DE69918113T2 - Hydroxamsäurederivate als Inhibitoren der Herstellung von menschlichem CD23 und der TNF-Freisetzung - Google Patents

Hydroxamsäurederivate als Inhibitoren der Herstellung von menschlichem CD23 und der TNF-Freisetzung Download PDF

Info

Publication number
DE69918113T2
DE69918113T2 DE69918113T DE69918113T DE69918113T2 DE 69918113 T2 DE69918113 T2 DE 69918113T2 DE 69918113 T DE69918113 T DE 69918113T DE 69918113 T DE69918113 T DE 69918113T DE 69918113 T2 DE69918113 T2 DE 69918113T2
Authority
DE
Germany
Prior art keywords
tert
succinyl
naphthylmethyl
hydroxyamino
leucine
Prior art date
Legal status (The legal status is an assumption and is not a legal conclusion. Google has not performed a legal analysis and makes no representation as to the accuracy of the status listed.)
Expired - Fee Related
Application number
DE69918113T
Other languages
English (en)
Other versions
DE69918113D1 (de
Inventor
Andrew Faller
David T. Harlow MacPHERSON
Peter H. Harlow MILNER
Jayshree Harlow MISTRY
John Gerard Harlow WARD
Current Assignee (The listed assignees may be inaccurate. Google has not performed a legal analysis and makes no representation or warranty as to the accuracy of the list.)
SmithKline Beecham Ltd
Original Assignee
SmithKline Beecham Ltd
Priority date (The priority date is an assumption and is not a legal conclusion. Google has not performed a legal analysis and makes no representation as to the accuracy of the date listed.)
Filing date
Publication date
Application filed by SmithKline Beecham Ltd filed Critical SmithKline Beecham Ltd
Application granted granted Critical
Publication of DE69918113D1 publication Critical patent/DE69918113D1/de
Publication of DE69918113T2 publication Critical patent/DE69918113T2/de
Anticipated expiration legal-status Critical
Expired - Fee Related legal-status Critical Current

Links

Classifications

    • CCHEMISTRY; METALLURGY
    • C07ORGANIC CHEMISTRY
    • C07DHETEROCYCLIC COMPOUNDS
    • C07D207/00Heterocyclic compounds containing five-membered rings not condensed with other rings, with one nitrogen atom as the only ring hetero atom
    • C07D207/02Heterocyclic compounds containing five-membered rings not condensed with other rings, with one nitrogen atom as the only ring hetero atom with only hydrogen or carbon atoms directly attached to the ring nitrogen atom
    • C07D207/30Heterocyclic compounds containing five-membered rings not condensed with other rings, with one nitrogen atom as the only ring hetero atom with only hydrogen or carbon atoms directly attached to the ring nitrogen atom having two double bonds between ring members or between ring members and non-ring members
    • C07D207/34Heterocyclic compounds containing five-membered rings not condensed with other rings, with one nitrogen atom as the only ring hetero atom with only hydrogen or carbon atoms directly attached to the ring nitrogen atom having two double bonds between ring members or between ring members and non-ring members with hetero atoms or with carbon atoms having three bonds to hetero atoms with at the most one bond to halogen, e.g. ester or nitrile radicals, directly attached to ring carbon atoms
    • C07D207/36Oxygen or sulfur atoms
    • C07D207/402,5-Pyrrolidine-diones
    • C07D207/4042,5-Pyrrolidine-diones with only hydrogen atoms or radicals containing only hydrogen and carbon atoms directly attached to other ring carbon atoms, e.g. succinimide
    • AHUMAN NECESSITIES
    • A61MEDICAL OR VETERINARY SCIENCE; HYGIENE
    • A61PSPECIFIC THERAPEUTIC ACTIVITY OF CHEMICAL COMPOUNDS OR MEDICINAL PREPARATIONS
    • A61P29/00Non-central analgesic, antipyretic or antiinflammatory agents, e.g. antirheumatic agents; Non-steroidal antiinflammatory drugs [NSAID]
    • AHUMAN NECESSITIES
    • A61MEDICAL OR VETERINARY SCIENCE; HYGIENE
    • A61PSPECIFIC THERAPEUTIC ACTIVITY OF CHEMICAL COMPOUNDS OR MEDICINAL PREPARATIONS
    • A61P35/00Antineoplastic agents
    • AHUMAN NECESSITIES
    • A61MEDICAL OR VETERINARY SCIENCE; HYGIENE
    • A61PSPECIFIC THERAPEUTIC ACTIVITY OF CHEMICAL COMPOUNDS OR MEDICINAL PREPARATIONS
    • A61P37/00Drugs for immunological or allergic disorders
    • AHUMAN NECESSITIES
    • A61MEDICAL OR VETERINARY SCIENCE; HYGIENE
    • A61PSPECIFIC THERAPEUTIC ACTIVITY OF CHEMICAL COMPOUNDS OR MEDICINAL PREPARATIONS
    • A61P37/00Drugs for immunological or allergic disorders
    • A61P37/02Immunomodulators
    • AHUMAN NECESSITIES
    • A61MEDICAL OR VETERINARY SCIENCE; HYGIENE
    • A61PSPECIFIC THERAPEUTIC ACTIVITY OF CHEMICAL COMPOUNDS OR MEDICINAL PREPARATIONS
    • A61P37/00Drugs for immunological or allergic disorders
    • A61P37/02Immunomodulators
    • A61P37/06Immunosuppressants, e.g. drugs for graft rejection
    • AHUMAN NECESSITIES
    • A61MEDICAL OR VETERINARY SCIENCE; HYGIENE
    • A61PSPECIFIC THERAPEUTIC ACTIVITY OF CHEMICAL COMPOUNDS OR MEDICINAL PREPARATIONS
    • A61P37/00Drugs for immunological or allergic disorders
    • A61P37/08Antiallergic agents
    • AHUMAN NECESSITIES
    • A61MEDICAL OR VETERINARY SCIENCE; HYGIENE
    • A61PSPECIFIC THERAPEUTIC ACTIVITY OF CHEMICAL COMPOUNDS OR MEDICINAL PREPARATIONS
    • A61P43/00Drugs for specific purposes, not provided for in groups A61P1/00-A61P41/00
    • CCHEMISTRY; METALLURGY
    • C07ORGANIC CHEMISTRY
    • C07CACYCLIC OR CARBOCYCLIC COMPOUNDS
    • C07C237/00Carboxylic acid amides, the carbon skeleton of the acid part being further substituted by amino groups
    • C07C237/02Carboxylic acid amides, the carbon skeleton of the acid part being further substituted by amino groups having the carbon atoms of the carboxamide groups bound to acyclic carbon atoms of the carbon skeleton
    • C07C237/22Carboxylic acid amides, the carbon skeleton of the acid part being further substituted by amino groups having the carbon atoms of the carboxamide groups bound to acyclic carbon atoms of the carbon skeleton having nitrogen atoms of amino groups bound to the carbon skeleton of the acid part, further acylated
    • CCHEMISTRY; METALLURGY
    • C07ORGANIC CHEMISTRY
    • C07CACYCLIC OR CARBOCYCLIC COMPOUNDS
    • C07C259/00Compounds containing carboxyl groups, an oxygen atom of a carboxyl group being replaced by a nitrogen atom, this nitrogen atom being further bound to an oxygen atom and not being part of nitro or nitroso groups
    • C07C259/04Compounds containing carboxyl groups, an oxygen atom of a carboxyl group being replaced by a nitrogen atom, this nitrogen atom being further bound to an oxygen atom and not being part of nitro or nitroso groups without replacement of the other oxygen atom of the carboxyl group, e.g. hydroxamic acids
    • C07C259/06Compounds containing carboxyl groups, an oxygen atom of a carboxyl group being replaced by a nitrogen atom, this nitrogen atom being further bound to an oxygen atom and not being part of nitro or nitroso groups without replacement of the other oxygen atom of the carboxyl group, e.g. hydroxamic acids having carbon atoms of hydroxamic groups bound to hydrogen atoms or to acyclic carbon atoms
    • CCHEMISTRY; METALLURGY
    • C07ORGANIC CHEMISTRY
    • C07CACYCLIC OR CARBOCYCLIC COMPOUNDS
    • C07C323/00Thiols, sulfides, hydropolysulfides or polysulfides substituted by halogen, oxygen or nitrogen atoms, or by sulfur atoms not being part of thio groups
    • C07C323/50Thiols, sulfides, hydropolysulfides or polysulfides substituted by halogen, oxygen or nitrogen atoms, or by sulfur atoms not being part of thio groups containing thio groups and carboxyl groups bound to the same carbon skeleton
    • C07C323/51Thiols, sulfides, hydropolysulfides or polysulfides substituted by halogen, oxygen or nitrogen atoms, or by sulfur atoms not being part of thio groups containing thio groups and carboxyl groups bound to the same carbon skeleton having the sulfur atoms of the thio groups bound to acyclic carbon atoms of the carbon skeleton
    • C07C323/60Thiols, sulfides, hydropolysulfides or polysulfides substituted by halogen, oxygen or nitrogen atoms, or by sulfur atoms not being part of thio groups containing thio groups and carboxyl groups bound to the same carbon skeleton having the sulfur atoms of the thio groups bound to acyclic carbon atoms of the carbon skeleton with the carbon atom of at least one of the carboxyl groups bound to nitrogen atoms
    • CCHEMISTRY; METALLURGY
    • C07ORGANIC CHEMISTRY
    • C07DHETEROCYCLIC COMPOUNDS
    • C07D215/00Heterocyclic compounds containing quinoline or hydrogenated quinoline ring systems
    • C07D215/02Heterocyclic compounds containing quinoline or hydrogenated quinoline ring systems having no bond between the ring nitrogen atom and a non-ring member or having only hydrogen atoms or carbon atoms directly attached to the ring nitrogen atom
    • C07D215/12Heterocyclic compounds containing quinoline or hydrogenated quinoline ring systems having no bond between the ring nitrogen atom and a non-ring member or having only hydrogen atoms or carbon atoms directly attached to the ring nitrogen atom with substituted hydrocarbon radicals attached to ring carbon atoms
    • C07D215/14Radicals substituted by oxygen atoms
    • CCHEMISTRY; METALLURGY
    • C07ORGANIC CHEMISTRY
    • C07DHETEROCYCLIC COMPOUNDS
    • C07D231/00Heterocyclic compounds containing 1,2-diazole or hydrogenated 1,2-diazole rings
    • C07D231/02Heterocyclic compounds containing 1,2-diazole or hydrogenated 1,2-diazole rings not condensed with other rings
    • C07D231/10Heterocyclic compounds containing 1,2-diazole or hydrogenated 1,2-diazole rings not condensed with other rings having two or three double bonds between ring members or between ring members and non-ring members
    • C07D231/12Heterocyclic compounds containing 1,2-diazole or hydrogenated 1,2-diazole rings not condensed with other rings having two or three double bonds between ring members or between ring members and non-ring members with only hydrogen atoms, hydrocarbon or substituted hydrocarbon radicals, directly attached to ring carbon atoms
    • CCHEMISTRY; METALLURGY
    • C07ORGANIC CHEMISTRY
    • C07DHETEROCYCLIC COMPOUNDS
    • C07D233/00Heterocyclic compounds containing 1,3-diazole or hydrogenated 1,3-diazole rings, not condensed with other rings
    • C07D233/54Heterocyclic compounds containing 1,3-diazole or hydrogenated 1,3-diazole rings, not condensed with other rings having two double bonds between ring members or between ring members and non-ring members
    • C07D233/56Heterocyclic compounds containing 1,3-diazole or hydrogenated 1,3-diazole rings, not condensed with other rings having two double bonds between ring members or between ring members and non-ring members with only hydrogen atoms or radicals containing only hydrogen and carbon atoms, attached to ring carbon atoms
    • CCHEMISTRY; METALLURGY
    • C07ORGANIC CHEMISTRY
    • C07DHETEROCYCLIC COMPOUNDS
    • C07D249/00Heterocyclic compounds containing five-membered rings having three nitrogen atoms as the only ring hetero atoms
    • C07D249/02Heterocyclic compounds containing five-membered rings having three nitrogen atoms as the only ring hetero atoms not condensed with other rings
    • C07D249/081,2,4-Triazoles; Hydrogenated 1,2,4-triazoles
    • CCHEMISTRY; METALLURGY
    • C07ORGANIC CHEMISTRY
    • C07DHETEROCYCLIC COMPOUNDS
    • C07D271/00Heterocyclic compounds containing five-membered rings having two nitrogen atoms and one oxygen atom as the only ring hetero atoms
    • C07D271/02Heterocyclic compounds containing five-membered rings having two nitrogen atoms and one oxygen atom as the only ring hetero atoms not condensed with other rings
    • C07D271/061,2,4-Oxadiazoles; Hydrogenated 1,2,4-oxadiazoles
    • CCHEMISTRY; METALLURGY
    • C07ORGANIC CHEMISTRY
    • C07DHETEROCYCLIC COMPOUNDS
    • C07D277/00Heterocyclic compounds containing 1,3-thiazole or hydrogenated 1,3-thiazole rings
    • C07D277/02Heterocyclic compounds containing 1,3-thiazole or hydrogenated 1,3-thiazole rings not condensed with other rings
    • C07D277/20Heterocyclic compounds containing 1,3-thiazole or hydrogenated 1,3-thiazole rings not condensed with other rings having two or three double bonds between ring members or between ring members and non-ring members
    • C07D277/22Heterocyclic compounds containing 1,3-thiazole or hydrogenated 1,3-thiazole rings not condensed with other rings having two or three double bonds between ring members or between ring members and non-ring members with only hydrogen atoms, hydrocarbon or substituted hydrocarbon radicals, directly attached to ring carbon atoms
    • C07D277/24Radicals substituted by oxygen atoms
    • CCHEMISTRY; METALLURGY
    • C07ORGANIC CHEMISTRY
    • C07DHETEROCYCLIC COMPOUNDS
    • C07D311/00Heterocyclic compounds containing six-membered rings having one oxygen atom as the only hetero atom, condensed with other rings
    • C07D311/02Heterocyclic compounds containing six-membered rings having one oxygen atom as the only hetero atom, condensed with other rings ortho- or peri-condensed with carbocyclic rings or ring systems
    • C07D311/04Benzo[b]pyrans, not hydrogenated in the carbocyclic ring
    • C07D311/58Benzo[b]pyrans, not hydrogenated in the carbocyclic ring other than with oxygen or sulphur atoms in position 2 or 4
    • CCHEMISTRY; METALLURGY
    • C07ORGANIC CHEMISTRY
    • C07DHETEROCYCLIC COMPOUNDS
    • C07D333/00Heterocyclic compounds containing five-membered rings having one sulfur atom as the only ring hetero atom
    • C07D333/50Heterocyclic compounds containing five-membered rings having one sulfur atom as the only ring hetero atom condensed with carbocyclic rings or ring systems
    • C07D333/52Benzo[b]thiophenes; Hydrogenated benzo[b]thiophenes
    • C07D333/54Benzo[b]thiophenes; Hydrogenated benzo[b]thiophenes with only hydrogen atoms, hydrocarbon or substituted hydrocarbon radicals, directly attached to carbon atoms of the hetero ring
    • CCHEMISTRY; METALLURGY
    • C07ORGANIC CHEMISTRY
    • C07DHETEROCYCLIC COMPOUNDS
    • C07D333/00Heterocyclic compounds containing five-membered rings having one sulfur atom as the only ring hetero atom
    • C07D333/50Heterocyclic compounds containing five-membered rings having one sulfur atom as the only ring hetero atom condensed with carbocyclic rings or ring systems
    • C07D333/52Benzo[b]thiophenes; Hydrogenated benzo[b]thiophenes
    • C07D333/54Benzo[b]thiophenes; Hydrogenated benzo[b]thiophenes with only hydrogen atoms, hydrocarbon or substituted hydrocarbon radicals, directly attached to carbon atoms of the hetero ring
    • C07D333/60Radicals substituted by carbon atoms having three bonds to hetero atoms with at the most one bond to halogen, e.g. ester or nitrile radicals
    • CCHEMISTRY; METALLURGY
    • C07ORGANIC CHEMISTRY
    • C07CACYCLIC OR CARBOCYCLIC COMPOUNDS
    • C07C2601/00Systems containing only non-condensed rings
    • C07C2601/02Systems containing only non-condensed rings with a three-membered ring
    • CCHEMISTRY; METALLURGY
    • C07ORGANIC CHEMISTRY
    • C07CACYCLIC OR CARBOCYCLIC COMPOUNDS
    • C07C2601/00Systems containing only non-condensed rings
    • C07C2601/12Systems containing only non-condensed rings with a six-membered ring
    • C07C2601/14The ring being saturated
    • CCHEMISTRY; METALLURGY
    • C07ORGANIC CHEMISTRY
    • C07CACYCLIC OR CARBOCYCLIC COMPOUNDS
    • C07C2602/00Systems containing two condensed rings
    • C07C2602/02Systems containing two condensed rings the rings having only two atoms in common
    • C07C2602/04One of the condensed rings being a six-membered aromatic ring
    • C07C2602/10One of the condensed rings being a six-membered aromatic ring the other ring being six-membered, e.g. tetraline

Landscapes

  • Chemical & Material Sciences (AREA)
  • Organic Chemistry (AREA)
  • Health & Medical Sciences (AREA)
  • Life Sciences & Earth Sciences (AREA)
  • General Health & Medical Sciences (AREA)
  • Veterinary Medicine (AREA)
  • Chemical Kinetics & Catalysis (AREA)
  • General Chemical & Material Sciences (AREA)
  • Medicinal Chemistry (AREA)
  • Nuclear Medicine, Radiotherapy & Molecular Imaging (AREA)
  • Public Health (AREA)
  • Pharmacology & Pharmacy (AREA)
  • Immunology (AREA)
  • Animal Behavior & Ethology (AREA)
  • Engineering & Computer Science (AREA)
  • Bioinformatics & Cheminformatics (AREA)
  • Pulmonology (AREA)
  • Transplantation (AREA)
  • Pain & Pain Management (AREA)
  • Rheumatology (AREA)
  • Pharmaceuticals Containing Other Organic And Inorganic Compounds (AREA)
  • Acyclic And Carbocyclic Compounds In Medicinal Compositions (AREA)
  • Organic Low-Molecular-Weight Compounds And Preparation Thereof (AREA)
  • Heterocyclic Carbon Compounds Containing A Hetero Ring Having Nitrogen And Oxygen As The Only Ring Hetero Atoms (AREA)
  • Pyridine Compounds (AREA)
  • Cleaning Implements For Floors, Carpets, Furniture, Walls, And The Like (AREA)

Description

  • Diese Erfindung betrifft neuartige Inhibitoren der Bildung von löslichem menschlichem CD23 und ihre Verwendung bei der Behandlung von Leiden, die mit überschüssiger Herstellung von löslichem CD23 (s-CD23) einhergehen, wie etwa Autoimmunerkrankung und Allergie. Die Verbindungen der Erfindung sind auch Inhibitoren der Freisetzung von Tumornekrosefaktor (TNF).
  • CD23 (der IgE-Rezeptor FcεRII, Blast 2, mit geringer Affinität) ist ein mit Typ-II-Integralprotein mit einer Molmasse von 45 kDa, das auf der Oberfläche einer Vielzahl von ausgereiften Zellen einschließlich B- und T-Lymphozyten, Makrophagen, natürlichen Killerzellen, Langerhanszellen, Monozyten und Thrombozyten (Delespesse et al., Adv Immunol, 49 [1991] 149-191) exprimiert wird. Auch gibt es ein CD23-ähnliches Molekül auf Eosinophilen (Grangette et al., J Immunol, 143 [1989] 3580-3588). CD23 ist mit der Regulation der Immunantwort in Zusammenhang gebracht worden (Delespesse et al., Immunol Rev, 125 [1992] 77-97). Menschliches CD23 existiert als zwei unterschiedlich gesteuerte Isoformen, a und b, die sich nur in den Aminosäuren am intrazellulären N-Terminus unterscheiden (Yokota et al., Cell, 55 [1988] 611-618). Beim Menschen findet sich die konstitutive a-Isoform nur auf B-Lymphozyten, während Typ b, induzierbar durch IL4, sich auf allen Zellen findet, die zum Exprimieren von CD23 befähigt sind.
  • Es ist bekannt, dass intaktes, zellgebundenes CD23 (i-CD23) eine Abspaltung von der Zelloberfläche erfährt, was zur Bildung einer Reihe wohldefinierter löslicher Fragmente (s-CD23) führt, welche als Ergebnis einer komplexen Abfolge proteolytischer Ereignisse hergestellt werden, deren Mechanismus immer noch schlecht verstanden ist (Bourget et al., J Biol Chem, 269 [1994] 6927-6930). Obwohl es bisher nicht bewiesen ist, wird postuliert, dass die hauptsächlichen löslichen Fragmente (Molmasse 37, 33, 29 und 25 kDa) dieser proteolytischen Ereignisse, die alle die C-terminale Lectindomäne enthalten, die bei i-CD23 üblich ist, nacheinander über die anfängliche Bildung des Fragments mit Molmasse 37 kDa eintreten (Letellier et al., J Exp Med, 172 [1990] 693-700). Ein alternativer Pfad der intrazellulären Spaltung führt zu einem stabilen Fragment mit Molmasse 16 kDa, das sich in der C-terminalen Domäne von i-CD23 unterscheidet (Grenier-Brosette et al., Eur J Immunol, 22 [1992] 1573-1577).
  • Etliche Aktivitäten sind membrangebundenem i-CD23 bei Menschen zugeschrieben worden, von denen sämtlich gezeigt worden ist, dass sie eine Rolle bei der IgE-Regulation spielen. Die einzelnen Aktivitäten schließen ein: a) Antigenpräsentation, b) IgE-vermittelte Zytotoxizität gegen Eosinophile, c) Rückbeförderung von B-Zellen zu den germinalen Zentren von Lymphknoten und Milz, und d) Herunterregulation der IgE-Synthese (Delespesse et al., Adv Immunol, 49, [1991] 149-191). Die drei löslichen CD23-Fragmente mit höherem Molekulargewicht (Molmasse 37, 33 und 29 kDa) haben multifunktionale Zytokin-Eigenschaften, die eine Hauptrolle bei der IgE-Herstellung zu spielen scheinen. So ist die überschüssige Bildung von s-CD23 mit der Überproduktion von IgE in Zusammenhang gebracht worden, dem Kennzeichen von allergischen Erkrankungen wie etwa extrinsischem Asthma, Rhinitis, allergischer Bindehautentzündung, Ekzem, atopischer Dermatitis und Anaphylaxie (Sutton und Gould, Nature, 366, [1993] 421-428). Andere biologische Aktivitäten, die s-CD23 zugeschrieben werden, schließen die Stimulation des Wachstums von B-Zellen und die Induzierung der Freisetzung von Mediatoren aus Monozyten ein. So sind erhöhte Spiegel von s-CD23 im Serum von Patienten mit B-chronischer lymphozytischer Leukämie beobachtet worden (Sarfati et al., Blood, 71 [1988] 94-98) und in den synovialen Flüssigkeiten von Patienten mit rheumatoider Arthritis (Chomarat et al., Arthritis und Rheumatism, 36 [1993] 234-242). Dass CD23 eine Rolle bei Entzündung spielt, wird durch eine Reihe von Quellen nahe gelegt. Erstens wurde berichtet, dass s-CD23 an extrazelluläre Rezeptoren binde, die, wenn sie aktiviert würden, in die zellvermittelten Ereignisse der Entzündung eingebunden seien. So wurde berichtet, dass s-CD23 direkt die monozytische TNF-, IL-1- und IL-6-Freisetzung aktiviere (Armant et al., J Exp Med, 180 [1994] 1005-1011). Es wurde berichtet, dass CD23 mit den B2-Integrin-Adhäsions-Molekülen wechselwirken, CD11b und CD11c auf Monozyten/Makrophagen (Lecoanet-Henchoz, S. et al., Immunity, 3 [1995] 119-125), welche die Freisetzung von NO2 -, Wasserstoffperoxid und Zytokin (IL-1, IL-6 und TNF) auslösen. Schließlich induzieren IL-4 oder IFN die Exprimierung von CD23 und seine Freisetzung als s-CD23 durch menschliche Monozyten. Die Ligation des membrangebundenen CD23-Rezeptors mit IgE/anti-IgE-Immunkomplexen oder anti-CD23-mAb aktiviert die Herstellung von cAMP und IL-6 und die Bildung von Thromboxan-B2, wobei sich eine rezeptorvermittelte Rolle von CD23 bei Entzündung zeigt.
  • Wegen dieser vielfältigen Eigenschaften von CD23 sollten Verbindungen, welche die Bildung von s-CD23 hemmen, zweifache Auswirkungen haben von a) einem Erhöhen der Hemmung der IgE-Synthese infolge negativen Feedbacks durch Aufrechterhaltung der Spiegel von i-CD23 auf der Oberfläche von B-Zellen und b) einem Hemmen der immunstimulierenden Zytokin-Aktivitiäten von löslichen Fragmenten von s-CD23 mit höherem Molekulargewicht (Molmasse 37, 33 und 29 kDa). Außerdem sollte die Hemmung der Abspaltung von CD23 die s-CD23-induzierte Monozyten-Aktivierung und die Mediator-Bildung abschwächen, wobei sie auf diese Weise die Entzündungs-Antwort hemmt.
  • TNFα ist ein pro-inflammatorisches Zytokin, das aus stimulierten Zellen durch spezifische Abspaltung einer 76-Aminosäure-Signal-Sequenz bei der nicht aktiven Vorstufe freigesetzt wird, um die ausgereifte Form zu erzeugen. Es wurde berichtet, dass die Abspaltung von TNFα durch eine Metalloprotease durchgeführt werde (Gearing, A. J. H. et al., Nature 370 [1994] 555-557); McGeehan, G. M. et al., Nature 370 [1994] 558-561; Mohler, K. M. et al., Nature 370 [1994] 218-220). Verbindungen, von denen berichtet wird, dass sie die Abspaltung von TNFα durch das TNF umwandelnde Enzym hemmen, können im Allgemeinen als Matrixmetalloprotease-Hemmer, insbesondere von der Klasse der Hydroxamsäuren, beschrieben werden.
  • TNFα wird in einer Vielzahl von Zelltypen als Antwort auf Bakterien, Endotoxin, verschiedene Viren und Parasiten induziert, so dass eine physiologische Funktion, die dem TNFα zugeschrieben wird, ein Beitrag zur Entzündungs-Antwort auf eine akute Infektion durch Bakterien, Parasiten etc. (Dinarello, C. A., Immunol, 4 [1992] 133-145) ist. Überproduktion von TNFα ist mit Erkrankungszuständen wie etwa rheumatoider Arthritis, septischem Schock, Morbus Crohn und Kachexie in Zusammenhang gebracht worden (Dinarello, 1992). Die Hemmung der Umwandlung von TNFα in die ausgereifte, aktive Form wäre daher nützlich bei der Behandlung dieser Entzündungs-Erkrankungen. TNFα kann auch zur Zerstörung von Gewebe bei Autoimmunerkrankungen beitragen, obwohl es keinen anfänglichen Faktor bei diesen Erkrankungen darstellt. Es ist in Kurzzeit-Studien an Modellen von rheumatoider Arthritis gezeigt worden, dass TNFα-Antikörper die Schwere einer Erkrankung vermindern, wodurch die Wichtigkeit von TNFα bei rheumatoider Arthritis bestätigt wird (Elliott, M. J. et al., Arthrit. Rheum. 12 [1993] 1681-1690; Elliott et al., Lancet 344 [1994] 1125-1127).
  • Die internationale Patentanmeldung mit der Nummer WO 96/02240 (SmithKline Beecham plc) offenbart, dass Verbindungen, welche die Funktion von Matrixmetalloproteasen hemmen (zum Beispiel Collagenase, Stromelysin und Gelatinase) wirksame Inhibitoren der Freisetzung von menschlichem löslichem CD23 sind, das in Säugetier-Zellkultur-Systeme transfiziert worden ist.
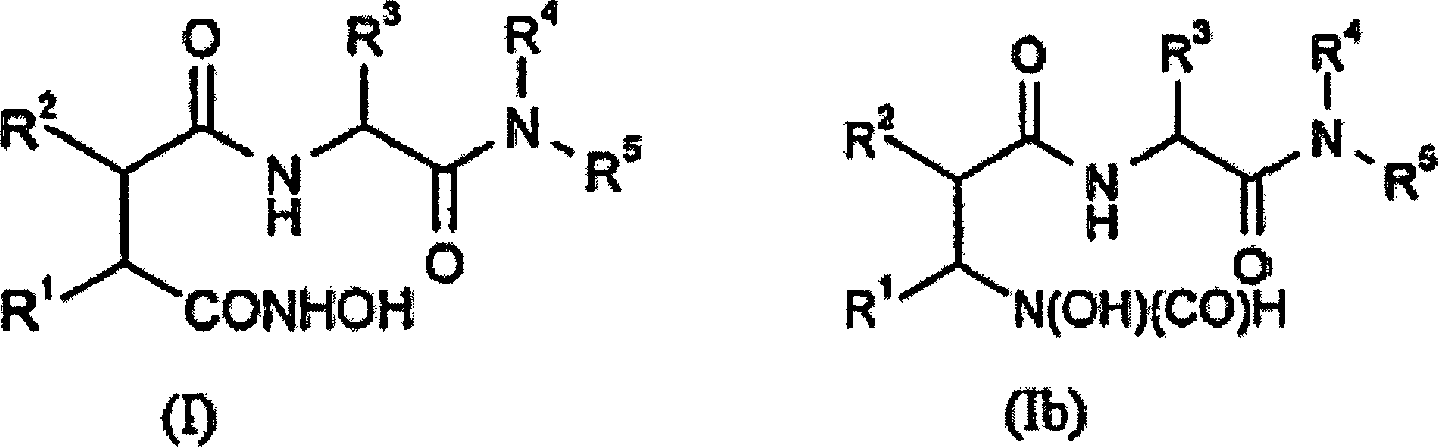
  • Die internationale Patentanmeldung mit der Nummer WO 94/10990 (British Bio-Technology Limited) offenbart, dass bestimmte Hydroxamsäurederivate, die früher im Fachgebiet als Inhibitoren von Matrixmetalloproteinasen bekannt waren wie etwa Collagenase, die Produktion von TNF durch Zellen hemmen können und daher bei der Behandlung von Erkrankungen oder Leiden, die durch die Überproduktion von oder Überreaktion auf TNF vermittelt werden, nützlich sind. Die Verbindungen werden durch die allgemeine Strukturformel (I) und die Formel (Ib) beschrieben:
    Figure 00040001
  • Die Patentanmeldung im Vereinigten Königreich mit der Nummer 9601041.8 (SmithKline Beecham plc) offenbart, dass bestimmte Verbindungen der Formel (I) wirksame Inhibitoren der Freisetzung von menschlichem löslichem CD23 sind, das in Säugetier-Zellkultur-Systeme transfiziert worden ist:
    Figure 00040002
  • Gemäß der vorliegenden Erfindung wird eine Verbindung der vorstehenden Formel (I) bereit gestellt, wobei:
    n die Werte 0 oder 1 annimmt,
    R Methyl bedeutet, das mit einem bis drei Resten, ausgewählt aus Alkyl, Aryl, Alkenyl und Alkinyl, substituiert ist,
    R1 Arylmethyl oder Heterocyclylmethyl bedeutet,
    R2 Alkyl, Alkenyl, Aryl, Cycloalkyl oder Cycloalkenyl bedeutet und
    R3 Wasserstoff, Alkyl, Alkenyl, Alkinyl oder Aryl bedeutet.
  • Alkyl-, Alkenyl- und Alkinylreste, auf die hier Bezug genommen wird, schließen unverzweigte und verzweigte Reste ein, die bis zu sechs Kohlenstoffatome enthalten und gegebenenfalls mit einem oder mehreren Resten substituiert sind, ausgewählt aus Aryl, Heterocyclyl, (C1-6)Alkylthio, (C1-6)Alkoxy, Aryl(C1-6)alkoxy, Aryl(C1-6)alkylthio, Amino, Mono- oder Di-(C1-6)alkylamino, Cycloalkyl, Cycloalkenyl, Carboxy und Ester davon, Hydroxy und Halogen.
  • Cycloalkyl- und Cycloalkenylreste, auf die hier Bezug genommen wird, schließen Reste mit zwischen drei und acht Ring-Kohlenstoffatomen ein und sind gegebenenfalls substituiert, wie hier nachstehend für Alkyl-, Alkenyl- und Alkinylreste beschrieben ist.
  • Der Begriff „Aryl" bedeutet, wenn er hier verwendet wird, einzelne oder annelierte Ringe, die geeigneterweise 4 bis 7, vorzugsweise 5 oder 6 Ringatome in jedem Ring enthalten, wobei die Ringe jeweils nicht substituiert oder mit zum Beispiel bis zu drei Substituenten substituiert sein können. Ein anneliertes Ringsystem kann aliphatische Ringe einschließen und braucht nur einen aromatischen Ring einzuschließen.
  • Geeignete Arylreste schließen Phenyl und Naphthyl wie etwa 1-Naphthyl oder 2-Naphthyl ein.
  • Geeigneterweise kann jeder Arylrest, einschließlich Phenyl und Naphthyl, gegebenenfalls mit bis zu fünf, vorzugsweise bis zu drei Substituenten substituiert sein. Geeignete Substituenten schließen Halogen, (C1-6)Alkyl, Aryl, Aryl(C1-6)alkyl, (C1-6)Alkoxy, (C1-6)Alkoxy(C1-6)alkyl, Halo(C1-6)alkyl, Aryl(C1-6)alkoxy, Hydroxy, Nitro, Cyano, Azido, Amino, Mono- und Di-N-(C1-6)alkylamino, Acylamino, Arylcarbonylamino, Acyloxy, Carboxy, Carbonsäuresalze, Carbonsäureester, Carbamoyl, Mono- und Di-N-(C1-6)alkylcarbamoyl, (C1-6)Alkoxycarbonyl, Aryloxycarbonyl, Ureido, Guanidino, Sulfonylamino, Aminosulfonyl, (C1-6)Alkylthio, (C1-6)Alkylsulfinyl, (C1-6)Alkylsulfonyl, Heterocyclyl und Heterocyclyl(C1-6)alkyl ein. Außerdem können zwei benachbarte Ring-Kohlenstoffatome durch eine (C3-5)Alkylenkette verbunden sein, um einen carbocyclischen Ring zu bilden.
  • Die Begriffe „Heterocyclyl" und „heterocyclisch" schließen, wenn sie hier verwendet werden, geeigneterweise, wenn nicht anders definiert, aromatische und nicht-aromatische einzelne und annelierte Ringe ein, die geeigneterweise bis zu vier Heteroatome in jedem Ring enthalten, die ausgewählt sind aus Sauerstoff, Stickstoff und Schwefel, wobei die Ringe nicht substituiert oder geeigneterweise mit zum Beispiel bis zu drei Substituenten substituiert sein können. Jeder heterocyclische Ring weist geeigneterweise 4 bis 7, vorzugsweise 5 oder 6, Ringatome auf. Ein anneliertes heterocyclisches Ringsystem kann carbocyclische Ringe einschließen und braucht nur einen heterocyclischen Ring einzuschließen.
  • Vorzugsweise ist ein Substituent für einen Heterocyclylrest ausgewählt aus Halogen, (C1-6)Alkyl, Aryl(C1-6)alkyl, (C1-6)Alkoxy, (C1-6)Alkoxy(C1-6)alkyl, Halo(C1-6)alkyl, Hydroxy, Amino, Mono- und Di-N-(C1-6)alkylamino, Acylamino, Carbonsäuresalzen, Carbonsäureestern, Carbamoyl, Mono- und Di-N-(C1-6)alkylcarbonyl, Aryloxycarbonyl, (C1-6)Alkoxycarbonyl(C1-6)alkyl, Aryl, Oxygruppen, Ureido, Guanidino, Sulfonylamino, Aminosulfonyl, (C1-6)Alkylthio, (C1-6)Alkylsulfinyl, (C1-6)Alkylsulfonyl, Heterocyclyl und Heterocyclyl(C1-6)alkyl.
  • In einer bestimmten Ausführungsform der Erfindung bedeutet R Allyl, Propyl, Ethyl oder Isopropyl, und/oder R1 bedeutet 1- oder 2-Naphthylmethyl, und/oder R2 bedeutet tert-Butyl, und/oder R3 bedeutet Wasserstoff oder Methyl. In einer weiteren Ausführungsform der Erfindung ist jeder der Reste R bis R3 jeweils ausgewählt aus den Bedeutungen, die ihnen in den Beispielen nachstehend zugeschrieben werden. Vorzugsweise ist die Verbindung der Formel (I) der Erfindung ausgewählt aus den Verbindungen, die in den Beispielen nachstehend beschrieben sind.
  • Gemäß einer weiteren Ausführungsform stellt die vorliegende Erfindung die Verwendung einer Verbindung der Formel (I) zur Herstellung eines Medikaments zur Behandlung oder zur Prophylaxe von Erkrankungen wie etwa Allergie, Entzündungs-Erkrankungen und Autoimmunerkrankungen, bei denen die Überproduktion von s-CD23 beteiligt ist, bereit.
  • In einer weiteren Ausführungsform stellt die Erfindung ein Verfahren zur Behandlung oder zur Prophylaxe von Erkrankungen wie etwa Allergie, Entzündungs-Erkrankungen und Autoimmunerkrankungen, bei denen die Überproduktion von s-CD23 beteiligt ist, bereit, wobei das Verfahren die Verabreichung einer Verbindung der Formel (I) an ein menschliches oder nicht-menschliches Säugetier, das derer bedarf, umfasst.
  • Die Erfindung stellt auch ein Arzneimittel zur Behandlung oder Prophylaxe von Erkrankungen wie Allergie, Entzündungs-Erkrankungen und Autoimmunerkrankungen, bei denen die Überproduktion von s-CD23 beteiligt ist, bereit, welches eine Verbindung der Formel (I) und gegebenenfalls einen pharmazeutisch verträglichen Träger dafür umfasst.
  • Gemäß einer weiteren Ausführungsform stellt die vorliegende Erfindung die Verwendung einer Verbindung der Formel (I) zur Herstellung eines Medikaments zur Behandlung oder zur Prophylaxe von Leiden, die durch TNF vermittelt werden, bereit, einschließlich, aber nicht beschränkt auf Entzündung, Fieber, Herz-Kreislauf-Wirkungen, Hämorrhagie, Koagulation und akute Phasen-Antwort, Kachexie und Anorexie, akute Infektionen, Schockzustände, Transplantat-Wirt-Reaktionen und Autoimmunerkrankungen.
  • In einer weiteren Ausführungsform stellt die Erfindung ein Verfahren zur Behandlung oder Prophylaxe von Leiden, die durch TNF vermittelt werden, bereit, wobei das Verfahren die Verabreichung einer Verbindung der Formel (I) an ein menschliches oder nicht-menschliches Säugetier, das derer bedarf, einschließt.
  • Die Erfindung stellt auch ein Arzneimittel zur Behandlung oder zur Prophylaxe von Leiden, die durch TNF vermittelt werden, bereit, welches eine Verbindung der Formel (I) und gegebenenfalls einen pharmazeutisch verträglichen Träger dafür umfasst.
  • Die einzelnen Entzündungs-Erkrankungen schließen ZNS-Erkrankungen wie etwa die Alzheimererkrankung, Multiple Sklerose und Multinfarktdemens ebenso ein wie die entzündungsvermittelten Folgeerscheinungen von Schlaganfall und Schädeltrauma.
  • Es ist selbstverständlich, dass die pharmazeutisch verträglichen Salze, Solvate und andere pharmazeutisch verträgliche Derivate der Verbindung der Formel (I) ebenfalls in der vorliegenden Erfindung eingeschlossen sind.
  • Salze der Verbindungen der Formel (I) schließen zum Beispiel Säureadditionssalze, die sich von anorganischen oder organischen Säuren ableiten, ein, wie etwa Hydrochloride, Hydrobromide, Hydroiodide, p-Toluolsulfonate, Phosphate, Sulfates, Acetate, Trifluoracetate, Propionate, Citrate, Maleate, Fumarate, Malonate, Succinate, Lactate, Oxalate, Tartarate und Benzoate.
  • Salze können auch mit Basen gebildet werden. Solche Salze schließen Salze ein, die sich von anorganischen oder organischen Basen ableiten, zum Beispiel Alkalimetallsalze, wie etwa Natrium- oder Kaliumsalze, und organische Aminsalze, wie etwa Morpholin-, Piperidin-, Dimethylamin- oder Diethylaminsalze.
  • Überraschenderweise wurde festgestellt, dass die Verbindungen der vorliegenden Erfindung starke und selektive Inhibitoren der Umwandlung von CD23 und der Freisetzung von TNF sind, während sie im Vergleich mit den vorstehend erwähnten Verbindungen gemäß dem Stand der Technik eine verminderte Aktivität bei der Hemmung von Collagenase zeigen. Die Verbindungen der Erfindung zeigen auch vorteilhafte in vivo-Absorptionseigenschaften über den oralen Weg.
  • Die Verbindungen der Erfindung können durch den Einsatz eines geeigneten gebräuchlichen Verfahrens hergestellt werden, zum Beispiel in Analogie zu den Verfahren, die in der Offenlegung des Patents mit der Nummer WO97/02239 (BBL) offenbart worden sind.
  • Demgemäß stellt eine weitere Ausführungsform der Erfindung ein Verfahren zur Herstellung einer Verbindung der Formel (I), wie hier vorstehend definiert, bereit, wobei die Vorgehensweise umfasst:
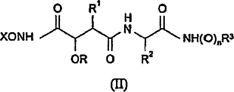
    • (a) Entschützen einer Verbindung der Formel (II):
      Figure 00080001
      wobei n und die Reste R bis R3 wie vorstehend definiert sind und X eine Schutzgruppe, wie etwa Benzyl oder Trimethylsilyl, ist, oder
    • (b) Umsetzen einer Verbindung der Formel (III):
      Figure 00090001
      wobei n und die Reste R bis R3 wie vorstehend definiert sind und jede Hydroxygruppe gegebenenfalls mit Hydroxylamin oder einem Salz davon geschützt ist, oder
    • (c) Umwandeln einer Verbindung der Formel (I) in eine andere Verbindung der Formel (I), wie hier vorstehend definiert.
  • Die Verbindungen der Formeln (II) und (III) sind neuartig und bilden eine weitere Ausführungsform der Erfindung.
  • Die Verbindungen der Formel (II) können aus Verbindungen der Formel (III) durch Umsetzung mit einem geschützten Hydroxylamin hergestellt werden. Verbindungen der Formel (III) mit einer oder mehreren Hydroxygruppen können durch Hydrolyse zu einer entsprechenden nicht geschützten Verbindung der Formel (III) umgewandelt werden.
  • Geeignete Schutzgruppen für eine Hydroxamsäure sind im Fachgebiet wohlbekannt und schließen Benzyl, Trimethylsilyl, tert-Butyl und tert-Butyldimethylsilyl ein.
  • Geeignete Schutzgruppen für eine Carbonsäure sind im Fachgebiet wohlbekannt und schließen tert-Butyl, Benzyl und Methyl ein.
  • Verbindungen der Formel (III) können durch Umsetzen einer Verbindung der Formel (IV) oder (IVa):
    Figure 00090002
    Figure 00100001
    wobei die Reste R und R1 wie vorstehend definiert sind und Y eine Schutzgruppe für Carboxyl bedeutet, mit einer Verbindung der Formel (V):
    Figure 00100002
    wobei n, R2 und R3 wie vorstehend definiert sind, oder einem aktivierten Derivat davon hergestellt werden. Wenn (IVa) eingesetzt wird, kann eine nachfolgende Alkylierung oder Acylierung der Hydroxylgruppe erforderlich sein.
  • Verbindungen der Formel (IV) können durch Schützen einer entsprechenden Verbindung, bei der Y Wasserstoff bedeutet, hergestellt werden, welche in der Reihenfolge:
    • (a) Umsetzen einer Verbindung der Formel (VI):
      Figure 00100003
      wobei R1 wie vorstehend definiert ist und Z eine Schutzgruppe für Carboxyl bedeutet, mit einem Alkylierungsmittel und
    • (b) Entfernen der Schutzgruppen
    hergestellt werden kann.
  • Verbindungen der Formel (VI), wobei Z Wasserstoff bedeutet, können durch Umsetzen eines Diesters (wie etwa des Dimethyl- oder Diethylesters) von 2-Hydroxybernsteinsäure mit einer Verbindung der Formel R1X', wobei X' eine Abgangsgruppe wie etwa Brom oder Iod bedeutet, in Anwesenheit einer starken Base wie etwa Lithiumdiisopropylamid und anschließendem Hydrolysieren der so erhaltenen Verbindung zur Entfernung der Ester-Reste hergestellt werden.
  • Die Isomere, einschließlich der Stereoisomere, der Verbindungen der vorliegenden Erfindung können als Gemische solcher Isomere oder als einzelne Isomere hergestellt werden. Die einzelnen Isomere können durch ein geeignetes Verfahren hergestellt werden, zum Beispiel können einzelne Stereoisomere durch stereospezifische chemische Synthese, wobei man von chiralen Substraten ausgeht, oder durch Trennen von Gemischen von Diastereomeren unter Verwendung bekannter Verfahren hergestellt werden. In einer bevorzugten Ausführungsform stellt die Erfindung Verbindungen der Formel (IA) bereit:
    Figure 00110001
  • Es wird bevorzugt, dass die Verbindungen isoliert in im Wesentlichen reiner Form vorliegen.
  • Wie hier dargelegt, weist ein Inhibitor der Bildung von löslichem menschlichem CD23 nützliche medizinische Eigenschaften auf. Vorzugsweise werden die wirksamen Verbindungen als pharmazeutisch verträgliche Arzneimittel verabreicht.
  • Die Arzneimittel sind vorzugsweise zweckentsprechend für die orale Verabreichung angepasst. Jedoch können sie für andere Arten der Verabreichung zweckentsprechend angepasst werden, zum Beispiel in Form eines Sprays, eines Aerosols oder eines anderen gebräuchlichen Verfahrens zur Inhalation zur Behandlung von Erkrankungen der Atemwege, oder zur parenteralen Verabreichung für Patienten, die an Herzversagen leiden. Andere alternative Arten der Verabreichung schließen die sublinguale oder transdermale Verabreichung ein.
  • Die Arzneimittel können in der Form von Tabletten, Kapseln, Pulvern, Körnchen, Pastillen, Suppositorien, rekonstituierbaren Pulvern oder flüssigen Zubereitungen, wie etwa als orale oder sterile parenterale Lösungen oder Suspensionen, vorliegen.
  • Um eine Beständigkeit der Verabreichung zu erhalten, wird es bevorzugt, dass ein Arzneimittel der Erfindung in der Form einer Einheitsdosis vorliegt.
  • Formen der Darreichung von Einheitsdosierungen zur oralen Verabreichung können Tabletten und Kapseln sein und können gebräuchliche Exzipienten, wie etwa Bindemittel, zum Beispiel Sirup, Acacia, Gelatine, Sorbitol, Traganth oder Polyvinylpyrrolidon enthalten, Füllmittel, zum Beispiel Laktose, Zucker, Maisstärke, Kalziumphosphat, Sorbitol oder Glycin, Tablettier-Gleitmittel, zum Beispiel Magnesiumstearat, Sprengmittel, zum Beispiel Stärke, Polyvinylpyrrolidon, Natriumstärkeglycollat oder mikrokristalline Cellulose oder pharmazeutisch verträgliche Netzmittel wie etwa Natriumlaurylsulfat.
  • Die festen oralen Arzneimittel können durch übliche Verfahren von Mischen, Füllen oder Tablettieren hergestellt werden. Wiederholte Mischvorgänge können eingesetzt werden, um den Wirkstoff über solche Arzneimittel breit zu verteilen, wobei große Mengen an Füllmitteln eingesetzt werden. Solche Vorgänge sind natürlich im Fachgebiet üblich. Die Tabletten können gemäß den in der pharmazeutischen Praxis wohlbekannten Verfahren überzogen werden, insbesondere mit einem dünndarmlöslichen Überzug.
  • Orale flüssige Zubereitungen können in der Form von zum Beispiel Emulsionen, Sirups oder Elixiren vorliegen oder können als ein trockenes Produkt zur Rekonstitution mit Wasser oder anderen geeigneten Trägern vor Gebrauch dargereicht werden. Solche flüssigen Präparate können gebräuchliche Zusatzstoffe wie etwa Suspensionsmittel, zum Beispiel Sorbitol, Sirup, Methylcellulose, Gelatine, Hydroxyethylcellulose, Carboxymethylcellulose, Aluminiumstearatgel, hydrierte essbare Fette, Emulgierungsmittel, zum Beispiel Lecithin, Sorbitanmonooleat oder Acacia, nicht-wässrige Träger (die essbare Öle einschließen können), zum Beispiel Mandelöl, fraktioniertes Kokosnussöl, ölige Ester, wie etwa Ester von Glycerin, Propylenglycol oder Ethylalkohol, Konservierungsmittel, zum Beispiel p-Hydroxybenzoesäuremethyl- oder -propylester oder Sorbinsäure und, falls gewünscht, gebräuchliche Geschmacksverbesserer oder Farbstoffe.
  • Zur parenteralen Verabreichung werden flüssige Einheits-Dosierungs-Formen hergestellt, wobei die Verbindung und ein steriler Träger verwendet werden, und in Abhängigkeit von der verwendeten Konzentration kann die Verbindung in dem Träger entweder suspendiert oder gelöst werden. Beim Herstellen von Lösungen kann die Verbindung in Wasser zu Injektionszwecken gelöst und steril filtriert werden, bevor man sie in eine geeignete Flasche oder Ampulle füllt und diese versiegelt. Vorteilhafterweise können Hilfsstoffe, wie etwa ein Lokalanästhetikum, ein Konservierungsmittel und puffernde Mittel, in dem Träger gelöst werden. Um die Stabilität zu erhöhen, kann das Arzneimittel nach dem Einfüllen in die Flasche gefroren und das Wasser unter Vakuum entfernt werden. Parenterale Suspensionen werden im Wesentlichen in derselben Art und Weise hergestellt, außer dass die Verbindung in dem Träger suspendiert statt gelöst wird und dass die Sterilisation nicht durch Filtration erreicht werden kann. Die Verbindung kann durch Einwirkung von Ethylenoxid erreicht werden, bevor man sie in dem sterilen Träger suspendiert. Vorteilhafterweise wird ein oberflächenaktives Mittel oder ein Netzmittel in das Arzneimittel einbezogen, um die gleichmäßige Verteilung der Verbindung zu unterstützen.
  • Arzneimittel dieser Erfindung können auch geeigneterweise zur Verabreichung in die Atemwege als ein Schnupfpulver oder ein Aerosol oder eine Lösung für einen Vernebler oder als ein mikrofeines Pulver zur Insufflation, allein oder in Kombination mit einem inerten Träger, wie etwa Laktose, dargereicht werden. In einem solchen Fall weisen die Partikel des Wirkstoffs geeigneterweise Durchmesser von weniger als 50 μm, vorzugsweise weniger als 10 μm, zum Beispiel Durchmesser im Bereich von 1 bis 50 μm, 1 bis 10 μm oder 1 bis 5 μm, auf. Wo geeignet können kleine Mengen anderer Antiasthmatika und Bronchodilatoren eingeschlossen werden, zum Beispiel sympathomimetische Amine, wie etwa Isoprenalin, Isoetharin, Salbutamol, Phenylephrin und Ephedrin, Xanthinderivate, wie etwa Theophyllin und Aminophyllin und Corticosteroide, wie etwa Prednisolon, und Nebennierenstimulantien wie etwa ACTH.
  • Die Arzneimittel können in Abhängigkeit von dem Verfahren zur Verabreichung von 0,1 bis 99 Gew.-%, vorzugsweise von 10 bis 60 Gew.-% des Wirkstoffs enthalten. Ein bevorzugter Bereich für die Verabreichung zur Inhalation liegt bei 10 % bis 99 %, insbesondere 60 % bis 99 %, zum Beispiel 90, 95 oder 99 %.
  • Formulierungen als mikrofeine Pulver können geeigneterweise in einem Aerosol als eine festgelegte Dosis oder durch ein geeignetes durch den Atem aktiviertes Gerät verabreicht werden.
  • Geeignete Aerosol-Formulierungen mit festgelegter Dosis umfassen gebräuchliche Treibmittel, Cosolventien wie etwa Ethanol, oberflächenaktive Mittel, wie etwa Oleylalkohol, Gleitmittel, wie etwa Oleylalkohol, Trocknungsmittel, wie etwa Kalziumsulfat, und Dichteregler, wie etwa Natriumchlorid.
  • Geeignete Lösungen für einen Zerstäuber sind isotonische sterilisierte Lösungen, gegebenenfalls gepuffert bei zum Beispiel zwischen pH 4 und pH 7, die bis zu 20 mg/ml der Verbindung enthalten, aber allgemeiner 0,1 bis 10 mg/ml, zum Gebrauch mit einer Standard-Zerstäuber-Ausrüstung.
  • Eine wirksame Menge wird von der relativen Wirksamkeit der Verbindungen der vorliegenden Erfindung, der Schwere der Erkrankung, die behandelt wird, und dem Gewicht des Leidenden abhängen. Geeigneterweise kann eine Einheits-Dosis-Form eines Arzneimittels der Erfindung 0,1 bis 1000 mg einer Verbindung der Erfindung (0,001 bis 10 mg über Inhalation) enthalten und, stärker gebräuchlich, 1 bis 500 mg, zum Beispiel 1 bis 25 oder 5 bis 500 mg. Solche Arzneimittel können 1- bis 6-mal pro Tag, stärker gebräuchlich 2- bis 4-mal pro Tag, verabreicht werden, in einer Art und Weise, dass die tägliche Dosis 1 mg bis 1 g für einen erwachsenen Menschen mit 70 kg Gewicht und spezieller 5 bis 500 mg beträgt. Das liegt im Bereich von etwa 1,4 × 10-2 mg/kg/Tag bis 14 mg/kg/Tag und spezieller im Bereich von etwa 7 × 10-2 mg/kg/Tag bis 7 mg/kg/Tag.
  • Die folgenden Beispiele veranschaulichen die Erfindung, begrenzen sie aber nicht in irgendeiner Weise
  • BIOLOGISCHE TESTMETHODEN
  • Verfahren 1: Das Vermögen von Test-Verbindungen, die Freisetzung von löslichem CD23 zu hemmen, wurde unter Verwendung des folgenden Verfahrens untersucht.
  • CD23-Abspaltungs-Aktivitäts-Test bei RPMI-8866-Zellmembranen:
  • Plasmamembranen von RPMI-8866-Zellen, einer menschlichen durch das Epstein-Barr-Virus umgeformten B-Zellenlinie (Sarfati et al., Immunology 60 [1987] 539-547), welche hohe Konzentrationen von CD23 exprimiert, werden gereinigt, indem man ein wässriges Extraktionsverfahren verwendet. Die in einem Homogenisierungs-Puffer (20 mM HEPES pH 7.4, 150 mM NaCl, 1,5 mM MgCl2, 1 mM DTT) resuspendierten Zellen werden durch N2-Kavitation in einer Parr-Bombe gebrochen und die Plasmamembran-Fraktion, gemischt mit anderen Membranen, wird durch Zentrifugation bei 10000 × g zurück gewonnen. Das leichte Pellet wird in 0,2 M Kaliumphosphat, pH 7,2 unter Verwendung von 2 ml pro 1 bis 3 g feuchten Zellen resuspendiert, und das Kern-Pellet wird verworfen. Die Membranen werden weiter fraktioniert durch Ausschütteln zwischen Dextran 500 (6,4 % Gew./Gew.) und Polyethylenglykol (PEG) 5000 (6,4 % Gew./Gew.) (siehe Literaturzitat), bei 0,25 M Saccharose in einer Gesamtheit von 16 g pro 10-15 mg Membranproteinen (Morre und Morre, BioTechniques 7 [1989] 946-957). Die Phasen werden durch kurze Zentrifugation bei 1000 × g getrennt, und die PEG-Phase (obere Phase) wird gesammelt, 3- bis 5-fach mit 20 mM Kaliumphosphatpuffer, pH 7,4, verdünnt und bei 100000 × g zentrifugiert, um die Membranen in dieser Phase zurück zu gewinnen. Das Pellet wird in phosphatgepufferter Salzlösung resuspendiert und besteht aus 3- bis 4-fach angereicherten Plasmamembranen ebenso wie aus einigen anderen Zellmembranen (zum Beispiel Lysosomen, Golgi). Die Membranen werden auf Aliquots aufgeteilt und bei -80 °C gelagert. Die Fraktionierung bei 6,6 % Dextran/PEG führt zu 10-fach angereicherten Plasmamembranen.
  • Die fraktionierten Membranen werden bei 37 °C über Zeiträume von bis zu 4 Std. inkubiert, um Fragmente von CD23 herzustellen, die nach Quenchen der Testanordnung mit 5 μM Präparat 1 von P 30994 von der Membran durch Filtration in 0,2-μm-Durapore-Filterplatten (Millipore) getrennt werden. Das aus der Membran freigesetzte s-CD23 wird unter Verwendung des EIA-Kits von The Binding Site (Birmingham, UK) oder eines ähnlichen unter Verwendung von MHM6-anti-CD23-mAb (Rowe et al., Int. J. Cancer 29 [1982] 373-382) oder eines anderen anti-CD23-mAb als Antikörper-Fänger in einem Sandwich-EIA bestimmt. Die Menge an löslichem CD23, das durch 0,5 μg Membranprotein in einem Gesamtvolumen von 50 μl phosphatgepufferter Salzlösung entstanden ist, wird durch EIA bestimmt und mit der Menge, die in Anwesenheit verschiedener Konzentrationen von Inhibitoren entstanden ist, verglichen. Die Inhibitoren werden in Lösungen von Wasser oder Dimethylsulfoxid (DMSO) hergestellt, und die DMSO-Endkonzentration beträgt nicht mehr als 2 %. Die IC50-Werte werden durch Kurvenanpassung bestimmt als die Konzentration, bei der 50 % Hemmung der Produktion von s-CD23 relativ zu der Differenz an s-CD23 zwischen den Kontrollen, die ohne Inhibitor inkubiert wurden, beobachtet wird.
  • Verfahren 2: Die Fähigkeit der Testverbindungen, Collagenase zu hemmen, wurde unter Verwendung des folgenden Verfahrens untersucht.
  • Collagenase-Inhibitions-Test:
  • Das Vermögen von Verbindungen, als Inhibitoren von Collagenase zu wirken, wurde mit dem Verfahren von Cawston und Barrett (Anal. Biochem. 99 [1979] 340-345), das hier durch Bezugnahme eingeschlossen ist, bestimmt, wobei eine 1 mM Lösung des Inhibitors, der getestet wird, oder Verdünnungen davon bei 37 °C 18 Std. lang mit Collagen und menschlicher rekombinanter Collagenase aus synovialen Fibroblasten, die aus E. Coli geklont, exprimiert und gereinigt wurden, inkubiert wurden (gepuffert mit 150 mM Tris, pH 7,6, welches 15 mM Kalziumchlorid, 0,05 % Brij 35, 200 mM Natriumchlorid und 0,02 % Natriumazid enthielt). Das Collagen war das acetylierte 3H-Typ-1-Rindercollagen, das mit dem Verfahren von Cawston und Murphy (Methods in Enzymology 80 [ 1981 ] 711) hergestellt wurde. Die Proben wurden zentrifugiert, um nicht digeriertes Collagen zu sedimentieren, und ein Aliquot des radioaktiven Überstands zur Untersuchung in einem Scintillationszähler als ein Maß für die Hydrolyse entfernt. Die Collagenase-Aktivität in Anwesenheit von 1 mM Inhibitor oder einer Verdünnung davon wurde mit der Aktivität in einer Kontrolle ohne Inhibitor verglichen, und die Ergebnisse wurden als diejenige Konzentration angegeben, welche 50 % Collagenase bewirkt (IC50). Verfahren 3: Die Fähigkeit der Testverbindungen, die Freisetzung von TNF zu hemmen, wurde unter Verwendung des folgenden Verfahrens untersucht.
  • Testanordnung zur Hemmung der Freisetzung von TNFα aus menschlichen Monozyten, die durch Lipopolysaccharid (LPS)-Endoxin stimuliert wurden.
  • Menschliche Monozyten, die in RPMI-1640-Medium, beaufschlagt mit 10 % fetalem Kälberserum, kultiviert wurden, werden bei 1000 × g 5 Min. lang zentrifugiert und dann in dem Medium bei 2 × 106 Zellen/ml resuspendiert. Die Zellsuspension wird in Mikrotiterplatten mit 24 Vertiefungen, 1 ml pro Vertiefung, in Aliquots aufgeteilt. Die zu testenden Verbindungen werden in reinem Dimethylsulfoxid (DMSO) gelöst und zu der Kultur mit einer DMSO-Endkonzentration von 0,1 % zugegeben. Die Verbindungen werden zu den Zellen in je drei Vertiefungen zugegeben. Die Freisetzung von TNFα wird durch Zugabe von LPS zu den Zellen bei einer Endkonzentration von 200 ng/ml zugegeben. Geeignete Kontrollkulturen werden ebenfalls in dreifacher Ausführung angelegt. Die Platten werden 18 bis 20 Std. lang bei 37 °C inkubiert, 5 % CO2, dann bei 1000 × g 5 Min. lang zentrifugiert. Ein spezifischer ELISA-Test für menschliches TNFα (SmithKline Beecham) wird verwendet, um die TNF-Spiegel in den von Zellen freien Kultur-Überständen zu messen.
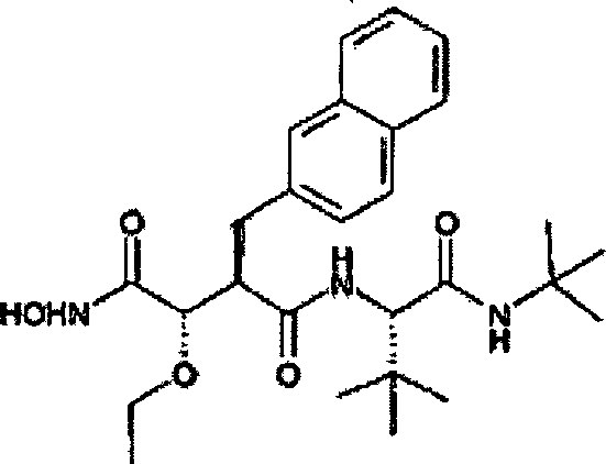
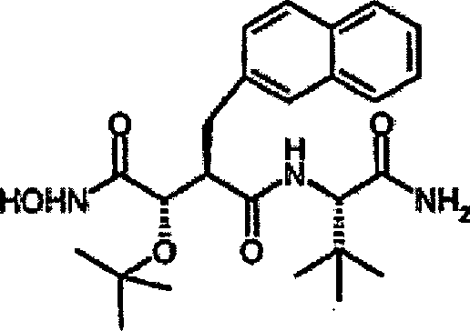
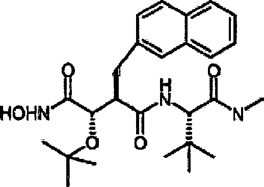
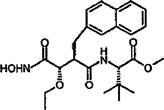
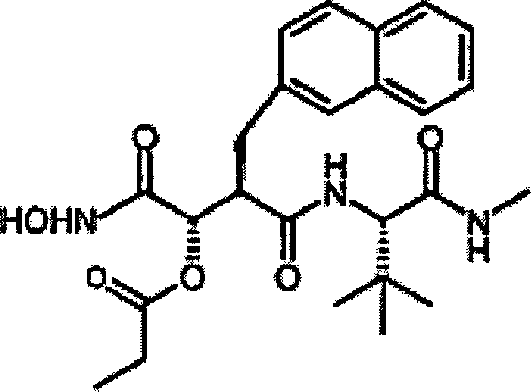
  • Herstellung von N-[4-tert-Butoxy-3S-(hydroxy)-2R-(2-naphthylmethyl)succinyl]-S-tert-leucinamid
  • a) 3S-tert-Butoxycarbonyl-2R-(2-naphthylmethyl)propiolacton
    Figure 00170001
  • tert-Butyl-(3R)-carboxy-4-(2-naphthyl)butyrat (10 g, 31,9 mmol) in THF (160 ml) wurde bei -70 °C unter Argon gerührt, und Lithium-bis-(trimethylsilyl)amid (63,7 ml einer 1 M Lösung in THF, 63,7 mmol) wurde tropfenweise zugegeben. Das Gemisch wurde bei zwischen -60 °C und -70 °C 1 Std. lang gerührt und dann auf -80 °C abgekühlt, und es wurde N-Iodsuccinimid (7,17 g, 31,9 mmol) in THF (20 ml) über eine Kanüle zugegeben. Man ließ das Gemisch sich über 1 Std. auf -30 °C erwärmen, und es wurde mit gesättigter Ammoniumchloridlösung gequencht. Ethylacetat wurde zugegeben, und das 2-Phasen-Gemisch wurde bei Raumtemperatur 1,5 Std. lang schnell gerührt. Die Phasen wurden getrennt, und die wässrige Phase wurde mit Ethylacetat (2×) extrahiert, und die vereinigten organischen Phasen wurden mit 5 % Natriumthiosulfatlösung und Salzlösung gewaschen und dann getrocknet (Na2SO4) und verdampft. Chromatographie über Kieselgel (Elution mit 10 % Ethylacetat in Hexan) und Verreibung des zurück gewonnenen Produkts mit Hexan ergab 5,70 g eines weißen Feststoffs (63%).
    MS (AP+ve) M+Na=335
    1H NMR (CDCl3): 1,31 (9H, s), 3,29 (1H, dd, J=8,5, 14,6 Hz), 3,38 (1H, dd, J=6,1, 14,6 Hz), 4,06 (1H, m), 4,45 (1H, d, J=4,4 Hz), 7,34 (1H, dd, J=1,7, 8,5 Hz), 7,48 (2H, m), 7,68 (1H, s), 7,82 (3H, m).
  • b) N-[4-tert-Butoxy-3S-(hydroxy)-2R-(2-naphthyhmethyl)succinyl]-S-tert-leucinamid
    Figure 00180001
  • Zu 3S-tert-Butoxycarbonyl-2R-(2-naphthylmethyl)propiolacton (5,0 g, 16,0 mmol) und (S)-tert-Leucinamid (2,47 g, 19,2 mmol) wurden zusammen bei Raumtemperatur 48 Std. lang in THF (30 ml) gerührt. Das THF wurde verdampft, Ethylacetat wurde zugegeben, und die Lösung wurde mit 2N HCl, Wasser und Salzlösung gewaschen und dann getrocknet (MgSO4) und verdampft. Der so erhaltene Feststoff wurde mit Hexan verrieben und getrocknet, um 6,373 g des Produkts zu ergeben (90 %).
    MS (ES+ve) M+Na=465, M+H=443
    1H NMR (DMSO-d6): 0,91 (9H, s), 1,39 (9H, s), 2,85-3,20 (3H, m), 3,85 (1H, dd, J=5,0, 7,4 Hz), 4,17 (1H, d, J=9,3 Hz), 5,65 (1H, d, J=7,4 Hz), 6,91 (1H, s), 7,29 (1H, s), 7,38-7,48 (3H, m), 7,69 (1H, s), 7,80-7,87 (4H, m).
  • Herstellung von N-4-tert-Butoxy-3S-(hydroxy)-2R-(2-naphthylmethyl)succinyl-S-tert-leucinmethylamid
    Figure 00180002
  • Durchgeführt über die Öffnung von 3S-tert-Butoxycarbonyl-2R-(2-naphthylmethyl)propiolacton mit tert-Leucinmethylamid wie vorstehend in b), um das Produkt als einen weißen Feststoff zu ergeben.
    MS (AP+ve) M+H=457, M+Na=479
    1H NMR(DMSO-d6): 0,85 (9H, s), 1,41 (9H, s), 2,32 (3H, d, J=4,6 Hz), 2,90 (1H, dd, J=6,5, 13,5 Hz), 3,03 (1H, dd, J=8,6, 13,5 Hz), 3,14 (1H, m), 3,88 (1H, dd, 5,7, 7,3 Hz), 4,12 (1H, d, J=9,3 Hz), 5,62 (1H, d, J=7,5 Hz), 7,36 (1H, m), 7,45 (2H, m), 7,60 (1H, m), 7,65 (1H, s), 7,77-7,90 (4H, m).
  • Herstellung von N-[4-tert-Butoxy-3S-(hydroxy)-2R-(2-naphthylmethyl)succinyl]-S-tert-leucinethylamid
    Figure 00190001
  • Durchgeführt über die Öffnung von 3S-tert-Butoxycarbonyl-2R-(2-naphthylmethyl)propiolacton mit tert-Leucinethylamid wie vorstehend in b), um das Produkt als einen weißen Feststoff zu ergeben (86 %).
    MS (ES+ve) M+H=471, M+Na=493
    1H NMR (DMSO-d6): 0,84 (3H, t, J=7,3 Hz), 0,86 (9H, s), 1,41 (9H, s), 2,80-2,92 (3H, m), 3,03 (1H, dd, J=8,5, 13,6 Hz), 3,16 (1H, m), 3,88 (1H, dd, J=5,8, 7,3 Hz), 4,12 (1H, d, J=9,4 Hz), 5,63 (1H, d, J=7,4 Hz), 7,37 (1H, dd, J=1,5, 8 Hz), 7,44-7,47 (2H, m), 7,65 (1H, m), 7,70 (1H, m), 7,77-7,81 (4H, m).
  • Herstellung von 3S-Hydroxy-2R-(2-(7-fluor)naphthylmethyl)bernsteinsäurediethylester
  • a) 2-Bromomethyl-6-fluornaphthalin
    Figure 00190002
  • 6-Fluor-2-methylnaphthalin (20,5 g, 128 mmol, hergestellt durch Anpassung des Verfahrens von Wolinska-Mocydlarz et al.2) und NBS (22,8 g, 128 mmol) wurden 16 Std. lang unter Rückfluss in CCl4 (210 ml) erhitzt, wobei Benzoylperoxid (2,5 g) portionsweise zugegeben wurde. Die gekühlte Lösung wurde filtriert und verdampft, und der Rückstand wurde gründlich mit Hexan extrahiert (4 × 250 ml). Die Extrakte wurden von Teermaterial dekantiert, vereinigt und verdampft, um das Produkt als einen gelben Feststoff zu ergeben, 29,8 g (97 %).
    1H NMR (CDCl3): 4,65 (2H, s), 7,27 (1H, dt, J=9,3 Hz), 7,43 (1H, dd, J=10, 2 Hz), 7,53 (1H, dd, J=9, 1 Hz), 7,74-7,85 (3H, m).
  • b) 3S-Hydroxy-2R-(2-(7-fluor)naphthylmethyl)bernsteinsäurediethylester
    Figure 00200001
  • Ein Gemisch von LHMDS-Lösung (1,0 M in THF, 262 ml) und THF (80 ml) wurde auf -72 °C gekühlt, und eine Lösung von Diethyl-S-malat (23,7 g, 124,6 mmol) in THF (100 ml), wurde tropfenweise zugegeben, wobei die Umsetzung bei <-68 °C gehalten wurde. Man ließ das Gemisch sich für 15 Min. auf -40 °C erwärmen und kühlte dann auf -72 °C zurück. 2-Brommethyl-6-fluornaphthalin (29,8 g, 124,7 mmol) in THF (180 ml) wurde tropfenweise zugegeben, und das Gemisch wurde über Nacht unter langsamem Erwärmen auf Raumtemperatur gerührt. Das Gemisch wurde in 0,5 M HCl gegossen und mit Et2O (2×) extrahiert, die vereinigten Extrakte wurden mit 0,5 M HCl, NaHCO3-Lösung, Wasser und Salzlösung gewaschen, getrocknet (MgSO4) und zu einem Öl verdampft, das über Kieselgel (Hexan/Et2O, 0 bis 35 %) chromatographiert wurde, um das Produkt als ein Gummi zu ergeben, das anschließend fest wurde, 17,3 g (40 %).
    1H NMR (CDCl3): 1,20 (3H, t, J=7 Hz), 1,27 (3H, t, J=7 Hz), 3,14 (1H, dd, J=12, 9 Hz), 3,20-3,42 (3H, m), 4,09-4,29 (5H, m), 7,25 (1H, dt, J=9, 2,5 Hz), 7,43 (2H, m), 7,73 (1H, s), 7,75-7,89 (2H, m).
  • Literatur:
    • 1. Carrera, G. M. und Garvey, D., J. Heterocyclic Chem. 29 [1992] 847.
    • 2. Wolinska-Mocydlarz, J., Canonne, P. und Leitch, L. C., Synthesis [1974] 566.
  • Beispiel 1
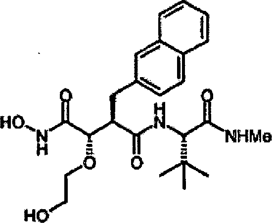
  • N'-[3S-(Allyloxy)-4-(N-hydroxyamino)-2R-(2-naphthylmethyl)succinyl]-S-tert-leucinamid
  • a) N-[4-tert-Butoxy-3S-(allyloxy)-2R-(2-naphthylmethyl)succinyl]-S-tert-leucinamid
    Figure 00210001
  • Zu einer Lösung von N-[4-tert-Butoxy-3S-(hydroxy)-2R-(2-naphthylmethyl)succinyl]-S-tert-leucinamid (221 mg, 0,5 mmol) in tert-BuOH (10 ml) wurde Allylbromid (0,4 ml, 5 mmol) zugegeben, gefolgt von NaH (60 % Dispersion in Mineralöl, 22 mg). Es wurde 1 Std. lang gerührt, dann in verdünnte HCl gegossen und mit Diethylether extrahiert. Die Extrakte wurden mit Wasser gewaschen, getrocknet (MgSO4) und verdampft. Der Rückstand wurde chromatographiert (50 % Ethylacetat/Hexan), um das Produkt als einen weißen Schaum zu ergeben.
    MS (ES+ve) M+Na=505, M+H=483
    1H NMR (DMSO-d6): 0,75 (9H, s), 1,30 (9H, s), 2,64 (1H, dd, J=14, 4,5 Hz), 2,90 (1H, dd, J=14, 10 Hz), 3,06-3,2 (1H, m), 3,69-3,75 (1H, verdeckt), 3,74 (1H, d, J=8 Hz), 3,89 (1H, d, J=8 Hz), 4,03 (1H, d, J=9 Hz), 5,02 (1H, dd, J=10, 2 Hz), 5,14 (1H, dd, J=17, 2 Hz), 5,64-5,75 (1H, m), 6,71 (1H, br), 7,03 (1H br), 7,16 (1H, dd, J=8,5, 1,5 Hz), 7,28-7,33 (2H, m), 7,48 (1H, s), 7,62-7,71 (4H, m).
  • b) N-[3S-(Allyloxy)-4-hydroxy-2R-(2-naphthylmethyl)succinyl]-S-tert-leucinamid
    Figure 00210002
  • Eine Lösung von N-[4-tert-Butoxy-3S-(allyloxy)-2R-(2-naphthylmethyl)succinyl]-S-tert-leucinamid (0,18 g, 0,4 mmol) in Dichlormethan/Trifluoressigsäure (5/2 ml) wurde 18 Std. lang gerührt. Danach aufkonzentriert, um das Produkt als einen weißen Feststoff zu ergeben.
    MS (ES+ve) M+Na=449, M+H=427
    1H NMR (DMSO-d6): 0,9 (9H, s), 2,85 (1H, dd, J=14, 4,5 Hz), 3,05 (1H, dd, J=14, 10 Hz), 3,22-3,31 (1H, m), 3,85 (1H, dd, J=12,5, 5,5), 3,94 (1H, d, J=8 Hz), 4,08 (1H, dd, J=12, 5,5 Hz), 4,17 (1H, d, J=9 Hz), 5,15 (1H, d, J=10 Hz), 5,41 (1H, a, J=17), 5,87-5,90 (1H, m), 6,87 (1H, br), 7,17 (1H, br), 7,33 (1H, d, J=8,5 Hz), 7,43-7,47 (2H, m), 7,65 (1H, s), 7,62-7,71 (4H, m).
  • c) N'-[3S-(Allyloxy)-4-(N-hydroxyamino)-2R-(2-naphthylmethyl)succinyl]-S-tert-leucinamid
    Figure 00220001
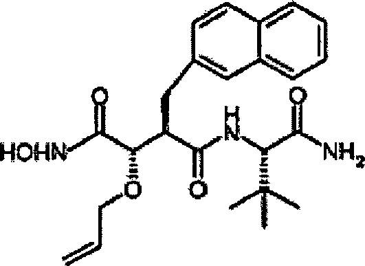
  • Eine Lösung von N-[3S-(Allyloxy)-4-hydroxy-2R-(2-naphthylmethyl)succinyl]-S-tert-leucinamid (0,96 g, 2,25 mmol) in wasserfreiem DMF (10 ml) wurde nacheinander mit HOAT (0,613 g, 4,50 mmol) und EDC (0,846 g, 4,50 mmol) behandelt, und die Umsetzung wurde bei Raumtemperatur 0,25 Std. lang gerührt. Hydroxylaminhydrochlorid (0,47 g, 6,75 mmol) und N-Methylmorpholin (0,682 g, 6,75 mmol) wurden dann zugegeben, und die Reaktionslösung wurde 16 Std. lang bei Raumtemperatur gerührt. Die Reaktionslösung wurde zur Trockene eingedampft, und der Rückstand wurde zwischen Ethylacetat und 10 % Zitronensäure ausgeschüttelt. Die Phasen wurden getrennt, und die organische Phase wurde mit weiterer 10 % Zitronensäure (2×) und gesättigter Natriumbicarbonatlösung (3×) gewaschen. Das ausgefällte Produkt wurde abfiltriert, mit Wasser und Ethylacetat gewaschen und dann im Vakuum getrocknet, um die in der Überschrift genannte Verbindung als einen weißen Feststoff zu gewinnen (0,22 g, 22 %). Die organische Phase aus dem Filtrat wurde mit Salzlösung gewaschen, getrocknet (MgSO4) und verdampft, und der Rückstand wurde aus Methanol/Diethylether rekristallisert, um die in der Überschrift genannte Verbindung zu gewinnen (0,26 g, 26 %).
    MS (ES-ve) M-H=440
    1H NMR (DMSO-d6): 0,97 (9H, s), 2,64 (1H, m), 2,93 (1H, m), 3,23 (1H, m), 3,81 (2H, m), 3,95 (1H, m), 4,12 (1H, d, J=9,4 Hz), 5,11 (1H, d, J=10,6 Hz), 5,23 (1H, d, J=17,3 Hz), 5,78 (1H, m), 6,75 (1H, s), 6,96 (1H, s), 7,25 (1H, d J=8,7 Hz), 7,43 (2H, m), 7,59 (1H, s), 7,65-7,83 (4H, m), 9,12 (1H, s), 10,95 (1H, s).
  • N-[3S-(Allyloxy)-4-hydroxy-2R-(2-naphthylmethyl)succinyl]-S-tert-leucinamid kann auch wie folgt aus (3R-Naphthylmethyl)-2S-hydroxybernsteinsäurediethylester hergestellt werden:
  • d) 3S-Allyloxy-2R-naphthylmethylbernsteinsäurediethylester
  • Zu einer gerührten Lösung von (3R-Naphthylmethyl)-2S-hydroxybernsteinsäurediethylester (4,0 g, 12 mmol) in Benzol (80 ml) wurde Thallium-(I)-ethoxid (2,99 g, 12 mmol) zugegeben, und die Mischung wurde bei Raumtemperatur gerührt. Eine gelatineartige Ausfällung bildete sich, und nach 1 Std. wurde das Lösungsmittel im Vakuum entfernt. Der ausgefallene Stoff wurde dann in DMF suspendiert (120 ml) und Allylbromid (1,45 g, 1,04 ml, 12 mmol) zugegeben, und das Gemisch wurde bei Raumtemperatur über Nacht gerührt. Das Gemisch wurde filtriert, um die Thalliumsalze zu entfernen, Wasser und Ethylacetat wurden zugegeben, und das Produkt wurde in Ethylacetat extrahiert. Die Extrakte wurden nacheinander mit Wasser und Salzlösung gewaschen und dann getrocknet (MgSO4) und aufkonzentriert. Reinigung durch Chromatographie über Kieselgel (Elution mit 5 % Ethylacetat in 40-60-Petrolether) ergab das Produkt als ein Öl (1,40 g, 32 %).
    MS (ES+ve) M+Na=393
    1H NMR (CDCl3): 1,10 (3H, t, J=7,2 Hz), 1,29 (3H, t, J=7,2 Hz), 3,03 (1H, dd, J=6,9, 13,5 Hz), 3,16-3,33 (2H, m), 3,91 (1H, dd, J=6,1, 12,6 Hz), 4,02-4,30 (6H, m), 5,20 (1H, dd, J=1,3, 10,3 Hz), 5,28 (1H, dd, J=1,6, 17,2 Hz), 5,91 (1H, m), 7,33 (1H, dd, J=1,7, 8,4 Hz), 7,45 (2H, m), 7,64 (1H, s), 7,78 (3H, m).
  • e) Unter Verwendung bekannter Verfahrensweisen, zum Beispiel WO97/02239, kann 3S-Allyloxy-2R-naphthylmethylbernsteinsäurediethylester hydrolysiert werden, mit Trifluoressigsäureanhydrid, dann mit Methanol behandelt werden, an (S)-tert-Leucinamid gekoppelt und hydrolysiert werden, um N-[3S-(Allyloxy)-4-hydroxy-2R-(2-naphthylmethyl)succinyl]-S-tert-leucinamid zu ergeben. Daten zum Spektrum wie zum Beispiel vorstehend 1b).
  • Beispiel 2
  • N'-[3S-(Allyloxy)-4-(N-hydroxyamino)-2R-(2-naphthylmethyl)succinyl]-S-tert-leucinmethylamid
    Figure 00240001
  • Hergestellt analog zu Beispiel 1d) + e) aus 3S-Allyloxy-2R-naphthylmethylbernsteinsäurediethylester, aber unter Kopplung mit N-Methyl-(S)-tert-leucinamid statt mit (S)-tert-Leucinamid.
    MS (ES+ve) M+H=456, M+Na=478
    1H NMR (DMSO-d6): 0,81 (9H, s), 2,05 (3H, d, J=4,4 Hz), 2,65 und 2,80 (2H, m), 3,25 (1H, m), 3,78 und 3,93 (2H, dd, J=12,7, 5,4 Hz), 3,85 (1H, d, J=9,7 Hz), 4,05 (1H, d, J=9,5 Hz), 5,09 (1H, dd, J=10,4, 1,6 Hz), 5,22 (1H, dd, J=17,3, 1,6 Hz), 5,75 (1H, m), 7,12 (1H, d, J=4,4 Hz), 7,24 (1H, m), 7,46 (2H, m), 7,57 (1H, s), 7,75 (4H, m), 9,14 (1H, s), 10,99 (1H, s).
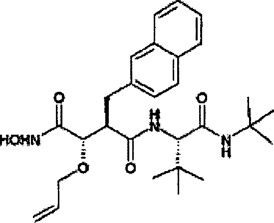
  • Beispiel 3
  • N'-[4-(N-Hydroxyamino)-2R-(2-naphthylmethyl)-3S-(propyloxy)succinyl]-S-tert-leucinmethylamid
    Figure 00240002
  • Hergestellt analog zu Beispiel 2 aus 3S-Allyloxy-2R-naphthylmethylbernsteinsäurediethylester, aber die Verbindung wurde unter Verwendung von Pd/BaSO4 vor der Bildung der Hydroxamsäure hydriert.
    MS (ES+ve) M+H=458, M+Na=480
    1H NMR (DMSO-d6): 0,82 (12H, m), 1,43 (2H, m), 2,04 (3H, d, J=4,4 Hz), 2,64 und 2,81 (2H, m), 3,25 (3H, m), 3,78 (1H, d, J=9,6 Hz), 4,03 (1H, d, J=9,4 Hz), 7,06 (1H, d, J=4,4 Hz), 7,25 (1H, d, J=8,5 Hz), 7,44 (2H, m), 7,57 (1H, s), 7,62 (1H, d, J=9,4 Hz), 7,80 (3H, m), 9,14 (1H, s), 10,95 (1H, s).
  • Beispiel 4
  • N'-[4-(N-Hydroxyamino)-2R-(2-naphthylmethyl)-3S-(propyloxy)succinyl]-S-tert-leucinamid
    Figure 00250001
  • Hergestellt analog zu Beispiel 1d) + e) aus 3S-Allyloxy-2R-naphthylmethylbernsteinsäurediethylester, aber die Verbindung wurde unter Verwendung von Pd/BaSO4 vor der Bildung der Hydroxamsäure hydriert.
    MS (ES+ve) M+H=444, M+Na=466
    1H NMR (DMSO-d6): 0,82 (3H, t, J=7,5 Hz), 0,89 (9H, s), 1,45 (2H, m), 2,64 und 2,91 (2H, m), 3,12-3,40 (3H, m), 3,75 (1H, d, J=9,5 Hz), 4,11 (1H, d, J=9,5 Hz), 6,79 (1H, s), 6,97 (1H, s), 7,25 (1H, m), 7,44 (2H, m), 7,59 (1H, s), 7,73 (4H, m), 9,10 (1H, br s) und 10,95 (1H, s).
  • Beispiel 5
  • N'-[3S-(Allyloxy)-4-(N-hydroxyamino)-2R-(2-(7-fluor)naphthylmethyl)succinyl]-S-tert-leucinamid
    Figure 00250002
  • Hergestellt analog zu Beispiel 1d) + e) aus 3S-Hydroxy-2R-(2-(7-fluor)naphthylmethyl)bernsteinsäurediethylester.
    MS (ES-ve) M-H=458
    1H NMR (DMSO-d6): 0,89 (9H, s), 2,69 (1H, dd, J=14, 4 Hz), 2,95 (1H, dd, J=14, 10Hz), 3,11-3,19 (1H, m), 3,74-3,81 (2H, m), 3,96 (1H, dd, J=12,5, 5 Hz), 4,07 (1H, d, J=9,5 Hz), 5,10 (1H, dd, J=10, 1 Hz), 5,22 (1H, dd, J=16, 1 Hz), 5,75-5,86 (1H, m), 6,69 (1H, s), 7,11 (1H, s), 7,24 (1H, d, J=9,5 Hz), 7,33 (1H, dd, J=9, 2,5 Hz), 7,54 (1H, dd, J=10,5, 2,5 Hz), 7,59 (1H, s), 7,77 (1H, d, J=8,5 Hz), 7,77-7,82 (1H, verdeckt), 7,89 (1H, dd, J=8,5, 6 Hz), 9,12 (1H, s), 10,91 (1H, s).
  • Beispiel 6
  • N'-[3S-(Ethoxy)-4-(N-hydroxyamino)-2R-(2-(7-fluor)naphthylmethyl)succinyl]-S-tert-leucinamid
    Figure 00260001
  • Hergestellt analog zu Beispiel 1d) + e) aus 3S-Hydroxy-2R-(2-(7-fluor)naphthylmethyl)bernsteinsäurediethylester, wobei mit Iodethan statt mit Allylbromid alkyliert wurde.
    MS (ES-ve) M-H=446
    1H NMR (DMSO-d6): 0,89 (9H, s), 1,05 (3H, t, J=7 Hz), 2,63 (1H, dd, J=14, 3 Hz), 2,90 (1H, dd, J=14, 10,5 Hz), 3,17 (1H, dd, J=9, 3 Hz), 3,23-3,27 (1H, m), 3,31-3,47 (1H, m), 3,75 (1H, d, J=9 Hz), 4,11 (1H, d, J=9,5 Hz), 6,76 (1H, s), 6,93 (1H, s), 7,22 (1H, dd, J=8,5, 1 Hz), 7,32 (1H, dt, J=8,5, 2,5 Hz), 7,53-7,58 (1H, verdeckt), 7,58 (1H, s), 7,65 (1H, d, J=9 Hz), 7,78 (1H, d, J=8,5 Hz), 7,90 (1H, dd, J=9, 6 Hz), 9,11 (1H, s), 10,94 (1H, s).
  • Beispiel 7
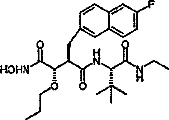
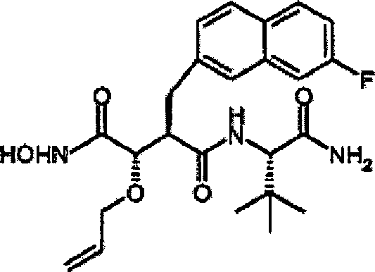
  • N'-[4-(N-Hydroxyamino)-2R-(2-(7-fluor)naphthylmethyl)-3S-(propyloxy)succinyl]-S-tert-leucinamid
    Figure 00260002
  • Hergestellt analog zu Beispiel 5 aus 3S-Hydroxy-2R-(2-(7-fluor)naphthylmethyl)bernsteinsäurediethylester, wobei aber unter Verwendung von Pd/C vor der Herstellung der Hydroxamsäure hydriert wurde.
    MS (ES-ve) M-H=460
    1H NMR (DMSO-d6): 0,82 (3H, t, J=7,5 Hz), 0,89 (9H, s), 1,40-1,52 (2H, m), 2,63 (1H, dd, J=14, 3,5 Hz), 2,89 (1H, dd, J=14, 10 Hz), 3,15-3,37 (3H, m), 3,75 (1H, d, J=9,5 Hz), 4,09 (1H, d, J=9,5 Hz), 6,75 (1H, s), 6,91 (1H, s), 7,23 (1H, dd, J=8, 1 Hz), 7,32 (1H, dt, J=8,5, 2), 7,58 (1H, s), 7,49-7,60 (2H, m), 7,78 (1H, d, J=8,5), 7,90 (1H, dd, J=9, 8 Hz), 9,10 (1H, br) und 10,91 (1H, br).
  • Beispiel 8
  • N'-[3S-(Ethoxy)-4-(N-hydroxyamino)-2R-(2-naphthylmethyl)succinyl]-S-tert-leucinamid
    Figure 00270001
  • Hergestellt analog zu Beispiel 1a) + b) + c) aus N-4-tert-Butoxy-3S-(hydroxy)-2R-(2-naphthylmethyl)succinyl]-S-tert-leucinamid durch Alkylierung mit Iodethan statt mit Allylbromid.
    MS (ES-ve) M-H=460
    1H NMR (DMSO-d6): 0,94 (9H, s), 1,06 (3H, t, J=7 Hz), 2,68 (1H, dd, J=14, 4 Hz), 2,94 (1H, dd, J=24, 11 Hz), 3,05-3,19 (1H, m), 3,22-3,29 (1H, m), 3,36-3,47 (1H, m), 3,70 (1H, d, J=8,5 Hz), 4,09 (1H, d, J=9,5 Hz), 6,78 (1H, s) 7,22 (1H, s), 7,28 (1H, d, J=8,5 Hz), 7,42-7,48 (2H, m), 7,61 (1H, s), 7,76 (1H, d, J=8,5 Hz), 7,80-7,87 (3H, m), 8,97 (1H, s), 10,92 (1H, s).
  • Beispiel 9
  • N'-[4-(N-Hydroxyamino)-2R-(2-naphthylmethyl)-3S-(propyloxy)succinyl]-S-β,β-dimethyl-Nε-methyllysinamid)-TFA-Salz
    Figure 00270002
  • Hergestellt analog zu Beispiel 1d) + e) aus 3S-Allyloxy-2R-naphthylmethylbernsteinsäurediethylester, aber die Verbindung wurde mit β,β-Dimethyl-Nε-methyllysinamid gekoppelt (statt mit (S)-tert-Leucinamid) und wurde unter Verwendung von Pd/BaSO4 vor der Bildung der Hydroxamsäure hydriert.
    MS (ES-ve) M-H=499, MS (ES+ve) M+H=501
    1H NMR (DMSO-d6): 0,84 (3H, t, J=7,4 Hz), 0,86 (6H, s), 1,22 (2H, m), 1,48 (2H, m), 1,55 (2H, m), 2,55 (3H, s), 2,70 (3H, m), 2,93 (1H, m), 3,21 (2H, m), 3,35 (1H, m, teilweise verdeckt durch Wasser), 3,76 (1H, d, J=8,9 Hz), 4,17 (1H, d, J=9,5 Hz), 6,82 (1H, s), 6,95 (1H, s), 7,27 (1H, m), 7,43 (2H, m), 7,59 (1H, s), 7,76 (4H, m), 8,25 (2H, br s), 9,12 (1H, s), 10,91 (1H, s).
  • Beispiel 10
  • N'-[4-(N-Hydroxyamino)-2R-(2-(6-fluor)naphthylmethyl)-3S-(propyloxy)succinyl)-S-tert-leucinamid
    Figure 00280001
  • Hergestellt analog zu Beispiel 1d) + e) aus 2R-(2-(6-Fluor)naphthylmethyl)-3S-hydroxybernsteinsäurediethylester, wobei die Verbindung unter Verwendung von Pd/C vor der Bildung der Hydroxamsäure hydriert wurde.
    MS (ES-ve) M-H=460, MS (ES+ve) M+H=462
    1H NMR (DMSO-d6): 0,82 (3H, t, J=7 Hz), 0,88 (9H, s), 1,45 (2H, m), 2,63 (1H, br d, J=12 Hz), 2,89 (1H, br t), 3,20 (2H, m), ca. 3,3 (1H, m, teilweise verdeckt durch das Wasser-Signal), 3,76 (1H, d, J=9 Hz), 4,08 (1H, d, J=9 Hz), 6,71 (1H, br s), 6,89 (1H, br s), 7,28-7,36 (2H, m), 7,58-7,63 (3H, m), 7,74 (1H, d, J=8 Hz), 7,86-7,89 (1H, m), 9,09 (1H, br s), 10,90 (1H, br s).
  • Beispiel 11
  • N'-[3S-(Allyloxy)-4-(N-hydroxyamino)-2R-(2-(6-fluor)naphthylmethyl)succinyl]-S-tert-leucinamid
    Figure 00280002
  • Hergestellt analog zu Beispiel 1d) + e) aus 2R-(2-(6-Fluor)naphthylmethyl)-3S-hydroxybernsteinsäurediethylester.
    MS (ES-ve) M-H=458, MS (ES+ve) M+H=460
    1H NMR (DMSO-d6): 0,87 (9H, s), 2,64 (1H, dd, J=14, 3 Hz), 2,90 (1H, dd, J=14, 14 Hz), 3,22 (1H, m), 3,78 (1H, dd, J=13, 6 Hz), 3,82 (1H, d, J=10 Hz), 3,95 (1H, dd, J=13, 5 Hz), 4,10 (1H, d, J=9 Hz), 5,10 (1H, d, J=10 Hz), 5,22 (1H, dd, J=17, 1 Hz), 5,73-5,83 (1H, m), 6,71 (1H, br s), 6,92 (1H, br, s), 7,29 (1H, d, J=8 Hz), 7,34 (1H, m), 7,58-7,67 (3H, m), 7,74 (1H, d, J=8 Hz), 7,88 (1H, m), 9,10 (1H, br s), 10,95 (1H, br s).
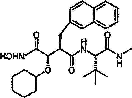
  • Beispiel 12
  • N'-[3S-(Hexyloxy)-4-(N-hydroxyamino)-2R-(2-(6-fluor)naphthylmethyl)succinyl]-S-tert-leucinamid
    Figure 00290001
  • Hergestellt analog zu Beispiel 1d) + e) aus 2R-(2-(6-Fluor)naphthylmethyl)-3S-hydroxybernsteinsäurediethylester, wobei unter Verwendung von Hexyliodid statt Allylbromid alkyliert wurde.
    MS (ES-ve) M-H=502, MS (ES+ve) M+H=504, M+Na=526
    1H NMR (DMSO-d6): 0,85 (3H, t, J=7 Hz), 0,88 (9H, s), 1,22 (6H, br m), 1,43 (2H, m), 2,64 (1H, m), 2,90 (1H, m), 3,20 (2H, m), 3,35 (1H, m), 3,75 (1H, d, J=9 Hz), 4,08 (1H, d, J=9 Hz), 6,72 (1H, br s), 6,90 (1H, br s), 7,27-7,39 (2H, m), 7,57-7,65 (3H, m), 7,74 (1H, d, J=9 Hz), 7,87 (1H, m), 9,10 (1H, br s), 10,90 (1H, br s).
  • Beispiel 13
  • N'-[3S-((4-Fluor)benzyloxy)-4-(N-hydroxyamino)-2R-(2-naphthylmethyl)succinyl]-S-tert-leucinamid
    Figure 00290002
  • Hergestellt analog zu Beispiel 1a) + b) + c) aus N-4-tert-Butoxy-3S-(hydroxy)-2R-(2-naphthylmethyl)succinyl]-S-tert-leucinamid durch Alkylierung mit 4-Fluorbenzylbromid statt mit Allylbromid.
    MS (ES-ve) M-H=508, MS (ES+ve) M+H=510, M+Na=532
    (DMSO-d6): 0,76 (9H, s), 2,69 (1H, m), 2,95 (1H, m), 3,25 (1H, m), 3,94 (1H, d, J=9 Hz), 4,09 (1H, d, J=9 Hz), 4,30 (1H, A von Abq, J=11 Hz), 4,46 (1H, B von Abq, J=11 Hz), 6,75 (1H, br s), 6,98 (1H, br s), 7,13 (2H, m), 7,24-7,35 (3H, m), 7,42-7,46 (2H, m), 7,60 (1H, br s), 7,66 (1H, d, J ≈ 10 Hz), 7,74 (1H, d, J=8 Hz), 7,81 (2H, m), 9,17 (1H, br s), 11,00 (1H br s).
  • Beispiel 14
  • N'-[3S-((4-Fluor)benzyloxy)-4-(N-hydroxyamino)-2R-(2-(6-fluor)naphthylmethyl)succinyl]-S-tert-leucinamid
    Figure 00300001
  • Hergestellt analog zu Beispiel 1d) + e) aus 2R-(2-(6-Fluor)naphthylmethyl)-3S-hydroxybernsteinsäurediethylester, wobei unter Verwendung von 4-Fluorbenzylbromid statt Allylbromid alkyliert wurde.
    MS (ES-ve) M-H=526, MS (ES+ve) M+H=528
    1H NMR (DMSO-d6): 0,76 (9H, s), 2,68 (1H, m), 2,93 (1H, m), 3,27 (1H, m), 3,95 (1H, d, J=10 Hz), 4,08 (1H, d, J=8 Hz), 4,28 (1H, A of Abq, J=11 Hz), 4,46 (1H, B of Abq, J=11 Hz), 6,73 (1H, br s), 6,93 (1H, br s), 7,12 (2H, m), 7,29-7,39 (4H, m), 7,57-7,68 (3H, m), 7,74 (1H, d, J=9 Hz), 7,89 (1H, m), 9,17 (1H, br s), 11,00 (1H, br s).
  • Beispiel 15
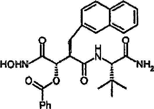
  • N'-[3S-Benzoyloxy-4-(N-hydroxyamino)-2R-(2-naphthylmethyl)succinyl]-S-tert-leucinamid
    Figure 00300002
  • Hergestellt wie zu Beispiel 1a) + b) + c) aus N-[4-tert-Butoxy-3S-(hydroxy)-2R-(2-naphthylmethyl)succinyl]-S-tert-leucinamid durch Acylierung mit Benzoylchlorid statt durch Alkylierung mit Allylbromid.
    MS (ES-ve) M-H=504, MS (ES+ve) M+H=506, M+Na=528
    1H NMR (DMSO-d6): 0,73 (9H, s), 2,73-2,89 (1H, m), 3,00-3,10 (1H, m), 3,58-3,67 (1H, m), 4,10 (1H, d, J=9 Hz), 5,21 (1H, d, J=10 Hz), 6,73 (1H, br s), 7,10 (1H, br s), 7,31 (1H, d, J=9 Hz), 7,43-7,52 (4H, m), 7,65 (2H, m), 7,74-7,85 (3H, m), 8,04 (3H, m), 9,15 (1H, s), 11,22 (1H, s).
  • Beispiel 16
  • N'-[3S-(2-(N,N-Dimethylacetamidoxy))-4-(N-hydroxyamino)-2R-(2-naphthylmethyl)succinyl]-S-tert-leucinamid
    Figure 00310001
  • Hergestellt analog zu Beispiel 1a) + b) + c) aus N-[4-tert-Butoxy-3S-(hydroxy)-2R-(2-naphthylmethyl)succinyl]-S-tert-leucinamid durch Alkylierung mit 2-Brom-N,N-dimethylacetamid statt mit Allylbromid.
    MS (ES-ve) M-H=485, MS (ES+ve) M+H=487, M+Na=509
    1H NMR (DMSO-d6): 0,85 (9H, s), ca. 2,75-2,83 (1H, m), 2,79 (3H, s), 2,91 (3H, s), 3,01 (1H, dd, J=14, 10 Hz), ca. 3,3 (1H, m), 3,94 (1H, d, J=8 Hz), 4,06-4,15 (3H, m), 6,78 (1H, s), 7,03 (1H, s), 7,29 (1H, d, J=8 Hz), 7,39-7,46 (2H, m), 7,63 (1H, s), ca. 7,64 (1H, d, J=8 Hz), 7,75 (1H, d, J=8 Hz), 7,79-7,83 (2H, m), 9,09 (1H, s), 11,18 (1H, br m).
  • Beispiel 17
  • N'-[3S-(2-(N-tert-Butylacetamidoxy))-4-(N-hydroxyamino)-2R-(2-naphthylmethyl)succinyl]-S-tert-leucinamid
    Figure 00310002
  • Hergestellt analog zu Beispiel 1a) + b) + c) aus N-[4-tert-Butoxy-3S-(hydroxy)-2R-(2-naphthylmethyl)succinyl]-S-tert-leucinamid durch Alkylierung mit Bromacetonitril statt mit Allylbromid und anschließender Behandlung mit TFA vor der Herstellung der Hydroxamsäure.
    MS (ES-ve) M-H=508, MS (ES+ve) M+H=510, M+Na=532
    1H NMR (DMSO-d6): 0,89 (9H, s), 1,29 (9H, s), 2,67-2,75 (1H, m), 2,90-2,96 (1H, m), ca. 3,33 (1H, m), 3,62 & 3,78 (2 × 1H, Abq, J≈15 Hz), 3,93 (1H, d, J=9 Hz), 4,22 (1H, d, J=10 Hz), 6,82 (1H, s), 7,04 (1H, s), 7,11 (1H, s), 7,27 (1H, d, J=8 Hz), 7,41-7,47 (2H, m), 7,60 (1H, s), 7,75 (1H, d, J=9 Hz), 7,81-7,84 (2H, m), 7,90 (1H, d, J=8 Hz), 9,19 (1H, s), 11,13 (1H, br s).
  • Beispiel 18
  • N'-[4-(N-Hydroxyamino)-2R-(2-naphthylmethyl)-3S-(N-phenylcarbamoyloxy)succinyl]-S-tert-leucinamid
    Figure 00320001
  • Hergestellt analog zu Beispiel 1a) + b) + c) aus N-[4-tert-Butoxy-3S-(hydroxy)-2R-(2-naphthylmethyl)succinyl]-S-tert-leucinamid durch Acylierung mit Phenylisocyanat/DMAP statt durch Alkylierung mit Allylbromid.
    MS (ES-ve) M-H=519, MS (ES+ve) M+H=521
    1H NMR (DMSO-d6): 0,83 (9H, s), 2,76 (1H, dd, J=12, 4 Hz), 2,95-3,08 (1H, m), 3,36-3,41 (1H, m), 4,17 (1H, d, J=9,5 Hz), 5,17 (1H, d, J=9,5 Hz), 6,78 (1H, br), 6,91-7,00 (1H, m), 7,19 (1H, br), 7,22-7,32 (3H, m), 7,41-7,45 (4H, m), 7,6-7,7 (1H, verdeckt), 7,61 (1H, s), 7,75 (1H, d, J=9,5 Hz), 7,76-7,82 (2H, m), 9,08 (1H, s), 9,62 (1H, br), 11,09 (1H, br).
  • Beispiel 19
  • N'-[4-(N-Hydroxyamino)-3S-(N-methyl-N-phenylcarbamoyloxy)-2R-(2-naphthylmethyl)succinyl]-S-tert-leucinamid
    Figure 00320002
  • Hergestellt analog zu Beispiel 1a) + b) + c) aus N-[4-tert-Butoxy-3S-(hydroxy)-2R-(2-naphthylmethyl)succinyl]-S-tert-leucinamid durch Acylierung mit N-Methyl-N-phenylcarbamoylchlorid/NaH statt durch Alkylierung mit Allylbromid (siehe Beispiel 27).
    MS (ES-ve) M-H=533, MS (ES+ve) M+H=535
    1H NMR (DMSO-d6): 0,78 (9H, s), 2,76 (1H, dd, J=14, 4 Hz), 2,98 (1H, dd, J=14, 10,5 Hz), 3,26 (3H, s), 3,35-3,41 (1H, m), 4,10 (1H, d, J=9 Hz), 5,03 (1H, d, J=9 Hz), 6,72 (1H, s), 7,06 (1H, s), 7,18 (1H, t, J=6 Hz), 7,25-7,38 (5H, m), 7,38-7,46 (3H, m), 7,60 (1H, s), 7,74 (1H, d, J=9 Hz), 7,79-7,90 (2H, m), 9,08 (1H, s), 11,02 (1H, br).
  • Beispiel 20
  • N'-[3S-(Cyclohexyloxy)-4-(N-hydroxyamino)-2R-(2-naphthylmethyl)succinyl]-S-tert-leucinamid
    Figure 00330001
  • a) N-[4-tert-Butoxy-3S-(cyclohexyloxy)-2R-(2-Naphthylmethyl)succinyl]-S-tert-leucinamid
    Figure 00330002
  • Eine Lösung von N-[4-tert-Butoxy-3S-(hydroxy)-2R-(2-naphthylmethyl)succinyl]-S-tert-leucinamid (1,0 g, 2,26 mmol) und 3-Bromcyclohexen (2,60 ml, 22,6 mmol) in N-Methylpyrrolidinon (18 ml) wurde bei 0 °C unter Argon gerührt, und Lithiumbis(trimethylsilyl)amid (2,50 ml einer 1M Lösung in THF, 2,50 mmol) wurde tropfenweise zugegeben. Das Gemisch wurde bei 0 °C 10 Minuten lang gerührt und dann bei Raumtemperatur 2,5 Std. lang. Das Gemisch wurde mit Ethylacetat/1N HCl verdünnt, und das Produkt wurde in Ethylacetat extrahiert. Die organischen Extrakte wurden mit gesättigter NaHCO3-Lösung, Wasser (3×) und Salzlösung gewaschen und dann getrocknet (Na2SO4) und aufkonzentriert. Verreibung mit Hexan, um überschüssiges Alkylierungsmittel zu entfernen, gefolgt von Chromatographie über Kieselgel (Elution mit 1:1 Ethylacetat/Hexan) ergab das Produkt als einen Schaum (378 mg) MS (ES+ve) M+H=523.
  • Dieses Produkt (340 mg), Cyclohexen (1,5 ml) und 10 % Pd-C (30 mg) in Methanol (15 ml) wurden zusammen über Nacht unter Argon unter Rückfluss gekocht. Nach Abkühlen wurde das Gemisch durch Celite filtriert und aufkonzentriert, um einen weißen Feststoff zu ergeben (310 mg).
    MS (ES+ve) M+H=525.
    1H NMR (CDCl3): 1,09 (9H, s), 1,15-2,0 (10H, m), 1,42 (9H, s), 3,0-3,10 (2H, m), 3,20-3,30 (2H, m), 3,86 (1H, d, J=3,0 Hz), 4,10 (1H, d, J=8,5 Hz), 5,06 (1H, s), 6,55 (1H, s), 7,36-7,50 (4H, m), 7,67 (1H, s), 7,70-7,85 (3H, m).
  • b) N'-[3S-(Cyclohexyloxy)-4-(N-hydroxyamino)-2R-(2-naphthylmethyl)succinyl]-S-tert-leucinamid
    Figure 00340001
  • Eine Lösung von N-[4-tert-Butoxy-3S-(cyclohexyloxy)-2R-(2-naphthylmethyl)succinyl]-S-tert-leucinamid (310 mg) in Dichlormethan (5 ml)/Trifluoressigsäure (2 ml) wurde bei Raumtemperatur 4 Stunden lang gerührt. Die Lösungsmittel wurden verdampft, und das Produkt wurde aus Toluol (3×) wieder verdampft, um die Carbonsäure als einen farblosen klaren Feststoff zu ergeben.
  • Dieses Produkt in DMF (10 ml) wurde mit EDC (0,23 g, 1,18 mmol) und HOAT (0,16 g, 1,18 mmol) behandelt, danach mit einer Lösung von Hydroxylaminhydrochlorid (0,12 g, 1,77 mmol) und N-Methylmorpholin (0,20 ml, 1,77 mmol) in DMF (5 ml). Das Gemisch wurde bei Raumtemperatur über Nacht gerührt und dann am Rotationsverdampfer aufkonzentriert. Der Rückstand wurde zwischen Ethylacetat/1N HCl ausgeschüttelt, und das Produkt wurde in Ethylacetat extrahiert. Die Extrakte wurden mit 1N HCl, Wasser und Salzlösung gewaschen und dann getrocknet (MgSO4) und verdampft. Verreibung mit Ether ergab einen weißen Feststoff (94 mg).
    MS (ES-ve) M-H=482
    1H NMR (DMSO-d6): 0,90 (9H, s), 1,0-1,95 (10H, m), 2,68 (1H, dd, J=3,9, 13,8 Hz), 2,92 (1H, dd, J=10,6, 13,8 Hz), 3,10-3,20 (2H, m), 3,95 (1H, d, J=9,0 Hz), 4,04 (1H, d, J=9,3 Hz), 6,72 (1H, s), 6,88 (1H, s), 7,27 (1H, d, J=9 Hz), 7,43 (2H, m), 7,60 (2H, m), 7,74 (1H, d, J=8,5 Hz), 7,81 (2H, m), 9,04 (1H, s), 10,86 (1H,s).
  • Beispiel 21
  • N'-[3S-(Cyclohexyloxy)-4-(N-hydroxyamino)-2R-(2-naphthylmethyl)succinyl]-S-tert-leucinethylamid
    Figure 00350001
  • Hergestellt aus N-[4-tert-Butoxy-3S-(hydroxy)-2R-(2-naphthylmethyl)succinyl]-S-tert-leucinethylamid durch Alkylierung, Hydrierung, Abspaltung des tert-Butylesters und die Bildung der Hydroxamsäure analog zu Beispiel 20, um N'-[3S-(Cyclohexyloxy)-4-(N-hydroxyamino)-2R-(2-naphthylmethyl)succinyl]-S-tert-leucinethylamid zu ergeben.
    MS (ES-ve) M-H=510
    1H NMR (DMSO-d6): 0,65 (3H, t, J=7,2 Hz), 0,85 (9H, s), 1,0-1,25 (5H, m), 1,47 (1H, m), 1,65 (2H, m), 1,75 (1H, m), 1,85 (1H, m), 2,45-2,69 (3H, m), 2,83 (1H, m), 3,20 (2H, m), 3,96 (1H, d, J=9,2 Hz), 3,98 (1H, d, J=9,1 Hz), 7,12 (1H, m), 7,26 (1H, dd, J=1,1, 8,3 Hz), 7,43 (2H, m), 7,53 (1H, d, J=10 Hz), 7,58 (1H, s), 7,72-7,85 (3H, m), 9,07 (1H, s), 10,85 (1H, s).
  • Beispiel 22
  • N'-[3S-(Ethoxy)-4-(N-hydroxyamino)-2R-(2-naphthylmethyl)succinyl]-S-tert-leucinmethylamid
    Figure 00350002
  • Hergestellt analog zu Beispiel 1a) + b) + c) aus N-4-tert-Butoxy-3S-(hydroxy)-2R-(2-naphthylmethyl)succinyl]-S-tert-leucinmethylamid durch Alkylierung mit Iodethan statt mit Allylbromid.
    MS (ES-ve) M-H=442
    1H NMR (DMSO-d6): 0,84 (9H, s), 1,04 (3H, t, J=7,0 Hz), 2,07 (3H, d, J=4,5 Hz), 2,64 (1H, dd, J=3,8, 13,6 Hz), 2,83 (1H, m), 3,20-3,27 (2H, m), 3,44 (1H, m), 3,77 (1H, d, J=9,6 Hz), 4,05 (1H, d, J=9,8 Hz), 7,06 (1H, m), 7,24 (1H, dd, J=1,5, 8,4 Hz), 7,44 (2H, m), 7,56 (1H, s), 7,59 (1H, d, J=10 Hz), 7,72-7,85 (3H, m), 9,08 (1H, s), 10,92 (1H, s).
  • Beispiel 23
  • N'-[4-(N-Hydroxyamino)-2R-(2-naphthylmethyl)-3S-((3-phenyl)propyloxy)succinyl]-S-tert-leucinamid
    Figure 00360001
  • Hergestellt analog zu Beispiel 1a) + b) + c) aus N-4-tert-Butoxy-3S-(hydroxy)-2R-(2-naphthylmethyl)succinyl]-S-tert-leucinamid durch Alkylierung mit Zimtsäurebromid, gefolgt von Reduktion, Schutzgruppen-Entfernung und Bildung der Hydroxamsäure.
    MS (ES+ve) M+H=520, MS (ES-ve) M-H=518
    1H NMR (DMSO-d6): 0,9 (9H, s), 1,70-1,80 (2H, m), 2,50-2,70 (3H, m), 2,85-2,95 (1H, m), 3,18-3,3 (2H, m), 3,35-3,45 (1H, m), 3,75 (1H, d, J=9,4 Hz), 4,10 (1H, d, J=9,5 Hz), 6,75 (1H, s), 6,95 (1H, s), 7,10-7,20 (3H, m), 7,25-7,30 (3H, m), 7,35-7,45 (2H, m), 7,60 (1H, s), 7,68-7,85 (4H, m), 9,10 (1H, s), 10,9 (1H, s).
  • Beispiel 24
  • N'-[4-(N-Hydroxyamino)-2R-(2-naphthylmethyl)-3S-(thiazol-2-ylmethoxy)succinyl]-S-tert-leucinamid
    Figure 00360002
  • Hergestellt analog zu Beispiel 1a) + b) + c) aus N-[4-tert-Butoxy-3S-(hydroxy)-2R-(2-naphthylmethyl)succinyl]-S-tert-leucinamid durch Alkylierung mit 2-Brommethylthiazol statt mit Allylbromid.
    MS (ES+ve) M+H=499, MS (ES-ve) M-H=497
    1H NMR (DMSO-d6): 0,80 (9H, s), 2,65-2,70 (1H, m), 2,88-2,97 (1H, m), 3,30-3,50 (1H, m), 4,05 (1H, d, J=9,6 Hz), 4,10 (1H, d, J=9,3 Hz), 4,65 (1H, d, J=12,9 Hz), 4,75 (1H, d, J=12,94 Hz), 6,70 (1H, s), 6,95 (1H, s), 7,25 (1H, d, J=8,6 Hz), 7,40-7,50 (2H, m), 7,60 (1H, s) 7,70-7,80 (4H, m), 7,80-7,88 (2H, m), 9,20 (1H, s), 11,05 (1H, s).
  • Beispiel 25
  • N'-[3S-(Cyclohexylcarbonyloxy)-4-(N-hydroxyamino)-2R-(2-naphthylmethyl)succinyl]-S-tert-leucinamid
    Figure 00370001
  • Hergestellt analog zu Beispiel 1a) + b) + c) aus N-[4-tert-Butoxy-3S-(hydroxy)-2R-(2-naphthylmethyl)succinyl]-S-tert-leucinamid durch Acylierung mit Cyclohexoylchlorid statt durch Alkylierung mit Allylbromid (siehe Beispiel 27).
    MS (ES+ve) M+H=512
    1H NMR (DMSO-d6): 0,88 (9H, s), 1,10-1,38 (5H, m), 1,50-1,88 (5H, m), 2,22 (1H, m), 2,80 (1H, dd, J=4, 14 Hz), 2,97 (1H, dd, J=10, 14 Hz), 3,41 (1H, m), 4,09 (1H, d, J=9 Hz), 4,90 (1H, d, J=10 Hz), 6,76 (1H, s), 7,01 (1H, s), 7,28 (1H, d), 7,47 (2H, m), 7,61 (1H, s), 7,74 (1H, d, J=9 Hz), 7,82 (3H, m), 9,07 (1H, s), 11,01 (1H, s).
  • Beispiel 26
  • N'-[3S-(tert-Butylcarbonyloxy)-4-(N-hydroxyamino)-2R-(2-naphthylmethyl)succinyl]-S-tert-leucinamid
    Figure 00370002
  • Hergestellt analog zu Beispiel 1a) + b) + c) aus N-[4-tert-Butoxy-3S-(hydroxy)-2R-(2-naphthylmethyl)succinyl]-S-tert-leucinamid durch Acylierung mit Pivalinsäurechlorid statt durch Alkylierung mit Allylbromid (siehe Beispiel 27).
    MS (ES+ve) M+H=486
    1H NMR (DMSO-d6): 0,87 (9H, s), 1,11 (9H, s), 2,84 (1H, dd, J=5, 14 Hz), 2,93 (1H, dd, J=9, 14 Hz), 4,03 (1H, d, J=9 Hz), 4,95 (1H, d, 9 Hz), 6,73 (1H, s), 6,99 (1H, s), 7,31 (1H, d, J=8 Hz), 7,44 (2H, m), 7,64 (1H, s), 7,75 (1H, d, J=9 Hz), 7,81 (3H, m), 9,05 (1H, s), 11,00 (1H, s).
  • Beispiel 27
  • N'-[3S-Benzoyloxy-4-(N-hydroxyamino)-2R-(2-naphthylmethyl)succinyl]-S-tert-leucinamid
  • a) N-[3S-Benzoyloxy-4-tert-butoxy-2R-(2-naphthylmethyl)succinyl]-S-tert-leucinamid
    Figure 00380001
  • Zu einer Lösung von N-[4-tert-Butoxy-3S-hydroxy-2R-(2-naphthylmethyl)succinyl]-S-tert-leucinamid (0,3 g, 0,678 mmol) in DME (5 ml) wurde NaH (60 % Suspension in Mineralöl, 0,03 g, 0,75 mmol) zugegeben, 30 Sek. später Benzoylchlorid (0,087 ml, 0,075 mmol). Das Gemisch wurde 1 Std. bei Raumtemperatur gerührt und dann in 0,5 M HCl gegossen und mit EtOAc (2×) extrahiert. Die Extrakte wurden mit NaHCO3-Lösung, Wasser und Salzlösung gewaschen, getrocknet (MgSO4) und zu einem Schaum verdampft, der bei Zugabe von Ether kristallisierte. Das Produkt wurde als ein weißer kristalliner Feststoff erhalten, 0,33 g (89 %).
    MS (ES+ve) M+H=547, (M+Na)=569
    1H NMR (DMSO-d6): 0,85 (9H, s), 1,40 (9H, s), 3,00 (1H, m), 3,18 (1H, m), 3,65 (1H, m), 4,20 (1H, d, J=8 Hz), 5,04 (1H, d, J=7 Hz), 6,89 (1H, br, s), 7,34 (1H, br, s), 7,38-7,53 (5H, m), 7,67-7,72 (2H, m), 7,78-7,88 (3H, m), 7,98 (2H, d, J=8 Hz), 8,06 (1H, d, J=8 Hz).
  • b) N'-(3S-Benzoyloxy-4-(N-hydroxyamino)-2R-(2-naphthylmethyl)succinyl]-S-tert-leucinamid
    Figure 00380002
  • Hergestellt aus N-[3S-Benzoyloxy-4-tert-butoxy-2R-(2-naphthylmethyl)succinyl]-S-tert-leucinamid analog zu Beispiel 1b) + c).
    MS (ES-ve) M-H=504, MS (ES+ve) M+H=506, M+Na=528
    1H NMR (DMSO-d6): 0,73 (9H, s), 2,73-2,89 (1H, m), 3,00-3,10 (1H, m), 3,58-3,67 (1H, m), 4,10 (1H, d, J=9 Hz), 5,21 (1H, d, J=10 Hz), 6,73 (1H, br s), 7,10 (1H, br s), 7,31 (1H, d, J=9 Hz), 7,43-7,52 (4H, m), 7,65 (2H, m), 7,74-7,85 (3H, m), 8,04 (3H, m), 9,15 (1H, s), 11,22 (1H, s).
  • Beispiel 28
  • N'-[3S-(Ethoxy)-4-(N-hydroxyamino)-2R-(2-chinolinylmethyl)succinyl]-S-tert-leucinmethylamid
    Figure 00390001
  • Eine Lösung von N'-[3S-(Ethoxy)-4-(N-hydroxy)-2R-(2-chinolinylmethyl)succinyl]-S-tert-leucinmethylamidhydrochlorid (hergestellt analog zu Beispiel 1 b aus 3-(3-Chinolin)propionsäure, 0,19 g, 0,42 mmol) in wasserfreiem DMF (5 ml) wurde nacheinander mit HOAT (0,11 g, 0,84 mmol) und EDC (0,16 g, 0,84 mmol) behandelt, und die Lösung wurde bei Raumtemperatur 0,25 Std. gerührt. Hydroxylaminhydrochlorid (0,09 g, 1,26 mmol) und N-Methylmorpholin (0,18 ml, 1,35 mmol) wurden dann zugegeben, und die Lösung wurde 3 Std. lang bei Raumtemperatur gerührt. Die Lösung wurde zur Trockene eingedampft, und der Rückstand wurde zwischen Ethylacetat und Wasser ausgeschüttelt. Die Phasen wurden getrennt, und die organische Phase wurde mit weiterem Wasser und gesättigter Natriumbicarbonatlösung und mit Salzlösung gewaschen und über Magnesiumsulfat getrocknet. Die organische Phase wurde dann verdampft und in der Trockenpistole bei 50 °C 3 Stunden lang getrocknet, um die in der Überschrift genannte Verbindung als einen weißen Feststoff zu erhalten (0,01 g, 5 %).
    MS (ES+ve) M+H=445
    1H NMR (DMSO-d6): 0,82 (9H, s), 1,04 (3H, t, J=6,9 Hz), 2,06 (3H, d, J=4,5), 2,72 (1H, m), 2,75 (1H, m), 3,26 (1H, m), 3,31 (1H, m), 3,44 (1H, m), 3,80 (1H, d, J=9,7 Hz), 4,05 (1H, d, J=9,6 Hz), 7,22 (1H, q, J=5,6 Hz), 7,53 (1H, t, J=6,0 Hz), 7,66 (1H, d, J=6,6 Hz), 7,70 (1H, t, J=7,3 Hz), 7,84 (1H, d, J=6,7 Hz), 7,94 (1H, d, 7,9 Hz), 7,97 (1H, s), 8,60 (1H, d, H=2 Hz), 9,11 (1H, s), 10,96 (1H, s).
  • Beispiel 29 (nur Referenz)
  • N'-[4-(N-Hydroxyamino)-3S-methoxy-2R-(2-naphthylmethyl)succinyl]-S-tert-leucinmethylamid
    Figure 00400001
  • Hergestellt analog zu Beispiel 1a) + b) + c) aus N-4-tert-Butoxy-3S-(hydroxy)-2R-(2-naphthylmethyl)succinyl]-S-tert-leucinmethylamid durch Alkylierung mit Iodmethan statt mit Allylbromid.
    MS (ES+ve) M+H=430
    1H NMR (DMSO-d6): 0,83 (9H, s), 2,10 (3H, d, J=4,5 Hz), 2,63 (1H, dd, J=4, 14 Hz), 2,84 (1H, dd, J=11, 14 Hz), 3,17 (3H, s), 3,20 (1H, m), 3,67 (1H, d, J=10 Hz), 4,08 (1H, d, J=10 Hz), 7,14 (1H, q, J=4,5 Hz), 7,25 (1H, m), 7,43 (2H, m), 7,56 (1H, s), 7,61 (1H, d, J=10 Hz), 7,80 (3H, m), 9,09 (1H, s), 10,94 (1H, s).
  • Beispiel 30 (nur Referenz)
  • N'-[4-(N-Hydroxyamino)-2R-(2-naphthylmethyl)succinyl-3S-propanoyloxy]-S-tert-leucinmethylamid
    Figure 00400002
  • Hergestellt analog zu Beispiel 27 aus N-4-tert-Butoxy-3S-(hydroxy)-2R-(2-naphthylmethyl)succinyl]-S-tert-leucinmethylamid durch Acylierung mit Propansäurechlorid statt mit Benzoylchlorid.
    MS (APCI+ve) M+Na=494
    (DMSO-d6): 0,82 (9H, s), 0,99 (3H, t, J=7,5 Hz), 2,07 (3H, d, J=4,5 Hz), 2,22 (2H, m), 2,78 (1H, dd, J=4, 13,5 Hz), 2,88 (1H, dd, J=11, 14 Hz), 3,42 (1H, m), 4,03 (1H, d, J=9 Hz), 4,96 (1H, d, J=10 Hz), 7,16 (1H, q, J=4,5 Hz), 7,25 (1H, m), 7,44 (2H, m), 7,57 (1H, s), 7,80 (4H, m), 9,09 (1H, s), 11,07 (1H, s).
  • Beispiel 31
  • N'-[3S-(Ethoxy)-4-(N-hydroxyamino)-2R-(2-naphthylmethyl)succinyl]-S-tert-leucinethylamid
    Figure 00410001
  • Hergestellt analog zu Beispiel 1) aus N-[4-tert-Butoxy-3S-(hydroxy)-2R-(2-naphthylmethyl)succinyl]-S-tert-leucinethylamid durch Alkylierung mit Iodethan statt mit Allylbromid, dann Spaltung des tert-Butylesters und Bildung der Hydroxamsäure.
    MS (ES-ve) M-H=456
    1H NMR (DMSO-d6): 0,67 (3H, t, J=7,0 Hz), 0,84 (9H, s), 1,05 (3H, t, J=7,0 Hz), 2,55 (1H, m), 2,65 (2H, m), 2,82 (1H, t, J=11,0 Hz), 3,17-3,30 (2H, m, teilweise verdeckt), 3,44 (1H, m), 3,77 (1H, d, J=9,5 Hz), 4,05 (1H, d, J=9,5 Hz), 7,23-7,25 (2H, m), 7,38-7,48 (2H, m), 7,56-7,59 (2H, m), 7,72 (1H, d, J=8,5 Hz), 7,76-7,83 (2H, m), 9,08 (1H, s), 10,93 (1H, s).
  • Beispiel 32
  • N'-[4-(N-Hydroxyamino)-2R-(2-naphthylmethyl)-3S-(2-methylpropoxy)succinyl]-S-tert-leucinmethylamid
    Figure 00410002
  • Hergestellt analog zu Beispiel 1) aus N-[4-tert-Butoxy-3S-(hydroxy)-2R-(2-naphthylmethyl)succinyl]-S-tert-leucinmethylamid durch Alkylierung mit 2-Methylallylbromid, Hydrierung, Spaltung des tert-Butylesters und Bildung der Hydroxamsäure.
    MS (ES-ve) M-H=470
    1H NMR (DMSO-d6): 0,79-0,83 (6H, m), 0,83 (9H, s), 1,72 (1H, m), 2,04 (3H, d, J=4,5 Hz), 2,65 (1H, dd, J=4,0, 13,5 Hz), 2,82 (1H, dd, J=11,0, 13,5 Hz), 3,04 (1H, dd, 6,5, 9,0 Hz), 3,12 (1H, dd, J=7,5, 9,0 Hz), 3,26 (1H, m), 3,78 (1H, d, J=9,5 Hz), 4,00 (1H, d, J=9,3 Hz), 6,99 (1H, m), 7,27 (1H, dd, J=1,5, 8,5 Hz), 7,44 (2H, m), 7,55 (1H, d, J=10,5 Hz), 7,57 (1H, s), 7,74 (1H, d, J=8,5 Hz), 7,77-7,85 (2H, m), 9,09 (1H, s), 10,88 (1H, s).
  • Beispiel 33
  • N'-[4-(N-Hydroxyamino)-2R-(2-naphthylmethyl)-3S-propoxysuccinyl]-S-tert-leucinethylamid
    Figure 00420001
  • N'-[4-Hydroxy-2R-(2-naphthylmethyl)-3S-propoxysuccinyl]-S-tert-leucinethylamid (0,17 g, 0,372 mmol) (hergestellt analog zu Beispiel 1) aus N-[4-tert-Butoxy-3S-(hydroxy)-2R-(2-naphthylmethyl)succinyl]-S-tert-leucinethylamid durch Alkylierung mit Allylbromid, Hydrierung, dann Spaltung des tert-Butylesters) wurde mit HOAT (0,1 g 0,735 mmol), DEC (0,142 g, 0,74 mmol), Hydroxylaminhydrochlorid (0,078 g, 1,12 mmol) und N-Methylmorpholin (0,123 ml, 1,12 mmol) in DMF (4,3 ml) nach der Standard-Methode behandelt. Das normale Aufarbeitungsverfahren ergab das Produkt als einen weißen Feststoff, 0,1 g, (57 %).
    MS (ES+ve) M+H=472, M+Na=494.
    1H NMR (DMSO-d6): 0,66 (3H, t, J=7 Hz), 0,82 (3H, t, J=7,5 Hz), 0,84 (9H, s), 1,45 (2H, Sextett, J=7 Hz), 2,53 (1H, m), 2,65 (2H, m), 2,84 (1H, m), 3,20 (2H, m) ca. 3,30 (1H, m, teilweise beobachtet), 3,77 (1H, d, J=9,5 Hz), 4,03 (1H, d, J=9,5 Hz), 7,21 (1H, br t, J≈4 Hz), 7,25 (1H, dd, J=8,5, 1,5 Hz), 7,43 (2H, m), 7,56 (1H, d, J=8,5 Hz), 7,57 (1H, s), 7,72 (1H, d, J=8,5 Hz), 7,75-7,83 (2H, m), 9,10 (1H, s), 10,89 (1H, br. s).
  • Beispiel 34
  • N'-[3S-tert-Butoxy-4-(N-hydroxyamino)-2R-(2-naphthylmethyl)succinyl]-S-tert-leucinmethylamid
  • a) N'-[4-(N-Benzyloxyamino)-3S-hydroxy-2R-(2-naphthylmethyl)succinyl]-S-tert-leucinmethylamid
    Figure 00430001
  • N'-[3S,4-Dihydroxy-2R-(2-naphthylmethyl)succinyl]-S-tert-leucimnethylamid (1,5 g, 3,75 mmol) in DMF (25 ml), wurde mit HOBT (1,15 g, 7,51 mmol) und DEC (1,44 g, 7,51 mmol) behandelt. Nachdem das Gemisch 20 Min. lang gerührt worden war, wurde O-Benzylhydroxylamin (0,92 ml) zugegeben. Die Umsetzung wurde bei Raumtemperatur 6 Std. lang gerührt, und das DMF wurde dann im Vakuum entfernt. Zu dem Rückstand wurde NaHCO3-Lösung zugegeben, und das Gemisch wurde mit EtOAc extrahiert (2×). Die vereinigten Extrakte wurden mit NaHCO3-Lösung, Wasser und Salzlösung gewaschen, getrocknet (MgSO4) und zu einem Gummi verdampft, das durch Säulenchromatographie über Kieselgel (Hexan/EtOAc, 0-100 %) gereinigt wurde, was das Produkt als einen weißen Schaum ergab, 0,73 g (39 %).
    MS (ES+ve) M+H=506, M+Na=528.
    1H NMR (DMSO-d6): 0,85 (9H, s), 2,29 (3H, d, J=4,5 Hz), 2,74 (1H, dd, J=13,5, 6 Hz), 2,93 (1H, dd, J=13,5, 9,5 Hz), 3,13 (1H, m); 3,86 (1H, t, J=7,5 Hz), 4,11 (1H, d, J=9,5 Hz), 4,80 (2H, s), 5,71 (1H, d, J=7,5 Hz), 7,29-7,48 (8H, m), 7,53-7,58 (2H, m), 7,61 (1H, s), 7,76-7,80 (2H, m), 7,85 (1H, d, J=7 Hz), 11,27 (1H, s).
  • b) N'-[4-(N-Benzyloxyamino)-3S-tert-butoxy-2R-(2-naphthylmethyl)succinyl]-S-tert-leucinmethylamid
    Figure 00430002
  • N'-[4-(N-Benzyloxyamino)-3S-hydroxy-2R-(2-naphthylmethyl)succinyl]-S-tert-leucinmethylamid (0,69 g, 1,36 mmol) wurde in DCM (30 m) gelöst und die Lösung in einem Eis-Salz-Bad gekühlt. In die gekühlte Lösung wurde Isobutylen (ca. 30 ml) durch einen Trockeneis-Aceton-Kondenser einkondensiert. Konzentrierte H2SO4 (12 Tropfen) wurden zugegeben, und das Gemisch wurde unter Rühren stehen gelassen, während es sich über Nacht auf Raumtemperatur erwärmte. Das Gemisch wurde mit dem 3- bis 4-fachen seines Volumens an EtOAc verdünnt und mit NaHCO3, Wasser und Salzlösung gewaschen, getrocknet (MgSO4) und zu einem Gummi verdampft, das durch Chromatographie über Kieselgel (Hexan/EtOAc, 0-100 %) gereinigt wurde. Das Produkt wurde als ein weißer Schaum erhalten 0,31 g (41 %).
    MS (ES+ve) M+H=562, M+Na=584.
    1H NMR (DMSO-d6): 0,84 (9H, s), 1,10 (9H, s), 1,98 (3H, d, J=4,5 Hz), 2,65 (1H, dd, J=11, 4 Hz), 2,76 (1H, dd, J=11, 11 Hz), 3,08 (1H, m), 3,94 (1H, d, J=9 Hz), 4,02 (1H, d, J=9 Hz), 4,81 (d, J=13,5 Hz) und 4,86 (d, J=13,5 Hz) (Abq), 6,93 (1H, br. q, J=4,5 Hz), 7,22 (1H, d, J=8,5 Hz), 7,30-7,47 (8H, m), 7,53 (1H, s), 7,73 (1H, d, J=8,5 Hz), 7,78 (1H, d, J=8 Hz), 7,84 (1H, d, J=8 Hz), 11,35 (1H, s).
  • c) N'-[3S-tert-Butoxy-4-(N-hydroxyamino)-2R-(2-naphthylmethyl)succinyl-S-tert-leucinmethylamid
    Figure 00440001
  • N'-[4-(N-Benzyloxyamino)-3S-tert-butoxy-2R-(2-naphthylmethyl)succinyl]-S-tert-leucinmethylamid (0,305 g, 0,54 mmol) wurde 4 Std. lang bei Raumtemperatur und Atmosphärendruck in Anwesenheit von Pd/BaSO4 (0,31 g) hydriert. Der Katalysator wurde durch Filtration entfernt und das Filtrat verdampft. Der Rückstand wurde mit Ether verrieben, um das Produkt als einen gebrochen weißen Feststoff zu ergeben, 0,152 g (59 %).
    MS (ES+ve) M+H=472, M+Na=494.
    1H NMR (DMSO-d6): 0,84 (9H, s), 1,11 (9H, s), 1,93 (3H, d, J=4,5 Hz), 2,70 (1H, dd, J≈11, 4 Hz), 2,80 (1H, dd, J≈11, 11 Hz), 3,11 (1H, m), 3,93 (1H, d, J=9 Hz), 4,02 (1H, d, J=9 Hz), 6,84 (1H, br. q, J=4,5 Hz), 7,25 (1H, d, J=8,5 Hz), 7,40-7,46 (3H, m), 7,56 (1H, s), 7,74 (1H, d, J=8,5 Hz), 7,78 (1H, d, J≈8 Hz), 7,84 (1H, d, J≈8 Hz), 8,96 (1H, s), 10,74 (1H, br. s).
  • Beispiel 35
  • N'-[3S-tert-Butoxy-4-(N-hydroxyamino)-2R-(2-naphthylmethyl)succinyl]-S-tert-leucinethylamid
    Figure 00450001
  • N'-[4-(N-Benzyloxyamino)-3S-tert-butoxy-2R-(2-naphthylmethyl)succinyl]-S-tert-leucinethylamid wurde hergestellt und hydrogenolysiert wie in Beispiel 34 beschrieben, um das Produkt als einen leicht gräulichen Feststoff zu ergeben, 0,224 g (88 %).
    MS (ES+ve) M+H=486, M+Na=508.
    1H NMR (DMSO-d6): 0,63 (3H, t, J=7 Hz), 0,85 (9H, s), 1,12 (9H, s), 2,39 (1H, m), 2,55 (1H, m), 2,70 (1H, dd, J≈11, 4 Hz), 2,81 (1H, dd, J≈11, 11 Hz), 3,11 (1H, m), 3,92 (1H, d, J=9 Hz), 4,02 (1H, d, J=9 Hz), 7,05 (1H, br. t, J=4,5 Hz), 7,26 (1H, dd, J=8,5, 1,5 Hz), 7,40-7,46 (3H, m), 7,57 (1H, s), 7,73 (1H, d, J=8,5 Hz), 7,78 (H, d, J≈8 Hz), 7,82 (1H, d, J≈8 Hz), 8,95 (1H, s), 10,73 (1H, br. s).
  • Beispiel 36 (nur Referenz)
  • N''-[4-(N-Hydroxyamino)-3S-(2-oxy-N-(N',N'-2-dimethylaminoethyl)acetamido)-2R-(2-naphthylmethyl)succinyl]-S-tert-leucinmethylamid
    Figure 00450002
  • a) N'-[4-tert-Butoxy-3S-(2-oxybenzylacetat)-2R-(2-naphthylmethyl)succinyl]-S-tert-leucinmethylamid
    Figure 00450003
  • Die in der Überschrift genannte Verbindung wurde durch Alkylieren von N-4-tert-Butoxy-3S-(hydroxy)-2R-(2-naphthylmethyl)succinyl-S-tert-leucinmethylamid mit 2-Brombenzylacetat in Acetonitril hergestellt (siehe Beispiel 1a).
    MS (ES+ve) M+H=605, M+Na=629
    1H NMR (CDCl3): 1,02 (9H, s), 1,42 (9H, s), 2,59 (3H, d, J=5 Hz), 3,07-3,30 (3H, m), 3,77 (1H, d, J=3,5 Hz), 3,98 (1H, d, J=16 Hz), 4,12 (1H, d, J=9 Hz), 4,35 (1H, d, J=16 Hz), 5,26 (2H, s), 6,23 (1H, q, J=4 Hz), 7,04 (1H, d, J=9 Hz), 7,29-7,48 (8H, m), 7,64 (1H, s), 7,68-7,83 (3H, m).
  • b) N'-[4-tert-Butoxy-3S-(2-oxyessigsäure)-2R-(2-naphthylmethyl)succinyl]-S-tert-leucinmethylamid
    Figure 00460001
  • N'-[4-tert-Butoxy-3S-(2-oxybenzylacetat)-2R-(2-naphthylmethyl)succinyl]-S-tert-leucinmethylamid (2,71 g, 4,49 mmol) in Methanol (70 ml) wurde mit Pd/BaSO4 (0,51 g) bei Raumtemperatur und Atmosphärendruck 4 Stunden lang hydrogenolysiert. Die Lösung wurde durch Celite filtriert und aufkonzentriert, um 2,30 g eines weißen Feststoffs zu ergeben (100 %).
    MS (ES+ve) M+H=515
    MS (ES-ve) M-H=513
    1H NMR (DMSO-d6): 0,84 (9H, s), 1,44 (9H, s), 2,25 (3H, d, J=7,2 Hz), 2,75-3,03 (2H, m), 3,27 (1H, m), 3,96-4,13 (4H, m), 7,30 (1H, dd, J=1,4, 8,4 Hz), 7,44 (3H, m), 7,74 (1H, s), 7,74-7,88 (4H, m), 12,65 (1H, s).
  • c) N''-[4-Butoxy-3S-(2-oxy-N-(N',N'-2-dimethylaminoethyl)acetamido)-2R-(2-naphthylmethyl)succinyl]-S-tert-leucinmethylamid
    Figure 00470001
  • N'-[4-tert-Butoxy-3S-(2-oxyessigsäure)-2R-(2-naphthylmethyl)succinyl]-S-tert-leucinmethylamid (0,6 g, 1,16 mmol), EDC (0,25 g, 1,28 mmol) und HOAT (0,17 g, 1,28 mmol) wurden in DMF (11 ml) bei Raumtemperatur unter Argon 10 Minuten lang gerührt, und dann wurde 2-(Dimethylamino)ethylamin (0,15 ml, 1,40 mmol) zugegeben. Die Umsetzung wurde über Nacht unter Argon bei Raumtemperatur gerührt. Das DMF wurde verdampft und der Rückstand zwischen Ethylacetat und Wasser ausgeschüttelt. Die organische Phase wurde mit Wasser (2×), Natriumbicarbonatlösung (2×) und Salzlösung gewaschen, dann getrocknet (Na2SO4) und verdampft. Chromatographie über Kieselgel (Dichlormethan-Methanol) ergab die in der Überschrift genannte Verbindung (62 %).
    MS (ES+ve) M+H=585
    1H NMR (DMSO-d6): 0,83 (9H, s), 1,45 (9H, s), 2,18 (6H, s), 2,30 (3H, d, J=4,5 Hz), 2,36 (2H, t, J=6,8 Hz), 2,82-3,05 (2H, m), 3,19-3,40 (4H, m), 3,77 (1H, d, J=15,5 Hz), 3,94 (1H, d, J=17,0 Hz), 4,15 (1H, d, J=9,5 Hz), 7,29 (1H, dd, J=1,5, 8,5 Hz), 7,46 (2H, m), 7,59 (1H, s), 7,67 (1H, m), 7,75-7,86 (5H, m).
  • d) N''-[4-(N-Hydroxyamino)-3S-(2-oxy-N-(N',N'-2-dimethylaminoethyl)acetamido)-2R-(2-naphthylmethyl)succinyl]-S-tert-leucinmethylamid
    Figure 00470002
  • Spaltung des tert-Butylesters und Bildung der Hydroxamsäure durch Koppeln der Carbonsäure mit O-Benzylhydroxylamin, gefolgt von Hydrogenolyse mit Pd/BaSO4 ergab die in der Überschrift genannte Verbindung.
    MS (ES+ve) M+Na=556, M+H=544
    MS (ES-ve) M-H=542
    1H NMR (DMSO-d6): 0,81 (9H, s), 2,20 (3H, d, J=4,5 Hz), 2,74 (1H, dd, J=3,7, 13,6 Hz), 2,82 (3H, s), 2,83 (3H, s), 2,89 (1H, d, J=13,7 Hz), 3,14 (2H, d, J=5,2 Hz), 3,33 (1H, td, J=4,0, 10,2 Hz), 3,43 (2H, m), 3,82 (1H, d, J=15,5 Hz), 3,93 (1H, d, J=15,5 Hz), 3,97 (1H, d, J=9,6 Hz), 4,11 (1H, d, J=9,5 Hz), 7,22 (1H, dd, J=1,2, 8,4 Hz), 7,45 (3H, m), 7,54 (1H, s), 7,74 (1H, d, J=8,5 Hz), 7,77 (1H, d, J=7,5 Hz), 7,84 (2H, d, J=8,7 Hz), 8,00 (1H, t, J=5,7 Hz), 9,29 (1H, s) 11,09 (1H, s).
  • Beispiel 37 (nur Referenz)
  • N'-[4-(N-Hydroxyamino)-3S-(2-oxy-N-(2'-acetoxyethyl)acetamido)-2R-(2-naphthylmethyl)succinyl]-S-tert-leucinmethylamid
    Figure 00480001
  • a) N'-[4-Butoxy-3S-(2-oxy-N-(2-hydroxyethyl)acetamido)-2R-(2-naphthylmethyl)succinyl]-S-tert-leucinmethylamid
    Figure 00480002
  • Umsetzung von 2-Aminoethanol mit N'-[4-tert-Butoxy-3S-(2-oxyessigsäure)-2R-(2-naphthylmethyl)succinyl]-S-tert-leucinmethylamid wie im Beispiel 36c ergab die in der Überschrift genannte Verbindung.
    MS (ES+ve) M+Na=580, M+H=558
    1H NMR (DMSO-d6): 0,83 (9H, s), 1,45 (9H, s), 2,29 (3H, d, J=4,5 Hz), 2,85 (1H, m), 2,95 (1H, m), 3,20 (2H, m), 3,32 (1H, m), 3,42 (2H, m), 3,78 (1H, d, J=15,3 Hz), 3,94 (1H, d, J=15,3 Hz), 3,98 (1H, d, J=8,1 Hz), 4,15 (1H, d, J=9,60 Hz), 4,68 (1H, t, J=5,6 Hz), 7,28 (1H, dd, J=1,6, 8,4 Hz), 7,45 (2H, m), 7,59 (1H, s), 7,68 (2H, m), 7,77 (2H, m).
  • b) N'-[4-Butoxy-3S-(2-oxy-N-(2-acetoxyethyl)acetamido)-2R-(2-naphthylmethyl)succinyl]-S-tert-leucinmethylamid
    Figure 00490001
  • Zu einer Lösung von N'-[4-Butoxy-3S-(2-oxy-N-(2-hydroxyethyl)acetamido)-2R-(2-naphthylmethyl)succinyl]-S-tert-leucinmethylamid (0,8 g, 1,05 mmol), Pyridin (0,25 ml, 3,15 mmol) und DMAP (ein paar Kristalle) in Dichlormethan (8,5 ml) bei 0 °C wurde Acetanhydrid zugegeben. Das Gemisch wurde bei 0 °C 1 Stunde lang gerührt und wurde dann mit Ethylacetat verdünnt und mit verdünnter HCl (2×), NaHCO3-Lösung und Salzlösung gewaschen, getrocknet (Na2SO4) und aufkonzentriert. Chromatographie über Kieselgel (Hexan/Ethylacetat 1:4) ergab 0,56 g des Produkts (88 %).
    MS (ES+ve), M+H=600
    1H NMR (DMSO-d6): 0,82 (9H, s), 1,45 (9H, s), 1,99 (3H, s), 2,31 (3H, d, J=4,5 Hz), 2,82-3,05 (2H, m), 3,31-3,40 (3H, m), 3,79 (1H, d, J=15,5 Hz), 3,95 (1H, d, J=6,3 Hz), 4,02 (1H, d, J=16,4 Hz), 4,16 (1H, d, J=9,6 Hz), 7,28 (1H, dd, J=1,3, 8,3 Hz), 7,46 (2H, m), 7,59 (1H, s), 7,70-7,93 (6H, m).
  • c) N'-[4-(N-Hydroxyamino)-3S-(2-oxy-N-(2'-acetoxyethyl)acetamido)-2R-(2-naphthylmethyl)succinyl]-S-tert-leucinmethylamid
    Figure 00500001
  • Entfernung des tert-Butylesters von N'-[4-Butoxy-3S-(2-oxy-N-(2-acetoxyethyl)acetamido)-2R-(2-naphthylmethyl)succinyl]-S-tert-leucinmethylamid mit TFA, gefolgt von Koppeln mit Hydroxylamin, wie vorstehend beschrieben, ergab die in der Überschrift genannte Verbindung.
    MS (ES+ve) M+Na=581, M+H=559
    1H NMR (DMSO-d6): 0,80 (9H, s), 2,01 (3H, s), 2,17 (3H, d, J=4,5 Hz), 2,75 (1H, m), 2,88 (1H, m), 3,32 (3H, m), 3,70 (1H, d, J=15,6 Hz), 3,90 (1H, d, J=16,0 Hz), 3,94 (1H, d, J=9,9 Hz), 4,03 (2H, t, J=5,7 Hz), 4,13 (1H, d, J=9,6 Hz), 7,22 (1H, dd, J=1,3, 8,3 Hz), 7,43 (3H, m), 7,54 (1H, s), 7,72 (1H, d, J=8,5 Hz), 7,76 (1H, d, J=9,0 Hz), 7,83 (2H, m), 7,86 (1H, d, J=9,7 Hz), 9,19 (1H, s), 11,07 (1H, s).
  • Beispiel 38 (nur Referenz)
  • N'-[4-(N-Hydroxyamino)-3S-N-(2-hydroxyethyl)carbamoylmethoxy-2R-(2-naphthylmethyl)succinyl]-S-tert-leucinmethylamid
    Figure 00500002
  • N'-[4-(N-Hydroxyamino)-3S-(2-oxy-N-(2'-acetoxyethyl)acetamido)-2R-(2-naphthylmethyl)succinyl]-S-tert-leucinmethylamid (0,27 g, 0,49 mmol) in Dioxan (4,4 ml)/Wasser (3 ml) wurde mit LiOH·H2O (0.062 g, 1,47 mmol) bei Raumtemperatur zwei Stunden lang gerührt. Amberlite-IR-120-(plus)-Harz wurde zugegeben bis pH=4, und dann wurde das Gemisch filtriert, aufkonzentriert, azeotrop mit Toluol destilliert und unter Vakuum getrocknet, um einen weißen Feststoff zu ergeben. Reinigung durch präparative HPLC ergab die in der Überschrift genannte Verbindung.
    MS (ES+ve) M+Na=539, M+H=517
    MS (ES-ve) M-H=515
    1H NMR (DMSO-d6): 0,81 (9H, s), 2,15 (3H, d, J=4,5 Hz), 2,72 (1H, dd, J=3,9, 13,5 Hz), 2,85 (1H, dd, J=10,7, 13,5 Hz), 3,12 (1H, m), 3,21 (1H, m), 3,34 (1H, m), 3,42 (2H, t, J=6,5 Hz), 3,69 (1H, d, J=15,4 Hz), 3,87 (1H, d, J=15,4 Hz), 3,93 (1H, d, J=9,7 Hz), 4,12 (1H, d, J=9,7 Hz), 7,23 (1H, dd, J=1,5, 8,4 Hz), 7,45 (3H, m), 7,54 (1H, s), 7,61 (1H, t, J=5,8 Hz), 7,72 (1H, d, J=8,5 Hz), 7,77 (1H, d, J=7,5 Hz), 7,82 (1H, d, J=8,1 Hz), 7,89 (1H, d, J=9,6 Hz), 9,30 (1H, s), 11,09 (1H, s).
  • Beispiel 39 (nur Referenz)
  • N'-[4-(N-Hydroxyamino)-2R-(2-naphthylmethyl)succinyl-3S-(2-oxyphenacyl)]-tert-leucinmethylamid
    Figure 00510001
  • Hergestellt analog zu Beispiel 1a) + b) + c) aus N-4-tert-Butoxy-3S-(hydroxy)-2R-(2-naphthylmethyl)succinyl]-S-tert-leucinmethylamid durch Alkylierung mit Phenacylbromid statt mit Allylbromid.
    MS (ES-ve) M-H=532
    1H NMR (DMSO-d6): 0,89 (9H, s), 2,5-2,53 (3H, verdeckt), 3,20 (2H, d, J=8 Hz), 3,50-3,60 (1H, m), 3,83 (1H, d, J=15 Hz), 3,91 (1H, d, J=15), 4,19 (1H, d, J=9 Hz), 4,21 (1H, d, J=5 Hz), 6,89 (1H, s), 7,3-7,49 (8H, m), 7,76 (1H, s), 7,8-7,9 (4H, m), 7,97 (1H, br d, J=9), 9,39 (1H, s).
  • N'-[4-tert-Butoxy-3S-(2RS-hydroxypropoxy)-2R-(2-naphthylmethyl)succinyl]-S-tert-leucinmethylamid (A) und N'-[4-tert-Butoxy-3S-(3-hydroxypropoxy)-2R-(2-naphthylmethyl)succinyl]-S-tert-leucimnethylamid (B)
    Figure 00520001
  • N'-[3S-Allyloxy-4-tert-butoxy-2R-(2-naphthylmethyl)succinyl]-S-tert-leucinmethylamid (4,0 g, 8,05 mmol) und Wilkinson-Katalysator (225 mg) in THF (70 ml) wurden auf 0 °C gekühlt, und Catecholboran (2,58 ml, 24,2 mmol) wurde über eine Spritze zugegeben. Das Gemisch wurde bei 0 °C 30 Min. lang gerührt und dann bei Raumtemperatur 1 Std. lang, und dann wurden 1:1 THF/Ethanol (25 ml), pH-7-Phosphatpuffer (25 ml) und 27,5 % Wasserstoffperoxidlösung (25 ml) zugegeben, und das Gemisch wurde bei Raumtemperatur 24 Std. lang gerührt. Das THF wurde verdampft, und Salzlösung und Ethylacetat wurden zugegeben. Das Produkt wurde in Ethylacetat extrahiert, und die Extrakte wurden mit Natriumcarbonatlösung und Salzlösung gewaschen und dann getrocknet (Na2SO4) und aufkonzentriert. Reinigung durch Säulenchromatographie über Kieselgel (Ethylacetat/Hexan) ergab A) 0,627 g (15 %) und B) 1,958 g (47 %).
    • A) MS (ES+ve) M+H=515 1H NMR (DMSO-d6): 0,84 (9H, s), 1,04 und 1,05 (3H, 2 × d, J=6,0 Hz), 1,44 (9H, s), 2,24 und 2,26 (3H, 2 × d, J=4,5 Hz), 2,84 (1H, dd, J=5,0, 14,0 Hz), 2,96 (1H, m), 3,10-3,38 (3H, m), 3,69 (1H, m), 3,85 und 3,87 (1H, 2 × d, J=8,0 Hz), 4,09 (1H, d, J=9,5 Hz), 4,48 und 4,53 (1H, 2 × d, J=4,5 Hz), 7,30 (1H, dd, J=1,5, 8,5 Hz), 7,44 (3H, m), 7,61 (1H, s), 7,69-7,86 (4H, m).
    • B) MS (ES+ve) M+H=515, M+Na=537 1H NMR (DMSO-d6): 0,84 (9H, s), 1,45 (9H, s), 1,63 (2H, m), 2,20 (3H, d, J=4,5 Hz), 2,76 (1H, dd, J=5,0, 13,5 Hz), 2,95 (1H, dd, J=10,0, 13,5 Hz), 3,20 (1H, m), 3,32-3,55 (4H, m), 3,79 (1H, d, J=8,5 Hz), 4,08 (1H, d, J=9,5 Hz), 4,35 (1H, t, J=5,0 Hz), 7,29 (1H, dd, J=1,5, 8,5 Hz), 7,32 (1H, m), 7,44 (2H, m), 7,60 (1H, s), 7,70 (1H, d, J=9,5 Hz), 7,74-7,84 (3H, m).
  • Beispiel 40 (nur Referenz)
  • N'-[3S-(3-Acetoxypropoxy)-4-(N-hydroxyamino)-2R-(2-naphthylmethyl)succinyl]-S-tert-leucinmethylamid
    Figure 00530001
  • a) N'-[3S-(3-Acetoxypropoxy)-4-tert-butoxy-2R-(2-naphthylmethyl)succinyl]-S-tert-leucinmethylamid
    Figure 00530002
  • Zu einer Lösung von N'-[4-tert-Butoxy-3S-(3-hydroxypropoxy)-2R-(2-naphthylmethyl)succinyl]-S-tert-leucinmethylamid (193 mg, 0,3 8 mmol), Pyridin (0,092 ml, 1,14 mmol) und DMAP (ein paar Kristalle) in Dichlormethan (3 ml) bei 0 °C wurde Acetanhydrid (0,053 ml, 0,56 mmol) zugegeben. Das Gemisch wurde bei Raumtemperatur 1 Std. lang gerührt und wurde dann mit Ethylacetat verdünnt und mit 1N HCl (2×), NaHCO3-Lösung und Salzlösung gewaschen und dann getrocknet und aufkonzentriert, um 207 mg des Produkts zu ergeben.
    1H NMR (DMSO-d6): 0,83 (9H, s), 1,45 (9H, s), 1,78 (2H, m), 1,99 (3H, s), 2,20 (3H, d, J=4,5 Hz), 2,76 (1H, dd, J=5,0, 14,0 Hz), 2,95 (1H, dd, J=10,0, 14,0 Hz), 3,21 (1H, m), 3,39 (1H, m), 3,50 (1H, m), 3,82 (1H, d, J=8,5 Hz), 4,05 (2H, m), 4,08 (1H, d, J=9,5 Hz), 7,28 (1H, dd, J=1,5, 8,5 Hz), 7,33 (1H, m), 7,44 (2H, m), 7,59 (1H, s), 7,71 (1H, d, J=9,5 Hz), 7,75-7,85 (3H, m).
  • b) N'-[3S-(3-Acetoxypropoxy)-4-(N-hydroxyamino)-2R-(2-naphthylmethyl)succinyl]-S-tert-leucinmethylamid
    Figure 00540001
  • Hergestellt aus N'-[3S-(3-Acetoxypropoxy)-4-tert-butoxy-2R-(2-naphthylmethyl)succinyl]-S-tert-leucinmethylamid durch TFA-Schutzgruppen-Entfernung des Esters und Koppeln der so erhaltenen Säure mit Hydroxylamin, um die in der Überschrift genannte Verbindung zu ergeben.
    MS (ES-ve) M-H=514
    MS (ES+ve) M+H=516
    1H NMR (DMSO-d6): 0,82 (9H, s), 1,74 (2H, m), 1,99 (3H, s), 2,05 (3H, d, J=4,5 Hz), 2,65 (1H, dd, J=3,0, 13,5 Hz), 2,82 (1H, dd, J=11,0, 13,5 Hz), 3,23 (1H, m), 3,29 (1H, m, teilweise verdeckt), 3,45 (1H, m), 3,79 (1H, d, J=9,5 Hz), 3,96-4,04 (3H, m), 7,01 (1H, m), 7,25 (1H, dd, J=1,5, 8,5 Hz), 7,44 (2H, m), 7,57 (1H, s), 7,61 (1H, d, J=8,5 Hz), 7,74 (1H, d, J=8,5 Hz), 7,78 (1H, d, J=7,5 Hz), 7,84 (1H, d, J=7,5 Hz), 9,12 (1H, s), 10,91 (1H, s).
  • Beispiel 41 (nur Referenz)
  • N'-[4-(N-Hydroxyamino)-3S-(3-hydroxypropoxy)-2R-(2-naphthylmethyl)succinyl]-S-tertleucinmethylamid
    Figure 00540002
  • N'-[3S-(3-Acetoxypropoxy)-4-(N-hydroxyamino)-2R-(2-naphthylmethyl)succinyl]-S-tert-leucinmethylamid (115 mg, 0,223 mmol) und LiOH·H2O (28 mg, 0,67 mmol) wurden in 1,4-Dioxan (2 ml)/Wasser (1,5 ml) bei Raumtemperatur 1 Std. lang gerührt. Amberlite-IR-120-(plus)-Harz wurde zugegeben, um den pH auf 3 bis 4 zu erniedrigen, und das Gemisch wurde filtriert und verdampft. Das Produkt wurde dann mit Toluol azeotrop destilliert, mit Ether verrieben und unter Hochvakuum getrocknet, um das Produkt als einen weißen Feststoff zu ergeben (89 mg).
    MS (ES-ve) M-H=472
    MS (ES+ve) M+H=474
    1H NMR (DMSO-d6): 0,83 (9H, s), 1,59 (2H, m), 2,06 (3H, d, J=4,5 Hz), 2,66 (1H, dd, J=4,0, 13,5 Hz), 2,83 (1H, dd, J=11,0, 13,5 Hz), 3,20 (1H, m), 3,24 (1H, m, teilweise verdeckt), 3,36-3,48 (3H, m), 3,76 (1H, d, J=9,5 Hz), 4,02 (1H, d, J=9,5 Hz), 4,35 (1H, br s, austauschbar mit D20), 7,04 (1H, m), 7,25 (1H, d, J=8,5 Hz), 7,44 (2H, m), 7,57 (1H, s), 7,58 (1H, d, J=8,5 Hz), 7,74 (1H, d, J=8,5 Hz), 7,78 (1H, d, J=7,5 Hz), 7,83 (1H, d, J=7,5 Hz), 9,08 (1H, s), 10,91 (1H, s).
  • Beispiel 42 (nur Referenz)
  • N'-[3S-(3-Dimethylaminopropoxy)-4-(N-hydroxyamino)-2R-(2-naphthylmethyl)succinyl]-S-tert-leucinmethylamid
    Figure 00550001
  • a) N'-[4-tert-Butoxy-3S-(3-dimethylaminopropoxy)-2R-(2-naphthylmethyl)succinyl]-S-tert-leucinmethylamid
    Figure 00550002
  • Zu einer Lösung von N'-[4-tert-Butoxy-3S-(3-hydroxypropoxy)-2R-(2-naphthylrnethyl)succinyl]-S-tert-leucinmethylamid (800 mg, 1,56 mmol) und Triethylamin (0,326 ml, 2,34 mmol) in Dichlormethan (8 ml) bei 0 °C wurde Methansulfonylchlorid zugegeben (0,145 ml, 1,87 mmol). Das Gemisch wurde 40 Min. lang gerührt, und dann wurde mit Dichlormethan verdünnt und mit 2N HCl und Salzlösung gewaschen und dann mit (Na2SO4) getrocknet und aufkonzentriert, um das Mesylat als einen weißen Schaum zu ergeben (895 mg, 97 %).
  • Das Mesylat (660 mg) wurde in Ethanol (6 ml) mit Dimethylamin (3 ml) in einem verschlossenen Gefäß 20 Std. lang gerührt. Die Lösungsmittel wurden verdampft, und Ethylacetat und gesättigte Natriumcarbonatlösung wurde zugegeben, und das Produkt wurde in Ethylacetat extrahiert. Die Extrakte wurden mit Salzlösung gewaschen, getrocknet (Na2SO4) und verdampft. Filtration durch eine kurze Säule von Kieselgel (Elution mit Dichlormethan/Methanol) ergab einen weißen Schaum (520 mg, 86 %).
    MS (ES+ve) M+H=542
    1H NMR (DMSO-d6): 0,84 (9H, s), 1,44 (9H, s), 1,61 (2H, m), 2,11 (6H, s), 2,20 (3H, d, J=4,5 Hz), 2,27 (2H, m), 2,76 (1H, dd, J=4,5, 13,5 Hz), 2,95 (1H, dd, J=10,0, 13,5 Hz), 3,19 (1H, m), 3,32 (1H, m, teilweise verdeckt), 3,46 (1H, m), 3,80 (1H, d, J=8,5 Hz), 4,09 (1H, d, J=9,5 Hz), 7,28 (1H, dd, J=1,5, 8,5 Hz), 7,33 (1H, m), 7,44 (2H, m), 7,60 (1H, s), 7,69 (1H, d, J=9,5 Hz), 7,75 (1H, d, J=8,5 Hz), 7,78 (1H, d, J=7,5 Hz), 7,84 (1H, d, J=7,5 Hz).
  • b) N'-[3S-(3-Dimethylaminopropoxy)-4-(N-hydroxyamino)-2R-(2-naphthylmethyl)succinyl]-S-tert-leucinmethylamid
    Figure 00560001
  • Entfernung des tert-Butylesters von N'-[4-tert-Butoxy-3S-(3-dimethylaminopropoxy)-2R-(2-naphthylmethyl)succinyl]-S-tert-leucinmethylamid mit TFA, Umwandlung des TFA-Salzes in das HCl-Salz und Koppeln mit O-Benzylhydroxylamin und Entfernung der O-Benzylgruppe durch Hydrogenolyse ergab die in der Überschrift genannte Verbindung.
    MS (ES-ve) M-H=499
    MS (ES+ve) M+H=501
    1H NMR (DMSO-d6): 0,83 (9H, s), 1,59 (2H, m), 2,09 (3H, d, J=4,5 Hz), 2,14 (6H, s), 2,27 (2H, m), 2,74 (1H, dd, J=4,0, 13,5 Hz), 2,85 (1H, dd, J=11,0, 13,5 Hz), 3,19 (1H, m), 3,37 (2H, m, teilweise verdeckt), 3,76 (1H, d, J=9,0 Hz), 4,05 (1H, d, J=9,5 Hz), 7,12 (1H, m), 7,26 (1H, dd, J=1,0, 8,5 Hz), 7,43 (2H, m), 7,56 (1H, d, J=9,5 Hz), 7,57 (1H, s), 7,74 (1H, d, J=8,5 Hz), 7,78 (1H, d, J=7,5 Hz), 7,83 (1H, d, J=7,5 Hz), 9,03 (1H, s), 11,25 (1H, br s).
  • Beispiel 43 (nur Referenz)
  • N'-[3S-(2-RS-Acetoxypropoxy)-4-(N-hydroxyamino)-2R-(2-naphthylmethyl)succinyl]-S-tert-leucinmethylamid
    Figure 00570001
  • Hergestellt aus N'-[4-tert-Butoxy-3S-(2RS-hydroxypropoxy)-2R-(2-naphthylmethyl)succinyl]-S-tert-leucinmethylamid wie in Beispiel 40.
    MS (ES-ve) M-H=514
    MS (ES+ve) M+H=516
    1H NMR (DMSO-d6): ca. 2:1-Gemisch von Diastereomeren, 0,82 (9H, s), 1,11 und 1,12 (3H, 2 × d, J=6,5 Hz), 1,96 und 1,97 (3H, 2 × s), 2,02 und 2,05 (3H, 2 × d, J=4,5 Hz), 2,68 (1H, m), 2,80 (1H, m), 3,23-3,50 (3H, m), 3,86 (1H, m), 4,00 und 4,01 (1H, 2 × d, J=9,5 Hz), 4,80 (1H, m), 7,0 (1H, m), 7,25 (1H, d, J=8,5 Hz), 7,44 (2H, m), 7,57 (1H, s), 7,61 (1H, m), 7,74 (1H, d, J=8,5 Hz), 7,77-7,84 (2H, m), 9,12 und 9,14 (1H, 2 × s), 10,90 (1H, s).
  • Beispiel 44 (nur Referenz)
  • N'-[4-(N-Hydroxyamino)-3S-(2-RS-hydroxypropoxy)-2R-(2-naphthylmethyl)succinyl]-S-tert-leucinmethylamid
    Figure 00570002
  • Hergestellt durch Spaltung des Acetats in N'-[3S-(2-RS-Acetoxypropoxy)-4-(N-hydroxyamino)-2R-(2-naphthylmethyl)succinyl]-S-tert-leucinmethylamid mit Lithiumhydroxid wie in Beispiel 41.
    MS (ES-ve) M-H=472
    MS (ES+ve) M+H=474
    1H NMR (DMSO-d6): ca. 2:1-Gemisch von Diastereomeren, 0,83 (9H, s), 0,98 und 1,00 (3H, 2 × d, J=6,5 Hz), 2,09 und 2,11 (3H, 2 × d, J=4,5 Hz), 2,67-2,89 (2H, m), 3,08-3,29 (3H, m), 3,65 (1H, m), 3,83 und 3,84 (1H, 2 × d, J=9,5 Hz), 4,03 (1H, d, J=9,5 Hz), 4,50 und 4,51 (1H, 2 × d, J=4,5 Hz), 7,12 und 7,19 (1H, 2 × m), 7,25 (1H, m), 7,44 (2H, m), 7,57 (1H, s), 7,62 (1H, m), 7,74 (1H, d, J=8,5 Hz), 7,77-7,84 (2H, m), 9,09 und 9,11 (1H, 2 × s), 10,86 und 10,90 (1H, s).
  • N'-[4-tert-Butoxy-3S-(2-hydroxyethoxy)-2R-(2-naphthylmethyl)succinyl]-S-tert-leucinmethylamid
    Figure 00580001
  • Ein Gemisch von N'-[3S-Allyloxy-4-tert-butoxy-2R-(2-naphthylmethyl)succinyl]-S-tert-leucinmethylamid (2,0 g, 4,03 mmol), N-Methylmorpholin-N-oxid (520 mg, 4,43 mmol) und Osmiumtetroxid (0,8 ml einer 2,5 % Lösung in tert-Butanol) in Aceton (24 ml), tert-Butanol (6 ml) und Wasser (6 ml) wurde bei Raumtemperatur 24 Std. lang gerührt. Ein paar Kristalle von festem Osmiumtetroxid wurden zugegeben, und das Gemisch wurde weitere 24 Std. lang gerührt. Die Lösungsmittel wurden entfernt, und das Gemisch wurde durch eine kurze Säule von Kieselgel (Ethylacetat) filtriert, um die Diol-Zwischenstufe als einen weißen Schaum zu ergeben (2,098 g, 98 %).
  • Das Diol und Natriumperiodat (973 mg, 4,55 mmol) in 1,4-Dioxan (36 ml)/Wasser (12 ml) wurden bei Raumtemperatur 5 Std. lang gerührt. Ein weiteres Quantum von Natriumperiodat (90 mg) wurde zugegeben, und das Rühren wurde für 1 weitere Stunde beibehalten. Natriumborhydrid (757 mg, 20 mmol) wurde zugegeben, und nach 30-minütigem Rühren der Umsetzung wurde mit gesättigter Ammoniumchloridlösung gequencht, und die Lösungsmittel wurden entfernt. Ethylacetat und 1N HCl wurden zugegeben, und das Produkt wurde in Ethylacetat extrahiert. Die Extrakte wurden mit Natriumbicarbonatlösung und Salzlösung gewaschen und dann getrocknet (Na2SO4) und aufkonzentriert. Chromatographie über Kieselgel (80 % Ethylacetat in Hexan) ergab das Produkt als einen weißen Schaum (1,63 g, 82 %).
    MS (ES+ve) M+H=501
    1H NMR (DMSO-d6): 0,84 (9H, s), 1,44 (9H, s), 2,25 (3H, d, J=4,5 Hz), 2,82 (1H, dd, J=5,0, 13,5 Hz), 2,96 (1H, dd, J=10,0, 13,5 Hz), 3,20 (1H, m), 3,36 (1H, m), 3,46-3,54 (3H, m), 3,88 (1H, d, J=8,0 Hz), 4,10 (1H, d, J=9,5 Hz), 4,51 (1H, t, J=5,5Hz), 7,30 (1H, dd, J=1,5, 8,5 Hz), 7,44 (3H, m), 7,61 (1H, s), 7,72-7,86 (4H, m).
  • Beispiel 45 (nur Referenz)
  • N'-[3S-(2-Acetoxyethoxy)-4-(N-hydroxyamino)-2R-(2-naphthylmethyl)succinyl]-S-tert-leucinmethylamid
    Figure 00590001
  • Hergestellt aus N'-[4-tert-Butoxy-3S-(2-hydroxyethoxy)-2R-(2-naphthylmethyl)succinyl]-S-tert-leucinmethylamid in einer analogen Art und Weise zu derjenigen, die vorstehend für Beispiel 40 beschrieben wurde.
    MS (ES-ve) M-H=500
    MS (ES+ve) M+H=502
    1H NMR (DMSO-d6): 0,82 (9H, s), 1,99 (3H, s), 2,05 (3H, d, J=4,5 Hz), 2,67 (1H, m), 2,82 (1H, dd, J=11,0, 13,0 Hz), 3,26 (1H, m, teilweise verdeckt), 3,46 (1H, m), 3,59 (1H, m), 3,85 (1H, d, J=9,5 Hz), 4,00-4,04 (3H, m), 7,02 (1H, m), 7,24 (1H, dd, J=1,5, 8,5 Hz), 7,44 (2H, m), 7,57 (1H, s), 7,63 (1H, d, J=9,5 Hz), 7,74 (1H, d, J=8,5 Hz), 7,77 (1H, d, J=7,5 Hz), 7,83 (1H, d, J=7,5 Hz), 9,14 (1H, s), 10,92 (1H, s).
  • Beispiel 46 (nur Referenz)
  • N'-[4-(N-Hydroxyamino)-3S-(2-hydroxyethoxy)-2R-(2-naphthylmethyl)succinyl]-S-tert-leucinmethylamid
    Figure 00590002
  • Hergestellt aus N'-[3S-(2-Acetoxyethoxy)-4-(N-hydroxyamino)-2R-(2-naphthylmethyl)succinyl]-S-tert-leucinmethylamid durch Spaltung des Acetats mit Lithiumhydroxid.
    MS (ES-ve) M-H=458
    MS (ES+ve) M+H=460
    1H NMR (DMSO-d6): 0,83 (9H, s), 2,12 (3H, d, J=4,5 Hz), 2,74 (1H, dd, J=4,0, 13,5 Hz), 2,85 (1H, dd, J=10,5, 13,5 Hz), 3,19 (1H, m), 3,29-3,43 (4H, m), 3,83 (1H, d, J=9,0 Hz), 4,05 (1H, d, J=9,5 Hz), 4,51 (1H, br s, tauscht mit D20 aus), 7,19 (1H, m), 7,25 (1H, dd, J=1,5, 8,5 Hz), 7,43 (2H, m), 7,57 (1H, s), 7,62 (1H, d, J=9,5 Hz), 7,74 (1H, d, J=8,5 Hz), 7,78 (1H, d, J=7,5 Hz), 7,83 (1H, d, J=7,5 Hz), 9,07 (1H, s), 10,96 (1H, br s).
  • Beispiel 47 (nur Referenz)
  • N'-[4-(N-Hydroxyamino)-2R-(2-naphthylmthyl)-3S-(2-N-succinimidylethoxy)succinyl]-S-tert-leucinmethylamid
    Figure 00600001
  • a) N'-[4-tert-Butoxy-2R-(2-naphthylmethyl)-3S-(2-N-succinimidylethoxy)-succinyl]-S-tert-leucinmethylamid
    Figure 00600002
  • Ein Gemisch von N'-[4-tert-Butoxy-3S-(2-hydroxyethoxy)-2R-(2-naphthylmethyl)succinyl]-S-tert-leucinmethylamid (320 mg, 0,64 mmol), Triphenylphosphin (336 mg, 1,28 mmol), DEAD (0,202 ml, 1,28 mmol) und Bernsteinsäureimid (127 mg, 1,28 mmol), in THF (4 ml) wurde bei Raumtemperatur über Nacht gerührt. Die Lösungsmittel wurden verdampft, und der Rückstand wurde über Kieselgel chromatographiert (Elution mit Ethylacetat/Hexan), um die in der Überschrift genannte Verbindung zu ergeben, verunreinigt mit einer kleinen Menge Triphenylphosphinoxid, welches im nächsten Schritt entfernt wurde.
    MS (ES+ve) M+H 582, M+Na 604
  • b) N'-[4-(N-Hydroxyamino)-2R-(2-naphthylmethyl)-3S-(2-N-succinimidylethoxy)succinyl]-S-tert-leucinmethylamid
    Figure 00610001
  • Spaltung des tert-Butylesters aus N'-[4-tert-Butoxy-2R-(2-naphthylmethyl)-3S-(2-N-succinimidylethoxy)succinyl]-S-tert-leucinmethylamid mit TFA, gefolgt von Chromatographie (um das Triphenylphosphinoxid zu entfernen) und Umwandlung der Carbonsäure in die Hydroxamsäure unter Verwendung von Standard-Bedingungen ergab die in der Überschrift genannte Verbindung.
    MS (ES-ve) M-H=539
    MS (ES+ve) M+H=541, M+Na=563
    1H NMR (DMSO-d6): 0,85 (9H, s), 2,06 (3H, d, J=4,5 Hz), 2,60 (4H, s), 2,64 (1H, dd, J=3,5, 13,5 Hz), 2,82 (1H, dd, J=11,0, 13,5 Hz), 3,22 (1H, m), 3,27-3,50 (4H, m, teilweise verdeckt), 3,81 (1H, d, J=9,5 Hz), 4,04 (1H, d, J=9,5 Hz), 7,04 (1H, m), 7,23 (1H, dd, J=1,5, 8,5 Hz), 7,44 (2H, m), 7,57 (1H, s), 7,61 (1H, d, J=9,5 Hz), 7,73 (1H, d, J=8,5 Hz), 7,78 (1H, d, J=7,5 Hz), 7,84 (1H, d, J=7,5 Hz), 9,13 (1H, s), 10,92 (1H, s).
  • Beispiel 48 (nur Referenz)
  • N'-[3S-(2-Dimethylaminoethoxy)-4-(N-hydroxyamino)-2R-(2-naphthylmethyl)succinyl]-S-tert-leucinmethylamid
    Figure 00620001
  • Hergestellt aus N'-[4-tert-Butoxy-3S-(2-hydroxyethoxy)-2R-(2-naphthylmethyl)succinyl]-S-tert-leucinmethylamid in einer zu Beispiel 42 analogen Art und Weise.
    MS (ES-ve) M-H=485
    MS (ES+ve) M+H=487
    1H NMR (DMSO-d6): 0,84 (9H, s), 2,10 (3H, d, J=4,5 Hz), 2,14 (6H, s), 2,35 (2H, m), 2,74 (1H, dd, J=4,0, 13,5 Hz), 2,86 (1H, dd, J=10,5, 13,5 Hz), 3,22 (1H, m), 3,30-3,50 (2H, m, teilweise verdeckt), 3,80 (1H, d, J=9,0 Hz), 4,04 (1H, d, J=9,5 Hz), 7,12 (1H, m), 7,25 (1H, dd, J=1,0, 8,5 Hz), 7,44 (2H, m), 7,56 (1H, d, J=9,5 Hz), 7,58 (1H, s), 7,74 (1H, d, J=8,5 Hz), 7,78 (1H, d, J=7,5 Hz), 7,84 (1H, d, J=7,5 Hz), 9,06 (1H, s), 11,08 (1H, br s).
  • Beispiel 49 (nur Referenz)
  • N'-[3S-(2-Acetoxyethoxy)-4-(N-hydroxyamino)-2R-(2-naphthylmethyl)succinyl]-S-tert-leucinethylamid
    Figure 00620002
  • Hergestellt aus N'-[4-tert-Butoxy-3S-(2-hydroxyethoxy)-2R-(2-naphthylmethyl)succinyl]-S-tert-leucinethylamid in einer zu Beispiel 40 analogen Art und Weise.
    MS (ES-ve) M-H=514
    MS (ES+ve) M+H=516, M+Na=538
    1H NMR (DMSO-d6): 0,66 (3H, t, J=7,0 Hz), 0,83 (9H, s), 1,99 (3H, s), 2,50-2,70 (3H, m, teilweise verdeckt), 2,84 (1H, m), 3,28 (1H, m, teilweise verdeckt), 3,47 (1H, m), 3,60 (1H, m), 3,85 (1H, d, J=9,5 Hz), 4,01-4,04 (3H, m), 7,21 (1H, m), 7,25 (1H, dd, J=1,5, 8,5 Hz), 7,43 (2H, m), 7,57 (1H, s), 7,63 (1H, d, J=8,5 Hz), 7,72 (1H, d, J=8,5 Hz), 7,75-7,85 (2H, m), 9,14 (1H, s), 10,93 (1H, s).
  • Beispiel 50 (nur Referenz)
  • N'-[4-(N-Hydroxyamino)-3S-(2-hydroxyethoxy)-2R-(2-naphthylmethyl)succinyl]-S-tert-leucinethylamid
    Figure 00630001
  • Hergestellt über Spaltung des Acetats von N'-[3S-(2-Acetoxyethoxy)-4-(N-hydroxyamino)-2R-(2-naphthylmethyl)succinyl]-S-tert-leucinethylamid mit Lithiumhydroxid.
    MS (ES-ve) M-H=472
    MS (ES+ve) M+H=474
    1H NMR (DMSO-d6): 0,71 (3H, t, J=7,0 Hz), 0,84 (9H, s), 2,58-2,76 (3H, m), 2,86 (1H, m), 3,20 (1H, m), 3,29-3,44 (4H, m), 3,82 (1H, d, J=9,5 Hz), 4,05 (1H, d, 9,5 Hz), 4,53 (1H, t, J=5,5 Hz), 7,25 (1H, dd, J=1,5, 8,5 Hz), 7,35 (1H, m), 7,43 (2H, t), 7,57 (1H, s), 7,61 (1H, d, J=9,5 Hz), 7,73 (1H, d, J=8,5 Hz), 7,77 (1H, d, J=7,5 Hz), 7,83 (1H, d, J=7,5 Hz), 9,09 (1H, s), 10,88 (1H, s).
  • Beispiel 51 (nur Referenz)
  • N'-[3S-(2-Dimethylaminoethoxy)-4-(N-hydroxyamino)-2R-(2-naphthylmethyl)succinyl]-S-tert-leucinethylamid
    Figure 00630002
  • Hergestellt aus N'-[4-tert-Butoxy-3S-(2-hydroxyethoxy)-2R-(2-naphthylmethyl)succinyl]-S-tert-leucinethylamid in einer zu Beispiel 42 analogen Art und Weise.
    MS (ES-ve) M-H=499
    (ES+ve) M+H=501
    1H NMR (DMSO-d6): 0,70 (3H, t, J=7,0 Hz), 0,85 (9H, s), 2,22 (6H, s), 2,45 (2H, m, teilweise verdeckt), 2,60-2,76 (3H, m), 2,87 (1H, dd, J=10,5, 13,0 Hz), 2,24 (1H, m), 3,41 (1H, m), 3,49 (1H, m), 3,81 (1H, d, J=9,0 Hz), 4,04 (1H, d, J=9,5 Hz), 7,26 (1H, dd, J=1,0, 8,5 Hz), 7,30 (1H, s), 7,44 (2H, m), 7,56 (2H, m), 7,72 (1H, d, J=8,5 Hz), 7,77 (1H, d, J=7,5 Hz), 7,80 (1H, m), 9,08 (1H, s), 11,10 (1H, br s).
  • Beispiel 52 (nur Referenz)
  • N'-[4-(N-Hydroxyamino)-3S-(2-(1-imidazolyl)ethoxy)-2R-(2-naphthylmethyl)succinyl]-S-tert-leucinethylamid
    Figure 00640001
  • a) N'-[4-tert-Butoxy-3S-(2-(1-imidazolyl)ethoxy)-2R-(2-naphthylmethyl)succinyl]-S-tert-leucinethylamid
    Figure 00640002
  • Eine Lösung des Mesylats (456 mg, 0,770 mmol), hergestellt aus N'-[4-tert-Butoxy-3S-(2-hydroxyethoxy)-2R-(2-naphthylmethyl)succinyl]-S-tert-leucinethylamid (analog zu Beispiel 42) und Imidazol (115 mg, 1,69 mmol) in DMF (10 ml) wurde bei 100 °C 7 Std. lang erhitzt. Das DMF wurde verdampft und Ethylacetat und Natriumcarbonatlösung wurden zugegeben. Das Produkt wurde in Ethylacetat extrahiert, und die Extrakte wurden mit Salzlösung gewaschen und dann getrocknet (Na2SO4) und verdampft. Chromatographie über Kieselgel (Elution mit Dichlormethan/Methanol) ergab die in der Überschrift genannte Verbindung als einen weißen Schaum (44 %).
    MS (ES+ve) M+H=565
    1H NMR (DMSO-d6): 0,80 (3H, t, J=7,0 Hz), 0,86 (9H, s), 1,37 (9H, s), 2,70-2,85 (3H, m), 2,96 (1H, dd, J=9,5, 13,0 Hz), 3,25 (1H, m), 3,57 (1H, m), 3,70 (1H, m), 3,80 (1H, d, J=7,5 Hz), 4,04-4,20 (3H, m, einschließlich d bei 4,12, J=9,5 Hz), 6,90 (1H, s), 7,23 (1H, m), 7,26 (1H, s), 7,40-7,48 (3H, m), 7,62 (1H, m), 7,70 (1H, s), 7,74-7,85 (4H, m).
  • b) N'-[4-(N-Hydroxyamino)-3S-(2-(1-imidazolyl)ethoxy)-2R-(2-naphthylmethyl)succinyl]-S-tert-leucinethylamid
    Figure 00650001
  • Entfernung des tert-Butylesters von N'-[4-tert-Butoxy-3S-(2-(1-imidazolyl)ethoxy)-2R-(2-naphthylmethyl)succinyl]-S-tert-leucinethylamid mit TFA, Umwandlung des TFA-Salzes zu dem HCl-Salz und Koppeln mit O-Benzylhydroxylamin und Entfernung der O-Benzylgruppe durch Hydrogenolyse ergab die in der Überschrift genannte Verbindung.
    MS (ES-ve) M-H=522
    MS (ES+ve) M+H=524,
    1H NMR (DMSO-d6): 0,67 (3H, t, J=7,0 Hz), 0,82 (9H, s), 2,50-2,68 (3H, m), 2,84 (1H, dd, J=11,0, 13,5 Hz), 3,32 (1H, m, teilweise verdeckt), 3,55 (1H, m), 3,65 (1H, m), 3,88 (1H, d, J=9,5 Hz), 4,01-4,11 (3H, m), 6,87 (1H, s), 7,18 (1H, s), 7,19-7,26 (2H, m), 7,43 (2H, m), 7,55 (1H, s), 7,62 (1H, s), 7,71 (1H, d, J=9,5 Hz), 7,73 (1H, d, J=8,5 Hz), 7,77 (1H, d, J=7,5 Hz), 7,80 (1H, d, J=7,5 Hz), 9,15 (1H, s), 10,93 (1H, s).
  • Beispiel 53 (nur Referenz)
  • N'-[4-(N-Hydroxyamino)-3S-(2-methoxyethoxy)-2R-(2-naphthylmethyl)succinyl]-S-tert-leucinethylamid
    Figure 00660001
  • a) N'-[4-tert-Butoxy-3S-(2-methoxyethoxy)-2R-(2-naphthylmethyl)succinyl]-S-tert-leucinethylamid
    Figure 00660002
  • Zu einer Lösung von N'-[4-tert-Butoxy-3S-(2-hydroxyethoxy)-2R-(2-naphthylmethyl)succinyl]-S-tert-leucinethylamid (617 mg, 1,2 mmol) und Protonenschwamm (514 mg, 2,4 mmol) in Dichlormethan (10 ml) wurde Trimethyloxoniumtetrafluoroborat (355 mg, 2,4 mmol) zugegeben. Nach 3 Std. langem Rühren bei Raumtemperatur, wurden weitere Mengen an Protonenschwamm (130 mg) und Trimethyloxoniumtetrafluoroborat (90 mg) zugegeben, und das Gemisch wurde weitere 2 Std. lang gerührt. Ethylacetat und 2N HCl wurden zugegeben, und das Produkt wurde in Ethylacetat extrahiert. Die Extrakte wurden mit Natriumbicarbonatlösung und Salzlösung gewaschen und dann getrocknet (MgSO4) und aufkonzentriert. Das Produkt wurde über Kieselgel chromatographiert (Elution mit Ethylacetat/Hexan), um das Produkt als einen weißen Schaum zu ergeben (88 % Ausbeute).
    MS (ES+ve) M+H=529, M+Na=551
    1H NMR (DMSO-d6): 0,77 (3H, t, J=7,2 Hz), 0,86 (9H, s), 1,44 (9H, s), 2,72-2,81 (3H, m), 2,97 (1H, dd, J=10,0, 14,0 Hz), 3,22 (1H, m), 3,24 (3H, s), 3,41-3,47 (3H m), 3,60 (1H, m), 3,86 (1H, d, J=8,0 Hz), 4,09 (1H, d, J=9,5 Hz), 7,29 (1H, dd, J=8,5, 10,0 Hz), 7,40-7,55 (3H, m), 7,60 (1H, s), 7,70 (1H, d, J=9,5 Hz), 7,75 (1H, d, J=8,5 Hz), 7,77-7,85 (2H, m).
  • b) N'-[4-(N-Hydroxyamino)-3S-(2-methoxyethoxy)-2R-(2-naphthylmethyl)succinyl]-S-tert-leucinethylamid
    Figure 00670001
  • Der tert-Butylester von N'-[4-tert-Butoxy-3S-(2-methoxyethoxy)-2R-(2-naphthylmethyl)succinyl]-S-tert-leucinethylamid wurde mit TFA entfernt, und die so erhaltene Carbonsäure wurde wie vorstehend in die Hydroxamsäure umgewandelt, um die in der Überschrift genannte Verbindung zu ergeben.
    MS (ES-ve) M-H=486
    MS (ES+ve) M+H=488, M+Na=510
    1H NMR (DMSO-d6): 0,67 (3H, t, J=7,5 Hz), 0,85 (9H, s), 2,50-2,69 (3H, m, teilweise verdeckt), 2,84 (1H, m), 3,20 (3H, s), 3,24 (1H, m), 3,39 (3H, m), 3,52 (1H, m), 3,80 (1H, d, J=9,5 Hz), 4,03 (1H, d, J=9,5 Hz), 7,24 (2H, m), 7,43 (2H, m), 7,58 (2H, m), 7,72 (1H, d, J=8,5 Hz), 7,75-7,85 (2H, m), 9,10 (1H, s), 10,90 (1H, s).
  • Beispiel 54
  • N'-[3S-Ethoxy-4-(N-hydroxyamino)-2R-(2-benzothiophenylmethyl)succinyl]-S-tert-leucinmethylamid
    Figure 00670002
  • Hergestellt analog zu Beispiel 1a) + b) + c) aus N-3S-Hydroxy-2R-4-methoxy-(2-benzothiophenylmethyl)succinyl]-S-tert-leucinmethylamid durch Alkylierung mit Iodethan statt mit Allylbromid.
    MS (ES+ve) M+H=450
    1H NMR (DMSO-d6): 0,87 (9H, s), 1,04 (3H, t, J=6,9 Hz), 2,23 (3H, d, J=4,5 Hz), 2,71 (1H, td, J=1,8 Hz, 15,6 Hz), 2,99 (1H, t, J=15,6 Hz), 3,21 (2H, m), 3,43 (1H, m), 3,74 (1H, d, J=9,5 Hz), 4,14 (1H, d, J=9,5 Hz), 7,07, (1H, s), 7,28 (2H, m), 7,40 (1H, q, J=4,6 Hz), 7,65 (1H, d, J=7,3 Hz), 7,82 (2H, m), 9,10 (1H, s), 10,90 (1H, s).
  • Beispiel 55 (nur Referenz)
  • N'-[4-(N-Hydroxyamino)-3S-cyclohexyloxy-2R-(2-naphthylmethyl)succinyl]-5-tert-leucinmethylamid
    Figure 00680001
  • Hergestellt analog zu Beispiel 1a) + b) + c) aus N-4-tert-Butoxy-3S-(hydroxy)-2R-(2-naphthylmethyl)succinyl]-S-tert-leucinmethylamid durch Alkylierung mit Cyclohexenylbromid (statt mit Allylbromid), gefolgt von Hydrierung.
    MS (ES+ve) M+H=498
    1H NMR (DMSO-d6): 0,84 (9H, s), 1,10 (5H, m), 1,45 (1H, m), 1,64 (2H, m), 1,75 (1H, m), 1,84 (1H, m), 2,01 (3H, d, J=4,5 Hz), 2,67 (1H, J=4, 13,5 Hz), 2,82 (1H, dd, J=13,5, 11 Hz), 3,19 (2H, m), 3,97 (2H, m), 6,91 (1H, q, J=4,5 Hz), 7,28 (1H, m), 7,43 (2H, m), 7,52 (1H, d, J=9 Hz), 7,59 (1H, s), 7,79 (3H, m), 9,07 (1H, s), 10,87 (1H, s).
  • Beispiel 56 (nur Referenz)
  • N'-[4-(N-Hydroxyamino)-3S-(2-hydroxy-2-phenylethoxy)-2R-(2-naphthylmethyl)succinyl]-S-tert-leucinmethylamid
    Figure 00680002
  • Hergestellt analog zu Beispiel 1a) + b) + c) aus N-4-tert-Butoxy-3S-(hydroxy)-2R-(2-naphthylmethyl)succinyl]-S-tert-leucinmethylamid durch Alkylierung mit Phenacylbromid statt mit Allylbromid und Reduktion mit Triethylsilan und TFA.
    MS (ES+ve) M+H=536
    1H NMR (DMSO-d6): 0,88 (9H, s), 2,19 (3H, d, J=4,5 Hz), 2,82 (2H, m), 3,23 (1H, m), 3,40 (2H, d), 3,89 (1H, d, J=9 Hz), 4,09 (1H, d, J=9 Hz), 4,70 (1H, m), 5,32 (1H, br s), 7,28 (7H, m), 7,43 (2H, m), 7,54 (1H, s), 7,66 (1H, d), 7,78 (3H, m), 9,11 (1H, s), 10,86 (1H, s).
  • Beispiel 57 (nur Referenz)
  • N'-[4-(N-Hydroxyamino)-3S-[2-(morpholin-4-yl)-2-oxoethoxy]-2R-(2-naphthylmethyl)succinyl]-S-tert-leucinmethylamid
    Figure 00690001
  • Hergestellt analog zu Beispiel 1a) + b) + c) aus N-4-tert-Butoxy-3S-(hydroxy)-2R-(2-naphthylmethyl)succinyl]-S-tert-leucinmethylamid durch Alkylierung mit N-(2-Bromacetyl)morpholinamid statt mit Allylbromid.
    MS (ES+ve) M+H=543
    1H NMR (DMSO-d6): 0,80 (9H, s), 2,11 (3H, d, J=4,5 Hz), 2,71 (1H, dd, J=4, 14 Hz), 2,87 (1H, dd, J=11, 14 Hz), 3,27-3,64 (9H, m), 3,91 (1H, d, J=9 Hz), 3,96 (1H, d J=12,5 Hz), 4,03 (1H, d, J=9,5 Hz), 4,13 (1H, d, J=12,5 Hz), 7,19 (1H, q, J=4,5 Hz), 7,26 (1H, m), 7,45 (2H, m), 7,58 (1H, s), 7,75 (4H, m), 9,14 (1H, s), 11,08 (1H, s).
  • Beispiel 58
  • N'-[4-(N-Hydroxyamino)-3S-ethoxy-2R-(2-naphthylmethyl)succinyl]-S-(N,N-dirnethyllysin)methylamid
    Figure 00690002
    • MS (ES+ve) M+H=487
    • 1H NMR (DMSO-d6): 1,06 (3H, t, J=7 Hz), 1,13 (1H, m), 1,30 (4H, m), 1,59 (1H, m), 1,84 (3H, d, J=4,5 Hz), 2,08 (8H, m), 2,65 (1H, dd), 2,81 (1H, dd), 3,16 (1H, m), 3,30 (1H, m, teilweise verdeckt durch Wasser), 3,45 (1H, m), 3,78 (1H, d, J=9,5 Hz), 4,00 (1H, m), 5,86 (1H, m), 7,29 (1H, m), 7,45 (2H, m), 7,64 (1H, s), 7,85 (3H, m), 7,98 (1H, d), 9,02 (1H, br s), 11,00 (1H, br s).
  • Beispiel 59
  • N'-[4-(N-Hydroxyamino)-3S-propoxy-2R-(2-naphthylmethyl)succinyl]-S-(N,N-dimethyl-β,β-dimethyllysin)ethylamid
    Figure 00700001
    • MS (ES+ve) M+H=543
    • 1H NMR (DMSO-d6): 0,66 (3H, t, J=7 Hz), 0,84 (9H, m), 1,15 (2H, m), 1,35 (2H, m), 1,47 (2H, m), 2,07 (8H, m), 2,63 (2H, m), 2,84 (1H, dd, J=11, 14 Hz), 3,16-3,40 (m, verdeckt durch Wasser), 3,76 (1H, d, J=9,5 Hz), 4,08 (1H, d, J=9,5 Hz), 7,26 (2H, m), 7,43 (2H, m), 7,52 (1H, d, J=9,5 Hz), 7,57 (1H, s), 7,75 (3H, m), 9,14 (1H, v. br. s), 10,87 (1H, v. br. s).
  • Beispiel 60 (nur Referenz)
  • N'-[4-(N-Hydroxyamino)-3S-[2-(4-methylpiperazin-1-yl)-2-oxo-ethoxy]-2R-(2-naphthylmethyl)succinyl]-S-tert-leucinmethylamid
    Figure 00700002
  • Hergestellt analog zu Beispiel 1a) + b) + c) aus N-4-tert-Butoxy-3S-(hydroxy)-2R-(2-naphthylmethyl)succinyl]-S-tert-leucinmethylamid durch Alkylierung mit N-(2-Bromacetyl)-N'-methylpiperazinamid statt mit Allylbromid.
    MS (ES+ve) M+H=556
    1H NMR (DMSO-d6): 0,81 (9H, s), 2,11 (3H, d, J=4,5 Hz), 2,17 (3H, s), 2,18-2,35 (4H, m), 2,72 (1H, dd, J=4, 14 Hz), 2,88 (1H, dd, J=11, 14 Hz), 3,27-3,52 (m, teilweise verdeckt durch Wasser), 3,91 (1H, d, J=9,0 Hz), 3,96 (1H, d, J=12,5 Hz), 4,03 (1H, d, J=9,5 Hz), 4,13 (1H, d, J=12,5 Hz), 7,16 (1H, q, J=4,5 Hz), 7,26 (1H, m), 7,44 (2H, m), 7,58 (1H, s), 7,65 (1H, d, J=9,5 Hz), 7,70-7,86 (3H, m), 9,12 (1H, s), 11,09 (1H, s).
  • Beispiel 61
  • N'-[4-(N-Hydroxyamino)-3S-ethoxy-2R-(2-naphthylmethyl)succinyl]-S-tert-leucin-tert-butylamid
    Figure 00710001
  • Hergestellt analog zu Beispiel 1a) + b) + c) aus N-4-tert-Butoxy-3S-(hydroxy)-2R-(2-naphthylmethyl)succinyl]-S-tert-leucin-tert-butylamid durch Alkylierung mit Iodethan statt mit Allylbromid.
    MS (ES+ve) M+H=486
    1H NMR (DMSO-d6): 0,84 (9H, s), 0,92 (9H, s), 1,05 (3H, t, J=7 Hz), 2,62 (1H, dd, J=3, 13,5 Hz), 2,85 (1H, dd, J=13, 11,5 Hz), 3,19 (1H, m), 3,29 (1H, m verdeckt durch Wasser), 3,44 (1H, m), 3,75 (1H, d, J=10 Hz), 4,08 (1H, d, J=9,5 Hz), 7,07 (1H, s), 7,25 (1H, d, J=8,5 Hz), 7,41 (2H, m), 7,48 (1H, d, J=9,5 Hz), 7,56 (1H, s), 7,71 (1H, d, J=8,5 Hz), 7,77 (2H, d, J=8,5 Hz), 9,10 (1H, s), 10,92 (1H, s).
  • Beispiel 62
  • N'-[4-(N-Hydroxyamino)-3S-allyloxy-2R-(2-naphthylmethyl)succinyl]-S-tert-leucin-tert-butylamid
    Figure 00710002
  • Hergestellt analog zu Beispiel 1a) + b) + c) aus N-4-tert-Butoxy-3S-(hydroxy)-2R-(2-naphthylmethyl)succinyl]-S-tert-leucin-tert-butylamid durch Alkylierung mit Allylbromid.
    MS (ES+ve) M+H=498
    1H NMR (DMSO-d6): 0,82 (9H, s), 0,92 (9H, s), 2,63 (1H, dd), 2,86 (1H, dd), 3,24 (1H, m), 3,79 (1H, dd), 3,82 (1H, d, J=10 Hz), 3,94 (1H, dd), 4,07 (1H, d, verdeckt), 5,10 (1H, dd), 5,22 (1H, dd, J=1,5, 17,5 Hz), 5,77 (1H, m), 7,07 (1H, s), 7,25 (1H, dd), 7,41 (2H, m), 7,54 (2H, m), 7,71 (1H, d, J=8,5 Hz), 7,78 (2H, dd, J=8,5 Hz), 9,10 (1H, s), 10,93 (1H, s).
  • Beispiel 63
  • N'-[4-(N-Hydroxyamino)-3S-propoxy-2R-(2-naphthylmethyl)succinyl]-S-tert-leucin-tert-butylamid
    Figure 00720001
  • Hergestellt analog zu Beispiel 1a) + b) + c) aus N-4-tert-Butoxy-3S-(hydroxy)-2R-(2-naphthylmethyl)succinyl]-S-tert-leucin-tert-butylamid durch Alkylierung mit Iodpropan statt mit Allylbromid.
    MS (ES+ve) M+H=500
    1H NMR (DMSO-d6): 0,82 (3H, t, J=7,5 Hz), 0,84 (9H, s), 0,97 (9H, s), 1,45 (2H, m), 2,63 (1H, dd, J=3,5, 13,5 Hz), 2,85 (1H, dd, J=11,5 Hz), 3,18 (2H, m), 3,11 (1H, m, verdeckt durch Wasser), 3,75 (1H, d, J=9,5 Hz), 4,07 (1H, m), 7,06 (1H, s), 7,25 (1H, d, J=8,5 Hz), 7,44 (3H, m), 7,56 (1H, s), 7,72 (1H, d, J=8,5 Hz), 7,78 (2H, d, 8,5 Hz), 9,09 (1H, s), 10,88 (1H, s).
  • Beispiel 64
  • N'-[4-(N-Hydroxyamino)-3S-allyloxy-2R-(2-naphthylmethyl)succinyl]-S-tert-leucinbenzylester
    Figure 00720002
    • MS (ES+ve) M+H 533
    • 1H NMR (DMSO-d6): 0,81 (9H, s), 2,63 (1H, dd, J=3,5, 13,5 Hz), 2,82 (1H, dd, J=13,5, 8 Hz), 3,35 (1H, m), 3,76 (1H, dd, J=5,5, 13 Hz), 3,84 (1H, d, J=10 Hz), 3,93 (1H, dd, J=5, 13 Hz), 4,18 (1H, d, J=9 Hz), 4,42 (1H, d, J=12 Hz), 4,59 (1H, d, J=12,5 Hz), 5,08 (1H, d, J=10,5 Hz), 5,20 (1H, d, J=17 Hz), 5,74 (1H, m), 7,13 (2H, m), 7,23 (1H, d, J=8,5 Hz), 7,29 (2H, m), 7,42 (2H, m), 7,57 (1H, s), 7,68 (1H, d, J=8,5 Hz), 7,80 (2H, m), 8,05 (1H, d), 9,11 (1H, s), 10,98 (1H, s).
  • Beispiel 65
  • N'-[4-(N-Hydroxyamino)-3S-propoxy-2R-(2-naphthylmethyl)succinyl]-S-tert-leucinmethoxyamid
    Figure 00730001
    • MS (ES+ve) M+H=474
    • 1H NMR (DMSO-d6): 0,81 (3H, t, J=7,5 Hz), 0,85 (9H, s), 1,44 (2H, m), 2,64 (1H, dd, J=3,5, 13,5 Hz), 2,85 (1H, dd, J=13,5, 11 Hz), 3,12 (1H, s), 3,20 (3H, m), 3,77 (1H, d, J=9,5 Hz), 3,96 (1H, d, J=9,5 Hz), 7,26 (1H, d, J=8,5 Hz), 7,41 (2H, m), 7,56 (1H, s), 7,72 (1H, d, J=8,5 Hz), 7,78 (3H, m), 9,09 (1H, s), 10,88 (1H, s), 10,94 (1H, s).
  • Beispiel 66
  • N'-[4-(N-Hydroxyamino)-3S-propoxy-2R-(2-naphthylmethyl)succinyl]-S-tert-leucin-(N,N-dimethylaminoeth-2-yl)amid
    Figure 00730002
    • MS (ES+ve) M+H=514
    • 1H NMR (DMSO-d6): 0,82 (3H, t, J=7,5 Hz), 0,84 (9H, s), 1,45 (2H, m), 2,01 (6H, s), 2,59 (1H, m), 2,64 (1H, dd), 2,74 (1H, m), 2,84 (1H, dd), 3,20 (2H, m), 3,77 (1H, d, J=9,5 Hz), 4,05 (1H, d, J=9,5 Hz), 7,23 (2H, m), 7,43 (2H, m), 7,58 (2H, m), 7,77 (3H, m), 9,10 (1H, s), 10,90 (1H, s).
  • Beispiel 67
  • N'-[4-(N-Hydroxyamino)-3S-propoxy-2R-(2-naphthylmethyl)succinyl]-R-tert-leucin-(N,N-dimethylaminoeth-2-yl)amid
    Figure 00740001
    • MS (ES+ve) M+H=514
    • 1H NMR (DMSO-d6): 0,33 (9H, s), 0,76 (3H, t, J=7,5 Hz), 1,37 (2H, m), 2,12 (6H, s), 2,70 (1H, dd), 2,77 (1H, dd, J=13,5, 12 Hz), 3,10 (4H, m), 3,51 (1H, m), 3,72 (1H, d, J=10 Hz), 4,00 (1H, d, J=9,5 Hz), 7,35 (1H, d, J=8,5 Hz), 7,41 (2H, m), 7,64 (1H, d, J=9,5 Hz), 7,70 (1H, s), 7,77 (4H, m), 9,09 (1H, s), 10,92 (1H, s).
  • Beispiel 68
  • N'-[4-(N-Hydroxyamino)-3S-ethoxy-2R-(2-naphthylmethyl)succinyl]-S-(O-benzyl)-tert-leucinol
    Figure 00740002
    • MS (ES+ve) M+H=521
    • 1H NMR (DMSO-d6): 0,79 (9H, s), 0,82 (3H, t), 1,42 (2H, m), 2,63 (2H, m), 2,82 (2H, m), 3,19 (2H, m), 3,29 (1H, t), 3,64 (1H, m), 3,70 (2H, d, J=7 Hz), 3,79 (1H, d, J=10 Hz), 6,99 (1H, d, J=6,5 Hz), 7,25 (4H, m), 7,42 (3H, m), 7,60 (1H, s), 7,68 (1H, d, J=8,5 Hz), 7,79 (2H, m), 9,10 (1H, s), 10,97 (1H, s).
  • Beispiel 69
  • N'-{4-(N-Hydroxyamino)-3S-propoxy-2R-(5-1-(1,2,3,4-tetrahydronaphthalin-2-yl)methyl]succinyl}-S-tert-leucinmethylamid
    Figure 00750001
  • i) 2R-1,2,3,4-Tetrahydronaphthalin-2-methylalkohol
    Figure 00750002
  • 2R-1,2,3,4-Tetrahydronaphthoesäure (2,26 g, 12,84 mmol) (hergestellt wie von Charlton et al., Synlett [1990] 333 beschrieben) in trockenem THF (35 ml) bei 0 bis 5 °C wurde mit einer 1M Lösung von LiAlH4 in THF (12,85 ml) behandelt, und das so erhaltene Gemisch wurde bei 0 bis 5 °C 0,25 Std. lang gerührt, danach 1 Std. bei Raumtemperatur. Das Reaktionsgemisch wurde dann mit Wasser (1 ml), 2M NaOH-Lösung (1 ml) und Wasser (1 ml) behandelt und dann durch Celite filtriert. Das Filtrat wurde zur Trockene verdampft, und der Rückstand zwischen Diethylether und verdünnter NaHCO3-Lösung ausgeschüttelt. Die Etherphase wurde abgetrennt, mit verdünnter NaHCO3-Lösung (3×) und Salzlösung (1×) gewaschen und dann über MgSO4 getrocknet. Sie wurde filtriert und zur Trockene verdampft. Das Rohprodukt wurde durch Chromatographie über Kieselgel gereinigt, um die in der Überschrift genannte Verbindung zu gewinnen 1,51 g.
    1H NMR (CDCl3): 1,45 (2H, m), 1,97 (2H, m), 2,50 (1H, dd, J=10,5, 16,5 Hz), 2,87 (3H, m), 3,64 (2H, br. s), 7,09 (4H, m).
    [α]+88,2 (c=0,53, CHCl3)
  • ii) Trifluormethansulfonsäure-[(R)-1-(1,2,3,4-tetrahydonaphthalin-2-yl)methyl]ester
    Figure 00750003
  • Der Alkohol (1,47 g, 9,07 mmol) und Pyridin (0,72 g, 9,07 mmol) in trockenem Dichlormethan (20 ml) wurden tropfenweise zu einer Lösung von Trifluoressigsäureanhydrid (2,56 g, 9,07 mmol) in Dichlormethan bei 0 bis 5 °C zugegeben. Das so erhaltene Gemisch wurde bei dieser Temperatur 2 Std. lang gerührt, bevor es mit kalter, verd. H2SO4 (3×), kalter, verd. NaHCO3-Lösung (3×) und Salzlösung (1×) gewaschen wurde. Die organischen Lösungen wurden über MgSO4 getrocknet, filtriert und verdampft, um die in der Überschrift genannte Verbindung als ein goldenes Öl zu gewinnen (2,56 g).
    1H NMR (CDCl3) 1,55 (1H, m), 2,05 (1H, m), 2,35 (1H, m), 2,60 (1H, dd, J=10,5, 16,5 Hz), 2,88 (3H, m), 4,48 (1H, d, J=9,5 Hz), 4,53 (1H, d, J=9,5 Hz), 7,14 (4H, m).
  • iii) Diethyl-(2R,3S)-3-hydroxy-2-[(S)-1-(1,2,3,4-tetrahydronaphthalin-2-yl)methyl]succinat
    Figure 00760001
  • S-Diethylmalat (2,94 g, 15,3 mmol) in trockenem THF (25 ml) wurde tropfenweise zu einer 1M Lösung von LHMDS in THF (33,7 ml) bei -70 °C unter Argon zugegeben, wobei die Temperatur während der Zugabe unter -50 °C gehalten wurde. Die Lösung wurde bei -70 °C 2 Std. lang gerührt, und dann wurde eine Lösung des vorstehend erwähnten Trifluoracetats (15,3 mmol) in trockenem THF (20 ml) langsam tropfenweise zugegeben, wobei die Temperatur unter -60 °C gehalten wurde. Die Reaktionslösung wurde dann bei -70 °C 18 Std. lang bis zur Raumtemperatur gerührt, und dann wurde sie in kalte, verdünnte HCl gegossen, und das Produkt wurde mit Diethylether (3×) extrahiert. Die vereinigten Extrakte wurden mit verd. HCl (1×), gesättigter NaHCO3-Lösung (3×) und Salzlösung (1×) gewaschen, bevor sie mit MgSO4 getrocknet, filtriert und verdampft wurden, um das Rohprodukt übrig zu lassen. Chromatographie über Kieselgel lieferte die reine in der Überschrift genannte Verbindung (2,11 g).
    MS (ES+ve) M+Na=357
    1H NMR (CDCl3): 1,24 (3H, t, J=7,0 Hz), 1,32 (3H, t, J=7,0 Hz), 1,45 (1H, m), 1,67 (1H, m), 1,83 (1H, m), 1,97 (1H, m), 2,45 (1H, dd, J=10, 16 Hz), 2,82 (2H, m), 2,93 (1H, dd, J=4, 16 Hz), 3,18 (1H, d, J=7,5 Hz), 4,13 (2H, m), 4,27 (3H, m), 7,08 (4H, m).
  • iv) Diethyl-(2R,3S)-3-allyloxy-2-[(S)-1-(1,2,3,4-tetrahydronaphthalin-2-yl)methyl]succinat
    Figure 00760002
  • Der Alkohol aus (iii), vorstehend, (1,62 g, 4,85 mmol) und Allylbromid (5,87 g, 48,5 mmol) in trockenem DMF (15 ml) wurden mit 60 % NaH in Öl (0,233 g, 5,82 mmol) behandelt, und das Gemisch wurde bei Raumtemperatur 1,25 Std. lang gerührt. Gesättigte NH4Cl-Lösung wurde dann zugegeben, und das Gemisch wurde bis fast zur Trockene verdampft. Der Rückstand wurde zwischen Diethylether und Wasser ausgeschüttelt, und die organische Phase wurde abgetrennt und mit verd. HCl (4×) und Salzlösung (1×) gewaschen. Die Lösung wurde getrocknet (MgSO4), filtriert und verdampft, um ein orangefarbenes Öl übrig zu lassen. Dieses wurde über Kieselgel gereinigt, um die in der Überschrift genannte Verbindung zu gewinnen (1,61 g).
    MS (ES+ve) M+H=375
    1H NMR (CDCl3): 1,26 (6H, m), 1,38 (2H, m), 1,71 (1H, m), 1,86 (2H, m), 2,37 (1H, dd), 2,79 (2H, m), 2,96 (1H, dd), 3,07 (1H, m), 3,93 (1H, dd, J=6, 12,5 Hz), 4,07 (1H, d, J=8 Hz), 4,17 (5H, m), 5,18 (1H, dd, J=1, 10,5 Hz), 5,25 (1H, dd, J=1, 15,5 Hz), 5,85 (1H, m), 7,07 (4H, m).
  • v) Diethyl-(2R,3S)-3-propoxy-2-[(S)-1-(1,2,3,4-tetrahydronaphthalin-2-yl)methyl]succinat
    Figure 00770001
  • Das O-Allylderivat aus (iv), vorstehend, (1,61 g, 4,30 mmol) in Methanol (30 ml) wurde bei Atmosphärendruck über 10 % Pd/C (500 mg) 2 Std. lang hydriert. Der Katalysator wurde abfiltriert, und das Filtrat zur Trockene verdampft, um die in der Überschrift genannte Verbindung als ein farbloses Öl zu gewinnen (1,56 g).
    MS (ES+ve) M+H=377
    1H NMR (CDCl3): 0,89 (3H, t, J=7,5 Hz), 1,26 (6H, m), 1,38 (2H, m), 1,58 (2H, m), 1,70 (1H, m), 1,83 (2H, m), 2,35 (1H, dd), 2,78 (2H, m), 2,95 (1H, dd), 3,03 (1H, m), 3,30 (1H, m), 3,53 (1H, m), 3,99 (1H, d, J=8,5 Hz), 4,17 (4H, m), 7,06 (4H, m).
  • vi) (2R,3S)-3-Propoxy-2-[(S)-1-(1,2,3,4-tetrahydronaphthalin-2-yl)methyl]bernsteinsäure
    Figure 00770002
  • Der Diethylester aus (v), vorstehend, (1,54 g, 4,1 mmol) in Dioxan (12 ml) wurde mit 2M KOH-Lösung (6,15 ml) behandelt, und das Gemisch wurde bei Raumtemperatur 22,5 Std. lang gerührt, danach 3 Std. bei 80 °C. Die Lösung wurde zur Trockene verdampft und der so erhaltene Rückstand wurde in Wasser gelöst und mit Ethylacetat gewaschen. Die wässrige Lösung wurde dann mit NaCl gesättigt und der pH mit verd. HCl auf 1 eingestellt. Das Produkt wurde in Ethylacetat (3×) extrahiert, und die vereinigten Extrakte wurden mit Salzlösung (1×) gewaschen, getrocknet (MgSO4), filtriert und verdampft, um die in der Überschrift genannte Verbindung als einen weißen Feststoff zu erhalten (1,35 g).
    MS (ES-ve) M-H=319
    1H NMR (DMSO-d6): 0,84 (3H, t, J=7,5 Hz), 1,33 (2H, m), 1,47 (2H, m), 1,67 (2H, m), 1,82 (1H, m), 2,30 (1H, dd), 2,67-2,91 (4H, m), 3,25 (1H, m), 3,48 (1H, m), 3,85 (1H, d, J=8 Hz), 7,05 (4H, m), 12,20-13,00 (2H, v.br.s).
  • vii) (2R,3S)-3-Propoxy-2-[(S)-1-(1,2,3,4-tetrahydronaphthalin-2-yl)methyl]bernsteinsäure-4-methylester
    Figure 00780001
  • Die Disäure aus (vi), vorstehend, (1,3 g, 4,1 mmol) in trockenem Dichlormethan (15 ml) wurde in einem Eisbad gekühlt und mit Trifluoressigsäureanhydrid (8 ml) behandelt. Die so erhaltene Lösung wurde bei 0 bis 5 °C 10 Min. lang gerührt, danach bis zu 2 Std. bei Raumtemperatur. Die Lösung wurde dann zur Trockene verdampft, um das entsprechende Anhydrid als ein farbloses Öl (vmax 1788 cm-1) zurückzulassen. Dieses wurde in Methanol (20 ml) gelöst und bei Raumtemperatur 16 Std. lang gerührt. Verdampfung des Lösungsmittels lieferte die in der Überschrift genannte Verbindung als ein blass gelbes Öl (1,43 g).
    MS (ES-ve) M-H=333
    1H NMR (CDCl3): 0,90 (3H, t, J=7,5 Hz), 1,44 (2H, m), 1,62 (2H, m), 1,77-1,96 (3H, m), 2,40 (1H, dd), 2,80 (2H, m), 2,97 (1H, dd), 3,10 (1H, m), 3,34 (1H, m), 3,71 (1H, m), 3,76 (3H, s), 4,03 (1H, d, J=7,5 Hz), 7,07 (4H, m).
  • viii) N'-[4-Methoxy-3S-propoxy-2R-[5-1-(1,2,3,4-tetrahydronaphthalin-2-yl)methyl)succinyl]-S-tert-leucinmethylamid
    Figure 00790001
  • Eine Lösung der Säure aus (vii), vorstehend, (1,43 g, 4,28 mmol) in trockenem DMF (15 ml) wurde mit HOBT (1,16 g, 8,56 mmol) und EDC (1,64 g, 8,56 mmol) behandelt, und die so erhaltene Lösung wurde bei Raumtemperatur 10 Min. lang gerührt. S-tert-Leucinmethylamidhydrochlorid (0,85 g, 4,71 mmol) wurde zugefügt, danach DIPEA (0,66 g, 5,14 mmol), und die Reaktionslösung wurde bei Raumtemperatur 1,25 Std. lang gerührt. Sie wurde zur Trockene verdampft, und der Rückstand wurde zwischen EtOAc und verd. HCl ausgeschüttelt. Die organische Phase wurde abgetrennt und mit verd. HCl (3×), verd. NaHCO3 (3×) und Salzlösung (1×) gewaschen. Sie wurde getrocknet (MgSO4) und verdampft, um das Rohprodukt übrig zu lassen, das über Kieselgel gereinigt wurde um die in der Überschrift genannte Verbindung zu gewinnen (1,44 g).
    MS (ES+ve) M+H=461
    1H NMR (CDCl3): 0,96 (3H, t, J=7,5 Hz), 1,03 (9H, s), 1,32-1,74 (5H, m), 1,88 (2H, m), 2,42 (1H, dd), 2,73 (3H, d, J=5 Hz), 2,76-3,00 (5H, m), 3,33 (1H, m), 3,62 (1H, m), 3,77 (3H, s), 3,99 (1H, d, J=5 Hz), 4,09 (1H, d, J=9 Hz), 6,29 (1H, m), 7,03 (5H, m).
  • ix) N'-{4-Hydroxy-3S-propoxy-2R-[5-1-(1,2,3,4-tetrahydronaphthalin-2-yl)methyl]succinyl}-S-tert-leucinmethylamid
    Figure 00790002
  • Eine Lösung des Esters aus (viii), vorstehend, (0,68 g) in Dioxan (12 ml) wurde tropfenweise mit einer Lösung von LiOH·H2O (0,124 g) in Wasser (5 ml) behandelt. Die so erhaltene Lösung wurde bei Raumtemperatur 1,75 Std. lang gerührt, und dann wurde sie bis fast zur Trockene verdampft. Der Rückstand wurde zwischen Wasser und EtOAc ausgeschüttelt, und die wässrige Phase wurde abgetrennt und mit EtOAc (1×) gewaschen, bevor sie mit NaCl gesättigt, auf pH 1 angesäuert und mit EtOAc (3×) extrahiert wurde. Die vereinigten Extrakte wurden mit Salzlösung (1×) gewaschen, getrocknet (MgSO4) und verdampft, um das Produkt als einen weißen Feststoff zu ergeben (0,63 g).
    MS (ES+ve) M+H=447
    1H NMR (DMSO-d6): 0,82 (3H, t, J=7,5 Hz), 0,90 (9H, s), 1,22 (2H, m), 1,40-1,61 (4H, m), 1,73 (1H, m), 2,24 (1H, dd, J=10, 16 Hz), 2,40 (3H, d, J=4,5 Hz), 2,67 (2H, m), 2,95 (2H, m), 3,21 (1H, m), 3,38 (1H, m, verdeckt durch Wasser), 3,78 (1H, d, J=9 Hz), 4,18 (1H, d, J=9,5 Hz), 7,01 (4H, m), 7,71 (1H, q, J=4,5 Hz), 7,90 (1H, d, J=9,5 Hz), 12,84 (1H, br.s).
  • x) N'-[4-(N-Hydroxyamino)-3S-propoxy-2R-[5-1-(1,2,3,4-tetrahydronaphthalin-2-yl)methyl)succinyl]-S-tert-leucinmethylamid
    Figure 00800001
  • Eine Lösung der Säure aus (ix), vorstehend, (0,61 g) in trockenem DMF (10 ml) wurde mit HOAT (0,372 g) und EDC (0,524 g) behandelt und bei Raumtemperatur 10 Min. lang gerührt. Hydroxylaminhydrochlorid (0,285 g) und NMM (0,414 g) wurden dann zugegeben, und das Reaktionsgemisch wurde bei Raumtemperatur 2 Std. lang gerührt. Es wurde dann zur Trockene verdampft, und der Rückstand wurde zwischen EtOAc und verd. HCl ausgeschüttelt. Die organische Phase wurde abgetrennt und mit verd. HCl, verd. NaHCO3 und Wasser gewaschen und dann zur Trockene verdampft, um einen weißen Feststoff übrig zu lassen. Dieser wurde mit Diethylether verrieben, dann filtriert und im Vakuum getrocknet, um die in der Überschrift genannte Verbindung zu gewinnen (0,434 g).
    MS (ES+ve) M+H=462
    1H NMR (DMSO-d6): 0,80 (3H, t, J=7,5 Hz), 0,90 (9H, s), 1,08 (1H, m), 1,23 (1H, m), 1,45 (4H, m), 1,70 (1H, m), 2,19 (1H, dd), 2,35 (3H, d, J=4,5 Hz), 2,65 (2H, m), 2,97 (2H, m), 3,14 (1H, m), 3,27 (1H, m), 3,63 (1H, d, J=9,5 Hz), 4,18 (1H, d, J=9,5 Hz), 7,02 (4H, m), 7,59 (1H, q, J=4,5 Hz), 7,83 (1H, d, J=9,5 Hz), 9,02 (1H, s), 10,78 (1H, s).
  • Beispiel 70
  • N'-[3S-(Ethoxy)-4-(N-hydroxyamino)-2R-(2-chinolinylmethyl)succinyl]-S-tert-leucinethylamid
    Figure 00810001
  • 5 % Pd/BaSO4 (50 mg) wurde zu einer Lösung von N'-[4-(N-Benzyloxyamino)-3S-(ethoxy)-2R-(2-chinolinylmethyl)succinyl]-S-tert-leucinethylamid (0,17 g, 0,3 mmol) in Methanol (15 ml) und Cyclohexen (5 ml) unter Argon zugegeben. Das Gemisch wurde unter Rückfluss 6 Stunden lang erhitzt, dann gekühlt und durch einen Celite-Pfropfen filtriert. Das Filtrat wurde verdampft, um einen Feststoff zu ergeben, der mit Ether verrieben wurde (3 × 2 ml), um die in der Überschrift genannte Verbindung als einen weißen Feststoff zu gewinnen (0,13 g, 0,28 mmol, 92 %).
    MS (ES+ve) [M+H]+=459
    1H NMR (DMSO-d6): 0,66 (3H, t, J=7,2 Hz), 0,83 (9H, s), 1,04 (3H, t, J=7,0 Hz), 2,58 (2H, m), 2,70 (1H, m), 2,84 (2H, m), 3,39 (2H, m), 3,81 (1H, d, J=9,7 Hz), 4,05 (1H, d, J=9,6 Hz), 7,35 (H, t, J=5,3 Hz), 7,55 (1H, t, J=7,4 Hz), 7,68 (1H, d, J=8,5 Hz), 7,70 (1H, d, J=10,4 Hz), 7,83 (1H, d, J=7,6 Hz), 7,94 (1H, d, 7,9 Hz), 7,97 (1H, s), 8,60 (1H, d, J=2 Hz), 9,11 (1H, s), 10,96 (1H, s).
  • Beispiel 71
  • N'-[4-(N-Hydroxyamino)-3S-(propoxy)-2R-(2-chinolinylmethyl)succinyl]-S-tert-leucinethylamid
    Figure 00810002
  • 5 % Pd/BaSO4 (50 mg) wurde zu einer Lösung von N'-[4-(N-Benzyloxyamino)-3S-(propoxy)-2R-(2-chinolinylmethyl)succinyl]-S-tert-leucinethylamid (0,12 g, 0,21 mmol) in Methanol (15 ml) zugegeben. Das Gemisch wurde unter einer Wasserstoffatmosphäre 48 Stunden lang gerührt, dann durch einen Celite-Pfropfen filtriert. Das Filtrat wurde verdampft, um einen Feststoff zu ergeben, der mit Ether verrieben wurde (3 × 2 ml), um die in der Überschrift genannte Verbindung als einen weißen Feststoff zu gewinnen (0,05 g, 0,11 mmol, 54 %).
    MS (ES+ve) [M+H]+=473
    1H NMR (DMSO-d6): 0,66 (3H, t, J=7,2 Hz), 0,81 (3H, t, J=7,0 Hz), 0,83 (9H, s), 1,43 (2H, m), 2,58 (2H, m), 2,70 (1H, m), 2,84 (2H, m), 3,39 (2H, m), 3,81 (1H, d, J=9,7 Hz), 4,05 (1H, d, J=9,6 Hz), 7,35 (1H, t, J=5,3 Hz), 7,55 (1H, t, J=7,4Hz), 7,68 (1H, d, J=8,5 Hz), 7,70 (1H, d, J=10,4 Hz), 7,83 (1H, d, J=7,6 Hz), 7,94 (1H, d, J=7,9 Hz), 7,97 (1H, s), 8,60 (1H, d, J=2 Hz), 9,11 (1H, s), 10,96 (1H, s).
  • Beispiel 72
  • N'-[3S-(Ethoxy)-2R-(2-(6-fluor)naphthylmethyl)-4-(N-hydroxyamino)succinyl]-S-tert-leucinethylamid
    Figure 00820001
  • 5 % Pd/BaSO4 (50 mg) wurde zu einer Lösung von N'-[4-(N-Benzyloxyamino)-3S-(ethoxy)-2R-(2-(6-fluor)naphthylmethyl)succinyl]-S-tert-leucinethylamid (0,17 g, 0,3 mmol) in Methanol (15 ml) und Cyclohexen (5 ml) unter Argon zugegeben. Das Gemisch wurde bei Rückfluss 4 Stunden lang erhitzt, dann gekühlt und durch einen Celite-Pfropfen filtriert. Das Filtrat wurde verdampft, um einen Feststoff zu ergeben, der mit Ether (3 × 2 ml) verrieben wurde, um die in der Überschrift genannte Verbindung als einen weißen Feststoff zu gewinnen (0,12 g, 0,26 mmol, 62%).
    MS (ES+ve) [M+H]+=476
    1H NMR (DMSO-d6): 1,04 (9H, s), 1,21 (3H, t, J=7,0 Hz), 1,43 (3H, t, J=6,6 Hz), 3,08 (2H, m), 3,41 (2H, m), 3,48 (2H, q, J=7,0 Hz), 3,64 (1H, d, J=2,8 Hz), 3,82 (1H, t, J=7,2 Hz), 4,00 (1H, d, J=9,1 Hz), 7,14 (1H, m), 7,22 (1H, m), 7,43 (2H, m), 7,71 (4H, m), 7,96 (1H, d, J=10,5 Hz), 9,51 (1H, br s).
  • Beispiel 73
  • N'-[4-(N-Hydroxyamino)-3S-allyloxy-2R-(2-naphthylmethyl)succinyl]-S-tert-leucinmethylester
    Figure 00820002
  • Hergestellt analog zu Beispiel 64.
    MS (ES+ve) [M+H]+=445
    1H NMR (DMSO-d6): 0,84 (9H, s), 1,01 (3H, t, J=7 Hz), 2,68 (1H, dd, J=13,5, 4 Hz), 2,73-2,83 (1H, m), 3,20-3,79 (3H, m), 3,27 (3H, s), 3,77 (1H, d, J=10 Hz), 4,15 (1H, d, J=9 Hz), 7,21 (1H, dd, J=8, 1,5 Hz), 7,40-7,46 (2H, m), 7,55 (1H, s), 7,74 (1H, d, J=9 Hz), 7,75-7,81 (2H, m), 7,90 (1H, d, J=9 Hz), 9,09 1H, d, J=0,5 Hz), 10,96 (1H, d, J=0,5 Hz).
  • Beispiel 74
  • N'-[4-(N-Hydroxyamino)-2R-(2-naphthylmethyl)-3S-propoxysuccinyl]-S-tert-leucinisopropylamid
    Figure 00830001
  • Hergestellt analog zu Beispiel 1 aus N-[4-tert-Butoxy-3S-(hydroxy)-2R-(2-naphthylmethyl)succinyl]-S-tert-leucinisopropylamid durch Alkylierung mit Allylbromid, Hydrierung, Spaltung des tert-Butylesters und Bildung der Hydroxamsäure.
    MS (ES-ve) [M-H]+=484
    1H NMR (DMSO-d6): 0,72 (3H, d, J=6,5 Hz), 0,75 (3H, d, J=6,5 Hz), 0,82 (3H, t, J=7,5 Hz), 0,84 (9H, s), 1,40-1,51 (2H, m), 2,64 (1H, dd, J=13, 3 Hz), 2,77-2,91 (1H, m), 3,18-3,7 (3H, m), 3,44-3,50 (1H, m), 3,77 (1H, d, J=10 Hz), 4,06 (1H, d, J=10 Hz), 7,24 (1H, dd, J=8, 1,5 Hz), 7,36-7,44 (3H, m), 7,53 (1H, d, J=10 Hz), 7,55 (1H, s), 7,70 (1H, d, J=8,5 Hz), 7,72-7,79 (2H, m), 9,09 1H, s), 10,89 (1H, s).
  • Beispiel 75
  • N'-[3S-Ethoxy-4-(N-hydroxyamino)-2R-(2-naphthylmethyl)succinyl]-S-tert-leucinisopropylamid
    Figure 00830002
  • Hergestellt analog zu Beispiel 1 aus N-[4-tert-Butoxy-3S-(hydroxy)-2R-(2-naphthylmethyl)succinyl]-S-tert-leucinisopropylamid durch Alkylierung mit Iodethan, Spaltung des tert-Butylesters und Bildung der Hydroxamsäure.
    MS (ES-ve) [M-H]+=470
    1H NMR (DMSO-d6): 0,72 (3H, d, J=6,5 Hz), 0,76 (3H, d, J=6,5 Hz), 0,84 (9H, s), 1,05 (3H, t, J=7 Hz), 2,63 (1H, dd, J=13, 3 Hz), 2,80-2,91 (1H, m), 3,17-3,27 (2H, m), 3,41-3,51 (2H, m), 3,76 (1H, d, J=10 Hz), 4,08 (1H, d, J=10 Hz), 7,24 (1H, dd, J=8, 1,5 Hz), 7,39-7,44 (3H, m), 7,53 (1H, d, J=10 Hz), 7,55 (1H, s), 7,69 (1H, d, J=8 Hz), 7,71-7,78 (2H, m), 9,08 1H, s), 10,89 (1H, s).
  • Beispiel 76
  • N'-[3S-Ethoxy-4-(N-hydroxyamino)-2R-(2-naphthylmethyl)succinyl]-S-tert-leucin-(2,2,2-trifluorethyl)amid
    Figure 00840001
  • Hergestellt analog zu Beispiel 1 von N-[4-tert-Butoxy-3S-(hydroxy)-2R-(2-naphthylmethyl)succinyl]-S-tert-leucin-(2,2,2-trifluorethyl)amid durch Alkylierung mit Allylbromid, Hydrierung, Spaltung des tert-Butylesters und Bildung der Hydroxamsäure.
    MS (ES-ve) [M-H]+=524
    1H NMR (DMSO-d6): 0,81 (3H, t, J=7,5 Hz), 0,83 (9H, s), 1,41-1,47 (2H, m), 2,62-2,67 (1H, m), 2,81 (1H, sichtbares t, J=13,5 Hz), 3,17-3,80 (5H, m), 3,79 (1H, d, J=9,5 Hz), 4,17 (1H, d, J=9,5 Hz), 7,22 (1H, dd, J=10, 1,5 Hz), 7,42-7,46 (2H, m), 7,53 (1H, s), 7,55 (1H, s), 7,63 (1H, d, J=9,5 Hz), 7,72 (1H, d, J=8,5 Hz), 7,76 (1H, d, J=8,5 Hz), 7,83 (1H, d, J=8,5 Hz), 8,06 (1H, sichtbares t, J=6 Hz), 9,09 (1H, s), 10,92 (1H, s).
  • Beispiel 77
  • N'-[3S-Ethoxy-4-(N-hydroxyamino)-2R-(2-naphthylmethyl)succinyl]-S-tert-leucin-(2,2,2-trifluorethyl)amid
    Figure 00850001
  • Hergestellt analog zu Beispiel 1 aus N-[4-tert-Butoxy-3S-(hydroxy)-2R-(2-naphthylmethyl)succinyl]-S-tert-leucin-(2,2,2-trifluorethyl)amid durch Alkylierung mit Allylbromid, Spaltung des tert-Butylesters und Bildung der Hydroxamsäure.
    MS (ES-ve) [M-H]+=522
    1H NMR (DMSO-d6): 0,81 (9H, s), 2,64-2,74 (2H, m), 3,24-3,31 (3H, m), 3,78 (1H, dd, J=8, 3,5 Hz), 3,86 (1H, d, J=6 Hz), 3,95 (1H, dd, J=8, 3,5 Hz), 4,19 (1H, d, J=6 Hz), 5,07-5,24 (2H, m), 5,74-5,81 (1H, m), 7,22 (1H, d, J=5 Hz), 7,41-7,46 (2H, m), 7,53 (1H, s), 7,66-7,84 (4H, m), 8,12 (1H, t, J=4 Hz), 9,11 (1H, s), 10,92 (1H, s).
  • Beispiel 78
  • N'-{4-(N-Hydroxyamino)-3S-propoxy-2R-[S oder R-1-(1,2,3,4-tetrahydronaphthalin-2-yl)methyl]succinyl}-S-tert-leucinamid
    Figure 00850002
    • MS (ES-ve) [M-H]+=446
  • Beispiel 79
  • N'-[2R-(2-(6-Fluornaphthyl)methyl)-4-(N-hydroxyamino)-3S-propoxysuccinyl]-S-tert-leucinethylamid
    Figure 00850003
  • Hergestellt analog zu Beispiel 1d) + e) aus 2R-(2-(6-Fluor)naphthylmethyl)-3S-hydroxybernsteinsäurediethylester, wobei unter Verwendung von Allylbromid alkyliert wurde.
    MS (ES+ve) M+H=490, M+Na=512
    1H NMR (DMSO-d6): 0,67 (3H, t, J=7 Hz), 0,81 (3H, t, J=7,5 Hz), 0,84 (9H, s), 1,45 (2H, Sextett, J=7 Hz), 2,53-2,68 (3H, m), 2,82 (1H, m), 3,16-3,25 (3H, m), 3,77 (1H, d, J=9,5 Hz), 4,02 (1H, d, J=9,5 Hz), 7,26-7,30 (2H, m), 7,35 (1H, m), 7,55-7,62 (2H, m), 7,61 (1H, s), 7,72 (1H, d, J=8,5 Hz), 7,85 (1H, m), 9,09 (1H, br.s), 10,86 (1H, br.s).
  • Beispiel 80
  • N'-[3S-Ethoxy-4-(N-hydroxyamino)-2R-(2-naphthylmethyl)succinyl]-S-tert-leucincyclopropylamid
    Figure 00860001
  • Hergestellt analog zu Beispiel 1 aus N-[4-tert-Butoxy-3S-(hydroxy)-2R-(2-naphthylmethyl)succinyl]-S-tert-leucincyclopropylamid durch Alkylierung mit Allylbromid, Hydrierung, Spaltung des tert-Butylesters und Bildung der Hydroxamsäure.
    MS (ES+ve) M+H=470, M+Na=492
    1H NMR (DMSO-d6): 0,06 (2H, m), 0,42 (2H, m), 0,83 (9H, s), 1,05 (3H, t, J=7 Hz), 2,20 (1H, m), 2,63 (1H, dd, J=14, 3,5 Hz), 2,87 (1H, dd, J=14, 11 Hz), 3,19 (1H, m), ca. 3,28 & 3,44 (2H, 2 × m, teilweise verdeckt durch das H2O-Signal), 3,76 (1H, d, J=9,5 Hz), 4,05 (1H, d, J=9,5 Hz), 7,23 (1H, dd, J=8,5, 1,5 Hz), 7,42 (2H, m), 7,55 (1H, s), 7,59 (1H, d, J=9,5 Hz), 7,72 (1H, d, J=8,5 Hz), 7,80 (2H, m), 9,09 (1H, br, s), 10,88 (1H, br.s).
  • Beispiel 81
  • N'-[3S-tert-Butoxy-4-(N-hydroxyamino)-2R-(2-naphthylmethyl)succinyl]-S-tert-leucinamid
    Figure 00860002
  • Hergestellt analog zu Beispiel 34.
    MS (ES+ve) M+H=458, M+Na=480
    1H NMR (DMSO-d6): 0,90 (9H, s), 1,12 (9H, s), 2,73 (1H, dd, J=14, 3,5 Hz), 2,90 (1H, dd, J=14, 11 Hz), 3,04 (1H, m), 3,99 (1H, d, J=9,5 Hz), 4,01 (1H, d, J=9 Hz), 6,63 (1H, br, s), 6,83 (1H, br s), 7,26 (1H, dd, J=8,5, 1,5 Hz), 7,43 (2H, m), 7,55 (1H, d, J=9 Hz), 7,59 (1H, s), 7,74 (1H, d, J=8,5 Hz), 7,81 (2H, m), 8,95 (1H, br, s), 10,71 (1H, br.s).
  • Beispiel 82 (nur Referenz)
  • N'-[4-(N-Hydroxyamino)-3S-(1,2,4-oxadiazol-3-yl)methoxy)-2R-(2-naphthylmethyl)-succinyl]-S-tert-leucinmethylamid
    Figure 00870001
    • MS (ES+ve) M+Na=520, M+H=498
    • MS (ES-ve) M-H=496
    • 1H NMR (DMSO-d6): 0,70 (9H, s), 2,04 (3H, d, J=4,5 Hz), 2,67 (1H, m), 2,84 (1H, dd, J=11,2, 13,6 Hz), 3,36 (1H, m), 3,98 (1H, d, J=9,5 Hz), 4,04 (1H d, J=10,9 Hz), 4,48 (1H, d, J=12,3 Hz), 4,63 (1H, d, J=12,3 Hz), 6,99 (1H, q, J=4,4 Hz), 7,24 (1H, d, J=8,4 Hz), 7,44 (2H, m), 7,57 (1H, s), 7,63 (1H, d, J=8,5 Hz), 7,73 (1H, d, J=8,5 Hz), 7,78 (1H, d, J=8,3 Hz), 7,84 (1H, d, J=8,3 Hz), 9,20 (1H, s), 9,58 (1H, s), 11,05 (1H, s).
  • Beispiel 83 (nur Referenz)
  • N'-[4-(N-Hydroxyamino)-3S-(2-thiazolylmethoxy)-2R-(2-naphthylmethyl)succinyl]-S-tertleucinmethylamid
    Figure 00870002
    • MS (ES+ve) M+Na=535, M+H=512
    • MS(ES-ve) M-H=511
    • 1H NMR (DMSO-d6): 0,74 (9H, s), 2,04 (3H, d, J=4,5 Hz), 2,70 (1H, m), 2,84 (1H, t, J=13,5 Hz), 3,36 (1H, m), 4,01 (1H, d, J=9,4 Hz), 4,07 (1H, d, J=9,8 Hz), 4,65 (1H, d, J=12,9 Hz), 4,77 (1H, d, J=12,8 Hz), 7,04 (1H, d, J=4,7 Hz), 7,27 (1H, d, J=8,4 Hz), 7,44 (2H, m), 7,58 (1H, s), 7,74 (4H, m), 7,78 (1H, d, J=8,3 Hz), 7,83 (1H, d, J=8,3 Hz), 9,20 (1H, s), 11,05 (1H, s).
  • Beispiel 84
  • N'-[2R-(4-Benzocycloheptyl)methyl-4-(N-hydroxyamino)-3S-(propoxy)succinyl]-S-tert-leucinmethylamid
    Figure 00880001
    • MS (ES+ve) M+H=476, M+Na=498
    • MS (ES-ve) M-H=474
    • 1H NMR (DMSO-d6): 0,79 (3H, t, J=7,3 Hz), 0,93 (9H, s), 1,32-1,45 (3H, m), 1,70 (1H, m), 2,05 (1H, m), 2,45-2,56 (4H, m), 2,58-2,67 (7H, m), 2,91 (1H, m), 3,11 (1H, m), 3,26 (1H, m), 3,59 (1H, d, J=9,6 Hz), 4,24 (1H, d, J=9,5 Hz), 7,04 (4H, m), 7,76 (1H, d, J=9,5 Hz), 7,82 (1H, d, J=4,5 Hz), 8,97 (1H, s), 10,72 (1H, s).
  • Beispiel 85
  • N'-[2R-(3-Benzocyclopentyl)methyl-4-(N-hydroxyamino)-3S-(propoxy)succinyl]-S-tert-leucinmethylamid
    Figure 00880002
    • MS (ES+ve) M+H=448, M+Na=470
    • MS (ES-ve) M-H=446
    • 1H NMR (DMSO-d6): 0,79 (3H, t, J=7,4 Hz), 0,92 (9H, s), 1,25 (1H, m), 1,42 (2H, m), 1,56 (1H, m), 2,20 (1H, m), 2,34 (1H, m), 2,50 (4H, m), 2,88 (2H, m), 3,00 (1H, m), 3,13 (1H, m), 3,27 (1H, m), 3,63, (1H, d, J=9,8 Hz), 4,23 (1H, d, J=9,5 Hz), 7,06 (3H, m), 7,14 (1H, d, J=3,6 Hz), 7,83 (2H, m), 9,00 (1H, s), 10,78 (1H, s).
  • Beispiel 86
  • N'-[2R-(3-Benzocyclopentyl)methyl-4-(4-hydroxyamino)-3S-(propoxy)succinyl]-S-tert-leucinmethoxyamid
    Figure 00890001
    • MS (ES+ve) M+H=464, M+Na=486
    • MS (ES-ve) M-H=462
    • 1H NMR (DMSO-d6): 0,78 (3H, t, J=7,4 Hz), 0,94 (9H, s), 1,23 (1H, m), 1,41 (2H, m), 1,55 (1H, m), 2,20 (1H, m), 2,36 (1H, m), 2,47 (1H, m), 2,88 (1H, m), 2,93-3,08 (2H, m), 3,12 (1H, m), 3,26 (1H, m), 3,45 (3H, s), 3,63 (1H, d, J=9,9 Hz), 4,09 (1H, d, J=9,4 Hz), 7,05 (3H, m), 7,14 (1H, m), 8,01 (1H, d, J=9,4 Hz), 9,00 (1H, s), 10,79 (1H, s), 11,23 (1H, s).
  • Beispiel 87
  • N'-[3S-(Allyloxy)-4-(N-hydroxyamino)-2R-(2-naphthylmethyl)succinyl]-S-(S-(4-methoxybenzyl)penicillamid
    Figure 00890002
    • MS (ES+ve) M+H=580, M+Na=602
    • MS (ES-ve) M-H=578
    • 1H NMR (DMSO-d6): 1,28 (3H, s), 1,29 (3H, s), 2,67 (2H, m), 2,95 (1H, m), 3,24 (1H, m), 3,68-3,86 (6H, m), 3,95 (1H, m), 4,49 (1H, d, J=9,4 Hz), 5,07 (1H, dd, J=1,6 Hz, 10,5 Hz), 5,20 (1H, dd, J=1,7 Hz, 17,4 Hz), 5,78 (1H, m), 6,82 (2H, d, J=8,7 Hz), 6,93 (1H, s), 7,21 (2H, d, J=8,6 Hz), 7,27 (1H, d, J=8,7 Hz), 7,34 (1H, s), 7,45 (2H, m), 7,60 (1H, s), 7,74 (1H, d, J=8,5 Hz), 7,81 (2H, t, J=8,4 Hz), 7,90 (1H, d, J=8,7 Hz), 9,10 (1H, s), 10,95 (1H, s).
  • Beispiel 88 (nur Referenz)
  • N'-[4-(N-Hydroxyamino)-2R-(2-naphthylmethyl)-3S-(2-isopropoxyethoxy)succinyl]-S-tert-leucinethylamid
    Figure 00900001
  • a) N'-[4-tert-Butoxy-2R-(2-naphthylmethyl)-3S-(2-isopropoxyethoxy)succinyl]-S-tert-leucinethylamid
    Figure 00900002
  • Zu einer Lösung von N'-[4-tert-Butoxy-3S-(2-hydroxyethoxy)-2R-(2-naphthylmethyl)succinyl]-S-tert-leucin-N-ethylamid (220 mg, 0,428 mmol) und Protonenschwamm (128 mg, 0,600 mmol) in Dichlormethan (2 ml) wurde Methyltriisopropoxyphosphoniumtetrafluoroborat (155 mg, 0,566 mmol) zugegeben. Nach 3 Tage langem Rühren bei Raumtemperatur wurden weitere Mengen an Protonenschwamm (128 mg) und Methyltriisopropoxyphosphoniumtetrafluoroborat (155 mg) zugegeben, und das Gemisch wurde vor der Zugabe weiterer Mengen an Protonenschwamm (128 mg) und Methyltriisopropoxyphosphoniumtetrafluoroborat (155 mg) weitere 24 Std. lang gerührt. Nach weiteren 48 Std. Rühren wurden Ethylacetat und 2N HCl zugegeben, und das Produkt wurde in Ethylacetat extrahiert. Die Extrakte wurden mit Natriumbicarbonatlösung und Salzlösung gewaschen und dann getrocknet (MgSO4) und aufkonzentriert. Das Produkt wurde über Kieselgel chromatographiert (Elution mit Ethylacetat/Hexan), um das Produkt als ein Gummi zu ergeben (141 mg, 59 % Ausbeute).
    MS (ES+ve) M+H=557, M+Na=579
    1H NMR (DMSO-d6): 0,77 (3H, t, J=7,5 Hz), 0,86 (9H, s), 1,07 (3H, d, J=6,0 Hz), 1,08 (3H, d, J=6,0 Hz), 1,44 (9H, s), 2,71-2,83 (3H, m), 2,97 (1H, dd, J=10,0, 14,0 Hz), 3,22 (1H, m), 3,26-3,48 (3H, m), 3,53-3,62 (2H, m), 3,85 (1H, d, J=8,0 Hz), 4,09 (1H, d, J=9,5 Hz), 7,31 (1H, dd, J=1,5, 8,5, Hz), 7,40-7,51 (3H, m), 7,63 (1H, s), 7,70 (1H, d, J=9,5 Hz), 7,75 (1H, d, J=8,5 Hz), 7,76-7,85 (2H, m).
  • b) N'-[4-(N-Hydroxyamino)-2R-(2-naphthylmethyl)-3S-(2-isopropoxyethoxy)succinyl]-S-tert-leucinethylamid
    Figure 00910001
  • Der tert-Butylester wurde mit TFA entfernt, und die so erhaltene Carbonsäure wurde wie vorstehend zu der Hydroxamsäure umgewandelt, um die in der Überschrift genannte Verbindung zu ergeben.
    MS (ES-ve) M-H=514
    MS (ES+ve) M+H=516
    1H NMR (DMSO-d6): 0,68 (3H, t, J=7,0 Hz), 0,85 (9H, s), 1,06 (6H, d, J=6,0 Hz), 2,50-2,75 (3H, m, teilweise verdeckt), 2,85 (1H, m), 3,24 (1H, m), 3,39 (3H, m), 3,45-3,55 (2H, m), 3,80 (1H, d, J=9,5 Hz), 4,03 (1H, d, J=9,5 Hz), 7,26 (2H, m), 7,43 (2H, m), 7,58 (2H, m), 7,72 (1H, d, J=8,5 Hz), 7,75-7,85 (2H, m), 9,09 (1H, s), 10,84 (1H, s).
  • Beispiel 89
  • N'-[4-(N-Hydroxyamino)-3S-propoxy-2R-[(3R,S-chroman-3-yl)methyl]succinyl]-S-tert-leucinmethylamid
    Figure 00910002
    • MS (ES+ve) M+H=464
    • 1H NMR (DMSO-d6): 0,79 (3H, m), 0,91 (9H, s), 1,08 (1H, m), 1,40 (3H, m), 1,77 (1H, m), 2,30 (1H, m), 2,39 (1,5H, d), 2,49 (1,5H, d, verdeckt durch DMSO), 2,68 (0,5H, m), 2,98 (1,5H, m), 3,13 (1H, m), 3,28 (1H, m), 3,61 (1,5H, m), 4,01 (0,5H, br.d), 4,19 (2H, m), 6,66 (1H, m), 6,78 (1H, m), 7,00 (2H, m), 7,65 (0,5H, m), 7,76 (0,5H, m), 7,91 (0,5H, d), 7,99 (0,5H, d), 9,02 (1H, s), 10,80 (1H, s).
  • Beispiel 90
  • N'-[4-(N-Hydroxyamino)-2R-(2-naphthylmethyl)-3S-(propoxy)succinyl]-S-tert-leucinphenoxyamid
    Figure 00920001
    • MS (ES-ve) M-H=534
    • 1H NMR (DMSO-d6): 0,84 (3H, t, J=7,4 Hz), 0,95 (9H, s), 1,46 (2H, m), 2,66 (1H, m), 2,96 (1H, m), 3,20 (1H, m), 3,34 (2H, m), 3,78 (1H, d, J=9,6 Hz), 4,22 (1H, d, J=8,8 Hz), 6,88 (2H, d, J=8,0 Hz), 6,95 (1H, m), 7,16, (2H, t, J=7,8 Hz), 7,26 (1H, d, J=8,4 Hz), 7,40 (2H, m), 7,58 (1H, s), 7,68 (2H, m), 7,80 (1H, m), 8,01 (1H, d, J=9,5 Hz), 9,10 (1H, s), 10,92 (1H, s), 11,92 (1H, s).
  • Beispiel 91
  • N'-[4-(N-Hydroxyamino)-3S-propoxy-2R-(2-naphthylmethyl)succinyl]-S-tert-leucin-N-ethoxyamid
    Figure 00920002
    • MS (ES+ve) M+H=488
    • 1H NMR (DMSO-d6): 0,83 (15H, m), 1,44 (2H, m), 2,63 (1H, dd, J=3,5, 13,5 Hz), 2,84 (1H, dd, J=11, 13,5 Hz), 3,25 (5H, m), 3,77 (1H, d, J=6,5 Hz), 3,98 (1H, d, J=9,5 Hz), 7,26 (1H, dd, 1,0, 8,5 Hz), 7,42 (2H, m), 7,70 (1H, s), 7,75 (4H, m), 9,09 (1H, s), 10,78 (1H, s), 10,88 (1H, s).
  • Beispiel 92
  • N'-[4-(N-Hydroxyamino)-3S-propoxy-2R-(2-naphthylmethyl)succinyl]-S-tert-leucin-N-isopropyloxyamid
    Figure 00930001
    • MS (ES+ve) M+H=502
    • 1H NMR (DMSO-d6): 0,85 (18H, m), 1,45 (2H, m), 2,64 (1H, dd, J=3, 13,5 Hz), 2,87 (1H, dd, J=11, 13,5 Hz), 3,19 (1H, m), 3,30 (2H, m), 3,48 (1H, m), 3,76 (1H, d, J=9,5 Hz), 4,03 (1H, d, J=9,5 Hz), 7,26 (1H, dd, J=1,5, 8,4 Hz), 7,42 (2H, m), 7,57 (1H, s), 7,76 (4H, m), 9,09 (1H, s), 10,63 (1H, s), 10,90 (1H, s).
  • Beispiel 93
  • N'-[4-(N-Hydroxyamino)-2R-(2-naphthylmethyl)-3S-propoxysuccinyl]-S-tert-leucin-N,N-dimethylhydrazid
    Figure 00930002
    • MS (ES+ve) M+H=487 MS(ES-ve) M-H=485, M+TFA=599
    • 1H NMR (DMSO-d6): 0,81 (3H, t, J=7,4 Hz), 0,85 (9H, s), 1,45 (2H, m), 2,21 (6H, s), 2,66 (1H, m), 2,84 (1H, s), 3,19 (1H, m), 3,32 (2H, m), 3,76 (1H, d, J=9,6 Hz), 3,99 (1H, d, J=9,3 Hz), 7,26 (1H, d, J=8,4 Hz), 7,43 (3H, m), 7,56 (1H, s), 7,70 (2H, m), 7,78 (2H, m), 9,22 (1H, s), 10,88 (1H, s).
  • Beispiel 94
  • N'-[3S-tert-Butoxy-4-(N-hydroxyamino)-2R-(2-naphthylmethyl)succinyl]-S-tert-leucincyclopropylamid
    Figure 00940001
  • Das in der Überschrift genannte Produkt wurde wie vorstehend (zum Beispiel in Beispiel 80) beschrieben hergestellt und aus Et2O/EtOAc/MeOH kristallisiert, um einen cremefarbenen Feststoff zu ergeben, 0,276 g (76 %).
    MS (ES+ve) M+H=498, M+Na=520.
    1H NMR (DMSO-d6): 0,05 (2H, m), 0,38 (2H, m), 0,83 (9H, s), 1,12 (9H, s), 2,10 (1H, m), 2,70 (1H, dd, J=14, 3,5 Hz), 2,84 (1H, dd, J=14, 11 Hz), 3,05 (1H, m), 3,94 (1H, d, J=9,0 Hz), 4,01 (1H, d, J=9,0 Hz), 7,24 (1H, dd, J=8,5, 1,5 Hz), 7,38-7,47 (4H, m), 7,55 (1H, s), 7,73 (1H, d, J=8,5 Hz), 7,80 (2H, m), 8,94 (1H, br.s), 10,69 (1H, br.s).
  • Beispiel 95
  • N'-[4-(N-Hydroxyamino)-3S-propoxy-2R-(2R,S-(1,2,3,4-tetrahydronaphthyl)methyl)succinyl]-S-tert-leucinmethoxyamid
    Figure 00940002
  • Das in der Überschrift genannte Produkt wurde analog zu den Beispielen 10 und 65 aus Diethyl(2R,3S)-3-hydroxy-2-[(R/S)-1-(1,2,3,4-tetrahydronaphthalin-2-yl)methyl]succinat hergestellt und das Endprodukt mit Et2O verrieben, um einen blass gelben Feststoff zu ergeben, 0,396 g (83 %).
    MS (ES+ve) M+H=478, M+Na=500.
  • Beispiel 96
  • N'-[4-(N-Hydroxyamino)-3S-isopropoxy-2R-(2-naphthylmethyl)succinyl]-S-tert-leucinmethoxyamid
    Figure 00950001
  • Das in der Überschrift genannte Produkt wurde analog zu Beispiel 65 hergestellt (wobei N-[4-tert-Butoxy-3S-hydroxy-2R-(2-naphthylmethyl)succinyl]-S-tert-leucinbenzylester mit iPrOTf alkyliert und das Endprodukt mit Et2O/EtOAc verrieben wurde), um einen cremefarbenen Feststoff zu ergeben, 0,321 g (69 %).
    MS (ES+ve) M+H=474, M+Na=496.
    1H NMR (DMSO-d6): 0,86 (9H, s), 1,00 (3H, d, J=6 Hz), 1,04 (3H, d, J=6 Hz), 2,64 (1H, dd, J=14, 3,5 Hz), 2,86 (1H, dd, J=14, 11 Hz), 3,12 (3H, s), 3,22 (1H, m), 3,51 (1H, m), 3,89 (1H, d, J=9,5 Hz), 3,96 (1H, d, J=9,5 Hz), 7,27 (1H, dd, J=8,5, 1,5 Hz), 7,41 (3H, m), 7,56 (1H, s), 7,71 (2H, m), 7,78 (2H, sichtbares d, J=9 Hz), 9,08 (1H, s), 10,89 (1H, s), 10,92 (1H, s).
  • Beispiel 97
  • N'-[4-(N-Hydroxyamino)-3S-propoxy-2R-(2-naphthylmethyl)succinyl]-S-tert-leucin-N-tertbutoxyamid
    Figure 00950002
    • MS (ES+ve) M+H=516
    • 1H NMR (DMSO-d6): 0,82 (3H, t, J=7,5 Hz), 0,86 (9H, s), 0,87 (9H, s), 1,45 (2H, m), 2,62 (1H, dd, J=3,5, 13,5 Hz), 2,90 (11H, dd, J=11, 13,5 Hz), 3,26 (3H, m), 3,75 (1H, d, J=9,5 Hz), 4,12 (1H, d, J=9,5 Hz), 7,24 (1H, m), 7,41 (2H, m), 7,55 (1H, s), 7,71 (2H, m), 7,78 (2H, m), 9,08 (1H, s), 10,14 (1H, s), 10,89 (1H, s).
  • Beispiel 98
  • N'-[3S-tert-Butoxy-4-(N-hydroxyamino)-2R-(2R,S-(1,2,3,4-tetrahydronaphthyl)methyl)succinyl]-S-tert-leucinamid
    Figure 00960001
  • Das in der Überschrift genannte Produkt wurde analog zu den Beispielen 10 und 81 aus Diethyl-(2R,3S)-3-hydroxy-2-[(R,S)-1-(1,2,3,4-tetrahydronaphthalin-2-yl)methyl]succinat hergestellt.
    MS (ES+ve) M+H=462, M+Na=484.
  • Beispiel 99
  • N'-[4-(N-Hydroxyamino)-2R-(5-methylbenzo[6]thiophen)-3S-propoxysuccinyl]-N-methyl-S-tert-leucinamid
    Figure 00960002
  • Eine Lösung von N'-[4-Hydroxy-2R-(5-methylbenzo[6]thiophen)-3S-propoxysuccinyl]-N-methyl-S-tert-leucinamid (60 mg, 0,13 mmol) in wasserfreiem DMF (5 ml) wurde nacheinander mit HOAT (36 mg, 0,27 mmol) und EDC (51 mg, 0,27 mmol) behandelt, und die Reaktionslösung wurde bei Raumtemperatur 0,25 Std. lang gerührt. Hydroxylaminhydrochlorid (28 mg, 0,40 mmol) und N-Methylmorpholin (0,04 ml, 0,40 mmol) wurden dann zugegeben, und die Reaktionslösung wurde 3 Std. lang bei Raumtemperatur gerührt. Die Reaktionslösung wurde zur Trockene verdampft, und der Rückstand wurde zwischen Ethylacetat und Wasser ausgeschüttelt. Die Phasen wurden getrennt, und die organische Phase wurde mit weiterem Wasser und gesättigter Natriumbicarbonatlösung und mit Salzlösung gewaschen und über Magnesiumsulfat getrocknet. Die organische Phase wurde dann verdampft und mit Diethylether verrieben, um die Hydroxamsäure als einen weißen Feststoff zu ergeben (15 mg, 24 %).
    MS (ES+ve) [M-H]+=463
    1H NMR (DMSO-d6): 0,89 (9H, s), 0,91 (3H, t, J=7,0 Hz), 1,57 (2H, m), 2,24 (3H, d, J=4,9 Hz), 2,82 (2H, m), 3,07 (11H, m), 3,31 (2H, m), 3,84 (1H, d, J=9,2 Hz), 4,05 (1H, s), 7,14 (1H, d, J=5,3 Hz), 7,22 (1H, q, J=5,6 Hz), 7,27 (1H, d, J=3,4 Hz), 7,50 (1H, d, J=3,4 Hz), 7,53 (1H, t, J=6,0 Hz), 7,59 (1H, s), 7,75 (1H, d, J=5,3 Hz), 9,11 (1H, s), 10,96 (1H, s).
  • Beispiel 100 (nur Referenz)
  • N'-[4-(N-Hydroxyamino)-3S-cyclohexyloxy-2R-(2-naphthylmethyl)succinyl]-S-tert-leucin-N-methoxyamid
    Figure 00970001
    • MS (ES+ve) M+H=514
    • 1H NMR (DMSO-d6): 0,86 (9H, s), 1,00-1,22 (5H, m), 1,45 (1H, m), 1,63 (2H, m), 1,76 (1H, m), 1,87 (1H, m), 2,67 (1H, J=3,5,13,5 Hz), 2,85 (1H, dd, J=13,5, 11 Hz), 3,13 (3H, s), 3,21 (2H, m), 3,95 (2H, m), 7,28 (1H, m), 7,41 (2H, m), 7,56 (1H, s), 7,72 (2H, m), 7,78 (2H, m), 9,07 (1H, s), 10,84 (1H, s), 10,90 (1H, s).

Claims (9)

  1. Verbindung der Formel (I):
    Figure 00980001
    wobei: R Methyl bedeutet, das mit einem bis drei Resten, ausgewählt aus Alkyl, Aryl, Alkenyl und Alkinyl, substituiert ist; n die Bedeutung 0 or 1 hat; R1 Arylmethyl oder Heterocyclylmethyl bedeutet; R2 Alkyl, Alkenyl, Aryl, Cycloalkyl oder Cycloalkenyl bedeutet; und R3 Wasserstoff, Alkyl, Alkenyl, Alkinyl oder Aryl bedeutet.
  2. Verbindung gemäß Anspruch 1, wobei R Allyl, Propyl, Ethyl oder Isopropyl bedeutet, und/oder R1 die Bedeutung 1- oder 2-Naphthylmethyl hat; und/oder R2 die Bedeutung t-Butyl hat; und/oder R3 Wasserstoff oder Methyl bedeutet.
  3. Verbindung gemäß Anspruch 1, wobei n die Bedeutung 1 oder 0 hat, R ausgewählt ist aus Allyl, Propyl, Ethyl, Hexyl, 4-Fluorbenzyl, Benzoyl, N,N-Dimethylacetamid, N-t-Butylacetamid, N-Phenylcarbamoyl, N-Methyl-N-phenylcarbamoyl, Cyclohexyl, 3-Phenylpropyl, Cyclohexylcarbonyl, t-Butylcarbonyl, 2-Methylpropyl, t-Butyl und Isopropyl; R1 ausgewählt ist aus 2-Naphthylmethyl, 2-(7-Fluor)naphthylmethyl, 2-(6-Fluor)naphthylmethyl, 2-Chinolinylmethyl, 2-Benzothiophenylmethyl, 2-(1,2,3,4-Tetrahydro)naphthylmethyl, (4-Benzocycloheptyl)methyl, (3-Benzocyclopentyl)methyl, 3-Chromanylmethyl, und 5-Methylbenzo[6]thiophenyl); R2 ausgewählt ist aus t-Butyl, 2-(2-Methyl)N-methylpentylamin, N,N-Dimethylbutylamin und 1-Methyl-1-(4-methoxybenzylsulfanyl)ethyl; und R3 ausgewählt ist aus Wasserstoff, Methyl, Ethyl, N,N-Dimethylaminoeth-2-yl, Isopropyl, 2,2,2-Trifluorethyl, Cyclopropyl, Phenyl, Dimethylamino, und t-Butyl.
  4. Verbindung gemäß Anspruch 1, ausgewählt aus N'-[3S-(Allyloxy)-4-(N-hydroxyamino)-2R-(2-naphthylmethyl)succinyl]-S-tert-leucinamid, N'-[3S-(Allyloxy)-4-(N-hydroxyamino)-2R-(2-naphthylmethyl)succinyl]-S-tert-leucinmethylamid, N'-[4-(N-Hydroxyamino)-2R-(2-naphthylmethyl)-3S-(propyloxy)succinyl]-S-tert-leucinmethylamid, N'-[4-(N-Hydroxyamino)-2R-(2-naphthylmethyl)-3S-(propyloxy)succinyl]-S-tert-leucinamid, N'-[3S-(Allyloxy)-4-(N-hydroxyamino)-2R-(2-(7-fluor)naphthylmethyl)succinyl]-S-tert-leucinamid, N'-[3S-(Ethoxy)-4-(N-hydroxyamino)-2R-(2-(7-fluor)naphthylmethyl)succinyl]-S-tert-leucinamid, N'-[4-(N-Hydroxyamino)-2R-(2-(7-fluor)naphthylmethyl)-3S-(propyloxy)succinyl]-S-tert-leucinamid, N'-[3S-(Ethoxy)-4-(N-hydroxyamino)-2R-(2-naphthylmethyl)succinyl]-S-tert-leucinamid, N'-[4-(N-Hydroxyamino)-2R-(2-naphthylmethyl)-3S-(propyloxy)succinyl]-S-(β,β-dimethyl-Nε-methyllysinamid), TFA Salz, N'-[4-(N-Hydroxyamino)-2R-(2-(6-fluor)naphthylmethyl)-3S-(propyloxy)succinyl]-S-tert-leucinamid, N'-[3S-(Allyloxy)-4-(N-hydroxyamino)-2R-(2-(6-fluor)naphthylmethyl)succinyl]-S-tert- leucinamid, N'-[3S-(Hexyloxy)-4-(N-hydroxyamino)-2R-(2-(6-fluor)naphthylmethyl)succinyl]-S-tert-leucinamid, N'-[3S-((4-Fluor)benzyloxy)-4-(N-hydroxyamino)-2R-(2-naphthylmethyl)succinyl]-S-tert-leucinamid, N'-[3S-((4-Fluor)benzyloxy)-4-(N-hydroxyamino)-2R-(2-(6-fluor)naphthylmethyl)succinyl]-S-tert-leucinamid, N'-[3S-Benzoyloxy-4-(N-hydroxyamino)-2R-(2-naphthylmethyl)succinyl]-S-tert-leucinamid, N'-[3S-(2-(N,N-Dimethylacetamidoxy))-4-(N-hydroxyamino)-2R-(2-naphthylmethyl)succinyl]-S-tert-leucinamid, N'-[3S-Benzoyloxy-4-(N-hydroxyamino)-2R-(2-naphthylmethyl)succinyl]-S-tert-leucinamid, N'-[3S-(2-(N,N-Dimethylacetamidoxy))-4-(N-hydroxyamino)-2R-(2-naphthylmethyl)succinyl]-S-tert-leucinamid, N'-[3S-(2-(N-t-Butylacetamidoxy))-4-(N-hydroxyamino)-2R-(2-naphthylmethyl)succinyl]-S-tert-leucinamid, N'-[4-(N-Hydroxyamino)-2R-(2-naphthylmethyl)-3S-(N-phenylcarbamoyloxy)-succinyl]-S-tert-leucinamid, N'-[4-(N-Hydroxyamino)-3S-(N-methyl-N-phenylcarbamoyloxy)-2R-(2-naphthylmethyl)succinyl]-S-tert-leucinamid, N'-[3S-(Cyclohexyloxy)-4-(N-hydroxyamino)-2R-(2-naphthylmethyl)succinyl]-S-tert-leucinamid, N'-[3S-(Cyclohexyloxy)-4-(N-hydroxyamino)-2R-(2-naphthylmethyl)succinyl]-S-tert-leucinethylamid, N'-[3S-(Ethoxy)-4-(N-hydroxyamino)-2R-(2-naphthylmethyl)succinyl]-S-tert-leucinmethylamid, N'-[4-(N-Hydroxyamino)-2R-(2-naphthylmethyl)-3S-((3-phenyl)propyloxy)succinyl]-S-tert-leucinamid, N'-[4-(N-Hydroxyamino)-2R-(2-naphthylmethyl)-3S-(thiazol-2-yl-methoxy)succinyl]-S-tert-leucinamid, N'-[3S-(Cyclohexylcarbonyloxy)-4-(N-hydroxyamino)-2R-(2-naphthylmethyl)-succinyl]-S-tert-leucinamid, N'-[3S-(t-Butylcarbonyloxy)-4-(N-hydroxyamino)-2R-(2-naphthylmethyl)succinyl]-S-tert-leucinamid, N'-[3S-Benzoyloxy-4-(N-hydroxyamino)-2R-(2-naphthylmethyl)succinyl]-S-tert-leucinamid, N'-[3S-(Ethoxy)-4-(N-hydroxyamino)-2R-(2-chinolinylmethyl)succinyl]-S-tert-leucinmethylamid, N'-[3S-(Ethoxy)-4-(N-hydroxyamino)-2R-(2-naphthylmethyl)succinyl]-S-tert-leucinethylamid, N'-[4-(N-Hydroxyamino)-2R-(2-naphthylmethyl)-3S-(2-methylpropoxy)succinyl]-S-tert-leucinmethylamid, N'-[4-(N-Hydroxyamino)-2R-(2-naphthylmethyl)-3S-propoxysuccinyl]-S-tert-leucinethylamid, N'-[3S-tert-Butoxy-4-(N-hydroxyamino)-2R-(2-naphthylmethyl)succinyl]-S-tert-leucinmethylamid, N'-[3S-tert-Butoxy-4-(N-hydroxyamino)-2R-(2-naphthylmethyl)succinyl]-S-tert-leucinethylamid, N'-[3S-Ethoxy-4-(N-hydroxyamino)-2R-(2-benzothiophenylmethyl)succinyl]-S-tert-leucinmethylamid, N'-[4-(N-Hydroxyamino)-3S-ethoxy-2R-(2-naphthylmethyl)succinyl]-S-(N,N-dimethyllysin)methylamid, N'-[4-(N-Hydroxyamino)-3S-propoxy-2R-(2-naphthylmethyl)succinyl]-S-(N,N-dimethylβ,β-dimethyllysin)ethylamid, N'-[4-(N-Hydroxyamino)-3S-ethoxy-2R-(2-naphthylmethyl)succinyl]-S-tert-leucin-t-butylamid, N'-[4-(N-Hydroxyamino)-3S-allyloxy-2R-(2-naphthylmethyl)succinyl]-S-tert-leucin-t-butylamid, N'-[4-(N-Hydroxyamino)-3S-propoxy-2R-(2-naphthylmethyl)succinyl]-S-tert-leucin-t-butylamid, N'-[4-(N-Hydroxyamino)-3S-allyloxy-2R-(2-naphthylmethyl)succinyl]-S-tert-leucinbenzylester, N'-[4-(N-Hydroxyamino)-3S-propoxy-2R-(2-naphthylmethyl)succinyl]-S-tert-leucinmethoxyamid, N'-[4-(N-Hydroxyamino)-3S-propoxy-2R-(2-naphthylmethyl)succinyl]-S-tert-leucin(N,N- dimethylaminoeth-2-yl)amid, N'-[4-(N-Hydroxyamino)-3S-propoxy-2R-(2-naphthylmethyl)succinyl]-R-tert-leucin(N,N-dimethylaminoeth-2-yl)amid, N'-[4-(N-Hydroxyamino)-3S-ethoxy-2R-(2-naphthylmethyl)succinyl]-S-(O-benzyl)tert-leucinol, N'-[4-(N-Hydroxyamino)-3S-propoxy-2R-[5-1-(1,2,3,4-tetrahydronaphthalen-2-yl)methyl)succinyl]-S-tert-leucinmethylamid, N'-[3S-(Ethoxy)-4-(N-hydroxyamino)-2R-(2-chinolinylmethyl)succinyl]-S-tert-leucinethylamid, N'-[4-(N-Hydroxyamino)-3S-(propoxy)-2R-(2-chinolinylmethyl)succinyl]-S-tert-leucinethylamid, N'-[3S-(Ethoxy)-2R-(2-(6-fluor-)naphthylmethyl)-4-(N-hydroxyamino)succinyl]-S-tert-leucinethylamid, N'-[4-(N-Hydroxyamino)-3S-allyloxy-2R-(2-naphthylmethyl)succinyl]-S-tert-leucinmethylester, N'-[4-(N-Hydroxyamino)-2R-(2-naphthylmethyl)-3S-propoxysuccinyl]-S-tert-leucinisopropylamid, N'-[3S-Ethoxy-4-(N-hydroxyamino)-2R-(2-naphthylmethyl)succinyl]-S-tert-leucinisopropylamid, N'-[3S-Ethoxy-4-(N-hydroxyamino)-2R-(2-naphthylmethyl)succinyl]-S-tert-leucin(2,2,2-trifluorethyl)amid, N'-[3S-Ethoxy-4-(N-hydroxyamino)-2R-(2-naphthylmethyl)succinyl]-S-tert-leucin(2,2,2-trifluorethyl)amid, N'-[4-(N-Hydroxyamino)-3S-propoxy-2R-[S oder R-1-(1,2,3,4-tetrahydronaphthalen-2-yl)methyl)succinyl]-S-tert-leucinamid, N'-[2R-(2-(6-Fluornaphthyl)methyl)-4-(N-hydroxyamino)-3S-propoxysuccinyl]-S-tert-leucinethylamid, N'-[3S-tert-Butoxy-4-(N-hydroxyamino)-2R-(2-naphthylmethyl)succinyl]-S-tert-leucinamid, N'-[2R-(4-Benzocycloheptyl)methyl-4-(N-hydroxyamino)-3S-(propoxy)succinyl]-S-tert-leucinmethylamid, N'-[2R-(3-Benzocyclopentyl)methyl-4-(N-hydroxyamino)-3S-(propoxy)succinyl]-S-tert-leucinmethylamid, N'-[2R-(3-Benzocyclopentyl)methyl-4-(N-hydroxyamino)-3S-(propoxy)succinyl]-S-tert-leucinmethoxyamid, N'-[3S-(Allyloxy)-4-(N-hydroxyamino)-2R-(2-naphthylmethyl)succinyl]-S-(S-(4-methoxybenzyl)penicillamid, N'-[4-(N-Hydroxyamino)-3S-propoxy-2R-[(3R,S-chroman-3-yl)methyl]succinyl]-S-tert-leucinmethylamid, N'-[4-(N-Hydroxyamino)-2R-(2-naphthylmethyl)-3S-(propoxy)succinyl]-S-tert-leucinphenoxyamid, N'-[4-(N-Hydroxyamino)-3S-propoxy-2R-(2-naphthylmethyl)succinyl]-S-tert-leucin-N-ethoxyamid, N'-[4-(N-Hydroxyamino)-3S-propoxy-2R-(2-naphthylmethyl)succinyl]-S-tert-leucin-N-isopropyloxyamid, N'-[4-(N-Hydroxyamino)-2R-(2-naphthylmethyl)-3S-propoxysuccinyl]-S-tert-leucin-N,N-dimethylhydrazid, N'-[3S-tert-Butoxy-4-(N-hydroxyamino)-2R-(2-naphthylmethyl)succinyl]-S-tert-leucincyclopropylamid, N'-[4-(N-Hydroxyamino)-3S-propoxy-2R-(2R,S-(1,2,3,4-tetrahydronaphthyl)-methyl)succinyl]-S-tert-leucinmethoxyamid, N'-[4-(N-Hydroxyamino)-3S-isopropoxy-2R-(2-naphthylmethyl)succinyl]-S-tert-leucinmethoxyamid, N'-[4-(N-Hydroxyamino)-3S-propoxy-2R-(2-naphthylmethyl)succinyl]-S-tert-leucin-N-tert-butoxyamid, N'-[3S-tert-Butoxy-4-(N-hydroxyamino)-2R-(2R,S-(1,2,3,4-tetrahydronaphthyl)methyl)succinyl]-S-tert-leucinamid, und N'-[4-(N-Hydroxyamino)-2R-(5-methylbenzo[6]thiophen)-3S-propoxysuccinyl]-N-methyl-S-tert-leucinamid.
  5. Verbindung gemäß Anspruch 1 oder 2, die eine Verbindung der Formel (IA) ist:
    Figure 01030001
  6. Verwendung einer Verbindung gemäß einem der vorangegangenen Ansprüche zur Herstellung eines Medikaments zur Behandlung oder Prophylaxe von Störungen, wie zum Beispiel Allergie, entzündlich-bedingte Störungen und Autoimmunkrankheit, wobei eine Überproduktion von s-CD23 impliziert ist.
  7. Arzneimittel zur Behandlung oder Prophylaxe von Störungen, wie zum Beispiel Allergie, entzündlich-bedingte Störungen und Autoimmunkrankheit, wobei eine Überproduktion von s-CD23 impliziert ist, das eine Verbindung gemäß einem der Ansprüche 1 bis 5 und gegebenenfalls einen pharmazeutisch verträglichen Träger dafür umfasst.
  8. Verfahren zur Herstellung einer Verbindung gemäß einem der Ansprüche 1 bis 5, welches umfasst: (a) Entschützen einer Verbindung der Formel (II):
    Figure 01040001
    wobei n und die Reste R bis R3 wie vorstehend definiert sind und X eine Schutzgruppe, wie zum Beispiel Benzyl oder Trimethylsilyl, ist, oder (b) Umsetzen einer Verbindung der Formel (III):
    Figure 01050001
    wobei n und die Reste R bis R3 wie vorstehend definiert sind und jede Hydroxygruppe gegebenenfalls mit Hydroxylamin oder einem Salz davon geschützt ist, oder (c) Umwandeln einer Verbindung der Formel (I) in eine andere Verbindung der Formel (I), wie vorstehend definiert.
  9. Verbindung der Formel (II) oder (III), wie in Anspruch 8 definiert.
DE69918113T 1998-06-22 1999-06-22 Hydroxamsäurederivate als Inhibitoren der Herstellung von menschlichem CD23 und der TNF-Freisetzung Expired - Fee Related DE69918113T2 (de)

Applications Claiming Priority (3)

Application Number Priority Date Filing Date Title
GB9813451 1998-06-22
GBGB9813451.3A GB9813451D0 (en) 1998-06-22 1998-06-22 Novel compounds
PCT/GB1999/001954 WO1999067201A1 (en) 1998-06-22 1999-06-22 Hydroxamic acid derivatives as inhibitors of the production of human cd23 and of the tnf release

Publications (2)

Publication Number Publication Date
DE69918113D1 DE69918113D1 (de) 2004-07-22
DE69918113T2 true DE69918113T2 (de) 2005-07-07

Family

ID=10834177

Family Applications (1)

Application Number Title Priority Date Filing Date
DE69918113T Expired - Fee Related DE69918113T2 (de) 1998-06-22 1999-06-22 Hydroxamsäurederivate als Inhibitoren der Herstellung von menschlichem CD23 und der TNF-Freisetzung

Country Status (31)

Country Link
US (1) US6458779B1 (de)
EP (1) EP1089963B1 (de)
JP (1) JP2002518470A (de)
KR (1) KR20010053076A (de)
CN (1) CN1306508A (de)
AP (1) AP2000002001A0 (de)
AR (1) AR029303A1 (de)
AT (1) ATE269296T1 (de)
AU (1) AU744801B2 (de)
BG (1) BG105154A (de)
BR (1) BR9911423A (de)
CA (1) CA2335513A1 (de)
DE (1) DE69918113T2 (de)
DK (1) DK1089963T3 (de)
EA (1) EA200100065A1 (de)
ES (1) ES2222711T3 (de)
GB (1) GB9813451D0 (de)
HU (1) HUP0102776A3 (de)
ID (1) ID27413A (de)
IL (1) IL139738A (de)
MY (1) MY121785A (de)
NO (1) NO20006349D0 (de)
NZ (1) NZ508229A (de)
OA (1) OA11639A (de)
PL (1) PL345038A1 (de)
PT (1) PT1089963E (de)
SI (1) SI1089963T1 (de)
SK (1) SK19562000A3 (de)
TR (1) TR200003877T2 (de)
WO (1) WO1999067201A1 (de)
ZA (1) ZA200007254B (de)

Families Citing this family (6)

* Cited by examiner, † Cited by third party
Publication number Priority date Publication date Assignee Title
US20020082200A1 (en) * 1994-07-13 2002-06-27 Smithkline Beecham P.1.C. Use of inhibitors of human S-CD23
EP1169031A1 (de) * 1999-04-09 2002-01-09 British Biotech Pharmaceuticals Limited Antimikrobielles mittel
GB9925470D0 (en) * 1999-10-27 1999-12-29 Smithkline Beecham Plc Novel compounds
GB9929527D0 (en) * 1999-12-14 2000-02-09 Smithkline Beecham Plc Novel compounds
EP1265855A1 (de) * 2000-02-24 2002-12-18 Smithkline Beecham Plc Neue cd23-inhibitoren
EP1599449A2 (de) 2003-02-25 2005-11-30 TopoTarget UK Limited Bicyclische heteroaromatische carbaminsäurederivate mit hdac hemmender wirkung

Family Cites Families (8)

* Cited by examiner, † Cited by third party
Publication number Priority date Publication date Assignee Title
GB9223904D0 (en) * 1992-11-13 1993-01-06 British Bio Technology Inhibition of cytokine production
GB9414157D0 (en) 1994-07-13 1994-08-31 Smithkline Beecham Plc Medical use
GB9507799D0 (en) * 1995-04-18 1995-05-31 British Biotech Pharm Metalloproteinase inhibitors
US5691381A (en) 1995-04-18 1997-11-25 The Dupont Merck Pharmaceutical Company Hydroxamic and carbocyclic acids as metalloprotease inhibitors
GB9513331D0 (en) * 1995-06-30 1995-09-06 British Biotech Pharm Matrix metalloproteinase inhibitors
WO1997015553A1 (en) * 1995-10-23 1997-05-01 Sankyo Company, Limited Hyroxamic acid derivatives
GB9609794D0 (en) * 1996-05-10 1996-07-17 Smithkline Beecham Plc Novel compounds
WO1998043959A1 (en) 1997-03-28 1998-10-08 Zeneca Limited Hydroxamic acids substituted by heterocycles useful for inhibition of tumor necrosis factor

Also Published As

Publication number Publication date
NO20006349L (no) 2000-12-13
HK1025894A1 (en) 2000-12-01
BG105154A (bg) 2001-08-31
AP2000002001A0 (en) 2000-12-31
ATE269296T1 (de) 2004-07-15
JP2002518470A (ja) 2002-06-25
NZ508229A (en) 2003-12-19
AU4519599A (en) 2000-01-10
TR200003877T2 (tr) 2001-06-21
PL345038A1 (en) 2001-11-19
CA2335513A1 (en) 1999-12-29
ID27413A (id) 2001-04-05
DK1089963T3 (da) 2004-10-18
EA200100065A1 (ru) 2001-06-25
DE69918113D1 (de) 2004-07-22
WO1999067201A1 (en) 1999-12-29
ZA200007254B (en) 2002-02-07
GB9813451D0 (en) 1998-08-19
NO20006349D0 (no) 2000-12-13
AR029303A1 (es) 2003-06-25
SI1089963T1 (en) 2004-12-31
ES2222711T3 (es) 2005-02-01
PT1089963E (pt) 2004-10-29
MY121785A (en) 2006-02-28
US6458779B1 (en) 2002-10-01
BR9911423A (pt) 2001-03-13
IL139738A0 (en) 2002-02-10
HUP0102776A3 (en) 2002-11-28
AU744801B2 (en) 2002-03-07
IL139738A (en) 2005-12-18
KR20010053076A (ko) 2001-06-25
EP1089963A1 (de) 2001-04-11
EP1089963B1 (de) 2004-06-16
SK19562000A3 (sk) 2001-08-06
CN1306508A (zh) 2001-08-01
HUP0102776A2 (hu) 2001-12-28
OA11639A (en) 2004-11-27

Similar Documents

Publication Publication Date Title
AU763960B2 (en) Pyrrolidine derivatives-CCR-3 receptor antagonists
DE69835688T2 (de) Substituierte anilide
DE60001811T2 (de) Antiimflammatorische indolderivate
DE69222352T2 (de) N-(Aminoalkyl)piperidin-Verbindungen und ihre Enantiomere als Neurokinine-Receptoren Antagonisten, Verfahren zu ihrer Herstellung und diese enthaltende pharmazeutische Zusammensetzungen
DE60013859T2 (de) Indolderivate und deren verwendung zur behandlung von u.a. osteoporosis
JPH072702B2 (ja) ヒドロキサメート類
KR20010005627A (ko) 아릴- 또는 헤테로아릴술폰아미드 치환된 히드록삼산 유도체, 그의 제조 방법 및 약제로서의 그의 용도
CZ363198A3 (cs) Inhibitory produkce s-CD23 a sekrece TNF
DE69918113T2 (de) Hydroxamsäurederivate als Inhibitoren der Herstellung von menschlichem CD23 und der TNF-Freisetzung
DE60213450T2 (de) Chinolinderivate, herstellungsprozess und verwendung zur behandlung von krankheiten, bei den s-cd23 involviert ist
DE69203780T2 (de) Aminosäurederivate und ihre Verwendung als antiviral Wirkstoffe.
DE69217613T2 (de) Stickstoff enthaltende bizyklische Derivate, Verfahren zu ihrer Herstellung und diese enthaltende pharmazeutische Zubereitungen
EP0455596B1 (de) Substituierte Indole
DE69927403T2 (de) Cyclische hydrazinderivate als tnf-alpha-inhibitoren
DE60016622T2 (de) Hydroxamsäurederivat als inhibitor der produktion von löslichem menschlichem cd23
DE60107240T2 (de) Bicyclyl oder heterobicyclyl methanesulfonylamino-substituierte n-hydroxyformamide
JP2000503312A (ja) ヒドロキサム酸を基礎とするコラゲナーゼ阻害剤
DE4438020A1 (de) N-substituierte Arylcyclohexylacylamine, ihre Salze mit physiologisch verträglichen organischen oder anorganischen Säuren, Verfahren zur Herstellung dieser Verbindungen und diese enthaltende Arzneimittel
DE60205035T2 (de) Zur behandlung von autoimmunerkrankungen und allergien geeignete sulfonderivate
DE60130684T2 (de) Substituierte pyrrolidine als ccr-3-rezeptorantagonisten
DE3874030T2 (de) 1-benzensulfonyl-2-oxo 5-alkylthio pyrrolidin-derivate, verfahren zur herstellung und zwischenprodukte und verwendung als heilmittel.
MXPA00012854A (en) Hydroxamic acid derivatives as inhibitors of the production of human cd23 and ofthe tnf release
DD270909A5 (de) Verfahren zur herstellung von 2,1-benzothiazepin-2,2-dioxid-5-carbonsaeurederivaten
CZ20004818A3 (cs) Deriváty kyseliny hydroxamové jako inhibitory produkce lidské CD23 a uvolňování TNF
DE60314158T2 (de) Pyrazolderivate als gnrh-inhibitoren

Legal Events

Date Code Title Description
8364 No opposition during term of opposition
8339 Ceased/non-payment of the annual fee