JP7128324B2 - 複合ケーブル - Google Patents
複合ケーブル Download PDFInfo
- Publication number
- JP7128324B2 JP7128324B2 JP2021095541A JP2021095541A JP7128324B2 JP 7128324 B2 JP7128324 B2 JP 7128324B2 JP 2021095541 A JP2021095541 A JP 2021095541A JP 2021095541 A JP2021095541 A JP 2021095541A JP 7128324 B2 JP7128324 B2 JP 7128324B2
- Authority
- JP
- Japan
- Prior art keywords
- separator
- wire
- composite cable
- wires
- covered
- Prior art date
- Legal status (The legal status is an assumption and is not a legal conclusion. Google has not performed a legal analysis and makes no representation as to the accuracy of the status listed.)
- Active
Links
Images
Classifications
-
- H—ELECTRICITY
- H01—ELECTRIC ELEMENTS
- H01B—CABLES; CONDUCTORS; INSULATORS; SELECTION OF MATERIALS FOR THEIR CONDUCTIVE, INSULATING OR DIELECTRIC PROPERTIES
- H01B9/00—Power cables
- H01B9/003—Power cables including electrical control or communication wires
-
- H—ELECTRICITY
- H01—ELECTRIC ELEMENTS
- H01B—CABLES; CONDUCTORS; INSULATORS; SELECTION OF MATERIALS FOR THEIR CONDUCTIVE, INSULATING OR DIELECTRIC PROPERTIES
- H01B11/00—Communication cables or conductors
- H01B11/02—Cables with twisted pairs or quads
- H01B11/04—Cables with twisted pairs or quads with pairs or quads mutually positioned to reduce cross-talk
-
- H—ELECTRICITY
- H01—ELECTRIC ELEMENTS
- H01B—CABLES; CONDUCTORS; INSULATORS; SELECTION OF MATERIALS FOR THEIR CONDUCTIVE, INSULATING OR DIELECTRIC PROPERTIES
- H01B9/00—Power cables
- H01B9/02—Power cables with screens or conductive layers, e.g. for avoiding large potential gradients
Landscapes
- Insulated Conductors (AREA)
- Communication Cables (AREA)
Description
一対の第1被覆電線が撚り合わされているツイストペア線と、前記第1被覆電線の断面積より大きい断面積である2本の第2被覆電線と、前記第2被覆電線より断面積が小さい第3被覆電線と、を含む電線束と、
前記電線束の外周を一括して覆い、前記電線束の外周面に一部が接触した状態とされ、かつ、非円形状の断面形状となるように配置されているセパレータと、
前記セパレータの外周を覆い、記セパレータと比べて、真円形に近い断面形状となるように配置されているシースと、
前記セパレータと前記シースとの間に介在する介在物と、を備え、
互いに接して配置された前記2本の第2被覆電線の中心を通る仮想線は、前記シースの断面の中心を通らず、
前記介在物の外周面は、前記シースの内周面に沿って延びており、かつ、前記セパレータと比べて、真円形に近い断面形状とされており、
前記介在物の内周面は、前記セパレータの外周面に当接している状態で前記セパレータの外周面に沿って非円形状の断面形状となるように延びている、複合ケーブルにある。
実施例1の複合ケーブルについて、図1を用いて説明する。図1に示されるように、本例の複合ケーブル1は、複数本の電線2と、複数本の電線2の外周を一括して覆うセパレータ3と、セパレータ3の外周を覆うシース4とを有している。複数本の電線2は、複数本の信号線21と、複数本の電力線22と、アース線23とを含んでいる。アース線23は、複数本の電力線22を間に挟んで複数本の信号線21と隔てられている。以下、詳説する。
実施例2の複合ケーブルについて、図2を用いて説明する。本例の複合ケーブル1では、セパレータ3が、紙類より構成されている。その他の作用効果は、実施例1と同様である。
実施例3の複合ケーブルについて、図3を用いて説明する。本例の複合ケーブル1では、2本の信号線21より構成されるツイスペア線の外周に、シールド導体6が設けられていない。その他の構成は、実施例1と同様である。
実施例4の複合ケーブルについて、図4を用いて説明する。本例の複合ケーブル1では、実施例2と同様に、セパレータ3が、紙類より構成されている。また、本例の複合ケーブル1では、実施例3と同様に、2本の信号線21より構成されるツイスペア線の外周に、シールド導体6が設けられていない。その他の構成は、実施例1と同様である。
実施例5の複合ケーブルについて、図5を用いて説明する。本例の複合ケーブル1では、複数本の電線2が、2本の信号線21が撚り合わされてなるツイストペア線を2本含んでいる。図5では、具体的には、複数本の電線2が、4本の信号線21と、2本の電力線22と、1本のアース線23とで構成されている例が示されている。そして、4本の信号線21のうち、2本の信号線21が撚り合わされてツイストペア線とされ、残りの2本の信号線21も撚り合わされて上記とは異なるツイストペア線とされている。いずれのツイストペア線の外周も、シールド導体6で覆われている。なお、アース線23は、電力線22を間に挟んで各ツイストペア線と隔てられている。
以下、上記複合ケーブルを、実験例を用いてより具体的に説明する。
(実験例1)
以下の表1に示す構成の複合ケーブルを作製した。
シールド導体により外周が覆われたツイストペア線1本と、電力線2本と、アース線1本とを、図1に示されるコア線構造となるように撚り合わせた。次いで、このコア線の外周にセパレータを被覆した。なお、セパレータは、接着層が外周面となるように被覆した。次いで、押し出し成形により、セパレータの外周面上に介在物を真円状に押し出し被覆した。次いで、押し出し成形により、介在物の外周面上にシースを押し出し被覆した。以上により試料1、試料2の複合ケーブルを得た。
シールド導体により外周が覆われたツイストペア線1本と、電力線2本と、アース線1本とを、図2に示されるコア線構造となるように撚り合わせた。次いで、このコア線の外周にセパレータを被覆した。次いで、押し出し成形により、セパレータの外周面上に介在物を真円状に押し出し被覆した。次いで、押し出し成形により、介在物の外周面上にシースを押し出し被覆した。以上により試料3、試料4の複合ケーブルを得た。
シールド導体により外周が覆われていないツイストペア線1本と、電力線2本と、アース線1本とを、図3に示されるコア線構造となるように撚り合わせた。次いで、このコア線の外周にセパレータを被覆した。なお、セパレータは、接着層が外周面となるように被覆した。次いで、押し出し成形により、セパレータの外周面上に介在物を真円状に押し出し被覆した。次いで、押し出し成形により、介在物の外周面上にシースを押し出し被覆した。以上により試料5の複合ケーブルを得た。
シールド導体により外周が覆われていないツイストペア線1本と、電力線2本と、アース線1本とを、図4に示されるコア線構造となるように撚り合わせた。次いで、このコア線の外周にセパレータを被覆した。次いで、押し出し成形により、セパレータの外周面上に介在物を真円状に押し出し被覆した。次いで、押し出し成形により、介在物の外周面上にシースを押し出し被覆した。以上により試料6の複合ケーブルを得た。なお、試料3、4、6におけるセパレータは、パルプ紙である。
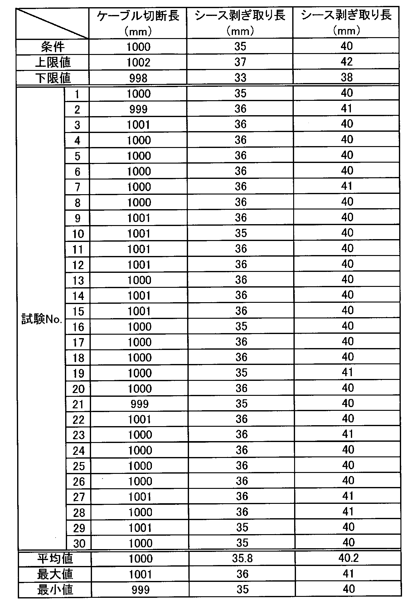
試料1、2、5の複合ケーブルを代表するものとして、試料1の複合ケーブルを選択した。そして、試料1の複合ケーブルを30本準備した。また、試料3、4、6の複合ケーブルを代表するものとして、試料3の複合ケーブルを選択した。そして、試料3の複合ケーブルを30本準備した。
第1の態様は、複数本の電線と、上記複数本の電線の外周を一括して覆うセパレータと、上記セパレータの外周を覆うシースと、を有しており、上記複数本の電線は、複数本の信号線と、複数本の電力線と、アース線とを含んでおり、上記アース線は、上記複数本の電力線を間に挟んで上記複数本の信号線と隔てられている、複合ケーブルである。
第2の態様は、第1の態様に係る複合ケーブルであって、上記複数本の信号線は、2本の信号線が撚り合わされてなるツイストペア線を少なくとも1本含んでおり、上記ツイストペア線の外周がシールド導体で覆われている、複合ケーブルである。
第3の態様は、第1又は第2の態様に係る複合ケーブルであって、上記複数本の電力線は、少なくとも2本の電力線を含んでいる、複合ケーブルである。
第4の態様は、第1から第3のいずれか1つの態様に係る複合ケーブルであって、上記セパレータと上記シースとの間に介在する介在物をさらに有している、複合ケーブルである。
第5の態様は、第4の態様に係る複合ケーブルであって、上記セパレータは、ポリマーより構成されるベース層と、上記介在物側における上記ベース層の表面に形成された接着層とを有しており、上記接着層が上記介在物に接着している、複合ケーブルである。
以上、本発明の実施例について詳細に説明したが、本発明は上記実施例、実験例に限定されるものではなく、本発明の趣旨を損なわない範囲内で種々の変更が可能である。
2 電線
21 信号線
22 電力線
23 アース線
3 セパレータ
4 シース
Claims (3)
- 一対の第1被覆電線が撚り合わされているツイストペア線と、前記第1被覆電線の断面積より大きい断面積である2本の第2被覆電線と、前記第2被覆電線より断面積が小さい第3被覆電線と、を含む電線束と、
前記電線束の外周を一括して覆い、前記電線束の外周面に一部が接触した状態とされ、かつ、非円形状の断面形状となるように配置されているセパレータと、
前記セパレータの外周を覆い、前記セパレータと比べて、真円形に近い断面形状となるように配置されているシースと、
前記セパレータと前記シースとの間に介在する介在物と、を備え、
互いに接して配置された前記2本の第2被覆電線の中心を通る仮想線は、前記シースの断面の中心を通らず、
前記介在物の外周面は、前記シースの内周面に沿って延びており、かつ、前記セパレータと比べて、真円形に近い断面形状とされており、
前記介在物の内周面は、前記セパレータの外周面に当接している状態で前記セパレータの外周面に沿って非円形状の断面形状となるように延びており、
前記仮想線の一方側には、前記第2被覆電線以外の電線として前記ツイストペア線のみが配置されており、
前記仮想線の他方側には、前記第2被覆電線以外の電線として前記第3被覆電線のみが配置されている、複合ケーブル。 - ケーブル断面において、前記仮想線が通る電線は、前記2本の第2被覆電線のみである、請求項1に記載の複合ケーブル。
- 前記仮想線に沿った方向の前記セパレータの内側の空間の幅は、前記仮想線に交差する方向の前記セパレータの内側の空間の幅より小さい、請求項1又は請求項2に記載の複合ケーブル。
Priority Applications (1)
| Application Number | Priority Date | Filing Date | Title |
|---|---|---|---|
| JP2021095541A JP7128324B2 (ja) | 2017-04-28 | 2021-06-08 | 複合ケーブル |
Applications Claiming Priority (2)
| Application Number | Priority Date | Filing Date | Title |
|---|---|---|---|
| JP2017090041A JP6896500B2 (ja) | 2017-04-28 | 2017-04-28 | 複合ケーブル |
| JP2021095541A JP7128324B2 (ja) | 2017-04-28 | 2021-06-08 | 複合ケーブル |
Related Parent Applications (1)
| Application Number | Title | Priority Date | Filing Date |
|---|---|---|---|
| JP2017090041A Division JP6896500B2 (ja) | 2017-04-28 | 2017-04-28 | 複合ケーブル |
Publications (3)
| Publication Number | Publication Date |
|---|---|
| JP2021141079A JP2021141079A (ja) | 2021-09-16 |
| JP2021141079A5 JP2021141079A5 (ja) | 2021-11-11 |
| JP7128324B2 true JP7128324B2 (ja) | 2022-08-30 |
Family
ID=63918271
Family Applications (2)
| Application Number | Title | Priority Date | Filing Date |
|---|---|---|---|
| JP2017090041A Active JP6896500B2 (ja) | 2017-04-28 | 2017-04-28 | 複合ケーブル |
| JP2021095541A Active JP7128324B2 (ja) | 2017-04-28 | 2021-06-08 | 複合ケーブル |
Family Applications Before (1)
| Application Number | Title | Priority Date | Filing Date |
|---|---|---|---|
| JP2017090041A Active JP6896500B2 (ja) | 2017-04-28 | 2017-04-28 | 複合ケーブル |
Country Status (4)
| Country | Link |
|---|---|
| US (1) | US10672538B2 (ja) |
| JP (2) | JP6896500B2 (ja) |
| CN (1) | CN110546718B (ja) |
| WO (1) | WO2018198476A1 (ja) |
Families Citing this family (12)
| Publication number | Priority date | Publication date | Assignee | Title |
|---|---|---|---|---|
| CN108431904B (zh) * | 2015-12-25 | 2019-07-26 | 日立金属株式会社 | 复合电缆和复合线束 |
| US11121557B2 (en) * | 2018-04-06 | 2021-09-14 | Aurora Flight Sciences Corporation | Power distribution system for aircraft |
| JP7279422B2 (ja) * | 2019-03-07 | 2023-05-23 | 株式会社プロテリアル | 複合ケーブル及び複合ハーネス |
| JP7294258B2 (ja) * | 2020-07-07 | 2023-06-20 | 株式会社プロテリアル | 複合ケーブル |
| JP2022019702A (ja) * | 2020-07-17 | 2022-01-27 | 古河電気工業株式会社 | 複合ケーブル、ケーブル、ワイヤハーネスの配索構造及び複合ケーブルの製造方法 |
| JP7455778B2 (ja) * | 2021-05-07 | 2024-03-26 | オリエンタルモーター株式会社 | 一体化ケーブル |
| DE102021116629A1 (de) * | 2021-06-28 | 2022-12-29 | Lapp Engineering Ag | Kabel |
| GB2614180B (en) * | 2021-09-29 | 2023-12-20 | Amnack Ltd | A composite cable and method of manufacture |
| US20240412894A1 (en) * | 2021-10-19 | 2024-12-12 | Sumitomo Electric Industries, Ltd. | Multi-core cable, and disconnection detection device |
| WO2023067712A1 (ja) * | 2021-10-19 | 2023-04-27 | 住友電気工業株式会社 | 多芯ケーブル、断線検知装置 |
| JP2024073178A (ja) * | 2022-11-17 | 2024-05-29 | 株式会社プロテリアル | 複合ケーブル |
| US20250226131A1 (en) * | 2024-01-09 | 2025-07-10 | Sumitomo Electric Industries, Ltd. | Multicore cable |
Citations (3)
| Publication number | Priority date | Publication date | Assignee | Title |
|---|---|---|---|---|
| JP2005166450A (ja) | 2003-12-02 | 2005-06-23 | Hitachi Cable Ltd | 電動ブレーキ用ケーブル |
| JP2014220043A (ja) | 2013-05-01 | 2014-11-20 | 住友電気工業株式会社 | 電気絶縁ケーブル |
| WO2017109939A1 (ja) | 2015-12-25 | 2017-06-29 | 日立金属株式会社 | 複合ケーブル及び複合ハーネス |
Family Cites Families (23)
| Publication number | Priority date | Publication date | Assignee | Title |
|---|---|---|---|---|
| US2981788A (en) * | 1958-12-03 | 1961-04-25 | Anaconda Wire & Cable Co | Power cables |
| US3614300A (en) * | 1970-10-22 | 1971-10-19 | Anaconda Wire & Cable Co | Power cable with polypropylene covered ground-check strand |
| DE3011868A1 (de) * | 1980-03-27 | 1981-10-01 | Kabel- und Metallwerke Gutehoffnungshütte AG, 3000 Hannover | Feuchtigkeitsgeschuetztes elektrisches energiekabel |
| US4374299A (en) * | 1980-05-19 | 1983-02-15 | Belden Corporation | Triboelectric transducer cable |
| JPH0644418B2 (ja) * | 1988-06-13 | 1994-06-08 | 株式会社フジクラ | 移動用ケーブルとその製造方法 |
| JP3669562B2 (ja) * | 1999-09-22 | 2005-07-06 | 東京特殊電線株式会社 | 端末加工性に優れた差動信号伝送ケーブル |
| JP2005166402A (ja) | 2003-12-02 | 2005-06-23 | Hitachi Cable Ltd | シールドケーブル |
| CA2563956C (en) | 2004-04-27 | 2013-03-26 | Prysmian Cavi E Sistemi Energia S.R.L. | Process for manufacturing a cable resistant to external chemical agents |
| US6998538B1 (en) * | 2004-07-30 | 2006-02-14 | Ulectra Corporation | Integrated power and data insulated electrical cable having a metallic outer jacket |
| DE502004010810D1 (de) * | 2004-11-29 | 2010-04-08 | Nexans | Elektrisches Kabel |
| US7166802B2 (en) * | 2004-12-27 | 2007-01-23 | Prysmian Cavi E Sistemi Energia S.R.L. | Electrical power cable having expanded polymeric layers |
| JP5111611B2 (ja) * | 2009-02-16 | 2013-01-09 | 株式会社フジクラ | 伝送ケーブル |
| JP5740817B2 (ja) | 2010-02-12 | 2015-07-01 | 日立金属株式会社 | 高電圧キャブタイヤケーブル |
| US9583923B2 (en) * | 2013-03-15 | 2017-02-28 | Abl Ip Holding Llc | Class I and class II modular wiring system |
| JP2015138751A (ja) * | 2014-01-24 | 2015-07-30 | 日立金属株式会社 | 信号伝送用ケーブル |
| KR102244221B1 (ko) * | 2014-06-05 | 2021-04-26 | 엘에스전선 주식회사 | 이동용 광전력 신호 케이블 |
| WO2016052506A1 (ja) * | 2014-10-03 | 2016-04-07 | タツタ電線株式会社 | シールド電線 |
| JP6227595B2 (ja) * | 2015-06-10 | 2017-11-08 | 株式会社フジクラ | 光ケーブル |
| CN204926834U (zh) * | 2015-09-14 | 2015-12-30 | 安徽鸿海电缆有限公司 | 一种电动汽车充电电缆 |
| CN205069202U (zh) * | 2015-09-24 | 2016-03-02 | 深圳市联嘉祥科技股份有限公司 | 一种电动汽车快速充电电缆 |
| JP6667190B2 (ja) | 2015-10-14 | 2020-03-18 | 住友電装株式会社 | 自動車用複合ケーブル |
| JP6554023B2 (ja) * | 2015-11-18 | 2019-07-31 | 昭和電線ケーブルシステム株式会社 | 内部冷却ケーブル |
| US9959954B1 (en) * | 2016-01-11 | 2018-05-01 | Southwire Company | Power and control cable for healthcare facilities |
-
2017
- 2017-04-28 JP JP2017090041A patent/JP6896500B2/ja active Active
-
2018
- 2018-02-07 WO PCT/JP2018/004238 patent/WO2018198476A1/ja not_active Ceased
- 2018-02-07 US US16/603,530 patent/US10672538B2/en active Active
- 2018-02-07 CN CN201880026549.4A patent/CN110546718B/zh active Active
-
2021
- 2021-06-08 JP JP2021095541A patent/JP7128324B2/ja active Active
Patent Citations (3)
| Publication number | Priority date | Publication date | Assignee | Title |
|---|---|---|---|---|
| JP2005166450A (ja) | 2003-12-02 | 2005-06-23 | Hitachi Cable Ltd | 電動ブレーキ用ケーブル |
| JP2014220043A (ja) | 2013-05-01 | 2014-11-20 | 住友電気工業株式会社 | 電気絶縁ケーブル |
| WO2017109939A1 (ja) | 2015-12-25 | 2017-06-29 | 日立金属株式会社 | 複合ケーブル及び複合ハーネス |
Also Published As
| Publication number | Publication date |
|---|---|
| JP2018190524A (ja) | 2018-11-29 |
| US20200066425A1 (en) | 2020-02-27 |
| US10672538B2 (en) | 2020-06-02 |
| CN110546718A (zh) | 2019-12-06 |
| JP2021141079A (ja) | 2021-09-16 |
| JP6896500B2 (ja) | 2021-06-30 |
| CN110546718B (zh) | 2022-03-04 |
| WO2018198476A1 (ja) | 2018-11-01 |
Similar Documents
| Publication | Publication Date | Title |
|---|---|---|
| JP7128324B2 (ja) | 複合ケーブル | |
| US11515063B2 (en) | Composite cable | |
| JP5935343B2 (ja) | ケーブル | |
| CN205376200U (zh) | 车辆用复合缆线以及车辆用复合线束 | |
| JP6723158B2 (ja) | シールド電線 | |
| WO2020116295A1 (ja) | 複合ケーブル | |
| JP2008287948A (ja) | シールドツイストペアケーブル | |
| WO2016024544A1 (ja) | シールド電線 | |
| JP6688215B2 (ja) | 車両用複合ケーブル及び車両用複合ハーネス | |
| JP5810618B2 (ja) | ケーブル及びその製造方法 | |
| JP2016110836A (ja) | キャブタイヤケーブル、及び、コネクタ付ケーブル | |
| CN111223608B (zh) | 电缆和线束 | |
| JP6089141B1 (ja) | 複合型電線 | |
| US11569003B2 (en) | Composite cable and composite harness | |
| JPWO2020111162A1 (ja) | 複合ケーブル | |
| JP3680604B2 (ja) | シールド電線 | |
| JP2018137243A (ja) | 自動車用複合ケーブル | |
| JP6377829B1 (ja) | 多芯型絶縁電線およびその製造方法 | |
| JP7136755B2 (ja) | 電気絶縁ケーブル | |
| JP2025123621A (ja) | 複合ケーブル | |
| WO2023157190A1 (ja) | ケーブル | |
| JP2022161974A (ja) | ケーブル及びハーネス | |
| JP2023069616A (ja) | 複合ケーブル |
Legal Events
| Date | Code | Title | Description |
|---|---|---|---|
| A621 | Written request for application examination |
Free format text: JAPANESE INTERMEDIATE CODE: A621 Effective date: 20210707 |
|
| A521 | Request for written amendment filed |
Free format text: JAPANESE INTERMEDIATE CODE: A523 Effective date: 20211004 |
|
| A977 | Report on retrieval |
Free format text: JAPANESE INTERMEDIATE CODE: A971007 Effective date: 20220525 |
|
| A131 | Notification of reasons for refusal |
Free format text: JAPANESE INTERMEDIATE CODE: A131 Effective date: 20220614 |
|
| A521 | Request for written amendment filed |
Free format text: JAPANESE INTERMEDIATE CODE: A523 Effective date: 20220725 |
|
| TRDD | Decision of grant or rejection written | ||
| A01 | Written decision to grant a patent or to grant a registration (utility model) |
Free format text: JAPANESE INTERMEDIATE CODE: A01 Effective date: 20220802 |
|
| A61 | First payment of annual fees (during grant procedure) |
Free format text: JAPANESE INTERMEDIATE CODE: A61 Effective date: 20220818 |
|
| R150 | Certificate of patent or registration of utility model |
Ref document number: 7128324 Country of ref document: JP Free format text: JAPANESE INTERMEDIATE CODE: R150 |
|
| R250 | Receipt of annual fees |
Free format text: JAPANESE INTERMEDIATE CODE: R250 |

