CN1218373C - 钛的缓蚀 - Google Patents
钛的缓蚀 Download PDFInfo
- Publication number
- CN1218373C CN1218373C CN018080197A CN01808019A CN1218373C CN 1218373 C CN1218373 C CN 1218373C CN 018080197 A CN018080197 A CN 018080197A CN 01808019 A CN01808019 A CN 01808019A CN 1218373 C CN1218373 C CN 1218373C
- Authority
- CN
- China
- Prior art keywords
- composition
- base material
- alkyl
- titanium
- general formula
- Prior art date
- Legal status (The legal status is an assumption and is not a legal conclusion. Google has not performed a legal analysis and makes no representation as to the accuracy of the status listed.)
- Expired - Fee Related
Links
Images
Classifications
-
- H—ELECTRICITY
- H01—ELECTRIC ELEMENTS
- H01L—SEMICONDUCTOR DEVICES NOT COVERED BY CLASS H10
- H01L21/00—Processes or apparatus adapted for the manufacture or treatment of semiconductor or solid state devices or of parts thereof
- H01L21/02—Manufacture or treatment of semiconductor devices or of parts thereof
- H01L21/02041—Cleaning
- H01L21/02057—Cleaning during device manufacture
- H01L21/02068—Cleaning during device manufacture during, before or after processing of conductive layers, e.g. polysilicon or amorphous silicon layers
- H01L21/02071—Cleaning during device manufacture during, before or after processing of conductive layers, e.g. polysilicon or amorphous silicon layers the processing being a delineation, e.g. RIE, of conductive layers
-
- G—PHYSICS
- G03—PHOTOGRAPHY; CINEMATOGRAPHY; ANALOGOUS TECHNIQUES USING WAVES OTHER THAN OPTICAL WAVES; ELECTROGRAPHY; HOLOGRAPHY
- G03F—PHOTOMECHANICAL PRODUCTION OF TEXTURED OR PATTERNED SURFACES, e.g. FOR PRINTING, FOR PROCESSING OF SEMICONDUCTOR DEVICES; MATERIALS THEREFOR; ORIGINALS THEREFOR; APPARATUS SPECIALLY ADAPTED THEREFOR
- G03F7/00—Photomechanical, e.g. photolithographic, production of textured or patterned surfaces, e.g. printing surfaces; Materials therefor, e.g. comprising photoresists; Apparatus specially adapted therefor
- G03F7/26—Processing photosensitive materials; Apparatus therefor
- G03F7/42—Stripping or agents therefor
-
- C—CHEMISTRY; METALLURGY
- C09—DYES; PAINTS; POLISHES; NATURAL RESINS; ADHESIVES; COMPOSITIONS NOT OTHERWISE PROVIDED FOR; APPLICATIONS OF MATERIALS NOT OTHERWISE PROVIDED FOR
- C09D—COATING COMPOSITIONS, e.g. PAINTS, VARNISHES OR LACQUERS; FILLING PASTES; CHEMICAL PAINT OR INK REMOVERS; INKS; CORRECTING FLUIDS; WOODSTAINS; PASTES OR SOLIDS FOR COLOURING OR PRINTING; USE OF MATERIALS THEREFOR
- C09D9/00—Chemical paint or ink removers
-
- G—PHYSICS
- G03—PHOTOGRAPHY; CINEMATOGRAPHY; ANALOGOUS TECHNIQUES USING WAVES OTHER THAN OPTICAL WAVES; ELECTROGRAPHY; HOLOGRAPHY
- G03F—PHOTOMECHANICAL PRODUCTION OF TEXTURED OR PATTERNED SURFACES, e.g. FOR PRINTING, FOR PROCESSING OF SEMICONDUCTOR DEVICES; MATERIALS THEREFOR; ORIGINALS THEREFOR; APPARATUS SPECIALLY ADAPTED THEREFOR
- G03F7/00—Photomechanical, e.g. photolithographic, production of textured or patterned surfaces, e.g. printing surfaces; Materials therefor, e.g. comprising photoresists; Apparatus specially adapted therefor
- G03F7/26—Processing photosensitive materials; Apparatus therefor
- G03F7/42—Stripping or agents therefor
- G03F7/422—Stripping or agents therefor using liquids only
- G03F7/425—Stripping or agents therefor using liquids only containing mineral alkaline compounds; containing organic basic compounds, e.g. quaternary ammonium compounds; containing heterocyclic basic compounds containing nitrogen
-
- H—ELECTRICITY
- H01—ELECTRIC ELEMENTS
- H01L—SEMICONDUCTOR DEVICES NOT COVERED BY CLASS H10
- H01L21/00—Processes or apparatus adapted for the manufacture or treatment of semiconductor or solid state devices or of parts thereof
- H01L21/02—Manufacture or treatment of semiconductor devices or of parts thereof
- H01L21/02041—Cleaning
- H01L21/02057—Cleaning during device manufacture
- H01L21/0206—Cleaning during device manufacture during, before or after processing of insulating layers
- H01L21/02063—Cleaning during device manufacture during, before or after processing of insulating layers the processing being the formation of vias or contact holes
-
- H—ELECTRICITY
- H01—ELECTRIC ELEMENTS
- H01L—SEMICONDUCTOR DEVICES NOT COVERED BY CLASS H10
- H01L21/00—Processes or apparatus adapted for the manufacture or treatment of semiconductor or solid state devices or of parts thereof
- H01L21/02—Manufacture or treatment of semiconductor devices or of parts thereof
- H01L21/04—Manufacture or treatment of semiconductor devices or of parts thereof the devices having potential barriers, e.g. a PN junction, depletion layer or carrier concentration layer
- H01L21/18—Manufacture or treatment of semiconductor devices or of parts thereof the devices having potential barriers, e.g. a PN junction, depletion layer or carrier concentration layer the devices having semiconductor bodies comprising elements of Group IV of the Periodic Table or AIIIBV compounds with or without impurities, e.g. doping materials
- H01L21/30—Treatment of semiconductor bodies using processes or apparatus not provided for in groups H01L21/20 - H01L21/26
- H01L21/31—Treatment of semiconductor bodies using processes or apparatus not provided for in groups H01L21/20 - H01L21/26 to form insulating layers thereon, e.g. for masking or by using photolithographic techniques; After treatment of these layers; Selection of materials for these layers
- H01L21/3105—After-treatment
- H01L21/311—Etching the insulating layers by chemical or physical means
- H01L21/31127—Etching organic layers
- H01L21/31133—Etching organic layers by chemical means
- H01L21/31138—Etching organic layers by chemical means by dry-etching
Landscapes
- Engineering & Computer Science (AREA)
- General Physics & Mathematics (AREA)
- Physics & Mathematics (AREA)
- Chemical & Material Sciences (AREA)
- Manufacturing & Machinery (AREA)
- Power Engineering (AREA)
- Microelectronics & Electronic Packaging (AREA)
- Computer Hardware Design (AREA)
- Condensed Matter Physics & Semiconductors (AREA)
- Chemical Kinetics & Catalysis (AREA)
- General Chemical & Material Sciences (AREA)
- Life Sciences & Earth Sciences (AREA)
- Organic Chemistry (AREA)
- Wood Science & Technology (AREA)
- Materials Engineering (AREA)
- Exposure Of Semiconductors, Excluding Electron Or Ion Beam Exposure (AREA)
- Cleaning Or Drying Semiconductors (AREA)
- Detergent Compositions (AREA)
- Photosensitive Polymer And Photoresist Processing (AREA)
- Preventing Corrosion Or Incrustation Of Metals (AREA)
- ing And Chemical Polishing (AREA)
Abstract
一种用来清除基材上的阻抗物、聚合物和/或刻蚀残余物的组合物,所述基材含有钛或钛合金,所述组合物含有羟胺或其衍生物以及至少一种具有如下通式(I)的化合物,其中:R1和R3各自独立地选自H、OH、CO2H、卤素、C1-C3烷基、C1-C3烷氧基或(CH2)nOH,其中n是1,2或3;R2选自C9-C16烷基或C9-C16烷氧基。
Description
技术领域
本发明涉及钛的缓蚀,具体来说,本发明涉及用于钛的缓蚀的化合物、组合物和方法。
背景技术
钛用于半导体结构的金属镀层中。纯钛和钛合金都可以用作防止特定原子电迁移的屏蔽层,和/或作为其它金属表面的抗反射层。由于半导体制造中互连尺寸的减小,从而可以用钛代替铝作为半导体材料的金属镀层,而腐蚀和电解侵蚀是损害互连的主要因素。
钛形成表面氧化物薄层,而缓蚀作用与该表面层的保持状况有关。钛是两性金属,其在低的pH值和高的pH值下均易溶解(腐蚀)。发生在中性pH值溶液中的少量腐蚀可使阴极区的pH值降低,并使阳极区的pH值升高。能够减少这种pH值变化的缓冲化学物质可以抑制腐蚀。能和表面氧化物层络合的有机分子不但能抑制裂缝形成,而且能使金属稳定。
抑制钛的腐蚀非常重要:在0.25μm的工艺中,40nm的结构只有大约100个钛原子的厚度,仅失去少数原子就能对电路的性能和耐久性产生明显的影响。
因为集成电路的制造变得越来越复杂,装配在硅或其他半导体晶片上的电路元件的尺寸也越来越小,所以要求不断地改进从这些材料上清除光致抗蚀剂、其它聚合物及其所形成的残余物的技术。在基材内部形成图形的制造过程中,光致抗蚀剂和其它聚合物如聚酰亚胺通常要经过离子植入、等离子体刻蚀、活性离子刻蚀或离子研磨。在半导体制造过程中,继上述操作之后,通常还要采用氧的等离子体氧化来清除所述的光致抗蚀剂和其它聚合物。这些高能过程可导致光致抗蚀剂硬化以及在所制作的结构侧壁上形成有机金属化合物及其他残余物。在晶片加工过程中,为了除去阻抗残余物和等离子体刻蚀沉积物,在后金属化(post-metallisation)阶段可以采用含有羟胺的活性剥离剂(stripper)溶液。本申请人的美国专利5279771和5334332公开了适用于这些过程的活性剥离剂溶液的例子。然而,羟胺也会对钛层产生化学作用,从而使钛层腐蚀。
此前,将苯磷二酚加入到某种活性剥离剂中用以稳定羟胺,此时发现添加苯磷二酚对钛的腐蚀有抑制作用。尽管苯磷二酚的作用方式还不清楚,但据推测,苯磷二酚通过和该固体结合或通过影响界面的pH值,或是二者兼有,可以降低表面反应活性。
发明内容
虽然,苯磷二酚在一定程度上可抑制钛腐蚀,但提供改进的缓蚀剂将更为有利。而且,由于苯磷二酚有毒性,所以人们希望找到它的替代物。于是,在一个首要的实施例中,本发明提供了一种用来清除基材上的阻抗物、聚合物和/或刻蚀残余物的组合物,所述组合物合有羟胺或其衍生物以及至少一种具有如下通式(I)的化合物:
式(I)
其中:
R1和R3各自独立地选自H、OH、CO2H、卤素、C1-C3烷基、C1-C3烷氧基或(CH2)nOH,其中n是1,2或3;R2选自C9-C16烷基或C9-C16烷氧基。
优选地,R2选自C9、C10、C11或C12烷基,或选自C9、C10、C11或C12烷氧基。
根据本发明,在半导体集成电路的制造中,所述组合物作为清除阻抗物质的剥离组合物特别有用。本发明的组合物能够清除的阻抗物质包括阳性光致抗蚀剂,所述光致抗蚀剂包括例如,邻-萘醌二叠氮磺酸酯或含有线型酚醛清漆粘合剂或树脂的胺化物敏化剂。该组合物还可用于清除硬化和未硬化的阻抗聚合物,这些阻抗聚合物包括例如,聚酰亚胺、在等离子体刻蚀过程中在基材上形成的有机金属聚合物、侧壁上的聚合物和金属氧化残余物。
在半导体集成电路的制造中,本发明的组合物还可作为清洗组合物,用来清除刻蚀残余物。
适当的基材的例子包括含钛及其合金的金属基材,例如钛/钨、钛/铝、钛/铜、钛/钨/铝、钛/铜/铝、钛/钨/铜和钛/钨/铜/铝合金。所述基材还可包括例如,表层含钛或钛合金的半导体晶片。适当的基材的例子是半导体工业中所熟知的,包括硅、氧化硅、氮化硅、砷化镓以及塑料如聚碳酸酯,所述塑料的表层至少有一部分含钛或钛合金。
含有具有通式(I)的化合物的本发明的组合物优选自3,4,5-三羟基壬基苯、3,4,5-三羟基癸基苯、3,4,5-三羟基十一烷基苯、3,4,5-三羟基十二烷基苯和3,4,5-三羟基十三烷基苯中的一种或多种。
所述组合物进而优选地含有溶剂,例如极性溶剂,优选该溶剂易与羟胺相混合。适当的例子包括选自以下物质中一种或多种的溶剂,这些物质包括链烷醇胺、水、二甲亚砜、乙二醇,乙二醇烷基醚,二甘醇烷基醚(例如,二甘醇丁醚)、三甘醇烷基醚(例如,三甘醇丁醚)、丙二醇、丙二醇烷基醚,缩二丙二醇烷基醚(例如,缩二丙二醇乙基醚)、缩三丙二醇烷基醚、N-取代吡咯烷酮(例如,N-甲基-2-吡咯烷酮)、乙二胺、乙三胺、二亚乙基三胺、二甲基甲酰胺和二甲基乙酰胺。最优选的溶剂是链烷醇胺。溶剂的加入增强了该组合物的效果,特别是将其作为清除基材上的阻抗物的剥离剂时。
在一个优选实施方案中,所述组合物含有至少5wt%的羟胺,至少10wt%的一种或多种链烷醇胺和总量为0.5-30wt%(优选2-30wt%)的一种或多种具有通式(I)的化合物,以及余量的一种或多种上述溶剂(最优选水和/或二甲亚砜)。更优选地,该组合物含有10-70wt%的羟胺,10-60wt%的一种或多种链烷醇胺,和总量为5-15wt%的一种或多种具有通式(I)的化合物,以及余量的一种或多种上述溶剂(最优选水和/或二甲亚砜)。
适用于本发明的羟胺有NH2OH结构。这种羟胺可以由Nissin Chemical的商品水溶液(约50wt%)形式方便地得到。也可以用羟胺的衍生物,如羟胺的盐。
适用于本发明的链烷醇胺优选易与羟胺相混合并且是水溶性的。因此,本发明所用的链烷醇胺优选具有相对高的沸点,优选75℃或更高。适当的链烷醇胺有伯胺、仲胺或叔胺,且优选单胺、二胺或三胺,更优选单胺。链烷醇胺的醇基优选具有1-6个碳原子,且以直链、支链或环状醇为基础。
根据本发明,优选的适用于该组合物的链烷醇胺可用化学式表示为:
R1R2-N-CH2CH2-O-R3
其中:R1和R2各自独立地是H、CH3、CH3CH2或CH3CH2OH,R3是CH3CH2OH。
适当的链烷醇胺的例子包括单乙醇胺、二乙醇胺、三乙醇胺、叔丁基二乙醇胺、异丙醇胺、二异丙醇胺、2-氨基-1-丙醇、3-氨基-1-丙醇、异丁醇胺、2-(2-氨基乙氧基)乙醇(二甘醇胺)、2-(2-氨基乙氧基)丙醇和1-羟基-2-氨基苯。
用作剥离剂溶液的特别优选的组合物由以下物质组成:大约37wt%的羟胺溶液(羟胺和水的重量比为50∶50)构成的溶剂,大约63wt%的二甘醇胺和一种或多种如本文所述的具有通式(I)的化合物,从而得到所述化合物浓度约为0.2M的溶液。
本发明还提供了清除含有钛或钛合金的基材上的阻抗物、聚合物和/或刻蚀残余物的方法,所述方法包括在一定温度下,使该基材与上文所述的组合物接触足够的时间,以清除基材上的阻抗物、聚合物和/或刻蚀残余物。
优选温度为20-150℃,更优选60-70℃,而接触时间优选2-60分钟,更优选2-20分钟,更优选2-5分钟。这种方法一般在常压下进行。适当的基材已在上文描述,包括例如表层含钛或钛合金的半导体晶片。
所述方法还包括,在基本上清除了基材上的阻抗物、聚合物和/或刻蚀残余物之后,再用适当的清洗组合物清洗基材的步骤。优选的清洗组合物包括一种极性溶剂或pH值为2-5的水溶液。清洗组合物的适当的例子包括异丙醇、N-甲基-2-吡咯烷酮、二甲亚砜、稀柠檬酸和/或稀醋酸。替代地,基材可以用本申请人的国际专利申请(WO9 8/36045)中所述的清洗组合物。这些组合物包括包括单官能团有机酸、双官能团有机酸或三官能团有机酸和缓冲量的四元胺、氢氧化铵、羟胺、羟胺盐、肼或肼盐。该清洗步骤之后可再用水冲洗,优选用去离子水清洗,最后一步是干燥,例如采用蒸汽IPA干燥。
另一方面,本发明提供了一种含钛或钛合金的基材的缓蚀方法,该方法包括使基材与具有如下的通式(I)的一种或多种化合物相接触:
式(I)
其中:
R1和R3各自独立地选自H、OH、CO2H、卤素、C1-C3烷基、C1-C3烷氧基或(CH2)nOH,其中n是1,2或3;R2选自C9-C16烷基或C9-C16烷氧基。
优选地,R2选自C9、C10、C11或C12烷基,或选自C9、C10、C11或C12烷氧基。
所述通式(I)的化合物可存在于含羟胺或其衍生物的组合物,或者含有上述溶剂的组合物中。
根据本发明的方法,具有通式(I)的化合物优选自3,4,5-三羟基壬基苯、3,4,5-三羟基癸基苯、3,4,5-三羟基十一烷基苯、3,4,5-三羟基十二烷基苯和3,4,5-三羟基十三烷基苯中的一种或多种。
优选地,本发明方法中的具有通式(I)的化合物是被用作一些组合物的组分,所述组合物含有羟胺或其衍生物,并优选地至少含有一种上述的链烷醇胺。这些用于剥离和清洗的组合物的例子已在上文中描述。适当的基材在上文中也已描述,包括例如表层含有钛或钛合金的半导体晶片。
本发明还进一步提供了具有如下通式(I)的化合物在剥离剂和清洗组合物中的应用,所述剥离剂和清洗组合物用于清除基材上的阻抗物、聚合物和/或刻蚀残余物,所述基材含有钛或钛合金:
式(I)
其中:
R1和R3各自独立地选自H、OH、CO2H、卤素、C1-C3烷基、C1-C3烷氧基或(CH2)nOH,其中n是1,2或3;R2选自C9-C16烷基或C9-C16烷氧基。
优选地,R2选自C9、C10、C11或C12烷基,或选自C9、C10、C11或C12烷氧基。
在此应用中,具有通式(I)的化合物最优选3,4,5-三羟基壬基苯、3,4,5-三羟基癸基苯、3,4,5-三羟基十一烷基苯、3,4,5-三羟基十二烷基苯和3,4,5-三羟基十三烷基苯中的一种或多种。
本发明还提供了具有如下通式(I)的化合物在剥离剂和清洗组合物中作为缓蚀剂的应用,所述剥离剂和清洗组合物用于清除基材上的阻抗物、聚合物和/或刻蚀残余物,所述基材含钛或钛合金:
式(I)
其中:
R1和R3各自独立地选自H、OH、CO2H、卤素、C1-C3烷基、C1-C3烷氧基或(CH2)nOH,其中n是1,2或3;R2选自C9-C16烷基或C9-C16烷氧基。
优选地,R2选自C9、C10、C11或C12烷基,或选自C9、C10、C11或C12烷氧基。
在此应用中,具有通式(I)的化合物优选自3,4,5-三羟基壬基苯、3,4,5-三羟基癸基苯、3,4,5-三羟基十一烷基苯、3,4,5-三羟基十二烷基苯和3,4,5-三羟基十三烷基苯中的一种或多种。
用于剥离和清洗的组合物的例子已在上文中描述。适当的基材在上文中也已描述,包括例如表层含钛或钛合金的半导体晶片。
附图说明
现在将参照下列实验的测试来描述本发明。这些实验涉及到下列附图:
图1是在腐蚀性溶液(羟胺/二甘醇胺)以及含有缓蚀剂(苯磷二酚)的同样的腐蚀性溶液中钛膜电导系数随接触时间的变化曲线。
图2是缓蚀时间随n-烷基取代的缓蚀剂分子量的变化曲线。
具体实施方式
实施例
材料:
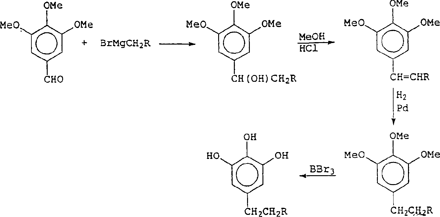
钛包覆的晶片取自International Wafer Service,3,4,5-三羟基-n-烷基苯化合物通过如下常规反应路线合成:
纯化:
所有被检测的缓蚀剂都用原子吸收光谱学中的钙示踪分析。所得钙信号和标准甲醇溶液的钙信号相比较。含钙量过高的缓蚀剂通过离子交换柱(Dowex 50WX8)进行纯化,直到含钙量降至2ppm。
钛膜厚度的测量:
金属层的厚度和它的传导性有直接关系。所以钛膜的阻抗用4探头探针(Keither2010)测量,且将其传导性作为厚度的一种指标。
腐蚀研究:
测试中所用的腐蚀溶液由35wt%的羟胺水溶液(羟胺∶水=50∶50)和60wt%的二甘醇胺组成。将作为缓蚀剂的待测化合物以5%w/w的量加入到腐蚀性溶液中。
将包覆有200nm钛的多个硅晶片悬放在该腐蚀性溶液中,并且定期取出,以测量钛膜的阻抗。在不含缓蚀剂的腐蚀性溶液中,钛膜的传导性随时间呈直线下降,如图1所示(虚线)。图1还表示出当腐蚀性溶液中加入了5%w/w的苯磷二酚,钛膜传导性的变化作为对照(实线)。可以看出,苯磷二酚延缓了腐蚀的发生。曲线和X-轴的交点坐标表示钛膜被完全腐蚀所用的时间。含有缓蚀剂和不含缓蚀剂的腐蚀性溶液中的钛膜被腐蚀掉所用的时间之差称为缓蚀时间(Δt)。苯磷二酚的缓蚀时间大约是55分钟。该溶液的温度为65℃。用相同的方法测定一系列3,4,5-三羟基-n-烷基苯化合物的缓蚀时间。图2表示了缓蚀时间(分钟)随对于被测试化合物的分子量变化的曲线。
Claims (26)
1.一种用来清除基材上的阻抗物、聚合物和/或刻蚀残余物的组合物,所述基材含有钛或钛合金,所述组合物含有羟胺或其衍生物以及至少一种具有如下通式(I)的化合物:
通式(I)
其中:
R1和R3各自独立地选自H、OH、CO2H、卤素、C1-C3烷基、C1-C3烷氧基或(CH2)nOH,其中n是1,2或3;R2选自C9-C16烷基或C9-C16烷氧基。
2.权利要求1的组合物,其中R2选自C9、C10、C11或C12烷基,或选自C9、C10、C11或C12烷氧基。
3.权利要求1或2的组合物,其中通式(I)的化合物选自3,4,5-三羟基壬基苯、3,4,5-三羟基癸基苯、3,4,5-三羟基十一烷基苯、3,4,5-三羟基十二烷基苯和3,4,5-三羟基十三烷基苯中的一种或多种。
4.权利要求1的组合物,其中羟胺由一种水溶液提供。
5.权利要求4的组合物,其中羟胺以羟胺∶水的重量比为50∶50的水溶液形式提供。
6.权利要求1的组合物,其进一步包括一种易与所述羟胺或其衍生物相混合的溶剂。
7.权利要求6的组合物,其中的溶剂选自链烷醇胺、水、二甲亚砜、乙二醇、乙二醇烷基醚、二甘醇烷基醚、三甘醇烷基醚、丙二醇、丙二醇烷基醚、缩二丙二醇烷基醚、缩三丙二醇烷基醚、N-取代吡咯烷酮、乙二胺和乙三胺。
8.权利要7的组合物,所述组合物含有至少5wt%的羟胺,至少10wt%的一种或多种链烷醇胺和总量为0.5-30wt%的一种或多种具有上述通式(I)的化合物,还含有由一种或多种所述溶剂组成的余量物质。
9.权利要求7或8的组合物,该组合物含有10-70wt%的羟胺,10-60wt%的一种或多种链烷醇胺和总量为5-15wt%的一种或多种具有上述通式(I)的化合物,还含有由一种或多种所述溶剂组成的余量物质
10.权利要求8的组合物,其中所述的余量物质由选自水和/或二甲亚砜组成的溶剂。
11.权利要求7的组合物,其中所述链烷醇胺选自单乙醇胺、二乙醇胺、三乙醇胺、叔丁基二乙醇胺、异丙醇胺、二异丙醇胺、2-氨基-1-丙醇、3-氨基-1-丙醇、异丁醇胺、2-氨基-2-乙氧基乙醇、2-氨基-2-乙氧基丙醛和1-羟基-2-氨基苯。
12.一种清除基材上的阻抗物、聚合物和/或刻蚀残余物的方法,所述基材含有钛或钛合金,所述方法包括将所述基材与权利要求1的组合物相接触,以清除所述基材上的阻抗物、聚合物和/或刻蚀残余物。
13.权利要求12的方法,其中在温度为20-150℃时,将所述基材与权利要求1的组合物相接触。
14.权利要求12或13的方法,其中将所述基材与权利要求1的组合物相接触的时间为2-60分钟。
15.权利要求12的方法,其中所述基材包括表层含钛或钛合金的半导体晶片。
16.权利要求12的方法,所述方法还包括在清除了基材上的阻抗物、聚合物和/或刻蚀残余物之后,再用清洗组合物清洗基材的步骤。
17.权利要求16的方法,其中所述清洗组合物包括一种极性溶剂或pH值为2-5的水溶液。
18.权利要求16或17的方法,其中所述清洗组合物含有一种或多种选自异丙醇、二甲亚砜、N-甲基吡咯烷酮、稀柠檬酸和稀醋酸的物质。
19.权利要求16的方法,其中所述清洗组合物含有单官能团有机酸、双官能团有机酸或三官能团有机酸和四元胺、氢氧化铵、羟胺、羟胺盐、肼或肼盐。
20.权利要求16的方法,其中所述的清洗步骤之后再用水冲洗,然后干燥。
21.一种含钛或钛合金的基材的缓蚀的方法,该方法包括使基材与一种或多种具有如下通式(I)的化合物相接触:
通式(I)
其中:
R1和R3各自独立地选自H、OH、CO2H、卤素、C1-C3烷基、C1-C3烷氧基或(CH2)nOH,其中n是1,2或3;R2选自C9-C16烷基或C9-C16烷氧基。
22.权利要求21的方法,其中所述化合物以含羟胺或羟胺衍生物的组合物的形式提供。
23.权利要求21或22的方法,其中所述化合物以含溶剂的组合物的形式提供。
24.权利要求21的方法,其中所述化合物以含有羟胺或其衍生物以及至少一种易与羟胺相混合的链烷醇胺的组合物的形式提供。
26.作为缓蚀剂的组合物的应用,所述组合物用来清除基材上的阻抗物、聚合物和/或刻蚀残余物,所述基材含有钛或钛合金,所述组合物含有一种或多种具有如下通式(I)的化合物:
通式(I)
其中:
R1和R3各自独立地选自H、OH、CO2H、卤素、C1-C3烷基、C1-C3烷氧基或(CH2)nOH,其中n是1,2或3;R2选自C9-C16烷基或C9-C16烷氧基。
Applications Claiming Priority (2)
| Application Number | Priority Date | Filing Date | Title |
|---|---|---|---|
| GB0009112.4 | 2000-04-12 | ||
| GBGB0009112.4A GB0009112D0 (en) | 2000-04-12 | 2000-04-12 | Inhibition of titanium corrosion |
Publications (2)
| Publication Number | Publication Date |
|---|---|
| CN1423835A CN1423835A (zh) | 2003-06-11 |
| CN1218373C true CN1218373C (zh) | 2005-09-07 |
Family
ID=9889834
Family Applications (1)
| Application Number | Title | Priority Date | Filing Date |
|---|---|---|---|
| CN018080197A Expired - Fee Related CN1218373C (zh) | 2000-04-12 | 2001-04-12 | 钛的缓蚀 |
Country Status (11)
| Country | Link |
|---|---|
| US (1) | US7012051B2 (zh) |
| EP (1) | EP1273033B1 (zh) |
| JP (1) | JP2003530482A (zh) |
| KR (1) | KR100889094B1 (zh) |
| CN (1) | CN1218373C (zh) |
| AT (1) | ATE345581T1 (zh) |
| AU (1) | AU4855501A (zh) |
| DE (1) | DE60124519T2 (zh) |
| GB (1) | GB0009112D0 (zh) |
| TW (1) | TWI281487B (zh) |
| WO (1) | WO2001078129A1 (zh) |
Families Citing this family (9)
| Publication number | Priority date | Publication date | Assignee | Title |
|---|---|---|---|---|
| WO2003038529A1 (fr) * | 2001-11-02 | 2003-05-08 | Mitsubishi Gas Chemical Company, Inc. | Procede de liberation de resist |
| MY158776A (en) * | 2009-05-07 | 2016-11-15 | Basf Se | Resist stripping compositions and methods for manufacturing electrical devices |
| JP5159738B2 (ja) | 2009-09-24 | 2013-03-13 | 株式会社東芝 | 半導体基板の洗浄方法および半導体基板の洗浄装置 |
| US8101561B2 (en) | 2009-11-17 | 2012-01-24 | Wai Mun Lee | Composition and method for treating semiconductor substrate surface |
| JP2017197589A (ja) * | 2014-09-04 | 2017-11-02 | 横浜油脂工業株式会社 | 紫外線硬化型塗料用剥離剤 |
| US10133428B2 (en) | 2015-05-29 | 2018-11-20 | Samsung Display Co., Ltd. | Flexible display device including a flexible substrate having a bending part and a conductive pattern at least partially disposed on the bending part |
| US11175587B2 (en) * | 2017-09-29 | 2021-11-16 | Versum Materials Us, Llc | Stripper solutions and methods of using stripper solutions |
| US11408079B2 (en) | 2019-07-30 | 2022-08-09 | King Fahd University Of Petroleum And Minerals | Corrosion inhibitor composition and methods of inhibiting corrosion during acid pickling |
| CN114930505A (zh) * | 2020-01-28 | 2022-08-19 | 富士胶片株式会社 | 处理液、被处理物的处理方法 |
Family Cites Families (21)
| Publication number | Priority date | Publication date | Assignee | Title |
|---|---|---|---|---|
| DE3124614A1 (de) * | 1980-06-27 | 1982-05-06 | Amchem Products, Inc., 19002 Ambler, Pa. | Reinigungsloesung, verfahren zum entfernen von verunreinigungen von einer zinnoberflaeche mit dieser reinigungsloesung und konzentrate hierfuer |
| US5981454A (en) | 1993-06-21 | 1999-11-09 | Ekc Technology, Inc. | Post clean treatment composition comprising an organic acid and hydroxylamine |
| US5279771A (en) | 1990-11-05 | 1994-01-18 | Ekc Technology, Inc. | Stripping compositions comprising hydroxylamine and alkanolamine |
| US6242400B1 (en) | 1990-11-05 | 2001-06-05 | Ekc Technology, Inc. | Method of stripping resists from substrates using hydroxylamine and alkanolamine |
| US6187730B1 (en) | 1990-11-05 | 2001-02-13 | Ekc Technology, Inc. | Hydroxylamine-gallic compound composition and process |
| US7205265B2 (en) | 1990-11-05 | 2007-04-17 | Ekc Technology, Inc. | Cleaning compositions and methods of use thereof |
| US6121217A (en) | 1990-11-05 | 2000-09-19 | Ekc Technology, Inc. | Alkanolamine semiconductor process residue removal composition and process |
| US6000411A (en) | 1990-11-05 | 1999-12-14 | Ekc Technology, Inc. | Cleaning compositions for removing etching residue and method of using |
| US6546939B1 (en) | 1990-11-05 | 2003-04-15 | Ekc Technology, Inc. | Post clean treatment |
| US6492311B2 (en) | 1990-11-05 | 2002-12-10 | Ekc Technology, Inc. | Ethyenediaminetetraacetic acid or its ammonium salt semiconductor process residue removal composition and process |
| US6110881A (en) | 1990-11-05 | 2000-08-29 | Ekc Technology, Inc. | Cleaning solutions including nucleophilic amine compound having reduction and oxidation potentials |
| US20040018949A1 (en) | 1990-11-05 | 2004-01-29 | Wai Mun Lee | Semiconductor process residue removal composition and process |
| JP3048207B2 (ja) * | 1992-07-09 | 2000-06-05 | イー.ケー.シー.テクノロジー.インコーポレイテッド | 還元及び酸化電位を有する求核アミン化合物を含む洗浄剤組成物およびこれを使用した基板の洗浄方法 |
| US7144848B2 (en) | 1992-07-09 | 2006-12-05 | Ekc Technology, Inc. | Cleaning compositions containing hydroxylamine derivatives and processes using same for residue removal |
| US20030032567A1 (en) | 1992-07-09 | 2003-02-13 | Ekc Technology, Inc. | Cleaning solutions including nucleophilic amine compound having reduction and oxidation potentials |
| US6825156B2 (en) | 2002-06-06 | 2004-11-30 | Ekc Technology, Inc. | Semiconductor process residue removal composition and process |
| US6326130B1 (en) * | 1993-10-07 | 2001-12-04 | Mallinckrodt Baker, Inc. | Photoresist strippers containing reducing agents to reduce metal corrosion |
| US5654260A (en) * | 1994-01-10 | 1997-08-05 | Phillips Petroleum Company | Corrosion inhibitor for wellbore applications |
| US6323168B1 (en) | 1996-07-03 | 2001-11-27 | Advanced Technology Materials, Inc. | Post plasma ashing wafer cleaning formulation |
| US7534752B2 (en) | 1996-07-03 | 2009-05-19 | Advanced Technology Materials, Inc. | Post plasma ashing wafer cleaning formulation |
| GB2342727A (en) * | 1998-10-12 | 2000-04-19 | Ekc Technology Ltd | Composition to remove resists and tp inhibit titanium corrosion |
-
2000
- 2000-04-12 GB GBGB0009112.4A patent/GB0009112D0/en not_active Ceased
-
2001
- 2001-04-12 CN CN018080197A patent/CN1218373C/zh not_active Expired - Fee Related
- 2001-04-12 JP JP2001574886A patent/JP2003530482A/ja active Pending
- 2001-04-12 DE DE60124519T patent/DE60124519T2/de not_active Expired - Fee Related
- 2001-04-12 AU AU48555/01A patent/AU4855501A/en not_active Abandoned
- 2001-04-12 US US10/257,469 patent/US7012051B2/en not_active Expired - Fee Related
- 2001-04-12 AT AT01921582T patent/ATE345581T1/de not_active IP Right Cessation
- 2001-04-12 WO PCT/GB2001/001686 patent/WO2001078129A1/en not_active Ceased
- 2001-04-12 KR KR1020027013648A patent/KR100889094B1/ko not_active Expired - Fee Related
- 2001-04-12 EP EP01921582A patent/EP1273033B1/en not_active Expired - Lifetime
- 2001-04-16 TW TW090109022A patent/TWI281487B/zh not_active IP Right Cessation
Also Published As
| Publication number | Publication date |
|---|---|
| KR20030053470A (ko) | 2003-06-28 |
| EP1273033A1 (en) | 2003-01-08 |
| DE60124519T2 (de) | 2007-05-31 |
| ATE345581T1 (de) | 2006-12-15 |
| EP1273033B1 (en) | 2006-11-15 |
| AU4855501A (en) | 2001-10-23 |
| WO2001078129A1 (en) | 2001-10-18 |
| US20040106530A1 (en) | 2004-06-03 |
| CN1423835A (zh) | 2003-06-11 |
| TWI281487B (en) | 2007-05-21 |
| GB0009112D0 (en) | 2000-05-31 |
| US7012051B2 (en) | 2006-03-14 |
| KR100889094B1 (ko) | 2009-03-17 |
| DE60124519D1 (de) | 2006-12-28 |
| JP2003530482A (ja) | 2003-10-14 |
Similar Documents
| Publication | Publication Date | Title |
|---|---|---|
| KR100736061B1 (ko) | 플라즈마 에칭 잔류물 제거용 비부식성 세정 조성물 | |
| JP5646882B2 (ja) | 洗浄組成物、洗浄方法、及び半導体装置の製造方法 | |
| EP2975108B1 (en) | Copper corrosion inhibition system | |
| JP4226216B2 (ja) | 半導体基板用の剥離用組成物 | |
| US6455479B1 (en) | Stripping composition | |
| EP2098911B1 (en) | Stripper for dry film removal and method using the same | |
| US20030078173A1 (en) | Aqueous cleaning composition containing copper-specific corrosion inhibitor for cleaning inorganic residues on semiconductor substrate | |
| EP1501916B1 (en) | Non-corrosive cleaning compositions for removing etch residues | |
| KR20170137702A (ko) | 화학적 기계적 연마 후 제제 및 사용 방법 | |
| JP2009102729A (ja) | 水性ストリッピング及びクリーニング組成物 | |
| JP2008066747A (ja) | 水性フッ化アンモニウムおよびアミンを用いた、半導体ウエハ洗浄組成物および方法 | |
| CN1916146A (zh) | 剥离聚合物的组合物 | |
| KR101831452B1 (ko) | 다목적 산성, 유기 용매 기반의 마이크로전자 세정 조성물 | |
| CN1218373C (zh) | 钛的缓蚀 | |
| CN1784487A (zh) | 非水的、非腐蚀性的微电子清洁组合物 | |
| CN101223265A (zh) | 剥离剂组合物 | |
| CN101076760A (zh) | 含有聚合物腐蚀抑制剂的非水的、无腐蚀性的微电子清洁组合物 | |
| CN1924710A (zh) | 用于去除半导体器件的改性光刻胶的光刻胶去除剂组合物 | |
| EP1381656A1 (en) | Aqueous cleaning composition containing copper-specific corrosion inhibitor for cleaning inorganic residues on semiconductor substrate | |
| JP2003530482A5 (zh) | ||
| TWI296357B (en) | Compositions comprising tannic acid as corrosion inhibitor | |
| JP4028904B2 (ja) | ヒドロキシルアミン−没食子化合物の組成物及びその使用方法 | |
| KR20220058069A (ko) | 세정제 조성물 및 이를 이용한 세정방법 | |
| GB2342727A (en) | Composition to remove resists and tp inhibit titanium corrosion | |
| WO2023140345A1 (ja) | フォトレジスト剥離組成物 |
Legal Events
| Date | Code | Title | Description |
|---|---|---|---|
| C06 | Publication | ||
| PB01 | Publication | ||
| C10 | Entry into substantive examination | ||
| SE01 | Entry into force of request for substantive examination | ||
| C14 | Grant of patent or utility model | ||
| GR01 | Patent grant | ||
| C17 | Cessation of patent right | ||
| CF01 | Termination of patent right due to non-payment of annual fee |
Granted publication date: 20050907 |





