WO2015115132A1 - カメラシステム - Google Patents

カメラシステム Download PDF

Info

Publication number
WO2015115132A1
WO2015115132A1 PCT/JP2015/050186 JP2015050186W WO2015115132A1 WO 2015115132 A1 WO2015115132 A1 WO 2015115132A1 JP 2015050186 W JP2015050186 W JP 2015050186W WO 2015115132 A1 WO2015115132 A1 WO 2015115132A1
Authority
WO
WIPO (PCT)
Prior art keywords
blur correction
blur
unit
correction
lens unit
Prior art date
Legal status (The legal status is an assumption and is not a legal conclusion. Google has not performed a legal analysis and makes no representation as to the accuracy of the status listed.)
Ceased
Application number
PCT/JP2015/050186
Other languages
English (en)
French (fr)
Japanese (ja)
Inventor
仁司 土屋
Current Assignee (The listed assignees may be inaccurate. Google has not performed a legal analysis and makes no representation or warranty as to the accuracy of the list.)
Olympus Corp
Original Assignee
Olympus Corp
Priority date (The priority date is an assumption and is not a legal conclusion. Google has not performed a legal analysis and makes no representation as to the accuracy of the date listed.)
Filing date
Publication date
Application filed by Olympus Corp filed Critical Olympus Corp
Priority to CN201580005054.XA priority Critical patent/CN105934708B/zh
Publication of WO2015115132A1 publication Critical patent/WO2015115132A1/ja
Priority to US15/212,846 priority patent/US9800789B2/en
Anticipated expiration legal-status Critical
Ceased legal-status Critical Current

Links

Images

Classifications

    • GPHYSICS
    • G03PHOTOGRAPHY; CINEMATOGRAPHY; ANALOGOUS TECHNIQUES USING WAVES OTHER THAN OPTICAL WAVES; ELECTROGRAPHY; HOLOGRAPHY
    • G03BAPPARATUS OR ARRANGEMENTS FOR TAKING PHOTOGRAPHS OR FOR PROJECTING OR VIEWING THEM; APPARATUS OR ARRANGEMENTS EMPLOYING ANALOGOUS TECHNIQUES USING WAVES OTHER THAN OPTICAL WAVES; ACCESSORIES THEREFOR
    • G03B5/00Adjustment of optical system relative to image or object surface other than for focusing
    • HELECTRICITY
    • H04ELECTRIC COMMUNICATION TECHNIQUE
    • H04NPICTORIAL COMMUNICATION, e.g. TELEVISION
    • H04N23/00Cameras or camera modules comprising electronic image sensors; Control thereof
    • H04N23/60Control of cameras or camera modules
    • H04N23/68Control of cameras or camera modules for stable pick-up of the scene, e.g. compensating for camera body vibrations
    • H04N23/682Vibration or motion blur correction
    • H04N23/685Vibration or motion blur correction performed by mechanical compensation
    • H04N23/687Vibration or motion blur correction performed by mechanical compensation by shifting the lens or sensor position
    • GPHYSICS
    • G03PHOTOGRAPHY; CINEMATOGRAPHY; ANALOGOUS TECHNIQUES USING WAVES OTHER THAN OPTICAL WAVES; ELECTROGRAPHY; HOLOGRAPHY
    • G03BAPPARATUS OR ARRANGEMENTS FOR TAKING PHOTOGRAPHS OR FOR PROJECTING OR VIEWING THEM; APPARATUS OR ARRANGEMENTS EMPLOYING ANALOGOUS TECHNIQUES USING WAVES OTHER THAN OPTICAL WAVES; ACCESSORIES THEREFOR
    • G03B17/00Details of cameras or camera bodies; Accessories therefor
    • G03B17/02Bodies
    • G03B17/12Bodies with means for supporting objectives, supplementary lenses, filters, masks, or turrets
    • G03B17/14Bodies with means for supporting objectives, supplementary lenses, filters, masks, or turrets interchangeably
    • HELECTRICITY
    • H04ELECTRIC COMMUNICATION TECHNIQUE
    • H04NPICTORIAL COMMUNICATION, e.g. TELEVISION
    • H04N23/00Cameras or camera modules comprising electronic image sensors; Control thereof
    • H04N23/60Control of cameras or camera modules
    • H04N23/66Remote control of cameras or camera parts, e.g. by remote control devices
    • H04N23/663Remote control of cameras or camera parts, e.g. by remote control devices for controlling interchangeable camera parts based on electronic image sensor signals
    • HELECTRICITY
    • H04ELECTRIC COMMUNICATION TECHNIQUE
    • H04NPICTORIAL COMMUNICATION, e.g. TELEVISION
    • H04N23/00Cameras or camera modules comprising electronic image sensors; Control thereof
    • H04N23/60Control of cameras or camera modules
    • H04N23/68Control of cameras or camera modules for stable pick-up of the scene, e.g. compensating for camera body vibrations
    • H04N23/681Motion detection
    • H04N23/6812Motion detection based on additional sensors, e.g. acceleration sensors
    • GPHYSICS
    • G03PHOTOGRAPHY; CINEMATOGRAPHY; ANALOGOUS TECHNIQUES USING WAVES OTHER THAN OPTICAL WAVES; ELECTROGRAPHY; HOLOGRAPHY
    • G03BAPPARATUS OR ARRANGEMENTS FOR TAKING PHOTOGRAPHS OR FOR PROJECTING OR VIEWING THEM; APPARATUS OR ARRANGEMENTS EMPLOYING ANALOGOUS TECHNIQUES USING WAVES OTHER THAN OPTICAL WAVES; ACCESSORIES THEREFOR
    • G03B2205/00Adjustment of optical system relative to image or object surface other than for focusing
    • G03B2205/0007Movement of one or more optical elements for control of motion blur

Definitions

  • the present invention relates to a camera system including a lens unit and a camera body configured to be detachable from the lens unit, and more particularly to a camera system having a blur correction function for correcting image blur caused by camera shake or the like.
  • a shake correction function (hereinafter also referred to as a “camera shake correction function”) that corrects image shake caused by camera shake or the like have become common, and photographers are particularly concerned about hand shake and the like. It is now possible to shoot good images without image blurring without care.
  • a camera shake correction function is mounted on an interchangeable lens and a camera body.
  • the interchangeable lens is equipped with a camera shake correction function
  • a sensor that detects camera movement is mounted on the interchangeable lens, and a part of the photographic lens group is moved in a direction that cancels the detected camera shake. Is implemented.
  • camera shake correction is implemented by mounting a sensor that detects camera movement in the camera body and moving the image sensor in the direction to cancel the detected camera shake. Is done.
  • the camera shake correction function is mounted on the interchangeable lens or the camera body has different merits and demerits, and therefore differs depending on the camera system and the manufacturer.
  • both of the camera shake correction functions operate simultaneously, both of the camera shake correction functions correct the image blur almost in the same manner according to the change in the posture of the camera. There is a possibility that the blur is excessively corrected and the effect of the camera shake correction function cannot be obtained.
  • a camera system including a camera body including a main body image blur correction unit and an interchangeable lens including a lens image blur correction unit
  • the lens image blur correction unit is set to a correctable state
  • the lens image blur correction unit is set to an uncorrectable state
  • the image blur correction unit for the main body is set to a correctable state when exposure starts.
  • Patent Document 1 A technique is known (see Patent Document 1). According to such a technique, the image blur correction unit for the main body and the image blur correction unit for the lens do not operate at the same time.
  • the present invention is a case in which, when both the lens unit and the camera body have a shake correction function, the shake correction is performed by sharing both of them and the shake correction is performed only on one side.
  • An object of the present invention is to provide a camera system that realizes a correction performance that exceeds the correction performance of the camera.
  • a first aspect of the present invention is a camera system including a lens unit and a camera body configured to be detachable from the lens unit, wherein the camera body detects a blur in a plurality of directions, A blur correction unit that performs the blur correction in the plurality of directions, a determination unit that determines whether or not the lens unit attached to the camera body is a lens unit that can perform the blur correction, and the determination unit When it is determined that the lens unit can perform correction, the blur correction unit is controlled to perform blur correction only in a specific direction of the plurality of directions, and the blur correction can be performed by the determination unit.
  • a blur correction control unit that controls the blur correction unit to perform the blur correction in the plurality of directions when it is determined that the lens unit is not a correct lens unit.
  • the blur correction control unit sets the blur correction period in the specific direction when the blur correction unit performs the blur correction only in the specific direction.
  • a correction unit performs control at a cycle shorter than the blur correction cycle in the specific direction when performing the blur correction in the plurality of directions.
  • the camera body when the camera body is determined to be a lens unit capable of performing shake correction by the determination unit, the direction other than the specific direction is determined.
  • a blur correction amount corresponding to the blur detected by the blur detection unit is notified to the lens unit, and the lens unit performs the blur correction including the blur correction amount notified by the camera body.
  • the specific direction is a roll direction that is a direction rotating with respect to an optical axis direction of the lens unit.
  • the specific direction is a roll direction that is a direction rotating with respect to an optical axis direction of the lens unit, and the blurring in a direction other than the specific direction is performed.
  • the blur detected by the detection unit provides a camera system that is a parallel blur based on the camera system moving in the horizontal direction and the vertical direction of the imaging surface.
  • the plurality of directions are two directions of a first direction and a second direction, and the specific direction is the first direction.
  • the determination unit determines that the lens unit can perform blur correction, and the lens unit can perform blur correction in the two directions, the lens unit can only perform the second direction.
  • a camera system for performing image stabilization is provided.
  • the blur correction control unit performs the blur correction period in the first direction when the blur correction unit performs the blur correction only in the first direction. Is controlled every period that is half of the blur correction period in the first direction when the blur correction unit performs the blur correction in the two directions, and the lens unit is controlled only in the second direction.
  • a camera system is provided in which the blur correction period in the second direction when the correction is performed is half of the blur correction period in the second direction when the lens unit performs the blur correction in the two directions. To do.
  • the two directions are a yaw direction and a pitch direction that are rotational directions with respect to the respective vertical directions with respect to the optical axis direction of the lens unit.
  • a camera system that is bi-directional is provided.
  • a camera system that realizes performance can be provided.
  • FIG. 1 is a diagram for explaining the direction.
  • the camera system 100 includes a configuration in which a lens unit 200 is attached to a camera body 300.
  • the X direction, Y direction, Z direction, pitch ( The Pitch direction, the Yaw direction, and the Roll direction are defined as follows.
  • the left-right direction (horizontal direction) of the camera body 300 to which the lens unit 200 is attached is defined as the X direction.
  • the right direction when viewing the front of the camera system 100 is defined as a + (plus, positive) direction (+ X direction), and the left direction is defined as a ⁇ (minus, negative) direction ( ⁇ X direction).
  • the X direction also corresponds to the left-right direction of an imaging surface of an imaging device described later.
  • the vertical direction (vertical direction) of the camera body 300 to which the lens unit 200 is attached is defined as the Y direction.
  • the upper direction is the + direction (+ Y direction)
  • the lower direction is the ⁇ direction ( ⁇ Y direction).
  • the Y direction also corresponds to the up and down direction of the imaging surface of the imaging element described later.
  • the optical axis direction of the camera body 300 to which the lens unit 200 is attached is defined as the Z direction.
  • the direction from the back to the front of the camera system 100 is defined as a + direction (+ Z direction)
  • the direction from the front to the back of the camera system 100 is defined as a ⁇ direction ( ⁇ Z direction).
  • the rotation direction with the X direction axis as the rotation axis is the pitch direction.
  • the left rotation toward the + X direction is defined as the + direction (+ pitch direction)
  • the right rotation toward the + X direction is defined as the ⁇ direction ( ⁇ pitch direction).
  • the rotation direction with the Y axis as the rotation axis is the yaw direction.
  • a right rotation toward the + Y direction is defined as a + direction (+ yaw direction)
  • a left rotation toward the + Y direction is defined as a ⁇ direction ( ⁇ yaw direction).
  • the rotation direction with the Z axis as the rotation axis is the roll direction.
  • the left rotation toward the + Z direction is defined as the + direction (+ roll direction)
  • the right rotation toward the + Z direction is defined as the ⁇ direction ( ⁇ roll direction).
  • the positive / negative (+, ⁇ ) of the direction defined in this way depends on the mounting direction of an angular velocity sensor and an acceleration sensor described later, and is not limited to the above.
  • FIG. 2 is a diagram illustrating a configuration example of the camera system according to the first embodiment.
  • the camera system 100 includes a configuration in which the lens unit 200 is mounted on the camera body 300.
  • the camera body 300 is configured such that the lens unit 200 is detachable.
  • the lens unit 200 is attached to the camera body 300 by a mount adapter (not shown) provided in the lens unit 200 and the camera body 300. This is performed by fitting with a mount adapter (not shown).
  • a mount adapter not shown
  • the lens unit 200 is fixed to the camera body 300, and the terminals provided on each mount adapter are also electrically connected to each other, and the lens unit 200 and the camera body 300 are connected via the contact 400. Communication between them becomes possible.
  • the lens unit 200 includes an optical system 210, an LCU (lens control unit) 220, an optical system driving unit 230, a yaw angular velocity sensor 240a, and a pitch angular velocity sensor 240b.
  • the optical system 210 includes a blur correction lens group, and forms a light beam from a subject on the imaging surface of the imaging element 320 as a subject image.
  • the optical system driving unit 230 moves the blur correction lens group that is a part of the optical system 210 on a plane orthogonal to the optical axis under the control of the LCU 220.
  • the yaw angular velocity sensor 240a detects an angular velocity in the yaw direction.
  • the pitch angular velocity sensor 240b detects the angular velocity in the pitch direction.
  • the LCU 220 communicates with the system controller 340 via the contact 400 and controls the entire operation of the lens unit 200. For example, the LCU 220 notifies the system controller 340 of information related to the lens unit 200, and acquires information related to the camera body 300 and instructions for starting and ending blur correction from the system controller 340. Further, for example, the LCU 220 corrects blurring in a direction to cancel image blurring (bluring of a subject image formed on the imaging surface of the imaging device 320) based on angular velocity detected by the yaw angular velocity sensor 240a and the pitch angular velocity sensor 240b.
  • the optical system driving unit 230 is controlled to move the lens group. For example, the LCU 220 also performs focus control, aperture control, and the like. The internal configuration of the LCU 220 will be described later with reference to FIG.
  • the camera body 300 includes a focal plane shutter (hereinafter simply referred to as “shutter”) 310, an image sensor 320, an image sensor driver 330, a system controller 340, a shake correction microcomputer 350, a yaw angular velocity sensor 360a, a pitch angular velocity sensor 360b, and a roll angular velocity sensor. 360 c and a SW (switch) unit 370.
  • shutter focal plane shutter
  • the shutter 310 is disposed in front of the imaging surface of the image sensor 320.
  • the shutter 310 includes an aperture blade, and controls the exposure time by opening and closing the aperture blade under the control of the system controller 340.
  • the image sensor 320 converts the subject image formed on the imaging surface via the shutter 310 with the opening blades in an open state into an electrical signal and outputs the electrical signal to the system controller 340.
  • the image sensor driving unit 330 moves the image sensor 320 in the X and Y directions parallel to the image pickup surface and rotates in parallel with the image pickup surface under the control of the shake correction microcomputer 350.
  • the drive mechanism of the image sensor drive unit 330 will be described later with reference to FIG.
  • the system controller 340 performs communication with the LCU 220 and communication with the shake correction microcomputer 350 via the contact point 400 and controls the overall operation of the camera body 300 and the camera system 100. For example, the system controller 340 acquires information related to the lens unit 200 from the LCU 220, and notifies the LCU 220 of information related to the camera body 300 and instructions for starting and ending blur correction. For example, the system controller 340 determines whether the lens unit 200 attached to the camera body 300 is a lens unit that can perform blur correction based on information about the lens unit 200. By this determination, for example, a lens unit that does not have a shake correction function or a lens unit that has a shake correction function but is disabled is determined not to be a lens unit capable of performing shake correction. .
  • the invalidation of the blur correction function can be set, for example, by a user operating an operation unit provided in the lens unit.
  • the system controller 340 converts a video signal output from the image sensor 320 into image data. Further, for example, the system controller 340 determines, with respect to the blur correction microcomputer 350, information regarding the optical characteristics of the optical system 210 included in the information regarding the lens unit 200 and whether the lens unit is capable of performing blur correction. Notify the result and instructions to start and end blur correction.
  • the shake correction microcomputer 350 communicates with the system controller 340 and performs shake correction under the control of the system controller 340.
  • the shake correction microcomputer 350 receives information on the optical characteristics of the optical system 210, a determination result as to whether or not the lens unit is capable of performing shake correction, and instructions for starting and ending shake correction from the system controller 340. get.
  • the blur correction microcomputer 350 cancels image blur based on the angular velocity detected by the yaw angular velocity sensor 360a, the pitch angular velocity sensor 360b, and the roll angular velocity sensor 360c, or the angular velocity detected by the roll angular velocity sensor 360c.
  • the image sensor driving unit 330 is controlled to move the image sensor 320 in the direction.
  • the internal configuration of the shake correction microcomputer 350 will be described later with reference to FIG.
  • the yaw angular velocity sensor 360a detects the angular velocity in the yaw direction.
  • the pitch angular velocity sensor 360b detects an angular velocity in the pitch direction.
  • the roll angular velocity sensor 360c detects the angular velocity in the roll direction.
  • the SW unit 370 receives various instructions from the user, such as a shooting start instruction, and notifies the system controller 340 of it.
  • each of the LCU 220, the system controller 340, and the blur correction microcomputer 350 includes, for example, a CPU and a memory (not shown), and the CPU reads and executes a program stored in the memory. And various operations described later.
  • the yaw angular velocity sensors 240a and 360a, the pitch angular velocity sensors 240b and 360b, and the roll angular velocity sensor 360c are angular velocity sensors having the same function, but the mounting direction differs depending on the direction to be detected. Of course.
  • the yaw angular velocity sensor 360a, the pitch angular velocity sensor 360b, and the roll angular velocity sensor 360c are examples of a blur detection unit that detects a blur in a plurality of directions.
  • the image sensor driving unit 330 is an example of a blur correction unit that performs blur correction in a plurality of directions.
  • a part of the system controller 340 is an example of a determination unit that determines whether or not a lens unit attached to the camera body is a lens unit capable of performing blur correction.
  • the blur correction microcomputer 350 controls the blur correction unit to perform blur correction only in a specific direction among a plurality of directions.
  • This is an example of a blur correction control unit that performs control so that the blur correction unit performs blur correction in a plurality of directions when it is determined that the lens unit is not capable of performing blur correction.
  • FIG. 3 is a diagram illustrating an internal configuration example of the LCU 220.
  • the LCU 220 includes ADCs (Analog-to-digital converters) 221a and 221b, a yaw angle blur amount calculation unit 222a, a pitch angle blur amount calculation unit 222b, a correction amount calculation unit 223, and drivers 224a and 224b. , A communication unit 225, and a lens controller 226.
  • ADCs Analog-to-digital converters
  • the ADC 221a converts the detection result output as an analog signal by the yaw angular velocity sensor 240a into a digital signal.
  • the ADC 221b converts the detection result output as an analog signal by the pitch angular velocity sensor 240b into a digital signal.
  • the yaw angle blur amount calculation unit 222a is based on the yaw direction angular velocity and the optical characteristics (focal length of the optical system 210) represented by the conversion result of the ADC 221a, and the image plane movement amount in the X direction (image accompanying the blur in the yaw direction). (Blur amount) is calculated.
  • the pitch angle blur amount calculation unit 222b is based on the angular velocity in the pitch direction and the optical characteristics (focal length of the optical system 210) represented by the conversion result of the ADC 221b. (Blur amount) is calculated.
  • the internal configurations of the yaw angle shake amount calculation unit 222a and the pitch angle shake amount calculation unit 222b will be described later with reference to FIG. 5A.
  • the correction amount calculation unit 223 moves in the X direction and the Y direction for moving the blur correction lens group in a direction to cancel the image blur. The amount of movement is calculated.
  • the driver 224a outputs a drive pulse corresponding to the movement amount in the X direction calculated by the correction amount calculation unit 353 to the optical system drive unit 230.
  • the driver 224 b outputs a drive pulse corresponding to the movement amount in the Y direction calculated by the correction amount calculation unit 223 to the optical system drive unit 230.
  • the communication unit 225 communicates with the system controller 340, for example, notifies the information about the lens unit 200, or acquires information about the camera body 300 and instructions for starting and ending blur correction.
  • the communication unit 225 performs communication related to, for example, focus control and aperture control.
  • the lens controller 226 controls the overall operation of the LCU 220 (lens unit 200). For example, the lens controller 226 notifies the system controller 340 of information related to the lens unit 200, notifies the yaw angle blur amount calculation unit 222a and the pitch angle blur amount calculation unit 222b of information regarding the optical characteristics of the optical system 210, and the like. Control. For example, the lens controller 226 also performs focus control, aperture control, and the like.
  • FIG. 4 is a diagram illustrating an internal configuration example of the shake correction microcomputer 350.
  • the shake correction microcomputer 350 includes ADCs 351a, 351b, and 351c, a yaw angle shake amount calculation unit 352a, a pitch angle shake amount calculation unit 352b, a roll angle shake amount calculation unit 352c, a correction amount calculation unit 353, Drivers 354a, 354b, 354c, and a communication unit 355 are included.
  • the ADC 351a converts the detection result output as an analog signal by the yaw angular velocity sensor 360a into a digital signal.
  • the ADC 351b converts the detection result output as an analog signal by the pitch angular velocity sensor 360b into a digital signal.
  • the ADC 351c converts the detection result output as an analog signal by the roll angular velocity sensor 360c into a digital signal.
  • the yaw angle blur amount calculation unit 352a based on the angular velocity in the yaw direction and the optical characteristics (focal distance of the optical system 210) represented by the conversion result of the ADC 351a, the image plane movement amount in the X direction (the image accompanying the blur in the yaw direction). (Blur amount) is calculated.
  • the pitch angle blur amount calculation unit 352b is based on the pitch direction angular velocity and the optical characteristics (focal length of the optical system 210) represented by the conversion result of the ADC 351b. (Blur amount) is calculated.
  • the roll angle blur amount calculation unit 352c calculates an image plane rotation amount (image blur amount due to blur in the roll direction) based on the angular velocity in the roll direction represented by the conversion result of the ADC 351c.
  • the internal configurations of the yaw angle shake amount calculation unit 352a, the pitch angle shake amount calculation unit 352b, and the roll angle shake amount calculation unit 352c will be described later with reference to FIGS. 5A and 5B.
  • the correction amount calculation unit 353 moves the image sensor 320 in a direction to cancel image blur based on the calculation results of the yaw angle blur amount calculation unit 352a, the pitch angle blur amount calculation unit 352b, and the roll angle blur amount calculation unit 352c. Therefore, the movement amount of each axis of X1, X2, and Y is calculated. Alternatively, the correction amount calculation unit 353 calculates, based on the calculation result of the roll angle blur amount calculation unit 352c, the movement amount of each axis of X1 and X2 for moving the image sensor 320 in the direction to cancel the image blur. .
  • the X1, X2, and Y axes will be described later with reference to FIG.
  • the driver 354a outputs a driving pulse corresponding to the movement amount of the X1 axis calculated by the correction amount calculation unit 353 to the image sensor driving unit 330.
  • the driver 354b outputs a drive pulse corresponding to the movement amount of the X2 axis calculated by the correction amount calculation unit 353 to the image sensor driving unit 330.
  • the driver 354 c outputs a drive pulse corresponding to the movement amount of the Y axis calculated by the correction amount calculation unit 353 to the image sensor driving unit 330.
  • the communication unit 355 communicates with the system controller 340, for example, information on the optical characteristics of the optical system 210, a determination result as to whether or not the lens unit is capable of performing blur correction, and start / end of blur correction. Get instructions.
  • FIG. 5A is a diagram illustrating an internal configuration example of each of the yaw angle blur amount calculation units 222a and 352a and the pitch angle blur amount calculation units 222b and 352b
  • FIG. 5B is an internal configuration of the roll angle blur amount calculation unit 352c. It is a figure which shows an example.
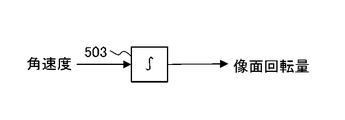
  • each of the yaw angle blur amount calculation units 222a and 352a, the pitch angle blur amount calculation units 222b and 352b includes an integrator 501 and a multiplier 502.
  • the integrator 501 calculates an angle change by time-integrating the input angular velocity.
  • the multiplier 502 multiplies the calculation result of the integrator 501 by the optical characteristic (focal length of the optical system 210) to calculate the image plane movement amount.
  • the roll angle blur amount calculation unit 352 c includes an integrator 503.
  • the integrator 503 calculates an angle change (image plane rotation amount) by time-integrating the input angular velocity.
  • FIG. 6 is a diagram illustrating an example of a driving mechanism of the image sensor driving unit 330.
  • the imaging element driving unit 330 includes three driving units (actuators), that is, an X1 driving unit 331, an X2 driving unit 332, and a Y driving unit 333.
  • the X1 driving unit 331 moves a part of the fulcrum of the image sensor 320 (for example, a part of the upper left fulcrum of the image sensor 320 shown in FIG. 6) in the X1 axial direction indicated by the double arrow 331a.
  • the X2 drive unit 332 moves a part of the image sensor 320 (for example, a part of the lower left part of the image sensor 320 shown in FIG. 6) in the X2 axial direction indicated by the double arrow 332a.
  • the imaging element 320 can be moved and rotated in the X direction. More specifically, when the image sensor 320 is moved in the X direction, the drive amounts of the X1 drive unit 331 and the X2 drive unit 332 are set to the same drive amount as the sign (positive / negative). When the image sensor 320 is rotated, the driving amounts of the X1 driving unit 331 and the X2 driving unit 332 are different in sign (positive / negative) but the same driving amount.
  • the image sensor 320 is configured to be rotatable in parallel with the imaging surface with the center of the imaging surface as the center of rotation.
  • the X1 drive unit 331 and the X2 drive unit 332 include a correction stroke for moving the image sensor 320 in the X direction, and an image sensor. A correction stroke for rotating 320 is secured.
  • the Y drive unit 333 moves the image sensor 320 in the Y axis direction (Y direction) indicated by the double arrow 333a. Such a Y drive unit 333 enables the image sensor 320 to move in the Y direction.
  • this blur correction operation is performed under the control of the system controller 340, and after the blur correction start instruction is notified from the system controller 340 to the lens unit 200 and the camera body 300, the blur correction end instruction is issued. Until the notification is made, the following blur correction operation is performed in each of the lens unit 200 and the camera body 300.
  • the blur correction operation performed by the camera body 300 will be described first, and the blur correction operation performed by the lens unit 200 will be described next.
  • FIG. 7 is a flowchart showing the processing content of the shake correction operation performed by the camera body 300.
  • the shake correction microcomputer 350 that is notified of the start instruction of the shake correction first determines whether or not the lens unit 200 mounted on the camera body 300 is a lens unit that is disabled for shake correction. (S101). This determination is made based on the determination result of whether or not the lens unit is capable of performing blur correction in the yaw direction and pitch direction, which is notified from the system controller 340. That is, when the determination result is a determination result that the lens unit can perform blur correction in the yaw direction and the pitch direction, the determination result in S101 is No. On the other hand, when the determination result indicates that the lens unit is not capable of performing blur correction in the yaw direction and the pitch direction, the determination result in S101 is Yes.
  • the shake correction microcomputer 350 performs a shake detection process in the yaw direction (S102). More specifically, the blur correction microcomputer 350 uses the ADC 351a and the yaw angle blur amount calculation unit 352a based on the detection result of the yaw angular velocity sensor 360a to move the image plane in the X direction (image blur amount due to the blur in the yaw direction). Is calculated. Subsequently, the shake correction microcomputer 350 performs a shake detection process in the pitch direction (S103).
  • the blur correction microcomputer 350 uses the ADC 351b and the pitch angle blur amount calculation unit 352b based on the detection result of the pitch angular velocity sensor 360b to move the image plane in the Y direction (image blur amount due to the blur in the pitch direction). Is calculated. Subsequently, the blur correction microcomputer 350 performs a roll direction blur detection process (S104). More specifically, the blur correction microcomputer 350 calculates the image plane rotation amount (image blur amount accompanying the blur in the roll direction) by the ADC 351c and the roll angle blur amount calculation unit 352c based on the detection result of the roll angular velocity sensor 360c. .
  • the shake correction microcomputer 350 performs a shake correction process based on the calculation results in S102 to S104 (S105). More specifically, based on the calculation result, the shake correction microcomputer 350 causes the correction amount calculation unit 353 and the drivers 354a, 354b, and 354c to generate drive pulses corresponding to the movement amounts of the X1, X2, and Y axes.
  • the image sensor drive unit 330 outputs the image sensor, and the image sensor drive unit 330 moves the image sensor 320 accordingly.
  • the blur correction microcomputer 350 performs a roll direction blur detection process (S106). Since S106 is the same as S104, detailed description thereof is omitted here. Then, the shake correction microcomputer 350 performs a shake correction process based on the calculation result in S106 (S107). More specifically, based on the calculation result, the blur correction microcomputer 350 causes the correction amount calculation unit 353 and the drivers 354a and 354b to generate drive pulses corresponding to the movement amounts of the respective axes X1 and X2 based on the calculation result. And the image sensor drive unit 330 moves (rotates) the image sensor 320 accordingly.
  • FIG. 8 is a flowchart showing the processing content of the blur correction operation performed in the lens unit 200.
  • the LCU 220 that has been notified of the start of shake correction first performs shake detection processing in the yaw direction (S111). More specifically, the LCU 220 uses the ADC 221a and the yaw angle blur amount calculation unit 222a based on the detection result of the yaw angular velocity sensor 240a to calculate the image plane movement amount in the X direction (image blur amount accompanying the blur in the yaw direction). .
  • the LCU 220 performs a shake detection process in the pitch direction (S112). More specifically, the LCU 220 uses the ADC 221b and the pitch angle blur amount calculation unit 222b based on the detection result of the pitch angular velocity sensor 240b to calculate the image plane movement amount in the Y direction (image blur amount due to pitch direction blur). .
  • the LCU 220 performs a shake correction process based on the calculation results in S112 and S113 (S113). More specifically, the LCU 220 outputs a drive pulse corresponding to the amount of movement in the X direction and the Y direction to the optical system drive unit 230 by the correction amount calculation unit 223 and the drivers 224a and 224b based on the calculation result. In response thereto, the optical system driving unit 230 moves the blur correction lens group.
  • the lens unit 200 capable of performing blur correction in the yaw direction and pitch direction on the camera body 300 capable of performing blur correction in the yaw direction, pitch direction, and roll direction.
  • the X1 driving unit 331 and the X2 driving unit 332 can be used only for the blur correction in the roll direction.
  • the correction stroke used for the direction blur correction can be enlarged.
  • the shake correction microcomputer 350 reduces the processing load by not performing the shake correction in the yaw direction and the pitch direction, the period of performing the shake correction in the roll direction is accordingly increased, for example, as shown in FIG. It can be shortened.
  • FIG. 9 is a diagram for explaining an example of a blur correction cycle in the camera body 300 when the lens unit 200 attached to the camera body 300 is a lens unit with invalid blur correction and when it is not.
  • the blur correction in three directions of the yaw direction, the pitch direction, and the roll direction is performed at a cycle of 1 ms. Is performed once, but otherwise (in the case of a lens unit that is effective in blur correction), blur correction in the roll direction is performed twice in a cycle of 1 ms (in the roll direction in a cycle of 0.5 ms). Blur correction is performed once).
  • the lens unit 200 capable of performing the shake correction in the yaw direction and the pitch direction on the camera body 300 capable of performing the shake correction in the yaw direction, the pitch direction, and the roll direction.
  • the shake correction is shared so that the shake correction in the roll direction is performed in the camera body 300.
  • the correction stroke can be expanded, and the responsiveness can be further improved. Accordingly, it is possible to realize a correction performance that exceeds the correction performance in the case where the blur correction is performed using only one of the lens unit 200 and the camera body 300.
  • FIG. 10 is a diagram illustrating a configuration example of the camera system according to the present embodiment. As shown in FIG. 10, the camera system 100 according to the present embodiment further detects accelerations in the X direction, the Y direction, and the Z direction with respect to the camera system 100 shown in FIG. 2. Including a three-axis acceleration sensor 380.
  • the blur correction microcomputer 350 controls the image sensor driving unit 330 to move the image sensor 320 in the direction to cancel the image blur under the control of the system controller 340, the yaw angular velocity sensor 360a, and the pitch angular velocity sensor 360b. , Based on the detection results of the roll angular velocity sensor 360c and the triaxial acceleration sensor 380, or based on the calculation results of the roll angular velocity sensor 360c.
  • the internal configuration of the shake correction microcomputer 350 according to this embodiment will be described later with reference to FIG.
  • the shake correction microcomputer 350 sends it to the LCU 220 via the system controller 340 and the detection result of the triaxial acceleration sensor 380 The amount of image blur due to the parallel blurring in the X direction and the Y direction is reported as a correction amount.
  • the LCU 220 performs control of the optical system driving unit 230 for moving the blur correction lens group in a direction to cancel image blur based on the angular velocity detected by the yaw angular velocity sensor 240a and the pitch angular velocity sensor 240b, or , Based on the angular velocity detected by the yaw angular velocity sensor 240a and the pitch angular velocity sensor 240b and the correction amount notified by the system controller 340.
  • the yaw angular velocity sensor 360a, the pitch angular velocity sensor 360b, the roll angular velocity sensor 360c, and the three-axis acceleration sensor 380 are examples of a blur detection unit that detects blurs in a plurality of directions.
  • FIG. 11 is a diagram illustrating an internal configuration example of the shake correction microcomputer 350 according to the present embodiment.
  • the shake correction microcomputer 350 according to the present embodiment further includes an acceleration acquisition unit 356, an X parallel shake amount calculation unit 357a, and a Y parallel to the shake correction microcomputer 350 illustrated in FIG.
  • a blur amount calculation unit 357b is included.
  • the acceleration acquisition unit 356 periodically acquires accelerations in the X direction and the Y direction from the triaxial acceleration sensor 380.
  • the X parallel blur amount calculation unit 357a calculates an image plane movement amount in the X direction (image blur amount due to parallel blur in the X direction) from the X direction acceleration periodically acquired by the acceleration acquisition unit 356.
  • the Y parallel blur amount calculation unit 357b calculates an image plane movement amount in the Y direction (image blur amount due to parallel blur in the Y direction) from the acceleration in the Y direction periodically acquired by the acceleration acquisition unit 356.
  • the internal configurations of the X parallel shake amount calculation unit 357a and the Y parallel shake amount calculation unit 357b will be described later with reference to FIG.
  • the correction amount calculator 353 includes a yaw angle blur amount calculator 352a, a pitch angle blur amount calculator 352b, a roll angle blur amount calculator 352c, an X parallel blur amount calculator 357a, and a Y parallel blur amount calculator. Based on the calculation result of 357b, the movement amount of each of the X1, X2, and Y axes for moving the image sensor 320 in the direction to cancel the image blur is calculated. Alternatively, the correction amount calculation unit 353 calculates, based on the calculation result of the roll angle blur amount calculation unit 352c, the movement amount of each axis of X1 and X2 for moving the image sensor 320 in the direction to cancel the image blur. .
  • the communication unit 355 displays the calculation results of the X parallel blur amount calculation unit 357a and the Y parallel blur amount calculation unit 357b.
  • the system controller 340 is notified of the correction amount. This correction amount is further notified to the LCU 220 by the system controller 340.
  • FIG. 11 is a diagram illustrating an internal configuration example of each of the X parallel shake amount calculation unit 357a and the Y parallel shake amount calculation unit 357b.
  • each of the X parallel shake amount calculation unit 357a and the Y parallel shake amount calculation unit 357b includes integrators 511 and 512 and a multiplier 513.
  • the integrator 511 calculates the velocity by time-integrating the input acceleration.
  • the integrator 512 further integrates the calculation result of the integrator 511 with time to calculate the parallel movement amount.
  • the multiplier 513 multiplies the calculation result of the integrator 512 by the optical characteristic (image magnification of the optical system 210) to calculate the image plane movement amount.
  • the image magnification is determined by the focal length of the optical system 210, and the information regarding the image magnification is included in the information regarding the optical characteristics notified by the system controller 340.
  • the method of calculating the image plane movement amount from the acceleration is not limited to the method shown in FIG. 12, and other methods may be used.
  • the LCU 220 has an internal configuration similar to the internal configuration illustrated in FIG. 3 and is not illustrated.
  • the system controller 340 corrects correction amounts (X parallel blur amount calculation unit 357a and Y parallel blur amount calculation unit 357b).
  • the correction amount calculation unit 223 calculates the movement amount in the X direction and the Y direction for moving the blur correction lens group in the direction to cancel the image blur. Based on the calculation results of the calculation unit 222a and the pitch angle blur amount calculation unit 222b, or the correction results notified by the calculation results of the yaw angle blur amount calculation unit 222a and the pitch angle blur amount calculation unit 222b and the system controller 340 And based on.
  • the movement amount in the X direction for moving the blur correction lens group is, for example, the calculation result of the yaw angle blur amount calculation unit 222a is calculated in the X direction of the blur correction lens group. Is calculated by adding the value converted into the amount of movement and the value obtained by converting the correction amount (calculation result of the X parallel shake amount calculation unit 357a) into the amount of movement in the X direction of the shake correction lens group.
  • the amount of movement in the Y direction for moving the blur correction lens group is, for example, a value obtained by converting the calculation result of the pitch angle blur amount calculation unit 222b into the amount of movement of the blur correction lens group in the Y direction, and a correction amount. It is calculated by adding (the calculation result of the Y parallel shake amount calculation unit 357b) to a value converted to the amount of movement of the shake correction lens group in the Y direction.
  • this blur correction operation is performed under the control of the system controller 340, as in the first embodiment, and an instruction to start blur correction is notified from the system controller 340 to the lens unit 200 and the camera body 300.
  • the following blur correction operation is performed in each of the lens unit 200 and the camera body 300 from when the command is issued until a blur correction end instruction is notified.
  • the blur correction operation performed by the camera body 300 will be described first, and the blur correction operation performed by the lens unit 200 will be described next.
  • FIG. 13 is a flowchart showing the processing content of the shake correction operation performed by the camera body 300 according to the present embodiment.
  • the shake correction microcomputer 350 notified of the shake correction start instruction first performs shake detection processing in the X direction (S201). More specifically, the shake correction microcomputer 350 uses the acceleration acquisition unit 356 and the X parallel shake amount calculation unit 357a based on the detection result (acceleration in the X direction) of the triaxial acceleration sensor 380 to move the image plane in the X direction ( (Image blur amount due to parallel blur in the X direction) is calculated.
  • the blur correction microcomputer 350 performs a blur detection process in the Y direction (S202). More specifically, the blur correction microcomputer 350 uses the acceleration acquisition unit 356 and the Y parallel blur amount calculation unit 357b based on the detection result (acceleration in the Y direction) of the triaxial acceleration sensor 380 to move the image plane in the Y direction ( (Image blur amount due to parallel blur in the Y direction) is calculated.
  • the blur correction microcomputer 350 determines whether or not the lens unit 200 attached to the camera body 300 is a lens unit ineffective for blur correction (S203). Since this S203 is the same processing as S101 shown in FIG. 7, detailed description thereof is omitted here.
  • the shake correction microcomputer 350 performs a shake detection process in the yaw direction (S204), a shake detection process in the pitch direction (S205), and a shake detection process in the roll direction (S206). Since S204 to S206 are the same processing as S102 to S104 shown in FIG. 7, detailed description thereof is omitted here.
  • the shake correction microcomputer 350 performs a shake correction process based on the calculation results in S201, S202, and S204 to S206 (S207). More specifically, based on the calculation result, the shake correction microcomputer 350 causes the correction amount calculation unit 353 and the drivers 354a, 354b, and 354c to generate drive pulses corresponding to the movement amounts of the X1, X2, and Y axes.
  • the image sensor drive unit 330 outputs the image sensor, and the image sensor drive unit 330 moves the image sensor 320 accordingly.
  • the blur correction microcomputer 350 performs a roll direction blur detection process (S208). Since this S208 is the same processing as S206, detailed description thereof is omitted here. Subsequently, the blur correction microcomputer 350 notifies the calculation result (image plane movement amount in the X direction and the Y direction) in S201 and S202 to the system controller 340 as a correction amount (S209), and the system controller 340 notifies it. Further, the LCU 220 is notified. Then, the shake correction microcomputer 350 performs a shake correction process based on the calculation result in S208 (S210). Since this S210 is the same processing as S107 shown in FIG. 7, detailed description thereof is omitted here.
  • the process shown in FIG. 13 shows a shake correction operation for one cycle performed by the camera body 300, as in the process shown in FIG.
  • the blur correction operation for one cycle is repeatedly performed until the microcomputer 350 is notified of the blur correction end instruction.
  • FIG. 14 is a flowchart showing the processing content of the blur correction operation performed by the lens unit 200 according to the present embodiment.
  • the LCU 220 that has been notified of the start of shake correction first performs a shake detection process in the yaw direction (S211) and a shake detection process in the pitch direction (S212). Since S211 and S212 are the same processing as S111 and S112 shown in FIG. 8, detailed description thereof is omitted here.
  • the LCU 220 determines whether or not the camera body 300 attached to the lens unit 200 is a camera body that is disabled for blur correction (S213). This determination is performed based on information about the camera body 300 notified from the system controller 340, for example.
  • a camera body with no shake correction means a camera body that cannot perform shake correction, for example, a camera that does not have a shake correction function in the X direction, Y direction, yaw direction, pitch direction, and roll direction. It is a camera body that has a body and such a blur correction function but is disabled.
  • the invalidation of the shake correction function can be set, for example, by the user operating an operation unit provided in the camera body.
  • the LCU 220 performs a shake correction process based on the calculation results in S211 and S212 (S214). Since this S214 is the same processing as S113 shown in FIG. 8, detailed description thereof is omitted here.
  • the LCU 220 acquires the correction amount (the image plane movement amount in the X direction and the Y direction) notified via the system controller 340 by the shake correction microcomputer 350 in S209 of FIG. (S215). Then, the LCU 220 performs a blur correction process based on the calculation results in S211 and S212 and the correction amount acquired in S215 (S216). More specifically, the LCU 220 uses the correction amount calculation unit 223 and the drivers 224a and 224b to generate drive pulses corresponding to the movement amounts in the X direction and the Y direction based on the calculation result and the correction amount. And the optical system driving unit 230 moves the blur correction lens group accordingly.
  • the process shown in FIG. 14 shows the blur correction operation for one cycle performed by the lens unit 200, similarly to the process shown in FIG. 8.
  • the process from the system controller 340 to the LCU 220 is performed. Until a blur correction end instruction is notified, the blur correction operation for one cycle is repeated.
  • the camera body 300 capable of performing camera shake correction in the X direction, the Y direction, the yaw direction, the pitch direction, and the roll direction is provided with the yaw direction and pitch.
  • the camera body 300 performs shake detection and the lens unit 200 performs shake correction for the X direction and the Y direction.
  • Blur correction is shared as implemented in the camera body 300.
  • the X1 driving unit 331 and the X2 driving unit 332 can be used only for the blur correction in the roll direction, and thus are not used for the blur correction in the X direction and the yaw direction. Therefore, the correction stroke used for the blur correction in the roll direction can be enlarged. Further, the shake correction microcomputer 350 reduces the processing load by not performing the shake correction in the X direction, the Y direction, the yaw direction, and the pitch direction, and accordingly shortens the cycle of performing the shake correction in the roll direction. As a result, the responsiveness of the blur correction in the roll direction can be improved.
  • the shake correction in the yaw direction and the pitch direction is performed on the camera body 300 capable of performing the shake correction in the X direction, the Y direction, the yaw direction, the pitch direction, and the roll direction.
  • blur correction in the X direction, Y direction, yaw direction, and pitch direction is performed by the lens unit 200
  • blur correction in the roll direction is performed by the camera body 300. Since the shake correction is shared, the correction stroke can be expanded and the responsiveness can be further improved with respect to the shake correction in the roll direction. Accordingly, it is possible to realize a correction performance that exceeds the correction performance in the case where the blur correction is performed using only one of the lens unit 200 and the camera body 300.
  • the camera system 100 according to the present embodiment has the same configuration as the camera system 100 according to the first embodiment. However, since the camera system 100 according to the present embodiment does not handle blur correction in the roll direction, there may be no components necessary for blur correction in the roll direction.
  • the blur correction microcomputer 350 controls the image sensor driving unit 330 to move the image sensor 320 in the direction to cancel image blur, the angular velocity detected by the yaw angular velocity sensor 360a and the pitch angular velocity sensor 360b, or This is performed based on the angular velocity detected by the pitch angular velocity sensor 360b.
  • the LCU 220 controls the optical system driving unit 230 to move the blur correction lens group in a direction to cancel the image blur.
  • the angular velocity detected by the yaw angular velocity sensor 240a and the pitch angular velocity sensor 240b or the yaw angular velocity sensor 240a is performed based on the angular velocity detected by.
  • this blur correction operation is performed under the control of the system controller 340, as in the first embodiment, and an instruction to start blur correction is notified from the system controller 340 to the lens unit 200 and the camera body 300.
  • the following blur correction operation is performed in each of the lens unit 200 and the camera body 300 from when the command is issued until a blur correction end instruction is notified. Again, the blur correction operation performed by the camera body 300 will be described first, and the blur correction operation performed by the lens unit 200 will be described next.
  • FIG. 15 is a flowchart showing the processing content of the shake correction operation performed by the camera body 300 according to the present embodiment.
  • the shake correction microcomputer 350 that is notified of the start instruction of the shake correction first determines whether or not the lens unit 200 mounted on the camera body 300 is a lens unit that is disabled for shake correction. (S301). Since S301 is the same processing as S101 shown in FIG. 7, detailed description thereof is omitted here.
  • the shake correction microcomputer 350 performs a shake detection process in the yaw direction (S302) and a shake detection process in the pitch direction (S303). Since S302 and S303 are the same processing as S102 and S103 shown in FIG. 7, detailed description thereof is omitted here. Then, the blur correction microcomputer 350 performs a blur correction process based on the calculation results in S302 and S303 (S304). More specifically, based on the calculation result, the shake correction microcomputer 350 causes the correction amount calculation unit 353 and the drivers 354a and 354b to generate drive pulses corresponding to the movement amounts of the X1, X2, and Y axes. The image is output to the drive unit 330, and the image sensor drive unit 330 moves the image sensor 320 accordingly.
  • the shake correction microcomputer 350 performs a shake detection process in the pitch direction (S305). Since S305 is the same as S303, detailed description thereof is omitted here. Then, the shake correction microcomputer 350 performs a shake correction process based on the calculation result in S305 (S306). More specifically, the blur correction microcomputer 350 outputs a drive pulse corresponding to the amount of movement of the Y axis to the image sensor driving unit 330 by the correction amount calculation unit 353 and the driver 354c based on the calculation result, and accordingly Then, the image sensor driving unit 330 moves the image sensor 320.
  • the process shown in FIG. 15 shows a shake correction operation for one cycle performed by the camera body 300, as in the process shown in FIG.
  • the blur correction operation for one cycle is repeatedly performed until the microcomputer 350 is notified of the blur correction end instruction.
  • FIG. 16 is a flowchart showing the processing content of the blur correction operation performed by the lens unit 200 according to the present embodiment.
  • the LCU 220 that has been notified of the start instruction for shake correction first determines whether or not the camera body 300 attached to the lens unit 200 is a camera body that is disabled for shake correction ( S311). The determination as to whether or not the camera body is invalid for blur correction is made based on information related to the camera body 300 notified from the system controller 340, for example.
  • a camera body with no shake correction means a camera body that cannot perform shake correction. For example, a camera body that does not have a shake correction function in the yaw direction and pitch direction, and such a shake correction function. It is a camera body that is provided but that is invalid.
  • the LCU 220 performs the shake correction process based on the calculation results in S312 and S313 after performing the shake detection process in the yaw direction (S312) and the shake detection process in the pitch direction (S313). This is performed (S314). Since S312 to S314 are the same as S111 to S113 shown in FIG. 8, detailed description thereof is omitted here.
  • the LCU 220 performs a shake detection process in the yaw direction (S315).
  • S315 is the same processing as S312 and therefore detailed description thereof is omitted here.
  • the LCU 220 performs a shake correction process based on the calculation result in S315 (S316). More specifically, the LCU 220 outputs a drive pulse corresponding to the amount of movement in the X direction to the optical system drive unit 230 by the correction amount calculation unit 223 and the driver 224a based on the calculation result, and drives the optical system accordingly.
  • the unit 230 moves the blur correction lens group.
  • FIG. 16 shows the blurring correction operation for one cycle performed by the lens unit 200 in the same manner as the processing shown in FIG. 8.
  • the processing from the system controller 340 to the LCU 220 is performed. Until a blur correction end instruction is notified, the blur correction operation for one cycle is repeated.
  • the lens unit capable of performing the blur correction in the yaw direction and the pitch direction on the camera body 300 that can perform the blur correction in the yaw direction and the pitch direction.
  • the shake correction in the yaw direction is performed by the lens unit 200, and the shake correction is shared so that the shake correction in the pitch direction is performed by the camera body 300. Therefore, in this case, the blur correction microcomputer 350 reduces the processing load by not performing the yaw direction blur correction, and accordingly, the cycle of performing the blur correction in the pitch direction is, for example, as shown in FIG. It can also be shortened.
  • the LCU 220 reduces the processing load by not performing the shake correction in the pitch direction. Therefore, the cycle for performing the shake correction in the yaw direction can be shortened accordingly.
  • FIGS. 17A and 17B are diagrams for explaining an example of a blur correction cycle in the camera body 300 when the lens unit 200 mounted on the camera body 300 capable of performing blur correction is a lens unit ineffective for blur correction. It is.
  • the shake correction in two directions of the yaw direction and the pitch direction is 1 in a cycle of 1 ms. If it is not (when the camera body is effective for blur correction), the blur correction in the yaw direction is performed twice in a cycle of 1 ms (blur correction in the yaw direction in a cycle of 0.5 ms). Is performed once).
  • the lens unit 200 capable of performing the shake correction in the yaw direction and the pitch direction is mounted on the camera body 300 capable of performing the shake correction in the yaw direction and the pitch direction.
  • the shake correction in the yaw direction is performed by the lens unit 200, and the shake correction is shared so that the shake correction in the pitch direction is performed by the camera body 300.
  • the lens unit 200 capable of performing the shake correction in the yaw direction and the pitch direction is mounted on the camera body 300 capable of performing the shake correction in the yaw direction and the pitch direction.
  • the blur correction may be shared so that the blur correction in the pitch direction is performed by the lens unit 200 and the camera body 300 performs the blur correction in the yaw direction.
  • the camera body 300 may be a camera body capable of performing blur correction in the yaw direction, the pitch direction, and the roll direction.
  • the lens unit 200 capable of performing the shake correction in the yaw direction and the pitch direction is attached to such a camera body 300, the shake correction in the yaw direction is performed by the lens unit 200, and the pitch direction and the roll
  • the blur correction may be shared so that the direction blur correction is performed by the camera body 300.
  • the X1 driving unit 331 and the X2 driving unit 332 can be used only for blur correction in the roll direction, and are not used for blur correction in the yaw direction.
  • the correction stroke used for blur correction in the roll direction can be enlarged.
  • the camera system 100 according to the first to third embodiments has been described above, but the camera system 100 according to each embodiment can be variously modified.
  • the image sensor driving unit 330 of the camera body 300 includes the two driving units 331 and 332 in the X direction and the one driving unit 333 in the Y direction illustrated in FIG.
  • a configuration including one driving unit in the X direction and two driving units in the Y direction may be employed. In this case, movement of the image sensor 320 in the X direction is performed by driving one drive unit in the X direction, and movement and rotation of the image sensor 320 in the Y direction are performed by driving two drive units in the Y direction. .
  • the shake correction in the yaw direction and the pitch direction can be performed on the camera body 300 that can perform the shake correction in the yaw direction, the pitch direction, and the roll direction.
  • the shake correction in the pitch direction is performed by the lens unit 200, and the shake correction is shared so that the shake correction in the yaw direction and the roll direction is performed by the camera body 300.
  • the two Y-direction driving units of the image sensor driving unit 330 can be used only for roll-direction blur correction, and are not used for pitch-direction blur correction.
  • the correction stroke used for the can be expanded.
  • Camera System 200 Lens Unit 210 Optical System 220 LCU 221a, 221b ADC 222a Yaw angle blur amount calculation unit 222b Pitch angle blur amount calculation unit 223 Correction amount calculation units 224a and 224b Driver 225 Communication unit 226 Lens controller 230 Optical system drive unit 240a Yaw angular velocity sensor 240b Pitch angular velocity sensor 300 Camera body 310 Shutter 320 Imaging element 330 Image sensor drive unit 331 X1 drive unit 331a Double arrow 332 X2 drive unit 332a Double arrow 333 Y drive unit 333a Double arrow 340 System controller 350 Shake correction microcomputers 351a, 351b, 351c ADC 352a Yaw angle blur amount calculation unit 352b Pitch angle blur amount calculation unit 352c Roll angle blur amount calculation unit 353 Correction amount calculation units 354a, 354b, 354c Driver 355 Communication unit 356 Acceleration acquisition unit 357a X parallel blur amount calculation unit 357b Y parallel blur Quantity calculation unit 360a

Landscapes

  • Engineering & Computer Science (AREA)
  • Multimedia (AREA)
  • Signal Processing (AREA)
  • Physics & Mathematics (AREA)
  • General Physics & Mathematics (AREA)
  • Adjustment Of Camera Lenses (AREA)
  • Studio Devices (AREA)
PCT/JP2015/050186 2014-01-30 2015-01-06 カメラシステム Ceased WO2015115132A1 (ja)

Priority Applications (2)

Application Number Priority Date Filing Date Title
CN201580005054.XA CN105934708B (zh) 2014-01-30 2015-01-06 照相机系统
US15/212,846 US9800789B2 (en) 2014-01-30 2016-07-18 Camera system with image blur correction

Applications Claiming Priority (2)

Application Number Priority Date Filing Date Title
JP2014-015754 2014-01-30
JP2014015754A JP6284377B2 (ja) 2014-01-30 2014-01-30 カメラシステム

Related Child Applications (1)

Application Number Title Priority Date Filing Date
US15/212,846 Continuation US9800789B2 (en) 2014-01-30 2016-07-18 Camera system with image blur correction

Publications (1)

Publication Number Publication Date
WO2015115132A1 true WO2015115132A1 (ja) 2015-08-06

Family

ID=53756710

Family Applications (1)

Application Number Title Priority Date Filing Date
PCT/JP2015/050186 Ceased WO2015115132A1 (ja) 2014-01-30 2015-01-06 カメラシステム

Country Status (4)

Country Link
US (1) US9800789B2 (enExample)
JP (1) JP6284377B2 (enExample)
CN (1) CN105934708B (enExample)
WO (1) WO2015115132A1 (enExample)

Cited By (2)

* Cited by examiner, † Cited by third party
Publication number Priority date Publication date Assignee Title
WO2017122235A1 (ja) * 2016-01-15 2017-07-20 パナソニックIpマネジメント株式会社 ブレ補正方法、それを備えた撮像装置、交換レンズ装置及びカメラ本体
WO2018179823A1 (ja) * 2017-03-30 2018-10-04 富士フイルム株式会社 撮像装置、撮像用制御方法、及びプログラム

Families Citing this family (12)

* Cited by examiner, † Cited by third party
Publication number Priority date Publication date Assignee Title
JP2016035543A (ja) * 2014-08-04 2016-03-17 オリンパス株式会社 撮像装置及びその像ブレ補正方法
JP6579609B2 (ja) * 2015-07-13 2019-09-25 オリンパス株式会社 カメラシステム、そのブレ補正方法、及びカメラボディ
WO2017199582A1 (ja) * 2016-05-16 2017-11-23 ソニー株式会社 撮像装置、像振れ補正方法
US11202011B2 (en) * 2016-07-25 2021-12-14 Canon Kabushiki Kaisha Control apparatus, image capturing apparatus, lens apparatus, image capturing system, control method, and storage medium
JP6559366B2 (ja) 2016-10-13 2019-08-14 富士フイルム株式会社 ブレ補正装置、撮像装置、及びブレ補正方法
US11037277B2 (en) 2017-08-25 2021-06-15 Canon Kabushiki Kaisha Image processing apparatus, imaging apparatus, lens apparatus, and image processing method
KR102127962B1 (ko) * 2018-06-20 2020-06-29 주식회사 에스 피 지 팬틸트-짐벌 일체형 시스템 및 그 제어 방법
WO2020095623A1 (ja) 2018-11-07 2020-05-14 パナソニックIpマネジメント株式会社 撮像装置
US10999509B2 (en) * 2018-11-15 2021-05-04 Canon Kabushiki Kaisha Systems, methods, and mediums for controlling image stabilization based on imaging condition
CN110324594A (zh) 2019-06-19 2019-10-11 广景视睿科技(深圳)有限公司 一种投影画面防抖方法、装置及投影仪
JP7665351B2 (ja) * 2021-02-15 2025-04-21 キヤノン株式会社 レンズ装置、撮像システム、レンズ装置の制御方法、およびプログラム
JP7336741B1 (ja) * 2022-11-25 2023-09-01 パナソニックIpマネジメント株式会社 撮像装置

Citations (4)

* Cited by examiner, † Cited by third party
Publication number Priority date Publication date Assignee Title
JPH086086A (ja) * 1994-06-15 1996-01-12 Canon Inc カメラまたは光学機器のための制御装置
JP2005189654A (ja) * 2003-12-26 2005-07-14 Konica Minolta Photo Imaging Inc 手振れ補正機構を備えたカメラ
WO2009060624A1 (ja) * 2007-11-09 2009-05-14 Panasonic Corporation カメラ、カメラシステムおよびカメラ本体
JP2013174639A (ja) * 2012-02-23 2013-09-05 Tamron Co Ltd レンズユニット

Family Cites Families (18)

* Cited by examiner, † Cited by third party
Publication number Priority date Publication date Assignee Title
JPS58196777A (ja) * 1982-05-12 1983-11-16 Canon Inc 撮像装置
JPH07104338A (ja) * 1993-10-07 1995-04-21 Canon Inc 像振れ補正装置
JPH10311993A (ja) * 1997-05-13 1998-11-24 Nikon Corp カメラシステム、カメラボディ及び交換レンズ
JPH1172814A (ja) * 1997-06-27 1999-03-16 Nikon Corp カメラシステム、カメラボディ及び交換レンズ
JP3988220B2 (ja) * 1997-09-29 2007-10-10 株式会社ニコン カメラシステム、カメラボディ及び交換レンズ
JP3848230B2 (ja) * 2002-09-12 2006-11-22 キヤノン株式会社 オートフォーカス装置、撮像装置、オートフォーカス方法、プログラムおよび記憶媒体
JP2006071743A (ja) * 2004-08-31 2006-03-16 Olympus Corp ブレ補正機能を有するカメラシステム及びその補正方法
JP2006113468A (ja) * 2004-10-18 2006-04-27 Canon Inc 交換レンズカメラシステム
JP2006126668A (ja) * 2004-10-29 2006-05-18 Canon Inc カメラシステム
JP2006133265A (ja) * 2004-11-02 2006-05-25 Canon Inc カメラシステム
JP2007025298A (ja) * 2005-07-15 2007-02-01 Olympus Imaging Corp カメラシステム
JP2007065334A (ja) * 2005-08-31 2007-03-15 Canon Inc レンズ交換式カメラシステム
JP2008040085A (ja) 2006-08-04 2008-02-21 Matsushita Electric Ind Co Ltd カメラシステム、カメラ本体およびカメラシステムの制御方法
US8237803B2 (en) * 2007-07-09 2012-08-07 Panasonic Coporation Digital single-lens reflex camera including control section that performs camera shake correction and motion detecting section that detects speed of subject
JP2010271437A (ja) * 2009-05-20 2010-12-02 Sony Corp 撮影装置および撮影装置の手ぶれ補正方法
JP6041495B2 (ja) * 2011-03-24 2016-12-07 キヤノン株式会社 撮像装置及び欠陥画素の判定方法
JP5832373B2 (ja) * 2012-05-16 2015-12-16 キヤノン株式会社 交換レンズ装置およびカメラ装置
JP5968073B2 (ja) * 2012-05-18 2016-08-10 キヤノン株式会社 画像処理装置、撮像装置、画像処理方法、および画像処理プログラム

Patent Citations (4)

* Cited by examiner, † Cited by third party
Publication number Priority date Publication date Assignee Title
JPH086086A (ja) * 1994-06-15 1996-01-12 Canon Inc カメラまたは光学機器のための制御装置
JP2005189654A (ja) * 2003-12-26 2005-07-14 Konica Minolta Photo Imaging Inc 手振れ補正機構を備えたカメラ
WO2009060624A1 (ja) * 2007-11-09 2009-05-14 Panasonic Corporation カメラ、カメラシステムおよびカメラ本体
JP2013174639A (ja) * 2012-02-23 2013-09-05 Tamron Co Ltd レンズユニット

Cited By (5)

* Cited by examiner, † Cited by third party
Publication number Priority date Publication date Assignee Title
WO2017122235A1 (ja) * 2016-01-15 2017-07-20 パナソニックIpマネジメント株式会社 ブレ補正方法、それを備えた撮像装置、交換レンズ装置及びカメラ本体
US9964835B2 (en) 2016-01-15 2018-05-08 Panasonic Intellectual Property Management Co., Ltd. Shake correction method, imaging device provided with same, interchangeable lens device, and camera body
WO2018179823A1 (ja) * 2017-03-30 2018-10-04 富士フイルム株式会社 撮像装置、撮像用制御方法、及びプログラム
JPWO2018179823A1 (ja) * 2017-03-30 2019-08-08 富士フイルム株式会社 撮像装置、撮像用制御方法、及びプログラム
US10802380B2 (en) 2017-03-30 2020-10-13 Fujifilm Corporation Imaging device, imaging control method, and program

Also Published As

Publication number Publication date
US20160330377A1 (en) 2016-11-10
CN105934708A (zh) 2016-09-07
US9800789B2 (en) 2017-10-24
CN105934708B (zh) 2018-08-28
JP6284377B2 (ja) 2018-02-28
JP2015141390A (ja) 2015-08-03

Similar Documents

Publication Publication Date Title
JP6284377B2 (ja) カメラシステム
JP6410431B2 (ja) カメラシステム
JP6381433B2 (ja) カメラシステム及びそのブレ補正方法
JP6579609B2 (ja) カメラシステム、そのブレ補正方法、及びカメラボディ
US10812722B2 (en) Imaging apparatus, shake correction method, lens unit, and body unit
US9432578B2 (en) Imaging apparatus having image stabilization mechanisms
JP2006086978A5 (enExample)
JP2004295027A (ja) ブレ補正装置
JP2017044876A (ja) 撮像装置及び像ブレ補正方法
JP2014016451A (ja) 撮像装置、手振れ補正量算出方法、手振れ補正量算出プログラム
US10951829B2 (en) Image capturing apparatus and method for controlling display
JP6268981B2 (ja) ブレ補正装置、交換レンズ及びカメラ
JP4957851B2 (ja) 手ぶれ検出装置、手ぶれ検出方法、および手ぶれ検出プログラム
JP6136441B2 (ja) カメラ
JP2010093451A (ja) 撮像装置および撮像装置用プログラム
JP2009063827A (ja) 手振れ補正制御装置、及びそれを備えたカメラボディ、交換レンズ
JP2006343639A (ja) デジタルカメラ
CN106973214B (zh) 数据处理装置以及数据处理方法
US7664381B2 (en) Controller, photographing equipment, control method of photographing equipment, and control program
JP6188369B2 (ja) 撮像装置
JP2015118147A (ja) 撮像装置およびその制御方法
CN111213370B (zh) 移动体、对焦控制方法、程序以及记录介质
JP4765744B2 (ja) 手ぶれ検出装置、手ぶれ検出方法、および手ぶれ検出プログラム
JP2012133253A (ja) 撮像装置、像振れ補正方法、及びプログラム
JP2022042828A (ja) 検出装置、撮像装置、制御方法及びプログラム

Legal Events

Date Code Title Description
121 Ep: the epo has been informed by wipo that ep was designated in this application

Ref document number: 15743539

Country of ref document: EP

Kind code of ref document: A1

NENP Non-entry into the national phase

Ref country code: DE

122 Ep: pct application non-entry in european phase

Ref document number: 15743539

Country of ref document: EP

Kind code of ref document: A1