KR20120021237A - 레지스트 조성물 및 레지스트 패턴의 제조 방법 - Google Patents

레지스트 조성물 및 레지스트 패턴의 제조 방법 Download PDF

Info

Publication number
KR20120021237A
KR20120021237A KR1020110086303A KR20110086303A KR20120021237A KR 20120021237 A KR20120021237 A KR 20120021237A KR 1020110086303 A KR1020110086303 A KR 1020110086303A KR 20110086303 A KR20110086303 A KR 20110086303A KR 20120021237 A KR20120021237 A KR 20120021237A
Authority
KR
South Korea
Prior art keywords
group
resin
monomer
hydrocarbon group
solution
Prior art date
Legal status (The legal status is an assumption and is not a legal conclusion. Google has not performed a legal analysis and makes no representation as to the accuracy of the status listed.)
Granted
Application number
KR1020110086303A
Other languages
English (en)
Other versions
KR101776320B1 (ko
Inventor
다쯔로 마스야마
사또시 야마모또
고지 이찌까와
Original Assignee
스미또모 가가꾸 가부시키가이샤
Priority date (The priority date is an assumption and is not a legal conclusion. Google has not performed a legal analysis and makes no representation as to the accuracy of the date listed.)
Filing date
Publication date
Application filed by 스미또모 가가꾸 가부시키가이샤 filed Critical 스미또모 가가꾸 가부시키가이샤
Publication of KR20120021237A publication Critical patent/KR20120021237A/ko
Application granted granted Critical
Publication of KR101776320B1 publication Critical patent/KR101776320B1/ko
Active legal-status Critical Current
Anticipated expiration legal-status Critical

Links

Classifications

    • GPHYSICS
    • G03PHOTOGRAPHY; CINEMATOGRAPHY; ANALOGOUS TECHNIQUES USING WAVES OTHER THAN OPTICAL WAVES; ELECTROGRAPHY; HOLOGRAPHY
    • G03FPHOTOMECHANICAL PRODUCTION OF TEXTURED OR PATTERNED SURFACES, e.g. FOR PRINTING, FOR PROCESSING OF SEMICONDUCTOR DEVICES; MATERIALS THEREFOR; ORIGINALS THEREFOR; APPARATUS SPECIALLY ADAPTED THEREFOR
    • G03F7/00Photomechanical, e.g. photolithographic, production of textured or patterned surfaces, e.g. printing surfaces; Materials therefor, e.g. comprising photoresists; Apparatus specially adapted therefor
    • G03F7/004Photosensitive materials
    • G03F7/039Macromolecular compounds which are photodegradable, e.g. positive electron resists
    • G03F7/0392Macromolecular compounds which are photodegradable, e.g. positive electron resists the macromolecular compound being present in a chemically amplified positive photoresist composition
    • GPHYSICS
    • G03PHOTOGRAPHY; CINEMATOGRAPHY; ANALOGOUS TECHNIQUES USING WAVES OTHER THAN OPTICAL WAVES; ELECTROGRAPHY; HOLOGRAPHY
    • G03FPHOTOMECHANICAL PRODUCTION OF TEXTURED OR PATTERNED SURFACES, e.g. FOR PRINTING, FOR PROCESSING OF SEMICONDUCTOR DEVICES; MATERIALS THEREFOR; ORIGINALS THEREFOR; APPARATUS SPECIALLY ADAPTED THEREFOR
    • G03F7/00Photomechanical, e.g. photolithographic, production of textured or patterned surfaces, e.g. printing surfaces; Materials therefor, e.g. comprising photoresists; Apparatus specially adapted therefor
    • G03F7/004Photosensitive materials
    • G03F7/0045Photosensitive materials with organic non-macromolecular light-sensitive compounds not otherwise provided for, e.g. dissolution inhibitors
    • GPHYSICS
    • G03PHOTOGRAPHY; CINEMATOGRAPHY; ANALOGOUS TECHNIQUES USING WAVES OTHER THAN OPTICAL WAVES; ELECTROGRAPHY; HOLOGRAPHY
    • G03FPHOTOMECHANICAL PRODUCTION OF TEXTURED OR PATTERNED SURFACES, e.g. FOR PRINTING, FOR PROCESSING OF SEMICONDUCTOR DEVICES; MATERIALS THEREFOR; ORIGINALS THEREFOR; APPARATUS SPECIALLY ADAPTED THEREFOR
    • G03F7/00Photomechanical, e.g. photolithographic, production of textured or patterned surfaces, e.g. printing surfaces; Materials therefor, e.g. comprising photoresists; Apparatus specially adapted therefor
    • GPHYSICS
    • G03PHOTOGRAPHY; CINEMATOGRAPHY; ANALOGOUS TECHNIQUES USING WAVES OTHER THAN OPTICAL WAVES; ELECTROGRAPHY; HOLOGRAPHY
    • G03FPHOTOMECHANICAL PRODUCTION OF TEXTURED OR PATTERNED SURFACES, e.g. FOR PRINTING, FOR PROCESSING OF SEMICONDUCTOR DEVICES; MATERIALS THEREFOR; ORIGINALS THEREFOR; APPARATUS SPECIALLY ADAPTED THEREFOR
    • G03F7/00Photomechanical, e.g. photolithographic, production of textured or patterned surfaces, e.g. printing surfaces; Materials therefor, e.g. comprising photoresists; Apparatus specially adapted therefor
    • G03F7/004Photosensitive materials
    • GPHYSICS
    • G03PHOTOGRAPHY; CINEMATOGRAPHY; ANALOGOUS TECHNIQUES USING WAVES OTHER THAN OPTICAL WAVES; ELECTROGRAPHY; HOLOGRAPHY
    • G03FPHOTOMECHANICAL PRODUCTION OF TEXTURED OR PATTERNED SURFACES, e.g. FOR PRINTING, FOR PROCESSING OF SEMICONDUCTOR DEVICES; MATERIALS THEREFOR; ORIGINALS THEREFOR; APPARATUS SPECIALLY ADAPTED THEREFOR
    • G03F7/00Photomechanical, e.g. photolithographic, production of textured or patterned surfaces, e.g. printing surfaces; Materials therefor, e.g. comprising photoresists; Apparatus specially adapted therefor
    • G03F7/004Photosensitive materials
    • G03F7/0046Photosensitive materials with perfluoro compounds, e.g. for dry lithography
    • GPHYSICS
    • G03PHOTOGRAPHY; CINEMATOGRAPHY; ANALOGOUS TECHNIQUES USING WAVES OTHER THAN OPTICAL WAVES; ELECTROGRAPHY; HOLOGRAPHY
    • G03FPHOTOMECHANICAL PRODUCTION OF TEXTURED OR PATTERNED SURFACES, e.g. FOR PRINTING, FOR PROCESSING OF SEMICONDUCTOR DEVICES; MATERIALS THEREFOR; ORIGINALS THEREFOR; APPARATUS SPECIALLY ADAPTED THEREFOR
    • G03F7/00Photomechanical, e.g. photolithographic, production of textured or patterned surfaces, e.g. printing surfaces; Materials therefor, e.g. comprising photoresists; Apparatus specially adapted therefor
    • G03F7/004Photosensitive materials
    • G03F7/038Macromolecular compounds which are rendered insoluble or differentially wettable
    • G03F7/0382Macromolecular compounds which are rendered insoluble or differentially wettable the macromolecular compound being present in a chemically amplified negative photoresist composition
    • GPHYSICS
    • G03PHOTOGRAPHY; CINEMATOGRAPHY; ANALOGOUS TECHNIQUES USING WAVES OTHER THAN OPTICAL WAVES; ELECTROGRAPHY; HOLOGRAPHY
    • G03FPHOTOMECHANICAL PRODUCTION OF TEXTURED OR PATTERNED SURFACES, e.g. FOR PRINTING, FOR PROCESSING OF SEMICONDUCTOR DEVICES; MATERIALS THEREFOR; ORIGINALS THEREFOR; APPARATUS SPECIALLY ADAPTED THEREFOR
    • G03F7/00Photomechanical, e.g. photolithographic, production of textured or patterned surfaces, e.g. printing surfaces; Materials therefor, e.g. comprising photoresists; Apparatus specially adapted therefor
    • G03F7/004Photosensitive materials
    • G03F7/039Macromolecular compounds which are photodegradable, e.g. positive electron resists
    • G03F7/0392Macromolecular compounds which are photodegradable, e.g. positive electron resists the macromolecular compound being present in a chemically amplified positive photoresist composition
    • G03F7/0397Macromolecular compounds which are photodegradable, e.g. positive electron resists the macromolecular compound being present in a chemically amplified positive photoresist composition the macromolecular compound having an alicyclic moiety in a side chain
    • GPHYSICS
    • G03PHOTOGRAPHY; CINEMATOGRAPHY; ANALOGOUS TECHNIQUES USING WAVES OTHER THAN OPTICAL WAVES; ELECTROGRAPHY; HOLOGRAPHY
    • G03FPHOTOMECHANICAL PRODUCTION OF TEXTURED OR PATTERNED SURFACES, e.g. FOR PRINTING, FOR PROCESSING OF SEMICONDUCTOR DEVICES; MATERIALS THEREFOR; ORIGINALS THEREFOR; APPARATUS SPECIALLY ADAPTED THEREFOR
    • G03F7/00Photomechanical, e.g. photolithographic, production of textured or patterned surfaces, e.g. printing surfaces; Materials therefor, e.g. comprising photoresists; Apparatus specially adapted therefor
    • G03F7/20Exposure; Apparatus therefor
    • G03F7/2041Exposure; Apparatus therefor in the presence of a fluid, e.g. immersion; using fluid cooling means
    • GPHYSICS
    • G03PHOTOGRAPHY; CINEMATOGRAPHY; ANALOGOUS TECHNIQUES USING WAVES OTHER THAN OPTICAL WAVES; ELECTROGRAPHY; HOLOGRAPHY
    • G03FPHOTOMECHANICAL PRODUCTION OF TEXTURED OR PATTERNED SURFACES, e.g. FOR PRINTING, FOR PROCESSING OF SEMICONDUCTOR DEVICES; MATERIALS THEREFOR; ORIGINALS THEREFOR; APPARATUS SPECIALLY ADAPTED THEREFOR
    • G03F7/00Photomechanical, e.g. photolithographic, production of textured or patterned surfaces, e.g. printing surfaces; Materials therefor, e.g. comprising photoresists; Apparatus specially adapted therefor
    • G03F7/26Processing photosensitive materials; Apparatus therefor
    • G03F7/30Imagewise removal using liquid means
    • GPHYSICS
    • G03PHOTOGRAPHY; CINEMATOGRAPHY; ANALOGOUS TECHNIQUES USING WAVES OTHER THAN OPTICAL WAVES; ELECTROGRAPHY; HOLOGRAPHY
    • G03FPHOTOMECHANICAL PRODUCTION OF TEXTURED OR PATTERNED SURFACES, e.g. FOR PRINTING, FOR PROCESSING OF SEMICONDUCTOR DEVICES; MATERIALS THEREFOR; ORIGINALS THEREFOR; APPARATUS SPECIALLY ADAPTED THEREFOR
    • G03F7/00Photomechanical, e.g. photolithographic, production of textured or patterned surfaces, e.g. printing surfaces; Materials therefor, e.g. comprising photoresists; Apparatus specially adapted therefor
    • G03F7/26Processing photosensitive materials; Apparatus therefor
    • G03F7/38Treatment before imagewise removal, e.g. prebaking
    • YGENERAL TAGGING OF NEW TECHNOLOGICAL DEVELOPMENTS; GENERAL TAGGING OF CROSS-SECTIONAL TECHNOLOGIES SPANNING OVER SEVERAL SECTIONS OF THE IPC; TECHNICAL SUBJECTS COVERED BY FORMER USPC CROSS-REFERENCE ART COLLECTIONS [XRACs] AND DIGESTS
    • Y10TECHNICAL SUBJECTS COVERED BY FORMER USPC
    • Y10STECHNICAL SUBJECTS COVERED BY FORMER USPC CROSS-REFERENCE ART COLLECTIONS [XRACs] AND DIGESTS
    • Y10S430/00Radiation imagery chemistry: process, composition, or product thereof
    • Y10S430/1053Imaging affecting physical property or radiation sensitive material, or producing nonplanar or printing surface - process, composition, or product: radiation sensitive composition or product or process of making binder containing
    • Y10S430/1055Radiation sensitive composition or product or process of making
    • Y10S430/106Binder containing
    • Y10S430/111Polymer of unsaturated acid or ester
    • YGENERAL TAGGING OF NEW TECHNOLOGICAL DEVELOPMENTS; GENERAL TAGGING OF CROSS-SECTIONAL TECHNOLOGIES SPANNING OVER SEVERAL SECTIONS OF THE IPC; TECHNICAL SUBJECTS COVERED BY FORMER USPC CROSS-REFERENCE ART COLLECTIONS [XRACs] AND DIGESTS
    • Y10TECHNICAL SUBJECTS COVERED BY FORMER USPC
    • Y10STECHNICAL SUBJECTS COVERED BY FORMER USPC CROSS-REFERENCE ART COLLECTIONS [XRACs] AND DIGESTS
    • Y10S430/00Radiation imagery chemistry: process, composition, or product thereof
    • Y10S430/1053Imaging affecting physical property or radiation sensitive material, or producing nonplanar or printing surface - process, composition, or product: radiation sensitive composition or product or process of making binder containing
    • Y10S430/1055Radiation sensitive composition or product or process of making
    • Y10S430/114Initiator containing
    • Y10S430/126Halogen compound containing

Landscapes

  • Physics & Mathematics (AREA)
  • General Physics & Mathematics (AREA)
  • Spectroscopy & Molecular Physics (AREA)
  • Materials For Photolithography (AREA)
  • Addition Polymer Or Copolymer, Post-Treatments, Or Chemical Modifications (AREA)
  • Exposure And Positioning Against Photoresist Photosensitive Materials (AREA)

Abstract

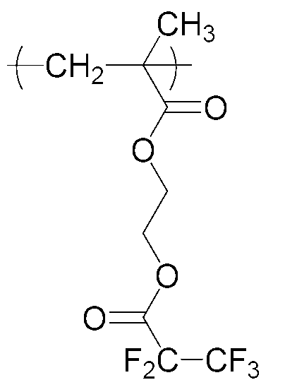
본 발명의 레지스트 조성물은 화학식 (a)로 표시되는 화합물로부터 유도되는 구조 단위를 갖는 수지; 및 산발생제를 함유한다.
Figure pat00263

[식 중, R1은 수소 원자 또는 메틸기를 나타내고; R2는 치환될 수도 있는 C1 내지 C18의 지방족 탄화수소기를 나타내고; A1은 치환될 수도 있는 C1 내지 C6의 알칸디일기 또는 하기 화학식 (a-g1)로 표시되는 기를 나타냄]
Figure pat00264

[식 중, s는 0 또는 1을 나타내고; A10 및 A12는 독립적으로 치환될 수도 있는 C1 내지 C5의 지방족 탄화수소기를 나타내고; A11은 단일 결합 또는 치환될 수도 있는 C1 내지 C5의 지방족 탄화수소기를 나타내고; X10 및 X11은 독립적으로 산소 원자, 카르보닐기, 카르보닐옥시기 또는 옥시카르보닐기를 나타내되; 단, A10, A11, A12, X10 및 X11의 총 탄소수는 6 이하임]

Description

레지스트 조성물 및 레지스트 패턴의 제조 방법 {RESIST COMPOSITION AND METHOD FOR PRODUCING RESIST PATTERN}
<관련 출원의 상호 참조>
본원은 2010년 8월 30일자로 출원된 일본 출원 제2010-191868호, 2010년 11월 24일자로 출원된 일본 출원 제2010-260921호, 2011년 2월 25일자로 출원된 일본 출원 제2011-39451호, 및 2011년 5월 13일자로 출원된 일본 출원 제2011-107973호의 우선권을 청구한다. 일본 출원 제2010-191868호, 일본 출원 제2010-260921호, 일본 출원 제2011-39451호 및 일본 출원 제2011-107973호의 전문은 본원에 참고로 포함된다.
본 발명은 레지스트 조성물 및 레지스트 패턴의 제조 방법에 관한 것이다.
반도체 미세가공으로서 ArF 엑시머 레이저 (193 nm의 파장)와 같은 단파장의 광을 노광 광원으로 하는 다양한 종류의 포토리소그래피 기술이 종래에 활발히 연구되어 왔다. 이와 같은 포토리소그래피 기술에 이용되는 레지스트 조성물은 화학식 (A)로 표시되는 화합물, 화학식 (B)로 표시되는 화합물 및 화학식 (C)로 표시되는 화합물로 중합된 중합체; 화학식 (B)로 표시되는 화합물 및 화학식 (D)로 표시되는 화합물로 중합된 중합체; 산발생제로서 p-시클로헥실페닐 디페닐술포늄 퍼플루오로부탄술포네이트; 및 용매를 함유하며, 특허 문헌 공보 제WO 2007/116664호에 기재되어 있다.
Figure pat00001
제WO 2007/116664호
그러나, 통상의 레지스트 조성물로는, 레지스트 패턴의 제조시 포커스 마진 (DOF)이 항상 만족할만한 것은 아니고, 얻어지는 레지스트 패턴의 마스크 결함 지수 (MEF)가 항상 만족할만한 것은 아니며, 레지스트 조성물로부터 제조된 레지스트 패턴의 결함 수가 상당히 증가하는 경우가 있다.
본 발명은 하기의 발명을 제공한다.
<1> 하기 화학식 (a)로 표시되는 화합물로부터 유도되는 구조 단위를 갖는 수지; 및
산발생제
를 포함하는 레지스트 조성물.
Figure pat00002
[식 중, R1은 수소 원자 또는 메틸기를 나타내고;
R2는 치환될 수도 있는 C1 내지 C18의 지방족 탄화수소기를 나타내고;
A1은 치환될 수도 있는 C1 내지 C6의 알칸디일기 또는 하기 화학식 (a-g1)로 표시되는 기를 나타냄]
Figure pat00003
[식 중, s는 0 또는 1을 나타내고;
A10 및 A12는 독립적으로 치환될 수도 있는 C1 내지 C5의 지방족 탄화수소기를 나타내고;
A11은 단일 결합 또는 치환될 수도 있는 C1 내지 C5의 지방족 탄화수소기를 나타내고;
X10 및 X11은 독립적으로 산소 원자, 카르보닐기, 카르보닐옥시기 또는 옥시카르보닐기를 나타내되;
단, A10, A11, A12, X10 및 X11의 총 탄소수는 6 이하임]
<2> 상기 <1>에 있어서, 용매를 더 포함하는 레지스트 조성물.
<3> (1) 상기 <1>에 기재된 레지스트 조성물을 기판 상에 도포하는 단계;
(2) 도포한 조성물을 건조하여 조성물층을 형성하는 단계;
(3) 노광 장치를 사용하여 조성물층을 노광하는 단계;
(4) 노광된 조성물층을 가열하는 단계; 및
(5) 현상 장치를 사용하여 가열된 조성물층을 현상하는 단계
를 포함하는 레지스트 패턴의 제조 방법.
또한, 본 발명은 하기의 발명을 제공한다.
<4> 상기 <1> 또는 <2>에 있어서, 산발생제가 하기 화학식 (B1)로 표시되는 염인 레지스트 조성물.
Figure pat00004
[식 중, Q1 및 Q2는 독립적으로 불소 원자 또는 C1 내지 C6의 퍼플루오로알킬기를 나타내고;
Lb1은 치환될 수도 있는 C1 내지 C17의 2가의 지방족 탄화수소기를 나타내고, 지방족 탄화수소기 중 함유된 -CH2-는 -O- 또는 -CO-로 치환될 수 있고;
Y는 치환될 수도 있는 C1 내지 C18의 지방족 탄화수소기를 나타내고, 지방족 탄화수소기 중 함유된 -CH2-는 -O-, -CO- 또는 -SO2-로 치환될 수 있고;
Z+는 유기 양이온을 나타냄]
<5> 상기 <1>, <2> 및 <4> 중 어느 하나에 있어서, 화합물 (a) 중의 A1이 C1 내지 C6의 알칸디일기인 레지스트 조성물.
<6> 상기 <1>, <2>, <4> 및 <5> 중 어느 하나에 있어서, 화합물 (a) 중의 A1이 에틸렌기인 레지스트 조성물.
<7> 상기 <1>, <2> 및 <4> 내지 <6> 중 어느 하나에 있어서, 화합물 (a) 중의 R2가 할로겐 원자를 갖는 지방족 탄화수소기인 레지스트 조성물.
<8> 상기 <1>, <2> 및 <4> 내지 <6> 중 어느 하나에 있어서, 화합물 (a) 중의 R2가 C1 내지 C3의 퍼플루오로알킬기인 레지스트 조성물.
<9> 상기 <1>, <2> 및 <4> 내지 <7> 중 어느 하나에 있어서, 화합물 (a) 중의 R2가 하기 화학식 (a-g2)로 표시되는 기인 레지스트 조성물.
Figure pat00005
[식 중, A13은 할로겐 원자를 가질 수도 있는 C3 내지 C17의 지방족 탄화수소기를 나타내고;
X12는 카르보닐옥시기 또는 옥시카르보닐기를 나타내고;
A14는 할로겐 원자를 가질 수도 있는 C3 내지 C17의 지방족 탄화수소기를 나타내되;
단, A13, A14 및 X12의 총 탄소수는 18 이하임]
<10> 상기 <9>에 있어서, 화학식 (a-g2) 중 A13이 할로겐 원자를 갖는 지방족 탄화수소기이거나, A14가 할로겐 원자를 갖는 지방족 탄화수소기인 레지스트 조성물.
<11> 상기 <9> 또는 <10>에 있어서, 화학식 (a-g2) 중 A14가 할로겐 원자를 가질 수도 있는 지환식 탄화수소기인 레지스트 조성물.
<12> 상기 상기 <1>, <2> 및 <4> 내지 <11> 중 어느 하나에 있어서, 화합물 (a) 중의 R2가 하기의 기인 레지스트 조성물.
Figure pat00006
<13> 상기 <1>, <2> 및 <4> 내지 <12> 중 어느 하나에 있어서, Y가 치환될 수도 있는 C1 내지 C18의 지환식 탄화수소기인 레지스트 조성물.
<14> 하기 화학식 (a')로 표시되는 화합물.
Figure pat00007
[식 중, R1은 수소 원자 또는 메틸기를 나타내고;
A1은 치환될 수도 있는 C1 내지 C6의 알칸디일기 또는 하기 화학식 (a-g1)로 표시되는 기를 나타내고;
A13은 할로겐 원자를 가질 수도 있는 C3 내지 C17의 지방족 탄화수소기를 나타내고;
X12는 카르보닐옥시기 또는 옥시카르보닐기를 나타내고;
A14는 할로겐 원자를 가질 수도 있는 C3 내지 C17의 지방족 탄화수소기를 나타내되;
단, A13 및 A14의 총 탄소수는 17 이하임]
Figure pat00008
[식 중, s는 0 또는 1을 나타내고;
A10 및 A12는 독립적으로 치환될 수도 있는 C1 내지 C5의 지방족 탄화수소기를 나타내고;
A11은 단일 결합 또는 치환될 수도 있는 C1 내지 C5의 지방족 탄화수소기를 나타내고;
X10 및 X11은 독립적으로 산소 원자, 카르보닐기, 카르보닐옥시기 또는 옥시카르보닐기를 나타내되;
단, A10, A11, A12, X10 및 X11의 총 탄소수는 6 이하임]
<15> 상기 <14>에 있어서, 화학식 (a') 중 A13이 할로겐 원자를 갖는 지방족 탄화수소기인 화합물.
<16> 상기 <14> 또는 <15>에 있어서, 화학식 (a') 중 A14가 할로겐 원자를 가질 수도 있는 지환식 탄화수소기인 화합물.
<17> 상기 <14>에 있어서, 화학식 (a') 중 화학식 *-A13-X12-A14로 표시되는 구조가 하기의 기인 화합물.
Figure pat00009
(*는 카르보닐기에 대한 결합을 나타냄)
<18> 상기 <14> 내지 <17>에 기재된 화합물로부터 유도되는 구조 단위를 갖는 수지.
본 발명의 레지스트 조성물에 따르면, 레지스트 패턴의 제조시 우수한 DOF (넓은 DOF) 및 우수한 MEF를 가지며 패턴에 결함이 거의 없는 레지스트 패턴을 제조할 수 있다.
<레지스트 조성물>
본 발명의 레지스트 조성물은
수지 (이하 "수지 (A)"로 칭함), 및
산발생제 (이하 "산발생제 (B)"로 칭함)
를 포함한다.
또한, 레지스트 조성물은 이 기술 분야에서 켄처로서 공지되어 있는 염기성 화합물과 같은 첨가제 및 용매를 필요에 따라 포함할 수 있다.
<수지 (A)>
수지 (A)는 하기 화학식 (a)로 표시되는 화합물 (이하 "화합물 (a)"로 칭함)로부터 유도되는 구조 단위를 갖는다.
<화합물 (a)>
Figure pat00010
식 중, R1은 수소 원자 또는 메틸기를 나타내고;
R2는 치환될 수도 있는 C1 내지 C18의 지방족 탄화수소기를 나타내고;
A1은 치환될 수도 있는 C1 내지 C6의 알칸디일기 또는 하기 화학식 (a-g1)로 표시되는 기 (이하 "기(a-g1)"로 칭함)를 나타낸다.
Figure pat00011
식 중, s는 0 또는 1을 나타내고;
A10 및 A12는 독립적으로 치환될 수도 있는 C1 내지 C5의 지방족 탄화수소기를 나타내고;
A11은 단일 결합 또는 치환될 수도 있는 C1 내지 C5의 지방족 탄화수소기를 나타내고;
X10 및 X11은 독립적으로 산소 원자, 카르보닐기, 카르보닐옥시기 또는 옥시카르보닐기를 나타내되;
단, A10, A11, A12, X10 및 X11의 총 탄소수는 6 이하이다.
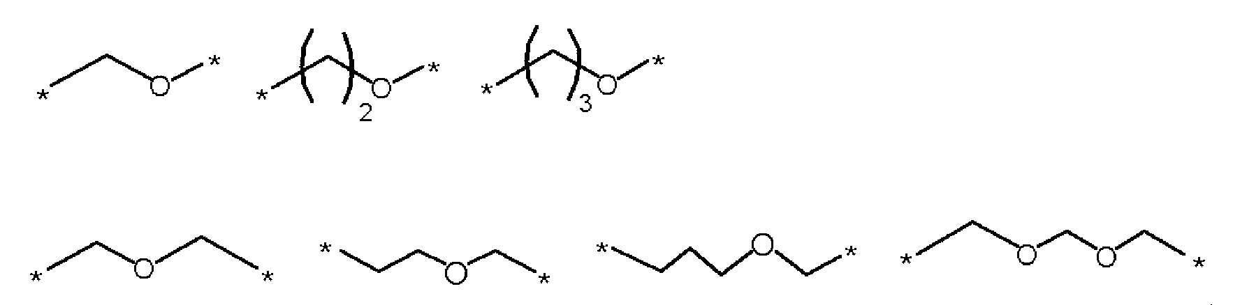
A1의 알칸디일기는 직쇄 또는 분지쇄 알칸디일기일 수 있다. 알칸디일기의 예로는, 메틸렌, 에틸렌, 프로판-1,3-디일, 프로판-1,2-디일, 부탄-1,4-디일, 펜탄-1,5-디일, 펜탄-1,4-디일, 헥산-1,6-디일 및 헥산-1,5-디일과 같은 직쇄 알칸디일기; 1-메틸-1,3-프로필렌, 2-메틸-1,3-프로필렌, 2-메틸-1,2-프로필렌, 1-메틸-1,4-부틸렌 및 2-메틸-1,4-부틸렌기와 같은 분지쇄 알칸디일기를 들 수 있다.
알칸디일기의 치환기의 예로는 히드록시기 및 C1 내지 C6의 알콕시기를 들 수 있다.
산소 원자를 함유하는 기 (a-g1)의 예로는 하기의 것을 들 수 있다. 하기 화학식에서, 상기 기는 화학식 (a)의 2개의 측기와 부합하도록 나타내는데, 즉 기의 왼쪽은 R1 측의 -O-에 결합하고, 기의 오른쪽은 R2 측의 -O-에 결합하며, *는 결합을 나타낸다.
Figure pat00012
카르보닐기를 함유하는 기 (a-g1)의 예로는 하기의 것을 들 수 있다.
Figure pat00013
카르보닐옥시기를 함유하는 기 (a-g1)의 예로는 하기의 것을 들 수 있다.
Figure pat00014
옥시카르보닐기를 함유하는 기 (a-g1)의 예로는 하기의 것을 들 수 있다.
Figure pat00015
이들 중, A1은 바람직하게는 알칸디일기, 더 바람직하게는 비치환된 알칸디일기, 더욱 바람직하게는 C1 내지 C4의 알칸디일기, 더욱더 바람직하게는 에틸렌기이다.
R2의 지방족 탄화수소기는 탄소-탄소 이중 결합을 포함할 수 있으나, 포화 지방족 탄화수소기가 바람직하다. R2의 포화 지방족 탄화수소기는 직쇄 또는 분지쇄 알킬기, 지환식 탄화수소기, 및 이들 조합의 기일 수 있다.
알킬기의 예로는 메틸, 에틸, 프로필, 부틸, 펜틸, 헥실, 헵틸 및 옥틸기를 들 수 있다.
지환식 탄화수소기의 예로는 단환식 탄화수소기, 즉 시클로알킬기, 예를 들면 시클로펜틸, 시클로헥실, 메틸시클로헥실, 디메틸시클로헥실, 시클로헵틸 및 시클로옥틸기; 및 다환식 탄화수소기, 예를 들면 데카히드로나프틸, 아다만틸, 노르보르닐 (즉, 비시클로[2.2.1]헥실) 및 메틸 노르보르닐기, 및 또한 하기의 기를 들 수 있다.
Figure pat00016
R2는 치환된 또는 비치환된 지방족 탄화수소기, 바람직하게는 치환된 지방족 탄화수소기일 수 있다.
R2의 치환기의 예로는 바람직하게는 할로겐 원자 또는 하기 화학식 (a-g3)으로 표시되는 기 (이하 "기 (a-g3)"으로 칭함)를 들 수 있다.
Figure pat00017
식 중, X12'는 산소 원자, 카르보닐기, 카르보닐옥시기 또는 옥시카르보닐기를 나타내고;
A14는 할로겐 원자를 가질 수도 있는 C3 내지 C17의 지방족 탄화수소기를 나타낸다.
R2의 할로겐 원자를 갖는 지방족 탄화수소기의 예로는 할로겐 원자로 치환된 알킬기 및 할로겐 원자로 치환된 지환식 탄화수소기 (바람직하게는 할로겐 원자로 치환된 시클로알킬기)를 들 수 있다.
할로겐 원자의 예로는 불소, 염소, 브롬 및 요오드 원자를 들 수 있다. 이들 중, 불소 원자가 바람직하다.
알킬기를 구성하는 모든 수소 원자가 할로겐 원자로 치환된 퍼플루오로알킬기, 시클로알킬기를 구성하는 모든 수소 원자가 할로겐 원자로 치환된 퍼플루오로시클로알킬기가 R2의 할로겐 원자를 갖는 지방족 탄화수소기로서 바람직하다. 이들 중, 퍼플루오로알킬기가 더 바람직하고, C1 내지 C6의 퍼플루오로알킬기가 더욱 바람직하고, C1 내지 C3의 퍼플루오로알킬기가 더욱더 바람직하다.
퍼플루오로알킬기의 예로는 트리플루오로메틸, 퍼플루오로에틸, 퍼플루오로프로필, 퍼플루오로부틸, 퍼플루오로펜틸, 퍼플루오로헥실, 퍼플루오로헵틸 및 퍼플루오로옥틸기를 들 수 있다.
X12'는 바람직하게는 카르보닐옥시기 또는 옥시카르보닐기이다.
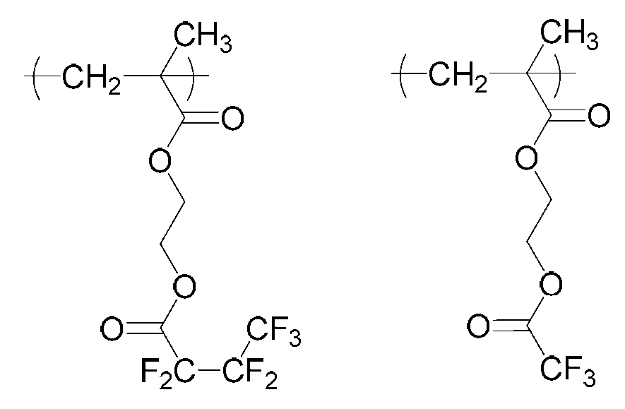
R2가 불소 원자로 치환된 지방족 탄화수소기이고 A1이 에틸렌기인 화합물 (a)의 예로는, 하기 화학식 (a1) 내지 화학식 (a22)로 표시되는 화합물을 들 수 있다.
Figure pat00018
R2가 퍼플루오로알킬기 또는 퍼플루오로시클로알킬기인 화합물 (a)는 화학식 (a3), (a4), (a7), (a8), (a11), (a12), (a15), (a16), (a19), (a20), (a21) 및 (a22)로 표시되는 화합물에 해당된다.
R2의 지방족 탄화수소기가 기 (a-g3)으로 치환되는 경우, 기 (a-g3)의 개수는 하나 이상일 수 있다. 임의의 경우, 기 (a-g3)으로 치환된 R2의 총 탄소수는 바람직하게는 15 이하, 더 바람직하게는 12 이하이다. 따라서, 하나의 기 (a-g3)으로 치환된 R2가 바람직하다.
따라서, R2는 바람직하게는 하기 화학식 (a-g2)로 표시되는 기 (이하 "기 (a-g2)"로 칭함)이다.
Figure pat00019
식 중, A13은 할로겐 원자를 가질 수도 있는 C3 내지 C17의 지방족 탄화수소기를 나타내고;
X12는 카르보닐옥시기 또는 옥시카르보닐기를 나타내고;
A14는 할로겐 원자를 가질 수도 있는 C3 내지 C17의 지방족 탄화수소기를 나타내되;
단, A13, A14 및 X12의 총 탄소수는 18 이하이다.
기 (a-g2)의 바람직한 예로는 하기의 기를 들 수 있다. *는 카르보닐기에 대한 결합을 나타낸다.
Figure pat00020
Figure pat00021
R2가 하나의 기 (a-g3)으로 치환된 지방족 탄화수소기, 즉 R2가 기 (a-g2)인 화합물 (a)는, 하기 화학식 (a')로 표시되며, 이하 "화합물 (a')"로 칭한다.
Figure pat00022
식 중, A13은 할로겐 원자를 가질 수도 있는 C3 내지 C17의 지방족 탄화수소기를 나타내고;
X12는 카르보닐옥시기 또는 옥시카르보닐기를 나타내고;
A14는 할로겐 원자를 가질 수도 있는 C3 내지 C17의 지방족 탄화수소기를 나타내되;
단, A13 및 A14의 총 탄소수는 17 이하이고;
A1 및 R1은 상기 정의된 바와 동일하다.
화합물 (a')는 본 발명의 레지스트 조성물의 수지 (A)의 제조용 원료로서 유용하며 신규한 것이다. 따라서, 본 발명은 화합물 (a')에 관한 발명을 포함한다.
화합물 (a')에서, A13 및 A14는 둘 모두 할로겐 원자를 갖는 기일 수 있으나, 하나의 기만이 할로겐 원자를 갖는 지방족 탄화수소기인 것이 바람직하다. 이들 중, A13만이 할로겐 원자를 갖는 기인 것이 바람직한데, 특히 A13이 불소 원자를 갖는 알칸디일기인 것이 더 바람직하고, A13이 퍼플루오로알칸디일기인 것이 더욱 바람직하다.
R2가 퍼플루오로알칸디일기이고 A1이 에틸렌기인 화합물 (a')의 예로는, 하기 화학식 (a'1) 내지 화학식 (a'46)으로 표시되는 화합물을 들 수 있다.
Figure pat00023
Figure pat00024
이들 중, 화학식 (a'7) 내지 화학식 (a'42)로 표시되는 화합물이 바람직하다.
A13 및 A14의 총 탄소수는 17 이하에서 임의로 선택될 수 있으며, A13의 탄소수는 바람직하게는 1 내지 6, 더 바람직하게는 1 내지 3이고, A14의 탄소수는 바람직하게는 4 내지 15, 더 바람직하게는 5 내지 12이다. 이들 중, A14는 바람직하게는 C6 내지 C12의 지환식 탄화수소기, 더 바람직하게는 시클로헥실 또는 아다만틸기이다.
화합물 (a)는 하기 (1) 내지 (3)에 기재된 방법으로 제조할 수 있다.
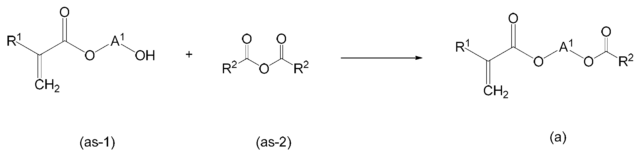
(1) 화학식 (a)로 표시되는 화합물은 염기성 촉매의 존재하에 화학식 (as-1)로 표시되는 화합물 및 화학식 (as-2)로 표시되는 화합물을 반응시킴으로써 얻을 수 있다.
Figure pat00025
식 중, R1, R2 및 A1은 상기 정의된 바와 동일한 의미를 갖는다.
상기 반응은 통상적으로 용매 중에서 수행된다. 염기성 촉매의 예로는 바람직하게는 피리딘을 들 수 있다. 용매의 예로는 바람직하게는 테트라히드로푸란을 들 수 있다.
화학식 (as-1)로 표시되는 화합물로서, 시판되는 제품 또는 공지된 방법에 따라 제조된 제품을 사용할 수 있다.
공지된 방법은, 예를 들면 (메트)아크릴산 또는 유도체 (예를 들면, (메트)아크릴산 클로라이드)를 적절한 디올 (HO-A1-OH)과 축합시키는 방법이다. 시판되는 제품의 예로는 히드록시에틸메타크릴레이트 및 히드록시부틸메타크릴레이트를 들 수 있다.
화학식 (as-2)로 표시되는 화합물로서는, R2의 종류에 상응하는 카르복실산으로부터 산 무수물로 변환되는 화합물을 사용할 수 있다. 시판되는 제품의 예로는 헵타플루오로이소부티르산 무수물을 들 수 있다.
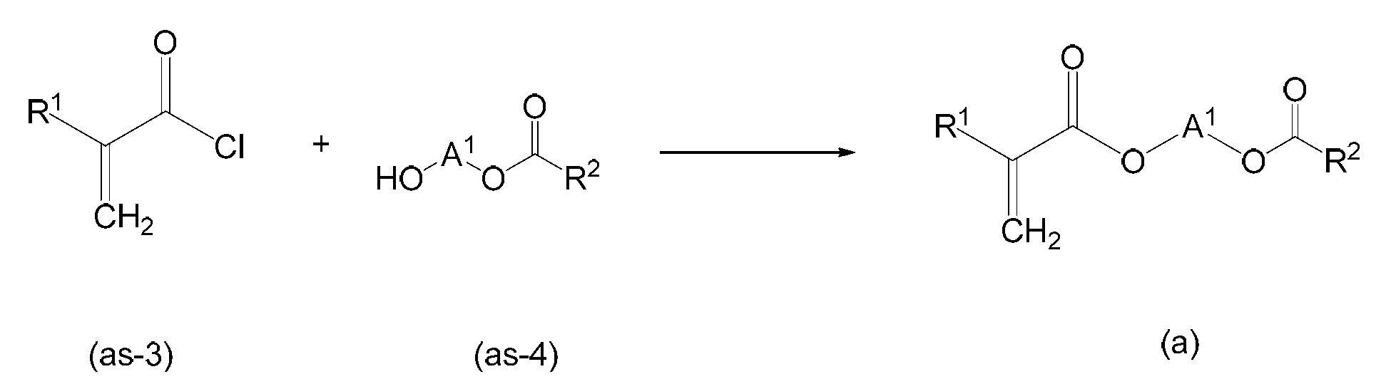
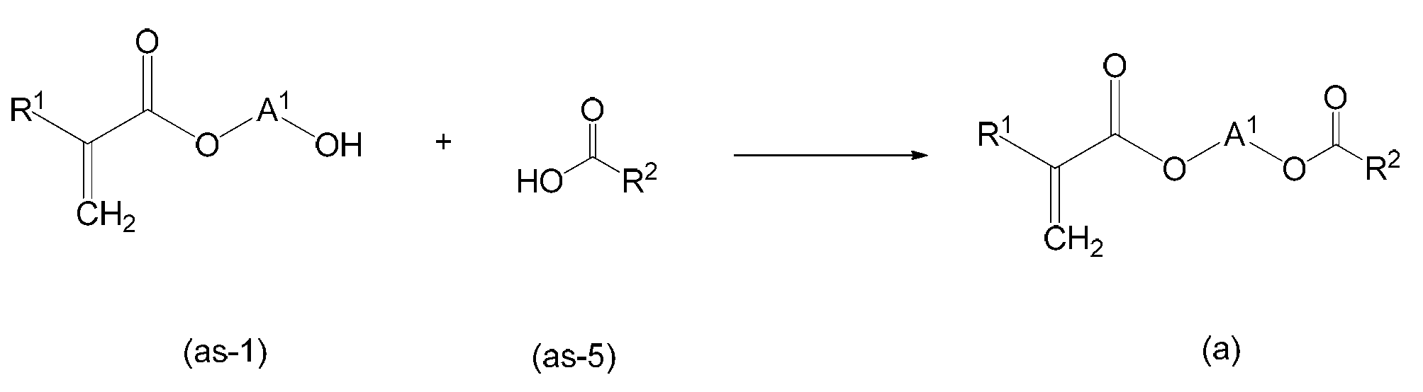
(2) 화합물 (a)는 하기 반응식에 기재된 방법으로 제조할 수 있다.
Figure pat00026
화학식 (a)로 표시되는 화합물은 용매의 존재하에 또는 부재하에 화학식 (as-3)으로 표시되는 화합물 및 화학식 (as-4)로 표시되는 화합물을 반응시킴으로써 얻을 수 있다. 상기 반응시에 탈산제 (예를 들면, 탄산나트륨)를 공존시킬 수도 있다. 용매의 예로는 바람직하게는 테트라히드로푸란, 메틸이소부틸케톤 및 톨루엔을 들 수 있다.
화학식 (as-3)으로 표시되는 화합물은 (메트)아크릴 클로라이드이며, 이는 시판되는 제품이다. 별법으로, 염소 원자가 브롬 또는 요오드 원자로 치환된 화학식 (as-3)으로 표시되는 화합물이, 화학식 (as-3)으로 표시되는 화합물 대신에 사용될 수 있다. 염소 원자가 브롬 또는 요오드 원자로 치환된 화학식 (as-3)으로 표시되는 화합물은 (메트)아크릴산 및 브롬화제 또는 요오드화제를 반응시킴으로써 제조할 수 있다.
화학식 (as-4)로 표시되는 화합물은, R2의 종류에 상응하는 카르복실산 (예를 들면, R2-COOH) 또는 유도체 (예를 들면, R2-COCl)과 적절한 디올 (HO-A1-OH)의 축합에 의해 제조할 수 있다.
(3) 화합물 (a)는 하기 반응식에 기재된 방법으로 제조할 수 있다.
Figure pat00027
화학식 (a)로 표시되는 화합물은 화학식 (as-1)로 표시되는 화합물 및 화학식 (as-5)로 표시되는 화합물을 반응시킴으로써 얻을 수 있다.
화학식 (as-1)로 표시되는 화합물의 예로는 상기 정의된 바와 동일한 것을 들 수 있다.
화학식 (as-5)로 표시되는 카르복실산은 R2의 종류에 상응하며 공지된 방법에 따라 제조할 수 있다. 화학식 (a')로 표시되는 화합물을 제조하는 경우, 하기 화합물을 사용할 수 있다.
Figure pat00028
Figure pat00029
화학식 (as-1)로 표시되는 화합물 및 화학식 (as-5)로 표시되는 카르복실산의 반응은 통상적으로 용매 중에서 수행된다. 용매의 예로는 바람직하게는 테트라히드로푸란 및 톨루엔을 들 수 있다. 상기 반응시에 공지된 에스테르화제 (예를 들면, 산 촉매 및 카르보디이미드 촉매)를 공존시킨다.
수지 (A) 중 화합물 (a)로부터 유도되는 구조 단위의 분율은 수지 (A)를 구성하는 총 구조 단위 (100 몰%)에 대하여 일반적으로 1 내지 100 몰%, 바람직하게는 5 내지 95 몰%, 더 바람직하게는 10 내지 90 몰%이다.
수지 (A) 중 화합물 (a)로부터 유도되는 구조 단위의 분율을 상기 범위 내로 달성하기 위해, 사용된 화합물 (a)의 양을 수지 (A)의 제조시에 사용된 단량체의 총량에 대하여 조정할 수 있다 (이하 상응하는 분율 조정에 대해서도 동일하게 적용됨). 화합물 (a)는 수지 (A)의 제조시에 단독 화합물로 또는 2종 이상의 화합물의 조합으로 사용될 수 있다.
본 발명의 레지스트 조성물은 바람직하게는 수지 및 산발생제 (B)의 상승 효과를 통해 레지스트 패턴을 형성할 수 있는 레지스트 조성물이다. 따라서, 수지 (A)는 바람직하게는 알칼리 수용액에 불용성 또는 난용성이며, 산의 작용에 의해 알칼리 수용액에 가용성이 되는 수지로 변환될 수 있는 특성을 갖는다. 상기 특성을 갖고 화합물 (a)로부터 유도되는 구조 단위를 갖는 이러한 수지를 이하 "수지 (AA)"로 칭한다.
여기서 "산의 작용에 의해 알칼리 수용액에 가용성이 되는 수지로 변환될 수 있는"은 산과 접촉하기 전에는 알칼리 수용액에 불용성 또는 난용성이지만 산과 접촉한 후에는 알칼리 수용액에 가용성이 되는 수지를 의미한다.
따라서 수지 (AA)는 적어도 일부가 산의 작용에 의해 제거될 수 있는 보호기로 보호되어 있는 친수성 기를 함유하고, 바람직하게는 모든 친수성 기가 보호기로 보호되어 있다. 이러한 보호기는 산의 작용에 의해 탈보호되어, 수지 (AA)는 알칼리 수용액에 가용성인 수지로 변환될 것이다. 이하 보호기로 보호된 친수성 기는 "산불안정기 (acid-labile group)"라고도 칭한다. 산불안정기의 예로는 히드록시기 및 카르복시기를 들 수 있고, 카르복시기가 바람직하다. 즉, "산불안정기"는 제거기 (즉, 보호기)가 산과의 접촉으로 분리되어 카르복시기 또는 히드록시기와 같은 친수성 기를 갖게 되는 기를 의미한다. 수지 (AA)는 화합물 (a)와 산불안정기를 갖는 단량체를 중합함으로써 제조할 수 있다.
본 발명의 레지스트 조성물에서, 레지스트 (A) 자체는 항상 상기 특성을 갖는 것은 아니다. 화합물 (a)로부터 유도되는 구조 단위를 갖지만 상기 특성을 갖지 않는 이러한 수지를 이하 "수지 (AB)"로 칭한다.
수지 (AA) 및/또는 수지 (AB)를 레지스트 조성물 중에 포함함으로써, 레지스트 패턴 형성시에 조성물은 마스크 결함 지수 (MEF)가 우수하고 포커스 마진 (DOF)이 넓고, 결함이 거의 없는 레지스트 패턴을 레지스트 조성물로부터 형성할 수 있다.
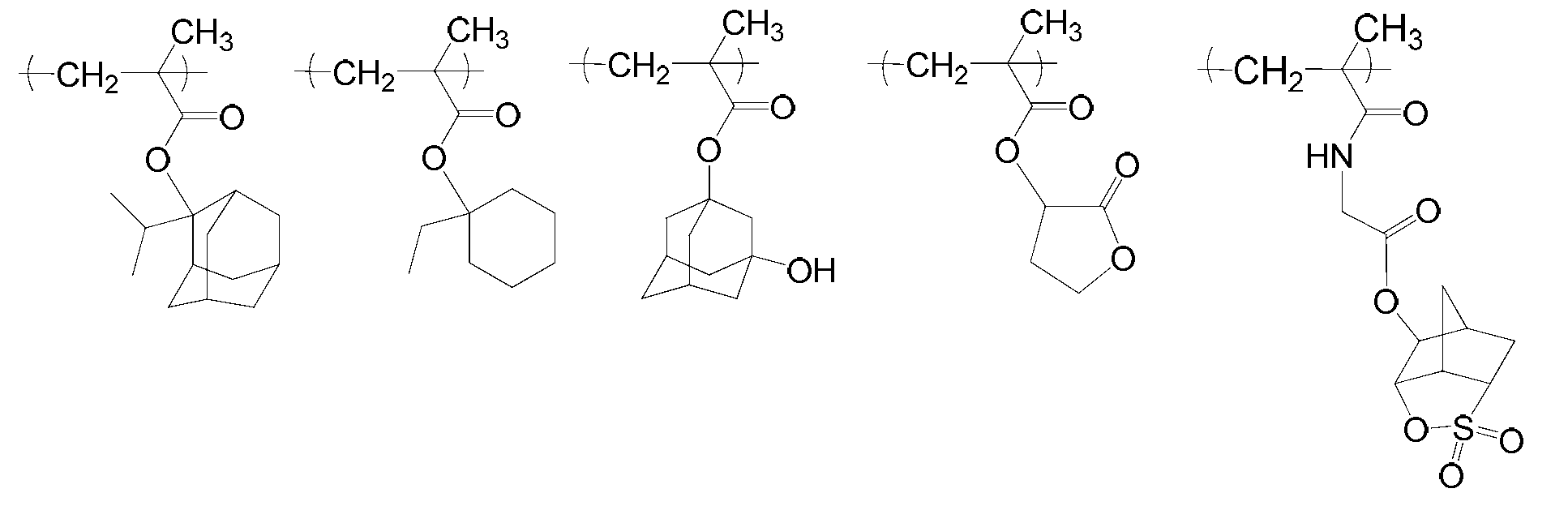
수지 (A)는 바람직하게는 하기 단량체 또는 공지된 단량체로부터 유도되는 구조 단위를 갖는 것이다.
본 명세서에서, 하기 예시된 임의의 기는, 다르게 기재하지 않는 한, 탄소수를 경우에 따라 선택하여, 유사한 기를 갖는 임의의 화학식에 적용가능하다. 기가 직쇄 또는 분지쇄 및/또는 환상의 구조가 가능한 경우, 다르게 기재하지 않는 한, 모든 구조가 포함될 수 있으며 하나의 기에 동시에 존재할 수 있다. 입체이성체 형태가 있는 경우, 모든 입체이성체 형태가 포함된다. 각각의 기는 결합된 위치 및 결합 형태에 따라서 1가, 2가 또는 다가의 기일 수 있다.
탄화수소기로는 지방족 탄화수소기 및 방향족기를 들 수 있다. 지방족 탄화수소기로는 쇄상 지방족 탄화수소기, 지환식 탄화수소기 및 그의 조합을 들 수 있다. 지방족 탄화수소기는 탄소-탄소 이중 결합을 포함할 수 있으나, 포화 지방족 탄화수소기가 바람직하다.
1가의 쇄상 지방족 탄화수소기의 예로는, 메틸, 에틸, 프로필, 부틸, 펜틸, 헥실, 헵틸, 옥틸, 데실, 도데실, 헥실데실, 펜타데실, 헥사데실, 헵타데실 및 옥타데실기를 들 수 있다. 지방족 탄화수소기는 직쇄 및 분지쇄 지방족 탄화수소기 중 임의의 것일 수 있다.
2가의 쇄상 지방족 탄화수소기의 예로는, 1가의 쇄상 지방족 탄화수소기로부터 하나의 수소 원자가 제거된 기를 들 수 있다.
환식 지방족 탄화수소기로는, 단환식 또는 다환식 지방족 탄화수소기 중 하나일 수 있다. 환식 지방족 탄화수소기는 이하 "지환식 탄화수소기"로 칭한다.
1가의 지환식 탄화수소기의 예로는, 지환식 탄화수소로부터 하나의 수소 원자가 제거된 기를 들 수 있다. 2가의 지환식 탄화수소기의 예로는, 지환식 탄화수소기로부터 2개의 수소 원자가 제거된 기를 들 수 있다.
지환식 탄화수소의 예로는, 통상 하기의 시클로알칸을 들 수 있다.
Figure pat00030
방향족 탄화수소기의 예로는, 통상 페닐, 나프틸, 안트릴, 비페닐, 페난트릴 및 플루오레닐기와 같은 아릴기를 들 수 있다.
지방족 탄화수소기 및 방향족 탄화수소기는 치환기로 치환될 수 있다.
지방족 탄화수소기의 치환기의 통상적인 예로는, 할로겐 원자, 알콕시기, 알킬티오기, 아실기, 아릴기, 아랄킬기 및 아릴옥시기를 들 수 있다.
방향족 탄화수소기의 치환기의 통상적인 예로는, 할로겐 원자, 알콕시기, 알킬티오기, 아실기, 알킬기 및 아릴옥시기를 들 수 있다.
할로겐 원자의 예로는 불소, 염소, 브롬 및 요오드 원자를 들 수 있다.
알콕시기의 예로는, 메톡시, 에톡시, 프로폭시, 부톡시, 펜틸옥시, 헥실옥시, 헵틸옥시, 옥틸옥시, 데실옥시 및 도데실옥시기를 들 수 있다. 알콕시기는 직쇄 및 분지쇄 알콕시기 중 하나일 수 있다.
알킬티오기의 예로는, 알콕시기 중 산소 원자가 황 원자로 치환된 기를 들 수 있다.
아실기의 예로는, 아세틸, 프로피오닐, 부티릴, 발레릴, 헥실카르보닐, 헵틸카르보닐, 옥틸카르보닐, 데실카르보닐 및 도데실카르보닐기와 같이 알킬기에 카르보닐기가 결합된 기, 및 아릴기에 카르보닐기가 결합된 기를 들 수 있다. 아실기 중 알킬기는 직쇄 및 분지쇄 알킬기 중 하나일 수 있다.
아릴옥시기의 예로는, 산소 원자가 아릴기에 결합된 기를 들 수 있다.
아랄킬기의 예로는, 벤질, 페네틸, 페닐프로필, 나프틸메틸 및 나프틸에틸기를 들 수 있다.
아릴기 및 알킬기의 예로는 상기 정의된 바와 동일한 것을 들 수 있다.
"(메트)아크릴 단량체"는 "CH2=CH-CO-" 또는 "CH2=C(CH3)-CO-"의 구조를 갖는 적어도 하나의 단량체를 의미하며, "(메트)아크릴레이트" 및 "(메트)아크릴산"은 "적어도 하나의 아크릴레이트 또는 메타크릴레이트" 및 "적어도 하나의 아크릴산 또는 메타크릴산"을 각각 의미한다.
<단량체 (a1)>
산불안정기를 갖는 단량체는 이하 "단량체 (a1)"로 칭한다. 친수성기가 카르복시기인 경우 산불안정기의 예로는, 카르복시기 (즉, -COOH)의 수소 원자를 유기기로 치환하고 카르복시기의 -O-에 결합한 유기기의 원자가 3급 탄소 원자인 기를 들 수 있다.
이와 같은 산불안정기 중, 그의 바람직한 예로는, 하기 화학식 (1)로 표시되는 기를 들 수 있다. 이하, 화학식 (1)로 표시되는 기는 "산불안정기 (1)"로 칭한다.
Figure pat00031
식 중, Ra1 내지 Ra3은 독립적으로 C1 내지 C8의 지방족 탄화수소기를 나타내거나, Ra1 및 Ra2는 Ra1 및 Ra2에 결합된 탄소 원자와 함께 결합하여 C3 내지 C20의 환을 형성할 수 있고, 지방족 탄화수소기 또는 환 중 함유된 적어도 하나의 -CH2-는 -O-, -S- 또는 -CO-로 치환될 수 있으며, *는 결합을 나타낸다.
Ra1 내지 Ra3의 지방족 탄화수소기의 예로는 알킬기 및 지환식 탄화수소기를 들 수 있다.
알킬기의 예로는 메틸, 에틸, n-프로필, 이소-프로필, n-부틸, sec-부틸, tert-부틸, 이소-부틸, n-펜틸, 이소-펜틸, tert-펜틸, 네오-펜틸, 1-메틸부틸, 2-메틸부틸, n-헥실, 1-메틸펜틸, 1,2-디메틸프로필 및 1-에틸프로필기를 들 수 있다. 이들 중, 알킬기가 1 내지 8의 탄소수를 갖는 것이 바람직하다.
지환식 탄화수소기의 예로는 시클로프로필, 시클로부틸, 시클로펜틸, 시클로헥실, 시클로헵틸, 시클로옥틸기와 같은 단환식 또는 다환식 포화 탄화수소기; 및 데카히드로나프틸, 아다만틸, 노르보르닐 (즉, 비시클로[2.2.1]헥실) 및 메틸 노르보르닐기, 및 또한 하기의 기와 같은 다환식 탄화수소기를 들 수 있다.
Figure pat00032
Ra1 및 Ra2가 함께 결합하여 환을 형성하는 경우, 기 -C(Ra1)(Ra2)(Ra3)의 예로는 하기의 기를 들 수 있다.
Figure pat00033
환은 탄소수 3 내지 12가 바람직하다.
산불안정기의 구체적인 예로는, 예를 들면 이하의 것을 들 수 있다:
1,1-디알킬알콕시카르보닐기 (화학식 (1) 중, Ra1 내지 Ra3이 알킬기, 바람직하게는 tert-부톡시카르보닐기인 기),
2-알킬아다만탄-2-일옥시카르보닐기 (화학식 (1) 중, Ra1, Ra2 및 탄소 원자가 아다만틸기를 형성하고, Ra3이 알킬기인 기), 및
1-(아다만틴-1-일)-1-알킬알콕시카르보닐기 (화학식 (1) 중, Ra1 및 Ra2가 알킬기이고, Ra3이 아다만틸기인 기).
친수성기가 히드록시기인 산불안정기의 예로는 히드록시기의 수소 원자가 유기기로 치환되어 아세탈 구조를 갖게 되는 기를 들 수 있다. 이러한 산불안정기 중, 그의 바람직한 예로는 하기 화학식 (2)로 표시되는 기가 있다. 이하 화학식 (2)로 표시되는 기는 "산불안정기 (2)"로 칭한다.
Figure pat00034
식 중, Rb1 및 Rb2는 독립적으로 수소 원자 또는 C1 내지 C12의 탄화수소기를 나타내고, Rb3는 C1 내지 C20의 탄화수소기를 나타내거나, 또는 Rb2 및 Rb3는 Rb2 및 Rb3에 결합된 탄소 원자 및 산소 원자와 함께 결합하여 C3 내지 C20의 환을 각각 형성할 수 있다. 탄화수소기 및 환 중 함유된 하나 이상의 -CH2-는 -O-, -S- 또는 -CO-로 치환될 수 있고, *는 결합을 나타낸다.
Rb1 내지 Rb3의 탄화수소기로는 지방족 탄화수소기 및 방향족 탄화수소기 중 임의의 것을 들 수 있다.
지방족 탄화수소기의 예로서는 상기 기재된 예와 동일한 것을 들 수 있다.
방향족 탄화수소기의 예로는, 페닐, 나프틸, p-메틸페닐, p-tert-부틸페닐, p-아다만틸페닐, 톨릴, 크실릴, 쿠메닐, 메시틸, 비페닐, 안트릴, 페난트릴, 2,6-디에틸페닐 및 2-메틸-6-에틸페닐기와 같은 아릴기를 들 수 있다.
Rb2 및 Rb3와 결합하여 형성되는 환의 예로는, Ra1 및 Ra2와 결합하여 형성되는 환과 동일한 것을 들 수 있다.
Rb1 및 Rb2 중 적어도 하나는 바람직하게는 수소 원자이다.
산불안정기 (2)의 구체예로는 하기의 기를 들 수 있다.
Figure pat00035
산불안정기를 갖는 단량체 (a1)로는 바람직하게는 산불안정기 및 탄소-탄소 이중 결합을 갖는 단량체, 예를 들면 산불안정기 (1) 및/또는 산불안정기 (2) 및 탄소-탄소 이중 결합을 갖는 단량체, 더 바람직하게는 산불안정기를 갖는 (메트)아크릴 단량체, 예를 들면 산불안정기 (1)을 갖는 (메트)아크릴 단량체를 들 수 있다.
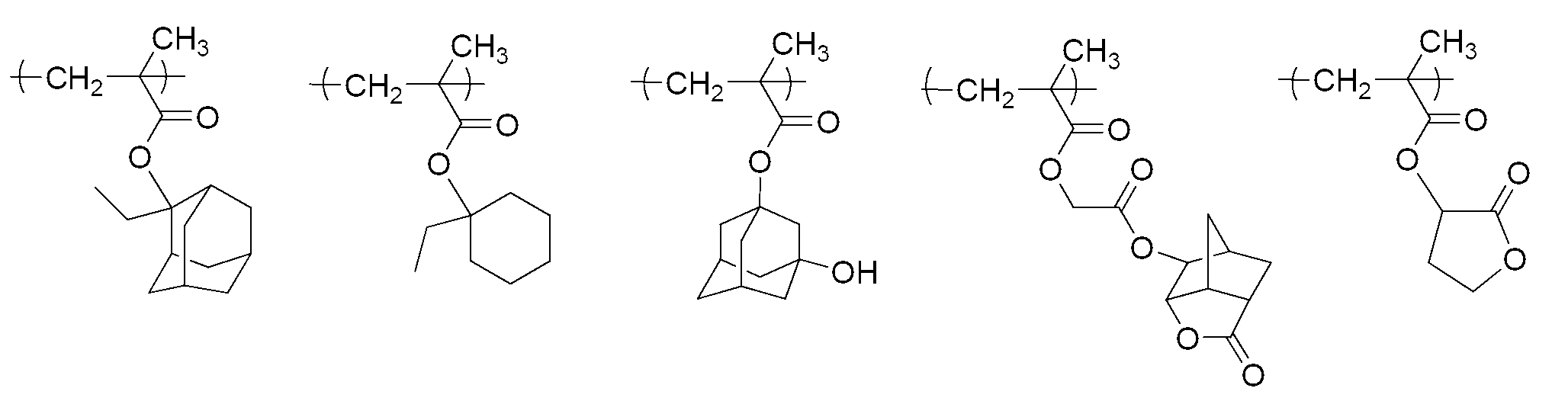
산불안정기 (1)을 갖는 (메트)아크릴 단량체 중, C5 내지 C20의 지환식 탄화수소기를 갖는 산불안정기를 포함하는 단량체가 바람직하다. 지환식 탄화수소기와 같은 부피가 큰 구조를 갖는 단량체를 중합하여 얻어질 수 있는 수지 (AA)를 사용하는 경우, 레지스트 패턴의 제조시에 해상도가 우수한 레지스트 조성물이 얻어지는 경향이 있다.
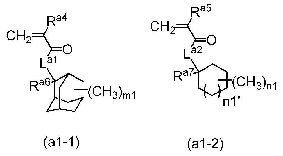
지환식 탄화수소기를 갖는 산불안정기를 포함하는 (메트)아크릴 단량체의 예로는, 하기 화학식 (a1-a)로 표시되는 단량체 (이하 "단량체 (a1-1)"로 칭함)를 들 수 있다.
Figure pat00036
식 중, R'은 수소 원자 또는 메틸기를 나타내고;
L은 *-O- 또는 *-O-(CH2)k1-CO-O-를 나타내며, k1은 1 내지 7의 정수를 나타내고, *는 카르보닐기 (-CO-)에 대한 결합을 나타내고;
환 W는 C5 내지 C20의 지환식 탄화수소기를 나타내고;
R은 C1 내지 C10의 지방족 탄화수소기를 나타내고;
m1은 0 내지 14의 정수를 나타낸다.
화학식 (a1-a) 중, 지환식 탄화수소기는 바람직하게는 C5 내지 C12의 단환식 및 다환식 탄화수소기, 더 바람직하게는 C5 내지 C10의 지환식 탄화수소기이다.
지환식 탄화수소기를 포함하는 산불안정기 (1)을 포함하는 (메트)아크릴 단량체 중, 하기 화학식 (a1-1)로 표시되는 아다만틸기를 갖는 단량체 (이하 "단량체 (a1-1)"로 칭함) 및 하기 화학식 (a1-2)로 표시되는 시클로알킬기를 갖는 단량체 (이하 "단량체 (a1-2)"로 칭함)가 바람직하다. 이들은 단독 화합물로 또는 2종 이상의 화합물의 혼합물로 사용될 수 있다.
Figure pat00037
식 중, La1 및 La2는 독립적으로 *-O- 또는 *-O-(CH2)k1-CO-O-를 나타내며, k1은 1 내지 7의 정수를 나타내고, *는 카르보닐기 (-CO-)에 대한 결합을 나타내고;
Ra4 및 Ra5는 독립적으로 수소 원자 또는 메틸기를 나타내고;
Ra6 및 Ra7은 독립적으로 C1 내지 C10의 지방족 탄화수소기를 나타내고;
m1은 0 내지 14의 정수를 나타내고;
n1은 0 내지 10의 정수를 나타내고;
n1'은 0 내지 3의 정수를 나타낸다.
화학식 (a1-1) 및 화학식 (a1-2) 중, La1 및 La2는 바람직하게는 -O- 또는 *-O-(CH2)k1'-CO-O-이고, 여기서 k1'은 1 내지 4의 정수, 더 바람직하게는 -O- 또는 *-O-CH2-CO-O-이고, 더욱더 바람직하게는 -O-이다.
Ra4 및 Ra5는 바람직하게는 메틸기이다.
Ra6 및 Ra7의 지방족 탄화수소기는 독립적으로 바람직하게는 C1 내지 C8의 알킬기 또는 C3 내지 C10의 지환식 탄화수소기이고, 더 바람직하게는 C1 내지 C8의 알킬기 또는 C3 내지 C8의 지환식 탄화수소기이고, 더욱더 바람직하게는 C1 내지 C6의 알킬기 또는 C3 내지 C6의 지환식 탄화수소기이다.
m1은 바람직하게는 0 내지 3의 정수이고, 더 바람직하게는 0 또는 1이다.
n1은 바람직하게는 0 내지 3의 정수이고, 더 바람직하게는 0 또는 1이다.
n1'은 바람직하게는 0 또는 1이고, 더 바람직하게는 1이다.
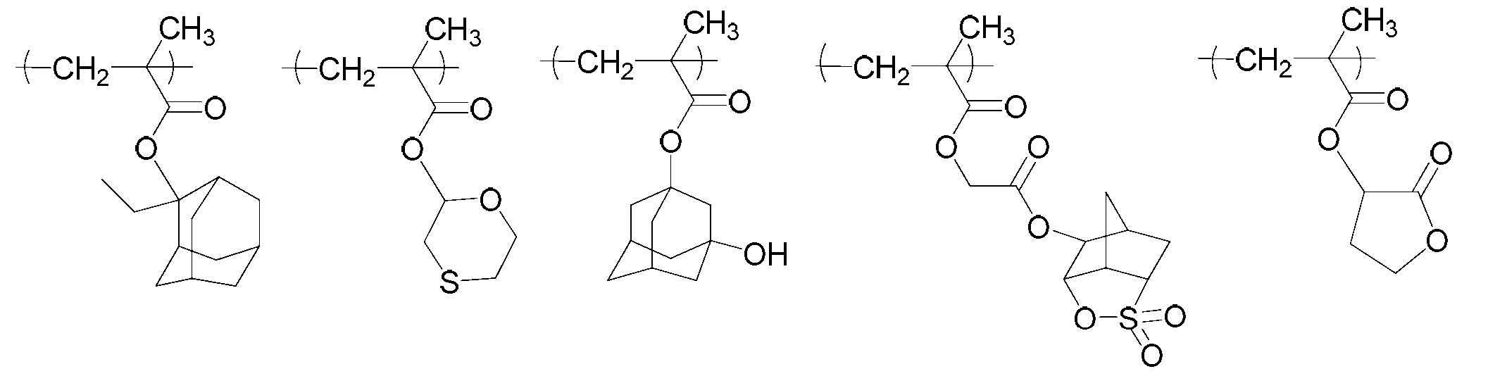
단량체 (a1-1)의 예로는 하기의 기를 들 수 있다.
Figure pat00038
Figure pat00039
Figure pat00040
Figure pat00041
Figure pat00042
이들 중, 단량체 (a1-1)로서, 2-메틸아다만탄-2-일 (메트)아크릴레이트, 2-에틸아다만탄-2-일 (메트)아크릴레이트 및 2-이소프로필아다만탄-2-일 (메트)아크릴레이트가 바람직하고, 2-메틸아다만탄-2-일 메타크릴레이트, 2-에틸아다만탄-2-일 메타크릴레이트 및 2-이소프로필아다만탄-2-일 메타크릴레이트가 더 바람직하다.
단량체 (a1-2)로서 하기의 기를 들 수 있다.
Figure pat00043
이들 중, 단량체 (a1-2)로서, 1-에틸시클로헥산-1-일 (메트)아크릴레이트가 바람직하고, 1-에틸시클로헥산-1-일 메타크릴레이트가 더 바람직하다.
수지 (AA)가 단량체 (a1-1) 및/또는 단량체 (a1-2)로부터 유도되는 구조 단위를 함유하는 경우, 그의 총 분율은 수지 (AA)의 총 구조 단위에 대하여 일반적으로 10 내지 95 몰%, 바람직하게는 15 내지 90 몰%, 더 바람직하게는 20 내지 85 몰%이다.
산불안정기 (1) 및 탄소-탄소 이중 결합을 갖는 단량체로는 하기 화학식 (a1-3)으로 표시되는 노르보르넨환을 갖는 단량체를 들 수 있다. 이러한 단량체를 이하 "단량체 (a1-3)"으로 칭한다.
Figure pat00044
식 중, Ra9는 수소 원자, 히드록시기를 가질 수도 있는 C1 내지 C3의 알킬기, 카르복시기, 시아노기 또는 -COORa13을 나타내며,
Ra13은 C1 내지 C20의 지방족 탄화수소기를 나타내고, 여기에 함유된 하나 이상의 수소 원자는 히드록시기로 치환될 수 있고, 여기에 함유된 하나 이상의 -CH2-는 -O- 또는 -CO-로 치환될 수 있고;
Ra10 내지 Ra12는 독립적으로 C1 내지 C20의 지방족 탄화수소기를 나타내거나, 또는 Ra10 및 Ra11은 함께 결합하여 환을 형성할 수 있고, 여기에 함유된 하나 이상의 수소 원자는 히드록시기 등으로 치환될 수 있고, 여기에 함유된 하나 이상의 -CH2-는 -O- 또는 -CO-로 치환될 수 있다.
Ra9의 히드록시기를 갖는 알킬기의 예로는 히드록시메틸 및 2-히드록시에틸기를 들 수 있다.
Ra9의 -COORa13기의 예로는 카르보닐기가 알콕시기에 결합한 기, 예를 들면 메톡시카르보닐, 에톡시카르보닐기를 들 수 있다.
Ra10 내지 Ra12의 지방족 탄화수소기의 예로는 메틸, 에틸, 시클로헥실, 메틸시클로헥실, 히드록시시클로헥실, 옥소시클로헥실 및 아다만틸기를 들 수 있다.
Ra10, Ra11 및 여기에 결합된 탄소 원자와 함께 형성된 환의 예로는 시클로헥실 및 아다만틸기와 같은 지방족 탄화수소기를 들 수 있다.
Ra13의 예로는 메틸, 에틸, 프로필, 2-옥소-옥솔란-3-일 및 2-옥소-옥솔란-4-일기를 들 수 있다. R13은 바람직하게는 C1 내지 C8의 알킬 또는 C3 내지 C20의 지환식 탄화수소기이다.
노르보르넨환을 갖는 단량체 (a1-3)의 예로는, 예를 들면 tert-부틸 5-노르보르넨-2-카르복실레이트, 1-시클로헥실-1-메틸에틸 5-노르보르넨-2-카르복실레이트, 1-메틸시클로헥실 5-노르보르넨-2-카르복실레이트, 2-메틸-2-아다만탄-2-일 5-노르보르넨-2-카르복실레이트, 2-에틸-2-아다만탄-2-일 5-노르보르넨-2-카르복실레이트, 1-(4-메틸시클로헥실)-1-메틸에틸 5-노르보르넨-2-카르복실레이트, 1-(4-히드록시시클로헥실)-1-메틸에틸 5-노르보르넨-2-카르복실레이트, 1-메틸-(4-옥소시클로헥실)-1-에틸 5-노르보르넨-2-카르복실레이트, 및 1-(1-아다만탄-1-일)-1-메틸에틸 5-노르보르넨-2-카르복실레이트를 들 수 있다.
단량체 (a1-3)으로부터 유도되는 구조 단위를 갖는 수지는 부피가 큰 구조를 갖기 때문에 얻어지는 레지스트 조성물의 해상도를 향상시킬 수 있고, 또한 수지 (AA)의 주쇄로 도입된 경질의 노르보르넨환으로 인해 얻어진 레지스트 조성물의 드라이-에칭 내성을 향상시킬 수 있다.
수지 (A)가 화학식 (a1-3)으로 표시되는 단량체로부터 유도되는 구조 단위를 함유하는 경우, 그의 분율은 수지 (AA)를 구성하는 총 구조 단위에 대하여 일반적으로 10 내지 95 몰%, 바람직하게는 15 내지 90 몰%, 더 바람직하게는 20 내지 85 몰%이다.
산불안정기 (2) 및 탄소-탄소 이중 결합을 갖는 단량체 (a1)의 예로는 하기 화학식 (a1-4)로 표시되는 단량체를 들 수 있다. 이러한 단량체를 이하 "단량체 (a1-4)"로 칭한다.
Figure pat00045
식 중, Ra32는 수소 원자, 할로겐 원자 또는 할로겐 원자를 가질 수도 있는 C1 내지 C6의 알킬기를 나타내고;
Ra33은 각 경우에 독립적으로 할로겐 원자, 히드록시기, C1 내지 C6의 알킬기, C1 내지 C6의 알콕시기, C2 내지 C4의 아실기, C2 내지 C4의 아실옥시기, 아크릴로일기 또는 메타크릴로일기를 나타내고;
la는 0 내지 4의 정수를 나타내고;
Ra34 및 Ra35는 독립적으로 수소 원자 또는 C1 내지 C12의 탄화수소기를 나타내고;
Xa2는 단일 결합 또는 치환될 수도 있는 C1 내지 C17의 2가의 지방족 탄화수소기를 나타내고, 여기에 함유된 수소 원자는 할로겐 원자, 히드록시기, C1 내지 C6의 알킬기, C1 내지 C6의 알콕시기, C2 내지 C4의 아실기 및 C2 내지 C4의 아실옥시기로 치환될 수 있고, 여기에 함유된 하나 이상의 -CH2-는 -CO-, -O-, -S-, -SO2- 또는 -N(Rc)-로 치환될 수 있으며, Rc는 수소 원자 또는 C1 내지 C6의 알킬기를 나타내고;
Ya3은 C1 내지 C18의 탄화수소기를 나타내고, 여기에 함유된 수소 원자는 할로겐 원자, 히드록시기, C1 내지 C6의 알킬기, C1 내지 C6의 알콕시기, C2 내지 C4의 아실기, 및 C2 내지 C4의 아실옥시기로 치환될 수 있다.
Ra32의 할로겐 원자를 가질 수도 있는 알킬기의 예로는, 트리플루오로메틸, 퍼플루오로에틸, 퍼플루오로프로필, 퍼플루오로-이소프로필, 퍼플루오로부틸, 퍼플루오로-sec-부틸, 퍼플루오로-tert-부틸, 퍼플루오로펜틸, 퍼플루오로헥실, 트리클로로메틸, 트리브로모메틸 및 트리요오도메틸기를 들 수 있다.
알킬기, 알콕시기 등의 예로는 상기 기재한 예와 동일한 것을 들 수 있다.
아실기의 예로는 아세틸, 프로피오닐 및 부티릴기를 들 수 있다.
아실옥시기의 예로는, 아세틸옥시, 프로피오닐옥시 및 부티릴옥시기를 들 수 있다.
화학식 (a1-4) 중, Ra32 및 Ra33의 알킬기는 바람직하게는 C1 내지 C4의 알킬기이고, 더 바람직하게는 C1 내지 C2의 알킬기이고, 더욱 바람직하게는 메틸기이다.
Ra33의 알콕시기는 바람직하게는 C1 내지 C4의 알콕시기이고, 더 바람직하게는 C1 내지 C2의 알콕시기이고, 더욱 바람직하게는 메톡시기이다.
Ra34 및 Ra35의 탄화수소기의 예로는, 지방족 탄화수소기, 지환식 탄화수소기 및 방향족 탄화수소기 중 임의의 것을 들 수 있다.
지방족 기의 바람직한 예로는, 이소-프로필, n-부틸, sec-부틸, tert-부틸, 펜틸, 헥실, 옥틸 및 2-에틸헥실기를 들 수 있다.
지환식 탄화수소기의 바람직한 예로는, 시클로헥실, 아다만틸, 2-알킬-아다만탄-2-일, 1-(1-아다만탄-1-일)-1-알킬, 알칸-1-일 및 이소보르닐기와 같은 단환식 또는 다환식 포화 탄화수소기를 들 수 있다.
방향족 탄화수소기의 바람직한 예로는 페닐, 나프틸, 안트라닐, p-메틸페닐, p-tert-부틸페닐, p-아다만틸페닐, 톨릴, 크실릴, 쿠메닐, 메시틸, 비페닐, 안트릴, 페난트릴, 2,6-디에틸페닐 및 2-메틸-6-에틸페닐기를 들 수 있다.
Ya3의 탄화수소기는 바람직하게는 C1 내지 C18의 지방족 탄화수소기, C3 내지 C18의 지환식 탄화수소기 및 C6 내지 C18의 방향족 탄화수소기이다.
Xa2 및 Ya3에 임의로 치환될 수 있는 치환기의 바람직한 예로는 히드록시기를 들 수 있다.
화학식 (a1-4)로 표시되는 단량체의 예로는 하기 단량체를 들 수 있다.
Figure pat00046
Figure pat00047
Figure pat00048
Figure pat00049
Figure pat00050
Figure pat00051
수지 (AA)가 화학식 (a1-4)로 표시되는 단량체로부터 유도되는 구조 단위를 함유하는 경우, 그의 분율은 수지 (AA)를 구성하는 총 구조 단위에 대하여 일반적으로 10 내지 95 몰%이고, 바람직하게는 15 내지 90 몰%이고, 더 바람직하게는 20 내지 85 몰%이다.
산불안정기 (2) 및 탄소-탄소 이중 결합을 갖는 단량체의 예로는, 하기 화학식 (a1-5)로 표시되는 단량체를 들 수 있다. 이러한 단량체를 이하 "단량체 (a1-5)"로 칭한다.
Figure pat00052
식 중, R31은 수소 원자, 할로겐 원자 또는 할로겐 원자를 가질 수도 있는 C1 내지 C6의 알킬기를 나타내고;
L1 내지 L3은 독립적으로 *-O-, *-S- 또는 *-O-(CH2)k1-CO-O-를 나타내며, k1은 1 내지 7의 정수를 나타내고, *는 카르보닐기 (-CO-)에 대한 결합을 나타내고;
s1은 1 내지 4의 정수를 나타내고;
s1'은 0 내지 4의 정수를 나타내고;
Z1은 단일 결합 또는 C1 내지 C6의 알칸디일기를 나타내고, 알칸디일기 중 함유된 -CH2-는 -O- 또는 -CO-로 치환될 수 있다.
화학식 (a1-5) 중, R31은 바람직하게는 수소 원자, 메틸기 또는 트리플루오로메틸기이고;
L1은 바람직하게는 -O-이고;
L2 및 L3은 독립적으로 바람직하게는 *-O- 또는 *-S-, 더 바람직하게는 하나는 -O-이며 다른 하나는 -S-이고;
s1은 바람직하게는 1이고;
s1'은 바람직하게는 0 내지 2의 정수이고;
Z1은 바람직하게는 단일 결합 또는 -CH2-CO-O-이다.
화학식 (a1-5)로 표시되는 화합물의 예로는, 하기 화합물을 들 수 있다.
Figure pat00053
Figure pat00054
Figure pat00055
Figure pat00056
Figure pat00057
Figure pat00058
수지 (AA)가 화학식 (a1-5)로 표시되는 단량체로부터 유도되는 구조 단위를 함유하는 경우, 그의 분율은 수지 (AA)를 구성하는 총 구조 단위에 대하여 일반적으로 10 내지 95 몰%이고, 바람직하게는 15 내지 90 몰%이고, 더 바람직하게는 20 내지 85 몰%이다.
또한, 산불안정기 (1) 및 탄소-탄소 이중 결합을 갖는 단량체 (a1)을 수지 (AA)에 사용할 수 있다.
이러한 또다른 단량체의 구체예로는 하기 단량체를 들 수 있다.
Figure pat00059
Figure pat00060
Figure pat00061
수지 (AA)가 다른 산불안정 단량체로부터 유도되는 구조 단위를 함유하는 경우, 그의 분율은 수지 (AA)를 구성하는 총 구조 단위에 대하여 일반적으로 10 내지 95 몰%이고, 바람직하게는 15 내지 90 몰%이고, 더 바람직하게는 20 내지 85 몰%이다.
<산안정 단량체>
수지 (AA)는 바람직하게는 화합물 (a), 산불안정기를 갖는 단량체 (a1) 및 산불안정기를 갖지 않는 단량체 (이하, "산안정 단량체 (acid-stable monomer)"로서 칭함)의 공중합체이다.
수지 (AB)는 바람직하게는 화합물 (a)와 산안정 단량체의 공중합체이다.
산안정 단량체는 단독 화합물로 또는 2종 이상의 화합물의 혼합물로 사용할 수 있다.
수지 (AA)가 산안정 단량체를 사용하여 제조되는 경우, 산안정 단량체의 분율은 산불안정 단량체 (a1)의 양을 기준으로 조정할 수 있다. 예를 들면, [산불안정 단량체 (a1)]:[산안정 단량체]의 비는 바람직하게는 10 내지 80 몰%:90 내지 20 몰%, 더 바람직하게는 20 내지 60 몰%:80 내지 40 몰%이다.
아다만틸기를 갖는 단량체를 단량체 (a1)로서 사용하는 경우, 아다만틸기를 갖는 단량체 (특히, 산불안정기를 갖는 단량체 (a1-1))의 분율은 산불안정기를 갖는 단량체 (a1)에 대하여 바람직하게는 15 몰% 이상이다. 상기 범위 내에서 아다만틸기를 갖는 단량체의 몰 비율이 증가할수록, 얻어진 레지스트의 드라이 에칭 내성이 향상된다. 산불안정 단량체 및 산안정 단량체의 분율을 최적화하는 경우, 화합물 (a)는 산안정 단량체로서 카운팅할 수 있다.
산안정 단량체로서, 히드록시기 또는 락톤환을 갖는 단량체가 바람직하다. 히드록시기를 갖는 산안정 단량체 (이하 이러한 산안정 단량체를 "산안정 단량체 (a2)"로 칭함) 또는 락톤환을 갖는 산안정 단량체 (이하 이러한 산안정 단량체를 "산안정 단량체 (a3)"으로 칭함)로부터 유도되는 구조 단위를 함유하는 수지가 사용되는 경우, 기판에 대한 레지스트의 접착성 및 레지스트의 해상성이 향상되는 경향이 있다.
<산안정 단량체 (a2)>
산안정 단량체 (a2)는 바람직하게는 레지스트 패턴의 제조시에 노광 광원의 종류에 따라 선택된다.
즉, KrF 엑시머 레이저 리소그래피 (248 nm), 또는 전자빔 또는 EUV광과 같은 고에너지 조사를 레지스트 조성물에 사용하는 경우, 히드록시스티렌과 같은 페놀성 히드록시기를 갖는 산안정 단량체 (a2-0)을 히드록시기를 갖는 산안정 단량체 (a2)로서 사용하는 것이 바람직하다. ArF 엑시머 레이저 리소그래피 (193 nm), 즉 단파장의 엑시머 레이저 리소그래피를 사용하는 경우, 화학식 (a2-1)로 표시되는 히드록시 아다만틸기를 갖는 산안정 단량체 (a2)를 히드록시기를 갖는 산안정 단량체로서 사용하는 것이 바람직하다. 히드록시기를 갖는 산안정 단량체 (a2)는 단독 화합물로 또는 2종 이상의 화합물의 혼합물로 사용할 수 있다.
페놀성 히드록시기를 갖는 산안정 단량체 (a2)의 예로는, p- 또는 m-히드록시스티렌과 같은 화학식 (a2-0)으로 표시되는 스티렌 단량체 (이하 이러한 단량체를 "산안정 단량체 (a2-0)"으로 칭함)를 들 수 있다.
Figure pat00062
식 중, Ra30은 수소 원자, 할로겐 원자 또는 할로겐 원자를 가질 수도 있는 C1 내지 C6의 알킬기를 나타내고;
Ra31은 각 경우에 독립적으로 할로겐 원자, 히드록시기, C1 내지 C6의 알킬기, C1 내지 C6의 알콕시기, C2 내지 C4의 아실기, C2 내지 C4의 아실옥시기, 아크릴로일기 또는 메타크릴로일기를 나타내고;
ma는 0 내지 4의 정수를 나타낸다.
화학식 (a2-0) 중, Ra30의 할로겐 원자를 갖는 알킬기의 예로는 화학식 (a1-4)의 Ra32에 기재한 예와 동일한 것을 들 수 있다.
Ra30 및 Ra31의 알킬기는 바람직하게는 C1 내지 C4의 알킬기, 더 바람직하게는 C1 내지 C2 알킬기, 더욱 바람직하게는 메틸기이다.
Ra31의 알콕시기는 바람직하게는 C1 내지 C4의 알콕시기이고, 더 바람직하게는 C1 내지 C2의 알콕시기이고, 더욱 바람직하게는 메톡시기이다.
ma는 바람직하게는 0, 1 또는 2이고, 더 바람직하게는 0 또는 1이고, 더욱더 바람직하게는 0이다.
수지 (A)가 산안정 단량체 (a2-0)을 이용하여 제조되는 경우, 페놀성 히드록시기가 보호기로 보호된 단량체를 사용할 수 있다. 이러한 보호기는 산 또는 염기와의 접촉을 통해 탈보호될 수 있는 기일 수 있다. 보호기로 보호된 페놀성 히드록시기는 산 또는 염기와의 접촉을 통해 탈보호되기 때문에, 산안정 단량체 (a2-0)을 용이하게 얻을 수 있다. 그러나, 상기 기재된 바와 같이 수지 (AA)는 산불안정기를 갖는 단량체 (a1)로부터 유도되는 구조 단위를 갖기 때문에, 보호기로 보호된 페놀성 히드록시기를 탈보호하는 경우, 산불안정기가 심각하게 손상되지 않도록 페놀성 히드록시기를 바람직하게는 염기와 접촉시켜 탈보호한다. 염기에 의해 탈보호가능한 보호기의 예로는, 아세틸기를 들 수 있다. 염기의 예로는, 4-디메틸아미노피리진 및 트리에틸아민을 들 수 있다.
산안정 단량체 (a2-0)의 구체예로는 하기 단량체를 들 수 있다.
Figure pat00063
Figure pat00064
이들 중, 4-히드록시스티렌 및 4-히드록시-α-메틸스티렌이 바람직하다. 이 4-히드록시스티렌 및 4-히드록시-α-메틸스티렌은 적절한 보호기에 의해 그의 페놀성 히드록시기가 보호될 수 있다.
수지 (AA)가 화학식 (a2-0)으로 표시되는 단량체로부터 유도되는 구조 단위를 함유하는 경우, 그의 분율은 수지 (AA)를 구성하는 총 구조 단위에 대하여 일반적으로 5 내지 95 몰%이고, 바람직하게는 10 내지 80 몰%이고, 더 바람직하게는 15 내지 80 몰%이다.
수지 (AB)가 화학식 (a2-0)으로 표시되는 단량체로부터 유도되는 구조 단위를 함유하는 경우, 그의 분율은 수지 (AB)를 구성하는 총 구조 단위에 대하여 일반적으로 5 내지 95 몰%, 바람직하게는 10 내지 80 몰%, 더 바람직하게는 15 내지 80 몰%이다.
히드록시 아다만틸기를 갖는 산안정 단량체의 예로는 하기 화학식 (a2-1)로 표시되는 단량체 (이하 이러한 단량체를 "산안정 단량체 (a2-1)"로 칭함)를 들 수 있다.
Figure pat00065
식 중, La3은 바람직하게는 *-O- 또는 *-O-(CH2)k2-CO-O-이며, k2는 1 내지 7의 정수를 나타내고, *는 카르보닐기 (-CO-)에 대한 결합을 나타내고;
Ra14는 수소 원자 또는 메틸기를 나타내고;
Ra15 및 Ra16은 독립적으로 수소 원자, 메틸기 또는 히드록시기를 나타내고;
o1은 0 내지 10의 정수를 나타낸다.
화학식 (a2-1) 중, La3은 바람직하게는 *-O-, *-O-(CH2)k2'-CO-O-이며, 여기서 k2'는 1 내지 4의 정수를 나타내고, 더 바람직하게는 *-O-이고;
Ra14는 바람직하게는 메틸기이다.
Ra15는 바람직하게는 수소 원자이다.
Ra16은 바람직하게는 수소 원자 또는 히드록시기이다.
o1은 바람직하게는 0 내지 3의 정수, 더 바람직하게는 0 또는 1의 정수이다.
히드록시 아다만틸기를 갖는 산안정 단량체 (a2-1)의 예로는 하기 단량체를 들 수 있다. 이들 중, 3-히드록시아다만탄-1-일 (메트)아크릴레이트, 3,5-디히드록시아다만탄-1-일 (메트)아크릴레이트 및 1-(3,5-디히드록시아다만탄-1-일 옥시카르보닐) 메틸 (메트)아크릴레이트가 바람직하고, 3-히드록시아다만탄-1-일 (메트)아크릴레이트 및 3,5-디히드록시아다만탄-1-일 (메트)아크릴레이트가 더 바람직하고, 3-히드록시아다만탄-1-일 메타크릴레이트 및 3,5-디히드록시아다만탄-1-일 메타크릴레이트가 더욱 바람직하다.
Figure pat00066
Figure pat00067
Figure pat00068
Figure pat00069
수지 (AA)가 화학식 (a2-1)로 표시되는 단량체로부터 유도되는 구조 단위를 함유하는 경우, 그의 분율은 수지 (AA)를 구성하는 총 구조 단위에 대하여 일반적으로 3 내지 45 몰%, 바람직하게는 5 내지 40 몰%, 더 바람직하게는 5 내지 35 몰%이다.
수지 (AB)가 화학식 (a2-1)로 표시되는 단량체로부터 유도되는 구조 단위를 함유하는 경우, 그의 분율은 수지 (AB)를 구성하는 총 구조 단위에 대하여 일반적으로 3 내지 45 몰%, 바람직하게는 5 내지 40 몰%, 더 바람직하게는 5 내지 35 몰%이다.
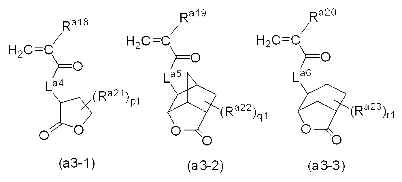
<산안정 단량체 (a3)>
산안정 단량체 (a3) 중에 포함되는 락톤환은 β-프로피오락톤환, γ-부티로락톤, δ-발레로락톤과 같은 단환식 화합물, 또는 단환식 락톤환과 다른 환의 축합환일 수 있다. 이들 중, γ-부티로락톤 및 γ-부티로락톤과 다른 환의 축합환이 바람직하다.
락톤환을 갖는 산안정 단량체 (a3)의 예로는, 하기 화학식 (a3-1), 화학식 (a3-2) 또는 (a3-3) 중 임의의 것으로 표시되는 단량체를 들 수 있다. 이들 단량체는 단독 화합물로 또는 2종 이상의 화합물의 혼합물로 사용할 수 있다.
Figure pat00070
식 중, La4 내지 La6은 독립적으로 *-O- 또는 *-O-(CH2)k3-CO-O-를 나타내며, k3은 1 내지 7의 정수를 나타내고, *는 카르보닐기에 대한 결합을 나타내고;
Ra18 내지 Ra20은 독립적으로 수소 원자 또는 메틸기를 나타내고;
Ra21은 C1 내지 C4의 알킬기를 나타내고;
Ra22 및 Ra23은 독립적으로 카르복시기, 시아노기 또는 C1 내지 C4의 알킬기를 나타내고;
p1은 0 내지 5의 정수를 나타내고;
q1 및 r1은 독립적으로 0 내지 3의 정수를 나타낸다.
화학식 (a3-1) 내지 (a3-3) 중, La4 내지 La6은 독립적으로 바람직하게는 *-O-, *-O-(CH2)k3'-CO-O-이며, 여기서 k3'은 1 내지 4의 정수를 나타내고, 더 바람직하게는 *-O-이다.
Ra18 내지 Ra20은 바람직하게는 메틸기이다.
Ra21은 바람직하게는 메틸기이다.
Ra22 및 Ra23은 독립적으로 바람직하게는 카르복시기, 시아노기 또는 메틸기이다.
p1, q1 및 r1은 독립적으로 바람직하게는 0 내지 2의 정수이고, 더 바람직하게는 0 또는 1이다.
γ-부티로락톤환을 갖는 산안정 단량체 (a3-1)의 예로는 하기 단량체를 들 수 있다.
Figure pat00071
Figure pat00072
Figure pat00073
γ-부티로락톤환 및 노르보르넨환을 갖는 화학식 (a3-2)로 표시되는 산안정 단량체의 예로는 하기 단량체를 들 수 있다.
Figure pat00074
Figure pat00075
Figure pat00076
Figure pat00077
Figure pat00078
Figure pat00079
Figure pat00080
γ-부티로락톤환과 시클로헥산환의 축합환을 갖는 화학식 (a3-3)으로 표시되는 산안정 단량체의 예로는 하기 단량체를 들 수 있다.
Figure pat00081
Figure pat00082
Figure pat00083
Figure pat00084
락톤환을 갖는 산안정 단량체 (a3) 중, (5-옥소-4-옥사트리시클로[4.2.1.03,7]노난-2-일) (메트)아크릴레이트, 테트라히드로-2-옥소-3-푸릴 (메트)아크릴레이트, 및 2-(5-옥소-4-옥사트리시클로[4.2.1.03,7]노난-2-일옥시)-2-옥소에틸 (메트)아크릴레이트가 바람직하고, (메트)아크릴레이트 화합물이 더 바람직하다.
수지 (AA)가 화학식 (a3-1)로 표시되는 단량체로부터 유도되는 구조 단위, 화학식 (a3-2)로 표시되는 단량체로부터 유도되는 구조 단위 및/또는 화학식 (a3-3)으로 표시되는 단량체로부터 유도되는 구조 단위를 함유하는 경우, 그의 분율은 각각 수지 (AA)를 구성하는 총 구조 단위에 대하여 일반적으로 5 내지 50 몰%, 바람직하게는 10 내지 40 몰%, 더 바람직하게는 15 내지 40 몰%이다.
수지 (AA)가 락톤환을 갖는 산안정 단량체 (a3)으로부터 유도되는 구조 단위를 함유하는 경우, 그의 총 분율은 수지 (AA)를 구성하는 총 구조 단위에 대하여 바람직하게는 5 내지 60 몰%, 더 바람직하게는 15 내지 55 몰%이다.
수지 (AB)가 화학식 (a3-1)으로 표시되는 산안정 단량체로부터 유도되는 구조 단위, 화학식 (a3-2)로 표시되는 단량체로부터 유도되는 구조 단위 및/또는 화학식 (a3-3)으로 표시되는 단량체로부터 유도되는 구조 단위를 함유하는 경우, 그의 분율은 각각 수지 (AB)를 구성하는 총 구조 단위에 대하여 일반적으로 5 내지 50 몰%, 바람직하게는 10 내지 40 몰%, 더 바람직하게는 15 내지 40 몰%이다.
수지 (AB)가 락톤환을 갖는 산안정 단량체 (a3)으로부터 유도되는 구조 단위를 함유하는 경우, 그의 총 분율은 수지 (AB)를 구성하는 총 구조 단위에 대하여 바람직하게는 5 내지 60 몰%, 더 바람직하게는 15 내지 55 몰%이다.
<산안정 단량체 (a4)>
산안정 단량체 (a4) 및 산안정 단량체 (a5)를 수지 (AA)의 제조에 사용할 수 있다.
산안정 단량체 (a4)는 하기 화학식 (3)으로 표시되는 기를 갖는다.
Figure pat00085
식 중, R10은 C1 내지 C6의 불소화 알킬기를 나타낸다.
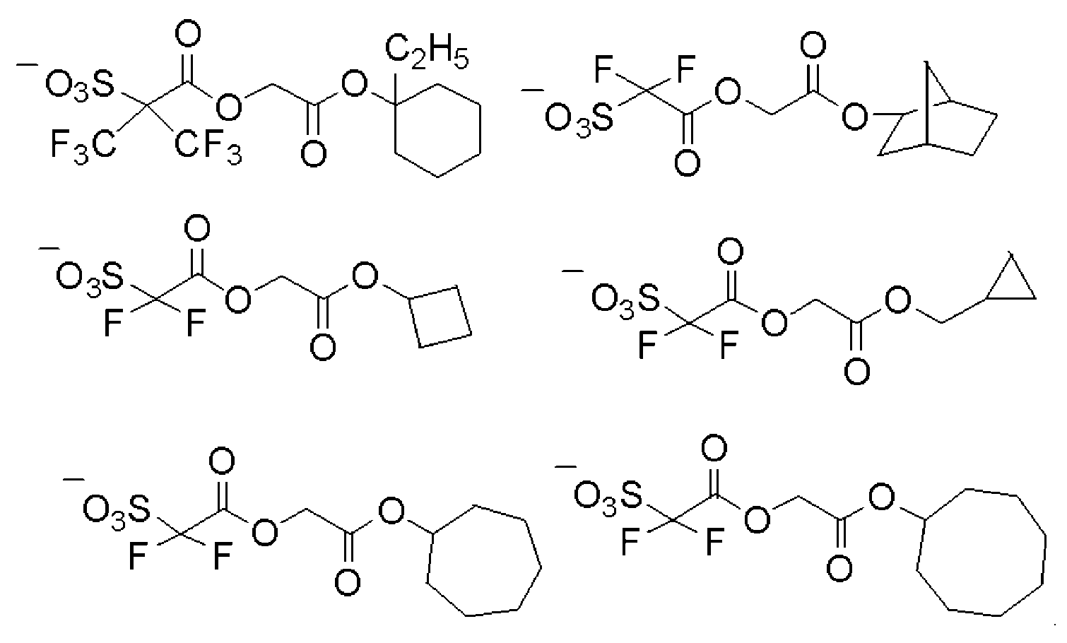
R10의 불소화 알킬기의 예로는 디플루오로메틸, 트리플루오로메틸, 1,1-디플루오로에틸, 2,2-디플루오로에틸, 2,2,2-트리플루오로에틸, 퍼플루오로에틸, 1,1,2,2-테트라플루오로프로필, 1,1,2,2,3,3-헥사플루오로프로필, 퍼플루오로에틸메틸, 1-(트리플루오로메틸)-1,2,2,2-테트라트리플루오로에틸, 퍼플루오로프로필, 1,1,2,2-테트라플루오로부틸, 1,1,2,2,3,3-헥사플루오로부틸, 1,1,2,2,3,3,4,4-옥타플루오로부틸, 퍼플루오로부틸, 1,1-비스(트리플루오로)메틸-2,2,2-트리플루오로에틸, 2-(퍼플루오로프로필)에틸, 1,1,2,2,3,3,4,4-옥타플루오로펜틸, 퍼플루오로펜틸, 1,1,2,2,3,3,4,4,5,5-데카플루오로펜틸, 1,1-비스(트리플루오로메틸)-2,2,3,3,3-펜타플루오로프로필, 2-(퍼플루오로부틸)에틸, 1,1,2,2,3,3,4,4,5,5-데카플루오로헥실, 1,1,2,2,3,3,4,4,5,5,6,6-도데카플루오로헥실, 퍼플루오로펜틸메틸 및 퍼플루오로헥실기를 들 수 있다.
R10의 불소화 알킬기는 바람직하게는 1 내지 4의 탄소수를 가지며, 더 바람직하게는 트리플루오로메틸, 퍼플루오로에틸 및 퍼플루오로프로필기이고, 더욱 바람직하게는 트리플루오로메틸기이다.
화학식 (a4)로 표시되는 기를 갖는 산안정 단량체 (a4)의 구체예로는 하기의 단량체를 들 수 있다.
Figure pat00086
Figure pat00087
Figure pat00088
수지 (AA)가 화학식 (a4)로 표시되는 산안정 단량체로부터 유도되는 구조 단위를 함유하는 경우, 그의 분율은 수지 (AA)의 총 구조 단위 (100 몰%)에 대하여 일반적으로 1 내지 30 몰%, 바람직하게는 3 내지 25 몰%, 더 바람직하게는 5 내지 20 몰%이다.
수지 (AB)가 화학식 (a4)로 표시되는 산안정 단량체로부터 유도되는 구조 단위를 함유하는 경우, 그의 분율은 수지 (AB)의 총 구조 단위 (100 몰%)에 대하여 일반적으로 5 내지 90 몰%, 바람직하게는 10 내지 80 몰%, 더 바람직하게는 20 내지 70 몰%이다.
<산안정 단량체 (a5)>
산안정 단량체 (a5)는 화학식 (4)로 표시되는 기를 갖는다.
Figure pat00089
식 중, R11은 치환될 수도 있는 C6 내지 C12의 방향족 탄화수소기를 나타내고;
R12는 치환될 수도 있는 C1 내지 C12의 탄화수소기를 나타내고, 탄화수소기는 헤테로원자를 함유할 수 있고;
A2는 단일 결합, -(CH2)m10-SO2-O-* 또는 -(CH2)m10-CO-O-*를 나타내고, [-(CH2)m10-] 중 함유된 -CH2-는 -O-, -CO- 또는 -SO2-로 치환될 수 있고, [-(CH2)m10-] 중 함유된 수소 원자는 불소 원자로 치환될 수 있고;
m10은 1 내지 12의 정수를 나타낸다.
R11의 방향족 탄화수소기의 예로는, 페닐, 나프틸, p-메틸페닐, p-tert-부틸페닐, p-아다만틸페닐, 톨릴, 크실릴, 쿠메닐, 메시틸, 비페닐, 안트릴, 페난트릴, 2,6-디에틸페닐 및 2-메틸-6-에틸페닐기와 같은 아릴기를 들 수 있다.
방향족 탄화수소기 중 함유된 수소 원자는 C1 내지 C4의 알킬기, 할로겐 원자, 페닐기, 니트로기, 시아노기, 히드록시기, 페닐옥시기 및 tert-부틸페닐기로 치환될 수 있다.
R11의 바람직한 기의 구체예로는 하기의 기를 들 수 있다. *는 탄소 원자에 대한 결합을 나타낸다.
Figure pat00090
R12의 탄화수소기는 직쇄상 지방족 탄화수소기, 지환식 탄화수소기 및 방향족 탄화수소기 중 어느 것일 수 있다.
지방족 탄화수소기의 통상적인 예는 알킬기이며, 알킬기의 예로는 상기 기재되어 있는 기와 동일한 기를 들 수 있다.
지환식 탄화수소기의 예로는 상기 기재되어 있는 동일한 기를 들 수 있다.
R12가 지방족 탄화수소기 또는 지환식 탄화수소기인 경우, 이들은 헤테로원자를 함유할 수 있다. 헤테로원자의 예로는 할로겐 원자, 황 원자, 산소 원자 및 질소 원자를 들 수 있고, 술포닐기 및 카르보닐기와 같은 연결기의 배열을 포함할 수 있다.
이와 같은 헤테로원자를 함유하는 R12의 구체예로는 하기의 기를 들 수 있다.
Figure pat00091
R12가 방향족 탄화수소기인 경우, 그의 구체예로는 R11과 동일한 예를 들 수 있다.
A2의 구체예로는 하기의 기를 들 수 있다.
Figure pat00092
화학식 (4)로 표시되는 기를 함유하는 산안정 단량체 (a5)로는 하기 화학식 (a5-1)로 표시되는 산안정 단량체를 들 수 있다.
Figure pat00093
식 중, R13은 수소 원자 또는 메틸기를 나타내고;
R11, R12 및 A2는 상기에 기재된 정의와 동일하다.
산안정 단량체 (a5-1)의 구체예로는 하기 단량체를 들 수 있다.
Figure pat00094
수지 (AA)가 화학식 (a5-1)로 표시되는 단량체로부터 유도되는 구조 단위를 함유하는 경우, 그의 분율은 수지 (AA)를 구성하는 총 구조 단위에 대하여 일반적으로 1 내지 30 몰%, 바람직하게는 3 내지 25 몰%, 더 바람직하게는 5 내지 20 몰%이다.
수지 (AB)가 화학식 (a5-1)로 표시되는 단량체로부터 유도되는 구조 단위를 함유하는 경우, 그의 분율은 수지 (AB)를 구성하는 총 구조 단위 (100 몰%)에 대하여 일반적으로 5 내지 90 몰%, 바람직하게는 10 내지 80 몰%, 더 바람직하게는 20 내지 70 몰%이다.
<산안정 단량체 (a6)>
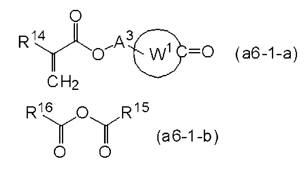
산안정 단량체 (a6)은 하기 화학식 (a6-1)으로 표시되는 단량체이다.
Figure pat00095
식 중, 환 W1은 C3 내지 C36의 지환식 탄화수소기를 나타내고;
A3은 단일 결합 또는 C1 내지 C17의 2가의 지방족 탄화수소기를 나타내고, 지방족 탄화수소기 중 함유된 -CH2-는 -O- 또는 -CO-로 치환될 수 있되, 단 -O-에 결합한 원자는 탄소 원자이고;
R14는 할로겐 원자를 가질 수도 있는 C1 내지 C6의 알킬기, 수소 원자 또는 할로겐 원자를 나타내고;
R15 및 R16은 독립적으로 할로겐 원자를 가질 수도 있는 C1 내지 C6의 알킬기를 나타낸다.
환 W1의 지환식 탄화수소기로는 단환식 또는 다환식 탄화수소기, 바람직하게는 C5 내지 C18의 지환식 탄화수소기, 더 바람직하게는 C6 내지 C12의 지환식 탄화수소기를 들 수 있다. 그의 예로는 화학식 (KA-1) 내지 화학식 (KA-19)로 표시되는 환을 들 수 있다. 즉, 화학식 (a6-1) 중 기
Figure pat00096
는, 화학식 (KA-1) 내지 화학식 (KA-19)로 표시되는 임의의 하나의 환을 구성하는 원자에 결합된 하나의 수소 원자를 A3에 대한 결합으로 치환하고, 환을 구성하는 또다른 원자에 결합된 다른 2개의 수소 원자를 각각 -O-CO-R15에 대한 결합 및 -O-CO-R16에 대한 결합으로 치환한 기이다.
환 W1의 예로는 바람직하게는 시클로헥산환, 아다만탄환, 보르보르넨환 및 보르보르난환을 들 수 있다.
A3의 2가의 지방족 탄화수소기의 예로는
메틸렌, 에틸렌, 프로판-1,3-디일, 프로판-1,2-디일, 부탄-1,4-디일, 펜탄-1,5-디일, 헥산-1,6-디일, 헵탄-1,7-디일, 옥탄-1,8-디일, 노난-1,9-디일, 데칸-1,10-디일, 운데칸-1,11-디일, 도데칸-1,12-디일, 트리데칸-1,13-디일, 테트라데칸-1,14-디일, 펜타데칸-1,15-디일, 헥사데칸-1,16-디일, 헵타데칸-1,17-디일기, 에탄-1,1-디일, 프로판-1,1-디일 및 프로판-2,2-디일기와 같은 직쇄 알칸디일기;
예를 들면 부탄-1,3-디일, 2-메틸프로판-1,3-디일, 2-메틸프로판-1,2-디일, 펜탄-1,4-디일, 2-메틸부탄-1,4-디일기와 같은, 직쇄 알칸디일기에 C1 내지 C4의 알킬기 (예를 들면 메틸, 에틸, 프로필, 이소프로필, 부틸, sec-부틸 및 tert-부틸)의 측쇄가 결합된 기와 같은 분지쇄 알칸디일기;
시클로부탄-1,3-디일, 시클로펜탄-1,3-디일, 시클로헥산-1,2-디일, 1-메틸헥산-1,2-디일, 시클로헥산-1,4-디일, 시클로옥탄-1,2-디일, 시클로옥탄-1,5-디일기와 같은 단환-지환식 탄화수소기;
노르보르난-2,3-디일, 노르보르난-1,4-디일, 노르보르난-2,5-디일, 아다만탄-1,5-디일 및 아다만탄-2,6-디일기와 같은 다환-지환식 탄화수소기; 및
2종 이상의 기의 조합을 들 수 있다.
A3의 지방족 탄화수소기는 치환기를 가질 수도 있다.
알칸디일기 및 지환식 탄화수소기의 조합의 예로는 하기의 기를 들 수 있다.
Figure pat00097
식 중, XX1 및 XX2는 독립적으로 C1 내지 C6의 알칸디일기 또는 단일 결합을 나타내되, 단 XX1 및 XX2 모두가 단일 결합은 아니고, 기의 총 탄소수는 각각 17 이하이다.
지방족 탄화수소기 중 함유된 -CH2-가 -O- 또는 -CO-로 치환된 A3의 예로는, 예를 들면 화학식 (a) 중 기 (a-g1)과 동일한 예를 들 수 있다.
A3은 바람직하게는 단일 결합 또는 *-(CH2)s1-CO-O-로 표시되는 기이며, s1은 1 내지 6의 정수를 나타내고, *은 결합을 나타내고, 더 바람직하게는 단일 결합 또는 *-CH2-CO-O-이다.
R14는 바람직하게는 수소 원자 또는 메틸기이다.
R14 내지 R16의 할로겐 원자는 바람직하게는 불소 원자이다.
할로겐 원자를 갖는 알킬기의 예로는 트리플루오로메틸, 퍼플루오로에틸, 퍼플루오로프로필, 퍼플루오로-이소프로필, 퍼플루오로부틸, 퍼플루오로-sec-부틸, 퍼플루오로-tert-부틸, 퍼플루오로펜틸 및 퍼플루오로헥실기를 들 수 있다. 이들 중, 트리플루오로메틸, 퍼플루오로에틸 및 퍼플루오로프로필이 바람직하다.
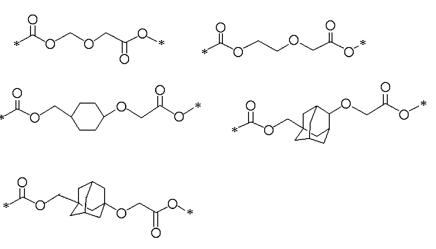
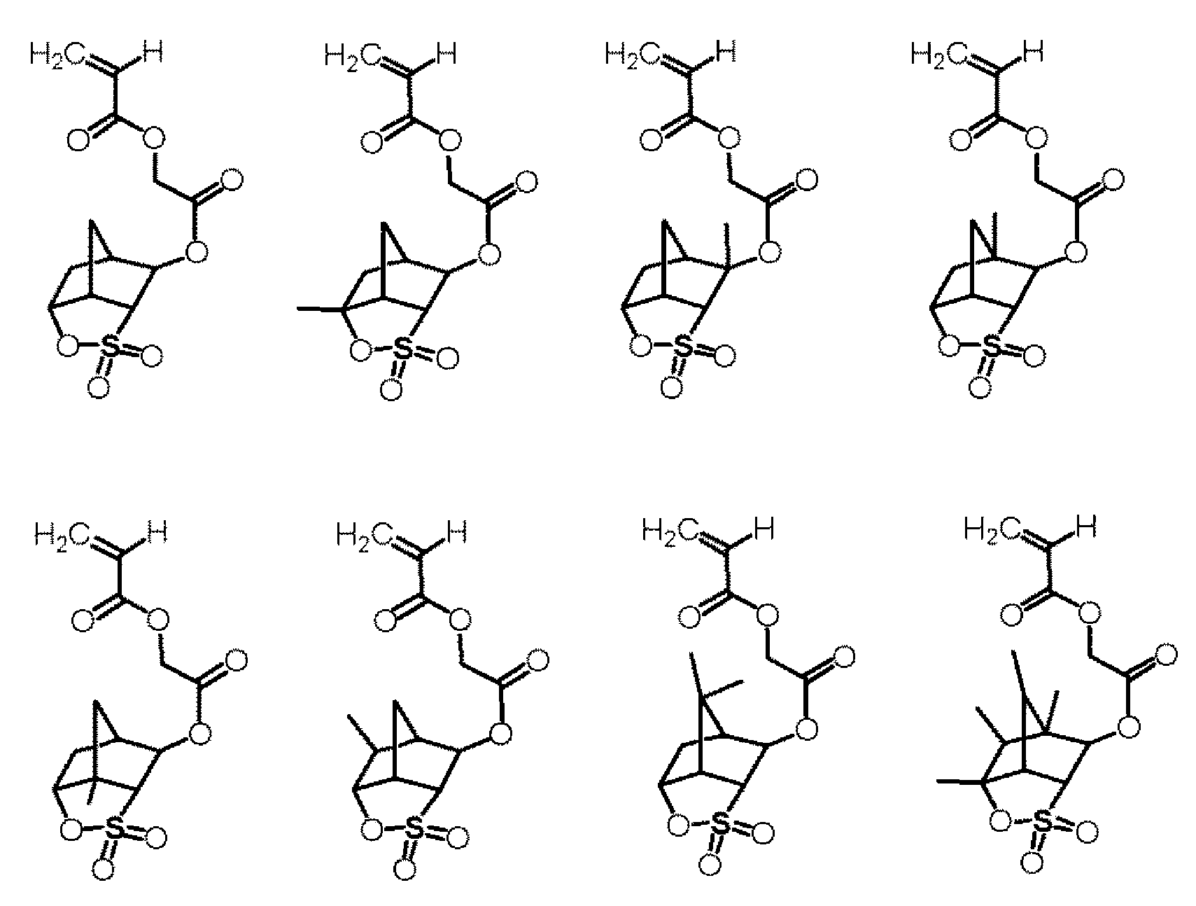
산안정 단량체 (a6-1)의 예로는 하기 산안정 단량체를 들 수 있다. R14 내지 R16 및 A3은 상기 기재된 것과 동일한 의미를 나타낸다.
Figure pat00098
이들 중, 하기 화학식으로 표시되는 산안정 단량체가 바람직하다.
Figure pat00099
산안정 단량체 (a6-1)의 구체예로는 하기 산안정 단량체를 들 수 있다.
Figure pat00100
바람직한 산안정 단량체 (a6-1)은 화학식 (a6-1-a)로 표시되는 화합물 및 화학식 (a6-1-b)로 표시되는 화합물을 반응시킴으로써 제조할 수 있다.
Figure pat00101
식 중, R14, R15, R16, A3 및 W1은 상기 정의된 바와 동일한 의미를 갖는다.
화학식 (a6-1-a)로 표시되는 통상적인 화합물은 일본특허공개공보 2002-226436-A에 기재된 1-메타크릴로일옥시-4-옥소아다만탄이다.
화학식 (a6-1-b)로 표시되는 화합물의 예로는 펜타플루오로프로피온산 무수물, 헵타플루오로부티르산 무수물 및 트리플루오로부티르산 무수물을 들 수 있다. 반응은 바람직하게는 사용된 화학식 (a6-1-b)로 표시되는 화합물의 비점 부근에서 수행된다.
수지 (AA)가 화학식 (a6)으로 표시되는 단량체로부터 유도되는 구조 단위를 함유하는 경우, 그의 분율은 수지 (AA)를 구성하는 총 구조 단위에 대하여 일반적으로 1 내지 30 몰%, 바람직하게는 3 내지 25 몰%, 더 바람직하게는 5 내지 20 몰%이다.
수지 (AB)가 화학식 (a6)으로 표시되는 단량체로부터 유도되는 구조 단위를 함유하는 경우, 그의 분율은 수지 (AB)를 구성하는 총 구조 단위에 대하여 일반적으로 5 내지 90 몰%, 바람직하게는 10 내지 80 몰%, 더 바람직하게는 20 내지 70 몰%이다.
<산안정 단량체 (a7)>
상기 이외의 산안정 단량체의 예로는, 예를 들면 화학식 (a7-1)로 표시되는 말레산 무수물, 화학식 (a7-2)로 표시되는 이타콘산 무수물 또는 화학식 (a7-3)으로 표시되는 보르보르넨환을 갖는 산안정 단량체를 들 수 있다.
Figure pat00102
식 중, Ra25 및 Ra26은 독립적으로 수소 원자, 히드록시기를 가질 수도 있는 C1 내지 C3의 알킬기, 시아노기, 카르복시기 또는 -COORa27을 나타내거나, 또는 Ra25 및 Ra26이 함께 결합하여 -CO-O-CO-를 형성할 수도 있고, Ra27은 C1 내지 C18의 지방족 탄화수소기를 나타내고, 지방족 탄화수소기 중 함유된 하나 이상의 -CH2-는 -O- 또는 -CO-로 치환될 수 있되, 단 -COORa27이 산불안정기인 기는 제외하는데, 즉 Ra27에는 3급 탄소 원자가 -O-에 결합하는 기는 포함되지 않는다.
Ra25 및 Ra26의 히드록시기를 가질 수도 있는 알킬기의 예로는, 예를 들면 메틸, 에틸, 프로필, 히드록시메틸 및 2-히드록시에틸기를 들 수 있다.
Ra27의 지방족 탄화수소기는 바람직하게는 C1 내지 C8의 알킬기 및 C4 내지 C18의 지환식 탄화수소기, 더 바람직하게는 C1 내지 C6 알킬기 및 C4 내지 C12의 지환식 탄화수소기, 더욱더 바람직하게는 메틸, 에틸, 프로필, 2-옥소-옥솔란-3-일 및 2-옥소-옥솔란-4-일기이다.
노르보르넨환을 갖는 산안정 단량체 (a7-3)의 구체예로서는, 2-노르보르넨, 2-히드록시-5-노르보르넨, 5-노르보르넨-2-카르복실산, 메틸 5-노르보르넨-2-카르복실레이트, 2-히드록시-1-에틸 5-노르보르넨-2-카르복실레이트, 5-노르보르넨-2-메탄올 및 5-노르보르넨-2,3-디카르복실산 무수물을 들 수 있다.
수지 (AA)가 화학식 (a7-1)로 표시되는 단량체, 화학식 (a7-2)로 표시되는 단량체 및/또는 화학식 (a7-3)으로 표시되는 단량체로부터 유도되는 구조 단위를 함유하는 경우, 그의 총 분율은 수지 (AA)를 구성하는 총 구조 단위에 대하여 일반적으로 2 내지 40 몰%, 바람직하게는 3 내지 30 몰%, 더 바람직하게는 5 내지 20 몰%이다.
수지 (AB)가 화학식 (a7-1)로 표시되는 단량체, 화학식 (a7-2)로 표시되는 단량체 및/또는 화학식 (a7-3)으로 표시되는 단량체로부터 유도되는 구조 단위를 함유하는 경우, 그의 총 분율은 수지 (AB)를 구성하는 총 구조 단위에 대하여 일반적으로 5 내지 70 몰%, 바람직하게는 10 내지 60 몰%, 더 바람직하게는 20 내지 50 몰%이다.
또한, 상기 이외의 산안정 단량체의 예로는 화학식 (a7-4)로 표시되는 술톤환을 갖는 단량체를 들 수 있다.
Figure pat00103
식 중, La7은 산소 원자 또는 *-T-(CH2)k2-CO-O-를 나타내며, k2는 1 내지 7의 정수를 나타내고, T는 산소 원자 또는 NH를 나타내고, *는 카르보닐기에 대한 단일 결합을 나타내고;
Ra28은 수소 원자 또는 메틸기를 나타내고;
W10은 치환될 수도 있는 술톤환을 갖는 기를 나타낸다.
술톤환은 2개의 인접한 메틸렌기가 산소 원자 및 술포닐기로 각각 치환된 환이고, 그의 예로는 하기 환을 들 수 있다. 술톤환기는 하기 술톤환 중 함유된 수소 원자가 결합으로 치환된 기이며, 상기 결합은 화학식 (a7-4) 중 La7로의 결합에 해당한다.
Figure pat00104
치환될 수도 있는 술톤환을 갖는 기는, 술톤환 중 함유된 결합으로 치환된 수소 원자 이외의 수소 원자가 치환기 (수소 원자 이외의 1가의 기)로 치환된 기를 의미하며, 그의 예로는 히드록시기, 시아노기, C1 내지 C6의 알킬기, C1 내지 C6의 불소화 알킬기, C1 내지 C6의 히드록시 알킬기, C1 내지 C6의 알콕시기, C1 내지 C7의 알콕시카르보닐기, C1 내지 C7의 아실기 및 C1 내지 C8의 아실옥시기를 들 수 있다.
술톤환을 갖는 산안정 단량체 (a7-4)의 구체예로는 하기 단량체를 들 수 있다.
Figure pat00105
Figure pat00106
Figure pat00107
Figure pat00108
Figure pat00109
Figure pat00110
Figure pat00111
Figure pat00112
Figure pat00113
Figure pat00114
Figure pat00115
Figure pat00116
Figure pat00117
Figure pat00118
Figure pat00119
Figure pat00120
Figure pat00121
Figure pat00122
Figure pat00123
Figure pat00124
Figure pat00125
Figure pat00126
Figure pat00127
Figure pat00128
수지 (AA)가 화학식 (a7-4)로 표시되는 산안정 단량체 (a7)로부터 유도되는 구조 단위를 함유하는 경우, 그의 분율은 수지 (AA)를 구성하는 총 구조 단위 (100 몰%)에 대하여 일반적으로 2 내지 40 몰%, 바람직하게는 3 내지 35 몰%, 더 바람직하게는 5 내지 30 몰%이다.
수지 (AB)가 화학식 (a7-4)로 표시되는 산안정 단량체 (a7)로부터 유도되는 구조 단위를 함유하는 경우, 그의 분율은 수지 (AB)를 구성하는 총 구조 단위에 대하여 일반적으로 5 내지 90 몰%, 바람직하게는 10 내지 80 몰%, 더 바람직하게는 20 내지 70 몰%이다.
<산안정 단량체 (a8)>
하기와 같이 불소 원자를 함유하는 산안정 단량체 (a8)이 수지 (A)의 제조에 사용된다.
Figure pat00129
이들 중, 단환- 또는 다환-지환식 탄화수소기를 갖는, 5-(3,3,3-트리플루오로-2-히드록시-2-[트리플루오로메틸]프로필) 비시클로[2.2.1]헵트-2-일 (메트)아크릴레이트, 6-(3,3,3-트리플루오로-2-히드록시-2-[트리플루오로메틸]프로필)비시클로[2.2.1]헵트-2-일 (메트)아크릴레이트, 4,4-비스(트리플루오로메틸)-3-옥사트리시클로[4.2.1.02,5]노닐이 바람직하다.
수지 (AA)가 화학식 (a8)로 표시되는 단량체로부터 유도되는 구조 단위를 함유하는 경우, 그의 분율은 수지 (AA)를 구성하는 총 구조 단위에 대하여 일반적으로 1 내지 20 몰%, 바람직하게는 2 내지 15 몰%, 더 바람직하게는 3 내지 10 몰%이다.
수지 (AB)가 화학식 (a8)로 표시되는 단량체로부터 유도되는 구조 단위를 함유하는 경우, 그의 분율은 수지 (AB)를 구성하는 총 구조 단위 (100 몰%)에 대하여 일반적으로 5 내지 90 몰%, 바람직하게는 10 내지 80 몰%, 더 바람직하게는 20 내지 70 몰%이다.
<수지의 제조>
수지 (AA)는 적어도 화합물 (a) 및 단량체 (a1) 및 필요에 따라 산안정 단량체가 중합된 공중합체, 바람직하게는 화합물 (a), 단량체 (a1) 및 산안정 단량체 (a2) 및/또는 산안정 단량체 (a3)이 중합된 공중합체일 수 있다.
수지 (AA)의 제조시, 사용된 단량체 (a1)는 바람직하게는 아다만틸기를 갖는 단량체 (a1-1) 및 시클로알킬기를 갖는 단량체 (a1-2) 중 적어도 하나이고, 더 바람직하게는 아다만틸기를 갖는 단량체 (a1-1)이다.
산안정 단량체는 바람직하게는 히드록시아다만틸기를 갖는 단량체 (a2-1) 및 산안정 단량체 (a3)이다. 락톤환을 갖는 단량체 (a3)은 바람직하게는 γ-부티로락톤환을 갖는 단량체 (a3-1), 및 γ-부티로락톤환과 노르보르넨환의 축합환을 갖는 단량체 (a3-2) 중 적어도 하나이다.
수지 (AA)는 공지된 중합 방법, 예를 들면 라디칼 중합 방법으로 제조할 수 있다. 단량체는 수지 (AA)의 제조시 단독 화합물로 또는 2종 이상의 화합물의 혼합물로 사용할 수 있다.
수지 (AA)가 단량체 (a1)로부터 유도되는 구조 단위를 함유하는 경우, 그의 총 분율은 수지 (AA)의 총 구조 단위 (100 몰%)에 대하여 일반적으로 10 내지 95 몰%, 바람직하게는 20 내지 80 몰%이다.
수지 (AA)의 중량 평균 분자량은 바람직하게는 2500 이상 (더 바람직하게는 3000 이상, 더욱 바람직하게는 3500 이상)이고, 50,000 이하 (더 바람직하게는 30,000 이하, 더욱 바람직하게는 10,000 이하)이다. 중량 평균 분자량은 표준 물질로서 폴리스티렌을 이용하여 겔 투과 크로마토그래피에 의해 측정되는 값이다. 이 분석법의 상세한 조건은 실시예에 기재한다.
수지 (AB)는 화합물 (a)로부터 유도되는 구조 단위만 갖는 산안정 수지, 또는 화합물 (a)로부터 유도되는 구조 단위 및 산안정 단량체 (바람직하게는 산안정 단량체 (a2) 내지 (a8)로부터 선택되는 적어도 하나의 산안정 단량체)로부터 유도되는 구조 단위를 갖는 산안정 수지일 수 있다. 이들 중, 화합물 (a)로부터 유도되는 구조 단위와, 산안정 단량체 (a5)로부터 유도되는 구조 단위 및 산안정 단량체 (a6)으로부터 유도되는 구조 단위 중 적어도 하나를 갖는 산안정 수지가 바람직하다.
본 발명의 레지스트 조성물은 수지 (AA)에 더하여 또는 수지 (AA) 대신에 수지 (AB)를 함유할 수 있다. 수지 (AA)에 더하여 수지 (AB)를 첨가하는 경우, 수지 (AB)의 함량은 수지 (AA) 100 중량부에 대하여 일반적으로 0.1 내지 20 중량부이다.
수지 (AB)는 공지된 중합 방법, 예를 들면 라디칼 중합 방법으로 제조할 수 있다. 단량체는 수지 (AB)의 제조시 단독 화합물로 또는 2종 이상의 화합물의 혼합물로 사용할 수 있다.
수지 (AB)의 중량 평균 분자량은 바람직하게는 8000 이상 (더 바람직하게는 10000 이상, 더욱 바람직하게는 11000 이상)이고, 80,000 이하 (더 바람직하게는 60,000 이하, 더욱 바람직하게는 50,000 이하)이다.
<수지 (X)>
본 발명의 레지스트 조성물이 수지 (AA) 대신에 수지 (AB)를 함유하는 경우, 레지스트 조성물은 바람직하게는 산불안정기를 함유하는 단량체로부터 유도되는 구조 단위를 갖는 수지, 즉 상기 특성을 갖는 수지를 더 포함한다. 이와 같은 수지는 화합물 (a)로부터 유도되는 구조 단위는 없지만 상기 특성을 갖는 수지이며, 이하 이러한 수지를 하기 기재된 바와 같이 "수지 (X)"로 칭한다.
본 발명의 레지스트 조성물이 수지 (AB)에 더하여 수지 (X)를 함유하는 경우, 수지 (AB)의 함량은, 예를 들면 수지 (X) 100 중량부에 대하여 0.1 내지 20 중량부이다.
수지 (X)는 수지 (AA)와의 조합으로 사용될 수 있다.
본 발명의 레지스트 조성물이 수지 (AA) 및 수지 (X)를 함유하는 경우, 수지 (AA):(X)의 중량비는 1:100 내지 99.9:0.1일 수 있다.
수지 (X)는 바람직하게는 적어도 단량체 (a1), 및 산안정 단량체 (a2) 및/또는 산안정 단량체 (a3)으로 중합된 공중합체이다.
수지 (X)의 제조시, 사용된 단량체 (a1)은 바람직하게는 아다만틸기를 갖는 단량체 (a1-1) 및 시클로알킬기를 갖는 단량체 (a1-2) 중 적어도 하나이고, 더 바람직하게는 아다만틸기를 갖는 단량체 (a1-1)이다.
산안정 단량체 (a2)는 바람직하게는 히드록시아다만틸기를 갖는 단량체 (a2-1)이고, 락톤환을 갖는 산안정 단량체 (a3)은 바람직하게는 γ-부티로락톤환을 갖는 단량체 (a3-1) 및 γ-부티로락톤환과 보르보르넨환의 축합환을 갖는 단량체 (a3-2) 중 적어도 하나이다.
수지 (X)는 공지된 중합 방법, 예를 들면 라디칼 중합 방법으로 제조할 수도 있다. 수지 (X)의 제조시 단량체를 단독 화합물로 또는 2종 이상의 화합물의 혼합물로 사용할 수 있다.
수지 (X)의 제조시, 상기 단량체의 분율은 상기 기재된 범위와 동일한 범위일 수 있거나, 또는 수지의 특성을 고려하여 임의의 범위로 설정할 수 있다. 특히, 사용된 단량체 (a1):단량체 (a2) 및/또는 (a3)의 몰비는 10:90 내지 95:5일 수 있다.
수지 (X)의 중량 평균 분자량은 바람직하게는 2,500 이상 (더 바람직하게는 3,000 이상, 더욱 바람직하게는 3,500 이상)이고, 50,000 이하 (더 바람직하게는 30,000 이하, 더욱 바람직하게는 10,000 이하)이다.
<산발생제 (B)>
산발생제 (B)는 비이온계 또는 이온계 산발생제로 분류된다. 본 발명의 레지스트 조성물에서는 어느 산발생제나 사용될 수 있다.
비이온계 산발생제의 예로는 유기 할로겐화 화합물; 2-니트로벤질 에스테르, 방향족 술포네이트, 옥심 술포네이트, N-술포닐 옥시이미드, 술포닐 옥시케톤 및 디아조 나프토퀴논 4-술포네이트와 같은 술포네이트 에스테르; 디술폰, 케토술폰 및 술폰 디아조메탄과 같은 술폰을 들 수 있다.
이온계 산발생제의 예로는 오늄 양이온을 포함하는 오늄 염 (예를 들면, 디아조늄 염, 포스포늄 염, 술포늄 염, 요오도늄 염)을 들 수 있다.
오늄 염의 음이온의 예로는 술포네이트 음이온, 술포닐이미드 음이온 및 술포닐메티드 음이온을 들 수 있다.
산발생제 (B)로는, 일본특허공개공보 (소)63-26653-A, 일본특허공개공보 (소)55-164824-A, 일본특허공개공보 (소)62-69263-A, 일본특허공개공보 (소)63-146038-A, 일본특허공개공보 (소)63-163452-A, 일본특허공개공보 (소)62-153853-A, 일본특허공개공보 (소)63-146029-A, 미국 특허 3,779,778-B, 미국 특허 3,849,137-B, 독일 특허 3,914,407-B 및 유럽 특허 126,712-A에 기재되어 있는 조사에 의해 산을 발생하는 화합물을 사용할 수 있다.
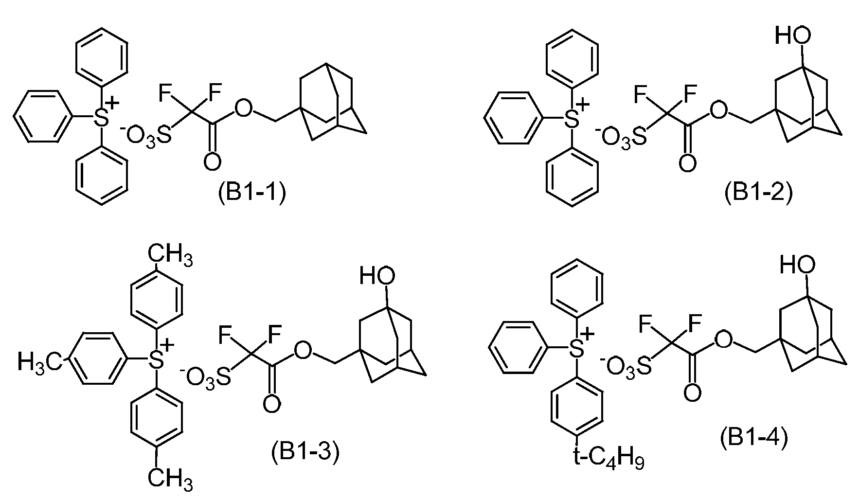
산발생제 (B)로는 불소-함유 산발생제가 바람직하고, 하기 화학식 (B1)로 표시되는 술폰산 염이 더 바람직하며, 이하 이러한 산발생제를 하기에 기재한 바와 같이 "산발생제 (B1)"로 칭한다. 산발생제 (B1) 중, 양전하의 Z+는 이하 "유기 양이온"으로 칭하고, 화합물로부터 유기 양이온이 제거된 음전하의 것은 "술포네이트 음이온"으로 칭한다.
Figure pat00130
식 중, Q1 및 Q2는 독립적으로 불소 원자 또는 C1 내지 C6의 퍼플루오로알킬기를 나타내고;
Lb1은 치환될 수도 있는 C1 내지 C17의 2가의 지방족 탄화수소기를 나타내고, 지방족 탄화수소기 중 함유된 -CH2-는 -O- 또는 -CO-로 치환될 수 있고;
Y는 치환될 수도 있는 C1 내지 C18의 지방족 탄화수소기를 나타내고, 지방족 탄화수소기 중 함유된 -CH2-는 -O-, -CO- 또는 -SO2-로 치환될 수 있고;
Z+는 유기 양이온을 나타낸다.
Q1 및 Q2의 퍼플루오로알킬기의 예로는 트리플루오로메틸, 퍼플루오로에틸, 퍼플루오로프로필, 퍼플루오로-이소프로필, 퍼플루오로부틸, 퍼플루오로-sec-부틸, 퍼플루오로-tert-부틸, 퍼플루오로펜틸 및 퍼플루오로헥실기를 들 수 있다.
이들 중, Q1 및 Q2는 독립적으로 바람직하게는 트리플루오로메틸 또는 불소 원자이고, 더 바람직하게는 둘 모두 불소 원자이다.
Lb1의 2가의 지방족 탄화수소기의 예로는
메틸렌, 에틸렌, 프로판-1,3-디일, 프로판-1,2-디일, 부탄-1,4-디일, 펜탄-1,5-디일, 헥산-1,6-디일, 헵탄-1,7-디일, 옥탄-1,8-디일, 노난-1,9-디일, 데칸-1,10-디일, 운데칸-1,11-디일, 도데칸-1,12-디일, 트리데칸-1,13-디일, 테트라데칸-1,14-디일, 펜타데칸-1,15-디일, 헥사데칸-1,16-디일, 헵타데칸-1,17-디일기, 에탄-1,1-디일, 프로판-1,1-디일 및 프로판-2,2-디일기와 같은 직쇄 알칸디일기;
예를 들면 부탄-1,3-디일, 2-메틸프로판-1,3-디일, 2-메틸프로판-1,2-디일, 펜탄-1,4-디일, 2-메틸부탄-1,4-디일기와 같은, 직쇄 알칸디일기에 C1 내지 C4의 알킬기 (예를 들면 메틸, 에틸, 프로필, 이소프로필, 부틸, sec-부틸 및 tert-부틸)의 측쇄가 결합된 기와 같은 분지쇄 알칸디일기;
시클로부탄-1,3-디일, 시클로펜탄-1,3-디일, 시클로헥산-1,2-디일, 1-메틸헥산-1,2-디일, 시클로헥산-1,4-디일, 시클로옥탄-1,2-디일, 시클로옥탄-1,5-디일기와 같은 단환-지환식 탄화수소기;
노르보르난-2,3-디일, 노르보르난-1,4-디일, 노르보르난-2,5-디일, 아다만탄-1,5-디일 및 아다만탄-2,6-디일기와 같은 다환-지환식 탄화수소기; 및
2종 이상의 기의 조합을 들 수 있다.
지방족 탄화수소기 중 함유된 -CH2-가 -O- 또는 -CO-로 치환된 Lb1의 지방족 탄화수소기의 예로는, 예를 들면 화학식 (b1-1) 내지 화학식 (b1-6)으로 표시되는 기를 들 수 있다. 이들 중, 화학식 (b1-1) 내지 화학식 (b1-4)로 표시되는 기가 바람직하고, 화학식 (b1-1) 또는 화학식 (b1-2)로 표시되는 기가 더 바람직하다.
화학식 (b1-1) 내지 화학식 (b1-6)에 있어서, 기는 화학식 (B1)의 2개의 측기와 부합하도록 나타내는데, 즉 기의 왼쪽은 C(Q1)(Q2)-에 결합하고, 기의 오른쪽은 -Y에 결합한다 (화학식 (b1-1) 내지 화학식 (b1-6)의 예는 상기와 동일함). *는 결합을 나타낸다.
Figure pat00131
식 중, Lb2는 단일 결합 또는 C1 내지 C15의 2가의 지방족 탄화수소기를 나타내며, 지방족 탄화수소기는 바람직하게는 포화 지방족 탄화수소기이고;
Lb3은 단일 결합 또는 C1 내지 C12의 2가의 지방족 탄화수소기를 나타내며, 지방족 탄화수소기는 바람직하게는 포화 지방족 탄화수소기이고;
Lb4는 C1 내지 C13의 2가의 지방족 탄화수소기를 나타내며, 지방족 탄화수소기는 바람직하게는 포화 지방족 탄화수소기이고, Lb3 및 Lb4의 총 탄소수는 최대 13이고;
Lb5는 C1 내지 C15의 2가의 포화 탄화수소기를 나타내고;
Lb6 및 Lb7은 독립적으로 C1 내지 C15의 2가의 지방족 탄화수소기를 나타내며, 지방족 탄화수소기는 바람직하게는 포화 지방족 탄화수소기이고, Lb6 및 Lb7의 총 탄소수는 최대 16이고;
Lb8은 C1 내지 C14의 2가의 지방족 탄화수소기를 나타내며, 지방족 탄화수소기는 바람직하게는 포화 지방족 탄화수소기이고;
Lb9 및 Lb10은 독립적으로 C1 내지 C11의 2가의 지방족 탄화수소기를 나타내며, 지방족 탄화수소기는 바람직하게는 포화 지방족 탄화수소기이고, Lb9 및 Lb10의 총 탄소수는 최대 12이다.
이들 중, 화학식 (b1-1)로 표시되는 2가의 기가 바람직하고, Lb2가 단일 결합 또는 -CH2-를 나타내는 화학식 (b1-1)로 표시되는 2가의 기가 더 바람직하다.
화학식 (b1-1)로 표시되는 2가의 기의 구체예로는 이하의 기를 들 수 있다.
화학식 (b1-2)로 표시되는 2가의 기의 구체예로는 이하의 기를 들 수 있다.
Figure pat00133
화학식 (b1-3)으로 표시되는 2가의 기의 구체예로는 이하의 기를 들 수 있다.
Figure pat00134
화학식 (b1-4)로 표시되는 2가의 기의 구체예로는 이하의 기를 들 수 있다.
Figure pat00135
화학식 (b1-5)로 표시되는 2가의 기의 구체예로는 이하의 기를 들 수 있다.
Figure pat00136
화학식 (b1-6)으로 표시되는 2가의 기의 구체예로는 이하의 기를 들 수 있다.
Figure pat00137
La1의 지방족 탄화수소기는 치환기를 가질 수 있다.
그 치환기의 예로는 할로겐 원자, 히드록시기, 카르복시기, C6 내지 C18의 방향족 탄화수소기, C7 내지 C21의 아랄킬기, C2 내지 C4의 아실기 및 글리시딜옥시기를 들 수 있다.
방향족 탄화수소기의 예로는, 페닐, 나프틸, p-메틸페닐, p-tert-부틸페닐, p-아다만틸페닐, 톨릴, 크실릴, 쿠메닐, 메시틸, 비페닐, 안트릴, 페난트릴, 2,6-디에틸페닐 및 2-메틸-6-에틸페닐기를 들 수 있다.
아랄킬기의 예로는 벤질, 페네틸, 페닐프로필, 트리틸, 나프틸메틸 및 나프틸에틸기를 들 수 있다.
아실기의 예로는 아세틸, 프로피오닐 및 부티릴기를 들 수 있다.
Y의 지방족 탄화수소기는 바람직하게는 알킬기 및 지환식 탄화수소기 또는 그의 조합의 기이다.
알킬기의 예로는 메틸, 에틸, 프로필, 부틸, 헵틸 및 헥실기를 들 수 있다. 알킬기는 바람직하게는 C1 내지 C6의 알킬기이다.
지환식 탄화수소기의 예로는 하기 기재된 바와 같이 화학식 (Y1) 내지 화학식 (Y11)로 표시되는 기를 들 수 있다. 지환식 탄화수소기는 바람직하게는 C3 내지 C12의 지환식 탄화수소기이다.
Figure pat00138
지방족 탄화수소기 중 함유된 -CH2-가 -O-, -CO- 또는 -SO2-로 치환된 Y의 예로는, 예를 들면
환식 에테르기 (1개 또는 2개의 -CH2-가 1개 또는 2개의 -O-로 치환된 기),
환식 케톤기 (1개 또는 2개의 -CH2-가 1개 또는 2개의 -CO-로 치환된 기),
술톤환기 (화학식 (a7-4)로 기재된, 인접한 2개의 -CH2-가 각각 -O- 및 -SO2-로 치환된 기), 또는
락톤환기 (인접한 2개의 -CH2-가 각각 -O- 및 -CO-로 치환된 기)를 들 수 있다.
그의 예로는 상기 기재된 바와 같이 화학식 (Y12) 내지 화학식 (Y26)으로 표시되는 기를 들 수 있다.
이들 중, Y의 지방족 탄화수소기는 바람직하게는 화학식 (Y1) 내지 화학식 (Y19)로 표시되는 기이고, 더 바람직하게는 하기의 기이다.
Figure pat00139
Y의 치환기의 예로는, (불소 원자 이외의) 할로겐 원자, 히드록시기, C1 내지 C12의 알콕시기, C6 내지 C18의 방향족 탄화수소기, C7 내지 C21의 아랄킬기, C2 내지 C4의 아실기, 글리시딜옥시기 또는 -(CH2)j2-O-CO-Rb1 기를 들 수 있고, 여기서 Rb1은 C1 내지 C16의 탄화수소기를 나타내고, j2는 0 내지 4의 정수를 나타낸다. 방향족 탄화수소기 및 아랄킬기는 C1 내지 C6의 알킬기, 할로겐 원자 또는 히드록시기와 같은 치환기를 더 가질 수 있다.
알콕시기의 예로는 메톡시, 에톡시, 프로폭시, 부톡시, 헥실옥시, 옥틸옥시, 2-에틸헥실옥시, 노닐옥시, 데실옥시, 운데실옥시 및 도데실옥시기를 들 수 있다.
Rb1의 탄화수소기의 예로는, C1 내지 C16의 쇄상 지방족 탄화수소기, C3 내지 C16의 지환식 탄화수소기 및 C6 내지 C18의 방향족 탄화수소기를 들 수 있다.
알킬기-함유 지환식 탄화수소기를 갖는 Y의 예로는 하기의 기를 들 수 있다.
Figure pat00140
히드록시기 또는 히드록시기-함유 지환식 탄화수소기를 갖는 Y의 예로는 하기의 기를 들 수 있다.
Figure pat00141
방향족 탄화수소기-함유 지환식 탄화수소를 갖는 Y의 예로는 하기의 기를 들 수 있다.
Figure pat00142
-(CH2)j2-O-CO-Rb1 기-함유 지환식 탄화수소기를 갖는 Y의 예로는 하기의 기를 들 수 있다.
Figure pat00143
Y는 바람직하게는 예를 들면 히드록시기로 치환될 수도 있는 아다만틸기이고, 더 바람직하게는 아다만틸기 및 히드록시아다만틸기이다.
술포네이트 음이온은 바람직하게는 화학식 (b1-1)로 표시되는 2가의 기이고, 더 바람직하게는 하기 화학식 (b1-1-1) 내지 화학식 (b1-1-9)로 표시되는 기이다.
Figure pat00144
화학식 (b1-1-1) 내지 화학식 (b1-1-9) 중, Q1, Q2 및 Lb2는 상기 기재된 것과 동일한 의미를 나타낸다 (바람직하게는 Q1 및 Q2가 둘 모두 불소 원자이고, 바람직하게는 Lb2가 화학식 (b1-1)로 표시되는 기임). Rb2 및 Rb3은 독립적으로 C1 내지 C4의 지방족 탄화수소기 또는 히드록시기 (바람직하게는 메틸기 또는 히드록시기)를 나타낸다.
Y가 쇄상 지방족 탄화수소기 또는 비치환된 지환식 탄화수소기이고 La1이 화학식 (b1-1)로 표시되는 2가의 기인 술포네이트 음이온의 예로는, 하기 음이온을 들 수 있다.
Figure pat00145
Figure pat00146
Figure pat00147
Figure pat00148
Y가 -(CH2)j2-CO-O-Rb1 기로 치환된 지환식 탄화수소기이고 La1이 화학식 (b1-1)로 표시되는 2가의 기인 술포네이트 음이온의 예로는, 하기의 음이온을 들 수 있다.
Figure pat00149
Y가 히드록시기로 치환된 지환식 탄화수소기를 갖는 지환식 탄화수소기이고 La1이 화학식 (b1-1)로 표시되는 2가의 기인 술포네이트 음이온의 예로는, 하기의 음이온을 들 수 있다.
Figure pat00150
Figure pat00151
Figure pat00152
Figure pat00153
Y가 방향족 탄화수소기 또는 아랄킬기로 치환된 지방족 탄화수소기이고 La1이 화학식 (b1-1)로 표시되는 2가의 기인 술포네이트 음이온의 예로는, 하기의 음이온을 들 수 있다.
Figure pat00154
Y가 환식 에테르기이고 La1이 화학식 (b1-1)로 표시되는 2가의 기인 술포네이트 음이온의 예로는, 하기 음이온을 들 수 있다.
Figure pat00155
Y가 락톤환이고 La1이 화학식 (b1-1)로 표시되는 2가의 기인 술포네이트 음이온의 예로는, 하기 음이온을 들 수 있다.
Figure pat00156
Figure pat00157
Y가 환식 케톤기이고 La1이 화학식 (b1-1)로 표시되는 2가의 기인 술포네이트 음이온의 예로는, 하기 음이온을 들 수 있다.
Figure pat00158
Y가 술톤환기이고 La1이 화학식 (b1-1)로 표시되는 2가의 기인 술포네이트 음이온의 예로는, 하기 음이온을 들 수 있다.
Figure pat00159
Y가 쇄상 지방족 탄화수소기 또는 비치환된 지환식 탄화수소이고 La1이 화학식 (b1-2)로 표시되는 2가의 기인 술포네이트 음이온의 예로는, 하기 음이온을 들 수 있다.
Figure pat00160
Figure pat00161
Figure pat00162
Figure pat00163
Figure pat00164
Figure pat00165
Y가 -(CH2)j2-CO-O-Rb1 기로 치환된 지환식 탄화수소기이고 La1이 화학식 (b1-2)로 표시되는 2가의 기인 술포네이트 음이온의 예로는, 하기 음이온을 들 수 있다.
Figure pat00166
Y가 히드록시기로 치환된 지환식 탄화수소기이고 La1이 화학식 (b1-2)로 표시되는 2가의 기인 술포네이트 음이온의 예로는, 하기 음이온을 들 수 있다.
Figure pat00167
Figure pat00168
Y가 방향족 탄화수소기 또는 아랄킬기로 치환된 지방족 탄화수소기이고 La1이 화학식 (b1-2)로 표시되는 2가의 기인 술포네이트 음이온의 예로는, 하기 음이온을 들 수 있다.
Figure pat00169
Y가 환식 에테르기이고 La1이 화학식 (b1-2)로 표시되는 2가의 기인 술포네이트 음이온의 예로는, 하기 음이온을 들 수 있다.
Figure pat00170
Y가 락톤환이고 La1이 화학식 (b1-2)로 표시되는 2가의 기인 술포네이트 음이온의 예로는, 하기 음이온을 들 수 있다.
Figure pat00171
Y가 환식 케톤기이고 La1이 화학식 (b1-2)로 표시되는 2가의 기인 술포네이트 음이온의 예로는, 하기 음이온을 들 수 있다.
Figure pat00172
Y가 술톤환기이고 La1이 화학식 (b1-2)로 표시되는 2가의 기인 술포네이트 음이온의 예로는, 하기 음이온을 들 수 있다.
Figure pat00173
Y가 쇄상 지방족 탄화수소기이고 La1이 화학식 (b1-3)으로 표시되는 2가의 기인 술포네이트 음이온의 예로는, 하기 음이온을 들 수 있다.
Figure pat00174
Y가 알콕시기로 치환된 지환식 탄화수소기이고 La1이 화학식 (b1-3)으로 표시되는 2가의 기인 술포네이트 음이온의 예로는, 하기 음이온을 들 수 있다.
Figure pat00175
Y가 히드록시기로 치환된 지환식 탄화수소기이고 La1이 화학식 (b1-3)으로 표시되는 2가의 기인 술포네이트 음이온의 예로는, 하기 음이온을 들 수 있다.
Figure pat00176
Y가 환식 케톤기이고 La1이 화학식 (b1-3)으로 표시되는 2가의 기인 술포네이트 음이온의 예로는, 하기 음이온을 들 수 있다.
Figure pat00177
Y가 쇄상 지방족 탄화수소기이고 La1이 화학식 (b1-4)로 표시되는 2가의 기인 술포네이트 음이온의 예로는, 하기 음이온을 들 수 있다.
Figure pat00178
Y가 알콕시기로 치환된 지환식 탄화수소기이고 La1이 화학식 (b1-4)로 표시되는 2가의 기인 술포네이트 음이온의 예로는, 하기 음이온을 들 수 있다.
Figure pat00179
Y가 히드록시기로 치환된 지환식 탄화수소기이고 La1이 화학식 (b1-4)로 표시되는 2가의 기인 술포네이트 음이온의 예로는, 하기 음이온을 들 수 있다.
Figure pat00180
Y가 환식 케톤기이고 La1이 화학식 (b1-4)로 표시되는 2가의 기인 술포네이트 음이온의 예로는, 하기 음이온을 들 수 있다.
Figure pat00181
이들 중, La1의 경우 화학식 (b1-1)로 표시되는 2가의 기를 함유하는 술포네이트 음이온이 바람직하다. 바람직한 술포네이트 음이온의 구체예로는 하기 음이온을 들 수 있다.
Figure pat00182
특히, Y가 치환될 수도 있는 C3 내지 C18의 지환식 탄화수소기인 술포네이트 음이온이 더 바람직하다.
산발생제 (B)의 양이온의 예로는, 오늄 양이온, 예를 들면 술포늄 양이온, 요오도늄 양이온, 암모늄 양이온, 벤조티아졸륨 양이온 및 포스포늄 양이온을 들 수 있다. 이들 중, 술포늄 양이온 및 요오도늄 양이온이 바람직하고, 화학식 (b2-1) 내지 화학식 (b2-4) 중 어느 것으로 표시되는 유기 양이온이 더 바람직하다.
화학식 (B1)의 Z+는 바람직하게는 화학식 (b2-1) 내지 화학식 (b2-4) 중 어는 것으로 표시된다.
Figure pat00183
식 중, Rb4 내지 Rb6은 독립적으로 C1 내지 C30의 알킬기, C3 내지 C18의 지환식 탄화수소기 또는 C6 내지 C18의 방향족 탄화수소기를 포함하는 C1 내지 C30의 탄화수소기를 나타내며, 상기 알킬기는 히드록시기, C1 내지 C12의 알콕시기 또는 C6 내지 C18의 방향족 탄화수소기로 치환될 수 있고, 지환식 탄화수소기는 할로겐 원자, C2 내지 C4의 아실기 및 글리시딜옥시기로 치환될 수 있고, 방향족 탄화수소기는 할로겐 원자, 히드록시기, C1 내지 C18의 알킬기, C3 내지 C18의 지환식 탄화수소기 또는 C1 내지 C12의 알콕시기로 치환될 수 있고;
Rb7 및 Rb8은 각 경우에 독립적으로 히드록시기, C1 내지 C12의 알킬기 또는 C1 내지 C12의 알콕시기를 나타내고;
m2 및 n2는 독립적으로 0 내지 5의 정수를 나타내고;
Rb9 및 Rb10은 독립적으로 C1 내지 C18의 알킬기 또는 C3 내지 C18의 지환식 탄화수소기를 나타내고;
Rb11은 수소 원자, C1 내지 C18의 알킬기, C3 내지 C18의 지환식 탄화수소기 또는 C6 내지 C18의 방향족 탄화수소기를 나타내고;
Rb12는 C1 내지 C18의 알킬기, C3 내지 C18의 지환식 탄화수소기 또는 C6 내지 C18의 방향족 탄화수소기를 포함하는 C1 내지 C18의 탄화수소기를 나타내며, 상기 방향족 탄화수소기는 C1 내지 C12의 알킬기, C1 내지 C12의 알콕시기, C3 내지 C18의 지환식 탄화수소기 또는 알킬 카르보닐옥시기로 치환될 수 있고;
Rb9 및 Rb10은 결합하여 황-함유 C3 내지 C12의 환 (바람직하게는 C3 내지 C7의 환)을 형성할 수 있고, 환 중에 함유된 -CH2-는 -O-, -S- 또는 -CO-로 치환될 수 있고;
Rb11 및 Rb12는 결합하여 -CH-CO-를 함유하는 C3 내지 C12의 환 (바람직하게는 C4 내지 C7의 환)을 형성할 수 있고, 환 중에 함유된 -CH2-는 -O-, -S- 또는 -CO-로 치환될 수 있고;
Rb13 내지 Rb18은 각 경우에 독립적으로 히드록시기, C1 내지 C12의 알킬기 또는 C1 내지 C12의 알콕시기를 나타내고;
Lb11은 -S- 또는 -O-를 나타내고;
o2, p2, s2 및 t2는 독립적으로 0 내지 5의 정수를 나타내고;
q2 또는 r2는 독립적으로 0 내지 4의 정수를 나타내고;
u2는 0 또는 1의 정수를 나타낸다.
알킬기, 지환식 탄화수소기, 방향족 탄화수소기, 알콕시기, 할로겐 원자 및 아실기의 예로는, 상기 정의된 바와 동일한 것을 들 수 있다.
Rb12의 알킬카르보닐옥시기의 예로는 메틸카르보닐옥시, 에틸카르보닐옥시, n-프로필카르보닐옥시, 이소프로필카르보닐옥시, n-부틸카르보닐옥시, sec-부틸카르보닐옥시, tert-부틸카르보닐옥시, 펜틸카르보닐옥시, 헥실카르보닐옥시, 옥틸카르보닐옥시 및 2-에틸헥실카르보닐옥시를 들 수 있다.
바람직한 알킬기의 예로는 메틸, 에틸, 프로필, 부틸, 헥실, 옥틸 및 2-에틸헥실기를 들 수 있고, 특히 Rb9 내지 Rb11의 알킬기는 바람직하게는 C1 내지 C12의 알킬기이다.
바람직한 지환식 탄화수소기의 예로는 시클로프로필, 시클로부틸, 시클로펜틸, 시클로헥실, 시클로헵틸, 시클로데실, 2-알킬아다만탄-2-일, 1-(아다만탄-1-일)알칸-1-일 및 이소보르닐기를 들 수 있고, 특히 Rb9 내지 Rb11의 지환식 탄화수소기는 바람직하게는 C3 내지 C18의 지환식 탄화수소기, 더 바람직하게는 C4 내지 C12의 지환식 탄화수소기이다.
바람직한 방향족 탄화수소기의 예로는, 페닐, 4-메톡시페닐, 4-에틸페닐, 4-tert-부틸페닐, 4-시클로헥실페닐, 4-메톡시페닐, 비페닐 및 나프틸기를 들 수 있다.
알킬기로 치환된 방향족기의 예로는, 통상 벤질, 페네틸, 페닐프로필, 트리틸, 나프틸메틸 및 나프틸에틸기와 같은 아랄킬기를 나타낸다.
Rb9 및 Rb10가 함께 결합하여 형성된 환의 예로는, 티올란-1-윰 환 (테트라히드로티오페늄환), 티안-1-윰 환 및 1,4-옥사티안-4-윰 환을 들 수 있다.
Rb11 및 Rb12가 함께 결합하여 형성된 환의 예로는, 옥소시클로헵탄환, 옥소시클로헥산환, 옥소노르보르난환 및 옥소아다만탄환을 들 수 있다.
화학식 (b2-1) 내지 화학식 (b2-4)로 표시되는 양이온 중, 화학식 (b2-1)로 표시되는 양이온이 바람직하고, 트리페닐 술포늄 양이온 (화학식 (b2-1-1) 중, v2=w2=x2=0) 및 트리톨릴 술포늄 양이온 (화학식 (b2-1-1) 중, v2=w2=x2=1, 및 Rb19, Rb20 및 Rb21은 메틸기)이 더 바람직하다.
Figure pat00184
식 중, Rb19 내지 Rb21은 각 경우에 독립적으로 할로겐 원자, 히드록시기, C1 내지 C18의 지방족 탄화수소기 또는 C1 내지 C12의 알콕시기를 나타내고;
v2 내지 x2는 독립적으로 0 내지 5의 정수를 나타낸다.
지방족 탄화수소기는 바람직하게는 C1 내지 C12의 알킬기 또는 C4 내지 C18의 지환식 탄화수소기이다.
화학식 (b2-1-1) 중, Rb19 내지 Rb21은 독립적으로 바람직하게는 할로겐 원자 (더 바람직하게는 불소 원자), 히드록시기, C1 내지 C12의 알킬기 또는 C1 내지 C12의 알콕시기를 나타내고;
v2 내지 x2는 독립적으로 바람직하게는 0 또는 1을 나타낸다.
화학식 (b2-1-1)의 양이온의 구체예로는 하기 양이온을 들 수 있다.
Figure pat00185
이러한 유기 양이온을 갖는 산발생제 (B1)을 포함하는 레지스트 조성물로 레지스트 패턴 제조시 양호한 포커스 마진을 얻을 수 있다.
화학식 (b2-2)의 양이온의 구체예로는 하기 양이온을 들 수 있다.
Figure pat00186
화학식 (b2-3)의 양이온의 구체예로는 하기 양이온을 들 수 있다.
Figure pat00187
Figure pat00188
화학식 (b2-4)의 양이온의 구체예로는 하기 양이온을 들 수 있다.
Figure pat00189
Figure pat00190
Figure pat00191
Figure pat00192
산발생제 (B1)은 상기 술포네이트 음이온과 유기 양이온의 조합의 화합물이다.
상기 술포네이트 음이온 및 유기 양이온은 임의로 조합할 수 있고, 화학식 (b1-1-1) 내지 화학식 (b1-1-9)로 표시되는 음이온 중 어느 것과 화학식 (b2-1-1)로 표시되는 양이온의 조합, 및 화학식 (b1-1-3) 내지 화학식 (b1-1-5)로 표시되는 음이온 중 어느 것과 화학식 (b2-3)으로 표시되는 양이온의 조합이 바람직하다.
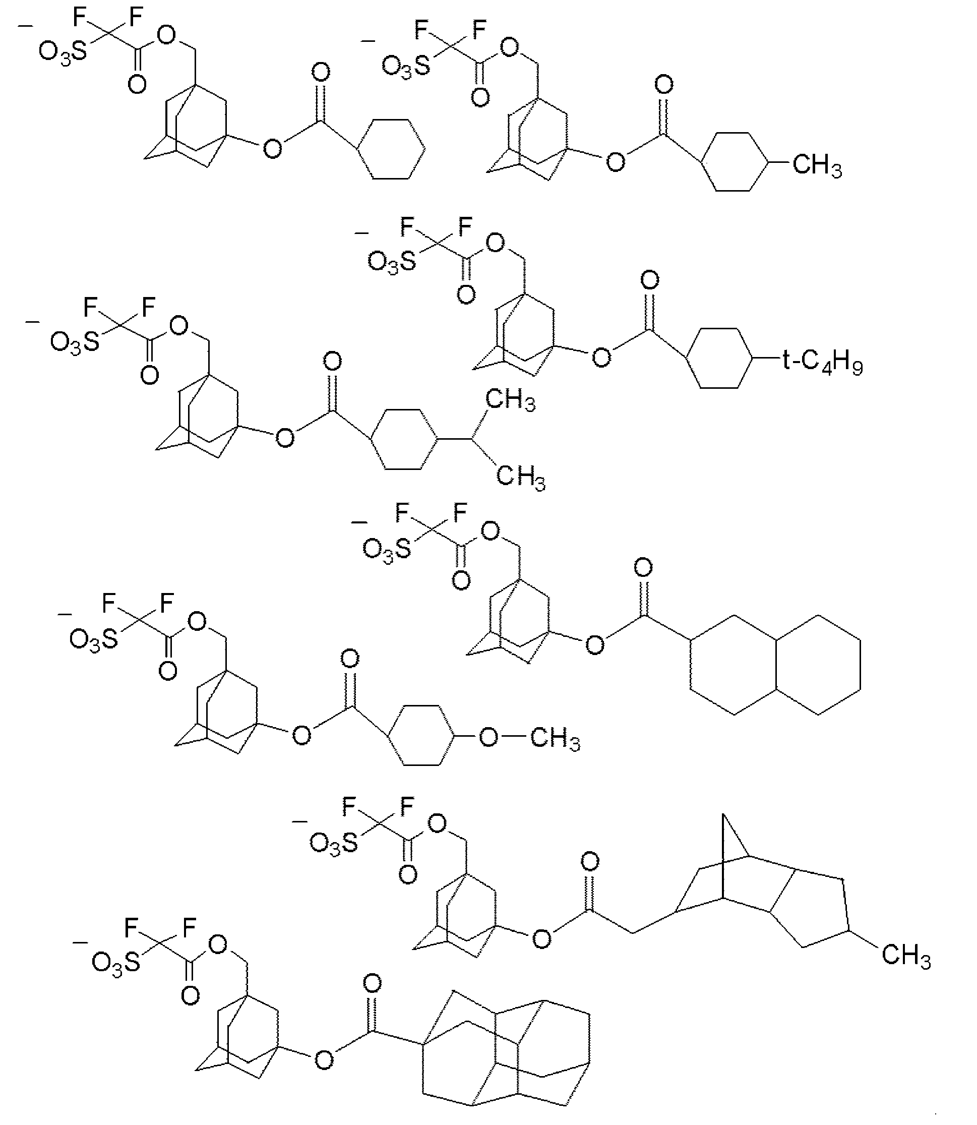
바람직한 산발생제 (B1)은 화학식 (B1-1) 내지 화학식 (B1-17)로 표시되는 염이다. 이들 중, 트리페닐 술포늄 양이온 또는 트리톨릴 술포늄 양이온을 함유하는 화학식 (B1-1), (B1-2), (B1-3), (B1-6), (B1-11), (B1-12), (B1-13) 및 (B1-14)가 바람직하고, 화학식 (B1-1), (B1-2), (B1-3), (B1-11) 및 (B1-12)가 더 바람직하다.
Figure pat00193
Figure pat00194
Figure pat00195
Figure pat00196
<염기성 화합물 (이하 "염기성 화합물 (C)"로 칭함)>
본 발명의 레지스트 조성물은 염기성 화합물 (C)를 함유할 수 있다. 염기성 화합물 (C)는 산발생제로부터 발생한 산을 켄칭하는 특성을 갖는 화합물이며, "켄처"로 칭한다.
염기성 화합물 (C)로서, 질소-함유 염기성 화합물 (예를 들면, 아민 및 수산화암모늄)이 바람직하다. 아민은 지방족 아민 또는 방향족 아민일 수 있다. 지방족 아민으로는 1차 아민, 2차 아민 및 3차 아민 중 어느 것을 들 수 있다. 방향족 아민으로는 아닐린과 같이 아미노기가 방향족환에 결합된 아민 및 피리딘과 같이 헤테로-방향족 아민에 결합된 아민을 들 수 있다.
바람직한 염기성 화합물 (C)로는 화학식 (C2)로 표시되는 방향족 아민, 특히 화학식 (C2-1)로 표시되는 방향족 아민을 들 수 있다.
Figure pat00197
식 중, Arc1은 방향족 탄화수소기를 나타내고;
Rc5 및 Rc6은 독립적으로 수소 원자, 지방족 탄화수소기 (바람직하게는 C1 내지 C6의 쇄상 지방족 탄화수소기, 즉 알킬기 또는 C5 내지 C10의 지환식 탄화수소기, 즉 시클로알킬기) 또는 방향족 탄화수소기를 나타내고, 지방족 탄화수소기, 지환식 탄화수소기 및 방향족 탄화수소기 중 함유된 수소 원자는 히드록시기, 아미노기 또는 C1 내지 C6의 알콕시기로 치환될 수 있고, 아미노기 중 함유된 수소 원자는 C1 내지 C4의 알킬기로 치환될 수 있고;
Rc7은 각 경우에 독립적으로 쇄상 지방족 탄화수소기 (바람직하게는 C1 내지 C6의 알킬기), C1 내지 C6의 알콕시기, 지환식 탄화수소기 (바람직하게는 C5 내지 C10의 지환식 탄화수소기, 더 바람직하게는 C5 내지 C10의 시클로알킬기) 또는 방향족 탄화수소기(바람직하게는 C6 내지 C10의 방향족 탄화수소기)를 나타내고, 지방족 탄화수소기, 알콕시기, 지환식 탄화수소기 및 방향족 탄화수소기 중 함유된 수소 원자는 히드록시기, 아미노기 또는 C1 내지 C6의 알콕시기로 치환될 수 있고, 아미노기 중 함유된 수소 원자는 C1 내지 C4의 알킬기로 치환될 수 있고;
m3은 0 내지 3의 정수를 나타낸다.
지방족 탄화수소기는 바람직하게는 C1 내지 C6이고,
지환식 탄화수소기는 바람직하게는 C5 내지 C10이고,
방향족 탄화수소기는 바람직하게는 C6 내지 C10이고;
알콕시기는 바람직하게는 C1 내지 C6이다.
화학식 (C2)로 표시되는 방향족 아민의 구체예로는 1-나프틸아민 및 2-나프틸아민을 들 수 있다.
화학식 (C2-1)로 표시되는 아닐린의 구체예로는 아닐린, 디이소프로필아닐린, 2-, 3- 또는 4-메틸아닐린, 4-니트로아닐린, N-메틸아닐린, N,N-디메틸아닐린 및 디페닐아민을 들 수 있다.
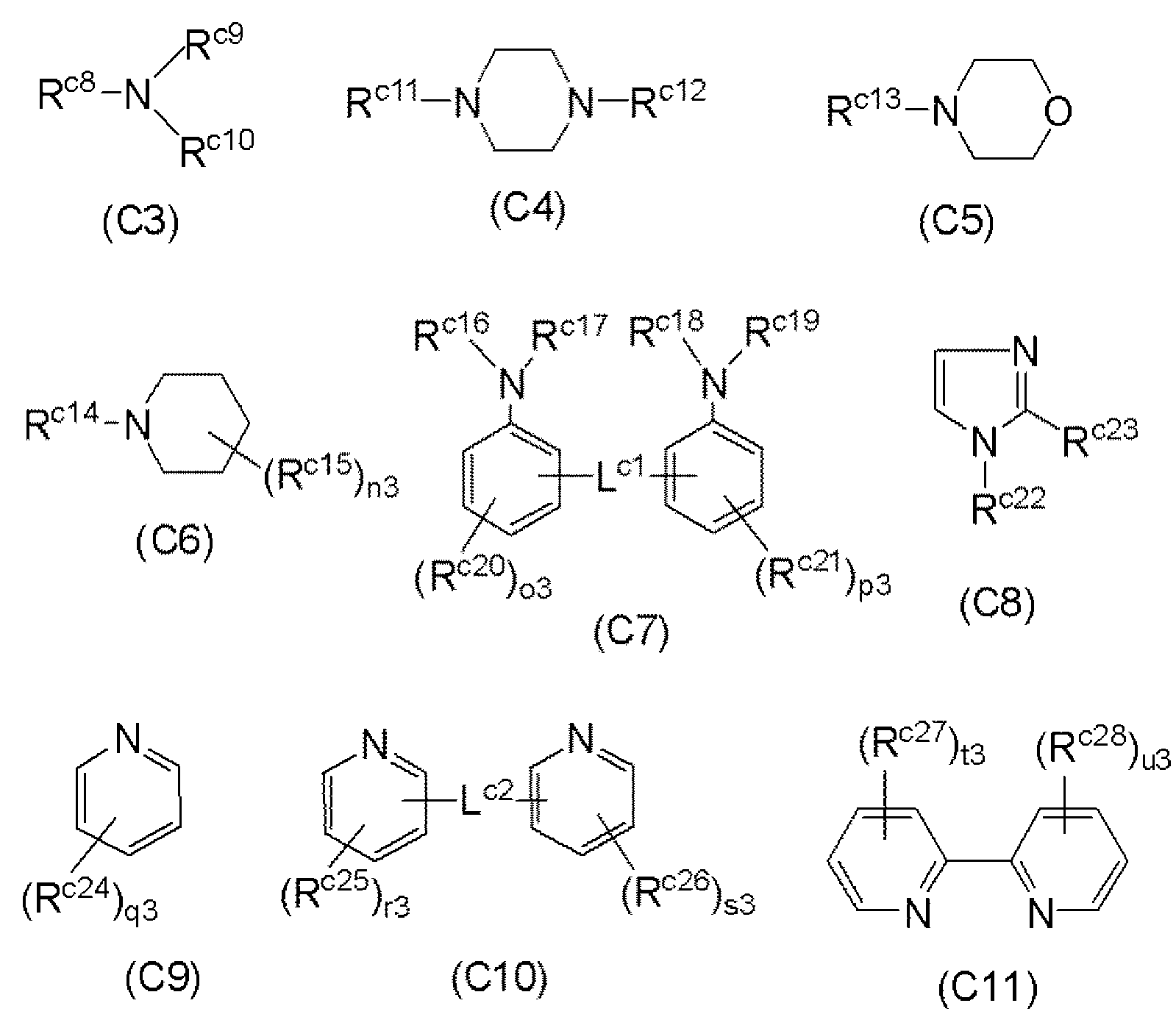
또한, 염기성 화합물 (C)의 예로는 화학식 (C3) 내지 화학식 (C11)로 표시되는 화합물을 들 수 있고;
Figure pat00198
식 중, Rc8, Rc20, Rc21, Rc23, Rc24, Rc25, Rc26, Rc27 및 Rc28은 독립적으로 Rc7에 기재된 기 중 어느 것을 나타내고;
Rc9 내지 Rc14, Rc16 내지 Rc19 및 Rc22는 독립적으로 Rc5 및 Rc6에 기재된 기 중 어느 것을 나타내고;
Rc15는 각 경우에 독립적으로 지방족 탄화수소기, 지환식 탄화수소기 또는 알카노일기를 나타내고;
n3은 0 내지 8의 정수를 나타내고;
o3 내지 u3은 독립적으로 0 내지 3의 정수를 나타내고;
Lc1 및 Lc2는 독립적으로 2가의 지방족 탄화수소기 (바람직하게는 C1 내지 C6의 지방족 탄화수소기, 더 바람직하게는 C1 내지 C6의 알칸디일기), -CO-, -C(=NH)-, -C(=NRc3)-, -S-, -S-S- 또는 그의 조합을 나타내고;
Rc3은 C1 내지 C4의 알킬기를 나타낸다.
Rc15의 지방족 탄화수소기는 바람직하게는 C1 내지 C6의 지방족 탄화수소기이며, 지환식 탄화수소기는 바람직하게는 C3 내지 C6의 지환식 탄화수소기이고, 알카노일기는 바람직하게는 C2 내지 C6의 알카노일기이다.
알카노일기의 예로는 아세틸기, 2-메틸아세틸기, 2,2-디메틸아세틸기, 프로피오닐기, 부틸릴기, 이소부틸릴기, 펜타노일기 및 2,2-디메틸프로피오닐기를 들 수 있다.
화학식 (C3)으로 표시되는 화합물의 구체예로는, 예를 들면 헥실아민, 헵틸아민, 옥틸아민, 노닐아민, 데실아민, 디부틸아민, 디펜틸아민, 디헥실아민, 디헵틸아민, 디옥틸아민, 디노닐아민, 디데실아민, 트리에틸아민, 트리메틸아민, 트리프로필아민, 트리부틸아민, 트리펜틸아민, 트리헥실아민, 트리헵틸아민, 트리옥틸아민, 트리노닐아민, 트리데실아민, 메틸디부틸아민, 메틸디펜틸아민, 메틸디헥실아민, 메틸디시클로헥실아민, 메틸디헵틸아민, 메틸디옥틸아민, 메틸디노닐아민, 메틸디데실아민, 에틸디부틸아민, 에틸디펜틸아민, 에틸디헥실아민, 에틸디헵틸아민, 에틸디옥틸아민, 에틸디노닐아민, 에틸디데실아민, 디시클로헥실메틸아민, 트리스[2-(2-메톡시에톡시)에틸]아민, 트리이소프로판올아민, 에틸렌 디아민, 테트라메틸렌 디아민, 헥사메틸렌 디아민, 4,4'-디아미노-1,2-디페닐에탄, 4,4'-디아미노-3,3'-디메틸디페닐메탄 및 4,4'-디아미노-3,3'-디에틸디페닐메탄을 들 수 있다.
화학식 (C4)로 표시되는 화합물의 구체예로는, 예를 들면 피페라진을 들 수 있다.
화학식 (C5)로 표시되는 화합물의 구체예로는, 예를 들면 모르폴린을 들 수 있다.
화학식 (C6)으로 표시되는 화합물의 구체예로는, 예를 들면 피페리진, 일본특허공개공보 (평)11-52575-A에 기재된 피페리진 골격을 갖는 힌더드 아민 화합물을 들 수 있다.
화학식 (C7)로 표시되는 화합물의 구체예로는, 예를 들면 2,2'-메틸렌비스아닐린을 들 수 있다.
화학식 (C8)로 표시되는 화합물의 구체예로는, 예를 들면 이미다졸 및 4-메틸이미다졸을 들 수 있다.
화학식 (C9)로 표시되는 화합물의 구체예로는, 예를 들면 피리진 및 4-메틸피리진을 들 수 있다.
화학식 (C10)으로 표시되는 화합물의 구체예로는, 예를 들면 1,2-디(2-피리딜)에탄, 1,2-디(4-피리딜)에탄, 1,2-디(2-피리딜)에텐, 1,2-디(4-피리딜)에텐, 1,3-디(4-피리딜)프로판, 1,2-디(4-피리딜옥시)에탄, 디(2-피리딜)케톤, 4,4'-디피리딜 술피드, 4,4'-디피리딜 디술피드, 2,2'-디피리딜아민 및 2,2'-디피콜릴아민을 들 수 있다.
화학식 (C11)로 표시되는 화합물의 구체예로는, 예를 들면 비피리딘을 들 수 있다.
수산화암모늄의 예로는, 수산화 테트라메틸암모늄, 수산화 테트라이소프로필암모늄, 수산화 테트라부틸암모늄, 수산화 테트라헥실암모늄, 수산화 테트라옥틸암모늄, 수산화 페닐트리메틸암모늄, 수산화 3-(트리플루오로메틸)페닐트리메틸암모늄, 테트라-n-부틸 암모늄 살리실레이트 및 콜린을 들 수 있다.
이들 중, 본 발명의 레지스트 화합물 중 함유된 염기성 화합물 (C)로서 디이소프로필아닐린 (특히 2,6-디이소프로필아닐린)이 바람직하다.
<용매 (이하 "용매 (D)"로 칭함)>
본 발명의 레지스트 조성물은 용매 (D)를 포함할 수 있다. 용매 (D)는 우수한 코팅 특성의 관점으로부터 바람직하게는 화합물 (a)로부터 유도되는 구조 단위를 갖는 수지 (A), 즉 수지 (AA) 또는 수지 (AB)의 종류와 양, 및 산발생제의 종류와 양에 따라서 선택할 수 있다.
용매 (D)의 예로는, 에틸셀로솔브 아세테이트, 메틸셀로솔브 아세테이트 및 프로필렌 글리콜 모노메틸 에테르 아세테이트와 같은 글리콜 에테르 에스테르; 디에틸렌 글리콜 디메틸 에테르와 같은 에테르; 에틸 락테이트, 부틸 아세테이트, 아밀 아세테이트 및 에틸 피루베이트와 같은 에스테르; 아세톤, 메틸 이소부틸 케톤, 2-헵타논 및 시클로헥사논과 같은 케톤; 및 γ-부티로락톤과 같은 환식 에스테르를 들 수 있다. 이들 용매는 단독 용매로 또는 2종 이상의 용매의 조합으로 사용할 수 있다.
<기타 성분 (이하 "기타 성분 (F)"로 칭함)>
레지스트 조성물은 또한 필요에 따라 각종 첨가제를 포함할 수 있다. 기타 성분 (F)의 예로는 증감제, 용해 억제제, 계면활성제, 안정화제 및 염료가 있다.
<레지스트 조성물의 제조>
본 발명의 레지스트 조성물은 수지 (A), 특히 수지 (AA) 및 산발생제 (B)를 혼합하거나, 또는 수지 (A), 특히 수지 (AA), 산발생제 (B1), 및 또한 염기성 화합물 (C), 용매 (D) 및 기타 성분 (F)를 필요에 따라 혼합하여 제조할 수 있다. 혼합의 순서에는 특별히 제한이 있는 것은 아니다. 혼합은 임의의 순서로 행할 수 있다. 혼합 온도는 화합물 (a)로부터 유도되는 구조 단위를 갖는 수지의 종류 및 화합물 (a)로부터 유도되는 구조 단위를 갖는 수지의 용매 (D)에 대한 용해도에 따라 10 내지 40 ℃의 범위 내에서 적절한 온도로 조정할 수 있다. 혼합 시간은 혼합 온도에 따라서 0.5 내지 24 시간의 범위 내에서 적절한 시간으로 조정할 수 있다. 혼합 도구에 특별한 제한은 없다. 교반 혼합을 이용할 수 있다.
상기 성분을 혼합한 후, 약 0.01 내지 0.2 μm 구멍 직경을 갖는 필터를 통해 혼합물을 여과하여 본 발명의 레지스트 조성물을 제조할 수 있다.
본 발명의 레지스트 조성물은 수지 (AA)를 수지 (A)로서 사용하는 경우, 레지스트 조성물의 총 고체 분율에 대하여 바람직하게는 80 중량% 이상 및 99 중량% 이하의 수지 (A)를 함유한다.
본 발명의 레지스트 조성물은 수지 (AB)를 수지 (A)로서 사용하는 경우, 레지스트 조성물의 총 고체 분율에 대하여 바람직하게는 0.1 중량% 이상 및 10 중량% 이하의 수지 (A)를 함유한다.
본 명세서에서, 용어 "레지스트 조성물의 고체 분율"은 용매 (D)를 제외한 모든 성분의 총 분율을 의미한다. 예를 들면, 용매 (D)의 분율이 90 중량%인 경우, 레지스트 조성물의 고체 분율은 10 중량%이다.
본 발명의 레지스트 조성물에서, 산발생제 (B)의 분율은, 수지 (A) 100 중량부에 대하여 바람직하게는 1 중량부 이상 (더 바람직하게는 3 중량부 이상)이고, 또한 바람직하게는 30 중량부 이하 (더 바람직하게는 25 중량부 이하)이다.
수지 (AA) 대신에 수지 (AB) 및 수지 (X)를 수지 (A)로서 사용하는 경우, 산발생제 (B)의 분율은, 수지 (X) 100 중량부에 대하여 바람직하게는 1 중량부 이상 (더 바람직하게는 3 중량부 이상)이고, 또한 바람직하게는 30 중량부 이하 (더 바람직하게는 25 중량부 이하)이다.
레지스트 조성물이 염기성 화합물 (C)를 포함하는 경우, 그의 분율은 레지스트 조성물의 총 고체 분율에 대하여 바람직하게는 0.01 내지 1 중량%이다.
용매의 분율은 수지 (A)의 종류에 따라 조정할 수 있으며, 90 중량% 이상, 바람직하게는 92 중량% 이상, 더 바람직하게는 94 중량% 이상, 및 또한 바람직하게는 99.9 중량% 이하, 더 바람직하게는 99 중량% 이하일 수 있다. 레지스트 조성물이 이와 같은 범위 내의 용매를 함유하는 경우, 이러한 조성물은 박막 레지스트 필름을 형성하는 데 바람직하여, 30 내지 300 nm 두께의 조성물 층을 제조하는데 사용될 수 있다.
수지 (A), 산발생제 (B), 염기성 화합물 (C) 및 용매 (D)의 분율은 본 발명의 레지스트 조성물의 제조시 사용되는 각 성분에 따라서 조정가능하고, 본 발명의 레지스트 조성물을 제조한 후 예를 들면 액체 크로마토그래피 및 가스 크로마토그래피와 같은 공지된 분석 방법으로 측정할 수 있다.
기타 성분 (F)을 본 발명의 레지스트 조성물에 사용하는 경우, 그의 분율은 그의 종류에 따라서 조정할 수 있다.
<레지스트 패턴의 형성 방법>
본 발명의 레지스트 패턴의 형성 방법은
(1) 본 발명의 레지스트 조성물을 기판 상에 도포하는 단계;
(2) 도포한 조성물을 건조하여 조성물층을 형성하는 단계;
(3) 노광 장치를 사용하여 조성물층을 노광하는 단계;
(4) 노광된 조성물층을 가열하는 단계; 및
(5) 현상 장치를 사용하여 가열된 조성물층을 현상하는 단계
를 포함한다.
기판 상의 레지스트 조성물의 도포는 통상 반도체 미세가공 기술 분야에서 공지되어 있는 스핀 코터와 같은 레지스트 도포 장치를 이용하여 수행할 수 있다. 도포된 레지스트 조성물층의 두께는 레지스트 도포 장치의 다양한 조건을 제어함으로써 조정가능하다. 이 조건은 사전에 수행된 예비 실험을 기초로 선택할 수 있다. 미세가공하고자 하는 다양한 기판으로부터 기판을 선택할 수 있다. 레지스트 조성물의 도포 전에, 기판은 세정할 수 있고, 시판 반사방지 조성물을 이용하여 유기 반사방지 필름을 기판에 형성할 수 있다.
예를 들면, 도포된 조성물층의 건조는 핫플레이트(소위 "예비 소성")와 같은 가열 장치, 감압 장치 또는 이들의 조합을 이용하여 행할 수 있다. 따라서, 용매를 레지스트 조성물로부터 증발시켜, 용매가 제거된 조성물층을 형성한다. 가열 장치 및 감압 장치의 조건은 사용된 용매의 종류에 따라서 조건을 조정할 수 있다. 이 경우의 온도는 일반적으로 50 내지 200 ℃의 범위 내에 있다. 또한, 압력은 통상 1 내지 1.0×105 Pa의 범위 내에 있다.
이렇게 얻어진 조성물층은 일반적으로 노광 장치 또는 액침 노광 장치를 이용하여 노광된다. 노광은 일반적으로 요구되는 패턴에 상응하는 마스크를 통해 수행한다. KrF 엑시머 레이저 (파장: 248 nm), ArF 엑시머 레이저 (파장: 193 nm), F2 엑시머 레이저 (파장: 157 nm)와 같은 자외선 레이저에 의한 조사, 또는 고체-상태 레이저원 (YAG 또는 반도체 레이저 등) 또는 진공 자외선 고조파 레이저광 등으로부터의 원자외선 파장-변환 레이저광에 의한 조사와 같은 다양한 종류의 노광 광원을 사용할 수 있다. 또한, 노광 장치는 전자빔 또는 극자외선광(EUV)을 조사하는 것일 수 있다.
조성물층은 마스크를 통해 수행되는 상기 노광에 의해 노광부 및 비노광부를 형성할 수 있다. 노광부에서는, 노광 에너지를 받으면 레지스트 조성물 내에 함유된 산발생제로부터 산이 발생한다. 따라서, 수지 (AA) 또는 수지 (X)에 함유된 산불안정기는 산과 반응하여 보호기가 제거된다. 그 결과 조성물층의 노광부의 수지는 알칼리 수용액에 가용성이 된다. 한편, 비노광부에서는, 수지 (AA) 또는 수지 (X)는 비노광으로 인해 알칼리 수용액에 불용성 또는 난용성으로 남아있다. 이런 식으로, 알칼리 용액에서의 용해도는 노광부의 조성물층과 비노광부의 조성물층 간에 매우 상이할 것이다.
노광 후, 조성물층을 가열 처리 (소위 "노광후 소성")하여 탈보호 반응을 촉진한다. 가열 처리는 핫플레이트와 같은 가열 장치를 사용하여 수행할 수 있다. 가열 온도는 일반적으로 50 내지 200℃, 바람직하게는 70 내지 150℃의 범위이다.
조성물층을 가열 처리한 후 통상 알칼리 현상 용액을 사용하고 현상 장치를 이용하여 현상한다. 여기서 현상은 가열 처리 후 조성물층을 알칼리 용액과 접촉시키는 것을 의미한다. 이에 따라, 조성물층의 노광부는 알칼리 용액에 의해 용해되어 제거되고, 조성물층의 비노광부는 기판 상에 남게 되어, 레지스트 패턴이 생성된다. 여기서, 알칼리 현상 용액으로서, 이 분야에서 사용되는 각종 알칼리 수용액이면 된다. 예로서는 수산화 테트라메틸암모늄 및 수산화 (2-히드록시에틸)트리메틸암모늄 (관용명: 콜린)의 수용액을 들 수 있다.
현상 후, 초순수로 기판 및 패턴을 세정하고 그 위의 임의의 남아있는 물을 제거하는 것이 바람직하다.
본 발명의 레지스트 패턴의 제조 방법에 따르면, 우수한 MEF를 가지며 패턴에 결함이 거의 없는 레지스트 패턴을 형성할 수 있다.
<이용 분야>
본 발명의 레지스트 조성물은 ArF, KrF 등과 같은 엑시머 레이저 리소그래피를 위한 레지스트 조성물 및 전자빔 (EB) 노광 리소그래피 및 극자외선 (EUV) 노광 리소그래피, 또한 액침 노광 리소그래피를 위한 레지스트 조성물로서 유용하다.
본 발명의 레지스트 조성물은 반도체 미세가공 및 액정, 회로 기판의 열감응 인쇄 헤드 등의 제조, 또한 다른 포토패브리케이션 공정에 이용가능하며, 이들은 광범위한 이용 분야에 적절하게 사용할 수 있다.
<실시예>
본 발명은 실시예에 의해 더 구체적으로 설명하지만, 본 발명의 범위를 제한하는 것으로 해석되서는 안 된다.
실시예 및 비교예에서 사용되는 분율 또는 양을 표현하는 모든 백분율 및 부는 다르게 기재되지 않는 한 중량을 기초로 한다.
화합물의 구조는 질량 분석 (LC: 애질런트 (Agilent) 1100형, MASS: 애질런트 LC/MSD형 또는 LC/MSD TOF형)으로 확인하였다.
중량 평균 분자량은 표준 물질로서 폴리스티렌을 이용하여 겔 투과 크로마토그래피에 의해 측정된 값이다.
컬럼: TSK 겔 멀티포어 (TSK gel Multipore) HXL-M×3 연결 + 가드 컬럼 (도소사 (Tosoh Co., ltd.) 제조)
용리액: 테트라히드로푸란
유속: 1.0 mL/분
검출 장치: RI 검출기
컬럼 온도: 40℃
주입량: 100 μL
분자량 측정을 위한 표준 물질: 표준 폴리스티렌 (도소사 제조)
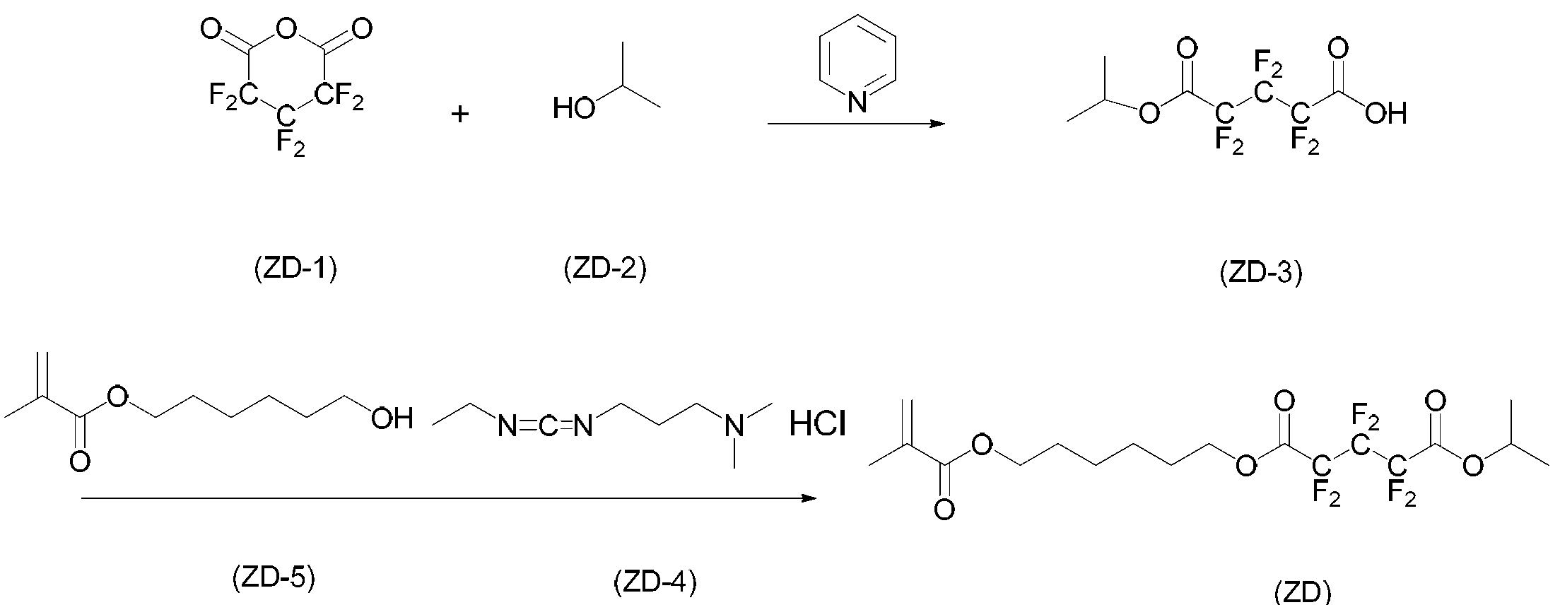
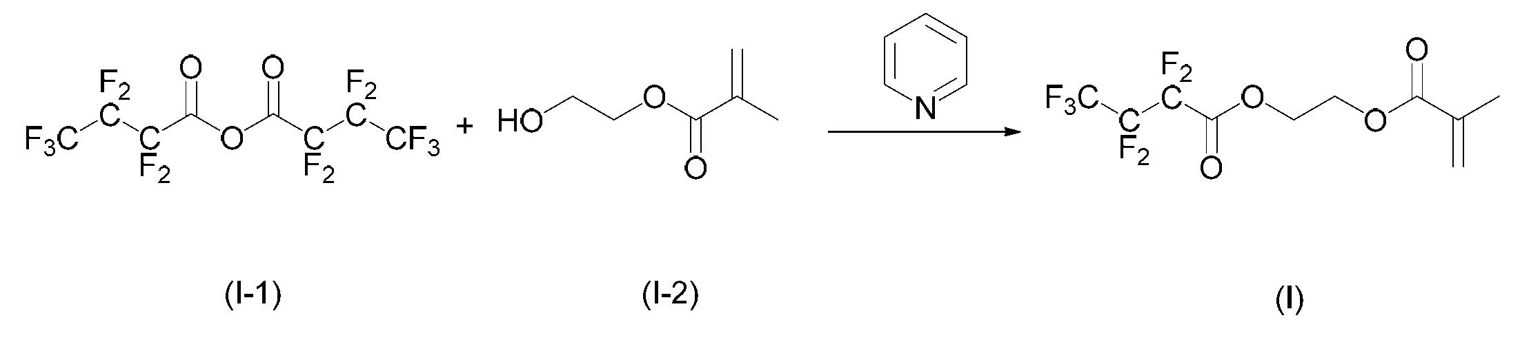
합성예 1: 화합물 (I)의 합성
Figure pat00199
화합물 (I-2) 10.00 부, 테트라히드로푸란 40.00 부 및 피리딘 7.29 부를 반응기에 투입하고, 23℃에서 30분 동안 교반하였다. 얻어진 혼합물을 0℃로 냉각시켰다. 동일한 온도를 유지하면서 상기 혼합물에 화합물 (I-1) 33.08 부를 1시간에 걸쳐 첨가하였다. 이어서, 혼합물을 약 23℃까지 승온하고, 혼합물을 동일한 온도에서 3시간 동안 교반하였다. 얻어진 반응물에 에틸 아세테이트 361.51 부 및 5% 염산 용액 20.19 부를 첨가하고, 23℃에서 30분 동안 교반하였다. 이어서, 정치시킨 후, 얻어진 용액을 분리하여, 유기층을 회수하였다. 유기층에 포화 탄산수소나트륨 81.42 부를 첨가하고, 얻어진 용액을 23℃에서 30분 동안 교반하고, 정치시키고, 이어서 분리하여, 유기층을 회수하였다. 회수된 유기층에 이온교환수 90.38 부를 첨가하고, 얻어진 용액을 23℃에서 30분 동안 교반하고, 정치시키고, 이어서 분리하여, 유기층을 물로 세정하였다. 상기 물 세정 작업을 5회 반복하였다. 얻어진 유기층을 농축하여, 화합물 (I) 23.40 부를 얻었다.
MS (질량 분석) : 326.0 (분자 이온 피크)
합성예 2: 화합물 (J)의 합성
Figure pat00200
화합물 (J-2) 8.50 부, 테트라히드로푸란 34.00 부 및 피리딘 6.20 부를 반응기에 투입하고, 23℃에서 30분 동안 교반하였다. 얻어진 혼합물을 0℃로 냉각시켰다. 동일한 온도를 유지하면서 상기 혼합물에 화합물 (J-1) 13.78 부를 1시간에 걸쳐 첨가하였다. 이어서, 혼합물을 약 23℃까지 승온하고, 혼합물을 동일한 온도에서 3시간 동안 교반하였다. 얻어진 반응물에 에틸 아세테이트 249.91 부 및 5% 염산 17.16 부를 첨가하고, 23℃에서 30분 동안 교반하였다. 이어서, 정치시킨 후, 얻어진 용액을 분리하여, 유기층을 회수하였다. 회수된 유기층에 포화 탄산수소나트륨 62.62 부를 첨가하고, 얻어진 용액을 23℃에서 30분 동안 교반하고, 정치시키고, 이어서 분리하여, 유기층을 회수하였다. 회수된 유기층에 이온교환수 62.62 부를 첨가하고, 얻어진 용액을 23℃에서 30분 동안 교반하고, 정치시키고, 이어서 분리하여, 유기층을 물로 세정하였다. 상기 물 세정 작업을 5회 반복하였다. 얻어진 유기층을 농축하고, 이렇게 얻어진 농축물을 컬럼 분취하여 (조건: 고정상 머크(Merck) 제조의 실리카 겔 60-200 메시, 전개 용매 에틸 아세테이트), 화합물 (J-3) 13.00 부를 얻었다.
Figure pat00201
화합물 (J-3) 13.00 부, 이소프로판올 39.00 부 및 황산 0.20 부를 반응기에 투입하고, 85℃에서 3시간 동안 교반하였다. 얻어진 반응물을 23℃로 냉각시켰다. 얻어진 반응물에 에틸 아세테이트 156.59 부 및 포화 탄산수소나트륨 42.00 부를 첨가하고, 얻어진 용액을 23℃에서 30분 동안 교반하고, 정치시키고, 이어서 분리하여, 유기층을 회수하였다. 회수된 유기층에 이온교환수 39.15 부를 첨가하고, 얻어진 용액을 23℃에서 30분 동안 교반하고, 정치시키고, 이어서 분리하여, 유기층을 물로 세정하였다. 상기 물 세정 작업을 5회 반복하였다. 얻어진 유기층을 농축하고, 이렇게 얻어진 농축물을 컬럼 분취하여 (조건: 고정상 머크 제조의 실리카 겔 60-200 메시, 전개 용매 n-헵탄/에틸 아세테이트=1/1), 화합물 (J) 11.64 부를 얻었다.
MS (질량 분석) : 394.1 (분자 이온 피크)
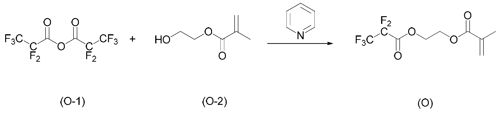
합성예 3: 화합물 (O)의 합성
Figure pat00202
화합물 (O-2) 88.00 부, 메틸이소부틸케톤 616.00 부 및 피리딘 60.98 부를 23℃에서 30분 동안 교반하면서 혼합하였다. 얻어진 혼합물을 0℃로 냉각시켰다. 동일한 온도를 유지하면서 상기 혼합물에 화합물 (O-1) 199.17 부를 1시간에 걸쳐 첨가하였다. 이어서, 혼합물을 약 10℃로 승온시키고, 혼합물을 동일한 온도에서 1시간 동안 교반하였다. 이렇게 얻어진 반응물을 n-헵탄 1446.22 부 및 2% 염산 용액 703.41 부에 첨가하여 혼합물을 얻고, 혼합물을 23℃에서 30분 동안 교반하였다. 얻어진 용액을 정치시키고, 이어서 분리하여, 유기층을 회수하였다. 유기층에 2% 염산 용액 337.64 부를 첨가하고, 얻어진 용액을 23℃에서 30분 동안 교반하고, 정치시키고, 이어서 분리하여, 유기층을 회수하였다. 회수된 유기층에 이온교환수 361.56 부를 첨가하고, 얻어진 용액을 23℃에서 30분 동안 교반하고, 정치시키고, 이어서 분리하여, 유기층을 물로 세정하였다. 유기층에 10% 탄산칼륨 수용액 443.92 부를 첨가하고, 얻어진 용액을 23℃에서 30분 동안 교반하고, 정치시키고, 이어서 분리하여, 유기층을 회수하였다. 상기 작업을 2회 반복하였다. 회수된 유기층에 이온교환수 361.56 부를 첨가하고, 얻어진 용액을 23℃에서 30분 동안 교반하고, 정치시키고, 이어서 분리하여, 유기층을 물로 세정하였다. 상기 물 세정 작업을 5회 반복하였다. 얻어진 유기층을 농축하여, 화합물 (O) 163.65 부를 얻었다.
MS (질량 분석) : 276.0 (분자 이온 피크)
합성예 4: 화합물 (P)의 합성
Figure pat00203
화합물 (P-2) 80.00 부, 메틸이소부틸케톤 560.00 부 및 피리딘 58.35 부를 23℃에서 30분 동안 교반하면서 혼합하였다. 얻어진 혼합물을 0℃로 냉각시켰다. 동일한 온도를 유지하면서 상기 혼합물에 화합물 (P-1) 135.57 부를 1시간에 걸쳐 첨가하고, 약 10℃로 승온시키고, 동일한 온도에서 1시간 동안 교반하였다. 얻어진 반응물에 에틸 아세테이트 2084.79 부, 5% 염산 용액 323.10 부 및 이온교환수 521.20 부를 첨가하여 혼합물을 얻고, 혼합물을 23℃에서 30분 동안 교반하였다. 얻어진 용액을 정치시키고, 이어서 분리하여, 유기층을 회수하였다. 회수된 유기층에 이온교환수 521.20 부를 첨가하고, 얻어진 용액을 23℃에서 30분 동안 교반하고, 정치시키고, 이어서 분리하여, 유기층을 물로 세정하였다. 세정한 유기층에 10% 탄산칼륨 수용액 267.63 부를 첨가하고, 얻어진 용액을 23℃에서 30분 동안 교반하고, 정치시키고, 이어서 분리하여, 유기층을 세정하였다. 상기 세정 작업을 2회 반복하였다. 회수된 유기층에 이온교환수 521.20 부를 첨가하고, 얻어진 용액을 23℃에서 30분 동안 교반하고, 정치시키고, 이어서 분리하여, 유기층을 물로 세정하였다. 상기 물 세정 작업을 4회 반복하였다. 얻어진 유기층을 농축하여, 화합물 (P) 130.40 부를 얻었다.
MS (질량 분석) : 226.1 (분자 이온 피크)
합성예 5: 화합물 (Q)의 합성
Figure pat00204
화합물 (Q-2) 9.60 부, 테트라히드로푸란 38.40 부 및 피리딘 5.99 부를 혼합하고, 23℃에서 30분 동안 교반하였다. 얻어진 혼합물을 0℃로 냉각시켰다. 동일한 온도를 유지하면서 상기 혼합물에 화합물 (Q-1) 14.00 부를 1시간에 걸쳐 첨가하였다. 이어서, 혼합물을 약 10℃로 승온시키고, 동일한 온도에서 1시간 동안 교반하였다. 이렇게 얻어진 화합물 (Q-3)을 함유하는 반응물에 화합물 (Q-4) (1-(3-디메틸아미노프로필)-3-에틸카르보디이미드 히드로클로라이드) 14.51 부 및 화합물 (Q-5) 8.20 부를 첨가하고, 23℃에서 3시간 동안 교반하였다. 얻어진 반응물 용액에 에틸 아세테이트 271.95 부 및 5% 염산 용액 16.57 부를 첨가하고, 23℃에서 30분 동안 교반하였다. 이어서, 정치시킨 후, 얻어진 용액을 분리하여, 유기층을 회수하였다. 회수된 유기층에 포화 탄산수소나트륨 63.64 부를 첨가하고, 얻어진 용액을 23℃에서 30분 동안 교반하고, 정치시키고, 이어서 분리하여, 유기층을 세정하였다. 상기 세정 작업을 2회 반복하였다. 세정한 유기층에 이온교환수 67.99 부를 첨가하고, 얻어진 용액을 23℃에서 30분 동안 교반하고, 정치시키고, 이어서 분리하여, 유기층을 물로 세정하였다. 상기 물 세정 작업을 5회 반복하였다. 얻어진 유기층을 농축하고, 이렇게 얻어진 농축물에 에틸 아세테이트 107.71 부를 첨가하고, 완전히 용해될 때까지 교반하였다. 그 후, 여기에 n-헵탄 646.26 부를 적하하였다. 이어서, 얻어진 용액을 23℃에서 30분 동안 교반하고, 여과하여, 화합물 (Q) 15.11 부를 얻었다.
MS (질량 분석) : 486.2 (분자 이온 피크)
합성예 6: 화합물 (R)의 합성
Figure pat00205
화합물 (R-1) 5.00 부, 디메틸 포름아미드 20.00 부 및 탄산칼륨 2.30 부를 혼합하고, 40℃에서 1시간 동안 교반하였다. 이렇게 얻어진 화합물 (R-2)를 함유하는 반응 혼합물에 화합물 (R-3) 6.59 부를 첨가하고, 얻어진 혼합물을 60℃에서 10시간 동안 교반하였다. 이렇게 얻어진 반응물 용액을 에틸 아세테이트 100.00 부 및 5% 염산 용액 24.30 부에 첨가하여 혼합물을 얻고, 혼합물을 23℃에서 30분 동안 교반하였다. 얻어진 용액을 정치시키고, 이어서 분리하여, 유기층을 회수하였다. 유기층에 이온교환수 50.00 부를 첨가하고, 얻어진 용액을 23℃에서 30분 동안 교반하고, 정치시키고, 이어서 분리하여, 유기층을 물로 세정하였다. 상기 물 세정 작업을 5회 반복하였다. 얻어진 유기층을 농축하여, 화합물 (R-4) 5.70 부를 얻었다.
얻어진 화합물 (R-4) 5.70 부, 화합물 (R-5) 3.70 부, 톨루엔 36.47 부 및 황산 0.05 부를 혼합하고, 얻어진 혼합물을 115℃에서 6시간 동안 가열 탈수시켰다. 얻어진 반응물 용액을 냉각시키고, 여기에 에틸 아세테이트 200.00 부, 이온교환수 125.00 부 및 탄산수소나트륨 3.00 부를 첨가하고, 얻어진 용액을 23℃에서 30분 동안 교반하고, 정치시키고, 이어서 분리하여, 유기층을 회수하였다. 회수된 유기층에 이온교환수 125.00 부를 첨가하고, 얻어진 용액을 23℃에서 30분 동안 교반하고, 정치시키고, 이어서 분리하여, 유기층을 물로 세정하였다. 상기 물 세정 작업을 5회 반복하였다. 얻어진 유기층을 농축하고, 이렇게 얻어진 농축물을 컬럼 분취하여 (조건: 고정상 머크 제조의 실리카 겔 60-200 메시, 전개 용매 에틸 아세테이트), 화합물 (R) 4.82 부를 얻었다.
MS (질량 분석) : 386.2 (분자 이온 피크)
합성예 7: 화합물 (U)의 합성
Figure pat00206
화합물 (U-1) 33.25 부, 디클로로헥실 카르보디이미드 23.93 부 및 메틸렌 클로라이드 40.00 부를 반응기에 투입하고, 혼합하였다. 얻어진 혼합물을 0℃로 냉각시키고, 여기에 화합물 (U-2) 18.83 부를 첨가하였다. 혼합물을 0℃에서 1시간 동안 교반하였다. 이어서, 혼합물을 약 23℃로 승온시키고, 혼합물을 30분 동안 교반하였다. 혼합물을 여과하여 불용분을 제거하고, 얻어진 여액을 농축하여, 화합물 (U-3) 44.19 부를 얻었다.
Figure pat00207
얻어진 화합물 (U-3) 19.33 부, 화합물 (U-4) 19.02 부 및 아세토니트릴 200 부를 반응기에 투입하고, 혼합하고, 50℃에서 3시간 동안 교반하였다. 얻어진 혼합물을 농축하고, 여기에 클로로포름 300 부 및 이온교환수 150 부를 첨가하였다. 얻어진 용액을 분리하여, 유기층을 회수하였다. 회수한 유기층을 이온교환수 150 부로 세정하고, 농축하였다. 얻어진 농축물을 컬럼 분취하여 (조건: 고정상 머크 제조의 실리카 겔 60-200 메시, 전개 용매 에틸 아세테이트), 화합물 (U) 14.58 부를 얻었다.
MS (질량 분석) : 315.1 (분자 이온 피크)
합성예 8: 화합물 (X)의 합성
Figure pat00208
화합물 (X-2) 6.32 부, 테트라히드로푸란 30.00 부 및 피리딘 5.99 부를 23℃에서 30분 동안 교반하면서 혼합하였다. 얻어진 혼합물을 0℃로 냉각시켰다. 동일한 온도를 유지하면서 상기 혼합물에 화합물 (X-1) 14.00 부를 1시간에 걸쳐 첨가하였다. 이어서, 혼합물을 약 10℃로 승온시키고, 혼합물을 동일한 온도에서 1시간 동안 교반하였다. 이렇게 얻어진 화합물 (X-3)을 함유하는 반응물에 화합물 (X-4) (1-(3-디메틸아미노프로필)-3-에틸카르보디이미드 히드로클로라이드) 14.51 부 및 화합물 (X-5) 8.20 부를 첨가하고, 23℃에서 3시간 동안 교반하였다. 얻어진 반응물 용액에 에틸 아세테이트 270 부 및 5% 염산 용액 16.57 부를 첨가하고, 23℃에서 30분 동안 교반하였다. 이어서, 정치시킨 후, 얻어진 용액을 분리하여, 유기층을 회수하였다. 회수된 유기층에 포화 탄산수소나트륨 65 부를 첨가하고, 얻어진 용액을 23℃에서 30분 동안 교반하고, 정치시키고, 이어서 분리하여, 유기층을 세정하였다. 상기 세정 작업을 2회 반복하였다. 세정한 유기층에 이온교환수 65 부를 첨가하고, 얻어진 용액을 23℃에서 30분 동안 교반하고, 정치시키고, 이어서 분리하여, 유기층을 물로 세정하였다. 상기 물 세정 작업을 5회 반복하였다. 얻어진 유기층을 농축하고, 이렇게 얻어진 농축물을 컬럼 분취하여 (조건: 고정상 머크 제조의 실리카 겔 60-200 메시, 전개 용매 n-헵탄/에틸 아세테이트), 화합물 (X) 9.90 부를 얻었다.
MS (질량 분석) : 434.1 (분자 이온 피크)
합성예 9: 화합물 (Y)의 합성
Figure pat00209
화합물 (Y-2) 7.08 부, 테트라히드로푸란 30.00 부 및 피리딘 5.99 부를 23℃에서 30분 동안 교반하면서 혼합하였다. 얻어진 혼합물을 0℃로 냉각시켰다. 동일한 온도를 유지하면서 상기 혼합물에 화합물 (Y-1) 14.00 부를 1시간에 걸쳐 첨가하였다. 이어서, 혼합물을 약 10℃로 승온시키고, 혼합물을 동일한 온도에서 1시간 동안 교반하였다. 이렇게 얻어진 화합물 (Y-3)을 함유하는 반응물에 화합물 (Y-4) (1-(3-디메틸아미노프로필)-3-에틸카르보디이미드 히드로클로라이드) 14.51 부 및 화합물 (Y-5) 8.20 부를 첨가하고, 23℃에서 3시간 동안 교반하였다. 얻어진 반응물 용액에 에틸 아세테이트 270 부 및 5% 염산 용액 16.57 부를 첨가하고, 23℃에서 30분 동안 교반하였다. 이어서, 정치시킨 후, 얻어진 용액을 분리하여, 유기층을 회수하였다. 회수된 유기층에 포화 탄산수소나트륨 65 부를 첨가하고, 얻어진 용액을 23℃에서 30분 동안 교반하고, 정치시키고, 이어서 분리하여, 유기층을 세정하였다. 상기 세정 작업을 2회 반복하였다. 세정한 유기층에 이온교환수 65 부를 첨가하고, 얻어진 용액을 23℃에서 30분 동안 교반하고, 정치시키고, 이어서 분리하여, 유기층을 물로 세정하였다. 상기 물 세정 작업을 5회 반복하였다. 얻어진 유기층을 농축하고, 이렇게 얻어진 농축물을 컬럼 분취하여 (조건: 고정상 머크 제조의 실리카 겔 60-200 메시, 전개 용매 n-헵탄/에틸 아세테이트), 화합물 (Y) 10.24 부를 얻었다.
MS (질량 분석) : 446.1 (분자 이온 피크)
합성예 10: 화합물 (Z)의 합성
Figure pat00210
화합물 (Z-2) 7.33 부, 테트라히드로푸란 30.00 부 및 피리딘 5.99 부를 23℃에서 30분 동안 교반하면서 혼합하였다. 얻어진 혼합물을 0℃로 냉각시켰다. 동일한 온도를 유지하면서 상기 혼합물에 화합물 (Z-1) 14.00 부를 1시간에 걸쳐 첨가하였다. 이어서, 혼합물을 약 10℃로 승온시키고, 혼합물을 동일한 온도에서 1시간 동안 교반하였다. 이렇게 얻어진 화합물 (Z-3)을 함유하는 반응물에 화합물 (Z-4) (1-(3-디메틸아미노프로필)-3-에틸카르보디이미드 히드로클로라이드) 14.51 부 및 화합물 (Z-5) 8.20 부를 첨가하고, 23℃에서 3시간 동안 교반하였다. 얻어진 반응물 용액에 에틸 아세테이트 270 부 및 5% 염산 용액 16.57 부를 첨가하고, 23℃에서 30분 동안 교반하였다. 이어서, 정치시킨 후, 얻어진 용액을 분리하여, 유기층을 회수하였다. 회수된 유기층에 포화 탄산수소나트륨 65 부를 첨가하고, 얻어진 용액을 23℃에서 30분 동안 교반하고, 정치시키고, 이어서 분리하여, 유기층을 세정하였다. 상기 세정 작업을 2회 반복하였다. 세정한 유기층에 이온교환수 65 부를 첨가하고, 얻어진 용액을 23℃에서 30분 동안 교반하고, 정치시키고, 이어서 분리하여, 유기층을 물로 세정하였다. 상기 물 세정 작업을 5회 반복하였다. 얻어진 유기층을 농축하고, 이렇게 얻어진 농축물을 컬럼 분취하여 (조건: 고정상 머크 제조의 실리카 겔 60-200 메시, 전개 용매 n-헵탄/에틸 아세테이트), 화합물 (Z) 10.24 부를 얻었다.
MS (질량 분석) : 450.2 (분자 이온 피크)
합성예 11: 화합물 (ZA)의 합성
Figure pat00211
화합물 (ZA-2) 10.40 부, 메틸이소부틸케톤 72.80 부 및 피리딘 7.21 부를 23℃에서 30분 동안 교반하면서 혼합하였다. 얻어진 혼합물을 0℃로 냉각시켰다. 동일한 온도를 유지하면서 상기 혼합물에 화합물 (ZA-1) 20.08 부를 1시간에 걸쳐 첨가하였다. 이어서, 혼합물을 약 10℃로 승온시키고, 혼합물을 동일한 온도에서 1시간 동안 교반하였다. 이렇게 얻어진 반응물을 n-헵탄 220.97 부, 2% 염산 용액 99.76 부에 첨가하여 혼합물을 얻고, 혼합물을 23℃에서 30분 동안 교반하였다. 얻어진 용액을 정치시키고, 이어서 분리하여, 유기층을 회수하였다. 회수된 유기층에 5% 염산 용액 39.90 부를 첨가하고, 얻어진 용액을 23℃에서 30분 동안 교반하고, 정치시키고, 이어서 분리하여, 유기층을 회수하였다. 회수된 유기층에 이온교환수 55.34 부를 첨가하고, 얻어진 용액을 23℃에서 30분 동안 교반하고, 정치시키고, 이어서 분리하여, 유기층을 물로 세정하였다. 세정한 유기층에 10% 탄산칼륨 수용액 73.45 부를 첨가하고, 얻어진 용액을 23℃에서 30분 동안 교반하고, 정치시키고, 이어서 분리하여, 유기층을 세정하였다. 상기 작업을 2회 반복하였다. 세정한 유기층에 이온교환수 110.68 부를 첨가하고, 얻어진 용액을 23℃에서 30분 동안 교반하고, 정치시키고, 이어서 분리하여, 유기층을 물로 세정하였다. 상기 물 세정 작업을 4회 반복하였다. 얻어진 유기층을 농축하여, 화합물 (ZA) 22.02 부를 얻었다.
MS (질량 분석) : 358.1 (분자 이온 피크)
합성예 12: 화합물 (ZB)의 합성
Figure pat00212
화합물 (ZB-2) 30.00 부, 메틸이소부틸케톤 210.00 부 및 피리딘 18.00 부를 23℃에서 30분 동안 교반하면서 혼합하였다. 얻어진 혼합물을 0℃로 냉각시켰다. 동일한 온도를 유지하면서 상기 혼합물에 화합물 (ZB-1) 48.50 부를 1시간에 걸쳐 첨가하였다. 이어서, 혼합물을 약 5℃로 승온시키고, 혼합물을 동일한 온도에서 1시간 동안 교반하였다. 이렇게 얻어진 반응물을 에틸 아세테이트 630 부, 5% 염산 용액 99.68 부 및 이온교환수 126 부에 첨가하여 혼합물을 얻고, 혼합물을 23℃에서 30분 동안 교반하였다. 얻어진 용액을 정치시키고, 이어서 분리하여, 유기층을 회수하였다. 회수된 유기층에 10% 탄산칼륨 수용액 86.50 부를 첨가하고, 얻어진 용액을 23℃에서 30분 동안 교반하고, 정치시키고, 이어서 분리하여, 유기층을 세정하였다. 상기 작업을 2회 반복하였다. 세정한 유기층에 이온교환수 157.50 부를 첨가하고, 얻어진 용액을 23℃에서 30분 동안 교반하고, 정치시키고, 이어서 분리하여, 유기층을 물로 세정하였다. 상기 물 세정 작업을 5회 반복하였다. 얻어진 유기층을 농축하여, 화합물 (ZB) 27.61 부를 얻었다.
MS (질량 분석) : 354.1 (분자 이온 피크)
합성예 13: 화합물 (ZC)의 합성
Figure pat00213
화합물 (ZC-2) 3.79 부, 테트라히드로푸란 20.00 부 및 피리딘 5.99 부를 23℃에서 30분 동안 교반하면서 혼합하였다. 얻어진 혼합물을 0℃로 냉각시켰다. 동일한 온도를 유지하면서 상기 혼합물에 화합물 (ZC-1) 14.00 부를 1시간에 걸쳐 첨가하였다. 이어서, 혼합물을 약 10℃로 승온시키고, 혼합물을 동일한 온도에서 1시간 동안 교반하였다. 이렇게 얻어진 화합물 (ZC-3)을 함유하는 반응물에 화합물 (ZC-4) (1-(3-디메틸아미노프로필)-3-에틸카르보디이미드 히드로클로라이드) 14.51 부 및 화합물 (ZC-5) 9.97 부를 첨가하고, 23℃에서 3시간 동안 교반하였다. 얻어진 반응물 용액에 에틸 아세테이트 250 부 및 5% 염산 용액 16.57 부를 첨가하고, 23℃에서 30분 동안 교반하였다. 이어서, 정치시킨 후, 얻어진 용액을 분리하여, 유기층을 회수하였다. 회수한 유기층에 포화 탄산수소나트륨 65 부를 첨가하고, 얻어진 용액을 23℃에서 30분 동안 교반하고, 정치시키고, 이어서 분리하여, 유기층을 세정하였다. 상기 세정 작업을 2회 반복하였다. 세정한 유기층에 이온교환수 100 부를 첨가하고, 얻어진 용액을 23℃에서 30분 동안 교반하고, 정치시키고, 이어서 분리하여, 유기층을 물로 세정하였다. 상기 물 세정 작업을 5회 반복하였다. 얻어진 유기층을 농축하고, 이렇게 얻어진 농축물을 컬럼 분취하여 (조건: 고정상 머크 제조의 실리카 겔 60-200 메시, 전개 용매 n-헵탄/에틸 아세테이트), 화합물 (ZC) 11.60 부를 얻었다.
MS (질량 분석) : 422.1 (분자 이온 피크)
합성예 14: 화합물 (ZD)의 합성
Figure pat00214
화합물 (ZD-2) 3.79 부, 테트라히드로푸란 20.00 부 및 피리딘 5.99 부를 23℃에서 30분 동안 교반하면서 혼합하였다. 얻어진 혼합물을 0℃로 냉각시켰다. 동일한 온도를 유지하면서 상기 혼합물에 화합물 (ZD-1) 14.00 부를 1시간에 걸쳐 첨가하였다. 이어서, 혼합물을 약 10℃로 승온시키고, 혼합물을 동일한 온도에서 1시간 동안 교반하였다. 이렇게 얻어진 화합물 (ZD-3)을 함유하는 반응물에 화합물 (ZD-4) (1-(3-디메틸아미노프로필)-3-에틸카르보디이미드 히드로클로라이드) 14.51 부 및 화합물 (ZD-5) 11.74 부를 첨가하고, 23℃에서 3시간 동안 교반하였다. 얻어진 반응물 용액에 에틸 아세테이트 300 부 및 5% 염산 용액 16.57 부를 첨가하고, 23℃에서 30분 동안 교반하였다. 얻어진 용액을 정치시키고, 이어서 분리하여, 유기층을 회수하였다. 회수된 유기층에 포화 탄산수소나트륨 65 부를 첨가하고, 얻어진 용액을 23℃에서 30분 동안 교반하고, 정치시키고, 이어서 분리하여, 유기층을 세정하였다. 상기 세정 작업을 2회 반복하였다. 세정한 유기층에 이온교환수 100 부를 첨가하고, 얻어진 용액을 23℃에서 30분 동안 교반하고, 정치시키고, 이어서 분리하여, 유기층을 물로 세정하였다. 상기 물 세정 작업을 5회 반복하였다. 얻어진 유기층을 농축하고, 이렇게 얻어진 농축물을 컬럼 분취하여 (조건: 고정상 머크 제조의 실리카 겔 60-200 메시, 전개 용매 n-헵탄/에틸 아세테이트), 화합물 (ZD) 15.49 부를 얻었다.
MS (질량 분석) : 450.2 (분자 이온 피크)
합성예 15: 화합물 (ZE)의 합성
Figure pat00215
화합물 (ZE-2) 27.34 부, 메틸이소부틸케톤 190.00 부 및 피리딘 18.00 부를 23℃에서 30분 동안 교반하면서 혼합하였다. 얻어진 혼합물을 0℃로 냉각시켰다. 동일한 온도를 유지하면서 상기 혼합물에 화합물 (ZE-1) 48.50 부를 1시간에 걸쳐 첨가하였다. 이어서, 혼합물을 약 5℃로 승온시키고, 혼합물을 동일한 온도에서 1시간 동안 교반하였다. 이렇게 얻어진 반응물을 에틸 아세테이트 570 부, 5% 염산 용액 99.68 부 및 이온교환수 126 부에 첨가하여 혼합물을 얻고, 혼합물을 23℃에서 30분 동안 교반하였다. 얻어진 용액을 정치시키고, 이어서 분리하여, 유기층을 회수하였다. 유기층에 10% 탄산칼륨 수용액 86.50 부를 첨가하고, 얻어진 용액을 23℃에서 30분 동안 교반하고, 정치시키고, 이어서 분리하여, 유기층을 세정하였다. 상기 세정 작업을 2회 반복하였다. 회수된 유기층에 이온교환수 157 부를 첨가하고, 얻어진 용액을 23℃에서 30분 동안 교반하고, 정치시키고, 이어서 분리하여, 유기층을 물로 세정하였다. 상기 물 세정 작업을 5회 반복하였다. 얻어진 유기층을 농축하여, 화합물 (ZE) 23.89 부를 얻었다.
MS (질량 분석) : 340.1 (분자 이온 피크)
합성예 16: 화합물 (ZF)의 합성
Figure pat00216
화합물 (ZF-2) 6.32 부, 테트라히드로푸란 30.00 부 및 피리딘 5.99 부를 23℃에서 30분 동안 교반하면서 혼합하였다. 얻어진 혼합물을 0℃로 냉각시켰다. 동일한 온도를 유지하면서 상기 혼합물에 화합물 (ZF-1) 14.00 부를 1시간에 걸쳐 첨가하였다. 이어서, 혼합물을 약 10℃로 승온시키고, 혼합물을 동일한 온도에서 1시간 동안 교반하였다. 이렇게 얻어진 화합물 (ZF-3)을 함유하는 반응물에 화합물 (ZF-4) (1-(3-디메틸아미노프로필)-3-에틸카르보디이미드 히드로클로라이드) 14.51 부 및 화합물 (ZF-5) 11.74 부를 첨가하고, 23℃에서 3시간 동안 교반하였다. 얻어진 반응물 용액에 에틸 아세테이트 300 부 및 5% 염산 용액 16.57 부를 첨가하고, 23℃에서 30분 동안 교반하였다. 얻어진 용액을 정치시키고, 이어서 분리하여, 유기층을 회수하였다. 회수된 유기층에 포화 탄산수소나트륨 65 부를 첨가하고, 얻어진 용액을 23℃에서 30분 동안 교반하고, 정치시키고, 이어서 분리하여, 유기층을 세정하였다. 상기 세정 작업을 2회 반복하였다. 세정한 유기층에 이온교환수 100 부를 첨가하고, 얻어진 용액을 23℃에서 30분 동안 교반하고, 정치시키고, 이어서 분리하여, 유기층을 물로 세정하였다. 상기 물 세정 작업을 5회 반복하였다. 얻어진 유기층을 농축하고, 이렇게 얻어진 농축물을 컬럼 분취하여 (조건: 고정상 머크 제조의 실리카 겔 60-200 메시, 전개 용매 n-헵탄/에틸 아세테이트), 화합물 (ZF) 16.89 부를 얻었다.
MS (질량 분석) : 490.2 (분자 이온 피크)
합성예 17: 화합물 (ZG)의 합성
Figure pat00217
화합물 (ZF-2) 6.32 부, 테트라히드로푸란 30.00 부 및 피리딘 5.99 부를 23℃에서 30분 동안 교반하면서 혼합하였다. 얻어진 혼합물을 0℃로 냉각시켰다. 동일한 온도를 유지하면서 상기 혼합물에 화합물 (ZG-1) 14.00 부를 1시간에 걸쳐 첨가하였다. 이어서, 혼합물을 약 10℃로 승온시키고, 혼합물을 동일한 온도에서 1시간 동안 교반하였다. 이렇게 얻어진 화합물 (ZG-3)을 함유하는 반응물에 화합물 (ZG-4) (1-(3-디메틸아미노프로필)-3-에틸카르보디이미드 히드로클로라이드) 14.51 부 및 화합물 (ZG-5) 9.97 부를 첨가하고, 23℃에서 3시간 동안 교반하였다. 얻어진 반응물 용액에 에틸 아세테이트 300 부 및 5% 염산 용액 16.57 부를 첨가하고, 23℃에서 30분 동안 교반하였다. 얻어진 용액을 정치시키고, 이어서 분리하여, 유기층을 회수하였다. 회수된 유기층에 포화 탄산수소나트륨 65 부를 첨가하고, 얻어진 용액을 23℃에서 30분 동안 교반하고, 정치시키고, 이어서 분리하여, 유기층을 세정하였다. 상기 세정 작업을 2회 반복하였다. 세정한 유기층에 이온교환수 100 부를 첨가하고, 얻어진 용액을 23℃에서 30분 동안 교반하고, 정치시키고, 이어서 분리하여, 유기층을 물로 세정하였다. 상기 물 세정 작업을 5회 반복하였다. 얻어진 유기층을 농축하고, 이렇게 얻어진 농축물을 컬럼 분취하여 (조건: 고정상 머크 제조의 실리카 겔 60-200 메시, 전개 용매 n-헵탄/에틸 아세테이트), 화합물 (ZG) 19.85 부를 얻었다.
MS (질량 분석) : 462.2 (분자 이온 피크)
수지의 합성예
수지의 합성에 사용된 단량체를 하기에 기재한다.
Figure pat00218
Figure pat00219
이들 단량체는 "단량체 (A)" 내지 "단량체 (Z)" 및 "단량체 (ZA)" 내지 "단량체 (ZG)"로 칭한다.
합성예 18: 수지 A1의 합성
단량체 (E), 단량체 (F), 단량체 (G), 단량체 (H) 및 단량체 (I)를 몰비 단량체 (E):단량체 (F):단량체 (G):단량체 (H):단량체 (I) = 40:10:17:30:3으로 함께 혼합하고, 여기에 디옥산을 단량체 총량의 1.5 중량배의 양으로 첨가하여 용액을 얻었다. 얻어진 용액에 아조비스이소부티로니트릴 및 아조비스(2,4-디메틸발레로니트릴)을 개시제로서 단량체 전량에 대하여 각각 1 몰% 및 3 몰%의 양으로 첨가하고, 얻어진 혼합물을 75℃에서 약 5시간 동안 가열하였다. 그 후, 얻어진 반응 혼합물을 대량의 메탄올과 물의 혼합물에 부어 수지를 침전시켰다. 얻어진 수지를 여과하였다. 이렇게 얻어진 수지를 또다른 디옥산에 용해시켜 용액을 얻고, 용액을 메탄올과 이온교환수의 혼합물에 부어 수지를 침전시켰다. 얻어진 수지를 여과하였다. 마지막 두 문장에 기재된 이들 조작을 2회 반복하여, 중량 평균 분자량이 약 7700인 공중합체를 60% 수율로 얻었다. 하기 화학식의 단량체로부터 유도되는 구조 단위를 갖는 이 공중합체를 수지 A1로 하였다.
Figure pat00220
합성예 19: 수지 A2의 합성
단량체 (E), 단량체 (F), 단량체 (G), 단량체 (H) 및 단량체 (J)를 몰비 단량체 (E):단량체 (F):단량체 (G):단량체 (H):단량체 (J) = 38:10:17:30:5로 함께 혼합하고, 여기에 디옥산을 단량체 총량의 1.5 중량배의 양으로 첨가하여 용액을 얻었다. 얻어진 용액에 아조비스이소부티로니트릴 및 아조비스(2,4-디메틸발레로니트릴)을 개시제로서 단량체 전량에 대하여 각각 1 몰% 및 3 몰%의 양으로 첨가하고, 얻어진 혼합물을 75℃에서 약 5시간 동안 가열하였다. 그 후, 얻어진 반응 혼합물을 대량의 메탄올과 물의 혼합물에 부어 수지를 침전시켰다. 얻어진 수지를 여과하였다. 이렇게 얻어진 수지를 또다른 디옥산에 용해시켜 용액을 얻고, 용액을 메탄올과 물의 혼합물에 부어 수지를 침전시켰다. 얻어진 수지를 여과하였다. 마지막 두 문장에 기재된 이들 조작을 2회 반복하여, 중량 평균 분자량이 약 8000인 공중합체를 59% 수율로 얻었다. 하기 화학식의 단량체로부터 유도되는 구조 단위를 갖는 이 공중합체를 수지 A2로 하였다.
Figure pat00221
합성예 20: 수지 A3의 합성
단량체 (I) 및 단량체 (L)을 몰비 단량체 (I):단량체 (L) = 50:50으로 함께 혼합하고, 여기에 디옥산을 단량체 총량의 1.5 중량배의 양으로 첨가하여 용액을 얻었다. 얻어진 용액에 아조비스이소부티로니트릴 및 아조비스(2,4-디메틸발레로니트릴)을 개시제로서 단량체 전량에 대하여 각각 0.7 몰% 및 2.1 몰%의 양으로 첨가하고, 얻어진 혼합물을 75℃에서 약 5시간 동안 가열하였다. 그 후, 얻어진 반응 혼합물을 대량의 메탄올과 물의 혼합물에 부어 수지를 침전시켰다. 얻어진 수지를 여과하였다. 이렇게 얻어진 수지를 또다른 디옥산에 용해시켜 용액을 얻고, 용액을 메탄올과 물의 혼합물에 부어 수지를 침전시켰다. 얻어진 수지를 여과하였다. 마지막 두 문장에 기재된 이들 조작을 2회 반복하여, 중량 평균 분자량이 약 16000인 공중합체를 68% 수율로 얻었다. 하기 화학식의 단량체로부터 유도되는 구조 단위를 갖는 이 공중합체를 수지 A3으로 하였다.
Figure pat00222
합성예 21: 수지 A4의 합성
단량체 (I) 및 단량체 (M)을 몰비 단량체 (I):단량체 (M) = 50:50으로 함께 혼합하고, 여기에 디옥산을 단량체 총량의 1.5 중량배의 양으로 첨가하여 용액을 얻었다. 얻어진 용액에 아조비스이소부티로니트릴 및 아조비스(2,4-디메틸발레로니트릴)을 개시제로서 단량체 전량에 대하여 각각 0.7 몰% 및 2.1 몰%의 양으로 첨가하고, 얻어진 혼합물을 75℃에서 약 5시간 동안 가열하였다. 그 후, 얻어진 반응 혼합물을 대량의 메탄올과 물의 혼합물에 부어 수지를 침전시켰다. 얻어진 수지를 여과하였다. 이렇게 얻어진 수지를 또다른 디옥산에 용해시켜 용액을 얻고, 용액을 메탄올과 물의 혼합물에 부어 수지를 침전시켰다. 얻어진 수지를 여과하였다. 마지막 두 문장에 기재된 이들 조작을 2회 반복하여, 중량 평균 분자량이 약 17000인 공중합체를 68% 수율로 얻었다. 하기 화학식의 단량체로부터 유도되는 구조 단위를 갖는 이 공중합체를 수지 A4로 하였다.
Figure pat00223
합성예 22: 수지 A5의 합성
단량체 (I) 및 단량체 (N)을 몰비 단량체 (I):단량체 (N) = 80:20으로 함께 혼합하고, 여기에 디옥산을 단량체 총량의 1.5 중량배의 양으로 첨가하여 용액을 얻었다. 얻어진 용액에 아조비스이소부티로니트릴 및 아조비스(2,4-디메틸발레로니트릴)을 개시제로서 단량체 전량에 대하여 각각 0.7 몰% 및 2.1 몰%의 양으로 첨가하고, 얻어진 혼합물을 75℃에서 약 5시간 동안 가열하였다. 그 후, 얻어진 반응 혼합물을 대량의 메탄올과 물의 혼합물에 부어 수지를 침전시켰다. 얻어진 수지를 여과하였다. 이렇게 얻어진 수지를 또다른 디옥산에 용해시켜 용액을 얻고, 용액을 메탄올과 물의 혼합물에 부어 수지를 침전시켰다. 얻어진 수지를 여과하였다. 마지막 두 문장에 기재된 이들 조작을 2회 반복하여, 중량 평균 분자량이 약 17000인 공중합체를 62% 수율로 얻었다. 하기 화학식의 단량체로부터 유도되는 구조 단위를 갖는 이 공중합체를 수지 A5로 하였다.
Figure pat00224
합성예 23: 수지 A6의 합성
단량체 (E), 단량체 (K), 단량체 (F), 단량체 (H) 및 단량체 (G)를 몰비 단량체 (E):단량체 (K):단량체 (F):단량체 (H):단량체 (G) = 32:7:8:10:43으로 함께 혼합하고, 여기에 디옥산을 단량체 총량의 1.5 중량배의 양으로 첨가하여 용액을 얻었다. 얻어진 용액에 아조비스이소부티로니트릴 및 아조비스(2,4-디메틸발레로니트릴)을 개시제로서 단량체 전량에 대하여 각각 1 몰% 및 3 몰%의 양으로 첨가하고, 얻어진 혼합물을 73℃에서 약 5시간 동안 가열하였다. 그 후, 얻어진 반응 혼합물을 대량의 메탄올과 물의 혼합물에 부어 수지를 침전시켰다. 얻어진 수지를 여과하였다. 이렇게 얻어진 수지를 또다른 디옥산에 용해시켜 용액을 얻고, 용액을 메탄올과 이온교환수의 혼합물에 부어 수지를 침전시켰다. 얻어진 수지를 여과하였다. 마지막 두 문장에 기재된 이들 조작을 2회 반복하여, 중량 평균 분자량이 약 8900인 공중합체를 78% 수율로 얻었다. 하기 화학식의 단량체로부터 유도되는 구조 단위를 갖는 이 공중합체를 수지 A6으로 하였다.
Figure pat00225
합성예 24: 수지 A7의 합성
단량체 (A), 단량체 (B) 및 단량체 (C)를 몰비 단량체 (A):단량체 (B):단량체 (C) = 36:34:30으로 함께 혼합하고, 여기에 디옥산을 단량체 총량의 1.5 중량배의 양으로 첨가하여 용액을 얻었다. 얻어진 용액에 아조비스이소부티로니트릴 및 아조비스(2,4-디메틸발레로니트릴)을 개시제로서 단량체 전량에 대하여 각각 1.5 몰% 및 4.5 몰%의 양으로 첨가하고, 얻어진 혼합물을 75℃에서 약 5시간 동안 가열하였다. 그 후, 얻어진 반응 혼합물을 대량의 메탄올과 물의 혼합물에 부어 수지를 침전시켰다. 얻어진 수지를 여과하였다. 이렇게 얻어진 수지를 또다른 디옥산에 용해시켜 용액을 얻고, 용액을 메탄올과 물의 혼합물에 부어 수지를 침전시켰다. 얻어진 수지를 여과하였다. 마지막 두 문장에 기재된 이들 조작을 2회 반복하여, 중량 평균 분자량이 약 5000인 공중합체를 48% 수율로 얻었다. 하기 화학식의 단량체로부터 유도되는 구조 단위를 갖는 이 공중합체를 수지 A7로 하였다.
Figure pat00226
합성예 25: 수지 A8의 합성
단량체 (B) 및 단량체 (D)를 몰비 단량체 (B):단량체 (D) = 70:30으로 함께 혼합하고, 여기에 디옥산을 단량체 총량의 1.5 중량배의 양으로 첨가하여 용액을 얻었다. 얻어진 용액에 아조비스이소부티로니트릴 및 아조비스(2,4-디메틸발레로니트릴)을 개시제로서 단량체 전량에 대하여 각각 1 몰% 및 3 몰%의 양으로 첨가하고, 얻어진 혼합물을 75℃에서 약 5시간 동안 가열하였다. 그 후, 얻어진 반응 혼합물을 대량의 메탄올과 물의 혼합물에 부어 수지를 침전시켰다. 얻어진 수지를 여과하였다. 이렇게 얻어진 수지를 또다른 디옥산에 용해시켜 용액을 얻고, 용액을 메탄올과 물의 혼합물에 부어 수지를 침전시켰다. 얻어진 수지를 여과하였다. 마지막 두 문장에 기재된 이들 조작을 2회 반복하여, 중량 평균 분자량이 약 6700인 공중합체를 58% 수율로 얻었다. 하기 화학식의 단량체로부터 유도되는 구조 단위를 갖는 이 공중합체를 수지 A8로 하였다.
Figure pat00227
합성예 26: 수지 A9의 합성
단량체 (O) 및 단량체 (L)을 몰비 단량체 (O):단량체 (L) = 70:30으로 함께 혼합하고, 여기에 디옥산을 단량체 총량의 1.5 중량배의 양으로 첨가하여 용액을 얻었다. 얻어진 용액에 아조비스이소부티로니트릴 및 아조비스(2,4-디메틸발레로니트릴)을 개시제로서 단량체 전량에 대하여 각각 0.7 몰% 및 2.1 몰%의 양으로 첨가하고, 얻어진 혼합물을 75℃에서 약 5시간 동안 가열하였다. 그 후, 얻어진 반응 혼합물을 대량의 메탄올과 물의 혼합물에 부어 수지를 침전시켰다. 얻어진 수지를 여과하였다. 이렇게 얻어진 수지를 또다른 디옥산에 용해시켜 용액을 얻고, 용액을 메탄올과 물의 혼합물에 부어 수지를 침전시켰다. 얻어진 수지를 여과하였다. 마지막 두 문장에 기재된 이들 조작을 2회 반복하여, 중량 평균 분자량이 약 15000인 공중합체를 78% 수율로 얻었다. 하기 화학식의 단량체로부터 유도되는 구조 단위를 갖는 이 공중합체를 수지 A9로 하였다.
Figure pat00228
합성예 27: 수지 A10의 합성
단량체 (P) 및 단량체 (L)을 몰비 단량체 (P):단량체 (L) = 80:20으로 함께 혼합하고, 여기에 디옥산을 단량체 총량의 1.5 중량배의 양으로 첨가하여 용액을 얻었다. 얻어진 용액에 아조비스이소부티로니트릴 및 아조비스(2,4-디메틸발레로니트릴)을 개시제로서 단량체 전량에 대하여 각각 0.7 몰% 및 2.1 몰%의 양으로 첨가하고, 얻어진 혼합물을 75℃에서 약 5시간 동안 가열하였다. 그 후, 얻어진 반응 혼합물을 대량의 메탄올과 물의 혼합물에 부어 수지를 침전시켰다. 얻어진 수지를 여과하였다. 이렇게 얻어진 수지를 또다른 디옥산에 용해시켜 용액을 얻고, 용액을 메탄올과 물의 혼합물에 부어 수지를 침전시켰다. 얻어진 수지를 여과하였다. 마지막 두 문장에 기재된 이들 조작을 2회 반복하여, 중량 평균 분자량이 약 16000인 공중합체를 82% 수율로 얻었다. 하기 화학식의 단량체로부터 유도되는 구조 단위를 갖는 이 공중합체를 수지 A10으로 하였다.
Figure pat00229
합성예 28: 수지 A11의 합성
단량체 (O)를 사용하고, 여기에 디옥산을 단량체 양의 1.5 중량배의 양으로 첨가하여 용액을 얻었다. 얻어진 용액에 아조비스이소부티로니트릴 및 아조비스(2,4-디메틸발레로니트릴)을 개시제로서 단량체 양에 대하여 각각 0.7 몰% 및 2.1 몰%의 양으로 첨가하고, 얻어진 혼합물을 75℃에서 약 5시간 동안 가열하였다. 그 후, 얻어진 반응 혼합물을 대량의 메탄올과 이온교환수의 혼합물에 부어 수지를 침전시켰다. 얻어진 수지를 여과하였다. 이렇게 얻어진 수지를 또다른 디옥산에 용해시켜 용액을 얻고, 용액을 메탄올과 물의 혼합물에 부어 수지를 침전시켰다. 얻어진 수지를 여과하였다. 마지막 두 문장에 기재된 이들 조작을 2회 반복하여, 중량 평균 분자량이 약 18000인 중합체를 77% 수율로 얻었다. 하기 화학식의 단량체로부터 유도되는 구조 단위를 갖는 이 중합체를 수지 A11로 하였다.
Figure pat00230
합성예 29: 수지 A12의 합성
단량체 (I) 및 단량체 (P)를 몰비 단량체 (I):단량체 (P) = 80:20으로 함께 혼합하고, 여기에 디옥산을 단량체 총량의 1.5 중량배의 양으로 첨가하여 용액을 얻었다. 얻어진 용액에 아조비스이소부티로니트릴 및 아조비스(2,4-디메틸발레로니트릴)을 개시제로서 단량체 전량에 대하여 각각 0.7 몰% 및 2.1 몰%의 양으로 첨가하고, 얻어진 혼합물을 75℃에서 약 5시간 동안 가열하였다. 그 후, 얻어진 반응 혼합물을 대량의 메탄올과 물의 혼합물에 부어 수지를 침전시켰다. 얻어진 수지를 여과하였다. 이렇게 얻어진 수지를 또다른 디옥산에 용해시켜 용액을 얻고, 용액을 메탄올과 물의 혼합물에 부어 수지를 침전시켰다. 얻어진 수지를 여과하였다. 마지막 두 문장에 기재된 이들 조작을 2회 반복하여, 중량 평균 분자량이 약 15000인 공중합체를 85% 수율로 얻었다. 하기 화학식의 단량체로부터 유도되는 구조 단위를 갖는 이 공중합체를 수지 A12로 하였다.
Figure pat00231
합성예 30: 수지 A13의 합성
단량체 (O) 및 단량체 (Q)를 몰비 단량체 (O):단량체 (Q) = 90:10으로 함께 혼합하고, 여기에 디옥산을 단량체 총량의 1.5 중량배의 양으로 첨가하여 용액을 얻었다. 얻어진 용액에 아조비스이소부티로니트릴 및 아조비스(2,4-디메틸발레로니트릴)을 개시제로서 단량체 전량에 대하여 각각 0.7 몰% 및 2.1 몰%의 양으로 첨가하고, 얻어진 혼합물을 75℃에서 약 5시간 동안 가열하였다. 그 후, 얻어진 반응 혼합물을 대량의 메탄올과 물의 혼합물에 부어 수지를 침전시켰다. 얻어진 수지를 여과하였다. 이렇게 얻어진 수지를 또다른 디옥산에 용해시켜 용액을 얻고, 용액을 메탄올과 물의 혼합물에 부어 수지를 침전시켰다. 얻어진 수지를 여과하였다. 마지막 두 문장에 기재된 이들 조작을 2회 반복하여, 중량 평균 분자량이 약 17000인 공중합체를 82% 수율로 얻었다. 하기 화학식의 단량체로부터 유도되는 구조 단위를 갖는 이 공중합체를 수지 A13으로 하였다.
Figure pat00232
합성예 31: 수지 A14의 합성
단량체 (O) 및 단량체 (R)을 몰비 단량체 (O):단량체 (R) = 90:10으로 함께 혼합하고, 여기에 디옥산을 단량체 총량의 1.5 중량배의 양으로 첨가하여 용액을 얻었다. 얻어진 용액에 아조비스이소부티로니트릴 및 아조비스(2,4-디메틸발레로니트릴)을 개시제로서 단량체 전량에 대하여 각각 0.7 몰% 및 2.1 몰%의 양으로 첨가하고, 얻어진 혼합물을 75℃에서 약 5시간 동안 가열하였다. 그 후, 얻어진 반응 혼합물을 대량의 메탄올과 물의 혼합물에 부어 수지를 침전시켰다. 얻어진 수지를 여과하였다. 이렇게 얻어진 수지를 또다른 디옥산에 용해시켜 용액을 얻고, 용액을 메탄올과 물의 혼합물에 부어 수지를 침전시켰다. 얻어진 수지를 여과하였다. 마지막 두 문장에 기재된 이들 조작을 2회 반복하여, 중량 평균 분자량이 약 17000인 공중합체를 80% 수율로 얻었다. 하기 화학식의 단량체로부터 유도되는 구조 단위를 갖는 이 공중합체를 수지 A14로 하였다.
Figure pat00233
합성예 32: 수지 A15의 합성
단량체 (E), 단량체 (K), 단량체 (F), 단량체 (S) 및 단량체 (G)를 몰비 단량체 (E):단량체 (K):단량체 (F):단량체 (S):단량체 (G) = 32:7:8:10:43으로 혼합하고, 여기에 디옥산을 단량체 총량의 1.5 중량배의 양으로 첨가하여 용액을 얻었다. 얻어진 용액에 아조비스이소부티로니트릴 및 아조비스(2,4-디메틸발레로니트릴)을 개시제로서 단량체 전량에 대하여 각각 1 몰% 및 3 몰%의 양으로 첨가하고, 얻어진 혼합물을 70℃에서 약 5시간 동안 가열하였다. 그 후, 얻어진 반응 혼합물을 대량의 메탄올과 물의 혼합물에 부어 수지를 침전시켰다. 얻어진 수지를 여과하였다. 이렇게 얻어진 수지를 또다른 디옥산에 용해시켜 용액을 얻고, 용액을 메탄올과 물의 혼합물에 부어 수지를 침전시켰다. 얻어진 수지를 여과하였다. 마지막 두 문장에 기재된 이들 조작을 2회 반복하여, 중량 평균 분자량이 약 9000인 공중합체를 80% 수율로 얻었다. 하기 화학식의 단량체로부터 유도되는 구조 단위를 갖는 이 공중합체를 수지 A15로 하였다.
Figure pat00234
합성예 33: 수지 A16의 합성
단량체 (E), 단량체 (T), 단량체 (F), 단량체 (S) 및 단량체 (G)를 몰비 단량체 (E):단량체 (T):단량체 (F):단량체 (S):단량체 (G) = 32:7:8:10:43으로 함께 혼합하고, 여기에 디옥산을 단량체 총량의 1.5 중량배의 양으로 첨가하여 용액을 얻었다. 얻어진 용액에 아조비스이소부티로니트릴 및 아조비스(2,4-디메틸발레로니트릴)을 개시제로서 단량체 전량에 대하여 각각 1 몰% 및 3 몰%의 양으로 첨가하고, 얻어진 혼합물을 70℃에서 약 5시간 동안 가열하였다. 그 후, 얻어진 반응 혼합물을 대량의 메탄올과 물의 혼합물에 부어 수지를 침전시켰다. 얻어진 수지를 여과하였다. 이렇게 얻어진 수지를 또다른 디옥산에 용해시켜 용액을 얻고, 용액을 메탄올과 물의 혼합물에 부어 수지를 침전시켰다. 얻어진 수지를 여과하였다. 마지막 두 문장에 기재된 이들 조작을 2회 반복하여, 중량 평균 분자량이 약 8700인 공중합체를 76% 수율로 얻었다. 하기 화학식의 단량체로부터 유도되는 구조 단위를 갖는 이 공중합체를 수지 A16으로 하였다.
Figure pat00235
합성예 34: 수지 A17의 합성
단량체 (W), 단량체 (K), 단량체 (F), 단량체 (G) 및 단량체 (U)를 몰비 단량체 (W):단량체 (K):단량체 (F):단량체 (G):단량체 (U) = 35:10:6:37:12로 함께 혼합하고, 여기에 디옥산을 단량체 총량의 1.5 중량배의 양으로 첨가하여 용액을 얻었다. 얻어진 용액에 아조비스이소부티로니트릴 및 아조비스(2,4-디메틸발레로니트릴)을 개시제로서 단량체 전량에 대하여 각각 1 몰% 및 3 몰%의 양으로 첨가하고, 얻어진 혼합물을 75℃에서 약 5시간 동안 가열하였다. 그 후, 얻어진 반응 혼합물을 대량의 메탄올과 물의 혼합물에 부어 수지를 침전시켰다. 얻어진 수지를 여과하였다. 이렇게 얻어진 수지를 또다른 디옥산에 용해시켜 용액을 얻고, 용액을 메탄올과 물의 혼합물에 부어 수지를 침전시켰다. 얻어진 수지를 여과하였다. 마지막 두 문장에 기재된 이들 조작을 2회 반복하여, 중량 평균 분자량이 약 7200인 공중합체를 65% 수율로 얻었다. 하기 화학식의 단량체로부터 유도되는 구조 단위를 갖는 이 공중합체를 수지 A17로 하였다.
Figure pat00236
합성예 35: 수지 A18의 합성
단량체 (W), 단량체 (K), 단량체 (F), 단량체 (H), 단량체 (G) 및 단량체 (U)를 몰비 단량체 (W):단량체 (K):단량체 (F): 단량체 (H):단량체 (G):단량체 (U) = 35:10:8:12:23:12로 함께 혼합하고, 여기에 디옥산을 단량체 총량의 1.5 중량배의 양으로 첨가하여 용액을 얻었다. 얻어진 용액에 아조비스이소부티로니트릴 및 아조비스(2,4-디메틸발레로니트릴)을 개시제로서 단량체 전량에 대하여 각각 1 몰% 및 3 몰%의 양으로 첨가하고, 얻어진 혼합물을 75℃에서 약 5시간 동안 가열하였다. 그 후, 얻어진 반응 혼합물을 대량의 메탄올과 물의 혼합물에 부어 수지를 침전시켰다. 얻어진 수지를 여과하였다. 이렇게 얻어진 수지를 또다른 디옥산에 용해시켜 용액을 얻고, 용액을 메탄올과 물의 혼합물에 부어 수지를 침전시켰다. 얻어진 수지를 여과하였다. 마지막 두 문장에 기재된 이들 조작을 2회 반복하여, 중량 평균 분자량이 약 7400인 공중합체를 66% 수율로 얻었다. 하기 화학식의 단량체로부터 유도되는 구조 단위를 갖는 이 공중합체를 수지 A18로 하였다.
Figure pat00237
합성예 36: 수지 A19의 합성
단량체 (E), 단량체 (K), 단량체 (F), 단량체 (G) 및 단량체 (U)를 몰비 단량체 (E):단량체 (K):단량체 (F):단량체 (G):단량체 (U) = 32:7:8:43:10으로 함께 혼합하고, 여기에 디옥산을 단량체 총량의 1.5 중량배의 양으로 첨가하여 용액을 얻었다. 얻어진 용액에 아조비스이소부티로니트릴 및 아조비스(2,4-디메틸발레로니트릴)을 개시제로서 단량체 전량에 대하여 각각 1 몰% 및 3 몰%의 양으로 첨가하고, 얻어진 혼합물을 75℃에서 약 5시간 동안 가열하였다. 그 후, 얻어진 반응 혼합물을 대량의 메탄올과 물의 혼합물에 부어 수지를 침전시켰다. 얻어진 수지를 여과하였다. 이렇게 얻어진 수지를 또다른 디옥산에 용해시켜 용액을 얻고, 용액을 메탄올과 물의 혼합물에 부어 수지를 침전시켰다. 얻어진 수지를 여과하였다. 마지막 두 문장에 기재된 이들 조작을 2회 반복하여, 중량 평균 분자량이 약 7500인 공중합체를 78% 수율로 얻었다. 하기 화학식의 단량체로부터 유도되는 구조 단위를 갖는 이 공중합체를 수지 A19로 하였다.
Figure pat00238
합성예 37: 수지 A20의 합성
단량체 (A), 단량체 (G) 및 단량체 (F)를 몰비 단량체 (A):단량체 (G):단량체 (F) = 35:45:20으로 함께 혼합하고, 여기에 디옥산을 단량체 총량의 1.5 중량배의 양으로 첨가하여 용액을 얻었다. 얻어진 용액에 아조비스이소부티로니트릴 및 아조비스(2,4-디메틸발레로니트릴)을 개시제로서 단량체 전량에 대하여 각각 1.5 몰% 및 4.5 몰%의 양으로 첨가하고, 얻어진 혼합물을 75℃에서 약 5시간 동안 가열하였다. 그 후, 얻어진 반응 혼합물을 대량의 메탄올과 물의 혼합물에 부어 수지를 침전시켰다. 얻어진 수지를 여과하였다. 이렇게 얻어진 수지를 또다른 디옥산에 용해시켜 용액을 얻고, 용액을 메탄올과 물의 혼합물에 부어 수지를 침전시켰다. 얻어진 수지를 여과하였다. 마지막 두 문장에 기재된 이들 조작을 2회 반복하여, 중량 평균 분자량이 약 7000인 공중합체를 75% 수율로 얻었다. 하기 화학식의 단량체로부터 유도되는 구조 단위를 갖는 이 공중합체를 수지 A20으로 하였다.
Figure pat00239
합성예 38: 수지 A21의 합성
단량체 (V) 및 단량체 (A)를 몰비 단량체 (V):단량체 (A) = 80:20으로 함께 혼합하고, 여기에 디옥산을 단량체 총량의 1.5 중량배의 양으로 첨가하여 용액을 얻었다. 얻어진 용액에 아조비스이소부티로니트릴 및 아조비스(2,4-디메틸발레로니트릴)을 개시제로서 단량체 전량에 대하여 각각 0.5 몰% 및 1.5 몰%의 양으로 첨가하고, 얻어진 혼합물을 75℃에서 약 5시간 동안 가열하였다. 그 후, 얻어진 반응 혼합물을 대량의 메탄올과 물의 혼합물에 부어 수지를 침전시켰다. 얻어진 수지를 여과하였다. 이렇게 얻어진 수지를 또다른 디옥산에 용해시켜 용액을 얻고, 용액을 메탄올과 이온교환수의 혼합물에 부어 수지를 침전시켰다. 얻어진 수지를 여과하였다. 마지막 두 문장에 기재된 이들 조작을 2회 반복하여, 중량 평균 분자량이 약 28000인 공중합체를 70% 수율로 얻었다. 하기 화학식의 단량체로부터 유도되는 구조 단위를 갖는 이 공중합체를 수지 A21로 하였다.
Figure pat00240
합성예 39: 수지 A22의 합성
단량체 (W), 단량체 (F), 단량체 (G) 및 단량체 (S)를 몰비 단량체 (W):단량체 (F):단량체 (G):단량체 (S): = 51.7:7.8:23.3:17.2로 함께 혼합하고, 여기에 디옥산을 단량체 총량의 1.5 중량배의 양으로 첨가하여 용액을 얻었다. 여기에 아조비스이소부티로니트릴 및 아조비스(2,4-디메틸발레로니트릴)을 개시제로서 단량체 전량에 대하여 각각 1 몰% 및 3 몰%의 양으로 첨가하고, 얻어진 혼합물을 75℃에서 약 5시간 동안 가열하였다. 그 후, 얻어진 반응 혼합물을 대량의 메탄올과 물의 혼합물에 부어 수지를 침전시켰다. 얻어진 수지를 여과하였다. 이렇게 얻어진 수지를 또다른 디옥산에 용해시켜 용액을 얻고, 용액을 메탄올과 물의 혼합물에 부어 수지를 침전시켰다. 얻어진 수지를 여과하였다. 마지막 두 문장에 기재된 이들 조작을 2회 반복하여, 중량 평균 분자량이 약 7700인 공중합체를 64% 수율로 얻었다. 하기 화학식의 단량체로부터 유도되는 구조 단위를 갖는 이 공중합체를 수지 A22로 하였다.
Figure pat00241
합성예 40: 수지 A23의 합성
단량체 (I)를 사용하고, 여기에 디옥산을 단량체 양의 1.5 중량배의 양으로 첨가하여 용액을 얻었다. 얻어진 용액에 아조비스이소부티로니트릴 및 아조비스(2,4-디메틸발레로니트릴)을 개시제로서 단량체 양에 대하여 각각 0.7 몰% 및 2.1 몰%의 양으로 첨가하고, 얻어진 혼합물을 75℃에서 약 5시간 동안 가열하였다. 그 후, 얻어진 반응 혼합물을 대량의 메탄올과 물의 혼합물에 부어 수지를 침전시켰다. 얻어진 수지를 여과하였다. 이렇게 얻어진 수지를 또다른 디옥산에 용해시켜 용액을 얻고, 용액을 메탄올과 물의 혼합물에 부어 수지를 침전시켰다. 얻어진 수지를 여과하였다. 마지막 두 문장에 기재된 이들 조작을 2회 반복하여, 중량 평균 분자량이 약 19000인 중합체를 83% 수율로 얻었다. 하기 화학식의 단량체로부터 유도되는 구조 단위를 갖는 이 중합체를 수지 A23으로 하였다.
Figure pat00242
합성예 41: 수지 A24의 합성
단량체 (X)를 사용하고, 여기에 디옥산을 단량체 양의 1.5 중량배의 양으로 첨가하여 용액을 얻었다. 얻어진 용액에 아조비스이소부티로니트릴 및 아조비스(2,4-디메틸발레로니트릴)을 개시제로서 단량체 양에 대하여 각각 0.7 몰% 및 2.1 몰%의 양으로 첨가하고, 얻어진 혼합물을 75℃에서 약 5시간 동안 가열하였다. 그 후, 얻어진 반응 혼합물을 대량의 메탄올과 물의 혼합물에 부어 수지를 침전시켰다. 얻어진 수지를 여과하였다. 이렇게 얻어진 수지를 또다른 디옥산에 용해시켜 용액을 얻고, 용액을 메탄올과 물의 혼합물에 부어 수지를 침전시켰다. 얻어진 수지를 여과하였다. 마지막 두 문장에 기재된 이들 조작을 2회 반복하여, 중량 평균 분자량이 약 20000인 중합체를 85% 수율로 얻었다. 하기 화학식의 단량체로부터 유도되는 구조 단위를 갖는 이 중합체를 수지 A24로 하였다.
Figure pat00243
합성예 42: 수지 A25의 합성
단량체 (Y)를 사용하고, 여기에 디옥산을 단량체 양의 1.5 중량배의 양으로 첨가하여 용액을 얻었다. 여기에 아조비스이소부티로니트릴 및 아조비스(2,4-디메틸발레로니트릴)을 개시제로서 단량체 양에 대하여 각각 0.7 몰% 및 2.1 몰%의 양으로 첨가하고, 얻어진 혼합물을 75℃에서 약 5시간 동안 가열하였다. 그 후, 얻어진 반응 혼합물을 대량의 메탄올과 물의 혼합물에 부어 수지를 침전시켰다. 얻어진 수지를 여과하였다. 이렇게 얻어진 수지를 또다른 디옥산에 용해시켜 용액을 얻고, 용액을 메탄올과 물의 혼합물에 부어 수지를 침전시켰다. 얻어진 수지를 여과하였다. 마지막 두 문장에 기재된 이들 조작을 2회 반복하여, 중량 평균 분자량이 약 19000인 중합체를 83% 수율로 얻었다. 하기 화학식의 단량체로부터 유도되는 구조 단위를 갖는 이 중합체를 수지 A25로 하였다.
Figure pat00244
합성예 43: 수지 A26의 합성
단량체 (Z)를 사용하고, 여기에 디옥산을 단량체 양의 1.5 중량배의 양으로 첨가하여 용액을 얻었다. 여기에 아조비스이소부티로니트릴 및 아조비스(2,4-디메틸발레로니트릴)을 개시제로서 단량체 양에 대하여 각각 0.7 몰% 및 2.1 몰%의 양으로 첨가하고, 얻어진 혼합물을 75℃에서 약 5시간 동안 가열하였다. 그 후, 얻어진 반응 혼합물을 대량의 메탄올과 물의 혼합물에 부어 수지를 침전시켰다. 얻어진 수지를 여과하였다. 이렇게 얻어진 수지를 또다른 디옥산에 용해시켜 용액을 얻고, 용액을 메탄올과 물의 혼합물에 부어 수지를 침전시켰다. 얻어진 수지를 여과하였다. 마지막 두 문장에 기재된 이들 조작을 2회 반복하여, 중량 평균 분자량이 약 21000인 중합체를 81% 수율로 얻었다. 하기 화학식의 단량체로부터 유도되는 구조 단위를 갖는 이 중합체를 수지 A26으로 하였다.
Figure pat00245
합성예 44: 수지 A27의 합성
단량체 (ZA)를 사용하고, 여기에 디옥산을 단량체 양의 1.5 중량배의 양으로 첨가하여 용액을 얻었다. 얻어진 용액에 아조비스이소부티로니트릴 및 아조비스(2,4-디메틸발레로니트릴)을 개시제로서 단량체 양에 대하여 각각 0.7 몰% 및 2.1 몰%의 양으로 첨가하고, 얻어진 혼합물을 75℃에서 약 5시간 동안 가열하였다. 그 후, 얻어진 반응 혼합물을 대량의 메탄올과 물의 혼합물에 부어 수지를 침전시켰다. 얻어진 수지를 여과하였다. 이렇게 얻어진 수지를 또다른 디옥산에 용해시켜 용액을 얻고, 용액을 메탄올과 물의 혼합물에 부어 수지를 침전시켰다. 얻어진 수지를 여과하였다. 마지막 두 문장에 기재된 이들 조작을 2회 반복하여, 중량 평균 분자량이 약 18000인 중합체를 78% 수율로 얻었다. 하기 화학식의 단량체로부터 유도되는 구조 단위를 갖는 이 중합체를 수지 A27로 하였다.
Figure pat00246
합성예 45: 수지 A28의 합성
단량체 (ZB)를 사용하고, 여기에 디옥산을 단량체 양의 1.5 중량배의 양으로 첨가하여 용액을 얻었다. 얻어진 용액에 아조비스이소부티로니트릴 및 아조비스(2,4-디메틸발레로니트릴)을 개시제로서 단량체 양에 대하여 각각 0.7 몰% 및 2.1 몰%의 양으로 첨가하고, 얻어진 혼합물을 75℃에서 약 5시간 동안 가열하였다. 그 후, 얻어진 반응 혼합물을 대량의 메탄올과 물의 혼합물에 부어 수지를 침전시켰다. 얻어진 수지를 여과하였다. 이렇게 얻어진 수지를 또다른 디옥산에 용해시켜 용액을 얻고, 용액을 메탄올과 물의 혼합물에 부어 수지를 침전시켰다. 얻어진 수지를 여과하였다. 마지막 두 문장에 기재된 이들 조작을 2회 반복하여, 중량 평균 분자량이 약 19000인 중합체를 73% 수율로 얻었다. 하기 화학식의 단량체로부터 유도되는 구조 단위를 갖는 이 중합체를 수지 A28로 하였다.
Figure pat00247
합성예 46: 수지 A29의 합성
단량체 (ZC)를 사용하고, 여기에 디옥산을 단량체 양의 1.5 중량배의 양으로 첨가하여 용액을 얻었다. 얻어진 용액에 아조비스이소부티로니트릴 및 아조비스(2,4-디메틸발레로니트릴)을 개시제로서 단량체 양에 대하여 각각 0.7 몰% 및 2.1 몰%의 양으로 첨가하고, 얻어진 혼합물을 75℃에서 약 5시간 동안 가열하였다. 그 후, 얻어진 반응 혼합물을 대량의 메탄올과 물의 혼합물에 부어 수지를 침전시켰다. 얻어진 수지를 여과하였다. 이렇게 얻어진 수지를 또다른 디옥산에 용해시켜 용액을 얻고, 용액을 메탄올과 물의 혼합물에 부어 수지를 침전시켰다. 얻어진 수지를 여과하였다. 마지막 두 문장에 기재된 이들 조작을 2회 반복하여, 중량 평균 분자량이 약 16000인 중합체를 71% 수율로 얻었다. 하기 화학식의 단량체로부터 유도되는 구조 단위를 갖는 이 중합체를 수지 A29로 하였다.
Figure pat00248
합성예 47: 수지 A30의 합성
단량체 (ZD)를 사용하고, 여기에 디옥산을 단량체 양의 1.5 중량배의 양으로 첨가하여 용액을 얻었다. 얻어진 용액에 아조비스이소부티로니트릴 및 아조비스(2,4-디메틸발레로니트릴)을 개시제로서 단량체 양에 대하여 각각 0.7 몰% 및 2.1 몰%의 양으로 첨가하고, 얻어진 혼합물을 75℃에서 약 5시간 동안 가열하였다. 그 후, 얻어진 반응 혼합물을 대량의 메탄올과 물의 혼합물에 부어 수지를 침전시켰다. 얻어진 수지를 여과하였다. 이렇게 얻어진 수지를 또다른 디옥산에 용해시켜 용액을 얻고, 용액을 메탄올과 물의 혼합물에 부어 수지를 침전시켰다. 얻어진 수지를 여과하였다. 마지막 두 문장에 기재된 이들 조작을 2회 반복하여, 중량 평균 분자량이 약 16000인 중합체를 69% 수율로 얻었다. 하기 화학식의 단량체로부터 유도되는 구조 단위를 갖는 이 중합체를 수지 A30으로 하였다.
Figure pat00249
합성예 48: 수지 A31의 합성
단량체 (ZE)를 사용하고, 여기에 디옥산을 단량체 양의 1.5 중량배의 양으로 첨가하여 용액을 얻었다. 얻어진 용액에 아조비스이소부티로니트릴 및 아조비스(2,4-디메틸발레로니트릴)을 개시제로서 단량체 양에 대하여 각각 0.7 몰% 및 2.1 몰%의 양으로 첨가하고, 얻어진 혼합물을 75℃에서 약 5시간 동안 가열하였다. 그 후, 얻어진 반응 혼합물을 대량의 메탄올과 물의 혼합물에 부어 수지를 침전시켰다. 얻어진 수지를 여과하였다. 이렇게 얻어진 수지를 또다른 디옥산에 용해시켜 용액을 얻고, 용액을 메탄올과 물의 혼합물에 부어 수지를 침전시켰다. 얻어진 수지를 여과하였다. 마지막 두 문장에 기재된 이들 조작을 2회 반복하여, 중량 평균 분자량이 약 18000인 중합체를 76% 수율로 얻었다. 하기 화학식의 단량체로부터 유도되는 구조 단위를 갖는 이 중합체를 수지 A31로 하였다.
Figure pat00250
합성예 49: 수지 A32의 합성
단량체 (ZF)를 사용하고, 여기에 디옥산을 단량체 양의 1.5 중량배의 양으로 첨가하여 용액을 얻었다. 얻어진 용액에 아조비스이소부티로니트릴 및 아조비스(2,4-디메틸발레로니트릴)을 개시제로서 단량체 양에 대하여 각각 0.7 몰% 및 2.1 몰%의 양으로 첨가하고, 얻어진 혼합물을 75℃에서 약 5시간 동안 가열하였다. 그 후, 얻어진 반응 혼합물을 대량의 메탄올과 이온교환수의 혼합물에 부어 수지를 침전시켰다. 얻어진 수지를 여과하였다. 이렇게 얻어진 수지를 또다른 디옥산에 용해시켜 용액을 얻고, 용액을 메탄올과 이온교환수의 혼합물에 부어 수지를 침전시켰다. 얻어진 수지를 여과하였다. 마지막 두 문장에 기재된 이들 조작을 2회 반복하여, 중량 평균 분자량이 약 17000인 중합체를 70% 수율로 얻었다. 하기 화학식의 단량체로부터 유도되는 구조 단위를 갖는 이 중합체를 수지 A32로 하였다.
Figure pat00251
합성예 50: 수지 A33의 합성
단량체 (ZG)를 사용하고, 여기에 디옥산을 단량체 양의 1.5 중량배의 양으로 첨가하여 용액을 얻었다. 얻어진 용액에 아조비스이소부티로니트릴 및 아조비스(2,4-디메틸발레로니트릴)을 개시제로서 단량체 양에 대하여 각각 0.7 몰% 및 2.1 몰%의 양으로 첨가하고, 얻어진 혼합물을 75℃에서 약 5시간 동안 가열하였다. 그 후, 얻어진 반응 혼합물을 대량의 메탄올과 이온교환수의 혼합물에 부어 수지를 침전시켰다. 얻어진 수지를 여과하였다. 이렇게 얻어진 수지를 또다른 디옥산에 용해시켜 용액을 얻고, 용액을 메탄올과 이온교환수의 혼합물에 부어 수지를 침전시켰다. 얻어진 수지를 여과하였다. 마지막 두 문장에 기재된 이들 조작을 2회 반복하여, 중량 평균 분자량이 약 18000인 중합체를 76% 수율로 얻었다. 하기 화학식의 단량체로부터 유도되는 구조 단위를 갖는 이 중합체를 수지 A33으로 하였다.
Figure pat00252
(레지스트 조성물 제조)
레지스트 조성물을, 하기 표 1에 기재된 각 성분을 혼합 및 용해하고, 이후 0.2 μm 구멍 직경의 플루오로레진 필터를 통해 여과하여 제조하였다.
Figure pat00253
<수지>
A1 내지 A33: 합성예로 제조된 수지 A1 내지 수지 A33
<산발생제>
산발생제 B1:
Figure pat00254
산발생제 B2:
Figure pat00255
산발생제 B3:
Figure pat00256
산발생제 B4:
Figure pat00257
산발생제 B5:
Figure pat00258
<켄처>
C1: 2,6-디이소프로필아닐린
<용매>
프로필렌 글리콜 모노메틸 에테르 아세테이트 265.0 부
프로필렌 글리콜 모노메틸 에테르 20.0 부
2-헵타논 20.0 부
γ-부티로락톤 3.5 부
(결함의 평가)
상기 레지스트 조성물을 각 12인치 실리콘 웨이퍼 상에 스핀 코팅으로 도포하여, 건조후 얻어진 필름의 두께가 150 nm가 되었다.
이후 얻어진 웨이퍼를 표 1의 "PB" 컬럼에 주어진 온도로 직접 핫플레이트 상에서 60초간 예비 소성하여 조성물층을 얻었다.
조성물층이 생성된 이와 같이 하여 얻어진 웨이퍼를 현상 장치 (ACT-12, 도쿄 일렉트론 가부시키가이샤(Tokyo electron Co. Ltd.) 제조)를 이용하여 60초간 물로 세정하였다.
이후, 결함 조사 장치 (KLA-2360, KLA-텐코사 (KLA-Tencor Co. Ltd.) 제조)를 이용하여 결함 수를 세었다.
하기 표 2에 그 결과를 나타낸다.
(레지스트 패턴 1 제조)
유기 반사방지 필름용 조성물("ARC-29", 닛산 가가꾸사(Nissan Chemical Co. Ltd.) 제조)을 각 실리콘 웨이퍼 상에 도포하고 205 ℃에서 60초간 소성하여 78 nm 두께의 유기 반사방지 필름을 형성하였다.
이후 그 위에 상기 레지스트 조성물을 스핀 코팅으로 도포하여, 건조후 얻어진 조성물층의 두께가 85 nm가 되었다.
이후 얻어진 웨이퍼를 표 1의 "PB" 컬럼에 기재된 온도로 직접 핫 플레이트 상에서 60초간 예비 소성하여 조성물층을 형성하였다.
이와 같이 하여 조성물층이 형성되어 있는 웨이퍼 상에, 이후 접촉 홀 패턴을 액침 리소그래피용 ArF 엑시머 레이저 스테퍼 ("XT:1900Gi", ASML사(ASML Ltd.) 제조: NA=1.35, 3/42 애뉼라 X-Y 편극)를 이용하여 노광량을 단계적으로 변화시켜 마스크 패턴 (홀 피치: 100 nm, 홀 직경: 70 nm)을 사용하여 노광하였다. 초순수를 침지의 매체로서 이용하였다.
노광후, 노광후 소성을 표 1의 "PEB" 컬럼에 기재된 온도로 60초간 수행하였다.
이후, 퍼들 현상을 2.38 중량%의 수산화 테트라메틸암모늄 수용액으로 60초간 행하여, 레지스트 패턴을 얻었다.
(마스크 결함 지수 (MEF) 평가)
라인 패턴의 마스크 크기가 각각 48 nm, 50 nm 및 52 nm인 마스크를 이용하여 레지스트 패턴을 형성하였다. 마스크의 피치 폭은 100 nm였다. 노광량은, 1:1의 라인 앤드 스페이스 패턴 (라인 패턴: 50 nm, 피치 폭: 100nm의 사이즈 마스크)을 사용하여 노광함으로써 50 nm 폭의 라인 패턴이 형성되는 정도로 설정하였다.
마스크 크기를 수평축으로 설정하고, 마스크를 사용하여 형성된 라인 패턴의 선폭을 수직축으로 설정하여 얻어진 결과를 플롯팅하고, 각 플롯으로부터 얻어진 회귀 직선의 기울기를 MEF로서 측정하였다.
하기 표 2에 그 결과를 나타낸다.
Figure pat00259
본 발명의 레지스트 조성물 (실시예 1 내지 34)을 사용하여 결함이 더 적은 레지스트 패턴을 생성할 수 있고, 레지스트 패턴의 제조시에 우수한 MEF를 달성하는 것이 가능하였다.
한편, 비교예 1에서는, 얻어진 레지스트 패턴에 대한 다수의 결함 및 레지스트 패턴의 제조시 불량한 MEF가 확인되었다.
(포커스 마진 (DOF) 평가)
마스크 패턴 (홀 피치: 100 nm, 홀 직경: 70 nm)을 사용하여 레지스트 조성물로부터 각각의 레지스트 패턴을 제조하였다. 패턴에서 50 nm 홀 직경이 달성되는 때의 노광량을 실효 감도로서 정의하였다.
실효 감도에서 마스크를 이용하여 포커스를 단계적으로 변화시켜 레지스트 패턴을 형성하는 경우, 레지스트 패턴의 홀 직경이 55 nm ± 5% (57.5 내지 52.5 nm) 내인 포커스 범위를, 지표 (DOF)로 설정하였다.
하기 표 3에 그 결과를 나타낸다.
Figure pat00260
본 발명의 레지스트 조성물에 따르면, 레지스트 패턴 제조시에 우수한 DOF (넓은 DOF) 및 MEF를 가지며 패턴에 결함이 거의 없는 레지스트 패턴을 제조할 수 있다. 따라서, 본 발명의 레지스트 조성물은 반도체 미세가공에 사용할 수 있다.

Claims (3)

  1. 하기 화학식 (a)로 표시되는 화합물로부터 유도되는 구조 단위를 갖는 수지; 및
    산발생제
    를 포함하는 레지스트 조성물.
    Figure pat00261

    [식 중, R1은 수소 원자 또는 메틸기를 나타내고;
    R2는 치환될 수도 있는 C1 내지 C18의 지방족 탄화수소기를 나타내고;
    A1은 치환될 수도 있는 C1 내지 C6의 알칸디일기 또는 하기 화학식 (a-g1)로 표시되는 기를 나타냄]
    Figure pat00262

    [식 중, s는 0 또는 1을 나타내고;
    A10 및 A12는 독립적으로 치환될 수도 있는 C1 내지 C5의 지방족 탄화수소기를 나타내고;
    A11은 단일 결합 또는 치환될 수도 있는 C1 내지 C5의 지방족 탄화수소기를 나타내고;
    X10 및 X11은 독립적으로 산소 원자, 카르보닐기, 카르보닐옥시기 또는 옥시카르보닐기를 나타내되;
    단, A10, A11, A12, X10 및 X11의 총 탄소수는 6 이하임]
  2. 제1항에 있어서, 용매를 더 포함하는 레지스트 조성물.
  3. (1) 제1항에 기재된 레지스트 조성물을 기판 상에 도포하는 단계;
    (2) 도포한 조성물을 건조하여 조성물층을 형성하는 단계;
    (3) 노광 장치를 사용하여 조성물층을 노광하는 단계;
    (4) 노광된 조성물층을 가열하는 단계; 및
    (5) 현상 장치를 사용하여 가열된 조성물층을 현상하는 단계
    를 포함하는 레지스트 패턴의 제조 방법.
KR1020110086303A 2010-08-30 2011-08-29 레지스트 조성물 및 레지스트 패턴의 제조 방법 Active KR101776320B1 (ko)

Applications Claiming Priority (8)

Application Number Priority Date Filing Date Title
JP2010191868 2010-08-30
JPJP-P-2010-191868 2010-08-30
JPJP-P-2010-260921 2010-11-24
JP2010260921 2010-11-24
JPJP-P-2011-039451 2011-02-25
JP2011039451 2011-02-25
JP2011107973 2011-05-13
JPJP-P-2011-107973 2011-05-13

Publications (2)

Publication Number Publication Date
KR20120021237A true KR20120021237A (ko) 2012-03-08
KR101776320B1 KR101776320B1 (ko) 2017-09-07

Family

ID=45697716

Family Applications (1)

Application Number Title Priority Date Filing Date
KR1020110086303A Active KR101776320B1 (ko) 2010-08-30 2011-08-29 레지스트 조성물 및 레지스트 패턴의 제조 방법

Country Status (4)

Country Link
US (1) US8574811B2 (ko)
JP (2) JP6195692B2 (ko)
KR (1) KR101776320B1 (ko)
TW (1) TWI521302B (ko)

Families Citing this family (55)

* Cited by examiner, † Cited by third party
Publication number Priority date Publication date Assignee Title
CN102002121A (zh) * 2009-08-31 2011-04-06 住友化学株式会社 树脂,抗蚀剂组合物和用于制造抗蚀剂图案的方法
KR20130008518A (ko) * 2010-03-31 2013-01-22 제이에스알 가부시끼가이샤 감방사선성 수지 조성물, 레지스트 패턴 형성 방법, 중합체 및 화합물
US9063414B2 (en) 2010-07-28 2015-06-23 Sumitomo Chemical Company, Limited Photoresist composition
JP6195692B2 (ja) 2010-08-30 2017-09-13 住友化学株式会社 レジスト組成物及びレジストパターンの製造方法並びに新規化合物及び樹脂
KR20130124302A (ko) * 2010-09-29 2013-11-13 가부시키가이샤 구라레 아크릴아미드 유도체, 고분자 화합물 및 포토레지스트 조성물
JP5824320B2 (ja) 2010-10-26 2015-11-25 住友化学株式会社 レジスト組成物及びレジストパターンの製造方法
KR101830595B1 (ko) * 2010-11-09 2018-02-21 스미또모 가가꾸 가부시키가이샤 수지 및 포토레지스트 조성물
JP5879834B2 (ja) 2010-11-15 2016-03-08 住友化学株式会社 塩、レジスト組成物及びレジストパターンの製造方法
JP6088133B2 (ja) 2010-12-15 2017-03-01 住友化学株式会社 レジスト組成物及びレジストパターンの製造方法
JP6034025B2 (ja) * 2011-02-25 2016-11-30 住友化学株式会社 レジスト組成物及びレジストパターンの製造方法
JP6034026B2 (ja) * 2011-02-25 2016-11-30 住友化学株式会社 レジスト組成物及びレジストパターンの製造方法
JP5947051B2 (ja) 2011-02-25 2016-07-06 住友化学株式会社 レジスト組成物及びレジストパターンの製造方法
JP5898520B2 (ja) * 2011-02-25 2016-04-06 住友化学株式会社 レジスト組成物及びレジストパターンの製造方法
JP5829939B2 (ja) * 2011-02-25 2015-12-09 住友化学株式会社 レジスト組成物及びレジストパターンの製造方法
JP5829941B2 (ja) * 2011-02-25 2015-12-09 住友化学株式会社 レジスト組成物及びレジストパターンの製造方法
JP5898521B2 (ja) 2011-02-25 2016-04-06 住友化学株式会社 レジスト組成物及びレジストパターンの製造方法
JP5829940B2 (ja) * 2011-02-25 2015-12-09 住友化学株式会社 レジスト組成物及びレジストパターンの製造方法
JP5947053B2 (ja) 2011-02-25 2016-07-06 住友化学株式会社 レジスト組成物及びレジストパターンの製造方法
JP5973210B2 (ja) * 2011-04-07 2016-08-23 住友化学株式会社 レジスト組成物及びレジストパターンの製造方法
JP6130631B2 (ja) * 2011-07-19 2017-05-17 住友化学株式会社 レジスト組成物及びレジストパターンの製造方法
JP6039280B2 (ja) * 2011-07-19 2016-12-07 住友化学株式会社 レジスト組成物及びレジストパターンの製造方法
JP6039278B2 (ja) * 2011-07-19 2016-12-07 住友化学株式会社 レジスト組成物及びレジストパターンの製造方法
JP6130630B2 (ja) * 2011-07-19 2017-05-17 住友化学株式会社 レジスト組成物及びレジストパターンの製造方法
JP6039277B2 (ja) * 2011-07-19 2016-12-07 住友化学株式会社 レジスト組成物及びレジストパターンの製造方法
JP5977594B2 (ja) 2011-07-19 2016-08-24 住友化学株式会社 レジスト組成物及びレジストパターンの製造方法
JP6039279B2 (ja) * 2011-07-19 2016-12-07 住友化学株式会社 レジスト組成物及びレジストパターンの製造方法
JP5912912B2 (ja) * 2011-07-19 2016-04-27 住友化学株式会社 レジスト組成物及びレジストパターンの製造方法
JP6013798B2 (ja) * 2011-07-19 2016-10-25 住友化学株式会社 レジスト組成物及びレジストパターンの製造方法
JP5985898B2 (ja) 2011-07-19 2016-09-06 住友化学株式会社 レジスト組成物及びレジストパターンの製造方法
JP6189020B2 (ja) * 2011-07-19 2017-08-30 住友化学株式会社 レジスト組成物及びレジストパターンの製造方法
JP6013797B2 (ja) * 2011-07-19 2016-10-25 住友化学株式会社 レジスト組成物及びレジストパターンの製造方法
JP5886696B2 (ja) 2011-07-19 2016-03-16 住友化学株式会社 レジスト組成物及びレジストパターンの製造方法
JP5996944B2 (ja) * 2011-07-19 2016-09-21 住友化学株式会社 レジスト組成物及びレジストパターンの製造方法
JP5977595B2 (ja) * 2011-07-19 2016-08-24 住友化学株式会社 レジスト組成物及びレジストパターンの製造方法
JP5990041B2 (ja) * 2011-07-19 2016-09-07 住友化学株式会社 レジスト組成物及びレジストパターンの製造方法
JP6013799B2 (ja) * 2011-07-19 2016-10-25 住友化学株式会社 レジスト組成物及びレジストパターンの製造方法
JP5977593B2 (ja) * 2011-07-19 2016-08-24 住友化学株式会社 レジスト組成物及びレジストパターンの製造方法
JP6074937B2 (ja) * 2011-08-11 2017-02-08 住友化学株式会社 レジスト組成物及び塩
JP5740375B2 (ja) * 2011-09-30 2015-06-24 富士フイルム株式会社 感活性光線性又は感放射線性樹脂組成物、並びに、それを用いた感活性光線性又は感放射線性膜及びパターン形成方法
JP5793489B2 (ja) * 2011-11-30 2015-10-14 富士フイルム株式会社 感活性光線性又は感放射線性組成物、それを用いたレジスト膜、パターン形成方法、及び電子デバイスの製造方法
JP6246492B2 (ja) * 2012-05-15 2017-12-13 住友化学株式会社 レジスト組成物及びレジストパターンの製造方法
US8883897B2 (en) * 2012-05-25 2014-11-11 New Functional Polymers LLC Functional norbornanyl ester derivatives, polymers and process for preparing same
JP6181986B2 (ja) * 2012-06-25 2017-08-16 住友化学株式会社 レジスト組成物及びレジストパターンの製造方法
JP6181985B2 (ja) * 2012-06-25 2017-08-16 住友化学株式会社 レジスト組成物及びレジストパターンの製造方法
JP6261890B2 (ja) * 2012-07-03 2018-01-17 住友化学株式会社 レジスト組成物及びレジストパターンの製造方法
JP6012377B2 (ja) * 2012-09-28 2016-10-25 東京応化工業株式会社 レジストパターン形成方法
JP6106470B2 (ja) * 2012-11-27 2017-03-29 東京応化工業株式会社 レジスト組成物、レジストパターン形成方法
WO2014148241A1 (ja) 2013-03-22 2014-09-25 Jsr株式会社 感放射線性樹脂組成物、レジストパターン形成方法、重合体及び化合物の製造方法
JP2016531953A (ja) * 2013-06-27 2016-10-13 東洋合成工業株式会社 化学種発生向上試剤
US9896537B2 (en) * 2013-07-08 2018-02-20 Hui Yu Norbornanyl rosin resin and process for preparing same
JP6241267B2 (ja) * 2013-12-25 2017-12-06 Jsr株式会社 感放射線性樹脂組成物及びレジストパターン形成方法
JP6219175B2 (ja) * 2014-01-16 2017-10-25 東京応化工業株式会社 化合物の製造方法、及び高分子化合物の製造方法
JP6152804B2 (ja) * 2014-01-29 2017-06-28 Jsr株式会社 感放射線性樹脂組成物、レジストパターン形成方法、重合体及び化合物
JP6455155B2 (ja) * 2015-01-08 2019-01-23 Jsr株式会社 レジスト組成物、レジストパターン形成方法、重合体及び化合物
US9671692B2 (en) 2015-02-24 2017-06-06 Sumitomo Chemical Company, Limited Compound, resin and photoresist composition

Family Cites Families (72)

* Cited by examiner, † Cited by third party
Publication number Priority date Publication date Assignee Title
DE2150691C2 (de) 1971-10-12 1982-09-09 Basf Ag, 6700 Ludwigshafen Lichtempfindliches Gemisch und Verwendung eines lichtempfindlichen Gemisches zur Herstellung einer Flachdruckplatte
US3779778A (en) 1972-02-09 1973-12-18 Minnesota Mining & Mfg Photosolubilizable compositions and elements
US3859099A (en) * 1972-12-22 1975-01-07 Eastman Kodak Co Positive plate incorporating diazoquinone
DE2922746A1 (de) 1979-06-05 1980-12-11 Basf Ag Positiv arbeitendes schichtuebertragungsmaterial
US4556737A (en) 1983-03-11 1985-12-03 Taiho Pharmaceutical Company Limited Sulfonium compounds, processes for preparing the compounds and pharmacological composiitons containing the same
JPS59182438A (ja) * 1983-04-01 1984-10-17 Kiyoshi Oguchi 電離放射線感応ネガ型レジスト
US5073476A (en) 1983-05-18 1991-12-17 Ciba-Geigy Corporation Curable composition and the use thereof
JPS62153853A (ja) 1985-12-27 1987-07-08 Toshiba Corp 感光性組成物
JPS6269263A (ja) 1985-09-24 1987-03-30 Toshiba Corp 感光性組成物
US4822716A (en) 1985-12-27 1989-04-18 Kabushiki Kaisha Toshiba Polysilanes, Polysiloxanes and silicone resist materials containing these compounds
US5198520A (en) 1985-12-27 1993-03-30 Kabushiki Kaisha Toshiba Polysilanes, polysiloxanes and silicone resist materials containing these compounds
JPS6326653A (ja) 1986-07-21 1988-02-04 Tosoh Corp フオトレジスト材
JPS63146038A (ja) 1986-12-10 1988-06-18 Toshiba Corp 感光性組成物
JPS63146029A (ja) 1986-12-10 1988-06-18 Toshiba Corp 感光性組成物
US4857437A (en) 1986-12-17 1989-08-15 Ciba-Geigy Corporation Process for the formation of an image
GB8630129D0 (en) 1986-12-17 1987-01-28 Ciba Geigy Ag Formation of image
DE3914407A1 (de) 1989-04-29 1990-10-31 Basf Ag Strahlungsempfindliche polymere und positiv arbeitendes aufzeichnungsmaterial
US5260410A (en) 1989-04-29 1993-11-09 Reinhold Schwalm Radiation-sensitive polymer having acid labile groups and onium salt groups
US5453341A (en) 1989-04-29 1995-09-26 Schwalm; Reinhold Radiation-sensitive polymers and positive-working recording materials
US5663035A (en) 1994-04-13 1997-09-02 Hoechst Japan Limited Radiation-sensitive mixture comprising a basic iodonium compound
EP0718317B1 (en) 1994-12-20 2000-02-23 Olin Microelectronic Chemicals, Inc. Photoresist compositions
JPH08202038A (ja) * 1995-01-20 1996-08-09 Fuji Photo Film Co Ltd ポジ型感光性組成物
JPH1152575A (ja) 1997-08-04 1999-02-26 Sumitomo Chem Co Ltd 化学増幅型ポジ型フォトレジスト組成物
JP4181760B2 (ja) 2000-06-09 2008-11-19 富士フイルム株式会社 ポジ型フォトレジスト組成物
EP1193558A3 (en) 2000-09-18 2002-08-14 JSR Corporation Radiation-sensitive resin composition
JP5064614B2 (ja) 2001-02-01 2012-10-31 株式会社ダイセル 環式骨格を有する(メタ)アクリル酸エステルの製造法
KR20040029977A (ko) 2001-05-11 2004-04-08 쉬플리 캄파니, 엘.엘.씨. 후막 포토레지스트 및 그의 사용방법
JP3949479B2 (ja) * 2002-03-25 2007-07-25 富士フイルム株式会社 ポジ型レジスト組成物
HRP20130602T1 (en) 2003-07-30 2013-07-31 Rigel Pharmaceuticals, Inc. 2,4-pyrimidinediamine compounds for use in the treatment or prevention of autoimmune diseases
WO2005013996A2 (en) 2003-08-07 2005-02-17 Rigel Pharmaceuticals, Inc. 2,4-pyrimidinediamine compounds and uses as anti-proliferative agents
JP2007514775A (ja) 2003-12-19 2007-06-07 ライジェル ファーマシューティカルズ, インコーポレイテッド 1−(2,4−ピリミジンジアミノ)−2−シクロペンタンカルボキサイミド合成中間体の立体異性体および立体異性体混合物
JP4812763B2 (ja) 2004-05-18 2011-11-09 ライジェル ファーマシューティカルズ, インコーポレイテッド シクロアルキル置換ピリミジンジアミン化合物およびそれらの用途
GB2420559B (en) 2004-11-15 2008-08-06 Rigel Pharmaceuticals Inc Stereoisomerically enriched 3-aminocarbonyl bicycloheptene pyrimidinediamine compounds and their uses
JP2006171667A (ja) * 2004-11-22 2006-06-29 Fuji Photo Film Co Ltd ポジ型レジスト組成物及びそれを用いたパターン形成方法
US7304175B2 (en) 2005-02-16 2007-12-04 Sumitomo Chemical Company, Limited Salt suitable for an acid generator and a chemically amplified resist composition containing the same
JP4524207B2 (ja) 2005-03-02 2010-08-11 富士フイルム株式会社 液浸露光用ポジ型レジスト組成物及びそれを用いたパターン形成方法
TWI471699B (zh) 2005-03-04 2015-02-01 Fujifilm Corp 正型光阻組成物及使用它之圖案形成方法
JP4667273B2 (ja) 2005-03-04 2011-04-06 富士フイルム株式会社 ポジ型レジスト組成物及びそれを用いたパターン形成方法
JP4781086B2 (ja) 2005-10-31 2011-09-28 ダイセル化学工業株式会社 脂環式骨格を有する高分子化合物
CN102109760B (zh) 2006-03-31 2015-04-15 Jsr株式会社 抗蚀剂图案形成方法
ES2525040T3 (es) 2006-11-28 2014-12-16 Polyera Corporation Materiales dieléctricos basados en fotopolímero y métodos de preparación y uso de los mismos
CN101236357B (zh) 2007-01-30 2012-07-04 住友化学株式会社 化学放大型抗蚀剂组合物
JP5401046B2 (ja) * 2007-03-14 2014-01-29 富士フイルム株式会社 レジスト表面疎水化用樹脂の製造方法、その製造方法及び該樹脂を含有するポジ型レジスト組成物の調整方法、レジスト膜の形成方法、及び、パターン形成方法
JP2009019146A (ja) 2007-07-13 2009-01-29 Toyo Ink Mfg Co Ltd 帯電防止剤およびその用途
JP5046834B2 (ja) 2007-09-28 2012-10-10 富士フイルム株式会社 ポジ型レジスト組成物およびこれを用いたパターン形成方法
US8025807B2 (en) 2008-01-16 2011-09-27 American Sterilizer Company Method for treating rinse water in decontamination devices
JP5398248B2 (ja) * 2008-02-06 2014-01-29 東京応化工業株式会社 液浸露光用レジスト組成物およびそれを用いたレジストパターン形成方法
JP5542413B2 (ja) 2008-11-12 2014-07-09 東京応化工業株式会社 レジスト組成物及びレジストパターン形成方法
JP2010152341A (ja) 2008-11-27 2010-07-08 Sumitomo Chemical Co Ltd 液浸露光用化学増幅型フォトレジスト組成物
JP5523854B2 (ja) 2009-02-06 2014-06-18 住友化学株式会社 化学増幅型フォトレジスト組成物及びパターン形成方法
JP5412134B2 (ja) 2009-02-20 2014-02-12 東京応化工業株式会社 液浸露光用ポジ型レジスト組成物およびそれを用いたレジストパターン形成方法
JP5305988B2 (ja) 2009-03-05 2013-10-02 株式会社東芝 自動分析装置
US8753794B2 (en) 2009-08-28 2014-06-17 Kuraray Co., Ltd. N-acyl-β-lactam derivative, macromolecular compound, and photoresist composition
CN102002121A (zh) 2009-08-31 2011-04-06 住友化学株式会社 树脂,抗蚀剂组合物和用于制造抗蚀剂图案的方法
JP5724265B2 (ja) * 2009-09-18 2015-05-27 Jsr株式会社 感放射線性樹脂組成物、レジストパターン形成方法及び重合体
JP5740883B2 (ja) * 2009-09-18 2015-07-01 Jsr株式会社 アルカリ解離性基を有する重合性の化合物
CN103472674B (zh) * 2009-09-18 2017-04-26 Jsr株式会社 放射线敏感性树脂组合物、抗蚀图案形成方法、聚合物和聚合性化合物
JP5724264B2 (ja) * 2009-09-18 2015-05-27 Jsr株式会社 感放射線性樹脂組成物、レジストパターン形成方法及び重合体
JP2011095623A (ja) * 2009-10-30 2011-05-12 Jsr Corp 液浸露光用感放射線性樹脂組成物及びパターン形成方法
WO2011072307A2 (en) * 2009-12-11 2011-06-16 Rohm And Haas Electronic Materials, L.L.C. Compositions comprising base-reactive component and processes for photolithography
JP5439154B2 (ja) * 2009-12-15 2014-03-12 東京応化工業株式会社 ポジ型レジスト組成物及びレジストパターン形成方法
US9063414B2 (en) 2010-07-28 2015-06-23 Sumitomo Chemical Company, Limited Photoresist composition
JP5741297B2 (ja) * 2010-08-05 2015-07-01 Jsr株式会社 感放射線性樹脂組成物、レジストパターン形成方法及び重合体
JP6195692B2 (ja) 2010-08-30 2017-09-13 住友化学株式会社 レジスト組成物及びレジストパターンの製造方法並びに新規化合物及び樹脂
JP2012087294A (ja) 2010-09-21 2012-05-10 Sumitomo Chemical Co Ltd 樹脂、レジスト組成物及びレジストパターン製造方法
US8835094B2 (en) * 2010-09-29 2014-09-16 Shin-Etsu Chemical Co., Ltd. Fluoroalcohol, fluorinated monomer, polymer, resist composition and patterning process
JP5898520B2 (ja) 2011-02-25 2016-04-06 住友化学株式会社 レジスト組成物及びレジストパターンの製造方法
JP5898521B2 (ja) 2011-02-25 2016-04-06 住友化学株式会社 レジスト組成物及びレジストパターンの製造方法
JP5829940B2 (ja) 2011-02-25 2015-12-09 住友化学株式会社 レジスト組成物及びレジストパターンの製造方法
JP5947051B2 (ja) 2011-02-25 2016-07-06 住友化学株式会社 レジスト組成物及びレジストパターンの製造方法
JP5852490B2 (ja) 2011-04-07 2016-02-03 住友化学株式会社 レジスト組成物及びレジストパターンの製造方法
JP6005964B2 (ja) 2011-04-07 2016-10-12 住友化学株式会社 レジスト組成物及びレジストパターンの製造方法

Also Published As

Publication number Publication date
KR101776320B1 (ko) 2017-09-07
US8574811B2 (en) 2013-11-05
JP2016128904A (ja) 2016-07-14
JP2012256011A (ja) 2012-12-27
JP6209203B2 (ja) 2017-10-04
JP6195692B2 (ja) 2017-09-13
TWI521302B (zh) 2016-02-11
TW201215999A (en) 2012-04-16
US20120052443A1 (en) 2012-03-01

Similar Documents

Publication Publication Date Title
KR101776320B1 (ko) 레지스트 조성물 및 레지스트 패턴의 제조 방법
KR101814815B1 (ko) 레지스트 조성물 및 레지스트 패턴의 제조 방법
KR101827576B1 (ko) 수지, 레지스트 조성물 및 레지스트 패턴의 제조 방법
KR101814822B1 (ko) 레지스트 조성물 및 레지스트 패턴의 제조 방법
JP5750346B2 (ja) 塩、酸発生剤、レジスト組成物及びレジストパターンの製造方法
KR101758383B1 (ko) 레지스트 조성물 및 레지스트 패턴의 제조 방법
KR101897291B1 (ko) 레지스트 조성물 및 레지스트 패턴의 제조 방법
KR101965908B1 (ko) 레지스트 조성물 및 레지스트 패턴의 제조 방법
TWI521303B (zh) 阻劑組成物及阻劑圖案之製造方法
JP5915067B2 (ja) 化合物、樹脂、レジスト組成物及びレジストパターンの製造方法
KR101897289B1 (ko) 레지스트 조성물 및 레지스트 패턴의 제조 방법
KR101844070B1 (ko) 레지스트 조성물 및 레지스트 패턴의 제조 방법
KR101865952B1 (ko) 레지스트 조성물 및 레지스트 패턴의 제조 방법
KR20130010851A (ko) 레지스트 조성물 및 레지스트 패턴의 제조 방법
KR20130010850A (ko) 레지스트 조성물 및 레지스트 패턴의 제조 방법
KR101973815B1 (ko) 레지스트 조성물 및 레지스트 패턴의 제조 방법
KR101897834B1 (ko) 레지스트 조성물 및 레지스트 패턴의 제조 방법
KR20130010858A (ko) 레지스트 조성물 및 레지스트 패턴의 제조 방법
KR20130041739A (ko) 포토레지스트 조성물
KR101965907B1 (ko) 레지스트 조성물 및 레지스트 패턴의 제조 방법
JP2013040320A (ja) 樹脂、レジスト組成物及びレジストパターンの製造方法
JP2011201867A (ja) 化合物、樹脂及びレジスト組成物
KR102461275B1 (ko) 비이온성 화합물, 수지, 레지스트 조성물 및 레지스트 패턴의 제조 방법
JP2012144707A (ja) 化合物、樹脂、レジスト組成物及びレジストパターンの製造方法
KR101927535B1 (ko) 레지스트 조성물 및 레지스트 패턴의 제조 방법

Legal Events

Date Code Title Description
PA0109 Patent application

Patent event code: PA01091R01D

Comment text: Patent Application

Patent event date: 20110829

PG1501 Laying open of application
A201 Request for examination
PA0201 Request for examination

Patent event code: PA02012R01D

Patent event date: 20160809

Comment text: Request for Examination of Application

Patent event code: PA02011R01I

Patent event date: 20110829

Comment text: Patent Application

E902 Notification of reason for refusal
PE0902 Notice of grounds for rejection

Comment text: Notification of reason for refusal

Patent event date: 20161213

Patent event code: PE09021S01D

E701 Decision to grant or registration of patent right
PE0701 Decision of registration

Patent event code: PE07011S01D

Comment text: Decision to Grant Registration

Patent event date: 20170629

GRNT Written decision to grant
PR0701 Registration of establishment

Comment text: Registration of Establishment

Patent event date: 20170901

Patent event code: PR07011E01D

PR1002 Payment of registration fee

Payment date: 20170901

End annual number: 3

Start annual number: 1

PG1601 Publication of registration
PR1001 Payment of annual fee

Payment date: 20200820

Start annual number: 4

End annual number: 4

PR1001 Payment of annual fee

Payment date: 20210819

Start annual number: 5

End annual number: 5

PR1001 Payment of annual fee

Payment date: 20220822

Start annual number: 6

End annual number: 6

PR1001 Payment of annual fee

Payment date: 20230828

Start annual number: 7

End annual number: 7

PR1001 Payment of annual fee

Payment date: 20240826

Start annual number: 8

End annual number: 8