8 HCl·1,9 H2O. FABMS: 436, 438 (MH+; 49/18%).
  • Indem jeweils die homologen Aldehyde 6 (aus Beispiel 7) und 7 (aus Beispiel 10) in den vorhergehenden Reaktionsverfahren substituiert wurden, wurden die folgenden Analoga der Titelverbindung hergestellt:
    8-Chlor-6,11-dihydro-11-[4-[5-(1H-imidazol-4-yl)pentyl]-1-piperazinyl]-5H-benzo[5,6]cyclohepta[1,2-b]pyridin-trihydrochlorid·1,15 Hydrat·0,5 Diethylether C26H32ClN5·3 HCl·1,15 H2O·0,5 C4H10O. FABMS: 450, 452 (MH+; 100/35%).
    8-Chlor-6,11-dihydro-11-[4-[6-(1H-imidazol-4-yl)hexyl]-1-piperazinyl]-5H-benzo[5,6]cyclohepta[1,2-b]pyridin-trihydrochlorid·0,5 Hydrat·0,5 Methanolat C27H34ClN5·3 HCl·0,5 H2O·0,5 CH4O. FABMS: 464, 466 (MH+; 8/3%).
  • Beispiel 13. Herstellung von 8-Chlor-6,11-dihydro-11-[1-[5-(1H-imidazol-4-yl)pentyl]-4-piperidinyl]-5H-benzo[5,6]cyclohepta[1,2-b]pyridin:
  • Figure 00480001
    • (i) Zu einer gerührten Lösung von 8-Chlor-6,11-dihydro-11-(4-piperazinyl)-5H-benzo[5,6]cyclohepta[1,2-b]pyridin (9) (499 mg; 1,59 mol) (offenbart in der veröffentlichten Anmeldung WO 95/10516 , 20. April 1995), ω-[1-(Triphenylmethyl)-1H-imidazol-4-yl]-butanal (6) (699 mg; ~90% rein, 1,59 mmol) und Methansulfonsäure (0,10 ml; 1,59 mmol) in wasserfreiem Methanol (100 ml) wurde wasserfreies Magnesiumsulfat (380 mg) gegeben. Die resultierende Suspension wurde bei Raumtemperatur 45 Minuten gerührt. Es wurde eine 1,0 M Lösung von Natriumcyanoborhydrid in Tetrahydrofuran (1,12 ml; 1,12 mmol) zugegeben und die resultierende Mischung 22 Stunden bei Raumtemperatur gerührt. Die Reaktionsmischung wurde durch Celite filtriert und das Lösungsmittel unter vermindertem Druck verdampft. Der Rückstand wurde in Dichlormethan (25 ml) gelöst und nacheinander mit 1,1 M Natriumbicarbonat (15 ml) und Wasser (2 × 10 ml) gewaschen. Die organischen Phasen wurden über wasserfreiem Magnesiumsulfat getrocknet, filtriert, das Lösungsmittel unter vermindertem Druck verdampft, und es wurde unter Hochvakuum getrocknet, um einen rosa glasartigen Feststoff zu erhalten. Der resultierende Feststoff wurde an Silikagel chromatographiert, wobei mit einem Gradienten von 3,9 M Ammoniak in Methanol-Di chlormethan (3:97 → 5:95) eluiert wurde, um den Imidazol-N-tritylierten Vorläufer der Titelverbindung zu erhalten, der nach Trocknen unter Hochvakuum ein schmutzigweißer Schaum war, Schmelzpunkt 75–78°C (schmolz zu einem viskosen Gummi). FABMS: 451 (MH+; 20%); 243 (Ph3C+; 100%).
    • (ii) Eine Methanollösung (35 ml) des N-tritylierten Produkts (426 mg; 0,675 mmol) der vorhergehenden Stufe und 1,0 M Salzsäure in Ether (7,8 ml, 7,8 mmol) wurden 12,5 Stunden unter einer Stickstoffatmosphäre unter Rückfluss gehalten. Das Lösungsmittel wurde unter vermindertem Druck entfernt und der Rückstand zwischen Dichlormethan (25 ml) und 1,1 M Natriumbicarbonatlösung (25 ml) entfernt. Die wässrige Lösung wurde mit Dichlormethan (2 × 20 ml) extrahiert. Das Lösungsmittel wurde aus den kombinierten Extrakten entfernt, um einen Glasrückstand zu erhalten, der an Silikagel chromatographiert wurde, wobei mit einem Gradient von 3,9 M Ammoniak in Methanol-Dichlormethan (5:95 → 10:90) eluiert wurde, um die Titelverbindung zu erhalten, die nach Trocknen unter Hochvakuum ein weißes Pulver war, Schmelzpunkt 65–68°C (schmolz zu einem viskosen Gummi). C27H33ClN4·1,5 H2O. CIMS: 449 (MH+; 100%); 477 ([M + C2H5]+; 24%).
    • (iii) Zu einer gerührten Lösung der Titelverbindung (128 mg; 0,285 mmol) in Methanol (5 ml) wurde eine 1,0 M Lösung (1,0 ml; 1,0 mmol) von etherischem Chlorwasserstoff gegeben. Das Lösungsmittel wurde unter vermindertem Druck entfernt, der Rückstand wurde im Hochvakuum über Phosphorpentoxid getrocknet, um das Trihydrochloridsalz der Titelverbindung als weißes Pulver zu erhalten, Schmelzpunkt 164–170°C (Zersetzung zu einem viskosen Gummi). C27H33ClN4·3 HCl·H2O·0,5 CH4O (MeOH). FABMS: 449 (MH+; 55%).
  • Indem jeweils die homologen Aldehyde 5 (Beispiel 4) und 7 (Beispiel 10) in den vorhergehenden Reaktionsverfahren substi tuiert wurden, wurden die folgenden Analoga der Titelverbindung hergestellt:
    8-Chlor-6,11-dihydro-11-[1-[4-(1H-imidazol-4-yl)butyl]-4-piperidinyl]-5H-benzo[5,6]cyclohepta[1,2-b]pyridin-trihydrochlorid·1,1 Hydrat, Schmelzpunkt 175–178° C (Zersetzung). C26H31ClN4·3 HCl·1,1 H2O. FABMS: 435, 437 (MH+; 7/2%).
    8-Chlor-6,11-dihydro-11-[1-[6-(1H-imidazol-4-yl)hexyl]-4-piperidinyl]-5H-benzo[5,6]cyclohepta[1,2-b]pyridin-trihydrochlorid·1,5 Hydrat. C28H35ClN4·3 HCl·1,5 H2O. FABMS: 463, 465 (MH+; 100/44%).
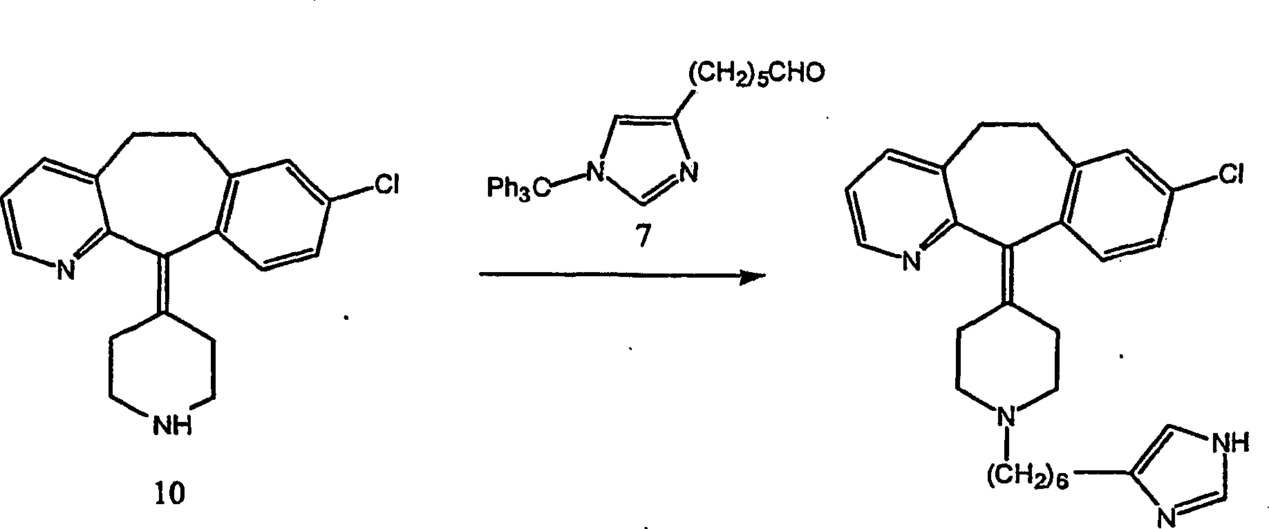
  • Beispiel 14. Herstellung von 8-Chlor-6,11-dihydro-11-[1-[6-(1 H-imidazol-4-yl)hexyl]-4-piperidinyliden]-5H-benzo[5,6]cyclohepta[1,2-b]pyridin:
  • Figure 00500001
    • (i) Zu einer gerührten Lösung von 8-Chlor-6,11-dihydro-11-(4-piperidinyliden)-5H-benzo[5,6]cyclohepta[1,2-b]pyridin (10) (284 mg; 0,914 mol) (offenbart in der veröffentlichten Anmeldung WO 95/10516 , 20. April 1995), -[1-(Triphenylmethyl)-1H-imidazol-4-yl]-hexanal (7) (393 mg; 0,962 mmol) und Methansulfonsäure (0,06 ml; 0,914 mmol) in wasserfreiem Methanol (10 ml) wurde wasserfreies Magnesiumsulfat (220 mg). gegeben. Die resultierende Suspension wurde bei Raumtemperatur 30 Minuten gerührt. Es wurde eine 1,0 M Lösung von Natriumcyanoborhydrid in Tetrahydrofuran (0,64 ml; 0,64 mmol) zugegeben und die re sultierende Mischung 23 Stunden bei Raumtemperatur rühren gelassen. Die Reaktionsmischung wurde durch Celite filtriert, und das Filtrat wurde unter reduziertem Druck eingedampft, um das Mesylatsalz des Imidazol-N-tritylierten Vorläufers der Titelverbindung als rosa Glas zu erhalten, das ohne weitere Reinigung detrityliert wurde. FABMS: 703 (MH+; 35%); 243 (Ph3C+; 100%).
    • (ii) Eine Methanollösung (10 ml) des N-tritylierten Mesylatsalzprodukts (828 mg; 0,675 mmol) der vorhergehenden Stufe und 1,0 M Salzsäure in Ether (10 ml, 10 mmol) wurden 10 Stunden unter einer Stickstoffatmosphäre unter Rückfluss gehalten. Das Lösungsmittel wurde unter vermindertem Druck entfernt und der Rückstand zwischen Dichlormethan (25 ml) und 1,1 M Natriumbicarbonatlösung (25 ml) entfernt. Die wässrige Lösung wurde mit Dichlormethan (2 × 20 ml) extrahiert. Die kombinierten Extrakte wurden mit Wasser (3 × 20 ml) gewaschen, über wasserfreiem Magnesiumsulfat getrocknet, filtriert und das Lösungsmittel aus dem Filtrat entfernt, um ein gelbes Glas zu erhalten. Dieser Feststoff wurde an Silikagel chromatographiert, wobei mit einem Gradienten von 3,9 M Ammoniak in Methanol-Dichlormethan (5:95 → 10:90) eluiert wurde, um die Titelverbindung als freie Base zu erhalten. FABMS: 461 (MH+; 11%).
    • (iii) Zu einer gerührten Lösung der Titelverbindung (142 mg; 0,297 mmol) in Methanol (3 ml) wurde eine 1,0 M Lösung (1,0 ml; 1,0 mmol) von etherischem Chlorwasserstoff gegeben. Das Lösungsmittel wurde unter reduziertem Druck entfernt, und der Rückstand wurde im Hochvakuum über Phosphorpentoxid getrocknet, um das Trihydrochloridsalz der Titelverbindung als hellrosa Pulver zu erhalten. C28H33ClN4·3 HCl·0,6 H2O·0,5 CH4O (MeOH). FABMS: 461 (MH+; 100%).
  • Indem jeweils die homologen Aldehyde 5 (Beispiel 4) und 6 (Beispiel 7) in den vorhergehenden Reaktionsverfahren substi tuiert wurden, wurden die folgenden Analoga der Titelverbindung hergestellt:
    8-Chlor-6,11-dihydro-11-[1-[4-(1H-imidazol-4-yl)butyl]-4-piperidinyliden]-5H-benzo[5,6]cyclohepta[1,2-b]pyridin·2,8 Hydrochlorid·Dihydrat, Schmelzpunkt 162–165°C (Zersetzung). C26H29ClN4·2,8 HCl·2 H2O. CIMS: 433, 435 (MH+; 100/36%); 461, 463 ([M + C2H5]+; 16/6%).
    8-Chlor-6,11-dihydro-11-[1-[5-(1H-imidazol-4-yl)pentyl]-4-piperidinyliden]-5H-benzo[5,6]cyclohepta[1,2-b]pyridin·2,9 Hydrochlorid·0,5 Methanolat. C27H31ClN4·2,9 HCl·H2O·0,5 CH4O (MeOH). FABMS: 447 (MH+; 100%).
  • Beispiel 15:
  • Figure 00520001
    • (i) Verbindungen (11) und (12) wurden hergestellt, indem im Handel erhältliches 4-Imidazolcarboxaldehyd mit nach bekannten Verfahren mit CH3I umgesetzt wurde.
  • Durch Substituieren analoger Aldehyde (11) und (12) und Umsetzung des Verfahrens nach Beispiel 12 wurden die folgenden Verbindungen hergestellt:
    1-(8-Chlor-6,11-dihydro-5H-benzo[5,6]cyclohepta[1,2-b]pyridin-11-yl)-4-[(1-methyl-1H-imidazol-4-yl)-methyl]-piperazin, 4 Hydrochlorid. C23H26ClN5·HCl und
    1-(8-Chlor-6,11-dihydro-5H-benzo[5,6]cyclohepta[1,2-b]pyridin-11-yl)-4-[(1-methyl-1H-imidazol-5-yl)-methyl]-piperazin·4 Hydrochlorid. C23H26ClN5·4 HCl.
  • Beispiel 16. Herstellung von 1-(8-Chlor-6,11-dihydro-5H-benzo [5,6]cyclohepta[1,2-b]pyridin-11-yl)-4-[3-(1H-imidazol-4-yl)- 1-oxo-propyl]piperazin (14):
  • Figure 00530001
  • (i) Herstellung von 1-(8-Chlor-6,11-dihydro-5H-benzo[5,6]cyclohepta[1,2-b]pyridin-11-yl)-4-[(E)-3-(1H-imidazol-4-yl)-1-oxo-2-propenyl]piperazin (13):
  • Zu einer Suspension von Urocansäure (1,38 g; 10,0 mmol) (von Aldrich Chemicals) in N,N-Dimethylformamid (175 ml) wurden unter einer inerten Atmosphäre 1-(3-Dimethylaminopropyl)-3-ethylcarbodiimidhydrochlorid (1,92 g; 10,0 mmol) und Hydroxybenzotriazol (1,08 g; 8 mmol) gegeben. Die resultierende Mischung wurde auf 40°C erwärmt und weiter gerührt, bis sich alle Feststoffe gelöst hatten (etwa 10 Minuten). Zu der resultierenden Lösung wurde 8-Chlor-6,11-dihydro-11-(1-piperazinyl)-5H-benzo[5,6]cyclohepta[1,2-b]pyridin (8) (2,51 g; 8,0 mmol) gegeben, und die resultierende Lösung wurde bei Raumtemperatur 18,5 Stunden rühren gelassen. Dann wurde Wasser (250 μl, 13,9 mmol) zugefügt, und die Lösung wurde kurz gerührt, bevor unter reduziertem Druck konzentriert wurde. Das restliche Öl wurde zwischen Dichlormethan (100 ml) und Wasser (100 ml) partitioniert. Der organische Extrakt wurde durch Filtration mit wasserfreiem Magnesiumsulfat getrocknet, wobei das Lösungsmittel unter reduziertem Druck entfernt wurde. Der Rückstand wurde an Silikagel chromatographiert, wobei mit Dichlormethan-Methanol-konzentriertem Ammoniumhydroxid (90:9:0,5) eluiert wurde, um die Titelverbindung als gelbes Pulver zu erhalten, das sich bei 160°C zu einem schaumig Gummi zersetzte. SIMS: 434 (MH+; 50%).
    Figure 00540001
    • (ii) Eine Mischung des ungesättigten Amids 13 (200 mg, 0,463 mmol) und 10% Palladium-auf-Kohle-Katalysator (40 mg) in wasserfreiem Methanol (40 ml) wurde 2,5 Stunden mit 50 psi auf einer Parr-Schüttelapparatur hydriert. Es wurde eine zweite Portion (20 mg) Katalysator zugegeben und weitere 7 Stunden weiter mit 50 psi hydriert. Es wurde eine dritte Portion (20 mg) Katalysator zugegeben und die letzten 2 Stunden weiter hydriert. Der Katalysator wurde durch Celite filtriert, das Lösungsmittel wurde unter vermindertem Druck eingedampft und der Rückstand unter Hochvakuum getrocknet, um die freie Basenform der Titelverbindung als gelbes Pulver zu erhalten. FABMS: 436 (MH+; 55%); 402 (8%); 228 (63%).
    • (iii) Die freie Basenform der Titelverbindung (155 mg; 0,356 mmol) wurde in einer Mischung von Dichlormethan (0,75 ml) und Diethylether (0,75 ml) gelöst. Die trübe Lösung wurde durch einen Spritzenfilter (0,45 μm) filtriert, und das Filtrat wurde mit 1,0 M etherischem Chlorwasserstoff (1,8 ml, 1,8 mmol) behandelt. Der sich bildende hygroskopische Niederschlag wurde aus Methanol-Ethylacetat kristallisiert, um das Salz der Titelverbindung als weißes Pulver zu erhalten, das sich bei 165,5°C zersetzte und laut Analyse C24H26ClN5O·2,35 HCl·2,2 H2O·0,033 C4H8O2 (EtOAc) war. FABMS: 436 (MH+; 100%); 434 (15 %); 402 (13%); 228 (70%).
  • Beispiel 17. 4-(8-Chlor-5,6-dihydro-11H-benzo[5,6]cyclohepta[1,2-b]pyridin-11-yliden)-1-[3-(1H-imidazol-4-yl)-1-oxopropyl]-piperidin (16):
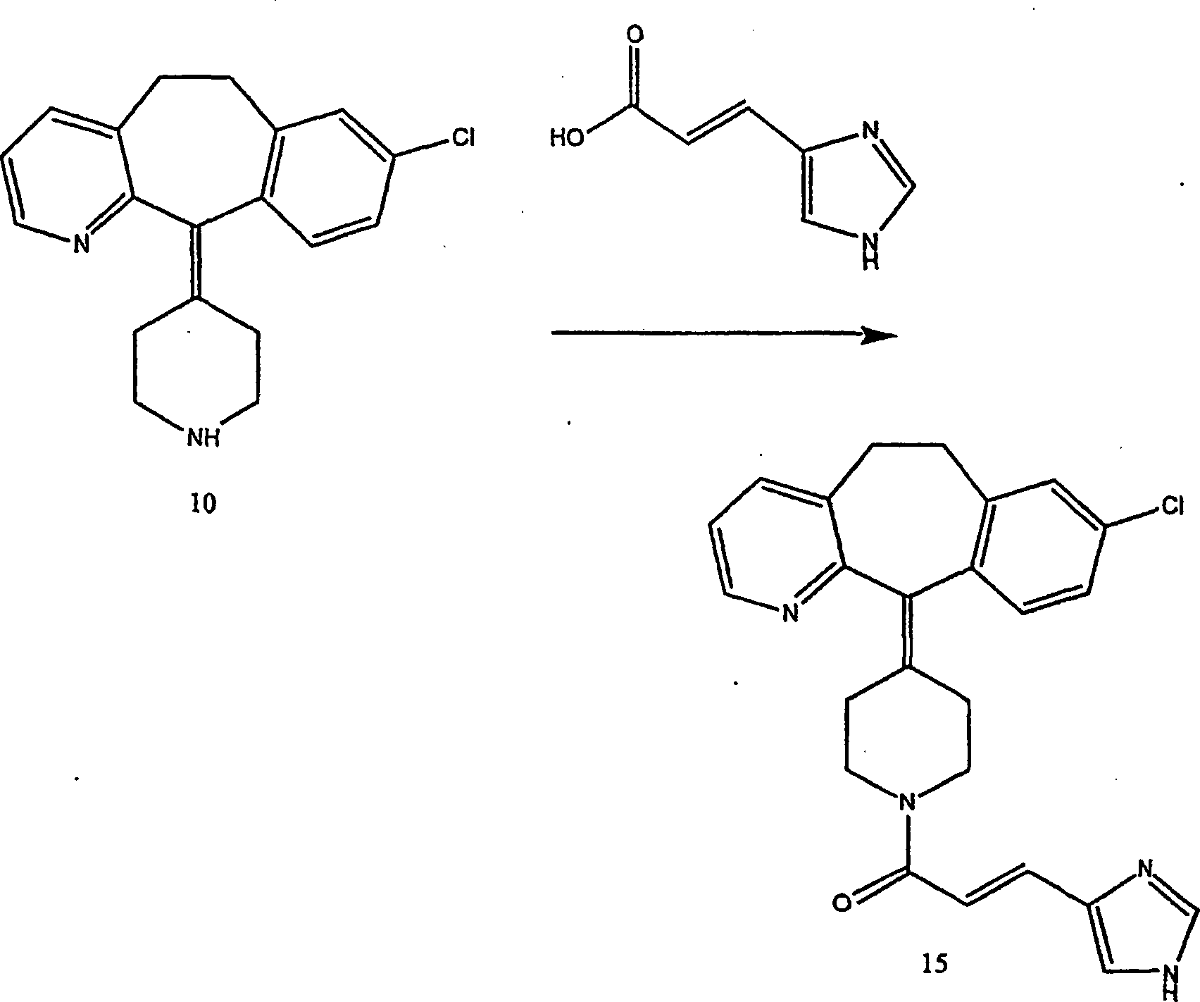
  • (i) Herstellung von 4-(8-Chlor-5,6-dihydro-11H-benzo[5,6]cyclohepta[1,2-b]pyridin-11-yl)-4-[(E)-3-(1H-imidazol-4-yl)-1-oxo-2-propenyl]piperidin (15):
  • Zu einer Lösung von Urocansäure (von Aldrich Chemicals) (1,8 g; 12,9 mmol) in wasserfreiem N,N-Dimethylformamid (65 ml) wurden 8-Chlor-6,11-dihydro-11-(4-piperidinyliden)-5H-ben zo[5,6]cyclohepta[1,2-b]pyridin (10) (4 g; 12,9 mmol), 1-(3-Dimethylaminopropyl)-3-ethylcarbodiimidhydrochlorid (2,15 g; 11,2 mmol) und Hydroxybenzotriazol. (1,74 g; 12,9 mmol) gegeben.
  • Figure 00560001
  • Die Reaktionsmischung wurde bei Raumtemperatur 48 Stunden gerührt. Es wurde Wasser zugegeben und mehrfach mit Ethylacetat extrahiert. Die organischen Phasen wurden kombiniert und mit Salzlösung gewaschen. Die organischen Phasen wurden über Natriumsulfat getrocknet und konzentriert. Der Rückstand wurde durch Flash-Säulenchromatographie gereinigt, um Verbindung (15) (24%) zu ergeben.
    • (ii) Eine Mischung des ungesättigten Amids (15) (1,3 g, 3,0 mmol) und 5 Palladium-auf-Kohle-Katalysator (1,3 g) in Methanol (40 ml) wurde bei Raumtemperatur unter einem Druck von 60 psi hydriert. Die Reaktion wurde durch Dünnschichtchro matographie überwacht. Als das Ausgangsmaterial verschwand, wurde die Reaktionsmischung durch ein Celitebett filtriert und unter vermindertem Druck konzentriert,
      Figure 00570001
      und durch präparative Dünnschichtchromatographie gereinigt, um die Titelverbindung (16) zu ergeben (C25H25ClN4·2HCl·0,3 C4H10O·2 H2O) (54%).
  • Beispiel 18. Herstellung von 8-Chlor-5,6-dihydro-11-[1-[3-(1H-imidazol-4-yl)propyl]-4-piperidinyliden]-11H-benzo[5,6]cyclohepta[1,2-b]pyridin (17):
  • Zu einer Lösung von Verbindung (16) (0,65 g; 1,5 mmol) in wasserfreiem Tetrahydrofuran (70 ml) wurde eine 1,0 M Lösung von Lithiumaluminiumhydrid in Tetrahydrofuran (4,6 ml; 4,6 mmol) gegeben. Die Mischung wurde bei Raumtemperatur 1,75 Stunde gerührt, danach mit Ethylether verdünnt und durch tropfenweise Zugabe von gesättigter Ammoniumchloridlösung gequencht.
  • Figure 00580001
  • zu gesättigter Ammoniumchloridlösung. Zu Carbonat und danach mit Ethylacetat extrahiert. Die kombinierten organischen Extrakte wurden dann über Natriumsulfat getrocknet, filtriert und konzentriert. Es wurde mittels Flash-Chromatographie gereinigt, um Titelverbindung (17) zu ergeben, (C25H27ClN4·3HCl·1,8 H2O) (79%).
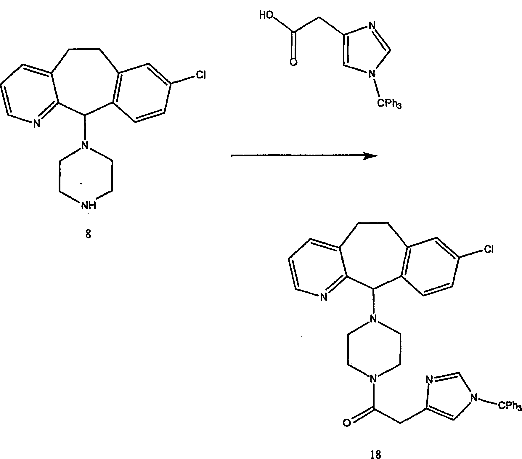
  • Beispiel 19. Herstellung von 8-Chlor-6,11-dihydro-11-[4-[2-(1H-imidazol-4-yl)ethyl]-1-piperazinyl]-5H-benzo[5,6]cyclohepta[1,2-b]pyridin:
    • (i) Zu einer Lösung von Verbindung (8) (0,1 g; 0,32 mmol) in wasserfreiem Dichlormethan (15 ml), die auf 0°C gekühlt war, wurden die tritylgeschützte Urocansäure (0,14 g, 0,38 mmol), 1-(3-Dimethylaminopropyl)-3-ethylcarbodiimidhydrochlorid (0,092 g; 0,48 mmol) und Hydroxybenzotriazol (0,065 g; 0,48 mmol) gegeben. Die Reaktion wurde 3 Stunden bei Raumtemperatur gerührt, danach mit gesättigter Lösung von Natriumcarbonat gequencht. Die wässrige Phase wurde mit Ethylacetat ex trahiert. Die kombinierten organischen Phasen wurden dann mit Salzlösung gewaschen,
      Figure 00590001
      über Kaliumcarbonat getrocknet, filtriert und konzentriert. Das Produkt wurde durch Flash-Chromatographie gereinigt, wobei mit einem Gradienten von 4 M Ammoniak in Methanol-Dichlormethan (1:9 bis 5:95) eluiert wurde, um Verbindung (18) (77%) zu ergeben.
    • (ii) Zu einer Lösung von Verbindung (18) (1,09 g; 1,6 mmol) in Tetrahydrofuran (5 ml) wurde eine 1,0 M Lösung von Lithiumaluminiumhydrid in Tetrahydrofuran (4,8 ml; 4,8 mmol) gegeben. Die Reaktion wurde 3 Stunden bei Raumtemperatur gerührt, danach mit Diethylether verdünnt und mit gesättigtem wässrigem Natriumsulfat gequencht. Der Feststoff wurde mit Ethylacetat extrahiert. Die kombinierten organischen Phasen wurden über Kaliumcarbonat getrocknet, filtriert und konzentriert.
  • Figure 00600001
  • Der Rückstand wurde durch Flash-Chromatographie gereinigt, wobei mit einem Gradienten von 4 M Ammoniak in Methanol-Dichlormethan (1:9–5:95) eluiert wurde (85%).
    • (iii) Nach einem ähnlichen Verfahren wie in Beispiel 12 wurde das Produkt aus Stufe 2 ditrityliert, um das HCl-Salz der Titelverbindung als weißen Feststoff zu ergeben, (C23H26ClN5·4 HCl).
  • Beispiel 20. Herstellung einer Mischung aus 4-(8-Chlor-6,11-dihydro-5H-benzo[5,6]cyclohepta[1,2-b]pyridin-11-yl)-1-[3-(1H-imidazol-4-yl)-1-oxopropyl]piperidin (21) und 4-(6,11-Dihydro-5H-benzo[5,6]cyclohepta[1,2-b]pyridin-11-yl)-1-[3-(1H-imidazol-4-yl)-1-oxopropyl]piperidin (22)
  • Figure 00610001
  • (i) Herstellung von 4-(8-Chlor-6,11-dihydro-5H-benzo[5,6]cyclohepta[1,2-blpyridin-11-yl)-1-[(E)-3-1H-imidazol-4-yl]-1-oxo-2-propenyl]piperidin (20):
  • Zu einer Suspension von Urocansäure (258 mg; 1,87 mmol) in N,N-Dimethylformamid (32,5 ml) wurden unter einer inerten Atmosphäre 1-(3-Dimethylaminopropyl)-3-ethylcarbodiimidhydrochlorid (358 mg; 1,87 mmol) und Hydroxybenzotriazol (201 mg; 1,49 mmol) gegeben. Die resultierende Mischung wurde auf 40°C erwärmt und weiter gerührt, bis sich alle Feststoffe gelöst hatten (etwa 10 Minuten). Zu der resultierenden Lösung wurde 8-Chlor-6,11-dihydro-11-(4-piperidinyl)-5H-benzo[5,6]cyclohepta[1,2-b]pyridin (9) (467 mg; 1,49 mmol) gegeben, und die resultierende Lösung wurde bei Raumtemperatur 17 Stunden rühren gelassen. Dann wurde Wasser (67 μl, 3,7 mmol) zugefügt, die Lösung wurde kurz gerührt und dann unter reduziertem Druck konzentriert. Das restliche Öl wurde zwischen Dichlormethan (100 ml) und Wasser (50 ml) partitioniert. Es wurde mit kleinen Volumina Methanol behandelt, und die resultierende Mi schung wurde 2 Stunden oder nach Bedarf stehen gelassen, um Trennung der emulgierten Phasen zu erhalten. Der organische Extrakt wurde durch Filtration durch ein Silikagelkissen in einem gesinterten Glastrichter getrocknet, wobei mit Dichlormethan-Methanol-konzentriertem Ammoniumhyroxid (90:9:0,5) eluiert wurde. Dann wurde das Lösungsmittel unter reduziertem Druck von dem Filtrat entfernt, um die Titelverbindung als flaumigen bräunlichen Feststoff zu erhalten. CIMS: 433, 435 (MH+; 100/47%); 461 ([M + C2H5]+; 18%).
  • (ii) Herstellung einer Mischung aus 4-(8-Chlor-6,11-dihydro-5H-benzo[5,6]cyclohepta[1,2-b]pyridin-11-yl)-1-[3-(1H-imidazol-4-yl]-1-oxopropyl]piperidin und 4-(6,11-Dihydro-5H-benzo[5,6]cyclohepta[1,2-b]pyridin-11-yl)-1-[3-(1H-imidazol-4-yl)-1-oxopropyl]piperidin (21, 22):
  • Figure 00630001
  • Eine Mischung des ungesättigten Amids 20 (480 mg; 1,11 mmol), 1,0 M etherischem Chlorwasserstoff (1,1 ml; 1,1 mmol) und 10 Palladium-auf-Kohle-Katalysator (216 mg) in wasserfreiem Methanol (40 ml) wurde 20 Stunden bei 50 psi auf einer Parr-Schüttelapparatur hydriert. Der Katalysator wurde durch Celite filtriert, das Lösungsmittel unter vermindertem Druck verdampft und der restliche Feststoff zwischen Dichlormethan (30 ml) und gesättigtem wässrigem Natriumbicarbonat (20 ml) partitioniert. Die wässrige Phase wurde mit Dichlormethan (10 ml) extrahiert. Die organischen Extrakte wurden kombiniert, mit Wasser (20 ml), anschließend Salzlösung (20 ml) gewaschen und durch Filtration durch wasserfreies Natriumsulfat getrocknet. Das Lösungsmittel wurde unter reduziertem Druck von dem Filtrat entfernt, und der Rückstand wurde im Hochvakuum getrocknet, um einen flaumigen weißen Feststoff zu erhalten, der in einer Vielfalt von DC-Systemen (variierte Anteile Dichlormethan-Methanol-Ammoniumhydroxid) einen homogenen Einzelspot mit Spuren von geringfügigen Verunreinigungen zeigte. Spektroskopische und Elementaranalysedaten zeigten, dass das Produkt eine ungefähre 2:1-Mischung des erwarteten Doppelbindungs-Reduktionsprodukts (M1) und seines dechlorierten Derivats (M2) war. FABMS: 435, 437 (M1H+; 70/25%); 401 (M2H+; 100%). Die spektroskopischen und Elementaranalysen waren im Einklang mit den folgenden Formeln: C25H27ClN4O·0,5 und C25H28N4O·H2O·0,125 CH2Cl2.
  • Beispiel 21. Herstellung von 1-(8-Chlor-6,11-dihydro-5H-benzo[5,6]cyclohepta[1,2-b]pyridin-11-yl)-4-[3-(1H-imidazol-4-yl)propylipiperazin (23):
  • Figure 00640001
    • (i) Zu einer Lösung von 1-(8-Chlor-6,11-dihydro-5H-benzo[5,6]cyclohepta[1,2-b]pyridin-11-yl)-4-[3-(1H-imidazol-4-yl)-1-oxopropyl]piperazin (14) (310 mg; 0,711 mmol) in Tetrahydrofuran (10 ml), die unter einer inerten Atmosphäre gerührt wurde, wurde mittels Spritze in kleinen Portionen im Verlauf von ungefähr 3 Minuten eine 1,0 M Lösung von Lithiumaluminiumhydrid in Tetrahydrofuran (1,60 ml; 1,60 mmol) gegeben. Die Re aktionslösung wurde bei Raumtemperatur 3 Stunden gerührt. Die Reaktion wurde unter kräftigem Rühren durch vorsichtige tropfenweise Zugabe von Wasser (61 μl), gefolgt von nacheinander 15% wässrigem Natriumhydroxid (61 μl) und Wasser (183 μl) gequencht. Der resultierende Niederschlag wurde filtriert und Lösungsmittel unter reduziertem Druck aus dem Filtrat entfernt. Der Rückstand wurde zwischen Dichlormethan (25 ml) und Wasser (20 ml) partitioniert. Die organische Phase wurde mit Salzlösung (20 ml) gewaschen, durch wasserfreies Natriumsulfat filtriert und Lösungsmittel aus dem Filtrat entfernt, um die freie Basenform der Titelverbindung als gelbes Pulver zu erhalten. Dieses wurde an Silikagel chromatographiert, wobei mit Dichlormethan-Methanol-konzentriertem Ammoniumhydroxid (90:9:0,5) eluiert wurde, um die Titelverbindung als schmutzigweißes Pulver zu erhalten, das sich bei etwa 91–98°C zu einem schaumig Gummi zersetzte. CIMS: 422,424 (MH+; 100/32%); 450, 452 ([M + C2H5]+; 14/6%).
    • (ii) Zu einer kräftig gerührten Lösung der obigen freien Base (66 mg; 0,152 mmol) in Dichlormethan (2,75 ml) wurde Diethylether (8 ml) gegeben, gefolgt von 0,115 M etherischer Maleinsäure (2,75 ml; 0,316 mmol). Der resultierende Niederschlag wurde ungefähr 5 Minuten in dem Reaktionsmedium trituriert. Der Überstand wurde dekantiert und frischer Ether (15 ml) zugefügt. Dieses Verfahren wurde zwei weitere Male wiederholt. Der hygroskopische Feststoff wurde dann rasch filtriert und im Hochvakuum über Phosphorpentoxid getrocknet, um eine Maleatsalzform der Titelverbindung zu erhalten. FABMS: 422, 424 (MH+; 86/31%); 228, 230(53/19%).
  • Die spektroskopischen und Elementaranalysen waren im Ein klang mit den folgenden Formeln: C24H28ClN5·2 C4H4O4·0,8 H2O·0,6 C4H10O (Et2O).
  • Beispiel 22. Herstellung einer Mischung aus 8-Chlor-6,11-dihydro-11-[1-[3-(1H-imidazol-4-yl)propyl]-4-piperidinyl]-5H-benzo[5,6]cyclohepta[1,2-b]pyridin (24) und 6,11-Dihydro-11-[1-[3-(1H-imidazol-4-yl]propyl]-4-piperidinyl]-5H-benzo[5,6]cyclohepta[1,2-b]pyridin (25):
  • Figure 00660001
    • (i) Zu einer Lösung der Mischung von ungesättigten Amiden (21, 22) (275 mg; 0,414 mmol) in Tetrahydrofuran (8 ml), die unter einer inerten Atmosphäre gerührt worden war, wurde im Verlauf von 3 bis 4 Minuten in kleinen Portionen mittels Spritze eine 1,0 M Lösung von Lithiumaluminiumhydrid in Tetrahydrofuran (1,28 ml; 1,28 mmol) gegeben. Die Reaktion wurde bei Raumtemperatur 4 Stunden gerührt. Die kräftig gerührte Reaktion wurde durch vorsichtige tropfenweise Zugabe von Wasser (49 μl), gefolgt von nacheinander 15 wässrigem Natriumhydroxid (49 μl) und Wasser (147 μl) gequencht. Der resultierende Niederschlag wurde filtriert und Lösungsmittel unter reduziertem Druck aus dem Filtrat entfernt. Der Rückstand wurde zwischen Dichlormethan (20 ml) und Wasser (20 ml) partitioniert. Die organische Phase wurde mit Salzlösung (20 ml) gewaschen, durch wasserfreies Natriumsulfat filtriert und das Lösungsmittel unter reduziertem Druck aus dem Filtrat entfernt. Der Rückstand wurde an Silikagel chromatographiert, wobei mit Di chlormethan-Methanol-konzentriertem Ammoniumhydroxid (90:9:0,5) eluiert wurde, um die freie Basenform der Titelmischung als weißes Pulver zu erhalten. Die spektroskopischen und Elementaranalysen waren im Einklang mit der folgenden Formel: C25H29ClN4·0,75 C25H30N4·1,25 H2O.
    • (ii) Zu einer kräftig gerührten Lösung der obigen freien Base (85 mg; 0,203 mmol) in Dichlormethan (1 ml) wurde Diethylether (3 ml) gegeben, gefolgt von 0,115 M etherischer Maleinsäure (5,29 ml; 0,608 mmol). Der resultierende Niederschlag wurde ungefähr 5 Minuten in dem Reaktionsmedium trituriert. Der Überstand wurde dekantiert und frischer Ether (3 ml) zugefügt. Dieses Verfahren wurde weitere zwei Male wiederholt, dann wurde der hygroskopische Feststoff rasch abfiltriert und unter Hochvakuum getrocknet, um die Maleatsalzform der Titelmischung zu erhalten. Spektroskopische und Elementaranalysedaten zeigten, dass das Produkt eine ungefähre 1,5:1-Mischung des chlorierten Reduktionsprodukts (M1) und seines dechlorierten Derivats (M2) war. FABMS: 421, 423 (M1H+; 65/29%); 387 (M2H+; 100%). Die spektroskopischen und Elementaranalysen waren im Einklang mit der folgenden Formel: C25H29ClN4·0,68 C25H30N4·3,6 C4H4O4·4 H2O·0,5 C4H10O (Et2O).
  • Beispiel 23. Herstellung von 1-Trityl-4-chlormethylimidazol:
  • Figure 00670001
    • (i) Im Handel erhältliches 4-Hydroxymethylimidazolhydrochlorid (von Aldrich) und Triphenylmethylchlorid wurden gemäß Literaturverfahren (Kelley, J. Med. Chem., 20 (5), 721 (1977) umgesetzt.
    • (ii) Das Produkt von Beispiel 23 (i) wurde in Benzol (464 ml) suspendiert und bis zur Trockne azeotrop destilliert, indem 50 ml Benzol abdestilliert wurden. Dann wurde Triethylamin (27,76 ml) zugefügt. Die resultierende Mischung wurde auf 0°C abgekühlt und tropfenweise im Verlauf von 10 Minuten Thionylchlorid zugegeben. Nach 35 Minuten wurden Ethylacetat und Wasser zugegeben. Die wässrige Phase wurde abgetrennt und mit Ethylacetat gewaschen. Die kombinierten organischen Extrakte wurden mit gesättigter Natriumbicarbonatlösung, danach Salzlösung gewaschen, über Kaliumcarbonat getrocknet, filtriert und konzentriert. Trocknen unter Hochvakuum und Lichtschutz ergab die Titelverbindung (b).
  • Beispiel 24. Herstellung von 8-Chlor-6,11-dihydro-11-[1H-imidazol-4-ylmethyl)-4-piperidinyl]-5H-benzo[5,6]cyclohepta(1,2-b)pyridin (26):
  • Figure 00690001
    • (i) Zu einer Lösung von Verbindung (9) (0,5 g; 1,9 mmol) in wasserfreiem Dichlormethan (10 ml) wurden das tritylgeschützte Imidazolchlorid (b) aus Beispiel 23 (0,68 g; 1,9 mmol) und Triethylamin (0,264 ml; 1,9 mmol) gegeben. Die Reaktion wurde bei Raumtemperatur über Nacht gerührt. Der Mischung wurden nacheinander Wasser (10 ml) und Ethylacetat (20 ml) zugegeben. Die wässrige Phase wurde abgetrennt und danach mit Ethylacetat (2 × 10 ml) extrahiert. Die kombinierten organischen Phasen wurden über Magnesiumsulfat getrocknet, filtriert und konzentriert. Der Rückstand wurde durch Flash-Chromatographie über SiO2 gereinigt (36%).
    • (ii) Unter Verwendung eines ähnlichen Verfahrens wie in Beispiel 12 wurde der Titelvorläufer entschützt, um das HCl-Salz der Titelverbindung als weißen Feststoff (26) zu ergeben, C23H25ClN4·3 HCl·1,5 H2O.
  • Die folgende Verbindung wurde durch Substituieren von Verbindung (10) (Beispiel 14) in dem vorhergehenden Reaktionsverfahren hergestellt: 8-Chlor-6,11-dihydro-11-(1-(4-imidazolylmethyl)-4-piperidyliden)-5H-benzo[5,6]cyclohepta[1,2-b]pyridin, C23H23ClN4·3 HCl.
  • Beispiel 25. Herstellung der Verbindung (27):
  • Dies ist in der veröffentlichten Anmeldung WO 95/10516 offenbart.
  • Beispiel 26. Herstellung der Verbindung (28):
  • Dies ist in US 5,463,074 offenbart.
  • Beispiel 27. Herstellung von 11-[4-[(1H-Imidazol-4-yl)methyl]-1-piperidinyl]-8-chlor-6,11-dihydro-5H-benzo[5,6]cyclohepta[1,2-b]pyridin (29):
  • Figure 00710001
  • Verbindungen (27) und (28) wurden kombiniert und nach dem in Beispiel 24 angegebenen Verfahren umgesetzt. Das Produkt wurde als HCl-Salz der Titelverbindung (29) erhalten, C23H25ClN4·3 HCl·2 H2O CIMS: 393 (MH+)
  • Beispiel 28. 4-(1H-Imidazol-4-yl)butyl-4-(8-chlor-6,11-dihy dro-5H-benzo[5,6]cyclohepta[1,2-b]pyridin-11-yl)-1-piperazin carboxylat (31):
  • Figure 00720001
    • (i) Zu einer gerührten Suspension von Natriumhydrid (200 mg einer 60 Dispersion; 5 mmol) in trockenem Tetrahydrofuran (25 ml) wurde im Verlauf von 10 Minuten portionsweise Alkohol-Hydrochlorid (4) (1,05 g; 2,5 mmol) gegeben. Die resultierende Suspension wurde bei Raumtemperatur 3,5 Minuten gerührt. Das Piperazinderivat (8) (706 mg; 2,25 mmol) wurde zugegeben, die Mischung mit trockenem Tetrahydrofuran (25 ml) verdünnt und die resultierende Suspension über Nacht bei Raumtemperatur rühren gelassen. Triethylamin (0,35 ml; 2,5 mmol) wurde zugegeben, gefolgt von der Zugabe von einer Lösung von Triphosgen (252 mg; 0,849 mmol) in trockenem Dichlormethan (2,5 ml) (milde Exotherme) im Verlauf von etwa 4 Minuten. Die resultierende Suspension wurde 6 Stunden bei Raumtemperatur gerührt, danach wurden die Feststoffe filtriert und mit Ethylacetat gewaschen. Das Filtrat und die Wäschen wurden kombiniert und Lösungsmittel unter reduziertem Druck entfernt. Chromatographie des Rückstands an Silikagel, wobei mit einem Gradienten von Ethylacetat-Methanol (98:2 → 95:5) eluiert wurde, ergab das tritylierte Titelprodukt (31) als weißen glasartigen Schaum. ESIMS: 722 (MH+; 85%); 243 (Ph3C+; 100%). Eine polarere Fraktion, die dem symmetrischen Harnstoff (30) entspricht, wurde auch isoliert.]
      Figure 00730001
    • (ii) Eine Mischung des obigen tritylierten Carbamat (31) (310 mg; 0,430 mmol) und 15 wässrige Salzsäure (10 ml) in Methanol (10 ml) wurde 1,5 Stunden unter Rückfluss gehalten. 6M HCl (4 ml) und Methanol (1 ml) wurde zugefügt und eine weitere Stunde unter Rückfluss gehalten. Die Lösungsmittel wurden unter vermindertem Druck entfernt. Der Rückstand wurde zwischen Dichlormethan (25 ml) und 1,1 M wässrigem Natriumbicarbonat (13 ml) partitioniert. Die wässrige Phase wurde mit Dichlormethan (3 × 25 ml) extrahiert und die kombinierten organischen Extrakte mit Wasser (2 ×) und Salzlösung gewaschen. Die organischen Phasen wurden über wasserfreiem Magnesiumsulfat getrocknet, das Trockenmittel wurde filtriert, das Lösungsmittel unter vermindertem Druck entfernt und der Rückstand unter Hochvakuum getrocknet, um das Titelprodukt (32) als freie Base zu erhalten. FABMS: 460 (MH+; 100%).
    • (iii) Zu einer Lösung der freien Base des Titelprodukts (98,4 mg; 0,205 mmol) in Methanol (4,5 ml) wurde 1,0 M etherischer Chlorwasserstoff (0,72 ml; 0,72 mmol) gegeben. Das Lösungsmittel wurde unter reduziertem Druck entfernt, und der Rückstand wurde im Hochvakuum über Phosphorpentoxid getrocknet, um das Hydrochloridsalz des Titelprodukts als blassgelben Schaum zu erhalten. CIMS: 480 (MH+; 97%); 251 (54%); 228 (100%). Die spektroskopischen und Elementaranalysen waren im Einklang mit der folgenden Formel: C26H30ClN5O2·2,6 HCl·4 H2O·0,7 CH4O (MeOH).
  • Beispiel 29. Herstellung von (+)-(8-Chlor-6,11-dihydro-5H-benzo[5,6]cyclohepta[1,2-b]pyridin-11-yl)-4-[(1H-imidazol-4-yl)methyl]piperazin (33) und (–)-(8-Chlor-6,11-dihydro-5H-benzo[5,6]cyclohepta[1,2-b]pyridin-11-yl)-4-[(1H-imidazol-4-yl)me thyl]piperazin (34):
    • (i) Eine heiße (Dampfbad) Mischung der racemischen Piperazinverbindung (8) (1 g) in 8% wässrigem Acetonitril (10 ml) wurde filtriert, was etwa 0,33 g Rückstand hinterließ. Zu dem Filtrat wurde eine heiße Lösung von N-Acetyl-L-Leucin (0,55 g) in 8% wässrigem Acetonitril (10 ml) gegeben, gefolgt von 8% wässrigem Acetonitril (8 ml). Die Lösung wurde stehen gelassen und abkühlen gelassen. Die Kristalle wurden nach 24,5 Stunden filtriert und trocknen gelassen.
  • Figure 00750001
  • Die Kristalle wurden dann mit Kaliumcarbonat (0,11 g; 0,8 mmol), Wasser (10 ml) und Dichlormethan (10 ml) gerührt. Die wässrige Phase wurde abgetrennt und mit Dichlormethan (5 ml) extrahiert. Die kombinierten Extrakte wurden mit Salzlösung gewaschen, über Natriumsulfat getrocknet, filtriert und zu einem weißen Schaum konzentriert. Das Verfahren wurde zwei weitere Male mit der ursprünglichen racemischen Mischung wiederholt, um insgesamt 0,59 g mit 82–90% ee zu ergeben. Dieses Material wurde dann in der gleichen Weise zurückgeführt, um 0,13 g mit 100% ee zu ergeben. Die kombinierten Mutterlaugen wurden wie oben konzentriert und alkalisch gemacht, danach in der gleichen Weise zwei Mal mit N-Acetyl-D-leucin behandelt, um 0,39 g mit 100% ee des entgegengesetzten Enantiomers zu ergeben.
    • (ii) Indem die jeweiligen (+)- und (–)-Enantiomere der Verbindung (i) mit dem tritylgeschützten Chlorimidazol nach dem in Beispiel 13 beschriebenen Verfahren umgesetzt wurden, wurden die folgenden Verbindungen hergestellt: (+)-(8-Chlor-6,11-dihydro-5H-benzo[5,6]cyclohepta[1,2-b]pyridin-11-yl)-4-[(1H-imidazol-4-yl)methyl]piperazin, C22H24ClN5·4 HCl3H2O CIMS: 394 (MH+). (–)-8-Chlor-6,11-dihydro-5H-benzo[5,6]cyclohepta[1,2-b]pyridin-11-yl)-4-[(1H-imidazol-4-yl)methyl]piperazin, C22H24ClN5·4 HCl·4 H2O CIMS: 394 (MH+).
  • Beispiel 30. Herstellung von 4-(8-Chlor-6,11-dihydro-5H-benzo [5,6]cyclohepta[1,2-b]pyridin-11-yl)-N-[4-(1H-imidazol-4-yl) butyl-1-piperazincarboxamid (36):
  • Figure 00760001
    • (i) Eine Lösung von Verbindung 8 (47,7 mg; 0,152 mmol) und Triethylamin (0,025 ml; 0,177 mmol) in CH2Cl2 (0,5 ml) wurde tropfenweise im Verlauf von 10 Minuten bei 20°C zu einer gerührten Lösung von Triphosgen (16,4 mg; 0,0555 mmol) in CH2Cl2 (0,4 ml) gegeben. Nachdem die Reaktionsmischung weitere 20 Minuten bei Raumtemperatur gerührt worden war, wurde tropfenweise im Verlauf von 7 Minuten bei 20°C eine Lösung des Amins (Literaturverbindung: R. Wolin et al., Bioorg. Med. Chem. Lett. 8 (1998) 2157–162) (57,2 mg; 0,15 mmol) und Triethylamin (0,015 ml; 0,177 mmol) in Dichlormethan (0,5 ml) zugegeben. Die grüngelbe Reaktion wurde bei Raumtemperatur 20,5 Stunden gerührt. Die rohe Reaktionsmischung wurde auf Silikagel geladen und chromatographiert, wobei mit einem Gradienten von Ethylacetat-Methanol (95:5 → 90:10) eluiert wurde, um das tritylierte Produkt als Feststoff (35) zu erhalten. FABMS: 721 (MH+).
  • Figure 00770001
    • (ii) Durch Verwendung eines ähnlichen Verfahrens wie in Beispiel 12 wurde der Tritylvorläufer entschützt, um das HCl-Salz der Titelverbindung (36) als hellbraunen Feststoff zu ergeben. FABMS: 479 (MH+). HRMS: (C26H32ClN6O) berechnet 479,2326, gemessen 479,2320.
  • Allgemeines Verfahren für den H1-Rezeptorbindungsassay:
  • Das verwendete Verfahren basierte auf demjenigen, das in V. T. Tran et al., "Histamine H1 receptors identified in mammalian brain membranes with [H-3]mepyramine", Proc. Natl. Acad. Sci. U.S.A. 75 (1978) 6290–6294, offenbart ist.
  • I. Gewebepräparationsprotokoll für Histamin-H1-Rezeptorbindungsassay:
    • 1. Die Gewebequelle war das Hirn männlicher Sprague-Dawley-Ratten. Diese wurden erworben, gestrippt und gefroren (erhältlich von Rockland Corporation, Gilbertsville, Pennsylvania, USA). Der verwendete Puffer war eiskalter 50 mM Tris-HCl, pH 7,5. (Der pH-Wert wurde bei 25°C ermittelt).
    • 2. Die Hirne wurden auf einer Kunststoffhülle auf dem Arbeitstisch ausgebreitet und 10 bis 15 Minuten tauen gelassen. Danach wurde alles eiskalt gehalten.
    • 3. Zwei Hirne wurden in jedes 50 ml Zentrifugenröhrchen mit rundem Boden gegeben, und es wurden 25 ml Puffer zugegeben. Dann wurden sie mit einem Polytron (von Brinkmann Instruments, Westburg, New York, USA), der mit einer FT-10-Spitze. ausgestattet war, mit der Einstellung 6 30 Sekunden lang aufgebrochen.
    • 4. Das Volumen in dem Röhrchen wurde auf 45 ml gebracht und gemischt, und das Teilchenmaterial wurde mit 1000 g (3000 UpM, SS-34-Rotor) 10 Minuten zentrifugiert, um Kerne und nicht zerbrochene Zellen zu entfernen.
    • 5. Die Pellets wurden verworfen und die Überstände 10 Minuten mit 50.000 g (20 000 UpM, SS-34-Rotor) zentrifugiert.
    • 6. Die Hochgeschwindigkeitspellets wurden in einem Volumen Trispuffer, das dem ursprünglichen entsprach (4 ml), erneut suspendiert, die Inhalte aller Röhrchen wurden zusammengegeben und eine Probe für den BCA-Proteinassay entnommen. Das Material wurde aufgeteilt, 45 ml pro Röhrchen mit Rundboden, und die Resuspension wurde erneut zentrifugiert. Die Ausbeute an Protein betrug ungefähr 20 mg/Hirn, so dass es etwa 40 mg Protein pro Röhrchen waren.
    • 7. Die Pellets wurden bei –80°C eingefroren.
  • II. H1-Histaminrezeptorbindungsassay:
  • Materialien: 96-Mulden-Tiefmuldenpolypropylenplatten, [3H]-Pyrilamin, 20–30 Ci/mmol von DuPont NEN Life Science Products, Boston, Massachusetts, USA), Chlorpheniraminmaleat (von Schering-Plough Corporation, Kenilworth, New Jersey, USA) als Standard, gelagert als gefrorene 10–5, 10–6, 10–7, 10–8 M Lösungen.
    • 1. FDCL und die Vergleichsverbindungen für den Assay wurden unabhängig durch Vortexieren oder, falls erforderlich, durch Ultraschallbehandlung mit 1 mg/ml DMSO solubilisiert. Die erste Verdünnung, 100-fach, erfolgte in 50 mM Tris-HCl, pH 7,5, bei Raumtemperatur. Die drei oder vier nachfolgenden 10-fachen seriellen Verdünnungen erfolgten in 1% DMSO/50 mM Tris-HCl, pH 7,5. Arzneimittellösungen und Assayplatten wurden während des Verlaufs des Assayaufbaus auf Raumtemperatur gehalten.
    • 2. Testverbindungen wurden bei vier oder fünf Konzentrationen untersucht: 1, 0,1, 0,01, 0,001 und 0,0001 μg/ml. Zwanzig μl Arzneimittellösung wurden in jede der drei Mulden pipettiert. Ein Chlorpheniraminmaleatstandard wurde bei 10–9 bis 10–6 M untersucht, wobei 20 μl von jeder der entsprechenden Lösungen als Dreifachproben in Mulden pipettiert wurden. Die gesamte und unspezifische Bindung (10–6 M Chlorpheniraminmaleat) wurde mindestens als Vierfachversuch ermittelt. Für die Gesamtbindung wurden 20 μl Puffer pipettiert, und für die unspezifische Bindung wurden 20 μl 10–5 M Chlorpheniraminmaleat in jede Mulde pipettiert.
    • 3. [3H]Pyrilamin wurde ungefähr 2000-fach mit eiskalter mM Tris-HCl, pH 7,5 (auf eine Arbeitskonzentration von 20–25 nM) verdünnt und auf Eis gegeben.
    • 4. Ein gefrorenes Gewebepellet wurde in einem Wasserbad mit 25°C aufgetaut, erneut in 50 mM Tris-HCl, pH 7,5, in 1,7–2 mg/ml durch kurzes Aufbrechen auf dem Polytron suspendiert und auf Eis gegeben.
    • 5. Zwanzig μl von verdünntem [3H]Pyrilamin wurden in jede Mulde gegeben.
    • 6. 150 μl Gewebesuspension wurden in jede Mulde gegeben.
    • 7. Der obere Bereich der Platte wurde abgedeckt und sie wurde 30 Minuten in ein Schüttelwasserbad mit 25°C (etwa 60 Oszillationen/Minute) gegeben.
    • 8. Die Proben wurden mit einem Tomtec Mach 2 Ernter (erhältlich von Tomtec Corporation, Orange, Connecticut, USA) durch eine GF/B-Filtermatte (von Wallac, Inc., Gaithersburg, Maryland, USA) filtriert, die in 0,3% Polyethylenimin vorgeweicht war. Jede Probe wurde drei Mal mit eiskaltem 50 mM Tris-HCl, pH 7,5, gewaschen, 20 Sekunden auf der Tomtec getrocknet und 3–4 Minuten in einem Mikrowellenofen auf einem Papierhandtuch getrocknet. Der Filter wurde mit Wachs-Szintillationsmittel der Marke MELTILEX (von Wallac Corporation) imprägniert und mit einem Betaplate Szintillationszähler (von Wallac Corporation) gezählt.
    • 9. Die spezifische Bindung wurde als Unterschied zwischen gesamter und unspezifischer Bindung bestimmt. Die prozentuale Inhibierung in Gegenwart von Inhibitor oder Standard wurde mit der folgenden Formel bestimmt: [1-(Probebindung – unspezifische Bindung)/spezifische Bindung] × 100
  • Bei Verbindungen, die mehr als 50% bei 1 μg/ml inhibieren, wurde der IC50-Wert aus Näherungskonzentrationen interpoliert. Der Wert wurde unter Verwendung des Formelgewichts der Verbindung in einen Wert in nM umgerechnet, und der Ki-Wert wurde unter Verwendung der Gleichung von Cheng und Prusoff berechnet: (Ki = IC50/(1 + [L]/KD), [Y -C. Cheng und W. H. Prusoff, "Relationship between the inhibitory constant (Kj) and the concentration of inhibitor which causes 50 per cent inhibition (IC50) of an enzymatic reaction", Biochem. Pharmacol. 22 (1973) 3099–3108]. Ein niedriger Wert von Ki zeigt größere Bindungsaffinität.
  • Allgemeines Verfahren für den H3-Rezeptorbindungsassay:
  • Die Quelle für die H3-Rezeptoren in diesem Experiment war Meerschweinchenhirn. Die Tiere wogen 400–600 g. Das Hirngewebe wurde mit einer Lösung von 50 mM Tris, pH 7,5, homogenisiert. Die Endkonzentration von Gewebe in dem Homogenisierungspuffer betrug 10% Gew./Vol. Die Homogenisate wurden mit 1000 g 10 Minuten zentrifugiert, um Gewebeklumpen und Trümmer zu entfernen. Die resultierenden Überstände wurden dann mit 50.000 × g 20 Minuten zentrifugiert, um die Membranen zu sedimentieren, die danach drei Mal in Homogenisierungspuffer gewaschen wurden (50.000 × g jeweils 20 Minuten). Die Membranen wurden gefroren und bis zum Gebrauch bei –70°C gelagert.
  • Alle zu testenden Verbindungen wurden in DMSO gelöst und danach mit dem Bindungspuffer (50 mM Tris, pH 7,5) mit 0,1 DMSO verdünnt, so dass die Endkonzentration 2 μg/ml betrug. Dann wurden den Reaktionsröhrchen Membranen zugefügt (400 μg Protein). Die Reaktion wurde durch Zugabe von 3 nM [3H]R-α-Methylhistamin (8,8 Ci/mmol) oder 3 nM [3H]Nα-Methylhistamin (80 Ci/mmol) gestartet und unter Inkubation bei 30°C 30 Minuten fortgesetzt. Gebundener Ligand wurde durch Filtration von ungebundenem Ligand getrennt, und die Menge an radioaktivem Ligand, der an die Membranen gebunden war, wurde durch Flüssigszintillationsspektrometrie quantifiziert. Alle Inkubationen wurden doppelt durchgeführt, und die Standardabweichung war immer weniger als 10 Verbindungen, die mehr als 70 der spezifischen Bindung von radioaktivem Liganden an den Rezeptor inhibierten, wurden seriell verdünnt, um ein Ki (nM) zu bestimmen. Die Ergebnisse sind in Tabelle 1 für das HCl-Salz der gezeigten Verbindungen angegeben. Tabelle 1
    Figure 00830001
    Figure 00840001
    Figure 00850001
    Figure 00860001
    Figure 00870001
  • Es ist aus diesen Testergebnissen für den versierten Fachmann offensichtlich, dass die erfindungsgemäßen Verbindungen zur Behandlung von Entzündung, Allergie, Erkrankungen des Gastrointestinaltrakts, Herz-Kreislauf-Erkrankung, Nasenschwellung, Erkrankungen des zentralen Nervensystems und ähnlichen Erkrankungen nützlich sind, die bereits angegeben wurden.

Claims (22)

  1. Verbindung einschließlich Enantiomeren, Stereoisomeren und Tautomeren davon, oder pharmazeutisch annehmbare Salze oder Solvate der Verbindung, wobei die Verbindung die in Formel I gezeigte allgemeine Struktur hat:
    Figure 00880001
    worin: f = 0, 1 oder 2 ist; X und Y unabhängig ausgewählt sind aus der Gruppe bestehend aus N, CH oder N-Oxid; G eine Einheit ausgewählt aus der Gruppe bestehend aus den Einheiten II, III und IV ist, wobei das obere Ende von II, III und IV mit der tricyclischen Einheit verbunden ist und das untere Ende von II, III und IV an M gebunden ist:
    Figure 00890001
    wobei s = t = 1 oder 2; und p = q = 0, 1 oder 2; M eine Einheit ausgewählt aus der Gruppe bestehend aus C1-C3-Alkyl; -C(O)-(CH2)y-; -(CH2)x-A-(CH2)-; -C(O)-O-(CH2)d- und -C(O)-NR3(CH2)d- ist; A = O, S(O)r- und -NR4- ist; n = 0, 1, 2 oder 3 ist; x eine ganze Zahl im Bereich von 2 bis 5 ist; y eine ganze Zahl im Bereich von 0 bis 5 ist; d eine Zahl im Bereich von 0 bis 5 ist; r = 0, 1 oder 2 ist; R1 und R2 jeweils 1–3 Mal vorkommen können und unabhängig ausgewählt sind aus der Gruppe bestehend aus Wasserstoff, C1-C6-Alkyl, -O-(C1-C6)-Alkyl, Halogen, OCF3, OCHF2, -OH, und -N(R4)2; R3 ausgewählt ist aus der Gruppe bestehend aus Wasserstoff, C1-C6-Alkyl und Polyhalogen-C1-C6-alkyl; R4 ausgewählt ist aus der Gruppe bestehend aus Wasserstoff, C1-C6-Alkyl, Polyhalogen-C1-C6-alkyl und R5 H, -(C1-C6)-Alkyl oder OH ist.
  2. Verbindung nach Anspruch 1, wobei R1 und R2 unabhängig ausgewählt sind aus H, Halogen, Hydroxy oder -O-(C1-C6-Alkyl) und f 1 ist.
  3. Verbindung nach Anspruch 2, bei der X N ist und Y CH ist.
  4. Verbindung nach Anspruch 2, bei der G
    Figure 00900001
    ist, wobei s und t wie definiert sind.
  5. Verbindung nach Anspruch 2, bei der G
    Figure 00900002
    ist, wobei p und q wie definiert sind.
  6. Verbindung nach Anspruch 2, bei der G
    Figure 00910001
    ist, wobei p und q wie definiert sind.
  7. Verbindung nach Anspruch 4, bei der G
    Figure 00910002
    ist und M eine Alkylgruppe ist, die 1 bis 6 Kohlenstoffatome enthält.
  8. Verbindung nach Anspruch 6, bei der G
    Figure 00910003
    ist und M eine Alkylgruppe ist, die 1 bis 6 Kohlenstoffatome enthält.
  9. Verbindung nach Anspruch 1, bei der X N ist, Y CH ist, R1 H ist, R2 Cl ist und R5 H ist.
  10. Verbindung nach Anspruch 5, bei der p = q = 1 ist und M eine Alkylgruppe ist, die 1 bis 6 Kohlenstoffatome enthält.
  11. Verbindung nach Anspruch 2, bei der M -C(O)(CH2)g ist, wobei g eine Zahl von 0 bis 3 ist.
  12. Verbindung nach Anspruch 2, bei der M -C(O)-NR3-(CH2)d- ist, wobei d eine Zahl von 0 bis 5 ist.
  13. Verbindung nach Anspruch 1, bei der G
    Figure 00920001
    ist, M eine Alkylgruppe ist, die 1 bis 6 Kohlenstoffatome enthält, Y N ist, Y CH ist, R1 und R5 H sind und R2 Cl ist.
  14. Pharmazeutische Zusammensetzung, die eine Verbindung nach Anspruch 1 als aktiven Bestandteil enthält.
  15. Pharmazeutische Zusammensetzung zur Verwendung bei der Behandlung von Entzündung, Allergie, allergischer Rhinitis, Schwellungen der Nase, Erkrankungen des Gastrointestinaltrakts, kardiovaskulärer Erkrankung oder Störung des zentralen Nervensystems sowie allergieinduzierten Re aktionen der Luftwege und Fettleibigkeit, wobei die Zusammensetzung eine Verbindung nach Anspruch 1 als aktiven Bestandteil enthält.
  16. Pharmazeutische Zusammensetzung nach Anspruch 15, die außerdem einen pharmazeutisch annehmbaren Träger enthält.
  17. Verwendung einer Verbindung gemäß Anspruch 1 zur Herstellung eines Medikaments zur Behandlung von Entzündung, Allergie, Schwellungen der Nase, Erkrankungen des Gastrointestinaltrakts, kardiovaskulärer Erkrankung oder Störung des zentralen Nervensystems sowie allergieinduzierten Reaktionen der Luftwege und Fettleibigkeit.
  18. Verfahren zur Herstellung einer pharmazeutischen Zusammensetzung zur Behandlung von Entzündung, Allergie, Schwellungen der Nase, Erkrankungen des Gastrointestinaltrakts, kardiovaskulärer Erkrankung oder Störung des zentralen Nervensystems sowie allergieinduzierten Reaktionen der Luftwege und Fettleibigkeit, bei dem eine Verbindung gemäß Anspruch 1 und ein pharmazeutisch annehmbarer Träger in innigen Kontakt gebracht werden.
  19. Verbindung, die H3-Antagonistaktivität zeigt, einschließlich Enantiomeren, Stereoisomeren und Tautomeren der Verbindung, oder pharmazeutisch annehmbaren Salzen oder Solvaten der Verbindung, wobei die Verbindung aus den Verbindungen mit den nachfolgend aufgeführten Strukturen ausgewählt ist:
    Figure 00940001
    Figure 00950001
    Figure 00960001
    Figure 00970001
  20. Verbindung, die sowohl H1- als auch H3-Antagonistaktivität zeigt, einschließlich Enantiomeren, Stereoisomeren und Tautomeren der Verbindung, oder pharmazeutisch annehmbaren Salzen oder Solvaten der Verbindung, wobei die Verbindung aus den Verbindungen mit den nachfolgend aufgeführten Strukturen ausgewählt ist:
    Figure 00970002
    Figure 00980001
    Figure 00990001
  21. Verbindung, die H1-Antagonistaktivität zeigt, einschließlich Enantiomeren, Stereoisomeren und Tautomeren der Verbindung, oder pharmazeutisch annehmbaren Salzen oder Solwaten der Verbindung, wobei die Verbindung aus den Ver bindungen mit den nachfolgend aufgeführten Strukturen ausgewählt ist:
    Figure 01000001
  22. Pharmazeutische Zusammensetzung zur Behandlung von Entzündung, Allergie, Erkrankungen des Gastrointestinaltrakts, kardiovaskulärer Erkrankung, Schwellungen der Na se oder Erkrankungen des zentralen Nervensystems sowie allergieinduzierten Reaktionen der Luftwege und Fettleibigkeit, wobei die Zusammensetzung eine therapeutisch wirksame Menge einer Verbindung gemäß Anspruch 19, Anspruch 20 oder Anspruch 21 und einen pharmazeutisch annehmbaren Träger enthält.
DE60133014T 2000-09-20 2001-09-18 Substituierte imidazole als duale histamin h1 und h3 agonisten oder antagonisten Expired - Lifetime DE60133014T2 (de)

Applications Claiming Priority (3)

Application Number Priority Date Filing Date Title
US23405300P 2000-09-20 2000-09-20
US234053P 2000-09-20
PCT/US2001/029095 WO2002024659A2 (en) 2000-09-20 2001-09-18 Substituted imidazoles as dual histamine h1 and h3 agonists or antgonists

Publications (2)

Publication Number Publication Date
DE60133014D1 DE60133014D1 (de) 2008-04-10
DE60133014T2 true DE60133014T2 (de) 2009-02-26

Family

ID=22879692

Family Applications (1)

Application Number Title Priority Date Filing Date
DE60133014T Expired - Lifetime DE60133014T2 (de) 2000-09-20 2001-09-18 Substituierte imidazole als duale histamin h1 und h3 agonisten oder antagonisten

Country Status (15)

Country Link
US (1) US6506756B2 (de)
EP (1) EP1318994B1 (de)
JP (1) JP2004509871A (de)
CN (1) CN1461303A (de)
AR (1) AR030946A1 (de)
AT (1) ATE387439T1 (de)
AU (1) AU2001292730A1 (de)
CA (1) CA2421826C (de)
DE (1) DE60133014T2 (de)
ES (1) ES2300364T3 (de)
HK (1) HK1052179A1 (de)
MX (1) MXPA03002448A (de)
MY (1) MY117975A (de)
TW (1) TW589303B (de)
WO (1) WO2002024659A2 (de)

Families Citing this family (8)

* Cited by examiner, † Cited by third party
Publication number Priority date Publication date Assignee Title
US6607862B2 (en) 2001-08-24 2003-08-19 Intel Corporation Damascene extreme ultraviolet lithography alternative phase shift photomask and method of making
US7105505B2 (en) 2002-04-18 2006-09-12 Schering Corporation Benzimidazole derivatives useful as histamine H3 antagonists
NZ535764A (en) * 2002-04-18 2007-10-26 Schering Corp 1-(4-piperidinyl) benzimidazolones as histamine H3 antagonists
WO2003088967A1 (en) * 2002-04-18 2003-10-30 Schering Corporation (1-4-piperidinyl) benzimidazole derivatives useful as histamine h3 antagonists
NL1026634C2 (nl) * 2004-07-12 2006-01-16 Willem Jacob Van Der Burg Psychofarmaceutisch preparaat en werkzame stof daarin.
WO2013151982A1 (en) 2012-04-03 2013-10-10 Arena Pharmaceuticals, Inc. Methods and compounds useful in treating pruritus, and methods for identifying such compounds
US9224955B1 (en) * 2014-10-31 2015-12-29 Feng-wen Yen Purifying method for organic optoelectronic material
CN113880808B (zh) * 2020-07-03 2024-12-31 合肥医工医药股份有限公司 一类三唑类化合物、制备方法及其医药用途

Family Cites Families (12)

* Cited by examiner, † Cited by third party
Publication number Priority date Publication date Assignee Title
FR2586562B1 (fr) 1985-09-02 1989-03-10 Inst Nat Sante Rech Med Composition pharmaceutique contenant de l'a-methylhistamine
DE68916699T2 (de) * 1988-04-28 1994-12-01 Schering Corp Benzopyridopiperidin, -piperidyliden und -piperazin-Verbindungen, Zusammensetzungen, Methoden zur Herstellung und Verwendung.
GB8916947D0 (en) 1989-07-25 1989-09-13 Smith Kline French Lab Medicaments
DE59006842D1 (de) 1990-03-30 1994-09-22 Heumann Pharma Gmbh & Co Verwendung von Guanidinderivaten zur Herstellung eines Arzneimittels mit NPY-antagonistischer Wirkung.
GB9115740D0 (en) 1991-07-20 1991-09-04 Smithkline Beecham Plc Medicaments
NZ246295A (en) 1991-12-18 1996-06-25 Schering Corp Imidazolylalkyl derivatives and pharmaceutical compositions; histamine h3 agonists and antagonists
US5352707A (en) 1992-03-26 1994-10-04 Harbor Branch Oceanographic Institution, Inc. Method for treating airway congestion
AU693142B2 (en) 1993-11-15 1998-06-25 Schering Corporation Phenyl-alkyl imidazoles as H3-receptor antagonists
FR2732017B1 (fr) * 1995-03-21 2000-09-22 Inst Nat Sante Rech Med Nouveaux derives de l'imidazole antagonistes et/ou agonistes du recepteur h3 de l'histamine, leur preparation et leurs applications therapeutiques
ES2174447T3 (es) 1997-06-24 2002-11-01 Novo Nordisk As Uso de agonistas y antagonistas de somatostatina para el tratamiento de enfermedades oculares.
US5869479A (en) 1997-08-14 1999-02-09 Schering Corporation Treatment of upper airway allergic responses
EP1098882B1 (de) 1998-07-24 2004-08-25 Russinsky Limited Verfahren zur herstellung von benzocycloheptapyridin-11-one

Also Published As

Publication number Publication date
TW589303B (en) 2004-06-01
HK1052179A1 (zh) 2003-09-05
WO2002024659A3 (en) 2002-10-24
JP2004509871A (ja) 2004-04-02
CN1461303A (zh) 2003-12-10
ES2300364T3 (es) 2008-06-16
CA2421826C (en) 2009-10-27
CA2421826A1 (en) 2002-03-28
AU2001292730A1 (en) 2002-04-02
DE60133014D1 (de) 2008-04-10
US20020086859A1 (en) 2002-07-04
MY117975A (en) 2004-08-30
MXPA03002448A (es) 2003-06-19
WO2002024659A2 (en) 2002-03-28
AR030946A1 (es) 2003-09-03
US6506756B2 (en) 2003-01-14
EP1318994B1 (de) 2008-02-27
EP1318994A2 (de) 2003-06-18
ATE387439T1 (de) 2008-03-15

Similar Documents

Publication Publication Date Title
DE69628556T2 (de) Tricyclische verbindungen als inhibitoren von farnesyl protein transferase
DE60022386T2 (de) Substituierte imidazole als neuropeptide y y5 rezeptor antagonisten
DE60309598T2 (de) Als histamin-h3-antagonisten geeignete indolderivate
EP0877744B1 (de) Substituierte aza- und diazacycloheptan- und -cyclooctanverbindungen und deren verwendung
DE69919361T2 (de) Pyridyl-ether und -thioether als nikotin-acetylcholin-rezeptorliganden und ihre therapeutische anwendung
EP1228060A1 (de) Arylalkane, arylalkene und aryl-azaalkane, diese verbindungen enthaltende arzneimittel und verfahren zu ihrer herstellung
DE69819903T2 (de) Bicyclische verbindungen als liganden der 5-ht1 rezeptoren
DE602004009796T2 (de) Imidazolderivate als glutamatrezeptorantagonisten
DE69922528T2 (de) N-imidazolyl-alkyl substituierte cyklische amine als histamin-h3 agonisten oder antagonisten
DE69414855T2 (de) N-(piperidinyl-1-alkyl)-substituierte cyclohexancarbonsäureamide als 5ht1a rezeptor antagonisten
DE60107586T2 (de) Substituierte imidazole als duale histamine h1 und h3 agonisten oder antagonisten
DE60133014T2 (de) Substituierte imidazole als duale histamin h1 und h3 agonisten oder antagonisten
DE69825608T2 (de) Benzo[5,6]cycloheptapyridin derivate anwendbar als farnesyl protein transferase inhibitoren
DE69920516T2 (de) Substituierte oxime und hydrazone als neurokinin antagonisten
DE69634183T2 (de) Substituierte Heterocyclen
DE69926078T2 (de) Farnesyl-protein transferase inhibitoren
DE69827614T2 (de) Chinoxalindionen
EP1318993B1 (de) Substituierte imidazole als duale histamin h1 und h3 agonisten oder antagonisten
EP1318983B1 (de) Substituierte imidazole als histamine h1 und h3 agonisten oder antagonisten
DE69722002T2 (de) Tricyclische n-cyanoimine als inhibitoren der farnesyl-protein transferase
DE69817826T2 (de) Benzo[5,6]cyclohepta[1,2b]pyridine derivate anwendbar als farnesyl protein transferase inhibitoren
DE69724130T2 (de) Substituierte benzocycloheptapyridine derivate verwendbar als farnesyl protein transferase inhibitoren

Legal Events

Date Code Title Description
8364 No opposition during term of opposition