EP0678166B1 - Steuereinrichtung für eine füllgrad-verstellpumpe - Google Patents
Steuereinrichtung für eine füllgrad-verstellpumpe Download PDFInfo
- Publication number
- EP0678166B1 EP0678166B1 EP94930902A EP94930902A EP0678166B1 EP 0678166 B1 EP0678166 B1 EP 0678166B1 EP 94930902 A EP94930902 A EP 94930902A EP 94930902 A EP94930902 A EP 94930902A EP 0678166 B1 EP0678166 B1 EP 0678166B1
- Authority
- EP
- European Patent Office
- Prior art keywords
- displacement
- valve
- control device
- pressure
- pump
- Prior art date
- Legal status (The legal status is an assumption and is not a legal conclusion. Google has not performed a legal analysis and makes no representation as to the accuracy of the status listed.)
- Expired - Lifetime
Links
- 238000006073 displacement reaction Methods 0.000 claims abstract description 118
- 239000012530 fluid Substances 0.000 claims description 23
- 238000011144 upstream manufacturing Methods 0.000 claims description 8
- 230000003628 erosive effect Effects 0.000 claims 1
- 238000002347 injection Methods 0.000 abstract description 6
- 239000007924 injection Substances 0.000 abstract description 6
- 230000001771 impaired effect Effects 0.000 abstract 1
- 239000007788 liquid Substances 0.000 description 27
- 238000013016 damping Methods 0.000 description 21
- 230000008901 benefit Effects 0.000 description 13
- 238000013461 design Methods 0.000 description 12
- 239000007789 gas Substances 0.000 description 9
- 230000000694 effects Effects 0.000 description 7
- 238000009826 distribution Methods 0.000 description 6
- 238000000034 method Methods 0.000 description 5
- 230000008569 process Effects 0.000 description 5
- 230000002349 favourable effect Effects 0.000 description 4
- 238000005429 filling process Methods 0.000 description 4
- 238000004519 manufacturing process Methods 0.000 description 4
- 230000036316 preload Effects 0.000 description 4
- 238000012549 training Methods 0.000 description 3
- 230000009471 action Effects 0.000 description 2
- 230000015572 biosynthetic process Effects 0.000 description 2
- 238000002485 combustion reaction Methods 0.000 description 2
- 230000006835 compression Effects 0.000 description 2
- 238000007906 compression Methods 0.000 description 2
- 238000010276 construction Methods 0.000 description 2
- 230000006837 decompression Effects 0.000 description 2
- 230000007423 decrease Effects 0.000 description 2
- 230000001419 dependent effect Effects 0.000 description 2
- 239000002283 diesel fuel Substances 0.000 description 2
- 230000001133 acceleration Effects 0.000 description 1
- 238000013459 approach Methods 0.000 description 1
- 238000005520 cutting process Methods 0.000 description 1
- 239000000446 fuel Substances 0.000 description 1
- 239000000295 fuel oil Substances 0.000 description 1
- 230000010354 integration Effects 0.000 description 1
- 230000003993 interaction Effects 0.000 description 1
- 238000012423 maintenance Methods 0.000 description 1
- 238000007726 management method Methods 0.000 description 1
- 230000000737 periodic effect Effects 0.000 description 1
- 230000001105 regulatory effect Effects 0.000 description 1
- 229920006395 saturated elastomer Polymers 0.000 description 1
- 239000000243 solution Substances 0.000 description 1
- 230000001960 triggered effect Effects 0.000 description 1
Images
Classifications
-
- F—MECHANICAL ENGINEERING; LIGHTING; HEATING; WEAPONS; BLASTING
- F02—COMBUSTION ENGINES; HOT-GAS OR COMBUSTION-PRODUCT ENGINE PLANTS
- F02M—SUPPLYING COMBUSTION ENGINES IN GENERAL WITH COMBUSTIBLE MIXTURES OR CONSTITUENTS THEREOF
- F02M63/00—Other fuel-injection apparatus having pertinent characteristics not provided for in groups F02M39/00 - F02M57/00 or F02M67/00; Details, component parts, or accessories of fuel-injection apparatus, not provided for in, or of interest apart from, the apparatus of groups F02M39/00 - F02M61/00 or F02M67/00; Combination of fuel pump with other devices, e.g. lubricating oil pump
- F02M63/02—Fuel-injection apparatus having several injectors fed by a common pumping element, or having several pumping elements feeding a common injector; Fuel-injection apparatus having provisions for cutting-out pumps, pumping elements, or injectors; Fuel-injection apparatus having provisions for variably interconnecting pumping elements and injectors alternatively
- F02M63/0225—Fuel-injection apparatus having a common rail feeding several injectors ; Means for varying pressure in common rails; Pumps feeding common rails
-
- F—MECHANICAL ENGINEERING; LIGHTING; HEATING; WEAPONS; BLASTING
- F02—COMBUSTION ENGINES; HOT-GAS OR COMBUSTION-PRODUCT ENGINE PLANTS
- F02M—SUPPLYING COMBUSTION ENGINES IN GENERAL WITH COMBUSTIBLE MIXTURES OR CONSTITUENTS THEREOF
- F02M59/00—Pumps specially adapted for fuel-injection and not provided for in groups F02M39/00 -F02M57/00, e.g. rotary cylinder-block type of pumps
- F02M59/20—Varying fuel delivery in quantity or timing
- F02M59/34—Varying fuel delivery in quantity or timing by throttling of passages to pumping elements or of overflow passages, e.g. throttling by means of a pressure-controlled sliding valve having liquid stop or abutment
-
- F—MECHANICAL ENGINEERING; LIGHTING; HEATING; WEAPONS; BLASTING
- F02—COMBUSTION ENGINES; HOT-GAS OR COMBUSTION-PRODUCT ENGINE PLANTS
- F02M—SUPPLYING COMBUSTION ENGINES IN GENERAL WITH COMBUSTIBLE MIXTURES OR CONSTITUENTS THEREOF
- F02M59/00—Pumps specially adapted for fuel-injection and not provided for in groups F02M39/00 -F02M57/00, e.g. rotary cylinder-block type of pumps
- F02M59/20—Varying fuel delivery in quantity or timing
- F02M59/36—Varying fuel delivery in quantity or timing by variably-timed valves controlling fuel passages to pumping elements or overflow passages
- F02M59/365—Varying fuel delivery in quantity or timing by variably-timed valves controlling fuel passages to pumping elements or overflow passages valves being actuated by the fluid pressure produced in an auxiliary pump, e.g. pumps with differential pistons; Regulated pressure of supply pump actuating a metering valve, e.g. a sleeve surrounding the pump piston
-
- F—MECHANICAL ENGINEERING; LIGHTING; HEATING; WEAPONS; BLASTING
- F04—POSITIVE - DISPLACEMENT MACHINES FOR LIQUIDS; PUMPS FOR LIQUIDS OR ELASTIC FLUIDS
- F04B—POSITIVE-DISPLACEMENT MACHINES FOR LIQUIDS; PUMPS
- F04B49/00—Control, e.g. of pump delivery, or pump pressure of, or safety measures for, machines, pumps, or pumping installations, not otherwise provided for, or of interest apart from, groups F04B1/00 - F04B47/00
- F04B49/22—Control, e.g. of pump delivery, or pump pressure of, or safety measures for, machines, pumps, or pumping installations, not otherwise provided for, or of interest apart from, groups F04B1/00 - F04B47/00 by means of valves
- F04B49/225—Control, e.g. of pump delivery, or pump pressure of, or safety measures for, machines, pumps, or pumping installations, not otherwise provided for, or of interest apart from, groups F04B1/00 - F04B47/00 by means of valves with throttling valves or valves varying the pump inlet opening or the outlet opening
-
- F—MECHANICAL ENGINEERING; LIGHTING; HEATING; WEAPONS; BLASTING
- F02—COMBUSTION ENGINES; HOT-GAS OR COMBUSTION-PRODUCT ENGINE PLANTS
- F02B—INTERNAL-COMBUSTION PISTON ENGINES; COMBUSTION ENGINES IN GENERAL
- F02B3/00—Engines characterised by air compression and subsequent fuel addition
- F02B3/06—Engines characterised by air compression and subsequent fuel addition with compression ignition
-
- F—MECHANICAL ENGINEERING; LIGHTING; HEATING; WEAPONS; BLASTING
- F02—COMBUSTION ENGINES; HOT-GAS OR COMBUSTION-PRODUCT ENGINE PLANTS
- F02D—CONTROLLING COMBUSTION ENGINES
- F02D41/00—Electrical control of supply of combustible mixture or its constituents
- F02D41/30—Controlling fuel injection
- F02D41/38—Controlling fuel injection of the high pressure type
- F02D41/3809—Common rail control systems
-
- F—MECHANICAL ENGINEERING; LIGHTING; HEATING; WEAPONS; BLASTING
- F04—POSITIVE - DISPLACEMENT MACHINES FOR LIQUIDS; PUMPS FOR LIQUIDS OR ELASTIC FLUIDS
- F04B—POSITIVE-DISPLACEMENT MACHINES FOR LIQUIDS; PUMPS
- F04B2205/00—Fluid parameters
- F04B2205/06—Pressure in a (hydraulic) circuit
- F04B2205/062—Pressure in a (hydraulic) circuit before a throttle
-
- F—MECHANICAL ENGINEERING; LIGHTING; HEATING; WEAPONS; BLASTING
- F04—POSITIVE - DISPLACEMENT MACHINES FOR LIQUIDS; PUMPS FOR LIQUIDS OR ELASTIC FLUIDS
- F04B—POSITIVE-DISPLACEMENT MACHINES FOR LIQUIDS; PUMPS
- F04B2205/00—Fluid parameters
- F04B2205/08—Pressure difference over a throttle
Definitions
- the present invention relates to a control device for at least one displacement room Liquid displacement pump according to the preamble of Claim 1.
- EP-A-0 299 337 there is an injection system for Internal combustion engines described a high pressure positive displacement pump having. To at a constant pump speed the amount of hydraulic fluid delivered by the pump the inflow to the Displacement pump limited. A controlled one serves this purpose Throttle device, the upstream of the displacement space Pump is arranged in the supply line to the displacement chamber.
- Throttle device the upstream of the displacement space Pump is arranged in the supply line to the displacement chamber.
- the present invention is based on the object a control device that is inexpensive to manufacture to create the generic type, which at low Effort to create cavities or gas volumes at least in the flow path of the liquid to be pumped is able to avoid significantly.
- Control device can be the dependent claims remove.
- FIG. 1 shows a first possible embodiment of a control device for a pump with automatic inlet valves.
- the pump according to the schematic representation of FIG. 1 has three individual displacement pistons 9, of which only one can be seen in FIG. 1.
- the three displacers become driven by a rotary shaft 12 via respective eccentric 11, each eccentric 11 arranged in a lifting member 10 is that at the lower end of the associated piston 9th located.
- the rotary movement A of the eccentric 11 initiates in this case an oscillating movement B, wherein the piston 9 as Displacer in the displacement space 15 between the two Dead center positions C (bottom dead center) and D (top dead center) moved back and forth and triggers the periodic suction movement.
- the piston does not rise in any phase due to the lifting member 10 its movement from the eccentric 11 (positive displacement movement).
- the flow rate through each displacer is determined by a respective, upstream, throttling, spring-loaded 2/2-way valve 21 and by a Adjustment device 27, which in this example as Adjusting throttle 30 is formed, determined.
- the adjusting device 27 like the adjusting device 27a and 27b of the same design, is fed by a common line 32, which provides the liquid to be pumped, here diesel oil, with a pressure p2.
- the diesel fuel 2 comes from a liquid reservoir 1, where it is in contact with a gas 3 at a pressure p 1, here air at atmospheric pressure p1, at a contact surface 4.
- the liquid can become saturated with gas.
- the liquid initially flows through a system 7, in which preferably no further gas is to be added to the liquid. Since the pressure is to be increased from p1 to p2, a pressure-increasing device, ie a pressure source 8, is integrated in the system 7 in this example.
- the diesel liquid then flows in line 32 the three adjusting throttles 30, 30a, 30b and the associated throttles differential operated, throttling 2/2-way valves 21, 21a and 21b. Because of the continuity equation for incompressible media (which is only due to the absence of voids can be assumed) is the flow rate through each variable throttle and the 2/2-way valve assigned to it 21, 21a and 21b, respectively. From this arises Equilibrium state from the pressure p3 on the active surface 24 of the 2/2-way valve 21 on one side and a reservoir-like one Pressure p12 close to p1 on the active surface 23 the other side of the 2/2-way valve and from the Force of the spring 22 a.
- the variable throttles 30, 30a, 30b can theoretically be adjusted individually or be coordinated.
- valve active surfaces 24, 24a, 24b and the associated throttles 30, 30a, 30b the system has an inherent damping effect, which increases with greater throttling, which is important for the maintenance and reproducibility of the delivery characteristics (see FIGS. 10 and 11).
- the damping works by already having a slight overshoot of the throttling 2/2-way valves 21, 21a, 21b in the suddenly opening phase the volume increase generated by the product of surface 24, 24a, 24b and stroke difference in the connection 31, 31a, 31b Lowering of the pressure p 3 by a considerable ⁇ p 3 counteracting the overshoot - because of the low level of voids achieved according to the invention!
- the pressure difference operated throttling 2/2-way valves 21, 21a and 21b are each on in this exemplary embodiment its active surface 23 connected to the return 6, whereby the reservoir-like pressure p12 near p1 on the active surface 23 prevails.
- This arrangement has the advantage that the spring 22 - depending on Size of the area 23 - can be chosen very weak and less the pretensioning than the regulating Resetting the valve (21) against the opening pressure p3 serves on the other active surface 24, since with the pressure p12 the effective area 23 already a considerable part of the necessary bias and maybe even more.
- FIG. 2 shows a similar control device to FIG. 1 , with the difference that the pump inlet slots 35th has and only one central adjustment device 27 is provided is, which has an adjusting throttle 30. Pumps with In contrast to those, inlet slots can be used with As a rule, manufacture inlet valves more cheaply, while their application focus is less at the highest Press and thin fluid media.
- the low cost goal comes in this embodiment the central adjustment device 27, which is fundamentally a simple manual adjustment or an electric one Adjustment allowed.
- the single variable throttle 30 in the adjusting device 27 can be known in a conventional manner Represent way also inexpensively.
- the pressure difference p2-p3 through the variable throttle a pressure differential valve 40 connected in parallel independent of the flow rate, kept approximately constant, whereby themselves in the combination of the variable throttle 30 and Differential pressure valve 40 the effect of a flow control valve results.
- the simplicity, for all displacement elements 16, 16a, 16b to use the same variable throttle 30 results further advantages in this constellation with the inlet side Slit control of the pump.
- a first advantage is that the control cross section of the Throttle 30 for a certain speed and certain Relative displacement filling from the number of served displacement rooms as well from the brevity of the respective suction phases ago much larger than for example in the case of the individual chokes in the constellation 1 is. (Assumption of the same speed and the same relative filling).
- a second advantage is that due to the short suction phases and even phase displacement of the displacement movement a Overlap of the suction phases is relatively slight or not at all is available. (There is an overlap of the suction phases not present if the height of the opening 35 is so low is held that the swept area angular area of the eccentric 11 or the rotary shaft 12 during the release the opening 35 through the piston 9 a maximum of 360 ° / number Displacement elements).
- a third advantage arises when the release angle described a certain amount smaller than the 360 ° / number of displacement elements is. Then there are more or less short intermediate phases in which none of the displacement rooms sucks.
- the filling of the channel pieces 36, 36a, 36b between the respective 2/2-way valve 21, 21a, 21b and the respective Inlet cross sections 35 (35a, 35b covered, not visible in the drawing) can basically between the suction phases go on. This also helps in the channel pieces 36, 36a, 36b, d. H. up to the displacement space limit in the form of the Inlet cross section 35 at least one cavity cavity to reach.
- the pressure p 3 in the connecting channels can even rise to a maximum of p 2 , since no fluid is removed from the channel pieces 36, 36a, 36b by any suction element. This leads to a temporary larger opening of the 2/2-way valves and to an acceleration of the filling of the duct sections.
- Fig. 3 represents a particularly favorable form of training Control device of FIG. 1.
- the adjustment device 27 is even in this example connected to the pump by hose lines 41, 41a, 41b, what a remote control possibility of the pump over a multiple length of the characteristic pump dimension (e.g. Diameter with a radial piston pump).
- FIG. 3 shows a further possible and advantageous variant of the invention, as an additional Damper inherent to that described above in FIG. 1 Damping added.
- the damper shown is only an example for possible designs.
- the respective pressure difference actuators throttling 2/2-way valves 21 are in this Example connected to respective damping pistons 73, which. in respective cylinders 70 according to the movement of the Slider of the 2/2-way valves 21 are reciprocable.
- the effect of damping is due to the lack of voids.
- Attenuation chambers 71 and 72 are in the respective cylinders 70 on opposite sides of the respective damping piston 73 is formed.
- FIG. 4 and 5 show in cross section and in longitudinal section Particularly favorable design example of a pump with a control device according to the invention.
- the pump according to Fig. 4 and 5 is equipped with four displacement spaces 129a-d, the pairs above and below the drive shaft 110 are arranged.
- the displacement space 129b is in FIG. 5 not seen since he is behind the cutting plane (V-V in Fig. 4) is in the upper part of the drawing.
- the displacers 117 are by respective springs 135 in contact with two on the drive shaft 110 eccentrically mounted drive rings 114 in Kept in touch.
- the drive rings 114 are by means of Needle bearings 115 are rotatably mounted on eccentrics 113 offset from one another with the drive shaft 110 in a rotationally fixed manner are connected.
- the springs 135 for the respective displacement pistons 117 are supported on a plate-shaped abutment 116 at the end every single displacement piston and the drive ring 114 presses on the respective displacement piston 117 opposite sides of the spring abutment 116.
- the Rotation of the drive shaft 110 therefore causes the over their non-rotatably connected eccentric 113 and the rings 114 one
- the reciprocating piston 117, the Stroke movement of the upper displacement piston 117 offset by 180 ° to the lifting movement of the opposite lower one Displacement piston 117 takes place.
- the two eccentrics 113 are 90 ° offset from each other connected to the rotary shaft 110, so that the stroke phase difference of two arranged side by side Displacement piston 117, i.e. from the lower displacement pistons 117 in Fig. 5 and the upper displacement piston also 90 ° is. On the one hand, this contributes to the smooth running of the Pump, on the other hand, for an even supply of liquid at.
- the rotary shaft 110 is in the main housing 138 of the pump Ball bearing 136 and the roller bearing 137 rotatably supported.
- each displacement space 129a-d (of which the displacement space 129c is not shown) is a respective intake valve 134 and a respective outlet valve 118 are provided.
- the respective inlet and outlet valve pairs 134, 118, which too belong to the respective displacement spaces 129a-d are in respective housing parts 133a-133d housed in which also those that form the displacement spaces 129a-d and the recording the displacement piston 117 serving cylinder are.
- These housing parts 133a-d each have a cylindrical one Extension which is coaxial to the respective cylinder, i.e. arranged to the respective displacement piston 117 and in one corresponding cylinder bore of the main housing part 138 is used.
- each Housing part 133a-d and the housing 138 is one respective ring seal, so that the main housing 138 against Leak is sealed.
- the cylindrical extension of each Housing part 133a-d also has an annular shoulder, at the end facing away from the plate-shaped abutment 116 the respective spring 135 is supported. I.e. the ring shoulder forms another abutment for the spring 135.
- Each housing part 133a-133d is also provided with a respective one Valve cover 119a-d provided, the individual valve covers 119a-d a respective cylindrical recess 121 have coaxial with the cylindrical extension of the each assigned housing part 133a-d is arranged and a stem portion of intake valve 134 and those cooperating therewith Receives components that in Figs. 6A and 6B in are shown on an enlarged scale.
- the valve cover 119a-d and the housing parts 133a-d are continuous Screws shown in Fig. 5 with the Screwed crankcase 138.
- valve 150 provides in this embodiment the adjustable element that is used to control the pressure-differential operated, throttling 2/2-way valves, which in this embodiment through the respective intake valves 134 are formed with the associated parts, such as is described in more detail later.
- each Distribution route 130a-d are located in the respective Cylinder heads 119a-d respective oblique bores 127a-d, which open into the cylindrical spaces 121, whereby the oblique bores 127c and 127d are not shown.
- the hollow rotary slide valve 150 receives which in this example is an easily replaceable one Insert cartridge is formed in the direction of arrow E over a housing bore 132 liquid from a reservoir 1 with the pressure p2, as shown for example in FIG. 3 is.
- the fluid advances without significant pressure loss in the interior of the hollow rotary valve over one constantly open, sufficiently large inlet cross-section 156 Rotation of the hollow rotary valve, which is done by means of an electric Drive 158 (Fig.
- valve cartridge on the not shown The back of each chamber is symmetrically opposite have the same openings 155a-155d and 156 and the movable one Slider be made very thin-walled, so that the valve has the advantages of a valve according to DE-C 37 14 691.
- the pressure p3 in the distribution lines 130a to 130d becomes via the oblique bores 127a-d in the respective cylinder rooms 121 communicates and acts here across the cross-sectional area of the stem of the valve 134 in the opening direction on the Valve 134 on.
- valve 134 When valve 134 is closed the same pressure p3 also acts in the opening direction of the valve on the side of the valve head facing the chamber 134 a-d a.
- the two springs 125 and 126 practice one at this stage Closing force on the valve 134.
- valve 134 When enlarging the respective displacement room 129a-d by moving the respective displacer away from top dead center (OTP), prevails on the Positive side of valve 134 is a lower pressure than in the cylindrical spaces 121, 134a-d so that a total force on the Valve member 134 acts to open it leads. Both the strong spring 125 and also weak spring 126 is compressed. The ones below of the spring plate 126T escapes through the damping openings in the spring seat 126T and therefore slows the opening of the valve member 134.
- the height of the opening stroke of the valve member 134 and the Amount of fluid delivered to the head of valve member 134 flows into the displacement chamber 129 depends on the pressure p3 in the distribution line 130.
- valve 150 can be integrated into the pump construction to save space because there are 130a-d does not arrive.
- the formation of the valve 150 with elongated linear slots 155a-d allow a particularly good one Controllability of the pump down to the smallest delivery rates.
- poppet valves 134 as intake valves, which here at the same time as the pressure difference actuated according to the invention, throttling 2/2-way valves is in the Rule the cheaper option than using Slider valves, especially the displacement room has one Leakage path less, which is the case with pumps for highest pressures, low speeds and lowest viscosities (as in Connection with the common rail diesel injection) is particularly important if the highest levels of efficiency are achieved should be.
- the tightness of the intake seat valves 134 also affects the equal promotion of displacement space 129a-d to displacement space 129a-d positive because of leakage in generally has a high component tolerance. Also the General pump characteristics can be found in the Series production in designs with a seat valve is better adhere.
- Vibrations of the throttling valves can - like general vibrations - to spring breaks or, with seat valves, lead to increased wear or broken shaft, here these vibrations especially damage the Funding characteristic, which is thereby changed. Vibrations often arise randomly as a result of stochastically fluctuating Damping effects or suggestions. In such a case would stochastic flow rate fluctuations at the pump or hysteresis effects occur, both of which use which would complicate pumps for control purposes.
- valve damping is therefore the use of a Damper proposed on the throttling valve.
- the damping forces produce with simple piston dampers of known design also negative pressure, which in turn is used for the damping function can create harmful voids.
- Fig. 7 now shows some for throttle control elements Special features of the design of the throttling valves, for example the valves 30 in Fig. 1 or 150 in the 4 to 6.
- the pressure difference goes on the adjusting element with the root of the pressure difference in the metered amount of liquid.
- this pressure difference decreases with increasing Throttle valve opening.
- the use of a differential pressure valve 40 in Fig. 2 shows how this pressure difference can basically be kept constant by the Use of the differential pressure valve in parallel to the Pressure in front of the throttling valve can also be changed.
- FIGS. 8 shows the state for the full filling or conveying of the displacer spaces 15, FIG. 9 the state for half the filling or conveying of the displacer spaces 15 and FIG. 10 the state of not exactly zero conveying of the displacer spaces 15 as a function of the angle of rotation of the drive shaft, based on the top dead center OTP and the bottom dead center UTP of the respective displacement pistons 9.
- the free flow cross section A valve through the inlet valves 28 assumes the maximum value.
- the valves 28 (FIG. 1) are only partially open.
- the delivered volumes V correspond to the area under the volume flow functions. 10 shows the case in which the delivery is just O and the filling therefore also tends towards O.
- the displacers can be filled slightly to cover any piston leakage as a result of the compression / decompression.
- a minimal opening A suction (V ⁇ O) is therefore shown in FIG. 10.
- the duration of this opening extends approximately over the entire revolution, interrupted only by the relatively short compression / decompression phase. Similar courses arise for the further embodiments according to FIGS. 2, 3 and 4 to 6 and 13, 14, 15, 16 and 17.
- Fig. 12 shows the corresponding flow characteristics for slot-controlled pumps, as in the embodiment according to Fig. 2nd
- Fig. 13 shows an embodiment similar to Fig. 3, however with a different training of the pressure difference actuators throttling 2/2-way valves and with another Type of variable throttle actuation.
- the 2/2-way valves of the 13 each consist of an embodiment Ball 54, which by means of a spring 53 to a valve seat is pressed.
- the movement of the ball 54 with respect to the Valve seat in the open state of the valve depends on that pressure prevailing in the respective line 31, 31a and 31b p3, which makes the filling of the displacement spaces dependent is controlled by p3.
- a converter 27 for 1 particularly for the Integration in analog control loops is suitable switching valve 50 as a converter according to FIG. 13 advantages in connection with digital electronics.
- FIG. 13 shows such an arrangement, wherein as in Fig. 2 with slot-controlled pumps and at the Opening angle adapted to the number of cylinders, a switching valve 50 for several displacement elements 9 is sufficient.
- This constellation has advantages if that is to be promoted Fluid is very viscous or contains dirt, which could impair the function (example: Common rail injection system for heavy oil engines), or if the variable pump should be self-priming or only with very low form should be worked. You need then only a much less powerful pressure source 100 for the actuating fluid, often one such a pressure source is already available (e.g. compressed air network).
- the actuating fluid is connected via lines 101 to the controllable pressure p10 to the individual 2/2-way valves 103 headed.
- the pressure p10 acts on the Effective area 102 on one side of the slide of the 2/2-way valve 103, while a spring 104 and the output pressure of the 2/2-way valve via line 106 to the effective area 105 acts on the other side of the slide 102.
- FIG. 15 shows a schematic representation of a pump in a radial design with three displacement pistons 9, only the central part of the pump housing around the drive shaft 12 is shown around and only the upper displacement piston 9 is completely drawn.
- connection line to the liquid reservoir is as before provided with the reference number 33.
- Reference numeral 30 indicates an adjustable throttle element, which over the Line 31 leads into the interior 202.
- the pump of the figure 15 is slot controlled and has inlet slots for this purpose 35 (only shown for the upper displacement piston), the inlet slots 35 each actuated by a pressure difference and throttling 2/2 way valve 51 (as with the Figure 13 shown) and corresponding line sections 204 and 206 in the pump housing communicate with the interior 202.
- the reference number 17 indicates the outlet valve as before, that via a line 18 with corresponding Lines of the other displacement pistons 9 (not shown) is united and finally to the "Common Rail" the internal combustion engine connected to it.
Landscapes
- Engineering & Computer Science (AREA)
- General Engineering & Computer Science (AREA)
- Mechanical Engineering (AREA)
- Chemical & Material Sciences (AREA)
- Combustion & Propulsion (AREA)
- Fluid Mechanics (AREA)
- Physics & Mathematics (AREA)
- Details Of Reciprocating Pumps (AREA)
- Fuel-Injection Apparatus (AREA)
- Reciprocating Pumps (AREA)
- Rotary Pumps (AREA)
- Steering Control In Accordance With Driving Conditions (AREA)
- Vehicle Body Suspensions (AREA)
- Control Of Non-Positive-Displacement Pumps (AREA)
Description
- Fig. 1
- eine erfindungsgemäße Ausführung einer Steuereinrichtung für eine Pumpe mit selbsttätigen Einlaßventilen,
- Fig. 2
- eine weitere Ausführung einer erfindungsgemäßen Steuereinrichtung für eine Pumpe mit vom Verdränger gesteuerten Einlaßschlitzen,
- Fig. 3
- eine spezielle Ausbildung einer erfindungsgemäßen Steuereinrichtung für eine Pumpe, wobei die Einlaßventile mit spezieller Federcharakteristik und einem Dämpfer ausgebildet sind und die Verstelldrosseln in einem Stetig-Wegeventil zusammengefaßt sind,
- Fig. 4
- einen Querschnitt einer ausgeführten Pumpe, mit einer erfindungsgemäßen Steuereinrichtung, die in der Pumpe eingebaut ist,
- Fig. 5
- eine teilweise längsgeschnittene schematische Ansicht der Pumpe mit Steuereinrichtung der Fig. 4 nach der Linie V-V in Fig. 4,
- Fig. 6A und 6B
- Zeichnungen zur Erläuterung der Wirkungsweise der Einlaßventile der Pumpe der Fig. 4 und 5, wobei Fig. 6A den Öffnungsvorgang und Fig. 6B den Schließvorgang darstellt,
- Fig. 7
- eine Zeichnung zur Erläuterung der Auslegung der Charakteristik der drosselnden Ventile,
- Fig. 8
- eine graphische Darstellung des Arbeitstakts einer Pumpe nach Fig. 3 für volle Förderung,
- Fig. 9 und 10
- Darstellungen entsprechend der Fig. 8, jedoch für halbe Förderung bzw. Nullförderung,
- Fig. 11
- Förderstromkennlinien einer Pumpe nach Fig. 3,
- Fig. 12
- Förderstromkennlinien ähnlich der Fig. 11, jedoch für eine schlitzgesteuerte Pumpe,
- Fig. 13
- eine erfindungsgemäße Ausführung einer Steuereinrichtung mit einem Schaltventil als Verstelleinrichtung,
- Fig. 14
- eine Variante einer Steuereinrichtung für eine Füllgradverstellpumpe, bei der die Verstelleinrichtung mit einem Hilfsmedium, d.h. nicht mit der zu pumpenden Flüssigkeit arbeitet, und
- Fig. 15
- eine schematische Ansicht einer weiteren erfindungsgemäßen Ausführungsform.
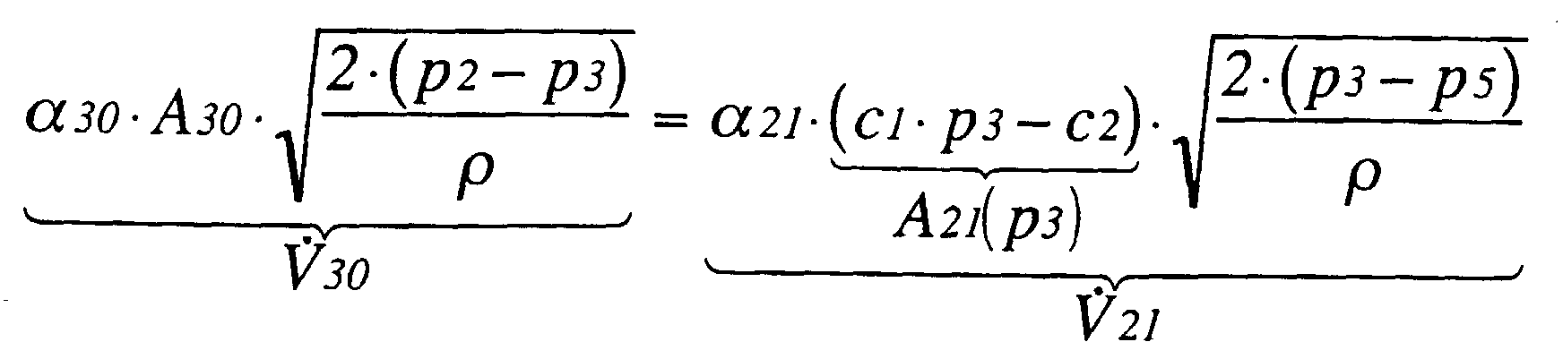
- c1, c2
- Konstanten, welche A21 (p3) definieren und
- ρ
- die Flüssigkeitsdichte ist.
Claims (18)
- Steuereinrichtung für eine wenigstens einen Verdrängerraum (15;129) aufweisende FlüssigkeitsVerdrängerpumpe, welche die zu fördernde Flüssigkeit (2) aus einem Flüssigkeitsreservoir (1) mit einer freien Oberfläche, welche mit einem Gasdruck (p1), vorzugsweise Atmosphärendruck, beaufschlagt ist, ansaugt, mit stromaufwärts des Verdrängerraumes (15;129) angeordneten, verstellbaren Mitteln (30;60;150;50;34) zum Begrenzen des Zuflusses zum Verdrängerraum (15;129) gekennzeichnet durch wenigstens ein dem Verdrängerraum (15;129) vorgeschaltetes und stromabwärts der zuflussbegrenzenden Mittel (30;60;150;50;34) angeordnetes, druckdifferenzbetätigtes, drosselndes 2/2-Wegeventil (21;134;51;103), das den Druck in der Verbindungsleitung (31;41;130;107;31,202,204) zwischen den zuflussbegrenzenden Mitteln (30;60;150;50;34) und dem 2/2-Wegeventil (21;134;51;103) immer so hoch hält, dass weder Dampf noch gelöstes Gas aus der Flüssigkeit austritt, mindestens aber auf 0,9 bar absolut.
- Steuereinrichtung nach Anspruch 1, dadurch gekennzeichnet, dass den zuflussbegrenzenden Mitteln (30;60;150;50;34) eine Druckquelle (8; 34) zur Speisung mit Flüssigkeit mit einem genügend hohen Druck (p2) vorgeschaltet ist, welche die Flüssigkeit direkt oder indirekt aus dem Flüssigkeitsreservoir (1) bezieht.
- Steuereinrichtung nach Anspruch 1, dadurch gekennzeichnet, dass der wenigstens eine Verdrängerraum (15; 129) mindestens einen Einlassschlitz (35) oder mindestens ein Einlassventil (28) aufweist, und dass das wenigstens eine 2/2-Wegeventil (21, 21a, 21b; 51, 52, 53, 54; 103) sehr nahe vor dem Einlassschlitz (35) oder dem Einlassventil (28) angeordnet ist.
- Steuereinrichtung nach Anspruch 1, dadurch gekennzeichnet, dass die zuflussbegrenzenden Mittel ein elektrisch, mechanisch, hydraulisch oder pneumatisch verstellbares drosselndes Ventil (30; 150) aufweisen.
- Steuereinrichtung nach Anspruch 1, dadurch gekennzeichnet, dass die zuflussbegrenzenden Mittel eine Kombination eines Drosselventils (30) mit einem Druckdifferenzventil (40) aufweisen.
- Steuereinrichtung nach Anspruch 1, dadurch gekennzeichnet, dass die zuflussbegrenzenden Mittel ein elektrisch betätigbares, pulsbreitenmodulierbares 2/2-Wegeschaltventil (60) aufweisen.
- Steuereinrichtung nach Anspruch 1, dadurch gekennzeichnet, dass das wenigstens eine drosselnde 2/2-Wegeventil (103) einen federbelasteten Schieber aufweist, auf dessen eine Wirkfläche (102) der Druck (p10) eines Fluids aus einer Druckquelle (100), die zu einem zweiten Fluidkreis gehört, wirkt.
- Steuereinrichtung nach Anspruch 1, dadurch gekennzeichnet, dass das wenigstens eine drosselnde 2/2-Wegeventil federbelastet ist und als Einlassventil (134; 51, 52, 53, 54) für den wenigstens einen Verdrängerraum (15, 129) ausgebildet ist.
- Steuereinrichtung nach Anspruch 1, dadurch gekennzeichnet, dass am wenigsten einen drosselnden 2/2-Wegeventil (21, 21a, 21b) Dämpfer (70) angreifen.
- Steuereinrichtung nach einem der Ansprüche 1 oder 2, dadurch gekennzeichnet, dass das wenigstens eine drosselnde 2/2-Wegeventil (21, 21a, 21b; 134; 51, 52, 53, 54; 103) eine steile Oeffnungscharakteristik besitzt, und dass der Druck (p2) der den zuflussbegrenzenden Mitteln (30;60;150;50;34) zugeführten Flüssigkeit genügend hoch ist, so dass auch für maximalen Pumpenvolumenstrom die Druckdifferenz über den zuflussbegrenzenden Mitteln (30;60;150;50;34) nicht wesentlich geändert wird.
- Steuereinrichtung nach einem der Ansprüche 1-10, für eine Verdrängerpumpe mit einer Mehrzahl von Verdrängerräumen (15, 129) dadurch gekennzeichnet, dass den Verdrängerräumen (15, 129) wenigstens ein drosselndes 2/2-Wegeventil (21; 134; 51; 103) vorgeschaltet ist.
- Steuereinrichtung nach Anspruch 11, dadurch gekennzeichnet, dass jedem der Verdrängerräume (15, 129) ein drosselndes 2/2-Wegeventil (21; 134; 51; 103) vorgeschaltet ist.
- Steuereinrichtung nach einem der Ansprüche 11 oder 12, dadurch gekennzeichnet, dass die zuflussbegrenzenden Mittel eine Anzahl von verstellbaren, drosselnden Ventilen (30, 30a, 30b; 60, 150) aufweisen, die jeweils in Gruppen oder in ihrer Gesamtheit synchron miteinander betätigt werden.
- Steuereinrichtung nach Anspruch 13, gekennzeichnet durch ein Drehschieberventil (150), in dem die verstellbaren, drosselnden Ventile zusammengefasst sind und das ein mit mehreren Kammern versehenes Gehäuse (138) aufweist, in dem ein hohler, drehbarer oder axial verschiebbarer Schieberkörper angeordnet ist, wobei pro Kammer Durchbrüche (155a-d; 130a-d) vorgesehen sind, die paarweise und sich gegenüberliegend im Schieberkörper und im Gehäuse (138) angeordnet sind.
- Steuereinrichtung nach Anspruch 14, dadurch gekennzeichnet, dass die gegenüberliegenden Durchbrüche (155a-d; 130a, 130b; 130c, 130d) im Schieberkörper und im Gehäuse (138) mittels Drahterosion hergestellt sind.
- Steuereinrichtung nach Anspruch 1 für eine Verdrängerpumpe mit einem einen Innenraum (202) aufweisenden Gehäuse, wenigstens einem Verdrängerkolben (9) und einem letzteren betätigenden Exzenternocken (11), wobei der Innenraum über entsprechende Bohrungen im Pumpengehäuse und einen Einlassschlitz (35) mit dem wenigstens einen Verdrängerraum kommuniziert, dadurch gekennzeichnet, dass das wenigstens eine drosselnde 2/2-Wegeventil (51) entweder im Pumpengehäuse vor dem Einlassschlitz (35) oder im wenigstens einen Verdrängerkolben (9) angeordnet ist.
- Steuereinrichtung nach Anspruch 16, für eine Verdrängerpumpe mit mehreren Verdrängerräumen und einer entsprechenden Anzahl von Verdrängerkolben (9), wobei jeder Verdrängerraum über einen Einlassschlitz (35) mit dem Innenraum (202) in Verbindung steht, dadurch gekennzeichnet, dass die zuflussbegrenzenden Mittel (30) allen Verdrängerräumen gemeinsam sind und in einer Leitung (33, 31) zwischen dem Flüssigkeitsreservoir (1) und dem Innenraum (202) angeordnet sind.
- Steuereinrichtung nach Anspruch 1 für eine Verdrängerpumpe mit mehreren Verdrängerräumen und einer entsprechenden Anzahl von Verdrängerkolben (9), wobei jeder Verdrängerraum einen Einlasschlitz (35) für die zu fördernde Flüssigkeit aufweist, dadurch gekennzeichnet, dass die Einlassschlitze (35) und die mit diesen zusammenarbeitenden Verdrängerkolben (9) so ausgelegt sind, dass die Oeffnungsphase der Einlassschlitze (35) etwa 360° geteilt durch die Anzahl der Verdrängerkolben (9), vorzugsweise geringfügig weniger, beträgt, so dass die Begrenzung des Zuflusses mit nur einem zuflussbegrenzenden Element (30) möglich ist.
Applications Claiming Priority (4)
| Application Number | Priority Date | Filing Date | Title |
|---|---|---|---|
| CH3367/93 | 1993-11-08 | ||
| CH336793 | 1993-11-08 | ||
| PCT/CH1994/000215 WO1995013474A1 (de) | 1993-11-08 | 1994-11-07 | Steuereinrichtung für eine füllgrad-verstellpumpe |
| CA002151518A CA2151518A1 (en) | 1993-11-08 | 1995-06-07 | Control device for a variable volume pump |
Publications (2)
| Publication Number | Publication Date |
|---|---|
| EP0678166A1 EP0678166A1 (de) | 1995-10-25 |
| EP0678166B1 true EP0678166B1 (de) | 1998-08-12 |
Family
ID=25678018
Family Applications (1)
| Application Number | Title | Priority Date | Filing Date |
|---|---|---|---|
| EP94930902A Expired - Lifetime EP0678166B1 (de) | 1993-11-08 | 1994-11-07 | Steuereinrichtung für eine füllgrad-verstellpumpe |
Country Status (9)
| Country | Link |
|---|---|
| US (1) | US5701873A (de) |
| EP (1) | EP0678166B1 (de) |
| JP (1) | JP3747061B2 (de) |
| CN (1) | CN1082143C (de) |
| AT (1) | ATE169720T1 (de) |
| CA (1) | CA2151518A1 (de) |
| DE (1) | DE59406680D1 (de) |
| ES (1) | ES2120076T3 (de) |
| WO (1) | WO1995013474A1 (de) |
Cited By (2)
| Publication number | Priority date | Publication date | Assignee | Title |
|---|---|---|---|---|
| FR2798961A1 (fr) * | 1999-09-29 | 2001-03-30 | Bosch Gmbh Robert | Systeme d'injection de carburant a pompe a haute pression |
| DE102007060262A1 (de) | 2007-12-14 | 2009-06-18 | Robert Bosch Gmbh | Pumpenanordnung und Verfahren zu deren Ansteuerung |
Families Citing this family (60)
| Publication number | Priority date | Publication date | Assignee | Title |
|---|---|---|---|---|
| EP0902181B1 (de) * | 1997-09-11 | 2003-12-17 | Denso Corporation | Hochdruckpumpe mit variabler Durchflussrate |
| JP3999855B2 (ja) * | 1997-09-25 | 2007-10-31 | 三菱電機株式会社 | 燃料供給装置 |
| DE19818421B4 (de) * | 1998-04-24 | 2017-04-06 | Robert Bosch Gmbh | Kraftstoffversorgungsanlage einer Brennkraftmaschine |
| DE69919658T2 (de) * | 1998-05-26 | 2005-09-15 | Caterpillar Inc., Peoria | Hydrauliksystem mit einer pumpe mit variabler fördermenge |
| DE19846157A1 (de) * | 1998-10-07 | 2000-04-13 | Bosch Gmbh Robert | Pumpenanordnung zur Kraftstoffhochdruckerzeugung |
| DE19846940B4 (de) * | 1998-10-12 | 2007-09-06 | Hydraulik-Ring Gmbh | Pumpenanordnung |
| JP2000130279A (ja) * | 1998-10-21 | 2000-05-09 | Toyota Motor Corp | 内燃機関の高圧燃料供給装置 |
| DE19853103A1 (de) * | 1998-11-18 | 2000-05-25 | Bosch Gmbh Robert | Kraftstoffeinspritzsystem für Brennkraftmaschinen |
| JP4088738B2 (ja) | 1998-12-25 | 2008-05-21 | 株式会社デンソー | 燃料噴射ポンプ |
| DE19902259B4 (de) * | 1999-01-21 | 2006-02-23 | Siemens Ag | Montageverfahren |
| DE19904341A1 (de) * | 1999-02-03 | 2000-08-10 | Mannesmann Rexroth Ag | Steuerungsverfahren |
| DE19907311A1 (de) | 1999-02-22 | 2000-08-31 | Bosch Gmbh Robert | Hydraulikpumpeneinheit |
| DE19909329A1 (de) * | 1999-03-03 | 2000-09-07 | Mannesmann Rexroth Ag | Kraftstoffeinspritzsystem |
| JP2000310171A (ja) * | 1999-04-27 | 2000-11-07 | Mitsubishi Electric Corp | 燃料供給装置 |
| DE19927826A1 (de) * | 1999-06-18 | 2000-12-28 | Bosch Gmbh Robert | Pumpenanordnung |
| DE19938751A1 (de) * | 1999-08-16 | 2001-03-01 | Siemens Ag | Einspritzanlage für eine Brennkraftmaschine, insbesondere für eine Common-Rail-Einspritzanlage |
| DE19941850B4 (de) * | 1999-09-02 | 2005-03-31 | Siemens Ag | Einspritzanlage für eine Brennkraftmaschine |
| DE19959006C1 (de) | 1999-12-08 | 2000-12-21 | Bosch Gmbh Robert | Radialkolbenpumpe |
| DE10005212A1 (de) * | 2000-02-05 | 2001-09-27 | Bosch Gmbh Robert | Verfahren und Einrichtung zum Ansteuern eines elektromagnetischen Mengensteuerventils |
| DE10115324A1 (de) * | 2001-03-28 | 2002-10-17 | Bosch Gmbh Robert | Kraftstoffsystem |
| DE10139054C1 (de) * | 2001-08-08 | 2003-01-30 | Bosch Gmbh Robert | Verfahren, Computerprogramm, Steuer- und/oder Regelgerät sowie Kraftstoffsystem für eine Brennkraftmaschine, insbesondere mit Direkteinspritzung |
| DE10153185A1 (de) * | 2001-10-27 | 2003-05-15 | Bosch Gmbh Robert | Kraftstoffeinspritzanlage mit verbesserter Fördermengenregelung |
| ITTO20011039A1 (it) * | 2001-10-30 | 2003-04-30 | Ct Studi Componenti Per Veicol | Valvola di aspirazione per una pompa ad alta pressione, in particolare per combustibile di un motore endotermico. |
| EP1321663A3 (de) * | 2001-12-19 | 2003-07-02 | Robert Bosch Gmbh | Kraftstoffeinspritzeinrichtung für eine Brennkraftmaschine |
| DE10205187A1 (de) * | 2002-02-08 | 2003-08-21 | Bosch Gmbh Robert | Kraftstoffeinspritzeinrichtung für eine Brennkraftmaschine |
| WO2004094812A1 (ja) * | 2003-04-24 | 2004-11-04 | Bosch Corporation | 蓄圧式燃料噴射装置における吐出流量制御方法及び蓄圧式燃料噴射装置 |
| JP3894179B2 (ja) | 2003-10-02 | 2007-03-14 | トヨタ自動車株式会社 | 内燃機関の燃料供給装置 |
| ATE399936T1 (de) * | 2003-11-28 | 2008-07-15 | Ganser Hydromag | Hochdruckförderpumpe für verbrennungsmotoren |
| DE102005033638A1 (de) * | 2005-07-19 | 2007-01-25 | Robert Bosch Gmbh | Kraftstoff-Fördereinrichtung, insbesondere für eine Brennkraftmaschine |
| DE102005051482A1 (de) * | 2005-10-27 | 2007-05-03 | Brueninghaus Hydromatik Gmbh | Lastdruckgeführter Förderstromregler mit Schwingungsdämpfung |
| FI118055B (fi) * | 2005-11-23 | 2007-06-15 | Waertsilae Finland Oy | Mäntämoottorin ruiskutuspumppu |
| US7857605B2 (en) * | 2006-06-29 | 2010-12-28 | Caterpillar Inc | Inlet throttle controlled liquid pump with cavitation damage avoidance feature |
| US20100054958A1 (en) | 2006-09-05 | 2010-03-04 | New York Air Brake Corporation | Oil-free air compressor system with inlet throttle |
| JP4672637B2 (ja) * | 2006-11-02 | 2011-04-20 | 三菱重工業株式会社 | エンジンの燃料噴射装置 |
| SE530565C2 (sv) * | 2006-11-10 | 2008-07-08 | Scania Cv Ab | Bränslepumpanordning |
| US7444989B2 (en) * | 2006-11-27 | 2008-11-04 | Caterpillar Inc. | Opposed pumping load high pressure common rail fuel pump |
| FR2914959B1 (fr) * | 2007-04-13 | 2013-03-08 | Siemens Automotive Hydraulics Sa | Perfectionnement aux dispositifs d'alimentation de carburant sous haute pression par pompe transfert |
| DE102008040083A1 (de) * | 2008-07-02 | 2010-01-07 | Robert Bosch Gmbh | Hochdruckpumpe |
| DE102009003066A1 (de) * | 2009-05-13 | 2010-11-18 | Robert Bosch Gmbh | Kolbenmaschine, insbesondere Flüssigkeitskolbenmaschine |
| RU2555607C2 (ru) * | 2010-07-14 | 2015-07-10 | Вольво Ластвагнар Аб | Топливоподающая система с функцией выпуска паров |
| DE112011105591B4 (de) * | 2011-09-06 | 2017-03-16 | Toyota Jidosha Kabushiki Kaisha | Kraftstoffpumpe und Kraftstofffördersystem für Maschine mit interner Verbrennung |
| US8926298B2 (en) | 2012-01-04 | 2015-01-06 | Husco International, Inc. | Hydraulic piston pump with a variable displacement throttle mechanism |
| US9062665B2 (en) * | 2013-01-15 | 2015-06-23 | Husco International, Inc. | Hydraulic piston pump with throttle control |
| JP6111116B2 (ja) * | 2013-03-28 | 2017-04-05 | Kyb株式会社 | ポンプ容積制御装置 |
| DE102014219488A1 (de) | 2014-09-25 | 2016-03-31 | Mahle International Gmbh | Pumpvorrichtung, insbesondere Axialkolbenpumpe, für eine Abwärmenutzungseinrichtung eines Kraftfahrzeugs |
| DE102014219487A1 (de) * | 2014-09-25 | 2016-03-31 | Mahle International Gmbh | Pumpvorrichtung, insbesondere Axialkolbenpumpe, für eine Abwärmenutzungseinrichtung eines Kraftfahrzeugs |
| NL2014285B1 (nl) * | 2015-02-12 | 2016-10-13 | Rio Boxx Holding B V | Pompsysteem. |
| GB201502686D0 (en) * | 2015-02-18 | 2015-04-01 | Finishing Brands Uk Ltd | High pressure pump |
| JP6432440B2 (ja) * | 2015-05-15 | 2018-12-05 | 株式会社デンソー | 高圧ポンプ |
| GB2554005A (en) | 2015-07-10 | 2018-03-21 | Husco Int Inc | Radial piston pump assemblies and use thereof in hydraulic circuits |
| US10975816B2 (en) * | 2017-11-27 | 2021-04-13 | Stanadyne Llc | Roller drive mechanism for GDI pump |
| IT201800003340A1 (it) * | 2018-03-07 | 2019-09-07 | Bosch Gmbh Robert | Gruppo di pompaggio per alimentare combustibile, preferibilmente gasolio, ad un motore a combustione interna |
| DE102018001913A1 (de) | 2018-03-08 | 2019-09-12 | Woodward L'orange Gmbh | Anordnung mit einer Hochdruckpumpe und einer dieser vorgeordneten Regeleinrichtungen |
| CH715387A1 (de) | 2018-09-27 | 2020-03-31 | Ganser Hydromag | Common Rail für eine Brennstoffeinspritzvorrichtung. |
| JP7592643B2 (ja) * | 2019-06-11 | 2024-12-02 | ピーピージー・インダストリーズ・オハイオ・インコーポレイテッド | 流体製品を分注するための分注機構、装置及び方法 |
| IT201900015099A1 (it) * | 2019-08-27 | 2021-02-27 | Bosch Gmbh Robert | Gruppo di pompaggio per alimentare combustibile, preferibilmente gasolio, ad un motore a combustione interna |
| WO2021053354A1 (en) * | 2019-09-18 | 2021-03-25 | 7Rdd Limited | Pressure washer apparatus |
| CH716632A1 (de) * | 2019-09-25 | 2021-03-31 | Liebherr Machines Bulle Sa | Reihenkolbenpumpe. |
| US20230235729A1 (en) * | 2020-03-11 | 2023-07-27 | Cummins Inc. | Compact opposed pump |
| CN111396384B (zh) * | 2020-04-08 | 2022-05-13 | 重庆凯瑞汽车试验设备开发有限公司 | 一种用于拉杆式静压油缸的插装式节流器阀组 |
Family Cites Families (21)
| Publication number | Priority date | Publication date | Assignee | Title |
|---|---|---|---|---|
| DE680810C (de) * | 1936-02-18 | 1939-09-07 | Teves Kg Alfred | Kolbenpumpe |
| US2653543A (en) * | 1950-05-03 | 1953-09-29 | Hobson Ltd H M | Hydraulic pump |
| CH346728A (fr) * | 1956-11-20 | 1960-05-31 | Etienne Bessiere Pierre | Pompe à piston à autorégulation de débit |
| NO142139C (no) * | 1976-05-31 | 1980-07-02 | Akers Mek Verksted As | Fremgangsmaate for regulering av leveringsmengden for en stempelpumpe, samt en anordning for utfoerelse av samme |
| US4406264A (en) * | 1980-07-26 | 1983-09-27 | Lucas Industries Limited | Governor for engines |
| FR2508112B1 (fr) * | 1981-06-19 | 1986-05-02 | Citroen Sa | Regulateur de pompe par etranglement a l'aspiration avec limiteur de pression incorpore |
| US4474158A (en) * | 1981-11-11 | 1984-10-02 | Lucas Industries Public Limited Company | Liquid fuel pumping apparatus |
| GB2109058B (en) * | 1981-11-11 | 1985-02-20 | Lucas Ind Plc | Liquid fuel pumping apparatus |
| EP0111200B1 (de) * | 1982-11-25 | 1988-02-03 | Kawasaki Jukogyo Kabushiki Kaisha | Kraftstoffeinspritzbeginnkontrollsystem |
| GB2131493B (en) * | 1982-12-08 | 1985-11-13 | Lucas Ind Plc | Fuel injection pumping apparatus |
| DE3440942A1 (de) * | 1984-11-09 | 1986-05-15 | Robert Bosch Gmbh, 7000 Stuttgart | Piezoelektrischer steuerblock |
| US4907949A (en) * | 1986-12-16 | 1990-03-13 | Regie Nationale Des Usines Renault | Variable flow pump |
| DE3714691A1 (de) * | 1987-05-02 | 1988-12-01 | Backe Wolfgang | Mehrwegeventil |
| CH674243A5 (de) * | 1987-07-08 | 1990-05-15 | Dereco Dieselmotoren Forschung | |
| DE3885689T2 (de) * | 1987-09-16 | 1994-03-24 | Nippon Denso Co | Hochdruckverstellpumpe. |
| US5156531A (en) * | 1988-09-15 | 1992-10-20 | Zahnradfabrik Friedrichshafen, Ag. | Radial piston pump |
| US5197441A (en) * | 1989-06-03 | 1993-03-30 | Lucas Industries | Fuel injection pumping apparatus |
| JP2829639B2 (ja) * | 1989-09-22 | 1998-11-25 | 株式会社ゼクセル | 電子制御式分配型燃料噴射ポンプの送油率可変制御方法 |
| DE3937709A1 (de) * | 1989-11-13 | 1991-05-16 | Bosch Gmbh Robert | Kraftstoffeinspritzpumpe fuer brennkraftmaschinen |
| US5167493A (en) * | 1990-11-22 | 1992-12-01 | Nissan Motor Co., Ltd. | Positive-displacement type pump system |
| US5479899A (en) * | 1994-10-13 | 1996-01-02 | Phelps Fuel Systems, Inc. | Fuel management system |
-
1994
- 1994-11-07 EP EP94930902A patent/EP0678166B1/de not_active Expired - Lifetime
- 1994-11-07 CN CN94190910A patent/CN1082143C/zh not_active Expired - Lifetime
- 1994-11-07 US US08/464,856 patent/US5701873A/en not_active Expired - Lifetime
- 1994-11-07 ES ES94930902T patent/ES2120076T3/es not_active Expired - Lifetime
- 1994-11-07 DE DE59406680T patent/DE59406680D1/de not_active Expired - Lifetime
- 1994-11-07 AT AT94930902T patent/ATE169720T1/de active
- 1994-11-07 JP JP51350995A patent/JP3747061B2/ja not_active Expired - Lifetime
- 1994-11-07 WO PCT/CH1994/000215 patent/WO1995013474A1/de not_active Ceased
-
1995
- 1995-06-07 CA CA002151518A patent/CA2151518A1/en not_active Abandoned
Cited By (4)
| Publication number | Priority date | Publication date | Assignee | Title |
|---|---|---|---|---|
| FR2798961A1 (fr) * | 1999-09-29 | 2001-03-30 | Bosch Gmbh Robert | Systeme d'injection de carburant a pompe a haute pression |
| DE19946610A1 (de) * | 1999-09-29 | 2001-04-12 | Bosch Gmbh Robert | Kraftstoffeinspritzsystem und Kraftstoffhochdruckpumpe |
| DE19946610B4 (de) * | 1999-09-29 | 2009-09-10 | Robert Bosch Gmbh | Kraftstoffeinspritzsystem und Kraftstoffhochdruckpumpe |
| DE102007060262A1 (de) | 2007-12-14 | 2009-06-18 | Robert Bosch Gmbh | Pumpenanordnung und Verfahren zu deren Ansteuerung |
Also Published As
| Publication number | Publication date |
|---|---|
| WO1995013474A1 (de) | 1995-05-18 |
| US5701873A (en) | 1997-12-30 |
| CA2151518A1 (en) | 1996-12-08 |
| CN1082143C (zh) | 2002-04-03 |
| CN1116441A (zh) | 1996-02-07 |
| ATE169720T1 (de) | 1998-08-15 |
| EP0678166A1 (de) | 1995-10-25 |
| JPH08505680A (ja) | 1996-06-18 |
| JP3747061B2 (ja) | 2006-02-22 |
| DE59406680D1 (de) | 1998-09-17 |
| ES2120076T3 (es) | 1998-10-16 |
Similar Documents
| Publication | Publication Date | Title |
|---|---|---|
| EP0678166B1 (de) | Steuereinrichtung für eine füllgrad-verstellpumpe | |
| DE69027858T2 (de) | Hydraulisches stellglied | |
| DE2503346C2 (de) | Kraftstoffverteilereinspritzpumpe für Brennkraftmaschinen | |
| DE19917506B4 (de) | Verstellbare Flügelzellenpumpe | |
| EP0328602B1 (de) | Einrichtung zur einbringung des kraftstoffes in den brennraum einer brennkraftmaschine | |
| DE1070442B (de) | Brennstoff-Einspritzsystem fur Brennkraftmaschinen | |
| DE69302047T2 (de) | Hubventilsteuerungsvorrichtung einer Brennkraftmaschine | |
| EP0816675A2 (de) | Vorrichtung zur Stabilisierung des Exzenterrings einer Radialkolbenpumpe | |
| DE60301312T2 (de) | Treibstoffpumpenanordnung | |
| EP0070558B1 (de) | Kraftstoffeinspritzpumpe | |
| DE1947529C3 (de) | Kraftstoff einspritzpumpe für Brennkraftmaschinen | |
| DE4118555A1 (de) | Foerderbeginnverstelleinrichtung einer kraftstoffeinspritzpumpe | |
| EP0509077B1 (de) | Kolbenpumpe, insbesondere radialkolbenpumpe | |
| EP1247978B1 (de) | Kraftstoffeinspritzsystem für eine Brennkraftmaschine | |
| DE2918867C2 (de) | Kraftstoffeinspritzpumpe für Brennkraftmaschinen mit einer Steuereinrichtung für die Änderung des Förderbeginns | |
| EP1269021B1 (de) | Radialkolbenpumpe | |
| EP1049869B1 (de) | Vorrichtung zum erzeugen eines variablen volumenstromes bei einer kraftstoffzuführung | |
| DE4402456C2 (de) | Förderbeginnverstelleinrichtung | |
| DE4311672A1 (de) | Kraftstoffeinspritzpumpe | |
| DE1805276B2 (de) | Regeleinrichtung an einer brennstoffeinspritzpumpe fuer brennkraftmaschinen | |
| DE1776071C3 (de) | Kraftstoffeinspritzanlage für Brennkraftmaschinen mit einem Hydraulikstellglied zur Verstellung des Einspritzzeitpunktes | |
| WO2014127905A1 (de) | Kolbenkompressor | |
| DE3804778C2 (de) | ||
| DE19712557B4 (de) | Verteiler-Kraftstoffeinspritzpumpe für einen Verbrennungsmotor mit innerer Verbrennung | |
| DE3832137C2 (de) |
Legal Events
| Date | Code | Title | Description |
|---|---|---|---|
| PUAI | Public reference made under article 153(3) epc to a published international application that has entered the european phase |
Free format text: ORIGINAL CODE: 0009012 |
|
| 17P | Request for examination filed |
Effective date: 19950616 |
|
| AK | Designated contracting states |
Kind code of ref document: A1 Designated state(s): AT BE CH DE ES FR GB IE IT LI NL SE |
|
| 17Q | First examination report despatched |
Effective date: 19960306 |
|
| GRAG | Despatch of communication of intention to grant |
Free format text: ORIGINAL CODE: EPIDOS AGRA |
|
| GRAG | Despatch of communication of intention to grant |
Free format text: ORIGINAL CODE: EPIDOS AGRA |
|
| GRAG | Despatch of communication of intention to grant |
Free format text: ORIGINAL CODE: EPIDOS AGRA |
|
| GRAH | Despatch of communication of intention to grant a patent |
Free format text: ORIGINAL CODE: EPIDOS IGRA |
|
| RAP1 | Party data changed (applicant data changed or rights of an application transferred) |
Owner name: SIG SCHWEIZERISCHE INDUSTRIE-GESELLSCHAFT |
|
| GRAH | Despatch of communication of intention to grant a patent |
Free format text: ORIGINAL CODE: EPIDOS IGRA |
|
| GRAA | (expected) grant |
Free format text: ORIGINAL CODE: 0009210 |
|
| AK | Designated contracting states |
Kind code of ref document: B1 Designated state(s): AT BE CH DE ES FR GB IE IT LI NL SE |
|
| REF | Corresponds to: |
Ref document number: 169720 Country of ref document: AT Date of ref document: 19980815 Kind code of ref document: T |
|
| REG | Reference to a national code |
Ref country code: CH Ref legal event code: NV Representative=s name: PATENTANWAELTE SCHAAD, BALASS, MENZL & PARTNER AG Ref country code: CH Ref legal event code: EP |
|
| ITF | It: translation for a ep patent filed | ||
| REF | Corresponds to: |
Ref document number: 59406680 Country of ref document: DE Date of ref document: 19980917 |
|
| GBT | Gb: translation of ep patent filed (gb section 77(6)(a)/1977) |
Effective date: 19980911 |
|
| REG | Reference to a national code |
Ref country code: ES Ref legal event code: FG2A Ref document number: 2120076 Country of ref document: ES Kind code of ref document: T3 |
|
| ET | Fr: translation filed | ||
| REG | Reference to a national code |
Ref country code: IE Ref legal event code: FG4D Free format text: GERMAN |
|
| PLBI | Opposition filed |
Free format text: ORIGINAL CODE: 0009260 |
|
| PLBF | Reply of patent proprietor to notice(s) of opposition |
Free format text: ORIGINAL CODE: EPIDOS OBSO |
|
| 26 | Opposition filed |
Opponent name: SIEMENS AG ZENTRALABTEILUNG TECHNIK ZT PA5 Effective date: 19990512 |
|
| PLBF | Reply of patent proprietor to notice(s) of opposition |
Free format text: ORIGINAL CODE: EPIDOS OBSO |
|
| PLBO | Opposition rejected |
Free format text: ORIGINAL CODE: EPIDOS REJO |
|
| REG | Reference to a national code |
Ref country code: CH Ref legal event code: PUE Owner name: SIG SCHWEIZERISCHE INDUSTRIE-GESELLSCHAFT -DANN AN |
|
| RAP2 | Party data changed (patent owner data changed or rights of a patent transferred) |
Owner name: CRT COMMON RAIL TECHNOLOGIES AG |
|
| RTI2 | Title (correction) |
Free format text: CONTROL DEVICE FOR A VARIABLE INTAKE VOLUME PUMP |
|
| APAC | Appeal dossier modified |
Free format text: ORIGINAL CODE: EPIDOS NOAPO |
|
| APAE | Appeal reference modified |
Free format text: ORIGINAL CODE: EPIDOS REFNO |
|
| NLT2 | Nl: modifications (of names), taken from the european patent patent bulletin |
Owner name: CRT COMMON RAIL TECHNOLOGIES AG |
|
| REG | Reference to a national code |
Ref country code: GB Ref legal event code: 732E |
|
| NLS | Nl: assignments of ep-patents |
Owner name: CRT COMMON RAIL TECHNOLOGIES AG |
|
| REG | Reference to a national code |
Ref country code: FR Ref legal event code: TP |
|
| APAC | Appeal dossier modified |
Free format text: ORIGINAL CODE: EPIDOS NOAPO |
|
| PLBN | Opposition rejected |
Free format text: ORIGINAL CODE: 0009273 |
|
| STAA | Information on the status of an ep patent application or granted ep patent |
Free format text: STATUS: OPPOSITION REJECTED |
|
| REG | Reference to a national code |
Ref country code: GB Ref legal event code: IF02 |
|
| 27O | Opposition rejected |
Effective date: 20011215 |
|
| NLR2 | Nl: decision of opposition | ||
| PGFP | Annual fee paid to national office [announced via postgrant information from national office to epo] |
Ref country code: IE Payment date: 20021023 Year of fee payment: 9 |
|
| PGFP | Annual fee paid to national office [announced via postgrant information from national office to epo] |
Ref country code: SE Payment date: 20021028 Year of fee payment: 9 |
|
| PGFP | Annual fee paid to national office [announced via postgrant information from national office to epo] |
Ref country code: BE Payment date: 20021029 Year of fee payment: 9 |
|
| PGFP | Annual fee paid to national office [announced via postgrant information from national office to epo] |
Ref country code: NL Payment date: 20021114 Year of fee payment: 9 |
|
| PG25 | Lapsed in a contracting state [announced via postgrant information from national office to epo] |
Ref country code: IE Free format text: LAPSE BECAUSE OF NON-PAYMENT OF DUE FEES Effective date: 20031107 |
|
| PG25 | Lapsed in a contracting state [announced via postgrant information from national office to epo] |
Ref country code: SE Free format text: LAPSE BECAUSE OF NON-PAYMENT OF DUE FEES Effective date: 20031108 |
|
| PG25 | Lapsed in a contracting state [announced via postgrant information from national office to epo] |
Ref country code: BE Free format text: LAPSE BECAUSE OF NON-PAYMENT OF DUE FEES Effective date: 20031130 |
|
| BERE | Be: lapsed |
Owner name: *CRT COMMON RAIL TECHNOLOGIES A.G. Effective date: 20031130 |
|
| PG25 | Lapsed in a contracting state [announced via postgrant information from national office to epo] |
Ref country code: NL Free format text: LAPSE BECAUSE OF NON-PAYMENT OF DUE FEES Effective date: 20040601 |
|
| EUG | Se: european patent has lapsed | ||
| NLV4 | Nl: lapsed or anulled due to non-payment of the annual fee |
Effective date: 20040601 |
|
| REG | Reference to a national code |
Ref country code: IE Ref legal event code: MM4A |
|
| APAH | Appeal reference modified |
Free format text: ORIGINAL CODE: EPIDOSCREFNO |
|
| REG | Reference to a national code |
Ref country code: CH Ref legal event code: NV Representative=s name: RENTSCH & PARTNER |
|
| REG | Reference to a national code |
Ref country code: CH Ref legal event code: PFA Owner name: CRT COMMON RAIL TECHNOLOGIES AG Free format text: CRT COMMON RAIL TECHNOLOGIES AG#INDUSTRIEPLATZ 1#8212 NEUHAUSEN AM RHEINFALL (CH) -TRANSFER TO- CRT COMMON RAIL TECHNOLOGIES AG#INDUSTRIEPLATZ 1#8212 NEUHAUSEN AM RHEINFALL (CH) |
|
| REG | Reference to a national code |
Ref country code: CH Ref legal event code: PLI Owner name: LIEBHERR MACHINES BULLE SA Free format text: MALI COMMON RAIL TECHNOLOGIES AG#ANTHOPTSTRASSE 9#8222 BERINGEN (CH) -TRANSFER TO- LIEBHERR MACHINES BULLE SA#RUE DE L'INDUSTRIE 45#1630 BULLE (CH) Ref country code: CH Ref legal event code: PFA Owner name: MALI COMMON RAIL TECHNOLOGIES AG Free format text: CRT COMMON RAIL TECHNOLOGIES AG#INDUSTRIEPLATZ 1#8212 NEUHAUSEN AM RHEINFALL (CH) -TRANSFER TO- MALI COMMON RAIL TECHNOLOGIES AG#ANTHOPTSTRASSE 9#8222 BERINGEN (CH) |
|
| PGFP | Annual fee paid to national office [announced via postgrant information from national office to epo] |
Ref country code: DE Payment date: 20131121 Year of fee payment: 20 Ref country code: AT Payment date: 20131113 Year of fee payment: 20 Ref country code: CH Payment date: 20131121 Year of fee payment: 20 Ref country code: GB Payment date: 20131120 Year of fee payment: 20 Ref country code: FR Payment date: 20131120 Year of fee payment: 20 |
|
| PGFP | Annual fee paid to national office [announced via postgrant information from national office to epo] |
Ref country code: ES Payment date: 20131128 Year of fee payment: 20 Ref country code: IT Payment date: 20131128 Year of fee payment: 20 |
|
| REG | Reference to a national code |
Ref country code: DE Ref legal event code: R071 Ref document number: 59406680 Country of ref document: DE |
|
| REG | Reference to a national code |
Ref country code: DE Ref legal event code: R071 Ref document number: 59406680 Country of ref document: DE |
|
| REG | Reference to a national code |
Ref country code: CH Ref legal event code: PL |
|
| REG | Reference to a national code |
Ref country code: GB Ref legal event code: PE20 Expiry date: 20141106 |
|
| REG | Reference to a national code |
Ref country code: AT Ref legal event code: MK07 Ref document number: 169720 Country of ref document: AT Kind code of ref document: T Effective date: 20141107 |
|
| PG25 | Lapsed in a contracting state [announced via postgrant information from national office to epo] |
Ref country code: GB Free format text: LAPSE BECAUSE OF EXPIRATION OF PROTECTION Effective date: 20141106 |
|
| REG | Reference to a national code |
Ref country code: ES Ref legal event code: FD2A Effective date: 20150826 |
|
| PG25 | Lapsed in a contracting state [announced via postgrant information from national office to epo] |
Ref country code: ES Free format text: LAPSE BECAUSE OF EXPIRATION OF PROTECTION Effective date: 20141108 |
|
| REG | Reference to a national code |
Ref country code: DE Ref legal event code: R039 Ref document number: 59406680 Country of ref document: DE Ref country code: DE Ref legal event code: R008 Ref document number: 59406680 Country of ref document: DE |
|
| REG | Reference to a national code |
Ref country code: DE Ref legal event code: R082 Ref document number: 59406680 Country of ref document: DE Representative=s name: G&P RECHTSANWALTSGESELLSCHAFT MBH, DE |
|
| REG | Reference to a national code |
Ref country code: DE Ref legal event code: R082 Ref document number: 59406680 Country of ref document: DE Representative=s name: G&P RECHTSANWALTSGESELLSCHAFT MBH, DE Ref country code: DE Ref legal event code: R081 Ref document number: 59406680 Country of ref document: DE Owner name: MALI COMMON RAIL TECHNOLOGIES AG, CH Free format text: FORMER OWNER: CRT COMMON RAIL TECHNOLOGIES AG, NEUHAUSEN, CH |
|
| REG | Reference to a national code |
Ref country code: DE Ref legal event code: R040 Ref document number: 59406680 Country of ref document: DE |
