KR20180098285A - 페닐이미다졸 화합물 - Google Patents
페닐이미다졸 화합물 Download PDFInfo
- Publication number
- KR20180098285A KR20180098285A KR1020187019298A KR20187019298A KR20180098285A KR 20180098285 A KR20180098285 A KR 20180098285A KR 1020187019298 A KR1020187019298 A KR 1020187019298A KR 20187019298 A KR20187019298 A KR 20187019298A KR 20180098285 A KR20180098285 A KR 20180098285A
- Authority
- KR
- South Korea
- Prior art keywords
- group
- alkyl group
- substituted
- compound
- halogen
- Prior art date
- Legal status (The legal status is an assumption and is not a legal conclusion. Google has not performed a legal analysis and makes no representation as to the accuracy of the status listed.)
- Granted
Links
- 0 Cc1c(*)c(-c2c(*)nc(*=C)[n]2*)cc(*)c1O* Chemical compound Cc1c(*)c(-c2c(*)nc(*=C)[n]2*)cc(*)c1O* 0.000 description 1
Classifications
-
- A—HUMAN NECESSITIES
- A61—MEDICAL OR VETERINARY SCIENCE; HYGIENE
- A61K—PREPARATIONS FOR MEDICAL, DENTAL OR TOILETRY PURPOSES
- A61K31/00—Medicinal preparations containing organic active ingredients
- A61K31/33—Heterocyclic compounds
- A61K31/395—Heterocyclic compounds having nitrogen as a ring hetero atom, e.g. guanethidine or rifamycins
- A61K31/41—Heterocyclic compounds having nitrogen as a ring hetero atom, e.g. guanethidine or rifamycins having five-membered rings with two or more ring hetero atoms, at least one of which being nitrogen, e.g. tetrazole
- A61K31/4164—1,3-Diazoles
-
- A—HUMAN NECESSITIES
- A61—MEDICAL OR VETERINARY SCIENCE; HYGIENE
- A61K—PREPARATIONS FOR MEDICAL, DENTAL OR TOILETRY PURPOSES
- A61K31/00—Medicinal preparations containing organic active ingredients
- A61K31/33—Heterocyclic compounds
- A61K31/395—Heterocyclic compounds having nitrogen as a ring hetero atom, e.g. guanethidine or rifamycins
- A61K31/41—Heterocyclic compounds having nitrogen as a ring hetero atom, e.g. guanethidine or rifamycins having five-membered rings with two or more ring hetero atoms, at least one of which being nitrogen, e.g. tetrazole
- A61K31/4164—1,3-Diazoles
- A61K31/4178—1,3-Diazoles not condensed 1,3-diazoles and containing further heterocyclic rings, e.g. pilocarpine, nitrofurantoin
-
- A—HUMAN NECESSITIES
- A61—MEDICAL OR VETERINARY SCIENCE; HYGIENE
- A61K—PREPARATIONS FOR MEDICAL, DENTAL OR TOILETRY PURPOSES
- A61K31/00—Medicinal preparations containing organic active ingredients
- A61K31/33—Heterocyclic compounds
- A61K31/395—Heterocyclic compounds having nitrogen as a ring hetero atom, e.g. guanethidine or rifamycins
- A61K31/41—Heterocyclic compounds having nitrogen as a ring hetero atom, e.g. guanethidine or rifamycins having five-membered rings with two or more ring hetero atoms, at least one of which being nitrogen, e.g. tetrazole
- A61K31/42—Oxazoles
- A61K31/422—Oxazoles not condensed and containing further heterocyclic rings
-
- A—HUMAN NECESSITIES
- A61—MEDICAL OR VETERINARY SCIENCE; HYGIENE
- A61K—PREPARATIONS FOR MEDICAL, DENTAL OR TOILETRY PURPOSES
- A61K31/00—Medicinal preparations containing organic active ingredients
- A61K31/33—Heterocyclic compounds
- A61K31/395—Heterocyclic compounds having nitrogen as a ring hetero atom, e.g. guanethidine or rifamycins
- A61K31/435—Heterocyclic compounds having nitrogen as a ring hetero atom, e.g. guanethidine or rifamycins having six-membered rings with one nitrogen as the only ring hetero atom
- A61K31/44—Non condensed pyridines; Hydrogenated derivatives thereof
- A61K31/4427—Non condensed pyridines; Hydrogenated derivatives thereof containing further heterocyclic ring systems
- A61K31/4439—Non condensed pyridines; Hydrogenated derivatives thereof containing further heterocyclic ring systems containing a five-membered ring with nitrogen as a ring hetero atom, e.g. omeprazole
-
- A—HUMAN NECESSITIES
- A61—MEDICAL OR VETERINARY SCIENCE; HYGIENE
- A61K—PREPARATIONS FOR MEDICAL, DENTAL OR TOILETRY PURPOSES
- A61K31/00—Medicinal preparations containing organic active ingredients
- A61K31/33—Heterocyclic compounds
- A61K31/395—Heterocyclic compounds having nitrogen as a ring hetero atom, e.g. guanethidine or rifamycins
- A61K31/435—Heterocyclic compounds having nitrogen as a ring hetero atom, e.g. guanethidine or rifamycins having six-membered rings with one nitrogen as the only ring hetero atom
- A61K31/44—Non condensed pyridines; Hydrogenated derivatives thereof
- A61K31/4427—Non condensed pyridines; Hydrogenated derivatives thereof containing further heterocyclic ring systems
- A61K31/444—Non condensed pyridines; Hydrogenated derivatives thereof containing further heterocyclic ring systems containing a six-membered ring with nitrogen as a ring heteroatom, e.g. amrinone
-
- A—HUMAN NECESSITIES
- A61—MEDICAL OR VETERINARY SCIENCE; HYGIENE
- A61K—PREPARATIONS FOR MEDICAL, DENTAL OR TOILETRY PURPOSES
- A61K31/00—Medicinal preparations containing organic active ingredients
- A61K31/33—Heterocyclic compounds
- A61K31/395—Heterocyclic compounds having nitrogen as a ring hetero atom, e.g. guanethidine or rifamycins
- A61K31/495—Heterocyclic compounds having nitrogen as a ring hetero atom, e.g. guanethidine or rifamycins having six-membered rings with two or more nitrogen atoms as the only ring heteroatoms, e.g. piperazine or tetrazines
- A61K31/4965—Non-condensed pyrazines
- A61K31/497—Non-condensed pyrazines containing further heterocyclic rings
-
- A—HUMAN NECESSITIES
- A61—MEDICAL OR VETERINARY SCIENCE; HYGIENE
- A61K—PREPARATIONS FOR MEDICAL, DENTAL OR TOILETRY PURPOSES
- A61K31/00—Medicinal preparations containing organic active ingredients
- A61K31/33—Heterocyclic compounds
- A61K31/395—Heterocyclic compounds having nitrogen as a ring hetero atom, e.g. guanethidine or rifamycins
- A61K31/495—Heterocyclic compounds having nitrogen as a ring hetero atom, e.g. guanethidine or rifamycins having six-membered rings with two or more nitrogen atoms as the only ring heteroatoms, e.g. piperazine or tetrazines
- A61K31/505—Pyrimidines; Hydrogenated pyrimidines, e.g. trimethoprim
- A61K31/506—Pyrimidines; Hydrogenated pyrimidines, e.g. trimethoprim not condensed and containing further heterocyclic rings
-
- A—HUMAN NECESSITIES
- A61—MEDICAL OR VETERINARY SCIENCE; HYGIENE
- A61P—SPECIFIC THERAPEUTIC ACTIVITY OF CHEMICAL COMPOUNDS OR MEDICINAL PREPARATIONS
- A61P3/00—Drugs for disorders of the metabolism
- A61P3/04—Anorexiants; Antiobesity agents
-
- A—HUMAN NECESSITIES
- A61—MEDICAL OR VETERINARY SCIENCE; HYGIENE
- A61P—SPECIFIC THERAPEUTIC ACTIVITY OF CHEMICAL COMPOUNDS OR MEDICINAL PREPARATIONS
- A61P3/00—Drugs for disorders of the metabolism
- A61P3/06—Antihyperlipidemics
-
- A—HUMAN NECESSITIES
- A61—MEDICAL OR VETERINARY SCIENCE; HYGIENE
- A61P—SPECIFIC THERAPEUTIC ACTIVITY OF CHEMICAL COMPOUNDS OR MEDICINAL PREPARATIONS
- A61P43/00—Drugs for specific purposes, not provided for in groups A61P1/00-A61P41/00
-
- A—HUMAN NECESSITIES
- A61—MEDICAL OR VETERINARY SCIENCE; HYGIENE
- A61P—SPECIFIC THERAPEUTIC ACTIVITY OF CHEMICAL COMPOUNDS OR MEDICINAL PREPARATIONS
- A61P9/00—Drugs for disorders of the cardiovascular system
- A61P9/10—Drugs for disorders of the cardiovascular system for treating ischaemic or atherosclerotic diseases, e.g. antianginal drugs, coronary vasodilators, drugs for myocardial infarction, retinopathy, cerebrovascula insufficiency, renal arteriosclerosis
-
- C—CHEMISTRY; METALLURGY
- C07—ORGANIC CHEMISTRY
- C07D—HETEROCYCLIC COMPOUNDS
- C07D233/00—Heterocyclic compounds containing 1,3-diazole or hydrogenated 1,3-diazole rings, not condensed with other rings
- C07D233/54—Heterocyclic compounds containing 1,3-diazole or hydrogenated 1,3-diazole rings, not condensed with other rings having two double bonds between ring members or between ring members and non-ring members
- C07D233/64—Heterocyclic compounds containing 1,3-diazole or hydrogenated 1,3-diazole rings, not condensed with other rings having two double bonds between ring members or between ring members and non-ring members with substituted hydrocarbon radicals attached to ring carbon atoms, e.g. histidine
-
- C—CHEMISTRY; METALLURGY
- C07—ORGANIC CHEMISTRY
- C07D—HETEROCYCLIC COMPOUNDS
- C07D401/00—Heterocyclic compounds containing two or more hetero rings, having nitrogen atoms as the only ring hetero atoms, at least one ring being a six-membered ring with only one nitrogen atom
- C07D401/02—Heterocyclic compounds containing two or more hetero rings, having nitrogen atoms as the only ring hetero atoms, at least one ring being a six-membered ring with only one nitrogen atom containing two hetero rings
- C07D401/04—Heterocyclic compounds containing two or more hetero rings, having nitrogen atoms as the only ring hetero atoms, at least one ring being a six-membered ring with only one nitrogen atom containing two hetero rings directly linked by a ring-member-to-ring-member bond
-
- C—CHEMISTRY; METALLURGY
- C07—ORGANIC CHEMISTRY
- C07D—HETEROCYCLIC COMPOUNDS
- C07D401/00—Heterocyclic compounds containing two or more hetero rings, having nitrogen atoms as the only ring hetero atoms, at least one ring being a six-membered ring with only one nitrogen atom
- C07D401/02—Heterocyclic compounds containing two or more hetero rings, having nitrogen atoms as the only ring hetero atoms, at least one ring being a six-membered ring with only one nitrogen atom containing two hetero rings
- C07D401/12—Heterocyclic compounds containing two or more hetero rings, having nitrogen atoms as the only ring hetero atoms, at least one ring being a six-membered ring with only one nitrogen atom containing two hetero rings linked by a chain containing hetero atoms as chain links
-
- C—CHEMISTRY; METALLURGY
- C07—ORGANIC CHEMISTRY
- C07D—HETEROCYCLIC COMPOUNDS
- C07D401/00—Heterocyclic compounds containing two or more hetero rings, having nitrogen atoms as the only ring hetero atoms, at least one ring being a six-membered ring with only one nitrogen atom
- C07D401/14—Heterocyclic compounds containing two or more hetero rings, having nitrogen atoms as the only ring hetero atoms, at least one ring being a six-membered ring with only one nitrogen atom containing three or more hetero rings
-
- C—CHEMISTRY; METALLURGY
- C07—ORGANIC CHEMISTRY
- C07D—HETEROCYCLIC COMPOUNDS
- C07D403/00—Heterocyclic compounds containing two or more hetero rings, having nitrogen atoms as the only ring hetero atoms, not provided for by group C07D401/00
- C07D403/02—Heterocyclic compounds containing two or more hetero rings, having nitrogen atoms as the only ring hetero atoms, not provided for by group C07D401/00 containing two hetero rings
- C07D403/12—Heterocyclic compounds containing two or more hetero rings, having nitrogen atoms as the only ring hetero atoms, not provided for by group C07D401/00 containing two hetero rings linked by a chain containing hetero atoms as chain links
-
- C—CHEMISTRY; METALLURGY
- C07—ORGANIC CHEMISTRY
- C07D—HETEROCYCLIC COMPOUNDS
- C07D413/00—Heterocyclic compounds containing two or more hetero rings, at least one ring having nitrogen and oxygen atoms as the only ring hetero atoms
- C07D413/02—Heterocyclic compounds containing two or more hetero rings, at least one ring having nitrogen and oxygen atoms as the only ring hetero atoms containing two hetero rings
- C07D413/12—Heterocyclic compounds containing two or more hetero rings, at least one ring having nitrogen and oxygen atoms as the only ring hetero atoms containing two hetero rings linked by a chain containing hetero atoms as chain links
-
- C—CHEMISTRY; METALLURGY
- C07—ORGANIC CHEMISTRY
- C07D—HETEROCYCLIC COMPOUNDS
- C07D413/00—Heterocyclic compounds containing two or more hetero rings, at least one ring having nitrogen and oxygen atoms as the only ring hetero atoms
- C07D413/14—Heterocyclic compounds containing two or more hetero rings, at least one ring having nitrogen and oxygen atoms as the only ring hetero atoms containing three or more hetero rings
-
- C—CHEMISTRY; METALLURGY
- C07—ORGANIC CHEMISTRY
- C07D—HETEROCYCLIC COMPOUNDS
- C07D417/00—Heterocyclic compounds containing two or more hetero rings, at least one ring having nitrogen and sulfur atoms as the only ring hetero atoms, not provided for by group C07D415/00
- C07D417/14—Heterocyclic compounds containing two or more hetero rings, at least one ring having nitrogen and sulfur atoms as the only ring hetero atoms, not provided for by group C07D415/00 containing three or more hetero rings
Landscapes
- Chemical & Material Sciences (AREA)
- Organic Chemistry (AREA)
- Health & Medical Sciences (AREA)
- Medicinal Chemistry (AREA)
- Animal Behavior & Ethology (AREA)
- General Health & Medical Sciences (AREA)
- Veterinary Medicine (AREA)
- Public Health (AREA)
- Life Sciences & Earth Sciences (AREA)
- Pharmacology & Pharmacy (AREA)
- Epidemiology (AREA)
- Bioinformatics & Cheminformatics (AREA)
- Engineering & Computer Science (AREA)
- Nuclear Medicine, Radiotherapy & Molecular Imaging (AREA)
- General Chemical & Material Sciences (AREA)
- Chemical Kinetics & Catalysis (AREA)
- Obesity (AREA)
- Diabetes (AREA)
- Hematology (AREA)
- Heart & Thoracic Surgery (AREA)
- Cardiology (AREA)
- Vascular Medicine (AREA)
- Child & Adolescent Psychology (AREA)
- Urology & Nephrology (AREA)
- Pharmaceuticals Containing Other Organic And Inorganic Compounds (AREA)
- Plural Heterocyclic Compounds (AREA)
- Nitrogen And Oxygen Or Sulfur-Condensed Heterocyclic Ring Systems (AREA)
- Nitrogen Condensed Heterocyclic Rings (AREA)
Abstract
Description
Claims (13)
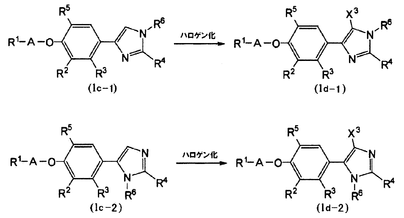
- 하기 일반식 (1)
<화학식 1>
[식 중,
R1은
(1-1) 수소 원자,
(1-2) 피라졸릴기,
(1-3) 피리미디닐기,
(1-4) 치환기로서 할로겐 원자, 시아노기, C1-C6 알킬기, C1-C6 알킬술포닐기 및 할로겐 치환 C1-C6 알킬기로 이루어진 군에서 선택되는 적어도 1종의 기를 1개 또는 2개 갖는 피리딜기,
(1-5) C1-C6 알킬기를 갖는 옥사졸릴기,
(1-6) 할로겐 원자 및 C1-C6 알킬기로 이루어진 군에서 선택되는 적어도 1종의 기로 선택적으로 치환된 피라지닐기,
(1-7) 치환기로서 할로겐 원자 및 할로겐 치환 C1-C6 알킬기로 이루어진 군에서 선택되는 적어도 1종의 기를 1개 또는 2개 갖는 페닐기,
(1-8) 치환기로서 할로겐 원자 및 할로겐 치환 C1 내지 6 알킬기로 이루어진 군에서 선택되는 적어도 1종의 기를 1개 또는 2개 갖는 (피리딘 1-옥사이드)일기,
(1-9) 할로겐 원자로 치환된 티아졸릴기,
(1-10) C1-C6 알킬기로 치환된 이소옥사졸릴기,
(1-11) C3-C8 시클로알킬기로 치환된 1,2,4-옥사디아졸릴기, 혹은
(1-12) 페닐기이고;
R2는 수소 원자 또는 C1-C6 알콕시기를 나타내고;
R3은
(3-1) 수소 원자,
(3-2) C1-C6 알콕시기,
(3-3) C1-C6 알콕시 C1-C6 알콕시기,
(3-4) C1-C6 알킬기,
(3-5) 할로겐 원자,
(3-6) 벤질옥시기 또는
(3-7) 히드록시기이고;
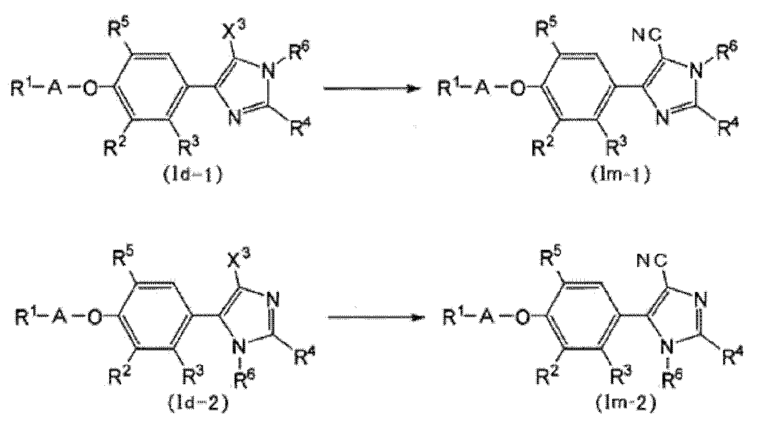
R4는
(4-1) 치환기로서 할로겐 원자, 시아노기, 히드록시기, 피롤리디닐기, C1-C6 알킬기, C1-C6 알킬티오기, C1-C6 알킬술포닐기, C1-C6 알콕시기 및 할로겐 치환 C1-C6 알킬기로 이루어진 군에서 선택되는 적어도 1종의 기를 가질 수 있는 피리딜기,
(4-2) 치환기로서 할로겐 원자 및 C1-C6 알킬기로 이루어진 군에서 선택되는 적어도 1종의 기를 1개 또는 2개 가질 수 있는 C3-C10 시클로알킬기 또는
(4-3) 저급 알킬기이고;
R5는
(5-1) 수소 원자,
(5-2) C1-C6 알킬기, 또는
(5-3) C1-C6 알콕시기이고;
R6은
(6-1) 수소 원자,
(6-2) C1-C6 알콕시 C1-C6 알킬기, 또는
(6-3) C3-C10 시클로알킬기로 선택적으로 치환된 C1-C6 알킬기이고;
R6은 이미다졸 골격의 1 위치의 N 및 3 위치의 N의 어느 한쪽으로만 치환되어 있으며, 이미다졸 골격의 3 위치의 N과 2 위치의 C와의 결합이 이중 결합인 경우, R6은 1 위치의 N으로 치환되어 있고, 3 위치의 N과 2 위치의 C와의 결합이 단일 결합인 경우, R6은 3 위치의 N으로 치환되어 있ㄱH고;
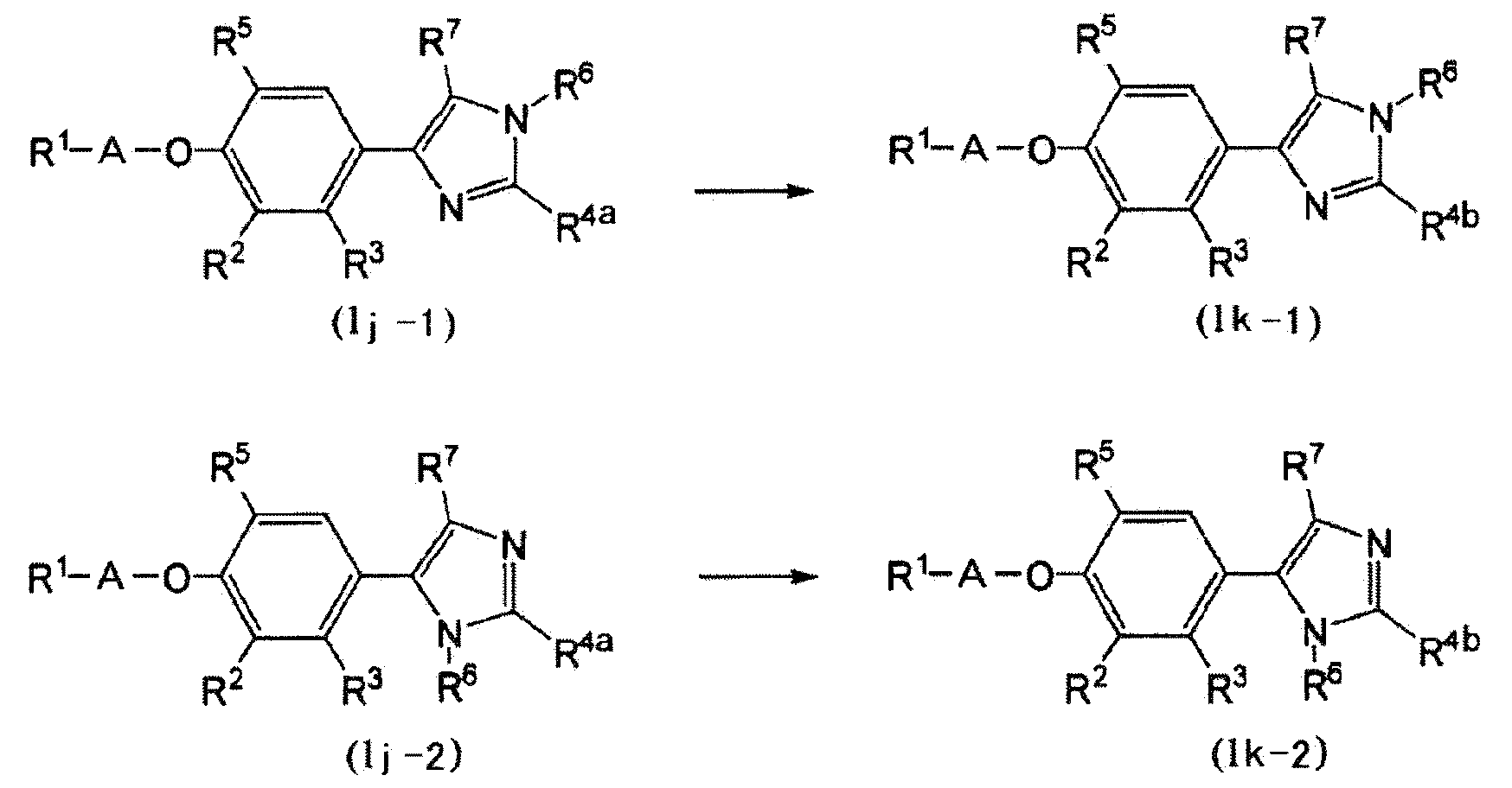
R7은
(7-1) 수소 원자,
(7-2) 할로겐 원자,
(7-3) C1-C6 알킬기
(7-4) 히드록시메틸기
(7-5) 할로겐 치환 C1-C6 알킬기 또는
(7-6) 시아노기이고;
A는 상기 R1이 수소 원자인 경우 단일 결합이고, R1이 수소 원자 이외의 기인 경우는 C1-C6 알킬렌기이고;
이미다졸 골격의 3 위치의 N과 2 위치의 C와의 결합이 이중 결합인 경우, 2 위치의 C와 1 위치의 N과의 결합은 단일 결합이며, 3 위치의 N과 2 위치의 C 의 결합이 단일 결합인 경우, 2 위치의 C와 1 위치의 N과의 결합은 이중 결합이며;
단, R1 이 (1-7) 또는 (1-12)이며, 또한, R4가 (4-3) 인 것을 제외한다]
로 표시되는 페닐이미다졸 화합물 또는 그 약학적으로 허용되는 염. - 제1항에 있어서, R4가 (4-1)의 기인, 페닐이미다졸 화합물 또는 그 약학적으로 허용되는 염.
- 제1항에 있어서, R4가 치환기로서 할로겐 원자, 시아노기, 히드록시기, 피롤리디닐기, C1-C6 알킬기, C1-C6 알콕시기 및 할로겐 치환 C1-C6 알킬기로 이루어진 군에서 선택되는 적어도 1종의 기를 가질 수 있는 피리딜기, 또는 (4-2)의 기인, 페닐이미다졸 화합물 또는 그 약학적으로 허용되는 염.
- 제1항 내지 제3항 중 어느 한 항에 있어서, R1이 (1-4)의 기인, 페닐이미다졸 화합물 또는 그 약학적으로 허용되는 염.
- 제1항 내지 제4항 중 어느 한 항에 있어서, R3이 수소 원자 또는 C1-C6 알콕시기이고, R5가 수소 원자 또는 C1-C6 알콕시기인, 페닐이미다졸 화합물 또는 그 약학적으로 허용되는 염.
- 제1항 내지 제5항 중 어느 한 항에 있어서, R4가 치환기로서 할로겐 원자를 갖는 피리딜기인, 페닐이미다졸 화합물 또는 그 약학적으로 허용되는 염.
- 제1항 내지 제6항 중 어느 한 항에 있어서, R1이 치환기로서 할로겐 원자 및 할로겐 치환 C1-C6 알킬기로 이루어진 군에서 선택되는 적어도 1종의 기를 1개 또는 2개를 갖는 피리딜기인, 페닐이미다졸 화합물 또는 그 약학적으로 허용되는 염.
- 제1항 내지 제7항 중 어느 한 항에 있어서, R2 및 R5가 모두 수소 원자이고, R3이 C1-C6 알콕시기인, 페닐이미다졸 화합물 또는 그 약학적으로 허용되는 염.
- 제1항 내지 제8항 중 어느 한 항에 있어서, R6이 수소 원자이고, R7이 할로겐 원자인, 페닐이미다졸 화합물 또는 그 약학적으로 허용되는 염.
- 제8항에 있어서, 다음 화합물로부터 선택되는, 페닐이미다졸 화합물, 또는 그 약학적으로 허용되는 염:
· 5-[[4-(5-클로로-2-(6-플루오로피리딘-3-일)-1H-이미다졸-4-일)-3-메톡시페녹시]메틸]-2-(트리플루오로메틸)피리딘
· 2-[[4-(5-클로로-2-(6-플루오로피리딘-3-일)-1H-이미다졸-4-일)-3-메톡시페녹시]메틸]-3-플루오로-5-(트리플루오로메틸)피리딘
· 2-[[4-(5-브로모-2-(6-플루오로피리딘-3-일)-1H-이미다졸-4-일)-3-메톡시페녹시]메틸]-3-플루오로-5-(트리플루오로메틸)피리딘
· 3-클로로-2-[[4-(5-클로로-2-(6-플루오로피리딘-3-일)-1H-이미다졸-4-일)-3-메톡시페녹시]메틸]-5-(트리플루오로메틸)피리딘
· 2-[[4-(5-브로모-2-(6-클로로피리딘-3-일)-1H-이미다졸-4-일)-3-메톡시페녹시]메틸]-5-(트리플루오로메틸)피리딘
· 5-브로모-2-[[4-(4-클로로-2-(6-플루오로피리딘-3-일)-1H-이미다졸-5-일)-3-메톡시페녹시]메틸]-3-플루오로피리딘
· 5-[4-클로로-5-[2-메톡시-4-((6-트리플루오로메틸)피리딘-2-일)메톡시)페닐]-1H-이미다졸-2-일]-2-플루오로피리딘. - 제1항 내지 제10항 중 어느 한 항에 기재된 화합물 또는 그 약학적으로 허용되는 염을 함유하는 의약 조성물.
- 제1항 내지 제10항 중 어느 한 항에 기재된 화합물 또는 그 약학적으로 허용되는 염을 함유하는 LPL 활성화제.
- 제11항에 있어서, 고지질 혈증, 동맥 경화, 또는 비만의 예방용 또는 치료용인, 의약 조성물.
Priority Applications (1)
| Application Number | Priority Date | Filing Date | Title |
|---|---|---|---|
| KR1020207026083A KR102318395B1 (ko) | 2015-12-25 | 2016-10-25 | 페닐이미다졸 화합물 |
Applications Claiming Priority (3)
| Application Number | Priority Date | Filing Date | Title |
|---|---|---|---|
| JPJP-P-2015-254016 | 2015-12-25 | ||
| JP2015254016 | 2015-12-25 | ||
| PCT/JP2016/081633 WO2017110237A1 (ja) | 2015-12-25 | 2016-10-25 | フェニルイミダゾール化合物 |
Related Child Applications (1)
| Application Number | Title | Priority Date | Filing Date |
|---|---|---|---|
| KR1020207026083A Division KR102318395B1 (ko) | 2015-12-25 | 2016-10-25 | 페닐이미다졸 화합물 |
Publications (2)
| Publication Number | Publication Date |
|---|---|
| KR20180098285A true KR20180098285A (ko) | 2018-09-03 |
| KR102176505B1 KR102176505B1 (ko) | 2020-11-09 |
Family
ID=59089969
Family Applications (2)
| Application Number | Title | Priority Date | Filing Date |
|---|---|---|---|
| KR1020207026083A Active KR102318395B1 (ko) | 2015-12-25 | 2016-10-25 | 페닐이미다졸 화합물 |
| KR1020187019298A Active KR102176505B1 (ko) | 2015-12-25 | 2016-10-25 | 페닐이미다졸 화합물 |
Family Applications Before (1)
| Application Number | Title | Priority Date | Filing Date |
|---|---|---|---|
| KR1020207026083A Active KR102318395B1 (ko) | 2015-12-25 | 2016-10-25 | 페닐이미다졸 화합물 |
Country Status (22)
| Country | Link |
|---|---|
| US (1) | US10570117B2 (ko) |
| EP (2) | EP4023640A1 (ko) |
| JP (3) | JP6828899B2 (ko) |
| KR (2) | KR102318395B1 (ko) |
| CN (2) | CN113200962B (ko) |
| AR (2) | AR107191A1 (ko) |
| AU (2) | AU2016378154B2 (ko) |
| CA (1) | CA3009485C (ko) |
| DK (1) | DK3401310T3 (ko) |
| ES (1) | ES2913488T3 (ko) |
| HK (1) | HK1257353A1 (ko) |
| HU (1) | HUE058875T2 (ko) |
| MX (2) | MX385570B (ko) |
| MY (1) | MY196907A (ko) |
| PH (1) | PH12018501100A1 (ko) |
| PL (1) | PL3401310T3 (ko) |
| PT (1) | PT3401310T (ko) |
| RU (1) | RU2715712C2 (ko) |
| SG (1) | SG11201804310VA (ko) |
| TW (2) | TWI721057B (ko) |
| WO (1) | WO2017110237A1 (ko) |
| ZA (1) | ZA201803419B (ko) |
Families Citing this family (1)
| Publication number | Priority date | Publication date | Assignee | Title |
|---|---|---|---|---|
| BR112023001266A2 (pt) | 2020-07-30 | 2023-02-14 | Otsuka Pharma Factory Inc | Medicamento para resfriado e agente antiviral |
Citations (3)
| Publication number | Priority date | Publication date | Assignee | Title |
|---|---|---|---|---|
| US4134983A (en) * | 1975-03-03 | 1979-01-16 | Merck & Co., Inc. | 3-amino-2-or-propoxyaryl substituted imidazoles |
| WO2009139076A1 (en) | 2008-05-14 | 2009-11-19 | Otsuka Pharmaceutical Factory, Inc. | Lipoprotein lipase-activating compositions comprising benzene derivates |
| WO2010090200A1 (ja) | 2009-02-04 | 2010-08-12 | 株式会社大塚製薬工場 | フェニルイミダゾール化合物 |
Family Cites Families (6)
| Publication number | Priority date | Publication date | Assignee | Title |
|---|---|---|---|---|
| US4642311A (en) * | 1975-03-03 | 1987-02-10 | Merck & Co., Inc. | β-adrenergic blocking imidazolylphenoxy propanolamines |
| CA1075689A (en) * | 1976-07-23 | 1980-04-15 | John J. Baldwin | Substituted imidazoles, their preparation and use |
| AU518569B2 (en) * | 1979-08-07 | 1981-10-08 | Farmos-Yhtyma Oy | 4-benzyl- and 4-benzoyl imidazole derivatives |
| US4443446A (en) | 1980-05-30 | 1984-04-17 | University Of Georgia Research Foundation, Inc. | Use of psychoactive drugs as vaginal contraceptives |
| US5861359A (en) * | 1995-07-25 | 1999-01-19 | Fmc Corporation | Herbicidal phenylmethoxphenyl heterocycles |
| EP3293177B1 (en) * | 2015-04-07 | 2024-11-27 | Guangdong Raynovent Biotech Co., Ltd. | Tyrosine kinase inhibitor and pharmaceutical composition comprising same |
-
2016
- 2016-10-25 US US15/780,436 patent/US10570117B2/en active Active
- 2016-10-25 KR KR1020207026083A patent/KR102318395B1/ko active Active
- 2016-10-25 WO PCT/JP2016/081633 patent/WO2017110237A1/ja not_active Ceased
- 2016-10-25 HK HK18116561.5A patent/HK1257353A1/en unknown
- 2016-10-25 JP JP2017557761A patent/JP6828899B2/ja active Active
- 2016-10-25 PT PT168781359T patent/PT3401310T/pt unknown
- 2016-10-25 AU AU2016378154A patent/AU2016378154B2/en active Active
- 2016-10-25 HU HUE16878135A patent/HUE058875T2/hu unknown
- 2016-10-25 RU RU2018127016A patent/RU2715712C2/ru active
- 2016-10-25 CA CA3009485A patent/CA3009485C/en active Active
- 2016-10-25 MX MX2018007796A patent/MX385570B/es unknown
- 2016-10-25 DK DK16878135.9T patent/DK3401310T3/da active
- 2016-10-25 EP EP22154136.0A patent/EP4023640A1/en active Pending
- 2016-10-25 CN CN202110542910.2A patent/CN113200962B/zh active Active
- 2016-10-25 SG SG11201804310VA patent/SG11201804310VA/en unknown
- 2016-10-25 KR KR1020187019298A patent/KR102176505B1/ko active Active
- 2016-10-25 ES ES16878135T patent/ES2913488T3/es active Active
- 2016-10-25 EP EP16878135.9A patent/EP3401310B1/en active Active
- 2016-10-25 MX MX2021010182A patent/MX2021010182A/es unknown
- 2016-10-25 CN CN201680075936.8A patent/CN108430977B/zh active Active
- 2016-10-25 PL PL16878135T patent/PL3401310T3/pl unknown
- 2016-10-25 MY MYPI2018702118A patent/MY196907A/en unknown
- 2016-12-05 TW TW105140091A patent/TWI721057B/zh active
- 2016-12-05 TW TW110100134A patent/TWI780557B/zh active
- 2016-12-23 AR ARP160104014A patent/AR107191A1/es active IP Right Grant
-
2018
- 2018-05-22 PH PH12018501100A patent/PH12018501100A1/en unknown
- 2018-05-23 ZA ZA2018/03419A patent/ZA201803419B/en unknown
-
2020
- 2020-10-28 AU AU2020260426A patent/AU2020260426B2/en active Active
- 2020-12-16 JP JP2020208041A patent/JP7224674B2/ja active Active
-
2021
- 2021-07-21 AR ARP210102048A patent/AR123029A2/es active IP Right Grant
-
2022
- 2022-12-09 JP JP2022197190A patent/JP7554492B2/ja active Active
Patent Citations (4)
| Publication number | Priority date | Publication date | Assignee | Title |
|---|---|---|---|---|
| US4134983A (en) * | 1975-03-03 | 1979-01-16 | Merck & Co., Inc. | 3-amino-2-or-propoxyaryl substituted imidazoles |
| WO2009139076A1 (en) | 2008-05-14 | 2009-11-19 | Otsuka Pharmaceutical Factory, Inc. | Lipoprotein lipase-activating compositions comprising benzene derivates |
| WO2010090200A1 (ja) | 2009-02-04 | 2010-08-12 | 株式会社大塚製薬工場 | フェニルイミダゾール化合物 |
| KR20110111300A (ko) * | 2009-02-04 | 2011-10-10 | 가부시키가이샤 오츠까 세이야꾸 고죠 | 페닐이미다졸 화합물 |
Also Published As
Similar Documents
| Publication | Publication Date | Title |
|---|---|---|
| JP6955482B2 (ja) | Tnfアルファの修飾因子として有用なヘテロ環化合物 | |
| TWI748539B (zh) | Cot調節劑及其使用方法 | |
| JP6923543B2 (ja) | Nr2b選択的nmda調節因子としての置換1,2,3−トリアゾール | |
| JP6433509B2 (ja) | ホスファチジルイノシトール3−キナーゼ阻害薬としてのアミノピラジン誘導体 | |
| US20040147579A1 (en) | 3 (5) -heteroaryl substituted pyrazoles as p38 kinase inhibitors | |
| KR20130133051A (ko) | 6,5-헤테로사이클릭 프로파길릭 알콜 화합물 및 이의 용도 | |
| IL172567A (en) | Trisubstituted aryl and heteroaryl derivatives, pharmaceutical compositions comprising them and their use in the preparation of medicaments for the prophylaxis and treatment of disorders related to metabolism | |
| KR20130062951A (ko) | 키누레닌 생성 억제 작용을 갖는 함질소 복소환 화합물 | |
| KR20110011706A (ko) | 신규한 치환 피리딘-2-온 및 피리다진-3-온 | |
| US7268151B2 (en) | Di-aryl substituted triazole modulators of metabotropic glutamate receptor-5 | |
| KR20100088142A (ko) | 비-뉴클레오사이드 역전사효소 억제제 | |
| WO2014062667A1 (en) | Phenyl linked quinolinyl modulators of ror-gamma-t | |
| WO2013052395A1 (en) | 1,3-substituted azetidine pde10 inhibitors | |
| WO2012117996A1 (ja) | Gpr119作動薬 | |
| TWI829481B (zh) | 雙環吲唑糖皮質素受體拮抗劑 | |
| JP7554492B2 (ja) | フェニルイミダゾール化合物 | |
| KR100843533B1 (ko) | 신규한 디아진 유도체, 이의 제조 및 약학적 제제로서의용도 | |
| EP3291817A1 (en) | Heteroaryl-pyrimidinone compounds as pde2 inhibitors | |
| HK40077643A (en) | Phenylimidazole compound | |
| BR122020024233B1 (pt) | Compostos de fenilimidazol, composição farmacêutica e ativador de lpl compreendendo o referido composto e uso do mesmo | |
| HK1257221B (en) | Phenylimidazole compound | |
| BR112018012326B1 (pt) | Compostos de fenilimidazol, composiçâo farmacêutica e ativador de lpl compreendendo o referido composto e seu uso | |
| HK1030211A (en) | 3(5)-heteroaryl substituted pyrazoles as p38 kinase inhibitors |
Legal Events
| Date | Code | Title | Description |
|---|---|---|---|
| PA0105 | International application |
Patent event date: 20180705 Patent event code: PA01051R01D Comment text: International Patent Application |
|
| A201 | Request for examination | ||
| AMND | Amendment | ||
| PA0201 | Request for examination |
Patent event code: PA02012R01D Patent event date: 20180823 Comment text: Request for Examination of Application |
|
| PG1501 | Laying open of application | ||
| E902 | Notification of reason for refusal | ||
| PE0902 | Notice of grounds for rejection |
Comment text: Notification of reason for refusal Patent event date: 20191224 Patent event code: PE09021S01D |
|
| AMND | Amendment | ||
| E601 | Decision to refuse application | ||
| PE0601 | Decision on rejection of patent |
Patent event date: 20200610 Comment text: Decision to Refuse Application Patent event code: PE06012S01D Patent event date: 20191224 Comment text: Notification of reason for refusal Patent event code: PE06011S01I |
|
| A107 | Divisional application of patent | ||
| AMND | Amendment | ||
| PA0104 | Divisional application for international application |
Comment text: Divisional Application for International Patent Patent event code: PA01041R01D Patent event date: 20200909 |
|
| PX0901 | Re-examination |
Patent event code: PX09011S01I Patent event date: 20200610 Comment text: Decision to Refuse Application Patent event code: PX09012R01I Patent event date: 20200224 Comment text: Amendment to Specification, etc. Patent event code: PX09012R01I Patent event date: 20180823 Comment text: Amendment to Specification, etc. |
|
| PX0701 | Decision of registration after re-examination |
Patent event date: 20201008 Comment text: Decision to Grant Registration Patent event code: PX07013S01D Patent event date: 20200909 Comment text: Amendment to Specification, etc. Patent event code: PX07012R01I Patent event date: 20200610 Comment text: Decision to Refuse Application Patent event code: PX07011S01I Patent event date: 20200224 Comment text: Amendment to Specification, etc. Patent event code: PX07012R01I Patent event date: 20180823 Comment text: Amendment to Specification, etc. Patent event code: PX07012R01I |
|
| X701 | Decision to grant (after re-examination) | ||
| GRNT | Written decision to grant | ||
| PR0701 | Registration of establishment |
Comment text: Registration of Establishment Patent event date: 20201103 Patent event code: PR07011E01D |
|
| PR1002 | Payment of registration fee |
Payment date: 20201104 End annual number: 3 Start annual number: 1 |
|
| PG1601 | Publication of registration | ||
| PR1001 | Payment of annual fee |
Payment date: 20241029 Start annual number: 5 End annual number: 5 |




































































