JP2010090085A - 新規なターフェニル誘導体、それよりなる電子輸送材料およびそれを含む有機エレクトロルミネッセンス素子 - Google Patents
新規なターフェニル誘導体、それよりなる電子輸送材料およびそれを含む有機エレクトロルミネッセンス素子 Download PDFInfo
- Publication number
- JP2010090085A JP2010090085A JP2008264064A JP2008264064A JP2010090085A JP 2010090085 A JP2010090085 A JP 2010090085A JP 2008264064 A JP2008264064 A JP 2008264064A JP 2008264064 A JP2008264064 A JP 2008264064A JP 2010090085 A JP2010090085 A JP 2010090085A
- Authority
- JP
- Japan
- Prior art keywords
- layer
- transport layer
- same
- electron transport
- group
- Prior art date
- Legal status (The legal status is an assumption and is not a legal conclusion. Google has not performed a legal analysis and makes no representation as to the accuracy of the status listed.)
- Granted
Links
- 0 *C(*)(c1c(-c(cccc2)*2OC(c2cccc*22)=O)c(N)cc(N)c1)I2=C Chemical compound *C(*)(c1c(-c(cccc2)*2OC(c2cccc*22)=O)c(N)cc(N)c1)I2=C 0.000 description 3
Images
Landscapes
- Pyridine Compounds (AREA)
Abstract
Description
特に青色リン光材料については、エネルギーギャップが大きいために、ワイドギャップ化されたホール輸送材料や電子輸送材料が必要になってくる。現在これらリン光材料には、従来から使用されている電子輸送材料のAlq3〔トリス(8−ヒドロキシキノリノラト)アルミニウム〕やBAlq2〔ビス(2−メチル−8−ヒドロキシキノリノラト)(4−フェニルフェノキシ)アルミニウム〕等が使用されている。しかしながらリン光材料に使用するには十分なエネルギーギャップを持ち合わせていないため、新規なワイドギャップな電子輸送材料の開発が必要である。
R3〜R18は水素、炭素数1〜6の直鎖または分岐のアルキル基、炭素数1〜6の直鎖または分岐のアルキル基をもつアルコキシ基、および炭素数1〜6の直鎖または分岐のアルキル基をもつアルキルアミノ基よりなる群からそれぞれ独立して選ばれた基であり、R1、R2、R19〜R65は水素および炭素数1〜6の直鎖または分岐のアルキル基よりなる群からそれぞれ独立して選ばれた基である)
で示されるターフェニル誘導体に関する。
本発明の第2は、請求項1記載のターフェニル誘導体よりなる電子輸送材料に関する。
本発明の第3は、請求項1記載のターフェニル誘導体を用いた有機エレクトロルミネッセンス素子に関する。
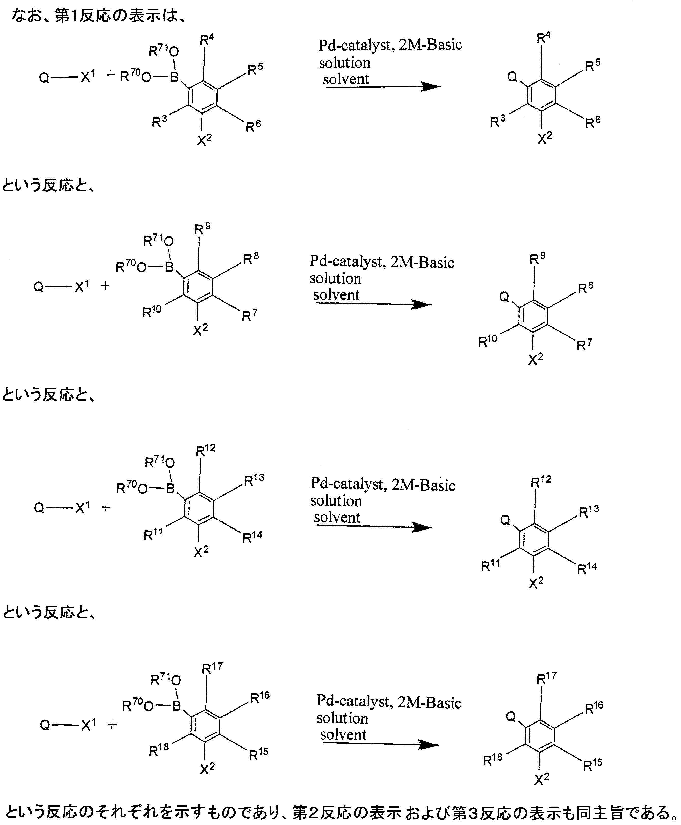
R3〜R18は水素、炭素数1〜6の直鎖または分岐のアルキル基、炭素数1〜6の直鎖または分岐のアルキル基をもつアルコキシ基、および炭素数1〜6の直鎖または分岐のアルキル基をもつアルキルアミノ基よりなる群からそれぞれ独立して選ばれた基であり、R1、R2、R19〜R65は水素および炭素数1〜6の直鎖または分岐のアルキル基よりなる群からそれぞれ独立して選ばれた基であり、R70、R71は、水素、炭素数1〜6の直鎖または分岐のアルキル基または、これらが結合して環を形成していても構わない基からそれぞれ独立して選ばれた基であり、X1〜X6はハロゲンである。
反応式中の、Pd−catalystはパラジウム触媒の、Basic−solutionは塩基性水溶液の、solventは有機溶媒の、それぞれ略称である。
用いる有機溶媒としては、反応基質のハロゲン化物とホウ酸化合物を溶かす溶媒なら特に問題ないが、例示すれば芳香族炭化水素系溶媒とアルコール系溶媒の混合溶媒もしくはエーテル系溶媒を挙げることができる。混合溶媒は任意の混合比で使用することができるが、一般には芳香族炭化水素系溶媒3部に対してアルコール系溶媒1部を混ぜたものを使用することが好ましい。芳香族炭化水素系溶媒としては、トルエン、キシレン、エチルベンゼン、トリメチルベンゼンなどが例示できる。アルコール系溶媒としては、メタノール、エタノール、プロパノール、ブタノールなどを例示することができる。エーテル系溶媒としては、テトラヒドロフラン、1,4−ジオキサンなどの環状エーテル、メチルセロソルブ、エチルセロソルブ、エチレングリコールジメチルエーテル、エチレングリコールジエチルエーテルなどの脂肪族エーテルなどが例示できる。本反応では、芳香族炭化水素系とアルコール系の混合溶媒が好ましく、特に好ましい組み合わせは、トルエンとエタノールの混合溶媒である。
2Mの塩基性溶液として使用できる塩基としては、アルカリあるいはアルカリ土類金属を含有するものであれば特に限定されるものではない。例えば、水酸化リチウム、水酸化ナトリウム、水酸化カリウム、水酸化セシウム、水酸化ベリリウム、水酸化マグネシウム、水酸化カルシウムのような水酸化物、炭酸リチウム、炭酸ナトリウム、炭酸カリウム、炭酸セシウム、炭酸ベリリウム、炭酸マグネシウム、炭酸カルシウムのような炭酸塩、炭酸水素リチウム、炭酸水素ナトリウム、炭酸水素カリウム、炭酸水素セシウム、炭酸水素ベリリウム、炭酸水素マグネシウム、炭酸水素カルシウムのような重炭酸塩、あるいはこれらの金属を含むアルコラートや酢酸塩等の有機塩基を挙げることができる。本反応では、反応速度の関係から炭酸塩を用いることが好ましく、より好ましくは炭酸カリウムである。
パラジウム触媒は、ハロゲン化合物とホウ酸化合物とのカップリング反応であるためPd(0)のものが使用できる。その他のパラジウム触媒としては、テトラキス(トリフェニルホスフィン)パラジウム〔Pd(PPh3)4〕やトリス(ジベンジリデンアセトン)ジパラジウム〔Pd2(dba)3〕やパラジウムジベンジリデンアセトンなどを挙げることができるが、好ましくは、テトラキス(トリフェニルホスフィン)パラジウムである。
ハロゲン化物と反応するホウ酸化合物については、ホウ酸もしくはホウ酸エステルが使用できる。ホウ酸エステルについては、メチルエステルやエチルエステルなどを挙げることができる。また2つのホウ素含む環状エステル構造に修飾した下記一般式
反応で使用する塩基については、前述の第1反応で使用できる塩基を例示することができる。ここで好ましいものとしては、酢酸塩であり、より好ましくは反応時間の関係より酢酸カリウムである。
この反応で使用するパラジウム触媒としては、Pd(0)を示すものが使用できる。具体的には、有機配位子とパラジウムとの錯体が例示できる。好ましくはテトラキス(トリフェニルホスフィン)パラジウムやトリス(ジベンジリデンアセトン)ジパラジウムなどであり、より好ましくはビス(ジベンジリデンアセトン)パラジウム〔Pd(dba)2〕である。
また、パラジウムを活性化するために添加するリン触媒としては、第3アルキルホスフィンを使用することができ、例えば、トリメチルホスフィン、トリエチルホスフィン、トリ〔n−(iso−)プロピル〕ホスフィン、トリ〔n−(iso−,tert−)ブチル〕ホスフィンのような脂肪族のものやトリシクロヘキシルホスフィン(PCy3)のような脂環式のものを挙げることができる。用いるパラジウム化合物との相性から、ここでは脂環式のトリシクロヘキシルホスフィンが好ましい。
ホール注入材料としては、下記化学式に示されるPEDOT−PSS(ポリマー混合物)やDNTPDを挙げることができる。
よって本発明の化合物は、素子を高効率化させるために必要なものであり、工業的に極めて重要なものである。
2′,5′−ジ〔3−(ピリジン−3−イル)フェニル〕−3,3″−ジ(ピリジン−3−イル)−1,1′:4′,1″−ターフェニル(略称tetra−m3PyPhB)の合成
1)3−(ピリジン−3−イル)クロロベンゼン(略称m−CPh3Py)の合成
精製はカラムクロマトグラフィー法(展開溶媒:n−ヘキサン/酢酸エチル=3/1)で行い、無色の粘体を得た。m−CPh3Pyの収率:92.7%
2)3−(4,4,5,5−テトラメチル−1,3,2−ジオキサボロラン−2−イル)−1−(ピリジン−3−イル)ベンゼン(略称3PyPhmDOB)の合成
精製はカラムクロマトグラフィー法〔展開溶媒:クロロホルム/酢酸エチル=6/1(2回)、クロロホルム/酢酸エチル=4/1〕で行い、薄い黄色の結晶を得た。3PyPhmDOBの収率:88.0%。
3)2′,5′−ジ〔3−(ピリジン−3−イル)フェニル〕−3,3″−ジ(ピリジン−3−イル)−1,1′:4′,1″−ターフェニル(略称tetra−m3PyPhB)の合成
精製はカラムクロマトグラフィー法(展開溶媒:酢酸エチルで不純物を除去し、クロロホルム/メタノール混合溶媒を下記の割合で用いて1回づつ洗浄、50/1,40/1,25/1)で行い、アセトンにより再結晶を行い、白色の粉末を得た。tetra−m3PyPhBの収率:93.2%。
得られたtetra−m3PyPhBの熱特性および電気化学特性について表1に示す。
Tm(融点)は、同じくDSCにサンプルを加え、昇温させていくと急熱カーブが現れるのでその極大のところの温度を読んで、その温度をTmとする。
Td(分解温度)は、DTA(Differential Thermal Analyzer 示差熱分析装置)にサンプルを加え、加熱していくとサンプルが熱によって分解し、重量が減少しだす。その減少が開始し5%重量減少したところの温度を読んでその点をTdとする。
エネルギーギャップ(Eg)については、蒸着機で作成した薄膜を紫外−可視吸光度計で薄膜の吸収曲線を測定する。その薄膜の短波長側の立ち上がりのところに接線を引き、求まった交点の波長W(nm)を次の式に代入し目的の値を求める。それによって得た値がEgになる。
Eg=1240÷W
例えば接線を引いて求めた値W(nm)が470nmだったとしたらこの時のEgの値は、
Eg=1240÷470=2.63(eV)
と言うことになる。
Ip(イオン化ポテンシャル)は、イオン化ポテンシャル測定装置(例えば理研計器AC−3)を使用して測定し、測定するサンプルがイオン化を開始したところの電圧(eV)の値を読む。
Ea(電子親和力)は、IpからEgを引いた値である。
また、薄膜での吸収スペクトルは図1に、励起スペクトルおよび発光スペクトルは図2に示す。
2′,5′−ジ〔3−(ピリジン−4−イル)フェニル〕−3,3″−ジ(ピリジン−4−イル)−1,1′:4′,1″−ターフェニル(略称tetra−m4PyPhB)の合成
精製はカラムクロマトグラフィー法(展開溶媒:クロロホルム/酢酸エチル/メタノール=20/10/1,クロロホルム/メタノール=100/3)で行い、白色の粉末を得た。tetra−m4PyPhBの収率:62.2%。
得られたtetra−m4PyPhBの熱特性および電気化学特性について表2に示す。
実施例1で合成したtetra−m3PyPhBと実施例2で合成したtetra−m4PyPhBを電子輸送層に用いた素子を作成し、電子輸送性の評価を行った。比較するために、US6852249号明細書に記載のある化合物
作成した素子構成は以下の通りである。
<素子構造>
実施例3□:ITO/TPDPES(20nm)(ホール注入層)/3DTAPBP(30nm)(ホール輸送層)/4CzPBP:FIrpic(13wt%)(10nm)(発光層)/tetra−m3PyPhB(実施例1合成)(50nm)(電子輸送層)/LiF(0.5nm)/Al(100nm);
実施例4△:ITO/TPDPES(20nm)(ホール注入層)/3DTAPBP(30nm)(ホール輸送層)/4CzPBP:FIrpic(13wt%)(10nm)(発光層)/tetra−m4PyPhB(実施例2合成)(50nm)(電子輸送層)/LiF(0.5nm)/Al(100nm);
比較例1◇:ITO/TPDPES(20nm)(ホール注入層)/3DTAPBP(30nm)(ホール輸送層)/4CzPBP:FIrpic(13wt%)(10nm)(発光層)/tetra−p3PyPhB(50nm)(電子輸送層)/LiF(0.5nm)/Al(100nm);
比較例2○:ITO/TPDPES(20nm)(ホール注入層)/3DTAPBP(30nm)(ホール輸送層)/4CzPBP:FIrpic(13wt%)(10nm)(発光層)/tetra−p4PyPhB(50nm)(電子輸送層)/LiF(0.5nm)/Al(100nm)
これらの素子の
電流密度−電圧特性は図5に、
輝度−電圧特性は図6に、
視感効率−電圧特性は図7に、
電流効率−電圧特性は図8に、
視感効率−輝度特性は図9に、
外部量子効率−輝度特性は図10に、
ELスペクトルは図11に、
それぞれ示す。
これらの素子の100cd/m2における電圧(Voltage)、電流密度(Current density)、視感効率(P.E.)、外部量子効率(Q.E.)の結果を表3に、1000cd/m2における結果を表4に示す。
2 陽極(ITO)
3 発光層
4 陰極
5 正孔(ホール)輸送層
6 電子輸送層
7 正孔(ホール)注入層
8 電子注入層
9 正孔(ホール)ブロック層
Claims (3)
Priority Applications (1)
| Application Number | Priority Date | Filing Date | Title |
|---|---|---|---|
| JP2008264064A JP5349889B2 (ja) | 2008-10-10 | 2008-10-10 | 新規なターフェニル誘導体、それよりなる電子輸送材料およびそれを含む有機エレクトロルミネッセンス素子 |
Applications Claiming Priority (1)
| Application Number | Priority Date | Filing Date | Title |
|---|---|---|---|
| JP2008264064A JP5349889B2 (ja) | 2008-10-10 | 2008-10-10 | 新規なターフェニル誘導体、それよりなる電子輸送材料およびそれを含む有機エレクトロルミネッセンス素子 |
Publications (2)
| Publication Number | Publication Date |
|---|---|
| JP2010090085A true JP2010090085A (ja) | 2010-04-22 |
| JP5349889B2 JP5349889B2 (ja) | 2013-11-20 |
Family
ID=42253184
Family Applications (1)
| Application Number | Title | Priority Date | Filing Date |
|---|---|---|---|
| JP2008264064A Active JP5349889B2 (ja) | 2008-10-10 | 2008-10-10 | 新規なターフェニル誘導体、それよりなる電子輸送材料およびそれを含む有機エレクトロルミネッセンス素子 |
Country Status (1)
| Country | Link |
|---|---|
| JP (1) | JP5349889B2 (ja) |
Cited By (5)
| Publication number | Priority date | Publication date | Assignee | Title |
|---|---|---|---|---|
| JP2011190229A (ja) * | 2010-03-16 | 2011-09-29 | Tosoh Corp | 1,2,4,5−置換フェニル誘導体とその製造方法、及びそれらを構成成分とする有機電界発光素子 |
| WO2012081541A1 (ja) * | 2010-12-17 | 2012-06-21 | 東ソー株式会社 | 1,2,4,5-置換フェニル誘導体とその製造方法、及び有機電界発光素子 |
| JP2012140414A (ja) * | 2010-12-16 | 2012-07-26 | Tosoh Corp | 1,2,4,5−置換フェニル誘導体とその製造方法、及びそれらを構成成分とする有機電界発光素子 |
| KR20130016273A (ko) * | 2010-03-16 | 2013-02-14 | 토소가부시키가이샤 | 1,2,4,5―치환 페닐 유도체와 그 제조방법, 그리고 그것을 구성 성분으로 하는 유기 전계 발광소자 |
| WO2020039708A1 (ja) | 2018-08-23 | 2020-02-27 | 国立大学法人九州大学 | 有機エレクトロルミネッセンス素子 |
Citations (2)
| Publication number | Priority date | Publication date | Assignee | Title |
|---|---|---|---|---|
| US20030166920A1 (en) * | 2002-01-24 | 2003-09-04 | Kuang-Lieh Lu | Prismatic supramolecules |
| JP2007015993A (ja) * | 2005-07-08 | 2007-01-25 | Chemiprokasei Kaisha Ltd | 新規な1,3,5−トリフェニルベンゼン誘導体およびそれを含む有機エレクトロルミネッセンス素子 |
-
2008
- 2008-10-10 JP JP2008264064A patent/JP5349889B2/ja active Active
Patent Citations (2)
| Publication number | Priority date | Publication date | Assignee | Title |
|---|---|---|---|---|
| US20030166920A1 (en) * | 2002-01-24 | 2003-09-04 | Kuang-Lieh Lu | Prismatic supramolecules |
| JP2007015993A (ja) * | 2005-07-08 | 2007-01-25 | Chemiprokasei Kaisha Ltd | 新規な1,3,5−トリフェニルベンゼン誘導体およびそれを含む有機エレクトロルミネッセンス素子 |
Cited By (10)
| Publication number | Priority date | Publication date | Assignee | Title |
|---|---|---|---|---|
| JP2011190229A (ja) * | 2010-03-16 | 2011-09-29 | Tosoh Corp | 1,2,4,5−置換フェニル誘導体とその製造方法、及びそれらを構成成分とする有機電界発光素子 |
| KR20130016273A (ko) * | 2010-03-16 | 2013-02-14 | 토소가부시키가이샤 | 1,2,4,5―치환 페닐 유도체와 그 제조방법, 그리고 그것을 구성 성분으로 하는 유기 전계 발광소자 |
| US8796461B2 (en) | 2010-03-16 | 2014-08-05 | Tosoh Corporation | 1,2,4,5-substituted phenyl compound, method for producing same and organic electroluminescent device comprising same as constituent |
| KR101872540B1 (ko) | 2010-03-16 | 2018-06-28 | 토소가부시키가이샤 | 1,2,4,5―치환 페닐 유도체와 그 제조방법, 그리고 그것을 구성 성분으로 하는 유기 전계 발광소자 |
| JP2012140414A (ja) * | 2010-12-16 | 2012-07-26 | Tosoh Corp | 1,2,4,5−置換フェニル誘導体とその製造方法、及びそれらを構成成分とする有機電界発光素子 |
| WO2012081541A1 (ja) * | 2010-12-17 | 2012-06-21 | 東ソー株式会社 | 1,2,4,5-置換フェニル誘導体とその製造方法、及び有機電界発光素子 |
| JP2012144523A (ja) * | 2010-12-17 | 2012-08-02 | Tosoh Corp | 1,2,4,5−置換フェニル誘導体とその製造方法、及び有機電界発光素子 |
| KR20130130781A (ko) | 2010-12-17 | 2013-12-02 | 토소가부시키가이샤 | 1,2,4,5-치환 페닐 유도체와 그 제조 방법, 그리고 유기 전계 발광 소자 |
| KR101968353B1 (ko) * | 2010-12-17 | 2019-04-11 | 토소가부시키가이샤 | 1,2,4,5-치환 페닐 유도체와 그 제조 방법, 그리고 유기 전계 발광 소자 |
| WO2020039708A1 (ja) | 2018-08-23 | 2020-02-27 | 国立大学法人九州大学 | 有機エレクトロルミネッセンス素子 |
Also Published As
| Publication number | Publication date |
|---|---|
| JP5349889B2 (ja) | 2013-11-20 |
Similar Documents
| Publication | Publication Date | Title |
|---|---|---|
| JP5063992B2 (ja) | 新規なジ(ピリジルフェニル)誘導体、それよりなる電子輸送材料およびそれを含む有機エレクトロルミネッセンス素子 | |
| JP5207760B2 (ja) | 新規なピリミジン系またはトリアジン系誘導体、それよりなる電子輸送材料およびそれを含む有機エレクトロルミネッセンス素子 | |
| JP4878819B2 (ja) | 新規なトリアジン誘導体およびそれを含む有機エレクトロルミネッセンス素子 | |
| KR101663527B1 (ko) | 신규한 유기발광화합물 및 이를 포함하는 유기전계발광소자 | |
| TWI429650B (zh) | Organic electroluminescent elements | |
| TWI475022B (zh) | Organic electroluminescent elements | |
| JP5495578B2 (ja) | 新規なトリアリールホスフィンオキシド誘導体、それよりなるホスト材料およびそれを含む有機エレクトロルミネッセンス素子 | |
| KR20140047592A (ko) | 치환된 트리페닐렌환 구조를 가지는 화합물 및 유기 일렉트로루미네선스 소자 | |
| JP2008120696A (ja) | 新規なトリピリジルフェニル誘導体、それよりなる電子輸送材料およびそれを含む有機エレクトロルミネッセンス素子 | |
| JP5783749B2 (ja) | エキシマー特性を有する1,8−アリール置換ナフタレン誘導体及びこれを用いた有機el素子 | |
| JP5201956B2 (ja) | 新規なジ(ピリジルフェニル)誘導体、それよりなる電子輸送材料およびそれを含む有機エレクトロルミネッセンス素子 | |
| KR101555155B1 (ko) | 신규한 스피로바이플루오렌 타입 유기화합물 및 상기 유기화합물을 포함하는 유기전계발광소자 | |
| JP2008106015A (ja) | 新規なフェナントロリン誘導体、そのリチウム錯体、それを用いた電子輸送材料、電子注入材料および有機el素子 | |
| JP5476034B2 (ja) | 新規なトリアリールアミン化合物、それよりなるホール輸送材料およびそれを用いた有機エレクトロルミネッセンス素子 | |
| JP5220429B2 (ja) | 新規なジピレン誘導体、それよりなる電子輸送材料、発光材料およびそれを含む有機エレクトロルミネッセンス素子 | |
| JP5349889B2 (ja) | 新規なターフェニル誘導体、それよりなる電子輸送材料およびそれを含む有機エレクトロルミネッセンス素子 | |
| KR20150112880A (ko) | 유기전계발광소자용 유기화합물 및 그를 포함하는 유기전계발광소자 | |
| JP4960045B2 (ja) | 新規なビフェニル中心骨格を有するヘテロアリール系化合物およびそれを含む有機エレクトロルミネッセンス素子 | |
| JP5371312B2 (ja) | 新規なジカルバゾリルフェニル誘導体、それを用いたホスト材料および有機エレクトロルミネッセンス素子 | |
| KR102245921B1 (ko) | 신규한 유기 화합물 및 이를 포함하는 유기발광소자 | |
| JP5086608B2 (ja) | 新規なジ(フェナントロリン)誘導体、それよりなる電子輸送材料およびそれを含む有機エレクトロルミネッセンス素子 | |
| JP2010013421A (ja) | 新規なビス(ジカルバゾリルフェニル)誘導体、それを用いたホスト材料および有機エレクトロルミネッセンス素子 | |
| JP2010248112A (ja) | 芳香族炭化水素化合物、それよりなるホスト材料、それを用いた有機エレクトロルミネッセンス素子 | |
| JP2010090084A (ja) | 新規なビス(カルバゾリルフェニル)誘導体、それを用いたホスト材料および有機エレクトロルミネッセンス素子 | |
| JP5674266B2 (ja) | 新規なカルバゾール系誘導体、それよりなるホスト材料およびそれを含む有機エレクトロルミネッセンス素子 |
Legal Events
| Date | Code | Title | Description |
|---|---|---|---|
| A521 | Request for written amendment filed |
Free format text: JAPANESE INTERMEDIATE CODE: A523 Effective date: 20100517 |
|
| A621 | Written request for application examination |
Free format text: JAPANESE INTERMEDIATE CODE: A621 Effective date: 20110920 |
|
| TRDD | Decision of grant or rejection written | ||
| A977 | Report on retrieval |
Free format text: JAPANESE INTERMEDIATE CODE: A971007 Effective date: 20130801 |
|
| A01 | Written decision to grant a patent or to grant a registration (utility model) |
Free format text: JAPANESE INTERMEDIATE CODE: A01 Effective date: 20130806 |
|
| A61 | First payment of annual fees (during grant procedure) |
Free format text: JAPANESE INTERMEDIATE CODE: A61 Effective date: 20130821 |
|
| R150 | Certificate of patent or registration of utility model |
Ref document number: 5349889 Country of ref document: JP Free format text: JAPANESE INTERMEDIATE CODE: R150 Free format text: JAPANESE INTERMEDIATE CODE: R150 |
|
| R250 | Receipt of annual fees |
Free format text: JAPANESE INTERMEDIATE CODE: R250 |
|
| R250 | Receipt of annual fees |
Free format text: JAPANESE INTERMEDIATE CODE: R250 |
|
| R250 | Receipt of annual fees |
Free format text: JAPANESE INTERMEDIATE CODE: R250 |
|
| R250 | Receipt of annual fees |
Free format text: JAPANESE INTERMEDIATE CODE: R250 |
