WO2015114997A1 - 変性ポリマーおよびゴム組成物並びに空気入りタイヤ - Google Patents
変性ポリマーおよびゴム組成物並びに空気入りタイヤ Download PDFInfo
- Publication number
- WO2015114997A1 WO2015114997A1 PCT/JP2014/083980 JP2014083980W WO2015114997A1 WO 2015114997 A1 WO2015114997 A1 WO 2015114997A1 JP 2014083980 W JP2014083980 W JP 2014083980W WO 2015114997 A1 WO2015114997 A1 WO 2015114997A1
- Authority
- WO
- WIPO (PCT)
- Prior art keywords
- modified polymer
- rubber
- styrene
- group
- mass
- Prior art date
- Legal status (The legal status is an assumption and is not a legal conclusion. Google has not performed a legal analysis and makes no representation as to the accuracy of the status listed.)
- Ceased
Links
Images
Classifications
-
- C—CHEMISTRY; METALLURGY
- C08—ORGANIC MACROMOLECULAR COMPOUNDS; THEIR PREPARATION OR CHEMICAL WORKING-UP; COMPOSITIONS BASED THEREON
- C08C—TREATMENT OR CHEMICAL MODIFICATION OF RUBBERS
- C08C19/00—Chemical modification of rubber
- C08C19/22—Incorporating nitrogen atoms into the molecule
-
- B—PERFORMING OPERATIONS; TRANSPORTING
- B60—VEHICLES IN GENERAL
- B60C—VEHICLE TYRES; TYRE INFLATION; TYRE CHANGING; CONNECTING VALVES TO INFLATABLE ELASTIC BODIES IN GENERAL; DEVICES OR ARRANGEMENTS RELATED TO TYRES
- B60C1/00—Tyres characterised by the chemical composition or the physical arrangement or mixture of the composition
- B60C1/0016—Compositions of the tread
-
- C—CHEMISTRY; METALLURGY
- C07—ORGANIC CHEMISTRY
- C07C—ACYCLIC OR CARBOCYCLIC COMPOUNDS
- C07C251/00—Compounds containing nitrogen atoms doubly-bound to a carbon skeleton
- C07C251/32—Oximes
- C07C251/34—Oximes with oxygen atoms of oxyimino groups bound to hydrogen atoms or to carbon atoms of unsubstituted hydrocarbon radicals
- C07C251/48—Oximes with oxygen atoms of oxyimino groups bound to hydrogen atoms or to carbon atoms of unsubstituted hydrocarbon radicals with the carbon atom of at least one of the oxyimino groups bound to a carbon atom of a six-membered aromatic ring
-
- C—CHEMISTRY; METALLURGY
- C07—ORGANIC CHEMISTRY
- C07D—HETEROCYCLIC COMPOUNDS
- C07D213/00—Heterocyclic compounds containing six-membered rings, not condensed with other rings, with one nitrogen atom as the only ring hetero atom and three or more double bonds between ring members or between ring members and non-ring members
- C07D213/02—Heterocyclic compounds containing six-membered rings, not condensed with other rings, with one nitrogen atom as the only ring hetero atom and three or more double bonds between ring members or between ring members and non-ring members having three double bonds between ring members or between ring members and non-ring members
- C07D213/04—Heterocyclic compounds containing six-membered rings, not condensed with other rings, with one nitrogen atom as the only ring hetero atom and three or more double bonds between ring members or between ring members and non-ring members having three double bonds between ring members or between ring members and non-ring members having no bond between the ring nitrogen atom and a non-ring member or having only hydrogen or carbon atoms directly attached to the ring nitrogen atom
- C07D213/24—Heterocyclic compounds containing six-membered rings, not condensed with other rings, with one nitrogen atom as the only ring hetero atom and three or more double bonds between ring members or between ring members and non-ring members having three double bonds between ring members or between ring members and non-ring members having no bond between the ring nitrogen atom and a non-ring member or having only hydrogen or carbon atoms directly attached to the ring nitrogen atom with substituted hydrocarbon radicals attached to ring carbon atoms
- C07D213/44—Radicals substituted by doubly-bound oxygen, sulfur, or nitrogen atoms, or by two such atoms singly-bound to the same carbon atom
- C07D213/53—Nitrogen atoms
-
- C—CHEMISTRY; METALLURGY
- C07—ORGANIC CHEMISTRY
- C07D—HETEROCYCLIC COMPOUNDS
- C07D233/00—Heterocyclic compounds containing 1,3-diazole or hydrogenated 1,3-diazole rings, not condensed with other rings
- C07D233/54—Heterocyclic compounds containing 1,3-diazole or hydrogenated 1,3-diazole rings, not condensed with other rings having two double bonds between ring members or between ring members and non-ring members
- C07D233/64—Heterocyclic compounds containing 1,3-diazole or hydrogenated 1,3-diazole rings, not condensed with other rings having two double bonds between ring members or between ring members and non-ring members with substituted hydrocarbon radicals attached to ring carbon atoms, e.g. histidine
-
- C—CHEMISTRY; METALLURGY
- C08—ORGANIC MACROMOLECULAR COMPOUNDS; THEIR PREPARATION OR CHEMICAL WORKING-UP; COMPOSITIONS BASED THEREON
- C08K—Use of inorganic or non-macromolecular organic substances as compounding ingredients
- C08K3/00—Use of inorganic substances as compounding ingredients
- C08K3/34—Silicon-containing compounds
- C08K3/36—Silica
-
- C—CHEMISTRY; METALLURGY
- C08—ORGANIC MACROMOLECULAR COMPOUNDS; THEIR PREPARATION OR CHEMICAL WORKING-UP; COMPOSITIONS BASED THEREON
- C08L—COMPOSITIONS OF MACROMOLECULAR COMPOUNDS
- C08L15/00—Compositions of rubber derivatives
-
- C—CHEMISTRY; METALLURGY
- C08—ORGANIC MACROMOLECULAR COMPOUNDS; THEIR PREPARATION OR CHEMICAL WORKING-UP; COMPOSITIONS BASED THEREON
- C08L—COMPOSITIONS OF MACROMOLECULAR COMPOUNDS
- C08L21/00—Compositions of unspecified rubbers
-
- C—CHEMISTRY; METALLURGY
- C08—ORGANIC MACROMOLECULAR COMPOUNDS; THEIR PREPARATION OR CHEMICAL WORKING-UP; COMPOSITIONS BASED THEREON
- C08L—COMPOSITIONS OF MACROMOLECULAR COMPOUNDS
- C08L7/00—Compositions of natural rubber
-
- C—CHEMISTRY; METALLURGY
- C08—ORGANIC MACROMOLECULAR COMPOUNDS; THEIR PREPARATION OR CHEMICAL WORKING-UP; COMPOSITIONS BASED THEREON
- C08L—COMPOSITIONS OF MACROMOLECULAR COMPOUNDS
- C08L9/00—Compositions of homopolymers or copolymers of conjugated diene hydrocarbons
- C08L9/06—Copolymers with styrene
-
- C—CHEMISTRY; METALLURGY
- C08—ORGANIC MACROMOLECULAR COMPOUNDS; THEIR PREPARATION OR CHEMICAL WORKING-UP; COMPOSITIONS BASED THEREON
- C08L—COMPOSITIONS OF MACROMOLECULAR COMPOUNDS
- C08L2205/00—Polymer mixtures characterised by other features
- C08L2205/02—Polymer mixtures characterised by other features containing two or more polymers of the same C08L -group
- C08L2205/025—Polymer mixtures characterised by other features containing two or more polymers of the same C08L -group containing two or more polymers of the same hierarchy C08L, and differing only in parameters such as density, comonomer content, molecular weight, structure
-
- Y—GENERAL TAGGING OF NEW TECHNOLOGICAL DEVELOPMENTS; GENERAL TAGGING OF CROSS-SECTIONAL TECHNOLOGIES SPANNING OVER SEVERAL SECTIONS OF THE IPC; TECHNICAL SUBJECTS COVERED BY FORMER USPC CROSS-REFERENCE ART COLLECTIONS [XRACs] AND DIGESTS
- Y02—TECHNOLOGIES OR APPLICATIONS FOR MITIGATION OR ADAPTATION AGAINST CLIMATE CHANGE
- Y02T—CLIMATE CHANGE MITIGATION TECHNOLOGIES RELATED TO TRANSPORTATION
- Y02T10/00—Road transport of goods or passengers
- Y02T10/80—Technologies aiming to reduce greenhouse gasses emissions common to all road transportation technologies
- Y02T10/86—Optimisation of rolling resistance, e.g. weight reduction
Definitions
- the present invention relates to a modified polymer, a rubber composition containing the modified polymer, and a pneumatic tire using the rubber composition.
- Patent Document 1 includes a rubber composition in which 10 to 120 parts by weight of silica is blended with 100 parts by weight of a diene rubber containing 5 to 100% by weight of a modified butadiene rubber, Is a rubber composition obtained by modifying a butadiene rubber having a cis content of 90% or more with a nitrone compound having a nitrogen-containing heterocyclic ring in the molecule.
- Patent Document 1 shows that heat generation is reduced by modification with a nitrone compound.
- the present invention provides a modified polymer in which the exothermic property when it is made into a rubber composition is significantly reduced by modification, a rubber composition containing the modified polymer, and the rubber composition
- An object is to provide a pneumatic tire using the tire.
- the present inventors have modified the exothermic properties of a rubber composition by using a styrene-conjugated diene copolymer having a specific structure as a polymer modified with a nitrone compound.
- the present invention was found to be significantly reduced. That is, the present inventors have found that the above problem can be solved by the following configuration.
- the styrene unit content in the styrene-conjugated diene copolymer (A) is 10% by mass or more
- nitrone compound (B) is converted into N-phenyl- ⁇ - (4-carboxyphenyl) nitrone, N-phenyl- ⁇ - (3-carboxyphenyl) nitrone, N-phenyl- ⁇ - (2-carboxyphenyl) ) Nitrone, N- (4-carboxyphenyl) - ⁇ -phenyl nitrone, N- (3-carboxyphenyl) - ⁇ -phenyl nitrone or N- (2-carboxyphenyl) - ⁇ -phenyl nitrone (1 ) Or (2).
- the rubber composition according to (6), wherein the diene rubber other than the modified polymer is at least one selected from the group consisting of butadiene rubber, aromatic vinyl-conjugated diene copolymer, and natural rubber. .
- the present inventors include the following [1] to [10] containing styrene butadiene rubber, butadiene rubber and silica modified with the above nitrone compound (B) (modifier having a nitrone group). It has been found that the pneumatic tire of the rubber composition [11] has high elongation at break and excellent low heat build-up.
- B nitrone compound
- B modifier having a nitrone group
- the modifier is N-phenyl- ⁇ - (4-carboxyphenyl) nitrone, N-phenyl- ⁇ - (3-carboxyphenyl) nitrone, N-phenyl- ⁇ - (2-carboxyphenyl) nitrone, At least one selected from the group consisting of N- (4-carboxyphenyl) - ⁇ -phenylnitrone, N- (3-carboxyphenyl) - ⁇ -phenylnitrone and N- (2-carboxyphenyl) - ⁇ -phenylnitrone
- the diene rubber further contains an aromatic vinyl-conjugated diene copolymer (excluding the modified polymer), and the mass ratio of the modified polymer to the aromatic vinyl-conjugated diene copolymer [(modified polymer ) / (Aromatic vinyl-conjugated diene copolymer)] is (10 or more) / (90 or less), the rubber composition according to any one of the above [1] to [6].
- a modified polymer in which the exothermicity of the rubber composition is greatly reduced by modification, a rubber composition containing the modified polymer, and the rubber composition A pneumatic tire using can be provided.
- a numerical range represented by using “to” means a range including numerical values described before and after “to” as a lower limit value and an upper limit value.
- the modified polymer of the present invention is a modified polymer obtained by modifying the styrene-conjugated diene copolymer (A) with the nitrone compound (B).
- the content of styrene units in the styrene-conjugated diene copolymer (A) is 10% by mass or more, and all the double bonds contained in the styrene-conjugated diene copolymer (A). Of these, the proportion of vinyl bonds is 5 mol% or more. Since the modified polymer of the present invention has such a structure, it is considered that the exothermic property when the rubber composition is made is greatly reduced by modification. The reason is not clear, but it is presumed that it is as follows.
- a styrene-conjugated diene copolymer having a specific structure is used as the polymer modified with the nitrone compound (B).
- a styrene-conjugated diene copolymer in which the content of styrene units is 10% by mass or more and the ratio of vinyl bonds in all double bonds is 5 mol% or more is used.
- the double bond derived from a vinyl bond has few steric hindrances, it is easily modified with the nitrone compound (B).
- the styrene unit contributes to an improvement in compatibility with the nitrone compound (B).
- the modified polymer of the present invention is considered to have a structure in which the styrene-conjugated diene copolymer (A) is modified with the nitrone compound (B) very uniformly.
- the exothermic reduction effect due to the modification is efficiently exhibited, and the exothermicity of the rubber composition is greatly reduced by the modification.
- a styrene-conjugated diene copolymer having no specific structure is used (Comparative Examples 1 and 2), the reduction in heat generation due to modification is small. Also guessed.
- the modified polymer of the present invention is a modified polymer obtained by modifying a styrene butadiene rubber with a nitrone compound (B) (modified polymer produced by reacting a modifier having a nitrone group with a double bond of a styrene butadiene rubber).
- B nitrone compound
- a rubber composition containing such a modified polymer, butadiene rubber and silica is considered to be a rubber composition having high elongation at break and excellent low heat build-up.
- a nitrone compound modifier
- a conjugated diene rubber for example, a blended system of styrene butadiene rubber and butadiene rubber
- the modified conjugated diene rubber modified styrene butadiene rubber, butadiene rubber
- a filler By increasing the interaction with (for example, silica), it is considered that the heat generation of the compound containing the compound is excellent.
- butadiene rubber usually has poor uptake of filler, but when such butadiene rubber is modified with a nitrone compound, the pseudo-crosslinking point with the filler in butadiene rubber increases due to modification, and the elongation at break tends to decrease.
- styrene butadiene rubber having relatively higher filler incorporation than butadiene rubber is modified with nitrone compound (B) (modifier) to increase the number of pseudo-crosslinking points with the filler in styrene butadiene rubber.
- B nitrone compound
- the styrene-conjugated diene copolymer (A) used in the modified polymer of the present invention has a styrene unit content in the styrene-conjugated diene copolymer (A) of 10% by mass or more, and the styrene-conjugated diene.
- a styrene unit content in the styrene-conjugated diene copolymer (A) of 10% by mass or more
- the styrene-conjugated diene There is no particular limitation as long as it is a styrene-conjugated diene copolymer in which the proportion of vinyl bonds in all the double bonds contained in the copolymer (A) is 5 mol% or more.
- the conjugated diene used in producing the styrene-conjugated diene copolymer (A) is not particularly limited, and specific examples thereof include 1,3-butadiene, isoprene (2-methyl-1,3-butadiene). 2,3-dimethyl-1,3-butadiene, 2-chloro-1,3-butadiene, 1,3-pentadiene and the like. Of these, 1,3-butadiene is preferred. That is, the styrene-conjugated diene copolymer (A) is preferably styrene butadiene rubber (SBR).
- SBR styrene butadiene rubber
- the content of styrene units in the styrene-conjugated diene copolymer (A) (hereinafter also referred to as styrene unit content or styrene amount) is 10% by mass or more. Especially, it is preferable that it is 26 mass% or more from the reason for which the improvement of the wet grip performance by modification
- the upper limit is not particularly limited, but is preferably 80% by mass or less, and more preferably 70% by mass or less.
- the content of styrene units (styrene content) in the styrene-conjugated diene copolymer (A) is the ratio (mass%) of the total structural units constituting the styrene-conjugated diene copolymer (A). ).
- the microstructure of the styrene-conjugated diene copolymer (A) can be measured according to JIS K 6239: 2007 (how to obtain the microstructure of raw material rubber-solution polymerized SBR (quantitative)).
- the proportion of vinyl bonds in all the double bonds contained in the styrene-conjugated diene copolymer (A) (hereinafter also referred to as vinyl bond amount or vinyl amount) is 5 mol% or more. Among them, it is preferably 10 mol% or more, more preferably 20 mol% or more, further preferably 35 mol% or more, and 50 mol% or more for the reason that the exothermic reduction due to modification becomes larger. It is particularly preferred. An upper limit in particular is not restrict
- the ratio of vinyl bonds among all double bonds contained in the styrene-conjugated diene copolymer (A) is derived from the conjugated diene contained in the styrene-conjugated diene copolymer (A).
- the ratio (mol%) which a vinyl bond accounts among all the double bonds to do is represented. More specifically, the proportion (mol%) of 1,2-vinyl bonds among cis-1,4-bonds, trans-1,4-bonds and 1,2-vinyl bonds, which are conjugated dienes. Represents.
- the ratio of 1,4-bonds among all the double bonds contained in the styrene-conjugated diene copolymer (A) is not particularly limited. From the viewpoints of being able to be 95 mol% or less, having high elongation at break, excellent low heat build-up, and excellent strength properties, 20 to 90 mol% in the total amount of double bonds is preferable, and 20 to 80 mol% is more preferable. Preferably, it is 25 to 65 mol%, more preferably 25 to 50 mol%.
- the weight average molecular weight of the styrene-conjugated diene copolymer (A) is preferably 100,000 to 1,500,000, and preferably 100,000 to 1,400,000 from the viewpoint of handleability. Is more preferably 300,000 to 1,300,000.
- the weight average molecular weight (Mw) of the styrene-conjugated diene copolymer (A) is measured in terms of standard polystyrene by gel permeation chromatography (GPC) using tetrahydrofuran as a solvent.
- nitrone compound (B) used in the modified polymer of the present invention is not particularly limited as long as it is a compound having a nitrone group represented by the following formula (1).
- * represents a bonding position.
- the number of nitrone groups per molecule of the nitrone compound (B) is preferably 1 to 3.
- the nitrone compound (B) is preferably a compound represented by the following formula (2).
- X and Y each independently represent an aliphatic hydrocarbon group, an aromatic hydrocarbon group or an aromatic heterocyclic group which may have a substituent.
- Examples of the aliphatic hydrocarbon group represented by X or Y include an alkyl group, a cycloalkyl group, and an alkenyl group.
- Examples of the alkyl group include methyl group, ethyl group, n-propyl group, isopropyl group, n-butyl group, isobutyl group, sec-butyl group, tert-butyl group, n-pentyl group, isopentyl group, neopentyl group, Examples thereof include a tert-pentyl group, 1-methylbutyl group, 2-methylbutyl group, 1,2-dimethylpropyl group, n-hexyl group, n-heptyl group, n-octyl group and the like. Of these, an alkyl group having 1 to 18 carbon atoms is preferable, and an alkyl group having 1 to 6 carbon atoms is more preferable.
- cycloalkyl group examples include a cyclopropyl group, a cyclobutyl group, a cyclopentyl group, a cyclohexyl group, and the like. Of these, a cycloalkyl group having 3 to 10 carbon atoms is preferable, and a cycloalkyl group having 3 to 6 carbon atoms is more preferable.
- alkenyl group examples include a vinyl group, 1-propenyl group, allyl group, isopropenyl group, 1-butenyl group, 2-butenyl group and the like. Of these, an alkenyl group having 2 to 18 carbon atoms is preferable, and an alkenyl group having 2 to 6 carbon atoms is more preferable.
- Examples of the aromatic hydrocarbon group represented by X or Y include an aryl group and an aralkyl group.
- the aryl group include a phenyl group, a naphthyl group, an anthryl group, a phenanthryl group, and a biphenyl group. Among them, an aryl group having 6 to 14 carbon atoms is preferable, an aryl group having 6 to 10 carbon atoms is more preferable, and a phenyl group and a naphthyl group are further preferable.
- Examples of the aralkyl group include a benzyl group, a phenethyl group, and a phenylpropyl group. Of these, an aralkyl group having 7 to 13 carbon atoms is preferable, an aralkyl group having 7 to 11 carbon atoms is more preferable, and a benzyl group is more preferable.
- Examples of the aromatic heterocyclic group represented by X or Y include, for example, pyrrolyl group, furyl group, thienyl group, pyrazolyl group, imidazolyl group (imidazole group), oxazolyl group, isoxazolyl group, thiazolyl group, isothiazolyl group, pyridyl group (Pyridine group), furan group, thiophene group, pyridazinyl group, pyrimidinyl group, pyrazinyl group and the like. Of these, a pyridyl group is preferable.
- the substituent that the group represented by X or Y may have is not particularly limited, and examples thereof include an alkyl group having 1 to 4 carbon atoms, a hydroxy group, an amino group, a nitro group, a carboxy group, a sulfonyl group, An alkoxy group, a halogen atom, etc. are mentioned. Of these, a carboxy group is preferable.
- the substituent can be bonded to the aliphatic hydrocarbon group, the aromatic hydrocarbon group, or the aromatic heterocyclic group directly or through an organic group.
- the organic group is not particularly limited.
- aromatic hydrocarbon group having such a substituent examples include an aryl group having an alkyl group such as a tolyl group and a xylyl group; an aryl group having a carboxy group such as a carboxyphenyl group; And an aralkyl group having a substituent such as a group, an ethylbenzyl group, and a methylphenethyl group.
- the compound represented by the above formula (2) is preferably a compound represented by the following formula (3).
- the nitrone compound (B) is preferably a compound further having a carboxy group as a substituent.
- the number of carboxy groups per molecule of the nitrone compound (B) is preferably 1 or more, can be 10 or less, more preferably 1 to 4, and more preferably 1 to 2. Is more preferable.
- a nitrone compound having a carboxy group has the following formula from the viewpoint of compatibility with styrene-copolymer copolymer rubber (for example, styrene butadiene rubber), excellent reactivity, high elongation at break, and low exothermic property.
- the compound (carboxynitrone) represented by (3) is preferable.
- m and n each independently represent an integer of 0 to 5, and the sum of m and n is 1 or more.
- the integer represented by m is preferably an integer of 0 to 2, more preferably an integer of 0 to 1, because the solubility in a solvent at the time of synthesizing the nitrone compound (B) is good and the synthesis is facilitated.
- the integer represented by n is preferably an integer of 0 to 2, more preferably an integer of 0 to 1, because the solubility in a solvent at the time of synthesizing the nitrone compound (B) becomes good and the synthesis becomes easy.
- the total of m and n (m + n) is preferably 1 to 4, and more preferably 1 to 2.
- the carboxynitrone represented by the formula (3) is not particularly limited, but N-phenyl- ⁇ - (4-carboxyphenyl) nitrone represented by the following formula (3-1), and the following formula (3- 2) N-phenyl- ⁇ - (3-carboxyphenyl) nitrone represented by the following formula (3-3), N-phenyl- ⁇ - (2-carboxyphenyl) nitrone represented by the following formula (3-3) 4) N- (4-carboxyphenyl) - ⁇ -phenylnitrone represented by the following formula (3-5), and N- (3-carboxyphenyl) - ⁇ -phenylnitrone represented by the following formula (3-5) It is preferably at least one compound selected from the group consisting of N- (2-carboxyphenyl) - ⁇ -phenylnitrone represented by 3-6).
- the method for synthesizing the nitrone compound (B) is not particularly limited, and a conventionally known method can be used.
- a compound having a hydroxyamino group (—NHOH) and a compound having an aldehyde group (—CHO) have a molar ratio of hydroxyamino group to aldehyde group (—NHOH / —CHO) of 1.0 to 1.
- an organic solvent for example, methanol, ethanol, tetrahydrofuran, etc.
- any one or both of the compound having a hydroxyamino group and the compound having an aldehyde group may have a carboxy group or the like.
- the method for producing the modified polymer of the present invention is not particularly limited, but there is a method in which the above-mentioned styrene-conjugated diene copolymer (A) and nitrone compound (B) are mixed, for example, at 100 to 200 ° C. for 1 to 30 minutes. Can be mentioned.
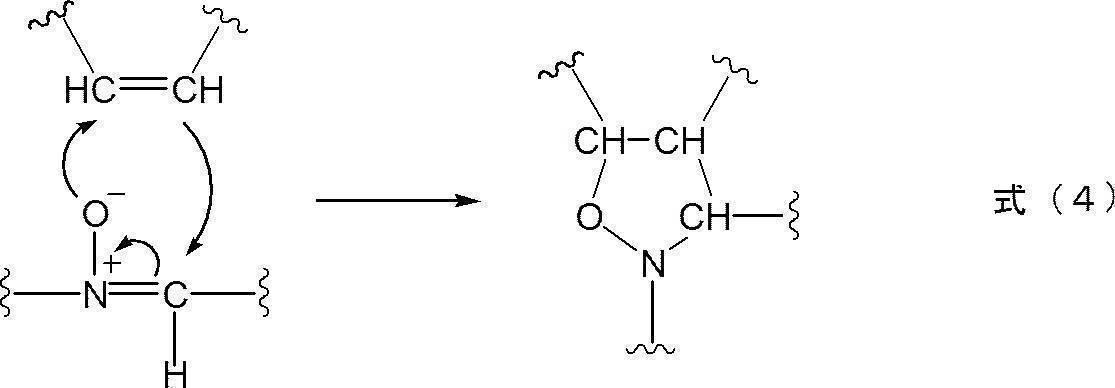
- a double bond derived from the conjugated diene of the styrene-conjugated diene copolymer (A) and a nitrone group of the nitrone compound (B) A cycloaddition reaction takes place between and giving a five-membered ring.
- the following formula (4) represents a reaction between a 1,4-bond and a nitrone compound
- the following formula (5) represents a reaction between a 1,2-vinyl bond and a nitrone compound.
- the amount of the nitrone compound (B) reacted with the styrene-conjugated diene copolymer (A) is preferably 0.1 to 10 parts by mass with respect to 100 parts by mass of the styrene-conjugated diene copolymer (A). 0.3-5 parts by mass is more preferable.
- the amount of the nitrone compound (B) used in the production of the modified polymer is high in elongation at break, excellent in low exothermic property, and excellent in handleability.
- A) (for example, styrene butadiene rubber) can be 0.01 to 2.0 mol%, preferably 0.02 to 1.5 mol%, of the double bond.
- the modification rate of the modified polymer of the present invention is not particularly limited, but is preferably 0.10 mol% or more, and more preferably 0.20 mol% or more for the reason that the exothermic reduction due to modification becomes larger.
- the upper limit of the modification rate is not particularly limited, but is preferably 3.0 mol% or less, and more preferably 2.0 mol% or less.
- the modification rate represents the ratio (mol%) modified by the nitrone compound (B) among all the double bonds derived from the conjugated diene of the styrene-conjugated diene copolymer (A). More specifically, it represents the ratio (mol%) in which the structure of the above formula (4) or the above formula (5) is formed by modification with the nitrone compound (B).
- the modification rate can be determined, for example, by performing NMR measurement of the styrene-conjugated diene copolymer (A) and the modified polymer (that is, the polymer before and after modification).
- the rubber composition of the present invention (hereinafter also referred to as the composition of the present invention) is a rubber composition containing the modified polymer of the present invention.
- the modified polymer of the present invention is as described above.
- the modified polymers can be used alone or in combination of two or more.
- the composition of the present invention contains a diene rubber other than the modified polymer (hereinafter, the diene rubber other than the modified polymer may be simply referred to as a diene rubber), the diene rubber other than the modified polymer and the modified polymer of the present invention.
- the content of the modified polymer with respect to the total with the polymer is not particularly limited, but is preferably 10 to 100% by mass, more preferably less than 100% by mass, and more preferably 10 to 60% by mass.
- the composition of the present invention is a diene rubber other than the modified polymer (hereinafter, the diene rubber other than the modified polymer may be simply referred to as a diene rubber). Does not contain.
- the composition of the present invention may further contain components other than the modified polymer of the present invention as long as the effects and purposes are not impaired.
- components include diene rubbers other than the modified polymer of the present invention; silica, carbon black, silane coupling agent (for example, Si69 manufactured by Evonik Degussa, Si363 manufactured by Evonik Degussa), zinc oxide (zinc white), Commonly used in rubber compositions such as stearic acid, antioxidants, processing aids, oils, liquid polymers, waxes, terpene resins, thermosetting resins, vulcanizing agents (eg, sulfur), vulcanization accelerators, etc. And various additives.
- the composition of the present invention preferably further contains a diene rubber other than the above-described modified polymer.
- the diene rubber is not particularly limited, and specific examples thereof include natural rubber (NR), isoprene rubber (IR), butadiene rubber (BR), aromatic vinyl-conjugated diene copolymer rubber, acrylonitrile-butadiene copolymer. Examples thereof include rubber (NBR), butyl rubber (IIR), halogenated butyl rubber (Br-IIR, Cl-IIR), chloroprene rubber (CR) and the like.
- the diene rubber (A) may be a single diene rubber or a combination of two or more diene rubbers.
- the diene rubber other than the modified polymer is preferably at least one selected from the group consisting of butadiene rubber, aromatic vinyl-conjugated diene copolymer and natural rubber.
- One preferred embodiment of the rubber composition of the present invention is that it contains a modified polymer and a butadiene rubber.
- the rubber composition of the present invention may be mentioned as one of preferred embodiments containing a modified polymer, a butadiene rubber, and an aromatic vinyl-conjugated diene copolymer and / or natural rubber.
- butadiene rubber The butadiene rubber will be described below.
- the butadiene rubber that the rubber composition of the present invention can further contain as a diene rubber other than the modified polymer is not particularly limited.
- the weight average molecular weight of the butadiene rubber is preferably 100,000 to 1,000,000, and more preferably 300,000 to 800,000, from the viewpoint of handleability.
- the weight average molecular weight (Mw) of butadiene rubber shall be measured by standard polystyrene conversion by gel permeation chromatography (GPC) using tetrahydrofuran as a solvent.
- Butadiene rubber is not particularly limited for its production.
- a conventionally well-known thing is mentioned.
- Butadiene rubbers can be used alone or in combination of two or more.
- the mass ratio of the modified polymer to the butadiene rubber is 95/5 to 68/32 from the viewpoint of high elongation at break, excellent low heat build-up, and excellent handleability.
- 90/10 to 70/30 are more preferable.
- the natural rubber will be described below.
- the natural rubber that the rubber composition of the present invention can further contain as a diene rubber other than the modified polymer is not particularly limited.
- the mass ratio of butadiene rubber to natural rubber is preferably 20/80 to 70/30 from the viewpoint of high elongation at break, excellent low heat build-up, and excellent handleability. More preferred is 60/40.
- the aromatic vinyl-conjugated diene copolymer rubber will be described below.
- the rubber composition of the present invention is not particularly limited and can be further contained as a diene rubber other than the modified polymer.
- aromatic vinyl-conjugated diene copolymer rubber examples include styrene-butadiene copolymer rubber (styrene butadiene rubber, SBR) and styrene-isoprene copolymer rubber.
- SBR styrene-butadiene copolymer rubber
- SBR styrene-butadiene copolymer rubber
- the styrene butadiene rubber may be the same as the styrene butadiene rubber used when the modified polymer is produced, for example.
- the aromatic vinyl unit content in the aromatic vinyl-conjugated diene copolymer is preferably 20 to 80% by mass, and preferably 26 to 70% by mass from the viewpoint of the balance between wear resistance and toughness of the resulting tire. % Is more preferable.
- the proportion of vinyl bonds in all the double bonds contained in the aromatic vinyl-conjugated diene copolymer is preferably 20 to 80 mol%, more preferably 25 to 65 mol%.
- the ratio of vinyl bonds represents the ratio (mol%) occupied by vinyl bonds among all double bonds derived from conjugated dienes contained in the aromatic vinyl-conjugated diene copolymer. Represents the proportion of 1,2-vinyl bonds in the cis-1,4-bond, trans-1,4-bond, and 1,2-vinyl bond, which are conjugated dienes.
- the weight average molecular weight of the aromatic vinyl-conjugated diene copolymer is preferably 100,000 to 1,500,000 from the viewpoint of the balance between workability and toughness of the resulting tire, and preferably 100,000 to It is more preferably 1,400,000, and further preferably 600,000 to 1,300,000.
- the method for measuring the weight average molecular weight is the same as that of the styrene-conjugated diene copolymer (A) described above.
- the method for producing the aromatic vinyl-conjugated diene copolymer is not particularly limited, and can be produced by a conventionally known method. Further, the aromatic vinyl and the conjugated diene are not particularly limited as monomers used in producing the aromatic vinyl-conjugated diene copolymer. Specific examples of the conjugated diene monomer are the same as those of the styrene-conjugated diene copolymer (A) described above.
- aromatic vinyl monomer examples include styrene, 2-methylstyrene, 3-methylstyrene, 4-methylstyrene, ⁇ -methylstyrene, 2,4-dimethylstyrene, 2,4-diisopropylstyrene, 4 -Tert-butylstyrene, divinylbenzene, tert-butoxystyrene, vinylbenzyldimethylamine, (4-vinylbenzyl) dimethylaminoethyl ether, N, N-dimethylaminoethylstyrene, vinylpyridine and the like.
- the content in the case of using the aromatic vinyl-conjugated diene copolymer is not particularly limited, but from the viewpoint of the wear resistance of the obtained tire, the total of the diene rubber and the above-mentioned modified polymer is used.
- the content is preferably 0 to 90% by mass, and more preferably 40 to 90% by mass.
- the content of the butadiene rubber (BR) is not particularly limited, but the total of the diene rubber and the modified polymer described above.
- the content is preferably 10 to 50% by mass, more preferably 20 to 40% by mass.
- the mass ratio of the modified polymer to the aromatic vinyl-conjugated diene copolymer has a high elongation at break, excellent low heat build-up, and easy handling. From the viewpoint of superiority, 100/0 to 10/90 is preferable, and 100/0 to 40/60 is more preferable.
- the mass ratio of the modified polymer to the aromatic vinyl-conjugated diene copolymer (modified polymer / aromatic vinyl-conjugated diene copolymer) is (10 or more) / (90 or less) for the same reason as above. (In this case, the mass ratio is (10/90) or more), (40 or more) / (60 or less) is more preferable (in this case, the mass ratio is (40/60) or more).
- the upper limit of the mass ratio can be less than 100.
- the amount of the modified polymer is the elongation at break. From the standpoint that the heat resistance is high, the low heat build-up property is excellent, and the handleability is excellent, the amount is preferably 10 parts by mass or more, preferably 30 to 80 parts by mass with respect to 100 parts by mass in total of the modified polymer and the diene rubber other than the modified polymer More preferably, it is 50 to 80 parts by mass.
- the rubber composition of the present invention contains a modified polymer, a butadiene rubber, and a natural rubber and / or an aromatic vinyl-conjugated diene copolymer rubber
- the amount of the modified polymer is high in elongation at break and low. From the viewpoint of better exothermic properties and excellent handleability, 10 parts by mass or more is preferable and 30 to 80 parts by mass is more preferable with respect to 100 parts by mass in total of the modified polymer and the diene rubber other than the modified polymer.
- the amount is preferably 50 to 80 parts by mass.
- the amount of the nitrone compound (B) introduced into the modified polymer is 100 parts by mass in total from the modified polymer and the diene rubber other than the modified polymer from the viewpoints of high elongation at break, excellent low heat build-up, and excellent handling. Is preferably 0.1 parts by weight or more and 10 parts by weight or less, more preferably 0.1 to 5.0 parts by weight.
- the modified polymers can be used alone or in combination of two or more.
- the composition of the present invention preferably further contains silica.
- the said silica in particular is not restrict
- Specific examples of silica include wet silica, dry silica, fumed silica, diatomaceous earth, and the like.
- the silica one type of silica may be used alone, or two or more types of silica may be used in combination.
- the silica is preferably wet silica from the viewpoint of rubber reinforcement.
- the content of the silica is not particularly limited, a total of 100 parts by mass of the modified polymer and the diene rubber (diene rubber other than the modified polymer) (note that the composition of the present invention is a diene rubber other than the modified polymer).
- the above-mentioned 100 parts by mass as a reference is 100 parts by mass of the modified polymer, and the same applies hereinafter.
- the composition of the present invention preferably further contains carbon black.
- the carbon black is not particularly limited, and examples thereof include various grades such as SAF-HS, SAF, ISAF-HS, ISAF, ISAF-LS, IISAF-HS, HAF-HS, HAF, HAF-LS, and FEF. Can be used.
- the content of the carbon black is not particularly limited, but is preferably 1 to 100 parts by mass, and preferably 3 to 60 parts by mass with respect to 100 parts by mass in total of the modified polymer and the diene rubber. More preferred.
- the production method of the composition of the present invention is not particularly limited, and specific examples thereof include, for example, kneading the above-described components using a known method and apparatus (for example, a Banbury mixer, a kneader, a roll, etc.). The method etc. are mentioned.
- a known method and apparatus for example, a Banbury mixer, a kneader, a roll, etc.
- the method etc. are mentioned.
- the composition of the present invention contains sulfur or a vulcanization accelerator, components other than sulfur and the vulcanization accelerator are first mixed (for example, mixed at 60 to 160 ° C.), cooled, and then sulfur. Or it is preferable to further mix a vulcanization accelerator.
- the composition of the present invention can be vulcanized or crosslinked under conventionally known vulcanization or crosslinking conditions.
- the pneumatic tire of the present invention is a pneumatic tire using the above-described composition of the present invention. Especially, it is preferable that it is a pneumatic tire which used the composition of this invention for the tire tread.
- FIG. 1 shows a schematic partial sectional view of a tire representing an example of an embodiment of the pneumatic tire of the present invention, but the pneumatic tire of the present invention is not limited to the embodiment shown in FIG.
- reference numeral 1 represents a bead portion
- reference numeral 2 represents a sidewall portion
- reference numeral 3 represents a tire tread portion
- a carcass layer 4 in which fiber cords are embedded is mounted between the pair of left and right bead portions 1, and the end of the carcass layer 4 extends from the inside of the tire to the outside around the bead core 5 and the bead filler 6. Wrapped and rolled up.
- a belt layer 7 is disposed over the circumference of the tire on the outside of the carcass layer 4.
- the rim cushion 8 is arrange
- the pneumatic tire of the present invention can be manufactured, for example, according to a conventionally known method. Moreover, as gas with which a tire is filled, inert gas, such as nitrogen, argon, helium other than the air which adjusted normal or oxygen partial pressure, can be used.
- inert gas such as nitrogen, argon, helium other than the air which adjusted normal or oxygen partial pressure
- nitrone compound (carboxynitrone, N-phenyl- ⁇ - (4-carboxyphenyl) nitrone, mp 243 ° C., molecular weight 241) represented by the following formula (c-1) was obtained by recrystallization from methanol. (41.7 g). The yield was 86%. The obtained nitrone compound is referred to as Compound 1.
- the styrene unit content represents the above-mentioned “content of styrene unit in styrene-conjugated diene copolymer”.
- the vinyl bond amount represents the above-mentioned “ratio of vinyl bonds in all double bonds contained in the styrene-conjugated diene copolymer”.
- Modification rate Moreover, NMR measurement was performed about the obtained modified polymer, and the modification
- nitrone compound (B) as the compound 1 (described later modifier 1)
- the modified front and rear of the polymer CDCl 3 a the 1 H-NMR measurement that the solvent (CDCl 3, 400 MHz, The peak area in the vicinity of 8.08 ppm (attributed to two protons adjacent to the carboxy group) was measured by TMS), and the modification rate was calculated.
- the modification rate was computed similarly except having measured the peak area derived from a pyridyl group or an imidazolyl group, respectively.
- the 1 H-NMR measurement of the modified polymer (modified polymer) was performed using a sample dried under reduced pressure after repeated purification by dissolving the modified product in toluene and precipitating in methanol twice. Measured. The results are shown in each table.
- Example 1 Toughden 1000 (Asahi Kasei Chemicals)
- Example 2 Toughden 2000R (Asahi Kasei Chemicals)
- Example 3 NIPOL 1502 (manufactured by Nippon Zeon)
- Example 4 NIPOL NS460 (manufactured by Nippon Zeon Co., Ltd., oil-extended product (oil-extended amount: 37.5% by mass))
- Example 5 NIPOL 9548 (manufactured by Nippon Zeon Co., Ltd., oil exhibition (oil expansion amount: 37.5 mass%))
- Example 6 Toughden 3835 (manufactured by Asahi Kasei Chemicals Corporation, oil exhibition product (oil expansion amount: 37.5% by mass))
- Example 7 NIPOL NS522 (manufactured by Nippon Zeon)
- Example 8 NIPOL NS460
- ⁇ Preparation of rubber composition The components shown in the column of the rubber composition in Table 1 below were blended in the proportions (parts by mass) shown in the same table. Specifically, first, components excluding sulfur and a vulcanization accelerator among the components shown in Table 1 below were mixed for 5 minutes with a Banbury mixer at 80 ° C. to obtain a mixture. Next, using a roll, sulfur and a vulcanization accelerator were mixed with the above mixture to obtain a rubber composition.
- vulcanized rubber sheet for evaluation The rubber composition (unvulcanized) prepared as described above was press vulcanized at 160 ° C. for 20 minutes in a mold (15 cm ⁇ 15 cm ⁇ 0.2 cm) to prepare a vulcanized rubber sheet for evaluation.
- ⁇ Tan ⁇ (0 ° C.)> About the vulcanized rubber sheet for evaluation produced as described above, using a viscoelastic spectrometer (manufactured by Toyo Seiki Seisakusho Co., Ltd.), loss at a temperature of 0 ° C. under conditions of initial strain 10%, amplitude ⁇ 2%, frequency 20 Hz. Tangent tan ⁇ (0 ° C.) was measured. The results are shown in Table 1. In addition, the result was represented by the percentage which makes the value at the time of using each SBR (30 mass parts) before modification
- ⁇ Tan ⁇ (60 ° C.)> For the vulcanized rubber sheet produced as described above, a loss tangent tan ⁇ at a temperature of 60 ° C. is used under the conditions of an initial strain of 10%, an amplitude of ⁇ 2%, and a frequency of 20 Hz using a viscoelastic spectrometer (manufactured by Toyo Seiki Seisakusho). (60 ° C.) was measured. The results are shown in Table 1. In addition, the result was represented by the percentage which makes the value at the time of using each SBR (30 mass parts) before modification
- -BR Butadiene rubber (NIPOL BR 1220, manufactured by Nippon Zeon)
- SBR Styrene butadiene rubber (E580 (manufactured by Asahi Kasei Chemicals Corporation, oil exhibition (oil expansion amount: 37.5% by mass))
- Modified polymer Each modified polymer synthesized as described above (modified polymers in each example and comparative example)
- Silica ZEOSIL 165GR (manufactured by Rhodia Silica Korea)
- Carbon black Show black N339 (manufactured by Cabot Japan)
- Zinc flower Zinc flower No.
- Stearic acid Stearic acid YR (manufactured by NOF Corporation)
- Anti-aging agent SANTOFLEX 6PPD (manufactured by Soltia Europe)
- Silane coupling agent Si69 (Evonik Degussa)
- Process oil Extract No.
- Examples 1 to 11 in Table 1> As can be seen from Table 1, Examples 1 to 11 using a styrene-conjugated diene copolymer having a specific structure (styrene unit content, vinyl bond ratio) as the polymer to be modified are all exothermic due to modification. Was greatly reduced. From the comparison with Examples 1 to 9, Examples 1 to 8 in which the modification rate of the modified polymer was 0.20 mol% or more showed a greater reduction in exothermicity due to modification. From a comparison of Examples 1 to 8, Examples 4 to 8 having a styrene unit content of 26% by mass or more showed a great improvement in wet grip performance due to modification.
- the raw material styrene butadiene rubber 1 in the column of the production of the modified polymer in Table 2 is NIPOL NS522 (solution-polymerized styrene butadiene rubber, weight average molecular weight 1,360,000, styrene amount 40% by mass, vinyl (1,2 Unit) amount 41 mol%, 1,4 unit amount 59 mol%, 37.5 mass% oil extended).
- the raw material styrene butadiene rubber 2 in the column of production of modified polymer in Table 3 is E580 (solution polymerized styrene butadiene rubber, weight average molecular weight 800,000, styrene amount 37% by mass, vinyl (1,2 units) amount manufactured by Asahi Kasei Chemicals Corporation. 45 mol%, 37.5 mass% oil extended).
- -Solution polymerization SBR1 NIPOL NS522 manufactured by Zeon Corporation, solution polymerization styrene butadiene rubber, weight average molecular weight 1,360,000, styrene content 40 mass%, vinyl content 41 mol%, 37.5 mass% oil expansion-Solution polymerization SBR2 : Asahi Kasei Co., Ltd., Toughden 3835, solution-polymerized styrene butadiene rubber, weight average molecular weight 790,000, styrene content 35% by mass, vinyl content 45 mol%, 37.5% by mass oil extension BR: NIPOL BR 1220 manufactured by Zeon Corporation , Butadiene rubber, weight average molecular weight 600,000 -Modified SBR1-4, P-modified SBR: manufactured as described above-Silica: ZEOSIL 165GR manufactured by Rhodia Silica Korea ⁇ Carbon Black (Carbon):
- Zinc flower Zinc oxide, Zinc flower No. 3 manufactured by Shodo Chemical Co., Ltd.
- Silane coupling agent Si69, bis (3-triethoxysilylpropyl) tetra manufactured by Evonik Degussa Sulfide oil: Extract No. 4 S manufactured by Showa Shell Sekiyu KK
- Vulcanization accelerator 1 CZ
- DPG Vulcanization accelerator 2
- Soxinol DG manufactured by Sumitomo Chemical Co., Ltd.
- Sulfur Refined sulfur from Karuizawa Refinery
- Examples 1 to 5 were superior to standard example 1 in terms of low heat build-up, and could have high elongation at break.
- Examples 2 to 4 were excellent in balance with low heat buildup while maintaining high breaking strength.
- Example 6 which does not contain a butadiene rubber had a lower elongation at break than Standard Example 1.
- Modified polymer / butadiene rubber is greater than (95/5) [(greater than 95) / (less than 5)]
- Example 7 modified polymer / butadiene rubber is less than (68/32) [(less than 68) / (Over 32)]
- Example 8 the elongation at break was lower than in Standard Example 1.
- ⁇ NR Natural rubber TSR20 Solution polymerization SBR3 (St 37%, 37.5 wt% oil exhibition): E580 manufactured by Asahi Kasei Chemicals, solution polymerization styrene butadiene rubber, weight average molecular weight 800,000, styrene quantity 37 mass%, 37.5 mass% oil exhibition BR : Same as Table 2.
- -Modified SBR5 manufactured as described above-Components from carbon black (CB) to vulcanization accelerator 2 (DPG): Same as Table 2 except for processing aids.
- Examples 9 to 11 were excellent in low exothermic property as compared with Standard Example 2 containing no modified polymer. In Examples 9 to 11, the elongation at break was higher than that in Standard Example 2. When Examples 9 to 11 were compared, the lower the exothermicity, the better the amount of the modified polymer. Examples 9 to 10 were excellent in balance with low heat buildup while maintaining high breaking strength.
Landscapes
- Chemical & Material Sciences (AREA)
- Organic Chemistry (AREA)
- Health & Medical Sciences (AREA)
- Chemical Kinetics & Catalysis (AREA)
- Medicinal Chemistry (AREA)
- Polymers & Plastics (AREA)
- General Chemical & Material Sciences (AREA)
- Engineering & Computer Science (AREA)
- Mechanical Engineering (AREA)
- Compositions Of Macromolecular Compounds (AREA)
- Addition Polymer Or Copolymer, Post-Treatments, Or Chemical Modifications (AREA)
- Tires In General (AREA)
Abstract
本発明は、ゴム組成物としたときの発熱性が変性により大幅に低減された変性ポリマー、および、その変性ポリマーを含有するゴム組成物、並びに、そのゴム組成物を使用した空気入りタイヤの提供を目的とし、本発明の変性ポリマーは、スチレン-共役ジエン共重合体(A)を、ニトロン化合物(B)によって変性することで得られる変性ポリマーであって、上記スチレン-共役ジエン共重合体(A)中のスチレン単位の含有量が、10質量%以上であり、上記スチレン-共役ジエン共重合体(A)に含まれる全ての二重結合のうちビニル結合が占める割合が、5mol%以上である、変性ポリマーである。
Description
本発明は、変性ポリマー、および、その変性ポリマーを含有するゴム組成物、並びに、そのゴム組成物を使用した空気入りタイヤに関する。
従来、タイヤ等に用いられるゴム組成物に含まれるポリマーとして、ニトロン基を有する化合物(ニトロン化合物)で変性された変性ポリマーが知られている。
例えば、特許文献1の請求項1には、「変性ブタジエンゴムを5~100重量%含むジエン系ゴム100重量部にシリカを10~120重量部配合したゴム組成物であって、前記変性ブタジエンゴムが、シス含量が90%以上のブタジエンゴムを、窒素含有複素環を分子中に有するニトロン化合物で変性したものであることを特徴とするゴム組成物。」が開示されている。特許文献1には、ニトロン化合物により変性することで発熱性が低減することが示されている。
例えば、特許文献1の請求項1には、「変性ブタジエンゴムを5~100重量%含むジエン系ゴム100重量部にシリカを10~120重量部配合したゴム組成物であって、前記変性ブタジエンゴムが、シス含量が90%以上のブタジエンゴムを、窒素含有複素環を分子中に有するニトロン化合物で変性したものであることを特徴とするゴム組成物。」が開示されている。特許文献1には、ニトロン化合物により変性することで発熱性が低減することが示されている。
昨今、環境問題などの観点から、車両走行時の燃費性能のさらなる向上が求められ、それに伴い、変性によるさらなる発熱性の低減が要求されている。
このようななか、本発明者らが特許文献1をもとにニトロン化合物により変性したポリマーを使用してゴム組成物を調製したところ、変性による発熱性の低減が小さい場合があり、必ずしも昨今要求されるレベルを満たすものではないことが明らかとなった。
このようななか、本発明者らが特許文献1をもとにニトロン化合物により変性したポリマーを使用してゴム組成物を調製したところ、変性による発熱性の低減が小さい場合があり、必ずしも昨今要求されるレベルを満たすものではないことが明らかとなった。
そこで、本発明は、上記実情を鑑みて、ゴム組成物としたときの発熱性が変性により大幅に低減された変性ポリマー、および、その変性ポリマーを含有するゴム組成物、並びに、そのゴム組成物を使用した空気入りタイヤを提供することを目的とする。
本発明者らは、上記課題について鋭意検討した結果、ニトロン化合物で変性するポリマーとして特定の構造を有するスチレン-共役ジエン共重合体を使用することで、ゴム組成物としたときの発熱性が変性により大幅に低減することを見出し、本発明に至った。
すなわち、本発明者らは、以下の構成により上記課題が解決できることを見出した。
すなわち、本発明者らは、以下の構成により上記課題が解決できることを見出した。
(1) スチレン-共役ジエン共重合体(A)を、ニトロン化合物(B)によって変性することで得られる変性ポリマーであって、
上記スチレン-共役ジエン共重合体(A)中のスチレン単位の含有量が、10質量%以上であり、
上記スチレン-共役ジエン共重合体(A)に含まれる全ての二重結合のうちビニル結合が占める割合が、5mol%以上である、変性ポリマー。
(2) 上記ニトロン化合物(B)が、カルボキシ基を有する、上記(1)に記載の変性ポリマー。
(3) 上記ニトロン化合物(B)が、N-フェニル-α-(4-カルボキシフェニル)ニトロン、N-フェニル-α-(3-カルボキシフェニル)ニトロン、N-フェニル-α-(2-カルボキシフェニル)ニトロン、N-(4-カルボキシフェニル)-α-フェニルニトロン、N-(3-カルボキシフェニル)-α-フェニルニトロンまたはN-(2-カルボキシフェニル)-α-フェニルニトロンである、上記(1)または(2)に記載の変性ポリマー。
(4) 上記スチレン-共役ジエン共重合体(A)が、スチレンブタジエンゴムである、上記(1)~(3)のいずれかに記載の変性ポリマー。
(5) 上記(1)~(4)のいずれかに記載の変性ポリマーを含有するゴム組成物。
(6) 更に、上記変性ポリマー以外のジエン系ゴムを含有する、上記(5)に記載のゴム組成物。
(7) 上記変性ポリマー以外のジエン系ゴムが、ブタジエンゴム、芳香族ビニル-共役ジエン共重合体及び天然ゴムからなる群から選ばれる少なくとも1種である、上記(6)に記載のゴム組成物。
(8) 上記変性ポリマーと上記ブタジエンゴムの質量比(変性ポリマー/ブタジエンゴム)が、95/5~68/32である、上記(7)に記載のゴム組成物。
(9) 上記変性ポリマーと上記芳香族ビニル-共役ジエン共重合体の質量比[(変性ポリマー)/(芳香族ビニル-共役ジエン共重合体)]が、(10以上)/(90以下)である、上記(7)又は(8)に記載のゴム組成物。
(10) 上記ブタジエンゴムと上記天然ゴムの質量比(ブタジエンゴム/天然ゴム)が、20/80~70/30である、上記(7)~(9)のいずれかに記載のゴム組成物。
(11) 上記変性ポリマーの含有量が、上記変性ポリマーと上記変性ポリマー以外のジエン系ゴムとの合計100質量部に対して、10質量部以上である、上記(6)~(10)のいずれかに記載のゴム組成物。
(12) 更にシリカを含有する、上記(5)~(11)のいずれかに記載のゴム組成物。
(13) 上記シリカの含有量が、上記変性ポリマーと上記変性ポリマー以外のジエン系ゴムとの合計100質量部に対して、8~130質量部である、上記(12)に記載のゴム組成物。
(14) 上記(5)~(13)のいずれかに記載のゴム組成物を使用した空気入りタイヤ。
上記スチレン-共役ジエン共重合体(A)中のスチレン単位の含有量が、10質量%以上であり、
上記スチレン-共役ジエン共重合体(A)に含まれる全ての二重結合のうちビニル結合が占める割合が、5mol%以上である、変性ポリマー。
(2) 上記ニトロン化合物(B)が、カルボキシ基を有する、上記(1)に記載の変性ポリマー。
(3) 上記ニトロン化合物(B)が、N-フェニル-α-(4-カルボキシフェニル)ニトロン、N-フェニル-α-(3-カルボキシフェニル)ニトロン、N-フェニル-α-(2-カルボキシフェニル)ニトロン、N-(4-カルボキシフェニル)-α-フェニルニトロン、N-(3-カルボキシフェニル)-α-フェニルニトロンまたはN-(2-カルボキシフェニル)-α-フェニルニトロンである、上記(1)または(2)に記載の変性ポリマー。
(4) 上記スチレン-共役ジエン共重合体(A)が、スチレンブタジエンゴムである、上記(1)~(3)のいずれかに記載の変性ポリマー。
(5) 上記(1)~(4)のいずれかに記載の変性ポリマーを含有するゴム組成物。
(6) 更に、上記変性ポリマー以外のジエン系ゴムを含有する、上記(5)に記載のゴム組成物。
(7) 上記変性ポリマー以外のジエン系ゴムが、ブタジエンゴム、芳香族ビニル-共役ジエン共重合体及び天然ゴムからなる群から選ばれる少なくとも1種である、上記(6)に記載のゴム組成物。
(8) 上記変性ポリマーと上記ブタジエンゴムの質量比(変性ポリマー/ブタジエンゴム)が、95/5~68/32である、上記(7)に記載のゴム組成物。
(9) 上記変性ポリマーと上記芳香族ビニル-共役ジエン共重合体の質量比[(変性ポリマー)/(芳香族ビニル-共役ジエン共重合体)]が、(10以上)/(90以下)である、上記(7)又は(8)に記載のゴム組成物。
(10) 上記ブタジエンゴムと上記天然ゴムの質量比(ブタジエンゴム/天然ゴム)が、20/80~70/30である、上記(7)~(9)のいずれかに記載のゴム組成物。
(11) 上記変性ポリマーの含有量が、上記変性ポリマーと上記変性ポリマー以外のジエン系ゴムとの合計100質量部に対して、10質量部以上である、上記(6)~(10)のいずれかに記載のゴム組成物。
(12) 更にシリカを含有する、上記(5)~(11)のいずれかに記載のゴム組成物。
(13) 上記シリカの含有量が、上記変性ポリマーと上記変性ポリマー以外のジエン系ゴムとの合計100質量部に対して、8~130質量部である、上記(12)に記載のゴム組成物。
(14) 上記(5)~(13)のいずれかに記載のゴム組成物を使用した空気入りタイヤ。
また、本発明者らは、上記のニトロン化合物(B)(ニトロン基を有する変性剤)で変性されたスチレンブタジエンゴムとブタジエンゴムとシリカとを含有する、以下の[1]~[10]のゴム組成物、[11]の空気入りタイヤが、破断伸びが高く、低発熱性に優れることを見出した。
[1] スチレンブタジエンゴムが有する二重結合に対してニトロン化合物(B)(ニトロン基を有する変性剤)を反応させて製造される変性ポリマー、及びブタジエンゴムを含むジエン系ゴムと、
シリカとを含有し、
前記変性ポリマーと前記ブタジエンゴムの質量比(変性ポリマー/ブタジエンゴム)が、95/5~68/32である、ゴム組成物。
[2] 前記変性剤が、更にカルボキシ基を有する、上記[1]に記載のゴム組成物。
[3] 前記変性剤が、N-フェニル-α-(4-カルボキシフェニル)ニトロン、N-フェニル-α-(3-カルボキシフェニル)ニトロン、N-フェニル-α-(2-カルボキシフェニル)ニトロン、N-(4-カルボキシフェニル)-α-フェニルニトロン、N-(3-カルボキシフェニル)-α-フェニルニトロン及びN-(2-カルボキシフェニル)-α-フェニルニトロンからなる群より選択される少なくとも1種の化合物である、上記[1]又は[2]に記載のゴム組成物。
[4] 前記変性剤の量が、前記スチレンブタジエンゴムが有する二重結合の0.01~2.0モル%である、上記[1]~[3]のいずれかに記載のゴム組成物。
[5] 前記変性ポリマーに導入された変性剤の量が、前記ジエン系ゴム100質量部中の0.1質量部以上10質量部以下である、上記[1]~[4]のいずれかに記載のゴム組成物。
[6] 前記スチレンブタジエンゴムが有するスチレン量が前記スチレンブタジエンゴム中の10質量%(重量%)以上である、上記[1]~[5]のいずれかに記載のゴム組成物。
[7] 前記ジエン系ゴムが更に芳香族ビニル-共役ジエン共重合体(前記変性ポリマーを除く。)を含み、前記変性ポリマーと前記芳香族ビニル-共役ジエン共重合体の質量比[(変性ポリマー)/(芳香族ビニル-共役ジエン共重合体)]が、(10以上)/(90以下)である、上記[1]~[6]のいずれかに記載のゴム組成物。
[8] 前記ジエン系ゴムが更に天然ゴムを含み、前記ブタジエンゴムと前記天然ゴムの質量比(ブタジエンゴム/天然ゴム)が、20/80~70/30である、上記[1]~[7]のいずれかに記載のゴム組成物。
[9] 前記変性ポリマーの量が、前記ジエン系ゴム100質量部中、10質量部以上である、上記[1]~[8]のいずれかに記載のゴム組成物。
[10] 前記シリカの量が、前記ジエン系ゴム100質量部に対して、8~130質量部である、上記[1]~[9]のいずれかに記載のゴム組成物。
[11] 上記[1]~[10]のいずれかに記載のゴム組成物を使用した空気入りタイヤ。
シリカとを含有し、
前記変性ポリマーと前記ブタジエンゴムの質量比(変性ポリマー/ブタジエンゴム)が、95/5~68/32である、ゴム組成物。
[2] 前記変性剤が、更にカルボキシ基を有する、上記[1]に記載のゴム組成物。
[3] 前記変性剤が、N-フェニル-α-(4-カルボキシフェニル)ニトロン、N-フェニル-α-(3-カルボキシフェニル)ニトロン、N-フェニル-α-(2-カルボキシフェニル)ニトロン、N-(4-カルボキシフェニル)-α-フェニルニトロン、N-(3-カルボキシフェニル)-α-フェニルニトロン及びN-(2-カルボキシフェニル)-α-フェニルニトロンからなる群より選択される少なくとも1種の化合物である、上記[1]又は[2]に記載のゴム組成物。
[4] 前記変性剤の量が、前記スチレンブタジエンゴムが有する二重結合の0.01~2.0モル%である、上記[1]~[3]のいずれかに記載のゴム組成物。
[5] 前記変性ポリマーに導入された変性剤の量が、前記ジエン系ゴム100質量部中の0.1質量部以上10質量部以下である、上記[1]~[4]のいずれかに記載のゴム組成物。
[6] 前記スチレンブタジエンゴムが有するスチレン量が前記スチレンブタジエンゴム中の10質量%(重量%)以上である、上記[1]~[5]のいずれかに記載のゴム組成物。
[7] 前記ジエン系ゴムが更に芳香族ビニル-共役ジエン共重合体(前記変性ポリマーを除く。)を含み、前記変性ポリマーと前記芳香族ビニル-共役ジエン共重合体の質量比[(変性ポリマー)/(芳香族ビニル-共役ジエン共重合体)]が、(10以上)/(90以下)である、上記[1]~[6]のいずれかに記載のゴム組成物。
[8] 前記ジエン系ゴムが更に天然ゴムを含み、前記ブタジエンゴムと前記天然ゴムの質量比(ブタジエンゴム/天然ゴム)が、20/80~70/30である、上記[1]~[7]のいずれかに記載のゴム組成物。
[9] 前記変性ポリマーの量が、前記ジエン系ゴム100質量部中、10質量部以上である、上記[1]~[8]のいずれかに記載のゴム組成物。
[10] 前記シリカの量が、前記ジエン系ゴム100質量部に対して、8~130質量部である、上記[1]~[9]のいずれかに記載のゴム組成物。
[11] 上記[1]~[10]のいずれかに記載のゴム組成物を使用した空気入りタイヤ。
以下に示すように、本発明によれば、ゴム組成物としたときの発熱性が変性により大幅に低減された変性ポリマー、および、その変性ポリマーを含有するゴム組成物、並びに、そのゴム組成物を使用した空気入りタイヤを提供することができる。
以下に、本発明の変性ポリマー、および、その変性ポリマーを含有するゴム組成物、並びに、そのゴム組成物を使用した空気入りタイヤについて説明する。
なお、本明細書において「~」を用いて表される数値範囲は、「~」の前後に記載される数値を下限値および上限値として含む範囲を意味する。
なお、本明細書において「~」を用いて表される数値範囲は、「~」の前後に記載される数値を下限値および上限値として含む範囲を意味する。
[変性ポリマー]
本発明の変性ポリマーは、スチレン-共役ジエン共重合体(A)を、ニトロン化合物(B)によって変性することで得られる変性ポリマーである。ここで、上記スチレン-共役ジエン共重合体(A)中のスチレン単位の含有量は、10質量%以上であり、上記スチレン-共役ジエン共重合体(A)に含まれる全ての二重結合のうちビニル結合が占める割合は、5mol%以上である。
本発明の変性ポリマーはこのような構成をとるため、ゴム組成物としたときの発熱性が変性により大幅に低減されたものになると考えられる。その理由は明らかではないが、およそ以下のとおりと推測される。
本発明の変性ポリマーは、スチレン-共役ジエン共重合体(A)を、ニトロン化合物(B)によって変性することで得られる変性ポリマーである。ここで、上記スチレン-共役ジエン共重合体(A)中のスチレン単位の含有量は、10質量%以上であり、上記スチレン-共役ジエン共重合体(A)に含まれる全ての二重結合のうちビニル結合が占める割合は、5mol%以上である。
本発明の変性ポリマーはこのような構成をとるため、ゴム組成物としたときの発熱性が変性により大幅に低減されたものになると考えられる。その理由は明らかではないが、およそ以下のとおりと推測される。
上述のとおり、本発明の変性ポリマーでは、ニトロン化合物(B)で変性するポリマーとして特定の構造を有するスチレン-共役ジエン共重合体を使用する。具体的には、スチレン単位の含有量が10質量%以上であり、また、全ての二重結合のうちビニル結合が占める割合が5mol%以上であるスチレン-共役ジエン共重合体を使用する。ここで、ビニル結合に由来する二重結合は立体障害が少ないためにニトロン化合物(B)で変性されやすい。また、スチレン単位はニトロン化合物(B)との相溶性向上に寄与する。そのため、本発明の変性ポリマーは、スチレン-共役ジエン共重合体(A)が極めて均質にニトロン化合物(B)で変性された構造を有するものと考えられる。結果として、変性による発熱性の低減効果が効率良く発揮され、ゴム組成物としたときの発熱性が変性により大幅に低減されたものになると考えられる。
このことは後述する比較例が示すように、特定の構造を有さないスチレン-共役ジエン共重合体を使用した場合(比較例1および2)には、変性による発熱性の低減が小さいことからも推測される。
このことは後述する比較例が示すように、特定の構造を有さないスチレン-共役ジエン共重合体を使用した場合(比較例1および2)には、変性による発熱性の低減が小さいことからも推測される。
本発明の変性ポリマーが、スチレンブタジエンゴムをニトロン化合物(B)で変性した変性ポリマー(スチレンブタジエンゴムが有する二重結合に対してニトロン基を有する変性剤を反応させて製造される変性ポリマー)である場合、このような変性ポリマーとブタジエンゴムとシリカとを含有するゴム組成物は、破断伸びが高く、低発熱性に優れるゴム組成物となると考えられる。
共役ジエン系ゴム(例えば、スチレンブタジエンゴム及びブタジエンゴムの配合系)にニトロン化合物(変性剤)を導入する場合、変性後の共役ジエン系ゴム(変性された、スチレンブタジエンゴム、ブタジエンゴム)はフィラー(例えばシリカ)との相互作用が増すことによって、これを含有するコンパウンドの低発熱化が優れると考えられる。
また、ブタジエンゴムは通常フィラーの取り込みが悪いが、このようなブタジエンゴムがニトロン化合物で変性される場合、ブタジエンゴムにおいてフィラーとの疑似架橋点が変性によって増加するため、破断伸びが低下する傾向が見られることを本願発明者らは見出した。
このため、フィラーの取り込みがブタジエンゴムよりも比較的多いスチレンブタジエンゴムをニトロン化合物(B)(変性剤)で変性してスチレンブタジエンゴムにおいてフィラーとの疑似架橋点を増加させ、これとブタジエンゴムを併用することによって、ブタジエンゴムにおけるフィラーとの疑似架橋点の増加を抑制して破断伸びの低下を抑制し、優れた低発熱性との両立を図ることができると考えられる。
共役ジエン系ゴム(例えば、スチレンブタジエンゴム及びブタジエンゴムの配合系)にニトロン化合物(変性剤)を導入する場合、変性後の共役ジエン系ゴム(変性された、スチレンブタジエンゴム、ブタジエンゴム)はフィラー(例えばシリカ)との相互作用が増すことによって、これを含有するコンパウンドの低発熱化が優れると考えられる。
また、ブタジエンゴムは通常フィラーの取り込みが悪いが、このようなブタジエンゴムがニトロン化合物で変性される場合、ブタジエンゴムにおいてフィラーとの疑似架橋点が変性によって増加するため、破断伸びが低下する傾向が見られることを本願発明者らは見出した。
このため、フィラーの取り込みがブタジエンゴムよりも比較的多いスチレンブタジエンゴムをニトロン化合物(B)(変性剤)で変性してスチレンブタジエンゴムにおいてフィラーとの疑似架橋点を増加させ、これとブタジエンゴムを併用することによって、ブタジエンゴムにおけるフィラーとの疑似架橋点の増加を抑制して破断伸びの低下を抑制し、優れた低発熱性との両立を図ることができると考えられる。
以下、スチレン-共役ジエン共重合体(A)、および、ニトロン化合物(B)、並びに、本発明の変性ポリマーの製造方法について詳述する。
<スチレン-共役ジエン共重合体(A)>
本発明の変性ポリマーに使用されるスチレン-共役ジエン共重合体(A)は、スチレン-共役ジエン共重合体(A)中のスチレン単位の含有量が10質量%以上であり、スチレン-共役ジエン共重合体(A)に含まれる全ての二重結合のうちビニル結合が占める割合が5mol%以上である、スチレン-共役ジエン共重合体であれば特に制限されない。
本発明の変性ポリマーに使用されるスチレン-共役ジエン共重合体(A)は、スチレン-共役ジエン共重合体(A)中のスチレン単位の含有量が10質量%以上であり、スチレン-共役ジエン共重合体(A)に含まれる全ての二重結合のうちビニル結合が占める割合が5mol%以上である、スチレン-共役ジエン共重合体であれば特に制限されない。
スチレン-共役ジエン共重合体(A)を製造する際に使用される共役ジエンは特に制限されず、その具体例としては、1,3-ブタジエン、イソプレン(2-メチル-1,3-ブタジエン)、2,3-ジメチル-1,3-ブタジエン、2-クロロ-1,3-ブタジエン、1,3-ペンタジエンなどが挙げられる。なかでも、1,3-ブタジエンが好ましい。すなわち、スチレン-共役ジエン共重合体(A)は、スチレンブタジエンゴム(SBR)であることが好ましい。
上述のとおり、スチレン-共役ジエン共重合体(A)中のスチレン単位の含有量(以下、スチレン単位含有量又はスチレン量とも言う)は10質量%以上である。なかでも、変性によるウェットグリップ性能の向上が大きくなる理由から、26質量%以上であることが好ましい。上限は特に制限されないが、80質量%以下であることが好ましく、70質量%以下であることがより好ましい。
スチレン-共役ジエン共重合体(A)中のスチレン単位の含有量(スチレン量)は、スチレン-共役ジエン共重合体(A)を構成する全構成単位中において、スチレン単位が占める割合(質量%)をいう。
本発明において、スチレン-共役ジエン共重合体(A)のミクロ構造は、JIS K 6239:2007(原料ゴム-溶液重合SBRのミクロ構造の求め方(定量))に準じて測定することができる。
本発明において、スチレン-共役ジエン共重合体(A)のミクロ構造は、JIS K 6239:2007(原料ゴム-溶液重合SBRのミクロ構造の求め方(定量))に準じて測定することができる。
上述のとおり、スチレン-共役ジエン共重合体(A)に含まれる全ての二重結合のうちビニル結合が占める割合(以下、ビニル結合量又はビニル量とも言う)は5mol%以上である。なかでも、10mol%以上であることが好ましく、20mol%以上であることがより好ましく、35mol%以上であることがさらに好ましく、変性による発熱性の低減がより大きくなる理由から、50mol%以上であることが特に好ましい。上限は特に制限されず、100mol%以下であり、80mol%以下であることが好ましい。
ここで、「スチレン-共役ジエン共重合体(A)に含まれる全ての二重結合のうちビニル結合が占める割合」とは、スチレン-共役ジエン共重合体(A)に含まれる共役ジエンに由来する全ての二重結合のうちビニル結合が占める割合(mol%)を表す。より具体的には、共役ジエンの結合様式であるシス-1,4-結合、トランス-1,4-結合および1,2-ビニル結合のうち1,2-ビニル結合が占める割合(mol%)を表す。
ここで、「スチレン-共役ジエン共重合体(A)に含まれる全ての二重結合のうちビニル結合が占める割合」とは、スチレン-共役ジエン共重合体(A)に含まれる共役ジエンに由来する全ての二重結合のうちビニル結合が占める割合(mol%)を表す。より具体的には、共役ジエンの結合様式であるシス-1,4-結合、トランス-1,4-結合および1,2-ビニル結合のうち1,2-ビニル結合が占める割合(mol%)を表す。
スチレン-共役ジエン共重合体(A)に含まれる全ての二重結合のうち1,4-結合が占める割合は特に制限されない。95mol%以下とすることができ、破断伸びが高くなり、低発熱性により優れ、強度特性に優れるという観点から、二重結合全量中の20~90モル%が好ましく、20~80モル%がより好ましく、25~65モル%であるのが更に好ましく、25~50モル%が特に好ましい。
上記スチレン-共役ジエン共重合体(A)の重量平均分子量は、取扱い性の観点から、100,000~1,500,000であることが好ましく、100,000~1,400,000であることがより好ましく、300,000~1,300,000であることが更に好ましい。スチレン-共役ジエン共重合体(A)の重量平均分子量(Mw)は、テトラヒドロフランを溶媒とするゲルパーミエーションクロマトグラフィー(GPC)により標準ポリスチレン換算により測定するものとする。
<ニトロン化合物(B)>
本発明の変性ポリマーに使用されるニトロン化合物(B)は、下記式(1)で表されるニトロン基を有する化合物であれば特に制限されない。
本発明の変性ポリマーに使用されるニトロン化合物(B)は、下記式(1)で表されるニトロン基を有する化合物であれば特に制限されない。
上記式(1)中、*は結合位置を表す。
ニトロン化合物(B)が1分子当たり有するニトロン基の数は1~3個であるのが好ましい。
ニトロン化合物(B)が1分子当たり有するニトロン基の数は1~3個であるのが好ましい。
上記ニトロン化合物(B)は、下記式(2)で表される化合物であることが好ましい。
上記式(2)中、XおよびYは、それぞれ独立に、置換基を有してもよい、脂肪族炭化水素基、芳香族炭化水素基、または、芳香族複素環基を表す。
XまたはYで表される脂肪族炭化水素基としては、例えば、アルキル基、シクロアルキル基、アルケニル基などが挙げられる。
アルキル基としては、例えば、メチル基、エチル基、n-プロピル基、イソプロピル基、n-ブチル基、イソブチル基、sec-ブチル基、tert-ブチル基、n-ペンチル基、イソペンチル基、ネオペンチル基、tert-ペンチル基、1-メチルブチル基、2-メチルブチル基、1,2-ジメチルプロピル基、n-ヘキシル基、n-ヘプチル基、n-オクチル基などが挙げられる。
なかでも、炭素数1~18のアルキル基が好ましく、炭素数1~6のアルキル基がより好ましい。
アルキル基としては、例えば、メチル基、エチル基、n-プロピル基、イソプロピル基、n-ブチル基、イソブチル基、sec-ブチル基、tert-ブチル基、n-ペンチル基、イソペンチル基、ネオペンチル基、tert-ペンチル基、1-メチルブチル基、2-メチルブチル基、1,2-ジメチルプロピル基、n-ヘキシル基、n-ヘプチル基、n-オクチル基などが挙げられる。
なかでも、炭素数1~18のアルキル基が好ましく、炭素数1~6のアルキル基がより好ましい。
シクロアルキル基としては、例えば、シクロプロピル基、シクロブチル基、シクロペンチル基、シクロヘキシル基などが挙げられる。
なかでも、炭素数3~10のシクロアルキル基が好ましく、炭素数3~6のシクロアルキル基がより好ましい。
なかでも、炭素数3~10のシクロアルキル基が好ましく、炭素数3~6のシクロアルキル基がより好ましい。
アルケニル基としては、例えば、ビニル基、1-プロペニル基、アリル基、イソプロペニル基、1-ブテニル基、2-ブテニル基などが挙げられる。
なかでも、炭素数2~18のアルケニル基が好ましく、炭素数2~6のアルケニル基がより好ましい。
なかでも、炭素数2~18のアルケニル基が好ましく、炭素数2~6のアルケニル基がより好ましい。
XまたはYで表される芳香族炭化水素基としては、例えば、アリール基、アラルキル基などが挙げられる。
アリール基としては、例えば、フェニル基、ナフチル基、アントリル基、フェナントリル基、ビフェニル基などが挙げられる。なかでも、炭素数6~14のアリール基が好ましく、炭素数6~10のアリール基がより好ましく、フェニル基、ナフチル基がさらに好ましい。
アラルキル基としては、例えば、ベンジル基、フェネチル基、フェニルプロピル基などが挙げられる。なかでも、炭素数7~13のアラルキル基が好ましく、炭素数7~11のアラルキル基がより好ましく、ベンジル基がさらに好ましい。
アリール基としては、例えば、フェニル基、ナフチル基、アントリル基、フェナントリル基、ビフェニル基などが挙げられる。なかでも、炭素数6~14のアリール基が好ましく、炭素数6~10のアリール基がより好ましく、フェニル基、ナフチル基がさらに好ましい。
アラルキル基としては、例えば、ベンジル基、フェネチル基、フェニルプロピル基などが挙げられる。なかでも、炭素数7~13のアラルキル基が好ましく、炭素数7~11のアラルキル基がより好ましく、ベンジル基がさらに好ましい。
XまたはYで表される芳香族複素環基としては、例えば、ピロリル基、フリル基、チエニル基、ピラゾリル基、イミダゾリル基(イミダゾール基)、オキサゾリル基、イソオキサゾリル基、チアゾリル基、イソチアゾリル基、ピリジル基(ピリジン基)、フラン基、チオフェン基、ピリダジニル基、ピリミジニル基、ピラジニル基等が挙げられる。なかでも、ピリジル基が好ましい。
XまたはYで表される基が有してもよい置換基としては、特に限定されず、例えば、炭素数1~4のアルキル基、ヒドロキシ基、アミノ基、ニトロ基、カルボキシ基、スルホニル基、アルコキシ基、ハロゲン原子などが挙げられる。なかでも、カルボキシ基が好ましい。置換基は、脂肪族炭化水素基、芳香族炭化水素基、または、芳香族複素環基に直接又は有機基を介して結合することができる。有機基は特に制限されない。
なお、このような置換基を有する芳香族炭化水素基としては、例えば、トリル基、キシリル基などの、アルキル基を有するアリール基;カルボキシフェニル基のような、カルボキシ基を有するアリール基;メチルベンジル基、エチルベンジル基、メチルフェネチル基などの、置換基を有するアラルキル基等が挙げられる。
なお、このような置換基を有する芳香族炭化水素基としては、例えば、トリル基、キシリル基などの、アルキル基を有するアリール基;カルボキシフェニル基のような、カルボキシ基を有するアリール基;メチルベンジル基、エチルベンジル基、メチルフェネチル基などの、置換基を有するアラルキル基等が挙げられる。
上記式(2)で表される化合物は、下記式(3)で表される化合物であることが好ましい。
ニトロン化合物(B)は、更に置換基としてカルボキシ基を有する化合物であるのが好ましい。
ニトロン化合物(B)が1分子当たり有するカルボキシ基の数は1個以上であるのが好ましく、10個以下とすることができ、1~4個であるのがより好ましく、1~2個であるのがさらに好ましい。
更にカルボキシ基を有するニトロン化合物は、スチレン-共重合体共重合ゴム(例えば、スチレンブタジエンゴム)との相溶性、反応性に優れ、破断伸びが高く、低発熱性により優れるという観点から、下記式(3)で表される化合物(カルボキシニトロン)であることが好ましい。
ニトロン化合物(B)が1分子当たり有するカルボキシ基の数は1個以上であるのが好ましく、10個以下とすることができ、1~4個であるのがより好ましく、1~2個であるのがさらに好ましい。
更にカルボキシ基を有するニトロン化合物は、スチレン-共重合体共重合ゴム(例えば、スチレンブタジエンゴム)との相溶性、反応性に優れ、破断伸びが高く、低発熱性により優れるという観点から、下記式(3)で表される化合物(カルボキシニトロン)であることが好ましい。
式(3)中、mおよびnは、それぞれ独立に、0~5の整数を示し、mとnとの合計が1以上である。
mが示す整数としては、ニトロン化合物(B)を合成する際の溶媒への溶解度が良好になり合成が容易になるという理由から、0~2の整数が好ましく、0~1の整数がより好ましい。
nが示す整数としては、ニトロン化合物(B)を合成する際の溶媒への溶解度が良好になり合成が容易になるという理由から、0~2の整数が好ましく、0~1の整数がより好ましい。
また、mとnとの合計(m+n)は、1~4が好ましく、1~2がより好ましい。
mが示す整数としては、ニトロン化合物(B)を合成する際の溶媒への溶解度が良好になり合成が容易になるという理由から、0~2の整数が好ましく、0~1の整数がより好ましい。
nが示す整数としては、ニトロン化合物(B)を合成する際の溶媒への溶解度が良好になり合成が容易になるという理由から、0~2の整数が好ましく、0~1の整数がより好ましい。
また、mとnとの合計(m+n)は、1~4が好ましく、1~2がより好ましい。
このような式(3)で表されるカルボキシニトロンとしては特に制限されないが、下記式(3-1)で表されるN-フェニル-α-(4-カルボキシフェニル)ニトロン、下記式(3-2)で表されるN-フェニル-α-(3-カルボキシフェニル)ニトロン、下記式(3-3)で表されるN-フェニル-α-(2-カルボキシフェニル)ニトロン、下記式(3-4)で表されるN-(4-カルボキシフェニル)-α-フェニルニトロン、下記式(3-5)で表されるN-(3-カルボキシフェニル)-α-フェニルニトロン、および、下記式(3-6)で表されるN-(2-カルボキシフェニル)-α-フェニルニトロンからなる群より選択される少なくとも1種の化合物であることが好ましい。
ニトロン化合物(B)の合成方法は特に限定されず、従来公知の方法を用いることができる。例えば、ヒドロキシアミノ基(-NHOH)を有する化合物と、アルデヒド基(-CHO)を有する化合物とを、ヒドロキシアミノ基とアルデヒド基とのモル比(-NHOH/-CHO)が1.0~1.5となる量で、有機溶媒(例えば、メタノール、エタノール、テトラヒドロフラン等)下で、室温で1~24時間撹拌することにより、両基が反応し、ニトロン基を有するニトロンを製造することができる。ニトロン化合物(B)が更にカルボキシ基等を有する場合、ヒドロキシアミノ基を有する化合物と、アルデヒド基を有する化合物とのいずれか一方又は両方がカルボキシ基等を有すればよい。
<変性ポリマーの製造方法>
本発明の変性ポリマーの製造方法としては特に制限されないが、上述したスチレン-共役ジエン共重合体(A)とニトロン化合物(B)とを、例えば100~200℃で1~30分間混合する方法が挙げられる。
このとき、下記式(4)または下記式(5)に示すように、上記スチレン-共役ジエン共重合体(A)が有する共役ジエンに由来する二重結合とニトロン化合物(B)が有するニトロン基との間で、環化付加反応が起こり、五員環を与える。なお、下記式(4)は1,4-結合とニトロン化合物との反応を表し、下記式(5)は1,2-ビニル結合とニトロン化合物との反応を表す。
本発明の変性ポリマーの製造方法としては特に制限されないが、上述したスチレン-共役ジエン共重合体(A)とニトロン化合物(B)とを、例えば100~200℃で1~30分間混合する方法が挙げられる。
このとき、下記式(4)または下記式(5)に示すように、上記スチレン-共役ジエン共重合体(A)が有する共役ジエンに由来する二重結合とニトロン化合物(B)が有するニトロン基との間で、環化付加反応が起こり、五員環を与える。なお、下記式(4)は1,4-結合とニトロン化合物との反応を表し、下記式(5)は1,2-ビニル結合とニトロン化合物との反応を表す。
上記スチレン-共役ジエン共重合体(A)に反応させるニトロン化合物(B)の量は、上記スチレン-共役ジエン共重合体(A)100質量部に対して、0.1~10質量部が好ましく0.3~5質量部がより好ましい。
また、変性ポリマーを製造する際に使用されるニトロン化合物(B)の量は、破断伸びが高くなり、低発熱性により優れ、取り扱い性に優れるという観点から、上記スチレン-共役ジエン共重合体(A)(例えば、スチレンブタジエンゴム)が有する二重結合の0.01~2.0モル%とすることができ、0.02~1.5モル%であるのが好ましい。
本発明の変性ポリマーの変性率は特に制限されないが、0.10mol%以上であることが好ましく、変性による発熱性の低減がより大きくなる理由から、0.20mol%以上であることがより好ましい。変性率の上限は特に制限されないが、3.0mol%以下であることが好ましく、2.0mol%以下であることがより好ましい。
ここで、変性率とは、上記スチレン-共役ジエン共重合体(A)が有する共役ジエンに由来する全ての二重結合のうち、ニトロン化合物(B)によって変性された割合(mol%)を表し、より具体的には、ニトロン化合物(B)による変性によって上記式(4)または上記式(5)の構造が形成された割合(mol%)を表す。変性率は、例えば、上記スチレン-共役ジエン共重合体(A)および変性ポリマー(すなわち、変性前後のポリマー)のNMR測定を行うことで求めることができる。
ここで、変性率とは、上記スチレン-共役ジエン共重合体(A)が有する共役ジエンに由来する全ての二重結合のうち、ニトロン化合物(B)によって変性された割合(mol%)を表し、より具体的には、ニトロン化合物(B)による変性によって上記式(4)または上記式(5)の構造が形成された割合(mol%)を表す。変性率は、例えば、上記スチレン-共役ジエン共重合体(A)および変性ポリマー(すなわち、変性前後のポリマー)のNMR測定を行うことで求めることができる。
[ゴム組成物]
本発明のゴム組成物(以下、本発明の組成物とも言う)は、本発明の変性ポリマーを含有するゴム組成物である。
本発明のゴム組成物(以下、本発明の組成物とも言う)は、本発明の変性ポリマーを含有するゴム組成物である。
本発明の変性ポリマーについては上述のとおりである。変性ポリマーはそれぞれ単独でまたは2種以上を組み合わせて使用することができる。
本発明の組成物が変性ポリマー以外のジエン系ゴム(以下変性ポリマー以外のジエン系ゴムを単にジエン系ゴムということがある。)を含有する場合、変性ポリマー以外のジエン系ゴムと本発明の変性ポリマーとの合計に対する変性ポリマーの含有量は特に制限されないが、10~100質量%であることが好ましく、100質量%未満とすることでき、10~60質量%であることがより好ましい。なお、上記変性ポリマーの上記含有量が100質量%である場合、本発明の組成物は変性ポリマー以外のジエン系ゴム(以下変性ポリマー以外のジエン系ゴムを単にジエン系ゴムということがある。)を含有しない。
本発明の組成物が変性ポリマー以外のジエン系ゴム(以下変性ポリマー以外のジエン系ゴムを単にジエン系ゴムということがある。)を含有する場合、変性ポリマー以外のジエン系ゴムと本発明の変性ポリマーとの合計に対する変性ポリマーの含有量は特に制限されないが、10~100質量%であることが好ましく、100質量%未満とすることでき、10~60質量%であることがより好ましい。なお、上記変性ポリマーの上記含有量が100質量%である場合、本発明の組成物は変性ポリマー以外のジエン系ゴム(以下変性ポリマー以外のジエン系ゴムを単にジエン系ゴムということがある。)を含有しない。
本発明の組成物は、その効果や目的を損なわない範囲で本発明の変性ポリマー以外の成分を更に含有してもよい。そのような成分としては、本発明の変性ポリマー以外のジエン系ゴム;シリカ、カーボンブラック、シランカップリング剤(例えば、エボニックデグサ社製Si69、エボニックデグサ社製Si363)、酸化亜鉛(亜鉛華)、ステアリン酸、老化防止剤、加工助剤、オイル、液状ポリマー、ワックス、テルペン樹脂、熱硬化性樹脂、加硫剤(例えば、硫黄)、加硫促進剤などのゴム組成物に一般的に使用される各種添加剤が挙げられる。
<ジエン系ゴム>
本発明の組成物は、上述した変性ポリマー以外のジエン系ゴムをさらに含有するのが好ましい。
上記ジエン系ゴムは特に限定されず、その具体例としては、天然ゴム(NR)、イソプレンゴム(IR)、ブタジエンゴム(BR)、芳香族ビニル-共役ジエン共重合体ゴム、アクリロニトリル-ブタジエン共重合ゴム(NBR)、ブチルゴム(IIR)、ハロゲン化ブチルゴム(Br-IIR、Cl-IIR)、クロロプレンゴム(CR)などが挙げられる。上記ジエン系ゴム(A)は、1種のジエン系ゴムを単独で用いても、2種以上のジエン系ゴムを併用してもよい。
本発明の組成物は、上述した変性ポリマー以外のジエン系ゴムをさらに含有するのが好ましい。
上記ジエン系ゴムは特に限定されず、その具体例としては、天然ゴム(NR)、イソプレンゴム(IR)、ブタジエンゴム(BR)、芳香族ビニル-共役ジエン共重合体ゴム、アクリロニトリル-ブタジエン共重合ゴム(NBR)、ブチルゴム(IIR)、ハロゲン化ブチルゴム(Br-IIR、Cl-IIR)、クロロプレンゴム(CR)などが挙げられる。上記ジエン系ゴム(A)は、1種のジエン系ゴムを単独で用いても、2種以上のジエン系ゴムを併用してもよい。
変性ポリマー以外のジエン系ゴムは、ブタジエンゴム、芳香族ビニル-共役ジエン共重合体及び天然ゴムからなる群から選ばれる少なくとも1種であるのが好ましい。
本発明のゴム組成物は、変性ポリマー及びブタジエンゴムを含有するのが好ましい態様の1つとして挙げられる。
また、本発明のゴム組成物は、変性ポリマー、ブタジエンゴム、並びに、芳香族ビニル-共役ジエン共重合体及び/又は天然ゴムを含有するのが好ましい態様の1つとして挙げられる。
本発明のゴム組成物は、変性ポリマー及びブタジエンゴムを含有するのが好ましい態様の1つとして挙げられる。
また、本発明のゴム組成物は、変性ポリマー、ブタジエンゴム、並びに、芳香族ビニル-共役ジエン共重合体及び/又は天然ゴムを含有するのが好ましい態様の1つとして挙げられる。
(ブタジエンゴム)
ブタジエンゴムについて以下に説明する。本発明のゴム組成物が変性ポリマー以外のジエン系ゴムとしてさらに含有することができるブタジエンゴムは特に制限されない。例えば従来公知のものが挙げられる。
ブタジエンゴムの重量平均分子量は、取扱い性の観点から、100、000~1,000,000であることが好ましく、300,000~800,000であることがより好ましい。ブタジエンゴムの重量平均分子量(Mw)は、テトラヒドロフランを溶媒とするゲルパーミエーションクロマトグラフィー(GPC)により標準ポリスチレン換算により測定するものとする。
ブタジエンゴムはその製造について特に制限されない。例えば従来公知のものが挙げられる。ブタジエンゴムはそれぞれ単独でまたは2種以上を組み合わせて使用することができる。
なお、ブタジエンゴムは上記のニトロン化合物(B)によって変性されていないものであるのが好ましい態様の1つとして挙げられる。
ブタジエンゴムについて以下に説明する。本発明のゴム組成物が変性ポリマー以外のジエン系ゴムとしてさらに含有することができるブタジエンゴムは特に制限されない。例えば従来公知のものが挙げられる。
ブタジエンゴムの重量平均分子量は、取扱い性の観点から、100、000~1,000,000であることが好ましく、300,000~800,000であることがより好ましい。ブタジエンゴムの重量平均分子量(Mw)は、テトラヒドロフランを溶媒とするゲルパーミエーションクロマトグラフィー(GPC)により標準ポリスチレン換算により測定するものとする。
ブタジエンゴムはその製造について特に制限されない。例えば従来公知のものが挙げられる。ブタジエンゴムはそれぞれ単独でまたは2種以上を組み合わせて使用することができる。
なお、ブタジエンゴムは上記のニトロン化合物(B)によって変性されていないものであるのが好ましい態様の1つとして挙げられる。
本発明において、変性ポリマーとブタジエンゴムの質量比(変性ポリマー/ブタジエンゴム)は、破断伸びが高くなり、低発熱性により優れ、取り扱い性に優れるという観点から、95/5~68/32であるのが好ましく、90/10~70/30がより好ましい。
(天然ゴム)
天然ゴムについて以下に説明する。本発明のゴム組成物が変性ポリマー以外のジエン系ゴムとしてさらに含有することができる天然ゴムは特に制限されない。例えば従来公知のものが挙げられる。
ブタジエンゴムと天然ゴムの質量比(ブタジエンゴム/天然ゴム)は、破断伸びが高くなり、低発熱性により優れ、取り扱い性に優れるという観点から、20/80~70/30が好ましく、20/80~60/40がより好ましい。
天然ゴムについて以下に説明する。本発明のゴム組成物が変性ポリマー以外のジエン系ゴムとしてさらに含有することができる天然ゴムは特に制限されない。例えば従来公知のものが挙げられる。
ブタジエンゴムと天然ゴムの質量比(ブタジエンゴム/天然ゴム)は、破断伸びが高くなり、低発熱性により優れ、取り扱い性に優れるという観点から、20/80~70/30が好ましく、20/80~60/40がより好ましい。
(芳香族ビニル-共役ジエン共重合体ゴム)
芳香族ビニル-共役ジエン共重合体ゴムについて以下に説明する。本発明のゴム組成物が変性ポリマー以外のジエン系ゴムとしてさらに含有することができる特に制限されない。
本発明において、上記ジエン系ゴムとしては、得られるタイヤの耐摩耗性の観点から、芳香族ビニル-共役ジエン共重合体ゴムを用いることが好ましく、芳香族ビニル-共役ジエン共重合体とともにブタジエンゴム(BR)を併用することがより好ましい。
また、上記芳香族ビニル-共役ジエン共重合体ゴムとしては、例えば、スチレン-ブタジエン共重合体ゴム(スチレンブタジエンゴム、SBR)、スチレン-イソプレン共重合体ゴムなどが挙げられる。なかでも、得られるタイヤの耐摩耗性に優れ、破断伸びが高くなり、低発熱性により優れる観点から、スチレン-ブタジエン共重合体ゴム(SBR)であることが好ましい。スチレンブタジエンゴムは、例えば、上記変性ポリマーを製造する際に使用されるスチレンブタジエンゴムと同様のものであってもよい。
芳香族ビニル-共役ジエン共重合体ゴムについて以下に説明する。本発明のゴム組成物が変性ポリマー以外のジエン系ゴムとしてさらに含有することができる特に制限されない。
本発明において、上記ジエン系ゴムとしては、得られるタイヤの耐摩耗性の観点から、芳香族ビニル-共役ジエン共重合体ゴムを用いることが好ましく、芳香族ビニル-共役ジエン共重合体とともにブタジエンゴム(BR)を併用することがより好ましい。
また、上記芳香族ビニル-共役ジエン共重合体ゴムとしては、例えば、スチレン-ブタジエン共重合体ゴム(スチレンブタジエンゴム、SBR)、スチレン-イソプレン共重合体ゴムなどが挙げられる。なかでも、得られるタイヤの耐摩耗性に優れ、破断伸びが高くなり、低発熱性により優れる観点から、スチレン-ブタジエン共重合体ゴム(SBR)であることが好ましい。スチレンブタジエンゴムは、例えば、上記変性ポリマーを製造する際に使用されるスチレンブタジエンゴムと同様のものであってもよい。
上記芳香族ビニル-共役ジエン共重合体中の芳香族ビニル単位含有量は、得られるタイヤの耐摩耗性と靭性のバランスの観点から、20~80質量%であることが好ましく、26~70質量%であることがより好ましい。
また、上記芳香族ビニル-共役ジエン共重合体に含まれる全ての二重結合のうちビニル結合が占める割合は、20~80mol%であることが好ましく、25~65mol%であることがより好ましい。ここで、ビニル結合の割合とは、芳香族ビニル-共役ジエン共重合体に含まれる共役ジエンに由来する全ての二重結合のうちビニル結合が占める割合(mol%)を表し、より具体的には、共役ジエンの結合様式であるシス-1,4-結合、トランス-1,4-結合および1,2-ビニル結合のうち1,2-ビニル結合が占める割合を表す。
また、上記芳香族ビニル-共役ジエン共重合体に含まれる全ての二重結合のうちビニル結合が占める割合は、20~80mol%であることが好ましく、25~65mol%であることがより好ましい。ここで、ビニル結合の割合とは、芳香族ビニル-共役ジエン共重合体に含まれる共役ジエンに由来する全ての二重結合のうちビニル結合が占める割合(mol%)を表し、より具体的には、共役ジエンの結合様式であるシス-1,4-結合、トランス-1,4-結合および1,2-ビニル結合のうち1,2-ビニル結合が占める割合を表す。
上記芳香族ビニル-共役ジエン共重合体の重量平均分子量は、加工性と得られるタイヤの靭性とのバランスの観点から、100,000~1,500,000であることが好ましく、100,000~1,400,000であることがより好ましく、600,000~1,300,000であることがさらに好ましい。重量平均分子量の測定方法は上述したスチレン-共役ジエン共重合体(A)と同じである。
上記芳香族ビニル-共役ジエン共重合体は、その製造方法について特に限定されず、従来公知の方法で製造することができる。
また、上記芳香族ビニル-共役ジエン共重合体を製造する際に使用される単量体としての、芳香族ビニルおよび共役ジエンは特に限定されない。
共役ジエン単量体の具体例は、上述したスチレン-共役ジエン共重合体(A)と同じである。
また、芳香族ビニル単量体としては、例えば、スチレン、2-メチルスチレン、3-メチルスチレン、4-メチルスチレン、α-メチルスチレン、2,4-ジメチルスチレン、2,4-ジイソプロピルスチレン、4-tert-ブチルスチレン、ジビニルベンゼン、tert-ブトキシスチレン、ビニルベンジルジメチルアミン、(4-ビニルベンジル)ジメチルアミノエチルエーテル、N,N-ジメチルアミノエチルスチレン、ビニルピリジンなどが挙げられる。
また、上記芳香族ビニル-共役ジエン共重合体を製造する際に使用される単量体としての、芳香族ビニルおよび共役ジエンは特に限定されない。
共役ジエン単量体の具体例は、上述したスチレン-共役ジエン共重合体(A)と同じである。
また、芳香族ビニル単量体としては、例えば、スチレン、2-メチルスチレン、3-メチルスチレン、4-メチルスチレン、α-メチルスチレン、2,4-ジメチルスチレン、2,4-ジイソプロピルスチレン、4-tert-ブチルスチレン、ジビニルベンゼン、tert-ブトキシスチレン、ビニルベンジルジメチルアミン、(4-ビニルベンジル)ジメチルアミノエチルエーテル、N,N-ジメチルアミノエチルスチレン、ビニルピリジンなどが挙げられる。
本発明において、上記芳香族ビニル-共役ジエン共重合体を用いる場合の含有量は特に制限されないが、得られるタイヤの耐摩耗性の観点から、ジエン系ゴムと上述した変性ポリマーとの合計に対して、0~90質量%であることが好ましく、40~90質量%であることがより好ましい。
また、上記芳香族ビニル-共役ジエン共重合体とともに上記ブタジエンゴム(BR)を併用する場合、上記ブタジエンゴム(BR)の含有量は特に制限されないが、ジエン系ゴムと上述した変性ポリマーとの合計に対して、10~50質量%であることが好ましく、20~40質量%であることがより好ましい。
また、上記芳香族ビニル-共役ジエン共重合体とともに上記ブタジエンゴム(BR)を併用する場合、上記ブタジエンゴム(BR)の含有量は特に制限されないが、ジエン系ゴムと上述した変性ポリマーとの合計に対して、10~50質量%であることが好ましく、20~40質量%であることがより好ましい。
本発明において、変性ポリマーと芳香族ビニル-共役ジエン共重合体の質量比(変性ポリマー/芳香族ビニル-共役ジエン共重合体)は、破断伸びが高くなり、低発熱性により優れ、取り扱い性に優れるという観点から、100/0~10/90が好ましく、100/0~40/60より好ましい。
また、変性ポリマーと芳香族ビニル-共役ジエン共重合体の質量比(変性ポリマー/芳香族ビニル-共役ジエン共重合体)は、上記と同様の理由から、(10以上)/(90以下)が好ましく(この場合上記質量比は(10/90)以上となる。)、(40以上)/(60以下)がより好ましい(この場合上記質量比は(40/60)以上となる)。当該質量比の上限は100未満とすることができる。
また、変性ポリマーと芳香族ビニル-共役ジエン共重合体の質量比(変性ポリマー/芳香族ビニル-共役ジエン共重合体)は、上記と同様の理由から、(10以上)/(90以下)が好ましく(この場合上記質量比は(10/90)以上となる。)、(40以上)/(60以下)がより好ましい(この場合上記質量比は(40/60)以上となる)。当該質量比の上限は100未満とすることができる。
本発明のゴム組成物が変性ポリマーと、ブタジエンゴム、天然ゴム及び芳香族ビニル-共役ジエン共重合体ゴムからなる群から選ばれる少なくとも1種とを含有する場合、変性ポリマーの量は、破断伸びが高くなり、低発熱性により優れ、取り扱い性に優れるという観点から、変性ポリマーと変性ポリマー以外のジエン系ゴムとの合計100質量部に対して、10質量部以上が好ましく、30~80質量部であるのがより好ましく、50~80質量部であるのが更に好ましい。
また、本発明のゴム組成物が、変性ポリマー、ブタジエンゴム、並びに、天然ゴム及び/又は芳香族ビニル-共役ジエン共重合体ゴムを含む場合、変性ポリマーの量は、破断伸びが高くなり、低発熱性により優れ、取り扱い性に優れるという観点から、変性ポリマーと変性ポリマー以外のジエン系ゴムとの合計100質量部に対して、10質量部以上が好ましく、30~80質量部であるのがより好ましく、50~80質量部であるのが更に好ましい。
変性ポリマーに導入されたニトロン化合物(B)の量は、破断伸びが高くなり、低発熱性により優れ、取り扱いに優れるという観点から、変性ポリマーと変性ポリマー以外のジエン系ゴムとの合計100質量部に対して、0.1質量部以上10質量部以下が好ましく、0.1~5.0質量部であるのがより好ましい。
変性ポリマーはそれぞれ単独でまたは2種以上を組み合わせて使用することができる。
変性ポリマーはそれぞれ単独でまたは2種以上を組み合わせて使用することができる。
<シリカ>
本発明の組成物はシリカを更に含有するのが好ましい。
上記シリカは特に制限されないが、タイヤ等の用途でゴム組成物に配合されている従来公知の任意のシリカを用いることができる。
シリカの具体例としては、例えば、湿式シリカ、乾式シリカ、ヒュームドシリカ、珪藻土などが挙げられる。上記シリカは、1種のシリカを単独で用いても、2種以上のシリカを併用してもよい。
本発明において、上記シリカは、ゴムの補強性の観点から、湿式シリカであることが好ましい。
本発明の組成物はシリカを更に含有するのが好ましい。
上記シリカは特に制限されないが、タイヤ等の用途でゴム組成物に配合されている従来公知の任意のシリカを用いることができる。
シリカの具体例としては、例えば、湿式シリカ、乾式シリカ、ヒュームドシリカ、珪藻土などが挙げられる。上記シリカは、1種のシリカを単独で用いても、2種以上のシリカを併用してもよい。
本発明において、上記シリカは、ゴムの補強性の観点から、湿式シリカであることが好ましい。
上記シリカの含有量は特に制限されないが、上記変性ポリマーと上記ジエン系ゴム(変性ポリマー以外のジエン系ゴム)との合計100質量部(なお本発明の組成物が変性ポリマー以外のジエン系ゴムを含有しない場合、基準となる上記100質量部は変性ポリマー100質量部となる。以下同様。)に対して、8~130質量部であることが好ましく、20~100質量部であることがより好ましく、25~95質量部であることがさらに好ましい。
<カーボンブラック>
本発明の組成物はカーボンブラックを更に含有するのが好ましい。
上記カーボンブラックは、特に限定されず、例えば、SAF-HS、SAF、ISAF-HS、ISAF、ISAF-LS、IISAF-HS、HAF-HS、HAF、HAF-LS、FEF等の各種グレードのものを使用することができる。
本発明の組成物はカーボンブラックを更に含有するのが好ましい。
上記カーボンブラックは、特に限定されず、例えば、SAF-HS、SAF、ISAF-HS、ISAF、ISAF-LS、IISAF-HS、HAF-HS、HAF、HAF-LS、FEF等の各種グレードのものを使用することができる。
上記カーボンブラックの含有量は特に制限されないが、上記変性ポリマーと上記ジエン系ゴムとの合計100質量部に対して、1~100質量部であることが好ましく、3~60質量部であることがより好ましい。
<ゴム組成物の製造方法>
本発明の組成物の製造方法は特に限定されず、その具体例としては、例えば、上述した各成分を、公知の方法、装置(例えば、バンバリーミキサー、ニーダー、ロールなど)を用いて、混練する方法などが挙げられる。本発明の組成物が硫黄または加硫促進剤を含有する場合は、硫黄および加硫促進剤以外の成分を先に混合し(例えば、60~160℃で混合し)、冷却してから、硫黄または加硫促進剤を更に混合するのが好ましい。
また、本発明の組成物は、従来公知の加硫または架橋条件で加硫または架橋することができる。
本発明の組成物の製造方法は特に限定されず、その具体例としては、例えば、上述した各成分を、公知の方法、装置(例えば、バンバリーミキサー、ニーダー、ロールなど)を用いて、混練する方法などが挙げられる。本発明の組成物が硫黄または加硫促進剤を含有する場合は、硫黄および加硫促進剤以外の成分を先に混合し(例えば、60~160℃で混合し)、冷却してから、硫黄または加硫促進剤を更に混合するのが好ましい。
また、本発明の組成物は、従来公知の加硫または架橋条件で加硫または架橋することができる。
[空気入りタイヤ]
本発明の空気入りタイヤは、上述した本発明の組成物を使用した空気入りタイヤである。なかでも、本発明の組成物をタイヤトレッドに使用した空気入りタイヤであることが好ましい。
図1に、本発明の空気入りタイヤの実施態様の一例を表すタイヤの部分断面概略図を示すが、本発明の空気入りタイヤは図1に示す態様に限定されるものではない。
本発明の空気入りタイヤは、上述した本発明の組成物を使用した空気入りタイヤである。なかでも、本発明の組成物をタイヤトレッドに使用した空気入りタイヤであることが好ましい。
図1に、本発明の空気入りタイヤの実施態様の一例を表すタイヤの部分断面概略図を示すが、本発明の空気入りタイヤは図1に示す態様に限定されるものではない。
図1において、符号1はビード部を表し、符号2はサイドウォール部を表し、符号3はタイヤトレッド部を表す。
また、左右一対のビード部1間においては、繊維コードが埋設されたカーカス層4が装架されており、このカーカス層4の端部はビードコア5およびビードフィラー6の廻りにタイヤ内側から外側に折り返されて巻き上げられている。
また、タイヤトレッド3においては、カーカス層4の外側に、ベルト層7がタイヤ1周に亘って配置されている。
また、ビード部1においては、リムに接する部分にリムクッション8が配置されている。
また、左右一対のビード部1間においては、繊維コードが埋設されたカーカス層4が装架されており、このカーカス層4の端部はビードコア5およびビードフィラー6の廻りにタイヤ内側から外側に折り返されて巻き上げられている。
また、タイヤトレッド3においては、カーカス層4の外側に、ベルト層7がタイヤ1周に亘って配置されている。
また、ビード部1においては、リムに接する部分にリムクッション8が配置されている。
本発明の空気入りタイヤは、例えば、従来公知の方法に従って製造することができる。また、タイヤに充填する気体としては、通常のまたは酸素分圧を調整した空気の他、窒素、アルゴン、ヘリウムなどの不活性ガスを用いることができる。
以下、実施例により、本発明についてさらに詳細に説明するが、本発明はこれらに限定されるものではない。
[表1に示す実施例1~11、比較例1、2]
<ニトロン化合物(化合物1)の合成>
2Lナスフラスコに、40℃に温めたメタノール(900mL)を入れ、ここに、下記式(b-1)で表されるテレフタルアルデヒド酸(30.0g)を加えて溶かした。この溶液に、下記式(a-1)で表されるフェニルヒドロキシアミン(21.8g)をメタノール(100mL)に溶かしたものを加え、室温で19時間撹拌した。撹拌終了後、メタノールからの再結晶により、下記式(c-1)で表されるニトロン化合物(カルボキシニトロン、N-フェニル-α-(4-カルボキシフェニル)ニトロン、mp243℃、分子量241)を得た(41.7g)。収率は86%であった。得られたニトロン化合物を化合物1とする。
<ニトロン化合物(化合物1)の合成>
2Lナスフラスコに、40℃に温めたメタノール(900mL)を入れ、ここに、下記式(b-1)で表されるテレフタルアルデヒド酸(30.0g)を加えて溶かした。この溶液に、下記式(a-1)で表されるフェニルヒドロキシアミン(21.8g)をメタノール(100mL)に溶かしたものを加え、室温で19時間撹拌した。撹拌終了後、メタノールからの再結晶により、下記式(c-1)で表されるニトロン化合物(カルボキシニトロン、N-フェニル-α-(4-カルボキシフェニル)ニトロン、mp243℃、分子量241)を得た(41.7g)。収率は86%であった。得られたニトロン化合物を化合物1とする。
<ニトロン化合物(化合物2)の合成>
2Lナスフラスコに、40℃に温めたメタノール(900mL)を入れ、ここに、下記式(b-2)で表される2-ピリジンカルボキシアルデヒド(21.4g)を加えて溶かした。この溶液に、下記式(a-2)で表されるフェニルヒドロキシアミン(21.8g)をメタノール(100mL)に溶かしたものを加え、室温で19時間撹拌した。撹拌終了後、メタノールからの再結晶により、下記式(c-2)で表されるニトロン化合物(ピリジルニトロン)を得た(39.0g)。収率は90%であった。得られたニトロン化合物を化合物2とする。
2Lナスフラスコに、40℃に温めたメタノール(900mL)を入れ、ここに、下記式(b-2)で表される2-ピリジンカルボキシアルデヒド(21.4g)を加えて溶かした。この溶液に、下記式(a-2)で表されるフェニルヒドロキシアミン(21.8g)をメタノール(100mL)に溶かしたものを加え、室温で19時間撹拌した。撹拌終了後、メタノールからの再結晶により、下記式(c-2)で表されるニトロン化合物(ピリジルニトロン)を得た(39.0g)。収率は90%であった。得られたニトロン化合物を化合物2とする。
<ニトロン化合物(化合物3)の合成>
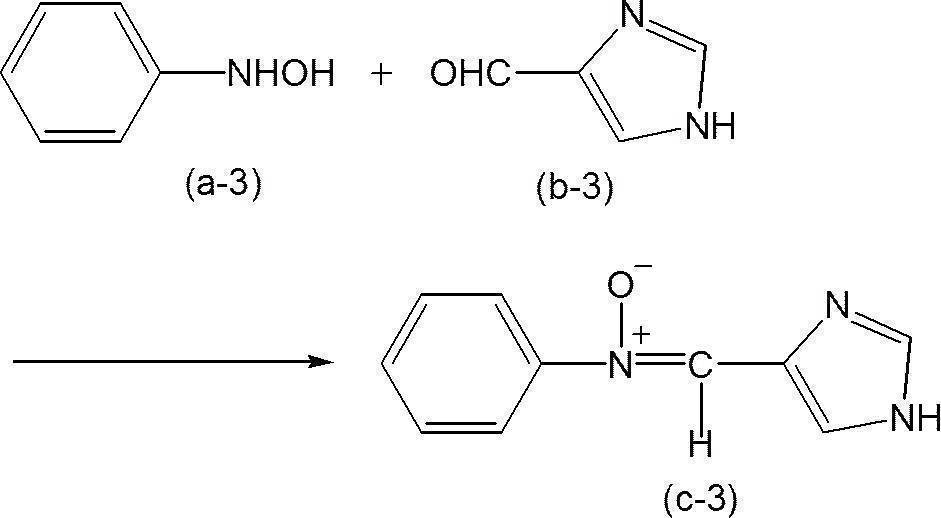
300mLナスフラスコに、下記式(b-3)で表されるイミダゾール-4-カルボキシアルデヒド(35g)およびエタノール(10mL)を入れ、ここに、下記式(a-3)で表されるフェニルヒドロキシアミン(43.65g)をエタノール(70mL)に溶かしたものを加え、室温で22時間撹拌した。撹拌終了後、エタノールからの再結晶により、下記式(c-3)で表されるニトロン化合物(イミダゾールニトロン)を得た。得られたニトロン化合物を化合物3とする。
300mLナスフラスコに、下記式(b-3)で表されるイミダゾール-4-カルボキシアルデヒド(35g)およびエタノール(10mL)を入れ、ここに、下記式(a-3)で表されるフェニルヒドロキシアミン(43.65g)をエタノール(70mL)に溶かしたものを加え、室温で22時間撹拌した。撹拌終了後、エタノールからの再結晶により、下記式(c-3)で表されるニトロン化合物(イミダゾールニトロン)を得た。得られたニトロン化合物を化合物3とする。
<変性ポリマーの製造>
下記表1に示される「変性前のSBRのスチレン単位含有量」および「変性前のSBRのビニル結合量」を有するSBR(100質量部(油展品の場合は、SBRの正味の量として100質量部))と下記表1に示されるニトロン化合物(上述のとおり合成した化合物1~3)(1質量部、実施例8のみ:7質量部、実施例9のみ:0.5質量部)とをミキサー(160℃)で5分間混合することで、SBRをニトロン化合物(B)で変性した変性ポリマー(実施例および比較例の変性ポリマー)を得た。
下記表1に示される「変性前のSBRのスチレン単位含有量」および「変性前のSBRのビニル結合量」を有するSBR(100質量部(油展品の場合は、SBRの正味の量として100質量部))と下記表1に示されるニトロン化合物(上述のとおり合成した化合物1~3)(1質量部、実施例8のみ:7質量部、実施例9のみ:0.5質量部)とをミキサー(160℃)で5分間混合することで、SBRをニトロン化合物(B)で変性した変性ポリマー(実施例および比較例の変性ポリマー)を得た。
(スチレン単位含有量)
ここで、スチレン単位含有量とは、上述した「スチレン-共役ジエン共重合体中のスチレン単位の含有量」を表す。
(ビニル結合量)
また、ビニル結合量とは、上述した「スチレン-共役ジエン共重合体に含まれる全ての二重結合のうちビニル結合が占める割合」を表す。
ここで、スチレン単位含有量とは、上述した「スチレン-共役ジエン共重合体中のスチレン単位の含有量」を表す。
(ビニル結合量)
また、ビニル結合量とは、上述した「スチレン-共役ジエン共重合体に含まれる全ての二重結合のうちビニル結合が占める割合」を表す。
(変性率)
また、得られた変性ポリマーについてNMR測定を行い、変性率を求めた。具体的には、ニトロン化合物(B)として化合物1(後述する変性剤1)を使用した例については、変性前後のポリマーについて、CDCl3を溶媒とした1H-NMR測定(CDCl3、400MHz、TMS)により、8.08ppm付近(カルボキシ基に隣接する2つのプロトンに帰属する)のピーク面積を測定し、変性率を算出した。
また、ニトロン化合物(B)として化合物2、3、後述する変性剤2を使用した例についても、それぞれピリジル基またはイミダゾリル基に由来するピーク面積を測定した以外は同様に変性率を算出した。
なお、変性後のポリマー(変性ポリマー)の1H-NMR測定は、変性後の生成物をトルエンに溶解して、メタノールに沈殿させる精製を2回繰り返した後に、減圧下で乾燥したサンプルを用いて測定した。結果を各表に示す。
また、得られた変性ポリマーについてNMR測定を行い、変性率を求めた。具体的には、ニトロン化合物(B)として化合物1(後述する変性剤1)を使用した例については、変性前後のポリマーについて、CDCl3を溶媒とした1H-NMR測定(CDCl3、400MHz、TMS)により、8.08ppm付近(カルボキシ基に隣接する2つのプロトンに帰属する)のピーク面積を測定し、変性率を算出した。
また、ニトロン化合物(B)として化合物2、3、後述する変性剤2を使用した例についても、それぞれピリジル基またはイミダゾリル基に由来するピーク面積を測定した以外は同様に変性率を算出した。
なお、変性後のポリマー(変性ポリマー)の1H-NMR測定は、変性後の生成物をトルエンに溶解して、メタノールに沈殿させる精製を2回繰り返した後に、減圧下で乾燥したサンプルを用いて測定した。結果を各表に示す。
なお、表1に示す実施例1~11で変性ポリマーの製造に用いたSBRの詳細は以下のとおりである。
・実施例1:タフデン 1000(旭化成ケミカルズ社製)
・実施例2:タフデン 2000R(旭化成ケミカルズ社製)
・実施例3:NIPOL 1502(日本ゼオン社製)
・実施例4:NIPOL NS460(日本ゼオン社製、油展品(油展量:37.5質量%))
・実施例5:NIPOL 9548(日本ゼオン社製、油展品(油展量:37.5質量%))
・実施例6:タフデン3835(旭化成ケミカルズ社製、油展品(油展量:37.5質量%))
・実施例7:NIPOL NS522(日本ゼオン社製)
・実施例8:NIPOL NS460(日本ゼオン社製、油展品(油展量:37.5質量%))
・実施例9:タフデン 1000(旭化成ケミカルズ社製)
・実施例10:タフデン3835(旭化成ケミカルズ社製、油展品(油展量:37.5質量%))
・実施例11:タフデン3835(旭化成ケミカルズ社製、油展品(油展量:37.5質量%))
・実施例1:タフデン 1000(旭化成ケミカルズ社製)
・実施例2:タフデン 2000R(旭化成ケミカルズ社製)
・実施例3:NIPOL 1502(日本ゼオン社製)
・実施例4:NIPOL NS460(日本ゼオン社製、油展品(油展量:37.5質量%))
・実施例5:NIPOL 9548(日本ゼオン社製、油展品(油展量:37.5質量%))
・実施例6:タフデン3835(旭化成ケミカルズ社製、油展品(油展量:37.5質量%))
・実施例7:NIPOL NS522(日本ゼオン社製)
・実施例8:NIPOL NS460(日本ゼオン社製、油展品(油展量:37.5質量%))
・実施例9:タフデン 1000(旭化成ケミカルズ社製)
・実施例10:タフデン3835(旭化成ケミカルズ社製、油展品(油展量:37.5質量%))
・実施例11:タフデン3835(旭化成ケミカルズ社製、油展品(油展量:37.5質量%))
<ゴム組成物の調製>
下記表1のゴム組成物の欄に示される成分を同表に示される割合(質量部)で配合した。具体的には、まず、下記表1に示す成分のうち硫黄および加硫促進剤を除く成分を、80℃のバンバリーミキサーで5分間混合し混合物を得た。次に、ロールを用いて、上記の混合物に硫黄および加硫促進剤を混合し、ゴム組成物を得た。
下記表1のゴム組成物の欄に示される成分を同表に示される割合(質量部)で配合した。具体的には、まず、下記表1に示す成分のうち硫黄および加硫促進剤を除く成分を、80℃のバンバリーミキサーで5分間混合し混合物を得た。次に、ロールを用いて、上記の混合物に硫黄および加硫促進剤を混合し、ゴム組成物を得た。
<評価用加硫ゴムシートの作製>
上記のとおり調製したゴム組成物(未加硫)を、金型(15cm×15cm×0.2cm)中、160℃で20分間プレス加硫して、評価用加硫ゴムシートを作製した。
上記のとおり調製したゴム組成物(未加硫)を、金型(15cm×15cm×0.2cm)中、160℃で20分間プレス加硫して、評価用加硫ゴムシートを作製した。
<tanδ(0℃)>
上述のとおり作製した評価用加硫ゴムシートについて、粘弾性スペクトロメーター(東洋精機製作所社製)を用いて、初期歪み10%、振幅±2%、周波数20Hzの条件下で、温度0℃の損失正接tanδ(0℃)を測定した。
結果を表1に示す。なお、結果は、各変性ポリマー(30質量部)の代わりに変性前の各SBR(30質量部)を使用した場合の値を100%とするパーセンテージで表した。
tanδ(0℃)の値が大きいほど、ウェットグリップ性能が優れる。
上述のとおり作製した評価用加硫ゴムシートについて、粘弾性スペクトロメーター(東洋精機製作所社製)を用いて、初期歪み10%、振幅±2%、周波数20Hzの条件下で、温度0℃の損失正接tanδ(0℃)を測定した。
結果を表1に示す。なお、結果は、各変性ポリマー(30質量部)の代わりに変性前の各SBR(30質量部)を使用した場合の値を100%とするパーセンテージで表した。
tanδ(0℃)の値が大きいほど、ウェットグリップ性能が優れる。
<tanδ(60℃)>
上述のとおり作製した加硫ゴムシートについて、粘弾性スペクトロメーター(東洋精機製作所社製)を用いて、初期歪み10%、振幅±2%、周波数20Hzの条件下で、温度60℃の損失正接tanδ(60℃)を測定した。
結果を表1に示す。なお、結果は、各変性ポリマー(30質量部)の代わりに変性前の各SBR(30質量部)を使用した場合の値を100%とするパーセンテージで表した。
tanδ(60℃)が小さいほど、発熱性が低く、好ましい。
上述のとおり作製した加硫ゴムシートについて、粘弾性スペクトロメーター(東洋精機製作所社製)を用いて、初期歪み10%、振幅±2%、周波数20Hzの条件下で、温度60℃の損失正接tanδ(60℃)を測定した。
結果を表1に示す。なお、結果は、各変性ポリマー(30質量部)の代わりに変性前の各SBR(30質量部)を使用した場合の値を100%とするパーセンテージで表した。
tanδ(60℃)が小さいほど、発熱性が低く、好ましい。
上記表1に示されているゴム組成物の各成分の詳細は以下のとおりである。
・BR:ブタジエンゴム(NIPOL BR 1220、日本ゼオン社製)
・SBR:スチレンブタジエンゴム(E580(旭化成ケミカルズ社製、油展品(油展量:37.5質量%))
・変性ポリマー:上述のとおり合成した各変性ポリマー(各実施例および比較例の変性ポリマー)
・シリカ:ZEOSIL 165GR(ロディアシリカコリア社製)
・カーボンブラック:ショウブラックN339(キャボットジャパン社製)
・亜鉛華:亜鉛華3号(正同化学社製)
・ステアリン酸:ステアリン酸YR(日油社製)
・老化防止剤:SANTOFLEX 6PPD(Soltia Europe社製)
・シランカップリング剤:Si69(エボニック・デグサ社製)
・プロセスオイル:エキストラクト4号S(昭和シェル石油社製)
・硫黄:油処理硫黄(軽井沢精錬所社製)
・加硫促進剤(CZ):ノクセラー CZ-G(大内振興化学工業社製)
・加硫促進剤(DPG):ソクシノール D-G:(住友化学社製)
・BR:ブタジエンゴム(NIPOL BR 1220、日本ゼオン社製)
・SBR:スチレンブタジエンゴム(E580(旭化成ケミカルズ社製、油展品(油展量:37.5質量%))
・変性ポリマー:上述のとおり合成した各変性ポリマー(各実施例および比較例の変性ポリマー)
・シリカ:ZEOSIL 165GR(ロディアシリカコリア社製)
・カーボンブラック:ショウブラックN339(キャボットジャパン社製)
・亜鉛華:亜鉛華3号(正同化学社製)
・ステアリン酸:ステアリン酸YR(日油社製)
・老化防止剤:SANTOFLEX 6PPD(Soltia Europe社製)
・シランカップリング剤:Si69(エボニック・デグサ社製)
・プロセスオイル:エキストラクト4号S(昭和シェル石油社製)
・硫黄:油処理硫黄(軽井沢精錬所社製)
・加硫促進剤(CZ):ノクセラー CZ-G(大内振興化学工業社製)
・加硫促進剤(DPG):ソクシノール D-G:(住友化学社製)
<表1の実施例1~11について>
表1から分かるように、変性するポリマーとして特定の構造(スチレン単位含有量、ビニル結合の割合)を有するスチレン-共役ジエン共重合体を使用した実施例1~11は、いずれも変性により発熱性が大幅に低減されていた。
実施例1~9の対比から、変性ポリマーの変性率が0.20mol%以上である実施例1~8は、変性による発熱性の低減がより大きかった。
実施例1~8の対比から、スチレン単位含有量が26質量%以上である実施例4~8は、変性によるウェットグリップ性能の向上が大きかった。なかでも、ビニル結合の割合が50mol%以上である実施例4および8は、変性による発熱性の低減がより大きかった。
実施例6と10と11との対比から、ニトロン化合物(B)として上述した式(3)で表される化合物(カルボキシニトロン)を使用した実施例6は、変性による発熱性の低減がより大きかった。
一方、変性するポリマーとして特定の構造を有するスチレン-共役ジエン共重合体以外のスチレン-共役ジエン共重合体を使用した比較例1および2は、いずれも変性による発熱性の低減が小さかった。
表1から分かるように、変性するポリマーとして特定の構造(スチレン単位含有量、ビニル結合の割合)を有するスチレン-共役ジエン共重合体を使用した実施例1~11は、いずれも変性により発熱性が大幅に低減されていた。
実施例1~9の対比から、変性ポリマーの変性率が0.20mol%以上である実施例1~8は、変性による発熱性の低減がより大きかった。
実施例1~8の対比から、スチレン単位含有量が26質量%以上である実施例4~8は、変性によるウェットグリップ性能の向上が大きかった。なかでも、ビニル結合の割合が50mol%以上である実施例4および8は、変性による発熱性の低減がより大きかった。
実施例6と10と11との対比から、ニトロン化合物(B)として上述した式(3)で表される化合物(カルボキシニトロン)を使用した実施例6は、変性による発熱性の低減がより大きかった。
一方、変性するポリマーとして特定の構造を有するスチレン-共役ジエン共重合体以外のスチレン-共役ジエン共重合体を使用した比較例1および2は、いずれも変性による発熱性の低減が小さかった。
[表2、3に示す実施例1~11、標準例1、2]
<ニトロン化合物(B)としての変性剤1の合成>
上記のニトロン化合物(化合物1)の合成と同様にしてニトロン化合物を合成した。得られたニトロン化合物を以下変性剤1とする。
<ニトロン化合物(B)としての変性剤1の合成>
上記のニトロン化合物(化合物1)の合成と同様にしてニトロン化合物を合成した。得られたニトロン化合物を以下変性剤1とする。
<ニトロン化合物(B)としての変性剤2の合成>
塩化アンモニウム38.513g(0.72mol)を水200ml、エタノール200mlの混合溶媒に溶かし、更にニトロベンゼン123.11g(1mol)を加えた。その後、亜鉛をゆっくり、1%塩酸水溶液に投入し、水で2、3回置換した。氷浴中で冷却した状態を維持したままその亜鉛をゆっくり加えた。その後、氷浴を継続して12時間攪拌した。次に、亜鉛をろ過した後、氷浴下でろ液にp-ピリジルアルデヒド107.1g(1mol)をゆっくり添加し、さらに12時間攪拌した。反応終了後、水とエタノールを減圧留去後、エタノールから再結晶することにより、4-ピリジル-N-フェニルニトロン(淡黄色粉末個体)を得た。得られた4-ピリジル-N-フェニルニトロンを変性剤2とする。
塩化アンモニウム38.513g(0.72mol)を水200ml、エタノール200mlの混合溶媒に溶かし、更にニトロベンゼン123.11g(1mol)を加えた。その後、亜鉛をゆっくり、1%塩酸水溶液に投入し、水で2、3回置換した。氷浴中で冷却した状態を維持したままその亜鉛をゆっくり加えた。その後、氷浴を継続して12時間攪拌した。次に、亜鉛をろ過した後、氷浴下でろ液にp-ピリジルアルデヒド107.1g(1mol)をゆっくり添加し、さらに12時間攪拌した。反応終了後、水とエタノールを減圧留去後、エタノールから再結晶することにより、4-ピリジル-N-フェニルニトロン(淡黄色粉末個体)を得た。得られた4-ピリジル-N-フェニルニトロンを変性剤2とする。
<変性ポリマーの製造>
下記各表の変性ポリマーの製造の欄の原料スチレンブタジエンゴム1又は原料スチレンブタジエンゴム2と、上述のとおり合成した変性剤1又は変性剤2とを同表に示す量(質量部)で用いて、これらをミキサーで160℃の条件下で5分間混合することで、上記原料スチレンブタジエンゴムを上記変性剤で変性した変性ポリマー(変性SBR1~5、P変性ポリマー)を製造した。
下記各表の変性ポリマーの製造の欄の原料スチレンブタジエンゴム1又は原料スチレンブタジエンゴム2と、上述のとおり合成した変性剤1又は変性剤2とを同表に示す量(質量部)で用いて、これらをミキサーで160℃の条件下で5分間混合することで、上記原料スチレンブタジエンゴムを上記変性剤で変性した変性ポリマー(変性SBR1~5、P変性ポリマー)を製造した。
表2の変性ポリマーの製造の欄の原料スチレンブタジエンゴム1は、日本ゼオン社製NIPOL NS522(溶液重合スチレンブタジエンゴム、重量平均分子量1,360,000、スチレン量40質量%,ビニル(1,2単位)量41モル%,1,4単位量59モル%,37.5質量%油展)である。
表3の変性ポリマーの製造の欄の原料スチレンブタジエンゴム2は、旭化成ケミカルズ社製E580(溶液重合スチレンブタジエンゴム、重量平均分子量800,000、スチレン量37質量%,ビニル(1,2単位)量45モル%,37.5質量%油展)である。
<変性率>
上記のとおり得られた各変性ポリマーについて、上記と同様にNMR測定を行い、変性率を求めた。結果を各表に示す。
上記のとおり得られた各変性ポリマーについて、上記と同様にNMR測定を行い、変性率を求めた。結果を各表に示す。
<ゴム組成物の製造>
下記各表のゴム組成物の欄に示す成分を同表に示す割合(質量部)で配合した。具体的には、まず、下記各表に示す成分のうち硫黄および加硫促進剤を除く成分を、120℃のバンバリーミキサーで5分間混合し混合物を得た。次に、ロールを用いて、上記の混合物に硫黄および加硫促進剤を混合し、ゴム組成物を得た。
なおゴム組成物の製造に使用されたゴムが油展されたゴムである場合、下記各表において上記のゴムの量を上下2段に示した。上段の数値は油展品の量を示し、下段の数値はゴムの正味の量を示す。
また、表2、3において、「ジエン系ゴム100質量部中の・・・変性剤の量」のジエン系ゴムは、変性ポリマー及び変性ポリマー以外のジエン系ゴムを意味する。
下記各表のゴム組成物の欄に示す成分を同表に示す割合(質量部)で配合した。具体的には、まず、下記各表に示す成分のうち硫黄および加硫促進剤を除く成分を、120℃のバンバリーミキサーで5分間混合し混合物を得た。次に、ロールを用いて、上記の混合物に硫黄および加硫促進剤を混合し、ゴム組成物を得た。
なおゴム組成物の製造に使用されたゴムが油展されたゴムである場合、下記各表において上記のゴムの量を上下2段に示した。上段の数値は油展品の量を示し、下段の数値はゴムの正味の量を示す。
また、表2、3において、「ジエン系ゴム100質量部中の・・・変性剤の量」のジエン系ゴムは、変性ポリマー及び変性ポリマー以外のジエン系ゴムを意味する。
<評価用加硫ゴムシートの作製>
上記のとおり製造したゴム組成物(未加硫)を、金型(15cm×15cm×0.2cm)中、160℃で20分間プレス加硫して、評価用加硫ゴムシートを作製した。
上記のとおり製造したゴム組成物(未加硫)を、金型(15cm×15cm×0.2cm)中、160℃で20分間プレス加硫して、評価用加硫ゴムシートを作製した。
[評価]
上述のとおり製造した評価用加硫ゴムシートを用いて以下の評価を行った。結果を各表に示す。各評価の結果は、各表の標準例1又は標準例2の値を100とする指数で表す。
上述のとおり製造した評価用加硫ゴムシートを用いて以下の評価を行った。結果を各表に示す。各評価の結果は、各表の標準例1又は標準例2の値を100とする指数で表す。
<発熱性>
上述のとおり作製した評価用加硫ゴムシートについて、粘弾性スペクトロメーター(東洋精機製作所社製)を用いて、初期歪み10%、振幅±2%、周波数20Hzの条件下で、温度60℃の損失正接tanδ(60℃)を測定した。tanδ(60℃)についてはその指数が小さいほど、発熱性が低く、摩擦が低く、好ましい。
上述のとおり作製した評価用加硫ゴムシートについて、粘弾性スペクトロメーター(東洋精機製作所社製)を用いて、初期歪み10%、振幅±2%、周波数20Hzの条件下で、温度60℃の損失正接tanδ(60℃)を測定した。tanδ(60℃)についてはその指数が小さいほど、発熱性が低く、摩擦が低く、好ましい。
<破断伸び>
上述のとおり作製した評価用加硫ゴムシートについて、JIS K6251:2010に準拠し、JIS3号ダンベル型試験片を打ち抜き、室温、引張速度500mm/分の条件で、破断伸び(EB)(単位:%)を測定した。破断伸びについてはその指数が大きいほど、破断伸びが大きく、好ましい。
上述のとおり作製した評価用加硫ゴムシートについて、JIS K6251:2010に準拠し、JIS3号ダンベル型試験片を打ち抜き、室温、引張速度500mm/分の条件で、破断伸び(EB)(単位:%)を測定した。破断伸びについてはその指数が大きいほど、破断伸びが大きく、好ましい。
上記表2に示すゴム組成物の各成分の詳細は以下のとおりである。
・溶液重合SBR1:日本ゼオン社製NIPOL NS522、溶液重合スチレンブタジエンゴム、重量平均分子量1,360,000、スチレン量40質量%,ビニル量41モル%,37.5質量%油展
・溶液重合SBR2:旭化成社製、タフデン 3835、溶液重合スチレンブタジエンゴム、重量平均分子量790,000、スチレン量35質量%,ビニル量45モル%,37.5質量%油展
・BR:日本ゼオン社製NIPOL BR 1220、ブタジエンゴム、重量平均分子量600,000
・変性SBR1~4、P変性SBR:上記のとおり製造したもの
・シリカ:ロディアシリカコリア社製ZEOSIL 165GR
・カーボンブラック(カーボン):東海カーボン社製シースト9M、カーボンブラック
・加工助剤:SCHILL & SEILACHER GMBH & CO.、STRUKTOL EF44
・老化防止剤:Soltia Europe SANTOFLEX 6PPD
・ステアリン酸:日油社製ビーズステアリン酸YR
・ワックス:大内新興化学工業社製サンノック
・亜鉛華:酸化亜鉛、正同化学社製亜鉛華3号
・シランカップリング剤:エボニック・デグサ社製Si69、ビス(3-トリエトキシシリルプロピル)テトラスルフィド
・オイル:昭和シェル石油社製エキストラクト4号S
・加硫促進剤1(CZ):大内振興化学工業社製ノクセラーCZ-G
・加硫促進剤2(DPG):住友化学社製ソクシノールD-G
・硫黄:軽井沢精錬所社製油処理硫黄
・溶液重合SBR1:日本ゼオン社製NIPOL NS522、溶液重合スチレンブタジエンゴム、重量平均分子量1,360,000、スチレン量40質量%,ビニル量41モル%,37.5質量%油展
・溶液重合SBR2:旭化成社製、タフデン 3835、溶液重合スチレンブタジエンゴム、重量平均分子量790,000、スチレン量35質量%,ビニル量45モル%,37.5質量%油展
・BR:日本ゼオン社製NIPOL BR 1220、ブタジエンゴム、重量平均分子量600,000
・変性SBR1~4、P変性SBR:上記のとおり製造したもの
・シリカ:ロディアシリカコリア社製ZEOSIL 165GR
・カーボンブラック(カーボン):東海カーボン社製シースト9M、カーボンブラック
・加工助剤:SCHILL & SEILACHER GMBH & CO.、STRUKTOL EF44
・老化防止剤:Soltia Europe SANTOFLEX 6PPD
・ステアリン酸:日油社製ビーズステアリン酸YR
・ワックス:大内新興化学工業社製サンノック
・亜鉛華:酸化亜鉛、正同化学社製亜鉛華3号
・シランカップリング剤:エボニック・デグサ社製Si69、ビス(3-トリエトキシシリルプロピル)テトラスルフィド
・オイル:昭和シェル石油社製エキストラクト4号S
・加硫促進剤1(CZ):大内振興化学工業社製ノクセラーCZ-G
・加硫促進剤2(DPG):住友化学社製ソクシノールD-G
・硫黄:軽井沢精錬所社製油処理硫黄
<表2について>
表2に示す結果から明らかなように、実施例1~8は、変性ポリマーを含有しない標準例1よりも低発熱性に優れた。
また、低発熱性について実施例1~5を比較すると、変性ポリマーの変性率が高いほど低発熱性により優れた。
表2に示す結果から明らかなように、実施例1~8は、変性ポリマーを含有しない標準例1よりも低発熱性に優れた。
また、低発熱性について実施例1~5を比較すると、変性ポリマーの変性率が高いほど低発熱性により優れた。
実施例1~5は、標準例1よりも、低発熱性に優れ、かつ、破断伸びを高くすることができた。実施例2~4は高い破断強度を維持しつつ低発熱性とのバランスに優れた。
一方、ブタジエンゴムを含有しない実施例6は標準例1よりも破断伸びが低下した。
変性ポリマー/ブタジエンゴムが(95/5)を超える[(95を超え)/(5未満である)]実施例7、変性ポリマー/ブタジエンゴムが(68/32)未満である[(68未満)/(32を超える)]実施例8は標準例1よりも破断伸びが低下した。
一方、ブタジエンゴムを含有しない実施例6は標準例1よりも破断伸びが低下した。
変性ポリマー/ブタジエンゴムが(95/5)を超える[(95を超え)/(5未満である)]実施例7、変性ポリマー/ブタジエンゴムが(68/32)未満である[(68未満)/(32を超える)]実施例8は標準例1よりも破断伸びが低下した。
上記表3に示すゴム組成物の各成分の詳細は以下のとおりである。
・NR:天然ゴム TSR20
・溶液重合SBR3(St37%,37.5wt%油展):旭化成ケミカルズ社製E580、溶液重合スチレンブタジエンゴム、重量平均分子量800,000、スチレン量37質量%,37.5質量%油展
・BR:表2と同様。
・変性SBR5:上記のとおり製造したもの
・カーボンブラック(CB)から加硫促進剤2(DPG)までの各成分:加工助剤以外表2と同様。
・表3の加工助剤:Rhein Chemie (Qingdao)社製アクチプラストST
・NR:天然ゴム TSR20
・溶液重合SBR3(St37%,37.5wt%油展):旭化成ケミカルズ社製E580、溶液重合スチレンブタジエンゴム、重量平均分子量800,000、スチレン量37質量%,37.5質量%油展
・BR:表2と同様。
・変性SBR5:上記のとおり製造したもの
・カーボンブラック(CB)から加硫促進剤2(DPG)までの各成分:加工助剤以外表2と同様。
・表3の加工助剤:Rhein Chemie (Qingdao)社製アクチプラストST
<表3について>
表3に示す結果から明らかなように、実施例9~11は変性ポリマーを含有しない標準例2と比較して、低発熱性に優れた。
実施例9~11は破断伸びを標準例2よりも高くすることができた。
実施例9~11を比較すると、変性ポリマーの量が多いほど低発熱性に優れた。実施例9~10は高い破断強度を維持しつつ低発熱性とのバランスに優れた。
表3に示す結果から明らかなように、実施例9~11は変性ポリマーを含有しない標準例2と比較して、低発熱性に優れた。
実施例9~11は破断伸びを標準例2よりも高くすることができた。
実施例9~11を比較すると、変性ポリマーの量が多いほど低発熱性に優れた。実施例9~10は高い破断強度を維持しつつ低発熱性とのバランスに優れた。
1 ビード部
2 サイドウォール部
3 タイヤトレッド部
4 カーカス層
5 ビードコア
6 ビードフィラー
7 ベルト層
8 リムクッション
2 サイドウォール部
3 タイヤトレッド部
4 カーカス層
5 ビードコア
6 ビードフィラー
7 ベルト層
8 リムクッション
Claims (14)
- スチレン-共役ジエン共重合体(A)を、ニトロン化合物(B)によって変性することで得られる変性ポリマーであって、
前記スチレン-共役ジエン共重合体(A)中のスチレン単位の含有量が、10質量%以上であり、
前記スチレン-共役ジエン共重合体(A)に含まれる全ての二重結合のうちビニル結合が占める割合が、5mol%以上である、変性ポリマー。 - 前記ニトロン化合物(B)が、カルボキシ基を有する、請求項1に記載の変性ポリマー。
- 前記ニトロン化合物(B)が、N-フェニル-α-(4-カルボキシフェニル)ニトロン、N-フェニル-α-(3-カルボキシフェニル)ニトロン、N-フェニル-α-(2-カルボキシフェニル)ニトロン、N-(4-カルボキシフェニル)-α-フェニルニトロン、N-(3-カルボキシフェニル)-α-フェニルニトロンおよびN-(2-カルボキシフェニル)-α-フェニルニトロンからなる群より選択される少なくとも1種の化合物である、請求項1または2に記載の変性ポリマー。
- 前記スチレン-共役ジエン共重合体(A)が、スチレンブタジエンゴムである、請求項1~3のいずれか1項に記載の変性ポリマー。
- 請求項1~4のいずれか1項に記載の変性ポリマーを含有するゴム組成物。
- 更に、前記変性ポリマー以外のジエン系ゴムを含有する、請求項5に記載のゴム組成物。
- 前記変性ポリマー以外のジエン系ゴムが、ブタジエンゴム、芳香族ビニル-共役ジエン共重合体及び天然ゴムからなる群から選ばれる少なくとも1種である、請求項6に記載のゴム組成物。
- 前記変性ポリマーと前記ブタジエンゴムの質量比(変性ポリマー/ブタジエンゴム)が、95/5~68/32である、請求項7に記載のゴム組成物。
- 前記変性ポリマーと前記芳香族ビニル-共役ジエン共重合体の質量比[(変性ポリマー)/(芳香族ビニル-共役ジエン共重合体)]が、(10以上)/(90以下)である、請求項7又は8に記載のゴム組成物。
- 前記ブタジエンゴムと前記天然ゴムの質量比(ブタジエンゴム/天然ゴム)が、20/80~70/30である、請求項7~9のいずれか1項に記載のゴム組成物。
- 前記変性ポリマーの含有量が、前記変性ポリマーと前記変性ポリマー以外のジエン系ゴムとの合計100質量部に対して、10質量部以上である、請求項6~10のいずれか1項に記載のゴム組成物。
- 更にシリカを含有する、請求項5~11のいずれか1項に記載のゴム組成物。
- 前記シリカの含有量が、前記変性ポリマーと前記変性ポリマー以外のジエン系ゴムとの合計100質量部に対して、8~130質量部である、請求項12に記載のゴム組成物。
- 請求項5~13のいずれか1項に記載のゴム組成物を使用した空気入りタイヤ。
Priority Applications (3)
| Application Number | Priority Date | Filing Date | Title |
|---|---|---|---|
| DE112014006303.7T DE112014006303B4 (de) | 2014-01-31 | 2014-12-22 | Modifiziertes Polymer, Kautschukzusammensetzung und Luftreifen |
| CN201480073158.XA CN105899545B (zh) | 2014-01-31 | 2014-12-22 | 改性聚合物及橡胶组合物以及充气轮胎 |
| US15/115,171 US9803031B2 (en) | 2014-01-31 | 2014-12-22 | Modified polymer, rubber composition and pneumatic tire |
Applications Claiming Priority (4)
| Application Number | Priority Date | Filing Date | Title |
|---|---|---|---|
| JP2014-016763 | 2014-01-31 | ||
| JP2014016763 | 2014-01-31 | ||
| JP2014016820 | 2014-01-31 | ||
| JP2014-016820 | 2014-01-31 |
Publications (1)
| Publication Number | Publication Date |
|---|---|
| WO2015114997A1 true WO2015114997A1 (ja) | 2015-08-06 |
Family
ID=53756588
Family Applications (1)
| Application Number | Title | Priority Date | Filing Date |
|---|---|---|---|
| PCT/JP2014/083980 Ceased WO2015114997A1 (ja) | 2014-01-31 | 2014-12-22 | 変性ポリマーおよびゴム組成物並びに空気入りタイヤ |
Country Status (4)
| Country | Link |
|---|---|
| US (1) | US9803031B2 (ja) |
| CN (1) | CN105899545B (ja) |
| DE (1) | DE112014006303B4 (ja) |
| WO (1) | WO2015114997A1 (ja) |
Cited By (3)
| Publication number | Priority date | Publication date | Assignee | Title |
|---|---|---|---|---|
| JP2017066224A (ja) * | 2015-09-29 | 2017-04-06 | 横浜ゴム株式会社 | ポリマー変性剤組成物、変性ポリマー、ゴム組成物及びタイヤ |
| WO2017057368A1 (ja) * | 2015-09-29 | 2017-04-06 | 横浜ゴム株式会社 | ポリマー変性剤組成物、変性ポリマー、ゴム組成物及びタイヤ |
| JP2017066234A (ja) * | 2015-09-29 | 2017-04-06 | 横浜ゴム株式会社 | ポリマー変性剤組成物、変性ポリマー、ゴム組成物及びタイヤ |
Families Citing this family (3)
| Publication number | Priority date | Publication date | Assignee | Title |
|---|---|---|---|---|
| JP5716850B1 (ja) * | 2014-01-31 | 2015-05-13 | 横浜ゴム株式会社 | 変性ポリマー、これを用いるゴム組成物及びタイヤ |
| EP3597697B1 (en) | 2017-04-14 | 2024-12-04 | Sumitomo Rubber Industries, Ltd. | Pneumatic tire |
| US11254806B2 (en) * | 2018-11-27 | 2022-02-22 | Toyo Tire Corporation | Rubber composition for vibrationproof rubber and vibrationproof rubber |
Citations (4)
| Publication number | Priority date | Publication date | Assignee | Title |
|---|---|---|---|---|
| JPS4725712U (ja) * | 1971-03-22 | 1972-11-22 | ||
| JP2007070439A (ja) * | 2005-09-06 | 2007-03-22 | Bridgestone Corp | ゴム組成物及びそれを用いたタイヤ |
| JP2008517071A (ja) * | 2004-10-20 | 2008-05-22 | 株式会社ブリヂストン | ポリマー−充填剤カップリング添加剤 |
| WO2014077364A1 (ja) * | 2012-11-16 | 2014-05-22 | 横浜ゴム株式会社 | 変性ポリマー |
Family Cites Families (5)
| Publication number | Priority date | Publication date | Assignee | Title |
|---|---|---|---|---|
| JPS4816996B1 (ja) | 1969-12-05 | 1973-05-25 | ||
| NL7108691A (ja) | 1971-06-23 | 1972-12-28 | ||
| US7125934B1 (en) * | 2005-06-28 | 2006-10-24 | The Goodyear Tire & Rubber Company | Functionalization of living rubbery polymers with nitrones |
| JP2008208163A (ja) * | 2007-02-23 | 2008-09-11 | Bridgestone Corp | 変性重合体、それを用いたゴム組成物及びタイヤ |
| JP5772361B2 (ja) * | 2011-08-03 | 2015-09-02 | 横浜ゴム株式会社 | ゴム組成物 |
-
2014
- 2014-12-22 US US15/115,171 patent/US9803031B2/en not_active Expired - Fee Related
- 2014-12-22 WO PCT/JP2014/083980 patent/WO2015114997A1/ja not_active Ceased
- 2014-12-22 CN CN201480073158.XA patent/CN105899545B/zh not_active Expired - Fee Related
- 2014-12-22 DE DE112014006303.7T patent/DE112014006303B4/de not_active Expired - Fee Related
Patent Citations (4)
| Publication number | Priority date | Publication date | Assignee | Title |
|---|---|---|---|---|
| JPS4725712U (ja) * | 1971-03-22 | 1972-11-22 | ||
| JP2008517071A (ja) * | 2004-10-20 | 2008-05-22 | 株式会社ブリヂストン | ポリマー−充填剤カップリング添加剤 |
| JP2007070439A (ja) * | 2005-09-06 | 2007-03-22 | Bridgestone Corp | ゴム組成物及びそれを用いたタイヤ |
| WO2014077364A1 (ja) * | 2012-11-16 | 2014-05-22 | 横浜ゴム株式会社 | 変性ポリマー |
Cited By (3)
| Publication number | Priority date | Publication date | Assignee | Title |
|---|---|---|---|---|
| JP2017066224A (ja) * | 2015-09-29 | 2017-04-06 | 横浜ゴム株式会社 | ポリマー変性剤組成物、変性ポリマー、ゴム組成物及びタイヤ |
| WO2017057368A1 (ja) * | 2015-09-29 | 2017-04-06 | 横浜ゴム株式会社 | ポリマー変性剤組成物、変性ポリマー、ゴム組成物及びタイヤ |
| JP2017066234A (ja) * | 2015-09-29 | 2017-04-06 | 横浜ゴム株式会社 | ポリマー変性剤組成物、変性ポリマー、ゴム組成物及びタイヤ |
Also Published As
| Publication number | Publication date |
|---|---|
| CN105899545A (zh) | 2016-08-24 |
| CN105899545B (zh) | 2018-01-09 |
| DE112014006303B4 (de) | 2018-01-04 |
| US9803031B2 (en) | 2017-10-31 |
| DE112014006303T5 (de) | 2016-11-24 |
| US20160340446A1 (en) | 2016-11-24 |
Similar Documents
| Publication | Publication Date | Title |
|---|---|---|
| JP5761442B1 (ja) | 変性ポリマーおよびゴム組成物並びに空気入りタイヤ | |
| JP5737439B1 (ja) | ゴム組成物および空気入りタイヤ | |
| WO2015114997A1 (ja) | 変性ポリマーおよびゴム組成物並びに空気入りタイヤ | |
| JP5812154B1 (ja) | アンダートレッド用ゴム組成物および空気入りタイヤ | |
| JP5716850B1 (ja) | 変性ポリマー、これを用いるゴム組成物及びタイヤ | |
| JP5761443B1 (ja) | ゴム組成物及び空気入りタイヤ | |
| JP5949986B1 (ja) | 化合物、変性ポリマー、ゴム組成物、タイヤおよびコンベアベルト | |
| JP5812155B1 (ja) | タイヤリムクッションまたはガムフィニッシング用ゴム組成物および空気入りタイヤ | |
| JP6112161B2 (ja) | 変性ポリマーの製造方法、変性ポリマー、ゴム組成物および空気入りタイヤ | |
| JP5949987B1 (ja) | タイヤトレッド用ゴム組成物および空気入りタイヤ | |
| JP5812156B1 (ja) | サイドウォール用ゴム組成物および空気入りタイヤ | |
| JP5761427B1 (ja) | ビードフィラー用ゴム組成物および空気入りタイヤ | |
| JPWO2016167289A1 (ja) | ゴム組成物及びタイヤ | |
| JP5812157B1 (ja) | タイヤリムクッションまたはガムフィニッシング用ゴム組成物および空気入りタイヤ | |
| JP5812153B1 (ja) | サイドウォール用ゴム組成物および空気入りタイヤ | |
| JP5962809B1 (ja) | タイヤトレッド用ゴム組成物およびそれを用いた空気入りタイヤ | |
| JP6582816B2 (ja) | ポリマー変性剤組成物、変性ポリマー、ゴム組成物及びタイヤ | |
| WO2015173989A1 (ja) | タイヤリムクッションまたはガムフィニッシング用ゴム組成物および空気入りタイヤ | |
| WO2016148144A1 (ja) | ゴム組成物およびタイヤ | |
| WO2016140300A1 (ja) | ゴム組成物およびタイヤ | |
| WO2015173988A1 (ja) | サイドウォール用ゴム組成物および空気入りタイヤ |
Legal Events
| Date | Code | Title | Description |
|---|---|---|---|
| 121 | Ep: the epo has been informed by wipo that ep was designated in this application |
Ref document number: 14880913 Country of ref document: EP Kind code of ref document: A1 |
|
| WWE | Wipo information: entry into national phase |
Ref document number: 15115171 Country of ref document: US |
|
| WWE | Wipo information: entry into national phase |
Ref document number: 112014006303 Country of ref document: DE |
|
| 122 | Ep: pct application non-entry in european phase |
Ref document number: 14880913 Country of ref document: EP Kind code of ref document: A1 |













