DE69917536T2 - Polymeres beizmittel enthaltendes tintenstrahl-aufzeichnungselement - Google Patents
Polymeres beizmittel enthaltendes tintenstrahl-aufzeichnungselement Download PDFInfo
- Publication number
- DE69917536T2 DE69917536T2 DE69917536T DE69917536T DE69917536T2 DE 69917536 T2 DE69917536 T2 DE 69917536T2 DE 69917536 T DE69917536 T DE 69917536T DE 69917536 T DE69917536 T DE 69917536T DE 69917536 T2 DE69917536 T2 DE 69917536T2
- Authority
- DE
- Germany
- Prior art keywords
- base layer
- gelatin
- layer
- ink
- group
- Prior art date
- Legal status (The legal status is an assumption and is not a legal conclusion. Google has not performed a legal analysis and makes no representation as to the accuracy of the status listed.)
- Expired - Lifetime
Links
- 239000003599 detergent Substances 0.000 title description 2
- 229920000642 polymer Polymers 0.000 claims description 16
- 108010010803 Gelatin Proteins 0.000 claims description 14
- 229920000159 gelatin Polymers 0.000 claims description 14
- 239000008273 gelatin Substances 0.000 claims description 14
- 235000019322 gelatine Nutrition 0.000 claims description 14
- 235000011852 gelatine desserts Nutrition 0.000 claims description 14
- -1 halide anion Chemical group 0.000 claims description 12
- 239000000178 monomer Substances 0.000 claims description 11
- 239000000203 mixture Substances 0.000 claims description 9
- 239000004354 Hydroxyethyl cellulose Substances 0.000 claims description 8
- 235000019447 hydroxyethyl cellulose Nutrition 0.000 claims description 8
- 229920000663 Hydroxyethyl cellulose Polymers 0.000 claims description 7
- 229920003086 cellulose ether Polymers 0.000 claims description 7
- 239000000463 material Substances 0.000 claims description 6
- 239000004372 Polyvinyl alcohol Substances 0.000 claims description 5
- 229920001577 copolymer Polymers 0.000 claims description 5
- 125000002496 methyl group Chemical group [H]C([H])([H])* 0.000 claims description 5
- 229920000728 polyester Polymers 0.000 claims description 5
- 229920002451 polyvinyl alcohol Polymers 0.000 claims description 5
- MYRTYDVEIRVNKP-UHFFFAOYSA-N 1,2-Divinylbenzene Chemical compound C=CC1=CC=CC=C1C=C MYRTYDVEIRVNKP-UHFFFAOYSA-N 0.000 claims description 4
- WHNWPMSKXPGLAX-UHFFFAOYSA-N N-Vinyl-2-pyrrolidone Chemical compound C=CN1CCCC1=O WHNWPMSKXPGLAX-UHFFFAOYSA-N 0.000 claims description 4
- 125000000217 alkyl group Chemical group 0.000 claims description 3
- 150000001450 anions Chemical class 0.000 claims description 3
- 125000001797 benzyl group Chemical group [H]C1=C([H])C([H])=C(C([H])=C1[H])C([H])([H])* 0.000 claims description 3
- 125000002837 carbocyclic group Chemical group 0.000 claims description 3
- 238000009833 condensation Methods 0.000 claims description 3
- 230000005494 condensation Effects 0.000 claims description 3
- 229920000609 methyl cellulose Polymers 0.000 claims description 3
- 239000001923 methylcellulose Substances 0.000 claims description 3
- 235000010981 methylcellulose Nutrition 0.000 claims description 3
- 229910052757 nitrogen Inorganic materials 0.000 claims description 3
- 239000002245 particle Substances 0.000 claims description 3
- 229920001661 Chitosan Polymers 0.000 claims description 2
- 229920002125 Sokalan® Polymers 0.000 claims description 2
- 229940098779 methanesulfonic acid Drugs 0.000 claims description 2
- AFVFQIVMOAPDHO-UHFFFAOYSA-N methanesulfonic acid Substances CS(O)(=O)=O AFVFQIVMOAPDHO-UHFFFAOYSA-N 0.000 claims description 2
- 229910052698 phosphorus Inorganic materials 0.000 claims description 2
- XNGIFLGASWRNHJ-UHFFFAOYSA-L phthalate(2-) Chemical compound [O-]C(=O)C1=CC=CC=C1C([O-])=O XNGIFLGASWRNHJ-UHFFFAOYSA-L 0.000 claims description 2
- 229920000233 poly(alkylene oxides) Polymers 0.000 claims description 2
- 229920002401 polyacrylamide Polymers 0.000 claims description 2
- 239000004584 polyacrylic acid Substances 0.000 claims description 2
- MNCGMVDMOKPCSQ-UHFFFAOYSA-M sodium;2-phenylethenesulfonate Chemical compound [Na+].[O-]S(=O)(=O)C=CC1=CC=CC=C1 MNCGMVDMOKPCSQ-UHFFFAOYSA-M 0.000 claims description 2
- 125000000391 vinyl group Chemical group [H]C([*])=C([H])[H] 0.000 claims description 2
- 229920001479 Hydroxyethyl methyl cellulose Polymers 0.000 claims 1
- 125000004435 hydrogen atom Chemical group [H]* 0.000 claims 1
- 125000003011 styrenyl group Chemical group [H]\C(*)=C(/[H])C1=C([H])C([H])=C([H])C([H])=C1[H] 0.000 claims 1
- 229920002554 vinyl polymer Polymers 0.000 claims 1
- 239000000976 ink Substances 0.000 description 29
- XLYOFNOQVPJJNP-UHFFFAOYSA-N water Substances O XLYOFNOQVPJJNP-UHFFFAOYSA-N 0.000 description 11
- 230000008859 change Effects 0.000 description 9
- 239000000975 dye Substances 0.000 description 9
- 239000002904 solvent Substances 0.000 description 9
- 239000007788 liquid Substances 0.000 description 7
- 238000000576 coating method Methods 0.000 description 5
- 238000001035 drying Methods 0.000 description 5
- 150000005846 sugar alcohols Polymers 0.000 description 4
- 230000002411 adverse Effects 0.000 description 3
- 238000004581 coalescence Methods 0.000 description 3
- 239000011248 coating agent Substances 0.000 description 3
- 230000000052 comparative effect Effects 0.000 description 3
- 238000006073 displacement reaction Methods 0.000 description 3
- 150000002118 epoxides Chemical class 0.000 description 3
- 238000003384 imaging method Methods 0.000 description 3
- 229920000036 polyvinylpyrrolidone Polymers 0.000 description 3
- 235000013855 polyvinylpyrrolidone Nutrition 0.000 description 3
- VEXZGXHMUGYJMC-UHFFFAOYSA-M Chloride anion Chemical compound [Cl-] VEXZGXHMUGYJMC-UHFFFAOYSA-M 0.000 description 2
- 208000032843 Hemorrhage Diseases 0.000 description 2
- VEXZGXHMUGYJMC-UHFFFAOYSA-N Hydrochloric acid Chemical compound Cl VEXZGXHMUGYJMC-UHFFFAOYSA-N 0.000 description 2
- VQTUBCCKSQIDNK-UHFFFAOYSA-N Isobutene Chemical compound CC(C)=C VQTUBCCKSQIDNK-UHFFFAOYSA-N 0.000 description 2
- 241000170793 Phalaris canariensis Species 0.000 description 2
- PPBRXRYQALVLMV-UHFFFAOYSA-N Styrene Chemical compound C=CC1=CC=CC=C1 PPBRXRYQALVLMV-UHFFFAOYSA-N 0.000 description 2
- 238000010521 absorption reaction Methods 0.000 description 2
- 239000000980 acid dye Substances 0.000 description 2
- 125000000732 arylene group Chemical group 0.000 description 2
- 125000004432 carbon atom Chemical group C* 0.000 description 2
- 239000012876 carrier material Substances 0.000 description 2
- 125000002091 cationic group Chemical group 0.000 description 2
- 239000008199 coating composition Substances 0.000 description 2
- 239000000982 direct dye Substances 0.000 description 2
- 230000005012 migration Effects 0.000 description 2
- 238000013508 migration Methods 0.000 description 2
- 239000000049 pigment Substances 0.000 description 2
- 239000001267 polyvinylpyrrolidone Substances 0.000 description 2
- 229920005989 resin Polymers 0.000 description 2
- 239000011347 resin Substances 0.000 description 2
- 238000007764 slot die coating Methods 0.000 description 2
- 239000007787 solid Substances 0.000 description 2
- 239000000126 substance Substances 0.000 description 2
- 230000008961 swelling Effects 0.000 description 2
- CUAOCFVIXYPQCH-UHFFFAOYSA-N 2,3,4-trimethylpenta-1,3-diene Chemical compound CC(C)=C(C)C(C)=C CUAOCFVIXYPQCH-UHFFFAOYSA-N 0.000 description 1
- MPNXSZJPSVBLHP-UHFFFAOYSA-N 2-chloro-n-phenylpyridine-3-carboxamide Chemical group ClC1=NC=CC=C1C(=O)NC1=CC=CC=C1 MPNXSZJPSVBLHP-UHFFFAOYSA-N 0.000 description 1
- WWUVJRULCWHUSA-UHFFFAOYSA-N 2-methyl-1-pentene Chemical compound CCCC(C)=C WWUVJRULCWHUSA-UHFFFAOYSA-N 0.000 description 1
- GROXSGRIVDMIEN-UHFFFAOYSA-N 2-methyl-n-prop-2-enylprop-2-enamide Chemical compound CC(=C)C(=O)NCC=C GROXSGRIVDMIEN-UHFFFAOYSA-N 0.000 description 1
- QTBSBXVTEAMEQO-UHFFFAOYSA-M Acetate Chemical compound CC([O-])=O QTBSBXVTEAMEQO-UHFFFAOYSA-M 0.000 description 1
- CPELXLSAUQHCOX-UHFFFAOYSA-M Bromide Chemical compound [Br-] CPELXLSAUQHCOX-UHFFFAOYSA-M 0.000 description 1
- 235000008733 Citrus aurantifolia Nutrition 0.000 description 1
- 206010013786 Dry skin Diseases 0.000 description 1
- LFQSCWFLJHTTHZ-UHFFFAOYSA-N Ethanol Chemical compound CCO LFQSCWFLJHTTHZ-UHFFFAOYSA-N 0.000 description 1
- IMROMDMJAWUWLK-UHFFFAOYSA-N Ethenol Chemical compound OC=C IMROMDMJAWUWLK-UHFFFAOYSA-N 0.000 description 1
- YCKRFDGAMUMZLT-UHFFFAOYSA-N Fluorine atom Chemical compound [F] YCKRFDGAMUMZLT-UHFFFAOYSA-N 0.000 description 1
- UFHFLCQGNIYNRP-UHFFFAOYSA-N Hydrogen Chemical compound [H][H] UFHFLCQGNIYNRP-UHFFFAOYSA-N 0.000 description 1
- 206010022528 Interactions Diseases 0.000 description 1
- VVQNEPGJFQJSBK-UHFFFAOYSA-N Methyl methacrylate Chemical compound COC(=O)C(C)=C VVQNEPGJFQJSBK-UHFFFAOYSA-N 0.000 description 1
- 229910019142 PO4 Inorganic materials 0.000 description 1
- SJEYSFABYSGQBG-UHFFFAOYSA-M Patent blue Chemical compound [Na+].C1=CC(N(CC)CC)=CC=C1C(C=1C(=CC(=CC=1)S([O-])(=O)=O)S([O-])(=O)=O)=C1C=CC(=[N+](CC)CC)C=C1 SJEYSFABYSGQBG-UHFFFAOYSA-M 0.000 description 1
- 239000004698 Polyethylene Substances 0.000 description 1
- 229920002472 Starch Polymers 0.000 description 1
- QAOWNCQODCNURD-UHFFFAOYSA-L Sulfate Chemical compound [O-]S([O-])(=O)=O QAOWNCQODCNURD-UHFFFAOYSA-L 0.000 description 1
- 235000011941 Tilia x europaea Nutrition 0.000 description 1
- BZHJMEDXRYGGRV-UHFFFAOYSA-N Vinyl chloride Chemical compound ClC=C BZHJMEDXRYGGRV-UHFFFAOYSA-N 0.000 description 1
- 239000013543 active substance Substances 0.000 description 1
- 239000000654 additive Substances 0.000 description 1
- 230000004931 aggregating effect Effects 0.000 description 1
- 150000001335 aliphatic alkanes Chemical class 0.000 description 1
- 150000008051 alkyl sulfates Chemical class 0.000 description 1
- 125000002947 alkylene group Chemical group 0.000 description 1
- 150000001408 amides Chemical class 0.000 description 1
- 229920006321 anionic cellulose Polymers 0.000 description 1
- 125000000129 anionic group Chemical group 0.000 description 1
- 239000013011 aqueous formulation Substances 0.000 description 1
- 125000003710 aryl alkyl group Chemical group 0.000 description 1
- 125000003118 aryl group Chemical group 0.000 description 1
- 125000004429 atom Chemical group 0.000 description 1
- 230000000740 bleeding effect Effects 0.000 description 1
- 239000000969 carrier Substances 0.000 description 1
- 239000000919 ceramic Substances 0.000 description 1
- 239000003795 chemical substances by application Substances 0.000 description 1
- 238000002425 crystallisation Methods 0.000 description 1
- 230000008025 crystallization Effects 0.000 description 1
- 238000007766 curtain coating Methods 0.000 description 1
- 125000000753 cycloalkyl group Chemical group 0.000 description 1
- 125000000113 cyclohexyl group Chemical group [H]C1([H])C([H])([H])C([H])([H])C([H])(*)C([H])([H])C1([H])[H] 0.000 description 1
- 125000001511 cyclopentyl group Chemical group [H]C1([H])C([H])([H])C([H])([H])C([H])(*)C1([H])[H] 0.000 description 1
- 125000002704 decyl group Chemical group [H]C([H])([H])C([H])([H])C([H])([H])C([H])([H])C([H])([H])C([H])([H])C([H])([H])C([H])([H])C([H])([H])C([H])([H])* 0.000 description 1
- 230000007547 defect Effects 0.000 description 1
- PGQAXGHQYGXVDC-UHFFFAOYSA-N dodecyl(dimethyl)azanium;chloride Chemical compound Cl.CCCCCCCCCCCCN(C)C PGQAXGHQYGXVDC-UHFFFAOYSA-N 0.000 description 1
- 230000000694 effects Effects 0.000 description 1
- 238000006253 efflorescence Methods 0.000 description 1
- 238000005516 engineering process Methods 0.000 description 1
- 150000002148 esters Chemical class 0.000 description 1
- VXSASNNBOYCZMY-UHFFFAOYSA-M ethenyl-dimethyl-(2-phenylethyl)azanium;chloride Chemical compound [Cl-].C=C[N+](C)(C)CCC1=CC=CC=C1 VXSASNNBOYCZMY-UHFFFAOYSA-M 0.000 description 1
- 150000002170 ethers Chemical class 0.000 description 1
- 125000001495 ethyl group Chemical group [H]C([H])([H])C([H])([H])* 0.000 description 1
- STVZJERGLQHEKB-UHFFFAOYSA-N ethylene glycol dimethacrylate Substances CC(=C)C(=O)OCCOC(=O)C(C)=C STVZJERGLQHEKB-UHFFFAOYSA-N 0.000 description 1
- 238000005562 fading Methods 0.000 description 1
- 239000000945 filler Substances 0.000 description 1
- 229910052731 fluorine Inorganic materials 0.000 description 1
- 239000011737 fluorine Substances 0.000 description 1
- 239000006260 foam Substances 0.000 description 1
- 239000011888 foil Substances 0.000 description 1
- 239000011521 glass Substances 0.000 description 1
- 238000007756 gravure coating Methods 0.000 description 1
- 150000004820 halides Chemical class 0.000 description 1
- 125000003187 heptyl group Chemical group [H]C([*])([H])C([H])([H])C([H])([H])C([H])([H])C([H])([H])C([H])([H])C([H])([H])[H] 0.000 description 1
- 125000004051 hexyl group Chemical group [H]C([H])([H])C([H])([H])C([H])([H])C([H])([H])C([H])([H])C([H])([H])* 0.000 description 1
- 239000003906 humectant Substances 0.000 description 1
- 229910052739 hydrogen Inorganic materials 0.000 description 1
- 239000001257 hydrogen Substances 0.000 description 1
- 230000002209 hydrophobic effect Effects 0.000 description 1
- 238000007641 inkjet printing Methods 0.000 description 1
- 229910010272 inorganic material Inorganic materials 0.000 description 1
- 239000011147 inorganic material Substances 0.000 description 1
- 230000003993 interaction Effects 0.000 description 1
- 125000000959 isobutyl group Chemical group [H]C([H])([H])C([H])(C([H])([H])[H])C([H])([H])* 0.000 description 1
- 239000004571 lime Substances 0.000 description 1
- 239000000314 lubricant Substances 0.000 description 1
- 238000005259 measurement Methods 0.000 description 1
- 229910052751 metal Inorganic materials 0.000 description 1
- 239000002184 metal Substances 0.000 description 1
- 238000000034 method Methods 0.000 description 1
- 229910052754 neon Inorganic materials 0.000 description 1
- GKAOGPIIYCISHV-UHFFFAOYSA-N neon atom Chemical compound [Ne] GKAOGPIIYCISHV-UHFFFAOYSA-N 0.000 description 1
- 239000011368 organic material Substances 0.000 description 1
- 239000003960 organic solvent Substances 0.000 description 1
- 125000001147 pentyl group Chemical group C(CCCC)* 0.000 description 1
- 238000005191 phase separation Methods 0.000 description 1
- 150000002989 phenols Chemical class 0.000 description 1
- 125000001997 phenyl group Chemical group [H]C1=C([H])C([H])=C(*)C([H])=C1[H] 0.000 description 1
- NBIIXXVUZAFLBC-UHFFFAOYSA-K phosphate Chemical compound [O-]P([O-])([O-])=O NBIIXXVUZAFLBC-UHFFFAOYSA-K 0.000 description 1
- 239000010452 phosphate Substances 0.000 description 1
- 229920003023 plastic Polymers 0.000 description 1
- 239000004033 plastic Substances 0.000 description 1
- 229920003207 poly(ethylene-2,6-naphthalate) Polymers 0.000 description 1
- 229920005668 polycarbonate resin Polymers 0.000 description 1
- 239000004431 polycarbonate resin Substances 0.000 description 1
- 229920001225 polyester resin Polymers 0.000 description 1
- 239000004645 polyester resin Substances 0.000 description 1
- 229920000573 polyethylene Polymers 0.000 description 1
- 239000011112 polyethylene naphthalate Substances 0.000 description 1
- 229920000139 polyethylene terephthalate Polymers 0.000 description 1
- 239000005020 polyethylene terephthalate Substances 0.000 description 1
- 229920000193 polymethacrylate Polymers 0.000 description 1
- 229920001343 polytetrafluoroethylene Polymers 0.000 description 1
- 239000004810 polytetrafluoroethylene Substances 0.000 description 1
- 229920002689 polyvinyl acetate Polymers 0.000 description 1
- 239000011118 polyvinyl acetate Substances 0.000 description 1
- 229920001447 polyvinyl benzene Polymers 0.000 description 1
- 239000011148 porous material Substances 0.000 description 1
- 238000002360 preparation method Methods 0.000 description 1
- 239000003755 preservative agent Substances 0.000 description 1
- 238000007639 printing Methods 0.000 description 1
- FBCQUCJYYPMKRO-UHFFFAOYSA-N prop-2-enyl 2-methylprop-2-enoate Chemical compound CC(=C)C(=O)OCC=C FBCQUCJYYPMKRO-UHFFFAOYSA-N 0.000 description 1
- QTECDUFMBMSHKR-UHFFFAOYSA-N prop-2-enyl prop-2-enoate Chemical compound C=CCOC(=O)C=C QTECDUFMBMSHKR-UHFFFAOYSA-N 0.000 description 1
- 125000001436 propyl group Chemical group [H]C([*])([H])C([H])([H])C([H])([H])[H] 0.000 description 1
- 150000003254 radicals Chemical class 0.000 description 1
- 206010037844 rash Diseases 0.000 description 1
- 238000001454 recorded image Methods 0.000 description 1
- 239000008107 starch Substances 0.000 description 1
- 235000019698 starch Nutrition 0.000 description 1
- 229940124530 sulfonamide Drugs 0.000 description 1
- 150000003456 sulfonamides Chemical class 0.000 description 1
- 150000003459 sulfonic acid esters Chemical class 0.000 description 1
- 239000004094 surface-active agent Substances 0.000 description 1
- 239000002562 thickening agent Substances 0.000 description 1
- 230000007723 transport mechanism Effects 0.000 description 1
- GETQZCLCWQTVFV-UHFFFAOYSA-N trimethylamine Chemical group CN(C)C GETQZCLCWQTVFV-UHFFFAOYSA-N 0.000 description 1
Classifications
-
- B—PERFORMING OPERATIONS; TRANSPORTING
- B41—PRINTING; LINING MACHINES; TYPEWRITERS; STAMPS
- B41M—PRINTING, DUPLICATING, MARKING, OR COPYING PROCESSES; COLOUR PRINTING
- B41M5/00—Duplicating or marking methods; Sheet materials for use therein
- B41M5/50—Recording sheets characterised by the coating used to improve ink, dye or pigment receptivity, e.g. for ink-jet or thermal dye transfer recording
- B41M5/52—Macromolecular coatings
- B41M5/5245—Macromolecular coatings characterised by the use of polymers containing cationic or anionic groups, e.g. mordants
-
- Y—GENERAL TAGGING OF NEW TECHNOLOGICAL DEVELOPMENTS; GENERAL TAGGING OF CROSS-SECTIONAL TECHNOLOGIES SPANNING OVER SEVERAL SECTIONS OF THE IPC; TECHNICAL SUBJECTS COVERED BY FORMER USPC CROSS-REFERENCE ART COLLECTIONS [XRACs] AND DIGESTS
- Y10—TECHNICAL SUBJECTS COVERED BY FORMER USPC
- Y10T—TECHNICAL SUBJECTS COVERED BY FORMER US CLASSIFICATION
- Y10T428/00—Stock material or miscellaneous articles
- Y10T428/31504—Composite [nonstructural laminate]
- Y10T428/31725—Of polyamide
- Y10T428/31768—Natural source-type polyamide [e.g., casein, gelatin, etc.]
-
- Y—GENERAL TAGGING OF NEW TECHNOLOGICAL DEVELOPMENTS; GENERAL TAGGING OF CROSS-SECTIONAL TECHNOLOGIES SPANNING OVER SEVERAL SECTIONS OF THE IPC; TECHNICAL SUBJECTS COVERED BY FORMER USPC CROSS-REFERENCE ART COLLECTIONS [XRACs] AND DIGESTS
- Y10—TECHNICAL SUBJECTS COVERED BY FORMER USPC
- Y10T—TECHNICAL SUBJECTS COVERED BY FORMER US CLASSIFICATION
- Y10T428/00—Stock material or miscellaneous articles
- Y10T428/31504—Composite [nonstructural laminate]
- Y10T428/31725—Of polyamide
- Y10T428/31768—Natural source-type polyamide [e.g., casein, gelatin, etc.]
- Y10T428/31772—Next to cellulosic
-
- Y—GENERAL TAGGING OF NEW TECHNOLOGICAL DEVELOPMENTS; GENERAL TAGGING OF CROSS-SECTIONAL TECHNOLOGIES SPANNING OVER SEVERAL SECTIONS OF THE IPC; TECHNICAL SUBJECTS COVERED BY FORMER USPC CROSS-REFERENCE ART COLLECTIONS [XRACs] AND DIGESTS
- Y10—TECHNICAL SUBJECTS COVERED BY FORMER USPC
- Y10T—TECHNICAL SUBJECTS COVERED BY FORMER US CLASSIFICATION
- Y10T428/00—Stock material or miscellaneous articles
- Y10T428/31504—Composite [nonstructural laminate]
- Y10T428/31786—Of polyester [e.g., alkyd, etc.]
-
- Y—GENERAL TAGGING OF NEW TECHNOLOGICAL DEVELOPMENTS; GENERAL TAGGING OF CROSS-SECTIONAL TECHNOLOGIES SPANNING OVER SEVERAL SECTIONS OF THE IPC; TECHNICAL SUBJECTS COVERED BY FORMER USPC CROSS-REFERENCE ART COLLECTIONS [XRACs] AND DIGESTS
- Y10—TECHNICAL SUBJECTS COVERED BY FORMER USPC
- Y10T—TECHNICAL SUBJECTS COVERED BY FORMER US CLASSIFICATION
- Y10T428/00—Stock material or miscellaneous articles
- Y10T428/31504—Composite [nonstructural laminate]
- Y10T428/31855—Of addition polymer from unsaturated monomers
-
- Y—GENERAL TAGGING OF NEW TECHNOLOGICAL DEVELOPMENTS; GENERAL TAGGING OF CROSS-SECTIONAL TECHNOLOGIES SPANNING OVER SEVERAL SECTIONS OF THE IPC; TECHNICAL SUBJECTS COVERED BY FORMER USPC CROSS-REFERENCE ART COLLECTIONS [XRACs] AND DIGESTS
- Y10—TECHNICAL SUBJECTS COVERED BY FORMER USPC
- Y10T—TECHNICAL SUBJECTS COVERED BY FORMER US CLASSIFICATION
- Y10T428/00—Stock material or miscellaneous articles
- Y10T428/31504—Composite [nonstructural laminate]
- Y10T428/31855—Of addition polymer from unsaturated monomers
- Y10T428/3188—Next to cellulosic
-
- Y—GENERAL TAGGING OF NEW TECHNOLOGICAL DEVELOPMENTS; GENERAL TAGGING OF CROSS-SECTIONAL TECHNOLOGIES SPANNING OVER SEVERAL SECTIONS OF THE IPC; TECHNICAL SUBJECTS COVERED BY FORMER USPC CROSS-REFERENCE ART COLLECTIONS [XRACs] AND DIGESTS
- Y10—TECHNICAL SUBJECTS COVERED BY FORMER USPC
- Y10T—TECHNICAL SUBJECTS COVERED BY FORMER US CLASSIFICATION
- Y10T428/00—Stock material or miscellaneous articles
- Y10T428/31504—Composite [nonstructural laminate]
- Y10T428/31855—Of addition polymer from unsaturated monomers
- Y10T428/31935—Ester, halide or nitrile of addition polymer
Landscapes
- Ink Jet Recording Methods And Recording Media Thereof (AREA)
Description
- Die vorliegende Erfindung bezieht sich auf ein Tintenstrahl-Aufzeichnungselement.
- In einem typischen Tintenstrahl-Aufzeichnungs- oder -drucksystem werden Tintentröpfchen mit hoher Geschwindigkeit aus einer Düse auf ein Aufzeichnungselement oder Aufzeichnungsmedium geschleudert und bauen ein Bild auf dem Medium auf. Die Tintentröpfchen oder die Aufzeichnungsflüssigkeit umfassen im Allgemeinen ein Aufzeichnungsmittel wie beispielsweise einen Farbstoff oder ein Pigment und eine große Menge an Lösungsmittel. Das Lösungsmittel oder die Trägerflüssigkeit bestehen typischerweise aus Wasser, einem organischen Material wie zum Beispiel einem einwertigen Alkohol, einem mehrwertigen Alkohol oder Gemischen davon.
- Ein Tintenstrahl-Aufzeichnungselement umfasst typischerweise einen Träger, der auf mindestens einer seiner Oberflächen eine Tintenempfangsschicht oder bildaufbauende Schicht aufweist, und schließt jene Aufzeichnungselemente ein, die für die Betrachtung in Reflexion vorgesehen sind und einen opaken Träger besitzen, und jene, die für die Betrachtung in der Durchsicht bestimmt sind und einen transparenten Träger besitzen.
- Zwar sind bisher zahlreiche unterschiedliche Typen von Bildaufzeichnungselementen für den Einsatz in Tintenstrahlvorrichtungen vorgeschlagen worden, jedoch existieren viele ungelöste Probleme auf diesem Fachgebiet und viele Mängel in den bekannten Produkten, die ihren kommerziellen Nutzen eingeschränkt haben. Die Anforderungen an ein Bildaufzeichnungsmedium oder -element für die Aufzeichnung mit der Tintenstrahltechnik sind sehr hoch.
- Es ist wohlbekannt, dass es zur Erreichung und Einhaltung der Fotoqualität von Bildern auf einem derartigen Bildaufzeichnungselement nötig ist, dass ein Tintenstrahlaufzeichnungselement:
- – leicht benetzt werden kann, so dass kein Zusammenlaufen, d.h. Koaleszenz benachbarter Tintentröpfchen eintritt, was zu uneinheitlicher Dichte führen würde,
- – kein Bluten der Bilder aufweist,
- – die Fähigkeit aufweist, hohe Tintenkonzentrationen zu absorbieren und rasch zu trocknen, um zu vermeiden, dass Elemente aneinander haften, wenn nachfolgende Prints oder andere Oberflächen auf ihnen gestapelt werden,
- – hohen Glanz besitzt und Stellen mit unterschiedlichem Glanz vermeidet, • keine durch Wechselwirkungen zwischen dem Träger und/oder (einer) Schichten) bedingten Diskontinuitäten oder Defekte wie beispielsweise Risse, Stellen mit Tintenabstoßung, Kammlinien und so weiter aufweist,
- – nichtabsorbierte Farbstoffe an der Aggregierung und dem Auskristallisieren des Farbstoffs auf der freien Oberfläche hindert, was zu Ausblühungen oder Bronzieren in den Bildteilen führt,
- – optimale Bildechtheit aufweist, um das Verblassen durch Kontakt mit Wasser oder durch Einwirkung von Tageslicht, Glühlicht oder Neonlicht zu vermeiden.
- Es wurde beobachtet, das in bestimmten Aufzeichnungselementen für Tintenstrahlbilder die bebilderten oder "eingefärbten" Bereiche eine Farb- oder Bunttonänderung erleiden, wenn sie hoher Feuchtigkeit und/oder Bedingungen ausgesetzt sind, unter denen das Trocknen langsam vonstatten geht. Diese Bunttonänderung hängt auch von den spezifischen Tintensortimenten der verschiedenen Hersteller ab. Die Ursache für diese Bunttonänderung ist das Vorliegen ausreichender Mengen an Feuchtigkeit in der Tintenempfangsschicht der Medien, wodurch die Farbstoffe ihre Migration fortsetzen oder sich im Laufe der Zeit in der Tintenempfangsschicht ausbreiten. Ein Bild, das hoher Feuchtigkeit oder Bedingungen, unter denen es sehr langsam trocknet, ausgesetzt ist, oder das, nachdem es gedruckt wurde, abgedeckt wird und dadurch langsamer trocknet, erleidet mit der Zeit eine Buntton- oder Farbänderung.
- Das gleichzeitig anhängige US-A-5,789,070 bezieht sich auf ein Tintenstrahl-Aufzeichnungselement, das einen mit einer wasserabsorbierenden Grundschicht beschichteten Träger und eine Deckschicht aus einem kationisch modifizierten Celluloseether umfasst.
- Zwar liefert dieses Element in den meisten Fällen zufriedenstellende Ergebnisse, doch gibt es mit diesem Element ein Problem, wenn es im Verein mit bestimmten Druckern und bestimmten Tinten bei hoher Feuchtigkeit oder Bedingungen, unter denen es sehr langsam trocknet, verwendet wird. Unter solchen Bedingungen wurden unzulässige Bunttonänderungen beobachtet.
- US-A-3,958,995 bezieht sich auf fotografische Elemente, die vernetzte Beizmittel enthalten. Jedoch gibt es in diesem Patent keine Mitteilung darüber, ob sich diese Beizmittel für ein Tintenstrahl-Aufzeichnungselement eignen.
- Aus EP-A-0 847 868 ist ein Tintenstrahl-Aufzeichnungselement bekannt, das in der angegebenen Reihenfolge einen Träger, eine Grundschicht und eine Deckschicht umfasst und dadurch gekennzeichnet ist, dass die Grundschicht ein hydrophiles Material wie beispielsweise Gelatine umfasst und die Deckschicht Tinte aufnimmt und einen kationisch modifizierten Celluloseether umfasst.
- Aus DE-A 31 32 248 ist eine Tintenstrahl-Aufzeichnungsfolie bekannt, die ein aufgezeichnetes Bild in der Weise bildet, dass auf sie eine wässrige Tinte geschleudert wird, die als wasserlöslichen Farbstoff einen Direktfarbstoff oder einen Säurefarbstoff mit einer dissoziierbaren anionischen Gruppe enthält, und die Folie ein in Wasser unlösliches Beizmittelpolymer der vorliegenden Erfindung umfasst, das in einen Träger inkorporiert oder auf ihm untergebracht ist.
- Es ist eine Aufgabe der vorliegenden Erfindung, ein Tintenstrahl-Aufzeichnungselement bereitzustellen, das eine geringere Farbänderung aufweist, wenn es bei hoher Feuchtigkeit und/oder unter Bedingungen, unter denen es sehr langsam trocknet, verwendet wird.
- Diese und andere Aufgaben werden von der vorliegenden Erfindung gelöst, die ein Tintenstrahl-Aufzeichnungselement umfasst, das einen Träger besitzt, auf dem in der angegebenen Reihenfolge eine ein hydrophiles Material umfassende Grundschicht und eine Tinte aufnehmende, ein Beizmittelpolymer der nachstehenden Formel enthaltende Deckschicht angebracht sind: hierin:
stellt A Einheiten eines durch Additionspolymerisation polymerisierbaren, mindestens zwei olefinisch ungesättigte Gruppen enthaltenden Monomers dar;
B Einheiten eines copolymerisierbaren, α,β-olefinisch ungesättigten Monomers;
ist Q gleich N oder P;
sind R4, R2 und R3 jeweils unabhängig voneinander eine carbocyclische oder Alkyl-Gruppe;
ist M– ein Anion;
liegt x zwischen 0,25 und 5 Molprozent, vorzugsweise zwischen 1,0 und 5,0 Molprozent;
liegt y zwischen 0 und 90 Molprozent, vorzugsweise zwischen 0 und 45 Molprozent; und
liegt z zwischen 10 und 99 Molprozent, vorzugsweise zwischen 40 und 90 Molprozent. - Durch Verwendung der vorliegenden Erfindung werden Tintenstrahl-Aufzeichnungselemente erhalten, die eine geringere Farbänderung aufweisen, wenn sie bei hoher Feuchtigkeit und/oder unter Bedingungen, unter denen sie sehr langsam trocknen, verwendet werden.
- Das oben beschriebene Beizmittelpolymer kann in jedem Betrag eingesetzt werden, der für den beabsichtigten Zweck von Wirkung ist. Im Allgemeinen wurden gute Resultate erzielt, wenn das Beizmittelpolymer in Mengen von 5 Gew.-% bis 25 Gew.-%, vorzugsweise 10 Gew.-%, der obersten Schicht vorliegt.
- Die Zugabe des Beizmittels zur Deckschicht beeinträchtigt nicht nachteilig andere Leistungsmerkmale wie beispielsweise die Trocknungszeit, die Lichtechtheit, die Koaleszenz, das Bluten, die Adhäsion der Schichten, die Wasserbeständigkeit und den Glanz, wenn mit unterschiedlichen Tintenstrahltinten bedruckt wird.
- Bevorzugte in der vorliegenden Erfindung eingesetzte Beizmittelpolymere umfassen Einheiten mit der oben angegebenen Formel, in der A eine wiederkehrende Einheit eines durch Additionspolymerisation polymerisierbaren, mindestens zwei olefinisch ungesättigte Gruppen enthaltenden Monomers ist, wie beispielsweise Vinyl-Gruppen der folgenden allgemeinen Struktur: in der n zwischen 1 und 10 liegt und vorzugsweise gleich 2 oder 3 ist; jede Gruppe R4 stellt für sich genommen Wasserstoff oder eine Methyl-Gruppe dar, und R5 ist eine Brückengruppe, die eine oder mehrere Kondensationsverknüpfungen umfasst, zum Beispiel Amid, Sulfonamid, Ester wie beispielsweise Sulfonsäureester, Arylen usw., oder eine Kondensationsverknüpfung und einen organischen Kern wie zum Beispiel Alkylen, z.B. Methylen, Ethylen, Trimethylen, Arylen usw.
- Geeignete Monomere, aus denen die wiederkehrenden Einheiten A gebildet werden, schließen Divinylbenzol, Allylacrylat, Allylmethacrylat, N-Allylmethacrylamid, usw. ein.
- B ist in der oben stehenden Formel eine Einheit eines copolymerisierbaren α,β-olefinisch ungesättigten Monomers (einschließlich zwei, drei oder mehr wiederkehrender Einheiten) wie zum Beispiel Ethylen, Propylen, 1-Buten, Isobuten, 2-Methylpenten usw. Eine bevorzugte Klasse olefinisch ungesättigter Monomere, die eingesetzt werden können, schließt die niederen 1-Alkene mit 1 bis 6 Kohlenstoff-Atomen, Styrol und Tetramethylbutadien und Methylmethacrylat ein.
- In der oben stehenden Formel stellen R1, R2 und R3 jeweils unabhängig voneinander eine carbocyclische Gruppe wie beispielsweise eine Aryl-Gruppe, eine Aralkyl-Gruppe und eine Cycloalkyl-Gruppe wie zum Beispiel eine Benzyl-, Phenyl-, p-Methylbenzyl-, Cyclohexyl-, Cyclopentyl-Gruppe usw. oder eine Alkyl-Gruppe mit vorzugsweise 1 bis 20 Kohlenstoff-Atomen wie beispielsweise eine Methyl-, Ethyl-, Propyl-, Isobutyl-, Pentyl-, Hexyl-, Heptyl-, Decyl-Gruppe usw. dar. In einer bevorzugten Ausführungsform sind R1 und R2 Methyl-Gruppen, und R3 ist eine Benzyl-Gruppe.
- M– in der oben stehenden Formel ist ein Anion, d.h. ein negativ geladenes salzbildendes ionisches Radikal oder Atom wie beispielsweise ein Halogenid, z.B. Bromid oder Chlorid, Sulfat, Alkylsulfat, Alkan- oder Arensulfonat, Acetat, Phosphat usw.
-
- Andere kompatible Polymere und/oder Füllstoffe können der obersten Schicht des erfindungsgemäßen Aufzeichnungselements zugesetzt werden, um je nach dem Endzweck spezielle Leistungsaspekte zu verstärken. Polymere, die verwendet werden können, schließen nichtionische Celluloseether, anionische Celluloseether, Polyvinylalkohol, sulfonierte Polyester, Polyvinylpyrrolidon und so weiter ein. Die oberste Schicht hat im Allgemeinen eine Dicke von 0,1 bis 2,0 μm.
- Zum Beispiel kann die oberste Schicht des erfindungsgemäßen Aufzeichnungselements zusätzlich zu dem Beizmittelpolymer andere Materialien wie beispielsweise Methylcellulose, z.B. A4M (Dow Chemical Co.), und Hydroxyethylcellulose wie zum Beispiel JR400 (Hydroxyethylcellulose, die mit einem mit Trimethylammoniumchlorid substituierten Epoxid von Amerchol Corp. umgesetzt wurde) in einem Gewichtsverhältnis von 80/20 enthalten. Diese Materialien können in Mengen von 0,75 g/m2 bis 1,25 g/m2, vorzugsweise von 1 g/m2 bis 1,1 g/m2, eingesetzt werden.
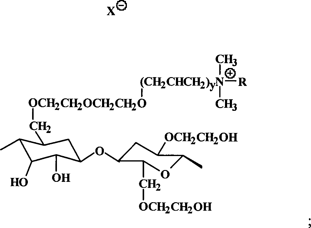
- In einer bevorzugten Ausführungsform der vorliegenden Erfindung handelt es sich bei der eingesetzten Hydroxyethylcellulose um einen kationisch modifizierten Celluloseether, wie in US-A-5,789,070 beschrieben, der folgenden Struktur: in der
R CnH2n+1 darstellt,
X ein Halogenid-Anion ist und
y gleich 1 bis 30 ist. - Die oberste Schicht kann 5 bis 75 Gewichtsprozent des oben beschriebenen kationisch modifizierten Celluloseethers enthalten. Geeignete kationisch modifizierte Celluloseether-Polymere schließen Celquat® SC240C (Hydroxyethylcellulose, die mit einem mit Trimethylammoniumchlorid substituierten Epoxid von National Starch und Chemical Co. umgesetzt wurde) und Quatrisoft® LM-200 (Hydroxyethylcellulose, die mit einem mit Dodecyldimethylammoniumchlorid substituierten Epoxid von Amerchol Corp. umgesetzt wurde) ein.
- Die Grundschicht soll in erster Linie als Schwammschicht für die Absorption von Tintenlösungsmittel dienen. Sie besteht daher in erster Linie aus hydrophilen oder porösen Materialien. Im Allgemeinen hat die Grundschicht eine Dicke von 3 bis 20 μm und liegt in einer Menge von 5 g/m2 bis 7 g/m2, vorzugsweise von 5,3 g/m2 bis 5,5 g/m2, vor. Geeignete hydrophile Materialien schließen Gelatine, acetylierte Gelatine, Phthalatgelatine, oxidierte Gelatine, Chitosan, Polyalkylenoxid, Polyvinylalkohol, modifizierten Polyvinylalkohol, sulfonierten Polyester, partiell hydrolysiertes Polyvinylacetat/Vinylalkohol, Polyacrylsäure, Poly-1-vinylpyrrolidon, Poly-natriumstyrolsulfonat, Poly-2-aerylamido-2-methansulfonsäure oder Polyacrylamid oder deren Gemische ein. Copolymere dieser Polymere mit hydrophoben Monomeren können ebenfalls eingesetzt werden.
- Der pH-Wert der Grundschicht kann so eingestellt werden, dass die Quellung optimiert (Wasserkapazität), der Glanz verstärkt oder die Farbstoffwanderung minimiert wird. Zum Beispiel kann der pH-Wert der Schicht auf 3,5 gesenkt werden, um das Quellungsvermögen zu verbessern und dadurch die Tintentrocknungszeiten zu verkürzen und Wasserechtheit zu verleihen. In einer anderen Ausführungsform kann der pH-Wert der Bildaufzeichnungsschicht auf 8,5 angehoben werden, um den Glanz zu verstärken und das durch das Auskristallisieren des Farbstoffs auf der Oberfläche bedingte Bronzieren zu vermindern.
- In einer bevorzugten Ausführungsform der Erfindung besteht die Grundschicht aus 50 %–100 % Fotogelatine, die so modifiziert wurde, dass der pH-Wert weit vom isoelektrischen Punkt der Gelatine entfernt liegt, so dass die Wasseraufnahme maximiert werden kann. Der Rest der Schicht kann aus einem Polymer oder einem anorganischen Material bestehen, das mit der Gelatine kompatibel ist und keinen nachteiligen Einfluss auf die funktionalen Eigenschaften hat.
- Wenn gewünscht, kann die Grundschicht des Aufzeichnungselements der Erfindung durch die Zugabe von keramischen oder harten polymeren Teilchen, durch Aufschäumen oder Blasen während der Beschichtung oder durch Hervorrufen von Phasentrennung in der Schicht durch Einführung eines Nichtlösungsmittels porös gemacht werden. Zusätzlich kann der Grundschicht durch Inkorporierung einer zweiten Phase wie beispielsweise Polyester, Polymethacrylate, Polyvinylbenzol enthaltende Copolymere und so weiter Steifigkeit verliehen werden.
- In der vorliegenden Erfindung kann das Aufzeichnungselement opak, durchscheinend oder transparent sein. Die in dem Aufzeichnungselement der vorliegenden Erfindung eingesetzten Trägermaterialien sind somit hinsichtlich ihrer Natur nicht sonderlich begrenzt, und unter schiedliche Träger können verwendet werden. Dementsprechend können gewöhnliche Papiere, harzbeschichtete Papiere, unterschiedliche Kunststoffe wie Polyesterharze, zum Beispiel Polyethylenterephthalat, Polyethylennaphthalat und Polyesterdiacetat, Polycarbonatharze, fluorhaltige Harze wie beispielsweise Polytetrafluorethylen, Metallfolien, verschiedene Gläser und so weiter als Träger eingesetzt werden. Wenn die Träger der vorliegenden Erfindung transparent sind, kann man transparente Aufzeichnungselemente erhalten, die sich als lichtdurchlässige Folien auf einem Overhead-Projektor einsetzen lassen. Die Dicke der in der Erfindung verwendeten Träger kann Werte von 12 μm bis 500 μm, vorzugsweise von 75 μm bis 300 μm einnehmen.
- Wenn gewünscht, kann zur Verbesserung der Haftung der Grundschicht auf dem Träger vor der Aufbringung der Grundschicht oder der Lösungsmittel absorbierenden Schicht auf den Träger die Oberfläche des Trägers Koronaentladungen ausgesetzt werden. Alternativ kann auf der Oberfläche des Trägers eine Grundierung in Gestalt einer Schicht aus einem halogenierten Phenol oder einem partiell hydrolysierten Vinylchlorid/Vinylacetat-Copolymer angebracht werden.
- Da das Bildaufzeichnungselement mit anderen Bildaufzeichnungsbauteilen oder den Antriebs- oder Transportmechanismen von Bildaufzeichnungsvorrichtungen in Berührung kommen kann, können Additive wie beispielsweise grenzflächenaktive Substanzen, Schmiermittel, Mattierungsteilchen und so weiter dem Element in Mengen zugesetzt werden, die nicht die interessierenden Eigenschaften nachteilig beeinflussen.
- Die oben beschriebenen Schichten, einschließlich der Grundschicht und der obersten Schicht, können mit herkömmlichen Beschichtungsmethoden auf ein üblicherweise in der Fachwelt verwendetes Trägermaterial aufgebracht werden. Die Beschichtungsmethoden können Spiralrakelbeschichtung, Schlitzdüsenbeschichtung, Kaskadenbeschichtung, Gravurbeschichtung, Vorhangbeschichtung und so weiter einschließen, beschränken sich aber nicht darauf. Einige dieser Methoden gestatten die gleichzeitige Auftragung beider Schichten, was aus ökonomischen Gründen vorzuziehen ist.
- Tintenstrahltinten, die für die Bebilderung der Aufzeichnungselemente der vorliegenden Erfindung eingesetzt werden, sind dem Fachmann wohlbekannt. Bei den Tintenkompositio nen, die im Tintenstrahldruck eingesetzt werden, handelt es sich typischerweise um flüssige Kompositionen, die ein Lösungsmittel oder eine Trägerflüssigkeit, Farbstoffe oder Pigmente, Feuchthaltemittel, organische Lösungsmittel, Detergentien, Verdickungsmittel, Konservierungsstoffe und so weiter umfassen. Das Lösungsmittel oder die Trägerflüssigkeit kann Wasser als solches sein oder Wasser vermischt mit anderen mit Wasser mischbaren Lösungsmitteln wie beispielsweise mehrwertigen Alkoholen. Tinten, in denen organische Stoffe wie zum Beispiel mehrwertige Alkohole die vorherrschende Träger- oder Lösungsflüssigkeit darstellen, können ebenfalls verwendet werden. Besonders gut eignen sich gemischte, aus Wasser und mehrwertigen Alkoholen bestehende Lösungsmittel. Die in derartigen Kompositionen eingesetzten Farbstoffe sind typischerweise wasserlösliche Direkt- oder Säurefarbstoffe. Derartige flüssige Kompositionen sind umfassend im Rahmen des früheren Standes der Technik beschrieben worden wie zum Beispiel in US-A-4,381,946; US-A-4,239,543 und US-A-4,781,758.
- Obwohl die hier mitgeteilten Aufzeichnungselemente in erster Linie als für Tintenstrahldrucker geeignet bezeichnet wurden, können sie auch als Aufzeichnungsmedien für Plottervorrichtungen mit Registrierstift eingesetzt werden. Plotter mit Registrierstift arbeiten in der Weise, dass sie direkt auf die Oberfläche eines Aufzeichnungsmediums mit einem Schreibstift schreiben, der aus einem Bündel von Kapillarröhrchen besteht, die mit einem Tintenreservoir verbunden sind.
- Das folgende Beispiel veranschaulicht die Erfindung eingehender.
- Element 1 – Kontrolle
- Dieses Aufzeichnungselement wurde durch Schlitzdüsenbeschichtung hergestellt. Die Grundschicht wurde aus einer 10 % Feststoffe enthaltenden wässrigen Formulierung direkt auf mit Koronaentladungen behandeltes, mit Polyethylen beschichtetes Fotopapier aufgetragen und gründlich bei 100 °C getrocknet. Die am Ende erhaltene Trockenbelegung der Grundschicht betrug 5,4 g/m2. Die Bildaufzeichnungsschicht (oberste Schicht) wurde in einem zweiten Arbeitsgang direkt über der Grundschicht aus Beschichtungsformulierungen mit 1 bis 2 % Feststoffgehalt aufgetragen. Die letztere Schicht wurde unter identischen Bedingungen wie die Grundschicht getrocknet. Die Trockenbelegung der Bildempfangsschicht (oberste Schicht) belief sich auf 1,1 g/m2.
- Die Grundschicht des Elements war eine Mischung von 60 Gew.-% Fotogelatine auf der Grundlage von durch Kalkbehandlung gewonnenem Ossein, 30 Gew.-% Polyvinylpyrrolidon (PVP K-90, ISP) und 10 Gew.-% Beizmittel C-2 (siehe unten). Der pH-Wert der Beschichtungsformulierung wurde durch direkte Zugabe von Salzsäure (36–38 %, JT Baker) auf 3,5 eingestellt.
- Die oberste Schicht des Elements bestand aus einer Mischung von Methylcellulose (A4M) (Dow Chemical Co.) und Hydroxyethylcellulose (Quatrisoft® LM200, Amerchol Corp.) im Verhältnis 20 %/80 %.
- Die folgenden eng damit verbundenen Beizmittel wurden zu Vergleichszwecken in den Vergleichselementen eingesetzt, um zu zeigen, dass nicht alle Beizmittel geeignet sind:
C-1: Poly-N,N-dimethylcyclohexylvinylbenzylammoniumchlorid
C-2: N-Vinylbenzyl-N,N,N-trimethylammoniumchlorid/Ethylenglykoldimethacrylat-Copolymer - Element 2 – Vergleich
- Dieses Element ist dasselbe wie Kontrollelement 1, mit der Ausnahme, dass das Vergleichsbeizmittel C-1 in einer Menge von 10 Gew.-% der obersten Schicht zugesetzt und auf der Grundschicht, wie oben beschrieben, aufgetragen wurde. Die Tenside Olin 10G (Dixie Chemicals Corp.) und FS-300 (Zonyl®, DuPont Corp.) wurden zur Verbesserung der Beschichtbarkeit zugesetzt.
- Element 3 – Vergleich
- Dieses Element ist dasselbe wie Element 2, mit der Ausnahme, dass das Vergleichsbeizmittel C-2 verwendet wurde.
- Element 4 – Erfindung
- Dieses Element ist dasselbe wie Element 1, mit der Ausnahme, dass Beizmittel 1 verwendet wurde.
- Jedes Element wurde dann auf einem Epson 600-Tintenstrahldrucker unter Verwendung von Standard Epson 600-Tinten Cyan, Magenta und Gelb (US-A-5,158,377; US-A-5,221,148 und US-A-5,421,658) mit einer Auflösung von 300 × 600 dpi und auf einem Lexmark 7000-Tintenstrahldrucker unter Verwendung von Lexmark Photo-Tinten Cyan, Magenta und Gelb (US-A-5,364,461; US-A-5,254,160 und US-A-5,497,178) mit einer Auflösung von 300 × 600 dpi bebildert. Ein Ausdruck wurde bei 21 °C und 50 % relativer Feuchte über einen Zeitraum von 24 Stunden getrocknet und ein anderer Ausdruck bei 26 °C und 80 % relativer Feuchte über einen Zeitraum von 24 Stunden getrocknet.
- Zur Messung der Bunttonänderung wurden die Messungen der Helligkeitsachse L*, der Rot/Grün-Achse a* und der Gelb/Blau-Achse b* im Farbraum-System herangezogen. Die Werte a* und b*, Maße für die Bunttonänderung, wobei a* von –a, Grün, nach +a, Rot, und von –b, Blau, nach +b, Gelb, geht, wurden für beide Trocknungsbedingungen gemessen. Der Delta-Wert für die beiden Trocknungsbedingungen wurde anschließend berechnet, um die Verschiebung längs der "a"-Achse und längs der "b"-Achse sichtbar zu machen. Das Vorzeichen + oder – von Delta gibt die Farbe der Verschiebung auf jeder Achse an, und der Absolutwert ist ein Maß für die Größe der Verschiebung. Je kleiner Delta ist, umso geringer ist die Bunttonänderung. Die Ergebnisse werden in den folgenden Tabellen gezeigt: TABELLE I Lexmark 7000-Drucker TABELLE 2 Epson 600-Drucker
- Die oben stehenden Ergebnisse zeigen, dass der Einsatz des erfindungsgemäßen Beizmittels eine wesentlich kleinere Bunttonänderung (Delta a* und Delta b*) zur Folge hatte als bei dem Kontrollelement ohne Beizmittel und den Vergleichselementen mit dem Vergleichsbeizmittel.
Claims (10)
- Tintenstrahl-Aufzeichnungselement mit einem Träger, auf dem sich in der angegebenen Reihenfolge eine ein hydrophiles Material enthaltende Grundschicht und eine Tinte aufnehmende, ein Polymer als Beizmittel der nachstehenden Formel umfassende obere Schicht befinden: in der: A Einheiten eines durch Addition polymerisierbaren Monomers mit mindestens zwei olefinisch ungesättigten Gruppen darstellt; B Einheiten eines copolymerisierbaren α,β-olefinisch ungesättigten Monomers darstellt; Q gleich N oder P ist; R1, R2 und R3 jeweils unabhängig voneinander eine carbocyclische Gruppe oder eine Alkyl-Gruppe darstellen; M– ein Anion ist; x zwischen 0,25 und 5 Molprozent liegt; y zwischen 0 und 90 Molprozent liegt; und z zwischen 10 und 99 Molprozent liegt.
- Element nach Anspruch 1, worin A eine wiederkehrende Einheit eines durch Addition polymerisierbaren Monomers mit mindestens zwei olefinisch ungesättigten Gruppen der folgenden Struktur ist: in der n eine ganze Zahl von 1 bis 10 ist; jede Gruppe R4 ist unabhängig voneinander ein Wasserstoff-Atom oder eine Methyl-Gruppe; und R5 ist eine Brückengruppe, die eine oder mehrere durch Kondensation gebildete Verknüpfungen umfasst.
- Element nach Anspruch 1, worin Q gleich N ist, R1 und R2 sind jeweils Methyl-Gruppen, R3 ist eine Benzyl-Gruppe, A ist eine Einheit eines Divinylbenzol-Monomers, und B ist eine wiederkehrende Styrol-Einheit.
- Element nach Anspruch 1, worin das Beizmittel-Polymer in Konzentrationen von 5 Gew.-% bis 25 Gew.-% in der oberen Schicht vorliegt.
- Element nach Anspruch 1, worin die Grundschicht aus Gelatine, acetylierter Gelatine, Phthalatgelatine, oxidierter Gelatine, Chitosan, Polyalkylenoxid, Polyvinylalkohol, modifiziertem Polyvinylalkohol, sulfoniertem Polyester, partiell hydrolysiertem Vinylacetat-Vinylalkohol-Copolymer, Polyacrylsäure, Poly(1-vinylpyrrolidon), polymerem Natrium-Styrolsulfonat, Poly(2-acrylamido-2-methansulfonsäure) oder Polyacrylamid oder Gemischen davon besteht.
- Element nach Anspruch 1, worin die Grundschicht Gelatine umfasst.
- Element nach Anspruch 1, worin die Grundschicht eine Dicke von 3 μm bis 20 μm und die obere Schicht eine Dicke von 0,1 μm bis 2 μm aufweist.
- Element nach Anspruch 1, worin die Grundschicht, die obere Schicht oder beide Schichten Mattierungsteilchen enthalten.
- Element nach Anspruch 1, worin die obere Schicht auch Methylcellulose und Hydroxyethylcellulose enthält.
Applications Claiming Priority (2)
| Application Number | Priority Date | Filing Date | Title |
|---|---|---|---|
| US114022 | 1998-07-10 | ||
| US09/114,022 US6045917A (en) | 1998-07-10 | 1998-07-10 | Ink jet recording element |
Publications (2)
| Publication Number | Publication Date |
|---|---|
| DE69917536D1 DE69917536D1 (de) | 2004-07-01 |
| DE69917536T2 true DE69917536T2 (de) | 2005-08-25 |
Family
ID=22352933
Family Applications (1)
| Application Number | Title | Priority Date | Filing Date |
|---|---|---|---|
| DE69917536T Expired - Lifetime DE69917536T2 (de) | 1998-07-10 | 1999-06-28 | Polymeres beizmittel enthaltendes tintenstrahl-aufzeichnungselement |
Country Status (3)
| Country | Link |
|---|---|
| US (1) | US6045917A (de) |
| EP (1) | EP0970819B1 (de) |
| DE (1) | DE69917536T2 (de) |
Families Citing this family (43)
| Publication number | Priority date | Publication date | Assignee | Title |
|---|---|---|---|---|
| JP2000326624A (ja) * | 1999-05-21 | 2000-11-28 | Canon Inc | 被記録媒体、該被記録媒体の製造方法、該被記録媒体を用いた画像形成方法 |
| US6364477B1 (en) * | 1999-12-10 | 2002-04-02 | Eastman Kodak Company | Ink jet recording element containing polymeric particles |
| US6481843B1 (en) * | 2000-07-27 | 2002-11-19 | Eastman Kodak Company | Ink jet printing method |
| US6605653B1 (en) | 2000-08-22 | 2003-08-12 | Eastman Kodak Company | Ink jet printing method |
| US6534566B1 (en) | 2000-08-22 | 2003-03-18 | Eastman Kodak Company | Ink jet ink composition |
| US6497481B1 (en) * | 2000-11-30 | 2002-12-24 | Eastman Kodak Company | Ink jet printing method |
| US6423398B1 (en) * | 2001-01-26 | 2002-07-23 | Eastman Kodak Company | Ink jet printing method |
| US6527387B2 (en) * | 2001-01-26 | 2003-03-04 | Eastman Kodak Company | Ink jet printing method |
| US6619797B2 (en) | 2001-01-26 | 2003-09-16 | Eastman Kodak Company | Ink jet printing method |
| US6347867B1 (en) | 2001-01-26 | 2002-02-19 | Eastman Kodak Company | Ink jet printing method |
| US6454404B1 (en) | 2001-01-26 | 2002-09-24 | Eastman Kodak Company | Ink jet printing method |
| US6503608B2 (en) | 2001-01-26 | 2003-01-07 | Eastman Kodak Company | Ink jet printing method |
| US6815020B2 (en) | 2001-08-31 | 2004-11-09 | Eastman Kodak Company | Ink jet recording element |
| DE60207946T2 (de) * | 2001-08-31 | 2006-08-17 | Eastman Kodak Co. | Tintenstrahlaufzeichnungselement und Druckverfahren |
| JP4272841B2 (ja) * | 2001-10-26 | 2009-06-03 | 富士フイルム株式会社 | インクジェット記録用シート |
| US20030082352A1 (en) * | 2001-10-29 | 2003-05-01 | Eastman Kodak Company | Receiver media for high quality ink jet printing |
| US20030082351A1 (en) * | 2001-10-29 | 2003-05-01 | Eastman Kodak Company | Receiver media for high quality ink jet printing |
| US6638693B2 (en) | 2001-10-29 | 2003-10-28 | Eastman Kodak Company | Process for making media for high quality ink jet printing |
| US6578960B1 (en) | 2001-10-31 | 2003-06-17 | Eastman Kodak Company | Ink jet printing method |
| EP1308310A3 (de) | 2001-10-31 | 2005-08-17 | Eastman Kodak Company | Tintenstrahlaufzeichnungselement und Druckverfahren |
| EP1308308A3 (de) | 2001-10-31 | 2005-08-17 | EASTMAN KODAK COMPANY (a New Jersey corporation) | Tintenstrahlaufzeichnungselement und Druckverfahren |
| US6629759B2 (en) | 2001-10-31 | 2003-10-07 | Eastman Kodak Company | Ink jet printing method |
| EP1308311A3 (de) | 2001-10-31 | 2005-08-17 | Eastman Kodak Company | Tintenstrahlaufzeichnungselement und Druckverfahren |
| US6699538B2 (en) | 2001-10-31 | 2004-03-02 | Eastman Kodak Company | Ink jet recording element |
| US6645581B2 (en) | 2001-10-31 | 2003-11-11 | Eastman Kodak Company | Ink jet recording element |
| US6612692B2 (en) | 2001-10-31 | 2003-09-02 | Eastman Kodak Company | Ink jet printing method |
| JP4048101B2 (ja) | 2002-11-19 | 2008-02-13 | 富士フイルム株式会社 | インクジェット記録用シート |
| US6866903B2 (en) * | 2002-12-11 | 2005-03-15 | Eastman Kodak Company | Ink jet recording element |
| CA2532177A1 (en) * | 2003-07-18 | 2005-02-10 | Andrew J. Naisby | Ink jet recording medium |
| US7150901B2 (en) * | 2003-12-05 | 2006-12-19 | Eastman Kodak Company | Plasma treatment of porous inkjet receivers |
| US7507439B2 (en) * | 2004-05-06 | 2009-03-24 | Hewlett-Packard Development Company, L.P. | Use and preparation of crosslinked polymer particles for inkjet recording materials |
| US20060100308A1 (en) * | 2004-11-09 | 2006-05-11 | Eastman Kodak Company | Overcoat composition for printed images |
| US7897655B2 (en) * | 2004-11-09 | 2011-03-01 | Eastman Kodak Company | Ink jet ink composition |
| US7833591B2 (en) * | 2006-12-29 | 2010-11-16 | Eastman Kodak Company | Image recording element comprising encapsulated mordant particles |
| US7847027B2 (en) * | 2006-12-29 | 2010-12-07 | Eastman Kodak Company | Encapsulated mordant particle dispersion and method of preparing |
| US8092874B2 (en) | 2009-02-27 | 2012-01-10 | Eastman Kodak Company | Inkjet media system with improved image quality |
| EP3380574B1 (de) | 2015-11-24 | 2019-12-25 | Eastman Kodak Company | Pigmentdispersionen und tintenstrahltintenzusammensetzungen |
| EP3380572B1 (de) | 2015-11-24 | 2020-05-13 | Eastman Kodak Company | Bereitstellung eines tintenstrahlgedruckten opaken bildes |
| WO2017172380A1 (en) | 2016-04-01 | 2017-10-05 | Eastman Kodak Company | Inkjet ink compositions and aqueous inkjet printing |
| US10189271B2 (en) | 2016-08-18 | 2019-01-29 | Eastman Kodak Company | Non-foaming aqueous particle-free inkjet ink compositions |
| US10138386B2 (en) | 2016-08-18 | 2018-11-27 | Eastman Kodak Company | Method of inkjet printing a colorless ink |
| EP3694899B1 (de) | 2017-10-11 | 2023-08-23 | Eastman Kodak Company | Wässrige tintenstrahl-tintenzusammensetzungen und tintensätze |
| EP3870653B1 (de) | 2018-10-26 | 2022-12-21 | Eastman Kodak Company | Wässrige tintenstrahltinte und tintensätze |
Family Cites Families (5)
| Publication number | Priority date | Publication date | Assignee | Title |
|---|---|---|---|---|
| US3958995A (en) * | 1974-11-19 | 1976-05-25 | Eastman Kodak Company | Photographic elements containing cross-linked mordants and processes of preparing said elements |
| JPS5736692A (en) * | 1980-08-14 | 1982-02-27 | Fuji Photo Film Co Ltd | Sheet for ink jet recording |
| JPH0717088B2 (ja) * | 1982-04-13 | 1995-03-01 | 三菱製紙株式会社 | 記録用シ−ト |
| US6223641B1 (en) * | 1996-11-12 | 2001-05-01 | Xynatech, Inc., | Perforating and slitting die sheet |
| US5789070A (en) * | 1996-12-11 | 1998-08-04 | Eastman Kodak Company | Inkjet ink image recording elements with cationically modified cellulose ether layers |
-
1998
- 1998-07-10 US US09/114,022 patent/US6045917A/en not_active Expired - Lifetime
-
1999
- 1999-06-28 DE DE69917536T patent/DE69917536T2/de not_active Expired - Lifetime
- 1999-06-28 EP EP99202094A patent/EP0970819B1/de not_active Expired - Lifetime
Also Published As
| Publication number | Publication date |
|---|---|
| EP0970819A2 (de) | 2000-01-12 |
| EP0970819A3 (de) | 2000-11-08 |
| US6045917A (en) | 2000-04-04 |
| EP0970819B1 (de) | 2004-05-26 |
| DE69917536D1 (de) | 2004-07-01 |
Similar Documents
| Publication | Publication Date | Title |
|---|---|---|
| DE69917536T2 (de) | Polymeres beizmittel enthaltendes tintenstrahl-aufzeichnungselement | |
| DE69711005T2 (de) | Tintenstrahlaufzeichnungsblatt mit einer eine kationische modifizierte Zellstoff enthaltenden Schicht | |
| DE69402573T2 (de) | Tinte empfangende Schichten | |
| DE60100580T2 (de) | Tintenstrahlaufzeichnungselement mit porösen Partikeln. | |
| DE3640359C2 (de) | ||
| DE69911157T2 (de) | Tintenstrahlaufzeichnungsmaterial, das Polyäthylenglykol und Polyvinylalkohol enthält | |
| DE3886440T2 (de) | Aufzeichnungsmittel. | |
| DE3510538C2 (de) | ||
| DE60207236T2 (de) | Tintenstrahlaufzeichnungsmedium mit aminbehandeltem siliziumdioxid | |
| DE60100371T2 (de) | Tintenstrahlaufzeichnungselement, das beschichtete Partikel enthält | |
| DE69916207T2 (de) | Tintenstrahlaufzeichnungselement | |
| DE60106678T2 (de) | Tintenstrahl-Aufzeichnungselement | |
| DE60012869T2 (de) | Aufzeichnungsmaterial, Herstellungsverfahren desgleichen und Bebilderungsverfahren | |
| DE602004008444T2 (de) | Tintenstrahlaufzeichnungselement mit teilchen und polymeren | |
| DE69918535T2 (de) | Verbesserungen in deckschichten von tintenstrahlmedien | |
| DE60010629T2 (de) | Tintenstrahl-Aufzeichnungselement | |
| DE60021340T2 (de) | Glänzendes Tintenstrahlaufzeichnungselement | |
| DE69802332T2 (de) | Aufzeichnungsmaterial | |
| DE60103096T2 (de) | Tintenstrahldruckverfahren | |
| DE60101705T2 (de) | Tintenstrahlaufzeichnungselement | |
| DE60005115T2 (de) | Tintenstrahldruckverfahren | |
| DE60008657T2 (de) | Tintenstrahlaufzeichnungselement mit einem polymeren Beizmittel | |
| DE60315064T2 (de) | Tintenstrahlaufzeichnungsmaterial | |
| DE60203568T2 (de) | Tintenstrahl-Aufzeichnungsmedien und Verfahren zu ihrer Herstellung | |
| DE60100243T2 (de) | Tintenstrahlbildempfangselement, das eingekapselte Partikel enthält |
Legal Events
| Date | Code | Title | Description |
|---|---|---|---|
| 8364 | No opposition during term of opposition |









