WO2014156450A1 - ホップ苞を使用したビールテイスト飲料の製造方法 - Google Patents
ホップ苞を使用したビールテイスト飲料の製造方法 Download PDFInfo
- Publication number
- WO2014156450A1 WO2014156450A1 PCT/JP2014/054745 JP2014054745W WO2014156450A1 WO 2014156450 A1 WO2014156450 A1 WO 2014156450A1 JP 2014054745 W JP2014054745 W JP 2014054745W WO 2014156450 A1 WO2014156450 A1 WO 2014156450A1
- Authority
- WO
- WIPO (PCT)
- Prior art keywords
- hop
- acid
- content
- beer
- koji
- Prior art date
- Legal status (The legal status is an assumption and is not a legal conclusion. Google has not performed a legal analysis and makes no representation as to the accuracy of the status listed.)
- Ceased
Links
Images
Classifications
-
- A—HUMAN NECESSITIES
- A23—FOODS OR FOODSTUFFS; TREATMENT THEREOF, NOT COVERED BY OTHER CLASSES
- A23L—FOODS, FOODSTUFFS OR NON-ALCOHOLIC BEVERAGES, NOT OTHERWISE PROVIDED FOR; PREPARATION OR TREATMENT THEREOF
- A23L2/00—Non-alcoholic beverages; Dry compositions or concentrates therefor; Preparation or treatment thereof
- A23L2/38—Other non-alcoholic beverages
- A23L2/382—Other non-alcoholic beverages fermented
-
- C—CHEMISTRY; METALLURGY
- C12—BIOCHEMISTRY; BEER; SPIRITS; WINE; VINEGAR; MICROBIOLOGY; ENZYMOLOGY; MUTATION OR GENETIC ENGINEERING
- C12C—BEER; PREPARATION OF BEER BY FERMENTATION; PREPARATION OF MALT FOR MAKING BEER; PREPARATION OF HOPS FOR MAKING BEER
- C12C3/00—Treatment of hops
-
- A—HUMAN NECESSITIES
- A23—FOODS OR FOODSTUFFS; TREATMENT THEREOF, NOT COVERED BY OTHER CLASSES
- A23L—FOODS, FOODSTUFFS OR NON-ALCOHOLIC BEVERAGES, NOT OTHERWISE PROVIDED FOR; PREPARATION OR TREATMENT THEREOF
- A23L2/00—Non-alcoholic beverages; Dry compositions or concentrates therefor; Preparation or treatment thereof
- A23L2/52—Adding ingredients
- A23L2/56—Flavouring or bittering agents
-
- C—CHEMISTRY; METALLURGY
- C12—BIOCHEMISTRY; BEER; SPIRITS; WINE; VINEGAR; MICROBIOLOGY; ENZYMOLOGY; MUTATION OR GENETIC ENGINEERING
- C12C—BEER; PREPARATION OF BEER BY FERMENTATION; PREPARATION OF MALT FOR MAKING BEER; PREPARATION OF HOPS FOR MAKING BEER
- C12C11/00—Fermentation processes for beer
-
- C—CHEMISTRY; METALLURGY
- C12—BIOCHEMISTRY; BEER; SPIRITS; WINE; VINEGAR; MICROBIOLOGY; ENZYMOLOGY; MUTATION OR GENETIC ENGINEERING
- C12C—BEER; PREPARATION OF BEER BY FERMENTATION; PREPARATION OF MALT FOR MAKING BEER; PREPARATION OF HOPS FOR MAKING BEER
- C12C5/00—Other raw materials for the preparation of beer
- C12C5/02—Additives for beer
-
- C—CHEMISTRY; METALLURGY
- C12—BIOCHEMISTRY; BEER; SPIRITS; WINE; VINEGAR; MICROBIOLOGY; ENZYMOLOGY; MUTATION OR GENETIC ENGINEERING
- C12C—BEER; PREPARATION OF BEER BY FERMENTATION; PREPARATION OF MALT FOR MAKING BEER; PREPARATION OF HOPS FOR MAKING BEER
- C12C7/00—Preparation of wort
- C12C7/20—Boiling the beerwort
- C12C7/205—Boiling with hops
-
- C—CHEMISTRY; METALLURGY
- C12—BIOCHEMISTRY; BEER; SPIRITS; WINE; VINEGAR; MICROBIOLOGY; ENZYMOLOGY; MUTATION OR GENETIC ENGINEERING
- C12G—WINE; PREPARATION THEREOF; ALCOHOLIC BEVERAGES; PREPARATION OF ALCOHOLIC BEVERAGES NOT PROVIDED FOR IN SUBCLASSES C12C OR C12H
- C12G3/00—Preparation of other alcoholic beverages
- C12G3/04—Preparation of other alcoholic beverages by mixing, e.g. for preparation of liqueurs
- C12G3/06—Preparation of other alcoholic beverages by mixing, e.g. for preparation of liqueurs with flavouring ingredients
Definitions
- the present invention relates to a method for producing a beer-taste beverage. More specifically, a method for producing a beer-taste beverage using hop koji, a method for adjusting the flavor of a beer-taste beverage using the hop koji, a hop koji-containing composition used in these methods, and a beer taste obtained by the above method Regarding beverages.
- hops not only give bitter taste to beer-taste beverages but also give their refreshing hop aroma and richness.
- Bitterness is imparted from various components such as alpha acid in hops, hop aroma is terpenes, and rich is polyphenol. Therefore, the bitterness, hop flavor, and richness of beer-taste beverages have been conventionally adjusted by selecting the brewing method, the variety used, and the processed product based on the hop used.
- the selection of the brewing method is that when adding hops during wort boiling, add hops at the beginning of the wort boiling process, add it in the middle, or add it later or after the fermentation process. Can be adjusted.
- the alpha acid which is the source of bitterness is sufficiently isolated to form iso alpha acid, so that a good quality bitterness can be extracted.
- most of the terpenes that contribute to fragrance evaporate.
- the terpenes that contribute to the aroma remain and give a firm hop flavor, but on the other hand, the alpha acid is not sufficiently isolated and the bitterness may not match the beer.
- There are also methods such as dry hopping, where hops are soaked in fermentation and storage. In the case of dry hopping, a fresh aroma unique to raw hops is given.
- hops are mainly classified into bitter varieties with high alpha acid content for the purpose of imparting bitterness, and aroma varieties that impart good quality fragrance.
- Over 100 varieties are cultivated in the global market. ing. It is possible to produce a desired beer-taste beverage by selecting varieties having various qualities for bitterness, aroma, and richness.
- a hop is a perennial plant of the family Asapaceae, and its spikelet (a matured unfertilized female flower) is generally called a hop. It is thought that the lupulin part (yellow granule) of this camellia is the main body of hop bitterness and aroma.
- processed hop products having various characteristics obtained by processing various hops are used for beer-taste beverages.
- Examples include “Type 45 hop pellets” in the form of pellets and “Hop extract” in which bitter components are extracted from Type 90 hop pellets with CO 2 .
- hop cake which is a cocoon fraction discharged as a by-product during the manufacture of Type 45 hop pellets, is normally used as a fertilizer for soil improvement and feed for livestock.
- Patent Document 1 discloses that hop koji-derived polyphenol has an antioxidant action, a foam stabilizing action, an anticaries action, a deodorizing action, a cancer cell metastasis inhibiting action, a topoisomerase inhibiting action. Therefore, it is disclosed that a highly purified polyphenol is produced from hop koji and blended in foods, drinks, cosmetics, pharmaceuticals, and the like.
- Patent Document 2 discloses a drink obtained by extracting hop koji tea obtained by roasting hop koji or hop koji itself with hot water or water.
- hop pellets such as Type 90 and Type 45, but if these are used, the bitterness will increase with the addition of taste and aroma. appear.
- hop pellets such as Type 90 and Type 45, but if these are used, the bitterness will increase with the addition of taste and aroma. appear.
- oil rich extract “polyphenol rich extract”, etc.
- bitterness does not increase, because it is a processed product with a high degree of purification, the extraction operation is complicated, the processing cost is high, Or in Japan, restrictions on product display may occur, and there has been a problem in application to beer-taste beverages.
- An object of the present invention is to provide a method for producing a desired beer quality with high productivity by suppressing bitterness in a beer-taste beverage, adding richness and aroma derived from hops.
- the present invention relates to the following [1] to [5].
- [1] A method for producing a beer-taste beverage, comprising adding a hop koji-containing composition having an ⁇ acid content of less than 1% by weight in the composition in the process of producing a beer-taste beverage.
- [2] A method for adjusting the flavor of a beer-taste beverage, comprising using hop pellets having an ⁇ acid content of less than 1% by weight.
- a beer-taste beverage produced by the method according to [1].
- [4] A hop koji-containing composition in which the ⁇ acid content in the composition is less than 1% by weight for use in the method according to [1] or [2].
- the ratio of the content of linalool to the total content of ⁇ acid and iso ⁇ acid is 4.2 ⁇ 10 ⁇ 4 or more, and the total polyphenols
- the ratio of the total content of ⁇ acid and iso ⁇ acid is 4.1 or more, or the sum of dimer proanthocyanidins and trimer proanthocyanidins Beer taste in which the ratio of the content to the total content of ⁇ -acid and iso- ⁇ -acid ((dimer proanthocyanidin + trimer proanthocyanidin) / ( ⁇ acid + iso ⁇ acid)) is 0.32 or more Beverages.
- the production method of the present invention there is no significant increase in bitterness, and richness and aroma can be imparted, and a desired beer-taste beverage can be produced with high accuracy.
- the hop koji used in the production method of the present invention is generally easier to obtain without going through complicated production steps as compared with oil rich extract, polyphenol rich extract, etc. The method also has good productivity.
- FIG. 1 is a diagram showing the ⁇ acid content in a hop koji / hop processed product.
- FIG. 2 is a diagram showing the linalool content in the hop koji / hop processed product.
- FIG. 3 is a graph showing the total polyphenol (T-PP) content in hop koji / hop processed products.
- FIG. 4 is a diagram showing dimer proanthocyanidin / trimer proanthocyanidin (PAO) content in hop koji / hop processed products.
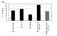
- FIG. 5 is a figure which shows the result which contrasted each component content in a hop ⁇ and a hop processed product about Hallertauer tradition hop.
- FIG. 6 is a diagram illustrating the results of bitterness component analysis of beer in Examples.
- FIG. 1 is a diagram showing the ⁇ acid content in a hop koji / hop processed product.
- FIG. 2 is a diagram showing the linalool content in the hop koji / hop processed product.
- FIG. 7 is a diagram showing the linalool content of beer in Examples.
- FIG. 8 is a graph showing the total polyphenol (T-PP) content of the beer of the example.
- FIG. 9 is a diagram showing the dimer proanthocyanidin / trimer proanthocyanidin (PAO) content of beer in Examples.
- FIG. 10 is a diagram showing a result of comparing the content of each component of the beer of the example.
- FIG. 11 is a diagram showing the results of sensory evaluation of beer in the examples.
- a hop koji-containing composition (hereinafter sometimes referred to as a hop koji-containing composition of the present invention) in which the ⁇ acid content is less than 1% by weight in the composition. It is added in the manufacturing process of a beer-taste beverage. That is, in the present invention, when the hop koji is converted into an amount per bitter component (hereinafter referred to as the rich component) regarding the aromatic component and rich component, the aromatic component and the rich component are both other hop processed products.
- the rich component an amount per bitter component
- the present inventors have found that it is contained in an amount larger than those in In this invention, it has the big characteristic in adding the hop koji containing composition of this invention so that it may become the target beer taste using the hop koji which has such quality.
- a manufacturing process of a beer taste drink if it is a process included in the manufacturing method of a well-known beer taste drink, there will be no limitation in particular, and details are mentioned later.
- the hop koji-containing composition in the present invention is not particularly limited as long as the ⁇ acid content in the composition is less than 1% by weight, and the hop itself in which the ⁇ acid content is less than 1% by weight ( For example, dried spikelets) are also included as one aspect.
- beer-taste beverage refers to a carbonated beverage having a beer-like flavor. That is, the beer-taste drink of this specification includes all beer-flavored carbonated drinks regardless of the presence or absence of a fermentation process using yeast, unless otherwise specified. Specific examples include beer, happoshu, other brewed liquors, liqueurs, non-alcoholic beverages, and the like.
- the hop in the present invention is not particularly limited in its production area and variety, and known aroma hops, bitter hops, and the like are used.
- Hallertauer Mittelfrueh, Hallertauer tradition, Hersbrucker, Perle, Tettnanger, Cascade, Saaz, Sladek etc. are exemplified as aroma hops
- Northern Brewer, Herkules, Magnum, Nugget, Taurus, Galaxy, Target, etc. are exemplified as bitter hops. .
- a cocoon part composed of lupine containing resin and essential oil and cocoon (hop cocoon) containing phenol (tannin) is mainly used.
- the cocoon is a petal-like tissue outside the hop camellia, while lupurin is a yellow granule existing at the base of the cocoon.
- the resin component mainly contains ⁇ acid in addition to ⁇ acid which is a bitter component.
- the essential oil component contains terpenes. More specifically, monoterpenes that are considered to contribute to a gorgeous aroma (flower-like), sesquiterpenes that are considered to contribute to a mild aroma (such as bark-like). include.
- Examples of monoterpenes include myrcene, linalool, geraniol, and limonene, and examples of sesquiterpenes include caryophyllene, humulene, and farnesene.
- Examples of the phenol component include hydroxybenzoic acid, hydroxycinnamic acid, proanthocyanidins, flavonoids, and polymers thereof. Among these, those having a plurality of phenolic hydroxyl groups in one molecule are collectively referred to as polyphenols, and are considered to contribute to richness. Among them, dimeric proanthocyanidins and trimeric proanthocyanidins are considered to contribute particularly to the richness.
- hop koji generated at the time of manufacturing Type 45 hop pellets
- alpha acid which is a component that causes bitterness
- terpenes terpenes
- T-PP total polyphenol
- PAO trimeric proanthocyanidins
- total polyphenol is polyphenols measured according to EBC method, and various polyphenols are included besides PAO.
- the content of each component can be measured by a known method according to the component characteristics.
- the content of each component of the hop koji-containing composition is measured after an extraction operation such as the method described in the examples.
- ⁇ -acid and iso- ⁇ -acid can be measured according to Method 7.7 of analytical method “Analytica-EBC” issued by EBC (European Brewery Convention). In this specification, it can measure according to the method as described in the below-mentioned Example.
- Linalool which is one of the terpenes, can be measured according to the analysis method “ASBC Methods of Analysis” published by ASBC (The American Society of Brewing Chemists). In this specification, it can measure according to the method as described in the below-mentioned Example.
- the total polyphenol can be measured according to the method described in Method 9.11 of “Analytica-EBC” defined by the analytical method published by EBC (European Brewery Convention).
- PAO can be measured according to the method as described in the below-mentioned Example, for example, HPLC method.
- Type 90 hop pellets also referred to as Type 90 pellets, Type 45 hop pellets are also referred to as Type 45 pellets
- the content is measured as described above.
- the soot content in Type 90 pellets is about 95 to 99.5% by weight, and the soot content in Type 45 pellets is about 90 to 99% by weight.
- each component thus obtained is compared for each hop koji and hop processed product. For example, for each component such as a bitter component, an aroma component, and a rich component, by plotting the content of the hop form on the horizontal axis and the content on the vertical axis, the characteristics of the hop koji can be grasped.
- the absolute amounts of the components can be compared as they are, but the comparison may be performed in terms of the content of other components per component, for example, the content of linalool per mg of ⁇ acid, T-PP
- the content and the PAO content may be calculated and compared.
- the said content can be described as content (weight part) with respect to 100 weight part of alpha acids.
- the hop ridge portion and Type 90 pellets are compared based on the above method, and the present inventors report that the following trends have been found.
- ⁇ Hop soot tendency Comparison with Type 90 pellet
- Alpha acid extremely small amount compared to Type 90 pellets
- Terpenes absolute amount is small compared to Type 90 pellets, but about 4 times greater when compared to the content per ⁇ acid content
- Total polyphenol PAO : In both cases, the absolute amount is almost the same as Type 90 pellets, but the content is extremely large when compared as the content per ⁇ acid content.
- the content with respect to 100 parts by weight of ⁇ acid is preferably 0.12 parts by weight or more, more preferably 0.24 parts by weight or more.
- the content with respect to 1 mg of ⁇ acid is preferably 1.2 ⁇ g or more, more The point is preferably 2.4 ⁇ g or more.
- Total polyphenol The content is preferably 410 parts by weight or more, more preferably 1380 parts by weight or more, based on 100 parts by weight of ⁇ acid.
- the content is preferably 4 parts per 1 mg of ⁇ acid. .1 mg or more, more preferably 13.8 mg or more
- PAO content with respect to 100 parts by weight of ⁇ acid is preferably 16 parts by weight or more, more preferably 140 parts by weight or more, for example, content with respect to 1 mg of ⁇ acid Is preferably 0.16 mg or more, more preferably 1.4 mg or more
- hop koji in addition to the low ⁇ acid content, hop koji has a high total polyphenol content per PA content and a high PAO content. It is understood that not only rich but also aroma can be imparted because it contains a lot of varieties. In addition, since the quality is greatly different from Type 90 pellets, it is suggested that hop koji should be selected and used when adding richness and aroma to beer-taste beverages without increasing bitterness. At that time, the usage amount may be selected after grasping the aroma component and rich component contained in the hop cake regardless of the variety.
- lupine is not contained as much as possible, that is, by using a hop koji-containing composition having an ⁇ acid content of less than 1% by weight, without increasing the hop usage based on ⁇ acid.
- Richness and aroma can be enhanced. Richness and aroma can be imparted, and a desired beer-taste beverage can be produced with high accuracy.
- it is a by-product at the time of manufacture of hop pellets, such as Type45, it will be easy to obtain and productivity will also be excellent.
- the addition time of the hop koji-containing composition in the production process of beer-taste beverages may be adjusted.
- a hop koji-containing composition is added after the boiling process (including the end of boiling) and / or after the boiling process to make a beer-taste drink with a richer flavor or a beer-taste drink with a richer fragrance.
- by adding to the boiling process first stage more flavor can be provided, without providing the fragrance of a hop notably.
- the added amount of the hop koji-containing composition is not generally determined depending on the desired richness and aroma, and is generally about 10 to 95% by weight of the total hop amount used for producing beer-taste beverages. .
- the hop camellia-containing composition in the present invention is not particularly limited as long as the ⁇ acid content in the composition is less than 1% by weight.
- it is prepared by selectively removing lupurin from hop camellia. Can do.
- One example is to prepare it as a bi-product in the manufacture of Type 45 pellets.
- blending the ⁇ acid content of 1% by weight or more (for example, Type 90 pellets) with the ⁇ acid content of less than 1% by weight (for example, hop koji) What contains less than 1% by weight may be used as the hop koji-containing composition in the present invention.
- dried spikelets can be used as they are.
- the form in particular is not restrict
- the desired bitterness component content, aroma component content, rich component content may be prepared by adjusting the varieties used and the amount so as to have the amount.
- hop koji-containing composition it is possible to impart richness and aroma while minimizing the bitterness of the beer-taste beverage.
- hops are mainly added during boiling of wort.
- the first purpose is to isolate the ⁇ -acid that is the source of bitterness to make it a bitter taste adapted to beer-taste beverages.
- hop addition in boiling wort is performed 1 to 3 times. For example, by adding hops at the beginning (early part) of boiling wort, the ⁇ acid is fully isolated to ensure the quality of bitterness, and there is no residual ⁇ acid, so ⁇ by removal outside the system during fermentation. Acid loss is minimized.
- polyphenols that contribute to taste are sufficiently extracted.
- the terpenes contributing to the hop incense evaporate, the provision of the hop incense is not sufficient. Moreover, the transpiration of terpenes is suppressed by adding hops later in the wort boiling or after the boiling step and the fermentation step, and hop flavor is imparted to the beer-taste beverage. On the other hand, the extraction of polyphenols has a concern that efficiency is slightly lowered, and it is assumed that the ⁇ -acid is not sufficiently isolated and the ⁇ -acid remains in the product and a high-quality bitterness is not guaranteed.
- the hop koji-containing composition that enables the addition of the aroma component and the rich component while suppressing the addition of the ⁇ acid, each component of the rich, aroma, and bitterness is desired regardless of the hop use amount. It becomes possible to adjust to content.
- the hop koji-containing composition of the present invention has an extremely low ⁇ acid content compared to normal hop processed products such as Type 90 pellets and Type 45 pellets, so when boiling in wort, at the start of fermentation, or at the end of fermentation The addition can be performed at any timing.
- the method for producing a beer-taste beverage of the present invention can be performed according to a conventional method known to those skilled in the art, except that the step of adding the hop koji-containing composition is performed.
- the step of adding the hop koji-containing composition is performed.
- raw materials such as bitters and pigments are added to a charging kettle or a charging tank and necessary.
- an enzyme such as amylase is added, gelatinized and saccharified, and then the husks are removed by filtration to obtain wort.
- the hop koji-containing composition of the present invention is added to the obtained wort.
- hop hop processed product
- solid content such as coagulated protein is removed in a clarification tank to obtain clarified wort.
- Known conditions may be used for the conditions in these saccharification process, boiling / clarification process, solid content removal process, and the like.
- the yeast can be fermented by adding yeast to the clear wort obtained above, and can be produced by removing the yeast with a filter if necessary (also referred to as a fermentation step).
- a filter if necessary also referred to as a fermentation step.
- alcoholic beer-taste drinks can be obtained through the steps of storing alcohol, adding carbon dioxide if necessary, filtering and packing, and if necessary, sterilizing.
- a non-alcoholic beverage for example, without passing through the fermentation step, after the solid content removal step, the clear wort obtained above is stored as it is, carbon dioxide gas is added, and filtration and container filling are performed. If necessary, it can be manufactured through a sterilization step.
- a non-alcohol beer-taste beverage can be obtained by reducing the alcohol concentration by a known method such as beer membrane treatment or dilution after the fermentation step of the alcoholic beverage.
- a preferred production method is a production method that undergoes a fermentation process.
- a desired beer-taste beverage can be produced with high accuracy.
- the ratio of the content of linalool to the total content of ⁇ -acid and iso- ⁇ -acid (linalool / ( ⁇ -acid + iso- ⁇ -acid)) is 4.2 ⁇ 10 ⁇ 4 or more and the ratio of the total polyphenol content to the total content of ⁇ acid and iso ⁇ acid (total polyphenol / ( ⁇ acid + iso ⁇ acid)) is 4.1 or more, or a dimer Ratio of the total content of proanthocyanidins and trimeric proanthocyanidins to the total content of alpha acids and isoalpha acids ((dimeric proanthocyanidins + trimer proanthocyanidins) / (alpha acids + isoalpha acids)) Beer-taste beverages that have a value of 0.32 or more.
- a hop koji-containing composition suitable for the intended beer taste is provided.
- a method for adjusting a flavor of a beer-taste beverage which is selected and added.
- a hop incense and richness are mainly mentioned.
- the desired quality can be built by selecting the addition time of the hop koji-containing composition of the present invention.
- the hop flavor can be enhanced by adjusting the use ratio of the hop koji-containing composition of the present invention to be added later in the wort boiling, preferably to 10% by weight or more of the total amount of hops added in the same period. it can.
- adjusting the richness for example, by adjusting the use ratio of the hop koji-containing composition of the present invention to be added in the first half of the wort boiling, preferably 10% by weight or more of the total amount of hops added in the same period, Can be enhanced.
- this invention provides the hop processed product whose alpha acid content is less than 1 weight%.
- the processed hop product is not particularly limited in shape as long as the ⁇ acid content is less than 1% by weight, preferably less than 0.75% by weight, more preferably less than 0.5% by weight. Is processed in the form of pellets.
- the hop processed product of the present invention can be produced according to a known method according to the shape thereof, so long as the ⁇ acid content falls within the above range. For example, it can be produced as a by-product during the manufacture of Type 45 pellets.
- Type 45 pellets are produced by freeze-drying hop spikelets, pulverizing and sieving them, and pelletizing the concentrated lupulin fraction, but there are many cocoon tissues that are not the lupulin fraction. Pelletizing the portion to be produced can produce a hop processed product (hop koji pellets) of the present invention in the form of pellets.
- the desired beer-taste beverage can be accurately produced by adding the processed product to wort boiling as described in the method for adjusting the flavor of a beer-taste beverage of the present invention. Is possible.
- Test Example 1 (Bitter component content in hop koji) The content of ⁇ acid was quantified for five types of hop koji of different varieties. Moreover, content of alpha acid was also quantified about one kind of processed hops (Type90 pellet) among the varieties. Specifically, 2.5 g of candy or pellet was suspended in 20 mL of toluene, extracted by shaking for 30 minutes, the supernatant was recovered by centrifugation, and 8 mL of the supernatant was dried with an evaporator. To this residue, 25 mL of methanol was added and dissolved to obtain a hop component extract.
- the obtained extract was analyzed in accordance with the method described in Method 7.7 of “Analytica-EBC” defined in the analytical method published by EBC (European Brewery Convention). The results are shown in Table 1 and FIG. The results are expressed as alpha acid weight per hop koji or pellet weight.
- Test Example 2 (Aroma component content in hop coffee)
- the content of linalool as a hop scent component was measured. Specifically, first, 0.08 g of straw or pellets was suspended in 40 mL of citrate buffer adjusted to pH 5.30, treated at 100 ° C. for 10 minutes in an autoclave, rapidly cooled, and filtered through a filter. A hop component extract was obtained.
- ASBC Methods of Analysis published by ASBC (The American Society of Brewing Chemists)
- quantification was performed according to the following conditions using GC-MS. The results are shown in Table 2 and FIG. The results are expressed as linalool weight per hop koji or pellet weight.
- ⁇ GC-MS conditions Capillary column: DB-WAX (length 60 m, inner diameter 0.25 mm, membrane pressure 0.5 ⁇ m) manufactured by J & W Oven temperature: raised from 40 ° C to 240 ° C at 6 ° C / min, held for 20 minutes Carrier gas: He Gas flow rate: 1.5mL / min Transfer line temperature: 240 ° C MS ion source temperature: 230 ° C MS quadrupole temperature: 150 ° C Front inlet temperature: 240 ° C
- Test Example 3 (Body component content in hop cake 1)
- the total polyphenol (T-PP) which is a polyphenol
- T-PP total polyphenol
- 0.08 g of straw or pellets was suspended in 40 mL of citrate buffer adjusted to pH 5.30, treated at 100 ° C. for 10 minutes in an autoclave, rapidly cooled, and filtered through a filter.
- a hop component extract was obtained.
- the amount was quantified according to the method described in Method 9.11 of “Analytica-EBC” defined by the analytical method published by EBC (European Brewery Convention). The results are shown in Table 3 and FIG. The results are expressed as T-PP weight per hop koji or pellet weight.
- Test Example 4 (Body component content 2 in hop cake)
- the polyphenols, dimeric proanthocyanidins and trimeric proanthocyanidins (PAO) were quantified as rich ingredients. Specifically, 20 g of straw or pellets was first stirred with 2 L of water and extracted at 97 ° C. for 20 minutes to obtain an extract (polyphenol fraction). After filtration, the mixture was allowed to cool, and the extract was concentrated to 100 mL under reduced pressure at 30 ° C. and lyophilized to obtain a powder. The obtained powder was quantified by HPLC analysis under the following conditions. The results are shown in Table 4 and FIG. The results are expressed as PAO weight per hop straw or pellet weight.
- the present inventors found from Test Examples 1 to 4 that hop koji can be used for beer-taste beverages.
- Test Example 5 Content of each component per 1 mg of ⁇ acid in hop koji / processed product
- content also referred to as “content relative to 1 mg of ⁇ acid”
- the results of Hallertaue tradition are shown in Table 5 and FIG. 5, and the results of other varieties are shown in Table 6.
- hops koji has a significantly higher content with respect to ⁇ -acid than Type 90 pellets in any of the varieties of linalool, which is a hop scent, and T-PP and PAO. It has been found. This suggested that hop koji can be used to adjust the aroma and richness of beer-taste beverages.
- the content of ⁇ per acid is more persimmon than linalool, T-PP, and PAO. Turned out to be big.
- Test Example 6 (sensory evaluation of beer) ⁇ Manufacture of beer> 100 L of filtered wort obtained by a normal method was heated to 100 ° C. in a boiling kettle and then subjected to a boiling step. At that time, a commercially available Type 90 pellet (variety: Hallertauer tradition) is added at 10% by weight of the total amount of hops at the start of boiling, and hop straw pellets (variety: Hallertauer tradition) are added at the start of boiling or at the end of boiling. It added so that it might become 90 weight% of the total amount of hops. After boiling, the whirlpool rest was taken and cooled rapidly to prepare cold wort. Next, yeast was added for fermentation, and after filtration, the carbon dioxide pressure was adjusted to produce beer. For the control, a type 90 pellet (variety: Hallertauer tradition) to which the entire amount was added at the start of boiling was used. In addition, the hop koji pellet used what was pelletized the by-product at the time of Type45 manufacture.
- ⁇ Component analysis> The manufactured beer was subjected to bitter component analysis, hop flavor component analysis (linalool), and polyphenols analysis (T-PP, PAO) according to Test Examples 1 to 4.
- the results of quantification of each component are shown in Table 7 and FIGS. 6 to 9, and the results showing the content ratio of each component when the total content of ⁇ acid and iso ⁇ acid is 1 are shown in Table 7 and FIG. 10, respectively. Show.
- the bitterness component is expressed as the total content of ⁇ -acid and iso- ⁇ -acid obtained by isolating the ⁇ -acid.
- ⁇ Sensory evaluation> A sensory evaluation was conducted by 15 panelists who were trained on the beer produced.
- the sensory evaluation items include a total of 6 items: amount of hop incense, quality of hop incense, botty and richness, rich taste, cleanness of aftertaste, and irritation of the throat.
- the score comparison evaluation was performed in increments of 0.1. Since the sensory score range varies depending on the panelist, standardization was performed so that the average score of all the samples of one panelist was 50 and the standard deviation was 10, and comparison was made between samples. The results are shown in FIG.
- hop koji makes it possible to achieve a balance between bitterness and hop-derived aroma and taste that cannot be achieved by a normal production method.
- timing of hop koji addition it is possible to provide a beer-taste beverage in which preferable aroma characteristics, strength, and taste are controlled.
Landscapes
- Chemical & Material Sciences (AREA)
- Engineering & Computer Science (AREA)
- Organic Chemistry (AREA)
- Life Sciences & Earth Sciences (AREA)
- Health & Medical Sciences (AREA)
- Food Science & Technology (AREA)
- General Engineering & Computer Science (AREA)
- Biochemistry (AREA)
- Bioinformatics & Cheminformatics (AREA)
- General Health & Medical Sciences (AREA)
- Genetics & Genomics (AREA)
- Wood Science & Technology (AREA)
- Zoology (AREA)
- Polymers & Plastics (AREA)
- Nutrition Science (AREA)
- Distillation Of Fermentation Liquor, Processing Of Alcohols, Vinegar And Beer (AREA)
- Non-Alcoholic Beverages (AREA)
- Alcoholic Beverages (AREA)
Priority Applications (7)
| Application Number | Priority Date | Filing Date | Title |
|---|---|---|---|
| CA2907712A CA2907712C (en) | 2013-03-28 | 2014-02-26 | Method for producing beverage having beer taste using hop bract |
| EP14776340.3A EP2980199B1 (en) | 2013-03-28 | 2014-02-26 | Method for producing beverage having beer taste using hop bract |
| KR1020157031056A KR101791771B1 (ko) | 2013-03-28 | 2014-02-26 | 홉포를 사용한 맥주맛 음료의 제조 방법 |
| AU2014242433A AU2014242433B2 (en) | 2013-03-28 | 2014-02-26 | Method for producing beverage having beer taste using hop bract |
| PL14776340T PL2980199T3 (pl) | 2013-03-28 | 2014-02-26 | Sposób wytwarzania napoju o smaku piwnym przy użyciu przylistków chmielowych |
| US14/779,390 US10597618B2 (en) | 2013-03-28 | 2014-02-26 | Method for producing beverage having beer taste using hop bract |
| DK14776340.3T DK2980199T3 (da) | 2013-03-28 | 2014-02-26 | Fremgangsmåde til fremstilling af en drik med ølsmag under anvendelse af humledækblad |
Applications Claiming Priority (2)
| Application Number | Priority Date | Filing Date | Title |
|---|---|---|---|
| JP2013-068009 | 2013-03-28 | ||
| JP2013068009A JP5685280B2 (ja) | 2013-03-28 | 2013-03-28 | ホップ苞を使用したビールテイスト飲料の製造方法 |
Publications (1)
| Publication Number | Publication Date |
|---|---|
| WO2014156450A1 true WO2014156450A1 (ja) | 2014-10-02 |
Family
ID=51609839
Family Applications (1)
| Application Number | Title | Priority Date | Filing Date |
|---|---|---|---|
| PCT/JP2014/054745 Ceased WO2014156450A1 (ja) | 2013-03-28 | 2014-02-26 | ホップ苞を使用したビールテイスト飲料の製造方法 |
Country Status (11)
| Country | Link |
|---|---|
| US (1) | US10597618B2 (enExample) |
| EP (1) | EP2980199B1 (enExample) |
| JP (1) | JP5685280B2 (enExample) |
| KR (1) | KR101791771B1 (enExample) |
| CN (1) | CN104073383B (enExample) |
| AU (1) | AU2014242433B2 (enExample) |
| CA (1) | CA2907712C (enExample) |
| DK (1) | DK2980199T3 (enExample) |
| PL (1) | PL2980199T3 (enExample) |
| TW (1) | TWI593356B (enExample) |
| WO (1) | WO2014156450A1 (enExample) |
Cited By (3)
| Publication number | Priority date | Publication date | Assignee | Title |
|---|---|---|---|---|
| WO2016163200A1 (ja) * | 2015-04-08 | 2016-10-13 | アサヒビール株式会社 | 発酵ビール様発泡性飲料 |
| JP2016214087A (ja) * | 2015-05-14 | 2016-12-22 | 麒麟麦酒株式会社 | ビールタイプの果汁発酵飲料 |
| JP2019004720A (ja) * | 2017-06-21 | 2019-01-17 | キリン株式会社 | ホップ香気を強調した発酵飲料の製造方法 |
Families Citing this family (11)
| Publication number | Priority date | Publication date | Assignee | Title |
|---|---|---|---|---|
| CN104403864B (zh) * | 2014-11-06 | 2017-05-24 | 盐城师范学院 | 一种芦苇啤酒风味饮料的生产工艺 |
| JP6537813B2 (ja) * | 2014-12-09 | 2019-07-03 | キリン株式会社 | 迅速に良質なホップ香味を付与する方法 |
| US20180000131A1 (en) * | 2015-02-13 | 2018-01-04 | Suntory Holdings Limited | Method for manufacturing sugar-containing liquid |
| JP6714586B2 (ja) * | 2015-05-12 | 2020-06-24 | サントリーホールディングス株式会社 | ホップ抽出物及びその製造方法 |
| US20190110513A1 (en) * | 2016-05-13 | 2019-04-18 | Suntory Holdings Limited | Hop processed product |
| EP3252136A1 (en) * | 2016-06-01 | 2017-12-06 | Anheuser-Busch InBev S.A. | Process of preparing a malt-based beverage |
| JP2018011587A (ja) * | 2016-07-06 | 2018-01-25 | アサヒビール株式会社 | ビール様発泡性飲料及びその製造方法 |
| PE20210014A1 (es) * | 2018-05-22 | 2021-01-05 | Kalamazoo Holdings Inc | Compuestos naturales de lupulo para conferir sabor amargo |
| AU2019426388A1 (en) * | 2019-01-31 | 2021-07-22 | Suntory Holdings Limited | Beer-taste beverage |
| CA3214263A1 (en) * | 2021-04-02 | 2022-10-06 | Asahi Group Holdings, Ltd. | Non-alcoholic beer-taste beverage |
| KR102549587B1 (ko) | 2021-11-30 | 2023-06-30 | 사회적협동조합 홍천군 신활력플러스사업 추진단 | 홍천 홉 |
Citations (13)
| Publication number | Priority date | Publication date | Assignee | Title |
|---|---|---|---|---|
| JPH09227A (ja) | 1995-06-19 | 1997-01-07 | Asahi Breweries Ltd | ホップ苞茶並びにホップ苞茶飲料 |
| JPH09163969A (ja) * | 1995-12-15 | 1997-06-24 | Asahi Breweries Ltd | 泡安定化剤およびこれを含有する発泡麦芽飲料 |
| JP2001321166A (ja) * | 2000-05-17 | 2001-11-20 | Asahi Breweries Ltd | ホップより得られるリパーゼ阻害物質 |
| WO2004052898A1 (ja) | 2002-12-12 | 2004-06-24 | Asahi Breweries, Ltd. | ホップ苞ポリフェノールの製造方法 |
| WO2005032542A1 (ja) * | 2003-10-02 | 2005-04-14 | Asahi Breweries, Ltd. | 空胞化毒素中和剤 |
| JP2005152860A (ja) * | 2003-11-28 | 2005-06-16 | Univ Kansai | 植物中の有効成分の抽出分離方法およびそのための装置 |
| JP2007051096A (ja) * | 2005-08-18 | 2007-03-01 | Asahi Breweries Ltd | 口腔用組成物 |
| JP2007089439A (ja) * | 2005-09-28 | 2007-04-12 | Kirin Brewery Co Ltd | 後熟ホップを使用した発酵アルコール飲料の製造方法 |
| JP2008212041A (ja) * | 2007-03-02 | 2008-09-18 | Asahi Breweries Ltd | 発泡性アルコール飲料の製造方法 |
| JP2010098985A (ja) * | 2008-10-22 | 2010-05-06 | Asahi Soft Drinks Co Ltd | ホップ苞ポリフェノール入り飲料 |
| JP2011125291A (ja) * | 2009-12-18 | 2011-06-30 | Kirin Brewery Co Ltd | 清澄化が促進された発酵アルコール飲料の製造方法 |
| JP2012105592A (ja) * | 2010-11-17 | 2012-06-07 | Kirin Brewery Co Ltd | 後熟ホップ様苦味を呈する高芳醇発酵アルコール飲料 |
| WO2012133758A1 (ja) * | 2011-03-31 | 2012-10-04 | サントリーホールディングス株式会社 | プロアントシアニジン高含有植物抽出物 |
Family Cites Families (12)
| Publication number | Priority date | Publication date | Assignee | Title |
|---|---|---|---|---|
| US3044879A (en) * | 1959-02-11 | 1962-07-17 | Miller Brewing | Anactinic malt product and hop extract therefor |
| US5120557A (en) * | 1991-06-21 | 1992-06-09 | Owades Joseph L | Preparation of a non-alcoholic malt beverage |
| US7144592B2 (en) | 1994-03-28 | 2006-12-05 | Nissan Technical Center North America | Method of preparing a fully kettle hop flavored beverage |
| US5783235A (en) | 1994-03-28 | 1998-07-21 | Miller Brewing Company | Method of preparing a full hop flavored beverage of low bitterness |
| US5972411A (en) * | 1997-04-03 | 1999-10-26 | Miller Brewing Company | Methods of making and using purified kettle hop flavorants |
| US7258887B2 (en) * | 2002-03-26 | 2007-08-21 | Miller Brewing Company | Preparation of light stable hops |
| RO121526B1 (ro) * | 2003-04-18 | 2007-10-30 | Sortiment de bere şi procedeu de producere a acestuia | |
| CA2599867A1 (en) | 2005-03-03 | 2006-09-08 | Sapporo Breweries Limited | Antiallergic composition |
| CA2544488A1 (en) * | 2006-05-01 | 2007-11-01 | Chemisch Biochemisch Onderzoekscn | Use of hop polyphenols in beer |
| CN101633872B (zh) * | 2009-09-01 | 2012-05-30 | 西藏天地绿色饮品发展有限公司 | 青稞黑啤及其制备方法 |
| JP5162051B2 (ja) * | 2010-05-19 | 2013-03-13 | サントリーホールディングス株式会社 | 泡の安定化されたビールテイスト飲料 |
| US20130084359A1 (en) * | 2011-09-29 | 2013-04-04 | Ann Covalt | Fermented beverage and method of production |
-
2013
- 2013-03-28 JP JP2013068009A patent/JP5685280B2/ja active Active
-
2014
- 2014-02-26 AU AU2014242433A patent/AU2014242433B2/en active Active
- 2014-02-26 PL PL14776340T patent/PL2980199T3/pl unknown
- 2014-02-26 WO PCT/JP2014/054745 patent/WO2014156450A1/ja not_active Ceased
- 2014-02-26 KR KR1020157031056A patent/KR101791771B1/ko active Active
- 2014-02-26 EP EP14776340.3A patent/EP2980199B1/en active Active
- 2014-02-26 US US14/779,390 patent/US10597618B2/en active Active
- 2014-02-26 CA CA2907712A patent/CA2907712C/en active Active
- 2014-02-26 DK DK14776340.3T patent/DK2980199T3/da active
- 2014-03-13 TW TW103109044A patent/TWI593356B/zh active
- 2014-03-21 CN CN201410109146.XA patent/CN104073383B/zh active Active
Patent Citations (13)
| Publication number | Priority date | Publication date | Assignee | Title |
|---|---|---|---|---|
| JPH09227A (ja) | 1995-06-19 | 1997-01-07 | Asahi Breweries Ltd | ホップ苞茶並びにホップ苞茶飲料 |
| JPH09163969A (ja) * | 1995-12-15 | 1997-06-24 | Asahi Breweries Ltd | 泡安定化剤およびこれを含有する発泡麦芽飲料 |
| JP2001321166A (ja) * | 2000-05-17 | 2001-11-20 | Asahi Breweries Ltd | ホップより得られるリパーゼ阻害物質 |
| WO2004052898A1 (ja) | 2002-12-12 | 2004-06-24 | Asahi Breweries, Ltd. | ホップ苞ポリフェノールの製造方法 |
| WO2005032542A1 (ja) * | 2003-10-02 | 2005-04-14 | Asahi Breweries, Ltd. | 空胞化毒素中和剤 |
| JP2005152860A (ja) * | 2003-11-28 | 2005-06-16 | Univ Kansai | 植物中の有効成分の抽出分離方法およびそのための装置 |
| JP2007051096A (ja) * | 2005-08-18 | 2007-03-01 | Asahi Breweries Ltd | 口腔用組成物 |
| JP2007089439A (ja) * | 2005-09-28 | 2007-04-12 | Kirin Brewery Co Ltd | 後熟ホップを使用した発酵アルコール飲料の製造方法 |
| JP2008212041A (ja) * | 2007-03-02 | 2008-09-18 | Asahi Breweries Ltd | 発泡性アルコール飲料の製造方法 |
| JP2010098985A (ja) * | 2008-10-22 | 2010-05-06 | Asahi Soft Drinks Co Ltd | ホップ苞ポリフェノール入り飲料 |
| JP2011125291A (ja) * | 2009-12-18 | 2011-06-30 | Kirin Brewery Co Ltd | 清澄化が促進された発酵アルコール飲料の製造方法 |
| JP2012105592A (ja) * | 2010-11-17 | 2012-06-07 | Kirin Brewery Co Ltd | 後熟ホップ様苦味を呈する高芳醇発酵アルコール飲料 |
| WO2012133758A1 (ja) * | 2011-03-31 | 2012-10-04 | サントリーホールディングス株式会社 | プロアントシアニジン高含有植物抽出物 |
Non-Patent Citations (4)
| Title |
|---|
| "Analytica-EBC", EBC (EUROPEAN BREWERY CONVENTION |
| "ASBC Methods of Analysis", ASBC (THE AMERICAN SOCIETY OF BREWING CHEMISTS |
| See also references of EP2980199A4 |
| TAKAKO INUI: "The Study of Hop Derived Aroma Compounds in Beer", BIO INDUSTRY, vol. 29, no. 11, 15 October 2012 (2012-10-15), pages 23 - 30, XP008181932 * |
Cited By (4)
| Publication number | Priority date | Publication date | Assignee | Title |
|---|---|---|---|---|
| WO2016163200A1 (ja) * | 2015-04-08 | 2016-10-13 | アサヒビール株式会社 | 発酵ビール様発泡性飲料 |
| JPWO2016163200A1 (ja) * | 2015-04-08 | 2018-02-01 | アサヒビール株式会社 | 発酵ビール様発泡性飲料 |
| JP2016214087A (ja) * | 2015-05-14 | 2016-12-22 | 麒麟麦酒株式会社 | ビールタイプの果汁発酵飲料 |
| JP2019004720A (ja) * | 2017-06-21 | 2019-01-17 | キリン株式会社 | ホップ香気を強調した発酵飲料の製造方法 |
Also Published As
| Publication number | Publication date |
|---|---|
| US20160053210A1 (en) | 2016-02-25 |
| KR101791771B1 (ko) | 2017-10-30 |
| AU2014242433B2 (en) | 2017-02-16 |
| EP2980199A4 (en) | 2017-01-04 |
| CN104073383B (zh) | 2016-08-17 |
| KR20150138303A (ko) | 2015-12-09 |
| DK2980199T3 (da) | 2020-12-21 |
| CA2907712A1 (en) | 2014-10-02 |
| CN104073383A (zh) | 2014-10-01 |
| TWI593356B (zh) | 2017-08-01 |
| HK1199283A1 (en) | 2015-06-26 |
| TW201440672A (zh) | 2014-11-01 |
| JP2014187969A (ja) | 2014-10-06 |
| PL2980199T3 (pl) | 2021-05-31 |
| EP2980199B1 (en) | 2020-12-09 |
| CA2907712C (en) | 2021-02-23 |
| AU2014242433A1 (en) | 2015-10-08 |
| US10597618B2 (en) | 2020-03-24 |
| JP5685280B2 (ja) | 2015-03-18 |
| EP2980199A1 (en) | 2016-02-03 |
Similar Documents
| Publication | Publication Date | Title |
|---|---|---|
| JP5685280B2 (ja) | ホップ苞を使用したビールテイスト飲料の製造方法 | |
| JP5599126B2 (ja) | ビールテイスト飲料の製造方法 | |
| JP5658489B2 (ja) | 発酵麦芽飲料の製造方法 | |
| TWI524852B (zh) | 降低麥芽飲料之穀物氣味之方法 | |
| JP6294663B2 (ja) | 発酵麦芽飲料 | |
| Almaguer et al. | Comparative study of the contribution of hop (Humulus lupulus L.) hard resins extracted from different hop varieties to beer quality parameters | |
| JP6284359B2 (ja) | 発酵麦芽飲料 | |
| JP2014124125A (ja) | 良質なホップの苦味と香りを有するビール風味アルコール飲料 | |
| JP6691537B2 (ja) | ホップペレット | |
| CN118974232A (zh) | 啤酒风味饮料 | |
| JP6571311B2 (ja) | 発酵麦芽飲料 | |
| JP2022047387A (ja) | 発酵ビールテイスト飲料及びその製造方法 | |
| JP7742902B2 (ja) | ビールテイスト飲料 | |
| KR102600744B1 (ko) | 초피를 포함하는 맥주 및 이의 제조방법 | |
| HK1199283B (en) | Method for producing beverage having beer taste using hop bract | |
| JP6294662B2 (ja) | 発酵麦芽飲料 |
Legal Events
| Date | Code | Title | Description |
|---|---|---|---|
| 121 | Ep: the epo has been informed by wipo that ep was designated in this application |
Ref document number: 14776340 Country of ref document: EP Kind code of ref document: A1 |
|
| ENP | Entry into the national phase |
Ref document number: 2907712 Country of ref document: CA |
|
| WWE | Wipo information: entry into national phase |
Ref document number: 14779390 Country of ref document: US |
|
| NENP | Non-entry into the national phase |
Ref country code: DE |
|
| ENP | Entry into the national phase |
Ref document number: 2014242433 Country of ref document: AU Date of ref document: 20140226 Kind code of ref document: A |
|
| WWE | Wipo information: entry into national phase |
Ref document number: 2014776340 Country of ref document: EP |
|
| ENP | Entry into the national phase |
Ref document number: 20157031056 Country of ref document: KR Kind code of ref document: A |