DE69822918T2 - Elektronisches Teil und Verfahren zu seiner Herstellung - Google Patents

Elektronisches Teil und Verfahren zu seiner Herstellung Download PDF

Info

Publication number
DE69822918T2
DE69822918T2 DE1998622918 DE69822918T DE69822918T2 DE 69822918 T2 DE69822918 T2 DE 69822918T2 DE 1998622918 DE1998622918 DE 1998622918 DE 69822918 T DE69822918 T DE 69822918T DE 69822918 T2 DE69822918 T2 DE 69822918T2
Authority
DE
Germany
Prior art keywords
polyimide
formula
group
electronic part
film
Prior art date
Legal status (The legal status is an assumption and is not a legal conclusion. Google has not performed a legal analysis and makes no representation as to the accuracy of the status listed.)
Expired - Lifetime
Application number
DE1998622918
Other languages
English (en)
Other versions
DE69822918D1 (de
Inventor
Minoru Tsukuba City Matsubara
Yasutate Tsuchiura City Inoue
Mayumi Tsuchiura City Kakuta
Igor Tsuchiura City Rozhanskii
Kohei Tsukuba City Goto
Current Assignee (The listed assignees may be inaccurate. Google has not performed a legal analysis and makes no representation or warranty as to the accuracy of the list.)
JSR Corp
Original Assignee
JSR Corp
Priority date (The priority date is an assumption and is not a legal conclusion. Google has not performed a legal analysis and makes no representation as to the accuracy of the date listed.)
Filing date
Publication date
Priority claimed from JP12477597A external-priority patent/JP3641901B2/ja
Priority claimed from JP28241297A external-priority patent/JP4045621B2/ja
Application filed by JSR Corp filed Critical JSR Corp
Publication of DE69822918D1 publication Critical patent/DE69822918D1/de
Application granted granted Critical
Publication of DE69822918T2 publication Critical patent/DE69822918T2/de
Anticipated expiration legal-status Critical
Expired - Lifetime legal-status Critical Current

Links

Classifications

    • HELECTRICITY
    • H01ELECTRIC ELEMENTS
    • H01BCABLES; CONDUCTORS; INSULATORS; SELECTION OF MATERIALS FOR THEIR CONDUCTIVE, INSULATING OR DIELECTRIC PROPERTIES
    • H01B3/00Insulators or insulating bodies characterised by the insulating materials; Selection of materials for their insulating or dielectric properties
    • H01B3/18Insulators or insulating bodies characterised by the insulating materials; Selection of materials for their insulating or dielectric properties mainly consisting of organic substances
    • H01B3/30Insulators or insulating bodies characterised by the insulating materials; Selection of materials for their insulating or dielectric properties mainly consisting of organic substances plastics; resins; waxes
    • H01B3/303Macromolecular compounds obtained by reactions forming a linkage containing nitrogen with or without oxygen or carbon in the main chain of the macromolecule, not provided for in groups H01B3/38 or H01B3/302
    • H01B3/306Polyimides or polyesterimides
    • CCHEMISTRY; METALLURGY
    • C08ORGANIC MACROMOLECULAR COMPOUNDS; THEIR PREPARATION OR CHEMICAL WORKING-UP; COMPOSITIONS BASED THEREON
    • C08GMACROMOLECULAR COMPOUNDS OBTAINED OTHERWISE THAN BY REACTIONS ONLY INVOLVING UNSATURATED CARBON-TO-CARBON BONDS
    • C08G73/00Macromolecular compounds obtained by reactions forming a linkage containing nitrogen with or without oxygen or carbon in the main chain of the macromolecule, not provided for in groups C08G12/00 - C08G71/00
    • C08G73/06Polycondensates having nitrogen-containing heterocyclic rings in the main chain of the macromolecule
    • C08G73/10Polyimides; Polyester-imides; Polyamide-imides; Polyamide acids or similar polyimide precursors
    • CCHEMISTRY; METALLURGY
    • C08ORGANIC MACROMOLECULAR COMPOUNDS; THEIR PREPARATION OR CHEMICAL WORKING-UP; COMPOSITIONS BASED THEREON
    • C08GMACROMOLECULAR COMPOUNDS OBTAINED OTHERWISE THAN BY REACTIONS ONLY INVOLVING UNSATURATED CARBON-TO-CARBON BONDS
    • C08G73/00Macromolecular compounds obtained by reactions forming a linkage containing nitrogen with or without oxygen or carbon in the main chain of the macromolecule, not provided for in groups C08G12/00 - C08G71/00
    • C08G73/06Polycondensates having nitrogen-containing heterocyclic rings in the main chain of the macromolecule
    • C08G73/10Polyimides; Polyester-imides; Polyamide-imides; Polyamide acids or similar polyimide precursors
    • C08G73/1039Polyimides; Polyester-imides; Polyamide-imides; Polyamide acids or similar polyimide precursors comprising halogen-containing substituents
    • CCHEMISTRY; METALLURGY
    • C08ORGANIC MACROMOLECULAR COMPOUNDS; THEIR PREPARATION OR CHEMICAL WORKING-UP; COMPOSITIONS BASED THEREON
    • C08GMACROMOLECULAR COMPOUNDS OBTAINED OTHERWISE THAN BY REACTIONS ONLY INVOLVING UNSATURATED CARBON-TO-CARBON BONDS
    • C08G73/00Macromolecular compounds obtained by reactions forming a linkage containing nitrogen with or without oxygen or carbon in the main chain of the macromolecule, not provided for in groups C08G12/00 - C08G71/00
    • C08G73/06Polycondensates having nitrogen-containing heterocyclic rings in the main chain of the macromolecule
    • C08G73/10Polyimides; Polyester-imides; Polyamide-imides; Polyamide acids or similar polyimide precursors
    • C08G73/1057Polyimides containing other atoms than carbon, hydrogen, nitrogen or oxygen in the main chain
    • C08G73/106Polyimides containing other atoms than carbon, hydrogen, nitrogen or oxygen in the main chain containing silicon
    • CCHEMISTRY; METALLURGY
    • C08ORGANIC MACROMOLECULAR COMPOUNDS; THEIR PREPARATION OR CHEMICAL WORKING-UP; COMPOSITIONS BASED THEREON
    • C08LCOMPOSITIONS OF MACROMOLECULAR COMPOUNDS
    • C08L79/00Compositions of macromolecular compounds obtained by reactions forming in the main chain of the macromolecule a linkage containing nitrogen with or without oxygen or carbon only, not provided for in groups C08L61/00 - C08L77/00
    • C08L79/04Polycondensates having nitrogen-containing heterocyclic rings in the main chain; Polyhydrazides; Polyamide acids or similar polyimide precursors
    • C08L79/08Polyimides; Polyester-imides; Polyamide-imides; Polyamide acids or similar polyimide precursors
    • CCHEMISTRY; METALLURGY
    • C08ORGANIC MACROMOLECULAR COMPOUNDS; THEIR PREPARATION OR CHEMICAL WORKING-UP; COMPOSITIONS BASED THEREON
    • C08LCOMPOSITIONS OF MACROMOLECULAR COMPOUNDS
    • C08L2203/00Applications
    • C08L2203/20Applications use in electrical or conductive gadgets
    • C08L2203/206Applications use in electrical or conductive gadgets use in coating or encapsulating of electronic parts
    • HELECTRICITY
    • H05ELECTRIC TECHNIQUES NOT OTHERWISE PROVIDED FOR
    • H05KPRINTED CIRCUITS; CASINGS OR CONSTRUCTIONAL DETAILS OF ELECTRIC APPARATUS; MANUFACTURE OF ASSEMBLAGES OF ELECTRICAL COMPONENTS
    • H05K1/00Printed circuits
    • H05K1/02Details
    • H05K1/03Use of materials for the substrate
    • H05K1/0313Organic insulating material
    • H05K1/032Organic insulating material consisting of one material
    • H05K1/0346Organic insulating material consisting of one material containing N
    • YGENERAL TAGGING OF NEW TECHNOLOGICAL DEVELOPMENTS; GENERAL TAGGING OF CROSS-SECTIONAL TECHNOLOGIES SPANNING OVER SEVERAL SECTIONS OF THE IPC; TECHNICAL SUBJECTS COVERED BY FORMER USPC CROSS-REFERENCE ART COLLECTIONS [XRACs] AND DIGESTS
    • Y10TECHNICAL SUBJECTS COVERED BY FORMER USPC
    • Y10STECHNICAL SUBJECTS COVERED BY FORMER USPC CROSS-REFERENCE ART COLLECTIONS [XRACs] AND DIGESTS
    • Y10S428/00Stock material or miscellaneous articles
    • Y10S428/901Printed circuit
    • YGENERAL TAGGING OF NEW TECHNOLOGICAL DEVELOPMENTS; GENERAL TAGGING OF CROSS-SECTIONAL TECHNOLOGIES SPANNING OVER SEVERAL SECTIONS OF THE IPC; TECHNICAL SUBJECTS COVERED BY FORMER USPC CROSS-REFERENCE ART COLLECTIONS [XRACs] AND DIGESTS
    • Y10TECHNICAL SUBJECTS COVERED BY FORMER USPC
    • Y10TTECHNICAL SUBJECTS COVERED BY FORMER US CLASSIFICATION
    • Y10T428/00Stock material or miscellaneous articles
    • Y10T428/31504Composite [nonstructural laminate]
    • YGENERAL TAGGING OF NEW TECHNOLOGICAL DEVELOPMENTS; GENERAL TAGGING OF CROSS-SECTIONAL TECHNOLOGIES SPANNING OVER SEVERAL SECTIONS OF THE IPC; TECHNICAL SUBJECTS COVERED BY FORMER USPC CROSS-REFERENCE ART COLLECTIONS [XRACs] AND DIGESTS
    • Y10TECHNICAL SUBJECTS COVERED BY FORMER USPC
    • Y10TTECHNICAL SUBJECTS COVERED BY FORMER US CLASSIFICATION
    • Y10T428/00Stock material or miscellaneous articles
    • Y10T428/31504Composite [nonstructural laminate]
    • Y10T428/31721Of polyimide

Landscapes

  • Chemical & Material Sciences (AREA)
  • Chemical Kinetics & Catalysis (AREA)
  • Health & Medical Sciences (AREA)
  • Medicinal Chemistry (AREA)
  • Polymers & Plastics (AREA)
  • Organic Chemistry (AREA)
  • Physics & Mathematics (AREA)
  • Spectroscopy & Molecular Physics (AREA)
  • Macromolecular Compounds Obtained By Forming Nitrogen-Containing Linkages In General (AREA)
  • Polymers With Sulfur, Phosphorus Or Metals In The Main Chain (AREA)

Description

  • Die vorliegende Erfindung betrifft ein elektronisches Teil, das ein elektrisches isolierendes Material aus einem Polyimid als Strukturkomponente umfasst und ein Verfahren zur Herstellung des elektronischen Teils. Insbesondere betrifft die vorliegende Erfindung ein elektronisches Teil, das ein elektrisch isolierendes Material mit ausgezeichneter Wärmebeständigkeit und niedriger dielektrischer Konstante als Strukturkomponente umfasst und ein Verfahren zur Herstellung des elektronischen Teils.
  • Halbleitervorrichtungen, wie ein LSI (hochintegrierter Schaltkreis), die für verschiedene elektrische Teile und elektronische Teile verwendet werden, entwickeln sich ständig hinsichtlich einer hohen Integration, Multifunktion und hoher Leistung durch die Fortschritte in den Feinprozesstechniken. Demzufolge erhöhen sich der Schaltwiderstand (nachfolgend von Zeit zu Zeit auch "Störwiderstand" genannt) und die Kapazität eines Kondensators (nachfolgend "Störkapazität" genannt). Mit diesem Anstieg des Störwiderstands und der Störkapazität gibt es ebenfalls Erhöhungen nicht nur im Hinblick auf den Stromverbrauch, sondern ebenfalls hinsichtlich der zeitlichen Verzögerung bei der Antwort auf ein Eingabesignal. Dieses ist die Primärursache einer geringen Signalgeschwindigkeit bei Halbleitervorrichtungen, woraus sich das Problem, das hier gelöst werden soll, ergeben hat.
  • Die Minimierung des obigen Störwiderstands und Störkapazität ist als Maßnahme dafür vorgeschlagen worden, diesen Abfall der Signalgeschwindigkeit zu verhindern. Eine Methode, die vorge schlagen worden ist, besteht darin, die Räume zwischen den Drähten oder der Peripherie der Drähte mit einem Isolationsfilm mit einer niedrigen dielektrischen Konstante zu bedecken, um den Störwiderstand herabzusetzen, wodurch man ein hohes Geschwindigkeitssignal erreicht.
  • Ein spezifisches Beispiel besteht darin, einen anorganischen Film, der aus Siliciumdioxid (SiO2) gebildet ist, welcher ein herkömmlicher Film ist, der zwischen Schichten verwendet wird, durch einen organischen Film mit einer niedrigen dielektrischen Konstante zu ersetzen. Das Material für diesen organischen Film muss eine ausgezeichnete elektrische Isolation und niedrige dielektrische Konstante aufweisen, um einem hohen Geschwindigkeitssignal in Halbleitervorrichtungen entsprechen zu können. Dieses Material muss ebenfalls eine ausgezeichnete Hitzebeständigkeit besitzen, um der Hitzebehandlung (Hitzeschritt) in einer Dünnfilmbildungsstufe bei einem Verfahren zur Herstellung eines Montagesubstrats oder in den Stufen der Chipverbindung oder Pinverbindung standzuhalten.
  • Hier sind Fluorharze, wie Polytetrafluorethylen (PTF) als organische Filmmaterialien mit niedriger dielektrischer Konstante bekannt. Diese Fluorharze sind allerdings in den üblichen organischen Lösungsmitteln unlöslich. Andere Nachteile der Fluorharze sind ihre schlechte Verarbeitbarkeit und ihre schlechten Handhabungseigenschaften. Außerdem haben die Fluorharze einen ökonomischen Nachteil, weil die Harze zu einer spezifischen Zusammensetzung ausgebildet werden müssen, um für diverse Anwendungen in elektronischen Teilen verwendet werden zu können. Deswegen werden die Fluorharze nur auf sehr eingeschränkten Gebieten eingesetzt.
  • So sind ebenfalls Polyimidharze im großen Umfang als hoch wärmebeständige organische Materialien bekannt. Es gibt ein bekanntes Polyimidharz mit besonders hoher Hitzebeständigkeit, das man erhält, indem 9,9-Bis[4-(4-aminophenoxy)phenyl]fluoren, das als Aminverbindung verwendet wird und ein Pyromellitsäuredianhydrid, 3,3',4,4'-Biphenyltetracarbonsäuredianhydrid, 3,3',4,4'-Diphenylsulfontetracarbonsäuredianhydrid oder 3,3',4,4'-Benzophenontetracarbonsäureanhydrid, die als Säureanhydrid verwendet wird, umgesetzt werden (J. Polymer Sci., Part A.: Polymer Chemistry, Bd. 31, 2153–2163 (1993)).
  • Obwohl diese Polyimidharze eine hohe Hitzebeständigkeit aufweisen, liegt ihre dielektrische Konstante in einem Bereich von 2,9 bis 3,5, der nicht den Anforderungen für eine Isolationsfilmschicht für Halbleiter mit Hochgeschwindigkeitssignalübertragungen genügt.
  • Ein anderes Problem mit diesem Polyimidharz ist seine geringe Löslichkeit in organischen Lösungsmitteln. Es ist nicht nur schwierig, aus dem Harz einen gleichmäßigen Dünnfilm herzustellen, so zeigt das Harz ebenfalls nur eine schlechte Verarbeitbarkeit und schlechte Handhabungseigenschaften.
  • Die US-A-3,758,434 beschreibt Polyimide mit hohem Molekulargewicht, die durch die Umsetzung von Tetracarbonsäuredianhydrid mit mindestens einem Diamin hergestellt werden. Die hergestellten Polyimide sind ähnlich denjenigen, die oben als hochhitzebeständige organische Materialien beschrieben sind.
  • Die vorliegende Erfindung ist im Hinblick auf diese Situation entstanden. Insbesondere ist die vorliegende Erfindung auf der Feststellung vervollständigt worden, dass ein Polyimid, das durch Umsetzen einer spezifischen aromatischen Diaminverbindung und einer spezifischen aromatischen Tetracarbonsäureverbindung erhalten wird, eine geringe spezifische dielektrische Konstante und eine ausgezeichnete Hitzebeständigkeit und Löslichkeit in einem Lösungsmittel aufweist.
  • Demzufolge ist eine Aufgabe der vorliegenden Erfindung, ein elektronisches Teil zur Verfügung zu stellen, das ein elektrisch isolierendes Material umfasst, das aus einem Polyimid mit einer geringen dielektrischen Konstante (spezifische dielektrische Konstante), einem hohen Hitzewiderstand und auch einer überlegenen Löslichkeit in verschiedenen Lösungsmitteln und ausgezeichneten ausgewogenen Eigenschaften gebildet ist.
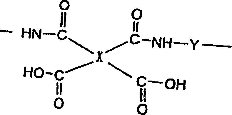
  • Die obigen Aufgaben können erfindungsgemäß durch die Bereitstellung eines elektronischen Teils gelöst werden, das, als Struktureinheit, ein elektrisch isolierendes Material (nachfolgend "vorliegendes isolierendes Material" genannt) umfasst, welches aus einem Polyimid (nachfolgend "vorliegendes Polyimid" genannt) mit einer dielektrischen Konstante von weniger als 2,9 bei einer Frequenz von 1 MHz gebildet ist, welches eine Wiederholungseinheit enthält, die durch die folgende allgemeine Formel (1) dargestellt ist: Formel (1)
    Figure 00040001
    worin X eine Gruppe bedeutet, die aus den folgenden X1 bis X6 gewählt ist, Y eine Gruppe bedeutet, die aus den folgenden Y1 bis Y3 gewählt ist, mit der Maßgabe, dass mindestens eines von X und Y ein Fluorengrundgerüst aufweist, R1 bis R9 in X1 bis X4 und Y1. und Y3 eine Alkylgruppe, eine Arylgruppe, eine Arylalkylgruppe oder eine Alkylhalogenidgruppe bedeutet, die Wiederholungszahlen n, m, p, q, s, t, w und z ganze Zahlen von 0 bis 2 bedeuten und die Wiederholungszahl r ganze Zahlen von 1 bis 2 bedeutet. Formel (X1)
    Figure 00050001
    Formel (X2)
    Figure 00050002
    worin das Symbol D eine Gruppe bedeutet, die durch die Formel -CYY'- gezeigt ist, worin Y und Y' eine Alkylgruppe oder eine Alkylhalogenidgruppe; eine Gruppe, die durch die folgende Formel dargestellt ist:
    Figure 00060001
    eine Gruppe, die durch die folgende Formel dargestellt ist:
    Figure 00060002
    oder eine Gruppe, die durch die folgende Formel gezeigt ist:
    Figure 00060003
    Formel (Y1)
    Figure 00060004
    Formel (Y2)
    Figure 00070001
    worin das Symbol A eine Gruppe -O-, -C(CH3)2- oder -C(CF3)2- bedeutet und eine Wiederholungszahl u eine ganze Zahl von 0 oder 1 bedeutet; und Formel (Y3)
    Figure 00070002
    worin das Symbol B eine Gruppe -C(CH3)2- oder -C(CF3)2-, -O-,
    Figure 00070003
    oder
    Figure 00070004
    bedeutet, und eine Wiederholungszahl v eine ganze Zahl von 0 der 1 bedeutet, bedeuten.
  • Bei der Herstellung des erfindungsgemäßen elektronischen Teils ist X bevorzugt mindestens eine Gruppe, die aus X1, X2 gewählt ist und Y bedeutet Y1 in der allgemeinen Formel (1). Diese Auswahl sichert die Herstellung eines Polyimids, das eine höhere Hitzebeständigkeit, insbesondere verbesserte dielektrische Eigenschaften (geringe dielektrische Konstante) und insbesondere eine höhere Löslichkeit in Lösungsmitteln zeigt.
  • Bei der Herstellung des erfindungsgemäßen elektronischen Teils ist X bevorzugt X1 und Y ist mindestens eine Gruppe, die aus Y1 bis Y3 in der allgemeinen Formel (1) gewählt ist. Diese Auswahl sichert die Herstellung eines Polyimids, das eine höhere Hitzebeständigkeit, insbesondere verbesserte dielektrische Eigenschaften (niedrige dielektrische Konstante) und insbesondere eine höhere Löslichkeit in Lösungsmitteln zeigt.
  • Bei der Herstellung des erfindungsgemäßen elektronischen Teils umfasst bevorzugt Y in der allgemeinen Formel (1) die folgende Gruppe Y4: Formel (Y4)
    Figure 00080001
    worin R10 eine Alkylgruppe oder eine Arylgruppe bedeutet und die Wiederholungszahl x eine ganze Zahl von 1 bis 100 bedeutet. Durch Einführung einer Siloxanverbindung in das Molekül in das Polyimids verbessert sich die Haftung dieser Filme an die Halbleitersubstrate beträchtlich.
  • Bei der Herstellung des erfindungsgemäßen elektronischen Teils liegt die innere Viskosität des Polyimids (gemessen in einem N-Methylpyrrolidonlösungsmittel bei einer Konzentration von 0,5 g/dl bei 30°C) bevorzugt in einem Bereich von 0,05 bis 10 dl/g. Es kann eine noch bessere Hitzebeständigkeit erreicht werden, wenn die inhärente Viskosität des Polyimids in diesem Bereich eingestellt wird.
  • Bei der Herstellung des erfindungsgemäßen elektronischen Teils liegt der Gehalt an Fluor im Polyimid bevorzugt in einem Bereich von 0,1 bis 30 Gew.-%. Wenn der Gehalt des Fluors im Polyamid in diesem definierten Bereich ist, erreicht man eine niedrigere dielektrische Konstante, während eine ausgezeichnete Hitzebeständigkeit erhalten bleibt. Außerdem zeigt das Polyimid mit dem obigen Fluorgehalt eine höhere Löslichkeit in einem Lösungsmittel.
  • Bei der Herstellung der erfindungsgemäßen elektronischen Teile kann das Polyimid die Wiederholungseinheit, durch die folgende allgemeine Formel (2) gezeigt ist, in einer Menge von 50 Mol-% oder weniger, bevorzugt 10 Mol-% oder weniger und insbesondere 5 Mol-% oder weniger enthalten: Formel (2)
    Figure 00100001
    worin X und Y die gleichen Bedeutungen haben, die zuvor für die Formel (1) definiert worden sind.
  • Bei der Herstellung des erfindungsgemäßen elektronischen Teils beträgt die dielektrische Konstante (Frequenz: 1 MHz) des Polyimids weniger als 2,9. Wenn die dielektrische Konstante des Polyimids in diesem Bereich liegt, können ausgezeichnete Hochfrequenzeigenschaften erhalten werden, wodurch eine Signalübertragung mit ausreichend hoher Geschwindigkeit in Halbleitervorrichtungen gesichert werden kann.
  • Bei der Herstellung der erfindungsgemäßen elektronischen Teile bildet bevorzugt das vorliegende elektrische isolierende Material eine Isolationsfilmschicht oder einen Abflachungsfilm.
  • Bei der Herstellung des erfindungsgemäßen elektronischen Teils ist das elektronische Teil bevorzugt eine Halbleitervorrichtung.
  • Eine andere Ausführungsform der vorliegenden Erfindung betrifft ein Verfahren zur Herstellung der obigen elektronischen Teile, das die folgenden Stufen (A) bis (C) aufweist
    • (A) Eine Stufe der Synthese eines Polyimids nach Anspruch 1, das die obige, durch die allgemeine Formel (1) dargestellte Wiederholungseinheit enthält und der Zugabe eines Lösungsmittels in das erhaltene Polyimid um eine Polyimidlösung herzustellen;
    • (B) eine Stufe der Laminierung der Polyimidlösung auf einem Substrat; und
    • (C) eine Stufe des Trocknens der laminierten Polyimidlösung, um ein elektronisches isolierendes Teil zu bilden.
  • Bei der Herstellung der erfindungsgemäßen elektronischen Teile ist das Lösungsmittel bevorzugt mindestens ein Lösungsmittel, das aus der Gruppe gewählt ist, die aus N-Methylpyrrolidon, N,N-Dimethylformamid, N,N-Dimethylacetamid, γ-Butyrolacton, Ethyllactat, Methoxymethylpropionat, Propylenglykolmonomethyletheracetat und Cyclohexanon besteht. Die Verwendung dieser Lösungsmittel sichert die Herstellung eines innigeren und gleichmäßigeren Polyimidfilms und damit ausgezeichnete mechanische Eigenschaften. Es kann eine höhere Hitzebeständigkeit erreicht werden.
  • Andere und weitere Aufgaben, Merkmale und Vorteile der vorliegenden Erfindung ergeben sich nun weiterhin aus der folgenden Beschreibung.
  • Kurze Beschreibung der Zeichnungen
  • 1 ist ein IR-Schaubild der in Beispiel 1 hergestellten Polycarbamoylcarbonsäure.
  • 2 ist ein IR-Schaubild des in Beispiel 1 hergestellten Polyimidharzes.
  • 3 ist ein IR-Schaubild der in Beispiel 2 hergestellten Polycarbamoylcarbonsäure.
  • 4 ist ein IR-Schaubild des in Beispiel 2 hergestellten Polyimidharzes.
  • 5 ist ein IR-Schaubild der in Beispiel 3 hergestellten Polycarbamoylcarbonsäure.
  • 6 ist ein IR-Schaubild des in Beispiel 3 hergestellten Polyimidharzes.
  • 7 ist ein IR-Schaubild der in Beispiel 4 hergestellten Polycarbamoylcarbonsäure.
  • 8 ist ein IR-Schaubild des in Beispiel 4 hergestellten Polyimidharzes.
  • 9 ist ein IR-Schaubild der in Beispiel 5 hergestellten Polycarbamoylcarbonsäure.
  • 10 ist ein IR-Schaubild des in Beispiel 5 hergestellten Polyimidharzes.
  • 11 ist ein IR-Schaubild der in Beispiel 6 hergestellten Polycarbamoylcarbonsäure.
  • 12 ist ein IR-Schaubild des in Beispiel 6 hergestellten Polyimidharzes.
  • 13 ist ein IR-Schaubild der in Beispiel 8 hergestellten Polycarbamoylcarbonsäure.
  • 14 ist ein IR-Schaubild des in Beispiel 8 hergestellten Polyimidharzes.
  • 15 ist ein IR-Schaubild der in Beispiel 9 hergestellten Polycarbamoylcarbonsäure.
  • 16 ist ein IR-Schaubild des in Beispiel 9 hergestellten Polyimidharzes.
  • 17 ist ein IR-Schaubild des in Beispiel 10 hergestellten Polyimidharzes.
  • Detaillierte Beschreibung der Erfindung und bevorzugte Ausführungsformen
  • Die Ausführungsformen der elektronischen Teile und das erfindungsgemäße Verfahren werden nun im Einzelnen erklärt.
  • 1. Elektronische Teile
  • Es gibt keine Einschränkung hinsichtlich der elektronischen Teile der vorliegenden Erfindung, mit der Maßgabe, dass diese das vorliegende isolierende Material als Strukturkomponente, mindestens zum Teil oder insgesamt, enthalten. Bevorzugt sind die elektronischen Teile Isolationsfilmschichten, Anflachungsfilme, Kondensatorisolationsfilme, die insgesamt in Halbleitervorrichtungen verwendet werden, Hochfrequenzschaltplattenmaterialien, flexible gedruckte Schaltmaterialien, TAB-Bandmaterialien und Filmträgersubstrate, die das vorliegende isolierende Material enthalten.
  • Beispiele für das vorliegende Polyamid, das das vorliegende elektrisch isolierende Material ausmacht, umfassen die unten gezeigten Polyimidharze und Polycarbamoylcarbonsäure als Vorläufer der Polyimidharze oder irgendeine dieser Verbindungen (diese Verbindungen werden einfach von Zeit zu Zeit "Polyimid" genannt).
  • (1) Synthese 1 des Polyimdis
  • Bei der Synthese des Polyimids (Polyimidharz) und der Polycarbamoylcarbonsäure können die aromatischen Tetracarbonsäureverbindungen, die durch X1 oder X2 oben dargestellt sind und die aromatischen Diaminverbindungen, die durch Y1 bis Y3 dargestellt sind, verwendet werden. Insbesondere werden die unten gezeigten aromatischen Tetracarbonsäureverbindungen und aromatischen Diaminverbindungen bevorzugt verwendet.
  • (1) X1
  • Beispiele für die aromatische Tetracarbonsäureverbindung, dargestellt durch X1, sind 9,9-Bis[4-(3,4-dicarboxyphenoxy)phenyl]fluorendianhydrid, gezeigt durch Formel (3), und 9,9-Bis[4-(3,4-dicarboxyphenoxy)-3-phenyl)phenyl]fluorendianhydrid, gezeigt durch die Formel (4) oder Derivate davon. Formel (3)
    Figure 00150001
    Formel (4)
    Figure 00150002
    9,9-Bis[4-(3,4-dicarboxyphenoxy)phenyl]fluorendianhydrid, gezeigt durch Formel (3), und 9,9-Bis[4-(3,4-dicarboxyphenoxy)-3-phenyl)phenyl]fluorendianhydrid, gezeigt durch die Formel (4) sind als aromatische Tetracarbonsäureverbindungen für die Verwendungen der vorliegenden Erfindung erwünscht, weil diese Verbindungen die Herstellung eines Polyimids mit einer geringeren dielektrischen Konstante und hohen Hitzebeständigkeiten ermöglichen.
  • Diese durch X1 dargestellten aromatischen Tetracarbonsäureverbindungen können entweder einzeln oder in Kombinationen aus zwei oder mehreren eingesetzt werden.
  • (2) X2
  • Beispiele für die aromatischen Tetracarbonsäureverbindungen umfassen 2,2-Bis(3,4-dicarboxyphenyl)hexafluorpropandianhydrid, dargestellt durch die Formel (5) oder seine Derivate, 4,4'-Bis(3,4-dicarboxyphenoxy)octafluorbiphenyldianhydrid, dargestellt durch die Formel (6) oder seine Derivate, 2,2-Bis[4-(3,4-dicarboxyphenoxy)phenyl]hexafluorpropandianhydrid, dargestellt durch die Formel (7) und seine Derivate, 1,4-Bis(3,4-dicarboxyphenoxy)tetrafluorbenzendianhydrid, dargestellt durch die Formel (8) oder seine Derivate und 9,9-Bis[4-(3,4-dicarboxyphenyl)phenyl]fluorendianhydrid, dargestellt durch die Formel (9) oder seine Derivate.
  • Formel (5)
    Figure 00170001
  • Formel (6)
    Figure 00170002
  • Formel (7)
    Figure 00170003
  • Formel (8)
    Figure 00180001
  • Formel (9)
    Figure 00180002
  • Unter diesen Verbindungen ist insbesondere 2,2-Bis(3,4-dicarboxyphenyl)hexafluorpropandianhydrid, dargestellt durch die Formel (5) oder 2, 2-Bis[4-(3,4-dicarboxyphenoxy)phenyl]hexafluorpropandianhydrid, dargestellt durch die Formel (7) als aromatische Tetracarbonsäureverbindung für die Anwendung in der vorliegenden Erfindung im Hinblick auf die Her stellung eines Polyamids mit einer geringeren dielektrischen Konstante erwünscht.
  • Diese aromatischen Tetracarbonsäureverbindungen, die durch X2 dargestellt sind, können entweder einzeln oder in Kombinationen aus zwei oder mehreren verwendet werden.
  • (7) Y1
  • Beispiele für die aromatischen Diaminverbindungen umfassen 9,9-Bis[4-(4-aminophenoxy)phenyl]fluoren, dargestellt durch die Formel (14) oder seine Derivate, 9,9-Bis[4-(4-amino-2-methylphenoxy)phenyl]fluoren, dargestellt durch die Formel (15) oder seine Derivate, 9,9-Bis[4-(4-amino-2-trifluormethylphenoxy)phenyl]fluoren dargestellt durch die Formel (16) oder seine Derivate, 9,9-Bis[4-(4-amino-2-methylphenoxy)-3-methylphenyl]fluoren, dargestellt durch die Formel (17) oder seine Derivate, 9,9-Bis[4-(4-amino-2-trifluormethylphenoxy)-3-methylphenyl]fluoren, dargestellt durch die Formel (18) oder seine Derivate, 9,9-Bis[4-(4-amino-2-trifluormethylphenoxy)-3,5-dimethylphenyl]fluoren, dargestellt durch die Formel (19) oder seine Derivate, 9,9-Bis[4-(4-aminophenoxy)-3-phenylphenyl]fluoren, dargestellt durch die Formel (20) oder seine Derivate und 9,9-Bis[4-(4-amino-2-trifluormethylphenoxy)-3-phenylphenyl]fluoren, dargestellt durch die Formel (21) oder seine Derivate.
  • Formel (14)
    Figure 00200001
  • Formel (15)
    Figure 00200002
  • Formel (16)
    Figure 00200003
  • Formel (17)
    Figure 00210001
  • Formel (18)
    Figure 00210002
  • Formel (19)
    Figure 00210003
  • Formel (20)
    Figure 00220001
  • Formel (21)
    Figure 00220002
  • Diese durch Y1 dargestellten aromatischen Diaminverbindungen können entweder einzeln oder in Kombination aus zwei oder mehreren eingesetzt werden.
  • Unter diesen Verbindungen werden insbesondere 9,9-Bis[4-(4-aminophenoxy)phenyl]fluoren, dargestellt durch die Formel (14), 9,9-Bis[4-(4-amino-2-trifluormethylphenoxy)-phenyl]fluoren, dargestellt durch die Formel (16), 9,9-Bis[4-(4-aminophenoxy)- 3-phenylphenyl]fluoren, dargestellt durch die Formel (20) und 9,9-Bis[4-(4-amino-2-trifluormethylphenoxy)-3-phenylphenyl]fluoren, dargestellt durch die Formel (21) wünschenswerterweise im Hinblick auf die Herstellung eines Polyimids mit einer geringeren Elektrizitätskonstante und im Hinblick auf die Verbesserung der Löslichkeit in einem Lösungsmittels verwendet.
  • (8) Y2
  • Beispiele für die aromatischen Diaminverbindungen, dargestellt durch Y2, umfassen 2, 2-Bis[4-(4-aminophenoxy)phenyl]propan, dargestellt durch die Formel (22) oder seine Derivate, 2,2-Bis[4-(4-aminophenoxy)phenyl]-1,1,1,3,3,3-hexafluorpropan, dargestellt durch die Formel (23) oder seine Derivate und 4,4-Bis[4-(4-aminophenoxy)octafluorobiphenyl, dargestellt durch die Formel (24) oder seine Derivate.
  • Formel (22)
    Figure 00230001
  • Formel (23)
    Figure 00230002
  • Formel (24)
    Figure 00240001
  • (9) Y3
  • Beispiele für die aromatischen Diaminverbindungen umfassen 2,2-Bis-(4-aminophenyl)-1,1,1,3,3,3-hexafluorpropan, dargestellt durch die Formel (25) oder seine Derivate, Bis(4-aminophenoxy)-1,3-benzol, dargestellt durch die Formel (26) oder seine Derivate, 9,9-Bis(4-aminophenyl)fluoren, dargestellt durch die Formel (27) oder seine Derivate, 9,9-Bis(4-amino-3-methylphenyl)fluoren, dargestellt durch die Formel (28) oder seine Derivate, 2,2'-Bis(trifluormethyl)benzidin, dargestellt durch die Formel (29) oder seine Derivate und 4,4'-Oxydianilin (zeitweilig als "ODA" abgekürzt), dargestellt durch die Formel (30) oder seine Derivate.
  • Formel (25)
    Figure 00240002
  • Formel (26)
    Figure 00250001
  • Formel (27)
    Figure 00250002
  • Formel (28)
    Figure 00250003
  • Formel (29)
    Figure 00260001
  • Formel (30)
    Figure 00260002
  • (2) Synthese 2 des Polyimids
  • Bei der Synthese des Polyimids, das für die erfingsgemäßen elektronischen Teile verwendet wird, ist es erwünscht, dass Y in der Formel (1) die Gruppe, die durch Y4, wie oben erwähnt, dargestellt ist, enthält. Diese Einführung einer Siloxanverbindung in das Molekül des Polyimids verbessert die Haftung dieser Filme, wozu ein Isolationsfilm, ein Anflachungsfilm, ein Kondensatorisolationsfilm und dergleichen zählen, an Halbleitersubstrate.
  • Eine Siloxanverbindung, wie
    1,3-Bis(3-aminopropyl)tetramethylsiloxan,
    1,3-Bis(3-aminopropyl)tetramethylsiloxan,
    α,ω-Bis(3-aminopropyl)polydimethylsiloxan (n = 5),
    α,ω-Bis(3-aminopropyl)polydimethylsiloxan (n = 9),
    α,ω-Bis(3-aminophenyl)polydimethylsiloxan (n = 5),
    α,ω-Bis(3-aminophenyl)polydimethylsiloxan (n = 9)
    kann verwendet werden, um die durch Y4 dargestellte Gruppe in das Polyimidmolekül einzuführen.
  • Diese Siloxanverbindungen werden wünschenwerterweise mit der aromatischen Tetracarbonsäureverbindung in Kombination mit der aromatischen Diaminverbindung bei der Polyimidsynthese umgesetzt. Diese Siloxanverbindungen können entweder unabhängig voneinander oder in Kombinationen aus zwei oder mehreren eingesetzt werden.
  • Obwohl es keine Einschränkungen hinsichtlich der Gehalts der durch Y4 dargestellten Gruppe gibt, ist es bevorzugt, dass der Gehalt der durch Y4 dargestellten Gruppe in einem Bereich von 1 bis 30 Mol-%, auf 100 Mol-% der Aminkomponente im Polyimid, das die durch Y4 dargestellte Gruppe enthält, liegt. Wenn der Gehalt der durch Y4 dargestellten Gruppe weniger als 1 Mol-% beträgt, kann es dazu kommen, dass mit dieser Zugabe kein Effekt bewirkt wird. Andererseits, ein Gehalt über 30 Mol-% kann dazu führen, dass Absenkungen der Glasübergangstemperatur und der 5%igen Wärmezersetzungstemperatur des Polyimids verursacht werden.
  • Deswegen liegt der Gehalt der durch Y4 dargestellten Gruppe im Polyimid in einem Bereich von bevorzugt von 3 bis 20 Mol-%, insbesondere 5 bis 15 Mol-%.
  • Bei der Synthese des Polyimids, das für die erfindungsgemäßen elektronischen Teile verwendet wird, ist es wünschenswert, dass der Gehalt der Wiederholungseinheit, die durch die allge meine Formel (2) dargestellt ist, 50 Mol-% oder weniger, auf 100 Mol-% der gesamten Wiederholungseinheiten, beträgt. Wenn der Gehalt der Wiederholungseinheit, die durch die allgemeine Formel (2) dargestellt ist, 50 Mol-% überschreitet, kann es dazu kommen, dass die Glasübergangstemperatur und die 5%ige Wärmezersetzungstemperatur des erhaltenen Polyimids abfallen. Außerdem wird es weiterhin schwierig, einen dichten Dünnfilm zu bilden.
  • Deswegen liegt der Gehalt der durch die allgemeine Formel (2) dargestellten Wiederholungseinheit bevorzugt bei 40 Mol-% oder weniger und insbesondere 30 Mol-% oder weniger, auf 100 Mol-% der gesamten Wiederholungseinheiten.
  • (3) Additive für das Polyimid
  • Es ist wünschenswert, ein Silankopplungsmittel in das Polyimid, das für die elektronischen Teile der vorliegenden Erfindung verwendet wird, hinzuzufügen. Die Zugabe des Silankopplungsmittels in das Polyimid verbessert beträchtlich die Haftung dieser Filme als Isolationsfilmschicht, Anflachungsfilm und Kondensatorisolationsfilm an die Basis in den Halbleitervorrichtungen.
  • Es gibt keine spezifischen Einschränkungen hinsichtlich der Arten der Silankopplungsmittel. Die folgenden Silankopplungsmittel können, beispielsweise entweder einzeln oder in Kombination aus zwei oder mehreren verwendet werden.
    γ-Aminopropyltrimethoxysilan,
    γ-Aminopropyltriethoxysilan,
    γ-Aminopropyldimethoxymethylsilan,
    γ-Aminopropyldiethoxymethylsilan,
    γ-Glycidoxypropyltrimethoxysilan,
    γ-Glycidoxypropyltriethoxysilan,
    γ-Glycidoxypropyldimethoxymethylsilan, und
    γ-Glycidoxypropyldiethoxymethylsilan.
  • Es gibt keine Einschränkungen hinsichtlich des Gehalts des Silankopplungsmittels. Beispielsweise liegt der Gehalt des Silankopplungsmittels wünschenswerterweise in einem Bereich von 0,1 bis 30 Gew-Teilen, auf 100 Gew-Teile Polyimid. Wenn der Gehalt des Silankopplungsmittels geringer als 0,1 Gew-Teile ist, kann es dazu kommen, dass der Effekt dieser Zugabe nur schwach ist, während, wenn der Gehalt 30 Gew-Teile überschreitet, dann kann es dazu kommen, dass sich das Silankopplungsmittel nur schwierig gleichmäßig mit dem Polyimid vermischen lässt. Deswegen liegt der Gehalt des Silankopplungsmittels bevorzugt in einem Bereich von 0,5 bis 20 Gew-Teilen und insbesondere von 1,0 bis 10 Gew-Teilen, auf 100 Gew-Teile Polyimid, um einen effektiveren Zugabeeffekt zu erreichen, so dass es leicht vermischt und dispergiert werden kann.
  • Es ist ebenfalls wünschenswert, dass man ein Lösungsmittel in das Polyimid, das für die erfindungsgemäßen elektronischen Teile verwendet wird, hinzufügt, um eine Polyimidlösung (zeitweilig "Polyimidlack") zu bilden. Diese Zugabe eines Lösungsmittels in das Polyimid macht es möglich, eine Isolationsfilmschicht, einen Anflachungsfilm und einen Kondensatorisolationsfilm in Halbleitern als gleichmäßigeren und dichteren Dünnfilm ausbilden zu können. Die Bildung der Polyimiddünnfilme aus dieser Polyimidlösung verbessert beträchtlich die Haftung dieser Dünnfilme an die Halbleitersubstrate.
  • (4) Eigenschaften des Polyimids
  • Es ist wünschenswert, und im Falle von 4. wesentlich, dass das Polyimid, das für die elektronischen Teile der vorliegenden Erfindung verwendet wird, die folgenden Eigenschaften 1. bis 6. erfüllt:
    • 1. Eine innere Viskosität (gemessen in einem N-Methyl-2-pyrrolidon-Lösungsmittel bei einer Konzentration von 0,5 g/dl bei 30°C), die in einem Bereich von 0,05 bis 10 dl/g liegt,
    • 2. eine Glasübergangstemperatur, die in einem Bereich von 230°C oder höher liegt,
    • 3. eine 5%ige Wärmezersetzungstemperatur (in Stickstoffgas bei einer Temperaturerhöhung von 10°C/Min), die in einem Bereich von 400°C oder höher liegt,
    • 4. eine spezifische dielektrische Konstante (bei einer Frequenz von 1 MHz), die in einem Bereich von weniger als 2,9 liegt,
    • 5. einen Volumenwiderstand, der in einem Bereich von 1 × 1015 oder mehr liegt und
    • 6. ein Fluorgehalt in einem Bereich von 0,1 bis 30 Gew.-%, wenn das Polyimid Fluor enthält.
  • Diese Eigenschaften des Polyimids werden nun im Einzelnen beschrieben.
  • 1. Innere Viskosität
  • Die innere Viskosität des Polyimids, gemessen bei einer Konzentration von 0,5 g/dl bei einer Temperatur von 30°C unter Verwendung von N-Methyl-2-pyrrolidon (nachfolgend zeitweilig als NMP abgekürzt) als Lösungsmittel, liegt bevorzugt in einem Bereich von 0,05 bis 10 dl/g.
  • Wenn die innere Viskosität weniger als 0,05 dl/g beträgt, dann kann das Molekulargewicht zu klein sein, und es kann dazu kommen, dass die Hitzebeständigkeit (Wärmezersetzungstemperatur) erniedrigt ist. Außerdem kann es dazu kommen, dass die Filmbildung negativ beeinflusst wird, was zu schlechten Beschichtungseigenschaften führt. Andererseits ist ein Polyimid mit einer inneren Viskosität von über 10 dl/g eine makromolekulare Verbindung, die dazu neigt, dass sie schlecht verarbeitbar und schlecht verwendbar ist.
  • Aus Sicht einer ausgewogenen Hitzebeständigkeit und Verarbeitbarkeit, liegt ein noch bevorzugterer Bereich der inneren Viskosität des Polyimids bei 0,1 bis 4 dl/g.
  • 2. Glasübergangstemperatur (Tg)
  • Es ist erwünscht, dass die Glasübergangstemperatur des Polyimids 230°C oder höher ist und insbesondere im Bereich von 240 bis 600°C liegt. Wenn die Glasübergangstemperatur des Polyimids weniger als 230°C beträgt, kann es zu einer Zerstörung durch Hitze kommen, wenn das Material bei einer hohen Temperatur (z. B. in einem Verfahren, wobei eine Lötbeständigkeit erforderlich ist) verarbeitet wird. Die Glasübergangstemperatur des Polyimids wird aus den Übergangspunkten der spezifischen Hitze des Polyimids, die mit einem DSC (Differenzialabtastkolorimeter)-Apparat gemessen werden, bestimmt.
  • 3. 5%ige Wärmezersetzungstemperatur
  • Es ist erwünscht, dass das Polyimid eine 5%ige Wärmezersetzungstemperatur von 400°C oder mehr aufweist, insbesondere bevorzugt 430°C oder mehr. Wenn die 5%ige Wärmezersetzungstemperatur des Polyimids weniger als 400°C beträgt, kann es dazu kommen, dass sich Krackgas während der Verarbeitung bei einer hohen Temperatur, wie beim Löten, bildet. Außerdem kann ein Ablösen und Aufquellen des Lots in den gelöteten Bereichen auftreten. Das Polyimid kann sich während der Verdrahtungsprozesse unter hohen Temperaturbedingungen (in der Regel bei einer Temperatur von 400°C oder höher) zersetzen.
  • Die 5%ige Wärmezersetzungstemperatur des Polyimids wird gemessen, indem das Polyimid bei einer Rate von 10°C/Min in Stickstoff unter Verwendung von TGA gemessen. Die 5%ige Wärmezersetzungstemperatur wird als die Temperatur definiert, bei der das Gewicht einer gemessenen Probe sich um 5 Gew.-% verringert, das heißt, das Gewicht der Probe kommt auf einen Wert von 95 Gew.-% während des Erhitzens, unter der Annahme, dass das Gewicht der gemessenen Probe am Start der Messung 100 Gew.-% beträgt.
  • 4. Spezifische dielektrische Konstante (1 MHz)
  • Die spezifische dielektrische Konstante (bei einer Frequenz von 1 MHz) des Polyimids beträgt weniger als 2,9, insbesondere 2,8 oder weniger, wobei eine spezifische dielektrische Konstante von 2,70 ideal ist. Eine spezifische dielektrische Konstante für das Polyimid von mehr als 2,9 ist unerwünscht, wegen der schwachen elektrischen Isolationseigenschaften gegen über hohen Frequenzen. Beispielsweise können Probleme aufgrund schwacher dielektrischer Eigenschaften, wie Probleme im Zusammenhang mit einem verzögerten Verdrahtungsprozess und Hitzeerzeugung, nicht gelöst werden.
  • Die spezifische dielektrische Konstante (ε) wird wie folgt bestimmt. So wird insbesondere eine Polyimidprobe zwischen die Elektroden eines Instruments zur Messung der dielektrischen Konstante eingesetzt, um die elektrostatische Kapazität des Polyimids zu messen, wobei eine Hochfrequenz von 1 MHz angelegt wird. Die spezifische dielektrische Konstante (ε) wird aus der folgenden Formel berechnet: ε = C × d/(ε0 × S)worin C die elektrostatische Kapazität bedeutet, d die Dicke der Polyimidprobe bedeutet, ε0 die dielektrische Konstante im Vakuum bedeutet und S der Elektrodenbereich bedeutet.
  • 5. Volumenwiderstand
  • Der Volumenwiderstand des Polyimids beträgt bevorzugt 1 × 1015 oder mehr und insbesondere bevorzugt 1 × 1016 oder mehr.
  • Wenn der Volumenwiderstand des Polyimids weniger als 1 × 1015 beträgt, können die elektrischen Isolationseigenschaften schwach sein, so dass das Produkt nicht für die Anwendung als elektrisches Teil geeignet ist.
  • Der Volumenwiderstand des Polyimids wird gemessen, indem eine Polyimidprobe zwischen den Elektronen eines Messgeräts für den volumetrischen Widerstand eingesetzt wird und eine hohe Spannung von 100 Volt für 30 Sekunden angelegt wird.
  • 6. Fluorgehalt
  • Wenn das Polyimidfluor (nachfolgend Fluor enthaltendendes Polyimid genannt) enthält, liegt der Fluorgehalt (nachfolgend der Fluoratomgehalt genannt) bevorzugt in einem Bereich von 0,1 bis 30 Gew.-%. Die spezifische dielektrische Konstante neigt dazu höher zu werden, wenn der Fluoratomgehalt geringer als 0,1 Gew.-% ist. Wenn andererseits der Fluoratomgehalt mehr als 30 Gew.-% beträgt, ist nicht nur die Wärmebeständigkeit des Polyimids beeinträchtigt, sondern es kann dabei auch dazu kommen, dass sich während des Erhitzens Fluorgas oder Wasserstofffluoridgas bildet. Darüber hinaus kann es dazu kommen, dass die Verarbeitbarkeit, wie die Haftung und das Auftragen an bzw. auf die Substrate (Laminierungsoberfläche) der elektrischen Teile beeinträchtigt wird.
  • Deswegen sollte wegen des Gleichgewichts zwischen dem Wert des spezifischen dielektrischen Konstante und der Hitzebeständigkeit des Fluor enthaltenden Polyimids der Fluoratomgehalt in dem Fluor enthaltenden Polyimitats in einem Bereich von 1 bis 25 Gew.-% liegen.
  • Der Fluoratomgehalt im Polyimids wird durch NMR unter Verwendung von Benzotrifluorid als Standardmaterial gemessen.
  • (5) Form des Polyimids
  • Es gibt keine speziellen Einschränkungen hinsichtlich der Form des Polyimids als elektrisches isolierendes Material in den erfindungsgemäßen elektronischen Teilen. Das Polyimid kann beispielsweise als Isolationsfilm zwischen den Drahtschichten innerhalb einer Halbleitervorrichtung oder eines Multichipmoduls (MCM), als elektrisch isolierender Film, wie als Isolationsfilm für Kondensatoren oder als Abflachungsfilm zur Abflachung der verdrahteten Multischichten, eine Oberflächenschutzschicht für die Drähte, und als Substrat für flexible Schaltkreise verwendet werden. Demzufolge kann das Polyimid in jeder Form, wie als Film, Folie, feste Pellets oder als Paste, vorliegen. Da die erfindungsgemäßen elektronischen Teile eine geringe spezifische dielektrische Konstante aufweisen, sind diese Teile insbesondere für die Anwendung als Dünnfilm geeignet, wie als isolierender Film zwischen Schichten und als Abflachungsfilm, wobei dielektrische Eigenschaften erforderlich sind.
  • Es ist bevorzugt, dass die erfindungsgemäßen elektronischen Teile mindestens 5 Gew.-% des Polyamids in 100 Gew.-% der Zusammensetzung insgesamt enthalten. Wenn der Gehalt des Polyimids weniger als 5 Gew.-% beträgt, kann die spezifische dielektrische Konstante groß werden und die Hitzebeständigkeit kann schlechter werden. Um eine ausgezeichnete dielektrische Konstante und eine ausgezeichnete Hitzebeständigkeit sicherzustellen, sollte der Gehalt des Polyimids 10 Gew.-% oder mehr und bevorzugt 50 Gew.-% oder mehr betragen.
  • (1) Isolierender Film zwischen Halbleiterschichten (Isolierende Filmschicht)
  • Es werden Silikonsubstrate mit Halbleiter-ICs, die darauf aufgebracht sind, und Halbleitersubstrate, wie Metallplatten oder Keramikplatten mit Schutzbeschichtungen, wie einem Siliciumoxidfilm, beschichtet, wobei spezifische Schaltkreisbereiche ausgespart werden. Es werden Leiterschichten für die Verdrahtung, die aus Aluminium oder dergleichen bestehen, auf den exponierten Schaltkreisbereichen gebildet.
  • Es wird eine Polyimidlösung auf das Halbleitersubstrat, auf dem diese Leiterschichten (Verdrahtung) gebildet sind, nach einer Schleudermethode (Walzenbeschichtungsmethode) oder dergleichen beschichtet. Dann wird das Lösungsmittel durch eine Wärmbehandlung entfernt, um einen Polyimidfilm als isolierenden Film zwischen den Schichten zu bilden.
  • Über dem isolierenden Film können Durchgangslöcher vorgesehen werden, oder es kann eine separate Verdrahtung gebildet werden, wobei herkömmliche Methoden angewendet werden, um somit eine Vielschichtstruktur des integrierten Halbleiterschaltkreises herzustellen.
  • 2. Abflachungsfilm für Halbleiter
  • Wenn Halbleiter-ICs mit einer Vielschichtstruktur hergestellt werden, werden oftmals Abflachungsfilme zwischen den Verdrahtungen gebildet, die in vertikaler Richtung angeordnet sind, um die jeweiligen Drähte in der vertikalen Richtung gleichmä ßig auszubilden. Insbesondere, wie oben erwähnt, wird ein Anflachungsfilm mit einer gleichmäßigen Dicke über die isolierenden Filmschichten zwischen den Drähten ausgebildet. Dann wird ein Teil der Oberfläche dieses Anflachungsfilms geschliffen, um eine flache und glatte und Oberfläche herzustellen. Man kann eine weitere Verdrahtung mit einer gleichmäßige Dicke auf diesen Anflachungsfilm vorsehen. Darüber hinaus kann man eine hervorragende Isolierung zwischen den Drähten in der vertikalen Richtung durch Vorsehen dieser Anflachungsfilme sicherstellen.
  • Das Polyimid für die erfindungsgemäßen elektronischen Teile ist für die Verwendung als Anflachungsfilm aufgrund seiner niedrigen dielektrischen Konstante, hervorragenden Hitzebeständigkeit und Fähigkeit, Dünnfilme herzustellen, geeignet.
  • 3. Flexible Vielschichtenschaltplatte
  • Die Fluor enthaltende Polyimidlösung (Lack) der vorliegenden Erfindung wird kontinuierlich auf ein rostfreies Band, z. B. unter Verwendung einer T-Düse oder dergleichen, aufgetragen. Als nächstes wird das Lösungsmittel, das in der Fluor enthaltenden Polyimidlösung enthalten ist, unter vorbeschriebenen Hitzebehandlungsbedingungen (in der Regel bei einer Temperatur von 200 bis 300°C) verdampft, um einen Film (in der Regel mit einer Dicke von 2 bis 100 μm) aus dem Fluor enthaltenden Polyimidharz herzustellen.
  • Dann wird Kupfer über den Fluor enthaltenden Polyimidfilm unter Anwendung eines Trockenprozesses, beispielsweise mit einer Sputtertechnik unter Vakuumbedingungen oder in einem Plattie rungsbad unter Anwendung eines Nassprozesses, abgeschieden, womit ein flexibles, kupferlaminiertes Substrat hergestellt wird.
  • Als nächstes wird die Fluor enthaltende Polyimidlösung wieder auf das flexible, kupferlaminierte Substrat laminiert, um einen Polyimidfilm herzustellen. Auf diese Weise kann eine flexible Vielschichtenschaltplatte hergestellt werden.
  • Das oben erwähnte Polyamid ist ein ideales Material zur Herstellung von flexiblen Vielschichtensubstraten, die niedrige dielektrische Eigenschaften aufweisen müssen.
  • 2. Verfahren zur Herstellung von elektronischen Teilen
  • Das Verfahren zur Herstellung der erfindungsgemäßen elektronischen Teile umfasst die folgenden Stufen (A) bis (C).
    • (A) Eine Stufe zur Herstellung einer Polyimidlösung, die ein Polyimid nach Anspruch 1 mit einer Wiederholungseinheit, die durch die erwähnte allgemeine Formel (1) dargestellt ist, enthält.
    • (B) Eine Stufe zum Auftragen der Polyimidlösung auf ein Substrat.
    • (C) Eine Stufe zur Bildung eines elektrisch isolierenden Materials durch Trocknen der Polyimidlösung.
  • (1) Stufe (A)
  • Als erstes wird die Polycarbamoylcarbonsäure mit der Wiederholungseinheit, die durch die oben erwähnte allgemeine Formel (2) gezeigt ist, hergestellt, indem die oben erwähnte aromatische Diaminverbindung und die aromatische Tetracarbonsäuredianhydridverbindung in einem Lösungsmittel umgesetzt werden.
  • Zweitens, es wird eine Hitzeimidbildungsmethode oder eine chemische Imidbildungsmethode für die Imidbildung der Polycarbamoylcarbonsäure angewendet, um das Polyimid (Polyimidlösung), die eine Wiederholungseinheit, die durch die oben erwähnte allgemeine Formel (1) dargestellt ist, enthält, herzustellen.
  • Als Hitzeimidbildungsmethode kann man eine Methode anwenden, bei der die Polycarbamoylcarbonsäure, so wie sie ist, erhitzt wird. Es können die gleichen organischen Lösungsmittel, die für die Herstellung der Polycarbamoylcarbonsäure verwendet werden, als Lösungsmittel zur Herstellung der Polycarbamoylcarbonsäurelösung verwendet werden.
  • Wenn die Hitzeamidbildungsmethode angewendet wird, kann ein Polyimidpulver oder -lösung erhalten werden, indem die Polycarbamoylcarbonsäure erhitzt wird. Es wird eine Erwärmungstemperatur in einem Bereich von in der Regel von 80 bis 300°C, bevorzugt von 100 bis 200°C, angewendet.
  • Um die Entfernung von Wasser als Nebenprodukt zu erleichtern, kann die Hitzeimidbildungsmethode in Gegenwart eines Entwässerungsmittels durchgeführt werden, das eine Komponente sein kann, die in der Lage ist, mit Wasser azeotrop abdestilliert zu werden und aus dem Wasser bei der Entfernung aus dem System abgetrennt zu werden. Aromatische Kohlenwasserstoffe, wie Benzol, Toluol und Xylol sind Beispiele für diese Entwässerungsmittel. Außerdem kann ein tertiäres Amin als Katalysator verwendet werden, um die Dehydratisierungs/Cyclisierungsreaktion bei der Hitzeimidbildungsmethode zu beschleunigen. Dieses als Katalysator verwendete tertiäre Amin umfasst aliphatische tertiäre Amine wie Trimethylamin, Triethylamin, Tri-n-propylamin, Triisopropylamin und Tri-n-butylamin; aromatische tertiäre Amine, wie N,N-Dimethylanilin und N,N-Diethylanilin; und heterocyclische tertiäre Amine, wie Pyridin, Chinolin und Isochinolin. Es gibt keine spezifischen Einschränkungen hinsichtlich der Menge des eingesetzten Katalysators. In der Regel ist eine Menge im Bereich von 10 bis 40 Gew-Teilen, auf 100 Gew-Teile Polycarbamoylcarbonsäure, anwendbar.
  • Bei der chemischen Amidbildungsmethode wird die Polycarbamoylcarbonsäure in einer Lösung dehydratisiert und in Gegenwart eines Cyclisierungsmittels in das Polyamid cyclisiert, um ein Polyimid in Form eines Pulvers oder einer Lösung herzustellen. Das gleiche organische Lösungsmittel wie für die Herstellung der Polycarbamoylcarbonsäure kann als Lösungsmittel in dieser Methode eingesetzt werden.
  • Säureanhydride, wie Essigsäureanhydrid, Propionsäureanhydrid und Milchsäureanhydrid sind Cyclisierungsmittel, die bei der chemischen Imidbildungsmethode verwendet werden. Diese Cycliserungsmittel können entweder einzeln oder in Kombinationen aus zwei oder mehreren verwendet werden. Es gibt keine speziellen Einschränkungen hinsichtlich der Menge des verwendeten Cyclisierungsmittels. In der Regel eine Menge im Bereich von 2 bis 100 Molen, bevorzugt von 2 bis 50 Molen, auf ein Mol der Wiederholungseinheit, die durch die allgemeine Formel (2) dargestellt ist.
  • Es wird bei der chemischen Imidbildungsreaktion eine Reaktionstemperatur im Bereich von 0 bis 200°C angewendet. Man kann die gleichen tertinären Amine wie bei der Hitzeimidbildungsmethode als Katalysator ebenfalls bei der chemischen Imidbildungsmethode verwenden.
  • Es ist erwünscht, die Katalysatoren und Cyclisierungsmittel, die entweder bei der Hitzeimidbildungsmethode oder der chemischen Imidibildungsmethode verwendet werden, zu entfernen. Insbesondere kann das Lösungsmittel nach einer Methode, bei der die erhaltene Polyimidlösung kondensiert wird, einer Methode, bei der mit einer Flüssigkeit, die mit dem Lösungsmittel, das bei der Imidbildungsreaktion verwendet wird, nicht mischbar ist, extrahiert wird, oder einer Methode, bei der die Polyimidlösung zu einem schwachen Lösungsmittel für das Polyimid gegeben wird, entfernt werden, um das Polyimid als Prüfer zu gewinnen, wonach dann das Pulver in einem Lösungsmittel wieder gelöst wird.
  • Darüber hinaus können in der Stufe (A) die Diaminverbindungen und die Säureanhydridverbindungen, die nicht den oben erwähnten aromatischen Diaminverbindungen und aromatischen Tetracarbonsäuredianhydridverbindungen entsprechen, hinzugegeben werden, um die Reaktionsrate zu steuern und die Eigenschaften der erhaltenen Polyimidverbindungen einzustellen.
  • Das in Stufe (A) erhaltene Produkt umfasst eine große Menge Polycarbamoylcarbonsäure als Vorläufer des Polyimids. Demzufolge wird manchmal die Polyimidlösung, die nach der Vervoll ständigung der Stufe (A) erhalten wird, als Polycarbamoylcarbonsäure bezeichnet.
  • Die Reaktion für die Synthese des Polyamids wird bevorzugt in Gegenwart von mindestens einem Lösungsmittel durchgeführt, das aus der Gruppe besteht, die aus N-Methylpyrrolidon, N,N-Dimethylformamid, N-N-Dimethylacetamid, γ-Butyrolacton, Ethyllactat, Methoxymethylpropionat, Propylenglykolmonomethyletheracetat und Cyclohexanon besteht.
  • Diese Lösungsmittel sind gute Lösungsmittel für ein Polyimid, das Polycarbamoylcarbonsäure umfasst. Außerdem kann das in einem Lösungsmittel synthetisierte Polyamid für die Herstellung von elektronischen Teilen in Form der Polyimidlösung selbst verwendet werden. Deswegen ist die Synthese des Polyamids unter Verwendung dieser Lösungsmittel ebenfalls aus der Sicht prozessualer Vorteile erwünscht.
  • Ebenso können die Verbindungen, die herkömmlicherweise bei der Synthese von Polyimid verwendet werden, wie N-Methylmethoxyacetamid, N-Dimethylmethoxyacetamid, N-Diethylmethoxyacetamid, N-Methylcaprolactam, 1,2-Dimethoxyethan, Diethylenglykoldimethylether, Tetrahydrofuran, 1,3-Dioxan, 1,4-Dioxan, Pyridin, Picolin, Dimethylsulfon und Tetramthylharnstoff, entweder einzeln oder in Kombination mit den oben erwähnten Lösungsmitteln, verwendet werden.
  • Außerdem ist es erwünscht, mindestens eines der oben beschriebenen Lösungsmittel in das Polyimid (das Polycaramoylcarbonsäure enthalten kann) nach der Synthese zu geben. In diesem Fall liegt die Menge des hinzugefügten Lösungsmittels bevorzugt in einem Bereich von 150 bis 3.000 Gew-Teilen, auf 100 Gew-Teile des Polyimids. Die Zugabe des Lösungsmittels in diesem Bereich sichert nicht nur die Herstellung einer Polyimidlösung, die eine geeignete Viskosität besitzt, sondern ebenfalls erleichterte Verarbeitungsvorgänge, wie das Trocknen.
  • Im Hinblick darauf, einen dichten und dünnen Film zu erhalten, sollte die Viskosität der Polyimidlösung, die durch Vermischen des Lösungsmittels erhalten wird, in einem Bereich von 10 bis 100.000 mPas (10 bis 10.000 cps) (gemessen bei 25°C) und insbesondere von 100 bis 5.000 mPas (100 bis 5.000 cps) liegen.
  • (2) Stufe (B)
  • Die Laminierung (Auftragung der Polyimidlösung auf ein Substrat kann nach herkömmlichen Methoden bei allgemein üblichen Bedingungen ohne irgendwelche spezifischen Einschränkungen durchgeführt werden, vorausgesetzt, dass die Verwendung einer Schleuderauftragmaschine oder dergleichen, um Schichten aus der Polyimidlösung gleichmäßig zu laminieren, erwünscht ist, um eine isolierende Filmschicht, einen Anflachungsfilm oder einen Kondensatorisolationsfilm in einer Halbleitervorrichtung auszubilden.
  • In Stufe (B) kann die Polycarbamoylcarbonsäurelösung anstelle der Polyimidlösung verwendet werden. In diesem Fall wird die Imidbildung in Stufe (C) durchgeführt.
  • (2) Stufe (C)
  • Das Trocknen der laminierten Schichten aus der Polyimidlösung zur Bildung elektrisch isolierender Filme, die aus Polyimid bestehen, kann nach einem herkömmlichen Verfahren unter üblichen Bedingungen durchgeführt werden. Insbesondere wird die Polyimidlösung, die die Polycarbamoylcarbonsäure enthält, nach einer Hitzeimidbildungsmethode getrocknet, um schließlich eine isolierende Filmschicht, einen Anflachungsfilm oder einen Kondensatorisolationsfilm in einer Halbleitervorrichtung auszubilden. Es ist ein Erhitzen in einem Temperaturbereich von 100 bis 400°C bevorzugt.
  • Wenn die chemische Imidbildungsmethode zur Bildung dieser Dünnfilme angewendet wird, ist es erwünscht, ein Cyclisierungsmittel in einer Polyimidlösung vor der Behandlung der Lösung bei 0 bis 200°C hinzuzufügen.
  • Andere Merkmale der Erfindung werden nun im Laufe der folgenden Beschreibung der beispielhaften Ausführungsformen ersichtlich, die allerdings nur zur Erläuterung der Erfindung dienen und nicht dafür gedacht sind, die Erfindung darauf zu beschränken.
  • BEISPIELE
  • Beispiel 1
  • Synthese des Polyimids
  • 276,8 g N,N-Dimethylformamid wurden in einen Reaktionsbehälter, der mit einem Rührer, einem Rückflusskühler und einer Stickstoffeinleitungsröhre ausgestattet war, gegeben und sorgfältig in 26, 633 g (50 mMol) 9, 9-Bis[4-(4-aminophenoxy)phenyl]fluoren gelöst. Nach der Zugabe von 22,213 g (50 mMol) 2,2-Bis(3,4-dicarboxyphenyl)-1,1,1,3,3,3-hexafluorpropandianhydrid wurde die Mischung bei Raumtemperatur für 5 Stunden unter Verwendung eines Rührers bewegt, um eine Fluor enthaltende Polycarbamoylcarbonsäure herzustellen. Die innere Viskosität dieser Fluor enthaltenden Polycarbamoylcarbonsäurelösung wurde unter Verwendung von N,N-Dimethylformamid als Lösungsmittel bei 30°C bei einer Konzentration von 0,5 g/dl gemessen, um zu bestätigen, dass die innere Viskosität einen geeigneten Wert von 0,80 dl/g aufwies. Ebenfalls wurde die erhaltene Lösung nach der FT-IR-Methode, wie in 1 gezeigt, gemessen.
  • Dann wurden 80 ml Xylol in diese Fluor enthaltende Polycarbamoylcarbonsäurelösung gegeben, und die Mischung wurde für 3 Stunden unter Rückfluss bei einer Temperatur von 200°C erhitzt, um so eine Fluor enthaltende Polyimidlösung aus der Fluor enthaltenden Polycaramoylcarbonsäure herzustellen. Das Wasser, das durch die Polykondensationsreaktion entstand, wurde durch azeotrope Destillation entfernt.
  • Nach der Entfernung des Wassers wurde überschüssiges Xylol aus der Fluor enthaltenden Polyimidlösung durch Destillation entfernt.
  • Es wurde wieder N,N-Dimethylformamid als Lösungsmittel hinzugefügt, um eine Fluor enthaltende Polyimidlösung mit einem ausgetauschten Lösungsmittel zu erhalten. Die innere Viskosität dieser Polyimidlösung wurde unter Verwendung von N,N-Dimethylformamid als Lösungsmittel bei 30°C bei einer Konzentration von 0,5 g/dl gemessen, um zu bestätigen, dass die innere Viskosität einen geeigneten Wert von 0,81 dl/g aufwies. Somit wurde die Herstellung eines höheren Polymers bestätigt. Das erhaltene Polymer wurde ebenfalls mit der FT-IR-Methode, wie in 2 gezeigt ist, gemessen.
  • Löslichkeit des Polyimids in Lösungsmittel
  • Es wurde N,N-Dimethylformamid in die erhaltene Lösung des Fluor enthaltenden Polyamids gegeben, um die Konzentration des Polyamids auf 3 Gew.-% einzustellen. Diese Fluor enthaltende Polyimidlösung mit einer eingestellten Polyimidkonzentration wurde in Methanol auf das 10-fache Volumen gegeben, um das Polyimid auszufällen. Das ausgefällte Polyimid wurde filtriert und getrocknet, und man erhielt ein Polyimidpulver. Es wurde bestätigt, dass dieses Pulver vollständig in N-Methylpyrrolidon löslich war. Es wurden Dimethylformamid, Dimethylacetamid und γ-Butyrolacton an stelle von N-Methylpyrrolidon verwendet, um zu bestätigen, dass das Polyimidpulver ebenfalls in diesen Lebensmitteln vollständig löslich war.
  • Dieser Löslichkeitstest des Polyimidpulvers wurde ebenfalls für die Polyimidpulver, die in den nachfolgenden Beispielen 2 bis 10 hergestellt werden, durchgeführt, um zu bestätigen, dass die in diesen Beispielen erhaltenen Polyimidpulver vollständig in den organischen Lösungsmitteln N-Methylpyrrolidon, Dimethylformamid, Dimethylacetamid und γ-Butyrolacton löslich sind.
  • Herstellung des Polyimidfilms
  • Die Polyimidfilme aus den ersten, zweiten und dritten Fluor enthaltenden Polyimidharzen wurden aus der Fluor enthaltenden Polycarbamoylcarbonsäurelösung oder der Polyimidlösung nach der folgenden Methode hergestellt.
    • (1) Die Fluor enthaltende Polycarbamoylcarbonsäure wurde auf ein SUS304-Substrat der Schleuderbeschichtung (Rotations/Beschichtungsmethode) aufgetragen. Der aufgetragene Film wurde allmählich von Raumtemperatur auf 80°C, 140°C, 200°C, 250°C und 300°C erhitzt, wobei jede Temperatur für eine Dauer von 20 Minuten aufrechterhalten wurde, um so einen ersten Polyimidfilm aus dem Fluor enthaltenden Polyimidharz mit einer Dicke von 11,2 m herzustellen.
    • (2) Die Fluor enthaltende Polyimidlösung wurde auf ein SUS304-Substrat durch Schleuderbeschichtung (Walzenbeschichtung)-Methode aufgetragen. Der beschichtete Film wurde allmählich von Raumtemperatur auf 80°C, 140°C und 200°C erhitzt, während jede Temperatur für eine Dauer von 20 Minuten gehalten wurde, um einen zweiten Polyi midfilm aus einem Fluor enthaltenden Polyimidharz mit einer Dicke von 30 μm herzustellen.
    • (3) Die Fluor enthaltende Polycarbamoylcarbonsäurelösung wurde über eine Glasplatte gegossen und allmählich auf 80°C, 140°C, 200°C, 250°C und 300°C erhitzt, während jede Temperatur für eine Dauer von 20 Minuten gehalten wurde, um einen dritten Polyimidfilm aus einem Fluor enthaltenden Polyimidharz mit einer Dicke von 45 μm herzustellen.
  • Bewertung der Polyimidfilme
  • (1) Messung der spezifischen dielektrischen Konstante (ε)
  • Eine Probe zur Messung der spezifischen dielektrischen Konstante wurde hergestellt, indem eine Goldelektrode durch Maskenabscheidung auf dem ersten Polyimidfilm hergestellt wurde. Die spezifische dielektrische Konstante (ε) wurde nach der folgenden Methode unter Verwendung dieser Probe gemessen.
  • Insbesondere, die elektrostatische Kapazität bei 1 MHz des Polyimidfilms aus dem Fluor enthaltenden Polyimidharz wurde unter Verwendung eines LCR-Meßgeräts 4284A, hergestellt von Yokogawa-Hewlett-Packard, Ltd., gemessen. Die spezifische dielektrische Konstante (ε) wurde bestimmt, indem diese elektrostatische Kapazität auf die zuvor beschriebene Formel angewendet wurde.
  • Im Ergebnis ist bestätigt worden, dass die spezifische dielektrische Konstante für den ersten Polyimidfilm aus dem Fluor enthaltenden Polyimidharz einen ausreichend geringen Wert von 2,82 aufwies.
  • Die spezifische dielektrische Konstante des zweiten Polyimids wurde auf die gleiche Weise wie in dem ersten Polyimidfilm gemessen, um zu bestätigen, dass dieser zweite und dritte Polyimidfilm ebenfalls einen Wert von 2,82 aufwiesen. Die gleiche Messung wurde für den dritten Polyimidfilm durchgeführt, um zu zeigen, dass alle diese Filme den gleichen Wert für die spezifische dielektrische Konstante aufwiesen. Deswegen wurde nur der dritte Polyimidfilm in der folgenden Bewertung verwendet.
  • (2) Messung des Volumenwiderstands
  • Der Volumenwiderstand des dritten Polyimidfilms (Dicke 30 μm) aus dem Fluor enthaltenden Polyimidharzes auf einem Glassubstrat wurde unter Verwendung eines Messinstruments für den Vilumenwiderstand (hergestellt von Advantest Co., R8340A Ultrahigh Resistance Meter) gemessen, um zu zeigen, dass der dritte Polyimidfilm einen Wert für den Volumenwiderstand von 6 × 1016 Ω-cm aufwies.
  • (3) Messung der Glasübergangstemperatur (Tg)
  • Die Glasübergangstemperatur des dritten Polyimidfilms aus dem Fluor enthaltenden Polyimid auf einem Glassubstrat wurde unter Anwendung einer Differenzialabtastkalorimeters (DSC) in einer Stickstoffatmosphäre bei einer Rate der Temperaturerhöhung von 20°C/Min gemessen, um zu zeigen, dass der dritte Polyimidfilm eine Glasübergangstemperatur (Tg) von 293°C aufwies.
  • (4) Messung der 5%igen Wärmezersetzungstemperatur (Td5)
  • Die 5%ige Wärmezersetzungstemperatur (Td5) des dritten Polyimidfilms aus dem Fluor enthaltenden Polyimidharz auf einem Glassubstrat wurde durch Erhitzen der Probe bei einer Rate von 10°C/Min in Stickstoff unter Verwendung eines Thermogravitätsanalysators (TGA) gemessen. Die 5%ige Wärmezersetzungstemperatur (Td5) wurde als Temperatur bestimmt, bei der das Gewicht der Probe um 5 Gew.-% während des Erhitzens geringer wurde, unter der Annahme, dass das Gewicht der Probe am Start der Messung 100 Gew.-% betrug.
  • Im Ergebnis wies der Fluor enthaltende Polyimidfilm eine 5 Gew.-%ige Wärmezersetzungstemperatur (Td5) von 534°C auf.
  • (5) Messung des Fluorgehalts
  • Der Fluorgehalt wurde nach der NMR-Methode unter Verwendung von Benzotrifluorid als Standardsubstanz nach dem Lösen des Fluorid enthaltenden Polyimidharzes in d6DMSO gemessen.
  • Im Ergebnis wies der Fluorgehalt des Fluor enthaltenden Polyimids einen Wert von 12,1 Gew.-% auf.
  • Beispiele 2–10
  • Es wurden Polyamide in der gleichen Weise wie in Beispiel 1 hergestellt, mit der Ausnahme, dass die in Tabelle 1 gezeigten aromatischen Diaminverbindungen und Tetracarbonsäuredianhydride verwendet wurden. Die innere Viskosität (ηinh), die spezifische dielektrische Konstante (ε), die Glasübergangstemperatur (Tg), die 5%ige Wärmezersetzungstemperatur (Td5) und der Volu menwiderstand der erhaltenen Polyimide (der dritten Polyimidfilme) wurden in der gleichen Weise wie in Beispiel 1 gemessen. Die erhaltenen Ergebnisse sind in Tabelle 1 gezeigt. Es wurden ebenfalls einige Lösungen und Polymere nach der FT-IR-Methode, wie in den 3 bis 17 gezeigt ist, gemessen.
  • Insbesondere wurden in Beispiel 2 26,633 g 9,9-Bis[4-(4-aminophenoxy)phenyl]fluoren als aromatische Diaminverbindung, die die Y1-Konstruktion ergibt und 32,131 g 9,9-Bis[4-(3,4-dicarboxyphenoxy)phenyl]fluorendianhydrid als Tetracarbonsäuredianhydrid, das eine X1-Konstruktion ergibt, verwendet.
  • In Beispiel 3 wurden 2,633 g 9,9-Bis[4-(4-aminophenoxy)phenyl]fluoren als aromatische Diaminverbindung, die die Y1-Konstruktion ergibt, verwendet, und es wurden 3,974 g 9,9-Bis[4-(3,4-dicarboxyphenoxy)-3-phenylphenylphenyl]fluorendianhydrid als Tetracarbonsäuredianhydrid, das die X1-Konstruktion ergibt, verwendet.
  • In Beispiel 4 wurden 2,633 g 9,9-Bis[4-(4-aminophenoxy)phenyl]fluoren als aromatische Diaminverbindung, die eine Y1-Konstruktion ergibt, verwendet, und es wurden 3,142 g 2,2-Bis[4-(3,4-dicarboxyphenoxy)phenyl]-1,1,1,3,3,3-hexafluorpropandianhydrid als Tetracarbonsäuredianhydrid, das die X1-Konstruktion ergibt, verwendet.
  • In Beispiel 5 wurden 3,424 g 9,9-Bis[4-(4-aminophenoxy)-3-phenylphenyl]fluoren als aromatische Diaminverbindung, die die Y1-Konstruktion ergibt, verwendet, und es wurden 2,221 g 2,2-Bis[4-(3,4-dicarboxyphenyl)-1,1,1,3,3,3-hexafluorpropan dianhydrid als Tetracaronsäuredianhydrid, das die X2-Konstruktion ergibt, verwendet.
  • In Beispiel 6 wurden 3,424 g 9,9-Bis[4-(4-aminophenoxy)-3-phenylphenyl]fluoren als aromatische Diaminverbindung, die eine Y1-Konstruktion ergibt, verwendet, und es wurden 3,142 g 2,2-Bis[4-(3,4-dicarboxYphenoxyphenyl)-1,1,1,3,3,3-hexafluorpropandianhydrid als Tetracaronsäuredianhydrid, das eine X2-Konstruktion ergibt, verwendet.
  • In Beispiel 7 wurden 4,104 g 9,9-Bis[4-(4-amino-2-trifluormethylphenoxy)-3-phenylphenyl]fluoren als aromatische Diaminverbindung, die eine Y1-Konstruktion ergibt, verwendet, und es wurden 3,213 g 9,9-Bis[4-(3,4-dicarboxyphenoxy)phenyl)fluorendianhydrid als Tetracaronsäuredianhydrid, das eine X1-Konstruktion ergibt, verwendet.
  • In Beispiel 8 wurden 4,104 g 9,9-Bis[4-(4-amino-2-trifluormethylphenoxy)-3-phenylphenyl]fluoren als aromatische Diaminverbindung, die eine Y1-Konstruktion ergibt, verwendet, und es wurden 3,074 g 9,9-Bis[4-(3,4-dicarboxyphenoxy)-3-phenylphenyl]fluorendianhydrid, das eine X1-Konstruktion ergibt, verwendet.
  • In Beispiel 9 wurden 4,104 g 9,9-Bis[4-(4-amino-2-trifluormethylphenoxy)-3-phenylphenyl]fluoren als aromatische Diaminverbindung, die eine Y1-Konstruktion ergibt, verwendet, und es wurden 3,142 g 2,2-Bis[4-(3,4-dicarboxyphenyl)-1,1,1,3,3,3-hexafluorpropandianhydrid als Tetracaronsäuredianhydrid, das eine X2-Konstruktion ergibt, verwendet.
  • In Beispiel 10 wurden 4,104 g 9,9-Bis[4-(4-amino-2-trifluormethylphenoxy)-3-phenylphenyl]fluoren als aromatische Diaminverbindung, die eine Y1-Konstruktion ergibt, verwendet, und es wurden 3,142 g 2,2-Bis[4-(3,4-dicarboxyphenoxy)phenyl]-1,1,1,3,3,3-hexafluorpropandianhydrid als Tetracaronsäuredianhydrid, das eine X2-Konstruktion ergibt, verwendet.
  • Vergleichsbeispiel 1
  • In Vergleichsbeispiel 1 wurde ein kommerziell erhältlicher Polyimidfilm (CaptonTM, hergestellt von Du Pont de Nemours & Co.) bewertet. Die Ergebnisse sind in Tabelle 1 gezeigt.
  • Figure 00540001
  • Beispiel 11
  • Das Lösungsmittel der Fluor enthaltenden Polyimidlösung in Beispiel 1 wurde durch γ-Butyrolacton ersetzt, um eine Fluor enthaltende Polyimidlösung mit einer Feststoffkonzentration von 5% Gew.-% herzustellen. Es wurde N-(2-Aminoethyl)-3-aminopropylmethyldimethoxysilan, das ein Silankopplungsmittel ist, in diese Lösung in einer Menge von 5 Gew.-%, auf das Fluor enthaltende Polyimidharz, gegeben.
  • Die Polyimidlösung, in die dieses Silankopplungsmittel gegeben wurde, wurde nach dem Schleuderbeschichtungsverfahren auf ein Siliciumwafer mit durch Verdampfung abgeschiedenem Aluminium aufgetragen. Das Siliciumwafer, auf das Fluor enthaltende Polyimidharz laminiert worden war, wurde dann in einem sauberen Ofen bei 100°C für 10 Minuten, bei 150°C für 10 Minuten und 200°C für 10 Minuten erhitzt. Der auf diese Weise erhaltene Polyimidfilm mit einer Dicke von 3 μm wurde wie folgt bewertet.
  • (1) Messung der spezifischen dielektrischen Konstante
  • Die spezifische dielektrische Konstante (1 MHz) des Polyimidfilms wurde gemessen, und man hat festgestellt, dass er eine niedrige spezifische dielektrische Konstante von 2,82 aufwies. Dieser Film wurde in einem Stickstoffgas in einem temperatursteuerbaren Ofen bei 300°C für 1 Stunde erhitzt, und seine spezifische dielektrische Konstante wurde gemessen. Die Änderung der spezifischen dielektrischen Konstante vor und nach dem Erhitzen lag innerhalb von 3%.
  • (2) Messung der Filmdicke
  • Die Filmdicke des erhaltenen Polyimidfilms wurde für einen Bereich von 5 cm2 unter Verwendung eines Eichgeräts vom Kontaktfingertyp gemessen. Die Änderung (Unterschied) der Filmdicke in dem beschichteten Bereich betrug 1% oder weniger, was bestätigte, dass der Polyimidfilm flach und gleichmäßig war.
  • (3) Hafttest
  • Der Kreuzschnitthafttest nach JIS K 5400 wurde mit dem Polyimidfilm durchgeführt, um zu bestätigen, dass es keine abgelösten Quadrate unter 100 Quadraten gab, was eine außerordentlich gute Haftung des Polyimidfilms an die Siliciumwafer anzeigte.
  • (4) PCT-Test
  • Die Hitzebeständigkeit in der Nässe des Polyimidfilms wurde nach einem Druckkochertest (PCT-Test) bei den Bedingungen von 121°C, einer Feuchtigkeit von 100% und 2 Atmosphären für 24 Stunden getestet. Die Probe wurde dann dem Kreuzschnitthafttest nach JIS K 5400 unterworfen. Im Ergebnis trat keine Ablösung von Quadraten unter 100 Quadraten auf. Es wurden ebenfalls keine Risse beobachtet. Die spezifische dielektrische Konstante des Polyimidfilms nach dem PCT-Test wurde gemessen, und man hat gefunden, dass die Änderung der dielektrischen Konstante nach dem Test sehr gering war, das heißt, innerhalb von 3% der dielektrischen Konstante vor dem Test.
  • (5) Bewertung der Ätzeigenschaften
  • Die Fluor enthaltende Polyimidlösung, in die das zuvor erwähnte Silankopplungsmittel gegeben wurde, wurde auf einen Siliciumwafer durch Schleuderbeschichten aufgetragen, getrocknet und hitzebehandelt bei 100°C für 10 Minuten, bei 150°C für 10 Minuten, dann bei 200°C für 10 Minuten, um einen Polyimidfilm mit einer Dicke von 3 μm herzustellen.
  • Ein Novolackresist vom Positivtyp wurde auf die Oberfläche des Polyimidfilms in einer Dicke von 1,5 μm aufgetragen, wonach dann mit Ultraviolettstrahlen durch eine Maske belichtet wurde und anschließend unter Verwendung einer alkalischen Entwicklungslösung entwickelt wurde, und man erhielt ein Resistmuster. Dann wurde der Polyimidfilm trocken geätzt unter Verwendung eines Ätzgases mit einer Zusammensetzung O2/CF4 = 75/25.
  • Im Ergebnis wurde die Bildung eines Polyimidfilmmusters mit einem L&S (Linie/Raum = 50/50) von 1 μm, bestehend aus dem Fluor enthaltenden Polyimidharz durch ein optisches Mikroskop bestätigt.
  • Somit wurde gezeigt, dass das erfindungsgemäße wurde gezeigt, dass das erfindungsgemäße Fluor enthaltende Polyimidharz für die Herstellung von Mustern, die eine hohe Präzision erfordern, beispielsweise als elektronisches Material zur Herstellung einer flexiblen Schaltplatte, geeignet ist.
  • Die Ätzeigenschaften wurden ebenfalls nach der oben beschriebenen Methode mit der Fluor enthaltenden Polyimidlösung, die in Beispiel 1 erhalten wurde, in die kein Silankopplungsmittel gegeben wurde, bewertet. Insbesondere wurde ein Polyimidfilm mit einer Dicke von 3 μm durch Schleuderbeschichten der Fluor enthaltenden Polyimidlösung auf einem Siliciumwafer hergestellt. Es wurde ein Resistmuster auf einem Novolackresist vom Positivtyp mit einer Dicke von 1,5 μm auf dem Polyimidfilm gebildet. Das Trockenätzen wurde unter Verwendung eines Ätzgases mit der Zusammensetzung O2/CF4 = 75/25 durchgeführt.
  • Im Ergebnis wurde die Bildung eines Polyimidfilmmusters mit einem L&S (Linie/Raum = 50/50) von 1 μm, (das heißt, eine Linienbreite von 0,5 μm und eine Raumbreite von 0,5 μm) mit einem optischen Mikroskop bestätigt.
  • Wie oben erwähnt wurde, zeigt das erfindungsgemäße Polyimid, dass als elektrisch isolierendes Material verwendet wird, eine niedrige dielektrische Konstante, eine ausgezeichnete Hitzebeständigkeit, eine überlegene Haftung an Substrate und eine außerordentlich gute Oberflächenglätte. Des weiteren wurde bestätigt, dass das Polyimid in vielen organischen Lösungsmitteln löslich ist.
  • Das Fluor enthaltende Polyimidharz ist daher ein geeignetes elektrisch isolierendes Material für die Verwendung als isolierende Filmschicht oder Anflachungsfilm in einer Halbleitervorrichtung oder in einem Multichipmodul (MCM).
  • Die elektrischen oder elektronischen Produkte, die das erfindungsgemäße Polyimid umfassen, welches aus einer spezifischen aromatischen Diaminverbindung und einem spezifischen aromatischen Tetracarbonsäureanhydrid synthetisiert ist, zeigen eine geringe spezifische dielektrische Konstante und sind reaktiv auf Signale in einer Halbleitervorrichtung bei hoher Geschwindigkeit aufgrund des Einschlusses der Wiederholungseinheit, die in der allgemeinen Formel (1) dargestellt ist.
  • Der Einschluss der Wiederholungseinheit, die in der allgemeinen Formel (1) gezeigt ist, sichert weiterhin, dass das Polyimid eine hohe Hitzebeständigkeit, eine hohe Löslichkeit in den verschiedensten Lösungsmitteln, eine leichte Handhabung und Verarbeitung in elektrische oder elektronische Produkte zeigt.
  • Außerdem ist das Fluor enthaltende Polyimid der vorliegenden Erfindung aufgrund der ausgezeichneten Löslichkeit in verschiedenen üblichen Lösungsmitteln, aufgrund der überlegenen Oberflächenglätte und der Ätzeigenschaften einfach zu handhaben, so dass bei der Verwendung als isolierende Filmschicht oder Anflachungsfilm in einer Halbleitervorrichtung das Polyimid beispielsweise eine Halbleitervorrichtung zur Verfügung stellt, die hoch verlässlich ist und einer erhöhten Geschwindigkeit gerecht wird.
  • Offensichtlich sind viele Modifikationen und Variationen der vorliegenden Erfindung im Licht der obigen Lehren möglich. Es ist daher selbstverständlich, dass innerhalb des Umfangs der beigefügten Ansprüche die Erfindung auch anders als vorliegend spezifisch beschrieben durchgeführt werden kann.
  • Es werden elektronische Teile und ein Verfahren zur Herstellung der elektronischen Teile zur Verfügung gestellt. Die elektronischen Teile umfassen ein elektrisch isolierendes Material, das eine hohe Hitzebeständigkeit und eine niedrige dielektrische Konstante als Struktureinheit zeigt.
  • Das elektrisch isolierende Material wird aus einem Polyimid, das eine Wiederholungseinheit, die durch die folgende Formel (1) dargestellt ist, enthält, hergestellt.
  • Formel (1)
    Figure 00600001

Claims (9)

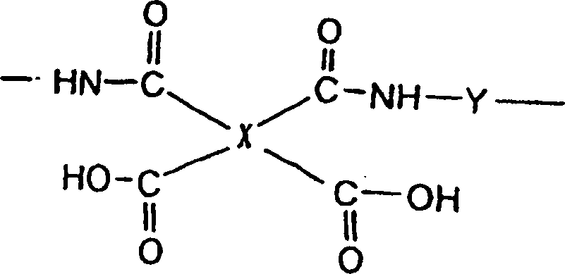
  1. Elektronisches Teil, das, als Strukturkomponente, ein elektrisch isolierendes Material umfasst, das aus einem Polyimid mit einer dielektrischen Konstante von weniger als 2,9 bei einer Frequenz von 1 MHz gebildet ist, welches eine Wiederholungseinheit enthält, die durch die folgende allgemeine Formel (1) dargestellt ist: Formel (1)
    Figure 00610001
    worin X eine Gruppe bedeutet, die aus den folgenden X1 und X2 gewählt ist, Y eine Gruppe bedeutet, die aus den folgenden Y1 bis Y3 gewählt ist, mit der Maßgabe, dass, wenn X X1 ist, Y mindestens eine Gruppe bedeutet, die aus Y1 bis Y3 gewählt ist, und wenn X X2 ist, ist Y Y1, und vorausgesetzt, dass mindestens eines von X und Y ein Fluorengrundgerüst aufweist, bedeuten R1 bis R9 in X1 und X2 und Y1 und Y3 eine Alkylgruppe, eine Arylgruppe, eine Arylalkylgruppe oder eine Alkylhalogenidgruppe, bedeuten die Wiederholungszahlen n, m, p, q, s, t, w und z ganze Zahlen von 0 bis 2 und bedeutet r ganze Zahlen von 1 bis 2, Formel (X1)
    Figure 00620001
    Formel (X2)
    Figure 00620002
    worin das Symbol D eine Gruppe bedeutet, die durch die Formel -CYY'- dargestellt ist, worin Y und Y' eine Alkylgruppe oder eine Alkylhalogenidgruppe; eine Gruppe der folgenden Formel:
    Figure 00620003
    eine Gruppe der folgenden Formel:
    Figure 00630001
    oder eine Gruppe der folgenden Formel:
    Figure 00630002
    bedeutet; Formel (Y1)
    Figure 00630003
    Formel (Y2)
    Figure 00630004
    worin das Symbol A eine Gruppe -O-, -C(CH3)2 oder -C(CF3)2- bedeutet und eine Wiederholungszahl u eine ganze Zahl von 0 oder 1 bedeutet; und Formel (Y3)
    Figure 00640001
    worin das Symbol eine Gruppe -C(CH3)2-, -C(CF3)2, -O-,
    Figure 00640002
    oder
    Figure 00640003
    bedeutet und eine Wiederholungszahl v eine ganze Zahl von 0 oder 1 bedeutet.
  2. Elektronisches Teil nach Anspruch 1, worin Y in der allgemeinen Formel (1) die folgende Gruppe Y4 umfasst:
    Figure 00640004
    worin R 10 eine Alkylgruppe oder eine Arylgruppe bedeutet und eine Wiederholungszahl x eine ganze Zahl von 1 bis 100 bedeutet.
  3. Elektronisches Teil nach Anspruch 1, worin die innere Viskosität des Polyimdis (gemessen in einem N-Methylpyrrolidonlösungsmittel bei einer Konzentration von 0,5 g/dl bei 30°C) in einem Bereich von 0,05 bis 10 dl/g liegt.
  4. Elektronisches Teil nach Anspruch 1, worin der Gehalt an Fluor im Polyimid innerhalb eines Bereichs von 0,1 bis 30 Gew.-% liegt.
  5. Elektronisches Teil nach Anspruch 1, worin das Polyimid die durch die folgende allgemeine Formel (2) gezeigte Wiederholungseinheit in einer Menge von 50 Mol-% oder weniger enthält: Formel (2)
    Figure 00650001
    worin X und Y die gleichen Bedeutungen haben, die zuvor für die Formel (1) definiert worden sind.
  6. Elektronisches Teil nach Anspruch 1, worin das elektrisch isolierende Material eine Schicht aus einem isolierenden Film oder einem Anflachungsfilm bildet.
  7. Elektronisches Teil nach Anspruch 1, worin das elektronische Teil eine Halbleitervorrichtung ist.
  8. Verfahren zur Herstellung eines elektronischen Teils, das die folgenden Stufen (A) bis (C) aufweist (A) Eine Stufe zur Herstellung einer Polyimidlösung, die ein Polyimid nach Anspruch 1 enthält; (B) eine Stufe zur Auftragung der Polyimidlösung auf ein Substrat und (C) eine Stufe zur Bildung eines elektrisch isolierenden Materials durch Trocken der Polyimidlösung.
  9. Verfahren nach Anspruch 8, worin die Polyimidlösung ein Lösungsmittel umfasst, das mindestens ein Lösungsmittel ist, das aus der Gruppe gewählt ist, die aus N-Methylpyrrolidon, N,N-Dimethylformamide, N,N-Dimethylacetamid, γ-Butyrolacton, Ethyllactat, Methoxymethylpropionat, Propylenglykolmonomethyletheracetat und Cyclohexanon besteht.
DE1998622918 1997-04-30 1998-04-14 Elektronisches Teil und Verfahren zu seiner Herstellung Expired - Lifetime DE69822918T2 (de)

Applications Claiming Priority (4)

Application Number Priority Date Filing Date Title
JP12477597 1997-04-30
JP12477597A JP3641901B2 (ja) 1997-04-30 1997-04-30 ポリアミック酸およびポリイミド
JP28241297A JP4045621B2 (ja) 1997-10-15 1997-10-15 フッ素含有ポリイミド樹脂を含む電気絶縁材料およびそれを用いた電子部品
JP28241297 1997-10-15

Publications (2)

Publication Number Publication Date
DE69822918D1 DE69822918D1 (de) 2004-05-13
DE69822918T2 true DE69822918T2 (de) 2005-03-31

Family

ID=26461378

Family Applications (1)

Application Number Title Priority Date Filing Date
DE1998622918 Expired - Lifetime DE69822918T2 (de) 1997-04-30 1998-04-14 Elektronisches Teil und Verfahren zu seiner Herstellung

Country Status (5)

Country Link
US (1) US6084053A (de)
EP (1) EP0875906B1 (de)
KR (1) KR100499591B1 (de)
DE (1) DE69822918T2 (de)
TW (1) TW438838B (de)

Families Citing this family (18)

* Cited by examiner, † Cited by third party
Publication number Priority date Publication date Assignee Title
TW438860B (en) * 1996-11-20 2001-06-07 Japan Synthetic Rubber Co Ltd Curable resin composition and cured products
US6468589B2 (en) 2000-02-02 2002-10-22 Jsr Corporation Composition for film formation and insulating film
US6812290B2 (en) * 2000-03-29 2004-11-02 Jsr Corporation Polyarylene copolymers and proton-conductive membrane
US6417321B1 (en) 2000-08-21 2002-07-09 3M Innovative Properties Company Cured fluorenyl polyimides
US6392004B1 (en) 2000-08-21 2002-05-21 3M Innovative Properties Company Polyimides for high-frequency applications
JP5320653B2 (ja) * 2001-03-26 2013-10-23 Jsr株式会社 膜形成用組成物および絶縁膜形成用材料
JP3698067B2 (ja) * 2001-03-30 2005-09-21 Jsr株式会社 電子吸引性基および電子供与性基を有するモノマー、それを用いた共重合体、ならびにプロトン伝導膜
JP3956661B2 (ja) * 2001-03-30 2007-08-08 Jsr株式会社 ハロゲン化芳香族化合物、該化合物の重合体、及び該重合体からなるプロトン伝導膜
US7858185B2 (en) * 2003-09-08 2010-12-28 Nantero, Inc. High purity nanotube fabrics and films
US7504051B2 (en) * 2003-09-08 2009-03-17 Nantero, Inc. Applicator liquid for use in electronic manufacturing processes
US7375369B2 (en) * 2003-09-08 2008-05-20 Nantero, Inc. Spin-coatable liquid for formation of high purity nanotube films
US7348373B2 (en) * 2004-01-09 2008-03-25 E.I. Du Pont De Nemours And Company Polyimide compositions having resistance to water sorption, and methods relating thereto
US20050187368A1 (en) * 2004-02-19 2005-08-25 International Business Machines Corporation Methods and apparatus for complementing user entries associated with events of interest through context
US7658869B2 (en) * 2004-06-03 2010-02-09 Nantero, Inc. Applicator liquid containing ethyl lactate for preparation of nanotube films
US7556746B2 (en) 2004-06-03 2009-07-07 Nantero, Inc. Method of making an applicator liquid for electronics fabrication process
WO2006065937A2 (en) 2004-12-16 2006-06-22 Nantero, Inc. Aqueous carbon nanotube applicator liquids and methods for producing applicator liquids thereof
US7479654B2 (en) 2005-05-09 2009-01-20 Nantero, Inc. Memory arrays using nanotube articles with reprogrammable resistance
JP7128587B2 (ja) * 2019-02-14 2022-08-31 田岡化学工業株式会社 テトラカルボン酸二無水物、ポリアミック酸及びポリイミド

Family Cites Families (1)

* Cited by examiner, † Cited by third party
Publication number Priority date Publication date Assignee Title
DE2009739A1 (de) * 1970-03-03 1971-09-30 Bayer Aromatische Polyimide mit erhöhter Löslichkeit

Also Published As

Publication number Publication date
EP0875906A2 (de) 1998-11-04
KR19980081654A (ko) 1998-11-25
TW438838B (en) 2001-06-07
DE69822918D1 (de) 2004-05-13
US6084053A (en) 2000-07-04
EP0875906A3 (de) 1998-11-11
EP0875906B1 (de) 2004-04-07
KR100499591B1 (ko) 2005-09-26

Similar Documents

Publication Publication Date Title
DE69822918T2 (de) Elektronisches Teil und Verfahren zu seiner Herstellung
US4839232A (en) Flexible laminate printed-circuit board and methods of making same
DE69107245T2 (de) Polyimidosiloxan-Harz, Zusammensetzung daraus und Methode zur Anwendung.
DE69125694T2 (de) Tetrapolyimid-Film enthaltend Benzophenon Tetracarboxyl Dianhydrid
US6297351B1 (en) Polybenzoxazole resin and precursor thereof
DE69216424T2 (de) Verfahren zur herstellung eines polyimidfilms mit vorgewähltem thermischen expansionswert
DE69318675T2 (de) Klebefilm und seine herstellung
JP4042201B2 (ja) 電子部品およびその製造方法
DE69211354T2 (de) Polyimide mit niedrigem waermeausdehnungskoeffizienten und verbesserter dehnung
DE602004000671T2 (de) Polyimidmassen für elektrische Isolation
Qian et al. Synthesis and characterization of new inherent photoimageable polyimides based on fluorinated tetramethyl-substituted diphenylmethanediamines
US5133989A (en) Process for producing metal-polyimide composite article
DE69631745T2 (de) Polyimid-Metallfolie-Verbundfilm
KR20060097719A (ko) 복합유전체용 수지 조성물 및 복합유전체, 그 유전체를사용한 전기회로기판
DE68914375T2 (de) Verfahren zur Herstellung eines aus Kupfer oder Silber/Polyimid zusammengesetzten Artikels.
DE69803012T2 (de) Polyimidfolie, ein Verfahren zu ihrer Herstellung, und eine mit Metallfolie verbundene Polyimidfolie
KR19980079256A (ko) 폴리이미드 전구체 용액, 이의 제조방법, 이러한 용액으로부터 수득한 피막 또는 필름 및 필름의 제조방법
DE60312248T2 (de) Filmbildendes Polyimidcopolymer
DE69414444T2 (de) Warmehärtbare Harzzusammensetzungen und ihre Verwendung zur Herstellung von Kunstharzgegenständen und Dünnschicht Leiterplatten
JP2001240668A (ja) 電着用ポリイミド樹脂組成物、その製造方法、電着成形体及びその製造方法
US20100085680A1 (en) Crystalline encapsulants
JP4045621B2 (ja) フッ素含有ポリイミド樹脂を含む電気絶縁材料およびそれを用いた電子部品
DE3700301C2 (de) Verfahren zur Herstellung einer Vielschicht-Verdrahtungsstruktur
JP3641901B2 (ja) ポリアミック酸およびポリイミド
DE102021108169A1 (de) Metallverkleidete polymerfilme und elektronische vorrichtungen

Legal Events

Date Code Title Description
8332 No legal effect for de
8370 Indication of lapse of patent is to be deleted
8364 No opposition during term of opposition