DE69918502T2 - Elektroakustischer Wandler mit Wellenleiter - Google Patents
Elektroakustischer Wandler mit Wellenleiter Download PDFInfo
- Publication number
- DE69918502T2 DE69918502T2 DE1999618502 DE69918502T DE69918502T2 DE 69918502 T2 DE69918502 T2 DE 69918502T2 DE 1999618502 DE1999618502 DE 1999618502 DE 69918502 T DE69918502 T DE 69918502T DE 69918502 T2 DE69918502 T2 DE 69918502T2
- Authority
- DE
- Germany
- Prior art keywords
- cross
- sectional area
- end point
- wave guide
- sound waves
- Prior art date
- Legal status (The legal status is an assumption and is not a legal conclusion. Google has not performed a legal analysis and makes no representation as to the accuracy of the status listed.)
- Expired - Lifetime
Links
- 230000007423 decrease Effects 0.000 claims 1
- 239000011358 absorbing material Substances 0.000 description 3
- 230000002745 absorbent Effects 0.000 description 2
- 239000002250 absorbent Substances 0.000 description 2
- 239000000463 material Substances 0.000 description 2
- 230000015572 biosynthetic process Effects 0.000 description 1
- 239000000919 ceramic Substances 0.000 description 1
- 239000002537 cosmetic Substances 0.000 description 1
- 238000006073 displacement reaction Methods 0.000 description 1
- 230000000694 effects Effects 0.000 description 1
- 230000001788 irregular Effects 0.000 description 1
Classifications
-
- H—ELECTRICITY
- H04—ELECTRIC COMMUNICATION TECHNIQUE
- H04R—LOUDSPEAKERS, MICROPHONES, GRAMOPHONE PICK-UPS OR LIKE ACOUSTIC ELECTROMECHANICAL TRANSDUCERS; DEAF-AID SETS; PUBLIC ADDRESS SYSTEMS
- H04R1/00—Details of transducers, loudspeakers or microphones
- H04R1/20—Arrangements for obtaining desired frequency or directional characteristics
- H04R1/22—Arrangements for obtaining desired frequency or directional characteristics for obtaining desired frequency characteristic only
- H04R1/28—Transducer mountings or enclosures modified by provision of mechanical or acoustic impedances, e.g. resonator, damping means
- H04R1/2807—Enclosures comprising vibrating or resonating arrangements
- H04R1/2853—Enclosures comprising vibrating or resonating arrangements using an acoustic labyrinth or a transmission line
- H04R1/2857—Enclosures comprising vibrating or resonating arrangements using an acoustic labyrinth or a transmission line for loudspeaker transducers
-
- H—ELECTRICITY
- H04—ELECTRIC COMMUNICATION TECHNIQUE
- H04R—LOUDSPEAKERS, MICROPHONES, GRAMOPHONE PICK-UPS OR LIKE ACOUSTIC ELECTROMECHANICAL TRANSDUCERS; DEAF-AID SETS; PUBLIC ADDRESS SYSTEMS
- H04R1/00—Details of transducers, loudspeakers or microphones
- H04R1/20—Arrangements for obtaining desired frequency or directional characteristics
- H04R1/32—Arrangements for obtaining desired frequency or directional characteristics for obtaining desired directional characteristic only
- H04R1/34—Arrangements for obtaining desired frequency or directional characteristics for obtaining desired directional characteristic only by using a single transducer with sound reflecting, diffracting, directing or guiding means
- H04R1/345—Arrangements for obtaining desired frequency or directional characteristics for obtaining desired directional characteristic only by using a single transducer with sound reflecting, diffracting, directing or guiding means for loudspeakers
Landscapes
- Health & Medical Sciences (AREA)
- Otolaryngology (AREA)
- Physics & Mathematics (AREA)
- Engineering & Computer Science (AREA)
- Acoustics & Sound (AREA)
- Signal Processing (AREA)
- Obtaining Desirable Characteristics In Audible-Bandwidth Transducers (AREA)
- Waveguide Aerials (AREA)
Description
- Die Erfindung betrifft Lautsprechersysteme mit akustischem Wellenleiter, und insbesondere solche mit Wellenleitern, die keine gleichförmigen Querschnittflächen haben. Für den Hintergrund wird sich auf die
US 4628528 ,US 5373564 undUS 6278789 bezogen. - Es ist ein wichtiges Ziel der vorliegenden Erfindung, eine verbesserte Wellenführung bereitzustellen.
- WO 96/11558 offenbart ein Wellenführungssystem zum Abstrahlen von Schallwellen, mit:
einer Quelle für Schallwellen; einer verlustarmen akustischen Wellenführung zum Übertragen von Schallwellen, wobei die Wellenführung folgendes umfaßt: eine erste Endstelle, die ausgestaltet ist, mit der Quelle für Schallwellen gekoppelt zu werden; eine zweite Endstelle, die ausgestaltet ist, die Schallwellen in die Außenumgebung abzustrahlen; eine Zentrumslinie, die entlang der Länge der Wellenführung verläuft; und Wänden, die Querschnittflächen in Ebenen senkrecht zur Zentrumslinie umschließen, wobei die Wände derart zulaufend sind, daß die Querschnittfläche an der zweiten Endstelle kleiner als die Querschnittfläche an der ersten Endstelle ist. - Gemäß der vorliegenden Erfindung ist ein solches Wellenführungssystem durch die Merkmale des Anspruches 1 gekennzeichnet.
- Weitere Merkmale, Ziele und Vorteile werden aus der nachfolgenden detaillierten Beschreibung deutlich, die sich auf die nachfolgende Zeichnung bezieht, in der:
-
1 eine Querschnittansicht eines Lautsprechersystems mit Wellenleiter gemäß der Erfindung ist; und -
2a und2b computersimulierte Kurven der akustischen Leistung bzw. Treiberauslenkungen gegenüber der Frequenz für eine Wellenführung gemäß der Erfindung und für eine herkömmliche Wellenführung sind. - Bezugnehmend auf die Zeichnung und insbesondere auf
1 ist ein Lautsprecher und eine Wellenführungsanordnung gemäß der Erfindung gezeigt. Eine Wellenführung14 weist ein erstes Ende oder eine Endstelle12 und ein zweites Ende oder eine Endstelle16 auf. Die Wellenführung14 liegt in der Form einer hohlen Röhre mit sich verjüngender Querschnittfläche vor. Die Wände der Wellenführung14 sind zulaufend, so daß die Querschnittfläche der Wellenführung am ersten Ende12 größer als die Querschnittfläche am zweiten Ende16 ist. Das zweite Ende16 kann aus akustischen oder kosmetischen Gründen leicht aufgeweitet sein. Der Querschnitt (entlang der Linie A-A der1 , senkrecht zur Zentrumslinie11 der Wellenführung14 ) kann kreisförmig, oval oder rechteckförmig oder ein reguläres oder irreguläres Polyeder oder irgendeine andere geschlossene Kontur sein. Die Wellenführung14 kann mit einem geschlossenen Ende oder einem offenen Ende sein. Beide Enden können in die freie Luft abstrahlen, wie gezeigt, oder ein Ende kann in ein akustisches Gehäuse abstrahlen, wie ein geschlossenes Volumen oder ein Volumen mit Öffnung oder eine zulaufende oder nicht-zulaufende Wellenführung. - Aus Klarheitsgründen sind die Wände der Wellenführung
14 geradlinig gezeigt, und die Wellenführung14 ist gleichförmig zulaufend über ihre Gesamtlänge gezeigt. In einer praktischen Ausführung kann die Wellenführung gekrümmt sein, um irgendeine gewünschte Form zu haben, um in ein Gehäuse zu passen, oder um ein Ende der Wellenführung relativ zum anderen Ende der Wellenführung aus akustischen Gründen anzuordnen. Der Querschnitt der Wellenführung14 kann eine unterschiedliche Geometrie haben, d. h., eine unterschiedliche Form oder geradlinige oder gekrümmte Seiten, an verschiedenen Stellen über deren Länge. Zusätzlich kann die Verjüngung der Wellenführung über die Länge der Wellenführung variieren. - Ein elektroakustischer Wandler
10 ist im ersten Ende12 der Wellenführung14 angeordnet. In einem Ausführungsbeispiel der Erfindung ist der elektroakustische Wandler10 ein 65 mm Konustreiber mit einem keramischen Magnetmotor, er kann jedoch ein Wandler mit irgendeinem anderen Konus oder Magneten oder irgendeine andere Art elekroakustischer Wandler sein. Beide Seiten des elektroakustischen Wandlers10 können im ersten Ende12 der Wellenführung14 angebracht sein, oder der elektroakustische Wandler10 in einer Wand der Wellenführung14 nahe dem ersten Ende12 angebracht sein und Schallwellen in die Wellenführung14 abstrahlen. Zusätzlich kann die Oberfläche des elektroakustischen Wandlers10 , die von der Wellenführung14 weg gerichtet ist, direkt in die Umgebung abstrahlen, wie gezeigt. - Innenwände der Wellenführung
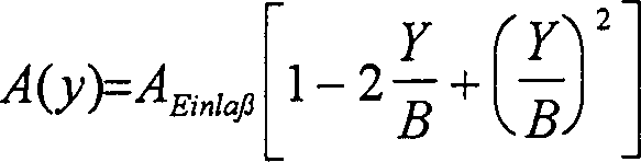
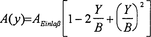
14 sind im wesentlichen akustisch verlustlos. In der Wellenführung kann eine geringe Menge eines akustisch absorbierenden Materials13 vorhanden sein. Die geringe Menge des akustisch absorbierenden Materials13 kann nahe dem Wandler10 angeordnet sein, wie inUS 6278789 beschrieben, so daß die Wellenführung bei niedrigen Frequenzen verlustarm ist, mit einem relativ glatten Frequenzgang bei hohen Frequenzen. Die geringe Menge des akustisch absorbierenden Materials dämpft unerwünschte Resonanzen und liefert eine glattere Ausgabe über den Bereich der von der Wellenführung ausgestrahlten Frequenzen, verhindert jedoch nicht die Ausbildung stehender Wellen mit niedriger Frequenz in der Wellenführung. - In einem Ausführungsbeispiel der Erfindung ist die Wellenführung eine konisch zulaufende Wellenführung, in der die Querschnittfläche an Punkten entlang der Wellenführung durch folgende Formel beschrieben ist: wobei A die Fläche darstellt, und y = der vom (weiten) Einlaßende gemessene Abstand, und und x = die effektive Länge der Wellenführung, undDie erste Resonanz oder Abstimmfrequenz dieses Ausführungsbeispiels wird gut durch die erste Lösung ungleich Null von αf = tanβfi genähert, wobei und c0 = die Schallgeschwindigkeit. Nach Näherung mit den obigen Formeln kann die Wellenführung empirisch modifiziert werden, um Endeneffekte und andere Faktoren zu berücksichtigen.
- In einem Ausführungsbeispiel ist die Länge x der Wellenführung
14 gleich 660 mm (26 Inches). Die Querschnittfläche am ersten Ende12 ist 4130 mm2 (6.4 Quadratinches) und die Querschnittfläche am zweiten Ende16 ist 581 mm2 (0.9 Quadratinches), so daß das Flächenverhältnis (definiert als die Querschnittfläche des ersten Endes12 dividiert durch die Querschnittfläche des zweiten Endes16 ) etwa 7.1 ist. - Bezugnehmend auf
2a und2b sind computersimulierte Kurven der ausgestrahlten akustischen Leistung und der Treiberauslenkung gegenüber der Frequenz für ein Lautsprechersystem mit Wellenführung gemäß der Erfindung (Kurve32 ), ohne akustisch absorbierendes Material13 und mit einer Länge von 660 mm (26 Inches), und für eine ungedämpfte Wellenführung mit geraden Wänden von ähnlichem Volumen und einer Länge von 914 mm (36 Inches) (Kurve34 ) gezeigt. Wie aus2a und2b ersichtlich wird, erstreckt sich der Bassbereich bis zu etwa der gleichen Frequenz (70 Hz) und der Frequenzgang des Wel lenführungssystems gemäß der Erfindung ist flacher als der des nicht-zulaufenden Wellenführungssystems. Schmalbandige Spitzen (nachfolgend "Spikes" genannt) in den beiden Kurven können signifikant durch Verwendung des akustisch absorbierenden Materials (13 aus1 ) vermindert werden.
Claims (4)
- Wellenführungssystem zum Ausstrahlen von Schallwellen, mit: einer Quelle für Schallwellen (
10 ); einer verlustarmen akustischen Wellenführung (14 ) zum Übertragen von Schallwellen, wobei die Wellenführung folgendes umfaßt: eine erste Endstelle (12 ), die ausgestaltet ist, mit der Quelle für Schallwellen (10 ) gekoppelt zu werden; eine zweite Endstelle (16 ), die ausgestaltet ist, die Schallwellen in die Außenumgebung abzustrahlen; eine Zentrumslinie (11 ), die über die Länge der Wellenführung läuft; und Wände, die Querschnittflächen in Ebenen senkrecht zur Zentrumslinie umschließen; wobei die Wände derart zulaufend sind, daß die Querschnittfläche der zweiten Endstelle (16 ) kleiner als die Querschnittfläche der ersten Endstelle (12 ) ist; dadurch gekennzeichnet, daß eine erste Oberfläche der Quelle für Schallwellen in die Wellenführung abstrahlt; eine zweite Oberfläche der Quelle für Schallwellen in die Umgebung abstrahlt; und die Querschnittfläche zunehmend als eine Funktion der Entfernung von der ersten Endstelle (12 ) abnimmt. - Wellenführungssystem nach Anspruch 1, bei dem die Querschnittflächen gemäß einer Formelvariieren, wobei A die Querschnittfläche ist, AEinlaß die Querschnittfläche bei der ersten Endstelle (
12 ) ist; y der von der ersten Endstelle (12 ) gemessene Abstand ist, undwobei x die Länge der Wellenführung (14 ) ist, und AR die Querschnittfläche an der ersten Endstelle (12 ) geteilt durch die Querschnittfläche an der zweiten Endstelle (16 ) ist. - Wellenführungssystem nach Anspruch 1, bei dem die Querschnittfläche an der zweiten Endstelle (
16 ) kleiner als die Hälfte der Querschnittfläche an der ersten Endstelle (12 ) ist. - Wellenführungssystem nach Anspruch 3, bei dem die Querschnittfläche an der ersten Endstelle (
16 ) in der Größenordnung von ein Siebtel der Querschnittfläche an der ersten Endstelle (12 ) ist.
Applications Claiming Priority (2)
| Application Number | Priority Date | Filing Date | Title |
|---|---|---|---|
| US146662 | 1993-11-01 | ||
| US09/146,662 US6771787B1 (en) | 1998-09-03 | 1998-09-03 | Waveguide electroacoustical transducing |
Publications (2)
| Publication Number | Publication Date |
|---|---|
| DE69918502D1 DE69918502D1 (de) | 2004-08-12 |
| DE69918502T2 true DE69918502T2 (de) | 2004-11-18 |
Family
ID=22518408
Family Applications (1)
| Application Number | Title | Priority Date | Filing Date |
|---|---|---|---|
| DE1999618502 Expired - Lifetime DE69918502T2 (de) | 1998-09-03 | 1999-08-27 | Elektroakustischer Wandler mit Wellenleiter |
Country Status (5)
| Country | Link |
|---|---|
| US (3) | US6771787B1 (de) |
| EP (2) | EP1284585B1 (de) |
| JP (1) | JP4417489B2 (de) |
| CN (2) | CN101026895B (de) |
| DE (1) | DE69918502T2 (de) |
Families Citing this family (43)
| Publication number | Priority date | Publication date | Assignee | Title |
|---|---|---|---|---|
| US6771787B1 (en) * | 1998-09-03 | 2004-08-03 | Bose Corporation | Waveguide electroacoustical transducing |
| CN100413379C (zh) * | 2000-09-22 | 2008-08-20 | 罗伯特·格伦伯格 | 用在电-声换能器中的相控及压缩插件 |
| US7426280B2 (en) | 2001-01-02 | 2008-09-16 | Bose Corporation | Electroacoustic waveguide transducing |
| US7254239B2 (en) * | 2001-02-09 | 2007-08-07 | Thx Ltd. | Sound system and method of sound reproduction |
| US7457425B2 (en) * | 2001-02-09 | 2008-11-25 | Thx Ltd. | Vehicle sound system |
| US7433483B2 (en) | 2001-02-09 | 2008-10-07 | Thx Ltd. | Narrow profile speaker configurations and systems |
| FR2824990B1 (fr) * | 2001-05-15 | 2003-09-26 | Jean Pierre Morkerken | Emetteur de son et haut-parleur |
| ATE466457T1 (de) * | 2002-07-12 | 2010-05-15 | Oticon As | Suspensionsmittel für einen wandler |
| WO2004034733A1 (en) * | 2002-10-10 | 2004-04-22 | Nokia Corporation | A sound generating apparatus, a mobile electric device and a system for generating sound |
| US7676047B2 (en) | 2002-12-03 | 2010-03-09 | Bose Corporation | Electroacoustical transducing with low frequency augmenting devices |
| US7218747B2 (en) * | 2003-12-05 | 2007-05-15 | Nick Huffman | Externally ported loudspeaker enclosure |
| EP1736029A1 (de) * | 2004-04-01 | 2006-12-27 | Koninklijke Philips Electronics N.V. | Verteiltes akustisches gehäuse |
| US7549509B2 (en) * | 2005-04-21 | 2009-06-23 | Ingersoll-Rand Company | Double throat pulsation dampener for a compressor |
| US20080212807A1 (en) * | 2005-06-08 | 2008-09-04 | General Mems Corporation | Micromachined Acoustic Transducers |
| WO2006135625A2 (en) * | 2005-06-09 | 2006-12-21 | Schultz Roland P | Driver and enclosure combination |
| US7606383B2 (en) * | 2005-10-05 | 2009-10-20 | Qsc Audio Products, Inc. | Curved line array loudspeaker |
| CN101904179A (zh) | 2007-10-22 | 2010-12-01 | 戴维·梅希巴 | 声学系统 |
| US8295526B2 (en) * | 2008-02-21 | 2012-10-23 | Bose Corporation | Low frequency enclosure for video display devices |
| US8351629B2 (en) * | 2008-02-21 | 2013-01-08 | Robert Preston Parker | Waveguide electroacoustical transducing |
| US8615097B2 (en) | 2008-02-21 | 2013-12-24 | Bose Corportion | Waveguide electroacoustical transducing |
| US8351630B2 (en) * | 2008-05-02 | 2013-01-08 | Bose Corporation | Passive directional acoustical radiating |
| JP2010093485A (ja) * | 2008-10-07 | 2010-04-22 | Casio Hitachi Mobile Communications Co Ltd | 防水スピーカ、電子機器、及び防水発音機器 |
| US8002078B2 (en) * | 2009-02-19 | 2011-08-23 | Bose Corporation | Acoustic waveguide vibration damping |
| US8094855B2 (en) | 2009-09-08 | 2012-01-10 | Clements Philip R | Inverse horn loudspeakers |
| US8401216B2 (en) * | 2009-10-27 | 2013-03-19 | Saab Sensis Corporation | Acoustic traveling wave tube system and method for forming and propagating acoustic waves |
| US8265310B2 (en) * | 2010-03-03 | 2012-09-11 | Bose Corporation | Multi-element directional acoustic arrays |
| US8553894B2 (en) | 2010-08-12 | 2013-10-08 | Bose Corporation | Active and passive directional acoustic radiating |
| CN102883252A (zh) * | 2011-07-14 | 2013-01-16 | 上海一诺仪表有限公司 | 超声波换能器锥体形超波导振动子 |
| US9204211B2 (en) | 2011-12-16 | 2015-12-01 | Avnera Corporation | Pad-type device case providing enhanced audio functionality and output |
| US9173018B2 (en) | 2012-06-27 | 2015-10-27 | Bose Corporation | Acoustic filter |
| CN105453584B (zh) | 2013-03-13 | 2019-03-19 | Thx有限公司 | 纤薄轮廓扩音器 |
| US9754578B2 (en) | 2014-01-09 | 2017-09-05 | Dolby Laboratories Licensing Corporation | Loudspeaker horn and cabinet |
| US9451355B1 (en) | 2015-03-31 | 2016-09-20 | Bose Corporation | Directional acoustic device |
| US10057701B2 (en) | 2015-03-31 | 2018-08-21 | Bose Corporation | Method of manufacturing a loudspeaker |
| WO2017196631A1 (en) * | 2016-05-10 | 2017-11-16 | Bose Corporation | Acoustic device |
| US9749735B1 (en) * | 2016-07-06 | 2017-08-29 | Bose Corporation | Waveguide |
| DE102017214404B4 (de) * | 2017-08-18 | 2023-12-28 | Audi Ag | Lautsprecheranordnung und Fahrzeug |
| WO2019107781A1 (en) | 2017-11-28 | 2019-06-06 | Samsung Electronics Co., Ltd. | Loudspeaker and sound outputting apparatus having the same |
| GB2590656A (en) * | 2019-12-23 | 2021-07-07 | Gp Acoustics International Ltd | Loudspeakers |
| KR102867953B1 (ko) | 2021-01-12 | 2025-10-10 | 삼성전자주식회사 | 소리가 전파되는 관로 구조를 포함하는 전자 장치 |
| WO2022208052A1 (en) * | 2021-03-29 | 2022-10-06 | Bae Systems Plc | Acoustic absorbing structures |
| FR3141252B1 (fr) * | 2022-10-21 | 2024-09-06 | Commissariat Energie Atomique | Dispositif de détection d'un champ magnétique et système de mesure d'un champ magnétique comprenant un tel dispositif |
| CN119468270B (zh) * | 2024-10-26 | 2025-08-19 | 深圳市锦华节能环保厨具有限公司 | 一种用于智能商用uv烟罩的烟气处理控制方法及系统 |
Family Cites Families (42)
| Publication number | Priority date | Publication date | Assignee | Title |
|---|---|---|---|---|
| US1755636A (en) * | 1927-09-22 | 1930-04-22 | Radio Patents Corp | Loud-speaker |
| US2293181A (en) * | 1940-07-17 | 1942-08-18 | Int Standard Electric Corp | Sound absorbing apparatus |
| FR1359616A (fr) | 1960-07-05 | 1964-04-30 | Csf | Nouveau projecteur d'ondes acoustiques |
| US3486578A (en) * | 1967-12-21 | 1969-12-30 | Lawrence Albarino | Electro-mechanical reproduction of sound |
| SE358800B (de) * | 1972-02-29 | 1973-08-06 | Bostedt J | |
| US3940576A (en) * | 1974-03-19 | 1976-02-24 | Schultz Herbert J | Loudspeaker having sound funnelling element |
| US4340778A (en) | 1979-11-13 | 1982-07-20 | Bennett Sound Corporation | Speaker distortion compensator |
| US4628528A (en) * | 1982-09-29 | 1986-12-09 | Bose Corporation | Pressure wave transducing |
| US4930596A (en) * | 1987-06-16 | 1990-06-05 | Matsushita Electric Industrial Co., Ltd. | Loudspeaker system |
| US5012890A (en) * | 1988-03-23 | 1991-05-07 | Yamaha Corporation | Acoustic apparatus |
| US5375564A (en) * | 1989-06-12 | 1994-12-27 | Gail; Josef | Rotating cylinder internal combustion engine |
| FR2653630B1 (fr) | 1989-10-23 | 1994-01-14 | Di Carlo Gilles Scotto | Structure d'enceinte acoustique. |
| US5105905A (en) * | 1990-05-07 | 1992-04-21 | Rice Winston C | Co-linear loudspeaker system |
| US5740259A (en) * | 1992-06-04 | 1998-04-14 | Bose Corporation | Pressure wave transducing |
| US5373564A (en) * | 1992-10-02 | 1994-12-13 | Spear; Robert J. | Transmission line for planar waves |
| US6002781A (en) * | 1993-02-24 | 1999-12-14 | Matsushita Electric Industrial Co., Ltd. | Speaker system |
| US6278789B1 (en) * | 1993-05-06 | 2001-08-21 | Bose Corporation | Frequency selective acoustic waveguide damping |
| AU666616B2 (en) * | 1993-06-30 | 1996-02-15 | Sanyo Electric Co., Ltd. | Microwave oven including antenna for radiating microwave |
| US5481385A (en) * | 1993-07-01 | 1996-01-02 | Alliedsignal Inc. | Direct view display device with array of tapered waveguide on viewer side |
| DK171338B1 (da) | 1994-10-10 | 1996-09-09 | Brueel & Kjaer As | Rundtstrålende lydkilde |
| GB2295518B (en) * | 1994-12-23 | 1998-08-05 | Graeme John Huon | Loudspeaker system incorporating acoustic waveguide filters and method of construction |
| US5673329A (en) * | 1995-03-23 | 1997-09-30 | Wiener; David | Omni-directional loudspeaker system |
| US5644109A (en) * | 1995-05-30 | 1997-07-01 | Newman; Ottis G. | Speaker enclosure |
| US5828759A (en) | 1995-11-30 | 1998-10-27 | Siemens Electric Limited | System and method for reducing engine noise |
| US5821471A (en) | 1995-11-30 | 1998-10-13 | Mcculler; Mark A. | Acoustic system |
| US5963640A (en) | 1996-11-07 | 1999-10-05 | Ericsson, Inc. | Radiotelephone having an acoustical wave guide coupled to a speaker |
| US5832099A (en) * | 1997-01-08 | 1998-11-03 | Wiener; David | Speaker system having an undulating rigid speaker enclosure |
| US5815589A (en) * | 1997-02-18 | 1998-09-29 | Wainwright; Charles E. | Push-pull transmission line loudspeaker |
| JPH11220789A (ja) | 1998-01-30 | 1999-08-10 | Sony Corp | 電気音響変換装置 |
| US6144751A (en) * | 1998-02-24 | 2000-11-07 | Velandia; Erich M. | Concentrically aligned speaker enclosure |
| US6771787B1 (en) * | 1998-09-03 | 2004-08-03 | Bose Corporation | Waveguide electroacoustical transducing |
| DE19861018C2 (de) * | 1998-12-15 | 2001-06-13 | Fraunhofer Ges Forschung | Gesteuerter akustischer Wellenleiter zur Schalldämpfung |
| US6374120B1 (en) * | 1999-02-16 | 2002-04-16 | Denso Corporation | Acoustic guide for audio transducers |
| US6704425B1 (en) * | 1999-11-19 | 2004-03-09 | Virtual Bass Technologies, Llc | System and method to enhance reproduction of sub-bass frequencies |
| US6431309B1 (en) * | 2000-04-14 | 2002-08-13 | C. Ronald Coffin | Loudspeaker system |
| JP4240795B2 (ja) * | 2000-10-10 | 2009-03-18 | コニカミノルタビジネステクノロジーズ株式会社 | 画像形成システム及び画像形成装置並びにジョブデータの処理方法 |
| US7426280B2 (en) * | 2001-01-02 | 2008-09-16 | Bose Corporation | Electroacoustic waveguide transducing |
| US6662627B2 (en) * | 2001-06-22 | 2003-12-16 | Desert Research Institute | Photoacoustic instrument for measuring particles in a gas |
| US6820431B2 (en) * | 2002-10-31 | 2004-11-23 | General Electric Company | Acoustic impedance-matched fuel nozzle device and tunable fuel injection resonator assembly |
| US6792907B1 (en) * | 2003-03-04 | 2004-09-21 | Visteon Global Technologies, Inc. | Helmholtz resonator |
| JP2006125381A (ja) * | 2004-09-29 | 2006-05-18 | Toyoda Gosei Co Ltd | 共鳴器 |
| DE102007039598B4 (de) * | 2006-09-05 | 2010-07-22 | DENSO CORPORATION, Kariya-shi | Ultraschallsensor und Hindernis-Detektorvorrichtung |
-
1998
- 1998-09-03 US US09/146,662 patent/US6771787B1/en not_active Expired - Lifetime
-
1999
- 1999-08-27 EP EP02026327A patent/EP1284585B1/de not_active Expired - Lifetime
- 1999-08-27 EP EP99306839A patent/EP0984662B1/de not_active Expired - Lifetime
- 1999-08-27 DE DE1999618502 patent/DE69918502T2/de not_active Expired - Lifetime
- 1999-09-03 CN CN200710089694.0A patent/CN101026895B/zh not_active Expired - Lifetime
- 1999-09-03 JP JP25030999A patent/JP4417489B2/ja not_active Expired - Lifetime
- 1999-09-03 CN CN99118610A patent/CN1258185A/zh active Pending
-
2004
- 2004-06-11 US US10/866,566 patent/US7623670B2/en not_active Expired - Lifetime
-
2009
- 2009-10-09 US US12/576,274 patent/US20100092019A1/en not_active Abandoned
Also Published As
| Publication number | Publication date |
|---|---|
| US7623670B2 (en) | 2009-11-24 |
| US6771787B1 (en) | 2004-08-03 |
| EP0984662A3 (de) | 2001-04-11 |
| EP0984662B1 (de) | 2004-07-07 |
| DE69918502D1 (de) | 2004-08-12 |
| JP2000092583A (ja) | 2000-03-31 |
| CN101026895A (zh) | 2007-08-29 |
| US20050036642A1 (en) | 2005-02-17 |
| CN1258185A (zh) | 2000-06-28 |
| EP1284585B1 (de) | 2011-10-05 |
| EP1284585A1 (de) | 2003-02-19 |
| CN101026895B (zh) | 2014-01-29 |
| JP4417489B2 (ja) | 2010-02-17 |
| HK1108265A1 (en) | 2008-05-02 |
| EP0984662A2 (de) | 2000-03-08 |
| US20100092019A1 (en) | 2010-04-15 |
Similar Documents
| Publication | Publication Date | Title |
|---|---|---|
| DE69918502T2 (de) | Elektroakustischer Wandler mit Wellenleiter | |
| DE4423762C2 (de) | Gebläse | |
| DE60005382T2 (de) | Breitbandiger unterwasser-schallwandler | |
| DE2162196C3 (de) | Wellentypwandler | |
| EP0213163B1 (de) | Schalldämpfer-box | |
| DE69021165T2 (de) | Magnetisch abgeschirmter elektromagnetischer Schallwandler. | |
| DE3404655A1 (de) | Vorrichtung zur uebertragung von druckwellen | |
| DE1132593B (de) | Akustisch wirksame Platte, insbesondere zur Ankopplung an einen elektroakustischen Wandler | |
| DE1805834B2 (de) | Wellenleiteranordnung fuer elastische wellen | |
| DE2006864A1 (de) | Mikrowellenbandpaßfilter zur Unter druckung von höheren Harmonischen | |
| DE2858092C2 (de) | Anordnung zur Messung des Strömungsmitteldurchsatzes durch eine Leitung | |
| DE3831784A1 (de) | Breitbandmikrowellenfilter mit geringen verlusten | |
| DE1166269B (de) | Niederfrequenz-Lautsprechersystem | |
| DE2821592A1 (de) | Leitung zur daempfung von schallwellen | |
| EP0166158B1 (de) | Querstromlüfter | |
| DE2427703C2 (de) | Elektro-mechanisches Filter | |
| DE19831161A1 (de) | Dual-Mode Ringresonator | |
| DE69600549T2 (de) | Verfahren und Vorrichtung zur Verminderung der Resonanzfrequenz von Hohlräumen von Unterwasserwandlern | |
| DE2235346C3 (de) | Rundhohlleiter-Wellentypfilter | |
| DE3144545A1 (de) | Lautsprechersystem | |
| DE102005028228A1 (de) | Wellenleiter/Übertragungsleitungswandler | |
| DE2229420C3 (de) | Breitbandiger Schwingungsdämpfer zum Reduzieren von Körperschall | |
| DE69330862T2 (de) | Speziell ausgebildete Blechelemente zur Verbesserung der akustischen oder elektromagnetischen Verträglichkeit | |
| DE2642448A1 (de) | Hochfrequenz-wellentypwandler | |
| DE69012482T2 (de) | Verbesserte Akusto-elektrische Oberflächenwellenanordnung. |
Legal Events
| Date | Code | Title | Description |
|---|---|---|---|
| 8364 | No opposition during term of opposition |