DE69918404T2 - Aminophenoxyessigsäure derivate als neuroschützende mittel - Google Patents

Aminophenoxyessigsäure derivate als neuroschützende mittel Download PDF

Info

Publication number
DE69918404T2
DE69918404T2 DE69918404T DE69918404T DE69918404T2 DE 69918404 T2 DE69918404 T2 DE 69918404T2 DE 69918404 T DE69918404 T DE 69918404T DE 69918404 T DE69918404 T DE 69918404T DE 69918404 T2 DE69918404 T2 DE 69918404T2
Authority
DE
Germany
Prior art keywords
group
substituted
compound
amino
piperidinyl
Prior art date
Legal status (The legal status is an assumption and is not a legal conclusion. Google has not performed a legal analysis and makes no representation as to the accuracy of the status listed.)
Expired - Lifetime
Application number
DE69918404T
Other languages
English (en)
Other versions
DE69918404D1 (de
Inventor
Hirokazu Annoura
Naohiro Takemoto
Hiroshi Uramoto
Current Assignee (The listed assignees may be inaccurate. Google has not performed a legal analysis and makes no representation or warranty as to the accuracy of the list.)
Asubio Pharma Co Ltd
Original Assignee
Daiichi Suntory Pharma Co Ltd
Priority date (The priority date is an assumption and is not a legal conclusion. Google has not performed a legal analysis and makes no representation as to the accuracy of the date listed.)
Filing date
Publication date
Application filed by Daiichi Suntory Pharma Co Ltd filed Critical Daiichi Suntory Pharma Co Ltd
Application granted granted Critical
Publication of DE69918404D1 publication Critical patent/DE69918404D1/de
Publication of DE69918404T2 publication Critical patent/DE69918404T2/de
Anticipated expiration legal-status Critical
Expired - Lifetime legal-status Critical Current

Links

Classifications

    • AHUMAN NECESSITIES
    • A61MEDICAL OR VETERINARY SCIENCE; HYGIENE
    • A61KPREPARATIONS FOR MEDICAL, DENTAL OR TOILETRY PURPOSES
    • A61K31/00Medicinal preparations containing organic active ingredients
    • A61K31/33Heterocyclic compounds
    • A61K31/395Heterocyclic compounds having nitrogen as a ring hetero atom, e.g. guanethidine or rifamycins
    • A61K31/435Heterocyclic compounds having nitrogen as a ring hetero atom, e.g. guanethidine or rifamycins having six-membered rings with one nitrogen as the only ring hetero atom
    • A61K31/44Non condensed pyridines; Hydrogenated derivatives thereof
    • A61K31/445Non condensed piperidines, e.g. piperocaine
    • A61K31/4468Non condensed piperidines, e.g. piperocaine having a nitrogen directly attached in position 4, e.g. clebopride, fentanyl
    • CCHEMISTRY; METALLURGY
    • C07ORGANIC CHEMISTRY
    • C07DHETEROCYCLIC COMPOUNDS
    • C07D401/00Heterocyclic compounds containing two or more hetero rings, having nitrogen atoms as the only ring hetero atoms, at least one ring being a six-membered ring with only one nitrogen atom
    • C07D401/02Heterocyclic compounds containing two or more hetero rings, having nitrogen atoms as the only ring hetero atoms, at least one ring being a six-membered ring with only one nitrogen atom containing two hetero rings
    • C07D401/06Heterocyclic compounds containing two or more hetero rings, having nitrogen atoms as the only ring hetero atoms, at least one ring being a six-membered ring with only one nitrogen atom containing two hetero rings linked by a carbon chain containing only aliphatic carbon atoms
    • AHUMAN NECESSITIES
    • A61MEDICAL OR VETERINARY SCIENCE; HYGIENE
    • A61KPREPARATIONS FOR MEDICAL, DENTAL OR TOILETRY PURPOSES
    • A61K31/00Medicinal preparations containing organic active ingredients
    • A61K31/33Heterocyclic compounds
    • A61K31/395Heterocyclic compounds having nitrogen as a ring hetero atom, e.g. guanethidine or rifamycins
    • A61K31/435Heterocyclic compounds having nitrogen as a ring hetero atom, e.g. guanethidine or rifamycins having six-membered rings with one nitrogen as the only ring hetero atom
    • A61K31/44Non condensed pyridines; Hydrogenated derivatives thereof
    • A61K31/445Non condensed piperidines, e.g. piperocaine
    • AHUMAN NECESSITIES
    • A61MEDICAL OR VETERINARY SCIENCE; HYGIENE
    • A61KPREPARATIONS FOR MEDICAL, DENTAL OR TOILETRY PURPOSES
    • A61K31/00Medicinal preparations containing organic active ingredients
    • A61K31/33Heterocyclic compounds
    • A61K31/395Heterocyclic compounds having nitrogen as a ring hetero atom, e.g. guanethidine or rifamycins
    • A61K31/435Heterocyclic compounds having nitrogen as a ring hetero atom, e.g. guanethidine or rifamycins having six-membered rings with one nitrogen as the only ring hetero atom
    • A61K31/44Non condensed pyridines; Hydrogenated derivatives thereof
    • A61K31/445Non condensed piperidines, e.g. piperocaine
    • A61K31/4523Non condensed piperidines, e.g. piperocaine containing further heterocyclic ring systems
    • A61K31/454Non condensed piperidines, e.g. piperocaine containing further heterocyclic ring systems containing a five-membered ring with nitrogen as a ring hetero atom, e.g. pimozide, domperidone
    • AHUMAN NECESSITIES
    • A61MEDICAL OR VETERINARY SCIENCE; HYGIENE
    • A61KPREPARATIONS FOR MEDICAL, DENTAL OR TOILETRY PURPOSES
    • A61K31/00Medicinal preparations containing organic active ingredients
    • A61K31/33Heterocyclic compounds
    • A61K31/395Heterocyclic compounds having nitrogen as a ring hetero atom, e.g. guanethidine or rifamycins
    • A61K31/435Heterocyclic compounds having nitrogen as a ring hetero atom, e.g. guanethidine or rifamycins having six-membered rings with one nitrogen as the only ring hetero atom
    • A61K31/44Non condensed pyridines; Hydrogenated derivatives thereof
    • A61K31/445Non condensed piperidines, e.g. piperocaine
    • A61K31/4523Non condensed piperidines, e.g. piperocaine containing further heterocyclic ring systems
    • A61K31/4545Non condensed piperidines, e.g. piperocaine containing further heterocyclic ring systems containing a six-membered ring with nitrogen as a ring hetero atom, e.g. pipamperone, anabasine
    • AHUMAN NECESSITIES
    • A61MEDICAL OR VETERINARY SCIENCE; HYGIENE
    • A61PSPECIFIC THERAPEUTIC ACTIVITY OF CHEMICAL COMPOUNDS OR MEDICINAL PREPARATIONS
    • A61P21/00Drugs for disorders of the muscular or neuromuscular system
    • AHUMAN NECESSITIES
    • A61MEDICAL OR VETERINARY SCIENCE; HYGIENE
    • A61PSPECIFIC THERAPEUTIC ACTIVITY OF CHEMICAL COMPOUNDS OR MEDICINAL PREPARATIONS
    • A61P25/00Drugs for disorders of the nervous system
    • AHUMAN NECESSITIES
    • A61MEDICAL OR VETERINARY SCIENCE; HYGIENE
    • A61PSPECIFIC THERAPEUTIC ACTIVITY OF CHEMICAL COMPOUNDS OR MEDICINAL PREPARATIONS
    • A61P25/00Drugs for disorders of the nervous system
    • A61P25/14Drugs for disorders of the nervous system for treating abnormal movements, e.g. chorea, dyskinesia
    • A61P25/16Anti-Parkinson drugs
    • AHUMAN NECESSITIES
    • A61MEDICAL OR VETERINARY SCIENCE; HYGIENE
    • A61PSPECIFIC THERAPEUTIC ACTIVITY OF CHEMICAL COMPOUNDS OR MEDICINAL PREPARATIONS
    • A61P25/00Drugs for disorders of the nervous system
    • A61P25/28Drugs for disorders of the nervous system for treating neurodegenerative disorders of the central nervous system, e.g. nootropic agents, cognition enhancers, drugs for treating Alzheimer's disease or other forms of dementia
    • AHUMAN NECESSITIES
    • A61MEDICAL OR VETERINARY SCIENCE; HYGIENE
    • A61PSPECIFIC THERAPEUTIC ACTIVITY OF CHEMICAL COMPOUNDS OR MEDICINAL PREPARATIONS
    • A61P43/00Drugs for specific purposes, not provided for in groups A61P1/00-A61P41/00
    • AHUMAN NECESSITIES
    • A61MEDICAL OR VETERINARY SCIENCE; HYGIENE
    • A61PSPECIFIC THERAPEUTIC ACTIVITY OF CHEMICAL COMPOUNDS OR MEDICINAL PREPARATIONS
    • A61P9/00Drugs for disorders of the cardiovascular system
    • A61P9/10Drugs for disorders of the cardiovascular system for treating ischaemic or atherosclerotic diseases, e.g. antianginal drugs, coronary vasodilators, drugs for myocardial infarction, retinopathy, cerebrovascula insufficiency, renal arteriosclerosis
    • CCHEMISTRY; METALLURGY
    • C07ORGANIC CHEMISTRY
    • C07DHETEROCYCLIC COMPOUNDS
    • C07D211/00Heterocyclic compounds containing hydrogenated pyridine rings, not condensed with other rings
    • C07D211/04Heterocyclic compounds containing hydrogenated pyridine rings, not condensed with other rings with only hydrogen or carbon atoms directly attached to the ring nitrogen atom
    • C07D211/06Heterocyclic compounds containing hydrogenated pyridine rings, not condensed with other rings with only hydrogen or carbon atoms directly attached to the ring nitrogen atom having no double bonds between ring members or between ring members and non-ring members
    • C07D211/36Heterocyclic compounds containing hydrogenated pyridine rings, not condensed with other rings with only hydrogen or carbon atoms directly attached to the ring nitrogen atom having no double bonds between ring members or between ring members and non-ring members with hetero atoms or with carbon atoms having three bonds to hetero atoms with at the most one bond to halogen, e.g. ester or nitrile radicals, directly attached to ring carbon atoms
    • C07D211/56Nitrogen atoms
    • C07D211/58Nitrogen atoms attached in position 4
    • CCHEMISTRY; METALLURGY
    • C07ORGANIC CHEMISTRY
    • C07DHETEROCYCLIC COMPOUNDS
    • C07D401/00Heterocyclic compounds containing two or more hetero rings, having nitrogen atoms as the only ring hetero atoms, at least one ring being a six-membered ring with only one nitrogen atom
    • C07D401/02Heterocyclic compounds containing two or more hetero rings, having nitrogen atoms as the only ring hetero atoms, at least one ring being a six-membered ring with only one nitrogen atom containing two hetero rings
    • C07D401/12Heterocyclic compounds containing two or more hetero rings, having nitrogen atoms as the only ring hetero atoms, at least one ring being a six-membered ring with only one nitrogen atom containing two hetero rings linked by a chain containing hetero atoms as chain links

Landscapes

  • Health & Medical Sciences (AREA)
  • Chemical & Material Sciences (AREA)
  • Organic Chemistry (AREA)
  • General Health & Medical Sciences (AREA)
  • Public Health (AREA)
  • Veterinary Medicine (AREA)
  • Medicinal Chemistry (AREA)
  • Animal Behavior & Ethology (AREA)
  • Life Sciences & Earth Sciences (AREA)
  • Pharmacology & Pharmacy (AREA)
  • Bioinformatics & Cheminformatics (AREA)
  • Engineering & Computer Science (AREA)
  • Epidemiology (AREA)
  • Nuclear Medicine, Radiotherapy & Molecular Imaging (AREA)
  • Chemical Kinetics & Catalysis (AREA)
  • General Chemical & Material Sciences (AREA)
  • Neurology (AREA)
  • Biomedical Technology (AREA)
  • Neurosurgery (AREA)
  • Vascular Medicine (AREA)
  • Physical Education & Sports Medicine (AREA)
  • Heart & Thoracic Surgery (AREA)
  • Cardiology (AREA)
  • Psychiatry (AREA)
  • Psychology (AREA)
  • Orthopedic Medicine & Surgery (AREA)
  • Hospice & Palliative Care (AREA)
  • Urology & Nephrology (AREA)
  • Pharmaceuticals Containing Other Organic And Inorganic Compounds (AREA)
  • Organic Low-Molecular-Weight Compounds And Preparation Thereof (AREA)
  • Acyclic And Carbocyclic Compounds In Medicinal Compositions (AREA)
  • Hydrogenated Pyridines (AREA)
  • Pyridine Compounds (AREA)
  • Pyrrole Compounds (AREA)
  • Plural Heterocyclic Compounds (AREA)

Description

  • TECHNISCHES GEBIET
  • Die vorliegende Erfindung bezieht sich auf neue Aminophenoxyessigsäure-Derivate und pharmazeutisch annehmbare Salze davon, die neuroprotektive Wirkungen haben, indem sie Calbindin D28Kd, eines der Ca2+-bindenen Proteine, induzieren oder verstärken, und die bei der Verbesserung und Behandlung funktioneller und organischer Störungen im Gehirn einsetzbar sind. Die vorliegende Erfindung bezieht sich spezifischer auf therapeutische Mittel und Verbesserungsmittel für die Linderung oder Behandlung von Symptomen infolge verschiedener ischämischer Störungen im Gehirn, z. B. Folgen von Hirninfarkt, Folgen intracerebraler Blutung und Folgen von Hirnarteriensklerose, wie auch von Symptomen organischer Störungen im Gehirn, z. B. senile Demenz, Folgen einer Kopfverletzung, Folgen einer chirurgischen Hirnoperation, Alzheimer-Krankheit, Parkinson-Krankheit, amyotrophe Lateralsklerose.
  • STAND DER TECHNIK
  • Es wird im Allgemeinen davon ausgegangen, dass die Pathogenese eines progressiven, verzögerten Tods von Nervenzellen, der bei einer cerebralen Schädigung und einer cerebrovaskulären Störung, wie z. B. intracerebrale Blutung, transitorische ischämische Attacke und Hirninfarkt, beobachtet wird, hauptsächlich durch einen Anstieg der intrazellulären Ca2+-Konzentration infolge verschiedener Faktoren, die mit Signaltransduktion in Verbindung stehen, verursacht wird. Solche Faktoren, die mit einer Signaltransduktion in Verbindung stehen, umfassen z. B. eine abnormale Aktivierung von Glutamatrezeptoren infolge einer übermäßigen Glutamatfreisetzung, d. h. exzitatorischer Neutrotransmitter, abnormaler Aktivierung von Ionenkanälen und übermäßige Produktion von reaktiven Sauerstoffspezies/freien Radikalen. [F. B. Meyer, Brain Res. Rev., 14, 227 (1989); E. Boddeke et al., Trends Pharmacol. Sci. 10, 397 (1989); J. M. McCall et al., Ann. Rep. Med. Chem., 27, 31 (1992)].
  • Unter diesen Gesichtspunkten wurden Medikamente zur Verhinderung oder Unterdrückung des Tods neuronaler Zellen, z. B. Glutamatrezeptorantagonisten, Calciumkanalblocker und Antioxidantien, entwickelt. Allerdings unterdrücken diese klinisch verwendeten Medikamente nur wenige Wege, die mit einer Erhöhung der zellulären Ca2+-Konzentration in Verbindung stehen, und sind zur Verhinderung oder Unterdrückung des Tods neuronaler Zellen nicht ausreichend.
  • Dagegen wird von Calbindin D28Kd, einem der Ca2+-bindenden Proteine, hauptsächlich verteilt an einer für eine ischämische Störung anfälligen Stelle des Gehirns, beschrieben, dass es puffernde Wirkungen für eine Erhöhung der cytotoxischen intrazellulären Ca2+-Konzentration besitzt. [A. M. Lacopino et al., Neurodegeneration, 3, 1 (1994); M. P. Mattson et al., Neuron, 6, 41, (1991)].
  • Darüber hinaus wurde berichtet, dass das Vorliegen von Calbindin in cortikalen Neuronen von Ratten in vitro vor oxidativem Stress schützt. [J. Hugon et al., Brain Res., 707, 288, (1996)].
  • Folglich wird erwartet, dass ausreichende neuroprotektive Wirkungen gegen die Erhöhung einer intrazellulären Ca2+-Konzentration, die durch beliebige Wege verursacht wird, erreicht werden können, wenn Calbindin D28Kd, eines der Ca2+-bindenden Proteine per se, einem lebenden Körper zugeführt werden kann. D. h., es wird erwartet, dass Medikamente, die Calbindin D28Kd enthalten, wirksame therapeutische Mittel und verbessernde Mittel für eine Linderung oder Behandlung von Symptomen infolge verschiedener ischämischer Störungen im Gehirn, z. B. Folgen von Hirninfarkt, Folgen intracerebraler Blutung und Folge von Hirnarteriensklerose, und von Symptomen organischer Störungen im Gehirn, z. B. senile Demenz, Folgen einer Kopfverletzung, Folgen einer chirurgischen Hirnoperation, Alzheimer-Krankheit, Parkinson-Krankheit, amyotrophe Lateralsklerose, sein würden.
  • Da allerdings Calbindin D28Kd ein instabiles makromolekulares Protein mit einem Molekulargewicht von 28 Kd (Kilodalton) ist, ist es unter pharmakologischen und pharmazeutischen Gesichtspunkten schwierig, dieses direkt an eine Stelle im Zentralnervensystem eines lebenden Körpers zu verabreichen.
  • Andererseits können die niedermolekularen Verbindungen, die Wirkung auf die Induktion von Calbindin D28Kd haben, in einfacher Weise durch herkömmliche Techniken zu verschiedenen Arten pharmazeutischer Zusammensetzungen hergestellt werden. Somit wird erwartet, dass diese niedermolekularen Verbindungen das Calbindin D28Kd nach Verabreichung in einen Körper induzieren und Pufferwirkung gegen die Erhöhung der zellulären Ca2+-Konzentration besitzen. D. h., diese niedrigeren Verbindungen können wirksame Verbindungen zur Verbesserung und Behandlung von Funktionsstörungen und organischen Störungen im Gehirn sein.
  • Unter diesen Umständen besteht die Aufgabe der vorliegenden Erfindung in der Bereitstellung der Verbindungen mit niedrigem Molekulargewicht, die eine neuroprotektive Wirkung haben, indem sie das Calbindin D28Kd, eines der Ca2+-bindenden Proteine, induzieren, geringe Toxizität haben, in geeigneten Präparationen pharmazeutischer Zusammensetzungen, z. B. als intravenös injizierbare Lösung.
  • Der weitere Zweck der vorliegenden Erfindung besteht in der Bereitstellung der therapeutischen Mittel und verbessernden Mittel für die Linderung oder Behandlung von Symptomen infolge verschiedener ischämischer Störungen im Gehirn, z. B. als Folgen von Hirninfarkt, Folgen intracerebraler Blutung und Folgen von Hirnarteriensklerose, sowie von Symptomen organischer Störungen im Gehirn, z. B. senile Demenz, Folgen einer Kopfverletzung, Folgen einer chirurgischen Hirnoperation, Alzheimer-Krankheit, Parkinson-Krankheit und amyotrophe Lateralsklerose.
  • OFFENBARUNG DER ERFINDUNG
  • Nach einem Aspekt der vorliegenden Erfindung werden Aminophenoxyessigsäure-Derivate, die durch die folgende Formel (I) dargestellt werden:
    Figure 00030001
    worin:
    R1, R2, R3 und R4 unabhängig voneinander jeweils ein Wasserstoffatom, ein Halogenatom, eine Hydroxylgruppe, eine Alkoxygruppe, die substituiert sein kann, eine Alkylgruppe, die substituiert sein kann, eine Arylgruppe, die substituiert sein kann, oder eine Aralkylgruppe, die substituiert sein kann, sind;
    R5, R6, R7 und R8 unabhängig voneinander jeweils ein Wasserstoffatom, eine Alkylgruppe, die substituiert sein kann, eine Arylgruppe, die substituiert sein kann, oder eine Aralkylgruppe, die substituiert sein kann, sind;
    E1 eine Gruppe -NR9- (worin R9 ein Wasserstoffatom, eine Alkylgruppe, die substituiert sein kann, eine Arylgruppe, die substituiert sein kann, oder eine Aralkylgruppe, die substituiert sein kann, ist) ist;
    E2 ein Sauerstoffatom, ein Schwefelatom oder eine Gruppe -NR10 (worin R10 ein Wasserstoffatom, eine Alkylgruppe, die substituiert sein kann, eine Arylgruppe, die substituiert sein kann, oder eine Aralkylgruppe, die substituiert sein kann, ist) ist;
    n 0 bis 5 ist;
    X und Y jeweils unabhängig voneinander eine direkte Bindung, eine Alkylengruppe, die durch eine Hydroxylgruppe, Carboxylgruppe, Oxogruppe oder Morpholinylgruppe substituiert sein kann, eine Cycloalkylengruppe, eine Alkenylengruppe, die durch eine C1-C3-Alkylgruppe substituiert sein kann, -NHCO-, -CONH- oder -SO2- sind, oder -X-Y- für -CON(CH3)- steht;
    Q ein Wasserstoffatom, eine Naphthylgruppe, eine Phenylgruppe, die substituiert sein kann, eine Phenoxygruppe, die substituiert sein kann, eine Benzoylgruppe, die substituiert sein kann, eine Pyridylgruppe, die substituiert sein kann, eine Chinolylgruppe, die substituiert sein kann, eine Isochinolylgruppe, die substituiert sein kann, oder eine Benzimidazolylgruppe, die substituiert sein kann, ist (mit der Maßgabe, dass, wenn E1 ein Stickstoffatom ist und E2 ein Sauerstoffatom ist, nicht alle Gruppen R1, R2, R3 und R4 gleichzeitig eine Methylgruppe darstellen);
    oder pharamzeutisch annehmbare Salze davon, bereitgestellt.
  • Spezifischer stellt die vorliegende Erfindung Aminophenoxyessigsäure-Derivate der Formel (I), worin:
    • 1. R1, R2, R3 und R4 unabhängig voneinander jeweils ein Wasserstoffatom, ein Halogenatom, eine Alkoxygruppe oder eine Alkylgruppe, die substituiert sein kann, sind; R5 Wasserstoff oder eine Alkylgruppe, die substituiert sein kann, ist; E1 -NH- ist; und E2 ein Sauerstoffatom ist;
    • 2. E1 -NH- ist; E2 ein Sauerstoffatom ist; entweder X eine direkte Bindung ist und Y eine -CONH-Gruppe ist oder X die -CONH-Gruppe ist und Y eine direkte Bindung ist; Q eine Phenylgruppe ist, die substituiert sein kann; und
    • 3. E1 und E2 -NH- sind; X und Y eine direkte Bindung sind; Q eine Phenylgruppe, die substituiert sein kann, ist,
    oder die pharmazeutisch annehmbaren Salze davon bereit.
  • Durch die Untersuchungen des Erfinders der vorliegenden Erfindung wird bestätigt, dass die Aminophenoxyessigsäure, die durch die Formel (I) dargestellt wird, in geringer Konzentration wirksam Calbindin D28Kd induzierte und dementsprechend eine ausgezeichnete neuroprotektive Wirkung besitzt. Darüber hinaus wurde auch bestätigt, dass diese Verbindungen eine hohe Sicherheitsgrenze haben und zur Herstellung von verschiedenen Arten pharmazeutischer Zusammensetzungen geeignet sind.
  • Daher stellt die vorliegende Erfindung das Calbindin D28Kd-induzierende Mittel, das Aminophenoxyessigsäure-Derivate, die durch die Formel (I) dargestellt werden, oder pharmazeutisch annehmbare Salze davon, als aktives Ingredienz enthält, als weitere Ausführungsform bereit.
  • Noch eine weitere Ausführungsform der vorliegenden Erfindung liefert ein verbesserndes Mittel und ein therapeutisches Mittel für Funktionsstörungen und organische Störungen im Gehirn, wobei diese Mittel Aminophenoxyessigsäure-Derivate, die durch die Formel (I) dargestellt werden, oder ein pharmazeutisch annehmbares Salz davon, als aktives Ingredienz enthalten.
  • Obgleich die Aminophenoxyessigsäure-Derivate der Formel (I) Verbindungen mit niedrigerem Molekulargewicht sind, exprimieren sie die neuroprotektive Wirkung nach Verabreichung in einen lebenden Körper, indem sie das Calbindin D28Kd induzieren.
  • Als noch weitere Ausführungsform stellt die vorliegende Erfindung neuroprotektive Verbindungen zur Induktion des Calbindin D28Kd, eines der Ca2+-bindenden Proteine, bereit.
  • Als noch weitere Ausführungsform stellt die vorliegende Erfindung therapeutische Mittel und verbessernde Mittel, die Verbindungen mit neuroprotektiver Wirkung durch Induzieren des Calbindin D28Kd enthalten, gegen Funktionsstörungen im Gehirn infolge verschiedener ischämischer Störungen, z. B. Hirninfarkt, intracerebrale Blutung und Hirnarteriensklerose, bereit.
  • Als noch weitere Ausführungsform stellt die vorliegende Erfindung therapeutische und verbessernde Mittel, die Verbindungen mit neuroprotektiver Wirkung durch Induzieren von Calbindin D28Kd enthalten, gegen organische Störungen im Gehirn, z. B. senile Demenz, Gehirnverletzung, Folgen einer chirurgischen Hirnoperation, Alzheimer-Krankheit, Parkinson-Krankheit und amyotropher Lateralsklerose, bereit.
  • Als bevorzugte Ausführungsform stellt die vorliegende Erfindung die Aminophenoxyessigsäure-Derivate, die durch die Formel (I) dargestellt werden, oder ein pharmazeutisch annehmbares Salz davon, als pharmazeutische Zusammensetzung bereit, die die Verbindungen mit neuroprotektiver Wirkung durch Induzieren des Calbindin D28Kd enthalten.
  • BESTER MODUS ZUR DURCHFÜHRUNG DER ERFINDUNG
  • Die Aminophenoxyessigsäure-Derivate der vorliegenden Erfindung umfassen Aminophenoxyessigsäuren, Aminoanilinoessigsäuren, Aminothiophenoxyessigsäuren, Oxyanilinoessigsäu ren und Thioanilinoessigsäuren. Demnach umfasst "Aminophenoxyessigsäure-Derivate" in dieser Beschreibung alle oben angegebenen Derivate, solange nichts anderes angegeben ist.
  • In den Aminophenoxyessigsäure-Derivaten der Formel (I), die durch die vorliegende Erfindung bereitgestellt werden, umfasst das "Halogenatom" bezüglich der verschiedenen Substitutionsgruppen R1 bis R10 das Fluoratom, Chloratom und Bromatom.
  • Der Ausdruck "Alkoxygruppe" steht für eine geradkettige oder verzweigte C1-C5-Alkoxygruppe und kann z. B. Methoxy, Ethoxy, n-Propoxy, Isopropoxy, n-Butoxy, sek.-Butoxy und tert.-Butoxy umfassen.
  • Der Ausdruck "Alkylgruppe, die substituiert sein kann" steht für eine geradkettige oder verzweigtkettige C1-C5-Alkylgruppe, die Halogen-substituiert sein kann, und kann z. B. die Methyl-, Ethyl-, Propyl- und Trifluormethylgruppe umfassen.
  • Das "Aryl", ein Teil des Ausdrucks "Arylgruppe, die substituiert sein kann", steht für eine C4-C14-Arylgruppe oder Heteroarylgruppe, die ein Heteroringatom oder mehrere Heteroringatome enthalten kann, z. B. Stickstoff- und Sauerstoffatom(e). Beispiele des bevorzugten "Aryl" umfassen Phenyl, Pyridyl und Naphthyl. Die geeigneten Substituenten der Arylgruppe umfassen ein Halogenatom, z. B. ein Fluoratom, Chloratom und Bromatom; eine Hydroxygruppe, eine geradkettige oder verzweigte C1-C5-Alkoxygruppe, z. B. Methoxygruppe und Ethoxygruppe; und eine geradkettige oder verzweigte C1-C5-Alkylgruppe, die durch Halogen substituiert sein kann, z. B. Methyl, Ethyl, Propyl und Trifluormethyl.
  • Das "Aralkyl", ein Teil des Ausdrucks "Aralkylgruppe, die substituiert sein kann", steht für eine C5-C12-Aralkylgruppe oder Heteroarylalkylgruppe, die ein Heteroringatom oder mehrere Heteroringatome, z. B. Stickstoff- und Sauerstoffatom(e), enthalten kann. Die Beispiele umfassen Benzyl, Phenethyl, Pyridylmethyl und Pyridylethyl. Die geeigneten Substituenten der Aralkylgruppe umfassen Halogenatome, z. B. Fluoratom, Chloratom und Bromatom; eine Hydroxygruppe; eine geradkettige oder verzweigte C1-C5-Alkoxygruppe, z. B. Ethoxygruppe; und eine geradkettige oder verzweigte C1-C5-Alkylgruppe, die durch Halogen substituiert sein kann, z. B. Methyl, Ethyl, Propyl und Trifluormethyl.
  • Das "Alkylen", ein Teil des Ausdrucks "Alkylengruppe, die durch eine Hydroxylgruppe substituiert sein kann", bezieht sich auf die Substituenten X und Y und stellt vorzugsweise eine geradkettige oder verzweigte C1-C6-Alkylengruppe dar, z. B. Methylen, Methylmethylen, Ethylen, Trimethylen, Tetramethylen und Cyclopropylmethylen.
  • Der Ausdruck "Cycloalkylen" steht vorzugsweise für C3-C6 Cycloalkylen und kann 1,1-Cyclopropylen, 1,2-Cyclopropylen, 1,1-Cyclobutylen, 1,1-Cyclopentylen, 1,1-Cyclohexylen, und dergleichen, umfassen. Unter diesen sind 1,1-Cyclopropylen und 1,2-Cyclopropylen bevorzugter.
  • Das "Alkenylen", ein Teil des Ausdrucks "Alkenylengruppe, die durch eine niedrigere Alkylgruppe substituiert sein kann", kann C2-C4-Alkenylen, z. B. Vinylen und Butadien, umfassen, wobei Vinylen bevorzugt verwendet wird. Die niedrigere Alkylgruppe, die Substituent der Alkylengruppe ist, kann Methyl, Ethyl, Propyl, Isopropyl sein.
  • Die geeigneten, durch "Q" dargestellten Substituenten für "Phenylgruppe, die substituiert sein kann", "Phenoxygruppe, die substituiert sein kann", "Benzoylgruppe, die substituiert sein kann", "Pyridylgruppe, die substituiert sein kann", "Chinolylgruppe, die substituiert sein kann", "Isochinolylgruppe, die substituiert sein kann" und "Benzimidazolylgruppe, die substituiert sein kann", kann ein Halogenatom, z. B. Floratom, Chloratom und Bromatom; eine Hydroxylgruppe; eine geradkettige oder verzweigtkettige C1-C5-Alkoxygruppe, beispielsweise eine Methoxy- und Ethoxygruppe, umfassen. Darüber hinaus können diese Substituenten auch eine geradkettige oder verzweigte C1-C5-Alkylgruppe umfassen, die durch ein Halogenatom, z. B. Floratom, Chloratom und Bromatom, substituiert sein kann. Diese Beispiele umfassen Methyl, Ethyl, Propyl und Trifluormethyl. Außerdem umfassen diese Substituenten eine Carboxylgruppe, eine Carbamoylgruppe und eine Aminogruppe.
  • Der Ausdruck "verbindende Bindung bzw. Bindungsgruppe" in Verbindung mit "X" und "Y" bedeutet eine direkte Bindung. Wenn demnach "X" und/oder "Y" eine verbindende Bindung sind, sind zwei benachbarte Substituenten von "X" und/oder "Y" direkt verbunden, und diese Substituenten existieren nicht als "X" und/oder "Y".
  • Es ist einzusehen, dass, wenn die Aminophenoxyessigsäure-Derivate der Formel (I) der vorliegenden Erfindung in den isomeren Formen vorliegen, jedes Isomer per se, wie auch das Isomerengemisch, in den Verbindungen der vorliegenden Erfindung enthalten sein soll. Die Strukturisomeren können infolge der Substituenten am Benzolring vorliegen. Darüber hinaus können optische Isomere infolge des asymmetrischen Kohlenstoffatoms des Hydroxy-substituierten "X" oder "Y" der Alkylengruppe vorliegen. Diese Isomeren sollen im Rahmen der erfindungsgemäßen Verbindungen enthalten sein.
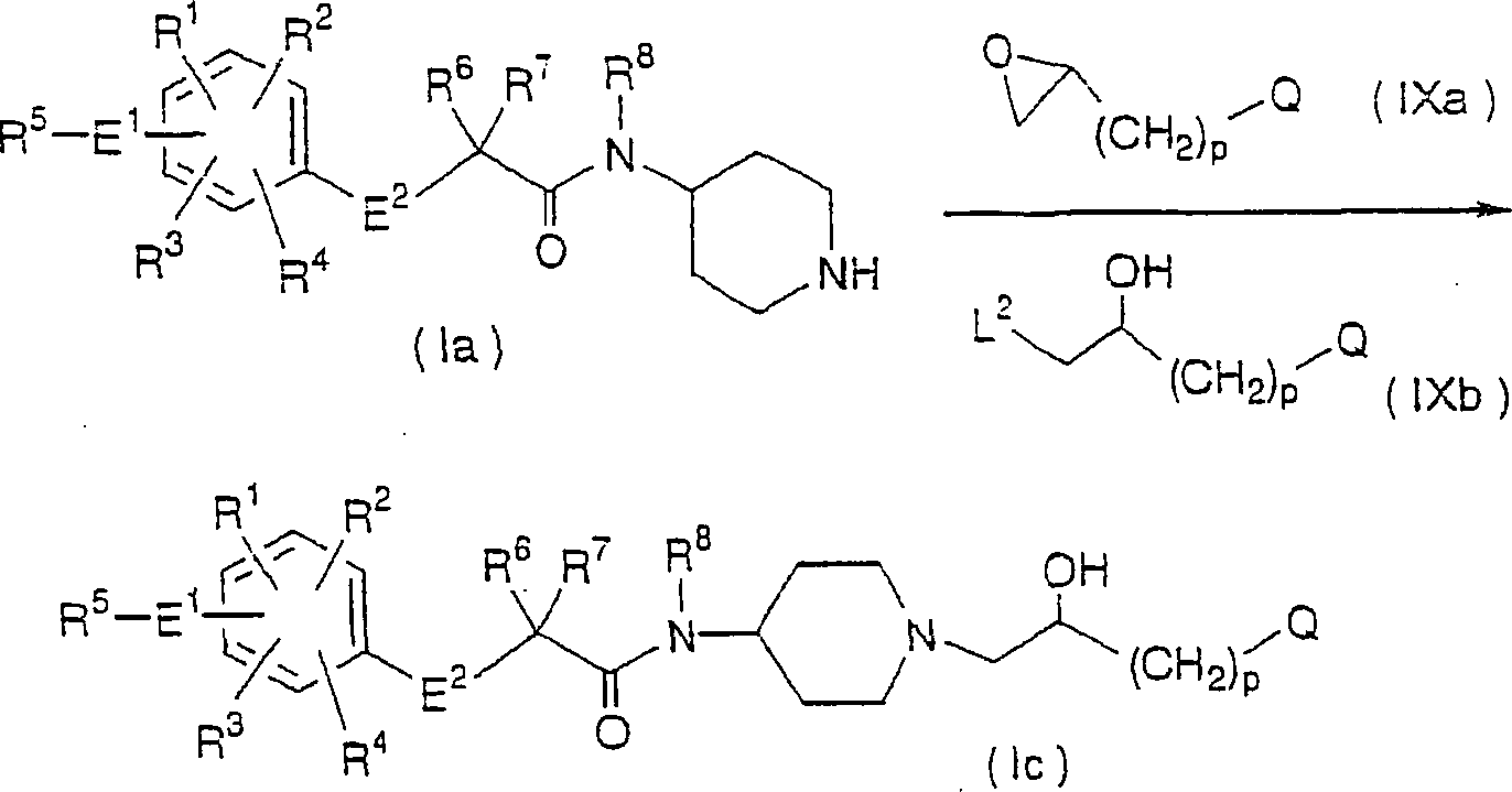
  • Die Aminophenoxyessigsäure-Derivate der Formel (I) umfassen die Verbindungen (Ia), (Ib) und (Ic), die durch das später beschriebene Syntheseverfahren erhalten werden. Diese Verbindungen können z. B. wie folgt hergestellt werden.
  • Die Verbindung (IV), die durch die Reaktion der Verbindung (II) mit der Esterverbindung (III) erhalten wurde, wird hydrolysiert um sie in das Carbonsäure-Derivat (V) umzuwandeln. Die erhaltene Verbindung (V) wird dann durch die Kondensationsreaktion mit der Verbindung (VI) in die Amidverbindung (VII) umgewandelt. Außerdem wird die Schutzgruppe in der so erhaltenen Verbindung (VII) unter Erhalt der Verbindung (Ia), der Verbindung der Formel (I) der Erfindung, worin n 0 ist, X und Y eine verbindende Bindung ist und Q ein Wasserstoffatom ist, entfernt (Verfahren 1).
  • Die Verbindung (Ib) kann erhalten werden, indem die Verbindung (Ia) mit der Verbindung (VIII) umgesetzt wird (Verfahren 2).
  • Außerdem kann die Verbindung (Ic) durch Umsetzen der Verbindung (Ia) mit der Verbindung (IX) erhalten werden (Verfahren 3).
  • Jedes Verfahren wird außerdem durch das folgende Reaktionsschema erläutert. Verfahren 1
    Figure 00070001
    worin R1 bis R8, E1 und E2 dieselben Definitionen wie oben haben und R11 eine Alkylgruppe, die substituiert sein kann, eine Arylgruppe, die substituiert sein kann; eine Aralkylgruppe, die substituiert sein kann; eine tert.-Butoxycarbonylgruppe; eine Ethoxycarbonylgruppe; eine Acetylgruppe; Benzyloxycarbonylgruppe; p-Methoxybenzyloxycarbonylgruppe ist; R12 eine geradkettige oder verzweigte C1-C5-Alkylgruppe ist; L1 eine Abgangsgruppe ist, die leicht durch eine Amino-, Hydroxy- und Mercaptogruppe verdrängt werden kann; P eine Benzylgruppe, tert.-Butoxycarbonylgruppe, Ethoxycarbonylgruppe; Acetylgruppe; Benzyloxycarbonylgruppe; p-Methoxybenzyloxycarbonylgruppe ist.
  • Nach diesem Verfahren 1 kann die Verbindung (Ia) aus der bekannten Ausgangsverbindung (II) erhalten werden.
  • Im ersten Schritt wird nämlich die Verbindung (II) mit 1,0 bis 2,5 Moläquivalent Esterverbindung (III) im inerten Lösungsmittel und, wenn notwendig, in Gegenwart einer Base unter Rühren bei –20°C bis 150°C, vorzugsweise bei 0°C bis 100°C, umgesetzt.
  • Das in der Reaktion zu verwendende inerte Lösungsmittel kann Benzol, Toluol, Tetrahydrofuran, Dioxan, Dimethylformamid, Dimethylsulfoxid, Acetonitril, Aceton, Methanol, Ethanol, Isopropylalkohol, tert.-Butylalkohol und Ethylenglykol sein.
  • Die in der obigen Reaktion zu verwendende Base kann eine organische Base, z. B. Triethylamin, Diisopropylethylamin und Pyridin, oder eine anorganische Base, z. B. Natrium, Natriumhydrid, Kalium, Kaliumhydrid, Natriumethoxid, Kalium-tert.-butoxid, Natriumcarbonat, Kaliumcarbonat, Cäsiumcarbonat, Cäsiumfluorid, Natriumbicarbonat und Kaliumbicarbonat, sein. Diese organische Base und anorganische Base können in Kombination verwendet werden, und Natriumiodid oder Tetrabutylammoniumiodid können dem Reaktionsgemisch zugesetzt werden.
  • Der Substituent "L1" in der Esterverbindung (III) kann eine Abgangsgruppe sein, die in einfacher Weise durch eine Amino-, Hydroxy- und Mercaptogruppe verdrängt werden kann; Beispiele umfassen ein Halogenatom, z. B. Chloratom, Bromatom, Iodatom; eine Alkylsulfonyloxygruppe, z. B. die Methansulfonyloxygruppe; eine Arylsulfonyloxygruppe, z. B. die p-Toluolsulfonyloxygruppe und die 3-Nitrobenzolsulfonyloxygruppe.
  • Die in dieser Reaktion zu verwendenden Verbindungen (II) und (III) sind im Handel Verfügbare oder können durch bekannte Verfahren in einfacher Weise hergestellt werden.
  • Die in dieser Reaktion zu verwendende Verbindung (II) und Verbindung (III) können im Handel verfügbar sein und bekannte Verbindungen sein oder können in einfacher Weise aus bekannten Verbindungen unter Anwendung gängiger Verfahren hergestellt werden.
  • Beispiele für die Verbindung (II) umfassen 4-(tert.-Butoxycarbonylamino)phenol, 4-(tert.-Butoxycarbonylamino)-2,3,5-timethylphenol, 4-(tert.-Butoxycarbonylamino)-2-chlor-3,5,6-trimethylphenol, 4-(tert.-Butoxycarbonylamino)-2,3,6-timethylphenol, 4-(tert.-Butoxycarbonylamino)-2,3-dimethylphenol, 4-(tert.-Butoxycarbonylamino)-2,5-dimethylphenol, 2-(tert.-Butoxycarbonylamino)-4,6-dimethylphenol, 5-(tert.-Butoxycarbonylamino)-2-methoxy-phenol, 5-(tert.-Butoxycarbonylamino)-4-chlor-2-methoxyphenol, 4-(tert.-Butoxycarbonylami-no)-2,6-dichlorphenol, 4-(tert.-Butoxycarbonylamino)-2,3,5,6-tetramethylanilin, 4-Methoxy-2-methylanilin, 4-(tert.-Butoxycarbonylamino)-2,5-dimethylanilin, 2-(tert.-Butoxycarbonylamino)-4,5-dimethylanilin, 3-(tert.-Butoxycarbonylamino)-2,4,6-trimethylanilin, 4-(tert.-Butoxycarbonylamino)-2,5-dichloranilin, 4-(tert.-Butoxycarbonylamino)-2,6-dichloranilin, 2-(tert.-Butoxycarbonylamino)-3,4-dichloranilin, 4-(tert.-Butoxycarbonylamino)-2-methoxy-5-methylanilin, 4-(tert.-Butoxycarbonylamino)-2,5-dimethoxyanilin, 4-(Benzyloxycarbonylamino)phenol, 4-(Benzyloxycarbonylamino)-2,3,5-timethylphenol, 4-(Benzyloxycarbonylamino)-2-chlor-3,5,6-trimethylphenol, 4-(Benzyloxycarbonylamino)-2,3,6-timethylphenol, 4-(Benzyloxycarbonylamino)-2,3-dimethylphenol, 4-(Benzyloxycarbonylamino)-2,5-dimethylphenol, 2-(Benzyloxycarbonylamino)-4,6-dimethylphenol, 5-(Benzyloxycarbonylamino)-2-methoxyphenol, 5-(Benzyloxycarbonylamino)-4-chlor-2-methoxyphenol, 4-(Benzyloxycarbonylamino)-2,6-dichlorphenol, 4-(Benzyloxycarbonylamino)-2,3,4,6-tetramethylanilin, 4-(Benzyloxycarbonylamino)-2,5-dimethylanilin, 2-(Benzyloxycarbonylamino)-4,5-dimethylanilin, 3-(Benzyloxycarbonylamino)-2,4,6-trimethylanilin, 4-(Benzyloxycarbonylamino)-2,5-dichloranilin, 4-(Benzyloxycarbonylamino)-2,6-dichloranilin, 2-(Benzyloxycarbonylamino)-3,4-dichloranilin, 4-(Benzyloxycarbonylamino)-2-methoxy-5-methylanilin und 4-(Benzyloxycarbonylamino)-2,5-dimethoxyanilin.
  • Die Esterverbindung der Formel (III) umfasst z. B. Ethylbromacetat, Ethyl-2-brompropionat und Ethyl-2-Brom-2-methylpropionat.
  • Danach wird die erhaltene Verbindung (IV) zur Umwandlung in das Carbonsäure-Derivat (V) durch die üblichen Verfahren hydrolysiert, und das resultierende Carbonsäure-Derivat der Formel (V) wird weiter durch Reaktion mit der Verbindung (VI) in das Amid-Derivat (VII) umgewandelt.
  • Die für die Reaktion mit der Verbindung (V) zu verwendende Verbindung (VI) ist eine bekannte Verbindung, wie sie in J. Med. Chem., 36, 3707 (1993) [R. H. Mach et al.], beschrieben ist, oder kann in einfacher Weise durch Verfahren hergestellt werden, die in EP 0184257 A1 beschrieben sind [R. A. Stokbroekx et al.].
  • Die Reaktionsbedingungen dieser Amidierungsreaktion können entsprechend den Verfahren, die in "Compendium for Organic Synthesis" (Wiley-Interscience: A Division of John Wiley & Sons Ltd.) beschrieben sind, variieren. Beispielsweise wird die Verbindung (V) gegebenenfalls in Gegenwart einer organischen oder anorganischen Base mit Diethylcyanophosphonat (DEPC), Diphenylphosphorylazid (DPPA), Dicyclohexylcarbodiimid (DCC), 1-Ethyl-3-(3-dimethylaminopropyl)carbodiimidhydrochlorid, 2-Iod-1-methylpyridiniumiodid oder Benzotriazol-1-yloxytris(dimethylamino)phosphoniumhexafluorphosphat (BOP-Reagens) behandelt und dann mit Verbindung (VI) unter Erhalt der Amidverbindung (VII) umgesetzt. Außerdem wird die Verbindung (V) in die aktivierte Esterverbindung, z. B. Säurehalogenid, symmetrisches Säureanhydrid oder das gemischte Säureanhydrid umgewandelt, dann mit der Verbindung (VI) unter Erhalt der Amidverbindung (VII) umgesetzt.
  • Die auf diese Weise erhaltene Verbindung (VII) wird in die Aminophenoxyessigsäure-Derivate der Formel (Ia), die Verbindung der vorliegenden Erfindung, durch die Reaktion zur Entfernung der Schutzgruppe am Stickstoffatom der Amidverbindung (VII) umgewandelt.
  • Diese Reaktion kann in Abhängigkeit von der Schutzgruppe am Stickstoffatom der Verbindung (VII) variieren. Beispielsweise wird die Verbindung (VII) mit Säuren, z. B. Trifluoressigsäure, Chlorwasserstoff, Bromwasserstoff oder Schwefelsäure, in einem inerten Lösungsmittel, wie z. B. Benzol, Toluol, Acetonitril, Tetrahydrofuran, Dioxan, Chloroform, Tetrachlorkohlenstoff, und dergleichen, behandelt. Darüber hinaus kann die Entfernung der Schutzgruppe auch durch Hydrogenolyse der Verbindung (VII) unter 1 bis 5 atm Wasserstoff in Gegenwart eines Katalysators, z. B. Palladium-Kohle, Palladiumhydroxid, Platin oder Platinoxid, in einem inerten Lösungsmittel, wie z. B. Methanol, Ethanol, Isopropylalkohol, Ethylacetat oder Essigsäure, durchgeführt werden.
  • Obgleich jede Verbindung, die im obigen Verfahren 1 erhalten wird, ohne weitere Reinigung für die nächste Reaktion eingesetzt werden kann, kann sie auch nach weiterer Reinigung in herkömmlicher Weise, z. B. Umkristallisation oder Säulenchromatographie, falls erforderlich, eingesetzt werden. Verfahren 2
    Figure 00100001
    worin R1 bis R8, E1, E2, n, X und Y dieselben Definitionen wie oben haben; und Q' ein Wasserstoffatom, eine Phenylgruppe, die substituiert sein kann, eine Phenoxygruppe, die substituiert sein kann, eine Benzoylgruppe, die substituiert sein kann, eine Pyridylgruppe, die substituiert sein kann, eine Chinolylgruppe, die substituiert sein kann, eine Isochinolylgruppe, die substituiert sein kann, oder eine Benzimidazolylgruppe, die substituiert sein kann, ist; L2 eine Abgangsgruppe ist, die in einfacher Weise durch die Aminogruppe verdrängt werden kann.
  • Nach diesem Verfahren 2 kann die Aminophenoxyessigsäure der Formel (Ib) der vorliegenden Erfindung durch Umsetzen der Verbindung (Ia), erhalten im oben beschriebenen Verfahren 1, mit der Verbindung (VIII) erhalten werden.
  • Die Verbindung (Ia) wird mit 1,0 bis 1,5 Moläquivalent der Verbindung (VIII) in dem inerten Lösungsmittel, z. B. Benzol, Toluol, Acetonitril, Ether, Tetrahydrofuran, Dioxan, Methylenchlorid, Chloroform, Tetrachlorkohlenstoff, Dimethylformamid und Dimethylsulfoxid, in Gegenwart der Base, bei –50°C bis 120°C, vorzugsweise bei –20°C bis 50°C, umgesetzt.
  • Die in der Reaktion zu verwendende Base kann eine organische Base, z. B. Triethylamin, Pyridin, Diisopropylethylamin, und dergleichen, oder eine anorganische Base, z. B. Natriumcarbonat, Kaliumcarbonat, Cäsiumcarbonat, Natriumbicarbonat, Kaliumbicarbonat, Cäsiumfluorid und Natriumhydrid, sein. Natriumiodid oder Tetrabutylammoniumiodid können dem Reaktionsgemisch zugesetzt werden.
  • Der Substituent "L2" in der Verbindung (VIII) ist eine Abgangsgruppe, die leicht durch eine Aminogruppe verdrängt werden kann; Beispiele umfassen ein Halogenatom, z. B. Chloratom, Bromatom; eine Alkylsulfonyloxygruppe, z. B. die Methansulfonyloxygruppe, und eine Arylsulfonyloxygruppe, z. B. die p-Toluolsulfonyloxygruppe.
  • In diesem Verfahren 2 kann auch die Aminophenoxyessigsäure der Formel (Ib) hergestellt werden. Verfahrenen 3
    Figure 00110001
    worin R1 bis R8, E1, E2, Q und L2 dieselben Definitionen wie vorstehend beschrieben haben und p 0 bis 3 ist.
  • Nach diesem Verfahren 3 kann die Aminophenoxyessigsäure der Formel (Ic) der vorliegenden Erfindung durch die Reaktion der Verbindung (Ia), erhalten im oben beschriebenen Verfahren 1, mit der Verbindung (IXa) oder der Verbindung (IXb) erhalten werden.
  • Beispielsweise wird die Verbindung (Ia) mit 0,9 bis 1,5 Moläquivalent der Verbindung (IXa) oder (IXb) in einem inerten Lösungsmittel bei einer Temperatur von Raumtemperatur bis etwa 200°C, vorzugsweise bei etwa 50°C bis etwa 150°C, umgesetzt um die Aminophenoxyessigsäure der Formel (Ic) herzustellen.
  • Das in der Reaktion zu verwendende inerte Lösungsmittel kann Benzol, Toluol, Tetrahydrofuran, Diethylether, Ethylenglykol, Dimethylether, Dioxan, Dimethylformamid, Dimethylsulfoxid, Acetonitril, Ethanol, Methanol, Isopropylalkohol, t-Butylalkohol und Ethylenglykol sein.
  • Beispiele für die Verbindung (IXa) umfassen Epibromhydrin, Epichlorhydrin, (R)-Epichlorhydrin, (S)-Epichlorhydrin, und dergleichen; und Beispiele für die Verbindung (IXb) umfassen Glycidyltosylat, (R)-Glycidyltosylat, (S)-Glycidyltosylat, (R)-Glycidyl-3-nitrobenzolsulfonat, (S)-Glycidyl-3-nitrobenzolsulfonat, (R)-Glycidyl-4-nitrobenzoat, (S)-Glycidyl-4-nitrobenzoat und Glycidyltrimethylammoniumchlorid.
  • In diesem Verfahren 3 kann auch die Aminophenoxyessigsäure der Formel (Ic) hergestellt werden.
  • Die auf diese Weise erhaltenen Aminophenoxyessigsäure-Derivate der Formel (I) können in herkömmlicher Weise isoliert und gereinigt werden, z. B. durch Umkristallisieren und Säulenchromatographie.
  • Ferner können die jeweiligen Isomeren, die in den Verbindungen der Formel (I) der vorliegenden Erfindung enthalten sind, durch Auftrennung des isomeren Gemisches dieser Verbindungen durch herkömmliche Verfahren, z. B. Umkristallisieren, Säulenchromatographie, HPLC oder unter Verwendung optisch aktiver Reagentien, getrennt werden.
  • Die Verbindungen der vorliegenden Erfindung, die durch die Formel (I) dargestellt werden, können in Form von freien Basen oder geeigneten, pharmazeutisch annehmbaren Säureadditionssalzen derselben verwendet werden. Die pharmazeutisch annehmbaren Salze können erhalten werden, indem die Verbindung (I) mit einer anorganischen Säure oder einer organischen Säure in einem geeigneten Lösungsmittel behandelt wird. Beispiele für die anorganische Säure umfassen Chlorwasserstoffsäure, Schwefelsäure, Salpetersäure, Phosphorsäure und Periodsäure. Außerdem umfassen Beispiele für die organische Säure Ameisensäure, Essigsäure, Buttersäure, Oxalsäure, Malonsäure, Propionsäure, Valeriansäure, Bernsteinsäure, Fumarsäure, Maleinsäure, Weinsäure, Zitronensäure, Äpfelsäure, Benzoesäure, p-Toluolsulfonsäure und Methansulfonsäure.
  • Die durch die Formel (I) dargestellte Aminophenoxyessigsäure der vorliegenden Erfindung oder pharmazeutisch annehmbare Salze davon zeigen eine geringe Toxizität und können per se verabreicht werden. Allerdings kann sie mit den herkömmlichen, pharmazeutisch annehmbaren Trägern in die Form einer pharmazeutisch annehmbaren Zusammensetzung zur Verbesserung oder Behandlung ischämischer Krankheiten umgewandelt werden.
  • Die Dosierungsformen können orale Formulierungen, z. B. Kapseln, Tabletten, oder parenterale Formulierungen, z. B. eine Injektionslösung, die die Verbindung der Formel (I) per se oder unter Verwendung der herkömmlichen Exzipientien enthält, umfassen. Beispielsweise können die Kapseln durch Vermischen der Verbindung der Formel (I) in Pulverform mit einem geeigneten Exzipiens, z. B. Lactose, Stärke oder Derivaten davon, oder Cellulose-Derivaten vermischt werden und dann in Gelatinekapseln gefüllt werden.
  • Die Tabletten können hergestellt werden, indem die aktiven Ingredienzien mit den oben beschriebenen Exzipientien, Bindemitteln, z. B. Natriumcarboxymethylcellulose, Alginsäure oder Gummi arabicum, und Wasser vermischt werden, dann, falls erforderlich, das resultierende Gemisch in Körner übergeführt wird. Dann kann es ferner mit Gleitmittel, z. B. Talg oder Stearinsäure, vermischt werden und mit Hilfe einer gängigen Tablettiermaschine zu Tabletten verpresst werden.
  • Injizierbare Formulierungen für die parenterale Route können auch hergestellt werden, indem die Verbindung der Formel (I) oder Salze davon in steriler, destillierter Lösung oder steriler physiologischer Kochsalzlösung mit Lösungsadjuvans aufgelöst werden und in eine Ampulle gefüllt werden. In der injizierbaren Lösung kann ein Stabilisator oder Puffer verwendet werden, und die injizierbare Formulierung kann intravenös oder durch Eintropfen verabreicht werden.
  • Bei Verabreichung der Verbindung der Formel (I), die eine neurocytische schützende Wirkung hat, die auf eine Induktion von Calbindin D28Kd, einem der Ca2+-bindenden Proteine, beruht, ist die therapeutisch wirksame Dosierung zur Verbesserung von Funktionsstörungen und organischen Störungen im Gehirn nicht besonders limitiert und kann in Abhängigkeit von den verschiedenen Typen der Faktoren variieren. Diese Faktoren können der Zustand des Patienten, die Schwere der Krankheit, das Alter, Vorliegen einer Komplikation, Verabreichungsweg, Formulierung, wie auch die Verabreichungshäufigkeit, sein.
  • Eine übliche empfohlene Tagesdosis zur oralen Verabreichung liegt im Bereich von 0,1 bis 1.000 mg/Tag/Person, vorzugsweise 1 bis 500 mg/Tag/Person, während eine übliche empfohlene Tagesdosis zur parenteralen Verabreichung im Bereich von 1/100 bis 1/2, basierend auf der Dosis der oralen Verabreichung, liegt. Diese Dosen können auch in Abhängigkeit vom Alter, wie auch dem Zustand des Patienten, variieren.
  • Beispiele
  • Die vorliegende Erfindung wird anhand der folgenden Beispiele erläutert, allerdings ist zu betonen, dass die vorliegende Erfindung durch diese Beispiele in keiner Weise beschränkt wird.
  • Die Verbindungsnummern in den folgenden Beispielen sind identisch mit denen, die in der später aufgeführten Tabelle verwendet werden.
  • Beispiel 1: 2-(4-Amino-2,3,5-trimethylphenoxy)-N-methyl-N-(4-piperidinyl)acetamid (1)
  • Eine Lösung von 1,86 g 2-[4-(tert.-Butoxycarbonylamino)-2,3,5-trimethylphenoxy]essigsäure, 1,43 g 1-(tert.-Butoxycarbonyl)-4-methylaminopiperidin, 2,94 g Benzotriazol-1-yloxytris(dimethylamino)phosphoniumhexafluorphosphat (BOP-Reagens) und 1,26 ml Triethylamin in 30 ml Dimethylformamid wurde über Nacht bei Raumtemperatur gerührt, dann wurden 15 ml gesättigte Natriumhydrogencarbonatlösung zu dem Reaktionsgemisch gegeben, und das Gemisch wurde mit Ethylacetat extrahiert. Der Extrakt wurde mit Kochsalzlösung gewaschen, getrocknet und unter reduziertem Druck konzentriert um einen Rückstand zu erhalten. Der erhaltene Rückstand wurde in 30 ml Methylenchlorid gelöst, und zu dieser Lösung wurden 7,5 ml Trifluoressigsäure mit 0°C gegeben, dann wurde das Gemisch für 2 Stunden bei Raumtemperatur gerührt. Nach Entfernung des Lösungsmittels wurde der resultierende Rückstand durch Silicagelsäulenchromatographie (Methylenchlorid : Methanol = 12 : 1) gereinigt, wobei 1,52 g (81%) der oben genannten Verbindung (1) erhalten wurden.
  • Beispiel 2: 2-(4-Amino-2,3,5-trimethylphenoxy)-N-methyl-N-(4-piperidinyl)propanamid (2)
  • Die Titelverbindung (2) wurde aus 2-[4-(tert.-Butoxycarbonylamino)-2,3,5-trimethylphenoxy]propionsäure und 1-(tert.-Butoxycarbonyl)-4-methylaminopiperidin in der gleichen Weise wie in Beispiel 1 beschrieben erhalten.
  • Beispiel 3: 2-(4-Amino-2,3,5-trimethylphenoxy)-2-methyl-N-methyl-N-(4-piperidinyl)propanamid (3)
  • Die Titelverbindung (3) wurde aus 2-[4-(tert.-Butoxycarbonylamino)-2,3,5-trimethylphenoxy]methylpropionsäure und 1-(tert.-Butoxycarbonyl)-4-methylaminopiperidin in der gleichen Weise wie in Beispiel 1 beschrieben erhalten.
  • Beispiel 4: 2-(2-Amino-4,6-dimethylphenoxy)-N-methyl-N-(4-piperidinyl)acetamid (4)
  • Die Titelverbindung (4) wurde aus 2-[2-(tert.-Butoxycarbonylamino)-4,6-dimethylphenoxy]essigsäure und 1-(tert.-Butoxycarbonyl)-4-methylaminopiperidin in der gleichen Weise wie in Beispiel 1 beschrieben erhalten.
  • Beispiel 5: 2-(4-Amino-2,3,6-trimethylphenoxy)-N-methyl-N-(4-piperidinyl)acetamid (5)
  • Die Titelverbindung (5) wurde aus 2-[4-(tert.-Butoxycarbonylamino)-2,3,6-trimethylphenoxy]essigsäure und 1-(tert.-Butoxycarbonyl)-4-methylaminopiperidin in der gleichen Weise wie in Beispiel 1 beschrieben erhalten.
  • Beispiel 6: 2-(5-Amino-2-methoxyphenoxy)-N-methyl-N-(4-piperidinyl)acetamid (6)
  • Die Titelverbindung (6) wurde aus 2-[5-(tert.-Butoxycarbonylamino)-2-methoxyphenoxy]essigsäure und 1-(tert.-Butoxycarbonyl)-4-methylaminopiperidin auf die gleiche Weise wie in Beispiel 1 beschrieben erhalten.
  • Beispiel 7: 2-(5-Amino-2-methoxyphenoxy)-N-(4-piperidinyl)acetamid (7)
  • Die Titelverbindung (7) wurde aus 2-[5-(tert.-Butoxycarbonylamino)-2-methoxyphenoxy]essigsäure und 1-(tert.-Butoxycarbonyl)-4-ethylaminopiperidin auf die gleiche Weise wie in Beispiel 1 beschrieben erhalten.
  • Beispiel 8: 2-(5-Amino-4-chlor-2-methoxyphenoxy)-N-ethyl-N-(4-piperidinyl)acetamid (8)
  • Die Titelverbindung (8) wurde aus 2-[5-(tert.-Butoxycarbonylamino)-4-chlor-2-methoxyphenoxy]essigsäure und 1-(tert.-Butoxycarbonyl)-4-ethylaminopiperidin auf die gleiche Weise wie in Beispiel 1 beschrieben erhalten.
  • Beispiel 9: 2-(4-Amino-2-chlor-3,5,6-trimethylphenoxy)-N-ethyl-N-(4-piperidinyl)acetamid (9)
  • Die Titelverbindung (9) wurde aus 2-[4-(tert.-Butoxycarbonylamino)-2-chlor-3,5,6-trimethylphenoxy]essigsäure und 1-(tert.-Butoxycarbonyl)-4-ethylaminopiperidin auf die gleiche Weise wie in Beispiel 1 beschrieben erhalten.
  • Beispiel 10: 2-(4-Amino-2,3,5,6-tetramethylanilino)-N-methyl-N-(4-piperidinyl)acetamid (10)
  • Die Titelverbindung (10) wurde aus 2-[4-(tert.-Butoxycarbonylamino)-2,3,5,6-tetramethylanilino]essigsäure und 1-(tert.-Butoxycarbonyl)-4-methylaminopiperidin auf die gleiche Weise wie in Beispiel 1 beschrieben erhalten.
  • Beispiel 11: 2-(4-Amino-2,3,5-trimethylphenoxy))-N-(4-piperidinyl)acetamid (11)
  • Die Titelverbindung (11) wurde aus 2-[4-(tert.-Butoxycarbonylamino)-2,3,5-trimethylphenoxy]essigsäure und 1-(tert.-Butoxycarbonyl)-4-aminopiperidin auf die gleiche Weise wie in Beispiel 1 beschrieben erhalten.
  • Beispiel 12: 2-(4-Amino-2,3,5-trimethylphenoxy)-N-(4-piperidinyl)propanamid (12)
  • Die Titelverbindung (12) wurde aus 2-[4-(tert.-Butoxycarbonylamino)-2,3,5-trimethylphenoxy]propionsäure und 1-(tert.-Butoxycarbonyl)-4-aminopiperidin auf die gleiche Weise wie in Beispiel 1 beschrieben erhalten.
  • Beispiel 13: 2-(4-Amino-2,3,5-trimethylphenoxy)-2-methyl-N-(4-piperidinyl)propamid (13)
  • Die Titelverbindung (13) wurde aus 2-[4-(tert.-Butoxycarbonylamino)-2,3,5-trimethylphenoxy]-2-methylpropionsäure und 1-(tert.-Butoxycarbonyl)-4-aminopiperidin auf die gleiche Weise wie in Beispiel 1 beschrieben erhalten.
  • Beispiel 14: 2-(4-Amino-2,3,5-trimethylphenoxy)-N-ethyl-N-(4-piperidinyl)acetamid (14)
  • Die Titelverbindung (14) wurde aus 2-[4-(tert.-Butoxycarbonylamino)-2,3,5-trimethylphenoxy]essigsäure und 1-(tert.-Butoxycarbonyl)-4-ethylaminopiperidin auf die gleiche Weise wie in Beispiel 1 beschrieben erhalten.
  • Beispiel 15: 2-(4-Amino-2,3,5-trimethylphenoxy)-N-ethyl-N-(4-piperidinyl)propamid (15)
  • Die Titelverbindung (15) wurde aus 2-[4-(tert.-Butoxycarbonylamino)-2,3,5-trimethylphenoxy]propionsäure und 1-(tert.-Butoxycarbonyl)-4-ethylaminopiperidin auf die gleiche Weise wie in Beispiel 1 beschrieben erhalten.
  • Beispiel 16: 2-(4-Amino-2-chlor-3,5,6-trimethylphenoxy)-N-methyl-N-(4-piperidinyl)acetamid (16)
  • Die Titelverbindung (16) wurde aus 2-[4-(tert.-Butoxycarbonylamino)-6-chlor-2,3,5-trimethylphenoxy]essigsäure und 1-(tert.-Butoxycarbonyl)-4-methylaminopiperidin auf die gleiche Weise wie in Beispiel 1 beschrieben erhalten.
  • Beispiel 17: 2-(4-Amino-2-chlor-3,5,6-trimethylphenoxy)-N-(4-piperidinyl)acetamid (17)
  • Die Titelverbindung (17) wurde aus 2-[4-(tert.-Butoxycarbonylamino)-6-chlor-2,3,5-trimethylphenoxy]essigsäure und 1-(tert.-Butoxycarbonyl)-4-aminopiperidin auf die gleiche Weise wie in Beispiel 1 beschrieben erhalten.
  • Beispiel 18: 2-(4-Amino-2,3,5,6-tetramethylanilino)-N-ethyl-N-(4-piperidinyl)acetamid (18)
  • Die Titelverbindung (18) wurde aus 2-[4-(tert.-Butoxycarbonylamino)-2,3,5,6-tetramethylanilino]essigsäure und 1-(tert.-Butoxycarbonyl)-4-ethylaminopiperidin auf die gleiche Weise wie in Beispiel 1 beschrieben erhalten.
  • Beispiel 19: 2-(4-Amino-2,3,5,6-tetramethyl-N-methylanilino)-N-methyl-N-(4-piperidinyl)acetamid (19)
  • Die Titelverbindung (19) wurde aus 2-[4-(tert.-Butoxycarbonylamino)-2,3,5,6-tetramethyl-N-methylanilino]essigsäure und 1-(tert.-Butoxycarbonyl)-4-methylaminopiperidin auf die gleiche Weise wie in Beispiel 1 beschrieben erhalten.
  • Beispiel 20: 2-(4-Amino-2,3,5,6-tetramethylanilino)-N-methyl-N-(4-piperidinyl)propamid (20)
  • Die Titelverbindung (20) wurde aus 2-[4-(tert.-Butoxycarbonylamino)-2,3,5,6-tetramethylanilino]propionsäure und 1-(tert.-Butoxycarbonyl)-4-methylaminopiperidin auf die gleiche Weise wie in Beispiel 1 beschrieben erhalten.
  • Beispiel 21: 2-[4-(tert.-Butoxycarbonylamino)-2,3,5,6-tetramethylanilinol-N-(4-piperidinyl)acetamid (21)
  • Diese Verbindung ist als solche nicht Teil der beanspruchten Erfindung; sie wird lediglich als Referenz oder Vergleich beschrieben.
  • Eine gemischte Lösung aus 2,2 g 2-[4-(tert.-Butoxycarbonylamino)-2,3,5,6-tetramethylanilino]essigsäure, 1,67 ml 1-Benzyl-4-aminopiperidin, 10,47 g 25%igem Propanphosphonsäureanhydrid und 4,76 ml Triethylamin in 40 ml Methylenchlorid wurde über Nacht bei Raumtemperatur gerührt. Dann wurden 20 ml gesättigte Natriumhydrogencarbonatlösung zu dem Reaktionsgemisch gegeben, und das Gemisch wurde mit Methylenchlorid extrahiert. Der Extrakt wurde mit Kochsalzlösung gewaschen, getrocknet und unter reduziertem Druck unter Erhalt eines Rückstandes konzentriert. Der erhaltene Rückstand wurde durch Silicagelsäulenchromatographie (Methylenchlorid : Methanol = 10 : 1) unter Erhalt von 2,48 g (73%) 2-[4-(tert.-Butoxycarbonylamino)-2,3,5,6-tetramethylanilino]-N-(1-benzyl-4-piperidinyl)acetamid gereinigt. Dann wurde ein Gemisch aus 438 mg der erhaltenen Verbindung und 40 mg 20% Palladiumhydroxid-auf-Kohle in 4 ml Methanol für 6 Stunden unter 5 atm Wasserstoff gerührt. Dann wurde der Katalysator mit einem Celite (Handelsbezeichnung)-Kissen filtriert, und das Filtrat wurde unter reduziertem Druck konzentriert um eine Rückstand zu erhalten. Der erhaltene Rückstand wurde durch Amin-beschichtetes Silicagel (Fuji Silysia Chemical Ltd.; NH-DM1020) in Säulenchromatographie (Methylenchlorid : Methanol = 10 : 1) gereinigt, wodurch 293 mg (81%) der oben genannten Verbindung (21) erhalten wurden.
  • Beispiel 22: 2-(4-Dimethylamino-2,3,5,6-tetramethylanilino)-N-methyl-N-(4-piperidinyl)acetamid (22)
  • Die Titelverbindung (22) wurde aus 2-(4-Dimethylamino-2,3,5,6-tetramethylanilino)essigsäure und 1-(tert.-Butoxycarbonyl)-4-methylaminopiperidin auf die gleiche Weise wie in Beispiel 1 beschrieben erhalten.
  • Beispiel 23: 2-(3-Amino-2,4,6-trimethylanilino)-N-methyl-N-(4-piperidinyl)acetamid (23)
  • Die Titelverbindung (23) wurde aus 2-[3-(tert.-Butoxycarbonylamino)-2,4,6-trimethylanilino]essigsäure und 1-(tert.-Butoxycarbonyl)-4-methylaminopiperidin auf die gleiche Weise wie in Beispiel 1 beschrieben erhalten.
  • Beispiel 24: 2-(3-Dimethylamino-2,4,6-trimethylanilino)-N-methyl-N-(4-piperidinyl)acetamid (24)
  • Die Titelverbindung (24) wurde aus 2-(3-Dimethylamino-2,4,6-trimethylanilino)essigsäure und 1-(tert.-Butoxycarbonyl)-4-methylaminopiperidin auf die gleiche Weise wie in Beispiel 1 beschrieben erhalten.
  • Beispiel 25: 2-(2-Amino-4,5-dimethylanilino)-N-methyl-N-(4-piperidinyl)acetamid (25)
  • Die Titelverbindung (25) wurde aus 2-[2-(tert.-Butoxycarbonylamino)-4,5-dimethylanilino]essigsäure und 1-(tert.-Butoxycarbonyl)-4-methylaminopiperidin auf die gleiche Weise wie in Beispiel 1 beschrieben erhalten.
  • Beispiel 26: 2-(4-Amino-2,5-dichloranilino)-N-methyl-N-(4-piperidinyl)acetamid (26)
  • Die Titelverbindung (26) wurde aus 2-[4-(tert.-Butoxycarbonylamino)-2,5-dichloranulino]essigsäure und 1-(tert.-Butoxycarbonyl)-4-methylaminopiperidin auf die gleiche Weise wie in Beispiel 1 beschrieben erhalten.
  • Beispiel 27: 2-(4-Nitro-2,6-dichloranilino)-N-methyl-N-(4-piperidinyl)acetamid (27)
  • (Diese Verbindung als solche ist nicht Teil der beanspruchten Erfindung; sie wird lediglich als Referenz oder Vergleich beschrieben).
  • Die Titelverbindung (27) wurde aus 2-(4-Nitro-2,6-dichloranilino)essigsäure und 1-(tert.-Butoxycarbonyl)-4-methylaminopiperidin auf die gleiche Weise wie in Beispiel 1 beschrieben erhalten.
  • Beispiel 28: 2-(4-Amino-2,3,5-trimethylphenoxy)-N-methyl-N-(1-phenethyl-4-piperidinyl)acetamid (28)
  • 200 mg Phenethylbromid wurden zu einer gemischten Lösung aus 350 mg der in Beispiel 1 erhaltenen Verbindung (2) und 172 mg Triethylamin in 5 ml Acetonitril gegeben, und das Gemisch wurde 5 Stunden bei 60°C gerührt. Dann wurden 5 ml gesättigter Ammoniumchloridlösung zu dem Reaktionsgemisch gegeben, und das Gemisch wurde mit Ethylacetat extrahiert. Der Extrakt wurde mit Kochsalzlösung gewaschen, getrocknet und unter Erhalt eines Rückstandes unter reduziertem Druck konzentriert. Der erhaltene Rückstand wurde durch Säulenchromatographie mit Amin-beschichtetem Silicagel (Fuji Silysia Chemical Ltd.; NH-DM1020) (Methylenchlorid : Methanol = 20 : 1) gereinigt, wodurch 390 mg (83%) der oben beschriebenen Verbindung (28) erhalten wurden.
  • Beispiel 29: 2-(4-Amino-2,3,5-trimethylphenoxy)-N-[1-(2-anilino-2-oxyethyl)-4-piperidinyl]-N-methylacetamid (29)
  • Die Titelverbindung (29) wurde in der gleichen Weise wie in Beispiel 28 beschrieben aus der Verbindung (1), die in Beispiel 1 erhalten worden war, und N-Phenyl-2-bromacetamid erhalten.
  • Beispiel 30: 2-(4-Amino-2,3,5-trimethylphenoxy)-N-[1(2-anilino-2-oxyethyl)-4-piperidinyl]-N-methylpropamid (30)
  • Die Titelverbindung (30) wurde in der gleichen Weise wie in Beispiel 28 beschrieben aus der Verbindung (2), die in Beispiel 2 erhalten worden war, und N-Phenyl-2-bromacetamid erhalten.
  • Beispiel 31: 2-(4-Amino-2,3,5-trimethylphenoxy)-N-methyl-N-(1-phenthyl-4-piperidinyl)propamid (31)
  • Die Titelverbindung (31) wurde in der gleichen Weise wie in Beispiel 28 beschrieben aus der Verbindung (2), die in Beispiel 2 erhalten worden war, und Phenethylbromid erhalten.
  • Beispiel 32: 2-(4-Amino-2,3,5-trimethylphenoxy)-N-[1-(2-(4-amino-2,3,5,6-tetramethyl)anilino-2-oxyethyl)-4-piperidinyl]-N-methylpropamid (32)
  • Die Titelverbindung (32) wurde in der gleichen Weise wie in Beispiel 28 beschrieben aus der Verbindung (2), die in Beispiel 2 erhalten worden war, und N-(4-Amino-2,3,5,6-tetramethyl)phenyl-2-bromacetamid erhalten.
  • Beispiel 33: 2-(4-Amino-2,3,5-trimethylphenoxy)-N-methyl-N-[1-(2-chinolylmethyl)-4-piperidinyl]propamid (33)
  • Die Titelverbindung (33) wurde in der gleichen Weise wie in Beispiel 28 beschrieben aus der Verbindung (2), die in Beispiel 2 erhalten worden war, und 2-Chinolylmethylbromid erhalten.
  • Beispiel 34: 2-(4-Amino-2,3,5-trimethylphenoxy)-N-[1-(2-(4-amino-2,3,5,6-tetramethyl)anilino-2-oxyethyl)-4-piperidinyl]-N-methylacetamid (34)
  • Die Titelverbindung (34) wurde in der gleichen Weise wie in Beispiel 28 beschrieben aus der Verbindung (1), die in Beispiel 1 erhalten worden war, und N-(4-Amino-2,3,5,6-tetramethyl)phenyl-2-bromacetamid erhalten.
  • Beispiel 35: 2-(4-Amino-2,3,5-trimethylphenoxy)-N-[1-(2-benzimidazolylmethyl)-4-piperidinyl]-N-methylpropamid (35)
  • Die Titelverbindung (35) wurde in der gleichen Weise wie in Beispiel 28 beschrieben aus der Verbindung (2), die in Beispiel 2 erhalten worden war, und 2-Benzimidazolylmethylbromid erhalten.
  • Beispiel 36: 2-(2-Amino-4,6-dimethylphenoxy)-N-methyl-N-[1-(2-pyridylmethyl)-4-piperidinyl]acetamid (36)
  • Die Titelverbindung (36) wurde in der gleichen Weise wie in Beispiel 28 beschrieben aus der Verbindung (4), die in Beispiel 4 erhalten worden war, und 2-Pyridylmethylbromid erhalten.
  • Beispiel 37: 2-(4-Amino-2,3,6-trimethylphenoxy)-N-methyl-N-[1-(2-phenethyl)-4-piperidinyl]acetamid (37)
  • Die Titelverbindung (37) wurde in der gleichen Weise wie in Beispiel 28 beschrieben aus der Verbindung (5), die in Beispiel 5 erhalten worden war, und Phenethylbromid erhalten.
  • Beispiel 38: 2-(4-Amino-2,3,5-trimethylphenoxy)-2-methyl-N-methyl-N-(1-(2-phenethyl)-4-piperidinyl]propamid (38)
  • Die Titelverbindung (38) wurde in der gleichen Weise wie in Beispiel 28 beschrieben aus der Verbindung (3), die in Beispiel 3 erhalten worden war, und Phenethylbromid erhalten.
  • Beispiel 39: 2-(4-Amino-2,3,6-trimethylphenoxy)-N-[1-(2-(4-amino-2,5-dichloranilino)-2-oxyethyl)-4-piperidinyl]-N-methylacetamid (39)
  • Die Titelverbindung (39) wurde in der gleichen Weise wie in Beispiel 28 beschrieben aus der Verbindung (5), die in Beispiel 5 erhalten worden war, und N-(4-Amino-2,5-dichlor)phenyl-2-bromacetamid erhalten.
  • Beispiel 40: 2-(4-Amino-2,3,5,6-tetramethylanilino)-N-methyl-N-[1-(2-phenethyl)-4-piperidinyl]acetamid (40)
  • Die Titelverbindung (40) wurde in der gleichen Weise wie in Beispiel 28 beschrieben aus der Verbindung (10), die in Beispiel 10 erhalten worden war, und Phenethylbromid erhalten.
  • Beispiel 41: 2-(4-Amino-2,3,5,6-tetramethylanilino)-N-[1-(2-anilino-2-oxyethyl)-4-piperidinyl]-N-methylacetamid (41)
  • Die Titelverbindung (41) wurde in der gleichen Weise wie in Beispiel 28 beschrieben aus der Verbindung (10), die in Beispiel 10 erhalten worden war, und N-Phenyl-2-bromacetamid erhalten.
  • Beispiel 42: 2-(4-Amino-2,3,5-trimethylphenoxy)-2-methyl-N-[1-(2-anilino-2-oxyethyl)-4-piperidinyl]-N-methylpropamid (42)
  • Die Titelverbindung (42) wurde in der gleichen Weise wie in Beispiel 28 beschrieben aus der Verbindung (3), die in Beispiel 3 erhalten worden war, und N-Phenyl-2-bromacetamid erhalten.
  • Beispiel 43: 2-(4-Amino-2,3,5-trimethylphenoxy)-N-[1-(2-(2,5-dimethyl-4-hydroxy)anilino-2-oxyethyl)-4-piperidinyl]-N-methylacetamid (43)
  • Die Titelverbindung (43) wurde in der gleichen Weise wie in Beispiel 28 beschrieben aus der Verbindung (1), die in Beispiel 1 erhalten worden war, und N-(2,5-Dimethyl-4-hydroxy)phenyl-2-bromacetamid erhalten.
  • Beispiel 44: 2-(4-Amino-2,3,5-trimethylphenoxy)-N-methyl-N-[1-(2-chinolylmethyl)-4-piperidinyl]acetamid (44)
  • Die Titelverbindung (44) wurde in der gleichen Weise wie in Beispiel 28 beschrieben aus der Verbindung (1), die in Beispiel 1 erhalten worden war, und 2-Chlormethylchinolin erhalten.
  • Beispiel 45: 2-(4-Amino-2,3,5-trimethylphenoxy)-N-[1-(2-(3-chlor-2-methyl)anilino-2-oxyethyl)-4-piperidinyl]-N-methylacetamid (45)
  • Die Titelverbindung (45) wurde in der gleichen Weise wie in Beispiel 28 beschrieben aus der Verbindung (1), die in Beispiel 1 erhalten worden war, und N-(3-Chlor-2-methyl)phenyl-2-bromacetamid erhalten.
  • Beispiel 46: 2-(4-Amino-2,3,5-trimethylphenoxy)-N-[1-(2-(2-tert.-butyl)anilino-2-oxyethyl)-4-piperidinyl]-N-methylacetamid (46)
  • Die Titelverbindung (46) wurde in der gleichen Weise wie in Beispiel 28 beschrieben aus der Verbindung (1), die in Beispiel 1 erhalten worden war, und N-(2-tert.-Butyl)phenyl-2-bromacetamid erhalten.
  • Beispiel 47: 2-(4-Amino-2,3,5-trimethylphenoxy)-N-[1-(2-(2,6-dimethyl)anilino-2-oxyethyl)-4-piperidinyl]-N-methylacetamid (47)
  • Die Titelverbindung (47) wurde in der gleichen Weise wie in Beispiel 28 beschrieben aus der Verbindung (1), die in Beispiel 1 erhalten worden war, und N-(2,6-Dimethyl)phenyl-2-bromacetamid erhalten.
  • Beispiel 48: 2-(4-Amino-2,3,5-trimethylphenoxy)-2-methyl-N-[1-(2-(3-chlor-2-methyl)anilino-2-oxyethyl)-4-piperidinyl]-N-methylpropamid (48)
  • Die Titelverbindung (48) wurde in der gleichen Weise wie in Beispiel 28 beschrieben aus der Verbindung (3), die in Beispiel 3 erhalten worden war, und N-(3-Chlor-2-methyl)phenyl-2-bromacetamid erhalten.
  • Beispiel 49: 2-(4-Amino-2,3,5-trimethylphenoxy)-2-methyl-N-[1-(2-tert.-butylanilino-2-oxyethyl)-4-piperidinyl]-N-methylpropamid (49)
  • Die Titelverbindung (49) wurde in der gleichen Weise wie in Beispiel 28 beschrieben aus der Verbindung (3), die in Beispiel 3 erhalten worden war, und N-(2-tert.-Butylmethyl)phenyl-2-bromacetamid erhalten.
  • Beispiel 50: 2-(4-Amino-2,3,5-trimethylphenoxy)-2-methyl-N-[1-(2-(2,6-dimethyl)anilino-2-oxyethyl)-4-piperidinyl]-N-methylpropamid (50)
  • Die Titelverbindung (50) wurde in der gleichen Weise wie in Beispiel 28 beschrieben aus der Verbindung (3), die in Beispiel 3 erhalten worden war, und N-(2,5-Dimethyl)phenyl-2-bromacetamid erhalten.
  • Beispiel 51: 2-(5-Amino-4-chlor-2-methoxyphenoxy)-N-[1-(2-anilino-2-oxyethyl)-4-piperidinyl]-N-ethylacetamid (51)
  • Die Titelverbindung (51) wurde in der gleichen Weise wie in Beispiel 28 beschrieben aus der Verbindung (8), die in Beispiel 8 erhalten worden war, und N-Phenyl-2-bromacetamid erhalten.
  • Beispiel 52: 2-(5-Amino-4-chlor-2-methoxyphenoxy)-N-ethyl-N-[1-(2-(2,4,6-trimethyl)anilino-2-oxyethyl)-4-piperidinyl]acetamid (52)
  • Die Titelverbindung (52) wurde in der gleichen Weise wie in Beispiel 28 beschrieben aus der Verbindung (8), die in Beispiel 8 erhalten worden war, und N-(2,4,6-Trimethyl)phenyl-2-bromacetamid erhalten.
  • Beispiel 53: 2-(4-Amino-2,3,5-trimethylphenoxy)-N-methyl[1-(3-phenyl-2-(E)-propenyl)-4-piperidinylacetamid (53)
  • Die Titelverbindung (53) wurde in der gleichen Weise wie in Beispiel 28 beschrieben aus der Verbindung (1), die in Beispiel 1 erhalten worden war, und Cinnamylbromid erhalten.
  • Beispiel 54: 2-(4-Amino-2,3,5-trimethylphenoxy)-N-methyl-N-[1-(1-phenyl-1-cyclopropan)methyl-4-piperidinylacetamid (54)
  • Die Titelverbindung (54) wurde in der gleichen Weise wie in Beispiel 28 beschrieben aus der Verbindung (1), die in Beispiel 1 erhalten worden war, und 1-Phenyl-1-cyclopropylmethylbromid erhalten.
  • Beispiel 55: 2-(4-Amino-2,3,5-trimethylphenoxy)-N-methyl-N-[1-(2-(1-phenylcyclopropyl)amino-2-oxyethyl-4-piperidinyl]acetamid (55)
  • Die Titelverbindung (55) wurde in der gleichen Weise wie in Beispiel 28 beschrieben aus der Verbindung (1), die in Beispiel 1 erhalten worden war, und N-(1-Phenyl)-cyclopropyl-2-bromacetamid erhalten.
  • Beispiel 56: 2-(4-Amino-2,3,5-trimethylphenoxy)-N-methyl-N-[1-2-phenyl-2-oxyethyl)-4-piperidinyl]acetamid (56)
  • Die Titelverbindung (56) wurde in der gleichen Weise wie in Beispiel 28 beschrieben aus der Verbindung (1), die in Beispiel 1 erhalten worden war, und Phenacylbromid erhalten.
  • Beispiel 57: 2-(5-Amino-2-methoxyphenoxy)-N-ethyl-N-[1-(2-(2,4,6-trimethylyl)anilino-2-oxyethyl)-4-piperidinyl]acetamid (57)
  • Die Titelverbindung (57) wurde in der gleichen Weise wie in Beispiel 28 beschrieben aus der Verbindung (7), die in Beispiel 7 erhalten worden war, und N-(2,4,6-Trimethyl)phenyl-2-bromacetamid erhalten.
  • Beispiel 58: 2-(5-Amino-2-methoxyphenoxy)-N-methyl-N-[1-(2-(2,4,6-trimethyl)anilino-2-oxyethyl)-4-piperidinyl]acetamid (58)
  • Die Titelverbindung (58) wurde in der gleichen Weise wie in Beispiel 28 beschrieben aus der Verbindung (6), die in Beispiel 6 erhalten worden war, und N-(2,4,6-Trimethyl)phenyl-2-bromacetamid erhalten.
  • Beispiel 59: 2-(5-Amino-2-methoxyphenoxy)-N-[1-(2-anilino-2-oxyethyl)-4-piperidinyl]-N-methylacetamid (59)
  • Die Titelverbindung (59) wurde in der gleichen Weise wie in Beispiel 28 beschrieben aus der Verbindung (6), die in Beispiel 6 erhalten worden war, und N-Phenyl-2-bromacetamid erhalten.
  • Beispiel 60: 2-(4-Amino-2,3,5-trimethylphenoxy)-N-[1-(2-(2-tert.-butylanilino)-2-oxyethyl)-4-piperidinyl]-N-methylpropamid (60)
  • Die Titelverbindung (60) wurde in der gleichen Weise wie in Beispiel 28 beschrieben aus der Verbindung (2), die in Beispiel 2 erhalten worden war, und N-(2-tert.-Butyl)phenyl-2-bromacetamid erhalten.
  • Beispiel 61: 2-(4-Amino-2,3,5-trimethylphenoxy)-N-[1-(2-(2,6-dimethylanilino)-2-oxyethyl)-4-piperidinyl]-N-methylpropamid (61)
  • Die Titelverbindung (61) wurde in der gleichen Weise wie in Beispiel 28 beschrieben aus der Verbindung (2), die in Beispiel 2 erhalten worden war, und N-(2,6-Dimethyl)phenyl-2-bromacetamid erhalten.
  • Beispiel 62: 2-(4-Amino-2,3,5-trimethylphenoxy)-N-methyl-N-[1-(3-phenyl-2-(E)-propenyl)-4-piperidinyl]propamid (62)
  • Die Titelverbindung (62) wurde in der gleichen Weise wie in Beispiel 28 beschrieben aus der Verbindung (2), die in Beispiel 2 erhalten worden war, und Cinnamylbromid erhalten.
  • Beispiel 63: 2-(4-Amino-2,3,5-trimethylphenoxy)-N-methyl-N-[1-(trans-2-phenyl-1-cypropylmethyl)-4-piperidinyl]propamid (63)
  • Die Titelverbindung (63) wurde in der gleichen Weise wie in Beispiel 28 beschrieben aus der Verbindung (2), die in Beispiel 2 erhalten worden war, und trans-2-Phenyl-1-cyclopropylmethylbromid erhalten.
  • Beispiel 64: 2-(4-Amino-2,3,5-trimethylphenoxy)-N-methyl-N-[1-(2-(1-phenylcyclopropyl)amino-2-oxyethyl)-4-piperidinyl]propamid (64)
  • Die Titelverbindung (64) wurde in der gleichen Weise wie in Beispiel 28 beschrieben aus der Verbindung (2), die in Beispiel 2 erhalten worden war, und N-(1-Phenyl)cyclopropyl-2-bromacetamid erhalten.
  • Beispiel 65: 2-(4-Amino-2,3,5-trimethylphenoxy)-N-methyl-N-[1-(2-hydroxy-3-phenoxy)propyl-4-piperidinyl]acetamid (65)
  • Eine Mischungslösung aus 330 mg der Verbindung (1), die in Beispiel 1 erhalten worden war, und 162 mg Glycidylphenylether in 8 ml Isopropanol wurde für 4 Stunden bei 80°C gerührt. Dann wurde das Reaktionsgemisch unter reduziertem Druck konzentriert, und der resultierende Rückstand wurde durch Säulenchromatographie mit Amin-beschichtetem Silica (Fuji Silysia Chemical Ltd.; NH-DM1020) (Chloroform : Methanol = 30 : 1) unter Erhalt von 266 mg (54%) der Titelverbindung (65) gereinigt.
  • Beispiel 66: 2-(4-Amino-2,3,5-trimethylphenoxy)-N-methyl-N-[1-(2-trans-2-phenyl-1-cyclopropyl)amino-2-oxyethyl)-4-piperidinyl]acetamid (66)
  • Die Titelverbindung (66) wurde in der gleichen Weise wie in Beispiel 28 beschrieben aus der Verbindung (1), die in Beispiel 1 erhalten worden war, und 2-Brom-N-(trans-2-phenylcyclopropyl)acetamid erhalten.
  • Beispiel 67: 2-(4-Amino-2,3,5-trimethylphenoxy)-2-methyl-N-methyl-N-[1-(3-phenyl-2-(E)-propenyl)-4-piperidinyl]propamid (67)
  • Die Titelverbindung (67) wurde in der gleichen Weise wie in Beispiel 28 beschrieben aus der Verbindung (3), die in Beispiel 3 erhalten worden war, und Cinnamylbromid erhalten.
  • Beispiel 68: 2-(4-Amino-2,3,5-trimethylphenoxy)-2-methyl-N-methyl-N-[1-(1-phenyl-1-cyclopropan)methy-4-piperidinyl]propamid (68)
  • Die Titelverbindung (68) wurde in der gleichen Weise wie in Beispiel 28 beschrieben aus der Verbindung (3), die in Beispiel 3 erhalten worden war, und 1-Phenyl-1-cyclopropylmethylbromid erhalten.
  • Beispiel 69: 2-(4-Amino-2,3,5-trimethyl)phenoxy-2-methy-N-methyl-N-[1-(2-(1-phenylcyclopropyl)amino-2-oxyethyl)piperidinyl]propamid (69)
  • Die Titelverbindung (69) wurde in der gleichen Weise wie in Beispiel 28 beschrieben aus der Verbindung (3), die in Beispiel 3 erhalten worden war, und N-(1-Phenyl)-cyclopropyl-2-bromacetamid erhalten.
  • Beispiel 70: 2-(4-Amino-2,3,5,6-tetramethylanilino)-N-methyl-N-[1-phenyl-1-cyclopropan)methyl-4-piperidinyl]acetamid (70)
  • Die Titelverbindung (70) wurde in der gleichen Weise wie in Beispiel 28 beschrieben aus der Verbindung (10), die in Beispiel 10 erhalten worden war, und 1-Phenyl-1-cyclopropylmethylbromid erhalten.
  • Beispiel 71: 2-(4-Amino-2,3,5-trimethylphenoxy)-N-[1-(2-anilino-2-oxyethyl)-4-piperidinyl]-N-ethylacetamid (71)
  • Die Titelverbindung (71) wurde in der gleichen Weise wie in Beispiel 28 beschrieben aus der Verbindung (14), die in Beispiel 14 erhalten worden war, und N-Phenyl-2-bromacetamid erhalten.
  • Beispiel 72: 2-(4-Amino-2-chlor-3,5,6-trimethylphenoxy)-N-methyl-N-[1-(2-(1-phenylcyclopropyl)amino-2-oxyethyl)-4-piperidinyl]acetamid (72)
  • Die Titelverbindung (72) wurde in der gleichen Weise wie in Beispiel 28 beschrieben aus der Verbindung (16), die in Beispiel 16 erhalten worden war, und N-(1-Phenyl)cyclopropyl-2-bromacetamid erhalten.
  • Beispiel 73: 2-(4-Amino-2-chlor-3,5,6-trimethylphenoxy)-N-[1-(2-anilino-2-oxyethyl)-4-piperidinyl]-N-ethylacetamid (73)
  • Die Titelverbindung (73) wurde in der gleichen Weise wie in Beispiel 28 beschrieben aus der Verbindung (9), die in Beispiel 9 erhalten worden war, und N-Phenyl-2-bromacetamid erhalten.
  • Beispiel 74: 2-(4-Amino-2,3,5-trimethylphenoxy)-N-ethyl-N-[1-(3-phenyl-2-(E)-propenyl)-4-piperidinyl]acetamid (74)
  • Die Titelverbindung (74) wurde auf gleiche Weise wie in Beispiel 28 beschrieben aus der Verbindung (14), die in Beispiel 14 erhalten worden war, und Cinnamylbromid erhalten.
  • Beispiel 75: 2-(4-Amino-2,3,5-trimethylphenoxy)-N-[1-(2-anilino-2-oxyethyl)-4-piperidinyl]-N-ethylpropamid (75)
  • Die Titelverbindung (75) wurde auf gleiche Weise wie in Beispiel 28 beschrieben aus der Verbindung (15), die in Beispiel 15 erhalten worden war, und N-Phenyl-2-bromacetamid erhalten.
  • Beispiel 76: 2-(4-Amino-2,3,5,6-tetramethylanilino)-N-ethyl-N-[1-(2-phenethyl)-4-piperidinyl]acetamid (76)
  • Die Titelverbindung (76) wurde auf gleiche Weise wie in Beispiel 28 beschrieben aus der Verbindung (18), die in Beispiel 18 erhalten worden war, und Phenethylbromid erhalten.
  • Beispiel 77: 2-(4-Amino-2,3,5-trimethylphenoxy)-N-ethyl-N-[1-(3-phenyl-2-(E)-propenyl)-4-piperidinyl]propamid (77)
  • Die Titelverbindung (77) wurde auf gleiche Weise wie in Beispiel 28 beschrieben aus der Verbindung (15), die in Beispiel 15 erhalten worden war, und Cinnamylbromid erhalten.
  • Beispiel 78: 2-(4-Amino-2,3,5,6-tetramethylanilino)-N-ethyl-N-[1-(3-phenyl-2-(E)-propenyl)-4-piperidinyl]acetamid (78)
  • Die Titelverbindung (78) wurde auf gleiche Weise wie in Beispiel 28 beschrieben aus der Verbindung (18), die in Beispiel 18 erhalten worden war, und Cinnamylbromid erhalten.
  • Beispiel 79: 2-(4-Amino-2,3,5-trimethylphenoxy)-2-methyl-N-[1-(2-(4-amino-2,5-dichlor)anilino-2-oxyethyl)-4-piperidinyl]-N-methylpropamid (79)
  • Die Titelverbindung (79) wurde auf gleiche Weise wie in Beispiel 28 beschrieben aus der Verbindung (3), die in Beispiel 3 erhalten worden war, und N-(4-Amino-2,5-dichlor)phenyl-2-bromacetamid erhalten.
  • Beispiel 80: 2-(4-Amino-2,3,5-trimethylphenoxy)-2-methyl-N-[1-(3-phenyl-2-(E)-propenyl]piperidinyl]propamid (80)
  • Die Titelverbindung (80) wurde auf gleiche Weise wie in Beispiel 28 beschrieben aus der Verbindung (13), die in Beispiel 13 erhalten worden war, und Cinnamylbromid erhalten.
  • Beispiel 81: 2-(4-Amino-2,3,5-trimethylphenoxy)-2-methyl-N-[1-(1-phenyl-1-cyclopropan)methyl-4-piperidinyl]propamid (81)
  • Die Titelverbindung (81) wurde auf gleiche Weise wie in Beispiel 28 beschrieben aus der Verbindung (13), die in Beispiel 13 erhalten worden war, und 1-Phenyl-1-cyclopropylmethylbromid erhalten.
  • Beispiel 82: 2-(4-Amino-2,3,5-trimethylphenoxy)-2-methyl-N-[1-(2-anilino-2-oxyethyl)-4-piperidinyl]propamid (82)
  • Die Titelverbindung (82) wurde auf gleiche Weise wie in Beispiel 28 beschrieben aus der Verbindung (13), die in Beispiel 13 erhalten worden war, und N-Phenyl-2-bromacetamid erhalten.
  • Beispiel 83: 2-(4-Amino-2,3,5-trimethylphenoxy)-N-[1-(2-anilino-2-oxyethyl)-4-piperidinyl]propamid (83)
  • Die Titelverbindung (83) wurde auf gleiche Weise wie in Beispiel 28 beschrieben aus der Verbindung (12), die in Beispiel 12 erhalten worden war, und N-Phenyl-2-bromacetamid erhalten.
  • Beispiel 84: 2-(4-Amino-2,3,5-trimethylphenoxy)-N-[1-(3-phenyl-2-(E)-propenyl)-4-piperidinyl]propamid (84)
  • Die Titelverbindung (84) wurde auf gleiche Weise wie in Beispiel 28 beschrieben aus der Verbindung (12), die in Beispiel 12 erhalten worden war, und Cinnamylbromid erhalten.
  • Beispiel 85: 2-(4-Amino-2,3,5-trimethylphenoxy)-N-[1-(2-anilino-2-oxyethyl)-4-piperidinyl]acetamid (85)
  • Die Titelverbindung (85) wurde auf gleiche Weise wie in Beispiel 28 beschrieben aus der Verbindung (11), die in Beispiel 11 erhalten worden war, und N-Phenyl-2-bromacetamid erhalten.
  • Beispiel 86: 2-(4-Amino-2,3,5-trimethylphenoxy)-N-[1-(3-phenyl-2-(E)-propenyl)-4-piperidinyl]acetamid (86)
  • Die Titelverbindung (86) wurde auf gleiche Weise wie in Beispiel 28 beschrieben aus der Verbindung (11), die in Beispiel 11 erhalten worden war, und Cinnamylbromid erhalten.
  • Beispiel 87: 2-(4-Amino-2,3,5-trimethylphenoxy)-N-ethyl-N-[1-(1-phenyl-1-cyclopropan)methyl-4-piperidinyl]propamid (87)
  • Die Titelverbindung (87) wurde auf gleiche Weise wie in Beispiel 28 beschrieben aus der Verbindung (15), die in Beispiel 15 erhalten worden war, und 1-Phenyl-1-cyclopropylmethylbromid erhalten.
  • Beispiel 88: 2-(4-Amino-2,3,5,6-tetramethylanilino)-N-ethyl-N-[1-(1-phenyl-1-cyclopropan)methyl-4-piperidinyl]acetamid (88)
  • Die Titelverbindung (88) wurde auf gleiche Weise wie in Beispiel 28 beschrieben aus der Verbindung (18), die in Beispiel 18 erhalten worden war, und 1-Phenyl-1-cyclopropylmethylbromid erhalten.
  • Beispiel 89: 2-(4-Amino-2,3,5-trimethylphenoxy)-N-[1-(2-(4-amino-2,5-dichlor)anilino-2-oxyethyl)-4-piperidinyl]-N-methylacetamid (89)
  • Die Titelverbindung (89) wurde auf gleiche Weise wie in Beispiel 28 beschrieben aus der Verbindung (1), die in Beispiel 1 erhalten worden war, und N-(4-Amino-2,5-dichlor)phenyl-2-bromacetamid erhalten.
  • Beispiel 90: 2-(4-Amino-2,3,5,6-tetramethylanilino)-N-methyl-N-[1-(1-phenyl-1-cyclopropan)methyl-4-piperidinyl]propamid (90)
  • Die Titelverbindung (90) wurde auf gleiche Weise wie in Beispiel 28 beschrieben aus der Verbindung (2), die in Beispiel 2 erhalten worden war, und 1-Phenyl-1-cyclopropylmethylbromid erhalten.
  • Beispiel 91: 2-(4-Amino-2-chlor-3,5,6-trimethylphenoxy-N-[1-2-anilino-2-oxyethyl)-4-piperidinyl]acetamid (91)
  • Die Titelverbindung (91) wurde auf gleiche Weise wie in Beispiel 28 beschrieben aus der Verbindung (17), die in Beispiel 17 erhalten worden war, und N-Phenyl-2-bromacetamid erhalten.
  • Beispiel 92: 2-(4-Amino-2-chlor-3,5,6-trimethylphenoxy)-N-[1-(2-(4-amino-2,5-dichlor)anilino-2-oxyethyl)-4-piperidinyl]-N-methylacetamid (92)
  • Die Titelverbindung (92) wurde auf gleiche Weise wie in Beispiel 28 beschrieben aus der Verbindung (16), die in Beispiel 16 erhalten worden war, und N-(4-Amino-2,5-dichlor)phenyl-2-bromacetamid erhalten.
  • Beispiel 93: 2-(4-Amino-2-chlor-3,5,6-trimethylphenoxy)-N-[1-(2-(2,5-dimethyl-4-hydroxy)anilino-2-oxyethyl)-4-piperidinyl]-N-ethylacetamid (93)
  • Die Titelverbindung (93) wurde in der gleichen Weise wie in Beispiel 28 beschrieben aus der Verbindung (9), die in Beispiel 9 erhalten worden war, und N-(2,5-Dimethyl-4-hydroxy)phenyl-2-bromacetamid erhalten.
  • Beispiel 94: 2-(4-Amino-2,3,5,6-tetramethylanilino)-N-ethyl-N-[1-(trans-2-phenyl-1-cyclopropylmethyl)-4-piperidinyl]acetamid (94)
  • Die Titelverbindung (94) wurde in der gleichen Weise wie in Beispiel 28 beschrieben aus der Verbindung (18), die in Beispiel 18 erhalten worden war, und trans-2-Phenyl-1-cyclopropylmethylbromid erhalten.
  • Beispiel 95: 2-(4-Amino-2,3,5-trimethylphenoxy)-N-[1-(trans-2-phenyl-1-cyclopropylmethyl)-4-piperidinyl]acetamid (95)
  • Die Titelverbindung (95) wurde in der gleichen Weise wie in Beispiel 28 beschrieben aus der Verbindung (11), die in Beispiel 11 erhalten worden war, und trans-2-Phenyl-1-cyclopropylmethylbromid erhalten.
  • Beispiel 96: 2-(4-Amino-2,3,5-trimethylphenoxy)-N-[1-(1-phenyl-1-cyclopropan)methyl-4-piperidinyl]acetamid (96)
  • Die Titelverbindung (96) wurde in der gleichen Weise wie in Beispiel 28 beschrieben aus der Verbindung (11), die in Beispiel 11 erhalten worden war, und 1-Phenyl-1-cyclopropylmethylbromid erhalten.
  • Beispiel 97: 2-(4-Amino-2,3,5-trimethylphenoxy)-N-(1-(2-phenethyl)-4-piperidinyl)acetamid (97)
  • Die Titelverbindung (97) wurde in der gleichen Weise wie in Beispiel 28 beschrieben aus der Verbindung (11), die in Beispiel 11 erhalten worden war, und Phenethylbromid erhalten.
  • Beispiel 98: 2-(4-Amino-2,3,5-trimethylphenoxy)-2-methyl-N-[1-(2-(2,6-dimethylanilino)-2-oxyethyl)-4-piperidinyl]propamid (98)
  • Die Titelverbindung (98) wurde in der gleichen Weise wie in Beispiel 28 beschrieben aus der Verbindung (13), die in Beispiel 13 erhalten worden war, und N-(2,6-Dimethylphenyl)-2-bromacetamid erhalten.
  • Beispiel 99: 2-(4-Amino-2,3,5-trimethylphenoxy)-2-methyl-N-[1-(trans-2-phenyl-1-cyclopropylmethyl)-4-piperidinyl]propamid (99)
  • Die Titelverbindung (99) wurde in der gleichen Weise wie in Beispiel 28 beschrieben aus der Verbindung (13), die in Beispiel 13 erhalten worden war, und trans-2-Phenyl-1-cyclopropylmethylbromid erhalten.
  • Beispiel 100: 2-(4-Amino-2,3,5-trimethylphenoxy)-2-methyl-N-[1-(2-tert.-butylanilino-2-oxyethyl)-4-piperidinyl]propamid (100)
  • Die Titelverbindung (100) wurde in der gleichen Weise wie in Beispiel 28 beschrieben aus der Verbindung (13), die in Beispiel 13 erhalten worden war, und N-(2-tert.-Butylphenyl)-2-bromacetamid erhalten.
  • Beispiel 101: 2-(4-Amino-2,3,5-trimethylphenoxy)-N-[1-(1-phenyl-1-cyclopropan)methyl-4-piperidinyl]propamid (101)
  • Die Titelverbindung (101) wurde in der gleichen Weise wie in Beispiel 28 beschrieben aus der Verbindung (12), die in Beispiel 12 erhalten worden war, und 1-Phenyl-1-cyclopropylmethylbromid erhalten.
  • Beispiel 102: 2-(4-Amino-2,3,5-trimethylphenoxy)-N-[1-(2-(1-phenylcyclopropyl)amino-2-oxyethyl)-4-piperidinyl)propamid (102)
  • Die Titelverbindung (102) wurde in der gleichen Weise wie in Beispiel 28 beschrieben aus der Verbindung (12), die in Beispiel 12 erhalten worden war, und N-(1-Phenyl)cyclopropyl-2-bromacetamid erhalten.
  • Beispiel 103: 2-(4-Amino-2,3,5-trimethylphenoxy)-N-methyl-N-[1-(2-hydroxy-3-phenoxy)propyl-4-piperidinyl]propamid (103)
  • Die Titelverbindung (103) wurde in der gleichen Weise wie in Beispiel 65 beschrieben aus der Verbindung (2), die in Beispiel 2 erhalten worden war, erhalten.
  • Beispiel 104: 2-(4-Amino-2,3,5-trimethylphenoxy)-N-[1-(2-(1-phenylcyclopropyl)amino-2-oxyethyl)-4-piperidinyl)acetamid (104)
  • Die Titelverbindung (104) wurde in der gleichen Weise wie in Beispiel 28 beschrieben aus der Verbindung (11), die in Beispiel 11 erhalten worden war, und N-(1-Phenyl)cyclopropyl-2-bromacetamid erhalten.
  • Beispiel 105: 2-(4-Amino-2,3,5-trimethylphenoxy)-N-methyl-N-[1-(2-(N-methylanilino)-2-oxyethyl)-4-piperidinyl]acetamid (105)
  • Die Titelverbindung (105) wurde in der gleichen Weise wie in Beispiel 28 beschrieben aus der Verbindung (1), die in Beispiel 1 erhalten worden war, und N-Methyl-N-phenyl-2-bromacetamid erhalten.
  • Beispiel 106: 2-(4-Amino-2,3,5-trimethylphenoxy)-N-[1-(trans-2-phenyl-1-cyclopropylmethyl)-4-piperidinyl]propamid (106)
  • Die Titelverbindung (106) wurde in der gleichen Weise wie in Beispiel 28 beschrieben aus der Verbindung (12), die in Beispiel 12 erhalten worden war, und trans-2-Phenyl-1-cyclopropylmethylbromid erhalten.
  • Beispiel 107: 2-(Amino-2,3,5-trimethylphenoxy)-2-methyl-N-[1-(2-(2,5-dimethyl-4-hydroxy)anilino-2-oxyethyl)4-piperidinyl)-N-methylpropamid (107)
  • Die Titelverbindung (107) wurde in der gleichen Weise wie in Beispiel 28 beschrieben aus der Verbindung (3), die in Beispiel 3 erhalten worden war, und N-(2,5-Dimethyl-4-hydroxy)phenyl-2-bromacetamid erhalten.
  • Beispiel 108: 2-(4-Amino-2,3,5-trimethylphenoxy)-N-[1-(2-(N-methylanilino)-2-oxyethyl)-4-piperidinyl]acetamid (108)
  • Die Titelverbindung (108) wurde in der gleichen Weise wie in Beispiel 28 beschrieben aus der Verbindung (11), die in Beispiel 11 erhalten worden war, und N-Methyl-N-phenyl-2-bromacetamid erhalten.
  • Beispiel 109: 3-{4-[[2-(4-Amino-2,3,5,6-tetramethylanilino)acetyl](methyl)amino]-1-piperidin}-2-phenylpropionsäure (109)
  • Eine Mischungslösung aus 144 mg {4-[(tert.-Butoxycarbonyl)amino]-2,3,5,6-tetramethylanilino}essigsäure, 156 mg Ethyl-3-[4-(methylamino)-1-piperidin]-2-phenylpropionat, 860 mg 25% Propanphosphonsäureanhydrid und 436 μl Triethylamin in 2 ml Methylenchlorid wurde über Nacht bei Raumtemperatur gerührt. Dann wurde dem Reaktionsgemisch eine gesättigte Natriumhydrogencarbonatlösung zugesetzt, und das Gemisch wurde mit Methylenchlorid extrahiert. Der Extrakt wurde mit Kochsalzlösung gewaschen, getrocknet, filtriert und unter reduziertem Druck unter Erhalt eines Rückstandes konzentriert. Der erhaltene Rückstand wurde durch Silicagelsäulenchromatographie gereinigt (Methylenchlorid : Methanol = 10 : 1), wodurch 180 mg (67%) Ethyl-3-{4-[({4-[(tert.-butoxycarbonyl)amino]-2,3,5,6-tetramethylanilino}acetyl(methyl)amino]-1-piperidin}-2-phenylpropionat erhalten wurden. Dann wurden 178 mg des erhaltenen Ethylpropionats in 3 ml 1,4-Dioxan gelöst, und es wurden 3 ml 0,3 N Lithiumhydroxidlösung zu dieser Lösung gegeben, danach wurde die Mischungslösung für 4 Stunden bei Raumtemperatur gerührt. Danach wurde das Reaktionsgemisch mit konzentrierter Salzsäurelösung angesäuert (pH 4), und das Gemisch wurde mit Ethylacetat extrahiert. Der Extrakt wurde mit Kochsalzlösung gewaschen, getrocknet, filtriert und unter reduziertem Druck konzentriert, wodurch ein Rückstand erhalten wurde. Dann wurde eine Mischungslösung des erhaltenen Rückstands in Methylenchlorid und Trifluoressigsäure (4 : 1) für 1 Stunde bei Raumtemperatur gerührt. Danach wurde das Lösungsmittel entfernt, und der Rückstand wurde in Wasser gelöst und dann mit 4 N HCl-Lösung behandelt, wodurch 130 mg (81%) der oben genannten Verbindung (109) erhalten wurden.
  • Beispiel 110: 2-(4-Amino-2,3,5,6-tetramethylanilino)-N-(1-benzyl-4-piperidinyl]-N-methylacetamid (110)
  • Die Titelverbindung (110) wurde in der gleichen Weise wie in Beispiel 28 beschrieben aus der Verbindung (10), die in Beispiel 10 erhalten worden war, und Benzylbromid erhalten.
  • Beispiel 111: 2-(4-Amino-2,3,5,6-tetramethylanilino)-N-methyl-[1-(2-phenyl-2-oxyethyl)-4-piperidin]lacetamid (111)
  • Die Titelverbindung (111) wurde in der gleichen Weise wie in Beispiel 28 beschrieben aus der Verbindung (10), die in Beispiel 10 erhalten worden war, und Phenacylbromid erhalten.
  • Beispiel 112: 2-(4-Amino-2,3,5,6-tetramethylanilino)-N-[1-(2-hydroxy-2-phenylethyl)-4-piperidinyl]-N-methylacetamid (112)
  • Zu einer Lösung der in Beispiel 111 erhaltenen Verbindung (111) in Methanol wurde 1,0 Äquivalent Natriumborhydrid bei 0°C gegeben, und das Gemisch wurde bei Raumtemperatur 2,5 Stunden gerührt. Dann wurde das Lösungsmittel entfernt, und der erhaltene Rückstand wurde durch Säulenchromatographie mit Amin-beschichtetem Silicagel (Fuji Silysia Chemical Ltd.; NH-DM1020) gereinigt (Ethylacetat : Hexan : Methanol = 10 : 10 : 1), wobei die oben genannte Verbindung (112) mit einer Ausbeute von 75% erhalten wurde.
  • Beispiel 113: 2-(4-Amino-2,3,5,6-tetramethylanilino)[1-(cyclopropylmethyl)-4-piperidinyl]-N-methylacetamid (113)
  • Die Titelverbindung (113) wurde in der gleichen Weise wie in Beispiel 28 beschrieben aus der Verbindung (10), die in Beispiel 10 erhalten worden war, und Cyclopropylmethylbromid erhalten.
  • Beispiel 114: 2-(4-Amino-2,3,5,6-tetramethylanilino)-N-methyl-N-[1-(4-pyridylmethyl)4-piperidinyl]acetamid 114)
  • Die Titelverbindung (114) wurde in der gleichen Weise wie in Beispiel 28 beschrieben aus der Verbindung (10), die in Beispiel 10 erhalten worden war, und 4-Picolylchlorid erhalten.
  • Beispiel 115: 4-({4-[[(4-Amino-2,3,5,6-tetramethylanilino)acetyl(methyl)amino]-1-piperidin}methyl)benzoesäure (115)
  • Eine Mischungslösung der Verbindung, die aus Verbindung (10), die in Beispiel 10 erhalten worden war, und tert.-Butyl-4-(brommethyl)benzoat auf die gleiche Weise wie in Beispiel 28 beschrieben erhalten worden war, wurde in 6 N HCl-Lösung für 2 Stunden am Rückfluss erhitzt. Dann wurde das Lösungsmittel unter Erhalt der Titelverbindung (115) entfernt.
  • Beispiel 116: 4-({4-[[(4-Amino-2,3,5,6-tetramethylanilino)acetyl]methyl)amino]-1-piperidin}methyl)benzamid (116)
  • Die Titelverbindung (116) wurde in der gleichen Weise wie in Beispiel 28 beschrieben aus der Verbindung (10), die in Beispiel 10 erhalten worden war, und 4-Brommethylbenzamid erhalten.
  • Beispiel 117: 2-(4-Amino-2,3,5,6-tetramethylanilino)-N-[1-(2-hydroxyethyl)-4-piperidinyl]-N-methylacetamid (117)
  • Die Titelverbindung (117) wurde in der gleichen Weise wie in Beispiel 28 beschrieben aus der Verbindung (10), die in Beispiel 10 erhalten worden war, und 2-Bromethanol erhalten.
  • Beispiel 118: 3-({4-[[(4-Amino-2,3,5,6-tetramethylanilino)acetyl](methyl)amino]-1-piperidin}propionsäure (118)
  • Die Titelverbindung (118) wurde in der gleichen Weise wie in Beispiel 115 beschrieben aus der Verbindung (10), die in Beispiel 10 erhalten worden war, und tert.-Butyl-3-propionat erhalten.
  • Beispiel 119: 2-(4-Amino-2,3,5,6-tetramethylanilino)-N-methyl-N-{1-[2-4-morpholinyl)ethyl]-4-piperidinyl}acetamid (119)
  • Die Titelverbindung (119) wurde in der gleichen Weise wie in Beispiel 28 beschrieben aus der Verbindung (10), die in Beispiel 10 erhalten worden war, und N-(2-Bromethyl)morpholinhydrochlorid erhalten.
  • Beispiel 120: 2-(4-Amino-2,3,5,6-tetramethyl-N-methylanilino)-N-methyl-N-[1-(2-phenethyl)-4-piperidinyl]acetamid (120)
  • Die Titelverbindung (120) wurde in der gleichen Weise wie in Beispiel 28 beschrieben aus der Verbindung (19), die in Beispiel 19 erhalten worden war, und Phenethylbromid erhalten.
  • Beispiel 121: 2-(4-Amino-2,3,5,6-tetramethylanilino-N-[1-(cyclopropylmethyl)-4-piperidinyl]-N-methylpropamid (121)
  • Die Titelverbindung (121) wurde in der gleichen Weise wie in Beispiel 28 beschrieben aus der Verbindung (20), die in Beispiel 20 erhalten worden war, und Cyclopropylmethylbromid erhalten.
  • Beispiel 122: 2-(4-Amino-2,3,5,6-tetramethylanilino)-N-methyl-N-[1-(2-phenethyl)-4-piperidinyl]propamid (122)
  • Die Titelverbindung (122) wurde in der gleichen Weise wie in Beispiel 28 beschrieben aus der Verbindung (20), die in Beispiel 20 erhalten worden war, und Phenethylbromid erhalten.
  • Beispiel 123: 2-(4-Amino-2,3,5,6-tetramethylanilino)-N-[1-(2-phenethyl)-4-piperidinyl]acetamid (123)
  • Eine Mischungslösung der Verbindung, die aus der Verbindung (21) in Beispiel 21 und Phenethylbromid durch dasselbe Verfahren wie das von Beispiel 28 erhalten worden war, in Methylenchlorid und Trifluoressigsäure (4 : 1) wurde für 1 Stunde bei 0°C gerührt. Dann wurde das Lösungsmittel unter Erhalt eines Rückstandes entfernt, und der erhaltene Rückstand wurde durch Säulenchromatographie an einem Amin-beschichteten Silicagel (Fuji Silysia Chemical Ltd.; NH-DM1020) gereinigt (Methylenchlorid : Methanol = 10 : 1), wodurch die oben beschriebene Verbindung (123) in 60%iger Ausbeute erhalten wurde.
  • Beispiel 124: 2-(4-Dimethylamino-2,3,5,6-tetramethylanilino)-N-methyl-N-[1-(2-phenethyl)-4-piperidinyl]acetamid (124)
  • Die Titelverbindung (124) wurde in der gleichen Weise wie in Beispiel 28 beschrieben aus der Verbindung (22), die in Beispiel 22 erhalten worden war, und Phenethylbromid erhalten.
  • Beispiel 125: 2-(3-Amino-2,4,6-trimethylanilino)-N-methyl-N-[1-(3-phenyl-2-(E)-propenyl)-4-piperidinyl]acetamid (125)
  • Die Titelverbindung (125) wurde in der gleichen Weise wie in Beispiel 28 beschrieben aus der Verbindung (23), die in Beispiel 23 erhalten worden war, und Cinnamylbromid erhalten.
  • Beispiel 126: 2-(3-Amino-2,4,6-trimethylanilino)-N-[1-(2-hydroxy-3-phenoxy)propyl-4-piperidinyl]-N-methylacetamid (126)
  • Die Titelverbindung (126) wurde in der gleichen Weise wie in Beispiel 65 beschrieben aus der Verbindung (23), die in Beispiel 23 erhalten worden war, erhalten.
  • Beispiel 127: 2-(3-Amino-2,4,6-trimethylanilino)-N-methyl-N-[1-(2-phenyl-2-oxyethyl)-4-piperidinyl]acetamid (127)
  • Die Titelverbindung (127) wurde in der gleichen Weise wie in Beispiel 28 beschrieben aus der Verbindung (23), die in Beispiel 23 erhalten worden war, und Phenacylbromid erhalten.
  • Beispiel 128: 2-(3-Amino-2,4,6-trimethylanilino)-N-(1-benzoyl-1-piperidinyl)-N-methylacetamid (128)
  • Eine Mischungslösung aus 300 mg der in Beispiel 23 erhaltenen Verbindung (23), 114 μl Benzoylchlorid und 206 μl Triethylamin in 5 ml Methylenchlorid wurde für 2 Stunden bei 0°C gerührt. Nach der Reaktion wurde das Lösungsmittel entfernt, und der erhaltene Rückstand wurde durch Säulenchromatographie mit Amin-beschichtetem Silicagel (Fuji Silysia Chemical Ltd.; NH-DM1020) gereinigt (Methylenchlorid : Ether = 1 : 1), wodurch die oben beschriebene Verbindung (128) in 66%iger Ausbeute erhalten wurde.
  • Beispiel 129: 2-(3-Amino-2,4,6-trimethylanilino)-N-[1-(cyclopropylmethyl)4-piperidinyl]-N-methylacetamid (129)
  • Die Titelverbindung (129) wurde in der gleichen Weise wie in Beispiel 28 beschrieben aus der Verbindung (23), die in Beispiel 23 erhalten worden war, und Cyclopropylmethylbromid erhalten.
  • Beispiel 130: 2-(3-Amino-2,4,6-trimethylanilino)-N-methyl-N-[1-(phenylsulfonyl)-4-piperidinyl]acetamid (130)
  • Die Titelverbindung (130) wurde in der gleichen Weise wie in Beispiel 128 beschrieben aus der Verbindung (23), die in Beispiel 23 erhalten worden war, und Benzolsulfonylchlorid erhalten.
  • Beispiel 131: 2-(3-Amino-2,4,6-trimethylanilino)-N-benzyl-4-piperidinyl)-N-methylacetamid (131)
  • Die Titelverbindung (131) wurde in der gleichen Weise wie in Beispiel 28 beschrieben aus der Verbindung (23), die in Beispiel 23 erhalten worden war, und Benzylbromid erhalten.
  • Beispiel 132: 2-(3-Amino-2,4,6-trimethylanilino)-N-1-butyl-4-piperidinyl)-N-methylacetamid (132)
  • Die Titelverbindung (132) wurde in der gleichen Weise wie in Beispiel 28 beschrieben aus der Verbindung (23), die in Beispiel 23 erhalten worden war, und Brombutan erhalten.
  • Beispiel 133: 2-(3-Amino-2,4,6-trimethylanilino)-N-methyl-N-[1-(2-naphthyl)methyl-4-piperidinyl]acetamid (133)
  • Die Titelverbindung (133) wurde in der gleichen Weise wie in Beispiel 28 beschrieben aus der Verbindung (23), die in Beispiel 23 erhalten worden war, und 2-(Brommethyl)naphthalin erhalten.
  • Beispiel 134: 2-(3-Amino-2,4,6-trimethylanilino)-N-methyl-N-[1-(3-trifluormethylbenzoyl)-4-piperidinyl]acetamid (134)
  • Die Titelverbindung (134) wurde in der gleichen Weise wie in Beispiel 128 beschrieben aus der Verbindung (23), die in Beispiel 23 erhalten worden war, und 3-(Trifluormethyl)benzoylchlorid erhalten.
  • Beispiel 135: N-(1-Benzoyl-4-piperidinyl)-2-(3-dimethylamino-2,4,6-trimethylanilino)-N-methylacetamid (135)
  • Die Titelverbindung (135) wurde in der gleichen Weise wie in Beispiel 128 beschrieben aus der Verbindung (24), die in Beispiel 24 erhalten worden war, und Benzoylchlorid erhalten.
  • Beispiel 136: 2-(2-Amino-4,5-dimethylanilino)-N-methyl-N-[1-(2-phenethyl)-4-piperidinyl]acetamid (136)
  • Die Titelverbindung (136) wurde in der gleichen Weise wie in Beispiel 28 beschrieben aus der Verbindung (25), die in Beispiel 25 erhalten worden war, und Phenethylbromid erhalten.
  • Beispiel 137: 2-(2-Amino-4,5-dimethylanilino)-N-methyl-N-[1-(trans-2-phenyl-1-cyclopropylmethyl)-4-piperidinyl]acetamid (137)
  • Die Titelverbindung (137) wurde in der gleichen Weise wie in Beispiel 28 beschrieben aus der Verbindung (25), die in Beispiel 25 erhalten worden war, und trans-2-Phenyl-1-cyclopropylmethylbromid erhalten.
  • Beispiel 138: 2-(4-Amino-2,5-dichloranilino)-N-methyl-N-[1-(2-phenethyl)-4-piperidinyl]acetamid (138)
  • Die Titelverbindung (138) wurde in der gleichen Weise wie in Beispiel 28 beschrieben aus der Verbindung (26), die in Beispiel 26 erhalten worden war, und Phenethylbromid erhalten.
  • Beispiel 139: 2-(4-Amino-2,6-dichloranilino)-N-[1-(2-anilino-2-oxyethyl)-4-piperidinyl]-N-methylacetamid (139}
  • Eine Mischungslösung aus der Verbindung, die aus der Verbindung (27) in Beispiel 27 und N-Phenyl-2-bromacetamid auf die gleiche Weise wie in Beispiel 28 beschrieben erhalten worden war, und 5% sulfidiertem Platin-auf-Kohle in Methanol und Tetrahydrofuran wurde für 3,5 Stunden unter 4 atm Wasserstoff gerührt. Dann wurde der Katalysator durch Celite (Handelsbezeichnung)-Filtration entfernt. Der erhaltene Rückstand wurde durch Säulenchromatographie mit Amin-beschichtetem Silicagel (Fuji Silysia Chemical Ltd.; NH-DM1020) gereinigt (Methylenchlorid : Methanol = 100 : 1), wodurch die oben beschriebene Verbindung (139) in 90%iger Ausbeute erhalten wurde.
  • Die physikalisch-chemischen Daten der Verbindungen, die in den oben beschriebenen Beispielen erhalten wurden, sind in den folgenden Tabellen als Tabelle I zusammengefasst.
  • (NB. Verbindungen (21) und (27) sind als solche nicht Teil der beanspruchten Erfindung; sie werden nur als Referenz oder Vergleich beschrieben).
  • Figure 00330001
  • Figure 00340001
  • Figure 00350001
  • Figure 00360001
  • Figure 00370001
  • Figure 00380001
  • Figure 00390001
  • Figure 00400001
  • Figure 00410001
  • Figure 00420001
  • Figure 00430001
  • Figure 00440001
  • Figure 00450001
  • Figure 00460001
  • Figure 00470001
  • Figure 00480001
  • Figure 00490001
  • Figure 00500001
  • Figure 00510001
  • Figure 00520001
  • Figure 00530001
  • Figure 00540001
  • Figure 00550001
  • Figure 00560001
  • Figure 00570001
  • Figure 00580001
  • Figure 00590001
  • Figure 00600001
  • Figure 00610001
  • Figure 00620001
  • Figure 00630001
  • Figure 00640001
  • Figure 00650001
  • Figure 00660001
  • Die Wirkungen, z. B. cytoprotektive Wirkung gegen einen Glutamat-induzierten Zelltod unter Verwendung von Neuronen der Großhirnrinde, der Calbindin D28Kd-induzierenden Effekt durch Western-Blot-Technik und die Hirnödem-unterdrückende Wirkung, von Aminophenoxyessigsäure-Derivaten der Formel (I) wurde durch die folgenden biologischen Testverfahren beurteilt.
  • Biologischer Test 1: Cyctoprotektive Wirkung gegen Glutamat-induzierten Zelltod
  • Gemäß dem Verfahren von M. P. Mattoson [M. P. Mattoson, Brain Res. Rev., 13, 179 (1988)] wurde das Hirn von 18 Tage altem Rattenfötus des Wister-Stamms entnommen. Dann wurden Zellen der Großhirnrinde (4 × 105 Zellen/ml) auf einer Platte mit 96 Vertiefungen mit flachem Boden, die Poly-L-lysin-beschichtet war (Sumitomo Bakelite Co., Ltd.), in einer Konzentration von 4 × 104 Zellen/Vertiefung ausgesät. Nach 48-stündiger Inkubation wurde 1 μM der Testverbindungen zugesetzt, dann wurde nach weiteren 24 Stunden außerdem 1 mM Glutamat zur Induzierung der Zellschädigung zugesetzt. 12 Stunden nach Zugabe von Glutamat wurde MTT [3-(4,5-Dimethylthiazol)-2,5-diphenyltetrazoliumbromid] zugesetzt, und es wurde 6 Stunden inkubiert.
  • Nach Inkubation wurden 200 μl Dimethylsulfoxid in jede Vertiefung gegeben, und die Mengen an reduziertem MTT wurden colorimetrisch durch ein Mikro-ELISA-Lesegerät unter Verwendung von 570 nm als Hauptwellenlänge und 650 nm als Nebenwellenlänge analysiert.
  • Die Wirkung der Testverbindungen wurde als Überlebensrate von überlebenden Zellen (%) nach der folgenden Gleichung bestimmt: Überlebensrate von lebenden Zellen (%) = [(Testverbindungsgruppe – Glutamat-behandelte Gruppe) (Kontrollgruppe – Glutamat-behandelte Gruppe)] × 100
  • D. h., die Überlebensrate der überlebenden Zellen nach Inkubation der Kontrollgruppe wurde als 100% angenommen, und die Überlebensrate der lebenden Zellen der getesteten Verbindungen wurde in Tabelle II angegeben.
  • TABELLE II
    Figure 00670001
  • Figure 00680001
  • Biologischer Test 2: Calbindin D28Kd-induzierende Wirkung
  • Gemäß dem Verfahren von M. P. Mattoson [M. P. Mattoson, Brain Res. Rev., 13, 179 (1988)] wurde das Hirn von 18 Tage alten Rattenföten des Wister-Stamms entnommen. Dann wurden Zellen der Großhirnrinde (5.500 Zellen/mm2) auf einer Platte mit 6 Vertiefungen, die Poly-L-lysin-beschichtet waren (Falcon) (3,5 mm, Sumilon) ausgesät und für 7 Tage inkubiert.
  • Testverbindungen wurden am 5. Kulturtag zugesetzt, und nach 7 Tagen Inkubation wurde das Protein mit homogenisierter Pufferlösung [enthaltend 20 mM Tris-HCl (pH = 7,4), 1 mM EDTA und 0,1 mM Phenylmethylsulfonylfluorid] extrahiert.
  • Die Wirkung der Testverbindungen wurde durch Western-Blot-Technik unter Verwendung von polyklonalem Anti-Calbindin D28K (Swant Co., Ltd.) als Antikörper bestimmt.
  • Tabelle III zeigt die Testresultate. In der Tabelle wurde die Menge an induziertem Calbindin D28Kd der Kontrollgruppe (nicht-behandelte Gruppe) als 100% angegeben.
  • TABELLE III
    Figure 00690001
  • Biologischer Test 3: Hirnödem-unterdrückende Wirkung
  • Es wurden 8 Wochen alte slc:Wistar-Stamm-Ratten verwendet. Die Ratten wurden durch intraperitoneale Verabreichung von 50 mg/kg Nembutal (Handelsbezeichnung) anästhesiert und dann an einem Hirnfixaktor fixiert. Eine sterile Metallschraube (3,75 mm Länge/1,0 mm Durchmesser/0,75 mm Länge der Schraubenwindung) wurde 1,5 mm rechts und 0,8 mm rückseitig des Bregma eingeführt um die frontparietale Großhirnrinde zu drücken und eine Hirnverletzung zu verursachen.
  • 6 Tage nach der Operation wurde das ganze Hirn entnommen, und die rechte Hemisphäre des Gehirns (verletzte Seite) wurde isoliert. Nach Bestimmung des Nettogewichtes der Gehirnhemisphäre wurde dieses für 24 Stunden bei 110°C auf Aluminiumfolie getrocknet. Das Trockengewicht der Hirnhemisphäre wurde gemessen, und der Wassergehalt wurde unter Verwendung der folgenden Formel errechnet: Wassergehalt(%) = [(Nassgewicht der Hemisphäre – Trockengewicht der Hemisphäre)/Nassgewicht der Hemisphäre] × 100
  • Die Testverbindungen wurden unmittelbar nach der Operation über die Schwanzvene der Ratten intravenös verabreicht.
  • Tabelle IV zeigt die Testresultate.
  • TABELLE IV
    Figure 00700001
  • INDUSTRIELLE VERWERTBARKEIT
  • Wie oben beschrieben, stellt die vorliegende Erfindung Verbindungen mit niedrigerem Molekulargewicht, speziell Aminophenoxyessigsäure-Derivate der Formel (I), bereit, die fähig sind, das Calbindin D28Kd, eines der Ca2+-bindenden Proteine, zu induzieren und die einfach verabreicht werden können. Da die Induzierung von Calbindin D28Kd, die durch die Verabreichung der erfindungsgemäß bereitgestellten Verbindung verursacht wird, eine neuroprotektive Wirkung auf Funktionsstörungen und organische Störungen des Gehirns und eine Behandlungswirkung hervorruft, ist einzusehen, dass das Mittel der vorliegenden Erfindung auf pharmazeutischem Gebiet in hohem Maße anwendbar ist.

Claims (7)

  1. Aminophenoxyessigsäure-Derivat, das durch die folgende Formel (I) dargestellt wird:
    Figure 00710001
    worin: R1, R2, R3 und R4 unabhängig voneinander jeweils ein Wasserstoffatom; ein Halogenatom; eine Hydroxylgruppe; eine Alkoxygruppe, die substituiert sein kann; eine Alkylgruppe, die substituiert sein kann; eine Arylgruppe, die substituiert sein kann; oder eine Aralkylgruppe, die substituiert sein kann, sind; R5, R6, R7 und R8 unabhängig voneinander jeweils ein Wasserstoffatom; eine Alkylgruppe, die substituiert sein kann; eine Arylgruppe, die substituiert sein kann, oder eine Aralkylgruppe, die substituiert sein kann, sind; E1 eine Gruppe -NR9- (worin R9 ein Wasserstoffatom; eine Alkylgruppe, die substituiert sein kann; eine Arylgruppe, die substituiert sein kann; oder eine Aralkylgruppe, die substituiert sein kann, ist) ist; E2 ein Sauerstoffatom; ein Schwefelatom; oder eine Gruppe -NR10- (worin R10 ein Wasserstoffatom; eine Alkylgruppe, die substituiert sein kann; eine Arylgruppe, die substituiert sein kann; oder eine Aralkylgruppe, die substituiert sein kann, ist) ist; n 0 bis 5 ist; X und Y jeweils unabhängig voneinander eine direkte Bindung; eine Alkylengruppe, die durch eine Hydroxylgruppe, Car boxylgruppe, Oxogruppe oder Morpholinylgruppe substituiert sein kann; ein Cycloalkylengruppe; eine Alkenylengruppe, die durch eine C1-C3-Alkylgruppe substituiert sein kann; -NHCO-; -CONH- oder -SO2- sind; oder -X-Y- für -CON(CH3)- steht; Q ein Wasserstoffatom; eine Naphthylgruppe; eine Phenylgruppe, die substituiert sein kann; eine Phenoxygruppe, die substituiert sein kann; eine Benzoylgruppe, die substituiert sein kann; eine Pyridylgruppe, die substituiert sein kann; eine Chinolylgruppe, die substituiert sein kann; eine Isochinolylgruppe, die substituiert sein kann, oder eine Benzimidazolylgruppe, die substituiert sein kann, ist (mit der Maßgabe, dass, wenn E1 ein Stickstoffatom ist und E2 ein Sauerstoffatom ist, nicht alle Gruppen R1, R2, R3 und R4 gleichzeitig eine Methylgruppe darstellen;) oder ein pharmazeutisch annehmbares Salz davon.
  2. Aminophenoxyessigsäure-Derivat der Formel (I) nach Anspruch 1, wobei R1, R2, R3 und R4 unabhängig voneinander jeweils ein Wasserstoffatom; ein Halogenatom; eine Alkoxygruppe; oder eine Alkylgruppe, die substituiert sein kann, sind; R5 Wasserstoff oder eine Alkylgruppe, die substituiert sein kann, ist; E1 -NH- ist und E2 ein Sauerstoffatom ist, oder ein pharmazeutisch annehmbares Salz davon.
  3. Aminophenoxyessigsäure-Derivat der Formel (I) nach Anspruch 1, wobei E1 -NH- ist; E2 ein Sauerstoffatom ist; X eine direkte Bindung ist; Q eine Phenylgruppe, die substituiert sein kann, ist; oder ein pharmazeutisch annehmbares Salz davon.
  4. Aminophenoxyessigsäure-Derivat der Formel (I) nach Anspruch 1, wobei E1 und E2 -NH- sind; X und Y eine direkte Bindung sind; Q eine Phenylgruppe, die substituiert sein kann, ist; oder ein pharmazeutisch annehmbares Salz davon.
  5. Pharmazeutische Zusammensetzung, die ein Aminophenoxyessigsäure-Derivat oder ein pharmazeutisch annehmbares Salz davon nach einem der Ansprüche 1 bis 4 als aktives Ingredienz enthält.
  6. Neuroprotektives Medikament, das eine Verbindung nach Anspruch 1 enthält, welche Calbindin D28Kd induziert.
  7. Medikament nach Anspruch 6 zur Behandlung oder Verbesserung von Funktionsstörungen im Gehirn infolge verschiedener ischämischer Störungen, zum Beispiel Folgen von Hirninfarkt, Folgen intrazerebraler Blutung, Folgen von Hirnarteriensklerose, wie auch von organischen Störungen im Gehirn, zum Beispiel senile Demenz, Folgen einer Kopfverletzung, Folgen einer chirurgischen Hirnoperation, Alzheimerkrankheit, Parkinsonkrankheit, amyotrophe Lateralsklerose.
DE69918404T 1998-10-16 1999-10-14 Aminophenoxyessigsäure derivate als neuroschützende mittel Expired - Lifetime DE69918404T2 (de)

Applications Claiming Priority (3)

Application Number Priority Date Filing Date Title
JP29488698 1998-10-16
JP29488698 1998-10-16
PCT/JP1999/005658 WO2000023076A1 (en) 1998-10-16 1999-10-14 Aminophenoxyacetic acid derivatives as neuroprotectants

Publications (2)

Publication Number Publication Date
DE69918404D1 DE69918404D1 (de) 2004-08-05
DE69918404T2 true DE69918404T2 (de) 2005-08-04

Family

ID=17813532

Family Applications (1)

Application Number Title Priority Date Filing Date
DE69918404T Expired - Lifetime DE69918404T2 (de) 1998-10-16 1999-10-14 Aminophenoxyessigsäure derivate als neuroschützende mittel

Country Status (12)

Country Link
US (3) US6559146B1 (de)
EP (1) EP1045693B1 (de)
JP (1) JP2002527477A (de)
KR (1) KR100676109B1 (de)
CN (1) CN1198613C (de)
AT (1) ATE270103T1 (de)
AU (1) AU762345B2 (de)
CA (1) CA2315050C (de)
DE (1) DE69918404T2 (de)
ES (1) ES2221440T3 (de)
HU (1) HUP0100819A3 (de)
WO (1) WO2000023076A1 (de)

Families Citing this family (46)

* Cited by examiner, † Cited by third party
Publication number Priority date Publication date Assignee Title
AU762345B2 (en) * 1998-10-16 2003-06-26 Asubio Pharma Co., Ltd. Aminophenoxyacetic acid derivatives as neuroprotectants
SE9902987D0 (sv) 1999-08-24 1999-08-24 Astra Pharma Prod Novel compounds
DK1787984T3 (en) 2000-03-06 2017-01-30 Acadia Pharm Inc AZACYCLIC COMPOUNDS FOR USING THE TREATMENT OF SEROTON-RELATED DISEASES
WO2001079170A2 (en) * 2000-04-13 2001-10-25 Suntory Limited Aminophenoxyacetamide derivatives and pharmaceutical composition containing thereof
IL154240A0 (en) * 2000-08-08 2003-07-31 Ortho Mcneil Pharm Inc 4-pyrimidinamine derivatives, pharmaceutical compositions and related methods
US6376514B1 (en) * 2000-10-17 2002-04-23 The Procter & Gamble Co. Substituted six-membered heterocyclic compounds useful for treating multidrug resistance and compositions and methods thereof
US6693099B2 (en) * 2000-10-17 2004-02-17 The Procter & Gamble Company Substituted piperazine compounds optionally containing a quinolyl moiety for treating multidrug resistance
GB0104050D0 (en) 2001-02-19 2001-04-04 Astrazeneca Ab Chemical compounds
GB0107228D0 (en) 2001-03-22 2001-05-16 Astrazeneca Ab Chemical compounds
US20030186963A1 (en) * 2001-09-14 2003-10-02 Dorwald Florencio Zaragoza Substituted piperidines
SE0103818D0 (sv) 2001-11-15 2001-11-15 Astrazeneca Ab Chemical compounds
BR0215429A (pt) 2001-12-28 2004-12-14 Acadia Pharm Inc Composto de fórmula i e seus usos, métodos de inibição da atividade e método de inibição da ativação de um receptor de monoamina, métodos de tratamento, método de identificação de polimorfismo genético e método de identificação de paciente
AU2003247615B2 (en) 2002-06-24 2007-08-09 Acadia Pharmaceuticals Inc. N-substituted piperidine derivatives as serotonin receptor agents
US7538222B2 (en) 2002-06-24 2009-05-26 Acadia Pharmaceuticals, Inc. N-substituted piperidine derivatives as serotonin receptor agents
US7253186B2 (en) 2002-06-24 2007-08-07 Carl-Magnus Andersson N-substituted piperidine derivatives as serotonin receptor agents
SG170617A1 (en) 2003-01-16 2011-05-30 Acadia Pharm Inc Selective serotonin 2a/2c receptor inverse agonists as therapeutics for neurodegenerative diseases
SE0301369D0 (sv) 2003-05-09 2003-05-09 Astrazeneca Ab Chemical compounds
US20050261278A1 (en) 2004-05-21 2005-11-24 Weiner David M Selective serotonin receptor inverse agonists as therapeutics for disease
US7820695B2 (en) 2004-05-21 2010-10-26 Acadia Pharmaceuticals, Inc. Selective serotonin receptor inverse agonists as therapeutics for disease
EP1768954A4 (de) * 2004-06-24 2008-05-28 Incyte Corp 2-methylpropanamide und deren verwendung als pharmazeutika
NZ551603A (en) 2004-06-24 2010-11-26 Incyte Corp N-substituted piperidines and their use as pharmaceuticals
AU2005289444B2 (en) 2004-09-27 2012-06-14 Acadia Pharmaceuticals Inc. Synthesis of N-(4-fluorobenzyl)-N-(1-methylpiperidin-4-yl)-N'-(4-(2-methylpropyloxy)phenylmethyl)carbamide and its tartrate salt and crystalline forms
US7790899B2 (en) 2004-09-27 2010-09-07 Acadia Pharmaceuticals, Inc. Synthesis of N-(4-fluorobenzyl)-N-(1-methylpiperidin-4-yl)-N′-(4-(2-methylpropyloxy)phenylmethyl)carbamide and its tartrate salt and crystalline forms
TW200630337A (en) * 2004-10-14 2006-09-01 Euro Celtique Sa Piperidinyl compounds and the use thereof
KR100857112B1 (ko) 2005-10-05 2008-09-05 엘지전자 주식회사 신호 처리 방법 및 이의 장치, 그리고 인코딩 및 디코딩방법 및 이의 장치
EP1949061A4 (de) 2005-10-05 2009-11-25 Lg Electronics Inc Verfahren und vorrichtung zur signalverarbeitung und codierungs- und decodierungsverfahren und vorrichtung dafür
US7752053B2 (en) 2006-01-13 2010-07-06 Lg Electronics Inc. Audio signal processing using pilot based coding
WO2007110449A1 (en) * 2006-03-29 2007-10-04 Euro-Celtique S.A. Benzenesulfonamide compounds and their use
TW200812963A (en) * 2006-04-13 2008-03-16 Euro Celtique Sa Benzenesulfonamide compounds and the use thereof
TW200815353A (en) * 2006-04-13 2008-04-01 Euro Celtique Sa Benzenesulfonamide compounds and their use
PL2134330T3 (pl) 2007-03-19 2013-10-31 Acadia Pharm Inc Kombinacje odwrotnych agonistów i antagonistów 5-HT2A z antypsychotykami
WO2008124118A1 (en) * 2007-04-09 2008-10-16 Purdue Pharma L.P. Benzenesulfonyl compounds and the use therof
PL2151439T3 (pl) 2007-04-27 2014-08-29 Daiichi Sankyo Co Ltd Pochodna z wprowadzonym atomem azotu i 6-członowym pierścieniem aromatycznym oraz zawierający ją środek farmaceutyczny
US8765736B2 (en) * 2007-09-28 2014-07-01 Purdue Pharma L.P. Benzenesulfonamide compounds and the use thereof
PT3325444T (pt) 2015-07-20 2021-09-22 Acadia Pharm Inc Métodos para preparar n-(4-fluorobenzil)-n-(1-metilpiperidina-4-il)-n'-(4-(2-metilpropiloxi)fenilmetil)carbamida e o seu sal de tartarato e forma polimórfica c
US10953000B2 (en) 2016-03-25 2021-03-23 Acadia Pharmaceuticals Inc. Combination of pimavanserin and cytochrome P450 modulators
WO2017165635A1 (en) 2016-03-25 2017-09-28 Acadia Pharmaceuticals Inc. Combination of pimavanserin and cytochrome p450 modulators
EP3468960B1 (de) 2016-06-08 2022-03-23 GlaxoSmithKline Intellectual Property Development Limited Chemische verbindungen als atf4-pfad-hemmer
EP3558311A1 (de) 2016-12-20 2019-10-30 Acadia Pharmaceuticals Inc. Pimavanserin allein oder in kombination zur verwendung in der behandlung von morbus-alzheimer-psychose
EP3615028A1 (de) 2017-04-28 2020-03-04 Acadia Pharmaceuticals Inc. Pimavanserin zur behandlung von impulskontrollstörungen
MX2020001352A (es) 2017-08-09 2020-03-20 Denali Therapeutics Inc Compuestos, composiciones y metodos.
EP3675827A1 (de) 2017-08-30 2020-07-08 Acadia Pharmaceuticals Inc. Formulierungen von pimavanserin
CN111201245B (zh) 2017-09-01 2024-04-05 戴纳立制药公司 化合物、组合物和方法
WO2019183589A1 (en) * 2018-03-23 2019-09-26 Denali Therapeutics Inc. Modulators of eukaryotic initiation factor 2
US12091392B2 (en) 2019-02-13 2024-09-17 Denali Therapeutics Inc. Compounds, compositions and methods
CA3129609A1 (en) 2019-02-13 2020-08-20 Denali Therapeutics Inc. Eukaryotic initiation factor 2b modulators

Family Cites Families (6)

* Cited by examiner, † Cited by third party
Publication number Priority date Publication date Assignee Title
US5214147A (en) * 1987-08-12 1993-05-25 Elf Atochem North America, Inc. Process for preparing reactive hindered amine light stabilizers
CA1306995C (en) * 1987-11-27 1992-09-01 Kohshi Ueno Cyclic amine and pharmacological composition
DE4032766A1 (de) * 1990-10-16 1992-04-30 Basf Ag Phenylpiperidinoylamine und diese enthaltende arzneimittel
IL105716A0 (en) * 1992-06-08 1993-09-22 Richter Gedeon Vegyeszet Aminopropanol derivatives,their preparation and pharmaceutical compositions containing them
KR19990037220A (ko) * 1997-10-31 1999-05-25 타이도 나오카타 아릴아세트산 아미드 유도체 또는 그 염 및 이를 함유하는 의약
AU762345B2 (en) 1998-10-16 2003-06-26 Asubio Pharma Co., Ltd. Aminophenoxyacetic acid derivatives as neuroprotectants

Also Published As

Publication number Publication date
US6559146B1 (en) 2003-05-06
HUP0100819A2 (hu) 2001-08-28
KR100676109B1 (ko) 2007-02-01
AU762345B2 (en) 2003-06-26
WO2000023076A1 (en) 2000-04-27
US7488738B2 (en) 2009-02-10
EP1045693A1 (de) 2000-10-25
US6998401B2 (en) 2006-02-14
HUP0100819A3 (en) 2002-12-28
EP1045693B1 (de) 2004-06-30
CA2315050C (en) 2009-02-03
AU6122699A (en) 2000-05-08
KR20010033169A (ko) 2001-04-25
ES2221440T3 (es) 2004-12-16
US20040063748A1 (en) 2004-04-01
CN1198613C (zh) 2005-04-27
CA2315050A1 (en) 2000-04-27
US20050245574A1 (en) 2005-11-03
JP2002527477A (ja) 2002-08-27
CN1287487A (zh) 2001-03-14
DE69918404D1 (de) 2004-08-05
ATE270103T1 (de) 2004-07-15

Similar Documents

Publication Publication Date Title
DE69918404T2 (de) Aminophenoxyessigsäure derivate als neuroschützende mittel
JP2775191B2 (ja) 5―クロロ―1―(4―フルオロフェニル) ―3―(1―(2― (2―イミダゾリジノン―1―イル)エチル) ―4―ピペリジル)―1h―インドールまたはその薬学的に容認できる酸付加塩を使用する方法
DE69623899T2 (de) Behandlung von Tinnitus mit neuroprotektiven Wirkstoffen
US6387897B1 (en) Preferentially substituted calcium channel blockers
DE69925730T2 (de) 4-benzyl-piperidin-alkylsulfoxid-heterozyklen und ihre verwendung als subtyp-selektive nmda rezeptor antagonisten
DE69522355T2 (de) Neue N-(3,4-Dichlorphenyl-propyl)-piperidin-Derivate als selektive humane NK3-Rezeptorantagonisten
DE69620191T2 (de) (1s,2s)-1-(4-hydroxyphenyl)-2-(4-hydroxy-4-phenylpiperidin-1-yl)-1-propanol-methansulfonat trihydrat
US7064128B2 (en) Preferentially substituted calcium channel blockers
US5238945A (en) Method of treating psychoses
US6534525B1 (en) 2-substituted piperidine analogs and their use as subtype-selective NMDA receptor antagonists
AU2004243511A1 (en) 3-aminomethyl-pyrrolidines as N-type calcium channel blockers
DE60125681T2 (de) Verwendung von NMDA NR2B Antagonist zur Behandlung von Depressionen.
US20040259866A1 (en) Calcium channel blockers comprising two benzhydril moieties
DE69935331T2 (de) Verfahren und verbindungen zur behandlung der depression
JP2007518742A (ja) N型カルシウムチャネル遮断薬としての3−アミノピロリジン誘導体
JP2003518107A (ja) 部分飽和カルシウムチャネルブロッカー
DE69420053T2 (de) Neuroprotektive chroman verbindungen
DE69323322T2 (de) Verwendung dimethylbenzofuran und dimethylbenzopyran derivate als 5-ht3 antagoniste
DE69230498T2 (de) 2-Pyrazinylethylamin-Derivate und ihre Verwendung als Arzneimittel.
DE60130628T2 (de) Aminophenoxyacetamid derivate und diese enthaltende pharmazeutische zusammensetzungen
DE60009287T2 (de) Neuartige isoquinolin-derivate oder salze davon
KR20070044803A (ko) 칼슘 채널 차단제로서 디아릴아민 유도체
JPH08508292A (ja) (S)−α−フェニル−2−ピリジンエタンアミン(S)−マレートおよび医薬としてのその使用
JP3023988B2 (ja) (S)−α−フェニル−2−ピリジンエタンアミンベンゾエートおよび医薬としてのその使用

Legal Events

Date Code Title Description
8327 Change in the person/name/address of the patent owner

Owner name: DAIICHI ASUBIO PHARMA CO., LTD., TOKIO/TOKYO, JP

8364 No opposition during term of opposition
8327 Change in the person/name/address of the patent owner

Owner name: ASUBIO PHARMA CO., LTD., TOKYO, JP