WO2011043371A1 - オキサゾール化合物 - Google Patents
オキサゾール化合物 Download PDFInfo
- Publication number
- WO2011043371A1 WO2011043371A1 PCT/JP2010/067541 JP2010067541W WO2011043371A1 WO 2011043371 A1 WO2011043371 A1 WO 2011043371A1 JP 2010067541 W JP2010067541 W JP 2010067541W WO 2011043371 A1 WO2011043371 A1 WO 2011043371A1
- Authority
- WO
- WIPO (PCT)
- Prior art keywords
- oxazole
- methyl
- pyrazol
- carboxamide
- mixture
- Prior art date
- Legal status (The legal status is an assumption and is not a legal conclusion. Google has not performed a legal analysis and makes no representation as to the accuracy of the status listed.)
- Ceased
Links
- 0 *c1n[n](*)cc1NC(c1c[o]c(*)n1)=O Chemical compound *c1n[n](*)cc1NC(c1c[o]c(*)n1)=O 0.000 description 1
Images
Classifications
-
- C—CHEMISTRY; METALLURGY
- C07—ORGANIC CHEMISTRY
- C07D—HETEROCYCLIC COMPOUNDS
- C07D413/00—Heterocyclic compounds containing two or more hetero rings, at least one ring having nitrogen and oxygen atoms as the only ring hetero atoms
- C07D413/14—Heterocyclic compounds containing two or more hetero rings, at least one ring having nitrogen and oxygen atoms as the only ring hetero atoms containing three or more hetero rings
-
- A—HUMAN NECESSITIES
- A61—MEDICAL OR VETERINARY SCIENCE; HYGIENE
- A61P—SPECIFIC THERAPEUTIC ACTIVITY OF CHEMICAL COMPOUNDS OR MEDICINAL PREPARATIONS
- A61P1/00—Drugs for disorders of the alimentary tract or the digestive system
- A61P1/02—Stomatological preparations, e.g. drugs for caries, aphtae, periodontitis
-
- A—HUMAN NECESSITIES
- A61—MEDICAL OR VETERINARY SCIENCE; HYGIENE
- A61P—SPECIFIC THERAPEUTIC ACTIVITY OF CHEMICAL COMPOUNDS OR MEDICINAL PREPARATIONS
- A61P1/00—Drugs for disorders of the alimentary tract or the digestive system
- A61P1/04—Drugs for disorders of the alimentary tract or the digestive system for ulcers, gastritis or reflux esophagitis, e.g. antacids, inhibitors of acid secretion, mucosal protectants
-
- A—HUMAN NECESSITIES
- A61—MEDICAL OR VETERINARY SCIENCE; HYGIENE
- A61P—SPECIFIC THERAPEUTIC ACTIVITY OF CHEMICAL COMPOUNDS OR MEDICINAL PREPARATIONS
- A61P1/00—Drugs for disorders of the alimentary tract or the digestive system
- A61P1/16—Drugs for disorders of the alimentary tract or the digestive system for liver or gallbladder disorders, e.g. hepatoprotective agents, cholagogues, litholytics
-
- A—HUMAN NECESSITIES
- A61—MEDICAL OR VETERINARY SCIENCE; HYGIENE
- A61P—SPECIFIC THERAPEUTIC ACTIVITY OF CHEMICAL COMPOUNDS OR MEDICINAL PREPARATIONS
- A61P11/00—Drugs for disorders of the respiratory system
-
- A—HUMAN NECESSITIES
- A61—MEDICAL OR VETERINARY SCIENCE; HYGIENE
- A61P—SPECIFIC THERAPEUTIC ACTIVITY OF CHEMICAL COMPOUNDS OR MEDICINAL PREPARATIONS
- A61P11/00—Drugs for disorders of the respiratory system
- A61P11/06—Antiasthmatics
-
- A—HUMAN NECESSITIES
- A61—MEDICAL OR VETERINARY SCIENCE; HYGIENE
- A61P—SPECIFIC THERAPEUTIC ACTIVITY OF CHEMICAL COMPOUNDS OR MEDICINAL PREPARATIONS
- A61P13/00—Drugs for disorders of the urinary system
-
- A—HUMAN NECESSITIES
- A61—MEDICAL OR VETERINARY SCIENCE; HYGIENE
- A61P—SPECIFIC THERAPEUTIC ACTIVITY OF CHEMICAL COMPOUNDS OR MEDICINAL PREPARATIONS
- A61P13/00—Drugs for disorders of the urinary system
- A61P13/12—Drugs for disorders of the urinary system of the kidneys
-
- A—HUMAN NECESSITIES
- A61—MEDICAL OR VETERINARY SCIENCE; HYGIENE
- A61P—SPECIFIC THERAPEUTIC ACTIVITY OF CHEMICAL COMPOUNDS OR MEDICINAL PREPARATIONS
- A61P17/00—Drugs for dermatological disorders
-
- A—HUMAN NECESSITIES
- A61—MEDICAL OR VETERINARY SCIENCE; HYGIENE
- A61P—SPECIFIC THERAPEUTIC ACTIVITY OF CHEMICAL COMPOUNDS OR MEDICINAL PREPARATIONS
- A61P17/00—Drugs for dermatological disorders
- A61P17/06—Antipsoriatics
-
- A—HUMAN NECESSITIES
- A61—MEDICAL OR VETERINARY SCIENCE; HYGIENE
- A61P—SPECIFIC THERAPEUTIC ACTIVITY OF CHEMICAL COMPOUNDS OR MEDICINAL PREPARATIONS
- A61P19/00—Drugs for skeletal disorders
- A61P19/02—Drugs for skeletal disorders for joint disorders, e.g. arthritis, arthrosis
-
- A—HUMAN NECESSITIES
- A61—MEDICAL OR VETERINARY SCIENCE; HYGIENE
- A61P—SPECIFIC THERAPEUTIC ACTIVITY OF CHEMICAL COMPOUNDS OR MEDICINAL PREPARATIONS
- A61P19/00—Drugs for skeletal disorders
- A61P19/06—Antigout agents, e.g. antihyperuricemic or uricosuric agents
-
- A—HUMAN NECESSITIES
- A61—MEDICAL OR VETERINARY SCIENCE; HYGIENE
- A61P—SPECIFIC THERAPEUTIC ACTIVITY OF CHEMICAL COMPOUNDS OR MEDICINAL PREPARATIONS
- A61P25/00—Drugs for disorders of the nervous system
-
- A—HUMAN NECESSITIES
- A61—MEDICAL OR VETERINARY SCIENCE; HYGIENE
- A61P—SPECIFIC THERAPEUTIC ACTIVITY OF CHEMICAL COMPOUNDS OR MEDICINAL PREPARATIONS
- A61P29/00—Non-central analgesic, antipyretic or antiinflammatory agents, e.g. antirheumatic agents; Non-steroidal antiinflammatory drugs [NSAID]
-
- A—HUMAN NECESSITIES
- A61—MEDICAL OR VETERINARY SCIENCE; HYGIENE
- A61P—SPECIFIC THERAPEUTIC ACTIVITY OF CHEMICAL COMPOUNDS OR MEDICINAL PREPARATIONS
- A61P3/00—Drugs for disorders of the metabolism
- A61P3/08—Drugs for disorders of the metabolism for glucose homeostasis
- A61P3/10—Drugs for disorders of the metabolism for glucose homeostasis for hyperglycaemia, e.g. antidiabetics
-
- A—HUMAN NECESSITIES
- A61—MEDICAL OR VETERINARY SCIENCE; HYGIENE
- A61P—SPECIFIC THERAPEUTIC ACTIVITY OF CHEMICAL COMPOUNDS OR MEDICINAL PREPARATIONS
- A61P31/00—Antiinfectives, i.e. antibiotics, antiseptics, chemotherapeutics
- A61P31/04—Antibacterial agents
-
- A—HUMAN NECESSITIES
- A61—MEDICAL OR VETERINARY SCIENCE; HYGIENE
- A61P—SPECIFIC THERAPEUTIC ACTIVITY OF CHEMICAL COMPOUNDS OR MEDICINAL PREPARATIONS
- A61P35/00—Antineoplastic agents
-
- A—HUMAN NECESSITIES
- A61—MEDICAL OR VETERINARY SCIENCE; HYGIENE
- A61P—SPECIFIC THERAPEUTIC ACTIVITY OF CHEMICAL COMPOUNDS OR MEDICINAL PREPARATIONS
- A61P37/00—Drugs for immunological or allergic disorders
- A61P37/02—Immunomodulators
-
- A—HUMAN NECESSITIES
- A61—MEDICAL OR VETERINARY SCIENCE; HYGIENE
- A61P—SPECIFIC THERAPEUTIC ACTIVITY OF CHEMICAL COMPOUNDS OR MEDICINAL PREPARATIONS
- A61P37/00—Drugs for immunological or allergic disorders
- A61P37/02—Immunomodulators
- A61P37/06—Immunosuppressants, e.g. drugs for graft rejection
-
- A—HUMAN NECESSITIES
- A61—MEDICAL OR VETERINARY SCIENCE; HYGIENE
- A61P—SPECIFIC THERAPEUTIC ACTIVITY OF CHEMICAL COMPOUNDS OR MEDICINAL PREPARATIONS
- A61P37/00—Drugs for immunological or allergic disorders
- A61P37/08—Antiallergic agents
-
- A—HUMAN NECESSITIES
- A61—MEDICAL OR VETERINARY SCIENCE; HYGIENE
- A61P—SPECIFIC THERAPEUTIC ACTIVITY OF CHEMICAL COMPOUNDS OR MEDICINAL PREPARATIONS
- A61P43/00—Drugs for specific purposes, not provided for in groups A61P1/00-A61P41/00
-
- A—HUMAN NECESSITIES
- A61—MEDICAL OR VETERINARY SCIENCE; HYGIENE
- A61P—SPECIFIC THERAPEUTIC ACTIVITY OF CHEMICAL COMPOUNDS OR MEDICINAL PREPARATIONS
- A61P9/00—Drugs for disorders of the cardiovascular system
- A61P9/10—Drugs for disorders of the cardiovascular system for treating ischaemic or atherosclerotic diseases, e.g. antianginal drugs, coronary vasodilators, drugs for myocardial infarction, retinopathy, cerebrovascula insufficiency, renal arteriosclerosis
-
- C—CHEMISTRY; METALLURGY
- C07—ORGANIC CHEMISTRY
- C07D—HETEROCYCLIC COMPOUNDS
- C07D417/00—Heterocyclic compounds containing two or more hetero rings, at least one ring having nitrogen and sulfur atoms as the only ring hetero atoms, not provided for by group C07D415/00
- C07D417/02—Heterocyclic compounds containing two or more hetero rings, at least one ring having nitrogen and sulfur atoms as the only ring hetero atoms, not provided for by group C07D415/00 containing two hetero rings
- C07D417/04—Heterocyclic compounds containing two or more hetero rings, at least one ring having nitrogen and sulfur atoms as the only ring hetero atoms, not provided for by group C07D415/00 containing two hetero rings directly linked by a ring-member-to-ring-member bond
-
- C—CHEMISTRY; METALLURGY
- C07—ORGANIC CHEMISTRY
- C07D—HETEROCYCLIC COMPOUNDS
- C07D417/00—Heterocyclic compounds containing two or more hetero rings, at least one ring having nitrogen and sulfur atoms as the only ring hetero atoms, not provided for by group C07D415/00
- C07D417/14—Heterocyclic compounds containing two or more hetero rings, at least one ring having nitrogen and sulfur atoms as the only ring hetero atoms, not provided for by group C07D415/00 containing three or more hetero rings
Definitions
- the present invention relates to an oxazole compound useful as an active ingredient of a pharmaceutical composition, in particular, a pharmaceutical composition for prevention and / or treatment of a disease involving interleukin 1 receptor-related kinase 4 (IRAK-4).
- IRAK-4 interleukin 1 receptor-related kinase 4
- Interleukin 1 receptor-related kinase 4 is a member of the IRAK family of protein kinases (Molecular Cell 2003, 11 (2), 293-302).
- IRAK-4 is a kinase downstream of all Toll-like receptors (TLRs), interleukin 1 receptor (IL-1R) and interleukin 18 receptor (IL-18R) except TLR-3. It plays an important role in signal transduction systems (Toll / IL-1 receptor signal transduction system, TIR signal transduction system) via various receptors.
- the IRAK family includes IRAK-1, IRAK-2, and IRAK-3 / M members in addition to IRAK-4.
- IRAK-1 and IRAK-4 have kinase activity, while IRAK-2 and IRAK-3 / M are inactive.
- IRAK-4 is believed to phosphorylate IRAK-1.
- Triggered by IRAK-1 phosphorylation, downstream molecules including NF- ⁇ B and MAPK are activated, causing inflammatory cytokines (IL-1, IL-6, IL-23, TNF- ⁇ , etc.) and chemokines Production of mediators that contribute to the inflammatory response, such as IL-8, RANTES, and arachidonic acid metabolites, is promoted.
- the TIR signaling system involving IRAK-4 is thought to contribute to physiological responses such as defense against pathogens, control of inflammation, innate and acquired immunity, cell survival, and proliferation by controlling the production of inflammatory mediators. Yes.
- it has been suggested to be involved in pathological conditions closely related to inflammation such as acute and chronic inflammatory diseases and autoimmune diseases. This includes many diseases, such as rheumatoid arthritis and glomerulonephritis, and other chronic kidney diseases.
- IRAK-4 knockout mice have reduced albuminuria in a streptozotocin-induced diabetes model (Journalourof the American Society of Nephrology 2008, SA-FC476). Therefore, IRAK-4 inhibitors may be highly effective in treating acute and chronic inflammation and autoimmune diseases.
- Non-patent Document 1 a compound of the following formula (A) has an IRAK-4 inhibitory action.
- IRAK-4 inhibitors include benzimidazole derivatives (Patent Document 1), bicyclic heterocyclic derivatives such as thienopyridine (Patent Document 2), imidazopyridazine derivatives (Patent Document 3), benzimidazole derivatives having an indazole side chain ( Patent Document 4), imidazopyridine derivatives (Non-Patent Document 2) and the like have been reported.
- Patent Document 1 benzimidazole derivatives
- Patent Document 2 bicyclic heterocyclic derivatives such as thienopyridine
- Patent Document 3 imidazopyridazine derivatives
- Patent Document 4 benzimidazole derivatives having an indazole side chain
- Non-Patent Document 2 imidazopyridine derivatives
- Patent Document 5 It has been reported that the compounds of the following formula (B) (Patent Document 5) and the following formula (C) (Patent Document 6) have trkA receptor inhibitory activity and show utility for lower urinary tract diseases and pain, respectively. Has been. However, this document does not disclose the activity relating to IRAK-4, nor does it disclose the compounds described in the present application. (See the official gazette for symbols in the formula.)
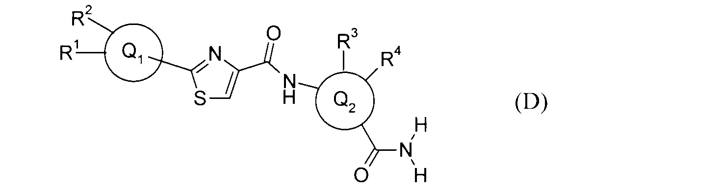
- Patent Documents 7 to 9 show that the compound of formula (D) has an immunomodulatory action. However, this document does not disclose the activity relating to IRAK-4, nor does it disclose the compounds described in the present application. (See the official gazette for symbols in the formula.)
- An object of the present invention is to provide a compound useful as an active ingredient of a pharmaceutical composition, for example, a pharmaceutical composition for treating a disease involving IRAK-4.
- the present invention relates to a compound of formula (I) or a salt thereof, and a pharmaceutical composition containing the compound of formula (I) or a salt thereof, and an excipient.
- Ring A is a monocyclic heteroaryl
- R 1 is a monocyclic or bicyclic heteroaryl optionally substituted with 1 to 3 R 10
- R 2 is -C (O) NH 2 , -C (O) NH-R 0 , -C (O) NH-R 00 -OH, -C (O) NH-R 00 -OR 0 , -C ( O) N (R 0 ) 2 , -C (O) NH-cycloalkyl, -C (O) NH-heterocycloalkyl, -C (O) NH- (pyrazolyl optionally substituted with R 0 ), -C (O) -R 0 , -C (O) -cycloalkyl, -S (O) 2 NH 2 , -S (O) 2 NH-R 0 , -S (O) 2 NH-cycloalkyl,- R 00 -OH,
- the present invention also includes a pharmaceutical composition for preventing and / or treating a disease involving IRAK-4, which comprises a compound of formula (I) or a salt thereof, that is, a compound of formula (I) or a salt thereof.
- the present invention relates to a preventive and / or therapeutic agent for diseases involving IRAK-4.
- the present invention also relates to the use of a compound of formula (I) or a salt thereof for the manufacture of a pharmaceutical composition for prevention and / or treatment of a disease involving IRAK-4, and a disease involving IRAK-4.
- a disease involving IRAK-4 comprising administering to a subject an effective amount of a compound of formula (I) or a salt thereof and a compound of formula (I) or a salt thereof for use in the prevention and / or treatment of
- the present invention relates to a method for preventing and / or treating
- the compound of formula (I) has an IRAK-4 inhibitory action and can be used as a prophylactic and / or therapeutic agent for diseases involving IRAK-4.
- inflammatory diseases or autoimmune diseases include inflammatory diseases or autoimmune diseases, particularly musculoskeletal and connective tissue diseases (rheumatoid arthritis, osteoarthritis, systemic lupus erythematosus, Sjogren's syndrome, scleroderma, gout, etc.), Rejection in organ transplantation, auto-inflammatory diseases (Muckle-Wells syndrome, etc.), genitourinary diseases (diabetic nephropathy, glomerulonephritis such as IgA nephropathy, chronic renal failure), liver disease (nonalcoholic steatohepatitis, etc.
- autoimmune diseases particularly musculoskeletal and connective tissue diseases (rheumatoid arthritis, osteoarthritis, systemic lupus erythematosus, Sjogren's syndrome, scleroderma, gout, etc.), Rejection in organ transplantation, auto-inflammatory diseases (Muckle-Wells syndrome, etc.), genitourinary
- Infectious diseases (sepsis, etc.), digestive system diseases (ulcerative colitis, Crohn's disease, etc.), skin inflammatory diseases (atopic dermatitis, psoriasis, etc.), endocrine diseases (diabetes, etc.), cardiovascular diseases (arteries) Sclerosis etc.), central diseases (multiple sclerosis etc.), respiratory diseases (asthma, chronic obstructive pulmonary disease etc.) and cancer.
- FIG. 1 shows the phosphorylation activity of an IRAK-1 peptide substrate in a rat IRAK-4 recombinant protein assay system.
- the vertical axis shows the absorbance at 450 nm.
- the horizontal axis indicates the amount of rat IRAK-4 recombinant protein.
- alkyl includes linear alkyl and branched alkyl. Accordingly, “lower alkyl” is straight-chain or branched alkyl having 1 to 6 carbon atoms (hereinafter referred to as C 1-6 ), for example, methyl, ethyl, n-propyl, isopropyl, n- Butyl, isobutyl, sec-butyl, tert-butyl, n-pentyl, n-hexyl group and the like.
- C 1-6 straight-chain or branched alkyl having 1 to 6 carbon atoms
- Another embodiment is C 1-4 alkyl, and yet another embodiment is methyl, ethyl, n-propyl, isopropyl, n-butyl, isobutyl, tert-butyl, and still another embodiment. , Methyl.
- Alkylene is a divalent group formed by removing any one hydrogen atom of the above “alkyl”. Accordingly, “lower alkylene” means a linear or branched C 1-6 alkylene such as methylene, ethylene, trimethylene, tetramethylene, pentamethylene, hexamethylene, propylene, methylmethylene, methylethylene, And ethylethylene, 1,2-dimethylethylene, 1,1,2,2-tetramethylethylene group and the like. Another embodiment is C 1-5 alkylene, and yet another embodiment is methylene, ethylene, trimethylene, tetramethylene, pentamethylene.
- Halogen means F, Cl, Br, I.
- Halogeno lower alkyl is lower alkyl substituted with one or more halogens. Another embodiment is lower alkyl substituted with 1 to 5 halogens, and yet another embodiment is difluoromethyl, trifluoromethyl, difluoroethyl, trifluoroethyl.
- Cycloalkyl is a C 3-10 saturated hydrocarbon ring group, which may have a bridge.
- Another embodiment is C 3-6 cycloalkyl, yet another embodiment is C 7-10 cycloalkyl, and yet another embodiment is cyclopropyl, cyclobutyl, cyclopentyl, cyclohexyl, adamantyl. In still another embodiment, they are cyclopropyl, cyclobutyl, cyclopentyl, and cyclohexyl.
- the “aryl” is a C 6-14 monocyclic to tricyclic aromatic hydrocarbon ring group, and includes a cyclic group condensed with a C 5-8 cycloalkene at a double bond site thereof.
- Another embodiment is phenyl or naphthyl, and yet another embodiment is phenyl.
- Heterocycle refers to i) a 3-8 membered, alternatively 5-7 membered monocyclic heterocycle containing from 1 to 4 heteroatoms selected from oxygen, sulfur and nitrogen, and Ii) the monocyclic heterocycle is condensed with one or two rings selected from the group consisting of a monocyclic heterocycle, a benzene ring, a C 5-8 cycloalkane, and a C 5-8 cycloalkene, or It means a cyclic group selected from bi to tricyclic heterocycles containing 1 to 5 heteroatoms selected from oxygen, sulfur and nitrogen, formed by spiro bonds. Ring atoms such as sulfur or nitrogen may be oxidized to form oxides or dioxides.
- heterocycle examples include the following embodiments.
- monocyclic saturated heterocyclic groups (a) those containing 1 to 4 nitrogen atoms, such as aziridinyl, azetidinyl, pyrrolidinyl, pyrazolidinyl, imidazolidinyl, piperidyl, piperazinyl, azepanyl, diazepanyl, azocanyl; (B) those containing 1 to 3 nitrogen atoms and 1 to 2 oxygen atoms and / or 1 to 2 sulfur atoms, for example oxazolidinyl, isoxazolidinyl, thiazolidinyl, isothiazolidinyl, morpholinyl , Thiomorpholinyl, homomorpholinyl, thiazepanyl; (C) those containing 1 to 2 oxygen atoms, such as oxiranyl, oxetanyl, tetrahydrofuranyl, tetrahydropyr
- (1) monocyclic unsaturated heterocyclic groups (a) those containing 1 to 4 nitrogen atoms, such as pyrrolyl, pyrrolinyl, pyrazolyl, pyrazolinyl, imidazolyl, imidazolinyl, triazolyl, tetrazolyl, pyridyl, dihydropyridinyl, Tetrahydropyridinyl, pyridazinyl, pyrimidinyl, dihydropyrimidinyl, pyrazinyl, triazinyl, dihydrotriazinyl, azepinyl; (B) those containing 1 to 3 nitrogen atoms and 1 to 2 oxygen atoms and / or 1 to 2 sulfur atoms, such as oxazolyl, isoxazolyl, thiazolyl, isothiazolyl, oxadiazolyl, thiadiazolyl, dihydrothiazinyl, oxazinyl
- a condensed polycyclic saturated heterocyclic group (a) one containing 1 to 5 nitrogen atoms, such as quinuclidinyl, 7-azabicyclo [2.2.1] heptyl; (B) those containing 1 to 4 nitrogen atoms, and 1 to 3 oxygen atoms and / or 1 to 3 sulfur atoms, such as 2-oxa-5-azabicyclo [2.2.1] heptyl, trithia Asia Zaindenyl, dioxoloimidazolidinyl; (C) those containing 1 to 3 oxygen atoms and / or 1 to 3 sulfur atoms, such as oxabicyclo [2.2.1] heptyl, 2,6-dioxabicyclo [3.2.2] octyl;
- nitrogen-containing heterocycle means (1)-(a), (1)-(b), (2)-(a), (2)-(b) among the above “heterocycle”.
- (3)-(a), (3)-(b), (4)-(a), and (4)-(b) and the like contain at least one nitrogen atom.
- Heteroaryl is an aromatic ring group in (2) of the above “heterocycle” or a hetero ring group having at least one aromatic ring in (4) as a constituent element, As an aspect, it means a group having a bond on a carbon atom constituting the ring.
- Monocyclic heteroaryls such as pyrrolyl, pyrazolyl, imidazolyl, triazolyl, tetrazolyl, pyridyl, pyridazinyl, pyrimidinyl, pyrazinyl, triazinyl, oxazolyl, isoxazolyl, thiazolyl, isothiazolyl, oxadiazolyl, thiadiazolyl, furyl, thienyl; Indolyl, indolinyl, isoindolyl, isoindolinyl, indolizinyl, indazolyl, benzimidazolyl, pyrrolopyridinyl, pyrazolopyridinyl, imidazolazolidinyl, benzotriazolyl, purinyl, benzodioxolyl, quinolyl, tetrahydroquinolinyl, isoquinolinyl, te
- Heterocycloalkyl is a heterocyclic group in which the bond between ring atoms consists of only a single bond, as in (1) and (3) of the above “heterocycle”.
- the group which has a bond in the carbon atom which comprises is meant.
- Optionally substituted amino means NH 2 , or an amino group substituted with one or two arbitrary groups, “heteroaryl” having a bond on the nitrogen atom constituting the ring, and Includes “heterocycloalkyl”.
- heteroaryl and “heterocycloalkyl” may be substituted.
- Examples of the substituent in the above-mentioned “amino group substituted with one or two arbitrary groups” include R 0 , halogeno lower alkyl, cycloalkyl, heterocycloalkyl, —C (O) OR 0 , — C (O) -R 0, -C (O) - halogeno-lower alkyl, -R 00 - cycloalkyl, -R 00 - heterocycloalkyl, -R 00 - phenyl, -R 00 - heteroaryl, -R 00 -C (O) OH, -R 00 -C (O) OR 0 , -R 00 -cyano, -R 00 -OH, -R 00 -OR 0 and -R 00 -S (O) 2 -R 0
- cycloalkyl is optionally substituted with halogen, oxo, —OH or —
- heteroaryl and “heterocycloalkyl” having a bond on the nitrogen atom constituting the ring include 1-aziridinyl, 1-azetidinyl, 1-pyrrolidinyl, 1-pyrazolidinyl, 1-imidazolidinyl, 1-piperidyl 1-piperazinyl, 1-azepanyl, 1-diazepanyl, 1-azocanyl, 3-oxazolidinyl, 2-isoxazolidinyl, 3-thiazolidinyl, 2-isothiazolidinyl, 4-morpholinyl, 4-thiomorpholinyl, 4- Homomorpholinyl, 4-thiazepanyl, 1-pyrrolyl, 1-pyrazolyl, 1-imidazolyl, 1-triazolyl, 1-tetrazolyl, 1-indolyl, 1-indolinyl, 2-isoindolyl, 2-isoindolinyl, 1-indazolyl, 1-benzimid
- Examples of the substituent in the “heteroaryl” and “heterocycloalkyl” having a bond at the nitrogen atom constituting the ring include R 0 , halogen, halogeno lower alkyl, —OH, —OR 0 , —R 00 -OH and a group selected from the group consisting of -R 00 -OR 0.
- “optionally substituted” means unsubstituted or having 1 to 5 substituents. In one aspect, it is unsubstituted or has 1 to 3 substituents. In another aspect, it is unsubstituted or has one substituent. In another aspect, it is unsubstituted. In still another embodiment, it has one substituent. In addition, when it has a some substituent, those substituents may be the same or may mutually differ.
- One embodiment of the compound of formula (I) of the present invention is a compound of formula (II), (III) or (IV), another embodiment is a compound of formula (II), and another embodiment is , A compound of formula (III), and yet another embodiment is a compound of formula (IV).
- R 2a is -C (O) NH 2 , -C (O) NH-R 0 , -C (O) NH-cycloalkyl, -C (O) -R 0 , -C (O) -cycloalkyl, -S (O) 2 NH 2 , -S (O) 2 NH-R 0 , oxadiazolyl or tetrazolyl optionally substituted by R 0 ,
- oxadiazolyl in R 2a may be substituted with R 0 , -R 00 -OH or -R 00 -OR 0
- R 3a is, H, R 0, cycloalkyl, heterocycloalkyl, phenyl, pyridyl, -R 00 - cycloalkyl, -R 00 - heterocycloalkyl, -R 00 -OH or, -R 00 -OR 0
- R 2b is -C (O) NH 2 , -C (O) NH-R 0 , -C (O) NH-cycloalkyl, -C (O) -R 0 , -C (O) -cycloalkyl, -S (O) 2 NH 2 , -S (O) 2 NH-R 0 , oxadiazolyl or tetrazolyl optionally substituted by R 0 ,
- oxadiazolyl in R 2b may be substituted with R 0 , -R 00 -OH or -R 00 -OR 0
- R 3b is, H, R 0, cycloalkyl, heterocycloalkyl, phenyl, pyridyl, -R 00 - cycloalkyl, -R 00 - heterocycloalkyl, -R 00 -OH or, -R 00 -OR 0
- R 2c is -C (O) NH 2 , -C (O) NH-R 0 , -C (O) NH-cycloalkyl, -C (O) -R 0 , -C (O) -cycloalkyl, -S (O) 2 NH 2 , -S (O) 2 NH-R 0 , oxadiazolyl or tetrazolyl optionally substituted by R 0 ,
- oxadiazolyl in R 2c may be substituted with R 0 , -R 00 -OH or -R 00 -OR 0
- R 3c is, H, R 0, cycloalkyl, heterocycloalkyl, phenyl, pyridyl, -R 00 - cycloalkyl, -R 00 - heterocycloalkyl, -R 00 -OH or, -R 00 -OR 0
- An embodiment of the A ring in formula (I) is pyrazolyl or thiazolyl, another embodiment is pyrazolyl, and yet another embodiment is thiazolyl.
- R 1 As an embodiment of R 1 , each of pyridyl, pyridazinyl, pyrimidinyl, furyl, thienyl, indazolyl, benzimidazolyl, pyrrolopyridinyl, imidazopyridinyl, quinolyl, which may be substituted with 1 to 3 R 10 , or Benzoxazolyl, and in another embodiment, each is pyridyl or quinolyl optionally substituted by 1 to 3 R 10 , and in another embodiment, 1 to 3 R Pyridin-4-yl or quinolin-4-yl which may be substituted with 10 and, in another embodiment, pyridine-4-yl which may be substituted with 1 to 3 R 10 In still another embodiment, pyridin-4
- R 2 , R 2a , R 2b and R 2c include —C (O) NH 2 , —C (O) NH—R 0 , —S (O) 2 NH 2 or 5 -(Methoxymethyl) -1,3,4-oxadiazol-2-yl, and in another embodiment, -C (O) NH 2 or -C (O) NH-R 0 , another aspect is a -C (O) NH 2.
- R 3 R 3a , a certain aspect of the R 3b and R 3c, R 0, heterocycloalkyl, phenyl, pyridyl, -R 00 - heterocycloalkyl, -R 00 -OH or, -R 00- OR 0 , where heterocycloalkyl, phenyl and pyridyl may be substituted with a group selected from the group consisting of R 0 , halogen or —OR 0 , and in another embodiment, R 0 , heterocycloalkyl, pyridyl, —R 00 -heterocycloalkyl or —R 00 —OR 0 , in yet another embodiment, R 0 , and in another embodiment, —R 00 -OR 0 , yet another embodiment is heterocycloalkyl, yet another embodiment is -R 00 -heterocycloalkyl, and yet another embodiment is R 0 , halogen or ,
- phenyl is optionally substituted with a methoxy group. .
- R 10 R 0
- halogen optionally substituted amino, or —R 00 — (optionally substituted amino)
- another embodiment is R 0 .
- it is halogen, in another embodiment it is optionally substituted amino, and in yet another embodiment, it is methyl.
- R 10 As an aspect of “optionally substituted amino” in R 10 , (i) —NH 2 , (ii) 1 or 2 R 0 , halogeno lower alkyl, cycloalkyl, heterocycloalkyl , -C (O) -R 0, -C (O) - halogeno-lower alkyl, -R 00 - cycloalkyl, -R 00 - heterocycloalkyl, -R 00 -OH and from -R 00 -OR 0
- a compound comprising a combination of two or more groups described in (1) to (6) or a compound thereof Examples thereof include salts, and specific examples thereof include the following combinations.
- R 1 is pyridin-4-yl substituted at the 2-position with R 10
- R 2a is —C (O) NH 2
- R 3a is R 0
- heterocycloalkyl pyridyl, — R 00 - heterocycloalkyl or
- compounds of formula (II) is -R 00 -OR 0.
- Examples of specific compounds included in the present invention include the following compounds. 2- (2-aminopyridin-4-yl) -N- (3-carbamoyl-1-methyl-1H-pyrazol-4-yl) -1,3-oxazole-4-carboxamide, N- (3-carbamoyl-1-methyl-1H-pyrazol-4-yl) -2- (2-methylpyridin-4-yl) -1,3-oxazole-4-carboxamide, 2- (2-aminopyridin-4-yl) -N- [3-carbamoyl-1- (2-methoxyethyl) -1H-pyrazol-4-yl] -1,3-oxazole-4-carboxamide, N- [3-carbamoyl-1- (tetrahydro-2H-pyran-4-yl) -1H-pyrazol-4-yl] -2- (2-methylpyridin-4-yl) -1,3-oxazole-4
- tautomers and geometric isomers may exist depending on the type of substituent.
- the compound of the formula (I) may be described in only one form of an isomer, but the present invention includes other isomers, separated isomers, or those isomers. Also includes mixtures.
- the compound of formula (I) may have an asymmetric carbon atom or axial asymmetry, and optical isomers based on this may exist.
- the present invention also includes separated optical isomers of the compound of formula (I) or a mixture thereof.
- the present invention includes a pharmaceutically acceptable prodrug of the compound of formula (I).
- Pharmaceutically acceptable prodrugs are compounds having groups that can be converted to amino groups, hydroxyl groups, carboxyls, etc. by solvolysis or under physiological conditions. Examples of groups that form prodrugs include those described in Prog. Med., 5, 2157-2161 (1985) and “Development of Pharmaceuticals” (Yodogawa Shoten, 1990), Volume 7, Molecular Design 163-198. It is done.
- the salt of the compound of the formula (I) is a pharmaceutically acceptable salt of the compound of the formula (I), and may form an acid addition salt or a salt with a base depending on the type of substituent. is there.
- inorganic acids such as hydrochloric acid, hydrobromic acid, hydroiodic acid, sulfuric acid, nitric acid, phosphoric acid, formic acid, acetic acid, trifluoroacetic acid, propionic acid, oxalic acid, malonic acid, succinic acid, fumaric acid
- Organic acids such as acid, maleic acid, lactic acid, malic acid, mandelic acid, tartaric acid, dibenzoyltartaric acid, ditoluoyltartaric acid, citric acid, methanesulfonic acid, ethanesulfonic acid, benzenesulfonic acid, p-toluenesulfonic acid, aspartic acid, glutamic acid Acid addition salts with, inorganic bases such
- the present invention also includes various hydrates and solvates of the compound of formula (I) and salts thereof, and crystalline polymorphic substances.
- the present invention also includes compounds labeled with various radioactive or non-radioactive isotopes.
- the compound of the formula (I) and a salt thereof can be produced by applying various known synthesis methods utilizing characteristics based on the basic structure or the type of substituent.
- it is effective in terms of production technology to replace the functional group with an appropriate protecting group (a group that can be easily converted into the functional group) at the stage from the raw material to the intermediate.
- protecting groups include protecting groups described in “Greene's Protective Groups in Organic Synthesis (4th edition, 2006)” by PGM Wuts and TW Greene, What is necessary is just to select suitably according to these reaction conditions.
- the desired compound after carrying out the reaction by introducing the protective group, the desired compound can be obtained by removing the protective group as necessary.
- the prodrug of the compound of the formula (I) introduces a specific group at the stage from the raw material to the intermediate as in the case of the protective group, or further reacts with the obtained compound of the formula (I).
- the reaction can be carried out by applying a method known to those skilled in the art, such as ordinary esterification, amidation, dehydration and the like.
- typical production methods of the compound of the formula (I) will be described. Each manufacturing method can also be performed with reference to the reference attached to the said description.
- the manufacturing method of this invention is not limited to the example shown below.
- the compound of the formula (I) can be obtained by reacting the carboxylic acid derivative (1) with the amino compound (2).
- the carboxylic acid derivative (1) and the amino compound (2) are used in an equivalent amount or in an excess amount, and the mixture is heated in the presence of a condensing agent in a solvent inert to the reaction from under cooling. Under stirring, preferably at -20 ° C to 60 ° C, usually for 0.1 hour to 5 days.
- the solvent used here are not particularly limited, but are aromatic hydrocarbons such as benzene, toluene or xylene, halogenated hydrocarbons such as dichloromethane, 1,2-dichloroethane or chloroform, diethyl ether, tetrahydrofuran.
- Ethers such as dioxane, dimethoxyethane, N, N-dimethylformamide, N-methyl-2-pyrrolidone, dimethyl sulfoxide, ethyl acetate, acetonitrile or water, and mixtures thereof.
- condensing agents include, but are not limited to, 1- (3-dimethylaminopropyl) -3-ethylcarbodiimide, dicyclohexylcarbodiimide, 1,1′-carbonyldiimidazole, diphenyl phosphate azide, and phosphorus oxychloride. Is not to be done.
- the reaction may be preferable for the reaction to use an additive such as 1-hydroxybenzotriazole.
- an additive such as 1-hydroxybenzotriazole.
- Performing the reaction in the presence of an organic base such as triethylamine, N, N-diisopropylethylamine, or N-methylmorpholine, or an inorganic base such as potassium carbonate, sodium carbonate, or potassium hydroxide may facilitate the reaction. May be advantageous.
- the method of making it react with an amino compound (2) after converting the carboxyl group part of a carboxylic acid derivative (1) into a reactive derivative can also be used.
- Examples of reactive derivatives of carboxylic acids include acid halides obtained by reacting with halogenating agents such as phosphorus oxychloride, thionyl chloride, oxalyl chloride, mixed acid anhydrides obtained by reacting with isobutyl chloroformate, Examples include active esters obtained by condensation with 1-hydroxybenzotriazole and the like.
- the reaction of these reactive derivatives with the amino derivative (2) is carried out in a solvent inert to the reaction of halogenated hydrocarbons, aromatic hydrocarbons, ethers, etc., under cooling to heating, preferably- It can be carried out at 78 to 60 ° C.
- Compound (5) can be obtained by a coupling reaction between compound (3) and compound (4) or an ester thereof.
- the compounds (3) and (4) or the ester thereof are used in an equivalent amount or one of them in excess, and a mixture thereof is used in a solvent inert to the reaction in the presence of a base and a palladium catalyst at room temperature to This is usually carried out by stirring for 0.1 hour to 5 days under heating under reflux.
- This reaction is preferably performed in an inert gas atmosphere.
- solvent used here are not particularly limited, but aromatic hydrocarbons, ethers, halogenated hydrocarbons, alcohols such as methanol, ethanol, 2-propanol, butanol, N, N-dimethyl Examples include formamide, dimethyl sulfoxide, and mixed solvents thereof.
- base inorganic bases such as sodium carbonate, potassium carbonate and sodium hydroxide are preferable.
- palladium catalyst tetrakis (triphenylphosphine) palladium (0), dichlorobis (triphenylphosphine) palladium (II), palladium (II) chloride-1,1′-bis (diphenylphosphino) ferrocene and the like are preferable.
- Compound (1) can be obtained by hydrolysis reaction of compound (5).
- the hydrolysis reaction can be carried out with reference to Greene and Wuts, “Protective Groups in Organic Synthesis”, 3rd edition, John Wiley & Sons Inc, 1999. [Reference] A. d. Meijere and F. Diederich, “Metal-Catalyzed Cross-Coupling Reactions”, 1st edition, VCH Publishers Inc., 1997 The Chemical Society of Japan, “5th edition, Experimental Chemistry Course (Volume 13)” Maruzen, 2005
- Compound (8) can be obtained by an amidation reaction between compound (6) and compound (7).
- Compound (9) can be produced from compound (8), and compound (10) can be produced from compound (9) with reference to, for example, the methods described in Organic Letters 2000, 2 (8), 1165-1168.
- Compound (1a) can be obtained from compound (10) by a hydrolysis reaction.
- the hydrolysis reaction can be performed with reference to Greene and Wuts, “Protective Groups in Organic Synthesis”, 3rd edition, John Wiley & Sons Inc, 1999.
- the compounds of formula (I) are isolated and purified as free compounds, their salts, hydrates, solvates or polymorphic substances.
- the salt of the compound of formula (I) can also be produced by subjecting it to a conventional salt formation reaction. Isolation and purification are carried out by applying ordinary chemical operations such as extraction, fractional crystallization, and various fractional chromatography. Various isomers can be produced by selecting an appropriate raw material compound, or can be separated by utilizing a difference in physicochemical properties between isomers.
- optical isomers can be obtained by general optical resolution of racemates (for example, fractional crystallization leading to diastereomeric salts with optically active bases or acids, chromatography using chiral columns, etc.) It can also be produced from a suitable optically active raw material compound.
- Test Example 1 Rat IRAK-4 Inhibition Test 1-1: Preparation of Rat IRAK-4 Recombinant Protein a) Rat IRAK-4 Cloning rat IRAK-4 FLAGF primer shown in SEQ ID NO: 5 and rat IRAK shown in SEQ ID NO: 6 Using the -4R primer, the rat IRAK-4 gene was cloned from the rat spleen cDNA library by PCR. Pyrobest (registered trademark) DNA Polymerase (TAKARA BIO, # R005A) was used for PCR.
- amino acid sequence represented by SEQ ID NO: 2 The amino acid sequence represented by SEQ ID NO: 2, the human IRAK-4 amino acid sequence (NM_001114182) and the mouse IRAK-4 amino acid sequence (NM_029926) registered in the GenBank Reference Sequence (NCBI, RefSeq) database were aligned by the Clustal W method. . As a result, the amino acid sequence represented by SEQ ID NO: 2 showed 84.1% and 92.6% homology with human and mouse IRAK-4 amino acid sequences, respectively.
- Rat IRAK-4 recombinant protein was prepared from Sf9 cells infected with rat IRAK-4 expression baculovirus using Anti-FLAG M2 affinity gel (Sigma).
- the base sequence of the rat IRAK-4 fusion gene expressed by the rat IRAK-4 expression baculovirus is shown in SEQ ID NO: 3, and the deduced amino acid sequence of the fusion protein is shown in SEQ ID NO: 4.
- a His tag derived from the pFastBac HT vector and a FLAG tag used for purification of the recombinant protein are fused downstream of the start codon Met.
- a vector-derived sequence is fused before the stop codon.
- IRAK-4 activity can be confirmed by phosphorylation activity of IRAK-1 peptide substrate (Proceedings of the National Academy of Sciences 2002, 99 (8), 5567-5572) .
- the recombinant protein obtained above was reacted in the presence / absence of IRAK-1 peptide substrate and in the presence / absence of ATP to examine the IRAK-4 activity of the recombinant protein.
- Neutravidin 500 ng (Sigma) was added to the plate and allowed to stand overnight.
- Tween-20 Tris-Buffered Saline Tween-20 (TBST) (50 mM Tris-Cl (pH 7.5), 150 mM NaCl, 0.05% Tween20), and 0 or 12.5 pmol biotin-IRAK-1 peptide substrate (biotin -spacer-FGL ARF SRF AGS SPS QSS MVA RTQ TVR GTL A-COOH (Proceedings of the National Academy of Sciences 2002, 99 (8), 5567-5572) was added and allowed to stand for 1 hour.
- TST Tris-Buffered Saline Tween-20
- rat IRAK-4 inhibitory activity Avidin 150 ng (Sigma) was added to the plate and allowed to stand overnight. The next day, the plate was washed twice with TBST, 17.5 pmol of biotin-IRAK-1 peptide substrate was added, and allowed to stand for 1 hour. Thereafter, the plate was washed 3 times with TBST, added with a blocking solution, and allowed to stand for 1 hour. After washing 3 times with TBST, rat IRAK-4 enzyme, test compound, ATP (final concentration is 80 ⁇ M) in reaction buffer of 25 mM Tris-Cl (pH 7.5), 10 mM MgCl 2 , 1 mM DTT, 0.1% Bovine serum albumin And added to the plate.
- IRAK-4 inhibitory activity of the test compound was defined as the concentration of the test compound that suppresses IRAK-4 activity by 50% (IC 50 value). The inhibition rate when no enzyme was added was 100%, the inhibition rate when no test compound was added was 0%, and the IC 50 value of the compound was calculated by the logistic method.
- Test Example 2 IL-1 ⁇ -stimulated IL-6 production inhibition test using human lung epithelial cell line A549 A549 cells were seeded on a 96-well plate at 4 ⁇ 104 cells / 160 ⁇ L / well (1st day) and cultured overnight. . On the next day, a test compound (20 ⁇ L / well) was added and incubated for 1 hour, and then IL-1 ⁇ (R & D Systems, Inc.) was added to a final concentration of 1 ng / mL (20 ⁇ L / well). At this time, each plate was provided with wells to which IL-1 ⁇ was not added as an unstimulated group.
- the culture supernatant was collected and the amount of IL-6 in the supernatant was measured.
- the collected culture supernatant was frozen and stored at -20 ° C or lower, and then dissolved and measured.
- the amount of IL-6 in the supernatant was quantified using Human IL-6 DuoSet Economy Pack (R & D Systems, Inc.) according to the method attached to the kit and measured as absorbance at 450 nm.
- the IL-6 production inhibitory activity of the test compound was defined as the concentration of the test compound that suppresses IL-6 production by 50% (IC 50 value).
- the inhibition rate of the unstimulated group was 100%, the inhibition rate when no test compound was added was 0%, and the IC 50 value of the compound was calculated by the logistic method.
- Test Example 3 Rat Collagen-Induced Arthritis Model 3-1: Induction of Rat Collagen Arthritis, Drug Administration Dissolve bovine-derived type II collagen (collagen technical workshop) in 0.1M acetic acid aqueous solution to make 2 mg / mL solution, etc.
- a collagen emulsion with a final concentration of 1 mg / mL was made by emulsifying with an amount of Incomplete Freund Adjuvant (Difco Laboratories). 7 weeks old female Lewis rats were divided into groups using body weight as an index, and rats other than the untreated group were anesthetized, and 10 or more ridges were placed on the back from which 0.5 mL of the above collagen emulsion was removed.
- Intradermal administration was divided into two sites on the left and right. This first immunization day was defined as day 0. Further, on the seventh day, 0.1 mL of the above-mentioned collagen emulsion was intradermally administered at two locations on the ridge and boosted. No treatment group was immunized. The test compound was continuously orally administered from the first immunization day (or the day after the first immunization day) to the 21st day, or from the 7th day (or 8th day) to the 21st day of the first immunization day.
- Table 2 shows the results of suppression of hindlimb swelling by rat collagen-induced arthritis of some compounds. In addition, 3 mg / kg was administered twice a day.
- Test Example 4 Anti-glomerular basement membrane antibody-induced glomerulonephritis model A rat anti-glomerular basement membrane (GBM) antibody was prepared by immunizing a rat (Japanese white variety healthy) with rat GBM. WKY rats (Nippon Charles River) were male, 7 weeks old, and weighed about 180 g. Nephritis was induced by injecting anti-GBM serum (0.1 mL) into the WKY rat through the tail vein. The rats were divided into groups according to body weight, and the test compound was orally administered twice a day from immediately after the onset of nephritis until the last day of the experiment. Urine collection was performed on days 3, 7, 14, and 21 after the initiation of nephritis.
- GBM rat anti-glomerular basement membrane
- Protein concentration Micro TP Test Wako (Pyrogallol Red Method, Wako Pure Chemical Industries)
- NAG activity NAG Test Shionogi (Yoshio Shionogi)
- Creatinine CRE-EN kainos (enzymatic method, kainos)
- BUN BUN Kainos (Kainos)
- Cholesterol Detamina TC555 (Kyowa Medics)
- Example 7 showed the effect of suppressing glomerulonephritis at the minimum effective dose of 0.3 mg / kg twice a day.
- Test Example 5 db / db mouse albuminuria model
- the animals are db / db mice (male, body weight of about 30 g, CLEA Japan) which are spontaneous type II diabetes mice and control mice (male, body weight of about 25 g). , Japan Marie).
- the db / db mice were divided into groups so that the urinary albumin concentration and blood glucose level at 7 weeks of age were almost uniform, and test compounds were orally administered twice daily from 8 weeks of age.
- Urine collection was performed every week after the start of the test until the 11th week of age. At the end of the experiment, blood was collected from the abdominal vena cava and kidneys were collected. Urine volume, albumin concentration, creatinine concentration and MCP-1 concentration were measured from urine samples.
- Creatinine and glucose concentrations were measured from plasma samples. Each parameter was measured using the following method or kit.
- Albumin concentration ELISA method
- Creatinine CRE-EN kainos (enzyme method, kainos)
- MCP-1 DuoSet mouse MCP-1 (R & D Systems)
- Glucose Glucose CII-Test Wako (Wako Pure Chemical Industries)
- the compound of Example 7 showed an inhibitory effect on diabetic nephropathy at the minimum effective dose of 0.3 mg / kg twice a day.
- the compound of the formula (I) has an IRAK-4 inhibitory activity and an activity to inhibit IL-1-stimulated IL-6 production in the cell line. Moreover, it was confirmed that the compound of Formula (I) has the inhibitory effect with respect to the inflammatory reaction of arthritis, glomerulonephritis, and diabetic nephropathy.
- the compounds of formula (I) are used as pharmaceuticals, in particular diseases related to IRAK-4, such as inflammatory diseases or autoimmune diseases, in particular musculoskeletal and connective tissue diseases (rheumatoid arthritis, osteoarthritis, Systemic lupus erythematosus, Sjogren's syndrome, scleroderma, gout, etc.) rejection in organ transplantation, autoinflammatory diseases (Muckle-Wells syndrome, etc.), genitourinary diseases (diabetic nephropathy, IgA nephropathy, etc.) , Chronic renal failure), liver disease (non-alcoholic steatohepatitis, etc.), infection (sepsis, etc.), digestive system diseases (ulcerative colitis, Crohn's disease, etc.), skin inflammatory diseases (atopic dermatitis, psoriasis) Etc.), endocrine diseases (diabetes, etc.), cardiovascular diseases (arteriosclerosis, etc.), inflammatory
- Test Example 6 Cytochrome P450 (CYP) 3A4 enzyme inhibition test 6-1: Inhibition test I (calculation of residual rate I) Using a 96-well plate, substrate 2 ⁇ M (midazolam), test compound 5 ⁇ M, human liver microsome (0.1 mg protein / mL) 0.1 mM EDTA, 1 mM NADPH-containing 100 mM phosphate buffer (pH 7.4), total volume 150 ⁇ L Incubated for 20 minutes at 37 ° C. Thereafter, 130 ⁇ L of an aqueous solution containing 80% acetonitrile was added to stop the reaction. Thereafter, the sample was analyzed by LC / MS / MS, and the residual ratio I was calculated using Equation 1 below.
- Residual rate I (%) A i , I / A 0 , I x 100
- a i , I amount of metabolite produced after reaction in the presence of test compound in inhibition test I
- a 0 , I amount of metabolite produced after reaction in the absence of test compound in inhibition test I
- inhibition test II calculation of residual rate II
- Residual rate II (%) A i , II / A 0 , II / (A i , I / A 0 , I ) x 100
- a i , II amount of metabolite produced after reaction in the presence of test compound in inhibition test II
- a 0 , II amount of metabolite produced after reaction in the absence of test compound in inhibition test II
- the compound of Example 7 showed a CYP3A4 residual rate of 99% during the reversible inhibition test and a CYP3A4 residual rate of 107% during the time-dependent test.
- a pharmaceutical composition containing one or more compounds of the formula (I) or a salt thereof as an active ingredient is an excipient normally used in the art, that is, a pharmaceutical excipient, a pharmaceutical carrier, etc.
- Administration is oral by tablet, pill, capsule, granule, powder, liquid, etc., or injection such as intraarticular, intravenous, intramuscular, suppository, eye drops, ophthalmic ointment, transdermal solution, ointment Any form of parenteral administration using an agent, a transdermal patch, a transmucosal solution, a transmucosal patch, an inhalant, etc. may be used.
- a solid composition for oral administration tablets, powders, granules and the like are used.
- one or more active ingredients are mixed with at least one inert excipient.
- the composition may contain an inert additive such as a lubricant, a disintegrant, a stabilizer and a solubilizing agent according to a conventional method. If necessary, tablets or pills may be coated with a sugar coating or a film of a gastric or enteric substance.
- Liquid compositions for oral administration include pharmaceutically acceptable emulsions, solutions, suspensions, syrups or elixirs and the like, and commonly used inert diluents such as purified water. Or it contains ethanol.
- the liquid composition may contain solubilizers, wetting agents, auxiliaries such as suspending agents, sweeteners, flavors, fragrances, and preservatives.
- the injection for parenteral administration contains a sterile aqueous or non-aqueous solvent, suspension, or emulsion.
- aqueous solvent include distilled water for injection or physiological saline.
- Non-aqueous solvents include alcohols such as ethanol.
- Such compositions may further contain isotonic agents, preservatives, wetting agents, emulsifiers, dispersants, stabilizers, or solubilizing agents. These are sterilized by, for example, filtration through a bacteria-retaining filter, blending with a bactericide, or irradiation. These can also be used by producing a sterile solid composition and dissolving or suspending it in sterile water or a sterile solvent for injection before use.
- External preparations include ointments, plasters, creams, jellies, poultices, sprays, lotions, eye drops, eye ointments and the like.
- ointment bases commonly used ointment bases, lotion bases, aqueous or non-aqueous solutions, suspensions, emulsions, and the like.
- a transmucosal agent such as an inhalant or a nasal agent is used in a solid, liquid or semi-solid form, and can be produced according to a conventionally known method.
- known excipients, and further pH adjusters, preservatives, surfactants, lubricants, stabilizers, thickeners and the like may be appropriately added.
- an appropriate device for inhalation or insufflation can be used.
- a known device such as a metered dose inhalation device or a nebulizer
- the compound is administered alone or as a powder in a formulated mixture or as a solution or suspension in combination with a pharmaceutically acceptable carrier. be able to.
- the dry powder inhaler or the like may be for single or multiple administration, and a dry powder or a powder-containing capsule can be used. Alternatively, it may be in the form of a pressurized aerosol spray using a suitable propellant such as chlorofluoroalkane, hydrofluoroalkane, or a suitable gas such as carbon dioxide.
- a suitable propellant such as chlorofluoroalkane, hydrofluoroalkane, or a suitable gas such as carbon dioxide.
- the appropriate daily dose is about 0.001 to 100 mg / kg, preferably 0.1 to 30 mg / kg, more preferably 0.1 to 10 mg / kg per body weight. Or in 2 to 4 divided doses.
- the daily dose is suitably about 0.0001 to 10 mg / kg per body weight, and is administered once to several times a day.
- a transmucosal agent about 0.001 to 100 mg / kg per body weight is administered once to several times a day. The dosage is appropriately determined according to the individual case in consideration of symptoms, age, sex and the like.
- the compound of the formula (I) can be used in combination with various therapeutic or preventive agents for diseases for which the compound of the formula (I) is considered to be effective.
- the combination may be administered simultaneously, separately separately, or at desired time intervals.
- a pharmaceutical preparation containing various therapeutic or prophylactic agents for the diseases for which the compound of formula (I) is considered to be effective, and a compound of formula (I), even if the coadministration preparation is formulated separately It may be a composition.
- the production method of the compound of formula (I) and its raw material compound will be described in more detail based on Examples.
- this invention is not limited to the compound as described in the following Example.
- the manufacturing method of a raw material compound is shown to a manufacture example.
- the production method of the compound of the formula (I) is not limited to the production methods of the specific examples shown below, and the compound of the formula (I) may be a combination of these production methods or a person skilled in the art. It can also be produced by methods that are self-evident.
- HCl in the structural formula indicates a hydrochloride, and the number before HCl indicates a molar ratio.
- 2HCl means dihydrochloride.
- Production Example 7 A mixture of methyl 2- (2-chloropyridin-4-yl) -1,3-oxazole-4-carboxylate (960 mg), m-chloroperbenzoic acid (903 mg) and methylene chloride (20 mL) The mixture was stirred at 40 ° C. for 10 hours. After allowing to cool, a saturated aqueous sodium thiosulfate solution and a saturated aqueous sodium hydrogen carbonate solution were added, and the mixture was extracted with chloroform. The organic layer was washed successively with saturated aqueous sodium hydrogen carbonate solution and saturated brine, and then dried over anhydrous magnesium sulfate.
- the filtrate was concentrated under reduced pressure, and a mixture of THF and 1M hydrochloric acid (1: 1, 10 mL) was added to the residue, followed by stirring at room temperature for 2 hours.
- the reaction mixture was washed with diethyl ether, and then the pH was adjusted to about 10 by adding 2M aqueous potassium carbonate solution to the obtained aqueous layer. After extracting with chloroform, the organic layer was washed with saturated brine and dried over anhydrous magnesium sulfate.
- Production Example 30 6-chloropyridin-3-yl) -4-nitro-1H-pyrazole-3-carboxamide (222 mg), 10% palladium on carbon (50% water content, 177 mg), ammonium formate (262 mg), and A mixture of methanol (6.66 mL) was stirred at 70 ° C. for 1 hour. After adding ammonium formate (209 mg), the mixture was further stirred at 70 ° C. for 1 hour.
- Tables 3 to 25 show the structure, production method, and physicochemical data of each of the production example compounds.
- Example 1 4-Amino-1-methyl-1H-pyrazole-3-carboxamide (250 mg), 2- ⁇ 2-[(tert-butoxycarbonyl) (2-methoxyethyl) amino] pyridin-4-yl ⁇ -1,3
- a mixture of -oxazole-4-carboxylic acid (713 mg), WSC ⁇ HCl (564 mg), HOBt (397 mg) and DMF (10 mL) was stirred at room temperature for 2 hours.
- the reaction mixture was concentrated, water was added, and the mixture was extracted with ethyl acetate.
- the organic layer was washed successively with saturated aqueous sodium hydrogen carbonate solution and saturated brine, and dried over anhydrous magnesium sulfate.
- Example 6 4-Amino-1- (tetrahydro-2H-pyran-4-yl) -1H-pyrazole-3-carboxamide (753 mg), 2- (2-methylpyridin-4-yl) -1,3-oxazole-4 -To a mixture of carboxylic acid (731 mg), HOBt (726 mg) and DMF (18.3 mL) was added WSC ⁇ HCl (1.03 g) under ice cooling, and the mixture was stirred at room temperature for 4 hours.
- Example 7 N- [3-carbamoyl-1- (tetrahydro-2H-pyran-4-yl) -1H-pyrazol-4-yl] -2- (2-methylpyridin-4-yl) -1,3-oxazole-4 -To a mixture of carboxamide (45 mg) in methanol (1.8 mL) was added 4M hydrogen chloride / 1,4-dioxane solution (286 ⁇ L), and the mixture was stirred at room temperature for 1 hour.
- Example 8 tert-butyl ⁇ 4- [4-( ⁇ 3- [5- (methoxymethyl) -1,3,4-oxadiazol-2-yl] -1-methyl-1H-pyrazol-4-yl ⁇ carbamoyl)
- a mixture of -1,3-oxazol-2-yl] pyridin-2-yl ⁇ carbamate (84 mg), TFA (1 mL) and methylene chloride (2.2 mL) was stirred at room temperature for 6 hours.
- the reaction mixture was concentrated under reduced pressure, ethyl acetate was added to the residue, and the resulting solid was collected by filtration.
- Example 9 tert-butyl ⁇ 4- [4-( ⁇ 3-[(2,5-dimethyl-1H-pyrrol-1-yl) sulfonyl] -1-methyl-1H-pyrazol-4-yl ⁇ carbamoyl) -1,3 -Oxazol-2-yl] pyridin-2-yl ⁇ (2,2,2-trifluoroethyl) carbamate (155 mg) and 1,4-dioxane (2 mL) were mixed with 6M hydrochloric acid (7 mL). After adding at room temperature, the temperature was raised to 80 ° C. and stirred for 3 hours.
- Example 10 2-Oxalyl chloride (41 ⁇ L) was added to a mixture of 2- ⁇ 2-[(tert-butoxycarbonyl) amino] pyridin-4-yl ⁇ -1,3-oxazole-4-carboxylic acid (120 mg) and methylene chloride at room temperature. After the addition, 1 drop of DMF was added and stirred at room temperature for 30 minutes. To the reaction mixture, a mixture of 5-amino-2-methyl-1,3-thiazole-4-carboxamide (62 mg), triethylamine (110 ⁇ L) and methylene chloride was added under ice cooling, and the mixture was stirred for 1 hour.
- reaction mixture was diluted with chloroform, washed successively with water and saturated brine, and dried over anhydrous magnesium sulfate.
- the solvent was distilled off under reduced pressure, and the resulting solid was washed with methanol and then dried under reduced pressure to obtain tert-butyl (4- ⁇ 4-[(4-carbamoyl-2-methyl-1,3-thiazole-5- Yl) carbamoyl] -1,3-oxazol-2-yl ⁇ pyridin-2-yl) carbamate (46 mg) was obtained as a pale yellow solid.
- Example 11 tert-butyl (4- ⁇ 4-[(4-carbamoyl-2-methyl-1,3-thiazol-5-yl) carbamoyl] -1,3-oxazol-2-yl ⁇ pyridin-2-yl) carbamate ( 46 mg) was suspended in methanol (3 mL), 4M hydrogen chloride / 1,4-dioxane solution (600 ⁇ L) was added, and the mixture was stirred at room temperature overnight. Furthermore, 4M hydrogen chloride / 1,4-dioxane solution (1 mL) was added, and the mixture was stirred at 60 ° C.
- Example 52 tert-butyl rel-2- ⁇ 2-[(1R, 2R, 4S) -bicyclo [2.2.1] hept-2-ylamino] pyridin-4-yl ⁇ -1,3-oxazole-4-carboxylate (115 mg) was dissolved in methylene chloride (2.3 mL), TFA (198 ⁇ L) was added, and the mixture was stirred at room temperature for 3 hours.
- Example 53 N-ethyl in a mixture of rel- (1S, 2R, 4R) -7-oxabicyclo [2.2.1] heptan-2-amine hydrochloride (673 mg), benzotrifluoride (11.25 mL), chloroform (22.5 mL) -N-isopropylpropan-2-amine (1.16 mL) was added, and the mixture was stirred at room temperature for 15 min. Methyl 2- (1-oxidepyridin-4-yl) -1,3-oxazole-4-carboxylate (495 mg) was added, and the mixture was cooled to ⁇ 10 ° C. and p-toluenesulfonic anhydride (1.469 g ) Was gradually added.
- Tables 46 to 67 show structures of other compounds of the present invention. These can be easily synthesized by using the above-described production methods, the methods described in the Examples and methods obvious to those skilled in the art, or variations thereof.
- the pharmaceutical composition of the present invention is suitable for inflammatory diseases, autoimmune diseases and the like. It can be used as a prophylactic or therapeutic agent for diseases related to IRAK-4.
- the description of “Artificial Sequence” is described in the numerical heading ⁇ 223> of the sequence listing.
- the nucleotide sequence represented by the sequence number 3 in the sequence listing is derived from the expression vector from 1-78 and 1492-1578, from the synthetic primer, from 79-111, from 112- No. 1491 is a fusion gene consisting of rat IRAK-4 ORF.
- the amino acid sequence represented by the sequence of SEQ ID NO: 4 is a deduced amino acid sequence encoded by the fusion gene represented by the sequence of SEQ ID NO: 3.
- the base sequences represented by the sequences of SEQ ID NOs: 5 and 6 are artificially synthesized primer sequences.
Landscapes
- Health & Medical Sciences (AREA)
- Organic Chemistry (AREA)
- Chemical & Material Sciences (AREA)
- Medicinal Chemistry (AREA)
- Animal Behavior & Ethology (AREA)
- Veterinary Medicine (AREA)
- Chemical Kinetics & Catalysis (AREA)
- General Chemical & Material Sciences (AREA)
- Public Health (AREA)
- Nuclear Medicine, Radiotherapy & Molecular Imaging (AREA)
- General Health & Medical Sciences (AREA)
- Pharmacology & Pharmacy (AREA)
- Life Sciences & Earth Sciences (AREA)
- Engineering & Computer Science (AREA)
- Bioinformatics & Cheminformatics (AREA)
- Immunology (AREA)
- Pulmonology (AREA)
- Rheumatology (AREA)
- Urology & Nephrology (AREA)
- Diabetes (AREA)
- Dermatology (AREA)
- Physical Education & Sports Medicine (AREA)
- Pain & Pain Management (AREA)
- Oncology (AREA)
- Neurology (AREA)
- Cardiology (AREA)
- Heart & Thoracic Surgery (AREA)
- Communicable Diseases (AREA)
- Emergency Medicine (AREA)
- Obesity (AREA)
- Transplantation (AREA)
- Biomedical Technology (AREA)
- Vascular Medicine (AREA)
- Neurosurgery (AREA)
- Orthopedic Medicine & Surgery (AREA)
- Hematology (AREA)
- Endocrinology (AREA)
- Gastroenterology & Hepatology (AREA)
- Pharmaceuticals Containing Other Organic And Inorganic Compounds (AREA)
- Plural Heterocyclic Compounds (AREA)
Abstract
【課題】 インターロイキン1受容体関連キナーゼ4(IRAK-4)阻害作用に基づく、IRAK-4に関係する疾患の新規かつ優れた予防及び/又は治療方法を提供する。 【解決手段】 2位がヘテロアリール基で置換されたオキサゾールが、カルボキサミドを介してヘテロアリール環に結合することを特徴とするオキサゾールカルボン酸アミド誘導体が、IRAK-4に対する強力な阻害作用を示すこと、そして炎症性疾患、自己免疫疾患等のIRAK-4の関与する疾患の予防及び/又は治療剤となりうることを知見して本発明を完成した。
Description
本発明は医薬組成物、殊にインターロイキン1受容体関連キナーゼ4(IRAK-4)の関与する疾患の予防及び/又は治療用医薬組成物の有効成分として有用なオキサゾール化合物に関する。
インターロイキン1受容体関連キナーゼ4(IRAK-4)はプロテインキナーゼであるIRAKファミリーの1種である(Molecular cell 2003, 11(2), 293-302)。IRAK-4は、TLR-3を除くすべてのToll-like receptors(TLRs)、インターロイキン1受容体(IL-1R)及びインターロイキン18受容体(IL-18R)の下流にあるキナーゼで、これらの多様な受容体を介したシグナル伝達系(Toll/IL-1 receptorシグナル伝達系、TIRシグナル伝達系)において重要な役割を果たしている。
IRAKファミリーには、IRAK-4の他にIRAK-1、IRAK-2、IRAK-3/Mのメンバーが含まれる。IRAK-1とIRAK-4はキナーゼ活性を有しているが、IRAK-2とIRAK-3/Mは不活性型である。IRAK-4はIRAK-1をリン酸化すると考えられている。IRAK-1リン酸化反応がきっかけとなってNF-κBやMAPKを含めた下流の分子が活性化され、炎症性サイトカイン(IL-1、IL-6、IL-23、TNF-αなど)やケモカイン(IL-8、RANTESなど)、アラキドン酸代謝産物など、炎症反応に寄与するメディエーターの産生が促進される。
IRAK-4が関わるTIRシグナル伝達系は、炎症メディエーターの産生を制御することによって、病原体に対する防御や、炎症、自然免疫・獲得免疫の制御、細胞生存、増殖といった生理的反応に寄与すると考えられている。またそれだけでなく、急性・慢性炎症性疾患や自己免疫疾患など、炎症に関わりの深い病態への関与も示唆されている。この中には関節リウマチや糸球体腎炎をはじめとした慢性腎疾患など、多くの疾患が含まれる。IRAK-4ノックアウトマウスやIRAK-4キナーゼ不活性型ノックインマウス、IRAK-4欠損細胞等の解析、あるいはIRAK-4の上流・下流に存在する分子の解析から、IRAK-4を阻害することが炎症反応の抑制、さらには上記疾患の効果的な治療につながることが推察される。酵素活性を欠いたIRAK-4の変異体を発現させた動物では、関節炎の炎症反応が抑制されること(Arthritis & Rheumatism 2009, 60(6), 1661-1671)、IRAK-4直下の分子であるIRAK-1のノックアウトマウスでは腎炎発症が減弱されること(The Journal of Immunology 2006, 176(1), 632-639)が報告されている。またIRAK-4のノックアウトマウスにおいてはストレプトゾトシン誘発糖尿病モデルのアルブミン尿が減弱すること(Journal of the American Society of Nephrology 2008, SA-FC476)も報告されている。したがってIRAK-4阻害剤は急性及び慢性炎症、自己免疫疾患の治療に高い有効性を示す可能性がある。
IRAK-4阻害剤としては、ベンズイミダゾール誘導体(特許文献1)、チエノピリジンなどの二環式複素環誘導体(特許文献2)、イミダゾピリダジン誘導体(特許文献3)、インダゾール側鎖を有するベンズイミダゾール誘導体(特許文献4)、イミダゾピリジン誘導体(非特許文献2)等が報告されている。
下記式(B)(特許文献5)及び、下記式(C)(特許文献6)の化合物がtrkA受容体阻害作用を有し、下部尿路疾患及び疼痛への有用性を示すことがそれぞれ報告されている。しかし当該文献にはIRAK-4に関する活性の開示はなく、本願記載の化合物の開示もない。
(式中の記号は該公報参照。)
Bioorganic & Medicinal Chemistry Letters 2008, 18, 3211-3214
Bioorganic & Medicinal Chemistry Letters 2008, 18, 3656-3660
本発明の課題は、医薬組成物、例えばIRAK-4の関与する疾患の治療用医薬組成物の有効成分として有用な化合物の提供である。
本発明者らはIRAK-4阻害作用を有する化合物について鋭意検討した結果、本発明のオキサゾール化合物が優れたIRAK-4阻害作用を有することを知見して本発明を完成した。
即ち、本発明は式(I)の化合物又はその塩、並びに、式(I)の化合物又はその塩、及び賦形剤を含有する医薬組成物に関する。
(式中、
環Aは、単環式のヘテロアリールであり、
R1は、1~3個のR10で置換されていてもよい単環又は二環式のヘテロアリールであり、
R2は、-C(O)NH2、-C(O)NH-R0、-C(O)NH-R00-OH、-C(O)NH-R00-O-R0、-C(O)N(R0)2、-C(O)NH-シクロアルキル、-C(O)NH-ヘテロシクロアルキル、-C(O)NH-(R0で置換されていてもよいピラゾリル)、-C(O)-R0、-C(O)-シクロアルキル、-S(O)2NH2、-S(O)2NH-R0、-S(O)2NH-シクロアルキル、-R00-OH、-R00-O-R0、-R00-(モルホリン-4-イル)、フェニル、オキサジアゾリル又は、R0で置換されていてもよいテトラゾリルであり、
ここでR2におけるオキサジアゾリルは、R0、R00-OH又は、R00-O-R0で置換されていてもよく、
R3は、H、R0、ハロゲノ低級アルキル、シクロアルキル、へテロシクロアルキル、フェニル、ピリジル、ピリミジニル、ピラジニル、-C(O)N(R0)2、-R00-シクロアルキル、-R00-へテロシクロアルキル、-R00-フェニル、-R00-OH又は、-R00-O-R0であり、
ここでR3におけるシクロアルキル、ヘテロシクロアルキル、フェニル及び、ピリジルは、R0、ハロゲン、-C(O)O-R0、-C(O)-R0、-OH、-O-R0、-S(O)2-R0、-O-ハロゲノ低級アルキル、-O-R00-(モルホリン-4-イル)、-R00-OH、-R00-O-R0、モルホリン-4-イル又は、-R00-(モルホリン-4-イル)で置換されていてもよく、
R10は、同一又は互いに異なって、R0、ハロゲン、ハロゲノ低級アルキル、シクロアルキル、-O-R0、置換されていてもよいアミノ、-O-ハロゲノ低級アルキル、-R00-OH、-R00-O-R0又は、-R00-(置換されていてもよいアミノ)であり、
R0は、同一又は互いに異なって、低級アルキルであり、
R00は、同一又は互いに異なって、低級アルキレンである。)
なお、特に記載がない限り、本明細書中のある化学式中の記号が他の化学式においても用いられる場合、同一の記号は同一の意味を示す。
即ち、本発明は式(I)の化合物又はその塩、並びに、式(I)の化合物又はその塩、及び賦形剤を含有する医薬組成物に関する。
環Aは、単環式のヘテロアリールであり、
R1は、1~3個のR10で置換されていてもよい単環又は二環式のヘテロアリールであり、
R2は、-C(O)NH2、-C(O)NH-R0、-C(O)NH-R00-OH、-C(O)NH-R00-O-R0、-C(O)N(R0)2、-C(O)NH-シクロアルキル、-C(O)NH-ヘテロシクロアルキル、-C(O)NH-(R0で置換されていてもよいピラゾリル)、-C(O)-R0、-C(O)-シクロアルキル、-S(O)2NH2、-S(O)2NH-R0、-S(O)2NH-シクロアルキル、-R00-OH、-R00-O-R0、-R00-(モルホリン-4-イル)、フェニル、オキサジアゾリル又は、R0で置換されていてもよいテトラゾリルであり、
ここでR2におけるオキサジアゾリルは、R0、R00-OH又は、R00-O-R0で置換されていてもよく、
R3は、H、R0、ハロゲノ低級アルキル、シクロアルキル、へテロシクロアルキル、フェニル、ピリジル、ピリミジニル、ピラジニル、-C(O)N(R0)2、-R00-シクロアルキル、-R00-へテロシクロアルキル、-R00-フェニル、-R00-OH又は、-R00-O-R0であり、
ここでR3におけるシクロアルキル、ヘテロシクロアルキル、フェニル及び、ピリジルは、R0、ハロゲン、-C(O)O-R0、-C(O)-R0、-OH、-O-R0、-S(O)2-R0、-O-ハロゲノ低級アルキル、-O-R00-(モルホリン-4-イル)、-R00-OH、-R00-O-R0、モルホリン-4-イル又は、-R00-(モルホリン-4-イル)で置換されていてもよく、
R10は、同一又は互いに異なって、R0、ハロゲン、ハロゲノ低級アルキル、シクロアルキル、-O-R0、置換されていてもよいアミノ、-O-ハロゲノ低級アルキル、-R00-OH、-R00-O-R0又は、-R00-(置換されていてもよいアミノ)であり、
R0は、同一又は互いに異なって、低級アルキルであり、
R00は、同一又は互いに異なって、低級アルキレンである。)
なお、特に記載がない限り、本明細書中のある化学式中の記号が他の化学式においても用いられる場合、同一の記号は同一の意味を示す。
また、本発明は、式(I)の化合物又はその塩を含有するIRAK-4の関与する疾患の予防用及び/又は治療用医薬組成物、即ち、式(I)の化合物又はその塩を含有するIRAK-4の関与する疾患の予防及び/又は治療剤に関する。
また、本発明は、IRAK-4の関与する疾患の予防用及び/又は治療用医薬組成物の製造のための式(I)の化合物又はその塩の使用、並びに、IRAK-4の関与する疾患の予防及び/又は治療に使用するための式(I)の化合物又はその塩、並びに、式(I)の化合物又はその塩の有効量を対象に投与することからなるIRAK-4の関与する疾患の予防及び/又は治療方法に関する。
また、本発明は、IRAK-4の関与する疾患の予防用及び/又は治療用医薬組成物の製造のための式(I)の化合物又はその塩の使用、並びに、IRAK-4の関与する疾患の予防及び/又は治療に使用するための式(I)の化合物又はその塩、並びに、式(I)の化合物又はその塩の有効量を対象に投与することからなるIRAK-4の関与する疾患の予防及び/又は治療方法に関する。
式(I)の化合物はIRAK-4阻害作用を有し、IRAK-4の関与する疾患の予防及び/又は治療剤として使用できる。
IRAK-4に関係する疾患としては炎症性疾患又は自己免疫疾患、特に、筋骨格および結合組織疾患(関節リウマチ、変形性骨関節症、全身性エリテマトーデス、シェーグレン症候群、強皮症、痛風等)、臓器移植における拒絶反応、自己炎症性疾患(Muckle-Wells症候群等)、泌尿生殖器疾患(糖尿病性腎症、IgA腎症等の糸球体腎炎、慢性腎不全)、肝疾患(非アルコール性脂肪肝炎等)、感染症(敗血症等)、消化器系疾患(潰瘍性大腸炎、クローン病等)、皮膚炎症性疾患(アトピー性皮膚炎、乾癬等)、内分泌疾患(糖尿病等)、心血管疾患(動脈硬化等)、中枢疾患(多発性硬化症等)、呼吸器疾患(喘息、慢性閉塞性肺疾患等)および癌などが挙げられる。
本明細書において、「アルキル」とは、直鎖状のアルキル及び分枝状のアルキルを含む。従って、「低級アルキル」とは、直鎖又は分枝状の炭素数が1から6(以下C1-6と表記する)のアルキルであり、例えばメチル、エチル、n-プロピル、イソプロピル、n-ブチル、イソブチル、sec-ブチル、tert-ブチル、n-ペンチル、n-ヘキシル基等である。別の態様としては、C1-4アルキルであり、更に別の態様としては、メチル、エチル、n-プロピル、イソプロピル、n-ブチル、イソブチル、tert-ブチルであり、また更に別の態様としては、メチルである。
「アルキレン」とは、上記「アルキル」の任意の水素原子1個を除去してなる二価基である。従って、「低級アルキレン」とは、直鎖又は分枝状の炭素数がC1-6のアルキレン、例えばメチレン、エチレン、トリメチレン、テトラメチレン、ペンタメチレン、ヘキサメチレン、プロピレン、メチルメチレン、メチルエチレン、エチルエチレン、1,2-ジメチルエチレン、1,1,2,2-テトラメチルエチレン基等である。別の態様としては、C1-5アルキレンであり、更に別の態様としては、メチレン、エチレン、トリメチレン、テトラメチレン、ペンタメチレンである。
「ハロゲン」は、F、Cl、Br、Iを意味する。
「ハロゲノ低級アルキル」とは、1個以上のハロゲンで置換された低級アルキルである。別の態様としては1~5個のハロゲンで置換された低級アルキルであり、更に別の態様としてはジフルオロメチル、トリフルオロメチル、ジフルオロエチル、トリフルオロエチルである。
「シクロアルキル」とは、C3-10の飽和炭化水素環基であり、架橋を有していてもよい。例えばシクロプロピル、シクロブチル、シクロペンチル、シクロヘキシル、シクロヘプチル、シクロオクチル、シクロノニル、シクロデシル、ビシクロ[2.2.1]ヘプチル、アダマンチル基等である。別の態様としては、C3-6シクロアルキルであり、更に別の態様としては、C7-10シクロアルキルであり、更に別の態様としては、シクロプロピル、シクロブチル、シクロペンチル、シクロヘキシル、アダマンチルであり、更に別の態様としては、シクロプロピル、シクロブチル、シクロペンチル、シクロヘキシルである。
「アリール」とは、C6-14の単環~三環式芳香族炭化水素環基であり、C5-8シクロアルケンとその二重結合部位で縮合した環基を包含する。例えばフェニル、ナフチル、テトラヒドロナフタレニル、インダニル、インデニル、フルオレニル基等である。別の態様としては、フェニル、ナフチルであり、更に別の態様としては、フェニルである。
「ヘテロ環」基とは、i)酸素、硫黄及び窒素から選択されるヘテロ原子を1~4個含有する3~8員の、別の態様としては5~7員の単環ヘテロ環、並びに、ii)当該単環ヘテロ環が、単環へテロ環、ベンゼン環、C5-8シクロアルカン、及びC5-8シクロアルケンからなる群より選択される1又は2個の環と縮環又はスピロ結合により形成される、酸素、硫黄、及び窒素から選択されるヘテロ原子を1~5個含有する二~三環式ヘテロ環、から選択される環基を意味する。環原子である硫黄又は窒素が酸化されオキシドやジオキシドを形成してもよい。
「ヘテロ環」として以下の態様が挙げられる。
(1)単環式飽和へテロ環基
(a)1~4個の窒素原子を含むもの、例えばアジリジニル、アゼチジニル、ピロリジニル、ピラゾリジニル、イミダゾリジニル、ピペリジル、ピペラジニル、アゼパニル、ジアゼパニル、アゾカニル;
(b)1~3個の窒素原子、並びに1~2個の酸素原子及び/又は1~2個の硫黄原子を含むもの、例えばオキサゾリジニル、イソオキサゾリジニル、チアゾリジニル、イソチアゾリジニル、モルホリニル、チオモルホリニル、ホモモルホリニル、チアゼパニル;
(c)1~2個の酸素原子を含むもの、例えばオキシラニル、オキセタニル、テトラヒドロフラニル、テトラヒドロピラニル、ジオキソラニル、1,4-ジオキサニル;
(d)1~2個の硫黄原子を含むもの、例えばテトラヒドロチオフラニル、テトラヒドロチオピラニル;
(e)1~2個の酸素原子及び1~2個の硫黄原子を含むもの、例えばオキサチオラニル;
(1)単環式飽和へテロ環基
(a)1~4個の窒素原子を含むもの、例えばアジリジニル、アゼチジニル、ピロリジニル、ピラゾリジニル、イミダゾリジニル、ピペリジル、ピペラジニル、アゼパニル、ジアゼパニル、アゾカニル;
(b)1~3個の窒素原子、並びに1~2個の酸素原子及び/又は1~2個の硫黄原子を含むもの、例えばオキサゾリジニル、イソオキサゾリジニル、チアゾリジニル、イソチアゾリジニル、モルホリニル、チオモルホリニル、ホモモルホリニル、チアゼパニル;
(c)1~2個の酸素原子を含むもの、例えばオキシラニル、オキセタニル、テトラヒドロフラニル、テトラヒドロピラニル、ジオキソラニル、1,4-ジオキサニル;
(d)1~2個の硫黄原子を含むもの、例えばテトラヒドロチオフラニル、テトラヒドロチオピラニル;
(e)1~2個の酸素原子及び1~2個の硫黄原子を含むもの、例えばオキサチオラニル;
(2)単環式不飽和へテロ環基
(a)1~4個の窒素原子を含むもの、例えばピロリル、ピロリニル、ピラゾリル、ピラゾリニル、イミダゾリル、イミダゾリニル、トリアゾリル、テトラゾリル、ピリジル、ジヒドロピリジニル、テトラヒドロピリジニル、ピリダジニル、ピリミジニル、ジヒドロピリミジニル、ピラジニル、トリアジニル、ジヒドロトリアジニル、アゼピニル;
(b)1~3個の窒素原子、並びに1~2個の酸素原子及び/又は1~2個の硫黄原子を含むもの、例えばオキサゾリル、イソオキサゾリル、チアゾリル、イソチアゾリル、オキサジアゾリル、チアジアゾリル、ジヒドロチアジニル、オキサジニル;
(c)1~2個の酸素原子を含むもの、例えばフリル、ジオキソリル、ピラニル、オキセピニル;
(d)1~2個の硫黄原子を含むもの、例えばチエニル、ジヒドロチオフェニル、ジヒドロジチオピラニル、ジヒドロジチオニル、チエピニル;
(e)1~2個の酸素原子及び1~2個の硫黄原子を含むもの、例えばジヒドロオキサチオピラニル;
(a)1~4個の窒素原子を含むもの、例えばピロリル、ピロリニル、ピラゾリル、ピラゾリニル、イミダゾリル、イミダゾリニル、トリアゾリル、テトラゾリル、ピリジル、ジヒドロピリジニル、テトラヒドロピリジニル、ピリダジニル、ピリミジニル、ジヒドロピリミジニル、ピラジニル、トリアジニル、ジヒドロトリアジニル、アゼピニル;
(b)1~3個の窒素原子、並びに1~2個の酸素原子及び/又は1~2個の硫黄原子を含むもの、例えばオキサゾリル、イソオキサゾリル、チアゾリル、イソチアゾリル、オキサジアゾリル、チアジアゾリル、ジヒドロチアジニル、オキサジニル;
(c)1~2個の酸素原子を含むもの、例えばフリル、ジオキソリル、ピラニル、オキセピニル;
(d)1~2個の硫黄原子を含むもの、例えばチエニル、ジヒドロチオフェニル、ジヒドロジチオピラニル、ジヒドロジチオニル、チエピニル;
(e)1~2個の酸素原子及び1~2個の硫黄原子を含むもの、例えばジヒドロオキサチオピラニル;
(3)縮合多環式飽和へテロ環基
(a)1~5個の窒素原子を含むもの、例えばキヌクリジニル、7-アザビシクロ[2.2.1]ヘプチル;
(b)1~4個の窒素原子、並びに1~3個の酸素原子及び/又は1~3個の硫黄原子を含むもの、例えば2-オキサ-5-アザビシクロ[2.2.1]ヘプチル、トリチアジアザインデニル、ジオキソロイミダゾリジニル;
(c)1~3個の酸素原子及び/又は1~3個の硫黄原子を含むもの、例えばオキサビシクロ[2.2.1]ヘプチル、2,6-ジオキサビシクロ[3.2.2]オクチル;
(a)1~5個の窒素原子を含むもの、例えばキヌクリジニル、7-アザビシクロ[2.2.1]ヘプチル;
(b)1~4個の窒素原子、並びに1~3個の酸素原子及び/又は1~3個の硫黄原子を含むもの、例えば2-オキサ-5-アザビシクロ[2.2.1]ヘプチル、トリチアジアザインデニル、ジオキソロイミダゾリジニル;
(c)1~3個の酸素原子及び/又は1~3個の硫黄原子を含むもの、例えばオキサビシクロ[2.2.1]ヘプチル、2,6-ジオキサビシクロ[3.2.2]オクチル;
(4)縮合多環式不飽和へテロ環基
(a)1~5個の窒素原子を含むもの、例えばインドリル、インドリニル、イソインドリル、イソインドリニル、インドリジニル、インダゾリル、ジヒドロインダゾリル、ベンズイミダゾリル、ジヒドロベンズイミダゾリル、テトラヒドロベンズイミダゾリル、ピロロピリジニル、ジヒドロピロロピラジニル、ピラゾロピリジニル、テトラヒドロピラゾロピリジニル、イミダゾピリジニル、テトラヒドロイミダゾピリジニル、ベンゾトリアゾリル、プリニル、キノリル、テトラヒドロキノリニル、イソキノリニル、テトラヒドロイソキノリニル、キノリジニル、シンノリニル、フタラジニル、キナゾリニル、キノキサリニル、ジヒドロキノキサリニル、テトラヒドロキノキサリニル、ナフチリジニル、カルバゾリル、アクリジニル、テトラゾロピリダジニル;
(b)1~4個の窒素原子、並びに1~3個の酸素原子及び/又は1~3個の硫黄原子を含むもの、例えばベンズオキサゾリル、ジヒドロベンズオキサゾリル、ベンズイソオキサゾリル、ベンズオキサジアゾリル、ベンゾチアゾリル、ジヒドロベンゾチアゾリル、ベンズイソチアゾリル、ベンゾチアジアゾリル、チエノピリジニル、ジヒドロベンズオキサジニル、フェノキサジニル、フェノチアジニル;
(c)1~3個の酸素原子を含むもの、例えばベンゾフラニル、ジヒドロベンゾフラニル、イソベンゾフラニル、ベンゾジオキソリル、クロメニル、クロマニル、エチレンジオキシフェニル、キサンテニル、ジベンゾ[b,d]フラニル;
(d)1~3個の硫黄原子を含むもの、例えばベンゾチオフェニル、ベンゾジチオピラニル、ジベンゾ[b,d]チオフェニル;
(e)1~3個の酸素原子及び1~3個の硫黄原子を含むもの、例えばベンゾオキサチオピラニル;
など。
(a)1~5個の窒素原子を含むもの、例えばインドリル、インドリニル、イソインドリル、イソインドリニル、インドリジニル、インダゾリル、ジヒドロインダゾリル、ベンズイミダゾリル、ジヒドロベンズイミダゾリル、テトラヒドロベンズイミダゾリル、ピロロピリジニル、ジヒドロピロロピラジニル、ピラゾロピリジニル、テトラヒドロピラゾロピリジニル、イミダゾピリジニル、テトラヒドロイミダゾピリジニル、ベンゾトリアゾリル、プリニル、キノリル、テトラヒドロキノリニル、イソキノリニル、テトラヒドロイソキノリニル、キノリジニル、シンノリニル、フタラジニル、キナゾリニル、キノキサリニル、ジヒドロキノキサリニル、テトラヒドロキノキサリニル、ナフチリジニル、カルバゾリル、アクリジニル、テトラゾロピリダジニル;
(b)1~4個の窒素原子、並びに1~3個の酸素原子及び/又は1~3個の硫黄原子を含むもの、例えばベンズオキサゾリル、ジヒドロベンズオキサゾリル、ベンズイソオキサゾリル、ベンズオキサジアゾリル、ベンゾチアゾリル、ジヒドロベンゾチアゾリル、ベンズイソチアゾリル、ベンゾチアジアゾリル、チエノピリジニル、ジヒドロベンズオキサジニル、フェノキサジニル、フェノチアジニル;
(c)1~3個の酸素原子を含むもの、例えばベンゾフラニル、ジヒドロベンゾフラニル、イソベンゾフラニル、ベンゾジオキソリル、クロメニル、クロマニル、エチレンジオキシフェニル、キサンテニル、ジベンゾ[b,d]フラニル;
(d)1~3個の硫黄原子を含むもの、例えばベンゾチオフェニル、ベンゾジチオピラニル、ジベンゾ[b,d]チオフェニル;
(e)1~3個の酸素原子及び1~3個の硫黄原子を含むもの、例えばベンゾオキサチオピラニル;
など。
「含窒素へテロ環」とは、上記の「へテロ環」のうち(1)-(a)、(1)-(b)、(2)-(a)、(2)-(b)、(3)-(a)、(3)-(b)、(4)-(a)、及び(4)-(b)等のように、少なくとも1個の窒素原子を含むものを言う。
「ヘテロアリール」とは、上記の「へテロ環」の(2)のうち芳香環の環基、若しくは(4)のうち少なくとも一つの芳香環を構成要素に持つへテロ環基であり、ある態様としては、環を構成する炭素原子に結合手を有する基を意味する。
例えばピロリル、ピラゾリル、イミダゾリル、トリアゾリル、テトラゾリル、ピリジル、ピリダジニル、ピリミジニル、ピラジニル、トリアジニル、オキサゾリル、イソオキサゾリル、チアゾリル、イソチアゾリル、オキサジアゾリル、チアジアゾリル、フリル、チエニル等の単環式ヘテロアリール;
インドリル、インドリニル、イソインドリル、イソインドリニル、インドリジニル、インダゾリル、ベンズイミダゾリル、ピロロピリジニル、ピラゾロピリジニル、イミダゾピリジニル、ベンゾトリアゾリル、プリニル、ベンゾジオキソリル、キノリル、テトラヒドロキノリニル、イソキノリニル、テトラヒドロイソキノリニル、キノリジニル、シンノリニル、フタラジニル、キナゾリニル、キノキサリニル、ナフチリジニル、ベンズオキサゾリル、ベンズイソオキサゾリル、ベンズオキサジアゾリル、ベンゾチアゾリル、ベンズイソチアゾリル、ベンゾチアジアゾリル、チエノピリジニル、ベンゾフラニル、ジヒドロベンゾフラニル、イソベンゾフラニル、ベンゾジオキソリル、クロメニル、クロマニル、エチレンジオキシフェニル、ベンゾチオフェニル、ベンゾジチオピラニル、ベンゾオキサチオピラニル等の二環式ヘテロアリール;
カルバゾリル、アクリジニル、ジベンゾ[b,d]フラニル、ジベンゾ[b,d]チオフェニル、フェノキサジニル、フェノチアジニル等の三環式ヘテロアリールであり;
別の態様としては、ピラゾリル、テトラゾリル、ピリジル、ピリダジニル、ピリミジニル、ピラジニル、オキサゾリル、チアゾリル、オキサジアゾリル、フリル、チエニル、インドリル、インダゾリル、ベンズイミダゾリル、ピロロピリジニル、イミダゾピリジニル、キノリル、ベンズオキサゾリル、ジヒドロベンゾフラニル、ベンゾジオキソリルであり;
更に別の態様としては、ピラゾリル、ピリジル、ピリダジニル、ピリミジニル、フリル、チエニル、インドリル、インダゾリル、ベンズイミダゾリル、ピロロピリジニル、イミダゾピリジニル、キノリル、ベンズオキサゾリル、ジヒドロベンゾフラニル、ベンゾジオキソリルであり;
また更に別の態様としては、ピラゾリル、ピリジル、オキサゾリル、チアゾリル、チエニルである。
例えばピロリル、ピラゾリル、イミダゾリル、トリアゾリル、テトラゾリル、ピリジル、ピリダジニル、ピリミジニル、ピラジニル、トリアジニル、オキサゾリル、イソオキサゾリル、チアゾリル、イソチアゾリル、オキサジアゾリル、チアジアゾリル、フリル、チエニル等の単環式ヘテロアリール;
インドリル、インドリニル、イソインドリル、イソインドリニル、インドリジニル、インダゾリル、ベンズイミダゾリル、ピロロピリジニル、ピラゾロピリジニル、イミダゾピリジニル、ベンゾトリアゾリル、プリニル、ベンゾジオキソリル、キノリル、テトラヒドロキノリニル、イソキノリニル、テトラヒドロイソキノリニル、キノリジニル、シンノリニル、フタラジニル、キナゾリニル、キノキサリニル、ナフチリジニル、ベンズオキサゾリル、ベンズイソオキサゾリル、ベンズオキサジアゾリル、ベンゾチアゾリル、ベンズイソチアゾリル、ベンゾチアジアゾリル、チエノピリジニル、ベンゾフラニル、ジヒドロベンゾフラニル、イソベンゾフラニル、ベンゾジオキソリル、クロメニル、クロマニル、エチレンジオキシフェニル、ベンゾチオフェニル、ベンゾジチオピラニル、ベンゾオキサチオピラニル等の二環式ヘテロアリール;
カルバゾリル、アクリジニル、ジベンゾ[b,d]フラニル、ジベンゾ[b,d]チオフェニル、フェノキサジニル、フェノチアジニル等の三環式ヘテロアリールであり;
別の態様としては、ピラゾリル、テトラゾリル、ピリジル、ピリダジニル、ピリミジニル、ピラジニル、オキサゾリル、チアゾリル、オキサジアゾリル、フリル、チエニル、インドリル、インダゾリル、ベンズイミダゾリル、ピロロピリジニル、イミダゾピリジニル、キノリル、ベンズオキサゾリル、ジヒドロベンゾフラニル、ベンゾジオキソリルであり;
更に別の態様としては、ピラゾリル、ピリジル、ピリダジニル、ピリミジニル、フリル、チエニル、インドリル、インダゾリル、ベンズイミダゾリル、ピロロピリジニル、イミダゾピリジニル、キノリル、ベンズオキサゾリル、ジヒドロベンゾフラニル、ベンゾジオキソリルであり;
また更に別の態様としては、ピラゾリル、ピリジル、オキサゾリル、チアゾリル、チエニルである。
「ヘテロシクロアルキル」とは、上記の「へテロ環」の(1)及び(3)のように、環原子間の結合が単結合のみからなるヘテロ環基であり、ある態様としては、環を構成する炭素原子に結合手を有する基を意味する。例えばアジリジニル、アゼチジニル、ピロリジニル、ピラゾリジニル、イミダゾリジニル、ピペリジル、ピペラジニル、アゼパニル、ジアゼパニル、アゾカニル、オキサゾリジニル、イソオキサゾリジニル、チアゾリジニル、イソチアゾリジニル、モルホリニル、チオモルホリニル、ホモモルホリニル、チアゼパニル、オキシラニル、オキセタニル、テトラヒドロフラニル、テトラヒドロピラニル、ジオキソラニル、1,4-ジオキサニル、テトラヒドロチオフラニル、テトラヒドロチオピラニル、オキサチオラニル、キヌクリジニル、7-アザビシクロ[2.2.1]ヘプチル、2-オキサ-5-アザビシクロ[2.2.1]ヘプチル、トリチアジアザインデニル、ジオキソロイミダゾリジニル、オキサビシクロ[2.2.1]ヘプチル、2,6-ジオキサビシクロ[3.2.2]オクチルであり、別の態様としては、アゼチジニル、ピロリジニル、ピペリジル、アゼパニル、テトラヒドロフラニル、テトラヒドロピラニル、ジオキソラニル、1,4-ジオキサニル、テトラヒドロチオフラニル、テトラヒドロチオピラニルであり、更に別の態様としては、アゼチジニル、ピペリジル、オキセタニル、テトラヒドロフラニル、テトラヒドロピラニル、ジオキソラニル、テトラヒドロチオピラニルである。
「置換されていてもよいアミノ」とは、NH2、あるいは1又は2個の任意の基で置換されたアミノ基を意味し、環を構成する窒素原子に結合手を有する「ヘテロアリール」及び「ヘテロシクロアルキル」を包含する。ここで「ヘテロアリール」及び「ヘテロシクロアルキル」は置換されていてもよい。
上記の「1又は2個の任意の基で置換されたアミノ基」における置換基のある態様としては、R0、ハロゲノ低級アルキル、シクロアルキル、ヘテロシクロアルキル、-C(O)O-R0、-C(O)-R0、-C(O)-ハロゲノ低級アルキル、-R00-シクロアルキル、-R00-へテロシクロアルキル、-R00-フェニル、-R00-ヘテロアリール、-R00-C(O)OH、-R00-C(O)O-R0、-R00-シアノ、-R00-OH、-R00-O-R0及び、-R00-S(O)2-R0からなる群より選択される基であり、ここでシクロアルキルは、ハロゲン、オキソ、-OH又は、-O-R0で置換されていてもよく、ヘテロシクロアルキルは、R0又は-OHで置換されていてもよく、フェニルはハロゲン又は-O-ハロゲノ低級アルキルで置換されていてもよい。
環を構成する窒素原子に結合手を有する「ヘテロアリール」及び「ヘテロシクロアルキル」のある態様としては、1-アジリジニル、1-アゼチジニル、1-ピロリジニル、1-ピラゾリジニル、1-イミダゾリジニル、1-ピペリジル、1-ピペラジニル、1-アゼパニル、1-ジアゼパニル、1-アゾカニル、3-オキサゾリジニル、2-イソオキサゾリジニル、3-チアゾリジニル、2-イソチアゾリジニル、4-モルホリニル、4-チオモルホリニル、4-ホモモルホリニル、4-チアゼパニル、1-ピロリル、1-ピラゾリル、1-イミダゾリル、1-トリアゾリル、1-テトラゾリル、1-インドリル、1-インドリニル、2-イソインドリル、2-イソインドリニル、1-インダゾリル、1-ベンズイミダゾリル、1-ベンゾトリアゾリル、1,2,3,4-テトラヒドロキノリン-1-イル、1,2,3,4-テトラヒドロイソキノリン-2-イル、9-カルバゾリル、10-フェノキサジニル、10-フェノチアジニルであり、別の態様としては、1-ピロリジニル、1-ピペリジル、1-ピペラジニル、1-アゼパニル、1-ジアゼパニル、4-モルホリニル、4-ホモモルホリニル、1-ピラゾリル、1-イミダゾリル、1-トリアゾリル、1-インドリニル、2-イソインドリニル、1-ベンズイミダゾリル、1,2,3,4-テトラヒドロキノリン-1-イル、1,2,3,4-テトラヒドロイソキノリン-2-イルであり、更に別の態様としては、1-ピロリジニル、1-ピペリジル、1-ピペラジニル、1-アゼパニル、1-ジアゼパニル、4-モルホリニル、4-ホモモルホリニルであり、また更に別の態様としては、1-ピロリジニル、1-ピペリジル又は4-モルホリニルである。
また、環を構成する窒素原子に結合手を有する「ヘテロアリール」及び「ヘテロシクロアルキル」における置換基のある態様としては、R0、ハロゲン、ハロゲノ低級アルキル、-OH、-O-R0、-R00-OH及び、-R00-O-R0からなる群より選択される基である。
本明細書において「置換されていてもよい」とは、無置換又は、置換基を1から5個有していることを意味する。ある態様としては、無置換又は、置換基を1から3個有しており、別の態様としては、無置換又は、置換基を1個有しており、更に別の態様としては、無置換であり、また更に別の態様としては、置換基を1個有している。なお、複数個の置換基を有する場合、それらの置換基は同一であっても、互いに異なっていてもよい。
本発明の式(I)の化合物のある態様としては、式(II)、(III)又は、(IV)の化合物、別の態様としては、式(II)の化合物、更に別の態様としては、式(III)の化合物、また更に別の態様としては、式(IV)の化合物である。
(式中、
R2aは、-C(O)NH2、-C(O)NH-R0、-C(O)NH-シクロアルキル、-C(O)-R0、-C(O)-シクロアルキル、-S(O)2NH2、-S(O)2NH-R0、オキサジアゾリル又は、R0で置換されていてもよいテトラゾリルであり、
ここでR2aにおけるオキサジアゾリルは、R0、-R00-OH又は、-R00-O-R0で置換されていてもよく、
R3aは、H、R0、シクロアルキル、へテロシクロアルキル、フェニル、ピリジル、-R00-シクロアルキル、-R00-へテロシクロアルキル、-R00-OH又は、-R00-O-R0であり、
ここでR3aにおけるシクロアルキル、ヘテロシクロアルキル、フェニル及び、ピリジルは、R0、ハロゲン、-C(O)-R0、-OH又は、-O-R0で置換されていてもよい。)
(式中、
R2bは、-C(O)NH2、-C(O)NH-R0、-C(O)NH-シクロアルキル、-C(O)-R0、-C(O)-シクロアルキル、-S(O)2NH2、-S(O)2NH-R0、オキサジアゾリル又は、R0で置換されていてもよいテトラゾリルであり、
ここでR2bにおけるオキサジアゾリルは、R0、-R00-OH又は、-R00-O-R0で置換されていてもよく、
R3bは、H、R0、シクロアルキル、へテロシクロアルキル、フェニル、ピリジル、-R00-シクロアルキル、-R00-へテロシクロアルキル、-R00-OH又は、-R00-O-R0であり、
ここでR3bにおけるシクロアルキル、ヘテロシクロアルキル、フェニル及び、ピリジルは、R0、ハロゲン、-C(O)-R0、-OH又は、-O-R0で置換されていてもよい。)
(式中、
R2cは、-C(O)NH2、-C(O)NH-R0、-C(O)NH-シクロアルキル、-C(O)-R0、-C(O)-シクロアルキル、-S(O)2NH2、-S(O)2NH-R0、オキサジアゾリル又は、R0で置換されていてもよいテトラゾリルであり、
ここでR2cにおけるオキサジアゾリルは、R0、-R00-OH又は、-R00-O-R0で置換されていてもよく、
R3cは、H、R0、シクロアルキル、へテロシクロアルキル、フェニル、ピリジル、-R00-シクロアルキル、-R00-へテロシクロアルキル、-R00-OH又は、-R00-O-R0であり、
ここでR3cにおけるシクロアルキル、ヘテロシクロアルキル、フェニル及び、ピリジルは、R0、ハロゲン、-C(O)-R0、-OH又は、-O-R0で置換されていてもよい。)
R2aは、-C(O)NH2、-C(O)NH-R0、-C(O)NH-シクロアルキル、-C(O)-R0、-C(O)-シクロアルキル、-S(O)2NH2、-S(O)2NH-R0、オキサジアゾリル又は、R0で置換されていてもよいテトラゾリルであり、
ここでR2aにおけるオキサジアゾリルは、R0、-R00-OH又は、-R00-O-R0で置換されていてもよく、
R3aは、H、R0、シクロアルキル、へテロシクロアルキル、フェニル、ピリジル、-R00-シクロアルキル、-R00-へテロシクロアルキル、-R00-OH又は、-R00-O-R0であり、
ここでR3aにおけるシクロアルキル、ヘテロシクロアルキル、フェニル及び、ピリジルは、R0、ハロゲン、-C(O)-R0、-OH又は、-O-R0で置換されていてもよい。)
R2bは、-C(O)NH2、-C(O)NH-R0、-C(O)NH-シクロアルキル、-C(O)-R0、-C(O)-シクロアルキル、-S(O)2NH2、-S(O)2NH-R0、オキサジアゾリル又は、R0で置換されていてもよいテトラゾリルであり、
ここでR2bにおけるオキサジアゾリルは、R0、-R00-OH又は、-R00-O-R0で置換されていてもよく、
R3bは、H、R0、シクロアルキル、へテロシクロアルキル、フェニル、ピリジル、-R00-シクロアルキル、-R00-へテロシクロアルキル、-R00-OH又は、-R00-O-R0であり、
ここでR3bにおけるシクロアルキル、ヘテロシクロアルキル、フェニル及び、ピリジルは、R0、ハロゲン、-C(O)-R0、-OH又は、-O-R0で置換されていてもよい。)
R2cは、-C(O)NH2、-C(O)NH-R0、-C(O)NH-シクロアルキル、-C(O)-R0、-C(O)-シクロアルキル、-S(O)2NH2、-S(O)2NH-R0、オキサジアゾリル又は、R0で置換されていてもよいテトラゾリルであり、
ここでR2cにおけるオキサジアゾリルは、R0、-R00-OH又は、-R00-O-R0で置換されていてもよく、
R3cは、H、R0、シクロアルキル、へテロシクロアルキル、フェニル、ピリジル、-R00-シクロアルキル、-R00-へテロシクロアルキル、-R00-OH又は、-R00-O-R0であり、
ここでR3cにおけるシクロアルキル、ヘテロシクロアルキル、フェニル及び、ピリジルは、R0、ハロゲン、-C(O)-R0、-OH又は、-O-R0で置換されていてもよい。)
本発明のある態様を以下に示す。
(1)式(I)中のA環のある態様としては、ピラゾリル又はチアゾリルであり、別の態様としては、ピラゾリルであり、更に別の態様としては、チアゾリルである。
(2)R1のある態様としては、それぞれ1~3個のR10で置換されていてもよいピリジル、ピリダジニル、ピリミジニル、フリル、チエニル、インダゾリル、ベンズイミダゾリル、ピロロピリジニル、イミダゾピリジニル、キノリル又は、ベンズオキサゾリルであり、別の態様としては、それぞれ1~3個のR10で置換されていてもよいピリジル又は、キノリルであり、更に別の態様としては、それぞれ1~3個のR10で置換されていてもよいピリジン-4-イル又は、キノリン-4-イルであり、更に別の態様としては、1~3個のR10で置換されていてもよいピリジン-4-イルであり、更に別の態様としては、2位及び6位がR10で置換されたピリジン-4-イルであり、また更に別の態様としては、2位がR10で置換されたピリジン-4-イルである。
(3)R2、R2a、R2b及び、R2cのある態様としては、-C(O)NH2、-C(O)NH-R0、-S(O)2NH2又は、5-(メトキシメチル)-1,3,4-オキサジアゾール-2-イルであり、別の態様としては、-C(O)NH2又は、-C(O)NH-R0であり、更に別の態様としては、-C(O)NH2である。
(4)R3、R3a、R3b及びR3cのある態様としては、R0、へテロシクロアルキル、フェニル、ピリジル、-R00-へテロシクロアルキル、-R00-OH又は、-R00-O-R0であり、ここでヘテロシクロアルキル、フェニル及び、ピリジルは、R0、ハロゲン又は、-O-R0からなる群より選択される基で置換されていてもよく、別の態様としては、R0、へテロシクロアルキル、ピリジル、-R00-へテロシクロアルキル又は、-R00-O-R0であり、更に別の態様としては、R0であり、更に別の態様としては、-R00-O-R0であり、更に別の態様としては、ヘテロシクロアルキルであり、更に別の態様としては、-R00-へテロシクロアルキルであり、更に別の態様としては、R0、ハロゲン又は、-O-R0からなる群より選択される基で置換されていてもよいフェニルであり、更に別の態様としては、R0、ハロゲン又は、-O-R0からなる群より選択される基で置換されていてもよいピリジルであり、更に別の態様としては、メチルであり、更に別の態様としては、メトキシエチルであり、更に別の態様としては、テトラヒドロピラニルであり、更に別の態様としては、テトラヒドロフラニルメチルであり、また更に別の態様としては、メトキシ基で置換されていてもよいフェニルである。
(5)R10のある態様としては、R0、ハロゲン、置換されていてもよいアミノ又は、-R00-(置換されていてもよいアミノ)であり、別の態様としてはR0であり、更に別の態様としてはハロゲンであり、更に別の態様としては、置換されていてもよいアミノであり、また更に別の態様としては、メチルである。
(6)R10における「置換されていてもよいアミノ」のある態様としては、(i)-NH2、(ii)1若しくは2個のR0、ハロゲノ低級アルキル、シクロアルキル、へテロシクロアルキル、-C(O)-R0、-C(O)-ハロゲノ低級アルキル、-R00-シクロアルキル、-R00-へテロシクロアルキル、-R00-OH及び、-R00-O-R0からなる群より選択される基で置換されたアミノ又は、(iii)1-ピロリジニル若しくは、4-モルホリニルであり、別の態様としては、(iv)NH2、(v)1若しくは2個のR0、ハロゲノ低級アルキル、シクロアルキル、-R00-シクロアルキル及び、-R00-O-R0からなる群より選択される基で置換されたアミノ又は、(vi)4-モルホリニルであり、更に別の態様としては、-NH2であり、更に別の態様としては、1若しくは2個のR0、ハロゲノ低級アルキル、シクロアルキル、-R00-シクロアルキル及び、-R00-O-R0からなる群より選択される基で置換されたアミノであり、更に別の態様としては、4-モルホリニルであり、更に別の態様としては、メトキシエチル、シクロプロピルメチル、2,2,2-トリフルオロエチルからなる群より選択される基で置換されていてもよいアミノであり、更に別の態様としては、メトキシエチルアミノであり、更に別の態様としては、シクロプロピルメチルアミノであり、また更に別の態様としては、2,2,2-トリフルオロエチルアミノである。
(7)上記(1)~(6)に記載の基の二以上の組み合わせである化合物又はその塩。
(1)式(I)中のA環のある態様としては、ピラゾリル又はチアゾリルであり、別の態様としては、ピラゾリルであり、更に別の態様としては、チアゾリルである。
(2)R1のある態様としては、それぞれ1~3個のR10で置換されていてもよいピリジル、ピリダジニル、ピリミジニル、フリル、チエニル、インダゾリル、ベンズイミダゾリル、ピロロピリジニル、イミダゾピリジニル、キノリル又は、ベンズオキサゾリルであり、別の態様としては、それぞれ1~3個のR10で置換されていてもよいピリジル又は、キノリルであり、更に別の態様としては、それぞれ1~3個のR10で置換されていてもよいピリジン-4-イル又は、キノリン-4-イルであり、更に別の態様としては、1~3個のR10で置換されていてもよいピリジン-4-イルであり、更に別の態様としては、2位及び6位がR10で置換されたピリジン-4-イルであり、また更に別の態様としては、2位がR10で置換されたピリジン-4-イルである。
(3)R2、R2a、R2b及び、R2cのある態様としては、-C(O)NH2、-C(O)NH-R0、-S(O)2NH2又は、5-(メトキシメチル)-1,3,4-オキサジアゾール-2-イルであり、別の態様としては、-C(O)NH2又は、-C(O)NH-R0であり、更に別の態様としては、-C(O)NH2である。
(4)R3、R3a、R3b及びR3cのある態様としては、R0、へテロシクロアルキル、フェニル、ピリジル、-R00-へテロシクロアルキル、-R00-OH又は、-R00-O-R0であり、ここでヘテロシクロアルキル、フェニル及び、ピリジルは、R0、ハロゲン又は、-O-R0からなる群より選択される基で置換されていてもよく、別の態様としては、R0、へテロシクロアルキル、ピリジル、-R00-へテロシクロアルキル又は、-R00-O-R0であり、更に別の態様としては、R0であり、更に別の態様としては、-R00-O-R0であり、更に別の態様としては、ヘテロシクロアルキルであり、更に別の態様としては、-R00-へテロシクロアルキルであり、更に別の態様としては、R0、ハロゲン又は、-O-R0からなる群より選択される基で置換されていてもよいフェニルであり、更に別の態様としては、R0、ハロゲン又は、-O-R0からなる群より選択される基で置換されていてもよいピリジルであり、更に別の態様としては、メチルであり、更に別の態様としては、メトキシエチルであり、更に別の態様としては、テトラヒドロピラニルであり、更に別の態様としては、テトラヒドロフラニルメチルであり、また更に別の態様としては、メトキシ基で置換されていてもよいフェニルである。
(5)R10のある態様としては、R0、ハロゲン、置換されていてもよいアミノ又は、-R00-(置換されていてもよいアミノ)であり、別の態様としてはR0であり、更に別の態様としてはハロゲンであり、更に別の態様としては、置換されていてもよいアミノであり、また更に別の態様としては、メチルである。
(6)R10における「置換されていてもよいアミノ」のある態様としては、(i)-NH2、(ii)1若しくは2個のR0、ハロゲノ低級アルキル、シクロアルキル、へテロシクロアルキル、-C(O)-R0、-C(O)-ハロゲノ低級アルキル、-R00-シクロアルキル、-R00-へテロシクロアルキル、-R00-OH及び、-R00-O-R0からなる群より選択される基で置換されたアミノ又は、(iii)1-ピロリジニル若しくは、4-モルホリニルであり、別の態様としては、(iv)NH2、(v)1若しくは2個のR0、ハロゲノ低級アルキル、シクロアルキル、-R00-シクロアルキル及び、-R00-O-R0からなる群より選択される基で置換されたアミノ又は、(vi)4-モルホリニルであり、更に別の態様としては、-NH2であり、更に別の態様としては、1若しくは2個のR0、ハロゲノ低級アルキル、シクロアルキル、-R00-シクロアルキル及び、-R00-O-R0からなる群より選択される基で置換されたアミノであり、更に別の態様としては、4-モルホリニルであり、更に別の態様としては、メトキシエチル、シクロプロピルメチル、2,2,2-トリフルオロエチルからなる群より選択される基で置換されていてもよいアミノであり、更に別の態様としては、メトキシエチルアミノであり、更に別の態様としては、シクロプロピルメチルアミノであり、また更に別の態様としては、2,2,2-トリフルオロエチルアミノである。
(7)上記(1)~(6)に記載の基の二以上の組み合わせである化合物又はその塩。
本発明の式(I)~(IV)の化合物のある態様としては、上記(7)に記載したように、(1)から(6)に記載の基の二以上の組み合わせからなる化合物又はその塩が挙げられ、具体的には、例えば以下の組み合わせが挙げられる。
(8)R1が2位がR10で置換されたピリジン-4-イルであり、R2aが-C(O)NH2であり、R3aがR0、へテロシクロアルキル、ピリジル、-R00-へテロシクロアルキル又は、-R00-O-R0である式(II)の化合物。
(9)R1が2位がR10で置換されたピリジン-4-イルであり、R2bが-C(O)NH2であり、R3bがR0である式(III)の化合物。
(10)R1が2位がR10で置換されたピリジン-4-イルであり、R2cが-C(O)NH2であり、R3cがR0である式(IV)の化合物。
(8)R1が2位がR10で置換されたピリジン-4-イルであり、R2aが-C(O)NH2であり、R3aがR0、へテロシクロアルキル、ピリジル、-R00-へテロシクロアルキル又は、-R00-O-R0である式(II)の化合物。
(9)R1が2位がR10で置換されたピリジン-4-イルであり、R2bが-C(O)NH2であり、R3bがR0である式(III)の化合物。
(10)R1が2位がR10で置換されたピリジン-4-イルであり、R2cが-C(O)NH2であり、R3cがR0である式(IV)の化合物。
本発明に包含される具体的化合物の例として、以下の化合物が挙げられる。
2-(2-アミノピリジン-4-イル)-N-(3-カルバモイル-1-メチル-1H-ピラゾール-4-イル)-1,3-オキサゾール-4-カルボキサミド、
N-(3-カルバモイル-1-メチル-1H-ピラゾール-4-イル)-2-(2-メチルピリジン-4-イル)-1,3-オキサゾール-4-カルボキサミド、
2-(2-アミノピリジン-4-イル)-N-[3-カルバモイル-1-(2-メトキシエチル)-1H-ピラゾール-4-イル]-1,3-オキサゾール-4-カルボキサミド、
N-[3-カルバモイル-1-(テトラヒドロ-2H-ピラン-4-イル)-1H-ピラゾール-4-イル]-2-(2-メチルピリジン-4-イル)-1,3-オキサゾール-4-カルボキサミド、
N-(3-カルバモイル-1-メチル-1H-ピラゾール-4-イル)-2-{2-[(2-メトキシエチル)アミノ]ピリジン-4-イル}-1,3-オキサゾール-4-カルボキサミド、
N-(3-カルバモイル-1-メチル-1H-ピラゾール-4-イル)-2-{2-[(シクロプロピルメチル)アミノ]ピリジン-4-イル}-1,3-オキサゾール-4-カルボキサミド、
N-{3-カルバモイル-1-[(2S)-テトラヒドロフラン-2-イルメチル]-1H-ピラゾール-4-イル}-2-(2-メチルピリジン-4-イル)-1,3-オキサゾール-4-カルボキサミド、
N-{3-カルバモイル-1-[(2S)-テトラヒドロフラン-2-イルメチル]-1H-ピラゾール-4-イル}-2-{2-[(シクロプロピルメチル)アミノ]ピリジン-4-イル}-1,3-オキサゾール-4-カルボキサミド、
N-{3-カルバモイル-1-[(3R)-テトラヒドロフラン-3-イルメチル]-1H-ピラゾール-4-イル}-2-(2-メチルピリジン-4-イル)-1,3-オキサゾール-4-カルボキサミド、
2-(2-アミノピリジン-4-イル)-N-[3-カルバモイル-1-(3-メトキシフェニル)-1H-ピラゾール-4-イル]-1,3-オキサゾール-4-カルボキサミド、
N-[3-カルバモイル-1-(ピリジン-3-イル)-1H-ピラゾール-4-イル]-2-{2-[(2,2,2-トリフルオロエチル)アミノ]ピリジン-4-イル}-1,3-オキサゾール-4-カルボキサミド、
N-{3-カルバモイル-1-[(3S)-テトラヒドロフラン-3-イルメチル]-1H-ピラゾール-4-イル}-2-{2-[(2,2,2-トリフルオロエチル)アミノ]ピリジン-4-イル}-1,3-オキサゾール-4-カルボキサミド及び、
N-{3-カルバモイル-1-[(3S)-テトラヒドロフラン-3-イルメチル]-1H-ピラゾール-4-イル}-2-{2-[(シクロプロピルメチル)アミノ]ピリジン-4-イル}-1,3-オキサゾール-4-カルボキサミド、
並びにこれらの塩。
2-(2-アミノピリジン-4-イル)-N-(3-カルバモイル-1-メチル-1H-ピラゾール-4-イル)-1,3-オキサゾール-4-カルボキサミド、
N-(3-カルバモイル-1-メチル-1H-ピラゾール-4-イル)-2-(2-メチルピリジン-4-イル)-1,3-オキサゾール-4-カルボキサミド、
2-(2-アミノピリジン-4-イル)-N-[3-カルバモイル-1-(2-メトキシエチル)-1H-ピラゾール-4-イル]-1,3-オキサゾール-4-カルボキサミド、
N-[3-カルバモイル-1-(テトラヒドロ-2H-ピラン-4-イル)-1H-ピラゾール-4-イル]-2-(2-メチルピリジン-4-イル)-1,3-オキサゾール-4-カルボキサミド、
N-(3-カルバモイル-1-メチル-1H-ピラゾール-4-イル)-2-{2-[(2-メトキシエチル)アミノ]ピリジン-4-イル}-1,3-オキサゾール-4-カルボキサミド、
N-(3-カルバモイル-1-メチル-1H-ピラゾール-4-イル)-2-{2-[(シクロプロピルメチル)アミノ]ピリジン-4-イル}-1,3-オキサゾール-4-カルボキサミド、
N-{3-カルバモイル-1-[(2S)-テトラヒドロフラン-2-イルメチル]-1H-ピラゾール-4-イル}-2-(2-メチルピリジン-4-イル)-1,3-オキサゾール-4-カルボキサミド、
N-{3-カルバモイル-1-[(2S)-テトラヒドロフラン-2-イルメチル]-1H-ピラゾール-4-イル}-2-{2-[(シクロプロピルメチル)アミノ]ピリジン-4-イル}-1,3-オキサゾール-4-カルボキサミド、
N-{3-カルバモイル-1-[(3R)-テトラヒドロフラン-3-イルメチル]-1H-ピラゾール-4-イル}-2-(2-メチルピリジン-4-イル)-1,3-オキサゾール-4-カルボキサミド、
2-(2-アミノピリジン-4-イル)-N-[3-カルバモイル-1-(3-メトキシフェニル)-1H-ピラゾール-4-イル]-1,3-オキサゾール-4-カルボキサミド、
N-[3-カルバモイル-1-(ピリジン-3-イル)-1H-ピラゾール-4-イル]-2-{2-[(2,2,2-トリフルオロエチル)アミノ]ピリジン-4-イル}-1,3-オキサゾール-4-カルボキサミド、
N-{3-カルバモイル-1-[(3S)-テトラヒドロフラン-3-イルメチル]-1H-ピラゾール-4-イル}-2-{2-[(2,2,2-トリフルオロエチル)アミノ]ピリジン-4-イル}-1,3-オキサゾール-4-カルボキサミド及び、
N-{3-カルバモイル-1-[(3S)-テトラヒドロフラン-3-イルメチル]-1H-ピラゾール-4-イル}-2-{2-[(シクロプロピルメチル)アミノ]ピリジン-4-イル}-1,3-オキサゾール-4-カルボキサミド、
並びにこれらの塩。
式(I)の化合物には、置換基の種類によって互変異性体や幾何異性体が存在しうる。本明細書中、式(I)の化合物が異性体の一形態のみで記載されることがあるが、本発明はそれ以外の異性体も包含し、異性体の分離されたもの、あるいはそれらの混合物も包含する。
また、式(I)の化合物には不斉炭素原子や軸不斉を有する場合があり、これに基づく光学異性体が存在しうる。本発明は、式(I)の化合物の光学異性体の分離されたもの、あるいはそれらの混合物も包含する。
また、式(I)の化合物には不斉炭素原子や軸不斉を有する場合があり、これに基づく光学異性体が存在しうる。本発明は、式(I)の化合物の光学異性体の分離されたもの、あるいはそれらの混合物も包含する。
更に、本発明は式(I)の化合物の製薬学的に許容されるプロドラッグも包含する。製薬学的に許容されるプロドラッグとは、加溶媒分解により又は生理学的条件下で、アミノ基、水酸基、カルボキシル等に変換されうる基を有する化合物である。プロドラッグを形成する基としては、例えばProg. Med., 5, 2157-2161 (1985)や「医薬品の開発」(廣川書店、1990年)第7巻 分子設計163-198に記載の基が挙げられる。
また、式(I)の化合物の塩とは、式(I)の化合物の製薬学的に許容される塩であり、置換基の種類によって、酸付加塩又は塩基との塩を形成する場合がある。具体的には、塩酸、臭化水素酸、ヨウ化水素酸、硫酸、硝酸、リン酸等の無機酸や、ギ酸、酢酸、トリフルオロ酢酸、プロピオン酸、シュウ酸、マロン酸、コハク酸、フマル酸、マレイン酸、乳酸、リンゴ酸、マンデル酸、酒石酸、ジベンゾイル酒石酸、ジトルオイル酒石酸、クエン酸、メタンスルホン酸、エタンスルホン酸、ベンゼンスルホン酸、p-トルエンスルホン酸、アスパラギン酸、グルタミン酸等の有機酸との酸付加塩、ナトリウム、カリウム、マグネシウム、カルシウム、アルミニウム等の無機塩基、メチルアミン、エチルアミン、エタノールアミン、リシン、オルニチン等の有機塩基との塩、アセチルロイシン等の各種アミノ酸及びアミノ酸誘導体との塩やアンモニウム塩等が挙げられる。
更に、本発明は式(I)の化合物及びその塩の各種の水和物や溶媒和物、及び結晶多形の物質も包含する。また、本発明は種々の放射性又は非放射性同位体でラベルされた化合物も包含する。
(製造法)
式(I)の化合物及びその塩は、その基本構造あるいは置換基の種類に基づく特徴を利用し、種々の公知の合成法を適用して製造することができる。その際、官能基の種類によっては、当該官能基を原料から中間体へ至る段階で適当な保護基(容易に当該官能基に転化可能な基)に置き換えておくことが製造技術上効果的な場合がある。このような保護基としては、例えばウッツ(P. G. M. Wuts)及びグリーン(T. W. Greene)著、「Greene's Protective Groups in Organic Synthesis(第4版、2006年)」に記載の保護基等を挙げることができ、これらの反応条件に応じて適宜選択して用いればよい。このような方法では、当該保護基を導入して反応を行ったあと、必要に応じて保護基を除去することにより、所望の化合物を得ることができる。
また、式(I)の化合物のプロドラッグは、上記保護基と同様、原料から中間体へ至る段階で特定の基を導入、あるいは得られた式(I)の化合物を用いてさらに反応を行うことで製造できる。反応は通常のエステル化、アミド化、脱水等、当業者に公知の方法を適用することにより行うことができる。
以下、式(I)の化合物の代表的な製造法を説明する。各製法は、当該説明に付した参考文献を参照して行うこともできる。なお、本発明の製造法は以下に示した例には限定されない。
式(I)の化合物及びその塩は、その基本構造あるいは置換基の種類に基づく特徴を利用し、種々の公知の合成法を適用して製造することができる。その際、官能基の種類によっては、当該官能基を原料から中間体へ至る段階で適当な保護基(容易に当該官能基に転化可能な基)に置き換えておくことが製造技術上効果的な場合がある。このような保護基としては、例えばウッツ(P. G. M. Wuts)及びグリーン(T. W. Greene)著、「Greene's Protective Groups in Organic Synthesis(第4版、2006年)」に記載の保護基等を挙げることができ、これらの反応条件に応じて適宜選択して用いればよい。このような方法では、当該保護基を導入して反応を行ったあと、必要に応じて保護基を除去することにより、所望の化合物を得ることができる。
また、式(I)の化合物のプロドラッグは、上記保護基と同様、原料から中間体へ至る段階で特定の基を導入、あるいは得られた式(I)の化合物を用いてさらに反応を行うことで製造できる。反応は通常のエステル化、アミド化、脱水等、当業者に公知の方法を適用することにより行うことができる。
以下、式(I)の化合物の代表的な製造法を説明する。各製法は、当該説明に付した参考文献を参照して行うこともできる。なお、本発明の製造法は以下に示した例には限定されない。
この反応では、カルボン酸誘導体(1)とアミノ化合物(2)とを当量若しくは、一方を過剰量用い、これらの混合物を、縮合剤の存在下、反応に不活性な溶媒中、冷却下から加熱下、好ましくは-20℃~60℃において、通常0.1時間~5日間撹拌する。ここで用いられる溶媒の例としては、特に限定はされないが、ベンゼン、トルエン若しくはキシレン等の芳香族炭化水素類、ジクロロメタン、1,2-ジクロロエタン若しくはクロロホルム等のハロゲン化炭化水素類、ジエチルエーテル、テトラヒドロフラン、ジオキサン、ジメトキシエタン等のエーテル類、N,N-ジメチルホルムアミド、N-メチル-2-ピロリドン、ジメチルスルホキシド、酢酸エチル、アセトニトリル又は水、及びこれらの混合物が挙げられる。縮合剤の例としては、1-(3-ジメチルアミノプロピル)-3-エチルカルボジイミド、ジシクロヘキシルカルボジイミド、1,1'-カルボニルジイミダゾール、ジフェニルリン酸アジド、オキシ塩化リンが挙げられるが、これらに限定されるものではない。例えば1-ヒドロキシベンゾトリアゾール等の添加剤を用いることが反応に好ましい場合がある。トリエチルアミン、N,N-ジイソプロピルエチルアミン若しくはN-メチルモルホリン等の有機塩基、又は炭酸カリウム、炭酸ナトリウム若しくは水酸化カリウム等の無機塩基の存在下で反応を行うことが、反応を円滑に進行させる上で有利な場合がある。
また、カルボン酸誘導体(1)のカルボキシル基部分を反応性誘導体へ変換した後にアミノ化合物(2)と反応させる方法も用いることができる。カルボン酸の反応性誘導体の例としては、オキシ塩化リン、塩化チオニル、オキサリルクロリド等のハロゲン化剤と反応して得られる酸ハロゲン化物、クロロギ酸イソブチル等と反応して得られる混合酸無水物、1-ヒドロキシベンゾトリアゾール等と縮合して得られる活性エステルが挙げられる。これらの反応性誘導体とアミノ誘導体(2)との反応は、ハロゲン化炭化水素類、芳香族炭化水素類、エーテル類等の反応に不活性な溶媒中、冷却下~加熱下、好ましくは、-78℃~60℃で行うことができる。
〔文献〕
S. R. Sandler及びW. Karo著、「Organic Functional Group Preparations」、第2版、第1巻、Academic Press Inc.、1991年、
日本化学会編、「第5版 実験化学講座(第16巻)」、丸善、2005年
式(I)の化合物における基R1、R2及び、R3上の種々の置換基は、式(I)の化合物を原料として、後述の実施例記載の反応、当業者にとって自明である反応、又はこれらの変法を用いることにより、他の官能基へと容易に変換することができる。例えば、O-アルキル化、N-アルキル化、還元、加水分解、アミド化等、当業者が通常採用し得る工程を任意に組み合わせて行うことができる。
(原料合成1)
(式中、HalはCl、Br又は、Iを示す。以下同様。)
化合物(5)は、化合物(3)と、化合物(4)若しくは、そのエステル体とのカップリング反応により得ることができる。
この反応では化合物(3)と(4)若しくは、そのエステル体とを当量、あるいは一方を過剰に用い、これらの混合物を、反応に不活性な溶媒中、塩基及びパラジウム触媒の存在下、室温~加熱還流下で、通常0.1時間~5日間撹拌することによって行われる。本反応は不活性ガス雰囲気下で行うことが好ましい。ここで用いられる溶媒の例としては、特に限定はされないが、芳香族炭化水素類、エーテル類、ハロゲン化炭化水素類、メタノール、エタノール、2-プロパノール、ブタノール等のアルコール類、N,N-ジメチルホルムアミド、ジメチルスルホキシド、及びこれらの混合溶媒が挙げられる。塩基としては炭酸ナトリウム、炭酸カリウム、水酸化ナトリウム等の無機塩基が好ましい。パラジウム触媒としては、テトラキス(トリフェニルホスフィン)パラジウム(0)、ジクロロビス(トリフェニルホスフィン)パラジウム(II)、塩化パラジウム(II)-1,1'-ビス(ジフェニルホスフィノ)フェロセン等が好ましい。
化合物(1)は、化合物(5)の加水分解反応により得ることができる。
ここで、加水分解反応は、グリーン(Greene)及びウッツ(Wuts)著、「Protective Groups in Organic Synthesis」、第3版、John Wiley & Sons Inc、1999年を参照して実施することができる。
〔文献〕
A. d. Meijere及びF. Diederich編、「Metal-Catalyzed Cross-Coupling Reactions」、第1版、VCH Publishers Inc.、1997年
日本化学会編、「第5版 実験化学講座(第13巻)」、丸善、2005年
化合物(5)は、化合物(3)と、化合物(4)若しくは、そのエステル体とのカップリング反応により得ることができる。
この反応では化合物(3)と(4)若しくは、そのエステル体とを当量、あるいは一方を過剰に用い、これらの混合物を、反応に不活性な溶媒中、塩基及びパラジウム触媒の存在下、室温~加熱還流下で、通常0.1時間~5日間撹拌することによって行われる。本反応は不活性ガス雰囲気下で行うことが好ましい。ここで用いられる溶媒の例としては、特に限定はされないが、芳香族炭化水素類、エーテル類、ハロゲン化炭化水素類、メタノール、エタノール、2-プロパノール、ブタノール等のアルコール類、N,N-ジメチルホルムアミド、ジメチルスルホキシド、及びこれらの混合溶媒が挙げられる。塩基としては炭酸ナトリウム、炭酸カリウム、水酸化ナトリウム等の無機塩基が好ましい。パラジウム触媒としては、テトラキス(トリフェニルホスフィン)パラジウム(0)、ジクロロビス(トリフェニルホスフィン)パラジウム(II)、塩化パラジウム(II)-1,1'-ビス(ジフェニルホスフィノ)フェロセン等が好ましい。
化合物(1)は、化合物(5)の加水分解反応により得ることができる。
ここで、加水分解反応は、グリーン(Greene)及びウッツ(Wuts)著、「Protective Groups in Organic Synthesis」、第3版、John Wiley & Sons Inc、1999年を参照して実施することができる。
〔文献〕
A. d. Meijere及びF. Diederich編、「Metal-Catalyzed Cross-Coupling Reactions」、第1版、VCH Publishers Inc.、1997年
日本化学会編、「第5版 実験化学講座(第13巻)」、丸善、2005年
(原料合成2)
化合物(8)は、化合物(6)と化合物(7)とのアミド化反応によって得ることができる。
化合物(9)は化合物(8)から、化合物(10)は化合物(9)から例えばOrganic Letters 2000, 2(8), 1165-1168に記載の方法を参考にそれぞれ製造することができる。
化合物(1a)は、化合物(10)から加水分解反応により得ることができる。加水分解反応は、グリーン(Greene)及びウッツ(Wuts)著、「Protective Groups in Organic Synthesis」、第3版、John Wiley & Sons Inc、1999年を参照して実施することができる。
化合物(9)は化合物(8)から、化合物(10)は化合物(9)から例えばOrganic Letters 2000, 2(8), 1165-1168に記載の方法を参考にそれぞれ製造することができる。
化合物(1a)は、化合物(10)から加水分解反応により得ることができる。加水分解反応は、グリーン(Greene)及びウッツ(Wuts)著、「Protective Groups in Organic Synthesis」、第3版、John Wiley & Sons Inc、1999年を参照して実施することができる。
式(I)の化合物は、遊離化合物、その塩、水和物、溶媒和物、あるいは結晶多形の物質として単離され、精製される。式(I)の化合物の塩は、常法の造塩反応に付すことにより製造することもできる。
単離、精製は、抽出、分別結晶化、各種分画クロマトグラフィー等、通常の化学操作を適用して行われる。
各種の異性体は、適当な原料化合物を選択することにより製造でき、あるいは異性体間の物理化学的性質の差を利用して分離することができる。例えば光学異性体は、ラセミ体の一般的な光学分割法(例えば光学活性な塩基又は酸とのジアステレオマー塩に導く分別結晶化や、キラルカラム等を用いたクロマトグラフィー等)により得られ、また、適当な光学活性な原料化合物から製造することもできる。
単離、精製は、抽出、分別結晶化、各種分画クロマトグラフィー等、通常の化学操作を適用して行われる。
各種の異性体は、適当な原料化合物を選択することにより製造でき、あるいは異性体間の物理化学的性質の差を利用して分離することができる。例えば光学異性体は、ラセミ体の一般的な光学分割法(例えば光学活性な塩基又は酸とのジアステレオマー塩に導く分別結晶化や、キラルカラム等を用いたクロマトグラフィー等)により得られ、また、適当な光学活性な原料化合物から製造することもできる。
式(I)の化合物の薬理活性は、以下の試験により確認した。
試験例1:ラットIRAK-4阻害試験
1-1:ラットIRAK-4リコンビナントタンパク質の調製
a) ラットIRAK-4クローニング
配列番号5で示されるrat IRAK-4 FLAGFプライマー及び配列番号6で示されるrat IRAK-4 Rプライマーを用いて、ラット脾臓cDNAライブラリーよりPCR法によりラットIRAK-4遺伝子のクローニングを行った。
PCRにはPyrobest (登録商標) DNA Polymerase (TAKARA BIO, #R005A)を使用した。製品に添付の10× Pyrobest Buffer (5μL)、dNTP Mixture (4μL)、Pyrobest (0.25μL)及び超純水 (34.75μL)を混合した後、template (4μL)と40μM プライマーをフォワード側、リバース側各1μL添加し、PCR溶液とした。PCR法は、98℃で10秒処理後、98℃ (10秒)/55℃ (30秒)/72℃ (2.5分)を1サイクルとして、40サイクル実施した。クローニングしたラットIRAK-4塩基配列を配列番号1に、推定アミノ酸配列を配列番号2に示す。
配列番号2で示されるアミノ酸配列、GenBank Reference Sequence (NCBI, RefSeq)データベースに登録のヒトIRAK-4アミノ酸配列 (NM_001114182)及びマウスIRAK-4アミノ酸配列 (NM_029926) について、Clustal W法によるアライメントを行った。その結果、配列番号2で示されるアミノ酸配列はヒト及びマウスIRAK-4アミノ酸配列とそれぞれ84.1%及び92.6%の相同性を示した。また、GenBank Reference Sequence (NCBI, RefSeq)データベースに登録のラットゲノム配列由来の推定IRAK-4アミノ酸配列(NM_001106791)とのClustal W法によるアライメントを行った結果、配列番号2で示されるアミノ酸配列は98.7%の相同性を示し、クローニングしたcDNAがラットIRAK-4配列であることを強く示唆した。
試験例1:ラットIRAK-4阻害試験
1-1:ラットIRAK-4リコンビナントタンパク質の調製
a) ラットIRAK-4クローニング
配列番号5で示されるrat IRAK-4 FLAGFプライマー及び配列番号6で示されるrat IRAK-4 Rプライマーを用いて、ラット脾臓cDNAライブラリーよりPCR法によりラットIRAK-4遺伝子のクローニングを行った。
PCRにはPyrobest (登録商標) DNA Polymerase (TAKARA BIO, #R005A)を使用した。製品に添付の10× Pyrobest Buffer (5μL)、dNTP Mixture (4μL)、Pyrobest (0.25μL)及び超純水 (34.75μL)を混合した後、template (4μL)と40μM プライマーをフォワード側、リバース側各1μL添加し、PCR溶液とした。PCR法は、98℃で10秒処理後、98℃ (10秒)/55℃ (30秒)/72℃ (2.5分)を1サイクルとして、40サイクル実施した。クローニングしたラットIRAK-4塩基配列を配列番号1に、推定アミノ酸配列を配列番号2に示す。
配列番号2で示されるアミノ酸配列、GenBank Reference Sequence (NCBI, RefSeq)データベースに登録のヒトIRAK-4アミノ酸配列 (NM_001114182)及びマウスIRAK-4アミノ酸配列 (NM_029926) について、Clustal W法によるアライメントを行った。その結果、配列番号2で示されるアミノ酸配列はヒト及びマウスIRAK-4アミノ酸配列とそれぞれ84.1%及び92.6%の相同性を示した。また、GenBank Reference Sequence (NCBI, RefSeq)データベースに登録のラットゲノム配列由来の推定IRAK-4アミノ酸配列(NM_001106791)とのClustal W法によるアライメントを行った結果、配列番号2で示されるアミノ酸配列は98.7%の相同性を示し、クローニングしたcDNAがラットIRAK-4配列であることを強く示唆した。
b)ラットIRAK-4リコンビナントタンパク質の調製
上記で得られたDNA断片をpFastBac HTベクターにクローニングし、Bac-to-Bacバキュロウイルス発現システム(インビトロジェン社)を用いて、ラットIRAK-4発現バキュロウイルスを調製した。ラットIRAK-4発現バキュロウイルスを感染させたSf9細胞より、Anti-FLAG M2アフィニティーゲル(Sigma社)を用いて、ラットIRAK-4リコンビナントタンパク質を調製した。
ラットIRAK-4発現バキュロウイルスで発現させたラットIRAK-4融合遺伝子の塩基配列を配列番号3に、融合タンパク質の推定アミノ酸配列を配列番号4に示す。この融合タンパク質は、開始コドンMetの下流にpFastBac HTベクター由来のHisタグ及びリコンビナントタンパク質の精製に用いたFLAGタグが融合している。また、終止コドンの前にベクター由来の配列が融合している。
上記で得られたDNA断片をpFastBac HTベクターにクローニングし、Bac-to-Bacバキュロウイルス発現システム(インビトロジェン社)を用いて、ラットIRAK-4発現バキュロウイルスを調製した。ラットIRAK-4発現バキュロウイルスを感染させたSf9細胞より、Anti-FLAG M2アフィニティーゲル(Sigma社)を用いて、ラットIRAK-4リコンビナントタンパク質を調製した。
ラットIRAK-4発現バキュロウイルスで発現させたラットIRAK-4融合遺伝子の塩基配列を配列番号3に、融合タンパク質の推定アミノ酸配列を配列番号4に示す。この融合タンパク質は、開始コドンMetの下流にpFastBac HTベクター由来のHisタグ及びリコンビナントタンパク質の精製に用いたFLAGタグが融合している。また、終止コドンの前にベクター由来の配列が融合している。
c)ラットIRAK-4リコンビナントタンパク質の活性確認
IRAK-4活性はIRAK-1ペプチド基質のリン酸化活性で確認することができる(Proceedings of the National Academy of Sciences 2002, 99(8), 5567-5572)。上記で得られたリコンビナントタンパク質を、IRAK-1ペプチド基質の存在下/非存在下、ATPの存在下/非存在下で反応させることによって、リコンビナントタンパク質のIRAK-4活性を検討した。
Neutravidin 500 ng (Sigma社)をプレートに添加し、一晩静置させた。翌日Tris-Buffered Saline Tween-20(TBST)(50mM Tris-Cl (pH7.5), 150 mM NaCl, 0.05% Tween20)で2回洗浄し、0又は12.5pmolのbiotin-IRAK-1ペプチド基質(biotin-spacer-FGL ARF SRF AGS SPS QSS MVA RTQ TVR GTL A-COOH)(Proceedings of the National Academy of Sciences 2002, 99(8), 5567-5572)を添加し、1時間静置させた。その後TBSTで3回洗浄し、ブロッキング液(Blocking one(ナカライテスク社)をPhosphate buffered saline(PBS)で5倍希釈したもの)を加え、1時間静置させた。TBSTで3回洗浄後、リコンビナントタンパク質(0, 3, 10, 30 ng)及びAdenosine Triphosphate(ATP)(終濃度は0又は5μM)を25mM Tris-Cl (pH7.5)、10mM MgCl2、1mM Dithiothreitol(DTT)、0.1% Bovine serum albuminの反応バッファー中で攪拌し、プレートに添加した。室温で1時間反応させた後、TBSTで4回洗浄し、Phospho-IRAK-1(Thr387)Antibody(Cell Signaling Technology社)をTBSTで1000倍希釈したものを1次抗体としてプレートに添加し、2時間反応させた。TBSTで4回洗浄後、HRP-anti-rabbit IgG(Cell Signaling Technology社)をTBSTで500倍希釈したものを2次抗体としてプレートに添加し1時間反応させた。プレートをTBSTで4回洗浄後、ペルオキシダーゼ発色キット・ELISA用(住友ベークライト社)を用いて発色させた。方法はキットに添付の方法に従い、発色反応は20分とした。IRAK-4活性は450nmの吸光度として測定した。取得されたリコンビナントタンパク質は、用量依存的なIRAK-4活性の上昇を示した(図1)。
IRAK-4活性はIRAK-1ペプチド基質のリン酸化活性で確認することができる(Proceedings of the National Academy of Sciences 2002, 99(8), 5567-5572)。上記で得られたリコンビナントタンパク質を、IRAK-1ペプチド基質の存在下/非存在下、ATPの存在下/非存在下で反応させることによって、リコンビナントタンパク質のIRAK-4活性を検討した。
Neutravidin 500 ng (Sigma社)をプレートに添加し、一晩静置させた。翌日Tris-Buffered Saline Tween-20(TBST)(50mM Tris-Cl (pH7.5), 150 mM NaCl, 0.05% Tween20)で2回洗浄し、0又は12.5pmolのbiotin-IRAK-1ペプチド基質(biotin-spacer-FGL ARF SRF AGS SPS QSS MVA RTQ TVR GTL A-COOH)(Proceedings of the National Academy of Sciences 2002, 99(8), 5567-5572)を添加し、1時間静置させた。その後TBSTで3回洗浄し、ブロッキング液(Blocking one(ナカライテスク社)をPhosphate buffered saline(PBS)で5倍希釈したもの)を加え、1時間静置させた。TBSTで3回洗浄後、リコンビナントタンパク質(0, 3, 10, 30 ng)及びAdenosine Triphosphate(ATP)(終濃度は0又は5μM)を25mM Tris-Cl (pH7.5)、10mM MgCl2、1mM Dithiothreitol(DTT)、0.1% Bovine serum albuminの反応バッファー中で攪拌し、プレートに添加した。室温で1時間反応させた後、TBSTで4回洗浄し、Phospho-IRAK-1(Thr387)Antibody(Cell Signaling Technology社)をTBSTで1000倍希釈したものを1次抗体としてプレートに添加し、2時間反応させた。TBSTで4回洗浄後、HRP-anti-rabbit IgG(Cell Signaling Technology社)をTBSTで500倍希釈したものを2次抗体としてプレートに添加し1時間反応させた。プレートをTBSTで4回洗浄後、ペルオキシダーゼ発色キット・ELISA用(住友ベークライト社)を用いて発色させた。方法はキットに添付の方法に従い、発色反応は20分とした。IRAK-4活性は450nmの吸光度として測定した。取得されたリコンビナントタンパク質は、用量依存的なIRAK-4活性の上昇を示した(図1)。
1-2:ラットIRAK-4阻害活性の測定
Avidin 150ng(Sigma社)をプレートに添加し、一晩静置させた。翌日TBSTで2回洗浄し、biotin-IRAK-1ペプチド基質17.5pmolを添加し、1時間静置させた。その後TBSTで3回洗浄し、ブロッキング液を加え、1時間静置させた。TBSTで3回洗浄後、ラットIRAK-4酵素、被験化合物、ATP(終濃度は80μM)を25mM Tris-Cl (pH7.5)、10mM MgCl2、1mM DTT、0.1% Bovine serum albuminの反応バッファー中で攪拌し、プレートに添加した。室温で1時間インキュベートした後、TBSTで3回洗浄し、Phospho-IRAK-1(Thr387)AntibodyをTBSTで1000倍希釈したものを1次抗体としてプレートに添加し、2時間反応させた。TBSTで3回洗浄後、HRP-anti-rabbit IgGをTBSTで1000倍希釈したものを2次抗体としてプレートに添加し1時間反応させた。プレートをTBSTで7回洗浄した後、TMB peroxidase substrateとPeroxidase substrate solution B(ともにKirkegaard & Perry Laboratories社)を等量混合したものをプレートに添加した。室温で10分間インキュベートした後、1M硫酸水溶液を添加して反応を停止させた。酵素活性は450nmの吸光度として測定した。被験化合物のIRAK-4阻害活性は、IRAK-4活性を50%抑制する被験化合物の濃度(IC50値)とした。酵素未添加時の抑制率を100%、被験化合物未添加時の抑制率を0%とし、logistic法により化合物のIC50値を算出した。
Avidin 150ng(Sigma社)をプレートに添加し、一晩静置させた。翌日TBSTで2回洗浄し、biotin-IRAK-1ペプチド基質17.5pmolを添加し、1時間静置させた。その後TBSTで3回洗浄し、ブロッキング液を加え、1時間静置させた。TBSTで3回洗浄後、ラットIRAK-4酵素、被験化合物、ATP(終濃度は80μM)を25mM Tris-Cl (pH7.5)、10mM MgCl2、1mM DTT、0.1% Bovine serum albuminの反応バッファー中で攪拌し、プレートに添加した。室温で1時間インキュベートした後、TBSTで3回洗浄し、Phospho-IRAK-1(Thr387)AntibodyをTBSTで1000倍希釈したものを1次抗体としてプレートに添加し、2時間反応させた。TBSTで3回洗浄後、HRP-anti-rabbit IgGをTBSTで1000倍希釈したものを2次抗体としてプレートに添加し1時間反応させた。プレートをTBSTで7回洗浄した後、TMB peroxidase substrateとPeroxidase substrate solution B(ともにKirkegaard & Perry Laboratories社)を等量混合したものをプレートに添加した。室温で10分間インキュベートした後、1M硫酸水溶液を添加して反応を停止させた。酵素活性は450nmの吸光度として測定した。被験化合物のIRAK-4阻害活性は、IRAK-4活性を50%抑制する被験化合物の濃度(IC50値)とした。酵素未添加時の抑制率を100%、被験化合物未添加時の抑制率を0%とし、logistic法により化合物のIC50値を算出した。
試験例2:ヒト肺上皮細胞株A549を用いたIL-1β刺激IL-6産生阻害試験
A549細胞を4×104cells/160μL/wellで96well plateに播種し(1日目)、一晩培養させた。翌日、被験化合物(20μL/well)を添加して1時間インキュベートした後、IL-1β(R&D Systems, Inc.)を終濃度が1ng/mLになるように(20μL/well)添加した。このとき、各プレートに無刺激群としてIL-1βを添加しないwellを設けた。一晩培養後(3日目)、培養上清を採取し、上清中のIL-6量を測定した。すぐに測定できない場合は、採取した培養上清を-20℃以下で凍結保存後、溶解し測定した。上清中のIL-6量はHuman IL-6 DuoSet Economy Pack(R&D Systems, Inc.)を用いてキットに添付の方法に従い定量し、450nmの吸光度として測定した。被験化合物のIL-6産生阻害活性は、IL-6産生を50%抑制する被験化合物の濃度(IC50値)とした。無刺激群の抑制率を100%、被験化合物未添加時の抑制率を0%とし、logistic法により化合物のIC50値を算出した。
A549細胞を4×104cells/160μL/wellで96well plateに播種し(1日目)、一晩培養させた。翌日、被験化合物(20μL/well)を添加して1時間インキュベートした後、IL-1β(R&D Systems, Inc.)を終濃度が1ng/mLになるように(20μL/well)添加した。このとき、各プレートに無刺激群としてIL-1βを添加しないwellを設けた。一晩培養後(3日目)、培養上清を採取し、上清中のIL-6量を測定した。すぐに測定できない場合は、採取した培養上清を-20℃以下で凍結保存後、溶解し測定した。上清中のIL-6量はHuman IL-6 DuoSet Economy Pack(R&D Systems, Inc.)を用いてキットに添付の方法に従い定量し、450nmの吸光度として測定した。被験化合物のIL-6産生阻害活性は、IL-6産生を50%抑制する被験化合物の濃度(IC50値)とした。無刺激群の抑制率を100%、被験化合物未添加時の抑制率を0%とし、logistic法により化合物のIC50値を算出した。
いくつかの化合物の結果を表1に示す。表中のrIRAK4はラットIRAK-4阻害活性のIC50値(nM)及び、IL-6はIL-6産生阻害活性のIC50値(nM)を示し、Exは後記実施例化合物番号を示す。
試験例3:ラットコラーゲン誘発関節炎モデル
3-1:ラットコラーゲン関節炎の誘発、薬剤投与
0.1M酢酸水溶液にウシ由来II型コラーゲン(コラーゲン技術研修会)を溶解して2 mg/mLの溶液とし、等量のIncomplete Freund Adjuvant (Difco Laboratories社)と乳濁化することにより、終濃度1mg/mLのコラーゲン乳濁液を作成した。7週齡の雌性Lewis系ラットを、体重を指標に群分け後、無処置群以外のラットに、麻酔下で、上記のコラーゲン乳濁液0.5mLを除毛した背部に10ヶ所以上、尾根部の左右2ヶ所に分けて皮内投与した。この初回免疫日を0日目とした。さらに7日目に上記コラーゲン乳濁液0.1mLを尾根部に2ヶ所に分けて皮内投与し、追加免疫した。無処置群には免疫を行わなかった。被験化合物は、初回免疫日(若しくは初回免疫日翌日)から21日目まで、又は初回免疫日7日目(若しくは8日目)から21日目まで、連続経口投与した。
3-1:ラットコラーゲン関節炎の誘発、薬剤投与
0.1M酢酸水溶液にウシ由来II型コラーゲン(コラーゲン技術研修会)を溶解して2 mg/mLの溶液とし、等量のIncomplete Freund Adjuvant (Difco Laboratories社)と乳濁化することにより、終濃度1mg/mLのコラーゲン乳濁液を作成した。7週齡の雌性Lewis系ラットを、体重を指標に群分け後、無処置群以外のラットに、麻酔下で、上記のコラーゲン乳濁液0.5mLを除毛した背部に10ヶ所以上、尾根部の左右2ヶ所に分けて皮内投与した。この初回免疫日を0日目とした。さらに7日目に上記コラーゲン乳濁液0.1mLを尾根部に2ヶ所に分けて皮内投与し、追加免疫した。無処置群には免疫を行わなかった。被験化合物は、初回免疫日(若しくは初回免疫日翌日)から21日目まで、又は初回免疫日7日目(若しくは8日目)から21日目まで、連続経口投与した。
3-2:コラーゲン関節炎の評価
ラット左右後肢の容量を、ラット足容積測定装置(室町器械)を用いて、水置換法にて7日目、14日目及び21日目に測定した。関節炎の指標とする後肢腫脹は、7日目の足容積値を元に、左右足容積の変化を平均値として表示した。
ラット左右後肢の容量を、ラット足容積測定装置(室町器械)を用いて、水置換法にて7日目、14日目及び21日目に測定した。関節炎の指標とする後肢腫脹は、7日目の足容積値を元に、左右足容積の変化を平均値として表示した。
いくつかの化合物のラットコラーゲン誘発関節炎による後肢腫脹抑制結果を表2に示す。なお、1日2回、3mg/kgずつ投与した。
試験例4:抗糸球体基底膜抗体誘発糸球体腎炎モデル
ラット抗糸球体基底膜(GBM)抗体はラットGBMをウサギ(日本白色種ヘルシー)に免疫することにより作製した。
WKYラット(日本チャールズリバー)は雄、7週齢、体重約180gを用いた。
抗GBM血清(0.1mL)をWKYラットに尾静脈から注射することにより腎炎を惹起した。
ラットは体重により群分けし、腎炎惹起直後から実験最終日まで被験化合物を1日2回、毎日経口投与した。採尿は腎炎惹起後3、7、14、21日目に行った。実験終了時に腹部大静脈からの採血と採腎を行った。尿サンプルから尿量と蛋白濃度、N-Acetyl-β-D-glucosaminidase (NAG)活性、クレアチニン濃度を測定した。血漿サンプルからBUN、クレアチニン、総コレステロール含量を測定した。また、放血致死後に左腎を摘出し、その湿重量を測定した。
各パラメーターは以下のキットを用いて測定した。
蛋白濃度:マイクロTPテストワコー(ピロガロールレッド法、和光純薬工業)
NAG活性:NAGテストシオノギ(塩野義製薬)
クレアチニン:CRE-ENカイノス(酵素法、カイノス)
BUN:BUNカイノス(カイノス)
コレステロール:デタミナTC555(協和メディックス)
ラット抗糸球体基底膜(GBM)抗体はラットGBMをウサギ(日本白色種ヘルシー)に免疫することにより作製した。
WKYラット(日本チャールズリバー)は雄、7週齢、体重約180gを用いた。
抗GBM血清(0.1mL)をWKYラットに尾静脈から注射することにより腎炎を惹起した。
ラットは体重により群分けし、腎炎惹起直後から実験最終日まで被験化合物を1日2回、毎日経口投与した。採尿は腎炎惹起後3、7、14、21日目に行った。実験終了時に腹部大静脈からの採血と採腎を行った。尿サンプルから尿量と蛋白濃度、N-Acetyl-β-D-glucosaminidase (NAG)活性、クレアチニン濃度を測定した。血漿サンプルからBUN、クレアチニン、総コレステロール含量を測定した。また、放血致死後に左腎を摘出し、その湿重量を測定した。
各パラメーターは以下のキットを用いて測定した。
蛋白濃度:マイクロTPテストワコー(ピロガロールレッド法、和光純薬工業)
NAG活性:NAGテストシオノギ(塩野義製薬)
クレアチニン:CRE-ENカイノス(酵素法、カイノス)
BUN:BUNカイノス(カイノス)
コレステロール:デタミナTC555(協和メディックス)
その結果、後記実施例化合物のうち、実施例7の化合物は投与回数1日2回、最少有効投与量0.3 mg/kgにおいて、糸球体腎炎の抑制効果を示した。
試験例5:db/dbマウスアルブミン尿モデル
動物はII型糖尿病自然発症マウスであるdb/dbマウス(雄、体重約30g、日本クレア)及び対照マウスであるdb/mマウス(雄、体重約25g、日本クレア)を用いた。
db/dbマウスは7週齢における尿中アルブミン濃度及び血糖値がほぼ均一になるように群分けし、8週齢から被験化合物を1日2回、毎日経口投与した。採尿は試験開始後毎週、11週齢目まで行った。実験終了時に腹部大静脈からの採血と採腎を行った。尿サンプルから尿量、アルブミン濃度、クレアチニン濃度およびMCP-1濃度を測定した。血漿サンプルからクレアチニンおよびグルコース濃度を測定した。
各パラメーターは以下の方法又はキットを用いて測定した。
アルブミン濃度:ELISA法
クレアチニン:CRE-ENカイノス(酵素法、カイノス)
MCP-1:DuoSet mouse MCP-1 (R&D Systems)
グルコース:グルコースCII-テストワコー(和光純薬工業)
動物はII型糖尿病自然発症マウスであるdb/dbマウス(雄、体重約30g、日本クレア)及び対照マウスであるdb/mマウス(雄、体重約25g、日本クレア)を用いた。
db/dbマウスは7週齢における尿中アルブミン濃度及び血糖値がほぼ均一になるように群分けし、8週齢から被験化合物を1日2回、毎日経口投与した。採尿は試験開始後毎週、11週齢目まで行った。実験終了時に腹部大静脈からの採血と採腎を行った。尿サンプルから尿量、アルブミン濃度、クレアチニン濃度およびMCP-1濃度を測定した。血漿サンプルからクレアチニンおよびグルコース濃度を測定した。
各パラメーターは以下の方法又はキットを用いて測定した。
アルブミン濃度:ELISA法
クレアチニン:CRE-ENカイノス(酵素法、カイノス)
MCP-1:DuoSet mouse MCP-1 (R&D Systems)
グルコース:グルコースCII-テストワコー(和光純薬工業)
その結果、後記実施例化合物のうち、実施例7の化合物は投与回数1日2回、最少有効投与量0.3 mg/kgにおいて糖尿病性腎症の抑制効果を示した。
上記の各試験の結果、式(I)の化合物はIRAK-4阻害活性、及び細胞系におけるIL-1刺激IL-6産生を阻害する活性を有することが確認された。また式(I)の化合物は関節炎の炎症反応、糸球体腎炎、及び糖尿病性腎症に対する抑制効果を有することが確認された。したがって式(I)の化合物は、医薬品として、殊に、IRAK-4に関係する疾患、例えば炎症性疾患又は自己免疫疾患、特に、筋骨格および結合組織疾患(関節リウマチ、変形性骨関節症、全身性エリテマトーデス、シェーグレン症候群、強皮症、痛風等)、臓器移植における拒絶反応、自己炎症性疾患(Muckle-Wells症候群等)、泌尿生殖器疾患(糖尿病性腎症、IgA腎症等の糸球体腎炎、慢性腎不全)、肝疾患(非アルコール性脂肪肝炎等)、感染症(敗血症等)、消化器系疾患(潰瘍性大腸炎、クローン病等)、皮膚炎症性疾患(アトピー性皮膚炎、乾癬等)、内分泌疾患(糖尿病等)、心血管疾患(動脈硬化等)、中枢疾患(多発性硬化症等)、呼吸器疾患(喘息、慢性閉塞性肺疾患等)及び癌等の治療又は予防薬として有用である。
試験例6:チトクロームP450(CYP)3A4酵素阻害試験
6-1:阻害試験I (残存率Iの算出)
96穴プレートを用いて、基質2μM(ミダゾラム)、試験化合物5μM及び、ヒト肝ミクロソーム(0.1mg protein/mL)を0.1mM EDTA、1mM NADPHを含む100mMリン酸緩衝液(pH7.4)、総量150μL中で37℃で20分間インキュベーションした。その後アセトニトリル80%含有水溶液130μLを加えて反応を停止した。その後サンプルをLC/MS/MSで分析し、下記の数式1を用いて残存率Iを算出した。
(数式1)
残存率 I (%) = Ai,I/ A0,I x 100
Ai,I=阻害試験Iで試験化合物存在下における反応後の代謝物の生成量
A0,I=阻害試験Iで試験化合物非存在下における反応後の代謝物の生成量
6-2:阻害試験II(残存率IIの算出)
96穴プレートを用いて、試験化合物5μM及びヒト肝ミクロソーム(0.1mg protein/mL)を0.1mM EDTA、1mM NADPHを含む100mMリン酸緩衝液(pH7.4)総量145μL中で、37℃で30分間インキュベーションした。その後、基質であるミダゾラム2μMを添加して総量を150μLにし、37℃で20分間インキュベーションした。インキュベーション後、アセトニトリル80%含有水溶液130μLを加えて反応を停止し、サンプルをLC/MS/MSで分析し、下記の式2を用いて残存率IIを算出した。
(数式2)
残存率 II(%) = Ai,II/A0,II /(Ai,I/A0,I)x 100
Ai,II=阻害試験IIで試験化合物存在下における反応後の代謝物の生成量
A0,II=阻害試験IIで試験化合物非存在下における反応後の代謝物の生成量
6-1:阻害試験I (残存率Iの算出)
96穴プレートを用いて、基質2μM(ミダゾラム)、試験化合物5μM及び、ヒト肝ミクロソーム(0.1mg protein/mL)を0.1mM EDTA、1mM NADPHを含む100mMリン酸緩衝液(pH7.4)、総量150μL中で37℃で20分間インキュベーションした。その後アセトニトリル80%含有水溶液130μLを加えて反応を停止した。その後サンプルをLC/MS/MSで分析し、下記の数式1を用いて残存率Iを算出した。
(数式1)
残存率 I (%) = Ai,I/ A0,I x 100
Ai,I=阻害試験Iで試験化合物存在下における反応後の代謝物の生成量
A0,I=阻害試験Iで試験化合物非存在下における反応後の代謝物の生成量
6-2:阻害試験II(残存率IIの算出)
96穴プレートを用いて、試験化合物5μM及びヒト肝ミクロソーム(0.1mg protein/mL)を0.1mM EDTA、1mM NADPHを含む100mMリン酸緩衝液(pH7.4)総量145μL中で、37℃で30分間インキュベーションした。その後、基質であるミダゾラム2μMを添加して総量を150μLにし、37℃で20分間インキュベーションした。インキュベーション後、アセトニトリル80%含有水溶液130μLを加えて反応を停止し、サンプルをLC/MS/MSで分析し、下記の式2を用いて残存率IIを算出した。
(数式2)
残存率 II(%) = Ai,II/A0,II /(Ai,I/A0,I)x 100
Ai,II=阻害試験IIで試験化合物存在下における反応後の代謝物の生成量
A0,II=阻害試験IIで試験化合物非存在下における反応後の代謝物の生成量
いくつかの式(I)の化合物は、チトクロームP450等の代謝酵素を阻害しない又はその産生を誘導しない化合物であることを確認した。例えば、後記実施例化合物のうち、実施例7の化合物は可逆阻害試験時におけるCYP3A4残存率99%、時間依存試験時におけるCYP3A4残存率107%を示した。
式(I)の化合物又はその塩の1種又は2種以上を有効成分として含有する医薬組成物は、当分野において通常用いられている賦形剤、即ち薬剤用賦形剤や薬剤用担体等を用いて、通常使用されている方法によって調製することができる。
投与は錠剤、丸剤、カプセル剤、顆粒剤、散剤、液剤等による経口投与、又は関節内、静脈内、筋肉内等の注射剤、坐剤、点眼剤、眼軟膏、経皮用液剤、軟膏剤、経皮用貼付剤、経粘膜液剤、経粘膜貼付剤、吸入剤等による非経口投与のいずれの形態であってもよい。
投与は錠剤、丸剤、カプセル剤、顆粒剤、散剤、液剤等による経口投与、又は関節内、静脈内、筋肉内等の注射剤、坐剤、点眼剤、眼軟膏、経皮用液剤、軟膏剤、経皮用貼付剤、経粘膜液剤、経粘膜貼付剤、吸入剤等による非経口投与のいずれの形態であってもよい。
経口投与のための固体組成物としては、錠剤、散剤、顆粒剤等が用いられる。このような固体組成物においては、1種又は2種以上の有効成分を、少なくとも1種の不活性な賦形剤と混合される。組成物は、常法に従って、不活性な添加剤、例えば滑沢剤や崩壊剤、安定化剤、溶解補助剤を含有していてもよい。錠剤又は丸剤は必要により糖衣又は胃溶性若しくは腸溶性物質のフィルムで被膜してもよい。
経口投与のための液体組成物は、薬剤的に許容される乳濁剤、溶液剤、懸濁剤、シロップ剤又はエリキシル剤等を含み、一般的に用いられる不活性な希釈剤、例えば精製水又はエタノールを含む。当該液体組成物は不活性な希釈剤以外に可溶化剤、湿潤剤、懸濁剤のような補助剤、甘味剤、風味剤、芳香剤、防腐剤を含有していてもよい。
経口投与のための液体組成物は、薬剤的に許容される乳濁剤、溶液剤、懸濁剤、シロップ剤又はエリキシル剤等を含み、一般的に用いられる不活性な希釈剤、例えば精製水又はエタノールを含む。当該液体組成物は不活性な希釈剤以外に可溶化剤、湿潤剤、懸濁剤のような補助剤、甘味剤、風味剤、芳香剤、防腐剤を含有していてもよい。
非経口投与のための注射剤は、無菌の水性若しくは非水性の溶剤、懸濁剤、又は乳濁剤を含有する。水性の溶剤としては、例えば注射用蒸留水又は生理食塩液が含まれる。非水性の溶剤としては、例えばエタノールのようなアルコール類がある。このような組成物は、さらに等張化剤、防腐剤、湿潤剤、乳化剤、分散剤、安定化剤、又は溶解補助剤を含んでもよい。これらは例えばバクテリア保留フィルターを通す濾過、殺菌剤の配合、又は照射によって無菌化される。また、これらは無菌の固体組成物を製造し、使用前に無菌水又は無菌の注射用溶媒に溶解又は懸濁して使用することもできる。
外用剤としては、軟膏剤、硬膏剤、クリーム剤、ゼリー剤、パップ剤、噴霧剤、ローション剤、点眼剤、眼軟膏等を包含する。一般に用いられる軟膏基剤、ローション基剤、水性又は非水性の液剤、懸濁剤、乳剤等を含有する。
吸入剤や経鼻剤等の経粘膜剤は固体、液体又は半固体状のものが用いられ、従来公知の方法に従って製造することができる。例えば公知の賦形剤や、更に、pH調整剤、防腐剤、界面活性剤、滑沢剤、安定剤や増粘剤等が適宜添加されていてもよい。投与は、適当な吸入又は吹送のためのデバイスを使用することができる。例えば、計量投与吸入デバイス等の公知のデバイスや噴霧器を使用して、化合物を単独で又は処方された混合物の粉末として、若しくは医薬的に許容し得る担体と組み合わせて溶液又は懸濁液として投与することができる。乾燥粉末吸入器等は、単回又は多数回の投与用のものであってもよく、乾燥粉末又は粉末含有カプセルを利用することができる。あるいは、適当な駆出剤、例えばクロロフルオロアルカン、ヒドロフルオロアルカン、又は二酸化炭素等の好適な気体を使用した加圧エアゾールスプレー等の形態であってもよい。
通常経口投与の場合、1日の投与量は、体重当たり約0.001~100 mg/kg、好ましくは0.1~30 mg/kg、更に好ましくは0.1~10 mg/kgが適当であり、これを1回であるいは2回~4回に分けて投与する。静脈内投与される場合は、1日の投与量は、体重当たり約0.0001~10 mg/kgが適当で、1日1回~複数回に分けて投与する。また、経粘膜剤としては、体重当たり約0.001~100 mg/kgを1日1回~複数回に分けて投与する。投与量は症状、年令、性別等を考慮して個々の場合に応じて適宜決定される。
式(I)の化合物は、前述の式(I)の化合物が有効性を示すと考えられる疾患の種々の治療又は予防剤と併用することができる。当該併用は、同時投与、あるいは別個に連続して、若しくは所望の時間間隔をおいて投与してもよい。同時投与製剤は、別個に製剤化されていても、前述の式(I)の化合物が有効性を示すと考えられる疾患の種々の治療剤又は予防剤と式(I)の化合物とを含む医薬組成物であってもよい。
(実施例)
(実施例)
以下、実施例に基づき式(I)の化合物及びその原料化合物の製造法をさらに詳細に説明する。なお本発明は、下記実施例に記載の化合物に限定されるものではない。また、原料化合物の製法を製造例に示す。また、式(I)の化合物の製造法は、以下に示される具体的実施例の製造法のみに限定されるものではなく、式(I)の化合物はこれらの製造法の組み合わせ、あるいは当業者に自明である方法によっても製造されうる。
製造例、実施例、及び後記表中において、以下の略号を用いることがある。
PEx: 製造例番号、Ex: 実施例番号、Syn:製造方法(当該化合物が、その欄に記載されている実施例番号の化合物と同様の製造法により製造されたことを示す)、PSyn:製造方法(当該化合物が、その欄に記載されている製造例番号の化合物と同様の製造法により製造されたことを示す)、No: 化合物番号、Str: 構造式、DAT: 物理化学的データ、EI+: 質量分析におけるm/z値(イオン化法EI、断りのない場合(M)+を表す)、ESI+: 質量分析におけるm/z値(イオン化法ESI、断りのない場合(M+H)+)、ESI-: m/z値(イオン化法ESI、断りのない場合(M-H)-)、NMR1: DMSO-d6中の1H NMRにおけるδ(ppm)、NMR2: CDCl3中の1H NMRにおけるδ(ppm)、s: 一重線(スペクトル)、d: 二重線(スペクトル)、t: 三重線(スペクトル)、q: 四重線(スペクトル)、br: 幅広線(スペクトル)(例:br-s)、RT: HPLCでの保持時間(分)を示す。また、次の略号は、tBu: tert-ブチル、MeOH: メタノール、DME: 1,2-ジメトキシエタン、DMF: N,N-ジメチルホルムアミド、TFA: トリフルオロ酢酸、THF: テトラヒドロフラン、DBU: 1,8-ジアザビシクロ[5.4.0]-7-ウンデセン、CDI: 1,1'-カルボニルジイミダゾール、DPPA: ジフェニルホスホリルアジド、HATU: O-(7-アザベンゾトリアゾール-1-イル)-N,N,N',N'-テトラメチルウロニウム ヘキサフルオロホスファート、WSC: N-[3-(ジメチルアミノ)プロピル]-N'-エチルカルボジイミド、WSC・HCl: N-[3-(ジメチルアミノ)プロピル]-N'-エチルカルボジイミド 塩酸塩、HOAT: 1-ヒドロキシ-7-アザベンゾトリアゾール、HOBt: 1-ヒドロキシベンゾトリアゾール、DMAP: 4-(ジメチルアミノ)ピリジン、DAST: ジエチルアミノサルファートリフルオリド、BINAP: 2,2'-ビス(ジフェニルホスフィノ)-1,1'-ビナフタレン、DIBAL: 水素化ジイソブチルアルミニウムを示す。また、PSyn及びSynにおける3+4との記載は、実施例3と同様の方法で製造し、引き続きその生成物を原料として実施例4と同様の方法で製造したことを示す。また、構造式中のHClは塩酸塩であることを示し、HClの前の数字はモル比を示す。例えば2HClは二塩酸塩であることを意味する。
PEx: 製造例番号、Ex: 実施例番号、Syn:製造方法(当該化合物が、その欄に記載されている実施例番号の化合物と同様の製造法により製造されたことを示す)、PSyn:製造方法(当該化合物が、その欄に記載されている製造例番号の化合物と同様の製造法により製造されたことを示す)、No: 化合物番号、Str: 構造式、DAT: 物理化学的データ、EI+: 質量分析におけるm/z値(イオン化法EI、断りのない場合(M)+を表す)、ESI+: 質量分析におけるm/z値(イオン化法ESI、断りのない場合(M+H)+)、ESI-: m/z値(イオン化法ESI、断りのない場合(M-H)-)、NMR1: DMSO-d6中の1H NMRにおけるδ(ppm)、NMR2: CDCl3中の1H NMRにおけるδ(ppm)、s: 一重線(スペクトル)、d: 二重線(スペクトル)、t: 三重線(スペクトル)、q: 四重線(スペクトル)、br: 幅広線(スペクトル)(例:br-s)、RT: HPLCでの保持時間(分)を示す。また、次の略号は、tBu: tert-ブチル、MeOH: メタノール、DME: 1,2-ジメトキシエタン、DMF: N,N-ジメチルホルムアミド、TFA: トリフルオロ酢酸、THF: テトラヒドロフラン、DBU: 1,8-ジアザビシクロ[5.4.0]-7-ウンデセン、CDI: 1,1'-カルボニルジイミダゾール、DPPA: ジフェニルホスホリルアジド、HATU: O-(7-アザベンゾトリアゾール-1-イル)-N,N,N',N'-テトラメチルウロニウム ヘキサフルオロホスファート、WSC: N-[3-(ジメチルアミノ)プロピル]-N'-エチルカルボジイミド、WSC・HCl: N-[3-(ジメチルアミノ)プロピル]-N'-エチルカルボジイミド 塩酸塩、HOAT: 1-ヒドロキシ-7-アザベンゾトリアゾール、HOBt: 1-ヒドロキシベンゾトリアゾール、DMAP: 4-(ジメチルアミノ)ピリジン、DAST: ジエチルアミノサルファートリフルオリド、BINAP: 2,2'-ビス(ジフェニルホスフィノ)-1,1'-ビナフタレン、DIBAL: 水素化ジイソブチルアルミニウムを示す。また、PSyn及びSynにおける3+4との記載は、実施例3と同様の方法で製造し、引き続きその生成物を原料として実施例4と同様の方法で製造したことを示す。また、構造式中のHClは塩酸塩であることを示し、HClの前の数字はモル比を示す。例えば2HClは二塩酸塩であることを意味する。
製造例1
メチル 2-[(tert-ブトキシカルボニル)アミノ]イソニコチナート(3.00 g)、2-ブロモエチルメチルエーテル(1.98 g)、炭酸セシウム(11.6 g)及び、DMF(30 mL)の混合物を70℃で5時間攪拌した。放冷後、反応混合物を減圧下濃縮し、酢酸エチルと水を加えて抽出操作を行い、得られた有機層を水洗後、無水硫酸マグネシウムで乾燥した。溶媒を減圧下留去し、得られた残渣をシリカゲルカラムクロマトグラフィー(n-ヘキサン:酢酸エチル=100:0-80:20)にて精製し、メチル 2-[(tert-ブトキシカルボニル)(2-メトキシエチル)アミノ]イソニコチナート(2.95 g)を無色油状物として得た。
メチル 2-[(tert-ブトキシカルボニル)アミノ]イソニコチナート(3.00 g)、2-ブロモエチルメチルエーテル(1.98 g)、炭酸セシウム(11.6 g)及び、DMF(30 mL)の混合物を70℃で5時間攪拌した。放冷後、反応混合物を減圧下濃縮し、酢酸エチルと水を加えて抽出操作を行い、得られた有機層を水洗後、無水硫酸マグネシウムで乾燥した。溶媒を減圧下留去し、得られた残渣をシリカゲルカラムクロマトグラフィー(n-ヘキサン:酢酸エチル=100:0-80:20)にて精製し、メチル 2-[(tert-ブトキシカルボニル)(2-メトキシエチル)アミノ]イソニコチナート(2.95 g)を無色油状物として得た。
製造例2
メチル 2-[(tert-ブトキシカルボニル)(2-メトキシエチル)アミノ]イソニコチナート(2.95 g)とメタノール(59 mL)の混合物に1M 水酸化ナトリウム水溶液(11.4 mL)を加え、50℃で2時間攪拌した。放冷後、1M 塩酸を加え、反応混合物を中和した後、酢酸エチルで抽出した。有機層を飽和食塩水で洗浄後、無水硫酸マグネシウムで乾燥し、溶媒を減圧下留去し、2-[(tert-ブトキシカルボニル)(2-メトキシエチル)アミノ]イソニコチン酸(2.77 g)を白色固体として得た。
メチル 2-[(tert-ブトキシカルボニル)(2-メトキシエチル)アミノ]イソニコチナート(2.95 g)とメタノール(59 mL)の混合物に1M 水酸化ナトリウム水溶液(11.4 mL)を加え、50℃で2時間攪拌した。放冷後、1M 塩酸を加え、反応混合物を中和した後、酢酸エチルで抽出した。有機層を飽和食塩水で洗浄後、無水硫酸マグネシウムで乾燥し、溶媒を減圧下留去し、2-[(tert-ブトキシカルボニル)(2-メトキシエチル)アミノ]イソニコチン酸(2.77 g)を白色固体として得た。
製造例3
2-[(tert-ブトキシカルボニル)(2-メトキシエチル)アミノ]イソニコチン酸(2.77 g)とDMF(55.4 mL)の混合物に、L-セリンメチルエステル 塩酸塩(1.60 g)、WSC・HCl(2.69 g)、HOBt(1.90 g)及び、トリエチルアミン(3.91 mL)を加え、室温で終夜攪拌した。反応混合物を減圧下濃縮し、残渣に酢酸エチルを加えた。水と飽和食塩水で順次洗浄後、有機層を無水硫酸マグネシウムで乾燥した。溶媒を減圧下留去し、残渣をシリカゲルカラムクロマトグラフィー(クロロホルム:メタノール=100:0-95:5)にて精製し、メチル N-{2-[(tert-ブトキシカルボニル)(2-メトキシエチル)アミノ]イソニコチノイル}-L-セリナート(3.71 g)を無色油状物としてを得た。
2-[(tert-ブトキシカルボニル)(2-メトキシエチル)アミノ]イソニコチン酸(2.77 g)とDMF(55.4 mL)の混合物に、L-セリンメチルエステル 塩酸塩(1.60 g)、WSC・HCl(2.69 g)、HOBt(1.90 g)及び、トリエチルアミン(3.91 mL)を加え、室温で終夜攪拌した。反応混合物を減圧下濃縮し、残渣に酢酸エチルを加えた。水と飽和食塩水で順次洗浄後、有機層を無水硫酸マグネシウムで乾燥した。溶媒を減圧下留去し、残渣をシリカゲルカラムクロマトグラフィー(クロロホルム:メタノール=100:0-95:5)にて精製し、メチル N-{2-[(tert-ブトキシカルボニル)(2-メトキシエチル)アミノ]イソニコチノイル}-L-セリナート(3.71 g)を無色油状物としてを得た。
製造例4
メチル N-{2-[(tert-ブトキシカルボニル)(2-メトキシエチル)アミノ]イソニコチノイル}-L-セリナート(3.71 g)と塩化メチレン(37.1 mL)の混合物に、-78℃でDAST(1.36 mL)を滴下し、15分間攪拌した。-40℃まで昇温してDBU(5.10 mL)を加えた後、室温まで昇温してブロモ(トリクロロ)メタン(3.34 mL)を加え、終夜攪拌した。水を加え、クロロホルムで抽出し、有機層を飽和炭酸水素ナトリウム水溶液と飽和食塩水で順次洗浄後、無水硫酸マグネシウムで乾燥した。溶媒を減圧下留去し、残渣をシリカゲルカラムクロマトグラフィー(クロロホルム)にて精製し、メチル 2-{2-[(tert-ブトキシカルボニル)(2-メトキシエチル)アミノ]ピリジン-4-イル}-1,3-オキサゾール-4-カルボキシラート(1.96 g)を淡黄色固体として得た。
メチル N-{2-[(tert-ブトキシカルボニル)(2-メトキシエチル)アミノ]イソニコチノイル}-L-セリナート(3.71 g)と塩化メチレン(37.1 mL)の混合物に、-78℃でDAST(1.36 mL)を滴下し、15分間攪拌した。-40℃まで昇温してDBU(5.10 mL)を加えた後、室温まで昇温してブロモ(トリクロロ)メタン(3.34 mL)を加え、終夜攪拌した。水を加え、クロロホルムで抽出し、有機層を飽和炭酸水素ナトリウム水溶液と飽和食塩水で順次洗浄後、無水硫酸マグネシウムで乾燥した。溶媒を減圧下留去し、残渣をシリカゲルカラムクロマトグラフィー(クロロホルム)にて精製し、メチル 2-{2-[(tert-ブトキシカルボニル)(2-メトキシエチル)アミノ]ピリジン-4-イル}-1,3-オキサゾール-4-カルボキシラート(1.96 g)を淡黄色固体として得た。
製造例5
メチル 2-{2-[(tert-ブトキシカルボニル)(2-メトキシエチル)アミノ]ピリジン-4-イル}-1,3-オキサゾール-4-カルボキシラート(1.95 g)とメタノール(39 mL)の混合物に1M 水酸化ナトリウム水溶液(5.68 mL)を加え、50℃で1時間攪拌した。放冷後、1M 塩酸を加えて反応混合物を中和し、減圧下濃縮後、残渣に酢酸エチルを加えた。飽和食塩水で洗浄後、有機層を無水硫酸マグネシウムで乾燥し、溶媒を減圧下留去し、2-{2-[(tert-ブトキシカルボニル)(2-メトキシエチル)アミノ]ピリジン-4-イル}-1,3-オキサゾール-4-カルボン酸(1.51 g)を淡黄色固体として得た。
メチル 2-{2-[(tert-ブトキシカルボニル)(2-メトキシエチル)アミノ]ピリジン-4-イル}-1,3-オキサゾール-4-カルボキシラート(1.95 g)とメタノール(39 mL)の混合物に1M 水酸化ナトリウム水溶液(5.68 mL)を加え、50℃で1時間攪拌した。放冷後、1M 塩酸を加えて反応混合物を中和し、減圧下濃縮後、残渣に酢酸エチルを加えた。飽和食塩水で洗浄後、有機層を無水硫酸マグネシウムで乾燥し、溶媒を減圧下留去し、2-{2-[(tert-ブトキシカルボニル)(2-メトキシエチル)アミノ]ピリジン-4-イル}-1,3-オキサゾール-4-カルボン酸(1.51 g)を淡黄色固体として得た。
製造例6
メチル 2-{2-[(tert-ブトキシカルボニル)アミノ]ピリジン-4-イル}-1,3-オキサゾール-4-カルボキシラート(1.50 g)、炭酸セシウム(3.06 g)、DMF(30 mL)の混合物に、2,2,2-トリフルオロエチル トリフルオロメタンスルホナート(0.948 mL)を0℃で加えた後、室温で2時間攪拌した。飽和炭酸水素ナトリウム水溶液を加え、酢酸エチルで抽出し、有機層を無水硫酸マグネシウムで乾燥後、減圧下濃縮し、残渣をシリカゲルカラムクロマトグラフィー(n-ヘキサン:酢酸エチル=90:10-70:30)にて精製し、メチル 2-{2-[(tert-ブトキシカルボニル)(2,2,2-トリフルオロエチル)アミノ]ピリジン-4-イル}-1,3-オキサゾール-4-カルボキシラート(1.74 g)を白色固体として得た。
メチル 2-{2-[(tert-ブトキシカルボニル)アミノ]ピリジン-4-イル}-1,3-オキサゾール-4-カルボキシラート(1.50 g)、炭酸セシウム(3.06 g)、DMF(30 mL)の混合物に、2,2,2-トリフルオロエチル トリフルオロメタンスルホナート(0.948 mL)を0℃で加えた後、室温で2時間攪拌した。飽和炭酸水素ナトリウム水溶液を加え、酢酸エチルで抽出し、有機層を無水硫酸マグネシウムで乾燥後、減圧下濃縮し、残渣をシリカゲルカラムクロマトグラフィー(n-ヘキサン:酢酸エチル=90:10-70:30)にて精製し、メチル 2-{2-[(tert-ブトキシカルボニル)(2,2,2-トリフルオロエチル)アミノ]ピリジン-4-イル}-1,3-オキサゾール-4-カルボキシラート(1.74 g)を白色固体として得た。
製造例7
メチル 2-(2-クロロピリジン-4-イル)-1,3-オキサゾール-4-カルボキシラート(960 mg)、m-クロロ過安息香酸(903 mg)及び、塩化メチレン(20 mL)の混合物を40℃で10時間攪拌した。放冷後、飽和チオ硫酸ナトリウム水溶液、飽和炭酸水素ナトリウム水溶液を加え、クロロホルムで抽出した。有機層を飽和炭酸水素ナトリウム水溶液と飽和食塩水で順次洗浄した後、無水硫酸マグネシウムで乾燥した。溶媒を減圧下留去して得られた固体を、酢酸エチルで洗浄後濾取し、減圧下乾燥することにより、メチル 2-(2-クロロ-1-オキシドピリジン-4-イル)-1,3-オキサゾール-4-カルボキシラート(780 mg)を白色固体として得た。
メチル 2-(2-クロロピリジン-4-イル)-1,3-オキサゾール-4-カルボキシラート(960 mg)、m-クロロ過安息香酸(903 mg)及び、塩化メチレン(20 mL)の混合物を40℃で10時間攪拌した。放冷後、飽和チオ硫酸ナトリウム水溶液、飽和炭酸水素ナトリウム水溶液を加え、クロロホルムで抽出した。有機層を飽和炭酸水素ナトリウム水溶液と飽和食塩水で順次洗浄した後、無水硫酸マグネシウムで乾燥した。溶媒を減圧下留去して得られた固体を、酢酸エチルで洗浄後濾取し、減圧下乾燥することにより、メチル 2-(2-クロロ-1-オキシドピリジン-4-イル)-1,3-オキサゾール-4-カルボキシラート(780 mg)を白色固体として得た。
製造例8
メチル 2-(2-クロロ-1-オキシドピリジン-4-イル)-1,3-オキサゾール-4-カルボキシラート(500 mg)、シクロプロパンアミン(224 mg)、N,N-ジイソプロピルエチルアミン(684 μL)及び、2-プロパノール(7.5 mL)の混合物を、マイクロウェーブ反応装置を用いて120℃で1時間攪拌した。水を加えクロロホルムで抽出し、有機層を飽和食塩水で洗浄後、無水硫酸マグネシウムで乾燥した。溶媒を減圧下留去し、残渣をシリカゲルカラムクロマトグラフィー(クロロホルム:メタノール=99:1-95:5)にて精製し、メチル 2-[2-(シクロプロピルアミノ)-1-オキシドピリジン-4-イル]-1,3-オキサゾール-4-カルボキシラート(190 mg)を淡黄色固体として得た。
メチル 2-(2-クロロ-1-オキシドピリジン-4-イル)-1,3-オキサゾール-4-カルボキシラート(500 mg)、シクロプロパンアミン(224 mg)、N,N-ジイソプロピルエチルアミン(684 μL)及び、2-プロパノール(7.5 mL)の混合物を、マイクロウェーブ反応装置を用いて120℃で1時間攪拌した。水を加えクロロホルムで抽出し、有機層を飽和食塩水で洗浄後、無水硫酸マグネシウムで乾燥した。溶媒を減圧下留去し、残渣をシリカゲルカラムクロマトグラフィー(クロロホルム:メタノール=99:1-95:5)にて精製し、メチル 2-[2-(シクロプロピルアミノ)-1-オキシドピリジン-4-イル]-1,3-オキサゾール-4-カルボキシラート(190 mg)を淡黄色固体として得た。
製造例9
メチル 2-[2-(シクロプロピルアミノ)-1-オキシドピリジン-4-イル]-1,3-オキサゾール-4-カルボキシラート(510 mg)とTHF(10 mL)の混合物に塩化アンモニウム(1.98 g)、水(5 mL)及び、亜鉛(1.21 g)を加え、室温で15分間、続いて60℃で15分間攪拌した。反応混合物をクロロホルムで希釈して、不溶物を濾別した後、濾液を水と飽和食塩水で順次洗浄し、無水硫酸マグネシウムで乾燥した。溶媒を減圧下留去し、残渣をシリカゲルカラムクロマトグラフィー(クロロホルム:メタノール=100:0-98:2)にて精製し、メチル 2-[2-(シクロプロピルアミノ)ピリジン-4-イル]-1,3-オキサゾール-4-カルボキシラート(70 mg)を淡黄色固体として得た。
メチル 2-[2-(シクロプロピルアミノ)-1-オキシドピリジン-4-イル]-1,3-オキサゾール-4-カルボキシラート(510 mg)とTHF(10 mL)の混合物に塩化アンモニウム(1.98 g)、水(5 mL)及び、亜鉛(1.21 g)を加え、室温で15分間、続いて60℃で15分間攪拌した。反応混合物をクロロホルムで希釈して、不溶物を濾別した後、濾液を水と飽和食塩水で順次洗浄し、無水硫酸マグネシウムで乾燥した。溶媒を減圧下留去し、残渣をシリカゲルカラムクロマトグラフィー(クロロホルム:メタノール=100:0-98:2)にて精製し、メチル 2-[2-(シクロプロピルアミノ)ピリジン-4-イル]-1,3-オキサゾール-4-カルボキシラート(70 mg)を淡黄色固体として得た。
製造例10
メチル 2-{2-[(tert-ブトキシカルボニル)アミノ]ピリジン-4-イル}-1,3-オキサゾール-4-カルボキシラート(2.17 g)と塩化メチレン(33 mL)の混合物に、室温でTFA(5.2 mL)を加え、4時間攪拌した。減圧下濃縮後、飽和炭酸水素ナトリウム水溶液を加え、生じた固体を濾取し、水洗後、減圧下乾燥することにより、メチル 2-(2-アミノピリジン-4-イル)-1,3-オキサゾール-4-カルボキシラート(1.46 g)を得た。
メチル 2-{2-[(tert-ブトキシカルボニル)アミノ]ピリジン-4-イル}-1,3-オキサゾール-4-カルボキシラート(2.17 g)と塩化メチレン(33 mL)の混合物に、室温でTFA(5.2 mL)を加え、4時間攪拌した。減圧下濃縮後、飽和炭酸水素ナトリウム水溶液を加え、生じた固体を濾取し、水洗後、減圧下乾燥することにより、メチル 2-(2-アミノピリジン-4-イル)-1,3-オキサゾール-4-カルボキシラート(1.46 g)を得た。
製造例11
メチル 2-(2-アミノピリジン-4-イル)-1,3-オキサゾール-4-カルボキシラート(150 mg)とアダマンタン-1-オール(312 mg)の混合物にTFA(684 μL)を室温で加えた後、100℃に昇温し10時間攪拌した。反応混合物を放冷後、氷水に注ぎ、濃アンモニア水を加えて中和した。析出した固体を濾取し、減圧下乾燥した後、シリカゲルカラムクロマトグラフィー(クロロホルム:メタノール=100:0-96:4)にて精製し、メチル 2-[2-(アダマンタン-1-イルアミノ)ピリジン-4-イル]-1,3-オキサゾール-4-カルボキシラート(74 mg)を白色固体として得た。
メチル 2-(2-アミノピリジン-4-イル)-1,3-オキサゾール-4-カルボキシラート(150 mg)とアダマンタン-1-オール(312 mg)の混合物にTFA(684 μL)を室温で加えた後、100℃に昇温し10時間攪拌した。反応混合物を放冷後、氷水に注ぎ、濃アンモニア水を加えて中和した。析出した固体を濾取し、減圧下乾燥した後、シリカゲルカラムクロマトグラフィー(クロロホルム:メタノール=100:0-96:4)にて精製し、メチル 2-[2-(アダマンタン-1-イルアミノ)ピリジン-4-イル]-1,3-オキサゾール-4-カルボキシラート(74 mg)を白色固体として得た。
製造例12
メチル 2-(2-クロロキノリン-4-イル)-1,3-オキサゾール-4-カルボキシラート(491 mg)、ベンゾフェノンイミン(616 mg)、ナトリウム tert-ブトキシド(245 mg)、BINAP(106 mg)、トリス(ジベンジリデンアセトン)ジパラジウム(0)(78 mg)及び、トルエン(10 mL)の混合物を、窒素雰囲気下80℃で2時間攪拌した。放冷後、反応混合物を酢酸エチルで希釈し、不溶物を濾別した。濾液を減圧下濃縮し、残渣にTHFと1M 塩酸の混合液(1:1、10 mL)を加え、室温で2時間攪拌した。反応混合物をジエチルエーテルで洗浄した後、得られた水層に2M 炭酸カリウム水溶液を加えることにより、pHを約10とした。クロロホルムを加えて抽出操作を行った後、有機層を飽和食塩水で洗浄し、無水硫酸マグネシウムで乾燥した。溶媒を減圧下留去して得られた固体を、クロロホルムで洗浄後濾取し、減圧下乾燥することにより、メチル 2-(2-アミノキノリン-4-イル)-1,3-オキサゾール-4-カルボキシラート(90 mg)を灰白色固体として得た。
メチル 2-(2-クロロキノリン-4-イル)-1,3-オキサゾール-4-カルボキシラート(491 mg)、ベンゾフェノンイミン(616 mg)、ナトリウム tert-ブトキシド(245 mg)、BINAP(106 mg)、トリス(ジベンジリデンアセトン)ジパラジウム(0)(78 mg)及び、トルエン(10 mL)の混合物を、窒素雰囲気下80℃で2時間攪拌した。放冷後、反応混合物を酢酸エチルで希釈し、不溶物を濾別した。濾液を減圧下濃縮し、残渣にTHFと1M 塩酸の混合液(1:1、10 mL)を加え、室温で2時間攪拌した。反応混合物をジエチルエーテルで洗浄した後、得られた水層に2M 炭酸カリウム水溶液を加えることにより、pHを約10とした。クロロホルムを加えて抽出操作を行った後、有機層を飽和食塩水で洗浄し、無水硫酸マグネシウムで乾燥した。溶媒を減圧下留去して得られた固体を、クロロホルムで洗浄後濾取し、減圧下乾燥することにより、メチル 2-(2-アミノキノリン-4-イル)-1,3-オキサゾール-4-カルボキシラート(90 mg)を灰白色固体として得た。
製造例13
メチル N-(2-クロロ-6-メチルイソニコチノイル)-L-セリナート(1.12 g)と塩化メチレン(45 mL)の混合物に、-50℃でDAST(0.681 mL)を滴下した後、3時間かけて-10℃まで昇温した。反応混合物に氷水を加えてからクロロホルムで抽出し、有機層を無水硫酸マグネシウムで乾燥した後、溶媒を減圧下留去し、メチル 2-(2-クロロ-6-メチルピリジン-4-イル)-4,5-ジヒドロ-1,3-オキサゾール-4-カルボキシラート(1.05 g)を褐色油状物として得た。
メチル N-(2-クロロ-6-メチルイソニコチノイル)-L-セリナート(1.12 g)と塩化メチレン(45 mL)の混合物に、-50℃でDAST(0.681 mL)を滴下した後、3時間かけて-10℃まで昇温した。反応混合物に氷水を加えてからクロロホルムで抽出し、有機層を無水硫酸マグネシウムで乾燥した後、溶媒を減圧下留去し、メチル 2-(2-クロロ-6-メチルピリジン-4-イル)-4,5-ジヒドロ-1,3-オキサゾール-4-カルボキシラート(1.05 g)を褐色油状物として得た。
製造例14
メチル 2-(2-クロロ-6-メチルピリジン-4-イル)-4,5-ジヒドロ-1,3-オキサゾール-4-カルボキシラート(1.05 g)と塩化メチレン(24.3 mL)の混合物に、-5℃でDBU(1.35 mL)とブロモ(トリクロロ)メタン(0.886 mL)を順次滴下した後、室温に昇温して2時間撹拌した。反応混合物をクロロホルムで希釈した後、水洗し、無水硫酸マグネシウムで乾燥した。溶媒を減圧下留去し、残査をシリカゲルカラムクロマトグラフィー(クロロホルム:メタノール=100:0-98:2)にて精製し、メチル 2-(2-クロロ-6-メチルピリジン4-イル)-1,3-オキサゾール-4-カルボキシラート(835 mg)を淡黄色固体として得た。
メチル 2-(2-クロロ-6-メチルピリジン-4-イル)-4,5-ジヒドロ-1,3-オキサゾール-4-カルボキシラート(1.05 g)と塩化メチレン(24.3 mL)の混合物に、-5℃でDBU(1.35 mL)とブロモ(トリクロロ)メタン(0.886 mL)を順次滴下した後、室温に昇温して2時間撹拌した。反応混合物をクロロホルムで希釈した後、水洗し、無水硫酸マグネシウムで乾燥した。溶媒を減圧下留去し、残査をシリカゲルカラムクロマトグラフィー(クロロホルム:メタノール=100:0-98:2)にて精製し、メチル 2-(2-クロロ-6-メチルピリジン4-イル)-1,3-オキサゾール-4-カルボキシラート(835 mg)を淡黄色固体として得た。
製造例15
メチル 2-(2-クロロ-6-メチルピリジン-4-イル)-1,3-オキサゾール-4-カルボキシラート(3.70 g)、ベンゾフェノンイミン(3.98 g)及び、BINAP(1.82 g)をトルエン(100 mL)に懸濁し、窒素を通じて3分間脱気した。トリス(ジベンジリデンアセトン)ジパラジウム(0)(1.34 g)とナトリウム tert-ブトキシド(2.11 g)を加えてから、窒素雰囲気下で8時間加熱還流した。トルエンを減圧下留去し、残査をTHF(50mL)と水(50mL)の混合液に溶解後、酢酸エチル(100mL)と活性炭(2g)を加えて20分間撹拌した。活性炭を濾別後、濾液を分液し、得られた有機層を飽和食塩水で洗浄してから、無水硫酸マグネシウムで乾燥した。溶媒を減圧下留去し、残査をシリカゲルカラムクロマトグラフィー(n-ヘキサン:酢酸エチル=80:20-50:50)にて精製し、メチル 2-{2-[(ジフェニルメチレン)アミノ]-6-メチルピリジン-4-イル}-1,3-オキサゾール-4-カルボキシラート(3.36 g)を淡黄色固体として得た。
メチル 2-(2-クロロ-6-メチルピリジン-4-イル)-1,3-オキサゾール-4-カルボキシラート(3.70 g)、ベンゾフェノンイミン(3.98 g)及び、BINAP(1.82 g)をトルエン(100 mL)に懸濁し、窒素を通じて3分間脱気した。トリス(ジベンジリデンアセトン)ジパラジウム(0)(1.34 g)とナトリウム tert-ブトキシド(2.11 g)を加えてから、窒素雰囲気下で8時間加熱還流した。トルエンを減圧下留去し、残査をTHF(50mL)と水(50mL)の混合液に溶解後、酢酸エチル(100mL)と活性炭(2g)を加えて20分間撹拌した。活性炭を濾別後、濾液を分液し、得られた有機層を飽和食塩水で洗浄してから、無水硫酸マグネシウムで乾燥した。溶媒を減圧下留去し、残査をシリカゲルカラムクロマトグラフィー(n-ヘキサン:酢酸エチル=80:20-50:50)にて精製し、メチル 2-{2-[(ジフェニルメチレン)アミノ]-6-メチルピリジン-4-イル}-1,3-オキサゾール-4-カルボキシラート(3.36 g)を淡黄色固体として得た。
製造例16
メチル 2-{2-[(ジフェニルメチレン)アミノ]-6-メチルピリジン-4-イル}-1,3-オキサゾール-4-カルボキシラート(3.35 g)とメタノール(30 mL)の混合物に、5M 水酸化ナトリウム水溶液(5.06 mL)を加え、50℃で3時間撹拌した。放冷後、メタノールを減圧下留去し、酢酸エチルを加え、更に6M 塩酸を加えることによりpHを約3とした。沈殿物を濾取し、酢酸エチル(50 mL)で洗浄後、減圧下乾燥し、2-(2-アミノ-6-メチルピリジン-4-イル)-1,3-オキサゾール-4-カルボン酸(1.13 g)を淡褐色固体として得た。
メチル 2-{2-[(ジフェニルメチレン)アミノ]-6-メチルピリジン-4-イル}-1,3-オキサゾール-4-カルボキシラート(3.35 g)とメタノール(30 mL)の混合物に、5M 水酸化ナトリウム水溶液(5.06 mL)を加え、50℃で3時間撹拌した。放冷後、メタノールを減圧下留去し、酢酸エチルを加え、更に6M 塩酸を加えることによりpHを約3とした。沈殿物を濾取し、酢酸エチル(50 mL)で洗浄後、減圧下乾燥し、2-(2-アミノ-6-メチルピリジン-4-イル)-1,3-オキサゾール-4-カルボン酸(1.13 g)を淡褐色固体として得た。
製造例17
4-クロロピリジン-2-カルボン酸(5.00 g)とtert-ブチルアルコール(128 mL)の混合物にトリエチルアミン(6.64 mL)とDPPA(8.21 mL)を室温で加えた後、2時間加熱還流した。反応混合物を放冷後、飽和炭酸水素ナトリウム水溶液を加え、クロロホルムで抽出し、有機層を飽和食塩水で洗浄した。無水硫酸マグネシウムで乾燥後、溶媒を減圧下留去し、残渣をシリカゲルカラムクロマトグラフィー(n-ヘキサン:酢酸エチル=6:1)にて精製し、tert-ブチル (4-クロロピリジン-2-イル)カルバマート(6.52 g)を白色固体として得た。
4-クロロピリジン-2-カルボン酸(5.00 g)とtert-ブチルアルコール(128 mL)の混合物にトリエチルアミン(6.64 mL)とDPPA(8.21 mL)を室温で加えた後、2時間加熱還流した。反応混合物を放冷後、飽和炭酸水素ナトリウム水溶液を加え、クロロホルムで抽出し、有機層を飽和食塩水で洗浄した。無水硫酸マグネシウムで乾燥後、溶媒を減圧下留去し、残渣をシリカゲルカラムクロマトグラフィー(n-ヘキサン:酢酸エチル=6:1)にて精製し、tert-ブチル (4-クロロピリジン-2-イル)カルバマート(6.52 g)を白色固体として得た。
製造例18
tert-ブチル (4-クロロピリジン-2-イル)カルバマート(1.00 g)、4,4,4',4',5,5,5',5'-オクタメチル-2,2'-ビ-1,3,2-ジオキサボロラン(1.33 g)、トリス(ジベンジリデンアセトン)ジパラジウム(0)(100 mg)、酢酸カリウム(644 mg)、トリシクロヘキシルホスフィン(147 mg)及び、1,4-ジオキサン(30 mL)の混合物を、窒素雰囲気下80℃で4時間攪拌した。放冷後、反応混合物を酢酸エチルで希釈し、飽和炭酸水素ナトリウム水溶液、水、飽和食塩水で順次洗浄した。無水硫酸マグネシウムで乾燥した後、溶媒を減圧下留去し、残渣をシリカゲルカラムクロマトグラフィー(クロロホルム:メタノール=99:1-80:20)にて精製し、tert-ブチル [4-(4,4,5,5-テトラメチル-1,3,2-ジオキサボロラン-2-イル)ピリジン-2-イル]カルバマート(1.40 g)を灰白色固体として得た。
tert-ブチル (4-クロロピリジン-2-イル)カルバマート(1.00 g)、4,4,4',4',5,5,5',5'-オクタメチル-2,2'-ビ-1,3,2-ジオキサボロラン(1.33 g)、トリス(ジベンジリデンアセトン)ジパラジウム(0)(100 mg)、酢酸カリウム(644 mg)、トリシクロヘキシルホスフィン(147 mg)及び、1,4-ジオキサン(30 mL)の混合物を、窒素雰囲気下80℃で4時間攪拌した。放冷後、反応混合物を酢酸エチルで希釈し、飽和炭酸水素ナトリウム水溶液、水、飽和食塩水で順次洗浄した。無水硫酸マグネシウムで乾燥した後、溶媒を減圧下留去し、残渣をシリカゲルカラムクロマトグラフィー(クロロホルム:メタノール=99:1-80:20)にて精製し、tert-ブチル [4-(4,4,5,5-テトラメチル-1,3,2-ジオキサボロラン-2-イル)ピリジン-2-イル]カルバマート(1.40 g)を灰白色固体として得た。
製造例19
エチル 2-クロロ-1,3-オキサゾール-5-カルボキシラート(0.527 g)、tert-ブチル [4-(4,4,5,5-テトラメチル-1,3,2-ジオキサボロラン-2-イル)ピリジン-2-イル]カルバマート(1.15 g)、テトラキス(トリフェニルホスフィン)パラジウム(0)(0.173 g)及び、DME(15 mL)の混合物に、室温で2M 炭酸ナトリウム水溶液を加え、脱気した後2時間加熱還流した。放冷後、酢酸エチル、水を加え、不溶物を濾別した。ろ液の有機層を飽和食塩水で洗浄後、無水硫酸マグネシウムで乾燥した。溶媒を減圧下留去し、残渣をシリカゲルカラムクロマトグラフィー(n-ヘキサン:酢酸エチル=8:2-2:8)にて精製し、エチル 2-{2-[(tert-ブトキシカルボニル)アミノ]ピリジン-4-イル}-1,3-オキサゾール-5-カルボキシラート(34 mg)を灰白色固体として得た。
エチル 2-クロロ-1,3-オキサゾール-5-カルボキシラート(0.527 g)、tert-ブチル [4-(4,4,5,5-テトラメチル-1,3,2-ジオキサボロラン-2-イル)ピリジン-2-イル]カルバマート(1.15 g)、テトラキス(トリフェニルホスフィン)パラジウム(0)(0.173 g)及び、DME(15 mL)の混合物に、室温で2M 炭酸ナトリウム水溶液を加え、脱気した後2時間加熱還流した。放冷後、酢酸エチル、水を加え、不溶物を濾別した。ろ液の有機層を飽和食塩水で洗浄後、無水硫酸マグネシウムで乾燥した。溶媒を減圧下留去し、残渣をシリカゲルカラムクロマトグラフィー(n-ヘキサン:酢酸エチル=8:2-2:8)にて精製し、エチル 2-{2-[(tert-ブトキシカルボニル)アミノ]ピリジン-4-イル}-1,3-オキサゾール-5-カルボキシラート(34 mg)を灰白色固体として得た。
製造例20
2-ブロモエチルメチルエーテル(1.80 mL)、メチル 4-ニトロ-1H-ピラゾール-3-カルボキシラート(3.00 g)、炭酸カリウム(7.27 g)及び、DMFの混合物を50℃で1時間撹拌した。水を加え、酢酸エチルで抽出し、有機層を飽和食塩水で洗浄後、無水硫酸マグネシウムで乾燥した。溶媒を減圧下留去し、残渣をシリカゲルカラムクロマトグラフィー(n-ヘキサン:酢酸エチル=100:0-85:15)にて精製し、低極性物質としてメチル 1-(2-メトキシエチル)-4-ニトロ-1H-ピラゾール-5-カルボキシラート(PEx.20-1)(790 mg)を、高極性物質としてメチル 1-(2-メトキシエチル)-4-ニトロ-1H-ピラゾール-3-カルボキシラート(PEx.20-2)(2.35 g)を得た。
2-ブロモエチルメチルエーテル(1.80 mL)、メチル 4-ニトロ-1H-ピラゾール-3-カルボキシラート(3.00 g)、炭酸カリウム(7.27 g)及び、DMFの混合物を50℃で1時間撹拌した。水を加え、酢酸エチルで抽出し、有機層を飽和食塩水で洗浄後、無水硫酸マグネシウムで乾燥した。溶媒を減圧下留去し、残渣をシリカゲルカラムクロマトグラフィー(n-ヘキサン:酢酸エチル=100:0-85:15)にて精製し、低極性物質としてメチル 1-(2-メトキシエチル)-4-ニトロ-1H-ピラゾール-5-カルボキシラート(PEx.20-1)(790 mg)を、高極性物質としてメチル 1-(2-メトキシエチル)-4-ニトロ-1H-ピラゾール-3-カルボキシラート(PEx.20-2)(2.35 g)を得た。
製造例21
テトラヒドロ-2H-ピラン-4-イル メタンスルホナート(3.29 g)とDMF(26 mL)の混合物に、メチル 4-ニトロ-1H-ピラゾール-3-カルボキシラート(2.60 g)と炭酸カリウム(4.20 g)を加え、120℃で8時間撹拌した。水を加え、酢酸エチルで抽出し、有機層を飽和塩化アンモニウム水溶液、飽和食塩水で順次洗浄し、無水硫酸マグネシウムで乾燥した。溶媒を減圧下留去し、残渣をシリカゲルカラムクロマトグラフィー(n-ヘキサン:酢酸エチル=4:1)にて精製し、メチル 4-ニトロ-1-(テトラヒドロ-2H-ピラン-4-イル)-1H-ピラゾール-3-カルボキシラート(1.10 g)を得た。
テトラヒドロ-2H-ピラン-4-イル メタンスルホナート(3.29 g)とDMF(26 mL)の混合物に、メチル 4-ニトロ-1H-ピラゾール-3-カルボキシラート(2.60 g)と炭酸カリウム(4.20 g)を加え、120℃で8時間撹拌した。水を加え、酢酸エチルで抽出し、有機層を飽和塩化アンモニウム水溶液、飽和食塩水で順次洗浄し、無水硫酸マグネシウムで乾燥した。溶媒を減圧下留去し、残渣をシリカゲルカラムクロマトグラフィー(n-ヘキサン:酢酸エチル=4:1)にて精製し、メチル 4-ニトロ-1-(テトラヒドロ-2H-ピラン-4-イル)-1H-ピラゾール-3-カルボキシラート(1.10 g)を得た。
製造例22
メチル 1-(2-メトキシエチル)-4-ニトロ-1H-ピラゾール-3-カルボキシラート(2.33 g)と8M アンモニア/メタノール溶液(20 mL)の混合物を室温で終夜撹拌した。反応混合物を減圧下濃縮し、1-(2-メトキシエチル)-4-ニトロ-1H-ピラゾール-3-カルボキサミド(2.17 g)を白色固体として得た。
メチル 1-(2-メトキシエチル)-4-ニトロ-1H-ピラゾール-3-カルボキシラート(2.33 g)と8M アンモニア/メタノール溶液(20 mL)の混合物を室温で終夜撹拌した。反応混合物を減圧下濃縮し、1-(2-メトキシエチル)-4-ニトロ-1H-ピラゾール-3-カルボキサミド(2.17 g)を白色固体として得た。
製造例23
メチル 4-ニトロ-1-(テトラヒドロ-2H-ピラン-4-イル)-1H-ピラゾール-3-カルボキシラート(2.40 g)とメタノール(21.8 mL)の混合物に8M アンモニア/メタノール溶液(4.70 mL)を加え、室温で3時間撹拌した。反応混合物を減圧下濃縮し、残渣をシリカゲルカラムクロマトグラフィー(クロロホルム:メタノール=9:1-4:1)にて精製し、4-ニトロ-1-(テトラヒドロ-2H-ピラン-4-イル)-1H-ピラゾール-3-カルボキサミド(920 mg)を白色固体として得た。
メチル 4-ニトロ-1-(テトラヒドロ-2H-ピラン-4-イル)-1H-ピラゾール-3-カルボキシラート(2.40 g)とメタノール(21.8 mL)の混合物に8M アンモニア/メタノール溶液(4.70 mL)を加え、室温で3時間撹拌した。反応混合物を減圧下濃縮し、残渣をシリカゲルカラムクロマトグラフィー(クロロホルム:メタノール=9:1-4:1)にて精製し、4-ニトロ-1-(テトラヒドロ-2H-ピラン-4-イル)-1H-ピラゾール-3-カルボキサミド(920 mg)を白色固体として得た。
製造例24
1-(2-メトキシエチル)-4-ニトロ-1H-ピラゾール-3-カルボキサミド(2.17 g)とメタノール(21.7 mL)の混合物にパラジウム炭素を加え、水素雰囲気下、室温で2時間撹拌した。パラジウム炭素を濾別し、濾液を減圧下濃縮し、4-アミノ-1-(2-メトキシエチル)-1H-ピラゾール-3-カルボキサミド(1.85 g)を淡赤色固体として得た。
1-(2-メトキシエチル)-4-ニトロ-1H-ピラゾール-3-カルボキサミド(2.17 g)とメタノール(21.7 mL)の混合物にパラジウム炭素を加え、水素雰囲気下、室温で2時間撹拌した。パラジウム炭素を濾別し、濾液を減圧下濃縮し、4-アミノ-1-(2-メトキシエチル)-1H-ピラゾール-3-カルボキサミド(1.85 g)を淡赤色固体として得た。
製造例25
4-ニトロ-1-(テトラヒドロ-2H-ピラン-4-イル)-1H-ピラゾール-3-カルボキサミド(3.00 g)とメタノール(60 mL)の混合物に10%パラジウム炭素(50%含水、900 mg)を加え、水素雰囲気下、室温で2時間撹拌した。パラジウム炭素を濾別し、濾液を減圧下濃縮し、4-アミノ-1-(テトラヒドロ-2H-ピラン-4-イル)-1H-ピラゾール-3-カルボキサミド(2.59 g)を薄紫色固体として得た。
4-ニトロ-1-(テトラヒドロ-2H-ピラン-4-イル)-1H-ピラゾール-3-カルボキサミド(3.00 g)とメタノール(60 mL)の混合物に10%パラジウム炭素(50%含水、900 mg)を加え、水素雰囲気下、室温で2時間撹拌した。パラジウム炭素を濾別し、濾液を減圧下濃縮し、4-アミノ-1-(テトラヒドロ-2H-ピラン-4-イル)-1H-ピラゾール-3-カルボキサミド(2.59 g)を薄紫色固体として得た。
製造例26
tert-ブチル 4-[3-(メトキシカルボニル)-4-ニトロ-1H-ピラゾール-1-イル]ピペリジン-1-カルボキシラート(187 mg)とメタノール(2 mL)の混合物に4M 塩化水素/1,4-ジオキサン溶液(5 mL)を加え、室温で終夜攪拌した。反応混合物を減圧下濃縮し、メチル 4-ニトロ-1-(ピペリジン-4-イル)-1H-ピラゾール-3-カルボキシラート 塩酸塩(253 mg)を淡黄色固体として得た。
tert-ブチル 4-[3-(メトキシカルボニル)-4-ニトロ-1H-ピラゾール-1-イル]ピペリジン-1-カルボキシラート(187 mg)とメタノール(2 mL)の混合物に4M 塩化水素/1,4-ジオキサン溶液(5 mL)を加え、室温で終夜攪拌した。反応混合物を減圧下濃縮し、メチル 4-ニトロ-1-(ピペリジン-4-イル)-1H-ピラゾール-3-カルボキシラート 塩酸塩(253 mg)を淡黄色固体として得た。
製造例27
メチル 4-ニトロ-1-(ピペリジン-4-イル)-1H-ピラゾール-3-カルボキシラート 塩酸塩(250 mg)のエタノール(8 mL)混合物に、トリエチルアミン(240 μL)と1H-ベンゾトリアゾール-1-イルメタノール(141 mg)を加え、室温で1時間攪拌した。反応混合物に水素化ホウ素ナトリウム(65 mg)を加え、室温で1時間攪拌した後、水を加え、クロロホルムで抽出した。有機層を飽和食塩水で洗浄後、無水硫酸マグネシウムで乾燥した。溶媒を減圧下留去し、残渣をシリカゲルカラムクロマトグラフィー(クロロホルム:メタノール:10%アンモニア水=100:0:0-92:7.2:0.8)にて精製し、メチル 1-(1-メチルピペリジン-4-イル)-4-ニトロ-1H-ピラゾール-3-カルボキシラート(169 mg)を黄色油状物として得た。
メチル 4-ニトロ-1-(ピペリジン-4-イル)-1H-ピラゾール-3-カルボキシラート 塩酸塩(250 mg)のエタノール(8 mL)混合物に、トリエチルアミン(240 μL)と1H-ベンゾトリアゾール-1-イルメタノール(141 mg)を加え、室温で1時間攪拌した。反応混合物に水素化ホウ素ナトリウム(65 mg)を加え、室温で1時間攪拌した後、水を加え、クロロホルムで抽出した。有機層を飽和食塩水で洗浄後、無水硫酸マグネシウムで乾燥した。溶媒を減圧下留去し、残渣をシリカゲルカラムクロマトグラフィー(クロロホルム:メタノール:10%アンモニア水=100:0:0-92:7.2:0.8)にて精製し、メチル 1-(1-メチルピペリジン-4-イル)-4-ニトロ-1H-ピラゾール-3-カルボキシラート(169 mg)を黄色油状物として得た。
製造例28
1-(1-メチルピペリジン-4-イル)-4-ニトロ-1H-ピラゾール-3-カルボキサミド(814 mg)とメタノール(15 mL)の混合物に、10%パラジウム炭素(50%含水、400 mg)と4M 塩化水素/1,4-ジオキサン溶液(1.6 mL)を加え、水素雰囲気下、室温で攪拌した。反応完結後、パラジウム炭素を濾別し、濾液を減圧下濃縮し、4-アミノ-1-(1-メチルピペリジン-4-イル)-1H-ピラゾール-3-カルボキサミド 二塩酸塩(1.04 g)を淡黄色固体として得た。
1-(1-メチルピペリジン-4-イル)-4-ニトロ-1H-ピラゾール-3-カルボキサミド(814 mg)とメタノール(15 mL)の混合物に、10%パラジウム炭素(50%含水、400 mg)と4M 塩化水素/1,4-ジオキサン溶液(1.6 mL)を加え、水素雰囲気下、室温で攪拌した。反応完結後、パラジウム炭素を濾別し、濾液を減圧下濃縮し、4-アミノ-1-(1-メチルピペリジン-4-イル)-1H-ピラゾール-3-カルボキサミド 二塩酸塩(1.04 g)を淡黄色固体として得た。
製造例29
メチル 4-ニトロ-1H-ピラゾール-3-カルボキシラート(1.80 g)、2-クロロピリジン-5-イルボロン酸(3.31 g)、酢酸銅(II)(2.87 g)、ピリジン(3.6 mL)及び、塩化メチレン(36 mL)の混合物を室温で終夜攪拌した。減圧下濃縮後、残渣をクロロホルムに懸濁し、不溶物を濾別した。濾液を減圧下濃縮後、水を加え、酢酸エチルで抽出した。有機層を飽和食塩水で洗浄し、無水硫酸マグネシウムで乾燥した。溶媒を減圧下留去し、残渣をシリカゲルカラムクロマトグラフィー(n-ヘキサン:酢酸エチル=84:16-67:33)、塩基性シリカゲルカラムクロマトグラフィー(n-ヘキサン:酢酸エチル=84:16-67:33)にて順次精製し、メチル 1-(6-クロロピリジン-3-イル)-4-ニトロ-1H-ピラゾール-3-カルボキシラート(958 mg)を白色固体として得た。
メチル 4-ニトロ-1H-ピラゾール-3-カルボキシラート(1.80 g)、2-クロロピリジン-5-イルボロン酸(3.31 g)、酢酸銅(II)(2.87 g)、ピリジン(3.6 mL)及び、塩化メチレン(36 mL)の混合物を室温で終夜攪拌した。減圧下濃縮後、残渣をクロロホルムに懸濁し、不溶物を濾別した。濾液を減圧下濃縮後、水を加え、酢酸エチルで抽出した。有機層を飽和食塩水で洗浄し、無水硫酸マグネシウムで乾燥した。溶媒を減圧下留去し、残渣をシリカゲルカラムクロマトグラフィー(n-ヘキサン:酢酸エチル=84:16-67:33)、塩基性シリカゲルカラムクロマトグラフィー(n-ヘキサン:酢酸エチル=84:16-67:33)にて順次精製し、メチル 1-(6-クロロピリジン-3-イル)-4-ニトロ-1H-ピラゾール-3-カルボキシラート(958 mg)を白色固体として得た。
製造例30
1-(6-クロロピリジン-3-イル)-4-ニトロ-1H-ピラゾール-3-カルボキサミド(222 mg)、10%パラジウム炭素(50%含水、177 mg)、ギ酸アンモニウム(262 mg)及び、メタノール(6.66 mL)の混合物を70℃で1時間攪拌した。ギ酸アンモニウム(209 mg)を追加した後、70℃で更に1時間攪拌した。放冷後、パラジウム炭素を濾別し、濾液を減圧下濃縮し、残渣をシリカゲルカラムクロマトグラフィー(クロロホルム:メタノール=100:0-96:4)にて精製し、4-アミノ-1-(ピリジン-3-イル)-1H-ピラゾール-3-カルボキサミド(157 mg)を白色固体として得た。
1-(6-クロロピリジン-3-イル)-4-ニトロ-1H-ピラゾール-3-カルボキサミド(222 mg)、10%パラジウム炭素(50%含水、177 mg)、ギ酸アンモニウム(262 mg)及び、メタノール(6.66 mL)の混合物を70℃で1時間攪拌した。ギ酸アンモニウム(209 mg)を追加した後、70℃で更に1時間攪拌した。放冷後、パラジウム炭素を濾別し、濾液を減圧下濃縮し、残渣をシリカゲルカラムクロマトグラフィー(クロロホルム:メタノール=100:0-96:4)にて精製し、4-アミノ-1-(ピリジン-3-イル)-1H-ピラゾール-3-カルボキサミド(157 mg)を白色固体として得た。
製造例31
4-ニトロ-1H-ピラゾール-3-カルボン酸(50.60 g)とDMF(1.01 L)の混合物に炭酸カリウム(133.55 g)を加えて室温で30分攪拌した後、ヨウ化メチル(80.21 mL)を滴下し、室温で8時間攪拌した。溶媒を留去した後、酢酸エチルと水を加えて抽出操作を行い、有機層を分離して水、飽和食塩水で順次洗浄し、無水硫酸マグネシウムで乾燥した。溶媒を減圧下留去し、残渣をシリカゲルカラムクロマトグラフィー(n-ヘキサン:酢酸エチル=3:1-1:3)にて精製し、低極性物質としてメチル 1-メチル-4-ニトロ-1H-ピラゾール-5-カルボキシラート(PEx.31-1) (20.70 g)を、高極性物質としてメチル 1-メチル-4-ニトロ-1H-ピラゾール-3-カルボキシラート(PEx.31-2) (35.90 g)を得た。
4-ニトロ-1H-ピラゾール-3-カルボン酸(50.60 g)とDMF(1.01 L)の混合物に炭酸カリウム(133.55 g)を加えて室温で30分攪拌した後、ヨウ化メチル(80.21 mL)を滴下し、室温で8時間攪拌した。溶媒を留去した後、酢酸エチルと水を加えて抽出操作を行い、有機層を分離して水、飽和食塩水で順次洗浄し、無水硫酸マグネシウムで乾燥した。溶媒を減圧下留去し、残渣をシリカゲルカラムクロマトグラフィー(n-ヘキサン:酢酸エチル=3:1-1:3)にて精製し、低極性物質としてメチル 1-メチル-4-ニトロ-1H-ピラゾール-5-カルボキシラート(PEx.31-1) (20.70 g)を、高極性物質としてメチル 1-メチル-4-ニトロ-1H-ピラゾール-3-カルボキシラート(PEx.31-2) (35.90 g)を得た。
製造例32
メチル 1-メチル-4-ニトロ-1H-ピラゾール-3-カルボキシラート(500 mg)とエチルアミン(40%メタノール溶液、20 mL)の混合物を室温で30分攪拌した。溶媒を減圧下留去した後、残渣をシリカゲルカラムクロマトグラフィー(クロロホルム:メタノール=100:0-94:6)にて精製し、N-エチル-1-メチル-4-ニトロ-1H-ピラゾール-3-カルボキサミド(533 mg)を白色固体として得た。
メチル 1-メチル-4-ニトロ-1H-ピラゾール-3-カルボキシラート(500 mg)とエチルアミン(40%メタノール溶液、20 mL)の混合物を室温で30分攪拌した。溶媒を減圧下留去した後、残渣をシリカゲルカラムクロマトグラフィー(クロロホルム:メタノール=100:0-94:6)にて精製し、N-エチル-1-メチル-4-ニトロ-1H-ピラゾール-3-カルボキサミド(533 mg)を白色固体として得た。
製造例33
メチル 4-アミノ-1-メチル-1H-ピラゾール-3-カルボキシラート(1.25 g)、ジ-tert-ブチルジカルボナート(2.29 g)、THF(12.5 mL)及び、エタノール(6.25 mL)の混合物を60℃で3時間攪拌した。溶媒を減圧下留去した後、水を加え、酢酸エチルで抽出した。有機層を水と飽和食塩水で順次洗浄し、無水硫酸マグネシウムで乾燥した。溶媒を減圧下留去し、残渣をシリカゲルカラムクロマトグラフィー(n-ヘキサン:酢酸エチル=8:2-5:5)にて精製し、メチル 4-[(tert-ブトキシカルボニル)アミノ]-1-メチル-1H-ピラゾール-3-カルボキシラート(1.90 g)を白色固体として得た。
メチル 4-アミノ-1-メチル-1H-ピラゾール-3-カルボキシラート(1.25 g)、ジ-tert-ブチルジカルボナート(2.29 g)、THF(12.5 mL)及び、エタノール(6.25 mL)の混合物を60℃で3時間攪拌した。溶媒を減圧下留去した後、水を加え、酢酸エチルで抽出した。有機層を水と飽和食塩水で順次洗浄し、無水硫酸マグネシウムで乾燥した。溶媒を減圧下留去し、残渣をシリカゲルカラムクロマトグラフィー(n-ヘキサン:酢酸エチル=8:2-5:5)にて精製し、メチル 4-[(tert-ブトキシカルボニル)アミノ]-1-メチル-1H-ピラゾール-3-カルボキシラート(1.90 g)を白色固体として得た。
製造例34
メチル 4-[(tert-ブトキシカルボニル)アミノ]-1-メチル-1H-ピラゾール-3-カルボキシラート(1.90 g)とメタノール(10 mL)の混合物に1M 水酸化ナトリウム水溶液(10 mL)を加え、室温で1時間攪拌した。溶媒を減圧下留去した後、残渣を水に溶解し、1M 塩酸を加えることでpHを約3とした。析出した固体を濾取し、減圧下乾燥し、4-[(tert-ブトキシカルボニル)アミノ]-1-メチル-1H-ピラゾール-3-カルボン酸(1.24 g)を白色固体として得た。
メチル 4-[(tert-ブトキシカルボニル)アミノ]-1-メチル-1H-ピラゾール-3-カルボキシラート(1.90 g)とメタノール(10 mL)の混合物に1M 水酸化ナトリウム水溶液(10 mL)を加え、室温で1時間攪拌した。溶媒を減圧下留去した後、残渣を水に溶解し、1M 塩酸を加えることでpHを約3とした。析出した固体を濾取し、減圧下乾燥し、4-[(tert-ブトキシカルボニル)アミノ]-1-メチル-1H-ピラゾール-3-カルボン酸(1.24 g)を白色固体として得た。
製造例35
4-[(tert-ブトキシカルボニル)アミノ]-1-メチル-1H-ピラゾール-3-カルボン酸(863 mg)とDMF(10 mL)の混合物にCDI(754 mg)を加えて室温で30分間攪拌した。0℃にまで冷却し、ヒドラジン 一水和物(694 μL)を加え、室温で1時間攪拌した。飽和炭酸水素ナトリウム水溶液を加えてから、酢酸エチルで抽出し、有機層を水と飽和食塩水で順次洗浄し、無水硫酸マグネシウムで乾燥した。溶媒を減圧下留去し、残渣をシリカゲルカラムクロマトグラフィー(クロロホルム:メタノール=99:1-90:10)にて精製し、tert-ブチル[3-(ヒドラジノカルボニル)-1-メチル-1H-ピラゾール-4-イル]カルバマート(892 mg)を白色固体として得た。
4-[(tert-ブトキシカルボニル)アミノ]-1-メチル-1H-ピラゾール-3-カルボン酸(863 mg)とDMF(10 mL)の混合物にCDI(754 mg)を加えて室温で30分間攪拌した。0℃にまで冷却し、ヒドラジン 一水和物(694 μL)を加え、室温で1時間攪拌した。飽和炭酸水素ナトリウム水溶液を加えてから、酢酸エチルで抽出し、有機層を水と飽和食塩水で順次洗浄し、無水硫酸マグネシウムで乾燥した。溶媒を減圧下留去し、残渣をシリカゲルカラムクロマトグラフィー(クロロホルム:メタノール=99:1-90:10)にて精製し、tert-ブチル[3-(ヒドラジノカルボニル)-1-メチル-1H-ピラゾール-4-イル]カルバマート(892 mg)を白色固体として得た。
製造例36
tert-ブチル[3-(ヒドラジノカルボニル)-1-メチル-1H-ピラゾール-4-イル]カルバマート(255 mg)、トリエチルアミン(223 μL)及び、塩化メチレン(3 mL)の混合物にメトキシアセチルクロリド(109 μL)とDMAP(2 mg)を0℃で加え、室温で1時間攪拌した。飽和炭酸水素ナトリウム水溶液を加えてから、クロロホルムで抽出し、有機層を水と飽和食塩水で順次洗浄し、無水硫酸マグネシウムで乾燥した。溶媒を減圧下留去し、残渣をシリカゲルカラムクロマトグラフィー(n-ヘキサン:酢酸エチル=8:2-5:5)にて精製し、tert-ブチル(3-{[2-(メトキシアセチル)ヒドラジノ]カルボニル}-1-メチル-1H-ピラゾール-4-イル)カルバマート(322 mg)を無色油状物として得た。
tert-ブチル[3-(ヒドラジノカルボニル)-1-メチル-1H-ピラゾール-4-イル]カルバマート(255 mg)、トリエチルアミン(223 μL)及び、塩化メチレン(3 mL)の混合物にメトキシアセチルクロリド(109 μL)とDMAP(2 mg)を0℃で加え、室温で1時間攪拌した。飽和炭酸水素ナトリウム水溶液を加えてから、クロロホルムで抽出し、有機層を水と飽和食塩水で順次洗浄し、無水硫酸マグネシウムで乾燥した。溶媒を減圧下留去し、残渣をシリカゲルカラムクロマトグラフィー(n-ヘキサン:酢酸エチル=8:2-5:5)にて精製し、tert-ブチル(3-{[2-(メトキシアセチル)ヒドラジノ]カルボニル}-1-メチル-1H-ピラゾール-4-イル)カルバマート(322 mg)を無色油状物として得た。
製造例37
tert-ブチル(3-{[2-(メトキシアセチル)ヒドラジノ]カルボニル}-1-メチル-1H-ピラゾール-4-イル)カルバマート(320 mg)とTHF(10 mL)の混合物に、トリエチルアミン(0.818 mL)とp-トルエンスルホニルクロリド(559 mg)を加え、加熱還流下10時間攪拌した。放冷後、水を加え、酢酸エチルで抽出し、有機層を飽和食塩水で洗浄後、無水硫酸マグネシウムで乾燥した。溶媒を減圧下留去し、残渣をシリカゲルカラムクロマトグラフィー(n-ヘキサン:酢酸エチル=8:2-5:5)にて精製し、tert-ブチル{3-[5-(メトキシメチル)-1,3,4-オキサジアゾール-2-イル]-1-メチル-1H-ピラゾール-4-イル}カルバマート(172 mg)を得た。
tert-ブチル(3-{[2-(メトキシアセチル)ヒドラジノ]カルボニル}-1-メチル-1H-ピラゾール-4-イル)カルバマート(320 mg)とTHF(10 mL)の混合物に、トリエチルアミン(0.818 mL)とp-トルエンスルホニルクロリド(559 mg)を加え、加熱還流下10時間攪拌した。放冷後、水を加え、酢酸エチルで抽出し、有機層を飽和食塩水で洗浄後、無水硫酸マグネシウムで乾燥した。溶媒を減圧下留去し、残渣をシリカゲルカラムクロマトグラフィー(n-ヘキサン:酢酸エチル=8:2-5:5)にて精製し、tert-ブチル{3-[5-(メトキシメチル)-1,3,4-オキサジアゾール-2-イル]-1-メチル-1H-ピラゾール-4-イル}カルバマート(172 mg)を得た。
製造例38
tert-ブチル{3-[5-(メトキシメチル)-1,3,4-オキサジアゾール-2-イル]-1-メチル-1H-ピラゾール-4-イル}カルバマート(172 mg)と塩化メチレン(3 mL)の混合物にTFA(3 mL)を加え、室温で3時間攪拌した。減圧下濃縮した後、飽和炭酸水素ナトリウム水溶液を加え、クロロホルムで抽出した。有機層を水と飽和食塩水で順次洗浄し、無水硫酸マグネシウムで乾燥した後、溶媒を減圧下留去し、3-[5-(メトキシメチル)-1,3,4-オキサジアゾール-2-イル]-1-メチル-1H-ピラゾール-4-アミン(97 mg)を黄色固体として得た。
tert-ブチル{3-[5-(メトキシメチル)-1,3,4-オキサジアゾール-2-イル]-1-メチル-1H-ピラゾール-4-イル}カルバマート(172 mg)と塩化メチレン(3 mL)の混合物にTFA(3 mL)を加え、室温で3時間攪拌した。減圧下濃縮した後、飽和炭酸水素ナトリウム水溶液を加え、クロロホルムで抽出した。有機層を水と飽和食塩水で順次洗浄し、無水硫酸マグネシウムで乾燥した後、溶媒を減圧下留去し、3-[5-(メトキシメチル)-1,3,4-オキサジアゾール-2-イル]-1-メチル-1H-ピラゾール-4-アミン(97 mg)を黄色固体として得た。
製造例39
エチル 3-(アミノスルホニル)-1-メチル-1H-ピラゾール-4-カルボキシラート(1.00 g)、ヘキサン-2,5-ジオン(734mg)及び、トルエン(10mL)の混合物に、p-トルエンスルホン酸 一水和物(82 mg)を室温で加え、Dean-Stark装置を用いて、4時間加熱還流した。放冷後、反応混合物を酢酸エチルで希釈し、飽和炭酸水素ナトリウム水溶液と飽和食塩水で順次洗浄した後、無水硫酸マグネシウムで乾燥した。溶媒を減圧下留去し、残渣をシリカゲルカラムクロマトグラフィー(n-ヘキサン:酢酸エチル=2:1)にて精製し、エチル 3-[(2,5-ジメチル-1H-ピロール-1-イル)スルホニル]-1-メチル-1H-ピラゾール-4-カルボキシラート(819 mg)を淡褐色固体として得た。
エチル 3-(アミノスルホニル)-1-メチル-1H-ピラゾール-4-カルボキシラート(1.00 g)、ヘキサン-2,5-ジオン(734mg)及び、トルエン(10mL)の混合物に、p-トルエンスルホン酸 一水和物(82 mg)を室温で加え、Dean-Stark装置を用いて、4時間加熱還流した。放冷後、反応混合物を酢酸エチルで希釈し、飽和炭酸水素ナトリウム水溶液と飽和食塩水で順次洗浄した後、無水硫酸マグネシウムで乾燥した。溶媒を減圧下留去し、残渣をシリカゲルカラムクロマトグラフィー(n-ヘキサン:酢酸エチル=2:1)にて精製し、エチル 3-[(2,5-ジメチル-1H-ピロール-1-イル)スルホニル]-1-メチル-1H-ピラゾール-4-カルボキシラート(819 mg)を淡褐色固体として得た。
製造例40
エチル 3-[(2,5-ジメチル-1H-ピロール-1-イル)スルホニル]-1-メチル-1H-ピラゾール-4-カルボキシラート(811mg)とエタノール(4 mL)の混合物に2M 水酸化ナトリウム水溶液(2.6 mL)を室温で加えた後、50℃で3時間攪拌した。放冷後、反応混合物に1M 塩酸を加えることでpHを約3とした後、減圧下濃縮して生じた固体を濾取した。得られた固体を水洗後、減圧下乾燥し、3-[(2,5-ジメチル-1H-ピロール-1-イル)スルホニル]-1-メチル-1H-ピラゾール-4-カルボン酸(684 mg)を淡褐色固体として得た。
エチル 3-[(2,5-ジメチル-1H-ピロール-1-イル)スルホニル]-1-メチル-1H-ピラゾール-4-カルボキシラート(811mg)とエタノール(4 mL)の混合物に2M 水酸化ナトリウム水溶液(2.6 mL)を室温で加えた後、50℃で3時間攪拌した。放冷後、反応混合物に1M 塩酸を加えることでpHを約3とした後、減圧下濃縮して生じた固体を濾取した。得られた固体を水洗後、減圧下乾燥し、3-[(2,5-ジメチル-1H-ピロール-1-イル)スルホニル]-1-メチル-1H-ピラゾール-4-カルボン酸(684 mg)を淡褐色固体として得た。
製造例41
3-[(2,5-ジメチル-1H-ピロール-1-イル)スルホニル]-1-メチル-1H-ピラゾール-4-カルボン酸(200 mg)、DPPA(214 mg)、トリエチルアミン(148 μL)及び、tert-ブチルアルコール(2 mL)の混合物を加熱還流下3時間攪拌した。放冷後、反応混合物に水を加え、酢酸エチルで抽出した。有機層を1M 塩酸、飽和炭酸水素ナトリウム水溶液、飽和食塩水で順次洗浄後、無水硫酸マグネシウムで乾燥した。溶媒を減圧下留去し、残渣をシリカゲルカラムクロマトグラフィー(n-ヘキサン:酢酸エチル=4:1)にて精製し、tert-ブチル{3-[(2,5-ジメチル-1H-ピロール-1-イル)スルホニル]-1-メチル-1H-ピラゾール-4-イル}カルバマート(190 mg)を無色油状物として得た。
3-[(2,5-ジメチル-1H-ピロール-1-イル)スルホニル]-1-メチル-1H-ピラゾール-4-カルボン酸(200 mg)、DPPA(214 mg)、トリエチルアミン(148 μL)及び、tert-ブチルアルコール(2 mL)の混合物を加熱還流下3時間攪拌した。放冷後、反応混合物に水を加え、酢酸エチルで抽出した。有機層を1M 塩酸、飽和炭酸水素ナトリウム水溶液、飽和食塩水で順次洗浄後、無水硫酸マグネシウムで乾燥した。溶媒を減圧下留去し、残渣をシリカゲルカラムクロマトグラフィー(n-ヘキサン:酢酸エチル=4:1)にて精製し、tert-ブチル{3-[(2,5-ジメチル-1H-ピロール-1-イル)スルホニル]-1-メチル-1H-ピラゾール-4-イル}カルバマート(190 mg)を無色油状物として得た。
製造例42
tert-ブチル{3-[(2,5-ジメチル-1H-ピロール-1-イル)スルホニル]-1-メチル-1H-ピラゾール-4-イル}カルバマート(184 mg)とエタノール(0.92 mL)の混合物に、4M 塩化水素/1,4-ジオキサン溶液(1.3 mL)を加え、室温で7時間攪拌した。反応混合物に飽和炭酸水素ナトリウム水溶液(30 mL)を注意深く加え、酢酸エチルで抽出した。有機層を飽和食塩水で洗浄後、無水硫酸マグネシウムで乾燥し、溶媒を減圧下留去し、3-[(2,5-ジメチル-1H-ピロール-1-イル)スルホニル]-1-メチル-1H-ピラゾール-4-アミン(114 mg)を淡褐色固体として得た。
tert-ブチル{3-[(2,5-ジメチル-1H-ピロール-1-イル)スルホニル]-1-メチル-1H-ピラゾール-4-イル}カルバマート(184 mg)とエタノール(0.92 mL)の混合物に、4M 塩化水素/1,4-ジオキサン溶液(1.3 mL)を加え、室温で7時間攪拌した。反応混合物に飽和炭酸水素ナトリウム水溶液(30 mL)を注意深く加え、酢酸エチルで抽出した。有機層を飽和食塩水で洗浄後、無水硫酸マグネシウムで乾燥し、溶媒を減圧下留去し、3-[(2,5-ジメチル-1H-ピロール-1-イル)スルホニル]-1-メチル-1H-ピラゾール-4-アミン(114 mg)を淡褐色固体として得た。
製造例43
エチル 5-アミノ-2-メチル-1,3-チアゾ-ル-4-カルボキシラート(500 mg)と飽和アンモニアのエタノール溶液(15 mL)の混合物を、封管中、120℃で4日間攪拌した。放冷後、反応混合物を減圧下濃縮し、残渣をシリカゲルカラムクロマトグラフィー(クロロホルム:メタノール=99:1-94:6)にて精製し、5-アミノ-2-メチル-1,3-チアゾール-4-カルボキサミド(77 mg)を得た。
エチル 5-アミノ-2-メチル-1,3-チアゾ-ル-4-カルボキシラート(500 mg)と飽和アンモニアのエタノール溶液(15 mL)の混合物を、封管中、120℃で4日間攪拌した。放冷後、反応混合物を減圧下濃縮し、残渣をシリカゲルカラムクロマトグラフィー(クロロホルム:メタノール=99:1-94:6)にて精製し、5-アミノ-2-メチル-1,3-チアゾール-4-カルボキサミド(77 mg)を得た。
製造例44
3-[(2,5-ジメチル-1H-ピロール-1-イル)スルホニル]-1-メチル-1H-ピラゾール-4-アミン(70 mg)、2-{2-[(tert-ブトキシカルボニル)(2,2,2-トリフルオロエチル)アミノ]ピリジン-4-イル}-1,3-オキサゾール-4-カルボン酸(107 mg)、HATU(126 mg)、HOAT(45 mg)及び、DMF(2.8 mL)の混合物に、N,N-ジイソプロピルエチルアミン(115 μL)を加え、室温で3日間攪拌した。反応混合物に水(2.8 mL)と飽和炭酸水素ナトリウム水溶液(2.8 mL)を加え、析出した固体を濾取し、水洗後、減圧下乾燥することにより、tert-ブチル{4-[4-({3-[(2,5-ジメチル-1H-ピロール-1-イル)スルホニル]-1-メチル-1H-ピラゾール-4-イル}カルバモイル)-1,3-オキサゾール-2-イル]ピリジン-2-イル}(2,2,2-トリフルオロエチル)カルバマート(159 mg)を白色固体として得た。
3-[(2,5-ジメチル-1H-ピロール-1-イル)スルホニル]-1-メチル-1H-ピラゾール-4-アミン(70 mg)、2-{2-[(tert-ブトキシカルボニル)(2,2,2-トリフルオロエチル)アミノ]ピリジン-4-イル}-1,3-オキサゾール-4-カルボン酸(107 mg)、HATU(126 mg)、HOAT(45 mg)及び、DMF(2.8 mL)の混合物に、N,N-ジイソプロピルエチルアミン(115 μL)を加え、室温で3日間攪拌した。反応混合物に水(2.8 mL)と飽和炭酸水素ナトリウム水溶液(2.8 mL)を加え、析出した固体を濾取し、水洗後、減圧下乾燥することにより、tert-ブチル{4-[4-({3-[(2,5-ジメチル-1H-ピロール-1-イル)スルホニル]-1-メチル-1H-ピラゾール-4-イル}カルバモイル)-1,3-オキサゾール-2-イル]ピリジン-2-イル}(2,2,2-トリフルオロエチル)カルバマート(159 mg)を白色固体として得た。
製造例83
(3S)-テトラヒドロフラン-3-イルメチル 4-メチルベンゼンスルホナート(10.79 g)、メチル 4-ニトロ-1H-ピラゾール-3-カルボキシラート(6.00 g)、炭酸カリウム(7.269 g)及び、DMF(120 mL)の混合物を80℃で6時間撹拌した。水を加え、酢酸エチルで抽出した。有機層を水、飽和食塩水で順次洗浄し、無水硫酸マグネシウムで乾燥した後、溶媒を減圧下留去し、残渣をシリカゲルカラムクロマトグラフィー(n-ヘキサン:酢酸エチル=9:1-7:3)にて精製し、メチル 4-ニトロ-1-[(3R)-テトラヒドロフラン-3-イルメチル]-1H-ピラゾール-3-カルボキシラート (4.200 g)を得た。
(3S)-テトラヒドロフラン-3-イルメチル 4-メチルベンゼンスルホナート(10.79 g)、メチル 4-ニトロ-1H-ピラゾール-3-カルボキシラート(6.00 g)、炭酸カリウム(7.269 g)及び、DMF(120 mL)の混合物を80℃で6時間撹拌した。水を加え、酢酸エチルで抽出した。有機層を水、飽和食塩水で順次洗浄し、無水硫酸マグネシウムで乾燥した後、溶媒を減圧下留去し、残渣をシリカゲルカラムクロマトグラフィー(n-ヘキサン:酢酸エチル=9:1-7:3)にて精製し、メチル 4-ニトロ-1-[(3R)-テトラヒドロフラン-3-イルメチル]-1H-ピラゾール-3-カルボキシラート (4.200 g)を得た。
製造例86
メチル 1-メチル-4-ニトロ-1H-ピラゾール-3-カルボキシラート(1.00 g)と塩化メチレン (30 mL)の混合物に、1M DIBALのトルエン溶液 (13.5 mL)を-78℃で滴下した。30分間攪拌した後、1M 塩酸を加え、室温に昇温して1時間攪拌した。酢酸エチルで抽出し、有機層を水と飽和食塩水で順次洗浄した。無水硫酸マグネシウムで乾燥し、溶媒を減圧下留去し、1-メチル-4-ニトロ-1H-ピラゾール-3-カルボキサルデヒド (449 mg)を得た。
メチル 1-メチル-4-ニトロ-1H-ピラゾール-3-カルボキシラート(1.00 g)と塩化メチレン (30 mL)の混合物に、1M DIBALのトルエン溶液 (13.5 mL)を-78℃で滴下した。30分間攪拌した後、1M 塩酸を加え、室温に昇温して1時間攪拌した。酢酸エチルで抽出し、有機層を水と飽和食塩水で順次洗浄した。無水硫酸マグネシウムで乾燥し、溶媒を減圧下留去し、1-メチル-4-ニトロ-1H-ピラゾール-3-カルボキサルデヒド (449 mg)を得た。
製造例87
1-メチル-4-ニトロ-1H-ピラゾール-3-カルボキサルデヒド (445 mg)とTHF (10 mL)の混合物に、0.93M メチルマグネシウムブロミドのTHF溶液 (4.63 mL)を0℃で滴下した。室温で1時間撹拌した後、飽和塩化アンモニウム水溶液を加え、酢酸エチルで抽出した。有機層を飽和食塩水で洗浄し、無水硫酸マグネシウムで乾燥した後、溶媒を減圧下留去することにより1-(1-メチル-4-ニトロ-1H-ピラゾール-3-イル)エタノール (116 mg)を得た。これを塩化メチレン (5 mL)に溶解し、(1,1,1-トリアセトキシ)-1,1-ジヒドロ-1,2-ベンズヨードキソール-3(1H)-オン (427 mg)を室温で加えて30分間撹拌した。飽和炭酸水素ナトリウム水溶液を加えた後、酢酸エチルで抽出し、有機層を飽和チオ硫酸ナトリウム水溶液、水、飽和食塩水で順次洗浄した。無水硫酸マグネシウムで乾燥し、溶媒を減圧下留去し残渣をシリカゲルカラムクロマトグラフィー(n-ヘキサン:酢酸エチル=1:1)にて精製し、1-(1-メチル-4-ニトロ-1H-ピラゾール-3-イル)エタノン (48 mg)を白色固体として得た。
1-メチル-4-ニトロ-1H-ピラゾール-3-カルボキサルデヒド (445 mg)とTHF (10 mL)の混合物に、0.93M メチルマグネシウムブロミドのTHF溶液 (4.63 mL)を0℃で滴下した。室温で1時間撹拌した後、飽和塩化アンモニウム水溶液を加え、酢酸エチルで抽出した。有機層を飽和食塩水で洗浄し、無水硫酸マグネシウムで乾燥した後、溶媒を減圧下留去することにより1-(1-メチル-4-ニトロ-1H-ピラゾール-3-イル)エタノール (116 mg)を得た。これを塩化メチレン (5 mL)に溶解し、(1,1,1-トリアセトキシ)-1,1-ジヒドロ-1,2-ベンズヨードキソール-3(1H)-オン (427 mg)を室温で加えて30分間撹拌した。飽和炭酸水素ナトリウム水溶液を加えた後、酢酸エチルで抽出し、有機層を飽和チオ硫酸ナトリウム水溶液、水、飽和食塩水で順次洗浄した。無水硫酸マグネシウムで乾燥し、溶媒を減圧下留去し残渣をシリカゲルカラムクロマトグラフィー(n-ヘキサン:酢酸エチル=1:1)にて精製し、1-(1-メチル-4-ニトロ-1H-ピラゾール-3-イル)エタノン (48 mg)を白色固体として得た。
製造例89
2-(3-フェニル-1H-ピラゾール-4-イル)-1H-イソインドール-1,3(2H)-ジオン (1.00 g)とDMF (10 mL)の混合物に、60% 水素化ナトリウム (166 mg)とヨウ化メチル (258 μL)を氷冷下で加えた。室温で終夜攪拌した後、水を加え、酢酸エチルで抽出し、飽和食塩水で洗浄した。無水硫酸マグネシウムで乾燥後、溶媒を減圧下留去し、残渣をシリカゲルカラムクロマトグラフィー(n-ヘキサン:酢酸エチル=50:50-0:100)にて精製し、2-(1-メチル-3-フェニル-1H-ピラゾール-4-イル)-1H-イソインドール-1,3(2H)-ジオン (370 mg)を得た。これをエタノール (20 mL)に溶解し、ヒドラジン 一水和物 (89 μL)を加えて加熱還流下1時間撹拌した。放冷後、不溶物を濾去し、濾液を減圧下濃縮して得られた残渣をシリカゲルカラムクロマトグラフィー(クロロホルム:メタノール=100:0-95:5)にて精製し、1-メチル-3-フェニル-1H-ピラゾール-4-アミン (209 mg)を得た。
2-(3-フェニル-1H-ピラゾール-4-イル)-1H-イソインドール-1,3(2H)-ジオン (1.00 g)とDMF (10 mL)の混合物に、60% 水素化ナトリウム (166 mg)とヨウ化メチル (258 μL)を氷冷下で加えた。室温で終夜攪拌した後、水を加え、酢酸エチルで抽出し、飽和食塩水で洗浄した。無水硫酸マグネシウムで乾燥後、溶媒を減圧下留去し、残渣をシリカゲルカラムクロマトグラフィー(n-ヘキサン:酢酸エチル=50:50-0:100)にて精製し、2-(1-メチル-3-フェニル-1H-ピラゾール-4-イル)-1H-イソインドール-1,3(2H)-ジオン (370 mg)を得た。これをエタノール (20 mL)に溶解し、ヒドラジン 一水和物 (89 μL)を加えて加熱還流下1時間撹拌した。放冷後、不溶物を濾去し、濾液を減圧下濃縮して得られた残渣をシリカゲルカラムクロマトグラフィー(クロロホルム:メタノール=100:0-95:5)にて精製し、1-メチル-3-フェニル-1H-ピラゾール-4-アミン (209 mg)を得た。
製造例90
メチル 4-ニトロ-1H-ピラゾール-3-カルボキシラート (3.00 g)のDMF溶液に氷冷下60% 水素化ナトリウム (841 mg)を加え、10分間攪拌した。ヨウ化シクロペンチル (2.51 mL)を加え、50℃にて1時間攪拌した。放冷後、水、1M 塩酸を加え、酢酸エチルで抽出し、有機層を飽和食塩水で洗浄後、無水硫酸マグネシウムで乾燥した。溶媒を減圧下留去し、残渣をシリカゲルカラムクロマトグラフィー(n-ヘキサン:酢酸エチル=3:1)にて精製し、メチル 1-シクロペンチル-4-ニトロ-1H-ピラゾール-3-カルボキシラート (2.30 g)を得た。
メチル 4-ニトロ-1H-ピラゾール-3-カルボキシラート (3.00 g)のDMF溶液に氷冷下60% 水素化ナトリウム (841 mg)を加え、10分間攪拌した。ヨウ化シクロペンチル (2.51 mL)を加え、50℃にて1時間攪拌した。放冷後、水、1M 塩酸を加え、酢酸エチルで抽出し、有機層を飽和食塩水で洗浄後、無水硫酸マグネシウムで乾燥した。溶媒を減圧下留去し、残渣をシリカゲルカラムクロマトグラフィー(n-ヘキサン:酢酸エチル=3:1)にて精製し、メチル 1-シクロペンチル-4-ニトロ-1H-ピラゾール-3-カルボキシラート (2.30 g)を得た。
製造例94
1-(3,6-ジヒドロ-2H-ピラン-4-イル)-4-ニトロ-1H-ピラゾール-3-カルボキサミド (90 mg)とエタノール (10 mL)の混合物に、塩化鉄(III) (6.1 mg)と活性炭(90 mg)を加えて80℃に加熱した。ヒドラジン 一水和物 (75 mg)を加え、80℃で3時間撹拌した。熱時濾過後、濾液を減圧下濃縮し、残渣をシリカゲルカラムクロマトグラフィー(クロロホルム:メタノール=98:2-90:10)にて精製し、4-アミノ-1-(3,6-ジヒドロ-2H-ピラン-4-イル)-1H-ピラゾール-3-カルボキサミド (75 mg)を得た。
1-(3,6-ジヒドロ-2H-ピラン-4-イル)-4-ニトロ-1H-ピラゾール-3-カルボキサミド (90 mg)とエタノール (10 mL)の混合物に、塩化鉄(III) (6.1 mg)と活性炭(90 mg)を加えて80℃に加熱した。ヒドラジン 一水和物 (75 mg)を加え、80℃で3時間撹拌した。熱時濾過後、濾液を減圧下濃縮し、残渣をシリカゲルカラムクロマトグラフィー(クロロホルム:メタノール=98:2-90:10)にて精製し、4-アミノ-1-(3,6-ジヒドロ-2H-ピラン-4-イル)-1H-ピラゾール-3-カルボキサミド (75 mg)を得た。
製造例96
tert-ブチル 2-(2-ブロモピリジン-4-イル)-1,3-オキサゾール-4-カルボキシラート (1.00 g)、exo-2-アミノノルボルナン (513 mg)、酢酸パラジウム (21 mg)、ジシクロヘキシル(2',6'-ジメトキシビフェニル-2-イル)ホスフィン (76 mg)及び、トルエン (12 mL)の混合物に、ナトリウム tert-ブトキシド (443 mg)を加え、マイクロウェーブ反応装置を用い、140℃で4時間反応させた。冷却後、酢酸エチル、水、活性炭を加え、10分間撹拌後固体を濾去した。有機層を飽和食塩水で洗浄後、無水硫酸マグネシウムで乾燥した。溶媒を減圧下留去し、残渣をシリカゲルカラムクロマトグラフィー(n-ヘキサン:酢酸エチル=80:20-30:70)にて精製し、tert-ブチルrel-2-{2-[(1R,2R,4S)-ビシクロ[2.2.1]ヘプト-2-イルアミノ]ピリジン-4-イル}-1,3-オキサゾール-4-カルボキシラート (120 mg)を得た。
tert-ブチル 2-(2-ブロモピリジン-4-イル)-1,3-オキサゾール-4-カルボキシラート (1.00 g)、exo-2-アミノノルボルナン (513 mg)、酢酸パラジウム (21 mg)、ジシクロヘキシル(2',6'-ジメトキシビフェニル-2-イル)ホスフィン (76 mg)及び、トルエン (12 mL)の混合物に、ナトリウム tert-ブトキシド (443 mg)を加え、マイクロウェーブ反応装置を用い、140℃で4時間反応させた。冷却後、酢酸エチル、水、活性炭を加え、10分間撹拌後固体を濾去した。有機層を飽和食塩水で洗浄後、無水硫酸マグネシウムで乾燥した。溶媒を減圧下留去し、残渣をシリカゲルカラムクロマトグラフィー(n-ヘキサン:酢酸エチル=80:20-30:70)にて精製し、tert-ブチルrel-2-{2-[(1R,2R,4S)-ビシクロ[2.2.1]ヘプト-2-イルアミノ]ピリジン-4-イル}-1,3-オキサゾール-4-カルボキシラート (120 mg)を得た。
製造例99
1-[(4-メチルフェニル)スルホニル]-1H-ピロロ[2,3-b]ピリジン-4-カルボニトリル (683 mg)と濃塩酸 (10 g)の混合物を加熱還流下4時間撹拌した。放冷後、減圧下濃縮することにより得られた固体をDMF (17 mL)に懸濁し、メチル L-セリナート 塩酸塩 (450 mg)、HOBt (488 mg)、トリエチルアミン (1.68 mL)を加え、5℃に冷却してからWSC・HCl (693 mg)を加えて室温にて終夜撹拌した。飽和炭酸水素ナトリウム水溶液を加えた後、クロロホルムで抽出し、有機層を水、飽和食塩水で順次洗浄後、無水硫酸マグネシウムで乾燥した。溶媒を減圧下留去し、残渣をシリカゲルカラムクロマトグラフィー(クロロホルム:メタノール=99:1-80:20)にて精製し、メチル N-({1-[(4-メチルフェニル)スルホニル]-1H-ピロロ[2,3-b]ピリジン-4-イル}カルボニル)-L-セリナート (265 mg)を得た。
1-[(4-メチルフェニル)スルホニル]-1H-ピロロ[2,3-b]ピリジン-4-カルボニトリル (683 mg)と濃塩酸 (10 g)の混合物を加熱還流下4時間撹拌した。放冷後、減圧下濃縮することにより得られた固体をDMF (17 mL)に懸濁し、メチル L-セリナート 塩酸塩 (450 mg)、HOBt (488 mg)、トリエチルアミン (1.68 mL)を加え、5℃に冷却してからWSC・HCl (693 mg)を加えて室温にて終夜撹拌した。飽和炭酸水素ナトリウム水溶液を加えた後、クロロホルムで抽出し、有機層を水、飽和食塩水で順次洗浄後、無水硫酸マグネシウムで乾燥した。溶媒を減圧下留去し、残渣をシリカゲルカラムクロマトグラフィー(クロロホルム:メタノール=99:1-80:20)にて精製し、メチル N-({1-[(4-メチルフェニル)スルホニル]-1H-ピロロ[2,3-b]ピリジン-4-イル}カルボニル)-L-セリナート (265 mg)を得た。
製造例101
メチル 2-{1-[(4-メチルフェニル)スルホニル]-1H-ピロロ[2,3-b]ピリジン-4-イル}-1,3-オキサゾール-4-カルボキシラート (110 mg)、メタノール (5 mL)及び、1M 水酸化ナトリウム水溶液 (5 mL)の混合物を40℃で4時間撹拌した。減圧下濃縮後、水を加えた。1M 塩酸を加えて中和し、得られた固体を濾取して減圧下乾燥し、2-(1H-ピロロ[2,3-b]ピリジン-4-イル)-1,3-オキサゾール-4-カルボン酸 (27 mg)を得た。
メチル 2-{1-[(4-メチルフェニル)スルホニル]-1H-ピロロ[2,3-b]ピリジン-4-イル}-1,3-オキサゾール-4-カルボキシラート (110 mg)、メタノール (5 mL)及び、1M 水酸化ナトリウム水溶液 (5 mL)の混合物を40℃で4時間撹拌した。減圧下濃縮後、水を加えた。1M 塩酸を加えて中和し、得られた固体を濾取して減圧下乾燥し、2-(1H-ピロロ[2,3-b]ピリジン-4-イル)-1,3-オキサゾール-4-カルボン酸 (27 mg)を得た。
製造例103
tert-ブチル (3-カルバモイル-1-メチル-1H-ピラゾール-4-イル)カルバマート (300 mg)、トリフルオロ酢酸無水物 (0.53 mL)及び、1,4-ジオキサン (10 mL)の混合物に、氷冷下ピリジン (0.20 mL)を加え、室温で1時間撹拌した。飽和炭酸水素ナトリウム水溶液を加えた後、酢酸エチルで抽出し、有機層を水、飽和食塩水で順次洗浄後、無水硫酸マグネシウムで乾燥した。溶媒を減圧下留去し、残渣をシリカゲルカラムクロマトグラフィー(n-ヘキサン:酢酸エチル=9:1-5:5)にて精製し、tert-ブチル (3-シアノ-1-メチル-1H-ピラゾール-4-イル)カルバマート (181 mg)を得た。
tert-ブチル (3-カルバモイル-1-メチル-1H-ピラゾール-4-イル)カルバマート (300 mg)、トリフルオロ酢酸無水物 (0.53 mL)及び、1,4-ジオキサン (10 mL)の混合物に、氷冷下ピリジン (0.20 mL)を加え、室温で1時間撹拌した。飽和炭酸水素ナトリウム水溶液を加えた後、酢酸エチルで抽出し、有機層を水、飽和食塩水で順次洗浄後、無水硫酸マグネシウムで乾燥した。溶媒を減圧下留去し、残渣をシリカゲルカラムクロマトグラフィー(n-ヘキサン:酢酸エチル=9:1-5:5)にて精製し、tert-ブチル (3-シアノ-1-メチル-1H-ピラゾール-4-イル)カルバマート (181 mg)を得た。
製造例104
tert-ブチル (3-シアノ-1-メチル-1H-ピラゾール-4-イル)カルバマート (222 mg)、アジ化ナトリウム (325 mg)、塩化アンモニウム (267 mg)及び、DMF (5 mL)の混合物を100℃で4時間撹拌した。放冷後、1M 塩酸を加え、酢酸エチルで抽出し、有機層を水、飽和食塩水で順次洗浄後、無水硫酸マグネシウムで乾燥した。溶媒を減圧下留去し、tert-ブチル[1-メチル-3-(1H-テトラゾール-5-イル)-1H-ピラゾール-4-イル]カルバマート (248 mg)を得た。
tert-ブチル (3-シアノ-1-メチル-1H-ピラゾール-4-イル)カルバマート (222 mg)、アジ化ナトリウム (325 mg)、塩化アンモニウム (267 mg)及び、DMF (5 mL)の混合物を100℃で4時間撹拌した。放冷後、1M 塩酸を加え、酢酸エチルで抽出し、有機層を水、飽和食塩水で順次洗浄後、無水硫酸マグネシウムで乾燥した。溶媒を減圧下留去し、tert-ブチル[1-メチル-3-(1H-テトラゾール-5-イル)-1H-ピラゾール-4-イル]カルバマート (248 mg)を得た。
製造例105
tert-ブチル[1-メチル-3-(1H-テトラゾール-5-イル)-1H-ピラゾール-4-イル]カルバマート (260 mg)、炭酸カリウム (136 mg)及び、DMF (3 mL)の混合物に、氷冷下ヨウ化メチル (0.183 mL)を加え、室温で1時間撹拌した。飽和炭酸水素ナトリウム水溶液を加えた後、酢酸エチルで抽出し、有機層を水、飽和食塩水で順次洗浄後、無水硫酸マグネシウムで乾燥した。溶媒を減圧下留去し、残渣をシリカゲルカラムクロマトグラフィー(n-ヘキサン:酢酸エチル=8:2-5:5)にて精製し、tert-ブチル[1-メチル-3-(1-メチル-1H-テトラゾール-5-イル)-1H-ピラゾール-4-イル]カルバマート(PEx.105-1) (56 mg)とtert-ブチル[1-メチル-3-(2-メチル-2H-テトラゾール-5-イル)-1H-ピラゾール-4-イル]カルバマート(PEx.105-2) (151 mg)を得た。
tert-ブチル[1-メチル-3-(1H-テトラゾール-5-イル)-1H-ピラゾール-4-イル]カルバマート (260 mg)、炭酸カリウム (136 mg)及び、DMF (3 mL)の混合物に、氷冷下ヨウ化メチル (0.183 mL)を加え、室温で1時間撹拌した。飽和炭酸水素ナトリウム水溶液を加えた後、酢酸エチルで抽出し、有機層を水、飽和食塩水で順次洗浄後、無水硫酸マグネシウムで乾燥した。溶媒を減圧下留去し、残渣をシリカゲルカラムクロマトグラフィー(n-ヘキサン:酢酸エチル=8:2-5:5)にて精製し、tert-ブチル[1-メチル-3-(1-メチル-1H-テトラゾール-5-イル)-1H-ピラゾール-4-イル]カルバマート(PEx.105-1) (56 mg)とtert-ブチル[1-メチル-3-(2-メチル-2H-テトラゾール-5-イル)-1H-ピラゾール-4-イル]カルバマート(PEx.105-2) (151 mg)を得た。
製造例110
メチル2-{2-[(tert-ブトキシカルボニル)アミノ]ピリジン-4-イル}-1,3-オキサゾール-4-カルボキシラート (1.000 g)、テトラヒドロ-2H-ピラン-4-イルメチル メタンスルホナート (2.428 g)、炭酸セシウム (2.041 g)及び、DMF (10 mL)の混合物を100℃で終夜攪拌した。水を加え、酢酸エチルで抽出し、得られた有機層を無水硫酸マグネシウムで乾燥した。溶媒を減圧下留去し、残渣をシリカゲルカラムクロマトグラフィー(n-ヘキサン:酢酸エチル=8:2-5:5)にて精製し、メチル 2-{2-[(tert-ブトキシカルボニル)(テトラヒドロ-2H-ピラン-4-イルメチル)アミノ]ピリジン-4-イル}-1,3-オキサゾール-4-カルボキシラート (440 mg)を得た。
メチル2-{2-[(tert-ブトキシカルボニル)アミノ]ピリジン-4-イル}-1,3-オキサゾール-4-カルボキシラート (1.000 g)、テトラヒドロ-2H-ピラン-4-イルメチル メタンスルホナート (2.428 g)、炭酸セシウム (2.041 g)及び、DMF (10 mL)の混合物を100℃で終夜攪拌した。水を加え、酢酸エチルで抽出し、得られた有機層を無水硫酸マグネシウムで乾燥した。溶媒を減圧下留去し、残渣をシリカゲルカラムクロマトグラフィー(n-ヘキサン:酢酸エチル=8:2-5:5)にて精製し、メチル 2-{2-[(tert-ブトキシカルボニル)(テトラヒドロ-2H-ピラン-4-イルメチル)アミノ]ピリジン-4-イル}-1,3-オキサゾール-4-カルボキシラート (440 mg)を得た。
上述の製造例と同様にして、後記表に示す製造例の化合物を製造した。各製造例化合物の構造、製造法、及び物理化学的データを表3~25にそれぞれ示す。
実施例1
4-アミノ-1-メチル-1H-ピラゾール-3-カルボキサミド(250 mg)、2-{2-[(tert-ブトキシカルボニル)(2-メトキシエチル)アミノ]ピリジン-4-イル}-1,3-オキサゾール-4-カルボン酸(713 mg)、WSC・HCl(564 mg)、HOBt(397 mg)及び、DMF(10 mL)の混合物を、室温で2時間攪拌した。反応混合物を濃縮後、水を加え、酢酸エチルで抽出し、有機層を飽和炭酸水素ナトリウム水溶液と飽和食塩水で順次洗浄した後、無水硫酸マグネシウムで乾燥した。溶媒を減圧下留去し、残渣をシリカゲルカラムクロマトグラフィー(クロロホルム:メタノール=100:0-98:2)にて精製し、tert-ブチル (4-{4-[(3-カルバモイル-1-メチル-1H-ピラゾール-4-イル)カルバモイル]-1,3-オキサゾール-2-イル}ピリジン-2-イル)(2-メトキシエチル)カルバマート(740 mg)を白色固体として得た。
4-アミノ-1-メチル-1H-ピラゾール-3-カルボキサミド(250 mg)、2-{2-[(tert-ブトキシカルボニル)(2-メトキシエチル)アミノ]ピリジン-4-イル}-1,3-オキサゾール-4-カルボン酸(713 mg)、WSC・HCl(564 mg)、HOBt(397 mg)及び、DMF(10 mL)の混合物を、室温で2時間攪拌した。反応混合物を濃縮後、水を加え、酢酸エチルで抽出し、有機層を飽和炭酸水素ナトリウム水溶液と飽和食塩水で順次洗浄した後、無水硫酸マグネシウムで乾燥した。溶媒を減圧下留去し、残渣をシリカゲルカラムクロマトグラフィー(クロロホルム:メタノール=100:0-98:2)にて精製し、tert-ブチル (4-{4-[(3-カルバモイル-1-メチル-1H-ピラゾール-4-イル)カルバモイル]-1,3-オキサゾール-2-イル}ピリジン-2-イル)(2-メトキシエチル)カルバマート(740 mg)を白色固体として得た。
実施例2
tert-ブチル (4-{4-[(3-カルバモイル-1-メチル-1H-ピラゾール-4-イル)カルバモイル]-1,3-オキサゾール-2-イル}ピリジン-2-イル)(2-メトキシエチル)カルバマート(740 mg)とメタノール(7.4 mL)の混合物に、4M 塩化水素/1,4-ジオキサン溶液(7.62 mL)を室温で加えた後、60℃で1時間攪拌した。放冷後、反応混合物を減圧下濃縮して得られた残渣にメタノールを加え、再び減圧下濃縮した。残渣をアセトニトリルで洗浄後、減圧下乾燥し、N-(3-カルバモイル-1-メチル-1H-ピラゾール-4-イル)-2-{2-[(2-メトキシエチル)アミノ]ピリジン-4-イル}-1,3-オキサゾール-4-カルボキサミド 塩酸塩(570 mg)を白色固体として得た。
tert-ブチル (4-{4-[(3-カルバモイル-1-メチル-1H-ピラゾール-4-イル)カルバモイル]-1,3-オキサゾール-2-イル}ピリジン-2-イル)(2-メトキシエチル)カルバマート(740 mg)とメタノール(7.4 mL)の混合物に、4M 塩化水素/1,4-ジオキサン溶液(7.62 mL)を室温で加えた後、60℃で1時間攪拌した。放冷後、反応混合物を減圧下濃縮して得られた残渣にメタノールを加え、再び減圧下濃縮した。残渣をアセトニトリルで洗浄後、減圧下乾燥し、N-(3-カルバモイル-1-メチル-1H-ピラゾール-4-イル)-2-{2-[(2-メトキシエチル)アミノ]ピリジン-4-イル}-1,3-オキサゾール-4-カルボキサミド 塩酸塩(570 mg)を白色固体として得た。
実施例3
tert-ブチル[4-(4-{[3-カルバモイル-1-(ピリジン-3-イル)-1H-ピラゾール-4-イル]カルバモイル}-1,3-オキサゾール-2-イル)ピリジン-2-イル](2,2,2-トリフルオロエチル)カルバマート(229 mg)と塩化メチレン(3.75 mL)の混合物にTFA(925 μL)を加え、室温で終夜攪拌した。反応混合物を減圧下濃縮し、飽和炭酸水素ナトリウム水溶液を加え、クロロホルムで抽出した。有機層を飽和食塩水で洗浄後、無水硫酸マグネシウムで乾燥し、溶媒を減圧下留去し、N-[3-カルバモイル-1-(ピリジン-3-イル)-1H-ピラゾール-4-イル)-2-{2-[(2,2,2-トリフルオロエチル)アミノ]ピリジン-4-イル}-1,3-オキサゾール-4-カルボキサミド(188 mg)を灰白色固体として得た。
tert-ブチル[4-(4-{[3-カルバモイル-1-(ピリジン-3-イル)-1H-ピラゾール-4-イル]カルバモイル}-1,3-オキサゾール-2-イル)ピリジン-2-イル](2,2,2-トリフルオロエチル)カルバマート(229 mg)と塩化メチレン(3.75 mL)の混合物にTFA(925 μL)を加え、室温で終夜攪拌した。反応混合物を減圧下濃縮し、飽和炭酸水素ナトリウム水溶液を加え、クロロホルムで抽出した。有機層を飽和食塩水で洗浄後、無水硫酸マグネシウムで乾燥し、溶媒を減圧下留去し、N-[3-カルバモイル-1-(ピリジン-3-イル)-1H-ピラゾール-4-イル)-2-{2-[(2,2,2-トリフルオロエチル)アミノ]ピリジン-4-イル}-1,3-オキサゾール-4-カルボキサミド(188 mg)を灰白色固体として得た。
実施例4
N-[3-カルバモイル-1-(ピリジン-3-イル)-1H-ピラゾール-4-イル]-2-{2-[(2,2,2-トリフルオロエチル)アミノ]ピリジン-4-イル}-1,3-オキサゾール-4-カルボキサミド(188 mg)とエタノール(2.94 mL)の混合物に4M 塩化水素/1,4-ジオキサン溶液(498 μL)を加え、室温で1時間攪拌した。析出した固体を濾取し、エタノールで洗浄後、減圧下乾燥し、N-(3-カルバモイル-1-ピリジン-3-イル-1H-ピラゾール-4-イル)-2-{2-[(2,2,2-トリフルオロエチル)アミノ]ピリジン-4-イル}-1,3-オキサゾール-4-カルボキサミド 二塩酸塩(187 mg)を淡黄色固体として得た。
N-[3-カルバモイル-1-(ピリジン-3-イル)-1H-ピラゾール-4-イル]-2-{2-[(2,2,2-トリフルオロエチル)アミノ]ピリジン-4-イル}-1,3-オキサゾール-4-カルボキサミド(188 mg)とエタノール(2.94 mL)の混合物に4M 塩化水素/1,4-ジオキサン溶液(498 μL)を加え、室温で1時間攪拌した。析出した固体を濾取し、エタノールで洗浄後、減圧下乾燥し、N-(3-カルバモイル-1-ピリジン-3-イル-1H-ピラゾール-4-イル)-2-{2-[(2,2,2-トリフルオロエチル)アミノ]ピリジン-4-イル}-1,3-オキサゾール-4-カルボキサミド 二塩酸塩(187 mg)を淡黄色固体として得た。
実施例5
tert-ブチル[4-(4-{[3-カルバモイル-1-(テトラヒドロフラン-2-イルメチル)-1H-ピラゾール-4-イル]カルバモイル}-1,3-オキサゾール-2-イル)ピリジン-2-イル](2,2,2-トリフルオロエチル)カルバマート(150 mg)と塩化メチレン(3 mL)の混合物にTFA(295 mg)を加え、30℃で1時間攪拌した。飽和炭酸水素ナトリウム水溶液を加え、酢酸エチルで抽出し、有機層を減圧下濃縮した。残渣にメタノール(3 mL)と4M 塩化水素/1,4-ジオキサン溶液(647 μL)を加え、室温で1時間攪拌した。反応混合物を減圧下濃縮し、得られた固体を酢酸エチルで洗浄後、濾取して減圧下乾燥し、N-[3-カルバモイル-1-(テトラヒドロフラン-2-イルメチル)-1H-ピラゾール-4-イル]-2-{2-[(2,2,2-トリフルオロエチル)アミノ]ピリジン-4-イル}-1,3-オキサゾール-4-カルボキサミド 塩酸塩(113 mg)を白色固体として得た。
tert-ブチル[4-(4-{[3-カルバモイル-1-(テトラヒドロフラン-2-イルメチル)-1H-ピラゾール-4-イル]カルバモイル}-1,3-オキサゾール-2-イル)ピリジン-2-イル](2,2,2-トリフルオロエチル)カルバマート(150 mg)と塩化メチレン(3 mL)の混合物にTFA(295 mg)を加え、30℃で1時間攪拌した。飽和炭酸水素ナトリウム水溶液を加え、酢酸エチルで抽出し、有機層を減圧下濃縮した。残渣にメタノール(3 mL)と4M 塩化水素/1,4-ジオキサン溶液(647 μL)を加え、室温で1時間攪拌した。反応混合物を減圧下濃縮し、得られた固体を酢酸エチルで洗浄後、濾取して減圧下乾燥し、N-[3-カルバモイル-1-(テトラヒドロフラン-2-イルメチル)-1H-ピラゾール-4-イル]-2-{2-[(2,2,2-トリフルオロエチル)アミノ]ピリジン-4-イル}-1,3-オキサゾール-4-カルボキサミド 塩酸塩(113 mg)を白色固体として得た。
実施例6
4-アミノ-1-(テトラヒドロ-2H-ピラン-4-イル)-1H-ピラゾール-3-カルボキサミド(753 mg)、2-(2-メチルピリジン-4-イル)-1,3-オキサゾール-4-カルボン酸(731 mg)、HOBt(726 mg)及び、DMF(18.3 mL)の混合物に、氷冷下WSC・HCl(1.03 g)を加え、室温で4時間撹拌した。反応混合物に飽和炭酸水素ナトリウム水溶液と水を加え、生じた固体を濾取し、水洗してから減圧下乾燥し、N-[3-カルバモイル-1-(テトラヒドロ-2H-ピラン-4-イル)-1H-ピラゾール-4-イル]-2-(2-メチルピリジン-4-イル)-1,3-オキサゾール-4-カルボキサミド(1.21 g)を白色固体として得た。
4-アミノ-1-(テトラヒドロ-2H-ピラン-4-イル)-1H-ピラゾール-3-カルボキサミド(753 mg)、2-(2-メチルピリジン-4-イル)-1,3-オキサゾール-4-カルボン酸(731 mg)、HOBt(726 mg)及び、DMF(18.3 mL)の混合物に、氷冷下WSC・HCl(1.03 g)を加え、室温で4時間撹拌した。反応混合物に飽和炭酸水素ナトリウム水溶液と水を加え、生じた固体を濾取し、水洗してから減圧下乾燥し、N-[3-カルバモイル-1-(テトラヒドロ-2H-ピラン-4-イル)-1H-ピラゾール-4-イル]-2-(2-メチルピリジン-4-イル)-1,3-オキサゾール-4-カルボキサミド(1.21 g)を白色固体として得た。
実施例7
N-[3-カルバモイル-1-(テトラヒドロ-2H-ピラン-4-イル)-1H-ピラゾール-4-イル]-2-(2-メチルピリジン-4-イル)-1,3-オキサゾール-4-カルボキサミド(45 mg)のメタノール(1.8 mL)混合物に、4M 塩化水素/1,4-ジオキサン溶液(286 μL)を加えて室温で1時間攪拌した。反応混合物を減圧下濃縮し、得られた固体を減圧下乾燥し、N-[3-カルバモイル-1-(テトラヒドロ-2H-ピラン-4-イル)-1H-ピラゾール-4-イル]-2-(2-メチルピリジン-4-イル)-1,3-オキサゾール-4-カルボキサミド 塩酸塩(45 mg)を白色固体として得た。
N-[3-カルバモイル-1-(テトラヒドロ-2H-ピラン-4-イル)-1H-ピラゾール-4-イル]-2-(2-メチルピリジン-4-イル)-1,3-オキサゾール-4-カルボキサミド(45 mg)のメタノール(1.8 mL)混合物に、4M 塩化水素/1,4-ジオキサン溶液(286 μL)を加えて室温で1時間攪拌した。反応混合物を減圧下濃縮し、得られた固体を減圧下乾燥し、N-[3-カルバモイル-1-(テトラヒドロ-2H-ピラン-4-イル)-1H-ピラゾール-4-イル]-2-(2-メチルピリジン-4-イル)-1,3-オキサゾール-4-カルボキサミド 塩酸塩(45 mg)を白色固体として得た。
実施例8
tert-ブチル {4-[4-({3-[5-(メトキシメチル)-1,3,4-オキサジアゾール-2-イル]-1-メチル-1H-ピラゾール-4-イル}カルバモイル)-1,3-オキサゾール-2-イル]ピリジン-2-イル}カルバマート(84 mg)、TFA(1 mL)及び、塩化メチレン(2.2 mL)の混合物を、室温で6時間攪拌した。反応混合物を減圧下濃縮し、残渣に酢酸エチルを加え、生じた固体を濾取した。得られた固体を酢酸エチルで洗浄後、減圧下乾燥し、2-(2-アミノピリジン-4-イル)-N-{3-[5-(メトキシメチル)-1,3,4-オキサジアゾール-2-イル]-1-メチル-1H-ピラゾール-4-イル}-1,3-オキサゾール-4-カルボキサミド トリフルオロ酢酸塩(48 mg)を淡黄色固体として得た。
tert-ブチル {4-[4-({3-[5-(メトキシメチル)-1,3,4-オキサジアゾール-2-イル]-1-メチル-1H-ピラゾール-4-イル}カルバモイル)-1,3-オキサゾール-2-イル]ピリジン-2-イル}カルバマート(84 mg)、TFA(1 mL)及び、塩化メチレン(2.2 mL)の混合物を、室温で6時間攪拌した。反応混合物を減圧下濃縮し、残渣に酢酸エチルを加え、生じた固体を濾取した。得られた固体を酢酸エチルで洗浄後、減圧下乾燥し、2-(2-アミノピリジン-4-イル)-N-{3-[5-(メトキシメチル)-1,3,4-オキサジアゾール-2-イル]-1-メチル-1H-ピラゾール-4-イル}-1,3-オキサゾール-4-カルボキサミド トリフルオロ酢酸塩(48 mg)を淡黄色固体として得た。
実施例9
tert-ブチル {4-[4-({3-[(2,5-ジメチル-1H-ピロール-1-イル)スルホニル]-1-メチル-1H-ピラゾール-4-イル}カルバモイル)-1,3-オキサゾール-2-イル]ピリジン-2-イル}(2,2,2-トリフルオロエチル)カルバマート(155 mg)と1,4-ジオキサン(2 mL)の混合物に、6M 塩酸(7 mL)を室温で加えた後、80℃に昇温し、3時間攪拌した。氷冷下、反応混合物に20% 水酸化ナトリウム水溶液を加えて中和し、酢酸エチルで抽出した。有機層を飽和食塩水で洗浄後、無水硫酸マグネシウムで乾燥した。溶媒を減圧下留去し、得られた固体を酢酸エチルとn-ヘキサンの混合溶媒で洗浄し、N-[3-(アミノスルホニル)-1-メチル-1H-ピラゾール-4-イル]-2-{2-[(2,2,2-トリフルオロエチル)アミノ]ピリジン-4-イル}-1,3-オキサゾール-4-カルボキサミド(77 mg)を淡褐色固体として得た。
tert-ブチル {4-[4-({3-[(2,5-ジメチル-1H-ピロール-1-イル)スルホニル]-1-メチル-1H-ピラゾール-4-イル}カルバモイル)-1,3-オキサゾール-2-イル]ピリジン-2-イル}(2,2,2-トリフルオロエチル)カルバマート(155 mg)と1,4-ジオキサン(2 mL)の混合物に、6M 塩酸(7 mL)を室温で加えた後、80℃に昇温し、3時間攪拌した。氷冷下、反応混合物に20% 水酸化ナトリウム水溶液を加えて中和し、酢酸エチルで抽出した。有機層を飽和食塩水で洗浄後、無水硫酸マグネシウムで乾燥した。溶媒を減圧下留去し、得られた固体を酢酸エチルとn-ヘキサンの混合溶媒で洗浄し、N-[3-(アミノスルホニル)-1-メチル-1H-ピラゾール-4-イル]-2-{2-[(2,2,2-トリフルオロエチル)アミノ]ピリジン-4-イル}-1,3-オキサゾール-4-カルボキサミド(77 mg)を淡褐色固体として得た。
実施例10
2-{2-[(tert-ブトキシカルボニル)アミノ]ピリジン-4-イル}-1,3-オキサゾール-4-カルボン酸(120 mg)と塩化メチレンの混合物にオキサリルクロリド(41 μL)を室温で加えた後、DMFを1滴加え、室温で30分間攪拌した。反応混合物に5-アミノ-2-メチル-1,3-チアゾール-4-カルボキサミド(62 mg)、トリエチルアミン(110 μL)及び、塩化メチレンの混合物を氷冷下で加え、1時間攪拌した。反応混合物をクロロホルムで希釈し、水と飽和食塩水で順次洗浄後、無水硫酸マグネシウムで乾燥した。溶媒を減圧下留去し、得られた固体をメタノールで洗浄後、減圧下乾燥し、tert-ブチル (4-{4-[(4-カルバモイル-2-メチル-1,3-チアゾール-5-イル)カルバモイル]-1,3-オキサゾール-2-イル}ピリジン-2-イル)カルバマート(46 mg)を淡黄色固体として得た。
2-{2-[(tert-ブトキシカルボニル)アミノ]ピリジン-4-イル}-1,3-オキサゾール-4-カルボン酸(120 mg)と塩化メチレンの混合物にオキサリルクロリド(41 μL)を室温で加えた後、DMFを1滴加え、室温で30分間攪拌した。反応混合物に5-アミノ-2-メチル-1,3-チアゾール-4-カルボキサミド(62 mg)、トリエチルアミン(110 μL)及び、塩化メチレンの混合物を氷冷下で加え、1時間攪拌した。反応混合物をクロロホルムで希釈し、水と飽和食塩水で順次洗浄後、無水硫酸マグネシウムで乾燥した。溶媒を減圧下留去し、得られた固体をメタノールで洗浄後、減圧下乾燥し、tert-ブチル (4-{4-[(4-カルバモイル-2-メチル-1,3-チアゾール-5-イル)カルバモイル]-1,3-オキサゾール-2-イル}ピリジン-2-イル)カルバマート(46 mg)を淡黄色固体として得た。
実施例11
tert-ブチル(4-{4-[(4-カルバモイル-2-メチル-1,3-チアゾール-5-イル)カルバモイル]-1,3-オキサゾール-2-イル}ピリジン-2-イル)カルバマート(46 mg)をメタノール(3 mL)に懸濁し、4M 塩化水素/1,4-ジオキサン溶液(600 μL)を加えて室温で終夜攪拌した。更に、4M 塩化水素/1,4-ジオキサン溶液(1 mL)を加えて、60℃で攪拌した。反応混合物を減圧下濃縮して得られた固体を、メタノールで加熱下洗浄後濾取し、減圧下乾燥し、2-(2-アミノピリジン-4-イル)-N-(4-カルバモイル-2-メチル-1,3-チアゾール-5-イル)-1,3-オキサゾール-4-カルボキサミド 塩酸塩(28 mg)を乳白色固体として得た。
tert-ブチル(4-{4-[(4-カルバモイル-2-メチル-1,3-チアゾール-5-イル)カルバモイル]-1,3-オキサゾール-2-イル}ピリジン-2-イル)カルバマート(46 mg)をメタノール(3 mL)に懸濁し、4M 塩化水素/1,4-ジオキサン溶液(600 μL)を加えて室温で終夜攪拌した。更に、4M 塩化水素/1,4-ジオキサン溶液(1 mL)を加えて、60℃で攪拌した。反応混合物を減圧下濃縮して得られた固体を、メタノールで加熱下洗浄後濾取し、減圧下乾燥し、2-(2-アミノピリジン-4-イル)-N-(4-カルバモイル-2-メチル-1,3-チアゾール-5-イル)-1,3-オキサゾール-4-カルボキサミド 塩酸塩(28 mg)を乳白色固体として得た。
実施例52
tert-ブチルrel-2-{2-[(1R,2R,4S)-ビシクロ[2.2.1]ヘプト-2-イルアミノ]ピリジン-4-イル}-1,3-オキサゾール-4-カルボキシラート (115 mg)を塩化メチレン (2.3 mL)に溶解し、TFA (198 μL)を加えて室温で3時間撹拌した。反応混合物を減圧下濃縮し、rel-2-{2-[(1R,2R,4S)-ビシクロ[2.2.1]ヘプト-2-イルアミノ]ピリジン-4-イル}-1,3-オキサゾール-4-カルボン酸 トリフルオロ酢酸塩 (130 mg)を得た。これをDMF (4 mL)に懸濁し、4-アミノ-1-メチル-1H-ピラゾール-3-カルボキサミド (44 mg)とHOBt (64 mg)を加え、5℃に冷却してからWSC・HCl (90 mg)とN-エチル-N-イソプロピルプロパン-2-アミン (108 μL)を加えて室温にて16時間撹拌した。水と塩基性シリカゲルを加え、溶媒を減圧下留去し、カラムクロマトグラフィー(クロロホルム:メタノール=10:0-10:1)にて精製し、rel-2-{2-[(1R,2R,4S)-ビシクロ[2.2.1]ヘプト-2-イルアミノ]ピリジン-4-イル}-N-(3-カルバモイル-1-メチル-1H-ピラゾール-4-イル)-1,3-オキサゾール-4-カルボキサミド (100 mg)を淡黄色固体として得た。
tert-ブチルrel-2-{2-[(1R,2R,4S)-ビシクロ[2.2.1]ヘプト-2-イルアミノ]ピリジン-4-イル}-1,3-オキサゾール-4-カルボキシラート (115 mg)を塩化メチレン (2.3 mL)に溶解し、TFA (198 μL)を加えて室温で3時間撹拌した。反応混合物を減圧下濃縮し、rel-2-{2-[(1R,2R,4S)-ビシクロ[2.2.1]ヘプト-2-イルアミノ]ピリジン-4-イル}-1,3-オキサゾール-4-カルボン酸 トリフルオロ酢酸塩 (130 mg)を得た。これをDMF (4 mL)に懸濁し、4-アミノ-1-メチル-1H-ピラゾール-3-カルボキサミド (44 mg)とHOBt (64 mg)を加え、5℃に冷却してからWSC・HCl (90 mg)とN-エチル-N-イソプロピルプロパン-2-アミン (108 μL)を加えて室温にて16時間撹拌した。水と塩基性シリカゲルを加え、溶媒を減圧下留去し、カラムクロマトグラフィー(クロロホルム:メタノール=10:0-10:1)にて精製し、rel-2-{2-[(1R,2R,4S)-ビシクロ[2.2.1]ヘプト-2-イルアミノ]ピリジン-4-イル}-N-(3-カルバモイル-1-メチル-1H-ピラゾール-4-イル)-1,3-オキサゾール-4-カルボキサミド (100 mg)を淡黄色固体として得た。
実施例53
rel-(1S,2R,4R)-7-オキサビシクロ[2.2.1]ヘプタン-2-アミン 塩酸塩 (673 mg)、ベンゾトリフルオリド (11.25 mL)、クロロホルム (22.5 mL)の混合物にN-エチル-N-イソプロピルプロパン-2-アミン (1.16 mL)を加え、室温で15分間撹拌した。メチル 2-(1-オキシドピリジン-4-イル)-1,3-オキサゾール-4-カルボキシラート (495 mg)を加えた後、-10℃に冷却し、p-トルエンスルホン酸無水物 (1.469 g)を徐々に加えた。室温にて終夜撹拌した後にクロロホルムで希釈し、飽和炭酸水素ナトリウム水溶液で洗浄後、無水硫酸マグネシウムで乾燥し、減圧下濃縮した。残渣をシリカゲルカラムクロマトグラフィー(クロロホルム:メタノール=99:1-90:10)にて精製した後、メタノール (14 mL)と1M 水酸化ナトリウム水溶液 (4.5 mL)を加えて室温にて終夜撹拌した。メタノールを減圧下留去して得られた懸濁液を、1M 塩酸を加えることにより酸性にした。減圧下濃縮することによりrel-2-{2-[(1S,2R,4R)-7-オキサビシクロ[2.2.1]ヘプト-2-イルアミノ]ピリジン-4-イル}-1,3-オキサゾール-4-カルボン酸 塩酸塩と塩化ナトリウムの混合物 (636 mg)を得た。この混合物 (136 mg)をDMF (2.2 mL)に懸濁し、4-アミノ-1-メチル-1H-ピラゾール-3-カルボキサミド (33 mg)とHOBt (48 mg)を加え、5℃に冷却してからWSC・HCl (68 mg)とN-エチル-N-イソプロピルプロパン-2-アミン (99 μL)を加えて室温にて終夜撹拌した。DMFを減圧下留去した後、得られた懸濁液に飽和炭酸水素ナトリウム水溶液を加え、固体を濾取した。これをシリカゲルカラムクロマトグラフィー(クロロホルム:メタノール=9:1)にて精製し、rel-N-(3-カルバモイル-1-メチル-1H-ピラゾール-4-イル)-2-{2-[(1R,2S,4S)-7-オキサビシクロ[2.2.1]ヘプト-2-イルアミノ]ピリジン-4-イル}-1,3-オキサゾール-4-カルボキサミド (13 mg)を淡黄色固体として得た。
rel-(1S,2R,4R)-7-オキサビシクロ[2.2.1]ヘプタン-2-アミン 塩酸塩 (673 mg)、ベンゾトリフルオリド (11.25 mL)、クロロホルム (22.5 mL)の混合物にN-エチル-N-イソプロピルプロパン-2-アミン (1.16 mL)を加え、室温で15分間撹拌した。メチル 2-(1-オキシドピリジン-4-イル)-1,3-オキサゾール-4-カルボキシラート (495 mg)を加えた後、-10℃に冷却し、p-トルエンスルホン酸無水物 (1.469 g)を徐々に加えた。室温にて終夜撹拌した後にクロロホルムで希釈し、飽和炭酸水素ナトリウム水溶液で洗浄後、無水硫酸マグネシウムで乾燥し、減圧下濃縮した。残渣をシリカゲルカラムクロマトグラフィー(クロロホルム:メタノール=99:1-90:10)にて精製した後、メタノール (14 mL)と1M 水酸化ナトリウム水溶液 (4.5 mL)を加えて室温にて終夜撹拌した。メタノールを減圧下留去して得られた懸濁液を、1M 塩酸を加えることにより酸性にした。減圧下濃縮することによりrel-2-{2-[(1S,2R,4R)-7-オキサビシクロ[2.2.1]ヘプト-2-イルアミノ]ピリジン-4-イル}-1,3-オキサゾール-4-カルボン酸 塩酸塩と塩化ナトリウムの混合物 (636 mg)を得た。この混合物 (136 mg)をDMF (2.2 mL)に懸濁し、4-アミノ-1-メチル-1H-ピラゾール-3-カルボキサミド (33 mg)とHOBt (48 mg)を加え、5℃に冷却してからWSC・HCl (68 mg)とN-エチル-N-イソプロピルプロパン-2-アミン (99 μL)を加えて室温にて終夜撹拌した。DMFを減圧下留去した後、得られた懸濁液に飽和炭酸水素ナトリウム水溶液を加え、固体を濾取した。これをシリカゲルカラムクロマトグラフィー(クロロホルム:メタノール=9:1)にて精製し、rel-N-(3-カルバモイル-1-メチル-1H-ピラゾール-4-イル)-2-{2-[(1R,2S,4S)-7-オキサビシクロ[2.2.1]ヘプト-2-イルアミノ]ピリジン-4-イル}-1,3-オキサゾール-4-カルボキサミド (13 mg)を淡黄色固体として得た。
上述の実施例の方法と同様にして、後記表に示す実施例の化合物を製造した。各実施例化合物の構造を表26~38に、製造法及び物理化学的データを表39~45に示す。
また、表46~67に本発明の別の化合物の構造を示す。これらは、上記の製造法や実施例に記載の方法及び当業者にとって自明である方法、又はこれらの変法を用いることにより、容易に合成することができる。
本発明医薬の有効成分である化合物は、IRAK-4に対する強力な阻害作用と、これに基づく良好な薬理作用を有することから、本発明の医薬組成物は、炎症性疾患、自己免疫疾患等のIRAK-4に関係する疾患の予防又は治療剤として使用しうる。
配列表の数字見出し<223>には、「Artificial Sequence」の説明を記載する。具体的には、配列表の配列番号3の配列で表される塩基配列は、第1-78番及び第1492-1578番が発現ベクター由来、第79-111番が合成プライマー由来、第112-1491番がラットIRAK-4 ORFからなる融合遺伝子である。配列番号4の配列で表されるアミノ酸配列は、配列番号3の配列で表される融合遺伝子でコードされる推定アミノ酸配列である。配列番号5、6の配列で表される塩基配列は、人工的に合成したプライマー配列である。
Claims (12)
- 式(I)の化合物又はその塩。
(式中、
環Aは、単環式のヘテロアリールであり、
R1は、1~3個のR10で置換されていてもよい単環又は二環式のヘテロアリールであり、
R2は、-C(O)NH2、-C(O)NH-R0、-C(O)NH-R00-OH、-C(O)NH-R00-O-R0、-C(O)N(R0)2、-C(O)NH-シクロアルキル、-C(O)NH-ヘテロシクロアルキル、-C(O)NH-(R0で置換されていてもよいピラゾリル)、-C(O)-R0、-C(O)-シクロアルキル、-S(O)2NH2、-S(O)2NH-R0、-S(O)2NH-シクロアルキル、-R00-OH、-R00-O-R0、-R00-(モルホリン-4-イル)、フェニル、オキサジアゾリル又は、R0で置換されていてもよいテトラゾリルであり、
ここでR2におけるオキサジアゾリルは、R0、R00-OH又は、R00-O-R0で置換されていてもよく、
R3は、H、R0、ハロゲノ低級アルキル、シクロアルキル、へテロシクロアルキル、フェニル、ピリジル、ピリミジニル、ピラジニル、-C(O)N(R0)2、-R00-シクロアルキル、-R00-へテロシクロアルキル、-R00-フェニル、-R00-OH又は、-R00-O-R0であり、
ここでR3におけるシクロアルキル、ヘテロシクロアルキル、フェニル及び、ピリジルは、R0、ハロゲン、-C(O)O-R0、-C(O)-R0、-OH、-O-R0、-S(O)2-R0、-O-ハロゲノ低級アルキル、-O-R00-(モルホリン-4-イル)、-R00-OH、-R00-O-R0、モルホリン-4-イル又は、-R00-(モルホリン-4-イル)で置換されていてもよく、
R10は、同一又は互いに異なって、R0、ハロゲン、ハロゲノ低級アルキル、シクロアルキル、-O-R0、置換されていてもよいアミノ、-O-ハロゲノ低級アルキル、-R00-OH、-R00-O-R0又は、-R00-(置換されていてもよいアミノ)であり、
R0は、同一又は互いに異なって、低級アルキルであり、
R00は、同一又は互いに異なって、低級アルキレンである。) - 式(II)の化合物又はその塩。
(式中、
R1は、1~3個のR10で置換されていてもよい単環又は二環式のヘテロアリールであり、
R2aは、-C(O)NH2、-C(O)NH-R0、-C(O)NH-シクロアルキル、-C(O)-R0、-C(O)-シクロアルキル、-S(O)2NH2、-S(O)2NH-R0、オキサジアゾリル又は、R0で置換されていてもよいテトラゾリルであり、
ここでR2aにおけるオキサジアゾリルは、R0、-R00-OH又は、-R00-O-R0で置換されていてもよく、
R3aは、H、R0、シクロアルキル、へテロシクロアルキル、フェニル、ピリジル、-R00-シクロアルキル、-R00-へテロシクロアルキル、-R00-OH又は、-R00-O-R0であり、
ここでR3aにおけるシクロアルキル、ヘテロシクロアルキル、フェニル及び、ピリジルは、R0、ハロゲン、-C(O)-R0、-OH又は、-O-R0で置換されていてもよい。) - R1が、それぞれ1~3個のR10で置換されていてもよいピリジル、ピリダジニル、ピリミジニル、フリル、チエニル、インダゾリル、ベンズイミダゾリル、ピロロピリジニル、イミダゾピリジニル、キノリル又は、ベンゾオキサゾリルである請求項1又は2記載の化合物又はその塩。
- R2及びR2aが、-C(O)NH2、-C(O)NH-R0、-S(O)2NH2又は、5-(メトキシメチル)-1,3,4-オキサジアゾール-2-イルである請求項5記載の化合物又はその塩。
- R3及びR3aが、R0、へテロシクロアルキル、フェニル、ピリジル、-R00-へテロシクロアルキル、-R00-OH又は、-R00-O-R0であり、ここでヘテロシクロアルキル、フェニル及び、ピリジルは、R0、ハロゲン又は、-O-R0からなる群より選択される基で置換されていてもよい、である請求項5記載の化合物又はその塩。
- 2-(2-アミノピリジン-4-イル)-N-(3-カルバモイル-1-メチル-1H-ピラゾール-4-イル)-1,3-オキサゾール-4-カルボキサミド、
N-(3-カルバモイル-1-メチル-1H-ピラゾール-4-イル)-2-(2-メチルピリジン-4-イル)-1,3-オキサゾール-4-カルボキサミド、
2-(2-アミノピリジン-4-イル)-N-[3-カルバモイル-1-(2-メトキシエチル)-1H-ピラゾール-4-イル]-1,3-オキサゾール-4-カルボキサミド、
N-[3-カルバモイル-1-(テトラヒドロ-2H-ピラン-4-イル)-1H-ピラゾール-4-イル]-2-(2-メチルピリジン-4-イル)-1,3-オキサゾール-4-カルボキサミド、
N-(3-カルバモイル-1-メチル-1H-ピラゾール-4-イル)-2-{2-[(2-メトキシエチル)アミノ]ピリジン-4-イル}-1,3-オキサゾール-4-カルボキサミド、
N-(3-カルバモイル-1-メチル-1H-ピラゾール-4-イル)-2-{2-[(シクロプロピルメチル)アミノ]ピリジン-4-イル}-1,3-オキサゾール-4-カルボキサミド、
N-{3-カルバモイル-1-[(2S)-テトラヒドロフラン-2-イルメチル]-1H-ピラゾール-4-イル}-2-(2-メチルピリジン-4-イル)-1,3-オキサゾール-4-カルボキサミド、
N-{3-カルバモイル-1-[(2S)-テトラヒドロフラン-2-イルメチル]-1H-ピラゾール-4-イル}-2-{2-[(シクロプロピルメチル)アミノ]ピリジン-4-イル}-1,3-オキサゾール-4-カルボキサミド、
N-{3-カルバモイル-1-[(3R)-テトラヒドロフラン-3-イルメチル]-1H-ピラゾール-4-イル}-2-(2-メチルピリジン-4-イル)-1,3-オキサゾール-4-カルボキサミド、
2-(2-アミノピリジン-4-イル)-N-[3-カルバモイル-1-(3-メトキシフェニル)-1H-ピラゾール-4-イル]-1,3-オキサゾール-4-カルボキサミド、
N-[3-カルバモイル-1-(ピリジン-3-イル)-1H-ピラゾール-4-イル]-2-{2-[(2,2,2-トリフルオロエチル)アミノ]ピリジン-4-イル}-1,3-オキサゾール-4-カルボキサミド、
N-{3-カルバモイル-1-[(3S)-テトラヒドロフラン-3-イルメチル]-1H-ピラゾール-4-イル}-2-{2-[(2,2,2-トリフルオロエチル)アミノ]ピリジン-4-イル}-1,3-オキサゾール-4-カルボキサミド及び、
N-{3-カルバモイル-1-[(3S)-テトラヒドロフラン-3-イルメチル]-1H-ピラゾール-4-イル}-2-{2-[(シクロプロピルメチル)アミノ]ピリジン-4-イル}-1,3-オキサゾール-4-カルボキサミド、
並びにこれらの塩である、請求項1記載の化合物又はその塩。 - 請求項1に記載の化合物又はその塩、及び製薬学的に許容される賦形剤を含有する医薬組成物。
- 請求項1に記載の化合物又はその塩を含有するIRAK-4の関与する疾患の予防用若しくは治療用医薬組成物。
- IRAK-4の関与する疾患の予防若しくは治療用医薬組成物の製造のための請求項1に記載の化合物又はその塩の使用。
- IRAK-4の関与する疾患の予防若しくは治療のための請求項1に記載の化合物又はその塩の使用。
- IRAK-4の関与する疾患の予防若しくは治療のための請求項1に記載の化合物又はその塩。
- 請求項1に記載の化合物又はその塩の有効量を患者に投与することからなるIRAK-4の関与する疾患の予防若しくは治療方法。
Applications Claiming Priority (2)
| Application Number | Priority Date | Filing Date | Title |
|---|---|---|---|
| JP2009-233048 | 2009-10-07 | ||
| JP2009233048A JP2012254939A (ja) | 2009-10-07 | 2009-10-07 | オキサゾール化合物 |
Publications (1)
| Publication Number | Publication Date |
|---|---|
| WO2011043371A1 true WO2011043371A1 (ja) | 2011-04-14 |
Family
ID=43856824
Family Applications (1)
| Application Number | Title | Priority Date | Filing Date |
|---|---|---|---|
| PCT/JP2010/067541 Ceased WO2011043371A1 (ja) | 2009-10-07 | 2010-10-06 | オキサゾール化合物 |
Country Status (2)
| Country | Link |
|---|---|
| JP (1) | JP2012254939A (ja) |
| WO (1) | WO2011043371A1 (ja) |
Cited By (92)
| Publication number | Priority date | Publication date | Assignee | Title |
|---|---|---|---|---|
| JP2013533318A (ja) * | 2010-08-11 | 2013-08-22 | ミレニアム ファーマシューティカルズ, インコーポレイテッド | ヘテロアリールおよびその使用 |
| JP2013544878A (ja) * | 2010-12-07 | 2013-12-19 | アクテリオン ファーマシューティカルズ リミテッド | Alx受容体アゴニストとしてのオキサゾリル−メチルエーテル誘導体 |
| JP2013544879A (ja) * | 2010-12-07 | 2013-12-19 | アクテリオン ファーマシューティカルズ リミテッド | Alx受容体アゴニストとしてのヒドロキシル化アミノトリアゾール誘導体 |
| US8765746B2 (en) | 2010-10-13 | 2014-07-01 | Millennium Pharmaceuticals, Inc. | Heteroaryls and uses thereof |
| US8796314B2 (en) | 2009-01-30 | 2014-08-05 | Millennium Pharmaceuticals, Inc. | Heteroaryls and uses thereof |
| US8796268B2 (en) | 2010-08-11 | 2014-08-05 | Millennium Pharmaceuticals, Inc. | Heteroaryls and uses thereof |
| US8815271B2 (en) | 2010-11-03 | 2014-08-26 | Dow Agrosciences, Llc. | Pesticidal compositions and processes related thereto |
| US8901153B2 (en) | 2012-04-27 | 2014-12-02 | Dow Agrosciences, Llc. | Pesticidal compositions and processes related thereto |
| WO2015006181A1 (en) | 2013-07-11 | 2015-01-15 | Merck Sharp & Dohme Corp. | Substituted amidopyrazole inhibitors of interleukin receptor-associated kinases (irak-4) |
| JP2015503622A (ja) * | 2012-01-13 | 2015-02-02 | ブリストル−マイヤーズ スクイブ カンパニーBristol−Myers Squibb Company | キナーゼ阻害剤として有用なトリアゾリルまたはトリアジアゾリル置換されたピリジル化合物 |
| JP2015503618A (ja) * | 2012-01-10 | 2015-02-02 | ニンバス アイリス, インコーポレイテッド | Irak阻害剤およびその使用 |
| JP2015503620A (ja) * | 2012-01-13 | 2015-02-02 | ブリストル−マイヤーズ スクイブ カンパニーBristol−Myers Squibb Company | キナーゼ阻害剤として有用な複素環置換されたピリジル化合物 |
| US9024031B1 (en) | 2014-08-19 | 2015-05-05 | Dow Agrosciences Llc | Process for the preparation of 3-(3-chloro-1H-pyrazol-1-yl)pyridine |
| US9029556B1 (en) | 2014-07-31 | 2015-05-12 | Dow Argosciences Llc | Process for the preparation of 3-(3-chloro-1H-pyrazol-1-yl)pyridine |
| US9029555B1 (en) | 2014-07-31 | 2015-05-12 | Dow Agrosciences Llc | Process for the preparation of 3-(3-chloro-1H-pyrazol-1-yl)pyridine |
| US9029411B2 (en) | 2008-01-25 | 2015-05-12 | Millennium Pharmaceuticals, Inc. | Thiophenes and uses thereof |
| US9029554B1 (en) | 2013-10-17 | 2015-05-12 | Dow Agrosciences Llc | Processes for the preparation of pesticidal compounds |
| WO2015068856A1 (en) | 2013-11-08 | 2015-05-14 | Takeda Pharmaceutical Company Limited | Pyrazole for the treatment autoimmune disorders |
| US9044017B2 (en) | 2013-10-17 | 2015-06-02 | Dow Agrosciences Llc | Processes for the preparation of pesticidal compounds |
| US9062038B2 (en) | 2010-08-11 | 2015-06-23 | Millennium Pharmaceuticals, Inc. | Heteroaryls and uses thereof |
| WO2015104662A1 (en) | 2014-01-10 | 2015-07-16 | Aurigene Discovery Technologies Limited | Indazole compounds as irak4 inhibitors |
| US9085552B1 (en) | 2014-09-12 | 2015-07-21 | Dow Agrosciences Llc | Process for the preparation of 3-(3-chloro-1H-pyrazol-1-yl)pyridine |
| US9085564B2 (en) | 2013-10-17 | 2015-07-21 | Dow Agrosciences Llc | Processes for the preparation of pesticidal compounds |
| US9090601B2 (en) | 2009-01-30 | 2015-07-28 | Millennium Pharmaceuticals, Inc. | Thiazole derivatives |
| US9102654B2 (en) | 2013-10-17 | 2015-08-11 | Dow Agrosciences Llc | Processes for the preparation of pesticidal compounds |
| US9102655B2 (en) | 2013-10-17 | 2015-08-11 | Dow Agrosciences Llc | Processes for the preparation of pesticidal compounds |
| US9108946B2 (en) | 2013-10-17 | 2015-08-18 | Dow Agrosciences Llc | Processes for the preparation of pesticidal compounds |
| US9137998B2 (en) | 2013-10-22 | 2015-09-22 | Dow Agrosciences Llc | Pesticidal compositions and related methods |
| US9139589B2 (en) | 2009-01-30 | 2015-09-22 | Millennium Pharmaceuticals, Inc. | Heteroaryls and uses thereof |
| US9144241B2 (en) | 2013-10-22 | 2015-09-29 | Dow Agrosciences Llc | Synergistic pesticidal compositions and related methods |
| JP2015529235A (ja) * | 2012-09-26 | 2015-10-05 | エフ・ホフマン−ラ・ロシュ・アクチェンゲゼルシャフト | 環状エーテルピラゾール−4−イル−ヘテロシクリル−カルボキサミド化合物と使用方法 |
| US9149040B2 (en) | 2013-10-22 | 2015-10-06 | Dow Agrosciences Llc | Synergistic pesticidal compositions and related methods |
| US9155304B2 (en) | 2013-10-22 | 2015-10-13 | Dow Agrosciences Llc | Synergistic pesticidal compositions and related methods |
| US9174962B2 (en) | 2013-10-17 | 2015-11-03 | Dow Agrosciences Llc | Processes for the preparation of pesticidal compounds |
| US9199964B1 (en) | 2014-07-31 | 2015-12-01 | Dow Agrosciences Llc | Process for the preparation of 3-(3-chloro-1H-pyrazol-1-yl)pyridine |
| US9282739B2 (en) | 2012-04-27 | 2016-03-15 | Dow Agrosciences Llc | Pesticidal compositions and processes related thereto |
| US9282740B2 (en) | 2013-10-22 | 2016-03-15 | Dow Agrosciences Llc | Synergistic pesticidal compositions and related methods |
| US9295258B2 (en) | 2013-10-22 | 2016-03-29 | Dow Agrosciences Llc | Synergistic pesticidal compositions and related methods |
| US9295260B2 (en) | 2013-10-22 | 2016-03-29 | Dow Agrosciences Llc | Pesticidal compositions and related methods |
| EP2903613A4 (en) * | 2012-10-08 | 2016-04-20 | Merck Sharp & Dohme | INHIBITORS OF IRAQ4 ACTIVITY |
| US9445597B2 (en) | 2013-10-22 | 2016-09-20 | Dow Agrosciences Llc | Pesticidal compositions and related methods |
| US9474276B2 (en) | 2013-10-22 | 2016-10-25 | Dow Agrosciences Llc | Synergistic pesticidal compositions and related methods |
| WO2016172560A1 (en) * | 2015-04-22 | 2016-10-27 | Rigel Pharmaceuticals, Inc. | Pyrazole compounds and method for making and using the compounds |
| US9491944B2 (en) | 2013-10-22 | 2016-11-15 | Dow Agrosciences Llc | Pesticidal compositions and related methods |
| US9497966B2 (en) | 2013-10-22 | 2016-11-22 | Dow Agrosciences Llc | Pesticidal compositions and related methods |
| US9549560B2 (en) | 2013-10-22 | 2017-01-24 | Dow Agrosciences Llc | Pesticidal compositions and related methods |
| US9598440B2 (en) | 2012-10-08 | 2017-03-21 | Merck Sharp & Dohme Corp. | Inhibitors of IRAK4 activity |
| US9655365B2 (en) | 2011-10-26 | 2017-05-23 | Dow Agrosciences Llc | Pesticidal compositions and processes related thereto |
| US9708288B2 (en) | 2012-04-27 | 2017-07-18 | Dow Agrosciences Llc | Pesticidal compositions and processes related thereto |
| US9788545B2 (en) | 2013-10-22 | 2017-10-17 | Dow Agrosciences Llc | Synergistic pesticidal compositions and related methods |
| US9788546B2 (en) | 2013-10-22 | 2017-10-17 | Dow Agrosciences Llc | Synergistic pesticidal compositions and related methods |
| US9801376B2 (en) | 2013-10-22 | 2017-10-31 | Dow Agrosciences Llc | Synergistic pesticidal compositions and related methods |
| US9801383B2 (en) | 2013-10-22 | 2017-10-31 | Dow Agrosciences Llc | Synergistic pesticidal compositions and related methods |
| US9808008B2 (en) | 2013-10-22 | 2017-11-07 | Dow Agrosciences Llc | Synergistic pesticidal compositions and related methods |
| WO2018052058A1 (ja) * | 2016-09-15 | 2018-03-22 | 武田薬品工業株式会社 | 複素環化合物 |
| US9951086B2 (en) | 2013-12-19 | 2018-04-24 | Bayer Pharma Aktiengesellschaft | Indazolecarboxamides, processes for their preparation, pharmaceutical preparations comprising them and their use for producing medicaments |
| WO2018089199A1 (en) * | 2016-10-26 | 2018-05-17 | Rigel Pharmaceuticals, Inc. | Oxazole derivatives for use as irak inhibitors and method for their preparation |
| US9988376B2 (en) | 2013-07-03 | 2018-06-05 | Glaxosmithkline Intellectual Property Development Limited | Benzothiophene derivatives as estrogen receptor inhibitors |
| US9993514B2 (en) | 2013-07-03 | 2018-06-12 | Glaxosmithkline Intellectual Property Development Limited | Compounds |
| US10100033B2 (en) | 2016-12-29 | 2018-10-16 | Dow Agrosciences Llc | Processes for the preparation of pesticidal compounds |
| US10233155B2 (en) | 2016-12-29 | 2019-03-19 | Dow Agrosciences Llc | Processes for the preparation of pesticide compounds |
| EP3466955A1 (en) | 2014-01-13 | 2019-04-10 | Aurigene Discovery Technologies Limited | Method of preparing oxazolo[4,5-b]pyridine and thiazolo[4,5-b]pyridine derivatives as irak4 inhibitors for treating cancer |
| WO2019111218A1 (en) | 2017-12-08 | 2019-06-13 | Cadila Healthcare Limited | Novel heterocyclic compounds as irak4 inhibitors |
| US10336762B2 (en) | 2017-02-16 | 2019-07-02 | Gilead Sciences, Inc. | Pyrrolo[1,2-b]pyridazine derivatives |
| WO2019133531A1 (en) | 2017-12-26 | 2019-07-04 | Kymera Therapeutics, Inc. | Irak degraders and uses thereof |
| JP2019533687A (ja) * | 2016-10-26 | 2019-11-21 | ライジェル ファーマシューティカルズ, インコーポレイテッド | Irak阻害剤としてのピラゾールアミド化合物 |
| US10774076B2 (en) | 2015-08-04 | 2020-09-15 | Rigel Pharmaceuticals, Inc. | Benzazole compounds and methods for making and using the compounds |
| US10875866B2 (en) | 2018-07-13 | 2020-12-29 | Gilead Sciences, Inc. | Pyrrolo[1,2-B]pyridazine derivatives |
| US11065231B2 (en) | 2017-11-17 | 2021-07-20 | Arvinas Operations, Inc. | Compounds and methods for the targeted degradation of interleukin-1 receptor- associated kinase 4 polypeptides |
| US11117889B1 (en) | 2018-11-30 | 2021-09-14 | Kymera Therapeutics, Inc. | IRAK degraders and uses thereof |
| US11292792B2 (en) | 2018-07-06 | 2022-04-05 | Kymera Therapeutics, Inc. | Tricyclic CRBN ligands and uses thereof |
| US11358948B2 (en) | 2017-09-22 | 2022-06-14 | Kymera Therapeutics, Inc. | CRBN ligands and uses thereof |
| US11370787B2 (en) | 2019-08-30 | 2022-06-28 | Rigel Pharmaceuticals, Inc. | Pyrazole compounds, formulations thereof, and a method for using the compounds and/or formulations |
| US20220289710A1 (en) * | 2018-11-02 | 2022-09-15 | Merck Sharp & Dohme Llc | 2-amino-n-heteroaryl-nicotinamides as nav1.8 inhibitors |
| US11485743B2 (en) | 2018-01-12 | 2022-11-01 | Kymera Therapeutics, Inc. | Protein degraders and uses thereof |
| US11512080B2 (en) | 2018-01-12 | 2022-11-29 | Kymera Therapeutics, Inc. | CRBN ligands and uses thereof |
| US11591332B2 (en) | 2019-12-17 | 2023-02-28 | Kymera Therapeutics, Inc. | IRAK degraders and uses thereof |
| US11623932B2 (en) | 2017-09-22 | 2023-04-11 | Kymera Therapeutics, Inc. | Protein degraders and uses thereof |
| US11685750B2 (en) | 2020-06-03 | 2023-06-27 | Kymera Therapeutics, Inc. | Crystalline forms of IRAK degraders |
| US11707457B2 (en) | 2019-12-17 | 2023-07-25 | Kymera Therapeutics, Inc. | IRAK degraders and uses thereof |
| JP2023535725A (ja) * | 2020-07-24 | 2023-08-21 | ユニバーシティ オブ ロチェスター | インターロイキン-1受容体関連キナーゼ1及び4の阻害剤 |
| US12091411B2 (en) | 2022-01-31 | 2024-09-17 | Kymera Therapeutics, Inc. | IRAK degraders and uses thereof |
| US12097261B2 (en) | 2021-05-07 | 2024-09-24 | Kymera Therapeutics, Inc. | CDK2 degraders and uses thereof |
| US12150995B2 (en) | 2020-12-30 | 2024-11-26 | Kymera Therapeutics, Inc. | IRAK degraders and uses thereof |
| US12171768B2 (en) | 2021-02-15 | 2024-12-24 | Kymera Therapeutics, Inc. | IRAK4 degraders and uses thereof |
| US12187744B2 (en) | 2021-10-29 | 2025-01-07 | Kymera Therapeutics, Inc. | IRAK4 degraders and synthesis thereof |
| US12239711B2 (en) | 2014-04-14 | 2025-03-04 | Arvinas Operations, Inc. | Cereblon ligands and bifunctional compounds comprising the same |
| US12247071B2 (en) | 2016-12-21 | 2025-03-11 | Amgen Inc. | Anti-TNF alpha antibody formulations |
| WO2025054366A1 (en) * | 2023-09-06 | 2025-03-13 | Nico Therapeutics, Inc. | Compounds, compositions, and methods |
| US12357623B2 (en) | 2021-03-03 | 2025-07-15 | Rigel Pharmaceuticals, Inc. | Method for treating a disease or condition using a pyrazole compound or formulation thereof |
| US12384775B2 (en) | 2022-03-23 | 2025-08-12 | Rigel Pharmaceuticals, Inc. | Pyrimid-2-yl-pyrazole compounds as IRAK inhibitors |
| US12454520B2 (en) | 2018-07-06 | 2025-10-28 | Kymera Therapeutics, Inc. | Protein degraders and uses thereof |
Citations (4)
| Publication number | Priority date | Publication date | Assignee | Title |
|---|---|---|---|---|
| WO2008006793A1 (en) * | 2006-07-14 | 2008-01-17 | Glaxo Group Limited | Indole compounds |
| WO2008009954A1 (en) * | 2006-07-21 | 2008-01-24 | Astex Therapeutics Limited | Medical use of cyclin dependent kinases inhibitors |
| WO2009054468A1 (ja) * | 2007-10-24 | 2009-04-30 | Astellas Pharma Inc. | アゾールカルボキサミド化合物又はその塩 |
| US20090149517A1 (en) * | 2007-12-10 | 2009-06-11 | Ulrich Bothe | Novel 2-substituted tiazole-4-carboxamide derivatives, their preparation and use as pharmaceuticals |
-
2009
- 2009-10-07 JP JP2009233048A patent/JP2012254939A/ja not_active Withdrawn
-
2010
- 2010-10-06 WO PCT/JP2010/067541 patent/WO2011043371A1/ja not_active Ceased
Patent Citations (4)
| Publication number | Priority date | Publication date | Assignee | Title |
|---|---|---|---|---|
| WO2008006793A1 (en) * | 2006-07-14 | 2008-01-17 | Glaxo Group Limited | Indole compounds |
| WO2008009954A1 (en) * | 2006-07-21 | 2008-01-24 | Astex Therapeutics Limited | Medical use of cyclin dependent kinases inhibitors |
| WO2009054468A1 (ja) * | 2007-10-24 | 2009-04-30 | Astellas Pharma Inc. | アゾールカルボキサミド化合物又はその塩 |
| US20090149517A1 (en) * | 2007-12-10 | 2009-06-11 | Ulrich Bothe | Novel 2-substituted tiazole-4-carboxamide derivatives, their preparation and use as pharmaceuticals |
Non-Patent Citations (1)
| Title |
|---|
| BUCKLEY, G.M. ET AL.: "IRAK-4 inhibitors. Part 1: A series of amides", BIOORGANIC & MEDICINAL CHEMISTRY LETTERS, vol. 18, no. 11, 2008, pages 3211 - 3214, XP022711199, DOI: doi:10.1016/j.bmcl.2008.04.058 * |
Cited By (197)
| Publication number | Priority date | Publication date | Assignee | Title |
|---|---|---|---|---|
| US9029411B2 (en) | 2008-01-25 | 2015-05-12 | Millennium Pharmaceuticals, Inc. | Thiophenes and uses thereof |
| US9090601B2 (en) | 2009-01-30 | 2015-07-28 | Millennium Pharmaceuticals, Inc. | Thiazole derivatives |
| US8796314B2 (en) | 2009-01-30 | 2014-08-05 | Millennium Pharmaceuticals, Inc. | Heteroaryls and uses thereof |
| US9139589B2 (en) | 2009-01-30 | 2015-09-22 | Millennium Pharmaceuticals, Inc. | Heteroaryls and uses thereof |
| JP2013533318A (ja) * | 2010-08-11 | 2013-08-22 | ミレニアム ファーマシューティカルズ, インコーポレイテッド | ヘテロアリールおよびその使用 |
| US8796268B2 (en) | 2010-08-11 | 2014-08-05 | Millennium Pharmaceuticals, Inc. | Heteroaryls and uses thereof |
| US8796271B2 (en) | 2010-08-11 | 2014-08-05 | Millennium Pharmaceuticals, Inc. | Heteroaryls and uses thereof |
| US8859768B2 (en) | 2010-08-11 | 2014-10-14 | Millennium Pharmaceuticals, Inc. | Heteroaryls and uses thereof |
| US9062038B2 (en) | 2010-08-11 | 2015-06-23 | Millennium Pharmaceuticals, Inc. | Heteroaryls and uses thereof |
| US8765746B2 (en) | 2010-10-13 | 2014-07-01 | Millennium Pharmaceuticals, Inc. | Heteroaryls and uses thereof |
| US8815271B2 (en) | 2010-11-03 | 2014-08-26 | Dow Agrosciences, Llc. | Pesticidal compositions and processes related thereto |
| US9422278B2 (en) | 2010-11-03 | 2016-08-23 | Dow Agrosciences Llc | Pesticidal compositions and processes related thereto |
| JP2013544878A (ja) * | 2010-12-07 | 2013-12-19 | アクテリオン ファーマシューティカルズ リミテッド | Alx受容体アゴニストとしてのオキサゾリル−メチルエーテル誘導体 |
| JP2013544879A (ja) * | 2010-12-07 | 2013-12-19 | アクテリオン ファーマシューティカルズ リミテッド | Alx受容体アゴニストとしてのヒドロキシル化アミノトリアゾール誘導体 |
| US9655365B2 (en) | 2011-10-26 | 2017-05-23 | Dow Agrosciences Llc | Pesticidal compositions and processes related thereto |
| JP2015503618A (ja) * | 2012-01-10 | 2015-02-02 | ニンバス アイリス, インコーポレイテッド | Irak阻害剤およびその使用 |
| JP2015503622A (ja) * | 2012-01-13 | 2015-02-02 | ブリストル−マイヤーズ スクイブ カンパニーBristol−Myers Squibb Company | キナーゼ阻害剤として有用なトリアゾリルまたはトリアジアゾリル置換されたピリジル化合物 |
| JP2015503620A (ja) * | 2012-01-13 | 2015-02-02 | ブリストル−マイヤーズ スクイブ カンパニーBristol−Myers Squibb Company | キナーゼ阻害剤として有用な複素環置換されたピリジル化合物 |
| US10227340B2 (en) | 2012-01-13 | 2019-03-12 | Bristol-Myers Squibb Company | Thiazolyl- or thiadiazolyl-substituted pyridyl compounds useful as kinase inhibitors |
| US8901153B2 (en) | 2012-04-27 | 2014-12-02 | Dow Agrosciences, Llc. | Pesticidal compositions and processes related thereto |
| US9708288B2 (en) | 2012-04-27 | 2017-07-18 | Dow Agrosciences Llc | Pesticidal compositions and processes related thereto |
| US9591857B2 (en) | 2012-04-27 | 2017-03-14 | Dow Agrosciences Llc | Pesticidal compositions and processes related thereto |
| US9282739B2 (en) | 2012-04-27 | 2016-03-15 | Dow Agrosciences Llc | Pesticidal compositions and processes related thereto |
| US9931323B2 (en) | 2012-09-26 | 2018-04-03 | Genentech, Inc. | Cyclic ether pyrazol-4-yl-heterocyclyl-carboxamide compounds and methods of use |
| JP2015529235A (ja) * | 2012-09-26 | 2015-10-05 | エフ・ホフマン−ラ・ロシュ・アクチェンゲゼルシャフト | 環状エーテルピラゾール−4−イル−ヘテロシクリル−カルボキサミド化合物と使用方法 |
| US9586948B2 (en) | 2012-10-08 | 2017-03-07 | Merck Sharp & Dohme Corp. | Inhibitors of IRAK4 activity |
| EP2903613A4 (en) * | 2012-10-08 | 2016-04-20 | Merck Sharp & Dohme | INHIBITORS OF IRAQ4 ACTIVITY |
| US9598440B2 (en) | 2012-10-08 | 2017-03-21 | Merck Sharp & Dohme Corp. | Inhibitors of IRAK4 activity |
| US9993514B2 (en) | 2013-07-03 | 2018-06-12 | Glaxosmithkline Intellectual Property Development Limited | Compounds |
| US9988376B2 (en) | 2013-07-03 | 2018-06-05 | Glaxosmithkline Intellectual Property Development Limited | Benzothiophene derivatives as estrogen receptor inhibitors |
| WO2015006181A1 (en) | 2013-07-11 | 2015-01-15 | Merck Sharp & Dohme Corp. | Substituted amidopyrazole inhibitors of interleukin receptor-associated kinases (irak-4) |
| US9199942B2 (en) | 2013-10-17 | 2015-12-01 | Dow Agrosciences Llc | Processes for the preparation of pesticidal compounds |
| US9796682B2 (en) | 2013-10-17 | 2017-10-24 | Dow Agrosciences Llc | Processes for the preparation of pesticidal compounds |
| US9670164B2 (en) | 2013-10-17 | 2017-06-06 | Dow Agrosciences Llc | Processes for the preparation of pesticidal compounds |
| US9126974B2 (en) | 2013-10-17 | 2015-09-08 | Dow Agrosciences Llc | Processes for the preparation of pesticidal compounds |
| US10315999B2 (en) | 2013-10-17 | 2019-06-11 | Dow Agrosciences Llc | Processes for the preparation of pesticidal compounds |
| US9908864B2 (en) | 2013-10-17 | 2018-03-06 | Dow Agrosciences Llc | Processes for the preparation of pesticidal compounds |
| US9029554B1 (en) | 2013-10-17 | 2015-05-12 | Dow Agrosciences Llc | Processes for the preparation of pesticidal compounds |
| US9174962B2 (en) | 2013-10-17 | 2015-11-03 | Dow Agrosciences Llc | Processes for the preparation of pesticidal compounds |
| US9661849B2 (en) | 2013-10-17 | 2017-05-30 | Dow Agrosciences Llc | Processes for the preparation of pesticidal compounds |
| US9901095B2 (en) | 2013-10-17 | 2018-02-27 | Dow Agrosciences Llc | Processes for the preparation of pesticidal compounds |
| US9108946B2 (en) | 2013-10-17 | 2015-08-18 | Dow Agrosciences Llc | Processes for the preparation of pesticidal compounds |
| US9255083B2 (en) | 2013-10-17 | 2016-02-09 | Dow Agrosciences Llc | Processes for the preparation of pesticidal compounds |
| US9255082B2 (en) | 2013-10-17 | 2016-02-09 | Dow Agrosciences Llc | Processes for the preparation of pesticidal compounds |
| US9862702B2 (en) | 2013-10-17 | 2018-01-09 | Dow Agrosciences Llc | Processes for the preparation of pesticidal compounds |
| US9260396B2 (en) | 2013-10-17 | 2016-02-16 | Dow Agrosciences Llc | Processes for the preparation of pesticidal compounds |
| US9102655B2 (en) | 2013-10-17 | 2015-08-11 | Dow Agrosciences Llc | Processes for the preparation of pesticidal compounds |
| US9044017B2 (en) | 2013-10-17 | 2015-06-02 | Dow Agrosciences Llc | Processes for the preparation of pesticidal compounds |
| US9580405B2 (en) | 2013-10-17 | 2017-02-28 | Dow Agrosciences Llc | Processes for the preparation of pesticidal compounds |
| US9670178B2 (en) | 2013-10-17 | 2017-06-06 | Dow Agrosciences Llc | Processes for the preparation of pesticidal compounds |
| US9102654B2 (en) | 2013-10-17 | 2015-08-11 | Dow Agrosciences Llc | Processes for the preparation of pesticidal compounds |
| US9988356B2 (en) | 2013-10-17 | 2018-06-05 | Dow Agrosciences Llc | Processes for the preparation of pesticidal compounds |
| US9550751B2 (en) | 2013-10-17 | 2017-01-24 | Dow Agrosciences Llc | Processes for the preparation of pesticidal compounds |
| US9414594B2 (en) | 2013-10-17 | 2016-08-16 | Dow Agrosciences Llc | Processes for the preparation of pesticidal compounds |
| US9540342B2 (en) | 2013-10-17 | 2017-01-10 | Dow Agrosciences Llc | Processes for the preparation of pesticidal compounds |
| US9085564B2 (en) | 2013-10-17 | 2015-07-21 | Dow Agrosciences Llc | Processes for the preparation of pesticidal compounds |
| US9723839B2 (en) | 2013-10-17 | 2017-08-08 | Dow Agrosciences Llc | Processes for the preparation of pesticidal compounds |
| US9433215B2 (en) | 2013-10-17 | 2016-09-06 | Dow Agrosciences Llc | Processes for the preparation of pesticidal compounds |
| US9434712B2 (en) | 2013-10-17 | 2016-09-06 | Dow Agrosciences Llc | Processes for the preparation of pesticidal compounds |
| US9447048B2 (en) | 2013-10-17 | 2016-09-20 | Dow Agrosciences Llc | Processes for the preparation of pesticidal compounds |
| US9801383B2 (en) | 2013-10-22 | 2017-10-31 | Dow Agrosciences Llc | Synergistic pesticidal compositions and related methods |
| US9474276B2 (en) | 2013-10-22 | 2016-10-25 | Dow Agrosciences Llc | Synergistic pesticidal compositions and related methods |
| US9788546B2 (en) | 2013-10-22 | 2017-10-17 | Dow Agrosciences Llc | Synergistic pesticidal compositions and related methods |
| US9491944B2 (en) | 2013-10-22 | 2016-11-15 | Dow Agrosciences Llc | Pesticidal compositions and related methods |
| US9788545B2 (en) | 2013-10-22 | 2017-10-17 | Dow Agrosciences Llc | Synergistic pesticidal compositions and related methods |
| US9497966B2 (en) | 2013-10-22 | 2016-11-22 | Dow Agrosciences Llc | Pesticidal compositions and related methods |
| US9497967B2 (en) | 2013-10-22 | 2016-11-22 | Doe AgroSciences LLC | Synergistic pesticidal compositions and related methods |
| US9137998B2 (en) | 2013-10-22 | 2015-09-22 | Dow Agrosciences Llc | Pesticidal compositions and related methods |
| US9801376B2 (en) | 2013-10-22 | 2017-10-31 | Dow Agrosciences Llc | Synergistic pesticidal compositions and related methods |
| US9523100B2 (en) | 2013-10-22 | 2016-12-20 | Dow Agrosciences Llc | Pesticidal compositions and related methods |
| US9808008B2 (en) | 2013-10-22 | 2017-11-07 | Dow Agrosciences Llc | Synergistic pesticidal compositions and related methods |
| US9549560B2 (en) | 2013-10-22 | 2017-01-24 | Dow Agrosciences Llc | Pesticidal compositions and related methods |
| US9445597B2 (en) | 2013-10-22 | 2016-09-20 | Dow Agrosciences Llc | Pesticidal compositions and related methods |
| US9295260B2 (en) | 2013-10-22 | 2016-03-29 | Dow Agrosciences Llc | Pesticidal compositions and related methods |
| US9295258B2 (en) | 2013-10-22 | 2016-03-29 | Dow Agrosciences Llc | Synergistic pesticidal compositions and related methods |
| US9282740B2 (en) | 2013-10-22 | 2016-03-15 | Dow Agrosciences Llc | Synergistic pesticidal compositions and related methods |
| US9155304B2 (en) | 2013-10-22 | 2015-10-13 | Dow Agrosciences Llc | Synergistic pesticidal compositions and related methods |
| US9149040B2 (en) | 2013-10-22 | 2015-10-06 | Dow Agrosciences Llc | Synergistic pesticidal compositions and related methods |
| US9144241B2 (en) | 2013-10-22 | 2015-09-29 | Dow Agrosciences Llc | Synergistic pesticidal compositions and related methods |
| USRE48057E1 (en) | 2013-10-22 | 2020-06-23 | Dow Agrosciences Llc | Pesticidal compositions and related methods |
| US9890145B2 (en) | 2013-11-08 | 2018-02-13 | Takeda Pharmaceutical Company Limited | Heterocyclic compound |
| CN105899505B (zh) * | 2013-11-08 | 2018-08-28 | 武田药品工业株式会社 | 用于治疗自身免疫病症的吡唑 |
| WO2015068856A1 (en) | 2013-11-08 | 2015-05-14 | Takeda Pharmaceutical Company Limited | Pyrazole for the treatment autoimmune disorders |
| JP2016535772A (ja) * | 2013-11-08 | 2016-11-17 | 武田薬品工業株式会社 | 自己免疫疾患治療のためのピラゾール |
| CN105899505A (zh) * | 2013-11-08 | 2016-08-24 | 武田药品工业株式会社 | 用于治疗自身免疫病症的吡唑 |
| US9321757B2 (en) | 2013-11-08 | 2016-04-26 | Takeda Pharmaceutical Company Limited | Heterocyclic compound |
| US9951086B2 (en) | 2013-12-19 | 2018-04-24 | Bayer Pharma Aktiengesellschaft | Indazolecarboxamides, processes for their preparation, pharmaceutical preparations comprising them and their use for producing medicaments |
| WO2015104662A1 (en) | 2014-01-10 | 2015-07-16 | Aurigene Discovery Technologies Limited | Indazole compounds as irak4 inhibitors |
| EP4353324A2 (en) | 2014-01-13 | 2024-04-17 | Aurigene Oncology Limited | Bicyclic heterocyclyl derivatives as irak4 inhibitors |
| EP3466955A1 (en) | 2014-01-13 | 2019-04-10 | Aurigene Discovery Technologies Limited | Method of preparing oxazolo[4,5-b]pyridine and thiazolo[4,5-b]pyridine derivatives as irak4 inhibitors for treating cancer |
| EP3805233A1 (en) | 2014-01-13 | 2021-04-14 | Aurigene Discovery Technologies Limited | (r) and (s) enantiomer of n-(5-(3-hydroxypyrrolidin-1-yl)-2-morpholinooxazolo[4,5-b]pyridin-6-yl)-2-(2-methylpyridin-4-yl)oxazole-carboxamide as irak4 inhibitors for treating cancer and inflammatory diseases |
| US12239711B2 (en) | 2014-04-14 | 2025-03-04 | Arvinas Operations, Inc. | Cereblon ligands and bifunctional compounds comprising the same |
| US9029556B1 (en) | 2014-07-31 | 2015-05-12 | Dow Argosciences Llc | Process for the preparation of 3-(3-chloro-1H-pyrazol-1-yl)pyridine |
| US9199964B1 (en) | 2014-07-31 | 2015-12-01 | Dow Agrosciences Llc | Process for the preparation of 3-(3-chloro-1H-pyrazol-1-yl)pyridine |
| US9840490B2 (en) | 2014-07-31 | 2017-12-12 | Dow Agrosciences Llc | Process for the preparation of 3-(3-chloro-1H-pyrazol-1-yl)pyridine |
| US9611247B2 (en) | 2014-07-31 | 2017-04-04 | Dow Agrosciences Llc | Process for the preparation of 3-(3-chloro-1H-pyrazol-1-yl)pyridine |
| US9255081B1 (en) | 2014-07-31 | 2016-02-09 | Dow Agrosciences Llc | Process for the preparation of 3-(3-chloro-1H-pyrazol-1-yl)pyridine |
| US9249122B1 (en) | 2014-07-31 | 2016-02-02 | Dow Agrosciences Llc | Process for the preparation of 3-(3-chloro-1H-pyrazol-1-yl)pyridine |
| US9580403B2 (en) | 2014-07-31 | 2017-02-28 | Dow Agrosciences Llc | Process for the preparation of 3-(3-chloro-1H-pyrazol-1-yl)pyridine |
| US9573931B2 (en) | 2014-07-31 | 2017-02-21 | Dow Agrosciences Llc | Process for the preparation of 3-(3-chloro-1H-pyrazol-1-yl)pyridine |
| US10035786B2 (en) | 2014-07-31 | 2018-07-31 | Dow Agrosciences Llc | Process for the preparation of 3-(3-chloro-1h-pyrazol-1-yl)pyridine |
| US9371310B2 (en) | 2014-07-31 | 2016-06-21 | Dow Agrosciences Llc | Process for the preparation of 3-(3-chloro-1H-pyrazol-1-yl)pyridine |
| US9029555B1 (en) | 2014-07-31 | 2015-05-12 | Dow Agrosciences Llc | Process for the preparation of 3-(3-chloro-1H-pyrazol-1-yl)pyridine |
| US10005758B2 (en) | 2014-08-19 | 2018-06-26 | Dow Agrosciences Llc | Process for the preparation of 3-(3-chloro-1H-pyrazol-1-yl)pyridine |
| US9024031B1 (en) | 2014-08-19 | 2015-05-05 | Dow Agrosciences Llc | Process for the preparation of 3-(3-chloro-1H-pyrazol-1-yl)pyridine |
| US9115115B1 (en) | 2014-08-19 | 2015-08-25 | Dow Agrosciences Llc | Process for the preparation of 3-(3-chloro-1H-pyrazol-1-yl)pyridine |
| US9522900B2 (en) | 2014-08-19 | 2016-12-20 | Dow Agrosciences Llc | Process for the preparation of 3-(3-chloro-1H-pyrazol-1-yl)pyridine |
| US9809570B2 (en) | 2014-08-19 | 2017-11-07 | Dow Agrosciences Llc | Process for the preparation of 3-(3-chloro-1H-pyrazol-1-yl)pyridine |
| US9896430B2 (en) | 2014-09-12 | 2018-02-20 | Dow Agrosciences Llc | Process for the preparation of 3-(3-CHLORO-1H-pyrazol-1-yl)pyridine |
| US9085552B1 (en) | 2014-09-12 | 2015-07-21 | Dow Agrosciences Llc | Process for the preparation of 3-(3-chloro-1H-pyrazol-1-yl)pyridine |
| US9422265B2 (en) | 2014-09-12 | 2016-08-23 | Dow Agrosciences Llc | Process for the preparation of 3-(3-chloro-1H-pyrazol-1-yl)pyridine |
| US9156813B1 (en) | 2014-09-12 | 2015-10-13 | Dow Agrosciences Llc | Process for the preparation of 3-(3-chloro-1H-pyrazol-1-yl)pyridine |
| US9663489B2 (en) | 2014-09-12 | 2017-05-30 | Dow Agrosciences Llc | Process for the preparation of 3-(3-chloro-1H-pyrazol-1-yl)pyridine |
| CN113750094A (zh) * | 2015-04-22 | 2021-12-07 | 里格尔药品股份有限公司 | 吡唑化合物以及制备和使用该化合物的方法 |
| CN107438603A (zh) * | 2015-04-22 | 2017-12-05 | 里格尔药品股份有限公司 | 吡唑化合物以及制备和使用该化合物的方法 |
| US10208075B2 (en) * | 2015-04-22 | 2019-02-19 | Rigel Pharmaceuticals, Inc. | Pyrazole compounds and method for making and using the compounds |
| WO2016172560A1 (en) * | 2015-04-22 | 2016-10-27 | Rigel Pharmaceuticals, Inc. | Pyrazole compounds and method for making and using the compounds |
| CN107438603B (zh) * | 2015-04-22 | 2021-08-10 | 里格尔药品股份有限公司 | 吡唑化合物以及制备和使用该化合物的方法 |
| US9982000B2 (en) | 2015-04-22 | 2018-05-29 | Rigel Pharmaceuticals, Inc. | Pyrazole compounds and method for making and using the compounds |
| US20190153006A1 (en) * | 2015-04-22 | 2019-05-23 | Rigel Pharmaceuticals, Inc. | Pyrazole compounds and methods for making and using the compounds |
| JP2018513177A (ja) * | 2015-04-22 | 2018-05-24 | ライジェル ファーマシューティカルズ, インコーポレイテッド | ピラゾール化合物ならびにこの化合物を作製および使用するための方法 |
| KR102677905B1 (ko) | 2015-04-22 | 2024-06-24 | 리겔 파마슈티칼스, 인크. | 피라졸 화합물 및 이러한 화합물을 제조하고 사용하는 방법 |
| JP2021020924A (ja) * | 2015-04-22 | 2021-02-18 | ライジェル ファーマシューティカルズ, インコーポレイテッド | ピラゾール化合物ならびにこの化合物を作製および使用するための方法 |
| US10208074B2 (en) * | 2015-04-22 | 2019-02-19 | Rigel Pharmaceuticals, Inc. | Pyrazole compounds and method for making and using the compounds |
| US11370808B2 (en) | 2015-04-22 | 2022-06-28 | Rigel Pharmaceuticals, Inc. | Pyrazole compounds and methods for making and using the compounds |
| AU2016252869B2 (en) * | 2015-04-22 | 2020-10-22 | Rigel Pharmaceuticals, Inc. | Pyrazole compounds and method for making and using the compounds |
| JP7050879B2 (ja) | 2015-04-22 | 2022-04-08 | ライジェル ファーマシューティカルズ, インコーポレイテッド | ピラゾール化合物ならびにこの化合物を作製および使用するための方法 |
| KR20170138457A (ko) * | 2015-04-22 | 2017-12-15 | 리겔 파마슈티칼스, 인크. | 피라졸 화합물 및 이러한 화합물을 제조하고 사용하는 방법 |
| EA039043B1 (ru) * | 2015-04-22 | 2021-11-25 | Райджел Фармасьютикалз, Инк. | Пиразольные соединения и способ получения и применения данных соединений |
| US10774076B2 (en) | 2015-08-04 | 2020-09-15 | Rigel Pharmaceuticals, Inc. | Benzazole compounds and methods for making and using the compounds |
| US11299486B2 (en) | 2015-08-04 | 2022-04-12 | Rigel Pharmaceuticals, Inc. | Benzazole compounds and methods for making and using the compounds |
| US12043620B2 (en) | 2015-08-04 | 2024-07-23 | Rigel Pharmaceuticals, Inc. | Benzazole compounds and methods for making and using the compounds |
| WO2018052058A1 (ja) * | 2016-09-15 | 2018-03-22 | 武田薬品工業株式会社 | 複素環化合物 |
| US11530194B2 (en) | 2016-10-26 | 2022-12-20 | Rigel Pharmaceuticals, Inc. | Amide compounds and method for making and using |
| US11939317B2 (en) | 2016-10-26 | 2024-03-26 | Rigel Pharmaceuticals, Inc. | Amide compounds and method for making and using |
| JP7170634B2 (ja) | 2016-10-26 | 2022-11-14 | ライジェル ファーマシューティカルズ, インコーポレイテッド | Irak阻害剤としての使用のためのオキサゾール誘導体およびその調製のための方法 |
| JP7170635B2 (ja) | 2016-10-26 | 2022-11-14 | ライジェル ファーマシューティカルズ, インコーポレイテッド | Irak阻害剤としてのピラゾールアミド化合物 |
| US11492349B2 (en) | 2016-10-26 | 2022-11-08 | Rigel Pharmaceuticals, Inc. | IRAK inhibitors and method for making and using |
| US11993594B2 (en) | 2016-10-26 | 2024-05-28 | Rigel Pharmaceuticals, Inc. | IRAK inhibitors and method for making and using |
| WO2018089199A1 (en) * | 2016-10-26 | 2018-05-17 | Rigel Pharmaceuticals, Inc. | Oxazole derivatives for use as irak inhibitors and method for their preparation |
| JP2019537577A (ja) * | 2016-10-26 | 2019-12-26 | ライジェル ファーマシューティカルズ, インコーポレイテッド | Irak阻害剤としての使用のためのオキサゾール誘導体およびその調製のための方法 |
| JP2023011796A (ja) * | 2016-10-26 | 2023-01-24 | ライジェル ファーマシューティカルズ, インコーポレイテッド | Irak阻害剤としてのピラゾールアミド化合物 |
| JP2019533687A (ja) * | 2016-10-26 | 2019-11-21 | ライジェル ファーマシューティカルズ, インコーポレイテッド | Irak阻害剤としてのピラゾールアミド化合物 |
| CN110099899A (zh) * | 2016-10-26 | 2019-08-06 | 里格尔药品股份有限公司 | 用作irak抑制剂的噁唑衍生物及其制备方法 |
| JP2023011795A (ja) * | 2016-10-26 | 2023-01-24 | ライジェル ファーマシューティカルズ, インコーポレイテッド | Irak阻害剤としての使用のためのオキサゾール誘導体およびその調製のための方法 |
| CN110099899B (zh) * | 2016-10-26 | 2024-01-02 | 里格尔药品股份有限公司 | 用作irak抑制剂的噁唑衍生物及其制备方法 |
| JP7379640B2 (ja) | 2016-10-26 | 2023-11-14 | ライジェル ファーマシューティカルズ, インコーポレイテッド | Irak阻害剤としての使用のためのオキサゾール誘導体およびその調製のための方法 |
| US10370367B2 (en) | 2016-10-26 | 2019-08-06 | Rigel Pharmaceuticals, Inc. | IRAK inhibitors and method for making and using |
| JP7379641B2 (ja) | 2016-10-26 | 2023-11-14 | ライジェル ファーマシューティカルズ, インコーポレイテッド | Irak阻害剤としてのピラゾールアミド化合物 |
| US10941140B2 (en) | 2016-10-26 | 2021-03-09 | Rigel Pharmaceuticals, Inc. | IRAK inhibitors and method for making and using |
| US12247071B2 (en) | 2016-12-21 | 2025-03-11 | Amgen Inc. | Anti-TNF alpha antibody formulations |
| US10233155B2 (en) | 2016-12-29 | 2019-03-19 | Dow Agrosciences Llc | Processes for the preparation of pesticide compounds |
| US10100033B2 (en) | 2016-12-29 | 2018-10-16 | Dow Agrosciences Llc | Processes for the preparation of pesticidal compounds |
| US10336762B2 (en) | 2017-02-16 | 2019-07-02 | Gilead Sciences, Inc. | Pyrrolo[1,2-b]pyridazine derivatives |
| US11358948B2 (en) | 2017-09-22 | 2022-06-14 | Kymera Therapeutics, Inc. | CRBN ligands and uses thereof |
| US11623932B2 (en) | 2017-09-22 | 2023-04-11 | Kymera Therapeutics, Inc. | Protein degraders and uses thereof |
| US12036209B2 (en) | 2017-11-17 | 2024-07-16 | Arvinas Operations, Inc. | Compounds and methods for the targeted degradation of Interleukin-1 receptor-associated kinase 4 polypeptides |
| US11065231B2 (en) | 2017-11-17 | 2021-07-20 | Arvinas Operations, Inc. | Compounds and methods for the targeted degradation of interleukin-1 receptor- associated kinase 4 polypeptides |
| WO2019111218A1 (en) | 2017-12-08 | 2019-06-13 | Cadila Healthcare Limited | Novel heterocyclic compounds as irak4 inhibitors |
| US11723980B2 (en) | 2017-12-26 | 2023-08-15 | Kymera Therapeutics, Inc. | IRAK degraders and uses thereof |
| US10874743B2 (en) | 2017-12-26 | 2020-12-29 | Kymera Therapeutics, Inc. | IRAK degraders and uses thereof |
| WO2019133531A1 (en) | 2017-12-26 | 2019-07-04 | Kymera Therapeutics, Inc. | Irak degraders and uses thereof |
| US11318205B1 (en) | 2017-12-26 | 2022-05-03 | Kymera Therapeutics, Inc. | IRAK degraders and uses thereof |
| EP4613773A2 (en) | 2017-12-26 | 2025-09-10 | Kymera Therapeutics, Inc. | Irak degraders and uses thereof |
| US12168057B2 (en) | 2017-12-26 | 2024-12-17 | Kymera Therapeutics, Inc. | IRAK degraders and uses thereof |
| US11485743B2 (en) | 2018-01-12 | 2022-11-01 | Kymera Therapeutics, Inc. | Protein degraders and uses thereof |
| US11512080B2 (en) | 2018-01-12 | 2022-11-29 | Kymera Therapeutics, Inc. | CRBN ligands and uses thereof |
| US12006329B2 (en) | 2018-01-12 | 2024-06-11 | Kymera Therapeutics, Inc. | Protein degraders and uses thereof |
| US11932635B2 (en) | 2018-01-12 | 2024-03-19 | Kymera Therapeutics, Inc. | CRBN ligands and uses thereof |
| US12454520B2 (en) | 2018-07-06 | 2025-10-28 | Kymera Therapeutics, Inc. | Protein degraders and uses thereof |
| US11292792B2 (en) | 2018-07-06 | 2022-04-05 | Kymera Therapeutics, Inc. | Tricyclic CRBN ligands and uses thereof |
| US11897882B2 (en) | 2018-07-06 | 2024-02-13 | Kymera Therapeutics, Inc. | Tricyclic crbn ligands and uses thereof |
| US12415808B2 (en) | 2018-07-13 | 2025-09-16 | Gilead Sciences, Inc. | Pyrrolo[1,2-b]pyridazine derivatives |
| US10875866B2 (en) | 2018-07-13 | 2020-12-29 | Gilead Sciences, Inc. | Pyrrolo[1,2-B]pyridazine derivatives |
| US11535622B2 (en) | 2018-07-13 | 2022-12-27 | Gilead Sciences, Inc. | Pyrrolo[1,2-b] pyridazine derivatives |
| US12195445B2 (en) * | 2018-11-02 | 2025-01-14 | Merck Sharp & Dohme Llc | 2-amino-N-heteroaryl-nicotinamides as Nav1.8 inhibitors |
| US20220289710A1 (en) * | 2018-11-02 | 2022-09-15 | Merck Sharp & Dohme Llc | 2-amino-n-heteroaryl-nicotinamides as nav1.8 inhibitors |
| US11352350B2 (en) | 2018-11-30 | 2022-06-07 | Kymera Therapeutics, Inc. | IRAK degraders and uses thereof |
| US11117889B1 (en) | 2018-11-30 | 2021-09-14 | Kymera Therapeutics, Inc. | IRAK degraders and uses thereof |
| US11807636B2 (en) | 2018-11-30 | 2023-11-07 | Kymera Therapeutics, Inc. | IRAK degraders and uses thereof |
| US12258341B2 (en) | 2018-11-30 | 2025-03-25 | Kymera Therapeutics, Inc. | IRAK degraders and uses thereof |
| US11370787B2 (en) | 2019-08-30 | 2022-06-28 | Rigel Pharmaceuticals, Inc. | Pyrazole compounds, formulations thereof, and a method for using the compounds and/or formulations |
| US12441723B2 (en) | 2019-08-30 | 2025-10-14 | Rigel Pharmaceuticals, Inc. | Pyrazole compounds, formulations thereof, and a method for using the compounds and/or formulations |
| US11779578B2 (en) | 2019-12-17 | 2023-10-10 | Kymera Therapeutics, Inc. | IRAK degraders and uses thereof |
| US11591332B2 (en) | 2019-12-17 | 2023-02-28 | Kymera Therapeutics, Inc. | IRAK degraders and uses thereof |
| US11707457B2 (en) | 2019-12-17 | 2023-07-25 | Kymera Therapeutics, Inc. | IRAK degraders and uses thereof |
| US11685750B2 (en) | 2020-06-03 | 2023-06-27 | Kymera Therapeutics, Inc. | Crystalline forms of IRAK degraders |
| JP2023535725A (ja) * | 2020-07-24 | 2023-08-21 | ユニバーシティ オブ ロチェスター | インターロイキン-1受容体関連キナーゼ1及び4の阻害剤 |
| JP7769404B2 (ja) | 2020-07-24 | 2025-11-13 | ユニバーシティ オブ ロチェスター | インターロイキン-1受容体関連キナーゼ1及び4の阻害剤 |
| US12150995B2 (en) | 2020-12-30 | 2024-11-26 | Kymera Therapeutics, Inc. | IRAK degraders and uses thereof |
| US12171768B2 (en) | 2021-02-15 | 2024-12-24 | Kymera Therapeutics, Inc. | IRAK4 degraders and uses thereof |
| US12357623B2 (en) | 2021-03-03 | 2025-07-15 | Rigel Pharmaceuticals, Inc. | Method for treating a disease or condition using a pyrazole compound or formulation thereof |
| US12097261B2 (en) | 2021-05-07 | 2024-09-24 | Kymera Therapeutics, Inc. | CDK2 degraders and uses thereof |
| US12187744B2 (en) | 2021-10-29 | 2025-01-07 | Kymera Therapeutics, Inc. | IRAK4 degraders and synthesis thereof |
| US12091411B2 (en) | 2022-01-31 | 2024-09-17 | Kymera Therapeutics, Inc. | IRAK degraders and uses thereof |
| US12384775B2 (en) | 2022-03-23 | 2025-08-12 | Rigel Pharmaceuticals, Inc. | Pyrimid-2-yl-pyrazole compounds as IRAK inhibitors |
| WO2025054366A1 (en) * | 2023-09-06 | 2025-03-13 | Nico Therapeutics, Inc. | Compounds, compositions, and methods |
Also Published As
| Publication number | Publication date |
|---|---|
| JP2012254939A (ja) | 2012-12-27 |
Similar Documents
| Publication | Publication Date | Title |
|---|---|---|
| WO2011043371A1 (ja) | オキサゾール化合物 | |
| CA2971640C (en) | Cot modulators and methods of use thereof | |
| CN112041302B (zh) | 作为lpa拮抗剂的吡唑o-连接的氨基甲酰基环己基酸 | |
| CN108383836B (zh) | 作为mek抑制剂的杂环基化合物 | |
| US11918592B2 (en) | Inhibitors of cyclin dependent kinase 7 (CDK7) | |
| CN108368127B (zh) | 化合物及其作为ep4受体拮抗剂的用途 | |
| JP5925688B2 (ja) | アミド誘導体およびその用途 | |
| US20130150364A1 (en) | Heterocyclic compound | |
| US7897626B2 (en) | 2-substituted thiazole-4-carboxamide derivatives, their preparation and use as pharmaceuticals | |
| KR20050115252A (ko) | 피라졸로[1,5-a]피리미딘 유도체 | |
| WO2010058846A1 (ja) | 4,6-ジアミノニコチンアミド化合物 | |
| JP2016528298A (ja) | Pimキナーゼ阻害剤として有用なフロピリジン及びチエノピリジンカルボキシアミド化合物 | |
| EP3280707A1 (en) | Bicyclic quinazolinone derivatives | |
| JP5348705B2 (ja) | 2−アリールチアゾール−4−カルボキサミド誘導体、それらの製造および医薬としての使用 | |
| US20090203715A1 (en) | Novel 2-hetarylthiazole-4-carboxamide derivatives, their preparation and use as pharmaceuticals | |
| WO2012043505A1 (ja) | 新規なピペリジン誘導体及びこれを含有する医薬 | |
| CN120584106A (zh) | Nlrp3炎性小体抑制剂 | |
| MX2013004814A (es) | Derivados de triazol como ligandos para receptores de acido gamma-aminobutirico (gaba). | |
| JP2008013527A (ja) | チエノ[3,2−d]ピリミジン−2,4−ジアミン誘導体 | |
| CN108329321A (zh) | 一种新颖的吡唑并[3,4-d]嘧啶类JAK激酶抑制剂的制备与应用 | |
| CN106687464B (zh) | 大环rip2激酶抑制剂 | |
| JP7233130B2 (ja) | Irak4阻害剤としての新規な三環式化合物 | |
| CN102656172B (zh) | 8-氧代二氢嘌呤衍生物 | |
| JP2014062047A (ja) | ピラゾール誘導体 | |
| MX2012013438A (es) | Inhibidores de cinasa del extremo n-terminal de c-jun (jnk). |
Legal Events
| Date | Code | Title | Description |
|---|---|---|---|
| 121 | Ep: the epo has been informed by wipo that ep was designated in this application |
Ref document number: 10822041 Country of ref document: EP Kind code of ref document: A1 |
|
| NENP | Non-entry into the national phase |
Ref country code: DE |
|
| 122 | Ep: pct application non-entry in european phase |
Ref document number: 10822041 Country of ref document: EP Kind code of ref document: A1 |
|
| NENP | Non-entry into the national phase |
Ref country code: JP |












































































