EP0903401B1 - Antimikrobieller Waschmittelzusatz - Google Patents

Antimikrobieller Waschmittelzusatz Download PDF

Info

Publication number
EP0903401B1
EP0903401B1 EP19980810888 EP98810888A EP0903401B1 EP 0903401 B1 EP0903401 B1 EP 0903401B1 EP 19980810888 EP19980810888 EP 19980810888 EP 98810888 A EP98810888 A EP 98810888A EP 0903401 B1 EP0903401 B1 EP 0903401B1
Authority
EP
European Patent Office
Prior art keywords
detergent additive
laundry detergent
additive according
formula
surfactant
Prior art date
Legal status (The legal status is an assumption and is not a legal conclusion. Google has not performed a legal analysis and makes no representation as to the accuracy of the status listed.)
Expired - Lifetime
Application number
EP19980810888
Other languages
English (en)
French (fr)
Other versions
EP0903401A1 (de
Inventor
Rüdiger Hirsch
Werner Hölzl
Marcel Schnyder
Rainer Hans Traber
Current Assignee (The listed assignees may be inaccurate. Google has not performed a legal analysis and makes no representation or warranty as to the accuracy of the list.)
BASF Schweiz AG
Original Assignee
Ciba Spezialitaetenchemie Holding AG
Ciba SC Holding AG
Priority date (The priority date is an assumption and is not a legal conclusion. Google has not performed a legal analysis and makes no representation as to the accuracy of the date listed.)
Filing date
Publication date
Application filed by Ciba Spezialitaetenchemie Holding AG, Ciba SC Holding AG filed Critical Ciba Spezialitaetenchemie Holding AG
Priority to EP19980810888 priority Critical patent/EP0903401B1/de
Publication of EP0903401A1 publication Critical patent/EP0903401A1/de
Application granted granted Critical
Publication of EP0903401B1 publication Critical patent/EP0903401B1/de
Anticipated expiration legal-status Critical
Expired - Lifetime legal-status Critical Current

Links

Classifications

    • CCHEMISTRY; METALLURGY
    • C11ANIMAL OR VEGETABLE OILS, FATS, FATTY SUBSTANCES OR WAXES; FATTY ACIDS THEREFROM; DETERGENTS; CANDLES
    • C11DDETERGENT COMPOSITIONS; USE OF SINGLE SUBSTANCES AS DETERGENTS; SOAP OR SOAP-MAKING; RESIN SOAPS; RECOVERY OF GLYCEROL
    • C11D3/00Other compounding ingredients of detergent compositions covered in group C11D1/00
    • C11D3/48Medical, disinfecting agents, disinfecting, antibacterial, germicidal or antimicrobial compositions
    • CCHEMISTRY; METALLURGY
    • C11ANIMAL OR VEGETABLE OILS, FATS, FATTY SUBSTANCES OR WAXES; FATTY ACIDS THEREFROM; DETERGENTS; CANDLES
    • C11DDETERGENT COMPOSITIONS; USE OF SINGLE SUBSTANCES AS DETERGENTS; SOAP OR SOAP-MAKING; RESIN SOAPS; RECOVERY OF GLYCEROL
    • C11D3/00Other compounding ingredients of detergent compositions covered in group C11D1/00
    • C11D3/02Inorganic compounds ; Elemental compounds
    • C11D3/12Water-insoluble compounds
    • C11D3/124Silicon containing, e.g. silica, silex, quartz or glass beads
    • C11D3/1246Silicates, e.g. diatomaceous earth
    • C11D3/1253Layer silicates, e.g. talcum, kaolin, clay, bentonite, smectite, montmorillonite, hectorite or attapulgite
    • C11D3/126Layer silicates, e.g. talcum, kaolin, clay, bentonite, smectite, montmorillonite, hectorite or attapulgite in solid compositions
    • CCHEMISTRY; METALLURGY
    • C11ANIMAL OR VEGETABLE OILS, FATS, FATTY SUBSTANCES OR WAXES; FATTY ACIDS THEREFROM; DETERGENTS; CANDLES
    • C11DDETERGENT COMPOSITIONS; USE OF SINGLE SUBSTANCES AS DETERGENTS; SOAP OR SOAP-MAKING; RESIN SOAPS; RECOVERY OF GLYCEROL
    • C11D3/00Other compounding ingredients of detergent compositions covered in group C11D1/00
    • C11D3/16Organic compounds
    • C11D3/20Organic compounds containing oxygen
    • C11D3/2003Alcohols; Phenols
    • C11D3/2006Monohydric alcohols
    • C11D3/2034Monohydric alcohols aromatic
    • CCHEMISTRY; METALLURGY
    • C11ANIMAL OR VEGETABLE OILS, FATS, FATTY SUBSTANCES OR WAXES; FATTY ACIDS THEREFROM; DETERGENTS; CANDLES
    • C11DDETERGENT COMPOSITIONS; USE OF SINGLE SUBSTANCES AS DETERGENTS; SOAP OR SOAP-MAKING; RESIN SOAPS; RECOVERY OF GLYCEROL
    • C11D3/00Other compounding ingredients of detergent compositions covered in group C11D1/00
    • C11D3/16Organic compounds
    • C11D3/24Organic compounds containing halogen

Definitions

  • the present invention relates to an antimicrobial detergent additive, and a method for its manufacture.
  • DE-A-195 38 028 describes a detergent additive which has a swellable Layered silicate, an optical brightener and a surfactant contains.
  • Detergent particles consisting of nonionic surfactant and smectite or zeolite are described in GB-A-2182051.
  • JP-A-91 94 899 discloses detergent compositions containing a nonionic surfactant, an oil absorbing carrier, a clay material and an antimicrobial substance.
  • Textile fiber materials can be made antimicrobial in various ways, so e.g. during the washing process.
  • antimicrobial agents are susceptible to oxidation against the bleach components present in the detergent, e.g. perborates, so that the antimicrobial effect of such a detergent deteriorates significantly can become or even have no effect.
  • the present invention was therefore based on the object of an antimicrobial detergent additive to find the oxidation stable to the other detergent components remains and thus gives the detergent overall good storage stability and At the same time, the antimicrobial effect is fully developed during the washing process.
  • a detergent additive in agglomerate form which, in addition to the antimicrobial active substance, has at least one swellable Layered silicate and a surfactant contains these requirements, i.e. the in this Antimicrobial active substance contained in detergent is protected against oxidizing agents and after the agglomerate has dissolved in the wash liquor.
  • the detergent additive has a high storage stability, disintegrates well in water, and the antimicrobial active substance lies in the washing process homogeneous distribution.
  • the detergent additive may contain, in addition to the swellable layered silicate, the antimicrobial active substance and the surfactant an alkali salt, e.g. Alkali sulfate, alkali carbonate or alkali (poly) phosphate.
  • an alkali salt e.g. Alkali sulfate, alkali carbonate or alkali (poly) phosphate.
  • the swellable layered silicate is preferably a natural or synthetic clay mineral or a synthetic layered sodium silicate.
  • the swellable clay mineral is preferably montmorillonite, beidelite, saponite or hectorite.
  • Bentonite contains montmorillonite as its main mineral, which is a swellable dioctahedral natural layered silicate of the formula Na 0.66 (OH) 4 Si 8 (Al 3.34Mg 0.66 ) O 20 represents.
  • One layer is composed of three sub-elements, with two tetrahedral layers with Si as the central atom and an octahedron layer with Al as the central atom.
  • Al 3+ is partly isomorphically replaced by Mg 2+ .
  • the resulting excess charge is balanced between the layers by Na + or Ca 2+ .
  • the montmorillonite can be used in the sodium or calcium form or in the form of a calcium montmorillonite exchanged with Na + .
  • the bentonite powder preferably has a residual moisture content of about 10% by weight and a sieve residue of a maximum of 30% to 45 ⁇ m.
  • synthetically produced clay minerals can also be used from the groups mentioned above, such as synthetic layered sodium silicates (e.g. the commercial product SKS 6 from Hoechst AG).
  • the layered silicate is preferably used in an amount of 10 to 50% by weight, in particular 30 up to 50% by weight.
  • the swellable layered silicates have the property of swelling within crystals Polar agents intercalate between the silicate lamellae, which can be seen at higher concentrations noticeable in an increase in the layer spacing.
  • the surfactant used according to the invention is preferably an anionic or nonionic Surfactant.
  • the fatty alcohol ethoxylates are stored between the layers.
  • the non-ionic Surfactants in which the antimicrobial active substances are soluble favor them Transport between the lamellae of the swellable layered silicate.
  • the antimicrobial Active substances are intercalated between the layers of the layered silicate and so before protected from reaction with other detergent ingredients.
  • Layered silicates intercalated with surfactants and the antimicrobial active ingredient in Granulate form swell in water and give the tensides and antimicrobial active substance the solution in water free. Due to the swelling effect of the layered silicate agglomerate in Water, the agglomerates are blown up and distributed in the water.
  • the compound -2,4,4'-trichloro-2-hydroxydiphenyl ether (triclosan) is very particularly preferred, according to the formula or the compound of the formula (Diclosan).
  • the detergent additive according to the invention can be one or a mixture of several contain antimicrobial active substances.
  • Alkali salts include in particular alkali sulfate, alkali carbonate or alkali (poly) phosphate in the form of their sodium or potassium salts. Is very particularly preferred Sodium sulfate.
  • the alkali salt fulfills several functions: if the layered silicate is agglomerated with the surfactant, this gives a soft agglomerate that becomes sticky with increasing surfactant content, that is not free-flowing and not capable of ensiling. Due to the presence of the alkali salt the mechanical stability of the agglomerate is improved and its stickiness reduced.
  • the alkali salt in the detergent is desirable as a builder component.
  • the Alkali salt is preferably used in amounts of approximately 10 to 40% by weight, in particular approximately 12 up to 30% by weight.
  • the agglomerate particles of the detergent additive according to the invention preferably with synthetic zeolite or layered sodium silicate are encased, thereby increasing the flowability of the agglomerate particles. is improved.
  • the coating with zeolite or layered sodium silicate further improves the whiteness of the agglomerate.
  • the agglomerate preferably has a bulk density of more than 700 g / l and is due to This high bulk density is compatible with highly concentrated, high density detergents.
  • the swellable layered silicate is preferably mixed before the antimicrobial is added Active substance / surfactant with the alkali salt.
  • the powder components can e.g. in an intensive mixer, e.g. in an Eirich mixer be mixed together.
  • the antimicrobial active substance preferably as an aqueous dispersion
  • the surfactant under Whirling is added to the powder component.
  • the resulting agglomerate is sieved and can pass through Addition of further zeolite (in particular zeolite P) or layered sodium silicate coated in powder form on the surface to reduce stickiness.
  • the agglomerate obtained is readily dispersible in water.
  • the antimicrobial substance is protected from the oxidizing agents contained in the detergent and after dissolution of the agglomerate available in the wash liquor.
  • the present invention further relates to a detergent containing the above Detergent additive described in addition to conventional detergent components, such as anionic and non-ionic surfactants, builders (builders), polymers (co-builders), Graying inhibitors, bleaches and bleach activators, enzymes, foam inhibitors, optical brighteners and fragrances and / or dyes.
  • conventional detergent components such as anionic and non-ionic surfactants, builders (builders), polymers (co-builders), Graying inhibitors, bleaches and bleach activators, enzymes, foam inhibitors, optical brighteners and fragrances and / or dyes.
  • the powdered layered silicate and the powdered sodium salt become intense premixed. With intensive swirling of the powder mixture, the surfactant or a Solution of the surfactant added. At the same time, the antimicrobial active substance becomes a Mixture of various antimicrobial active substances as an aqueous dispersion (slurry) added. Alternatively, a solution of the antimicrobial active substance in one Surfactant solution can be added to the powder mixture.
  • the antimicrobial active substance is added as an aqueous dispersion, it agglomerates the mixture at a water content of about 20 to 30% by weight, based on the total mixture.
  • an agglomerate is obtained which is in a suitable dryer, preferably in a fluid bed dryer to a residual water content from about 2 to 15% by weight, preferably from about 5 to 10% by weight becomes.
  • the agglomerate obtained is sieved to a particle size of about 0.2 to 2.5 mm, preferably sieved from 0.5 to 1.7 mm. The fraction becomes ⁇ 0.2 mm fed back to the agglomeration.
  • Coarse grain is removed with a roller crusher crushed and placed again on the screening plant.
  • the antimicrobial active substance with the surfactant is added to the powder mixture, the antimicrobial active substance is first dissolved in powder form in the surfactant.
  • the weight ratio between surfactant and antimicrobial active substance can be 15: 2 to 4:10, preferably 10: 3 to 10: 8.
  • the solution or dispersion of the antimicrobial Active substance in the surfactant is added to the powder with intensive swirling, whereby at the same time further portions of the antimicrobial active substance in aqueous dispersion were added become.
  • the screened agglomerate can be placed in a drum mixer (e.g. a drum mixer from Telschig) or a granulating plate. Then about 3 to 15% by weight, preferably about 5 to 10% by weight, of a synthetic Zeolite or a synthetic layered silicate added in fine-grained form.
  • the average particle size of this powder should preferably be ⁇ 20 ⁇ m, in particular 3 to 10 ⁇ m be.
  • the detergent additive according to the invention thus produced has a bulk density that is greater than 700 g / l, so that it is compatible with detergents with a high bulk density.
  • the swelling effect of the layered silicate contained in the detergent additive disintegrates Agglomerates quickly in water.
  • the active components surfactant and antimicrobial active substance are therefore available in the detergent.
  • Due to the presence of layered silicate and alkali salt the agglomerate is mechanically stable.
  • the agglomerate can be subsequently Add detergent, which makes up essential parts of the detergent production system not be contaminated with the antimicrobial active substance.
  • Another advantage of the detergent additive according to the invention is that the application to a carrier the dosing accuracy of the active substance in the production of detergents is increased.
  • the sample is dried for 4 hours at 65 ° C in a vacuum and then over 3 sieves sieved with mesh sizes of 2, 1 and 0.5 mm.
  • the sample is dried for 4 hours at 65 ° C in a vacuum and then over 3 sieves sieved with mesh sizes of 2, 1 and 0.5 mm.
  • Examples 5 to 10 The procedure is as described in Examples 1 to 4, but the following compounds are used instead of triclosan: example antimicrobial active substance 5 Diclosan (compound of formula (6)) 6 dichlorophen
  • Example 7 Determination of the oxidation stability of triclosan in various triclosan-bentonite compound / detergent mixtures
  • This detergent has the following composition (%): Linear Na alkyl benzene sulfonate 8.0 Mg silicate 1.9 Tallow tetra-ethylene glycol ether dean 2.9 carboxymethylcellulose 1.2 Na-soap 3.5 EDTA 0.2 Na-triphosphate 43.8 Na sulphate 21.2 Na-silicate 7.5 water 9.8
  • the reference mixture has the following composition 0.15% triclosan 12% Na perborate x 1 H 2 O 3% TAED ECE ad 100%.
  • the target content of triclosan in the detergent compositions was determined analytically before the start of the test.

Landscapes

  • Chemical & Material Sciences (AREA)
  • Life Sciences & Earth Sciences (AREA)
  • Engineering & Computer Science (AREA)
  • Chemical Kinetics & Catalysis (AREA)
  • Oil, Petroleum & Natural Gas (AREA)
  • Wood Science & Technology (AREA)
  • Organic Chemistry (AREA)
  • Health & Medical Sciences (AREA)
  • Emergency Medicine (AREA)
  • Inorganic Chemistry (AREA)
  • Detergent Compositions (AREA)
  • Agricultural Chemicals And Associated Chemicals (AREA)

Description

Die vorliegende Erfindung betrifft einen antimikrobiellen Waschmittelzusatz, und ein Verfahren zu dessen Herstellung.
DE-A-195 38 028 beschreibt ein Waschmittelzusatz, der ein quellfähiges Schichtsilikat, einen optischen Aufheller und ein Tensid enthält.
Waschmittelteilchen bestehend aus nichtionischem Tensid und Smectit oder Zeolith sind in GB-A-2182051 beschrieben.
JP-A-91 94 899 offenbart Waschmittelzusammensetzungen enthaltend ein nichtionisches Tensid, einen ölabsorbierenden Carrier, ein Tonmaterial und eine antimikrobielle Substanz.
Textile Fasermaterialien lassen sich auf verschiedene Art und Weise antimikrobiell ausrüsten, so z.B. beim Waschprozess. Leider sind antimikrobielle Wirksubstanzen oxidationsanfällig gegen die im Waschmittel vorhandenen Bleichmittelkomponenten, wie z.B. Perborate, so dass die antimikrobielle Wirkung eines solchen Waschmittels deutlich verschlechtert werden kann oder sogar ohne Wirkung ist.
Der vorliegenden Erfindung lag daher die Aufgabe zugrunde, einen antimikrobiellen Waschmittelzusatz zu finden, der gegenüber den übrigen Waschmittelkomponenten oxidationsstabil bleibt und somit dem Waschmittel insgesamt eine gute Lagerstabilität verleiht und gleichzeitig bewirkt, dass die antimikrobielle Wirkung beim Waschprozess voll entfaltet wird.
Überraschenderweise wurde gefunden, dass ein Waschmittelzusatz in Agglomeratform (Granulatform), der neben der antimikrobiellen Wirksubstanz mindestens ein quellfähiges Schichtsilikat und ein Tensid enthält, diese Voraussetzungen erfüllt, d.h. die in diesem Waschmittelzusatz enthaltene antimikrobielle Wirksubstanz ist gegen Oxidationsmittel geschützt und nach der Auflösung des Agglomerats in der Waschlauge verfügbar. Der Waschmittelzusatz weist bei guter mechanischer Stabilität eine hohe Lagerstabilität auf, zerfällt gut in Wasser, und die antimikrobielle Wirksubstanz liegt beim Waschprozess in homogener Verteilung vor.
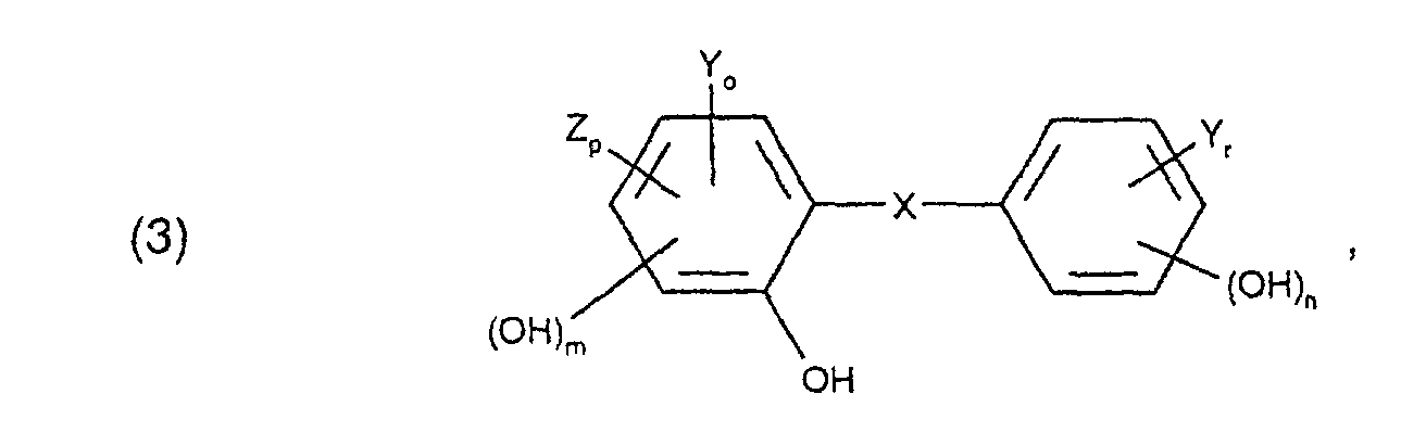
Gegenstand der vorliegenden Erfindung ist daher ein Waschmittelzusatz in Agglomeratform, der dadurch gekennzeichnet ist, dass er mindestens ein quellfähiges Schichtsilikat, eine antimikrobielle Wirksubstanz der Formel
Figure 00010001
worin
X
Sauerstoff, Schwefel oder -CH2-,
Y
Chlor oder Brom,
Z
SO2H, NO2 oder C1-C4-Alkyl,
r
0 bis 3,
o
0 bis 3,
p
0 oder 1,
m
0 oder 1 und
n
0 oder 1 bedeuten,
und ein Tensid enthält.
Gegebenenfalls enthält der Waschmittelzusatz neben dem quellfähigen Schichtsilikat, der antimikrobiellen Wirksubstanz und dem Tensid ein Alkalisalz, wie z.B. Alkalisulfat, Alkalicarbonat oder Alkali(poly)phosphat.
Der erfindungsgemässe Waschmittelzusatz enthält vorzugsweise
  • (a) 5 bis 60 Gew.% quellfähiges Schichtsilikat;
  • (b) 5 bis 35 Gew.% Tensid;
  • (c) 0,1 bis 20 Gew.% einer antimikrobiellen Wirksubstanz; und
  • (c) 0 bis 60 Gew.% Alkalisalz.
  • Vorzugsweise stellt das quellfähige Schichtsilikat ein natürliches oder synthetisches Tonmineral oder ein synthetisches schichtförmiges Natriumsilikat dar. Das quellfähige Tonmineral ist vorzugsweise Montmorillonit, Beidelit, Saponit oder Hectorit.
    Ganz besonders wird als Schichtsilicat feingemahlener Bentonit verwendet. Bentonit enthält als Hauptmineral Montmorillonit, welcher ein quellfähiges dioktaedrisches natürliches Schichtsilikat der Formel Na0,66(OH)4Si8(Al3,34·Mg0,66)O20 darstellt. Jeweils eine Schicht setzt sich aus drei Teilelementen zusammen, wobei zwei Tetraederschichten mit Si als Zentralatom eine Oktaederschicht mit Al als Zentralatom einschliessen. Wie aus der allgemeinen Formel ersichtlich, ist Al3+ teilweise isomorph durch Mg2+ ersetzt. Der hierdurch entstehende Ladungsüberschuss wird zwischen den Schichten durch Na+ bzw. Ca2+ ausgeglichen. Der Montmorillonit kann in der Natrium- oder Calciuimform bzw. in Form eines mit Na+ ausgetauschten Calcium-Montmorillonits verwendet werden.
    Das Bentonitpulver weist vorzugsweise einen Restfeuchtegehalt von etwa 10 Gew.% und einen Siebrückstand von maximal 30% auf 45µm auf.
    Neben diesen natürlichen Mineralien können auch synthetisch hergestellte Tonmineralien aus den vorstehend genannten Gruppen eingesetzt werden, wie z.B. synthetische schichtförmige Natriumsilicate (z.B. das Handelsprodukt SKS 6 der Firma Hoechst AG).
    Das Schichtsilikat wird vorzugsweise in einer Menge von 10 bis 50 Gew.%, insbesondere 30 bis 50 Gew.% eingesetzt.
    Die quellfähigen Schichtsilikate besitzen die Eigenschaft, unter innerkristalliner Quellung polare Agenzien zwischen die Silicatlamellen zu intercalieren, was sich bei höheren Konzentrationen in einer Erhöhung des Schichtabstands bemerkbar macht.
    Vorzugsweise ist das erfindungsgemäss verwendete Tensid ein anionisches oder nichtionogenes Tensid.
    Als anionische Tenside kommen vorzugsweise Verbindungen in Betracht, die aus der Gruppe der
    • sauren Ester oder deren Salze von Alkylenoxidaddukten der Formel
      Figure 00040001
      worin
    • X den Säurerest einer anorganischen, Sauerstoff enthaltenden Säure, wie z.B. Schwefelsäure oder vorzugsweise Phosphorsäure, oder auch den Rest einer organischen Säure und
    • Y C1-C12-Alkyl, Aryl oder Aralkyl bedeuten,
    • "Alkylen" für den Ethylenrest oder Propylenrest steht, und
    • m 1 bis 4 und
    • n 4 bis 50 sind;
    • Polystyrolsulfonate,
    • Fettsäuretauride,
    • alkylierten Diphenyloxid-mono- oder di-sulfonate,
    • Sulfonate von Polycarbonsäureestern,
    • mit einer organischen Dicarbonsäure, oder einer anorganischen mehrbasischen Säure in einen sauren Ester übergeführte Anlagerungsprodukte von 1 bis 60, vorzugsweise 2 bis 30 Mol, Ethylenoxid und/oder Propylenoxid an Fettamine, Fettamide, Fettsäuren oder Fettalkohole je mit 8 bis 22 Kohlenstoffatomen oder an drei- bis sechswertige Alkanole mit 3 bis 6 Kohlenstoffatomen,
    • Ligninsulfonate und
    • Formaldehyd-Kondensationsprodukte ausgewählt sind.
    Als nichtionogene Tenside kommen vorzugsweise Fettalkohol-Ethoxylate der Formel (2)   R-O-(EO)y-H, in Betracht, worin
    R
    einen Kohlenwasserstoffrest von 10 bis 18, insbesondere 12 bis 18 Kohlenstoffatomen; oder einen Rest der Formel (2a)
    Figure 00050001
    EO
    eine Ethylenoxidgruppe;
    Y1
    C1-C12-Alkyl, Aryl oder Aralkyl;
    m1
    1 bis 4;
    und
    y
    eine Zahl von 2 bis 20, insbesondere von 3 bis 10;
    bedeuten.
    Weiterhin können als nichtionogene Tenside
    • Alkylenoxidaddukte an gesättigte oder ungesättigte 1-6-wertige aliphatische Alkohole, Fettsäuren, Fettamine, Fettamide, Diamine und Sorbitanester,
    • Alkylenoxid-Kondensationsprodukte (Blockpolymerisate),
    • Polymerisate von Vinylpyrrolidon, Vinylacetat oder Vinylalkohol und
    • Co- oder Terpolymere von Vinylpyrrolidon mit Vinylacetat und/oder Vinylalkohol erfindungsgemäss eingesetzt werden.
    Es können auch gezielt Mischungen aus den oben genannten anionischen und nichtionogenen Tensiden hergestellt und erfindungsgemäss verwendet werden.
    Bevorzugt werden nichtionogene Tenside der Formel (2) eingesetzt, worin
    R
    C12-C15-Alkyl; oder einen Rest der Formel (2a); und
    y
    3 bis 10;
    bedeuten.
    Die Fettalkohol-Ethoxylate werden zwischen den Schichten eingelagert. Die nichtionogenen Tenside, in denen die antimikrobiellen Wirksubstanzen löslich sind, begünstigen deren Transport zwischen den Lamellen des quellfähigen Schichtsilicats. Die antimikrobiellen Wirksubstanzen werden zwischen den Lamellen des Schichtsilicats intercaliert und so vor der Reaktion mit anderen Waschmittelbestandteilen geschützt.
    Die mit Tensiden und der antimikrobiellen Wirksubstanz intercalierten Schichtsilikate in Granulatform quellen in Wasser auf und geben die Tenside und antimikrobielle Wirksubstanz der Lösung in Wasser frei. Durch die Quellwirkung des Schichtsilicats-Agglomerats in Wasser werden die Agglomerate gesprengt und im Wasser verteilt.
    Bei den antimikrobiellen Wirksubstanzen handelt es sich um Verbindungen der Formel
    Figure 00060001
    worin
    X
    Sauerstoff, Schwefel oder -CH2-,
    Y
    Chlor oder Brom,
    Z
    SO2H,NO2 oder C1-C4-Alkyl,
    r
    0 bis 3,
    0
    0 bis 3,
    p
    0 oder 1,
    m
    0 oder 1 und
    n
    0 oder 1 bedeuten.
    Solche Verbindungen sind in WO-A-96/06153 beschrieben.
    Besonders interessant sind Verbindungen der Formel (3), worin
    X
    Sauerstoff, Schwefel oder -CH2- und
    Y
    Chlor oder Brom,
    m
    0,
    n
    0 oder 1,
    o
    1 oder 2,
    r
    1 oder 2 und
    p
    0
    bedeuten.
    Besonders interessante Diphenylether entsprechen der Formel
    Figure 00070001
    worin
    X
    -O- oder -CH2-;
    m
    1 bis 3; und
    n
    1 oder 2;
    bedeuten.
    Ganz besonders bevorzugt ist die Verbindung -2,4,4'-Trichloro-2-hydroxydiphenylether (Triclosan), entsprechend der Formel
    Figure 00070002
    oder die Verbindung der Formel
    Figure 00070003
    (Diclosan).
    Der erfindungsgemässe Waschmittelzusatz kann eine oder eine Mischung von mehreren antimikrobiellen Wirksubstanzen enthalten.
    Als Alkalisalze kommen insbesondere Alkalisulfat, Alkalicarbonat oder Alkali(poly)phosphat in Form ihrer Natrium- oder Kaliumsalze in Betracht. Ganz besonders bevorzugt ist Natriumsulfat.
    Das Alkalisalz erfüllt mehrere Funktionen: wird das Schichtsilikat mit dem Tensid agglomeriert, so erhält man ein weiches, mit zunehmendem Gehalt an Tensid klebriges Agglomerat, das nicht rieselfähig und nicht silierfähig ist. Durch die Anwesenheit des Alkalisalzes wird die mechanische Stabilität des Agglomerats verbessert und dessen Klebrigkeit vermindert. Ausserdem ist das Alkalisalz im Waschmittel als Builderkomponente erwünscht. Das Alkalisalz wird vorzugsweise in Mengen von etwa 10 bis 40 Gew.%, insbesondere von ca. 12 bis 30 Gew.% verwendet.
    Wegen der hygroskopischen Eigenschaften des Tensids können die Agglomerat-Teilchen des erfindungsgemässen Waschmittelzusatzes vorzugsweise mit synthetischem Zeolith oder schichtförmigem Natriumsilicat umhüllt werden, wodurch die Rieselfähigkeit der Agglomerat-Teilchen. verbessert wird. Die Umhüllung mit Zeolith oder schichtförmigem Natriumsilicat verbessert weiterhin den Weissgrad des Agglomerats.
    Das Agglomerat hat vorzugsweise eine Schüttdichte von mehr als 700 g/l und ist aufgrund dieser hohen Schüttdichte mit hochkonzentrierten Waschmitteln mit hoher Dichte kompatibel.
    Gegenstand der vorliegenden Erfindung ist weiterhin ein Verfahren zur Herstellung des vorstehend beschriebenen Waschmittelzusatzes in Agglomeratform. Das Verfahren ist dadurch gekennzeichnet, dass man
  • (a) die antimikrobielle Wirksubstanz als wässrige Dispersion gleichzeitig mit dem Tensid zu dem Schichtsilikat gibt oder
  • (b) mindestens einen Teil der antimikrobiellen Wirksubstanz zuvor in dem Tensid löst und die Lösung dem Schichtsilicat zusetzt.
  • Vorzugsweise mischt man das quellfähige Schichtsilikat vor der Zugabe der antimikrobiellen Wirksubstanz/Tensids mit dem Alkalisalz.
    Die Pulverkomponenten können z.B. in einem Intensivmischer, z.B. in einem Eirich-Mischer miteinander gemischt werden. Anschliessend werden gleichzeitig oder nacheinander die antimikrobielle Wirksubstanz (bevorzugt als wässrige Dispersion) und das Tensid unter Durchwirbelung zu der Pulverkomponente gegeben. Hierbei bildet sich ein Agglomerat, welches bei niedriger Mischgeschwindigkeit mit dem Zeolith oder einem schichtförmigen Natriumsilicat abgepudert wird. Das entstandene Agglomerat wird gesiebt und kann durch Zugabe von weiterem Zeolith (insbesondere Zeolith P) oder schichtförmigem Natriumsilicat in Pulverform oberflächlich zur Verringerung der Klebrigkeit beschichtet werden.
    Das erhaltene Agglomerat ist in Wasser gut dispergierbar. Die antimikrobielle Wirksub stanz ist vor den im Waschmittel enthaltenen Oxidationsmitteln geschützt und nach der Auflösung des Agglomerats in der Waschlauge verfügbar.
    Gegenstand der vorliegenden Erfindung ist ferner ein Waschmittel, enthaltend den vorstehend beschriebenen Waschmittelzusatz neben üblichen Waschmittelkomponenten, wie anionische und nichtionogene Tenside, Gerüstsubstanzen (Builder), Polymere (Co-Builder), Vergrauungsinhibitoren, Bleichmittel und Bleichmittelaktivatoren, Enzyme, Schauminhibitoren, optische Aufheller sowie Duftstoffe und/oder Farbstoffe.
    Das bevorzugte Herstellungsverfahren ist nachfolgend beschrieben.
    Das pulverförmige Schichtsilikat und das pulverförmige Natriumsalz werden intensiv vorgemischt. Unter intensiver Durchwirbelung der Pulvermischung wird das Tensid oder eine Lösung des Tensids zugegeben. Gleichzeitig wird die antimikrobielle Wirksubstanz bzw. ein Gemisch verschiedener antimikrobieller Wirksubstanzen als wässrige Dispersion (slurry) zugegeben. Alternativ kann eine Lösung der antimikrobiellen Wirksubstanz in einer Tensidlösung zu dem Pulvergemisch gegeben werden.
    Wird die antimikrobielle Wirksubstanz als wässrige Dispersion zugegeben, so agglomeriert die Mischung bei einem Wassergehalt von etwa 20 bis 30 Gew.%, bezogen auf die Gesamtmischung. Nach einer Mischzeit von ca. 2 bis 5 Minuten erhält man ein Agglomerat, das in einem geeigneten Trockner, vorzugsweise in einem Fliessbetttrockner auf einen Restwassergehalt von ca. 2 bis 15 Gew.%, vorzugsweise von ca. 5 bis 10 Gew.% getrocknet wird. Das erhaltene Agglomerat wird mit einer Siebmaschine auf eine Teilchengrösse von ca. 0,2 bis 2,5 mm, vorzugsweise von 0,5 bis 1,7 mm gesiebt. Die Fraktion <0,2 mm wird erneut der Agglomeration zugeführt. Entstehendes grobes Korn wird mit einem Walzenbrecher zerkleinert und erneut auf die Siebanlage gegeben.
    Wird ein Teil der antimikrobiellen Wirksubstanz mit dem Tensid zu dem Pulvergemisch gegeben, so wird zunächst die antimikrobielle Wirksubstanz in Pulverform im Tensid gelöst. Das Gewichtsverhältnis zwischen Tensid und antimikrobieller Wirksubstanz kann 15:2 bis 4:10, vorzugsweise 10:3 bis 10:8 betragen. Die Lösung bzw. Dispersion der antimikrobiellen Wirksubstanz im Tensid wird unter intensiver Durchwirbelung zum Pulver gegeben, wobei gleichzeitig weitere Anteile der antimikrobiellen Wirksubstanz in wässriger Dispersion zugegeben werden.
    Nach einer Mischzeit von ca. 2 bis 5 Minuten bildet sich ein Agglomerat, welches jedoch durch die Anwesenheit des Tensids etwas klebrig sein kann und deshalb zu Anbackungen neigt. Durch Zugabe von ca. 0,5 bis 5 Gew.% eines synthetischen Zeoliths oder eines feinkörnigen Natriumsilicats (z.B. des Handelsprodukts SKS 6 der Firma Hoechst AG) während der letzten 30 Sekunden des Agglomerationsprozesses wird die Klebrigkeit des Agglomerats soweit herabgesetzt, dass das Agglomerat im Fliessbett getrocknet und wie beschrieben, abgesiebt werden kann.
    Als zusätzlicher Schritt kann das abgesiebte Agglomerat in einen Trommelmischer (z.B. einem Trommelmischer der Firma Telschig) oder einen Granulierteller gegeben werden. Dann werden ca. 3 bis 15 Gew.%, vorzugsweise ca. 5 bis 10 Gew.% eines synthetischen Zeoliths oder eines synthetischen Schichtsilikats in feinkörniger Form zugegeben. Die mittlere Teilchengrösse dieses Pulvers soll vorzugsweise <20 µm, insbesondere 3 bis 10 µm betragen. Beim Mischen des Agglomerats mit dem Pulver lagert sich letzteres an der äusseren Oberfläche des Agglomerats an.
    Der so hergestellte erfindungsgemässe Waschmittelzusatz hat eine Schüttdichte, die grösser ist als 700 g/l, so dass er mit Waschmitteln hoher Schüttdichte kompatibel ist. Durch die Quellwirkung des im Waschmittelzusatz enthaltenen Schichtsilikats zerfallen die Agglomerate rasch in Wasser. Die Aktivkomponenten Tensid und antimikrobielle Wirksubstanz sind damit im Waschmittel verfügbar. Durch die Anwesenheit von Schichtsilikat und Alkalisalz ist das Agglomerat mechanisch stabil. Das Agglomerat lässt sich nachträglich dem Waschmittel beimischen, wodurch wesentliche Teile der Waschmittel-Produktionsanlage nicht mit der antimikrobiellen Wirksubstanz kontaminiert werden.
    Ein weiterer Vorteil des erfindungsgemässen Waschmittelzusatzes besteht darin, dass durch das Aufbringen auf einen Träger die Dosiergenauigkeit der Wirksubstanz bei der Waschmittelherstellung erhöht wird.
    Die nachfolgenden Beispiele erläutern die Erfindung, ohne sie auf diese zu beschränken.
    Herstellung des erfindungsgemässen Waschmittelzusatzes Beispiel 1:
    60 g Bentonit werden mit
    20,0 g Natriumsulfat (wasserfrei) in einem Mixerglas mit Flügelrüher ca. 2 min verrührt. Innerhalb einer Minute lässt man eine Lösung aus
    20,1 g einer 15%igen Lösung von Triclosan in C12-C15-Oxoalkoholethoxylat mit 5 Ethylenoxideinheiten zutropfen. Das zum Teil körnige Gemisch wird für ca. 1,5 Minuten im Mixer gut gemischt, wobei es sich stark erwärmt. Jetzt gibt man
    8,1 g deionisiertes Wasser tropfenweise über das Loch im Mixerglas hinzu und vermengt die Masse gut. Es entsteht ein gräuliches Granulat.
    Das Muster wird 4 Stunden bei 65°C im Vakuum getrocknet und anschliessend über 3 Siebe mit Maschenweiten von 2, 1 und 0,5 mm gesiebt.
    Beispiel 2
    60 g Bentonit werden mit
    20,0 g Natriumsulfat (wasserfrei) in einem Mixerglas mit Flügelrüher ca. 2 min verrührt. Innerhalb einer Minute lässt man eine Lösung aus
    20,1 g einer 15%igen Lösung von Triclosan in Nonylphenylethoxylat mit 6,5 Ethylenoxideinheiten zutropfen. Das zum Teil körnige Gemisch wird für ca. 1,5 Minuten im Mixer gut gemischt, wobei es sich stark erwärmt.
    Jetzt gibt man
    5,4 g deionisiertes Wasser tropfenweise über das Loch im Mixerglas hinzu und vermengt die Masse gut. Es entsteht ein gräuliches Granulat.
    Das Muster wird 4 Stunden bei 65°C im Vakuum getrocknet und anschliessend über 3 Siebe mit Maschenweiten von 2, 1 und 0,5 mm gesiebt.
    Beispiel 3
    60 g Bentonit werden mit
    20,0 g Natriumsulfat (wasserfrei) in einem Mixerglas mit Flügelrüher ca. 2 min verrührt. Innerhalb einer Minute lässt man eine Lösung aus
    20,1 g einer 15%igen Lösung von Triclosan in C12-C15-Oxoalkoholethoxylat mit 5 Ethylenoxideinheiten zutropfen. Das zum Teil körnige Gemisch wird für ca. 1,5 Minuten im Mixer gut gemischt, wobei es sich stark erwärmt. Jetzt gibt man
    8,1g deionisiertes Wasser tropfenweise über das Loch im Mixerglas hinzu und vermengt die Masse gut. Es entsteht ein gräuliches Granulat.
    Das Muster wird 4 Stunden bei 65°C im Vakuum getrocknet und anschliessend über 3 Siebe mit Maschenweiten von 2, 1 und 0,5 mm gesiebt.
    Beispiel 4
    60 g Bentonit werden mit
    20,0 g Natriumsulfat (wasserfrei) in einem Mixerglas mit Flügelrüher ca. 2 min verrührt. Innerhalb einer Minute lässt man eine Lösung aus
    20,0 g einer 15%igen Lösung von Triclosan in Nonylphenylethoxylat mit 6,5 Ethylenoxideinheiten zutropfen. Das zum Teil körnige Gemisch wird für ca. 1,5 Minuten im Mixer gut gemischt, wobei es sich stark erwärmt. Jetzt gibt man
    5,4 g deionisiertes Wasser tropfenweise über das Loch im Mixerglas hinzu und vermengt die Masse gut. Es entsteht ein gräuliches Granulat.
    Das Muster wird 4 Stunden bei 65°C im Vakuum getrocknet und anschliessend über 3 Siebe mit Maschenweiten von 2, 1 und 0,5 mm gesiebt.
    Beispiele 5 bis 10: Man verfährt wie in den Beispielen 1 bis 4 beschreiben, verwendet aber anstelle von Triclosan die folgenden Verbindungen:
    Beispiel antimikrobielle Wirksubstanz
    5 Diclosan (Verbindung der Formel (6))
    6 Dichlorophen
    Beispiel 7: Bestimmung der Oxidationsstabilität von Triclosan in verschiedenen Triclosan-Bentonit-Compound/Waschmittelmischungen
    Durchführung: Zur Herstellung einer Waschmittelformulierung werden die in den Beispielen 1 bis 4 hergestellten Waschmittelzusätze eingesetzt.
    Die einzelnen Waschmittelzusätze werden trocken mit einer Standard-Waschmittelmischung gemischt, ebenso wird eine Referenzmischung Triclosan/Standardwaschmittel hergestellt. Die so hergestellten Waschmittel haben folgende Zusammensetzung:
    x %
    Waschmittelzusatz
    12 %
    Na-Perborat x 1 H2O
    3 %
    TAED
    ad 100% ECE (= Standardwaschmittel der Firma Henkel)
    Dieses Waschmittel hat folgende Zusammensetzung (%):
    Lineares Na-alkylbenzolsulfonat 8,0 Mg-silikat 1,9
    Talgalkohol-tetradekan-ethylenglykolether 2,9 Carboxymethylcellulose 1,2
    Na-Seife 3,5 EDTA 0,2
    Na-triphosphat 43,8 Na-sulfat 21,2
    Na-silikat 7,5 Wasser 9,8
    Die Referenzmischung hat folgende Zusammensetzung
    0.15 % Triclosan
    12 % Na-Perborat x 1 H2O
    3 % TAED
    ECE ad 100%.
    Der Sollgehalt an Triclosan in den Waschmittelzusammensetzungen wurde vor Testbeginn analytisch bestimmt.
    Waschmittelzusatz gem Beispiel Menge [%] Triclosan-Startwert [%] Triclosan nach 4 Wochen/60°C [%]
    1 5,8 0,16 0,07
    2 6,2 0,17 0,08
    3 7,3 0,20 0,13
    4 8,1 0,21 0,13
    Referenz -- 0,15 0,006
    Die Ergebnisse zeigen, dass die den erfindungsgemässen Waschmittelzusatz enthaltenden Waschmittel signifikant höhere Konzentrationen an antimikrobieller Wirksubstanz (Triclosan) aufweisen und damit wesentlich lagerstabiler sind als Waschmittel, die die antimikrobielle Wirksubstanz tel. quel. enthalten.

    Claims (14)

    1. Waschmittelzusatz in Agglomeratform, dadurch gekennzeichnet, dass er mindestens ein quellfähiges Schichtsilikat, eine antimikrobielle Wirksubstanz der Formel
      Figure 00150001
      worin
      X
      Sauerstoff, Schwefel oder -CH2-,
      Y
      Chlor oder Brom,
      Z
      SO2H, NO2 oder C1-C4-Alkyl,
      r
      0 bis 3,
      o
      0 bis 3,
      p
      0 oder 1,
      m
      0 oder 1 und
      n
      0 oder 1 bedeuten,
      und ein Tensid enthält.
    2. Waschmittelzusatz nach Anspruch 1, dadurch gekennzeichnet, dass er zusätzlich ein Alkalisalz enthält.
    3. Waschmittelzusatz nach Anspruch 1 oder 2, dadurch gekennzeichnet, dass er
      (a) 5 bis 60 Gew.% quellfähiges Schichtsilikat;
      (b) 5 bis 35 Gew.% Tensid;
      (c) 0,1 bis 20 Gew.% einer antimikrobiellen Wirksubstanz; und
      (c) 0 bis 60 Gew.% Alkalisalz;
      enthält.
    4. Waschmittelzusatz nach einem der Ansprüche 1 bis 3, dadurch gekennzeichnet, dass er als quellfähiges Schichtsilikat ein natürliches oder synthetisches Tonmineral oder ein synthetisches schichtförmiges Natriumsilikat enthält.
    5. Waschmittelzusatz nach einem der Ansprüche 1 bis 4, dadurch gekennzeichnet, dass das Schichtsilikat in einer Menge von 10 bis 50 Gew.% eingesetzt wird.
    6. Waschmittelzusatz nach einem der Ansprüche 1 bis 5, dadurch gekennzeichnet, dass das Tensid aus der Gruppe der anionischen und nichtionogenen Tenside ausgewählt ist.
    7. Waschmittelzusatz nach einem der Ansprüche 1 bis 6, dadurch gekennzeichnet, dass als nichtionogene Tenside Fettalkohol-Ethoxylate der Formel (2)   R-O-(EO)y-H, in Betracht kommen, worin
      R
      ein Kohlenwasserstoffrest von 10 bis 18, insbesondere 12 bis 18 Kohlenstoffatomen; oder ein Rest der Formel (2a)
      Figure 00160001
      EO
      eine Ethylenoxidgruppe;
      Y1
      C1-C12-Alkyl, Aryl oder Aralkyl;
      m1
      1 bis 4;
      und
      y
      eine Zahl von 2 bis 20, insbesondere von 3 bis 10;
      bedeuten.
    8. Waschmittelzusatz nach Anspruch 7, dadurch gekennzeichnet, dass als nichtionogenes Tensid eine Verbindung der Formel (2) eingesetzt wird, worin
      R
      C12-C15-Alkyl; oder einen Rest der Formel (2a); und
      y
      3 bis 10;
      bedeuten.
    9. Waschmittelzusatz nach Anspruch 8, dadurch gekennzeichnet, dass als antimikrobielle Wirksubstanz die Verbindung der Formel (3) verwendet wird, worin
      X
      Sauerstoff, Schwefel oder -CH2- und
      Y
      Chlor oder Brom,
      m
      0,
      n
      0 oder 1,
      o
      1 oder 2,
      r
      1 oder 2 und
      p
      0
      bedeuten.
    10. Waschmittelzusatz nach Anspruch 1, dadurch gekennzeichnet, dass als antimikrobielle Wirksubstanz die Verbindung der Formel
      Figure 00170001
      verwendet wird, worin
      X
      -O- oder -CH2-;
      m
      1 bis 3; und
      n
      1 oder 2;
      bedeuten.
    11. Waschmittelzusatz nach Anspruch 10, dadurch gekennzeichnet, dass die Verbindung der Formel
      Figure 00180001
      verwendet wird.
    12. Waschmittelzusatz nach Anspruch 10, dadurch gekennzeichnet, dass die Verbindung der Formel
      Figure 00180002
      verwendet wird.
    13. Waschmittelzusatz nach einem der Ansprüche 1 bis 12, dadurch gekennzeichnet, dass er als Alkalisalz Alkalisulfat enthält.
    14. Verfahren zur Herstellung des Waschmittelzusatzes nach Anspruch 1, dadurch gekennzeichnet, dass man
      (a) die antimikrobielle Wirksubstanz als wässrige Dispersion gleichzeitig mit dem Tensid zu dem Schichtsilikat gibt oder
      (b) mindestens einen Teil der antimikrobiellen Wirksubstanz zuvor in dem Tensid löst und die Lösung dem Schichtsilicat zusetzt.
    EP19980810888 1997-09-17 1998-09-08 Antimikrobieller Waschmittelzusatz Expired - Lifetime EP0903401B1 (de)

    Priority Applications (1)

    Application Number Priority Date Filing Date Title
    EP19980810888 EP0903401B1 (de) 1997-09-17 1998-09-08 Antimikrobieller Waschmittelzusatz

    Applications Claiming Priority (3)

    Application Number Priority Date Filing Date Title
    EP97810672 1997-09-17
    EP97810672 1997-09-17
    EP19980810888 EP0903401B1 (de) 1997-09-17 1998-09-08 Antimikrobieller Waschmittelzusatz

    Publications (2)

    Publication Number Publication Date
    EP0903401A1 EP0903401A1 (de) 1999-03-24
    EP0903401B1 true EP0903401B1 (de) 2003-08-06

    Family

    ID=26148066

    Family Applications (1)

    Application Number Title Priority Date Filing Date
    EP19980810888 Expired - Lifetime EP0903401B1 (de) 1997-09-17 1998-09-08 Antimikrobieller Waschmittelzusatz

    Country Status (1)

    Country Link
    EP (1) EP0903401B1 (de)

    Families Citing this family (4)

    * Cited by examiner, † Cited by third party
    Publication number Priority date Publication date Assignee Title
    CA2431360A1 (en) * 2000-12-14 2002-06-20 Ciba Specialty Chemicals Holding Inc. Surface-active compositions
    JP2007530499A (ja) * 2004-03-23 2007-11-01 チバ スペシャルティ ケミカルズ ホールディング インコーポレーテッド 殺菌洗剤組成物
    WO2006097238A1 (en) * 2005-03-16 2006-09-21 Unilever Plc A soap composition
    WO2007096053A1 (en) 2006-02-24 2007-08-30 Unilever Plc Fast release granules

    Family Cites Families (7)

    * Cited by examiner, † Cited by third party
    Publication number Priority date Publication date Assignee Title
    GB2182051A (en) * 1985-09-10 1987-05-07 Interox Chemicals Ltd Stabilisation of peroxyacids in detergent compositions containing nonionic surfactant
    DE3822479A1 (de) * 1988-07-02 1990-02-08 Henkel Kgaa Waschmitteladditiv mit verbessertem einspuelverhalten
    GB8823008D0 (en) * 1988-09-30 1988-11-09 Unilever Plc Composition for softening fabrics
    DE4009618A1 (de) * 1990-03-26 1991-10-02 Henkel Kgaa Spruehgetrocknetes, avivierend wirkendes waschmitteladditiv
    MX9701416A (es) * 1994-08-25 1997-05-31 Ciba Sc Holding Ag Formulaciones de actividad superficial.
    DE19538028A1 (de) * 1995-10-12 1997-04-17 Sued Chemie Ag Waschmittelzusatz
    JPH09194899A (ja) * 1996-01-22 1997-07-29 Lion Corp 粒状ノニオン洗剤組成物及びその製造方法

    Also Published As

    Publication number Publication date
    EP0903401A1 (de) 1999-03-24

    Similar Documents

    Publication Publication Date Title
    DE2820990C2 (de)
    EP1017776B1 (de) Bleichaktivator-granulate
    EP1017773B1 (de) Gecoatete ammoniumnitril-bleichaktivatorgranulate
    DE69226029T2 (de) Waschmittel und Verfahren zu ihrer Herstellung
    DE68911053T2 (de) Waschmittel.
    DE3012922A1 (de) Bleich- und reinigungsmittel
    AT394380B (de) Teilchenfoermiges und weichmachendes grobwaschmittel fuer textilien, verfahren zu seiner herstellung, agglomerierte bentonitteilchen fuer das waschmittel und verfahren zu ihrer herstellung
    DE60315668T2 (de) Waschmittelteilchen
    CH617959A5 (en) Detergent composition in the form of free-flowing hollow beads and process for the production thereof
    AT394379B (de) Teilchenfoermiges waschmittelprodukt
    JPH11166197A (ja) 抗菌性洗剤添加物
    EP0425804B1 (de) Körniges, nichtionische Tenside enthaltendes Additiv für Wasch- und Reinigungsmittel mit verbessertem Einspülverhalten
    EP0903401B1 (de) Antimikrobieller Waschmittelzusatz
    EP0544670B1 (de) Sprühgetrocknetes, avivierend wirkendes waschmitteladditiv
    EP0623593A2 (de) Verfahren zur Neutralisation der Säureform von anionischen Tensiden, danach erhaltene Agglomerate und Waschmittel
    DE3516548A1 (de) Teilchenfoermiges waschmittelprodukt mit einem gehalt an builder und nichtionischem tensid
    DE2722698C2 (de) Phosphatfreies granuliertes Waschmittel
    DE3943019A1 (de) Granulares, avivierend wirkendes waschmitteladditiv und verfahren zu seiner herstellung
    DE3614779A1 (de) Granulares, phosphatfreies wasserenthaertungsmittel
    EP0633923B1 (de) Granulares, nichtionische tenside enthaltendes, phosphatfreies additiv für wasch- und reinigungsmittel
    EP0856046B1 (de) Waschmittelzusatz
    EP0022998B1 (de) Verfahren zur Herstellung eines schaumgedämpften Waschmittels
    DE2539071B2 (de)
    EP1347037B1 (de) Waschmittelzusatz mit hohem Gehalt an nichtionischen Tensiden und schnellem Auflösevermögen
    DE19501117A1 (de) Bleichendes Waschmittel in Granulatform

    Legal Events

    Date Code Title Description
    PUAI Public reference made under article 153(3) epc to a published international application that has entered the european phase

    Free format text: ORIGINAL CODE: 0009012

    AK Designated contracting states

    Kind code of ref document: A1

    Designated state(s): AT BE CH DE ES FR GB GR IT LI NL PT

    AX Request for extension of the european patent

    Free format text: AL;LT;LV;MK;RO;SI

    17P Request for examination filed

    Effective date: 19990820

    AKX Designation fees paid

    Free format text: AT BE CH DE ES FR GB GR IT LI NL PT

    17Q First examination report despatched

    Effective date: 20020125

    GRAH Despatch of communication of intention to grant a patent

    Free format text: ORIGINAL CODE: EPIDOS IGRA

    GRAH Despatch of communication of intention to grant a patent

    Free format text: ORIGINAL CODE: EPIDOS IGRA

    GRAA (expected) grant

    Free format text: ORIGINAL CODE: 0009210

    AK Designated contracting states

    Designated state(s): AT BE CH DE ES FR GB GR IT LI NL PT

    PG25 Lapsed in a contracting state [announced via postgrant information from national office to epo]

    Ref country code: NL

    Free format text: LAPSE BECAUSE OF FAILURE TO SUBMIT A TRANSLATION OF THE DESCRIPTION OR TO PAY THE FEE WITHIN THE PRESCRIBED TIME-LIMIT

    Effective date: 20030806

    REG Reference to a national code

    Ref country code: GB

    Ref legal event code: FG4D

    Free format text: NOT ENGLISH

    REG Reference to a national code

    Ref country code: CH

    Ref legal event code: EP

    GBT Gb: translation of ep patent filed (gb section 77(6)(a)/1977)

    Effective date: 20030806

    PG25 Lapsed in a contracting state [announced via postgrant information from national office to epo]

    Ref country code: AT

    Free format text: LAPSE BECAUSE OF NON-PAYMENT OF DUE FEES

    Effective date: 20030908

    REF Corresponds to:

    Ref document number: 59809191

    Country of ref document: DE

    Date of ref document: 20030911

    Kind code of ref document: P

    PG25 Lapsed in a contracting state [announced via postgrant information from national office to epo]

    Ref country code: LI

    Free format text: LAPSE BECAUSE OF NON-PAYMENT OF DUE FEES

    Effective date: 20030930

    Ref country code: CH

    Free format text: LAPSE BECAUSE OF NON-PAYMENT OF DUE FEES

    Effective date: 20030930

    Ref country code: BE

    Free format text: LAPSE BECAUSE OF NON-PAYMENT OF DUE FEES

    Effective date: 20030930

    PG25 Lapsed in a contracting state [announced via postgrant information from national office to epo]

    Ref country code: GR

    Free format text: LAPSE BECAUSE OF FAILURE TO SUBMIT A TRANSLATION OF THE DESCRIPTION OR TO PAY THE FEE WITHIN THE PRESCRIBED TIME-LIMIT

    Effective date: 20031106

    NLV1 Nl: lapsed or annulled due to failure to fulfill the requirements of art. 29p and 29m of the patents act
    PG25 Lapsed in a contracting state [announced via postgrant information from national office to epo]

    Ref country code: PT

    Free format text: LAPSE BECAUSE OF FAILURE TO SUBMIT A TRANSLATION OF THE DESCRIPTION OR TO PAY THE FEE WITHIN THE PRESCRIBED TIME-LIMIT

    Effective date: 20040106

    BERE Be: lapsed

    Owner name: *CIBA SPECIALTY CHEMICALS HOLDING INC.

    Effective date: 20030930

    REG Reference to a national code

    Ref country code: ES

    Ref legal event code: FG2A

    Ref document number: 2203916

    Country of ref document: ES

    Kind code of ref document: T3

    ET Fr: translation filed
    REG Reference to a national code

    Ref country code: CH

    Ref legal event code: PL

    PLBE No opposition filed within time limit

    Free format text: ORIGINAL CODE: 0009261

    STAA Information on the status of an ep patent application or granted ep patent

    Free format text: STATUS: NO OPPOSITION FILED WITHIN TIME LIMIT

    26N No opposition filed

    Effective date: 20040507

    PGFP Annual fee paid to national office [announced via postgrant information from national office to epo]

    Ref country code: GB

    Payment date: 20140929

    Year of fee payment: 17

    PGFP Annual fee paid to national office [announced via postgrant information from national office to epo]

    Ref country code: IT

    Payment date: 20140925

    Year of fee payment: 17

    PGFP Annual fee paid to national office [announced via postgrant information from national office to epo]

    Ref country code: FR

    Payment date: 20140929

    Year of fee payment: 17

    Ref country code: ES

    Payment date: 20141024

    Year of fee payment: 17

    Ref country code: DE

    Payment date: 20141128

    Year of fee payment: 17

    REG Reference to a national code

    Ref country code: DE

    Ref legal event code: R119

    Ref document number: 59809191

    Country of ref document: DE

    PG25 Lapsed in a contracting state [announced via postgrant information from national office to epo]

    Ref country code: IT

    Free format text: LAPSE BECAUSE OF NON-PAYMENT OF DUE FEES

    Effective date: 20150908

    GBPC Gb: european patent ceased through non-payment of renewal fee

    Effective date: 20150908

    REG Reference to a national code

    Ref country code: FR

    Ref legal event code: ST

    Effective date: 20160531

    PG25 Lapsed in a contracting state [announced via postgrant information from national office to epo]

    Ref country code: GB

    Free format text: LAPSE BECAUSE OF NON-PAYMENT OF DUE FEES

    Effective date: 20150908

    Ref country code: DE

    Free format text: LAPSE BECAUSE OF NON-PAYMENT OF DUE FEES

    Effective date: 20160401

    PG25 Lapsed in a contracting state [announced via postgrant information from national office to epo]

    Ref country code: FR

    Free format text: LAPSE BECAUSE OF NON-PAYMENT OF DUE FEES

    Effective date: 20150930

    REG Reference to a national code

    Ref country code: ES

    Ref legal event code: FD2A

    Effective date: 20161028

    PG25 Lapsed in a contracting state [announced via postgrant information from national office to epo]

    Ref country code: ES

    Free format text: LAPSE BECAUSE OF NON-PAYMENT OF DUE FEES

    Effective date: 20150909