DE60008698T2 - Schwarzfärbende tinten und ihre verwendung - Google Patents

Schwarzfärbende tinten und ihre verwendung Download PDF

Info

Publication number
DE60008698T2
DE60008698T2 DE60008698T DE60008698T DE60008698T2 DE 60008698 T2 DE60008698 T2 DE 60008698T2 DE 60008698 T DE60008698 T DE 60008698T DE 60008698 T DE60008698 T DE 60008698T DE 60008698 T2 DE60008698 T2 DE 60008698T2
Authority
DE
Germany
Prior art keywords
substituted
unsubstituted
alkyl
dye
formula
Prior art date
Legal status (The legal status is an assumption and is not a legal conclusion. Google has not performed a legal analysis and makes no representation as to the accuracy of the status listed.)
Expired - Fee Related
Application number
DE60008698T
Other languages
English (en)
Other versions
DE60008698D1 (de
Inventor
Urs Lehmann
Athanassios Tzikas
Marcel Frick
Current Assignee (The listed assignees may be inaccurate. Google has not performed a legal analysis and makes no representation or warranty as to the accuracy of the list.)
BASF Schweiz AG
Original Assignee
Ciba Spezialitaetenchemie Holding AG
Ciba SC Holding AG
Priority date (The priority date is an assumption and is not a legal conclusion. Google has not performed a legal analysis and makes no representation as to the accuracy of the date listed.)
Filing date
Publication date
Application filed by Ciba Spezialitaetenchemie Holding AG, Ciba SC Holding AG filed Critical Ciba Spezialitaetenchemie Holding AG
Publication of DE60008698D1 publication Critical patent/DE60008698D1/de
Application granted granted Critical
Publication of DE60008698T2 publication Critical patent/DE60008698T2/de
Anticipated expiration legal-status Critical
Expired - Fee Related legal-status Critical Current

Links

Classifications

    • CCHEMISTRY; METALLURGY
    • C09DYES; PAINTS; POLISHES; NATURAL RESINS; ADHESIVES; COMPOSITIONS NOT OTHERWISE PROVIDED FOR; APPLICATIONS OF MATERIALS NOT OTHERWISE PROVIDED FOR
    • C09DCOATING COMPOSITIONS, e.g. PAINTS, VARNISHES OR LACQUERS; FILLING PASTES; CHEMICAL PAINT OR INK REMOVERS; INKS; CORRECTING FLUIDS; WOODSTAINS; PASTES OR SOLIDS FOR COLOURING OR PRINTING; USE OF MATERIALS THEREFOR
    • C09D11/00Inks
    • C09D11/30Inkjet printing inks
    • C09D11/32Inkjet printing inks characterised by colouring agents
    • C09D11/328Inkjet printing inks characterised by colouring agents characterised by dyes
    • CCHEMISTRY; METALLURGY
    • C09DYES; PAINTS; POLISHES; NATURAL RESINS; ADHESIVES; COMPOSITIONS NOT OTHERWISE PROVIDED FOR; APPLICATIONS OF MATERIALS NOT OTHERWISE PROVIDED FOR
    • C09DCOATING COMPOSITIONS, e.g. PAINTS, VARNISHES OR LACQUERS; FILLING PASTES; CHEMICAL PAINT OR INK REMOVERS; INKS; CORRECTING FLUIDS; WOODSTAINS; PASTES OR SOLIDS FOR COLOURING OR PRINTING; USE OF MATERIALS THEREFOR
    • C09D11/00Inks
    • C09D11/30Inkjet printing inks
    • C09D11/32Inkjet printing inks characterised by colouring agents
    • CCHEMISTRY; METALLURGY
    • C09DYES; PAINTS; POLISHES; NATURAL RESINS; ADHESIVES; COMPOSITIONS NOT OTHERWISE PROVIDED FOR; APPLICATIONS OF MATERIALS NOT OTHERWISE PROVIDED FOR
    • C09BORGANIC DYES OR CLOSELY-RELATED COMPOUNDS FOR PRODUCING DYES, e.g. PIGMENTS; MORDANTS; LAKES
    • C09B43/00Preparation of azo dyes from other azo compounds
    • C09B43/12Preparation of azo dyes from other azo compounds by acylation of amino groups
    • C09B43/136Preparation of azo dyes from other azo compounds by acylation of amino groups with polyfunctional acylating agents
    • C09B43/16Preparation of azo dyes from other azo compounds by acylation of amino groups with polyfunctional acylating agents linking amino-azo or cyanuric acid residues
    • CCHEMISTRY; METALLURGY
    • C09DYES; PAINTS; POLISHES; NATURAL RESINS; ADHESIVES; COMPOSITIONS NOT OTHERWISE PROVIDED FOR; APPLICATIONS OF MATERIALS NOT OTHERWISE PROVIDED FOR
    • C09BORGANIC DYES OR CLOSELY-RELATED COMPOUNDS FOR PRODUCING DYES, e.g. PIGMENTS; MORDANTS; LAKES
    • C09B62/00Reactive dyes, i.e. dyes which form covalent bonds with the substrates or which polymerise with themselves
    • C09B62/02Reactive dyes, i.e. dyes which form covalent bonds with the substrates or which polymerise with themselves with the reactive group directly attached to a heterocyclic ring
    • C09B62/04Reactive dyes, i.e. dyes which form covalent bonds with the substrates or which polymerise with themselves with the reactive group directly attached to a heterocyclic ring to a triazine ring
    • CCHEMISTRY; METALLURGY
    • C09DYES; PAINTS; POLISHES; NATURAL RESINS; ADHESIVES; COMPOSITIONS NOT OTHERWISE PROVIDED FOR; APPLICATIONS OF MATERIALS NOT OTHERWISE PROVIDED FOR
    • C09BORGANIC DYES OR CLOSELY-RELATED COMPOUNDS FOR PRODUCING DYES, e.g. PIGMENTS; MORDANTS; LAKES
    • C09B62/00Reactive dyes, i.e. dyes which form covalent bonds with the substrates or which polymerise with themselves
    • C09B62/44Reactive dyes, i.e. dyes which form covalent bonds with the substrates or which polymerise with themselves with the reactive group not directly attached to a heterocyclic ring
    • C09B62/4401Reactive dyes, i.e. dyes which form covalent bonds with the substrates or which polymerise with themselves with the reactive group not directly attached to a heterocyclic ring with two or more reactive groups at least one of them being directly attached to a heterocyclic system and at least one of them being directly attached to a non-heterocyclic system
    • C09B62/4403Reactive dyes, i.e. dyes which form covalent bonds with the substrates or which polymerise with themselves with the reactive group not directly attached to a heterocyclic ring with two or more reactive groups at least one of them being directly attached to a heterocyclic system and at least one of them being directly attached to a non-heterocyclic system the heterocyclic system being a triazine ring
    • CCHEMISTRY; METALLURGY
    • C09DYES; PAINTS; POLISHES; NATURAL RESINS; ADHESIVES; COMPOSITIONS NOT OTHERWISE PROVIDED FOR; APPLICATIONS OF MATERIALS NOT OTHERWISE PROVIDED FOR
    • C09BORGANIC DYES OR CLOSELY-RELATED COMPOUNDS FOR PRODUCING DYES, e.g. PIGMENTS; MORDANTS; LAKES
    • C09B67/00Influencing the physical, e.g. the dyeing or printing properties of dyestuffs without chemical reactions, e.g. by treating with solvents grinding or grinding assistants, coating of pigments or dyes; Process features in the making of dyestuff preparations; Dyestuff preparations of a special physical nature, e.g. tablets, films
    • C09B67/0033Blends of pigments; Mixtured crystals; Solid solutions
    • C09B67/0041Blends of pigments; Mixtured crystals; Solid solutions mixtures containing one azo dye
    • CCHEMISTRY; METALLURGY
    • C09DYES; PAINTS; POLISHES; NATURAL RESINS; ADHESIVES; COMPOSITIONS NOT OTHERWISE PROVIDED FOR; APPLICATIONS OF MATERIALS NOT OTHERWISE PROVIDED FOR
    • C09BORGANIC DYES OR CLOSELY-RELATED COMPOUNDS FOR PRODUCING DYES, e.g. PIGMENTS; MORDANTS; LAKES
    • C09B67/00Influencing the physical, e.g. the dyeing or printing properties of dyestuffs without chemical reactions, e.g. by treating with solvents grinding or grinding assistants, coating of pigments or dyes; Process features in the making of dyestuff preparations; Dyestuff preparations of a special physical nature, e.g. tablets, films
    • C09B67/0033Blends of pigments; Mixtured crystals; Solid solutions
    • C09B67/0046Mixtures of two or more azo dyes
    • CCHEMISTRY; METALLURGY
    • C09DYES; PAINTS; POLISHES; NATURAL RESINS; ADHESIVES; COMPOSITIONS NOT OTHERWISE PROVIDED FOR; APPLICATIONS OF MATERIALS NOT OTHERWISE PROVIDED FOR
    • C09BORGANIC DYES OR CLOSELY-RELATED COMPOUNDS FOR PRODUCING DYES, e.g. PIGMENTS; MORDANTS; LAKES
    • C09B67/00Influencing the physical, e.g. the dyeing or printing properties of dyestuffs without chemical reactions, e.g. by treating with solvents grinding or grinding assistants, coating of pigments or dyes; Process features in the making of dyestuff preparations; Dyestuff preparations of a special physical nature, e.g. tablets, films
    • C09B67/0033Blends of pigments; Mixtured crystals; Solid solutions
    • C09B67/0046Mixtures of two or more azo dyes
    • C09B67/0047Mixtures of two or more reactive azo dyes
    • CCHEMISTRY; METALLURGY
    • C09DYES; PAINTS; POLISHES; NATURAL RESINS; ADHESIVES; COMPOSITIONS NOT OTHERWISE PROVIDED FOR; APPLICATIONS OF MATERIALS NOT OTHERWISE PROVIDED FOR
    • C09BORGANIC DYES OR CLOSELY-RELATED COMPOUNDS FOR PRODUCING DYES, e.g. PIGMENTS; MORDANTS; LAKES
    • C09B67/00Influencing the physical, e.g. the dyeing or printing properties of dyestuffs without chemical reactions, e.g. by treating with solvents grinding or grinding assistants, coating of pigments or dyes; Process features in the making of dyestuff preparations; Dyestuff preparations of a special physical nature, e.g. tablets, films
    • C09B67/0033Blends of pigments; Mixtured crystals; Solid solutions
    • C09B67/0046Mixtures of two or more azo dyes
    • C09B67/0051Mixtures of two or more azo dyes mixture of two or more monoazo dyes
    • C09B67/0052Mixtures of two or more reactive monoazo dyes
    • CCHEMISTRY; METALLURGY
    • C09DYES; PAINTS; POLISHES; NATURAL RESINS; ADHESIVES; COMPOSITIONS NOT OTHERWISE PROVIDED FOR; APPLICATIONS OF MATERIALS NOT OTHERWISE PROVIDED FOR
    • C09DCOATING COMPOSITIONS, e.g. PAINTS, VARNISHES OR LACQUERS; FILLING PASTES; CHEMICAL PAINT OR INK REMOVERS; INKS; CORRECTING FLUIDS; WOODSTAINS; PASTES OR SOLIDS FOR COLOURING OR PRINTING; USE OF MATERIALS THEREFOR
    • C09D11/00Inks
    • C09D11/16Writing inks
    • C09D11/17Writing inks characterised by colouring agents
    • CCHEMISTRY; METALLURGY
    • C09DYES; PAINTS; POLISHES; NATURAL RESINS; ADHESIVES; COMPOSITIONS NOT OTHERWISE PROVIDED FOR; APPLICATIONS OF MATERIALS NOT OTHERWISE PROVIDED FOR
    • C09DCOATING COMPOSITIONS, e.g. PAINTS, VARNISHES OR LACQUERS; FILLING PASTES; CHEMICAL PAINT OR INK REMOVERS; INKS; CORRECTING FLUIDS; WOODSTAINS; PASTES OR SOLIDS FOR COLOURING OR PRINTING; USE OF MATERIALS THEREFOR
    • C09D11/00Inks
    • C09D11/16Writing inks
    • C09D11/18Writing inks specially adapted for ball-point writing instruments
    • CCHEMISTRY; METALLURGY
    • C09DYES; PAINTS; POLISHES; NATURAL RESINS; ADHESIVES; COMPOSITIONS NOT OTHERWISE PROVIDED FOR; APPLICATIONS OF MATERIALS NOT OTHERWISE PROVIDED FOR
    • C09DCOATING COMPOSITIONS, e.g. PAINTS, VARNISHES OR LACQUERS; FILLING PASTES; CHEMICAL PAINT OR INK REMOVERS; INKS; CORRECTING FLUIDS; WOODSTAINS; PASTES OR SOLIDS FOR COLOURING OR PRINTING; USE OF MATERIALS THEREFOR
    • C09D11/00Inks
    • C09D11/30Inkjet printing inks
    • C09D11/36Inkjet printing inks based on non-aqueous solvents
    • DTEXTILES; PAPER
    • D06TREATMENT OF TEXTILES OR THE LIKE; LAUNDERING; FLEXIBLE MATERIALS NOT OTHERWISE PROVIDED FOR
    • D06PDYEING OR PRINTING TEXTILES; DYEING LEATHER, FURS OR SOLID MACROMOLECULAR SUBSTANCES IN ANY FORM
    • D06P5/00Other features in dyeing or printing textiles, or dyeing leather, furs, or solid macromolecular substances in any form
    • D06P5/30Ink jet printing

Landscapes

  • Chemical & Material Sciences (AREA)
  • Organic Chemistry (AREA)
  • Engineering & Computer Science (AREA)
  • Life Sciences & Earth Sciences (AREA)
  • Materials Engineering (AREA)
  • Wood Science & Technology (AREA)
  • Chemical Kinetics & Catalysis (AREA)
  • Textile Engineering (AREA)
  • Inks, Pencil-Leads, Or Crayons (AREA)
  • Ink Jet Recording Methods And Recording Media Thereof (AREA)
  • Ink Jet (AREA)
  • Paints Or Removers (AREA)

Description

  • Die vorliegende Erfindung betrifft schwarz-färbende wässrige Tinten auf Basis von Marineblau-Kupferkomplex-Azo- oder Kupferkomplex-Formazanfarbstoffen, schwarz-färbende Mischungen auf Basis derartiger Farbstoffe und neue Farbstoffe.
  • Die Tinten, auf denen die vorliegende Erfindung basiert, sind insbesondere geeignet für das Bedrucken von Papier, vorzugsweise mit Hilfe des Tintenstrahldruckverfahrens, und für die Färbung oder das Bedrucken von Fasermaterialien, die Stickstoff oder Hydroxylgruppen enthalten, und ergeben Färbungen oder Drucke, die sich durch eine hohe Lichtbeständigkeit auszeichnen.
  • Die vorliegende Erfindung betrifft daher schwarz-färbende wässrige Tinten, umfassend
    20 bis 95 Gew.-% zumindest eines Farbstoffs (A) zusammen mit 5 bis 80 Gew.-% zumindest eines Farbstoffs, ausgewählt unter der Gruppe bestehend aus (B) und (C), basierend auf dem Gesamtgewicht der Farbstoffe (A), (B) und (C) in der Tinte, und
    1 bis 40 Gew.-% eines mit Wasser mischbaren, organischen Lösungsmittels auf der Basis des Gesamtgewichts der Tinte, wobei der Farbstoff (A) als farbgebenden Teil des Moleküls einen oder mehrere Rest(e) der Formeln (I), (II), (III) oder (IV) enthält,
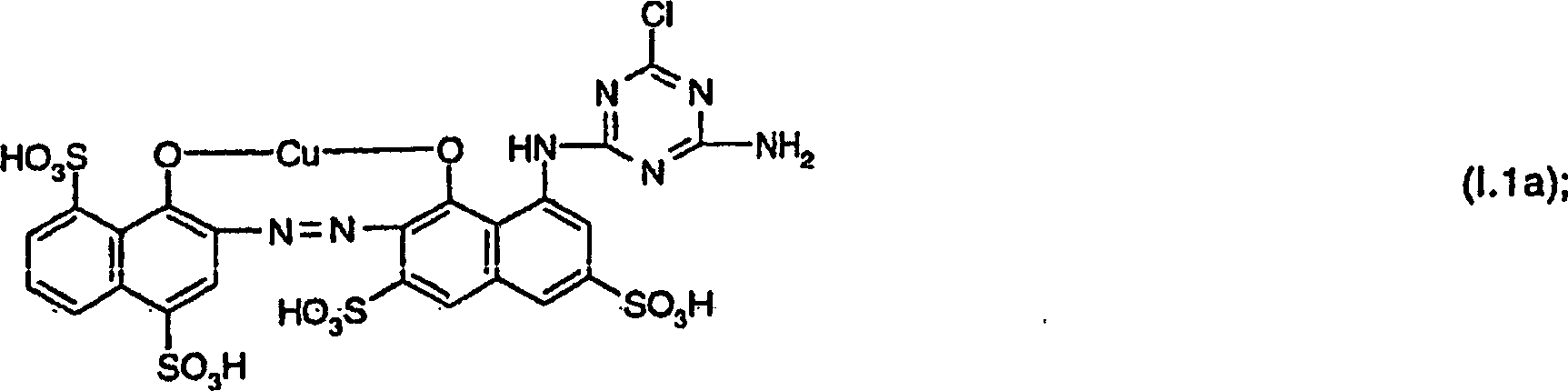
    Figure 00010001
    Figure 00020001
    wobei der Farbstoff (B) als farbgebenden Teil des Moleküls einen oder mehrere Sulfogruppen enthaltende Mono- oder Diazorest(e) enthält, ausgewählt unter den Resten der Formel
    Figure 00020002
    worin (R1)0–3 für 0 bis 3 identische oder verschiedene Substituenten steht, ausgewählt unter C1-C4-Alkyl, C1-C4-Alkoxy, C2-C4-Alkanoylamino, Halogen, Carboxyl und Sulfo, und Z für Vinyl oder einen Rest -CH2-CH2-U ist, und U eine austretende Gruppe bedeutet,
    Figure 00020003
    worin (R1)0–3 wie vorstehend definiert ist,
    Figure 00030001
    worin (R1)0–3 wie vorstehend definiert ist,
    Figure 00030002
    worin (R2)0–4 für identische oder verschiedene Substituenten steht, ausgewählt unter Halogen, Nitro, Cyano, Trifluormethyl, Sulfamoyl, Carbamoyl, C1-C4-Alkyl, C1-C4-Alkoxy, das unsubstituiert oder substituiert ist durch Hydroxyl oder C1-C4-Alkoxy, Amino, C2-C4-Alkanoylamino, Ureido, Hydroxyl, Carboxyl, Sulfomethyl, C1-C4-Alkylsulfonylamino und Sulfo, und Z wie vorstehend definiert ist,
    Figure 00030003
    worin R3 für C2-C4-Alkanoyl oder Benzoyl steht,
    Figure 00040001
    worin R3 wie vorstehend definiert ist,
    Figure 00040002
    worin (R4)0–3 für 0 bis 3 identische oder verschiedene Substituenten steht, ausgewählt unter C1-C4-Alkyl, C1-C4-Alkoxy, Halogen, Carboxyl und Sulfo,
    Figure 00040003
    worin (R4)0–3 wie vorstehend definiert ist,
    Figure 00040004
    worin R5 und R7 unabhängig voneinander Wasserstoff, C1-C4-Alkyl oder Phenyl bedeuten, und R6 Wasserstoff, Cyano, Carbamoyl oder Sulfomethyl ist,
    Figure 00040005
    worin (R8)0–2 für 0 bis 2 identische oder verschiedene Substituenten steht, ausgewählt unter C1-C4-Alkyl, C1-C4-Alkoxy, Halogen, Carboxyl und Sulfo, und Z wie vorstehend definiert ist,
    Figure 00050001
    worin (R9)0–2 für 0 bis 2 identische oder verschiedene Substituenten steht, ausgewählt unter C1-C4-Alkyl, C1-C4-Alkoxy, Halogen, Carboxyl und Sulfo, und Z wie vorstehend definiert ist,
    Figure 00050002
    und
    Figure 00060001
    worin
    (R1)0–3, (R2)0–3, (R4)0–3 und Z jeweils wie vorstehend definiert sind und (R1')0–3 für 0 bis 3 identische oder verschiedene Substituenten steht, ausgewählt unter C1-C4-Alkyl, C1-C4-Alkoxy, Halogen, Carboxyl und Sulfo, oder einen oder mehrere Rest(e) der Formeln (V), (VI), (VII) oder (VIII) enthält,
    Figure 00060002
    und der Farbstoff (C) als farbgebenden Teil des Moleküls einen oder mehrere Sulfogruppen enthaltende Mono- oder Diazorest(e) enthält, ausgewählt unter den Resten der vorstehenden Formeln (4a), (4b), (4c), (4d), (4e), (4f), (4g), (4h), (4i), (4j), (4k), (4l), (4m), (4n), (4o), (4p), (4q) und (4r), oder einen oder mehreren Rest(e) der vorstehenden Formeln (V), (VI), (VII) oder (VIII) und einen oder mehrere Rest(e) der vorstehenden Formeln (I), (II), (III) oder (IV) enthält, worin
    (G)0–2 für 0 bis 2 identische oder verschiedene Substituenten steht, ausgewählt unter substituiertem oder unsubstituiertem Amino, Hydroxyl und Nitro,
    L für substituiertes oder unsubstituiertes Amino steht,
    R Halogen, C1-C4-Alkyl, C1-C4-Alkoxy, C2-C4-Alkanoylamino, Hydroxyl, Carboxyl, Nitro oder Cyano ist,
    (V)0–2 für 0 bis 2 identische oder verschiedene Substituenten, ausgewählt unter Halogen, C1-C4-Alkyl, C1-C4-Alkoxy, β-Sulfatoethylsulfonyl und Sulfo steht,
    (W)0–1 ein N-Acylrest ist, sofern vorhanden,
    n für die Zahl 0, 1, 2 oder 3 steht,
    m für die Zahl 1, 2 oder 3 steht, und
    r und 1 die Zahl 0 oder 1 bedeuten.
  • C1-C4-Alkyl R und V ist zum Beispiel Methyl, Ethyl, Propyl, Isopropyl, Butyl, sec-Butyl, tert-Butyl oder Isobutyl, vorzugsweise Methyl oder Ethyl, und insbesondere Methyl.
  • C1-C4-Alkoxy R und V ist zum Beispiel Methoxy, Ethoxy, Propoxy, Isopropoxy, Butoxy oder Isobutoxy, vorzugsweise Methoxy oder Ethoxy, und insbesondere Methoxy.
  • Halogen R und V ist zum Beispiel Fluor, Chlor oder Brom, vorzugsweise Chlor oder Brom, und insbesondere Chlor.
  • C2-C4-Alkanoylamino R ist zum Beispiel Acetylamino oder Propionylamino, insbesondere Acetylamino.
  • R ist vorzugsweise C1-C4-Alkyl, C1-C4-Alkoxy, Hydroxyl, Carboxyl, Nitro oder Cyano, insbesondere C1-C4-Alkyl, C1-C4-Alkoxy, Hydroxyl oder Carboxyl, und insbesondere Carboxyl.
  • V ist vorzugsweise Halogen, β-Sulfatoethylsulfonyl oder Sulfo, insbesondere Sulfo.
  • Substituiertes oder unsubstituiertes Amino G und L ist zum Beispiel Amino, N-Mono- oder N,N-Di-C1-C4-alkylamino, die unsubstituiert oder an dem Alkylteil substituiert sind durch C1-C4-Alkoxy, Hydroxyl, Sulfato oder Sulfo, oder Phenylamino oder N-C1-C4-Alkyl-N-phenylamino, die unsubstituiert oder substituiert sind an dem Phenylring durch C1-C4-Alkyl, C1-C4-Alkoxy, C2-C4-Alkanoylamino, Sulfo, Carboxyl oder Halogen, insbesondere Amino oder Phenylamino.
  • Ein N-Acylrest W ist zum Beispiel C2-C4-Alkanoylamino, zum Beispiel Acetylamino oder Propionylamino, Benzoylamino, das unsubstituiert oder an dem Phenylring substituiert ist durch C1-C4-Alkyl, C1-C4-Alkoxy, Halogen oder Sulfo, oder ein Rest der Formel
    Figure 00080001
    worin T1 und T2 unabhängig voneinander Fluor oder Chlor, C1-C4-Alkylthio, das unsubstituiert oder substituiert ist an dem Alkylteil durch Hydroxyl, Sulfato, Sulfo oder Carboxyl, Hydroxyl, Amino, N-Mono- oder N,N-Di-C1-C4-alkylamino, das unsubstituiert oder substituiert ist an dem Alkylteil durch Hydroxyl, Carboxyl, C1-C4-Alkoxy, Sulfato oder Sulfo, Morpholino, Phenylamino oder N-C1-C4-Alkyl-N-phenylamino, die unsubstituiert oder substituiert sind an dem Phenylring durch Sulfato, Carboxyl, Acetylamino, Chlor, Methyl oder Methoxy, und worin der Alkylteil unsubstituiert oder substituiert ist durch Hydroxyl, Sulfo oder Sulfato, oder Naphthylamino, das unsubstituiert oder substituiert ist durch 1 bis 3 Sulfogruppen, bedeuten.
  • q ist vorzugsweise die Zahl 1.
  • m ist vorzugsweise die Zahl 2 oder 3, insbesondere 2.
  • Wenn R Carboxyl ist, ist die Summe m + n vorzugsweise 3 oder 4, und insbesondere 3.
  • Erfindungsgemäße Tinten, die bevorzugt sind, sind solche, die einen Rest der Formel (IV) enthalten, worin
    q die Zahl 1 ist,
    n die Zahl 0 ist, und
    m die Zahl 2 oder 3 ist.
  • Die Sulfogruppen der Farbstoffe (A), (B) und (C) in den erfindungsgemäßen Tinten sind entweder in Form der freien Sulfonsäure oder vorzugsweise in deren Salzform, zum Beispiel als Natrium-, Lithium-, Kalium- oder Ammoniumsalz, oder als Salz eines organischen Amins, zum Beispiel als das Triethanolammoniumsalz, vorhanden.
  • Die Farbstoffe (A), (B) und (C) in den erfindungsgemäßen Tinten enthalten keine weiteren farbgebenden Molekülteile zusätzlich zu den vorstehend genannten farbgebenden Molekülteilen.
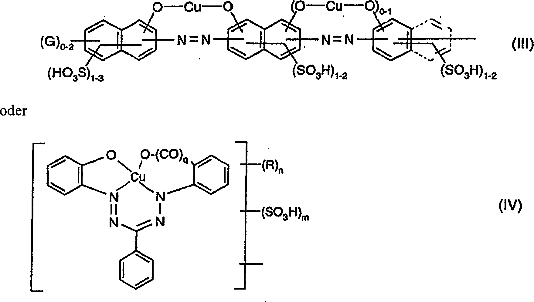
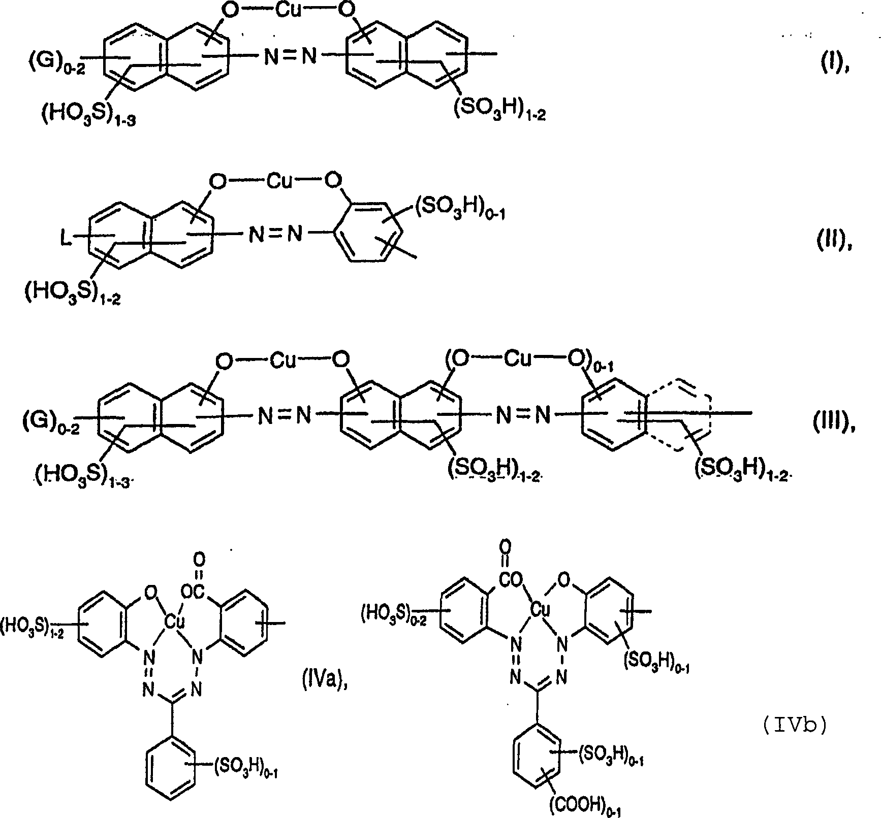
  • Der Farbstoff (A) in den erfindungsgemäßen Tinten enthält vorzugsweise als farbgebenden Molekülteil (Chromophor) einen oder zwei Rest(e) der Formel (I), (II), (III) oder (IV).
  • Enthält der Farbstoff (A) einen Rest der Formel (I), (II), (III) oder (IV), ist ein nicht-chromophorer Rest an diesen Rest über die freie, in den Formeln (I), (II), (III) und (IV) angegebene Valenz gebunden.
  • Beispiele für einen nicht-chromophoren Rest sind die folgenden:
    C2-C6-Alkanoylamino, das unsubstituiert ist oder substituiert an dem Alkylteil durch Hydroxyl, Sulfo, Carboxyl oder C1-C4-Alkoxy, welches seinerseits an dem Alkylteil substituiert sein kann durch Carboxyl, zum Beispiel Acetylamino, Hydroxyacetylamino, Methoxyacetylamino, Carboxymethylenoxyacetylamino, Propionylamino oder β-Carboxypropionylamino; N-C1-C4-Alkylamino, das unsubstituiert oder substituiert ist an dem Alkylteil durch Hydroxyl, Sulfo, Carboxyl oder C1-C4-Alkoxy, zum Beispiel 3-Sulfopropylamino oder 4-Sulfobutylamino; Benzoylamino, das unsubstituiert oder substituiert ist an dem Phenylteil durch Hydroxyl, Sulfo, Halogen, C1-C4-Alkyl oder C1-C4-Alkoxy; C2-C6-Alkoxycarbonylamino, das unsubstituiert oder substituiert ist an dem Alkylteil durch Hydroxyl, C1-C4-Alkyl oder C1-C4-Alkoxy; Phenoxycarbonylamino, das unsubstituiert oder substituiert ist an dem Phenylteil durch Hydroxyl, C1-C4-Alkyl oder C1-C4-Alkoxy; Phenylsulfonylamino, das unsubstituiert oder substituiert ist an dem Phenylteil durch C1-C4-Alkyl oder C2-C4-Alkanoylamino, oder C1-C4-Alkylsulfonylamino, zum Beispiel Methyl- oder Ethylsulfonylamino, oder ein Rest der Formel
    Figure 00100001
    worin T3 und T4 unabhängig voneinander ein Substituent sind, der nicht mit Faser umgesetzt ist, zum Beispiel C1-C4-Alkoxy, C1-C4-Alkylthio, das unsubstituiert oder substituiert ist an dem Alkylteil durch Hydroxyl, Sulfato, Sulfo oder Carboxyl, Hydroxyl, Amino, N-Mono- oder N,N-Di-C1-C4-alkylamino, das unsubstituiert oder substituiert ist an dem Alkylteil durch Hydroxyl, Carboxyl, C1-C4-Alkoxy, Sulfato oder Sulfo, Morpholino, Phenylamino oder N-C1-C4-Alkyl-N-phenylamino, die unsubstituiert oder substituiert sind an dem Phenylring durch Sulfo, Carboxyl, Acetylamino, Chlor, Methyl oder Methoxy, und worin der Alkylteil unsubstituiert oder substituiert ist durch Hydroxyl, Sulfo oder Sulfato, oder Naphthylamino, das unsubstituiert oder substituiert ist durch 1 bis 3 Sulfogruppen.
  • Nicht-chromophore Reste, die über die freie Valenz in den Formeln (I), (II), (III) oder (IV) gebunden sind, sind auch faserreaktive Reste.
  • Faserreaktive Reste sind zum Beispiel ein Alkanoyl oder Alkylsulfonylrest, substituiert durch ein Atom, das abgespalten werden kann, oder eine Gruppe, die abgespalten werden kann, ein Alkenoyl- oder Alkensulfonylrest, der unsubstituiert oder substituiert ist durch ein Atom, das abgespalten werden kann, oder eine Gruppe, die abgespalten werden kann, oder ein Alkenoyl- oder Alkensulfonylrest, der eine Vinylgruppe enthält. Die erwähnten Alkenoyl-, Alkylsulfonyl- und Alkensulfonylreste enthalten in der Regel 2 bis 8 Kohlenstoffatome und die Alkenoylreste enthalten in der Regel 3 bis 8 Kohlenstoffatome. Diese Reste sind auch Reste, die carbo- oder heterocyclische 4-, 5- oder 6-gliedrige Ringe ent halten und substituiert sind durch ein Atom, das abgespalten werden kann oder eine Gruppe, die abgespalten werden kann.
  • Heterocyclische Reste sind zum Beispiel solche, die zumindest einen Substituenten enthalten, der abgespalten werden kann, gebunden an einen heterocyclischen Rest. Unter anderem solche, die zumindest einen reaktiven Substituenten, gebunden an einen 5- oder 6-gliedrigen heterocyclischen Ring, enthalten, wie an einen Monoazin-, Diazin-, Triazin-, Pyridin-, Pyrimidin-, Pyridazin-, Pyrazin-, Thiazin-, Oxazin- oder asymmetrischen oder symmetrischen Triazinring, oder an ein derartiges Ringsystem, das einen oder mehrere ankondensierte aromatische Ringe enthält, wie ein Chinolin-, Phthalazin-, Chinazolin-, Chinoxalin-, Acridin-, Phenazin- und Phenanthridinringsystem enthält.
  • Atome, die abgespalten werden können, und Gruppen, die abgespalten werden können, sind zusätzlich zu den anderen beispielsweise Halogen wie Fluor, Chlor oder Brom, Ammonium, einschließlich Hydrozium, Sulfato, Thiosulfato, Phosphato, Acetoxy, Propionoxy, Azido, Carboxypyridinium oder Thiocyanato.
  • Der faserreaktive Rest und das Chromophor der Formeln (I), (II), (III) oder (IV) können aneinander über ein Brückenglied gebunden sein. Brückenglieder sind, zusätzlich zu der direkten Bindung, oder zum Beispiel einer Aminogruppe, die verschiedenartigsten Reste. Das Brückenglied ist zum Beispiel ein aliphatischer, aromatischer oder heterocyclischer Rest. Das Brückenglied kann weiterhin auch aus verschiedenen solcher Reste bestehen. Das Brückenglied enthält in der Regel zumindest eine funktionelle Gruppe, zum Beispiel die Carbonyl-, Sulfonyl-, Carbonylamino-, Sulfonylamino- oder die Aminogruppe, wobei es bei der Aminogruppe möglich ist, dass diese weiter substituiert ist durch C1-C4-Alkyl, das unsubstituiert oder substituiert ist durch Halogen, Hydroxyl, Cyano, C1-C4-Alkoxy, C1-C4-Alkoxycarbonyl, Carboxyl, Sulfamoyl, Sulfo oder Sulfato. Ein aliphatischer Rest ist zum Beispiel ein Alkylenrest mit 1 bis 7 Kohlenstoffatomen oder verzweigte Isomere hiervon. Die Kohlenstoffkette des Alkylenrestes kann unterbrochen sein durch ein Heteroatom, zum Beispiel ein Sauerstoffatom. Ein aromatischer Rest ist zum Beispiel ein Phenylenrest, der substituiert sein kann durch C1-C4-Alkyl, zum Beispiel Methyl oder Ethyl, C1-C4- Alkoxy, zum Beispiel Methoxy oder Ethoxy, Halogen, zum Beispiel Fluor, Brom oder insbesondere Chlor, Carboxyl oder Sulfo, und ein heterocyclischer Rest ist zum Beispiel ein Piperazin- oder ein Triazinrest, wobei es bei dem Triazinrest möglich ist, dass dieser einen Substituenten enthält, der abgespalten werden kann, zum Beispiel Fluor oder Chlor.
  • Solche faserreaktive Reste sind per se bekannt und eine Vielzahl wird zum Beispiel in Venkataraman "The Chemistry of Synthetic Dyes", Band 6, Seiten 1–209, Academic Press, New York, London, 1972, oder in US-A-5 684 138 beschrieben.
  • Die Farbstoffe (A), die ein Chromophor der Formeln (I), (II), (III) oder (IV) enthalten, sind bekannt oder können analog zu den bekannten Farbstoffen hergestellt werden.
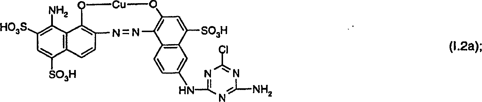
  • Geeignete Farbstoffe (A), die ein Chromophor der Formel (IV) enthalten, sind zum Beispiel C.I. Reactive Blue 52, 70, 83, 84, 104, 157, 160, 182, 202, 209, 212, 218, 220, 221, 226, 228 und 232 und die Farbstoffe der Formeln (IV.1), (IV.2), (IV.3), (IV.4), (IV.5), (IV.6), (IV.7) und (IV.8)
    Figure 00120001
    Figure 00130001
    vorzugsweise C.I. Reactive Blue 52 und 182 und die Farbstoffe der Formeln (IV.1), (IV.2), (IV.3), (IV.4), (IV.5), (IV.6), (IV.7) und (IV.8) und insbesondere die Farbstoffe der Formeln (IV.1), (IV.2), (IV.3), (IV.4), (IV.5), (IV.6), (IV.7) und (IV.8).
  • Geeignete Farbstoffe, die ein Chromophor der Formel (IV) umfassen und einen faserreaktiven Rest enthalten, werden weiterhin beschrieben beispielsweise in GB-A-2 148 921, US-A-4 994 562, US-A-5 021 557, US-A-5 023 274, US-A-5 076 811, US-A-5 112 958 und US-A-5 371 200.
  • Enthält der Farbstoff (A) zwei Reste der Formeln (I), (II), (III) oder (IV) sind diese Reste aneinander über ein Brückenglied gebunden, in jedem Fall über die freie Valenz in den Formeln (I), (II), (III) und (IV). Brückenglieder sind die verschiedenartigsten Reste. Das Brückenglied ist zum Beispiel ein aliphatischer, aromatischer oder heterocyclischer Rest. Das Brückenglied kann weiterhin auch aus verschiedenen solcher Reste bestehen. Das Brückenglied enthält in der Regel zumindest zwei funktionelle Gruppen, zum Beispiel die Carbonyl-, Sulfonyl-, Carbonylamino-, Sulfonylamino- oder Aminogruppe, wobei es bei der Aminogruppe möglich ist, dass diese weiterhin substituiert ist durch C1-C4-Alkyl, das unsubstituiert oder substituiert ist durch Halogen, Hydroxyl, Cyano, C1-C4-Alkoxy, C1-C4-Alkoxycarbonyl, Carboxyl, Sulfamoyl, Sulfo oder Sulfato. Ein aliphatischer Rest ist zum Beispiel ein Alkylenrest mit 1 bis 10 Kohlenstoffatomen oder verzweigte Isomere hiervon. Die Kohlenstoffkette des Alkylenrestes kann unterbrochen sein durch ein Heteroatom, zum Beispiel ein Sauerstoffatom. Die Bezeichnung aliphatischer Rest umfasst auch cycloaliphatische Reste. Ein aromatischer Rest ist zum Beispiel ein Naphthylenrest, der Rest eines Diphenyls oder Stilbens, oder insbesondere ein Phenylenrest, der substituiert sein kann durch C1-C4-Alkyl, zum Beispiel Methyl oder Ethyl, C1-C4-Alkoxy, zum Beispiel Methoxy oder Ethoxy, Halogen, zum Beispiel Fluor, Brom oder insbesondere Chlor, Carboxyl oder Sulfo, und ein heterocyclischer Rest ist zum Beispiel ein Triazinrest.
  • Die Farbstoffe (A), die zwei chromophore Rest der Formeln (I), (II), (III) oder (IV) gebunden an einen anderen über ein Brückenglied enthalten, sind bekannt oder können analog zu den bekannten Farbstoffen hergestellt werden. ein geeigneter Farbstoff ist zum Beispiel der Farbstoff der Formel (IV.9)
  • Figure 00150001
  • Geeignete Farbstoffe (A), die zwei chromophore Reste der Formel (IV), die aneinander über ein Brückenglied gebunden sind, umfassen, werden weiterhin beispielsweise in GB-A-1 389 053, GB-A-2 148 921, US-A-5 232 462, US-A-5 410 041 und US-A-5 684 138 beschrieben.
  • Das Chromophor der Formel (I), (II) oder (III), das in dem Farbstoff (A) enthalten ist, ist vorzugsweise ein oder zwei Rest(e) der Formeln (I.1), (I.2), (I.3), (I.4), (I.5), (II.1), (II.2), (II.3 ) oder (III.1).
  • Figure 00150002
  • Figure 00160001
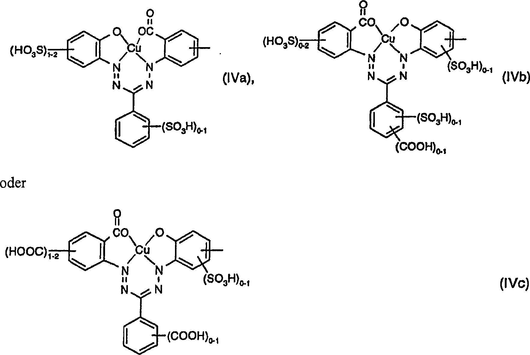
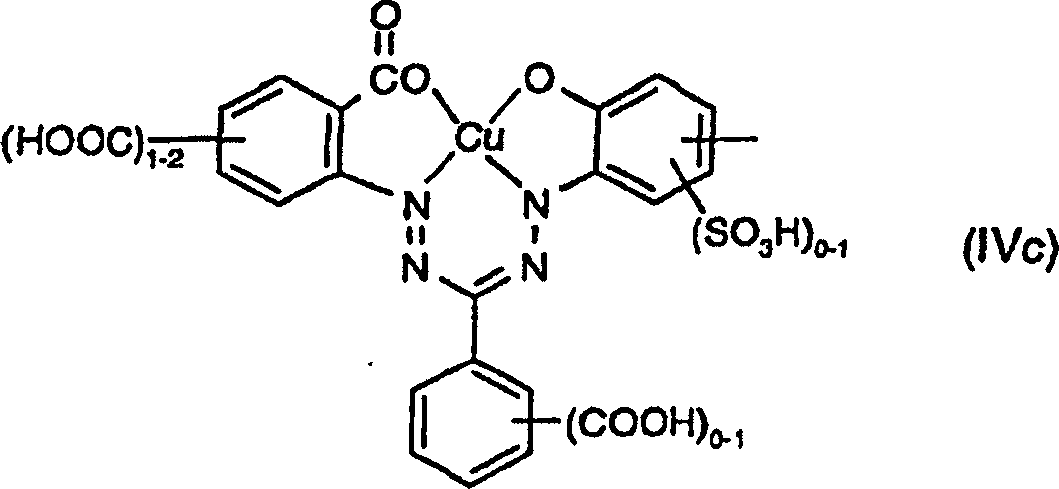
  • Das Chromophor der Formel (IV) ist vorzugsweise ein oder zwei Rest(e) der Formeln (IVa), (IVb) oder (IVc)
    Figure 00170001
    insbesondere der Formel (IVb) oder (IVc).
  • Das in dem Farbstoff (B) enthaltene Chromophor ist vorzugsweise ein oder zwei Sulfogruppen enthaltende Mono- oder Diazorest(e), ausgewählt unter den Resten der vorstehend genannten Formeln (4a), (4b), (4c), (4d), (4e), (4f), (4g), (4h), (4i), (4j), (4k), (4l), (4m), (4n), (4o), (4p), (4q) und (4r), oder ein oder zwei Rest(e) der Formeln (V), (VI), (VII) oder (VIII).
  • Das in dem Farbstoff (C) enthaltene Chromophor ist vorzugsweise ein Sulfogruppen enthaltender Mono- oder Diazorest, ausgewählt unter den Resten der vorstehenden Formeln (4a), (4b), (4c), (4d), (4e), (4f), (4g), (4h), (4i), (4j), (4k), (4l), (4m), (4n), (4o), (4p), (4q) und (4r), oder einem Rest der Formeln ((V), (VI), (VII) oder (VIII) und einem Rest der Formeln (I), (II), (III) oder (IV).
  • Die Mono- oder Diazoreste und die Reste der Formeln (V), (VI), (VII) und (VIII), auf denen die Farbstoffe (B) und (C) der erfindungsgemäßen Tinten basieren, sind zum Beispiel gelb-, orange-, rot- oder bordeauxrot- bis violett-färbende Farbstoffreste.
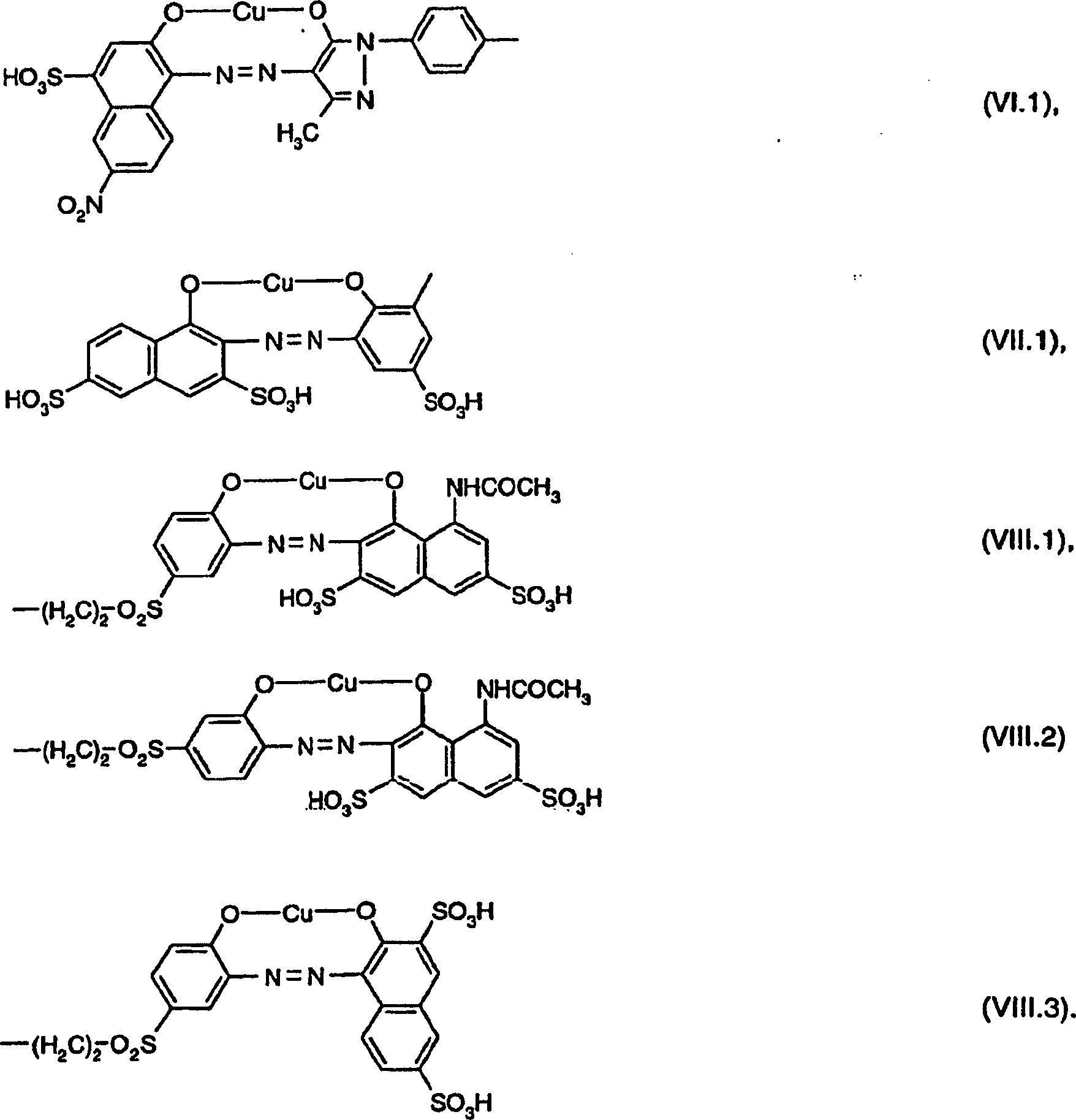
  • Geeignete Farbstoffreste der Formel (V), (VI), (VII) und (VIII) sind zum Beispiel diejenigen der Formeln (V.1), (V.2), (V.3), (V.4), (V.5), (V.6), (V.7), (VI.1), (VI.1), (VIII.1), (VIII.2) und (VIII.3).
  • Figure 00180001
  • Figure 00190001
  • Beispiele für Substituenten in dem Mono- oder Diazorest sind die folgenden:
    Alkylgruppen mit 1 bis 4 Kohlenstoffatomen wie Methyl, Ethyl, Propyl, Isopropyl oder Butyl, wobei es bei den Alkylresten möglich ist, dass diese weiter substituiert sind, zum Beispiel durch Hydroxyl, Sulfo oder Sulfato; Alkoxygruppen mit 1 bis 4 Kohlenstoffatomen wie Methoxy, Ethoxy, Propoxy, Isopropoxy oder Butoxy, wobei es bei den Alkylresten möglich ist, dass diese weiter substituiert sind, zum Beispiel durch Hydroxyl, Sulfo oder Sulfato; Phenyl, das unsubstituiert oder substituiert ist durch C1-C4-Alkyl, C1-C4-Alkoxy, Halogen, Carboxyl oder Sulfo; Acylaminogruppen mit 1 bis 8 Kohlenstoffatomen, insbesondere Alkanoylaminogruppen, zum Beispiel Acetylamino oder Propionylamino; Benzoylamino, das unsubstituiert ist oder an dem Phenylring substituiert durch C1-C4- Alkyl, C1-C4-Alkoxy, Halogen oder Sulfo; Phenylamino, das unsubstituiert ist oder an dem Phenylring substituiert durch C1-C4-Alkyl, C1-C4-Alkoxy, Halogen oder Sulfo; N,N-Di-β-hydroxyethylamino; N,N-Di-β-sulfatoethylamino; Sulfobenzylamino; N,N-Disulfobenzylamino; Alkoxycarbonyl mit 1 bis 4 Kohlenstoffatomen in dem Alkoxyrest wie Methoxycarbonyl oder Ethoxycarbonyl; Alkylsulfonyl mit 1 bis 4 Kohlenstoffatomen wie Methylsulfonyl oder Ethylsulfonyl; Trifluormethyl; Nitro; Amino; Cyano; Halogen wie Fluor, Chlor oder Brom; Carbamoyl; N-Alkylcarbamoyl mit 1 bis 4 Kohlenstoffatomen in dem Alkylteil wie N-Methylcarbamoyl oder N-Ethylcarbamoyl; Sulfamoyl; N-Mono- oder N,N-Dialkylsulfamoyl in jedem Fall mit 1 bis 4 Kohlenstoffatomen wie N-Methylsulfamoyl, N-Ethylsulfamoyl, N-Propylsulfamoyl, N-Isopropylsulfamoyl oder N-Butylsulfamoyl, wobei es bei den Alkylresten möglich ist, dass diese weiter substituiert sind, zum Beispiel durch Hydroxyl oder Sulfo; N-(β-Hydroxyethyl)-sulfamoyl; N,N-Di-(β-hydroxyethyl)-sulfamoyl; N-Phenylsulfamoyl, das unsubstituiert ist oder substituiert durch C1-C4-Alkyl, C1-C4-Alkoxy, Halogen, Carboxyl oder Sulfo; Ureido; Hydroxyl; Carboxyl; Sulfomethyl oder Sulfo, und die vorstehend beschriebenen faserreaktiven Reste.
  • Die Sulfogruppen enthaltenden Mono- oder Diazoreste in den Farbstoffen (B) und (C) der erfindungsgemäßen Tinte sind vorzugsweise diejenigen der Formeln (2) oder (3) D-N=N-(M-N=N)u-K- (2)oder -D-N=N-(M-N=N)u-K (3),worin D der Rest einer Diazokomponente der Benzol- oder Naphthalinreihen ist, M der Rest einer mittleren Komponente der Benzol- oder Naphthalinreihen ist, K der Rest einer Kupplungskomponente der Benzol-, Naphthalin-, Pyrazolon-, 6-Hydroxypyrid-2-on- oder Acetoessigsäurearylamidreihen ist, und u für die Zahl 0 oder 1 steht, wobei D, M und K in Azofarbstoffen übliche Substituenten aufweisen können, zum Beispiel C1-C4-Alkyl oder C1-C4-Alkoxy, die unsubstituiert sind oder weiterhin substituiert sind durch Hydroxyl, Sulfo oder Sulfato, Halogen, Carboxyl, Sulfo, Nitro, Cyano, Trifluormethyl, Sulfamoyl, Carbamoyl, Amino, Ureido, Hydroxyl, Sulfomethyl, C2-C4-Alkanoylamino, Benzoylamino, das unsubstituiert ist oder an dem Phenylring substituiert durch C1-C4-Alkyl, C1-C4- Alkoxy, Halogen oder Sulfo, Phenyl, das unsubstituiert ist oder substituiert durch C1-C4-Alkyl, C1-C4-Alkoxy, Halogen, Carboxyl oder Sulfo, und faserreaktive Reste.
  • Wenn u für die Zahl 1 steht, sind D, M und K vorzugsweise Reste einer Diazo-, mittleren und Kupplungskomponente der Benzol- oder Naphthalinreihen und insbesondere der Benzolreihen.
  • Ein Rest der Formel (2) oder (3) in dem Farbstoff (B) besitzt an ihn gebunden über die in der Formel (2) oder (3) wiedergegebene freie Valenz, einen nicht-chromophoren Substituenten, zum Beispiel einen der vorstehend für Mono- oder Diazoreste erwähnten, oder einen Rest der Formel
    Figure 00210001
    worin T3 und T4 unabhängig voneinander ein Substituent sind, der nicht faserreaktiv ist, zum Beispiel C1-C4-Alkoxy, C1-C4-Alkylthio, das unsubstituiert ist oder an dem Alkylteil substituiert durch Hydroxyl, Sulfato, Sulfo oder Carboxyl, Hydroxyl, Amino, N-Mono- oder N,N-Di-C1-C4-Alkylamino, die unsubstituiert sind oder substituiert an dem Alkylteil durch Hydroxyl, Carboxyl, C1-C4-Alkoxy, Sulfato oder Sulfo, Morpholino, Phenylamino oder N-C1-C4-Alkyl-N-phenylamino, die unsubstituiert sind oder an dem Phenylring substituiert durch Sulfo, Carboxyl, Acetylamino, Chlor, Methyl oder Methoxy, und worin das Alkyl unsubstituiert ist oder substituiert durch Hydroxyl, Sulfo oder Sulfato, oder Naphthylamino, das unsubstituiert ist oder durch 1 bis 3 Sulfogruppen substituiert ist.
  • Die vorstehend genannten Reste können auch der freien Valenz des Farbstoffs (B) genügen, der einen chromophoren Rest der Formel (V), (VI), (VII) oder (VIII) umfasst.
  • Die Farbstoffe (B), die ein Chromophor der Formel (2), (3), (V), (VI), (VII) oder (VIII) umfasst, sind bekannt oder können in Analogie zu den bekannten Farbstoffen hergestellt werden.
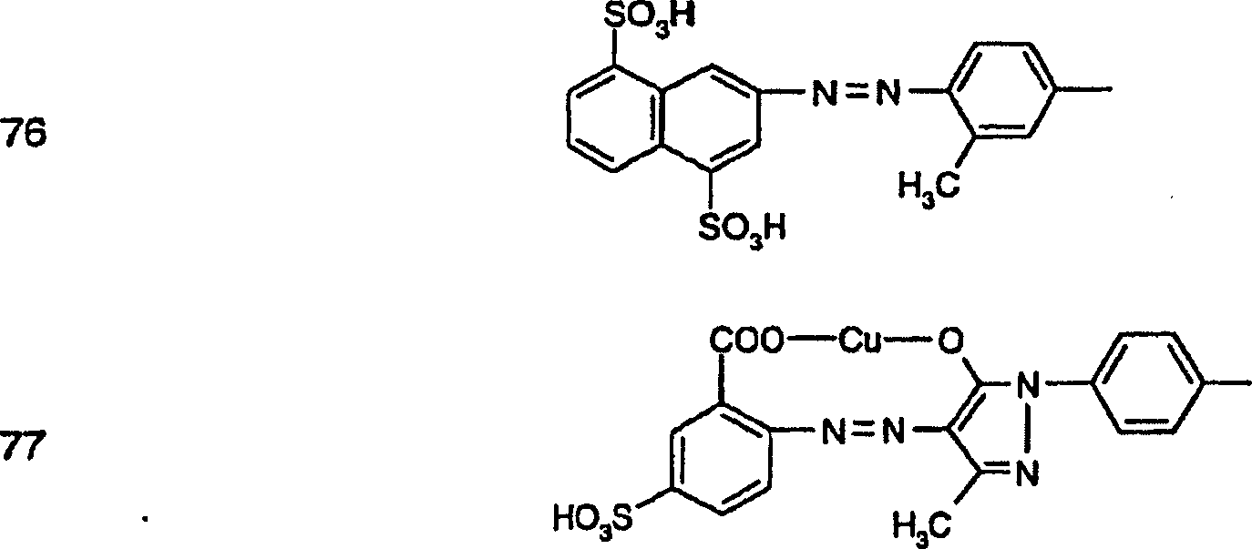
  • Geeignete Farbstoffe (B), die ein Chromophor der Formel (2) umfassen, sind zum Beispiel die Farbstoffe der Formeln (2.1), (2.2), (2.3) und (2.4)
  • Figure 00220001
  • Zwei Reste der Formel (2), (3), (V), (VI), (VII) oder (VIII), die in dem Farbstoff (B) enthalten sind, sind aneinander über ein Brückenglied gebunden, in jedem Fall über die freie Valenz. Brückenglieder sind zum Beispiel diejenigen Reste, die vorstehend in Verbindung mit dem Farbstoff (A) der zwei Reste der Formeln (i), (ii), (iii) oder (iv) enthält, beschrieben wurden.
  • Die Farbstoffe (B), die zwei chromophore Reste der Formel (2), (3), (V), (VI), (VII) oder (VIII), die aneinander über ein Brückenglied gebunden sind, umfasst, sind bekannt oder können in Analogie zu bekannten Farbstoffen hergestellt werden.
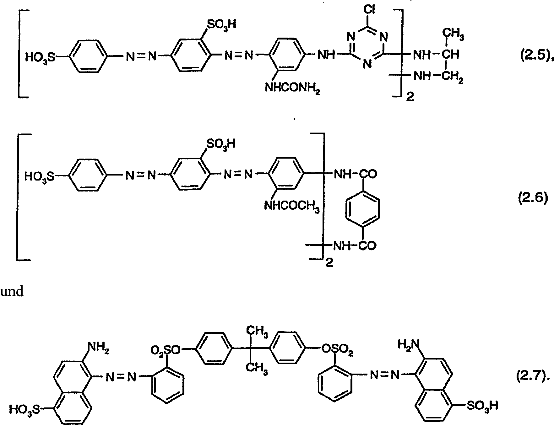
  • Geeignete Farbstoffe (B), die zwei chromophore Reste der Formel (2), die aneinander über ein Brückenglied gebunden sind, umfassen, sind zum Beispiel die Farbstoffe der Formeln (2.5), (2.6) und (2.7)
  • Figure 00230001
  • Die Farbstoffreste in dem Farbstoff (C) sind aneinander über ein Brückenglied, in jedem Fall über die freie Valenz, in der Formel (I), (II), (III) oder (IV) und der Formel (2), (3), (V), (VI), (VII) oder (VIII) gebunden. Brückenglieder sind zum Beispiel diejenigen Reste, die bereits vorstehend im Zusammenhang mit dem Farbstoff (A) der zwei Reste der Formel (I), (II), (III) oder (IV) enthält, beschrieben wurden.
  • Die Farbstoffe (C), auf denen die erfindungsgemäßen Tinten basieren, sind in einigen Fällen bekannt oder können in Analogie zu den bekannten Farbstoffen hergestellt werden. Die vorliegende Erfindung betrifft auch die neuen Farbstoffe (C), auf denen die erfindungsgemäßen Tinten basieren. Geeignete Farbstoffe (C) und Farbstoffe (B), die zwei chromophore Reste, die aneinander über ein Brückenglied gebunden sind, umfassen, werden zudem beispielsweise in US-A-5 232 462, US-A-5 243 033, US-A-5 410 041 und US-A-5 684 138 beschrieben.
  • Zwei Reste der Formeln (2) und (3) enthalten jeweils zumindest eine Sulfogruppe, vorzugsweise 1 bis 4 Sulfogruppen, insbesondere 1 bis 3 Sulfogruppen, und vor allem 2 Sulfogruppen.
  • Der Farbstoff (C) enthält vorzugsweise als Chromophor einen Rest der Formel (I), (II), (III), (IVa), (IVb) oder (IVc), insbesondere (I.1), (I.2), (I.3), (I.4), (I.5), (II.1), (II.2), (II.3), (III.1), (IVb) oder (IVc).
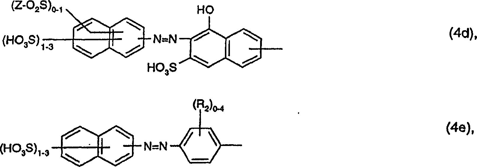
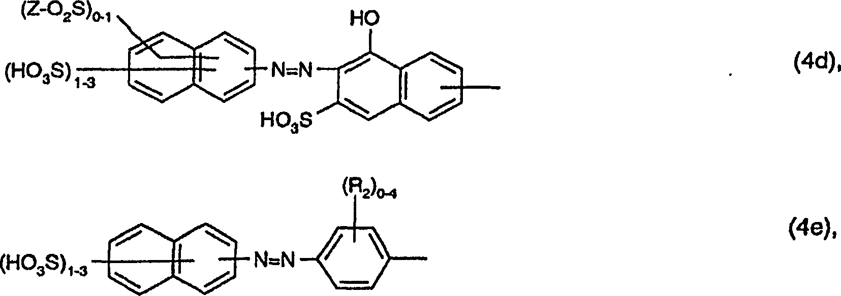
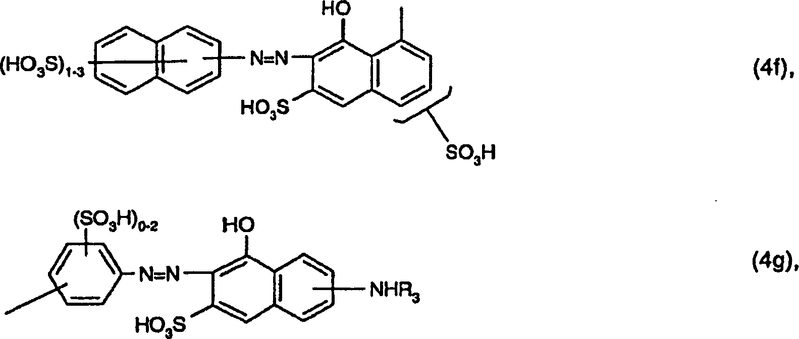
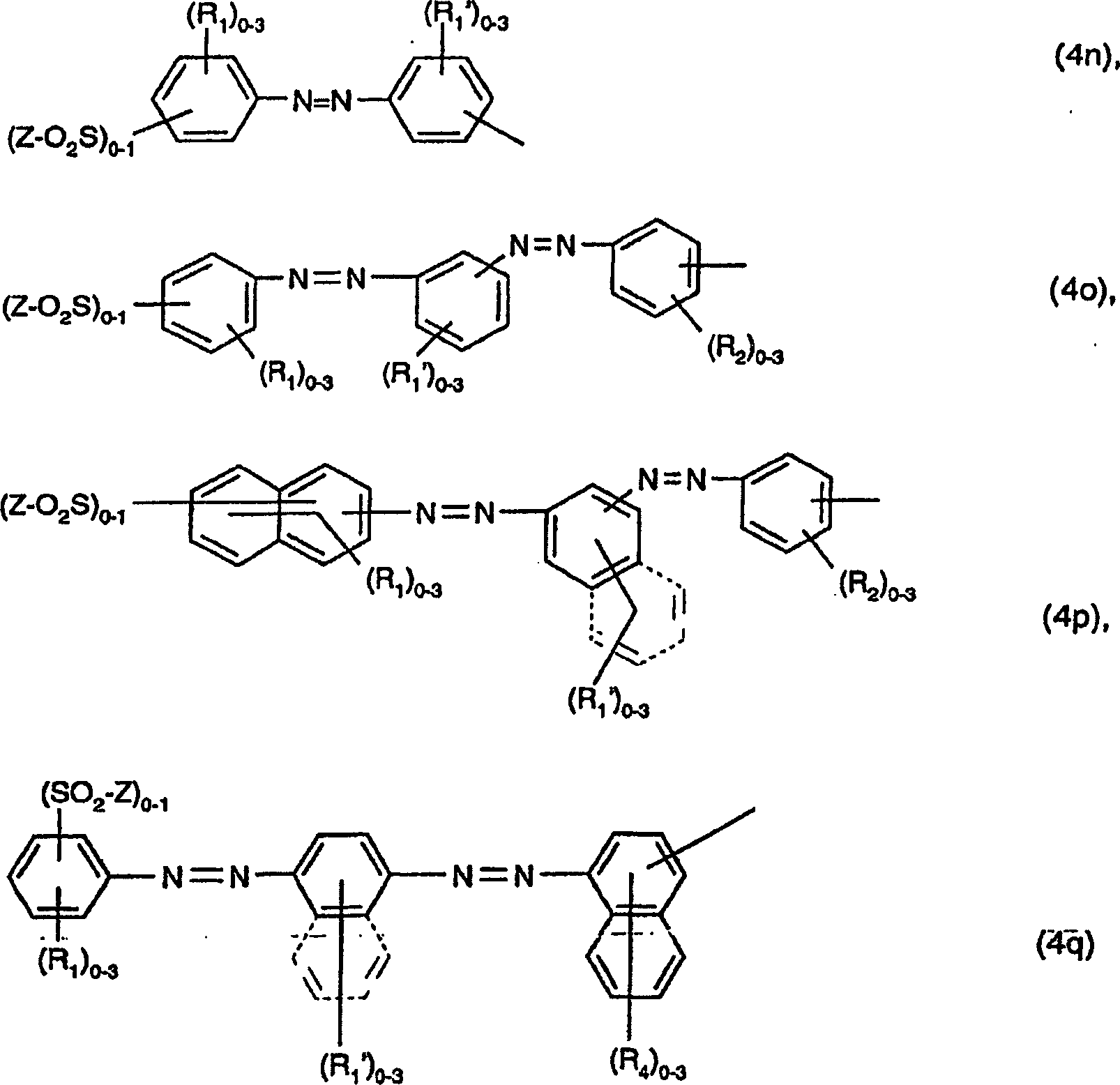
  • Die Reste der Formeln (2) und (3) sind die Reste der Formeln (4a), (4b), (4c), (4d), (4e), (4f), (4g), (4h), (4i), (4j), (4k), (4l), (4m), (4n), (4o), (4p), (4q) oder (4r)
    Figure 00240001
    worin (R1)1–3 für 0 bis 3 identische oder verschiedene Substituenten steht aus der Gruppe, bestehend aus C1-C4-Alkyl, C1-C4-Alkoxy, C2-C4-Alkanoylamino, Halogen, Carboxyl und Sulfo, und Z Vinyl oder einen Rest -CH2-CH2-U bedeutet, und U eine austretende Gruppe ist,
    Figure 00240002
    worin (R1)0–3 wie vorstehend definiert ist,
    Figure 00250001
    worin (R1)0–3 wie vorstehend definiert ist,
    Figure 00250002
    worin (R2)0–4 für 0 bis 4 identische oder verschiedene Substituenten steht aus der Gruppe Halogen, Nitro, Cyano, Trifluormethyl, Sulfamoyl, Carbamoyl, C1-C4-Alkyl, C1-C4-Alkoxy, das unsubstituiert ist oder substituiert durch Hydroxyl oder C1-C4-Alkoxy, Amino, C2-C4-Alkanoylamino, Ureido, Hydroxyl, Carboxyl, Sulfomethyl, C1-C4-Alkylsulfonylamino und Sulfo, und Z wie vorstehend definiert ist,
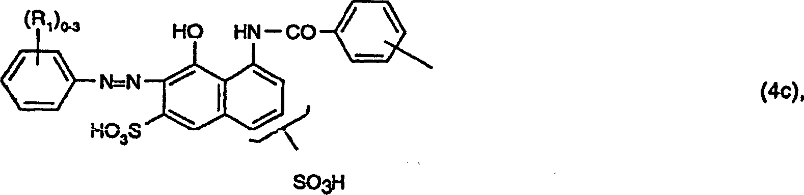
    Figure 00250003
    worin R3 C2-C4-Alkanoyl oder Benzoyl ist,
    Figure 00260001
    worin R3 wie vorstehend definiert ist,
    Figure 00260002
    worin (R4)0–3 für 0 bis 3 identische oder verschiedene Substituenten steht aus der Gruppe C1-C4-Alkyl, C1-C4-Alkoxy, Halogen, Carboxyl und Sulfo,
    Figure 00260003
    worin (R4)0–3 wie vorstehend definiert ist,
    Figure 00260004
    worin R5 und R7 unabhängig voneinander Wasserstoff, C1-C4-Alkyl oder Phenyl bedeuten, und R6 Wasserstoff, Cyano, Carbamoyl oder Sulfomethyl ist,
    Figure 00260005
    worin (R8)0–2 für 0 bis 2 identische oder verschiedene Substituenten steht aus der Truppe, bestehend aus C1-C4-Alkyl, C1-C4-Alkoxy, Halogen, Carboxyl und Sulfo, und Z wie vorstehend definiert ist,
    Figure 00270001
    worin (R9)0–2 für 0 bis 2 identische oder verschiedene Substituenten steht aus der Gruppe, bestehend aus C1-C4-Alkyl, C1-C4-Alkoxy, Halogen, Carboxyl und Sulfo, und Z wie vorstehend definiert ist,
    Figure 00270002
    Figure 00280001
    worin (R1)0–3, (R2)0–3, (R4)0–3 und Z wie vorstehend definiert sind und (R1')0–3 für 0 bis 3 identische oder verschiedene Substituenten steht aus der Gruppe, bestehend aus C1-C4-Alkyl, C1-C4-Alkoxy, Halogen, Carboxyl und Sulfo.
  • C1-C4-Alkyl R1, R1', R2, R4, R5, R7, R8 und R9 sind unabhängig voneinander zum Beispiel Methyl, Ethyl, Propyl, Isopropyl, Butyl, sec-Butyl, tert-Butyl oder Isobutyl, vorzugsweise Methyl oder Ethyl, und insbesondere Methyl.
  • C1-C4-Alkoxy R1, R1', R2, R4, R8 und R9 sind unabhängig voneinander zum Beispiel Methoxy, Ethoxy, Propoxy, Isopropoxy, Butoxy oder Isobutoxy, vorzugsweise Methoxy oder Ethoxy, und insbesondere Methoxy. C1-C4-Alkoxy R2 ist unsubstituiert oder an dem Alkylteil durch Hydroxyl oder C1-C4-Alkoxy substituiert, zum Beispiel Reste der Formel - O-CH2CH2-OH oder -O-CH2CH2-OCH3.
  • Halogen R1, R1', R2, R4, R8 und R9 sind unabhängig voneinander zum Beispiel Fluor, Chlor oder Brom, vorzugsweise Chlor oder Brom, und insbesondere Chlor.
  • C2-C4-Alkanoylamino R1 und R2 sind unabhängig voneinander zum Beispiel Acetylamino oder Propionylamino, insbesondere Acetylamino.
  • C2-C4-Alkanoyl R3 ist zum Beispiel Acetyl, Propionyl oder Butyryl, vorzugsweise Acetyl oder Propionyl, und insbesondere Acetyl.
  • C1-C4-Alkylsulfonylamino R2 ist zum Beispiel Methylsulfonylamino oder Ethylsulfonylamino, insbesondere Methylsulfonylamino.
  • Die austretende Gruppe U ist zum Beispiel -Cl, -Br, -F, OSO3H, -SSO3H, -OCO-CH3, -OPO3H2, -OCO-C6H5, -OSO2-C1-C4-Alkyl oder -OSO2-N(C1-C4-Alkyl)2. Vorzugsweise ist U eine Gruppe der Formel -Cl, -OSO3H, -SSO3H, -OCO-CH3, -OCO-C6H5 oder -OPO3H2, vorzugsweise -Cl oder -OSO3H, und insbesondere -OSO3H.
  • Die Reste der Formeln (4a) bis (4r) sind vorzugsweise Reste, die keine faserreaktive Gruppe enthalten. Reste von speziellem Interesse sind diejenigen der Formeln (4a), (4d), (4e), (4l), (4k), (4n), (4o), (4p), (4q) und (4r), insbesondere die Reste der Formeln (4a), (4d), (4e), (4o), (4p), (4q) und (4r). Die Reste der Formeln (4e), (4o), (4p) und (4q) sind von besonderem Interesse.
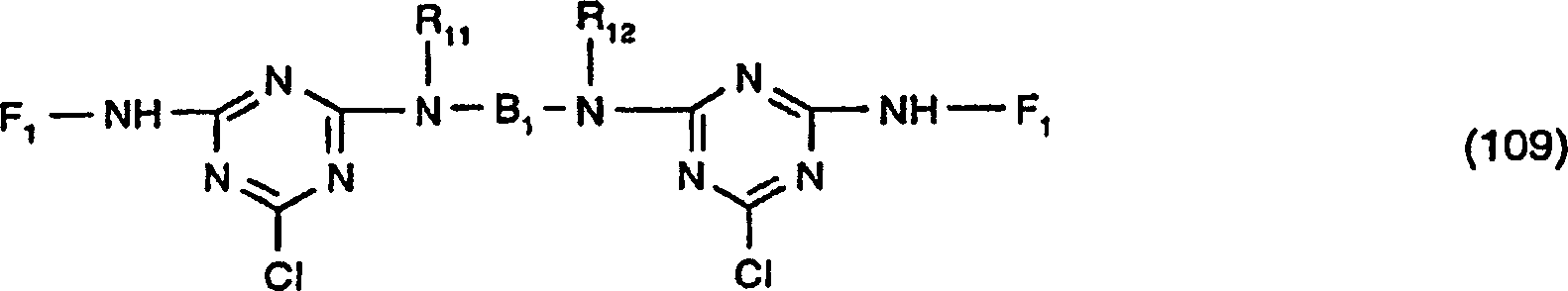
  • Bevorzugte Tinten sind diejenigen, worin der Farbstoff (A) die Formel (5) aufweist
    Figure 00290001
    worin
    R10, R11, R12 und R13 unabhängig voneinander Wasserstoff oder substituiertes oder unsubstituiertes C1-C4-Alkyl bedeuten,
    B1 ein aliphatisches oder aromatisches Brückenglied ist,
    F1 und F2 unabhängig voneinander ein Rest der Formeln (I), (II), (III) oder (IV) sind, und
    X1 und X2 unabhängig voneinander Halogen, Hydroxyl, C1-C4-Alkoxy, das unsubstituiert oder an dem Alkylteil substituiert ist, Phenoxy, das unsubstituiert oder an dem Phenylring substituiert ist, C1-C4-Alkylthio, das unsubstituiert oder an dem Alkylteil substituiert ist, Phenylthio, das unsubstituiert oder an dem Phenylring substituiert ist, Amino, N-Mono- oder N,N-Di-C1-C6-alkylamino, die unsubstituiert oder an dem Alkylteil substituiert sind, C5-C7-Cycloalkylamino, das unsubstituiert oder an dem Cycloalkylring substituiert ist, Phenyl- oder Naphthylamino oder N-C1-C4-Alkyl-N-phenyl- oder N-C1-C4-Alkyl-N-naphthylamino, die unsubstituiert oder an dem Arylteil substituiert sind, Benzylamino, das unsubstituiert oder an dem Phenylteil substituiert ist, Morpholino oder Piperidin-1-yl.
  • Bevorzugte Tinten sind diejenigen, worin der Farbstoff (B) die Formel (6) aufweist
    Figure 00300001
    und der Farbstoff (C) die Formel (7) aufweist
    Figure 00300002
    worin
    R14, R15, R16, R17, R18, R19, R20 und R21 unabhängig voneinander Wasserstoff oder substituiertes oder unsubstituiertes C1-C4-Alkyl sind,
    B2 und B3 unabhängig voneinander ein aliphatisches oder aromatisches Brückenglied sind,
    A1, A2 und A3 unabhängig voneinander ein Mono- oder Diazorest sind, der Sulfogruppen enthält, ausgewählt aus der Gruppe enthaltend die Reste der vorstehenden Formeln (4a), (4b), (4c), (4d), (4e), (4f), (4g), (4h), (4i), (4j), (4k), (4l), (4m), (4n), (4o), (4p), (4q) und (4r), oder ein Rest der Formel (V), (VI) oder (VII),
    F3 ein Rest der Formel (I), (II), (III) oder (IV) ist, und
    X3, X4, X5 und X6 unabhängig voneinander Halogen, Hydroxyl, C1-C4-Alkoxy, das unsubstituiert oder an dem Alkylteil substituiert ist, Phenoxy, das unsubstituiert und an dem Phenylring substituiert ist, C1-C4-Alkylthio, das unsubstituiert oder an dem Alkylteil substituiert ist, Phenylthio, das unsubstituiert oder an dem Phenylring substituiert ist, Amino, N-Mono- oder N,N-Di-C1-C6-alkylamino, die unsubstituiert oder an dem Alkylteil substituiert sind, C5-C7-Cycloalkylamino, das unsubstituiert oder an dem Cycloalkylring substituiert ist, Phenyl oder Naphthylamino oder N-C1-C4-Alkyl-N-phenyl- oder N-C1-C4-Alkyl-N-naphthylamino, die unsubstituiert oder an dem Arylteil substituiert sind, Benzylamino, das unsubstituiert oder an dem Phenylteil substituiert ist, Morpholino oder Piperidin-1-yl bedeuten.
  • Alkylreste R10, R11, R12, R13, R14, R15, R16, R17, R18, R19, R20 und R21 sind geradkettig oder verzweigt. Die Alkylreste können weiterhin substituiert sein, zum Beispiel durch Hydroxyl, Sulfo, Sulfato, Cyano oder Carboxyl. Beispiele sind die folgenden Reste: Methyl, Ethyl, Propyl, Isopropyl, Butyl, Isobutyl, sec-Butyl oder tert-Butyl, und die entsprechenden Reste, die substituiert sind durch Hydroxyl, Sulfo, Sulfato, Cyano oder Carboxyl. Bevorzugte Substituenten sind Hydroxyl, Sulfo, Sulfato oder Carboxyl, insbesondere Hydroxyl oder Sulfato, und vorzugsweise Hydroxyl.
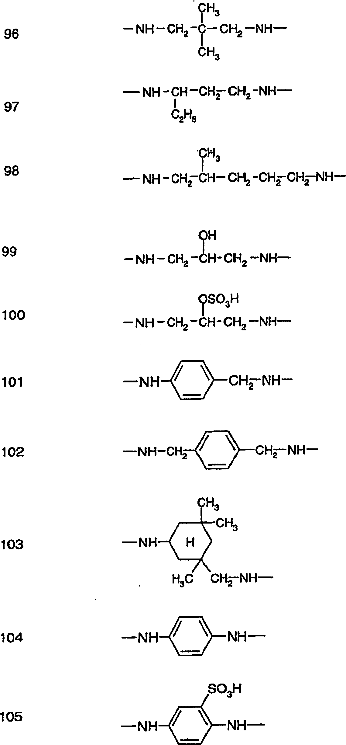
  • Aliphatische Brückenglieder B1, B2 oder B3 sind zum Beispiel ein C2-C12-Alkylenrest, insbesondere ein C2-C6-Alkylenrest, der unterbrochen sein kann durch 1, 2 oder 3 Glieder aus der Gruppe, bestehend aus -NH-, -N(CH3)- oder insbesondere -O-, und der unsubstituiert oder substituiert ist durch Hydroxyl, Sulfo, Sulfato, Cyano oder Carboxyl. Bevorzugte Substituenten der für B1, B2 und B3 erwähnten Alkylenreste sind Hydroxyl, Sulfo oder Sulfato, insbesondere Hydroxyl.
  • Aliphatische Brückenglieder B1, B2 und B3 sind weiterhin zum Beispiel C5-C9-Cycloalkylenreste, wie zum Beispiel Cyclohexylenreste. Die erwähnten Cycloalkylenreste können unsubstituiert oder substituiert sein durch C1-C4-Alkyl, C1-C4-Alkoxy, C2-C4-Alkanoylamino, Sulfo, Halogen oder Carboxyl, insbesondere durch C1-C4-Alkyl. Aliphatische Brückenglieder B1, B2 und B3 sind weiterhin Methylen-Cyclohexylen-, Ethylen-Cyclohexylen- oder Methylen-Cyclohexylen-Methylen-Reste, die unsubstituiert oder an dem Cyclohexylenring durch C1-C4-Alkyl, insbesondere Methyl, substituiert sind.
  • Die Reste der Formeln N(R11)-B1-N(R12)-, N(R15)-B2-N(R16)- und N(R19)-B3-N(R20)- können auch zum Beispiel ein Rest der Formel
    Figure 00310001
    sein, worin alk zum Beispiel C1-C4-Alkylen, zum Beispiel Ethylen, ist.
  • Aromatische Brückenglieder B1, B2 und B3 sind C1-C6-Alkylenphenylen, wie Methylenphenylen, C1-C4-Alkylenphenylen-C1-C4-alkylen, zum Beispiel Methylenphenylenmethylen oder Phenylen, die unsubstituiert oder substituiert sind durch C1-C4-Alkyl, C1-C4-Alkoxy, C2-C4-Alkanoylamino, Sulfo, Halogen oder Carboxyl, oder ein Rest der Formel
    Figure 00320001
    worin die Benzolringe I und II unsubstituiert oder substituiert sind durch C1-C4-Alkyl, C1-C4-Alkoxy, C2-C4-Alkanoylamino, Sulfo, Halogen oder Carboxyl und L die direkte Bindung oder ein C2-C10-Alkylenrest ist, der unterbrochen sein kann durch 1, 2 oder 3 Sauerstoffatome, oder L ein Brückenglied der Formeln -CH=CH-, -N=N-, -NH-, -CO-, -NH-CO-, -NH-SO2-, -NH-CO-NH-, -O-, -S- oder -SO2- ist. Aromatische Brückenglieder B1, B2 und B3 sind vorzugsweise Phenylen, das wie vorstehend erwähnt substituiert sein kann. Vorzugsweise sind die aromatischen Brückenglieder B1, B2 und B3 unsubstituiert oder durch Sulfo substituiert.
  • B1, B2 und B3 sind vorzugsweise ein C2-C12-Alkylenrest, der unterbrochen sein kann durch 1, 2 oder 3 Glieder aus der Gruppe, bestehend aus NH-, -N(CH3)- oder -O-, und der unsubstituiert oder substituiert ist durch Hydroxyl, Sulfo, Sulfato, Cyano oder Carboxyl; oder ein C5-C9-Cycloalkylenrest, C1-C6-Alkylenphenylenrest oder Phenylenrest, die unsubstituiert oder substituiert sind durch C1-C4-Alkyl, C1-C4-Alkoxy, C2-C4-Alkanoylamino, Sulfo, Halogen oder Carboxyl; oder B1, B2 und B3 sind ein Rest der Formel (8), worin die Benzolringe I und II unsubstituiert oder substituiert sind durch C1-C4-Alkyl, C1-C4-Alkoxy, C2-C4-Alkanoylamino, Sulfo, Halogen oder Carboxyl und L die direkte Bindung oder ein C2-C10-Alkylenrest ist, der unterbrochen sein kann durch 1, 2 oder 3 Sauerstoffatome, oder L ein Brückenglied der Formel -CH=CH-, -N=N-, -NH-, -CO-, -NH-CO-, -NH-SO2-, -NH-CO-NH-, -O- oder -SO2- ist;
    oder die Reste der Formeln N(R11)-B1-N(R12)-, -N(R15)-B2-N(R16)- und N(R19)-B3-N(R20)- sind ein Piperazinrest der Formel
    Figure 00330001
    B1, B2 und B3 sind vor allem vorzugsweise ein C2-C12-Alkylenrest, der unterbrochen sein kann durch 1, 2 oder 3 Glieder -O- und unsubstituiert oder substituiert ist durch Hydroxyl, Sulfo, Sulfato, Cyano oder Carboxyl, oder
    ein Phenylenrest, der unsubstituiert oder substituiert ist durch C1-C4-Alkyl, C1-C4-Alkoxy, C2-C4-Alkanoylamino, Sulfo, Halogen oder Carboxyl.
  • B1, B2 und B3 sind insbesondere vorzugsweise ein C2-C12-Alkylenrest, vor allem ein C2-C6-Alkylenrest, der unterbrochen sein kann durch 1, 2 oder 3 Glieder -O- und unsubstituiert oder substituiert ist durch Hydroxyl oder Sulfato.
  • Brückenglieder B1, B2 und B3 von speziellem Interesse sind C2-C6-Alkylenreste, insbesondere diejenigen der Formel -CH2-CH(R22)- oder (R22)-CH-CH2-, worin R22 C1-C4-Alkyl, vor allem Methyl, ist.
  • Halogen X1, X2, X3, X4, X5 und X6 sind unabhängig voneinander zum Beispiel Fluor, Chlor oder Brom, vorzugsweise Fluor oder Chlor und insbesondere Chlor.
  • C1-C4-Alkoxy X1, X2, X3, X4, X5 und X6 sind unabhängig voneinander zum Beispiel Methoxy, Ethoxy, Propoxy, Isopropoxy, Butoxy, sec-Butoxy, Isobutoxy oder tert-Butoxy, insbesondere Methoxy oder Ethoxy. Die vorstehend genannten Reste sind unsubstituiert oder an dem Alkylteil substituiert, zum Beispiel durch C1-C4-Alkoxy, zum Beispiel Methoxy oder Ethoxy, Hydroxyl, Sulfo oder Carboxyl.
  • C1-C4-Alkylthio, X1, X2, X3, X4, X5 und X6 sind unabhängig voneinander zum Beispiel Methylthio, Ethylthio, Propylthio, Isopropylthio oder Butylthio. Die vorstehend genannten Reste sind unsubstituiert oder an dem Alkylteil substituiert, zum Beispiel durch C1-C4-Alkoxy, zum Beispiel Methoxy oder Ethoxy, Hydroxyl, Sulfo oder Carboxyl. Die Reste, die an dem Alkylteil durch einen oder zwei Rest(e) aus der Gruppe bestehend aus Hydroxyl, Sulfo und Carboxyl substituiert sind, sind bevorzugt.
  • N-Mono- oder N,N-Di-C1-C6-alkylamino, vorzugsweise N-Mono- oder N,N-Di-C1-C4-alkylamino, X1, X2, X3, X4, X5 und X6 sind unabhängig voneinander zum Beispiel N-Methylamino, N-Ethylamino, N-Propylamino, N-Butylamino, N-Hexylamino, N,N-Dimethylamino oder N,N-Diethylamino. Die vorstehend genannten Reste sind unsubstituiert oder an dem Alkylteil substituiert, zum Beispiel durch C2-C4-Alkanoylamino, zum Beispiel Acetylamino oder Propionylamino, C1-C4-Alkoxy, zum Beispiel Methoxy oder Ethoxy, Hydroxyl, Sulfo, Sulfato, Carboxyl, Carbamoyl, Sulfamoyl oder β-Sulfatoethylsulfonyl. Die genannten Reste sind nicht unterbrochen oder an dem Alkylteil unterbrochen durch Sauerstoff. Beispiele für Reste, die an dem Alkylteil substituiert sind und die an dem Alkylteil durch Sauerstoff unterbrochen sind, sind N-β-Hydroxyethylamino, N,N-Di-β-hydroxyethylamino, N-2-(β-Hydroxyethoxy)-ethylamino, N-2-[2-(β-Hydroxyethoxy)-ethoxy]-ethylamino, N-β-Sulfatoethylamino, N-β-Sulfoethylamino, N-Carboxymethylamino, N-β-Carboxyethylamino, N-α,β-Dicarboxyethylamino, N-α,γ-Dicarboxypropylamino, N-Ethyl-N-β-hydroxyethylamino und N-Methyl-N-β-Hydroxyethylamino. Die Reste, die an dem Alkylteil durch Hydroxyl, Sulfo, Sulfato, Carboxyl oder Carbamoyl substituiert sind, sind bevorzugt.
  • C5-C7-Cycloalkylamino X1, X2, X3, X4, X5 und X6 können unabhängig voneinander sowohl die unsubstituierten Reste als auch die Reste, die an dem Cycloalkylring substituiert sind, beispielsweise durch C1-C4-Alkyl, zum Beispiel Methyl oder Ethyl, insbesondere Methyl, oder Carboxyl, umfassen. Bevorzugte derartige Reste sind die entsprechenden Cyclohexylreste.
  • Phenylamino oder N-C1-C4-Alkyl-N-phenylamino, vorzugsweise Phenylamino, X1, X2, X3, X4, X5 und X6 können unabhängig voneinander sowohl die unsubstituierten Reste als auch die Reste umfassen, die an dem Phenylring substituiert sind, zum Beispiel durch C1-C4-Alkyl, zum Beispiel oder Ethyl, welches unsubstituiert oder weiter substituiert ist, zum Beispiel durch Carboxyl, C1-C4-Alkoxy, zum Beispiel Methoxy oder Ethoxy, Carboxyl, Carbamoyl, N-C1-C4-Alkylcarbamoyl, das unsubstituiert ist oder weiter an dem Alkylteil substituiert ist, zum Beispiel durch Carboxyl, zum Beispiel N-Carboxymethylcarbamoyl, Sulfo oder Halogen, zum Beispiel Chlor oder Brom. Die substituierten Reste, vorzugsweise die Reste, die durch Carboxyl, Carboxymethyl, N-Carboxymethylcarbamoyl oder Sulfo, insbesondere Sulfo, substituiert sind, sind bevorzugt.
  • Naphthylamino oder N-C1-C4-Alkyl-N-naphthylamino, vorzugsweise Naphthylamino, X1, X2, X3, X4, X5 und X6 können unabhängig voneinander sowohl die unsubstituierten Reste als auch die Reste umfassen, die an dem Naphthylring substituiert sind, zum Beispiel durch Sulfo. Die durch 1 bis 3, insbesondere 2 bis 3, Sulfogruppen substituierten Reste sind bevorzugt.
  • Benzylamino, X1, X2, X3, X4, X5 und X6, die unsubstituiert oder unabhängig voneinander an dem Phenylteil substituiert sind, können sowohl die unsubstituierten Reste als auch die Reste umfassen, die an dem Phenylring substituiert sind, zum Beispiel durch C1-C4-Alkyl, zum Beispiel Methyl oder Ethyl, C1-C4-Alkoxy, zum Beispiel Methoxy oder Ethoxy, Carboxyl, Sulfo oder Halogen, zum Beispiel Chlor oder Brom. Die Reste, die an dem Phenylring durch Carboxyl substituiert sind, sind bevorzugt.
  • X1, X2, X3, X4, X5 und X6 sind vorzugsweise Halogen, C1-C4-Alkoxy oder Alkylthio, die unsubstituiert oder an dem Alkylteil durch C1-C4-Alkoxy, Hydroxyl, Sulfo oder Carboxyl substituiert sind, N-Mono- oder N,N-Di-C1-C4-alkylamino, die unsubstituiert oder an dem Alkylteil durch C2-C4-Alkanoylamino, C1-C4-Alkoxy, Hydroxyl, Sulfo, Sulfato, Carboxyl, Carbamoyl oder Sulfamoyl substituiert sind, C5-C7-Cycloalkylamino, das unsubstituiert oder durch C1-C4-Alkyl oder Carboxyl substituiert ist, Phenylamino oder N-C1-C4-Alkyl-N-phenylamino, die unsubstituiert oder an dem Phenylteil durch C1-C4-Alkyl substituiert sind, welches unsubstituiert oder weiter substituiert ist durch Carboxyl, C1-C4-Alkoxy, Carboxyl, Carbamoyl, N-C1-C4-Alkylcarbamoyl, das unsubstituiert oder weiter an dem Alkylteil substituiert ist durch Carboxyl, Sulfo oder Halogen, Naphthylamino, das an dem Arylteil durch Sulfo substituiert ist, oder Benzylamino, das unsubstituiert oder an dem Phenylteil durch C1-C4-Alkyl, C1-C4-Alkoxy, Carboxyl, Sulfo oder Halogen substituiert ist.
  • X1, X2, X3, X4, X5 und X6 sind vorzugsweise unabhängig voneinander Halogen, C1-C4-Alkylthio, das unsubstituiert oder an dem Alkylteil substituiert ist durch Hydroxyl, Sulfo oder Carboxyl, insbesondere Sulfo oder Carboxyl, N-Mono- oder N,N-Di-C1-C4-alkylamino, das unsubstituiert oder an dem Alkylteil substituiert ist durch C2-C4-Alkanoylamino, C1-C4-Alkoxy, Hydroxyl, Sulfo, Sulfato, Carboxyl oder Carbamoyl, insbesondere Hydroxyl, Sulfo oder Carboxyl, oder Morpholino.
  • R10, R13, R14, R17, R18 und R21 sind vorzugsweise Wasserstoff oder C1-C4-Alkyl, insbesondere Wasserstoff.
  • R11, R12, R15, R16, R19 und R20 sind vorzugsweise Wasserstoff oder C1-C4-Alkyl, das unsubstituiert oder substituiert ist durch Hydroxyl, Sulfo, Sulfato oder Carboxyl, vorzugsweise Wasserstoff oder C1-C4-Alkyl, und insbesondere Wasserstoff.
  • Die Reste F1 und F2 in dem Farbstoff der Formel (5) können verschieden oder identisch sein. Vorzugsweise sind die Reste F1 und F2 identisch.
  • Die Reste A1 und A2 in dem Farbstoff der Formel (6) können verschieden oder identisch sein. Vorzugsweise sind die Reste A1 und A2 identisch.
  • Die Reste X1 und X2 in dem Farbstoff der Formel (5) können verschieden oder identisch sein. Vorzugsweise sind die Reste X1 und X2 identisch.
  • Die Reste X3 und X4 in dem Farbstoff der Formel (6) können verschieden oder identisch sein. Vorzugsweise sind die Reste X3 und X4 identisch.
  • Die Reste X5 und X6 in dem Farbstoff der Formel (7) können verschieden oder identisch sein. Vorzugsweise sind die Reste X5 und X6 identisch.
  • Bevorzugte Tinten sind diejenigen, worin der Farbstoff (A) die Formel (5) besitzt, der Farbstoff (B) die Formel (6) besitzt, und der Farbstoff (C) die Formel (7) besitzt, worin R10, R11, R12, R13, R14, R15, R16, R17, R18, R19, R20, R21, B1, B2, B3, F1, F2, F3, A1, A2, A3, X1, X2, X3, X4, X5 und X6 so wie vorstehend unter den Formeln (5), (6) und (7) definiert und bevorzugt sind.
  • Besonders bevorzugt für Tinten sind diejenigen, worin der Farbstoff (A) die Formel (5) besitzt, der Farbstoff (B) die Formel (6) besitzt, und der Farbstoff (C) die Formel (7) besitzt, worin
    R10, R11, R12, R13, R14, R15, R16, R17, R18, R19, R20 und R21 Wasserstoff sind,
    B1, B2 und B3 unabhängig voneinander ein Rest der Formel -CH2-CH(R22)- oder -(R22)-CH-CH2- sind, worin R22 für C1-C4-Alkyl, insbesondere Methyl, steht,
    F1, F2 und F3 unabhängig voneinander ein Rest der Formel (I), (II), (III), (IVa), (IVb) oder (IVc), insbesondere (I.1), (I.2), (I.3), (I.4), (I.5), (II.1), (II.2), (II.3), (III.1), (IVb) oder (IVc) sind,
    A1, A2 und A3 unabhängig voneinander ein Rest der Formel (4a), (4b), (4c), (4d), (4e), (4f), (4g), (4h), (4i), (4j), (4k), (4l), (4m), (4n), (4o), (4p), (4q), (4r), (V), (VI) oder (VII), vorzugsweise (4a), (4d), (4e), (4o), (4p), (4q), (4r), (V), (VI) oder (VII), und insbesondere (4e), (4o), (4p), (4q), (V), (VI) oder (VII) sind, die keine faserreaktiven Substituenten enthalten, und
    X1, X2, X3, X4, X5 und X6 unabhängig Halogen, C1-C4-Alkylthio, das unsubstituiert oder an dem Alkylteil substituiert ist, durch Hydroxyl, Sulfo oder Carboxyl, insbesondere Sulfo oder Carboxyl, N-Mono- oder N,N-Di-C1-C4-alkylamino, die unsubstituiert oder an dem Alkylteil substituiert sind, durch C2-C4-Alkanoylamino, C1-C4-Alkoxy, Hydroxyl, Sulfo, Sulfato, Carboxyl oder Carbamoyl, insbesondere Hydroxyl, Sulfo oder Carboxyl, oder Morpholino, bedeuten.
  • Eine besonders bevorzugte Ausführungsform der vorliegenden Erfindung umfasst Tinten, die zumindest einen Farbstoff der Formel (5) zusammen mit zumindest einem Farbstoff (C) der Formel (7) umfassen, worin
    R10, R11, R12, R13, R18, R19, R20, R21, B1, B3, F1, F2, F3, A1, X1, X2, X5 und X6 wie vorstehend definiert und bevorzugt sind.
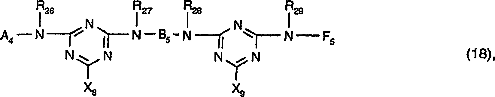
  • Weitere Farbstoffe (C) für die erfindungsgemäßen Tinten besitzen die Formel (9)
    Figure 00380001
    worin
    R23 wie für R10, R13, R14, R17, R18 und R21 definiert und bevorzugt ist,
    R24 und R25 unabhängig voneinander wie für R11, R12, R15, R16, R19 und R20 definiert und bevorzugt sind,
    B4 wie für B1, B2 und B2 definiert und bevorzugt ist,
    A4 ein Rest der Formel (VIII) ist,
    F4 wie für F1, F2 und F3 definiert und bevorzugt ist, und
    X7 wie für X1, X2, X3, X4, X5 und X6 definiert und bevorzugt ist.
  • Die erfindungsgemäßen Tinten umfassen vorzugsweise 30 bis 95 Gew.-% zumindest eines Farbstoffs (A) zusammen mit 5 bis 70 Gew.-% zumindest eines Farbstoffs, ausgewählt unter denjenigen der Gruppe (B) und (C), basierend auf dem Gesamtgewicht der Farbstoffe (A), (B) und (C) in der Tinte.
  • Umfasst die erfindungsgemäße Tinte zumindest einen Farbstoff (A) zusammen mit zumindest einem Farbstoff (B), ist der Farbstoff (A) zum Beispiel in einer Menge von 60 bis 95 Gew.-%, vorzugsweise 70 bis 95 Gew.-% und insbesondere 75 bis 90 Gew.-%, vorhanden, und der Farbstoff (B) ist zum Beispiel in einer Menge von 5 bis 40 Gew.-%, vorzugsweise 5 bis 30 Gew.-% und insbesondere 10 bis 25 Gew.-%, basierend auf dem Gesamtgewicht der Farbstoffe (A) und (B), in der Tinte vorhanden.
  • Umfasst die erfindungsgemäße Tinte zumindest einen Farbstoff (A) zusammen mit zumindest einem Farbstoff (C), ist der Farbstoff (A) zum Beispiel in einer Menge von 25 bis 90 Gew.-%, vorzugsweise 30 bis 80 Gew.-% und insbesondere 30 bis 70 Gew.-%, vorhanden, und der Farbstoff (C) ist zum Beispiel in einer Menge von 10 bis 75 Gew.-%, vorzugsweise 20 bis 70 Gew.-% und insbesondere 30 bis 70 Gew.-%, basierend auf dem Gesamtgewicht der Farbstoffe (A) und (C), in der Tinte vorhanden.
  • Die erfindungsgemäßen Tinten können weiterhin Farbstoffe für die Abtönung zusätzlich zu den vorstehend genannten Farbstoffen enthalten. Vorzugsweise umfassen die Tinten keine erhebliche Mengen an weiterem Farbstoff, der nicht unter die anspruchsgemäße Definition der Farbstoffe in den erfindungsgemäßen Tinten fällt. "Wesentliche Mengen" in diesem Zusammenhang ist zum Beispiel als Mengen von mehr als 5 Gew.-%, bezogen auf das Gesamtgewicht der Farbstoffe (A), (B) und (C) in der Tinte zu verstehen.
  • Die in den erfindungsgemäßen Tinten verwendeten Farbstoffe sollten vorzugsweise einen geringen Salzgehalt aufweisen, zum Beispiel einen Gesamtgehalt an Salzen von weniger als 0,5 Gew.-%, basierend auf dem Gewicht der Farbstoffe, umfassen. Farbstoffe, die einen relativ hohen Salzgehalt auf Grund ihrer Herstellung und/oder der nachfolgenden Zugabe von Verdünnungsmitteln enthalten, können zum Beispiel durch Membrantrennverfahren, wie der Ultrafiltration, der reversen Osmose oder Dialyse, entsalzt werden.
  • Die Tinten umfassen vorzugsweise einen Gesamtgehalt an Farbstoffen von 1 bis 35 Gew.-%, insbesondere 1 bis 30 Gew.-% und vorzugsweise 1 bis 20 Gew.-%, basierend auf dem Gesamtgewicht der Tinte. Eine Grenze von 2,5 Gew.-%, insbesondere 5 Gew.-% und vorzugsweise 7,5 Gew.-% ist hier als untere Grenze bevorzugt.
  • Solche Tinten, die eine Viskosität von 1 bis 40 mPas (Millipascal-Sekunden) aufweisen, sind bevorzugt.
  • Die Tinten umfassen wassermischbare Lösungsmittel in einer Menge von 1 bis 40 Gew.-%, zum Beispiel C1-C4-Alkohole, zum Beispiel Methanol, Ethanol, n-Propanol, Isopropanol, n-Butanol, sec-Butanol, tert-Butanol oder Isobutanol; Amide, zum Beispiel Dimethylformamid oder Dimethylacetamid, Ketone oder Ketonalkohole, zum Beispiel Aceton oder Diacetonalkohol; Ether, zum Beispiel Tetrahydrofuran oder Dioxan; Stickstoff enthaltende heterozyklische Verbindungen, wie zum Beispiel N-Methyl-2-pyrrolidon oder 1,3- Dimethyl-2-imidazolidon, Polyalkylenglykole, zum Beispiel Polyethylenglykol oder Polypropylenglykol; C2-C6-Alkylenglykole und Thioglykole, zum Beispiel Ethylenglykol, Propylenglykol, Butylenglykol, Triethylenglykol, Thiodiglykol, Hexylenglykol und Diethylenglykol; weitere Polyole, zum Beispiel Glyzerin oder 1,2,6-Hexantriol; und C1-C4-Alkylether von mehrwertigen Alkoholen, zum Beispiel 2-Methoxyethanol, 2-(2-Methoxyethoxy)-ethanol, 2-(2-Ethoxyethoxy)-ethanol, 2-[2-(2-Methoxyethoxy)-ethoxy]-ethanol oder 2-[2-(Ethoxyethoxy)-ethoxy]-ethanol; vorzugsweise N-Methyl-2-pyrrolidon, Diethylenglykol, Glyzerin oder insbesondere 1,2-Propylenglykol, vorzugsweise in einer Menge von 2 bis 30 Gew.-%, insbesondere 5 bis 30 Gew.-%, und vor allem 10 bis 25 Gew.-%, bezogen auf das Gesamtgewicht der Tinte.
  • Die Tinten können weiterhin auch solubilisierende Mittel, wie zum Beispiel ε-Caprolactam, umfassen.
  • Die Tinten können Verdicker natürlichen oder synthetischen Ursprungs, unter anderem für den Zweck der Viskositätseinstellung, umfassen.
  • Beispiele für Verdicker sind im Handel erhältliche Alginatverdicker, Stärkeether oder Johannesbrotbohnenblütenether, insbesondere Natriumalginat, als solche oder als Mischung mit modifizierter Cellulose, zum Beispiel Methyl-, Ethyl-, Carboxymethyl-, Hydroxyethyl-, Methylhydroxyethyl-, Hydroxypropyl- oder Hydroxypropylmethylcellulose, insbesondere mit vorzugsweise 20 bis 25 Gew.-% Carboxymethylcellulose. Synthetische Verdicker sind weiterhin beispielsweise diejenigen auf Basis von Poly(meth)acrylsäuren oder Poly(meth)acrylamiden.
  • Die Tinten umfassen solche Verdicker beispielsweise in einer Menge von 0,01 bis 2 Gew.-%, insbesondere 0,01 bis 1 Gew.-% und vorzugsweise 0,01 bis 0,5 Gew.-%, basierend auf dem Gesamtgewicht der Tinte.
  • Die Tinten können weiterhin Puffersubstanzen umfassen, zum Beispiel Borax, Borat, Phosphat, Polyphosphat oder Citrat. Beispiele sind Borax, Natriumborat, Natriumtetrabo rat, Natriumdihydrogenphosphat, Dinatriumhydrogenphosphat, Natriumtripolyphosphat, Natriumtripolyphosphat, Natriumpentaphosphat und Natriumcitrat. Sie werden insbesondere in Mengen von 0,1 bis 3 Gew.-%, vorzugsweise 0,1 bis 1 Gew.-%, basierend auf dem Gesamtgewicht der Tinte, eingesetzt, um einen pH von, zum Beispiel 4 bis 10, vorzugsweise 5 bis 8, sicherzustellen.
  • Die Tinten können oberflächenaktive Mittel oder Befeuchtungsmittel als weitere Additive umfassen.
  • Die oberflächenaktiven Mittel sind im Handel erhältliche anionische oder nicht-ionische oberflächenaktive Mittel. Befeuchtungsmittel sind zum Beispiel Harnstoff, Glyzerin, Propylenglykol oder eine Mischung von Natriumlactat (vorteilhaft in Form einer 50 bis 60 %igen wässrigen Lösung) und Glyzerin und/oder Propylenglykol in Mengen von vorzugsweise 0,1 bis 30 Gew.-%, insbesondere 2 bis 30 Gew.-%, in den erfindungsgemäßen Tinten.
  • Gewünschtenfalls können die Tinten auch saure Donoren, wie Butyrolacton oder Natriumhydrogenphosphat, Konservierungsmittel, Substanzen, die das Fungus- und/oder Bakterienwachstum inhibieren, Schaumunterdrücker, Sequestriermittel, Emulgiermittel, wasserunlösliche Lösungsmittel, Oxidationsmittel oder Entgasungsmittel umfassen.
  • Konservierungsmittel sind zum Beispiel Formaldehyd freisetzende Mittel, zum Beispiel Paraformaldehyd und Trioxan, insbesondere wässrige circa 30 bis 40 Gew.-%ige Formaldehydlösungen, Sequestriermittel sind zum Beispiel Natriumnitrilotriacetat, Natriumethylendiamintetraacetat, und insbesondere Natriumpolymetaphosphat, insbesondere Natriumhexametaphosphat, Emulgiermittel sind insbesondere Addukte von Alkylenoxid und einem Fettalkohol, insbesondere ein Addukt von Oleylalkohol und Ethylenoxid, wasserunlösliche Lösungsmittel sind hochsiedende gesättigte Kohlenwasserstoffe, insbesondere Paraffine mit einem Siedebereich von etwa 160 bis 210°C (sogenannte "White Spirits"), Oxidationsmittel sind zum Beispiel eine aromatische Nitroverbindung, insbesondere eine aromatische Mono- oder Dinitrocarbonsäure oder -sulfonsäure, die als ein Alkylenoxidaddukt vorhanden sein können, insbesondere eine Nitrobenzolsulfonsäure, und Entgasungsmittel sind zum Beispiel hochsiedende Lösungsmittel, insbesondere Terpentinöle, höhere Alkohole, vorzugsweise C8-C10-Alkohole, Terpenalkohole oder Entgasungsmittel auf Basis von Mineral- und/oder Silikonölen, insbesondere handelsübliche Formulierungen von etwa 15 bis 25 Gew.-% einer Mischung von Mineralöl und Silikonöl und etwa 75 bis 85 Gew.-% eines C8-Alkohols, zum Beispiel 2-Ethyl-n-hexanol. Diese werden in Mengen von 0,01 bis 5 Gew.-%, basierend auf dem Gesamtgewicht der Tinte, eingesetzt.
  • Tinten können auf übliche Weise hergestellt werden, indem man die einzelnen Bestandteile in der gewünschten Wassermenge mischt. Nötigenfalls werden die Tinten durch Filtrieren durch ein extrafeines Filter geklärt.
  • Die erfindungsgemäßen Tinten sind zum Beispiel für das Drucken geeignet. Beispiele für geeignete Druckverfahren sind übliches Drucken, Siebdruck und Tintenstrahldruckverfahren.
  • Die erfindungsgemäßen Tinten sind besonders geeignet für die Verwendung in Aufzeichnungssystemen eines Typs, bei dem eine Tinte aus einer schmalen Öffnung in Form von Tröpfchen gegen ein Substrat, auf dem ein Bild gebildet wird, gepresst werden. Geeignete Substrate sind zum Beispiel Textilfasermaterialien, Papier oder Kunststofffilme. Geeignete Aufzeichnungssysteme sind zum Beispiel handelsübliche Tintenstrahldrucker für die Verwendung beim Bedrucken von Papier oder Textilien, oder Schreibvorrichtungen, wie Füllfederhalter und Kugelschreiber und insbesondere Tintenstrahldrucker. Es kann zum Beispiel erforderlich sein, die Viskosität oder andere physikalische Eigenschaften der Tinte, insbesondere diejenigen, die einen Einfluss auf die Affinität für das spezielle Substrat ausüben, entsprechend der Verwendungsmethode anzupassen.
  • Die erfindungsgemäßen Tinten, die Farbstoffe mit faserreaktiven Resten umfassen, sind somit für die Verwendung beim Bedrucken von Papier oder Textilien geeignet.
  • Tinten, die Farbstoffe ohne faserreaktive Reste umfassen, sind besonders für die Aufzeichnung auf Papier und insbesondere für die Verwendung beim Bedrucken von Papier geeignet.
  • Textile Fasermaterialien sind insbesondere Fasermaterialien, die Stickstoff oder Hydroxylgruppen enthalten, zum Beispiel Textilfasermaterialien aus Cellulose, Seide, Wolle oder synthetischen Polyamiden.
  • Beispiele für Papier, das mit den erfindungsgemäßen Tinten bedruckt werden kann, sind im Handel erhältliches Tintenstrahlpapier, photographisches Papier, Glanzpapier und mit Kunststoff überzogenes Papier, zum Beispiel Epson Ink-Jet Paper, Epson Photo Paper, Epson Glossy Film, HP Special Ink-Jet Paper, Encad Photo Gloss Paper und Ilford Photo Paper. Filme aus Kunststoff, die mit den erfindungsgemäßen Tinten bedruckt werden können, sind zum Beispiel transparent oder milchig/opak. Geeignete Filme aus Kunststoff sind zum Beispiel 3M Transparenzfilm.
  • Die vorliegende Erfindung betrifft somit auch ein Verfahren für das Bedrucken von Papier, Kunststofffilmen oder Textilfasermaterialien, insbesondere mit Hilfe des Tintenstrahldruckverfahrens, das die Verwendung einer wässrigen Tinte umfasst, welche
    20 bis 95 Gew.-% zumindest eines Farbstoffs (A) zusammen mit 5 bis 80 Gew.-% zumindest eines Farbstoffs, ausgewählt aus der Gruppe aus (B) und (C), basierend auf dem Gesamtgewicht der Farbstoffe (A), (B) und (C) in der Tinte, und
    1 bis 40 Gew.-% eines wassermischbaren organischen Lösungsmittels, basierend auf dem Gesamtgewicht der Tinte, umfasst, worin
    die Farbstoffe (A), (B) und (C) wie vorstehend definiert und bevorzugt sind.
  • Im Fall des Tintenstrahldruckverfahrens werden die einzelnen Tintentröpfchen aus einer Düse kontrolliert auf ein Substrat gesprüht. Die kontinuierliche Tintenstrahlmethode und die Tröpfchen-Anforderungsmethode werden hierfür hauptsächlich verwendet. Im Fall der kontinuierlichen Tintenstrahlmethode werden die Tropfen kontinuierlich produziert, wobei Tropfen, die für das Drucken nicht erforderlich sind, in einen Sammelbehälter geleitet und rezyklisiert werden. Im Fall der Tropfen-Anforderungsmethode andererseits werden entsprechend den Erfordernissen Tropfen produziert und gedruckt, d. h. Tropfen werden nur produziert, wenn dies für das Drucken nötig ist. Die Tropfen können zum Beispiel mit Hilfe eines Piezo-Tintenstrahlkopfes oder mit Hilfe von thermischer Energie (Blasenstrahl) erzeugt werden. Drucken mit Hilfe eines Piezo-Tintenstrahlkopfes ist bei dem erfindungsgemäßen Verfahren bevorzugt. Das Drucken mit Hilfe der kontinuierlichen Tintenstrahlmethode ist weiterhin bei dem erfindungsgemäßen Verfahren bevorzugt.
  • Die produzierten Aufzeichnungen, wie zum Beispiel Drucke, unterscheiden sich durch gute Schwarzschattierungen ohne Veränderung der Schattierung im künstlichen Licht (Metamerismus) bei einer hervorragenden Lichtechtheit. Aufzeichnungen, die mit Tinten erzeugt werden, welche einen Farbstoff (A) zusammen mit einem Farbstoff (C) umfassen, zeigen kein "Orange-Ausbluten" der schwarzen Schattierung.
  • Die vorliegende Erfindung betrifft auch schwarz-färbende Farbstoffmischungen, die 20 bis 95 Gew.-% zumindest eines Farbstoffs (A) zusammen mit 5 bis 80 Gew.-% zumindest eines Farbstoffs, ausgewählt aus der Gruppe bestehend aus (B) und (C), basierend auf dem Gesamtgewicht der Farbstoffe (A), (B) und (C) in der Farbstoffmischung, umfassen, wobei der Farbstoff (A) die Formel (5), der Farbstoff (B) die Formel (6) und der Farbstoff (C) die Formel (7) aufweist, worin die Reste R10, R11, R12, R13, R14, R15, R16, R17, R18, R19, R20, R21, B1, B2, B3, F1, F2, F3, A1, A2, A3, X1, X2, X3, X4, X5 und X6 wie vorstehend bei den Formeln (5), (6) und (7) definiert und bevorzugt sind.
  • Farbstoffmischungen, die zumindest zwei spezifische reaktive Farbstoffe mit Halogentriazinteilen umfassen, werden in der EP-A-0 625 551 offenbart.
  • Die erfindungsgemäßen Farbstoffmischungen können zum Beispiel hergestellt werden, indem man die einzelnen Farbstoffe mischt. Das Mischverfahren wird zum Beispiel in geeigneten Mühlen, zum Beispiel Kugelmühlen, oder mit Stiften versehenen Scheibenmühlen, und in Knetern oder Mischern durchgeführt.
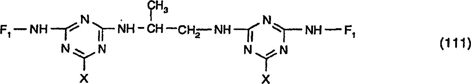
  • Die Farbstoffmischungen der Erfindung, worin der Farbstoff (A) die Formel (5) besitzt, der Farbstoff (B) die Formel (6) besitzt, und der Farbstoff (C) die Formel (7) besitzt und die Reste R10, R13 und R21; R11, R12, R15, R16, R19 und R20; R14, R17 und R18; B1, B2 und B3; F1, F2 und F3; A1, A2 und A3; und X1, X2, X3, X4, X4 und X6 in jedem Fall identische Bedeutungen aufweisen, können hergestellt werden, indem man die Verbindungen der Formeln (10a) und (10b) F1-N(R10)H (10a)und A1-N(R14)H (10b)oder die entsprechenden Farbstoffzwischenprodukte, eine Halogentriazinverbindung der Formel (11)
    Figure 00450001
    und ein Diamin der Formel (12)
    Figure 00450002
    worin A1, F1, R10, R11, R12 und R14 wie vorstehend bei den Formeln (5) und (6) definiert sind, und X Halogen, zum Beispiel Fluor oder Chlor, bedeutet, miteinander in beliebiger Reihenfolge umsetzt, und im Fall, dass Farbstoffzwischenprodukte verwendet werden, die entstandenen Farbstoffzwischenprodukte in die gewünschten Farbstoffe übergeführt werden und, sofern geeignet, sich eine weitere Reaktion mit einer Verbindung der Formel (13) H-X1 (13)worin X1 die bei Formel (5) angegebene Bedeutung, mit Ausnahme von Halogen, besitzt, anschließt.
  • Die Herstellung der letztendlichen Farbstoffe aus den Zwischenprodukten besteht insbesondere in Kupplungsreaktionen, die zu Azofarbstoffen führen.
  • Da die einzelnen vorstehend beschriebenen Verfahrensstufen in unterschiedlicher Reihenfolge durchgeführt werden können, sind in einigen Fällen auch gleichzeitig, sofern geeignet, verschiedene Verfahrensvarianten möglich. Im Allgemeinen erfolgt die Reaktion in einer stufenweisen Abfolge, wobei die Reihenfolge der einfachen Reaktionen zwischen den einzelnen Reaktionskomponenten vorteilhaft von den speziellen Bedingungen abhängt.
  • Eine Variante des Verfahrens umfasst die Umsetzung der Verbindungen der Formeln (10a) und (10b) unabhängig voneinander mit in jedem Fall einer geeigneten äquivalenten Menge einer Halogentriazinverbindung der Formel (11) zur Erzielung der Verbindungen der Formeln (14a) und (14b)
    Figure 00460001
    und die anschließende Unterwerfung einer Mischung von geeigneter Weise zwei Mol-Äquivalenten der Verbindungen der Formeln (14a) und (14b) einer Kondensationsreaktion mit annähernd einem Mol-Äquivalent eines Diamins der Formel (12), wobei sich, sofern geeignet, an diese Kondensationsstufe eine weitere Reaktion mit einer Verbindung der Formel (13) anschließt.
  • Das Verhältnis der Farbstoffe der Formeln (5), (6) und (7) in der Mischung kann in dem angegebenen Bereich variieren und hängt hier vom Verhältnis der Verbindungen der Formeln (14a) und (14b) in der Reaktionsmischung ab.
  • Die einzelnen Kondensationsreaktionen erfolgen zum Beispiel mit Hilfe von Verfahren, die per se bekannt sind, in der Regel in wässriger Lösung bei einer Temperatur beispielsweise von 0 bis 50°C und bei einem pH von beispielsweise 4 bis 10.
  • Die vorliegende Erfindung betrifft ein Verfahren für die Herstellung von Farbstoffmischungen gemäß der Erfindung, die keine erheblichen Mengen einer Verbindung der Formel (6) umfassen, das umfasst
    • (i) die Umsetzung der Verbindungen der Formeln (10a) und (1 Ob) unabhängig voneinander mit in jedem Fall einer Halogentriazinverbindung der Formel (11) zur Erzielung der Verbindungen der Formeln (14a) und (14b),
    • (ii) die Umsetzung der Verbindungen der Form (14b) mit einem Überschuss an einem Diamin der Formel (12) derart, dass eine Mischung der Verbindungen der Formeln (12) und (15)
      Figure 00470001
      erhalten wird,
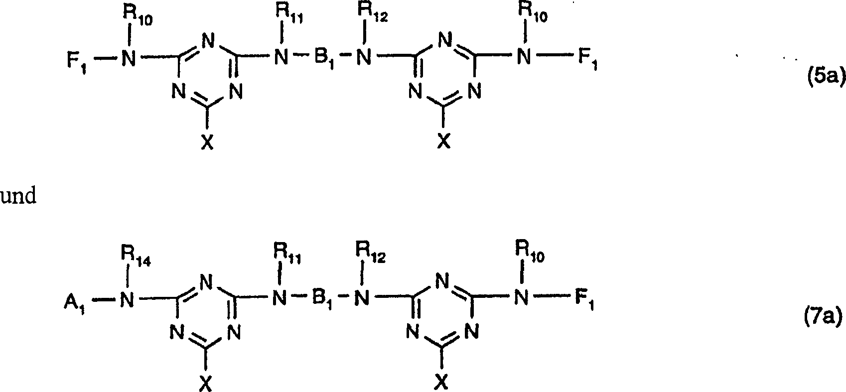
    • (iii) das Unterziehen dieser Mischung einer Kondensationsreaktion mit einer Verbindung der Formel (14a) in äquimolarer Menge, die der Anzahl der Aminogruppen, die nicht durch die Verbindung der Formel (14b) acyliert worden sind, entspricht, um zu einer Mischung der Verbindungen der Formeln (5a) und (7a) zu gelangen,
      Figure 00470002
      und
      Figure 00480001
      und
    • (iv) sofern geeignet, die Umsetzung der Reste X mit einer Verbindung der Formel (13), worin A1, F1, R10, R11, R12 und R14 wie für die Formeln (5) und (6) definiert und bevorzugt sind, X Halogen, zum Beispiel Fluor oder Chlor, bedeutet, und X1 wie für die Formeln (5) definiert und bevorzugt ist, und nicht Halogen bedeutet.
  • Das Verhältnis der Farbstoffe der Formeln (5a) und (7a) in der Mischung kann in dem angegebenen Bereich variieren und hängt hier von dem Verhältnis der Verbindungen der Formeln (12) und (14b) entsprechend der Verfahrensstufe (ii) ab, wobei das Molverhältnis der Verbindungen der Formeln (12) und (14b) größer als 1 ist und zum Beispiel 1,5 bis 10 und vorzugsweise 2 bis 6 beträgt. Die Verfahrensstufe (ii) wird vorteilhaft bei einem pH von 5 bis 7 ausgeführt.
  • Die Verbindungen der Formeln (10a), (10b), (12) und (13) sind bekannt oder können in Analogie zu bekannten Verbindungen erhalten werden.
  • Die vorliegende Erfindung betrifft ferner Farbstoffe der Formel (9)
    Figure 00480002
    worin
    R23 wie für R10, R13, R14, R17, R18 und R21 definiert und bevorzugt ist,
    R24 und R25 unabhängig voneinander wie für R11, R12, R15, R16, R19 und R20 definiert und bevorzugt sind,
    B4 wie für B1, B2 und B3 definiert und bevorzugt ist,
    A4 ein Rest der Formel (VIII) ist,
    F4 wie für F1, F2 und F3 definiert und bevorzugt ist, und
    X7 wie für X1, X2, X3, X4, X5 und X6 definiert und bevorzugt ist.
  • Die Farbstoffe der Formel (9) können hergestellt werden durch eine Additionsreaktion einer Verbindung der Formel (16)
    Figure 00490001
    mit einer Verbindung der Formel (17)
    Figure 00490002
    worin die Reste R23, R24, R25, B4, F4 und W wie vorstehend definiert und bevorzugt sind, und X Halogen, zum Beispiel Fluor oder Chlor, ist, in Anwesenheit einer Base, zum Beispiel eines Alkalimetallhydroxids, insbesondere Natriumhydroxid, bei einem pH von beispielsweise 7 bis 12, vorzugsweise 8 bis 10.
  • Sofern geeignet, kann der Rest X7 eingeführt werden, indem man zuerst die Verbindung der Formel (16) oder das entstandene Additionsprodukt der Verbindungen der Formeln (16) und (17) mit einer Verbindung der Formel H-X7, worin X7 mit Ausnahme von Halogen wie angegeben definiert und bevorzugt ist, mit Hilfe per se bekannter Verfahren umsetzt.
  • Die Verbindungen der Formeln (16) und (17) sind bekannt oder können durch per se bekannte Verfahren hergestellt werden.
  • Die vorliegende Erfindung betrifft auch Farbstoffe (C) der Formel (18)
    Figure 00500001
    worin
    R26, R27, R28 und R29 unabhängig voneinander Wasserstoff oder substituiertes oder unsubstituiertes C1-C4-Alkyl bedeuten,
    B5 ein aromatisches Brückenglied ist, und
    F5 ein Rest der Formel (I), (II), (III), (IVa), (IVb) oder (IVc), insbesondere (I.1), (I.2), (I.3), (I.4), (I.5), (II.1), (II.2), (II.3), (III.1), (IVb) oder (IVc) ist,
    A4 ein Rest der Formel (4a), (4b), (4c), (4d), (4e), (4f), (4g), (4h), (4i), (4j), (4k), (4l), (4m), (4n), (4o), (4p), (4q), (4r), (V), (VI) oder (VII), vorzugsweise (4a), (4d), (4e), (4o), (4p), (4q), (4r), (V), (VI) oder (VII), und insbesondere (4e), (4o), (4p), (4q), (V), (VI) oder (VII) ist, und
    X8 und X9 wie für X1, X2, X3, X4, X5 und X6 definiert und bevorzugt sind.
  • R26 und R29 sind wie für R10, R13, R14, R17, R18 und R21 definiert und bevorzugt.
  • R27 und R28 sind wie vorstehend für R11, R12, R15, R16, R19 und R20 definiert und bevorzugt.
  • A4 ist wie vorstehend für die Reste A1, A2 und A3 der Formeln (4a), (4b), (4c), (4d), (4e), (4f), (4g), (4h), (4i), (4j), (4k), (4l), (4m), (4n), (4o), (4p), (4q), (4r), (V), (VI) oder (VII) definiert und bevorzugt.
  • B5 ist wie vorstehend für die aromatischen Brückenglieder B1, B2 und B3 definiert und bevorzugt.
  • F5 ist wie vorstehend für die Reste F1, F2 und F3 der Formeln (I), (II), (III), (IVa), (IVb) und (IVc) definiert und bevorzugt.
  • Die vorliegende Erfindung betrifft auch Farbstoffe (C) der Formel (18), worin
    R26, R27, R28 und R29 wie vorstehend definiert und bevorzugt sind,
    B5 ein aliphatisches Brückenglied ist,
    F5 wie vorstehend definiert und bevorzugt ist,
    A4 ein Rest der Formel (4o)
    Figure 00510001
    ist, worin
    (R1)0–3 für 0 bis 3 identische oder verschiedene Substituenten ausgewählt unter C1-C4-Alkyl, C1-C4-Alkoxy, C2-C4-Alkanoylamino, Halogen, Carboxyl und Sulfo, insbesondere eine Sulfogruppe, steht,
    (R1')0–3 für 0 bis 3 identische oder verschiedene Substituenten ausgewählt unter C1-C4-Alkyl, C1-C4-Alkoxy, Halogen, Carboxyl und Sulfo, insbesondere eine Sulfogruppe, steht, (R2)0–3 für 0 bis 3 identische oder verschiedene Substituenten, ausgewählt unter Halogen, Nitro, Cyano, Trifluormethyl, Sulfamoyl, Carbamoyl, C1-C4-Alkyl, C1-C4-Alkoxy, das unsubstituiert oder substituiert ist durch Hydroxyl oder C1-C4-Alkoxy, Amino, C2-C4-Alkanoylamino, Ureido, Hydroxyl, Carboxyl, Sulfomethyl, C1-C4-Alkylsulfonylamino und Sulfo, insbesondere Halogen, C1-C4-Alkyl, C1-C4-Alkoxy, das unsubstituiert oder substituiert ist durch Hydroxyl oder C1-C4-Alkoxy, Amino, C2-C4-Alkanoylamino, Ureido, C1-C4-Alkylsulfonylamino und Sulfo steht, und
    Z Vinyl oder ein Rest -CH2-CH2-U ist und U eine austretende Gruppe ist, und
    X8 und X9 wie vorstehend definiert und bevorzugt sind.
  • Der Rest A4 enthält vorzugsweise keine faserreaktive Gruppe der Formel -SO2-Z.
  • B5 ist wie vorstehend für die aliphatischen Brückenglieder B1, B2 und B3 definiert und bevorzugt.
  • Die Farbstoffe der Formel (18) der Erfindung können mit Hilfe per se bekannter Verfahren, wie zum Beispiel in US-A-5 684 138 beschrieben, hergestellt werden.
  • Die Erfindung betrifft auch ein Verfahren für das Färben oder Bedrucken von Fasermaterialien, die Hydroxylgruppen enthalten oder Stickstoff enthalten, mit den Farbstoffen oder Farbstoffmischungen der Erfindung.
  • Fasermaterialien sind beispielsweise natürliche Cellulosefasern, wie Baumwolle, Leinen, Jute oder Hanf, und modifizierte Cellulosefasern, wie Cellulose oder regenerierte Cellulose. Die Farbstoffe und die Farbstoffmischungen der Erfindung sind auch geeignet für das Färben und Bedrucken von natürlichen Polyamidfasermaterialien, zum Beispiel Seide oder Wolle, synthetischen Polyamidfasermaterialien, zum Beispiel Polyamid-(6) oder Polyamid-(6.6), oder von Mischerzeugnissen aus Wolle und synthetischem Polyamid. Die Farbstoffe und Farbstoffmischungen der Erfindung sind besonders geeignet für das Färben oder Bedrucken von natürlichen Polyamidfasermaterialien und hier insbesondere von Wolle oder chlorierter Wolle oder Wolle mit einem waschmaschinen-resistenten Finish.
  • Die genannten Textilfasermaterialien können in den verschiedenartigsten Verarbeitungsformen vorliegen, hier zum Beispiel als Faser, Garn, Flocken, Geweben oder Strickwaren.
  • Die erfindungsgemäßen Farbstoffe und Farbstoffmischungen sind für übliche Färbe- und Druckverfahren geeignet und können auf Fasermaterial in verschiedenartigster Weise aufgebracht und fixiert werden, insbesondere in Form von wässrigen Farbstofflösungen oder Druckpasten. Sie sind sowohl geeignet für das verbrauchende Verfahren als auch das Klotzfärben, bei dem die Güter mit wässrigen Farbstofflösungen, die Salze enthalten können, imprägniert werden, und die Farbstoffe nach einer Alkalibehandlung oder in Anwesenheit von Alkali, sofern geeignet, unter Anwendung von Wärme fixiert werden. Die erfindungsgemäßen Farbstoffe und Farbstoffmischungen sind auch geeignet für das sogenannte kalte Klotz-Batch-Verfahren, bei dem der Farbstoff auf den Foulard zusammen mit dem Alkali aufgebracht wird und dann durch Lagerung bei Raumtemperatur während mehrerer Stunden fixiert wird.
  • Das Färben von natürlichen und synthetischen Polyamidfasermaterialien, insbesondere Wolle, wird vorzugsweise mit Hilfe der verbrauchenden Methode bei einem pH von etwa 3 bis 7, insbesondere 4 bis 6, und bei Temperaturen von zum Beispiel 70 bis 120°C, und insbesondere 90 bis 105°C, durchgeführt.
  • Zusätzlich zu Wasser und den Farbstoffen oder Farbstoffmischungen gemäß der Erfindung können die Farbstoffbäder oder Druckpasten weitere Additive, zum Beispiel schattierende Farbstoffe, Salze, Puffersubstanzen, Netzmittel, Antischaummittel, Nivelliermittel oder Mittel, die die Eigenschaften des Textilmaterials beeinflussen, zum Beispiel weichmachende Mittel, Additive für ein flammabweisendes Finish, oder schmutz-, wasser- und ölabweisende Mittel sowie Wasser weichmachende Mittel und natürliche und synthetische Verdicker, zum Beispiel Alginate oder Celluloseether, enthalten, wobei diese Additive per se bekannt sind.
  • Die erfindungsgemäßen Farbstoffe und Farbstoffmischungen führen zu Egalfärbungen und Drucken mit guten Gesamteigenschaften, insbesondere guter Beständigkeit gegenüber Waschen, Scheuern, Nassappretur, Nasswischen und Licht. Die erfindungsgemäßen Farbstoffe und Farbstoffmischungen zeichnen sich weiterhin aus durch einen gleichmäßigen Farbaufbau, gute Affinität und hohe Fixiergrade. Weiterhin kann die andernfalls übliche Nachbehandlung der Färbungen und Drucke mit sogenannten Fixiermitteln im Fall der erfindungsgemäßen Farbstoffe und Farbstoffmischungen unterbleiben.
  • Die erfindungsgemäßen Farbstoffmischungen, worin der Farbstoff (A) die Formel (5), der Farbstoff (B) die Formel (6), und der Farbstoff (C) die Formel (7) aufweisen, und die erfindungsgemäßen Farbstoffe die Formel (9) und (18) aufweisen, zeichnen sich weiterhin durch eine gute Löslichkeit aus.
  • In den folgenden Beispielen sind die Teile Gewichtsteile. Die Temperaturen sind in Grad Celsius angegeben. Gewichtsteile und Volumenteile stehen in gleicher Beziehung zueinander wie Gramm und Kubikzentimeter.
  • Beispiel 1
    • a) 9,22 Teile Cyanurchlorid werden in 150 Teilen Eiswasser suspendiert. Der pH wird auf 5 mit 1 N Natriumhydroxidlösung gebracht und die Temperatur bei 0 bis 2°C gehalten. Eine neutrale Lösung von 29,80 Teilen Kupferkomplex von 5-Amino-3-[3-phenyl-5-(2-carboxy-5-sulfophenyl)-1-formazano]-4-hydroxybenzolsulfonsäure in 250 Teilen Wasser wird zu dieser Suspension bei 0 bis 3°C zugegeben. Während der Zugabe wird der pH bei 5 mit einer 2 N Natriumhydroxidlösung gehalten. Nach der Zugabe wird die Mischung bei 0 bis 3°C und pH 5 für etwa weitere 2 Stunden gerührt. Eine Lösung von 5-[4,6-Dichlor-1,3,5-triazin-2-ylamino]-3-[3-phenyl-5-(2-carboxy-5-sulfophenyl)-1-formazano]-4-hydroxybenzolsulfonsäure wird erhalten.
    • b) 3,56 Teile Cyanurchlorid werden in 50 Teilen Eiswasser suspendiert. Der pH wird mit 1 N Natriumhydroxidlösung auf 5,5 gebracht und die Temperatur bei 0 bis 2°C gehalten. Eine neutrale Lösung von 10,02 Teilen 4-(2-Ureido-4-aminophenylazo)-azobenzol-3,4'-disulfonsäure in 120 Teilen Wasser wird zu dieser Suspension bei 0 bis 3°C zugegeben. Während der Zugabe wird der pH mit 1 N Natriumhydroxidlösung bei 5,5 gehalten. Nach der Zugabe wird die Mischung bei 0 bis 5°C und pH 5,5 etwa für weitere 3 Stunden gerührt. Man erhält eine Suspension von 4-[2-Ureido-4-(4,6-dichlor-1,3,5-triazin-2-ylamino)-phenylazo]-phenylazo]-azobenzol-3,4'-disulfonsäure.
    • c) Die gemäß b) erhaltene Suspension wird tropfenweise zu einer Lösung von 2,31 Teilen 1,2-Diaminopropan in 50 Teilen Eiswasser zugesetzt, das mit 16% Chlorwasserstoffsäure auf pH 5,5 bis 6 gebracht worden war, wobei man den pH mit 1 N Natriumhydroxidlösung bei 6 hält. Während der tropfenweisen Zugabe lässt man die Temperatur auf etwa 20°C ansteigen. Um die Reaktion zu beenden, wird die Temperatur im Verlauf von mehreren Stunden auf 50°C erhöht und der pH wird auf 6,5 bis 7 erhöht.
    • d) Die gemäß a) erhaltene Lösung lässt man langsam in die gemäß c) erhaltene Lösung einfließen, wobei der pH durch Zugabe von 1 N Natriumhydroxidlösung bei 6,5 gehalten wird und die Temperatur bei 15 bis 20°C gehalten wird. Um die Reaktion zum Abschluss zu bringen, wird die Temperatur auf 50°C erhöht und der pH auf 8,5 bis 9 erhöht. Einige wenige Tropfen 1,2-Diaminopropan werden zu der Reaktionsmischung bei einer Temperatur von 35 bis 40°C zugesetzt, um überschüssige Verbindung entsprechend Verfahrensstufe a) in der Reaktionsmischung zu beseitigen. Der pH wird durch Zusatz einer 2 N Natriumhydroxidlösung auf 10 erhöht. Hiernach lässt man sich die Reaktionsmischung auf Raumtemperatur abkühlen und der pH wird mit 2 N Chlorwasserstoffsäure auf 8 gebracht. Die Reaktionsmischung wird durch Filtrieren geklärt und von dem Salz durch Dialyse befreit, und die entstandene Lösung wird gefriergetrocknet. 54,6 Teile einer Farbstoffmischung, die etwa 46 Gew.-% eines Farbstoffs enthält, der in Form der freien Säure die Formel (101) aufweist,
      Figure 00550001
      und 54 Gew.-% eines Farbstoffs, der in Form der freien Säure die Formel (102) aufweist,
      Figure 00550002
      worin F1 ein Rest der Formel (103) ist,
      Figure 00550003
      A1 ein Rest der Formel (104) ist,
      Figure 00560001
      und B1 ein Rest der Formel
      Figure 00560002
      ist, werden erhalten.
  • Die Farbstoffmischung ergibt Drucke auf Papier und Färbungen und Drucke auf Baumwolle und Wolle in schwarzen Farbschattierungen von hoher Lichtechtheit.
  • Beispiel 2
    • a) 9,65 Teile Cyanurfluorid werden zu einer neutralen Lösung von 35,80 Teilen des Kupferkomplexes von 5-Amino-3-[3-phenyl-5-(2-carboxy-5-sulfophenyl)-1-formazano]-4-hydroxybenzolsulfonsäure in 350 Teilen Wasser bei 0 bis 2°C im Verlauf von 10 Minuten zugesetzt. Während der Zugabe wird der pH bei 5,8 bis 6 mit einer 15% Natriumhydroxidlösung gehalten. Nach der Zugabe wird die Mischung etwa 15 Minuten gerührt, der pH mit 32% Chlorwasserstoffsäure auf 3,5 bis 3,8 gebracht und die Mischung wiederum etwa 15 Minuten gerührt. Hiernach wird der pH mit einer 15% Natriumhydroxidlösung auf etwa 5,8 bis 6 gebracht. Eine Lösung von 5-[4,6-Difluor-1,3,5-triazin-2-yl-amino]-3-[3-phenyl-5-(2-carboxy-5-sulfophenyl)-1-formazano]-4-hydroxybenzolsulfonsäure wird erhalten.
    • b) 3,38 Teile Cyanurfluorid werden langsam zu einer neutralen Lösung von 10,02 Teilen 4-(2-Ureido-4-aminophenylazo)-azobenzol-3,4'-disulfonsäure in 120 Teilen Wasser bei 0 bis 2°C gegeben. Während der Zugabe wird der pH bei 7,3 bis 7,5 mit einer 15% Natriumhydroxidlösung gehalten. Nach der Zugabe wird die Mischung etwa 10 Minuten bei 0 bis 2 °C gerührt und der pH bei 7,3 bis 7,5 gehalten. Hiernach wird der pH mit 32% Chlorwasserstoffsäure auf 3,5 gebracht und die Mischung erneut etwa 10 Minuten bei 0°C gerührt.
    • Man erhält eine Lösung von 4-[2-Ureido-4-(4,6-difluor-1,3,5-triazin-2-yl-amino)-phenylazo]-azobenzol-3,4'-disulfonsäure.
    • c) Die gemäß b) erhaltene kalte Lösung (0°C) wird langsam zu einer Lösung von 2,31 Teilen 1,2-Diaminopropan in 50 Teilen Wasser bei 20°C und einem pH von 6 bis 6,5 zugetropft. Der pH wird hier mit 1 N Natriumhydroxidlösung bei pH 6 bis 6,5 gehalten und die Temperatur wird bei 20 bis 25°C gehalten. Um die Reaktion zum Abschluss zu bringen, wird die Mischung unter diesen Bedingungen für einige wenige Stunden gerührt.
    • d) Die gemäß c) erhaltene Lösung wird auf 0 bis 5°C gekühlt und der pH mit einer 15% Natriumhydroxidlösung auf 8,5 gebracht. Die gemäß a) erhaltene Lösung wird dann zudosiert, wobei der pH bei 8,5 mit 15% Natriumhydroxidlösung gehalten wird. Man lässt die Temperatur langsam auf 20 bis 25°C und den pH auf 9 ansteigen. Um die Reaktion zum Abschluss zu bringen, wird die Mischung unter diesen Bedingungen für einige Stunden gerührt. Die entstandene Lösung wird dann neutralisiert, durch Filtrieren geklärt, von dem Salz durch Dialyse befreit und gefriergetrocknet. Man erhält 42,8 Teile einer Farbstoffmischung, die etwa 46 Gew.-% eines Farbstoffs, der in Form der freien Säure die Formel (105) aufweist,
      Figure 00570001
      und 54 Gew.-% eines Farbstoffs, der in Form der freien Säure die Formel (106) aufweist,
      Figure 00570002
      worin F1 ein Rest der Formel (103) ist, A1 ein Rest der Formel (104) ist, und B1 ein Rest der Formel
      Figure 00580001
      ist, umfasst.
  • Die Farbstoffmischung ergibt Drucke auf Papier und Färbungen und Drucke auf Baumwolle und Wolle in schwarzen Farbschattierungen von hoher Lichtechtheit.
  • Beispiel 3
  • 10,7 Teile der entsprechend Beispiel 2d) erhaltenen Farbstoffmischung, die Farbstoffe der Formeln (105) und (106) umfasst, werden in 200 Teilen Wasser gelöst, und man versetzt mit 1,92 Teilen Morpholin bei 20°C und einem pH von B. Die Reaktionsmischung wird auf 50 bis 55°C erhitzt und der pH durch Zusatz von 15% Natriumhydroxidlösung auf 10 gebracht. Die Mischung wird bei dieser Temperatur etwa eine weitere Stunde gerührt. Hiernach lässt man die Reaktionsmischung auf Raumtemperatur abkühlen und der pH wird mit 16% Chlorwasserstoffsäure auf 7 bis 7,5 gebracht. Die entstandene Lösung wird von dem Salz durch Dialyse befreit und gefriergetrocknet. Man erhält 11,1 Teile einer Farbstoffmischung, die etwa 46 Gew.-% eines Farbstoffs, der in Form der freien Säure die Formel (107) besitzt,
    Figure 00580002
    und 54 Gew.-% eines Farbstoffs, der in Form der freien Säure die Formel (108) besitzt,
    Figure 00590001
    worin
    F1 ein Rest der Formel (103) ist, A1 ein Rest der Formel (104) ist, und B1 ein Rest der Formel
    Figure 00590002
    ist, umfasst.
  • Die Farbstoffmischung führt zu Drucken auf Papier und Färbungen und Drucken auf Baumwolle und Wolle in schwarzen Farbschattierungen von hoher Lichtechtheit.
  • Beispiele 4 bis 30
  • Das in Beispiel 1 beschriebene Verfahren wird wiederholt unter Verwendung einer äquimolaren Menge eines Diazofarbstoffs A1-NH2, worin A1 ein Rest der Formel ist,
    Figure 00590003
    und R1, R1', R2 und R2' die in Tabelle 1 angegebene Bedeutung besitzen,
    anstelle von 10,02 Teilen 4-(2-Ureido-4-aminophenylazo)-azobenzol-3,4'-disulfonsäure. Man erhält eine Mischung von Farbstoffen, die in Form der freien Säure die Formeln (101) und (102) besitzen, worin
    F1 ein Rest der Formel (103) ist,
    A1 die Formel (104a) besitzt, worin R1, R1', R2 und R2' jeweils die in Tabelle 1 angegebene Bedeutung besitzen, und
    B1 ein Rest der Formel
  • Figure 00600001
  • Tabelle 1
    Figure 00610001
  • Die Farbstoffmischungen führen zu Drucken auf Papier und Färbungen und Drucken auf Baumwolle und Wolle in schwarzen Farbschattierungen von hoher Lichtecht.
  • Beispiele 31 bis 57
  • Man wiederholt das in Beispiel 2 beschriebene Verfahren unter Verwendung einer äquimolaren Menge eines Diazofarbstoffs A1-NH2, worin
    A1 ein Rest der Formel (104a) ist,
    und R1, R1', R2 und R2' jeweils die in Tabelle 1 angegebene Bedeutung besitzen,
    anstelle von 10,02 Teilen 4-(2-Ureido-4-aminophenylazo)-azobenzol-3,4'-disulfonsäure. Man erhält eine Mischung von Farbstoffen, die in Form der freien Säure die Formeln (105) und (106) besitzen, worin
    F1 ein Rest der Formel (103) ist,
    A1 die Formel (104a) besitzt, worin R1, R1', R2 und R2' jeweils die in Tabelle 1 angegebene Bedeutung besitzen,
    und B1 ein Rest der Formel
  • Figure 00620001
  • Die Farbstoffmischungen führen zu Drucken auf Papier und Färbungen und Drucken auf Baumwolle und Wolle in schwarzen Farbschattierungen von hoher Lichtechtheit.
  • Beispiele 58 bis 63
  • Man wiederholt das in Beispiel 1 beschriebene Verfahren unter Verwendung einer äquimolaren Menge eines Formazanfarbstoffs F1-NH2, worin F1 jeweils die in Tabelle 2 angegebene Bedeutung besitzt, anstelle von 29,80 Teilen des Kupferkomplexes von 5-Amino-3-[3-phenyl-5-(2-carboxy-5-sulfophenyl)-1-formazan]-4-hydroxybenzolsulfonsäure. Man erhält eine Mischung von Farbstoffen, die in Form der freien Säure die Formeln (101) und (102) besitzen, worin
    F1 jeweils die in Tabelle 2 angegebene Bedeutung besitzt,
    A1 ein Rest der Formel (104) ist,
    und B1 ein Rest der Formel
    Figure 00630001
    ist, umfasst.
  • Tabelle 2
    Figure 00630002
  • Figure 00640001
  • Die Farbstoffmischungen führen zu Drucken auf Papier und Färbungen und Drucken auf Baumwolle und Wolle in schwarzen Farbschattierungen von hoher Lichtbeständigkeit.
  • Beispiele 64 bis 69
  • Man wiederholt das in Beispiel 2 beschriebene Verfahren, wobei jedoch die äquimolare Menge eines Formazanfarbstoffs F1-NH2, worin F1 jeweils die in Tabelle 2 angegebene Bedeutung besitzt, verwendet wird, anstelle von 35,80 Teilen des Kupferkomplexes von 5-Amino-3-[3-phenyl-5-(2-carboxy-5-sulfophenyl)-1-formazan]-4-hydroxybenzolsulfonsäure. Man erhält eine Mischung von Farbstoffen, die in Form der freien Säure die Formeln (105) und (106 besitzen, worin
    F1 die jeweils in Tabelle 2 angegebene Bedeutung besitzt,
    A1 ein Rest der Formel (104) ist,
    und B1 ein Rest der Formel
    Figure 00650001
    ist.
  • Die Farbstoffmischungen führen zu Drucken auf Papier und Färbungen und Drucken auf Baumwolle und Wolle in schwarzen Farbschattierungen von hoher Lichtbeständigkeit.
  • Beispiele 70 bis 77
  • Man wiederholt das in Beispiel 1 beschriebene Verfahren, wobei jedoch eine äquimolare Menge eines Azofarbstoffs A1-NH2 verwendet wird, worin
    A1 die jeweils in Tabelle 3 angegebene Bedeutung besitzt,
    anstelle von 10,02 Teilen 4-(2-Ureido-4-aminophenylazo)-azobenzol-3,4'-disulfonsäure. Man erhält eine Mischung von Farbstoffen, die in Form der freien Säure die Formeln (101) und (102) besitzen, worin
    F1 ein Rest der Formel (103) ist,
    A1 jeweils die in Tabelle 3 angegebene Bedeutung besitzt,
    und B1 ein Rest der Formel
    Figure 00650002
    ist.
  • Die Farbstoffmischungen führen zu Drucken auf Papier und Färbungen und Drucken auf Baumwolle und Wolle in schwarzen Farbschattierungen von hoher Lichtbeständigkeit.
  • Tabelle 3
    Figure 00660001
  • Figure 00670001
  • Beispiele 78 bis 85
  • Das in Beispiel 1 beschriebene Verfahren wird wiederholt, wobei jedoch eine äquimolare Menge eines Kupferkomplexazofarbstoffs F1-NH2, worin F1 die jeweils in Tabelle 4 angegebene Bedeutung besitzt, verwendet wird, anstelle von 29,80 Teilen Kupferkomplex von 5-Amino-3-[3-phenyl-5-(2-carboxy-5-sulfophenyl)-1-formazan]-4-hydroxybenzolsulfonsäure. Man erhält eine Mischung von Farbstoffen, die in Form der freien Säure die Formeln (101) und (102) besitzen, worin
    F1 jeweils die in Tabelle 4 angegebene Bedeutung besitzt,
    A1 ein Rest der Formel (104) ist,
    und B1 ein Rest der Formel
    Figure 00670002
    ist.
  • Tabelle 4
    Beispiel F1 (Chromophor der Formel)
    78 (I.1)
    79 (I.2)
    80 (I.3)
    81 (I.4)
    82 (I.5)
    83 (II.1)
    84 (II.2)
    84a (II.3)
    85 (III.1)
  • Beispiele 86 bis 110
  • Man wiederholt das in Beispiel 1 beschriebene Verfahren, wobei jedoch eine äquimolare Menge eines Diamins
    Figure 00680001
    worin der Rest
    Figure 00680002
    die jeweils in Tabelle 5 angegebene Bedeutung besitzt, anstelle von 2,83 Teilen 1,2-Diaminopropan verwendet wird. Man erhält eine Mischung von Farbstoffen, die in Form der freien Säure die Formeln (109) und (110) besitzen.
    Figure 00680003
    und
    Figure 00690001
    worin
    F1 ein Rest der Formel (103) ist,
    A1 ein Rest der Formel (104) ist, und der Rest
    Figure 00690002
    jeweils die in Tabelle 5 angegebene Bedeutung besitzt.
  • Tabelle 5
    Figure 00690003
  • Figure 00700001
  • Figure 00710001
  • Die Farbstoffmischungen führen zu Drucken auf Papier und Färbungen und Drucken auf Baumwolle und Wolle in schwarzen Farbschattierungen von hoher Lichtbeständigkeit.
  • Beispiele 111 bis 141
  • Man wiederholt das in Beispiel 3 beschriebene Verfahren, wobei jedoch eine äquimolare Menge einer Verbindung der Formel H-X, worin der Rest X die jeweils in Tabelle 6 angegebene Bedeutung besitzt, anstelle von 1,92 Teilen Morpholin verwendet wird. Man erhält eine Mischung von Farbstoffen, die in Form der freien Säure die Formeln (111) und (112) besitzen
    Figure 00710002
    und
    Figure 00720001
    worin
    F1 ein Rest der Formel (103) ist,
    A1 ein Rest der Formel (104) ist, und
    B1 ein Rest der Formel
    Figure 00720002
    ist, und der Rest X die jeweils in Tabelle 6 angegebene Bedeutung besitzt.
  • Tabelle 6
    Figure 00720003
  • Figure 00730001
  • Figure 00740001
  • Die Farbstoffmischungen führen zu Drucken auf Papier und Färbungen und Drucken auf Baumwolle und Wolle in schwarzen Farbschattierungen von hoher Lichtbeständigkeit.
  • Beispiel 142
    • a) 14 Teile Cyanurfluorid werden zu einer neutralen Lösung von 52 Teilen 5-(2-Ureido-4-aminophenylazo)-azobenzol-3,4'-disulfonsäure und 5 Teilen Dinatriumhydrogenphosphat in 500 Teilen Wasser bei einer Temperatur unterhalb 2°C getropft, wobei der pH durch Zusatz von Natriumhydroxidlösung konstant gehalten wird. Nach Beendigung der Reaktion werden 7,4 Teile 1,2-Diaminopropan in 54 Teilen Wasser derart zugetropft, dass die Temperatur 5°C nicht übersteigt und der pH bei einem Wert von 6 bleibt. Der pH wird hiernach bei einem Wert von 6 gehalten. Man erhält eine Lösung von 4-{2-Ureido-4-[4-(2-aminopropylamino)-6-fluor-1,3,5-triazin-2-ylamino]-phenylazo]-azobenzol-3,4'-disulfonsäure.
    • b) 14 Teile Cyanurfluorid werden zu einer neutralen Lösung von 60 Teilen Kupferkomplex von 5-Amino-3-[3-phenyl-5-(2-carboxy-5-sulfophenyl)-1-formazan]-4-hydroxybenzolsulfonsäure und 5 Teilen Dinatriumhydrogenphosphat in 500 Teilen Wasser bei einer Temperatur unterhalb 2°C zugetropft, wobei der pH durch Zusatz von Natriumhydroxidlösung konstant gehalten wird. Man erhält eine Lösung von 5-[4,6-Difluor-1,3,5-triazin-2-ylamino]-3-[3-phenyl-5-(2-carboxy-5-sulfophenyl)-1-formazan]-4-hydroxybenzolsulfonsäure.
    • c) Die Lösung gemäß b) wird zu der Lösung gemäß a) zugegeben, wobei der pH erhöht wird auf und gehalten wird bei einem Wert von 8.5. Man lässt die Mischung sich auf Raumtemperatur erwärmen, befreit die Lösung von dem Salz durch Dialyse und engt den Farbstoff durch Verdampfen ein. Man erhält einen Farbstoff, der in Form der freien Säure die Verbindung der Formel (113) ist,
      Figure 00750001
      worin F5 ein Rest der Formel (103) ist, A4 ein Rest der Formel (104) ist, und B5 ein Rest der Formel
      Figure 00750002
      ist.
  • Der Farbstoff färbt Baumwolle und Wolle in oliven Farbschattierungen von hoher Lichtbeständigkeit.
  • Beispiel 143
  • Man gibt 19 Teile Morpholin bei 20°C und einem pH von 8,5 zu einer gemäß Beispiel 142 c) erhaltenen Lösung, die den Farbstoff der Formel (113) umfasst. Die Reaktionsmischung wird auf 50 bis 55°C erhitzt und der pH durch Zusatz von Natriumhydroxidlösung auf 10 gebracht. Die Mischung wird bei dieser Temperatur für etwa eine weitere Stunde gerührt. Hiernach lässt man die Reaktionsmischung auf Raumtemperatur abkühlen und bringt den pH mit wässriger Chlorwasserstoffsäure auf 7 bis 7,5. Die entstandene Lösung wird von dem Salz durch Dialyse befreit und eingedampft. Man erhält einen Farbstoff, der in Form der freien Säure die Formel (114) besitzt
    Figure 00760001
    worin
    F5 ein Rest der Formel (103) ist,
    A4 ein Rest der Formel (104) ist, und
    B5 ein Rest der Formel
    Figure 00760002
    ist.
  • Der Farbstoff färbt Baumwolle und Wolle in oliven Farbschattierungen von hoher Lichtechtheit.
  • Das in Beispiel 142 beschriebene Verfahren wird wiederholt, wobei jedoch eine äquimolare Menge eines Diazofarbstoffs A1-NH2, worin A1 ein Rest der Formel
    Figure 00760003
    ist und R1, R1', R2 und R2' die jeweils in Tabelle 1 angegebene Bedeutung besitzen, anstelle von 52 Teilen 4-(-Ureido-4-aminophenylazo)-azobenzol-3,4'-disulfonsäure verwendet wird. Man erhält wertvolle Farbstoffe, die Baumwolle und Wolle in oliven Farbschattierungen von hoher Lichtechtheit färben.
  • Man wiederholt das in Beispiel 142 beschriebene Verfahren, wobei man jedoch ein äquimolare Menge eines in Tabelle 2 angegebenen Formazanfarbstoffs oder eines in Tabelle 4 angegebenen Kupferkomplex-Azofarbstoffs anstelle von 60 Teilen des Kupferkomplexes der 5-Amino-3-[3-phenyl-5-(2-carboxy-5-sulfophenyl)-1-formazan]-4-hydroxybenzolsulfonsäure verwendet. Man erhält wertvolle Farbstoffe, die Baumwolle und Wolle in oliven Farbschattierungen von hoher Lichtbeständigkeit färben.
  • Man wiederholt das in Beispiel 142 beschriebene Verfahren, wobei man jedoch eine äquimolare Menge eines Diamins gemäß Tabelle 5 anstelle der 7,4 Teile 1,2-Diaminopropan verwendet. Man erhält wiederum wertvolle Farbstoffe, die Baumwolle und Wolle in oliven Farbschattierungen mit hoher Lichtbeständigkeit färben.
  • Man wiederholt das in Beispiel 143 beschriebene Verfahren, wobei man jedoch eine äquimolare Menge einer Verbindung X-H, worin X die jeweils in Tabelle 6 angegebene Bedeutung besitzt, anstelle der 19 Teile Morpholin verwendet. Wiederum erhält man wertvolle Farbstoffe, die Baumwolle und Wolle in oliven Farbschattierungen von hoher Lichtechtheit färben.
  • Beispiel 144
    • a) 9,22 Teile Cyanurchlorid werden in 150 Teilen Eiswasser suspendiert. Der pH wird mit 1 N Natriumhydroxidlösung auf 5 gebracht und die Temperatur wird bei 0 bis 2°C gehalten. Die neutrale Lösung von 29,80 Teilen Kupferkomplex von 5-Amino-3-[3-phenyl-4-(2-carboxy-5-sulfophenyl)-1-formazan]-4-hydroxybenzolsulfonsäure in 250 Teilen Wasser wird zu dieser Suspension bei 0 bis 3°C zugegeben. Während der Zugabe wird der pH mit einer 2 N Natriumhydroxidlösung bei 5 gehalten. Nach der Zugabe wird die Mischung bei 0 bis 3°C und pH 5 für etwa weitere zwei Stunden gerührt. Man erhält eine Lösung von 5-[4,6-Dichlor-1,3,5-triazin-2-ylamino]-3-[3-phenyl-5-(2-carboxy-5-sulfophenyl)-1-formazan]-4-hydroxybenzolsulfonsäure.
    • b) Die gemäß a) erhaltene Lösung wird zugetropft zu einer Lösung, mit 32% Chlorwasserstoffsäure auf pH 6 bis 6,5 gebracht, von 37,1 Teilen 1,2-Diaminopropan in 50 Teilen Eiswasser, wobei der pH durch Zusatz einer 15% Natriumhydroxidlösung bei 6,5 gehalten wird. Während der tropfenweisen Zugabe lässt man die Temperatur auf etwa 20°C ansteigen. Um die Reaktion zum Abschluss zu bringen, wird die Mischung zwei Tage bei 30°C gerührt. Hiernach wird das kristalline Produkt abfiltriert, mit Wasser gewaschen und in 700 Teilen Wasser aufgenommen. Es findet eine vollständige Auflösung durch Erhöhen des pH mit 15% Natriumhydroxidlösung auf 9,5 statt. Der Farbstoff wird erneut durch Zusatz von 90 Teilen Natriumchlorid ausgefällt, abfiltriert und mit 15% Natriumchloridlösung gewaschen. Nach dem Trocknen bei 50°C im Vakuum erhält man 54,8 Teile einer Verbindung, die in Form der freien Säure die Formel
      Figure 00780001
      besitzt, worin B4 ein Rest der Formel
      Figure 00780002
      ist.
    • c) 10,96 Teile der Verbindung gemäß b) werden in 75 Teilen Wasser unter neutralen Bedingungen gelöst und der pH wird dann mit 1 N Natriumhydroxidlösung auf 8,8 gebracht. Eine neutrale Lösung von 4,58 Teilen einer Verbindung der Formel
      Figure 00790001
      (erhalten durch Vinylierung von C.I. Reactive Red 23 in alkalischem Medium) in 50 Teilen Wasser wird zu dieser Lösung bei 50 bis 55°C zugetropft, wobei der pH durch Zusatz einer 1 N Natriumhydroxidlösung bei 8,8 gehalten wird. Um die Reaktion zum Abschluss zu bringen, wird die Mischung weiter für einige Stunden gerührt. Die Lösung wird durch Filtrieren geklärt, von dem Salz durch Dialyse befreit und gefriergetrocknet. Man erhält 11,3 Teile einer Verbindung, die in Form der freien Säure die Formel (115)
      Figure 00790002
      besitzt, worin B4 ein Rest der Formel
      Figure 00790003
      ist.
  • Anwendungsbeispiel 1
  • 10,0 Teile der Farbstoffmischung gemäß Beispiel 1 werden in 90,0 Teilen destilliertem Wasser und 10 Teilen 1,2-Propylenglykol gelöst und die Lösung wird filtriert. Die so erhaltene Tinte wird auf ein handelsübliches Tintenstrahlpapier oder fotografisches Papier oder einen Glanzfilm (zum Beispiel Epson Glossy Film) mit Hilfe eines Tropfen-auf-Anforderung-Tintenstrahldruckers getropft. Der entstandene Druck in einem schwarzen Ton besitzt sehr gute Lichtechtheit.
  • Das in dem Anwendungsbeispiel 1 beschriebene Verfahren wird wiederholt, wobei man jedoch eine der Farbstoffmischungen gemäß den Beispielen 2 bis 141 anstelle der Farbstoffmischung gemäß Beispiel 1 verwendet. Man erhält wiederum schwarze Drucke von sehr guter Lichtbeständigkeit.
  • Anwendungsbeispiel 2
  • 3,57 Teile eines Farbstoffs, der in Form der freien Säure der Formel (105)
    Figure 00800001
    besitzt, worin F1 ein Rest der Formel (103)
    Figure 00800002
    ist, und 1,20 Teile eines Farbstoff, der in Form der freien Säure die Formel (116)
    Figure 00810001
    besitzt, worin A1 ein Rest der Formel (104)
    Figure 00810002
    ist, werden in 40 Teilen destilliertem Wasser und 5,0 Teilen 1,2-Propylenglykol gelöst und die Lösung wird filtriert. Die so erhaltene Tinte wird auf ein handelsübliches Tintenstrahlpapier, fotografisches Papier oder einen Glanzfilm (zum Beispiel Epson Glossy Film) oder auf Baumwolle gemäß dem Anwendungsbeispiel 5 mit Hilfe eines Tropfen-auf-Anforderung-Tintenstrahldruckers gedruckt. Der entstandene Druck in einem schwarzen Ton besitzt eine sehr gute Lichtbeständigkeit.
  • Anwendungsbeispiel 3
  • 3,78 Teile eines Farbstoffs der Formel (IV.8) und 1,20 Teile eines Farbstoffs der Formel (116), worin A1 ein Rest der Formel (104) ist, werden in einer Mischung von 35 Teilen destilliertem Wasser, 5 Teilen 1,2-Propylenglykol und 5,0 Teilen Glyzerin gelöst und die Lösung wird filtriert. Die so erhaltene Tinte wird auf ein handelsübliches Tintenstrahlpapier oder fotografisches Papier oder einen Glanzfilm (zum Beispiel Epson Glossy Film) mit Hilfe eines Tropfen-auf-Anforderung-Tintenstrahldruckers gedruckt. Der entstandene Druck in einem schwarzen Ton besitzt eine sehr gute Lichtechtheit.
  • Anwendungsbeispiel 4
  • Die folgenden Tinten (a) bis (m) werden hergestellt, indem man die angegebenen Verbindungen in destilliertem Wasser und den angegebenen Lösungsmitteln löst. Die Tinten werden filtriert und auf ein handelsübliches Tintenstrahlpapier oder fotografisches Papier oder einen Glanzfilm (zum Beispiel Epson Glossy Film) mit Hilfe eines Tropfen-auf- Anforderung-Tintenstrahldruckers gedruckt. Die mit den Tinten (a) bis (m) erhaltenen Drucke in einem schwarzen Ton besitzen eine sehr gute Lichtechtheit.
    • (a) 8,1 Teile des Farbstoffs der Formel (IV.7), 1,8 Teile des Farbstoffs der Formel (2.4), 10,0 Teile 1,2-Propylenglykol, 10,0 Teile Glyzerin und 70,1 Teile Wasser.
    • (b) 9,2 Teile des Farbstoffs der Formel (IV.2), 2,1 Teile des Farbstoffs der Formel (2.7), 20,0 Teile 1,2-Propylenglykol und 68,7 Teile Wasser.
    • (c) 7,5 Teile des Farbstoffs der Formel (IV.3), 2,3 Teile des Farbstoffs der Formel (2.1), 20,0 Teile Glyzerin und 70,2 Teile Wasser.
    • (d) 8,2 Teile des Farbstoffs der Formel (IV.4), 1,9 Teile des Farbstoffs der Formel (2.2), 0,2 Teile C.I. Reactive Red 23, 10,0 Teile 1,2-Propylenglykol, 5,0 Teile ε-Caprolactam und 74,7 Teile Wasser.
    • (e) 7,7 Teile des Farbstoffs der Formel (IV.5), 2,5 Teile des Farbstoffs der Formel (2.3), 0,1 Teile C.I. Reactive Red 130, 10,0 Teile 1,2-Propylenglykol, 10,0 Teile Glyzerin, 5,0 Teile N-Methylpyrrolidon und 64,7 Teile Wasser.
    • (f) 8,6 Teile des Farbstoffs der Formel (IV.6), 2,7 Teile des Farbstoffs der Formel (2.6), 20,0 Teile 1,2-Propylenglykol und 68,7 Teile Wasser.
    • (g) 9,0 Teile des Farbstoffs der Formel (IV.9), 1,7 Teile des Farbstoffs der Formel (2.5), 0,1 Teile C.I. Reactive Red 23, 10,0 Teile 1,2-Propylenglykol, 10,0 Teile Glyzerin und 69,2 Teile Wasser.
    • (h) 10,0 Teile des Farbstoffgemischs gemäß Beispiel 1, 0,1 Teile C.I. Reactive Red 23, 10,0 Teile 1,2-Propylenglykol, 5,0 Teile Glyzerin, 5,0 Teile ε-Caprolactam und 69,9 Teile Wasser.
    • (i) 9,2 Teile des Farbstoffs der Formel (IV.3), 1,8 Teile des Farbstoffs der Formel (2.6), 20,0 Teile 1,2-Propylenglykol und 69,0 Teile Wasser.
    • (j) 9,0 Teile des Farbstoffgemischs gemäß Beispiel 1, 1,0 Teile des Farbstoffs gemäß Beispiel 144, 20,0 Teile 1,2-Propylenglykol, 5,0 Teile ε-Caprolactam und 65,0 Teile Wasser.
    • (k) 8,0 Teile des Farbstoffs der Formel
      Figure 00830001
      2,0 Teile des Farbstoffs der Formel (2.6), 20,0 Teile 1,2-Propylenglykol und 70,0 Teile Wasser.
    • (l) 12,3 Teile des Farbstoffs der Formel
      Figure 00830002
      2,3 Teile des Farbstoffs der Formel (2.3), 20,0 Teile 1,2-Propylenglykol und 65,4 Teile Wasser.
    • (m) 11,0 Teile des Farbstoffs der Formel
      Figure 00830003
      1,9 Teile des Farbstoffs der Formel (2.2), 20,0 Teile 1,2-Propylenglykol und 67,1 Teile Wasser.
  • Anwendungsbeispiel 5
    • a) Merzerisierter Baumwollsatin wird mit einem Färbebad versetzt, das 30 g/l Natriumcarbonat (Badaufnahme 70%) umfasst, und getrocknet.
    • b) Eine wässrige Tinte mit einer Viskosität von 2 mPa·s, umfassend 15 Gew.-% der Farbstoffmischung gemäß Beispiel 1, 15 Gew.-% 1,2-Propylenglykol, 0,5 Gew.-% Borax, und 69,5 Gew.-% Wasser, wird mit Hilfe eines Tropfen-auf-Anforderung-Tintenstrahlkopfes (Blasendüse) auf den gemäß Stufe a) vorbehandelten Baumwollsatin gedruckt. Der Druck wird vollständig getrocknet, in gesättigtem Wasserdampf 4 Minuten bei 102°C fixiert, in der Kälte gespült, beim Sieden ausgewaschen, wiederum gespült und getrocknet. Man erhält einen schwarzen Druck mit sehr guter Lichtechtheit.
  • Das in dem Anwendungsbeispiel 5 beschriebene Verfahren wird wiederholt, wobei man jedoch eine der Farbmischungen gemäß den Beispielen 2 bis 141 anstelle der Farbmischung gemäß Beispiel 1 verwendet. Wiederum erhält man schwarze Drucke von sehr guter Lichtechtheit.
  • Färbe-Instruktionen
  • 2 Teile des gemäß Beispiel 142 erhaltenen Farbstoffs werden in 400 Teilen Wasser gelöst. 1500 Teile einer Lösung, die 53 g Natriumchlorid je Liter umfasst, werden hierzu zugegeben. 100 Teile Baumwollgewebe werden in dieses Färbebad bei 40°C eingebracht. Nach 45 Minuten werden 100 Teile einer Lösung, die 16 g Natriumhydroxid und 20 g kalziniertes Natriumcarbonat je Liter umfasst, zugesetzt. Die Temperatur des Färbebades wird für weitere 45 Minuten bei 40°C gehalten. Hiernach werden die gefärbten Güter gespült, beim Sieden mit einem nicht-ionischen Detergens während einer Viertel Stunde durchtränkt, erneut gespült und getrocknet.
  • Druck-Instruktionen
  • 3 Teile des gemäß Beispiel 142 erhaltenen Farbstoffs werden unter raschem Rühren in 100 Teile eines bevorrateten Verdickers, umfassend 50 Teile von 5% Natriumalginatverdicker, 27,8 Teile Wasser, 20 Teile Harnstoff, 1 Teil Natrium-m-nitrobenzolsulfonat und 1,2 Teile Natriumbicarbonat durch Sprinkeln eingebracht. Ein Baumwollgewebe wird mit der so erhaltenen Druckpaste bedruckt und getrocknet, und das resultierende bedruckte Material wird in gesättigtem Dampf 2 Minuten bei 102°C dampfbehandelt. Das bedruckte Gewebe wird hiernach gespült, wenn geeignet, beim Sieden durchtränkt und wiederum gespült, und anschließend getrocknet.

Claims (13)

  1. Schwarz-färbende wässrige Tinte, umfassend 20 bis 95 Gew.-% zumindest eines Farbstoffs (A) zusammen mit 5 bis 80 Gew.-% zumindest eines Farbstoffs ausgewählt unter (B) und (C), basierend auf dem Gesamtgewicht der Farbstoffe (A), (B) und (C) in der Tinte, und 1 bis 40 Gew.-% eines wassermischbaren, organischen Lösungsmittels, basierend auf dem Gesamtgewicht der Tinte, wobei der Farbstoff (A) als farbgebenden Teil des Moleküls einen oder mehrere Reste der Formeln (I), (II), (III) oder (IV) enthält,
    Figure 00860001
    oder
    Figure 00870001
    der Farbstoff (B) als farbgebenden Teil des Moleküls einen oder mehrere Mono- oder Diazoreste enthält, die Sulfogruppen enthalten, ausgewählt unter den Resten der Formel
    Figure 00870002
    worin (R1)0–3 für 0 bis 3 identische oder verschiedene Substituenten steht, ausgewählt unter C1-C4-Alkyl, C1-C4-Alkoxy, C2-C4-Alkanoylamino, Halogen, Carboxyl und Sulfo und Z für Vinyl oder einen Rest -CH2-CH2-U steht und U eine austretende Gruppe ist,
    Figure 00870003
    worin (R1)0–3 wie vorstehend definiert ist,
    Figure 00870004
    worin (R1)0–3 wie vorstehend definiert ist,
    Figure 00880001
    worin (R2)0–4 für identische oder verschiedene Substituenten steht, ausgewählt unter Halogen, Nitro, Cyano, Trifluormethyl, Sulfamoyl, Carbamoyl, C1-C4-Alkyl, C1-C4-Alkoxy, das unsubstituiert oder durch Hydroxyl oder C1-C4-Alkoxy substituiert ist, Amino, C2-C4-Alkanoylamino, Ureido, Hydroxyl, Carboxyl, Sulfomethyl, C1-C4-Alkylsulfonylamino und Sulfo, und Z die vorstehend angegebene Bedeutung besitzt,
    Figure 00880002
    worin R3 für C2-C4-Alkanoyl oder Benzoyl steht,
    Figure 00880003
    worin R3 wie vorstehend definiert ist,
    Figure 00890001
    worin (R4)0–3 für 0 bis 3 identische oder verschiedene Substituenten steht, ausgewählt unter C1-C4-Alkyl, C1-C4-Alkoxy, Halogen, Carboxyl und Sulfo,
    Figure 00890002
    worin (R4)0–3 wie vorstehend definiert ist,
    Figure 00890003
    worin R5 und R7 unabhängig voneinander Wasserstoff, C1-C4-Alkyl oder Phenyl bedeuten, und R6 Wasserstoff, Cyano, Carbamoyl oder Sulfomethyl ist,
    Figure 00890004
    worin (R8)0–2 für 0 bis 2 identische oder verschiedene Substituenten steht, ausgewählt unter C1-C4-Alkyl, C1-C4-Alkoxy, Halogen, Carboxyl und Sulfo, und Z wie vorstehend definiert ist,
    Figure 00900001
    worin (R9)0–2 für 0 bis 2 identische oder verschiedene Substituenten steht, ausgewählt unter C1-C4-Alkyl, C1-C4-Alkoxy, Halogen, Carboxyl und Sulfo, und Z wie vorstehend definiert ist,
    Figure 00900002
    und
    Figure 00910001
    worin (R1)0–3, (R2)0–3, (R4)0–3 und Z wie vorstehend definiert sind und (R1')0–3 für 0 bis 3 identische oder verschiedene Substituenten steht, ausgewählt unter C1-C4-Alkyl, C1-C4-Alkoxy, Halogen, Carboxyl und Sulfo, oder einen oder mehrere Rest(e) der Formeln (V), (VI), (VII) oder (VIII) enthält,
    Figure 00910002
    und wobei der Farbstoff (C) als farbgebenden Teil des Moleküls einen oder mehrere Sulfogruppen enthaltende Mono- oder Diazorest(e) ausgewählt unter den Resten der Formeln (4a), (4b), (4c), (4d), (4e), (4f), (4g), (4h), (4i), (4j), (4k), (4l), (4m), (4n), (4o), (4p), (4q) und (4r), oder einen oder mehreren Rest(e) der vorstehenden Formeln (V), (VI), (VII) oder (VIII) und einen oder mehrere Rest(e) der vorstehenden Formeln (I), (II), (III) oder (IV) enthält, worin (G)0–2 für 0 bis 2 identische oder verschiedene Substituenten ausgewählt unter substituiertem oder unsubstituiertem Amino, Hydroxyl und Nitro steht, L für substituiertes oder unsubstituiertes Amino steht, R Halogen, C1-C4-Alkyl, C1-C4-Alkoxy, C2-C4-Alkanoylamino, Hydroxyl, Carboxyl, Nitro oder Cyano ist, (V)0–2 für 0 bis 2 identische oder verschiedene Substituenten ausgewählt unter Halogen, C1-C4-Alkyl, C1-C4-Alkoxy, β-Sulfatoethylsulfonyl und Sulfo steht, (W)0–1 ein N-Acylrest ist, sofern vorhanden, n für die Zahl 0, 1, 2 oder 3 steht, m für die Zahl 1, 2 oder 3 steht, und r und q die Zahl 0 oder 1 bedeuten.
  2. Tinte gemäß Anspruch 1, worin der Farbstoff (A) als farbgebenden Teil des Moleküls einen oder zwei Rest(e) der Formeln (I), (II), (III) oder (IV) enthält, der Farbstoff (B) als farbgebenden Teil des Moleküls einen oder zwei Sulfogruppen enthaltende Mono- oder Diazorest(e) ausgewählt unter den Resten der Formeln (4a), (4b), (4c), (4d), (4e), (4f), (4g), (4h), (4i), (4j), (4k), (4l), (4m), (4n), (4o), (4p), (4q) und (4r), oder einen oder zwei Rest(e) der Formeln (V), (VI), (VII) oder (VIII) enthält, und der Farbstoff (C) als farbgebenden Teil des Moleküls einen Sulfogruppen enthaltenden Mono- oder Diazorest ausgewählt unter den Resten der Formeln (4a), (4b), (4c), (4d), (4e), (4f), (4g), (4h), (4i), (4j), (4k), (4l), (4m), (4n), (4o), (4p), (4q) und (4r), oder einen Rest der Formeln (V), (VI), (VII) oder (VIII) und einen Rest der Formeln (I), (II), (III) oder (IV) enthält.
  3. Tinte gemäß Anspruch 1 oder 2, worin der Farbstoff (A) die Formel (5) aufweist,
    Figure 00930001
    worin R10, R11, R12 und R13 unabhängig voneinander Wasserstoff oder substituiertes oder unsubstituiertes C1-C4-Alkyl sind, B1 ein aliphatisches oder aromatisches Brückenglied ist, F1 und F2 unabhängig voneinander einen Rest der Formeln (I), (II), (III) oder (IV) wiedergeben, und X1 und X2 unabhängig voneinander Halogen, Hydroxyl, C1-C4-Alkoxy, das unsubstituiert oder an dem Alkylteil substituiert ist, Phenoxy, das unsubstituiert oder an dem Phenylring substituiert ist, C1-C4-Alkylthio, das unsubstituiert oder an dem Alkylteil substituiert ist, Phenylthio, das unsubstituiert ist oder an dem Phenylring substituiert ist, Amino, N-Mono- oder N,N-Di-C1-C6-alkylamino, die unsubstituiert oder an dem Alkylteil substituiert sind, C5-C7-Cycloalkylamino, das unsubstituiert oder an dem Cycloalkylring substituiert ist, Phenyl- oder Naphthylamino oder N-C1-C4-Alkyl-N-phenyl- oder N-C1-C4-Alkyl-N-naphthylamino, die unsubstituiert oder an dem Arylteil substituiert sind, Benzylamino, das unsubstituiert oder an dem Phenylteil substituiert ist, Morpholino oder Piperidin-1-yl bedeuten.
  4. Tinte gemäß einem der Ansprüche 1 bis 3, worin der Farbstoff (B) die Formel (6) aufweist,
    Figure 00930002
    und der Farbstoff (C) die Formel (7) aufweist,
    Figure 00940001
    worin R14, R15, R16, R17, R18, R19, R20 und R21 unabhängig voneinander Wasserstoff oder substituiertes oder unsubstituiertes C1-C4-Alkyl bedeuten, B2 und B3 unabhängig voneinander ein aliphatisches oder aromatisches Brückenglied bedeuten, A1, A2 und A3 unabhängig voneinander ein Sulfogruppen enthaltender Mono- oder Diazorest ausgewählt unter den Resten der Formeln (4a), (4b), (4c), (4d), (4e), (4f), (4g), (4h), (4i), (4j), (4k), (4l), (4m), (4n), (4o), (4p), (4q) und (4r), oder einen Rest der Formeln (V), (VI) oder (VII) bedeuten, F3 einen Rest der Formeln (I), (II), (III) oder (IV) ist, und X3, X4, X5 und X6 unabhängig voneinander Halogen, Hydroxyl, C1-C4-Alkoxy, das unsubstituiert oder an dem Alkylteil substituiert ist, Phenoxy, das unsubstituiert oder an dem Phenylring substituiert ist, C1-C4-Alkylthio, das unsubstituiert oder an dem Alkylteil substituiert ist, Phenylthio, das unsubstituiert oder an dem Phenylring substituiert ist, Amino, N-Mono- oder N,N-Di-C1-C6-Alkylamino, die unsubstituiert oder an dem Alkylteil substituiert sind, C5-C7-Cycloalkylamino, das unsubstituiert oder an dem Cycloalkylring substituiert ist, Phenyl- oder Naphthylamino oder N-C1-C4-Alkyl-N-phenyl- oder N-C1-C4-Alkyl-N-naphthylamino, die unsubstituiert oder an dem Arylteil substituiert sind, Benzylamino, das unsubstituiert oder an dem Phenylteil substituiert ist, Morpholino oder Piperidin-1-yl bedeuten.
  5. Tinte gemäß einem der Ansprüche 1 bis 4, worin der Rest der Formel (IV) in dem Farbstoff (A) oder (C) ein Rest der Formeln (IVa), (IVb) oder (IVc) ist
    Figure 00950001
  6. Verfahren zum Bedrucken von Papier, Filmen aus Kunststoff- oder Textilfasermaterialien durch das Tintenstrahl-Druckverfahren, welches die Verwendung einer wässrigen Tinte gemäß Anspruch 1 umfasst.
  7. Schwarz-färbende Farbmischung umfassend 20 bis 95 Gew.-% zumindest eines Farbstoffs (A) zusammen mit 5 bis 80 Gew.-% zumindest eines Farbstoffs, ausgewählt aus der Gruppe bestehend aus (B) und (C), basierend auf dem Gesamtgewicht der Farbstoffe (A), (B) und (C) in der Farbstoffmischung, worin der Farbstoff (A) die Formel (5) aufweist,
    Figure 00950002
    der Farbstoff (B) die Formel (6) aufweist,
    Figure 00960001
    und der Farbstoff (C) die Formel (7) aufweist,
    Figure 00960002
    worin R10, R11, R12, R13, R14, R15, R16, R17, R18, R19, R20 und R21 unabhängig voneinander Wasserstoff oder substituiertes oder unsubstituiertes C1-C4-Alkyl sind, B1, B2 und B3 unabhängig voneinander ein aliphatisches oder aromatisches Brückenglied sind, A1, A2 und A3 unabhängig voneinander ein Sulfogruppen enthaltender Mono- oder Diazorest sind, ausgewählt unter den Resten der Formel
    Figure 00960003
    worin (R1)0–3 für 0 bis 3 identische oder verschiedene Substituenten steht, ausgewählt unter C1-C4-Alkyl, C1-C4-Alkoxy, C2-C4-Alkanoylamino, Halogen, Carboxyl und Sulfo, und Z Vinyl oder ein Rest -CH2-CH2-U ist, und U für eine austretende Gruppe steht,
    Figure 00960004
    worin (R1)0–3 wie vorstehend definiert ist,
    Figure 00970001
    worin (R1)0–3 wie vorstehend definiert ist,
    Figure 00970002
    worin (R2)0–4 für 0 bis 4 identische oder verschiedene Substituenten steht, ausgewählt unter Halogen, Nitro, Cyano, Trifluormethyl, Sulfamoyl, Carbamoyl, C1-C4-Alkyl, C1-C4-Alkoxy, das unsubstituiert oder substituiert ist durch Hydroxyl oder C1-C4-Alkoxy, Amino, C2-C4-Alkanoylamino, Ureido, Hydroxyl, Carboxyl, Sulfomethyl, C1-C4-Alkylsulfonylamino und Sulfo, und Z wie vorstehend definiert ist,
    Figure 00970003
    worin R3 C2-C4-Alkanoyl oder Benzoyl ist,
    Figure 00980001
    worin R3 wie vorstehend definiert ist,
    Figure 00980002
    worin (R4)0–3 für 0 bis 3 identische oder verschiedene Substituenten steht, ausgewählt unter C1-C4-Alkyl, C1-C4-Alkoxy, Halogen, Carboxyl und Sulfo,
    Figure 00980003
    worin (R4)0–3 wie vorstehend definiert ist,
    Figure 00980004
    worin R5 und R7 unabhängig voneinander Wasserstoff, C1-C4-Alkyl oder Phenyl sind, und R6 Wasserstoff, Cyano, Carbamoyl oder Sulfomethyl ist,
    Figure 00980005
    worin (R8)0–2 für 0 bis 2 identische oder verschiedene Substituenten steht, ausgewählt unter C1-C4-Alkyl, C1-C4-Alkoxy, Halogen, Carboxyl und Sulfo, und Z wie vorstehend definiert ist,
    Figure 00990001
    worin (R9)0–2 für 0 bis 2 identische oder verschiedene Substituenten steht, ausgewählt unter C1-C4-Alkyl, C1-C4-Alkoxy, Halogen, Carboxyl und Sulfo, und Z wie vorstehend definiert ist,
    Figure 00990002
    und
    Figure 01000001
    worin (R1)0–3, (R2)0–3, (R4)0–3 und Z wie vorstehend definiert sind und (R1')0–3 für 0 bis 3 identische oder verschiedene Substituenten steht, ausgewählt unter C1-C4-Alkyl, C1-C4-Alkoxy, Halogen, Carboxyl und Sulfo, oder ein Rest der Formeln (V), (VI) oder (VII) sind, F1, F2 und F3 unabhängig voneinander ein Rest der Formeln (I), (II), (III) oder (IV) sind, und X1, X2, X3, X4, X5 und X6 unabhängig voneinander Halogen, Hydroxyl, C1-C4-Alkoxy, das unsubstituiert oder an dem Alkylteil substituiert ist, Phenoxy, das unsubstituiert oder an dem Phenylring substituiert ist, C1-C4-Alkylthio, das unsubstituiert oder an dem Alkylteil substituiert ist, Phenylthio, das unsubstituiert oder an dem Phenylring substituiert ist, Amino, N-Mono- oder N,N-Di-C1-C6-alkylamino, die unsubstituiert oder an dem Alkylteil substituiert sind, C5-C7-Cycloalkylamino, das unsubstituiert oder an dem Cycloalkylring substituiert ist, Phenyl- oder Naphthylamino oder N-C1-C4-Alkyl-N-phenyl- oder N-C1-C4-Alkyl-N-naphthylamino, die unsubstituiert oder an dem Arylteil substituiert sind, Benzylamino, das unsubstituiert oder an dem Phenylteil substituiert ist, Morpholino oder Piperidin-1-yl bedeuten.
  8. Farbstoffmischung gemäß Anspruch 7, die zumindest einen Farbstoff (A) der Formel (5) zusammen mit zumindest einem Farbstoff (C) der Formel (7) einschließt.
  9. Verfahren zur Herstellung einer Farbstoffmischung gemäß einem der Ansprüche 7 und 8, das umfasst (i) die Umsetzung der Verbindungen der Formeln (10a) und (10b) F1-N(R10)H (10a)und A1-N(R14)H (10b)in jedem Fall unabhängig voneinander mit einer Halogentriazinverbindung der Formel (11)
    Figure 01010001
    zur Erzielung der Verbindungen der Formeln (14a) und (14b)
    Figure 01010002
    (ii) Umsetzung der Verbindung der Formel (14b) mit einem Überschuss eines Diamins der Formel (12)
    Figure 01010003
    derart, dass eine Mischung der Verbindungen der Formeln (12) und (15)
    Figure 01010004
    erhalten wird, (iii) Unterwerfen dieser Mischung einer Kondensationsreaktion mit einer Verbin dung der Formel (14a) in äquimolarer Menge, die der Anzahl der Aminogruppen entspricht, die nicht durch die Verbindung der Formel (14b) acyliert worden sind, um eine Mischung der Verbindungen der Formeln (5a) und (7a) zu ergeben,
    Figure 01020001
    und (iv) gegebenenfalls Umsetzung der Halogenatome X mit einer Verbindung der Formel (13) H-X1 (13)worin A1, F1, R10, R11, R12 und R14 wie in Anspruch 8 definiert sind, X Fluor oder Chlor bedeutet und X1 wie in Anspruch 8 definiert ist, mit Ausnahme von Halogen.
  10. Farbstoff der Formel (9)
    Figure 01020002
    worin R23, R24 und R25 unabhängig voneinander Wasserstoff oder substituiertes oder unsubstituiertes C1-C4-Alkyl sind, B4 ein aliphatisches oder aromatisches Brückenglied ist, A4 ein Rest der Formel (VIII) ist,
    Figure 01030001
    worin (W)0–1 ein N-Acylrest ist, sofern vorhanden, F4 ein Rest der Formel (I), (II), (III) oder (IV) ist,
    Figure 01030002
    worin (G)0–2 für 0 bis 2 identische oder verschiedene Substituenten steht, ausgewählt unter substituiertem oder unsubstituiertem Amino, Hydroxyl und Nitro, L substituiertes oder unsubstituiertes Amino ist, R Halogen, C1-C4-Alkyl, C1-C4-Alkoxy, C2-C4-Alkanoylamino, Hydroxyl, Carboxyl, Nitro oder Cyano ist, n für die Zahl 0, 1, 2 oder 3 steht, m für die Zahl 1, 2 oder 3 steht, und q für die Zahl 0 oder 1 steht, und X7 Halogen, Hydroxyl, C1-C4-Alkoxy, das unsubstituiert oder an dem Alkylteil substituiert ist, Phenoxy, das unsubstituiert oder an dem Phenylring substituiert ist, C1-C4-Alkylthio, das unsubstituiert oder an dem Alkylteil substituiert ist, Phenylthio, das unsubstituiert oder an dem Phenylring substituiert ist, Amino, N-Mono- oder N,N-Di-C1-C6-Alkylamino, die unsubstituiert oder an dem Alkylteil substituiert sind, C5-C7-Cycloalkylamino, das unsubstituiert oder an dem Cycloalkylring substituiert ist, Phenyl- oder Naphthylamino oder N-C1-C4-Alkyl-N-phenyl- oder N-C1-C4-Alkyl-N-naphthylamino, die unsubstituiert oder an dem Arylteil substituiert sind, Benzylamino, das unsubstituiert oder an dem Phenylteil substituiert ist, Morpholino oder Piperidin-1-yl bedeutet.
  11. Farbstoff der Formel (18)
    Figure 01040001
    worin R26, R27, R28 und R29 unabhängig voneinander Wasserstoff oder substituiertes oder unsubstituiertes C1-C4-Alkyl sind, B5 ein aromatisches Brückenglied ist, A4 ein Rest der Formeln (4a), (4b), (4c), (4d), (4e), (4f), (4g), (4h), (4i), (4j), (4k), (4l), (4m), (4n), (4o), (4p), (4q), (4r), (V), (VI) oder (VII) ist,
    Figure 01040002
    worin (R1)0–3 für 0 bis 3 identische oder verschiedene Substituenten steht, ausgewählt unter C1-C4-Alkyl, C1-C4-Alkoxy, C2-C4-Alkanoylamino, Halogen, Carboxyl und Sulfo, und Z Vinyl oder einen Rest -CH2-CH2-U bedeutet, und U für eine austretende Gruppe steht,
    Figure 01050001
    worin (R1)0–3 wie vorstehend definiert ist,
    Figure 01050002
    worin (R1)0–3 wie vorstehend definiert ist,
    Figure 01050003
    worin (R2)0–4 für 0 bis 4 identische oder verschiedene Substituenten steht, ausgewählt unter Halogen, Nitro, Cyano, Trifluormethyl, Sulfamoyl, Carbamoyl, C1-C4-Alkyl, C1-C4-Alkoxy, das unsubstituiert oder durch Hydroxyl oder C1-C4-Alkoxy substituiert ist, Amino, C2-C4-Alkanoylamino, Ureido, Hydroxyl, Carboxyl, Sulfomethyl, C1-C4-Alkylsulfonylamino und Sulfo, und Z wie vorstehend definiert ist,
    Figure 01060001
    worin R3 für C2-C4-Alkanoyl oder Benzoyl steht,
    Figure 01060002
    worin R3 wie vorstehend definiert ist,
    Figure 01060003
    worin (R4)0–3 für 0 bis 3 identische oder verschiedene Substituenten steht, ausgewählt unter C1-C4-Alkyl, C1-C4-Alkoxy, Halogen, Carboxyl und Sulfo,
    Figure 01060004
    worin (R4)0–3 wie vorstehend definiert ist,
    Figure 01070001
    worin R5 und R7 unabhängig voneinander Wasserstoff, C1-C4-Alkyl oder Phenyl sind, und R6 Wasserstoff, Cyano, Carbamoyl oder Sulfomethyl ist,
    Figure 01070002
    worin (R8)0–2 für 0 bis 2 identische oder verschiedene Substituenten steht, ausgewählt unter C1-C4-Alkyl, C1-C4-Alkoxy, Halogen, Carboxyl und Sulfo, und Z wie vorstehend definiert ist,
    Figure 01070003
    worin (R9)0–2 für 0 bis 2 identische oder verschiedene Substituenten steht, ausgewählt unter C1-C4-Alkyl, C1-C4-Alkoxy, Halogen, Carboxyl und Sulfo, und Z wie vorstehend definiert ist,
    Figure 01070004
    Figure 01080001
    worin (R1)0–3, (R2)0–3, (R4)0–3 und Z jeweils wie vorstehend definiert sind, und (R1')0–3 für 0 bis 3 identische oder verschiedene Substituenten steht, ausgewählt unter C1-C4-Alkyl, C1-C4-Alkoxy, Halogen, Carboxyl und Sulfo,
    Figure 01080002
    oder
    Figure 01090001
    worin (G)0–2 für 0 bis 2 identische oder verschiedene Substituenten steht, ausgewählt unter substituiertem oder unsubstituiertem Amino, Hydroxyl und Nitro, (V)0–2 für 0 bis 2 identische oder verschiedene Substituenten steht, ausgewählt unter Halogen, C1-C4-Alkyl, C1-C4-Alkoxy, β-Sulfatoethylsulfonyl und Sulfo, und (W)0–1 ein N-Acylrest ist, sofern vorhanden, F5 ein Rest der Formeln (I), (II), (III), (IVa), (IVb) oder (IVc) ist,
    Figure 01090002
    oder
    Figure 01100001
    worin (G)0–2 für 0 bis 2 identische oder verschiedene Substituenten steht, ausgewählt unter substituiertem oder unsubstituiertem Amino, Hydroxyl und Nitro, und L substituiertes oder unsubstituiertes Amino ist, und X8 und X9 unabhängig voneinander Halogen, Hydroxyl, C1-C4-Alkoxy, das unsubstituiert oder an dem Alkylteil substituiert ist, Phenoxy, das unsubstituiert oder an dem Phenylring substituiert ist, C1-C4-Alkylthio, das unsubstituiert oder an dem Alkylteil substituiert ist, Phenylthio, das unsubstituiert oder an dem Phenylring substituiert ist, Amino, N-Mono- oder N,N-Di-C1-C6-alkylamino, die unsubstituiert oder an dem Alkylteil substituiert sind, C5-C7-Cycloalkylamino, das unsubstituiert oder an dem Cycloalkylring substituiert ist, Phenyl- oder Naphthylamino oder N-C1-C4-Alkyl-N-phenyl- oder N-C1-C4-Alkyl-N- naphthylamino, die unsubstituiert oder an dem Arylteil substituiert sind, Benzylamino, das unsubstituiert oder an dem Phenylteil substituiert ist, Morpholino oder Piperidin-1-yl bedeuten, mit der Maßgabe, dass A4 nicht ein Rest der Formel (4k) ist, wenn B5 ein sulfosubstituierter Phenylenrest ist.
  12. Farbstoff der Formel (18)
    Figure 01100002
    worin R26, R27, R28 und R29 unabhängig Wasserstoff oder substituiertes oder unsubstituiertes C1-C4-Alkyl sind, B5 ein aliphatisches Brückenglied ist, A4 ein Rest der Formel (4o) ist,
    Figure 01110001
    worin (R1)0–3 für 0 bis 3 identische oder verschiedene Substituenten steht, ausgewählt unter C1-C4-Alkyl, C1-C4-Alkoxy, C2-C4-Alkanoylamino, Halogen, Carboxyl und Sulfo, (R1')0–3 für 0 bis 3 identische oder verschiedene Substituenten steht, ausgewählt unter C1-C4-Alkyl, C1-C4-Alkoxy, Halogen, Carboxyl und Sulfo, (R2)0–3 für 0 bis 3 identische oder verschiedene Substituenten steht, ausgewählt unter Halogen, Nitro, Cyano, Trifluormethyl, Sulfamoyl, Carbamoyl, C1-C4-Alkyl, C1-C4-Alkoxy, das unsubstituiert oder substituiert ist durch Hydroxyl oder C1-C4-Alkoxy, Amino, C2-C4-Alkanoylamino, Ureido, Hydroxyl, Carboxyl, Sulfomethyl, C1-C4-Alkylsulfonylamino und Sulfo, und Z Vinyl oder ein Rest -CH2-CH2-U ist, und U für eine austretende Gruppe steht, F5 ein Rest der Formeln (I), (II), (III), (IVa), (IVb) oder (IVc) ist,
    Figure 01110002
    Figure 01120001
    worin (G)0–2 für 0 bis 2 identische oder verschiedene Substituenten steht, ausgewählt unter substituiertem oder unsubstituiertem Amino, Hydroxyl und Nitro, und L substituiertes oder unsubstituiertes Amino ist, und X8 und X9 unabhängig voneinander Halogen, Hydroxyl, C1-C4-Alkoxy, das unsubstituiert oder an dem Alkylteil substituiert ist, Phenoxy, das unsubstituiert oder an dem Phenylring substituiert ist, C1-C4-Alkylthio, das unsubstituiert oder an dem Alkylteil substituiert ist, Phenylthio, das unsubstituiert oder an dem Phenylring substituiert ist, Amino, N-Mono- oder N,N-Di-C1-C6-alkylamino, die unsubstituiert oder an dem Alkylteil substituiert sind, C5-C7-Cycloalkylamino, das unsubstituiert oder an dem Cycloalkylring substituiert ist, Phenyl- oder Naphthylamino oder N-C1-C4-Alkyl-N-phenyl- oder N-C1-C4-Alkyl-N- naphthylamino, die unsubstituiert oder an dem Arylteil substituiert sind, Benzylamino, das unsubstituiert oder an dem Phenylteil substituiert ist, Morpholino oder Piperidin-1-yl bedeuten.
  13. Verfahren für das Färben oder Bedrucken von Hydroxylgruppen oder Stickstoff enthaltenden Fasermaterialien, das die Verwendung einer Farbstoffmischung gemäß Anspruch 7 oder 8, eines Farbstoffs der Formel (9) gemäß Anspruch 10 oder eines Farbstoffs der Formel (18) gemäß Anspruch 11 oder 12 umfasst.
DE60008698T 1999-02-05 2000-01-26 Schwarzfärbende tinten und ihre verwendung Expired - Fee Related DE60008698T2 (de)

Applications Claiming Priority (3)

Application Number Priority Date Filing Date Title
EP99810098 1999-02-05
EP99810098 1999-02-05
PCT/EP2000/000577 WO2000046309A1 (en) 1999-02-05 2000-01-26 Black-dyeing inks and their use

Publications (2)

Publication Number Publication Date
DE60008698D1 DE60008698D1 (de) 2004-04-08
DE60008698T2 true DE60008698T2 (de) 2004-07-29

Family

ID=8242664

Family Applications (1)

Application Number Title Priority Date Filing Date
DE60008698T Expired - Fee Related DE60008698T2 (de) 1999-02-05 2000-01-26 Schwarzfärbende tinten und ihre verwendung

Country Status (11)

Country Link
US (2) US6500247B1 (de)
EP (1) EP1149135B1 (de)
JP (1) JP2002536487A (de)
KR (1) KR20010108133A (de)
CN (1) CN1339052A (de)
AT (1) ATE260955T1 (de)
AU (1) AU2666800A (de)
BR (1) BR0007953A (de)
DE (1) DE60008698T2 (de)
TW (1) TW491880B (de)
WO (1) WO2000046309A1 (de)

Families Citing this family (14)

* Cited by examiner, † Cited by third party
Publication number Priority date Publication date Assignee Title
GB0015928D0 (en) * 2000-06-30 2000-08-23 Printable Field Emitters Limit Field emitters
WO2002031057A2 (en) * 2000-10-10 2002-04-18 Clariant Finance (Bvi) Limited Fiber-reactive copper complexes of monoazo dyes
GB2371553A (en) 2000-12-23 2002-07-31 Ilford Imaging Uk Ltd Inks for Ink Jet Printers
US6458195B1 (en) 2001-01-26 2002-10-01 Hewlett-Packard Company Use of hydrolyzed Reactive Red 23
CA2482895C (en) * 2002-04-16 2008-09-09 Fuji Photo Film Co., Ltd. Coloring composition and inkjet recording method
GB0215982D0 (en) * 2002-07-10 2002-08-21 Dystar Textilfarben Gmbh & Co Fibre reactive azo dyes
GB0221907D0 (en) * 2002-09-20 2002-10-30 Dystar Textilfarben Gmbh & Co Dye mixtures of fibre-reactive azo dyes and use thereof for dyeing material containing hydroxy- and/or carboxamido groups
DE60308311D1 (de) * 2003-04-02 2006-10-26 Reinol S P A Strukturviskose wässrige Tinte für Kugelschreiber
GB0413557D0 (en) * 2004-06-17 2004-07-21 Avecia Ltd Compounds
CN100362056C (zh) * 2005-02-05 2008-01-16 明德国际仓储贸易(上海)有限公司 黑色墨水染料组成物
DE102009000423A1 (de) * 2009-01-27 2010-07-29 Dystar Textilfarben Gmbh & Co. Deutschland Kg Faserreaktive Kupferkomplex-Disazofarbstoffe
TWI548704B (zh) * 2015-05-08 2016-09-11 臺灣永光化學工業股份有限公司 高固著數位紡織印花墨水組成物
CN106590026B (zh) * 2016-12-05 2018-06-12 泰兴锦云染料有限公司 一种活性蓝染料及其制备和应用
JP7169109B2 (ja) * 2017-08-02 2022-11-10 花王株式会社 ポリマーエマルション

Family Cites Families (38)

* Cited by examiner, † Cited by third party
Publication number Priority date Publication date Assignee Title
GB1272291A (en) * 1969-01-16 1972-04-26 Ici Ltd New reactive metallised disazo dyestuffs
GB1389053A (en) 1972-02-22 1975-04-03 Ici Ltd Reactive dyestuffs
US3826799A (en) * 1972-08-11 1974-07-30 Ici Ltd Copper containing azo triazine compounds
IT1061627B (it) 1975-03-20 1983-04-30 Ciba Geigy Coloranti reattivi per fibre e procedimento per la loro produzione ed applicazione
CH621358A5 (en) * 1976-05-19 1981-01-30 Ciba Geigy Ag Process for preparing fibre-reactive dyes
JPS6067562A (ja) 1983-09-24 1985-04-17 Nippon Kayaku Co Ltd ホルマザン化合物及びこれを用いるセルロ−ス系繊維の染色法
US4931550A (en) * 1986-05-13 1990-06-05 Imperial Chemical Industries Plc Lithium salt of copper complex monoazo dye
DE58904174D1 (de) 1988-03-17 1993-06-03 Ciba Geigy Ag Reaktivfarbstoffe, verfahren zu deren herstellung und deren verwendung.
US5023274A (en) 1988-05-05 1991-06-11 Ciba-Geigy Corporation Fibre-reactive formazan dyes containing β-halogenethyl or vinylsulfonyl-alkanoylamino fiber-reactive groups
DE58907709D1 (de) 1988-06-29 1994-06-30 Ciba Geigy Faserreaktive Formazanfarbstoffe, Verfahren zu deren Herstellung und deren Verwendung.
EP0360735A1 (de) 1988-08-26 1990-03-28 Ciba-Geigy Ag Verfahren zum Trichromie-Färben oder -Bedrucken
DE3910649A1 (de) * 1989-04-01 1990-10-11 Basf Ag Reaktivfarbstoffe, die zwei oder drei stickstoffhaltige halogenheterocyclen als anker aufweisen
EP0410931B1 (de) 1989-07-24 1994-06-01 Ciba-Geigy Ag Faserreaktive Formazanfarbstoffe, Verfahren zu deren Herstellung und deren Verwendung
DE59008919D1 (de) 1989-07-24 1995-05-24 Ciba Geigy Ag Faserreaktive Formazanfarbstoffe, Verfahren zu deren Herstellung und deren Verwendung.
DE59010337D1 (de) 1989-11-01 1996-06-27 Ciba Geigy Ag Faserreaktive Formazanfarbstoffe, Verfahren zu deren Herstellung und deren Verwendung
DE59005451D1 (de) 1990-01-09 1994-05-26 Ciba Geigy Verfahren zum Trichromiefärben oder -bedrucken von cellulosehaltigen textilen Fasermaterialien.
ES2150620T3 (es) * 1990-09-25 2000-12-01 Ciba Sc Holding Ag Colorantes reactivos con las fibras y utilizacion de los mismos.
DE59208696D1 (de) 1991-01-16 1997-08-21 Ciba Geigy Ag Reaktivfarbstoffe, Verfahren zu deren Herstellung und deren Verwendung
DE4142766C1 (de) 1991-12-04 1993-02-18 Bayer Ag, 5090 Leverkusen, De
DK0629249T3 (da) 1992-03-06 1997-01-27 Ciba Geigy Ag Fremgangsmåde til farvning af celluloseholdige fibermaterialer med reaktiv-farvestoffer
ATE136324T1 (de) 1992-03-06 1996-04-15 Zeneca Ltd Tintenzusammensetzungen
EP0584045B1 (de) 1992-08-19 2000-03-01 Ciba SC Holding AG Faserreaktive Farbstoffe, deren Herstellung und Verwendung
EP0597672B1 (de) * 1992-11-09 2001-06-13 Seiko Epson Corporation Schwarze Tintenzusammensetzung mit einer vortrefflichen schwarzen Farbe
MY116477A (en) * 1993-05-17 2004-02-28 Ciba Sc Holding Ag Reactive dyes, processes for their preparation and their use
TW293029B (de) * 1993-05-17 1996-12-11 Ciba Geigy Ag
DE19507461A1 (de) 1995-03-03 1996-09-05 Basf Ag Mischung von Reaktivfarbstoffen für marineblaue Farbtöne
DE19511689A1 (de) 1995-03-30 1996-10-02 Hoechst Ag Mischung von blaufärbenden faserreaktiven Farbstoffen und ihre Verwendung zum Färben von hydroxy- und/oder carbonamidgruppenhaltigem Fasermaterial
DE19511688C2 (de) 1995-03-30 1999-07-22 Dystar Textilfarben Gmbh & Co Farbstoffmischungen von faserreaktiven Azofarbstoffen und ihre Verwendung zum Färben von hydroxy- und/oder carbonamidgruppenhaltigem Fasermaterial
EP0761768B1 (de) 1995-08-24 2001-11-14 Ciba SC Holding AG Reaktivfarbstoffe, Verfahren zu deren Herstellung und deren Verwendung
ES2146856T3 (es) * 1995-11-16 2000-08-16 Ciba Sc Holding Ag Colorantes reactivos con las fibras, su obtencion y uso.
DE59700408D1 (de) 1996-03-04 1999-10-14 Ciba Sc Holding Ag Farbstoffmischungen, Verfahren zu deren Herstellung und deren Verwendung
JP4056593B2 (ja) 1996-08-26 2008-03-05 チバ スペシャルティ ケミカルズ ホールディング インコーポレーテッド 染料混合物、その製造方法及びその用途
DE19640203A1 (de) 1996-09-30 1998-04-02 Dystar Textilfarben Gmbh & Co Mischungen von blaufärbenden faserreaktiven Farbstoffen und ihre Verwendung zum Färben von hydroxy- und/oder carbonamidgruppenhaltigem Fasermaterial
US5993525A (en) * 1997-03-17 1999-11-30 Mitsubishi Chemical Corporation Recording liquid
US5972084A (en) * 1997-06-17 1999-10-26 Ciba Specialty Chemicals Corporation Process for printing textile fiber materials in accordance with the ink-jet printing process
US6015454A (en) 1997-06-17 2000-01-18 Ciba Specialty Chemicals Corporation Process for printing textile fibre materials in accordance with the ink-jet printing process
US5936073A (en) * 1998-12-04 1999-08-10 Everlight Usa, Inc. Reactive formazan dyestuffs
DE50002813D1 (de) * 1999-09-30 2003-08-14 Ciba Sc Holding Ag Reaktivfarbstoffe, enthaltend einen Formazan- und einen Monoazofarbstoffrest, Verfahren zu deren Herstellung und deren Verwendung

Also Published As

Publication number Publication date
CN1339052A (zh) 2002-03-06
JP2002536487A (ja) 2002-10-29
KR20010108133A (ko) 2001-12-07
BR0007953A (pt) 2001-11-06
US20030024435A1 (en) 2003-02-06
WO2000046309A1 (en) 2000-08-10
ATE260955T1 (de) 2004-03-15
EP1149135A1 (de) 2001-10-31
EP1149135B1 (de) 2004-03-03
US7057024B2 (en) 2006-06-06
DE60008698D1 (de) 2004-04-08
AU2666800A (en) 2000-08-25
TW491880B (en) 2002-06-21
US6500247B1 (en) 2002-12-31

Similar Documents

Publication Publication Date Title
DE602004001130T2 (de) Mischungen von reaktionsfarbstoffen und deren verwendung
EP1325945B1 (de) Verfahren zum Färben oder Bedrucken sowie neue Reaktivfarbstoffe
DE60008698T2 (de) Schwarzfärbende tinten und ihre verwendung
EP1086999B1 (de) Magentafärbende Tinten enthaltend Kupferkomplexazofarbstoffe auf der Bais von 1-Naphthol-di-oder trisulfonsäuren
DE4417718A1 (de) Reaktivfarbstoffe für den Tintenstrahldruck
EP0886000A2 (de) Verfahren zum Bedrucken von textilen Fasermaterialien nach dem Tintenstrahldruck-Verfahren
DE69814879T2 (de) Phthalocyaninverbindungen verwendet in tinten für den tintenstrahldruck
DE60101903T2 (de) Faserreaktive disazoverbindungen
EP2768907B1 (de) Trisazo-säurefarbstoffe
JP6401289B2 (ja) ビスアゾ染料類及びそれらの混合物
DE60101051T2 (de) Verwendung einer farbstoffzusammensetzung im tintenstrahldruckverfahren
WO2001046321A2 (de) Reaktivfarbstoffgemische
DE60110114T2 (de) Bedrucken von schichtsubstraten mittels tintenstrahldruckverfahren
JP2002510350A (ja) 組成物
EP0428482B1 (de) Reaktivfarbstoffe, Verfahren zu deren Herstellung und deren Verwendung
DE10331178A1 (de) Tinten für digitalen Textildruck mit reaktiven gelben Fluoreszenzfarbstoffen
EP0692523B1 (de) Azofarbstoffe, deren Herstellung und Verwendung
EP0794234B1 (de) Farbstoffmischungen, Verfahren zu deren Herstellung und deren Verwendung
EP0794233B1 (de) Anionische Säurefarbstoffe, Verfahren zu deren Herstellung und deren Verwendung
DE19930866A1 (de) Verfahren zum Bedrucken von textilen Fasermaterialien nach dem Tintenstrahldruck-Verfahren
EP0889098A2 (de) Azofarbstoffe, Verfahren zu deren Herstellung und deren Verwendung
EP1097971B1 (de) Reaktivfarbstoffe, Verfahren zu deren Herstellung und deren Verwendung
CH691971A5 (de) Asymmetrische Dioxazin-Verbindungen, dazu dienende Zwischenprodukte und Anwendung der asymmetrischen Dioxazinverbindungen.
EP0694053A1 (de) Wasserlösliche faserreaktive farbstoffe, verfahren zu ihrer herstellung und ihre verwendung
CH364854A (de) Verfahren zur Herstellung von Pyrimidinfarbstoffen

Legal Events

Date Code Title Description
8364 No opposition during term of opposition
8328 Change in the person/name/address of the agent

Representative=s name: PFENNING MEINIG & PARTNER GBR, 80339 MUENCHEN

8339 Ceased/non-payment of the annual fee