KR20180098616A - 표면 처리제 - Google Patents
표면 처리제 Download PDFInfo
- Publication number
- KR20180098616A KR20180098616A KR1020187021500A KR20187021500A KR20180098616A KR 20180098616 A KR20180098616 A KR 20180098616A KR 1020187021500 A KR1020187021500 A KR 1020187021500A KR 20187021500 A KR20187021500 A KR 20187021500A KR 20180098616 A KR20180098616 A KR 20180098616A
- Authority
- KR
- South Korea
- Prior art keywords
- independently
- occurrence
- group
- integer
- fluorine
- Prior art date
- Legal status (The legal status is an assumption and is not a legal conclusion. Google has not performed a legal analysis and makes no representation as to the accuracy of the status listed.)
- Granted
Links
Classifications
-
- C—CHEMISTRY; METALLURGY
- C08—ORGANIC MACROMOLECULAR COMPOUNDS; THEIR PREPARATION OR CHEMICAL WORKING-UP; COMPOSITIONS BASED THEREON
- C08G—MACROMOLECULAR COMPOUNDS OBTAINED OTHERWISE THAN BY REACTIONS ONLY INVOLVING UNSATURATED CARBON-TO-CARBON BONDS
- C08G65/00—Macromolecular compounds obtained by reactions forming an ether link in the main chain of the macromolecule
- C08G65/02—Macromolecular compounds obtained by reactions forming an ether link in the main chain of the macromolecule from cyclic ethers by opening of the heterocyclic ring
- C08G65/32—Polymers modified by chemical after-treatment
- C08G65/329—Polymers modified by chemical after-treatment with organic compounds
- C08G65/336—Polymers modified by chemical after-treatment with organic compounds containing silicon
-
- C—CHEMISTRY; METALLURGY
- C03—GLASS; MINERAL OR SLAG WOOL
- C03C—CHEMICAL COMPOSITION OF GLASSES, GLAZES OR VITREOUS ENAMELS; SURFACE TREATMENT OF GLASS; SURFACE TREATMENT OF FIBRES OR FILAMENTS MADE FROM GLASS, MINERALS OR SLAGS; JOINING GLASS TO GLASS OR OTHER MATERIALS
- C03C17/00—Surface treatment of glass, not in the form of fibres or filaments, by coating
- C03C17/28—Surface treatment of glass, not in the form of fibres or filaments, by coating with organic material
-
- C—CHEMISTRY; METALLURGY
- C08—ORGANIC MACROMOLECULAR COMPOUNDS; THEIR PREPARATION OR CHEMICAL WORKING-UP; COMPOSITIONS BASED THEREON
- C08G—MACROMOLECULAR COMPOUNDS OBTAINED OTHERWISE THAN BY REACTIONS ONLY INVOLVING UNSATURATED CARBON-TO-CARBON BONDS
- C08G65/00—Macromolecular compounds obtained by reactions forming an ether link in the main chain of the macromolecule
- C08G65/002—Macromolecular compounds obtained by reactions forming an ether link in the main chain of the macromolecule from unsaturated compounds
- C08G65/005—Macromolecular compounds obtained by reactions forming an ether link in the main chain of the macromolecule from unsaturated compounds containing halogens
- C08G65/007—Macromolecular compounds obtained by reactions forming an ether link in the main chain of the macromolecule from unsaturated compounds containing halogens containing fluorine
-
- C—CHEMISTRY; METALLURGY
- C09—DYES; PAINTS; POLISHES; NATURAL RESINS; ADHESIVES; COMPOSITIONS NOT OTHERWISE PROVIDED FOR; APPLICATIONS OF MATERIALS NOT OTHERWISE PROVIDED FOR
- C09D—COATING COMPOSITIONS, e.g. PAINTS, VARNISHES OR LACQUERS; FILLING PASTES; CHEMICAL PAINT OR INK REMOVERS; INKS; CORRECTING FLUIDS; WOODSTAINS; PASTES OR SOLIDS FOR COLOURING OR PRINTING; USE OF MATERIALS THEREFOR
- C09D127/00—Coating compositions based on homopolymers or copolymers of compounds having one or more unsaturated aliphatic radicals, each having only one carbon-to-carbon double bond, and at least one being terminated by a halogen; Coating compositions based on derivatives of such polymers
- C09D127/22—Coating compositions based on homopolymers or copolymers of compounds having one or more unsaturated aliphatic radicals, each having only one carbon-to-carbon double bond, and at least one being terminated by a halogen; Coating compositions based on derivatives of such polymers modified by chemical after-treatment
-
- C—CHEMISTRY; METALLURGY
- C09—DYES; PAINTS; POLISHES; NATURAL RESINS; ADHESIVES; COMPOSITIONS NOT OTHERWISE PROVIDED FOR; APPLICATIONS OF MATERIALS NOT OTHERWISE PROVIDED FOR
- C09D—COATING COMPOSITIONS, e.g. PAINTS, VARNISHES OR LACQUERS; FILLING PASTES; CHEMICAL PAINT OR INK REMOVERS; INKS; CORRECTING FLUIDS; WOODSTAINS; PASTES OR SOLIDS FOR COLOURING OR PRINTING; USE OF MATERIALS THEREFOR
- C09D171/00—Coating compositions based on polyethers obtained by reactions forming an ether link in the main chain; Coating compositions based on derivatives of such polymers
-
- C—CHEMISTRY; METALLURGY
- C09—DYES; PAINTS; POLISHES; NATURAL RESINS; ADHESIVES; COMPOSITIONS NOT OTHERWISE PROVIDED FOR; APPLICATIONS OF MATERIALS NOT OTHERWISE PROVIDED FOR
- C09D—COATING COMPOSITIONS, e.g. PAINTS, VARNISHES OR LACQUERS; FILLING PASTES; CHEMICAL PAINT OR INK REMOVERS; INKS; CORRECTING FLUIDS; WOODSTAINS; PASTES OR SOLIDS FOR COLOURING OR PRINTING; USE OF MATERIALS THEREFOR
- C09D183/00—Coating compositions based on macromolecular compounds obtained by reactions forming in the main chain of the macromolecule a linkage containing silicon, with or without sulfur, nitrogen, oxygen, or carbon only; Coating compositions based on derivatives of such polymers
- C09D183/10—Block or graft copolymers containing polysiloxane sequences
- C09D183/12—Block or graft copolymers containing polysiloxane sequences containing polyether sequences
-
- C—CHEMISTRY; METALLURGY
- C09—DYES; PAINTS; POLISHES; NATURAL RESINS; ADHESIVES; COMPOSITIONS NOT OTHERWISE PROVIDED FOR; APPLICATIONS OF MATERIALS NOT OTHERWISE PROVIDED FOR
- C09D—COATING COMPOSITIONS, e.g. PAINTS, VARNISHES OR LACQUERS; FILLING PASTES; CHEMICAL PAINT OR INK REMOVERS; INKS; CORRECTING FLUIDS; WOODSTAINS; PASTES OR SOLIDS FOR COLOURING OR PRINTING; USE OF MATERIALS THEREFOR
- C09D5/00—Coating compositions, e.g. paints, varnishes or lacquers, characterised by their physical nature or the effects produced; Filling pastes
- C09D5/16—Antifouling paints; Underwater paints
- C09D5/1681—Antifouling coatings characterised by surface structure, e.g. for roughness effect giving superhydrophobic coatings or Lotus effect
-
- C—CHEMISTRY; METALLURGY
- C09—DYES; PAINTS; POLISHES; NATURAL RESINS; ADHESIVES; COMPOSITIONS NOT OTHERWISE PROVIDED FOR; APPLICATIONS OF MATERIALS NOT OTHERWISE PROVIDED FOR
- C09D—COATING COMPOSITIONS, e.g. PAINTS, VARNISHES OR LACQUERS; FILLING PASTES; CHEMICAL PAINT OR INK REMOVERS; INKS; CORRECTING FLUIDS; WOODSTAINS; PASTES OR SOLIDS FOR COLOURING OR PRINTING; USE OF MATERIALS THEREFOR
- C09D5/00—Coating compositions, e.g. paints, varnishes or lacquers, characterised by their physical nature or the effects produced; Filling pastes
- C09D5/16—Antifouling paints; Underwater paints
- C09D5/1687—Use of special additives
-
- C—CHEMISTRY; METALLURGY
- C09—DYES; PAINTS; POLISHES; NATURAL RESINS; ADHESIVES; COMPOSITIONS NOT OTHERWISE PROVIDED FOR; APPLICATIONS OF MATERIALS NOT OTHERWISE PROVIDED FOR
- C09K—MATERIALS FOR MISCELLANEOUS APPLICATIONS, NOT PROVIDED FOR ELSEWHERE
- C09K3/00—Materials not provided for elsewhere
- C09K3/18—Materials not provided for elsewhere for application to surfaces to minimize adherence of ice, mist or water thereto; Thawing or antifreeze materials for application to surfaces
-
- G—PHYSICS
- G02—OPTICS
- G02B—OPTICAL ELEMENTS, SYSTEMS OR APPARATUS
- G02B1/00—Optical elements characterised by the material of which they are made; Optical coatings for optical elements
- G02B1/10—Optical coatings produced by application to, or surface treatment of, optical elements
- G02B1/18—Coatings for keeping optical surfaces clean, e.g. hydrophobic or photo-catalytic films
-
- C—CHEMISTRY; METALLURGY
- C03—GLASS; MINERAL OR SLAG WOOL
- C03C—CHEMICAL COMPOSITION OF GLASSES, GLAZES OR VITREOUS ENAMELS; SURFACE TREATMENT OF GLASS; SURFACE TREATMENT OF FIBRES OR FILAMENTS MADE FROM GLASS, MINERALS OR SLAGS; JOINING GLASS TO GLASS OR OTHER MATERIALS
- C03C2217/00—Coatings on glass
- C03C2217/70—Properties of coatings
- C03C2217/76—Hydrophobic and oleophobic coatings
-
- C—CHEMISTRY; METALLURGY
- C08—ORGANIC MACROMOLECULAR COMPOUNDS; THEIR PREPARATION OR CHEMICAL WORKING-UP; COMPOSITIONS BASED THEREON
- C08G—MACROMOLECULAR COMPOUNDS OBTAINED OTHERWISE THAN BY REACTIONS ONLY INVOLVING UNSATURATED CARBON-TO-CARBON BONDS
- C08G2650/00—Macromolecular compounds obtained by reactions forming an ether link in the main chain of the macromolecule
- C08G2650/28—Macromolecular compounds obtained by reactions forming an ether link in the main chain of the macromolecule characterised by the polymer type
- C08G2650/46—Macromolecular compounds obtained by reactions forming an ether link in the main chain of the macromolecule characterised by the polymer type containing halogen
- C08G2650/48—Macromolecular compounds obtained by reactions forming an ether link in the main chain of the macromolecule characterised by the polymer type containing halogen containing fluorine, e.g. perfluropolyethers
Landscapes
- Chemical & Material Sciences (AREA)
- Organic Chemistry (AREA)
- Engineering & Computer Science (AREA)
- Materials Engineering (AREA)
- Chemical Kinetics & Catalysis (AREA)
- Life Sciences & Earth Sciences (AREA)
- Wood Science & Technology (AREA)
- General Chemical & Material Sciences (AREA)
- Polymers & Plastics (AREA)
- Health & Medical Sciences (AREA)
- Medicinal Chemistry (AREA)
- Combustion & Propulsion (AREA)
- Physics & Mathematics (AREA)
- Optics & Photonics (AREA)
- Geochemistry & Mineralogy (AREA)
- General Physics & Mathematics (AREA)
- Crystallography & Structural Chemistry (AREA)
- Materials Applied To Surfaces To Minimize Adherence Of Mist Or Water (AREA)
- Paints Or Removers (AREA)
- Polyethers (AREA)
- Compositions Of Macromolecular Compounds (AREA)
- Silicon Polymers (AREA)
Abstract
[식 중, 각 기호는, 명세서 내의 기재와 동일 의미이다.] 중 어느 것으로 표시되는 적어도 1종의 퍼플루오로(폴리)에테르기 함유 실란 화합물, 및 (2) 하기 일반식 (O): Rf1-PFPE'-Rf2 …(O)[식 중, 각 기호는, 명세서 내의 기재와 동일 의미이다.]로 표시되는 불소 함유 오일을 포함하는 표면 처리제이며, 상기 일반식 (O)로 표시되는 불소 함유 오일 중, 불소 함유 오일의 수 평균 분자량보다도 2.0배 이상의 분자량을 갖는 불소 함유 오일의 함유량이 10mol% 이하인 것을 특징으로 하는 표면 처리제를 제공한다.
Description
Claims (42)
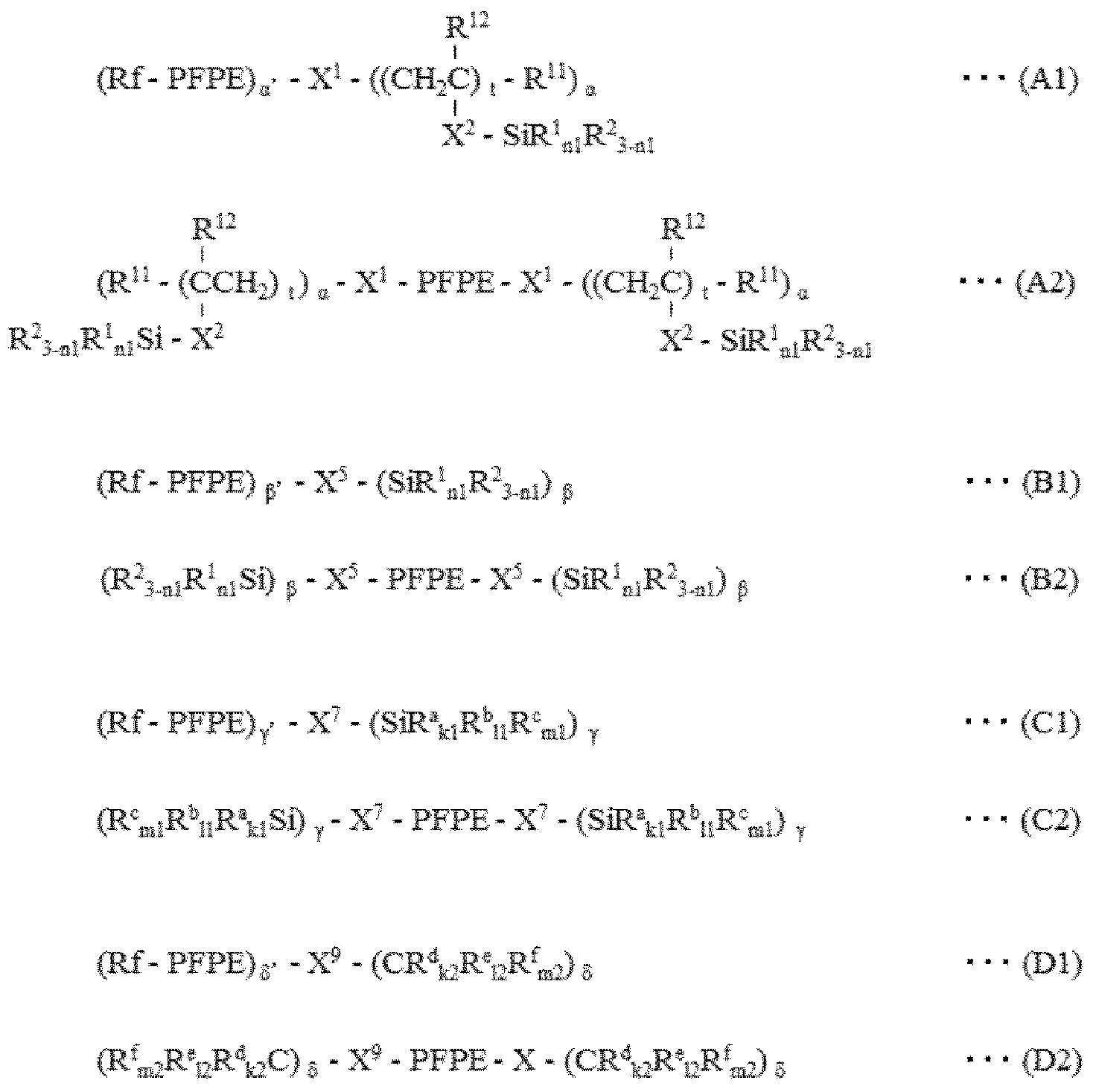
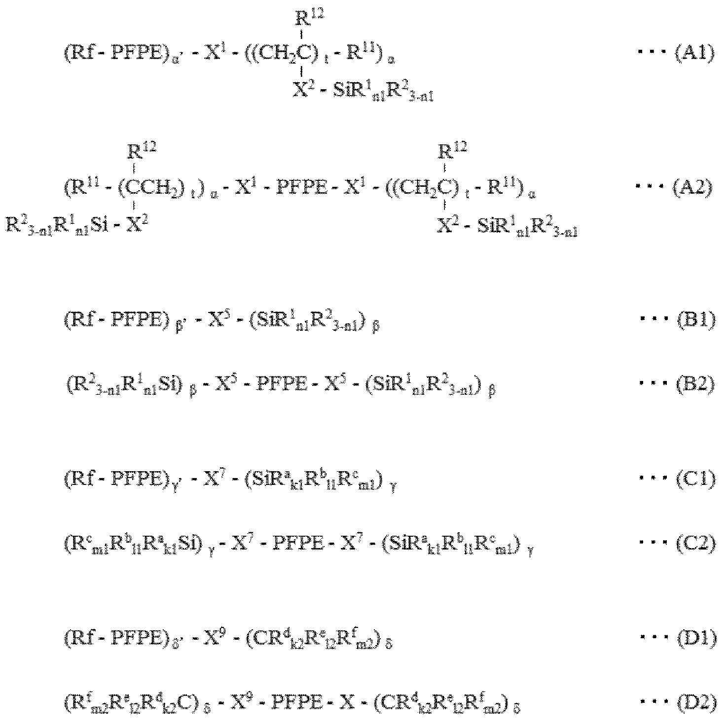
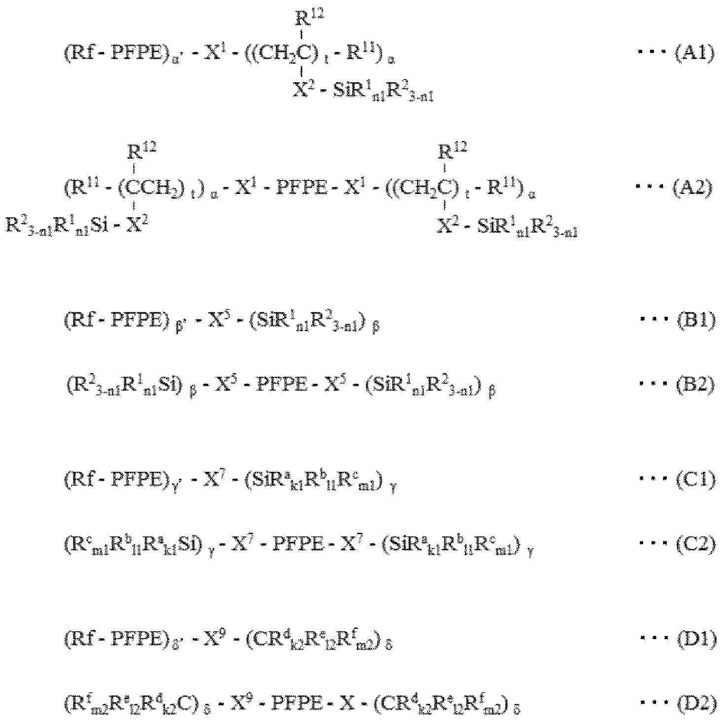
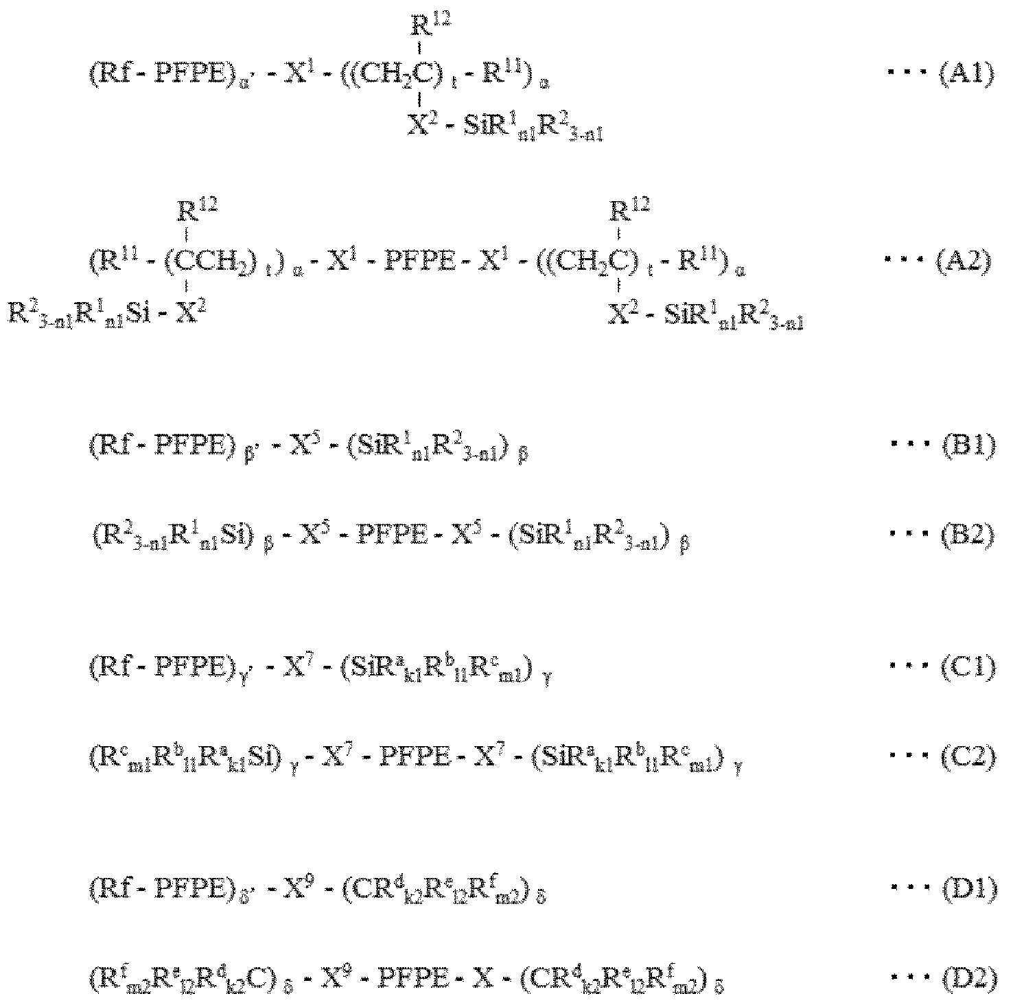
- (1) 하기 일반식 (A1), (A2), (B1), (B2), (C1), (C2), (D1) 및 (D2):
[식 중:
PFPE는, 각 출현에 있어서 각각 독립적으로, 식:
-(OC4F8)a-(OC3F6)b-(OC2F4)c-(OCF2)d-
(식 중, a, b, c 및 d는, 각각 독립적으로, 0 내지 200의 정수이며, a, b, c 및 d의 합은 적어도 1이며, 첨자 a, b, c 또는 d를 첨부하여 괄호로 묶어진 각 반복 단위의 존재 순서는 식 중에 있어서 임의이다.)
로 표시되는 기이며;
Rf는, 각 출현에 있어서 각각 독립적으로, 1개 또는 그 이상의 불소 원자에 의해 치환되어 있어도 되는 탄소수 1 내지 16의 알킬기를 나타내며;
R1은, 각 출현에 있어서 각각 독립적으로, 수산기 또는 가수분해 가능한 기를 나타내며;
R2는, 각 출현에 있어서 각각 독립적으로, 수소 원자 또는 탄소수 1 내지 22의 알킬기를 나타내며;
R11은, 각 출현에 있어서 각각 독립적으로, 수소 원자 또는 할로겐 원자를 나타내며;
R12는, 각 출현에 있어서 각각 독립적으로, 수소 원자 또는 저급 알킬기를 나타내며;
n1은, (-SiR1 n1R2 3 -n1) 단위마다 독립적으로, 0 내지 3의 정수이며;
단, 식 (A1), (A2), (B1) 및 (B2)에 있어서, 적어도 하나의 n1이, 1 내지 3의 정수이며;
X1은, 각각 독립적으로, 단결합 또는 2 내지 10가의 유기기를 나타내며;
X2는, 각 출현에 있어서 각각 독립적으로, 단결합 또는 2가의 유기기를 나타내며;
t는, 각 출현에 있어서 각각 독립적으로, 1 내지 10의 정수이며;
α는, 각각 독립적으로, 1 내지 9의 정수이며;
α'는, 각각 독립적으로, 1 내지 9의 정수이며;
X5는, 각각 독립적으로, 단결합 또는 2 내지 10가의 유기기를 나타내며;
β는, 각각 독립적으로, 1 내지 9의 정수이며;
β'는, 각각 독립적으로, 1 내지 9의 정수이며;
X7은, 각각 독립적으로, 단결합 또는 2 내지 10가의 유기기를 나타내며;
γ는, 각각 독립적으로, 1 내지 9의 정수이며;
γ'는, 각각 독립적으로, 1 내지 9의 정수이며;
Ra는, 각 출현에 있어서 각각 독립적으로, -Z1-SiR71 p1R72 q1R73 r1을 나타내며;
Z1은, 각 출현에 있어서 각각 독립적으로, 산소 원자 또는 2가의 유기기를 나타내며;
R71은, 각 출현에 있어서 각각 독립적으로, Ra '를 나타내며;
Ra '는, Ra와 동일 의미이며;
Ra 중, Z1기를 통하여 직쇄상으로 연결되는 Si는 최대로 5개이며;
R72는, 각 출현에 있어서 각각 독립적으로, 수산기 또는 가수분해 가능한 기를 나타내며;
R73은, 각 출현에 있어서 각각 독립적으로, 수소 원자 또는 저급 알킬기를 나타내며;
p1은, 각 출현에 있어서 각각 독립적으로, 0 내지 3의 정수이며;
q1은, 각 출현에 있어서 각각 독립적으로, 0 내지 3의 정수이며;
r1은, 각 출현에 있어서 각각 독립적으로, 0 내지 3의 정수이며;
단, 식 (C1) 및 (C2)에 있어서, 적어도 하나의 q1이 1 내지 3의 정수이며;
Rb는, 각 출현에 있어서 각각 독립적으로, 수산기 또는 가수분해 가능한 기를 나타내며;
Rc는, 각 출현에 있어서 각각 독립적으로, 수소 원자 또는 저급 알킬기를 나타내며;
k1은, 각 출현에 있어서 각각 독립적으로, 1 내지 3의 정수이며;
l1은, 각 출현에 있어서 각각 독립적으로, 0 내지 2의 정수이며;
m1은, 각 출현에 있어서 각각 독립적으로, 0 내지 2의 정수이며;
단, γ를 첨부하여 괄호로 묶어진 단위에 있어서, k1, l1 및 m1의 합은 3이며;
X9는, 각각 독립적으로, 단결합 또는 2 내지 10가의 유기기를 나타내며;
δ는, 각각 독립적으로, 1 내지 9의 정수이며;
δ'는, 각각 독립적으로, 1 내지 9의 정수이며;
Rd는, 각 출현에 있어서 각각 독립적으로, -Z2-CR81 p2R82 q2R83 r2를 나타내며;
Z2는, 각 출현에 있어서 각각 독립적으로, 산소 원자 또는 2가의 유기기를 나타내며;
R81은, 각 출현에 있어서 각각 독립적으로, Rd '를 나타내며;
Rd '는, Rd와 동일 의미이며;
Rd 중, Z2기를 통하여 직쇄상으로 연결되는 C는 최대로 5개이며;
R82는, 각 출현에 있어서 각각 독립적으로, -Y-SiR85 n2R86 3 -n2를 나타내며;
Y는, 각 출현에 있어서 각각 독립적으로, 2가의 유기기를 나타내며;
R85는, 각 출현에 있어서 각각 독립적으로, 수산기 또는 가수분해 가능한 기를 나타내며;
R86은, 각 출현에 있어서 각각 독립적으로, 수소 원자 또는 저급 알킬기를 나타내며;
n2는, (-Y-SiR85 n2R86 3 -n2) 단위마다 독립적으로, 1 내지 3의 정수를 나타내며;
단, 식 (D1) 및 (D2)에 있어서, 적어도 하나의 n2는 1 내지 3의 정수이며;
R83은, 각 출현에 있어서 각각 독립적으로, 수소 원자 또는 저급 알킬기를 나타내며;
p2는, 각 출현에 있어서 각각 독립적으로, 0 내지 3의 정수이며;
q2는, 각 출현에 있어서 각각 독립적으로, 0 내지 3의 정수이며;
r2는, 각 출현에 있어서 각각 독립적으로, 0 내지 3의 정수이며;
Re는, 각 출현에 있어서 각각 독립적으로, -Y-SiR85 n2R86 3 -n2를 나타내며;
Rf는, 각 출현에 있어서 각각 독립적으로, 수소 원자 또는 저급 알킬기를 나타내며;
k2는, 각 출현에 있어서 각각 독립적으로, 0 내지 3의 정수이며;
l2는, 각 출현에 있어서 각각 독립적으로, 0 내지 3의 정수이며;
m2는, 각 출현에 있어서 각각 독립적으로, 0 내지 3의 정수이며;
단, 식 (D1) 및 (D2)에 있어서, 적어도 하나의 q2는 2 또는 3이거나, 또는, 적어도 하나의 l2는 2 또는 3이다.]
중 어느 것으로 표시되는 적어도 1종의 퍼플루오로(폴리)에테르기 함유 실란 화합물, 및
(2) 하기 일반식 (O):
Rf1-PFPE'-Rf2 …(O)
[식 중:
Rf1은, 1개 또는 그 이상의 불소 원자에 의해 치환되어 있어도 되는 C1-16의 알킬기를 나타내며;
Rf2는, 1개 또는 그 이상의 불소 원자에 의해 치환되어 있어도 되는 C1-16의 알킬기, 불소 원자 또는 수소 원자를 나타내며;
PFPE'는, -(OC4F8)a'-(OC3F6)b'-(OC2F4)c'-(OCF2)d'-이며;
a', b', c' 및 d'는, 각각 독립적으로, 0 이상 300 이하의 정수이며, a', b', c' 및 d'의 합은 적어도 1이며, 첨자 a', b', c' 또는 d'를 첨부하여 괄호로 묶어진 각 반복 단위의 존재 순서는, 식 중에 있어서 임의이다.]
로 표시되는 불소 함유 오일
을 포함하는 표면 처리제이며, 상기 일반식 (O)로 표시되는 불소 함유 오일 중, 불소 함유 오일의 수 평균 분자량보다도 2.0배 이상의 분자량을 갖는 불소 함유 오일의 함유량이 10mol% 이하인 것을 특징으로 하는 표면 처리제. - 제1항에 있어서, 불소 함유 오일 중, 불소 함유 오일의 수 평균 분자량보다도 2.0배 이상의 분자량을 갖는 불소 함유 오일의 함유량이 5mol% 이하인 것을 특징으로 하는 표면 처리제.
- 제1항 또는 제2항에 있어서, 불소 함유 오일 중, 불소 함유 오일의 수 평균 분자량보다도 1.8배 이상의 분자량을 갖는 불소 함유 오일의 함유량이 10mol% 이하인 것을 특징으로 하는 표면 처리제.
- 제3항에 있어서, 불소 함유 오일 중, 불소 함유 오일의 수 평균 분자량보다도 1.8배 이상의 분자량을 갖는 불소 함유 오일의 함유량이 5mol% 이하인 것을 특징으로 하는 표면 처리제.
- 제1항 내지 제4항 중 어느 한 항에 있어서, 불소 함유 오일의 수 평균 분자량이 1,500 이상 30,000 이하인 것을 특징으로 하는 표면 처리제.
- 제5항에 있어서, 불소 함유 오일의 수 평균 분자량이 2,000 이상 10,000 이하인 것을 특징으로 하는 표면 처리제.
- (1) 하기 일반식 (A1), (A2), (B1), (B2), (C1), (C2), (D1) 및 (D2):
[식 중:
PFPE는, 각 출현에 있어서 각각 독립적으로, 식:
-(OC4F8)a-(OC3F6)b-(OC2F4)c-(OCF2)d-
(식 중, a, b, c 및 d는, 각각 독립적으로, 0 내지 200의 정수이며, a, b, c 및 d의 합은 적어도 1이며, 첨자 a, b, c 또는 d를 첨부하여 괄호로 묶어진 각 반복 단위의 존재 순서는 식 중에 있어서 임의이다.)
로 표시되는 기이며;
Rf는, 각 출현에 있어서 각각 독립적으로, 1개 또는 그 이상의 불소 원자에 의해 치환되어 있어도 되는 탄소수 1 내지 16의 알킬기를 나타내며;
R1은, 각 출현에 있어서 각각 독립적으로, 수산기 또는 가수분해 가능한 기를 나타내며;
R2는, 각 출현에 있어서 각각 독립적으로, 수소 원자 또는 탄소수 1 내지 22의 알킬기를 나타내며;
R11은, 각 출현에 있어서 각각 독립적으로, 수소 원자 또는 할로겐 원자를 나타내며;
R12는, 각 출현에 있어서 각각 독립적으로, 수소 원자 또는 저급 알킬기를 나타내며;
n1은, (-SiR1 n1R2 3 -n1) 단위마다 독립적으로, 0 내지 3의 정수이며;
단, 식 (A1), (A2), (B1) 및 (B2)에 있어서, 적어도 하나의 n1이, 1 내지 3의 정수이며;
X1은, 각각 독립적으로, 단결합 또는 2 내지 10가의 유기기를 나타내며;
X2는, 각 출현에 있어서 각각 독립적으로, 단결합 또는 2가의 유기기를 나타내며;
t는, 각 출현에 있어서 각각 독립적으로, 1 내지 10의 정수이며;
α는, 각각 독립적으로, 1 내지 9의 정수이며;
α'는, 각각 독립적으로, 1 내지 9의 정수이며;
X5는, 각각 독립적으로, 단결합 또는 2 내지 10가의 유기기를 나타내며;
β는, 각각 독립적으로, 1 내지 9의 정수이며;
β'는, 각각 독립적으로, 1 내지 9의 정수이며;
X7은, 각각 독립적으로, 단결합 또는 2 내지 10가의 유기기를 나타내며;
γ는, 각각 독립적으로, 1 내지 9의 정수이며;
γ'는, 각각 독립적으로, 1 내지 9의 정수이며;
Ra는, 각 출현에 있어서 각각 독립적으로, -Z1-SiR71 p1R72 q1R73 r1을 나타내며;
Z1은, 각 출현에 있어서 각각 독립적으로, 산소 원자 또는 2가의 유기기를 나타내며;
R71은, 각 출현에 있어서 각각 독립적으로, Ra '를 나타내며;
Ra '는, Ra와 동일 의미이며;
Ra 중, Z1기를 통하여 직쇄상으로 연결되는 Si는 최대로 5개이며;
R72는, 각 출현에 있어서 각각 독립적으로, 수산기 또는 가수분해 가능한 기를 나타내며;
R73은, 각 출현에 있어서 각각 독립적으로, 수소 원자 또는 저급 알킬기를 나타내며;
p1은, 각 출현에 있어서 각각 독립적으로, 0 내지 3의 정수이며;
q1은, 각 출현에 있어서 각각 독립적으로, 0 내지 3의 정수이며;
r1은, 각 출현에 있어서 각각 독립적으로, 0 내지 3의 정수이며;
단, 식 (C1) 및 (C2)에 있어서, 적어도 하나의 q1이 1 내지 3의 정수이며;
Rb는, 각 출현에 있어서 각각 독립적으로, 수산기 또는 가수분해 가능한 기를 나타내며;
Rc는, 각 출현에 있어서 각각 독립적으로, 수소 원자 또는 저급 알킬기를 나타내며;
k1은, 각 출현에 있어서 각각 독립적으로, 1 내지 3의 정수이며;
l1은, 각 출현에 있어서 각각 독립적으로, 0 내지 2의 정수이며;
m1은, 각 출현에 있어서 각각 독립적으로, 0 내지 2의 정수이며;
단, γ를 첨부하여 괄호로 묶어진 단위에 있어서, k1, l1 및 m1의 합은 3이며;
X9는, 각각 독립적으로, 단결합 또는 2 내지 10가의 유기기를 나타내며;
δ는, 각각 독립적으로, 1 내지 9의 정수이며;
δ'는, 각각 독립적으로, 1 내지 9의 정수이며;
Rd는, 각 출현에 있어서 각각 독립적으로, -Z2-CR81 p2R82 q2R83 r2를 나타내며;
Z2는, 각 출현에 있어서 각각 독립적으로, 산소 원자 또는 2가의 유기기를 나타내며;
R81은, 각 출현에 있어서 각각 독립적으로, Rd '를 나타내며;
Rd '는, Rd와 동일 의미이며;
Rd 중, Z2기를 통하여 직쇄상으로 연결되는 C는 최대로 5개이며;
R82는, 각 출현에 있어서 각각 독립적으로, -Y-SiR85 n2R86 3 -n2를 나타내며;
Y는, 각 출현에 있어서 각각 독립적으로, 2가의 유기기를 나타내며;
R85는, 각 출현에 있어서 각각 독립적으로, 수산기 또는 가수분해 가능한 기를 나타내며;
R86은, 각 출현에 있어서 각각 독립적으로, 수소 원자 또는 저급 알킬기를 나타내며;
n2는, (-Y-SiR85 n2R86 3 -n2) 단위마다 독립적으로, 1 내지 3의 정수를 나타내며;
단, 식 (D1) 및 (D2)에 있어서, 적어도 하나의 n2는 1 내지 3의 정수이며;
R83은, 각 출현에 있어서 각각 독립적으로, 수소 원자 또는 저급 알킬기를 나타내며;
p2는, 각 출현에 있어서 각각 독립적으로, 0 내지 3의 정수이며;
q2는, 각 출현에 있어서 각각 독립적으로, 0 내지 3의 정수이며;
r2는, 각 출현에 있어서 각각 독립적으로, 0 내지 3의 정수이며;
Re는, 각 출현에 있어서 각각 독립적으로, -Y-SiR85 n2R86 3 -n2를 나타내며;
Rf는, 각 출현에 있어서 각각 독립적으로, 수소 원자 또는 저급 알킬기를 나타내며;
k2는, 각 출현에 있어서 각각 독립적으로, 0 내지 3의 정수이며;
l2는, 각 출현에 있어서 각각 독립적으로, 0 내지 3의 정수이며;
m2는, 각 출현에 있어서 각각 독립적으로, 0 내지 3의 정수이며;
단, 식 (D1) 및 (D2)에 있어서, 적어도 하나의 q2는 2 또는 3이거나, 또는, 적어도 하나의 l2는 2 또는 3이다.]
중 어느 것으로 표시되는 적어도 1종의 퍼플루오로(폴리)에테르기 함유 실란 화합물, 및
(2) 하기 일반식 (O):
Rf1-PFPE'-Rf2 …(O)
[식 중:
Rf1은, 1개 또는 그 이상의 불소 원자에 의해 치환되어 있어도 되는 C1-16의 알킬기를 나타내며;
Rf2는, 1개 또는 그 이상의 불소 원자에 의해 치환되어 있어도 되는 C1-16의 알킬기, 불소 원자 또는 수소 원자를 나타내며;
PFPE'는, -(OC4F8)a'-(OC3F6)b'-(OC2F4)c'-(OCF2)d'-이며;
a', b', c' 및 d'는, 각각 독립적으로, 0 이상 300 이하의 정수이며, a', b', c' 및 d'의 합은 적어도 1이며, 첨자 a', b', c' 또는 d'를 첨부하여 괄호로 묶어진 각 반복 단위의 존재 순서는, 식 중에 있어서 임의이다.]
로 표시되는 불소 함유 오일
을 포함하는 표면 처리제이며, 상기 일반식 (O)로 표시되는 불소 함유 오일 중, 5000 이상의 분자량을 갖는 불소 함유 오일의 함유량이 10mol% 이하인 것을 특징으로 하는 표면 처리제. - 제7항에 있어서, 불소 함유 오일 중, 5,000 이상의 분자량을 갖는 불소 함유 오일의 함유량이 5mol% 이하인 것을 특징으로 하는 표면 처리제.
- 제1항 내지 제8항 중 어느 한 항에 있어서, 불소 함유 오일의 분산도가 1.00 이상 1.20 이하인 것을 특징으로 하는 표면 처리제.
- 제9항에 있어서, 불소 함유 오일의 분산도가 1.00 이상 1.10 이하인 것을 특징으로 하는 표면 처리제.
- 제1항 내지 제10항 중 어느 한 항에 있어서, 불소 함유 오일의 수 평균 분자량이 1,500 이상 5,500 이하인 것을 특징으로 하는 표면 처리제.
- 제1항 내지 제11항 중 어느 한 항에 있어서, 불소 함유 오일이, 식 (O1) 또는 (O2):
R21-(OCF2CF2CF2)b''-R22 …(O1)
R21-(OCF2CF2CF2CF2)a''-(OCF2CF2CF2)b''-(OCF2CF2)c''-(OCF2)d''-R22 …(O2)
[식 중:
R21은, 1개 또는 그 이상의 불소 원자에 의해 치환되어 있어도 되는 탄소수 1 내지 16의 알킬기를 나타내며;
R22는, 1개 또는 그 이상의 불소 원자에 의해 치환되어 있어도 되는 탄소수 1 내지 16의 알킬기, 불소 원자 또는 수소 원자를 나타내며;
식 (O1)에 있어서, b''는 1 이상 100 이하의 정수이며;
식 (O2)에 있어서, a'' 및 b''는, 각각 독립적으로 0 이상 30 이하의 정수이며, c'' 및 d''는, 각각 독립적으로 1 이상 300 이하의 정수이며;
첨자 a'', b'', c'' 또는 d''를 첨부하여 괄호로 묶어진 각 반복 단위의 존재 순서는, 식 중에 있어서 임의이다.]
로 표시되는 1종 또는 그 이상의 화합물인, 표면 처리제. - 제12항에 있어서, 불소 함유 오일이 식 (O2)로 표시되는 1종 또는 그 이상의 불소 함유 오일이며, 불소 함유 오일의 수 평균 분자량이 1,500 내지 5,500인 것을 특징으로 하는 표면 처리제.
- 제1항 내지 제13항 중 어느 한 항에 있어서, Rf가 탄소수 1 내지 16의 퍼플루오로알킬기인, 표면 처리제.
- 제1항 내지 제14항 중 어느 한 항에 있어서, PFPE가, 이하의 식 (i) 내지 (iv) 중 어느 것:
-(OCF2CF2CF2)b- (i)
[식 중, b는 1 내지 200의 정수이다.]
-(OCF(CF3)CF2)b- (ii)
[식 중, b는 1 내지 200의 정수이다.]
-(OCF2CF2CF2CF2)a-(OCF2CF2CF2)b-(OCF2CF2)c-(OCF2)d- (iii)
[식 중, a 및 b는, 각각 독립적으로, 0 또는 1 내지 30의 정수이며, c 및 d는, 각각 독립적으로, 1 내지 200의 정수이며, 첨자 a, b, c 또는 d를 첨부하여 괄호로 묶어진 각 반복 단위의 존재 순서는, 식 중에 있어서 임의이다.]
또는
-(R7-R8)f- (iv)
[식 중, R7은, OCF2 또는 OC2F4이며, R8은, OC2F4, OC3F6 및 OC4F8 중에서 선택되는 기이며;
f는, 2 내지 100의 정수이다.]
으로 표시되는 기인, 표면 처리제. - 제1항 내지 제15항 중 어느 한 항에 있어서, X1, X5, X7 및 X9가, 각각 독립적으로, 2 내지 4가의 유기기이며, α, β, γ 및 δ가, 각각 독립적으로, 1 내지 3이며, α', β', γ' 및 δ'가 1인, 표면 처리제.
- 제1항 내지 제16항 중 어느 한 항에 있어서, X1, X5, X7 및 X9가 2가의 유기기이며, α, β, γ 및 δ가 1이며, α', β', γ' 및 δ'가 1인, 표면 처리제.
- 제17항에 있어서, X1, X5, X7 및 X9가, 각각 독립적으로, -(R31)p'-(Xa)q'-
[식 중:
R31은, 각각 독립적으로, 단결합, -(CH2)s'-(식 중, s'는, 1 내지 20의 정수이다) 또는 o-, m- 또는 p-페닐렌기를 나타내며;
Xa는, -(Xb)l'-(식 중, l'는, 1 내지 10의 정수이다)를 나타내며;
Xb는, 각 출현에 있어서 각각 독립적으로, -O-, -S-, o-, m- 또는 p-페닐렌기, -C(O)O-, -Si(R33)2-, -(Si(R33)2O)m'-Si(R33)2-(식 중, m'는 1 내지 100의 정수이다), -CONR34-, -O-CONR34-, -NR34- 및 -(CH2)n'-(식 중, n'는 1 내지 20의 정수이다)로 이루어지는 군에서 선택되는 기를 나타내며;
R33은, 각 출현에 있어서 각각 독립적으로, 페닐기, C1-6 알킬기 또는 C1-6 알콕시기를 나타내며;
R34는, 각 출현에 있어서 각각 독립적으로, 수소 원자, 페닐기 또는 C1-6 알킬기를 나타내며;
p'는, 0, 1 또는 2이며;
q'는, 0 또는 1이며;
여기에, p' 및 q' 중 적어도 한쪽은 1이며, p' 또는 q'를 첨부하여 괄호로 묶어진 각 반복 단위의 존재 순서는 식 중에 있어서 임의이며;
R31 및 Xa는, 불소 원자, C1-3 알킬기 및 C1-3 플루오로알킬기 중에서 선택되는 1개 또는 그 이상의 치환기에 의해 치환되어 있어도 된다.]
로 표시되는 기인, 표면 처리제. - 제1항 내지 제19항 중 어느 한 항에 있어서, X1이 -O-CFR13-(CF2)e-이며,
R13이 불소 원자 또는 저급 플루오로알킬기를 나타내고,
e가 0 또는 1인, 표면 처리제. - 제1항 내지 제20항 중 어느 한 항에 있어서, X2가 -(CH2)s-이며,
s가 0 내지 2의 정수인, 표면 처리제. - 제1항 내지 제21항 중 어느 한 항에 있어서, k1이 3이며, Ra 중, q1이 3인, 표면 처리제.
- 제1항 내지 제22항 중 어느 한 항에 있어서, l2가 3이며, n2가 3인, 표면 처리제.
- 제1항 내지 제23항 중 어느 한 항에 있어서, Y가, C1-6 알킬렌기, -(CH2)g'-O-(CH2)h'-(식 중, g'는 0 내지 6의 정수이며, h'는 0 내지 6의 정수이다), 또는 -페닐렌-(CH2)i'-(식 중, i'는, 0 내지 6의 정수이다)인, 표면 처리제.
- 제1항 내지 제15항 중 어느 한 항에 있어서, X1, X5, X7 및 X9가, 각각 독립적으로, 3 내지 10가의 유기기인, 표면 처리제.
- 제25항에 있어서, X1, X5, X7 및 X9가, 각각 독립적으로:
[식 중, 각 기에 있어서, T 중 적어도 하나는, 식 (A1), (A2), (B1), (B2), (C1), (C2), (D1) 및 (D2)에 있어서 PFPE에 결합하는 이하의 기:
이며,
다른 T 중 적어도 하나는, 식 (A1), (A2), (B1), (B2), (C1), (C2), (D1) 및 (D2)에 있어서, 탄소 원자 또는 Si 원자에 결합하는 -(CH2)n-(n은 2 내지 6의 정수)이며, 존재하는 경우, 나머지의 T는, 각각 독립적으로, 메틸기, 페닐기, 탄소수 1 내지 6의 알콕시기 또는 라디칼 포착기 또는 자외선 흡수기이며,
R41은, 각각 독립적으로, 수소 원자, 페닐기, 탄소수 1 내지 6의 알콕시기 또는 탄소수 1 내지 6의 알킬기이며,
R42는, 각각 독립적으로, 수소 원자, C1-6의 알킬기 또는 C1-6의 알콕시기를 나타냄]
로 이루어지는 군에서 선택되는, 표면 처리제. - 제1항 내지 제26항 중 어느 한 항에 있어서, 퍼플루오로(폴리)에테르기 함유 실란 화합물이, 식 (A1) 및 (A2) 중 어느 것으로 표시되는 적어도 1종의 화합물인, 표면 처리제.
- 제1항 내지 제26항 중 어느 한 항에 있어서, 퍼플루오로(폴리)에테르기 함유 실란 화합물이, 식 (B1) 및 (B2) 중 어느 것으로 표시되는 적어도 1종의 화합물인, 표면 처리제.
- 제1항 내지 제26항 중 어느 한 항에 있어서, 퍼플루오로(폴리)에테르기 함유 실란 화합물이, 식 (C1) 및 (C2) 중 어느 것으로 표시되는 적어도 1종의 화합물인, 표면 처리제.
- 제1항 내지 제26항 중 어느 한 항에 있어서, 퍼플루오로(폴리)에테르기 함유 실란 화합물이, 식 (D1) 및 (D2) 중 어느 것으로 표시되는 적어도 1종의 화합물인, 표면 처리제.
- 제1항 내지 제30항 중 어느 한 항에 있어서, 퍼플루오로(폴리)에테르기 함유 실란 화합물 및 불소 함유 오일의 합계에 대하여 불소 함유 오일이, 5 내지 95질량% 함유되는, 표면 처리제.
- 제1항 내지 제31항 중 어느 한 항에 있어서, 추가로 실리콘 오일 및 촉매에서 선택되는 1종 또는 그 이상의 다른 성분을 함유하는, 표면 처리제.
- 제1항 내지 제32항 중 어느 한 항에 있어서, 추가로 용매를 포함하는, 표면 처리제.
- 제1항 내지 제33항 중 어느 한 항에 있어서, 방오성 코팅제 또는 방수성 코팅제로서 사용되는, 표면 처리제.
- 제1항 내지 제34항 중 어느 한 항에 있어서, 진공 증착용인, 표면 처리제.
- 제1항 내지 제35항 중 어느 한 항에 기재된 표면 처리제를 함유하는, 펠릿.
- 기재와, 그 기재의 표면에, 제1항 내지 제35항 중 어느 한 항에 기재된 표면 처리제로 형성된 층을 포함하는, 물품.
- 제37항에 있어서, 헤이즈값이 0.3% 이하인, 물품.
- 제37항 또는 제38항에 있어서, 기재가 유리 또는 사파이어 유리인, 물품.
- 제39항에 있어서, 유리가, 소다석회 유리, 알칼리알루미노규산염 유리, 붕규산 유리, 무알칼리 유리, 크리스탈 유리 및 석영 유리로 이루어지는 군에서 선택되는 유리인, 물품.
- 제37항 내지 제40항 중 어느 한 항에 있어서, 상기 물품이 광학 부재인, 물품.
- 제37항 내지 제41항 중 어느 한 항에 있어서, 상기 물품이 디스플레이인, 물품.
Applications Claiming Priority (3)
| Application Number | Priority Date | Filing Date | Title |
|---|---|---|---|
| JP2016012718 | 2016-01-26 | ||
| JPJP-P-2016-012718 | 2016-01-26 | ||
| PCT/JP2017/002367 WO2017130973A1 (ja) | 2016-01-26 | 2017-01-24 | 表面処理剤 |
Publications (2)
| Publication Number | Publication Date |
|---|---|
| KR20180098616A true KR20180098616A (ko) | 2018-09-04 |
| KR102157665B1 KR102157665B1 (ko) | 2020-09-18 |
Family
ID=59398356
Family Applications (1)
| Application Number | Title | Priority Date | Filing Date |
|---|---|---|---|
| KR1020187021500A Active KR102157665B1 (ko) | 2016-01-26 | 2017-01-24 | 표면 처리제 |
Country Status (7)
| Country | Link |
|---|---|
| US (1) | US10870729B2 (ko) |
| EP (1) | EP3409744A4 (ko) |
| JP (1) | JP6172410B2 (ko) |
| KR (1) | KR102157665B1 (ko) |
| CN (1) | CN108495907B (ko) |
| TW (1) | TWI709589B (ko) |
| WO (1) | WO2017130973A1 (ko) |
Cited By (2)
| Publication number | Priority date | Publication date | Assignee | Title |
|---|---|---|---|---|
| KR20200104895A (ko) * | 2018-02-02 | 2020-09-04 | 다이킨 고교 가부시키가이샤 | 플루오로(폴리)에테르기 함유 실란 화합물 |
| KR20220153093A (ko) * | 2020-08-31 | 2022-11-17 | 다이킨 고교 가부시키가이샤 | 불소 오일을 포함하는 조성물 |
Families Citing this family (14)
| Publication number | Priority date | Publication date | Assignee | Title |
|---|---|---|---|---|
| EP3766889A1 (en) * | 2015-07-31 | 2021-01-20 | Daikin Industries, Ltd. | Silane compound containing perfluoro(poly)ether group |
| KR20210136148A (ko) * | 2016-09-08 | 2021-11-16 | 다이킨 고교 가부시키가이샤 | 퍼플루오로(폴리)에테르기 함유 실란 화합물을 포함하는 조성물 |
| WO2019026803A1 (ja) * | 2017-08-04 | 2019-02-07 | ダイキン工業株式会社 | パターン形成用基体 |
| EP3705545B1 (en) | 2017-10-31 | 2025-01-08 | Daikin Industries, Ltd. | Surface treatment composition |
| CN111511802B (zh) * | 2017-12-27 | 2023-02-03 | Agc株式会社 | 含氟醚化合物、含氟醚组合物、涂布液、物品及其制造方法 |
| JP7193932B2 (ja) * | 2018-06-19 | 2022-12-21 | 大和製罐株式会社 | 滑落剤及びそれによる塗膜で被覆された物品 |
| EP3858943B1 (en) * | 2018-09-28 | 2024-02-28 | Daikin Industries, Ltd. | Surface treatment agent |
| WO2020071330A1 (ja) | 2018-10-05 | 2020-04-09 | Agc株式会社 | 含フッ素エーテル組成物、コーティング液、物品およびその製造方法 |
| EP3995554A4 (en) * | 2019-07-05 | 2023-07-26 | Daikin Industries, Ltd. | Surface treatment agent |
| JP6791430B1 (ja) * | 2019-08-02 | 2020-11-25 | ダイキン工業株式会社 | 表面処理剤 |
| EP4047035A4 (en) * | 2019-10-18 | 2023-10-04 | Daikin Industries, Ltd. | Surface treatment agent |
| KR20220158278A (ko) * | 2020-05-14 | 2022-11-30 | 다이킨 아메리카, 인크. | 고온 저 아웃가스 플루오린화 열 계면 재료 |
| US20230257528A1 (en) * | 2020-07-02 | 2023-08-17 | Momentive Performance Materials Inc. | Surface treating composition |
| KR20240014574A (ko) * | 2021-09-02 | 2024-02-01 | 다이킨 고교 가부시키가이샤 | 표면 처리제 |
Citations (5)
| Publication number | Priority date | Publication date | Assignee | Title |
|---|---|---|---|---|
| WO1997007155A1 (fr) | 1995-08-11 | 1997-02-27 | Daikin Industries, Ltd. | Fluoropolymeres organiques au silicium et leur emploi |
| JP2008534696A (ja) | 2005-04-01 | 2008-08-28 | ダイキン工業株式会社 | 表面改質剤 |
| WO2014163057A1 (ja) | 2013-04-02 | 2014-10-09 | ダイキン工業株式会社 | シラン系膜を有する物品の製造方法 |
| KR20150060914A (ko) * | 2012-11-05 | 2015-06-03 | 다이킨 고교 가부시키가이샤 | 퍼플루오로(폴리)에테르기 함유 실란 화합물 |
| KR20150119274A (ko) * | 2013-04-15 | 2015-10-23 | 다이킨 고교 가부시키가이샤 | 불소 함유 규소 함유 중합체 및 표면 처리제 |
Family Cites Families (9)
| Publication number | Priority date | Publication date | Assignee | Title |
|---|---|---|---|---|
| IT1040273B (it) * | 1975-07-30 | 1979-12-20 | Montedison Spa | Oli perfluoropolieterei selezionati ad altissima purezza ea bassa volatilita |
| JP5235026B2 (ja) | 2010-09-28 | 2013-07-10 | 信越化学工業株式会社 | フルオロオキシアルキレン基含有ポリマー組成物および該組成物を含む表面処理剤並びに該表面処理剤で表面処理された物品 |
| JP5748292B2 (ja) | 2011-04-21 | 2015-07-15 | 信越化学工業株式会社 | フルオロオキシアルキレン基含有ポリマー組成物および該組成物を含む表面処理剤並びに該表面処理剤で表面処理された物品 |
| JP5857942B2 (ja) * | 2011-11-30 | 2016-02-10 | 信越化学工業株式会社 | 蒸着用フッ素系表面処理剤及び該表面処理剤で蒸着処理された物品 |
| KR101706836B1 (ko) * | 2012-03-29 | 2017-02-14 | 다이킨 고교 가부시키가이샤 | 표면 처리 조성물 및 그것을 사용해서 얻어지는 물품 |
| KR101671089B1 (ko) * | 2012-06-13 | 2016-10-31 | 다이킨 고교 가부시키가이샤 | 퍼플루오로폴리에테르기 함유 실란 화합물 및 표면 처리제 |
| WO2014011771A2 (en) | 2012-07-12 | 2014-01-16 | Dow Corning Corporation | Composition for surface treatment, methods of preparing a surface-treated article, and surface treated article |
| EP2982702B1 (en) * | 2013-04-04 | 2017-08-09 | Asahi Glass Company, Limited | Fluorine-containing ether compound, fluorine-containing ether composition, and coating solution, as well as substrate having surface layer, and method for manufacturing same |
| JP6319143B2 (ja) * | 2014-03-31 | 2018-05-09 | 信越化学工業株式会社 | 含フッ素コーティング剤及び該コーティング剤で処理された物品 |
-
2017
- 2017-01-24 US US16/072,697 patent/US10870729B2/en active Active
- 2017-01-24 JP JP2017010042A patent/JP6172410B2/ja active Active
- 2017-01-24 KR KR1020187021500A patent/KR102157665B1/ko active Active
- 2017-01-24 CN CN201780008098.7A patent/CN108495907B/zh active Active
- 2017-01-24 WO PCT/JP2017/002367 patent/WO2017130973A1/ja not_active Ceased
- 2017-01-24 EP EP17744203.5A patent/EP3409744A4/en active Pending
- 2017-01-25 TW TW106102903A patent/TWI709589B/zh active
Patent Citations (5)
| Publication number | Priority date | Publication date | Assignee | Title |
|---|---|---|---|---|
| WO1997007155A1 (fr) | 1995-08-11 | 1997-02-27 | Daikin Industries, Ltd. | Fluoropolymeres organiques au silicium et leur emploi |
| JP2008534696A (ja) | 2005-04-01 | 2008-08-28 | ダイキン工業株式会社 | 表面改質剤 |
| KR20150060914A (ko) * | 2012-11-05 | 2015-06-03 | 다이킨 고교 가부시키가이샤 | 퍼플루오로(폴리)에테르기 함유 실란 화합물 |
| WO2014163057A1 (ja) | 2013-04-02 | 2014-10-09 | ダイキン工業株式会社 | シラン系膜を有する物品の製造方法 |
| KR20150119274A (ko) * | 2013-04-15 | 2015-10-23 | 다이킨 고교 가부시키가이샤 | 불소 함유 규소 함유 중합체 및 표면 처리제 |
Cited By (2)
| Publication number | Priority date | Publication date | Assignee | Title |
|---|---|---|---|---|
| KR20200104895A (ko) * | 2018-02-02 | 2020-09-04 | 다이킨 고교 가부시키가이샤 | 플루오로(폴리)에테르기 함유 실란 화합물 |
| KR20220153093A (ko) * | 2020-08-31 | 2022-11-17 | 다이킨 고교 가부시키가이샤 | 불소 오일을 포함하는 조성물 |
Also Published As
| Publication number | Publication date |
|---|---|
| US10870729B2 (en) | 2020-12-22 |
| EP3409744A1 (en) | 2018-12-05 |
| CN108495907A (zh) | 2018-09-04 |
| EP3409744A4 (en) | 2019-10-09 |
| JP2017133003A (ja) | 2017-08-03 |
| TWI709589B (zh) | 2020-11-11 |
| CN108495907B (zh) | 2021-02-09 |
| US20190031828A1 (en) | 2019-01-31 |
| KR102157665B1 (ko) | 2020-09-18 |
| TW201731916A (zh) | 2017-09-16 |
| WO2017130973A1 (ja) | 2017-08-03 |
| JP6172410B2 (ja) | 2017-08-02 |
Similar Documents
| Publication | Publication Date | Title |
|---|---|---|
| KR101972244B1 (ko) | 표면 처리제 | |
| KR20180098616A (ko) | 표면 처리제 | |
| JP6332358B2 (ja) | フルオロオキシメチレン基含有パーフルオロポリエーテル変性体 | |
| KR102159594B1 (ko) | 퍼플루오로(폴리)에테르기 함유 실란 화합물 | |
| JP6922996B2 (ja) | 表面処理組成物 | |
| KR20190104614A (ko) | 퍼플루오로(폴리)에테르기 함유 실란 화합물 | |
| KR20190039759A (ko) | 퍼플루오로(폴리)에테르기 함유 화합물을 포함하는 표면 처리제 | |
| JP6724994B2 (ja) | パーフルオロ(ポリ)エーテル基含有シラン化合物を含む組成物 | |
| KR20180132845A (ko) | 퍼플루오로(폴리)에테르 변성 아미드실란 화합물을 포함하는 조성물 | |
| KR102468998B1 (ko) | 퍼플루오로(폴리)에테르기 함유 실란 화합물을 포함하는 표면 처리제, 그것을 사용한 펠릿 및 물품 | |
| WO2018168972A1 (ja) | パーフルオロ(ポリ)エーテル基含有シラン化合物を含む表面処理剤、それを用いたペレットおよび物品 | |
| WO2018181141A1 (ja) | パーフルオロポリエーテル基含有化合物を含む表面処理剤 |
Legal Events
| Date | Code | Title | Description |
|---|---|---|---|
| A201 | Request for examination | ||
| PA0105 | International application |
St.27 status event code: A-0-1-A10-A15-nap-PA0105 |
|
| PA0201 | Request for examination |
St.27 status event code: A-1-2-D10-D11-exm-PA0201 |
|
| PG1501 | Laying open of application |
St.27 status event code: A-1-1-Q10-Q12-nap-PG1501 |
|
| D13-X000 | Search requested |
St.27 status event code: A-1-2-D10-D13-srh-X000 |
|
| D14-X000 | Search report completed |
St.27 status event code: A-1-2-D10-D14-srh-X000 |
|
| E902 | Notification of reason for refusal | ||
| PE0902 | Notice of grounds for rejection |
St.27 status event code: A-1-2-D10-D21-exm-PE0902 |
|
| E13-X000 | Pre-grant limitation requested |
St.27 status event code: A-2-3-E10-E13-lim-X000 |
|
| P11-X000 | Amendment of application requested |
St.27 status event code: A-2-2-P10-P11-nap-X000 |
|
| P13-X000 | Application amended |
St.27 status event code: A-2-2-P10-P13-nap-X000 |
|
| E701 | Decision to grant or registration of patent right | ||
| PE0701 | Decision of registration |
St.27 status event code: A-1-2-D10-D22-exm-PE0701 |
|
| GRNT | Written decision to grant | ||
| PR0701 | Registration of establishment |
St.27 status event code: A-2-4-F10-F11-exm-PR0701 |
|
| PR1002 | Payment of registration fee |
St.27 status event code: A-2-2-U10-U12-oth-PR1002 Fee payment year number: 1 |
|
| PG1601 | Publication of registration |
St.27 status event code: A-4-4-Q10-Q13-nap-PG1601 |
|
| R18-X000 | Changes to party contact information recorded |
St.27 status event code: A-5-5-R10-R18-oth-X000 |
|
| PR1001 | Payment of annual fee |
St.27 status event code: A-4-4-U10-U11-oth-PR1001 Fee payment year number: 4 |
|
| PR1001 | Payment of annual fee |
St.27 status event code: A-4-4-U10-U11-oth-PR1001 Fee payment year number: 5 |
|
| PR1001 | Payment of annual fee |
St.27 status event code: A-4-4-U10-U11-oth-PR1001 Fee payment year number: 6 |
|
| U11 | Full renewal or maintenance fee paid |
Free format text: ST27 STATUS EVENT CODE: A-4-4-U10-U11-OTH-PR1001 (AS PROVIDED BY THE NATIONAL OFFICE) Year of fee payment: 6 |


































































