KR20150128362A - 리튬 이차 전지 - Google Patents
리튬 이차 전지 Download PDFInfo
- Publication number
- KR20150128362A KR20150128362A KR1020140055657A KR20140055657A KR20150128362A KR 20150128362 A KR20150128362 A KR 20150128362A KR 1020140055657 A KR1020140055657 A KR 1020140055657A KR 20140055657 A KR20140055657 A KR 20140055657A KR 20150128362 A KR20150128362 A KR 20150128362A
- Authority
- KR
- South Korea
- Prior art keywords
- formula
- weight
- active material
- compound represented
- parts
- Prior art date
- Legal status (The legal status is an assumption and is not a legal conclusion. Google has not performed a legal analysis and makes no representation as to the accuracy of the status listed.)
- Granted
Links
Images
Classifications
-
- H—ELECTRICITY
- H01—ELECTRIC ELEMENTS
- H01M—PROCESSES OR MEANS, e.g. BATTERIES, FOR THE DIRECT CONVERSION OF CHEMICAL ENERGY INTO ELECTRICAL ENERGY
- H01M10/00—Secondary cells; Manufacture thereof
- H01M10/05—Accumulators with non-aqueous electrolyte
- H01M10/056—Accumulators with non-aqueous electrolyte characterised by the materials used as electrolytes, e.g. mixed inorganic/organic electrolytes
- H01M10/0564—Accumulators with non-aqueous electrolyte characterised by the materials used as electrolytes, e.g. mixed inorganic/organic electrolytes the electrolyte being constituted of organic materials only
- H01M10/0566—Liquid materials
- H01M10/0567—Liquid materials characterised by the additives
-
- H—ELECTRICITY
- H01—ELECTRIC ELEMENTS
- H01M—PROCESSES OR MEANS, e.g. BATTERIES, FOR THE DIRECT CONVERSION OF CHEMICAL ENERGY INTO ELECTRICAL ENERGY
- H01M10/00—Secondary cells; Manufacture thereof
- H01M10/05—Accumulators with non-aqueous electrolyte
- H01M10/052—Li-accumulators
-
- H—ELECTRICITY
- H01—ELECTRIC ELEMENTS
- H01M—PROCESSES OR MEANS, e.g. BATTERIES, FOR THE DIRECT CONVERSION OF CHEMICAL ENERGY INTO ELECTRICAL ENERGY
- H01M10/00—Secondary cells; Manufacture thereof
- H01M10/05—Accumulators with non-aqueous electrolyte
- H01M10/056—Accumulators with non-aqueous electrolyte characterised by the materials used as electrolytes, e.g. mixed inorganic/organic electrolytes
- H01M10/0564—Accumulators with non-aqueous electrolyte characterised by the materials used as electrolytes, e.g. mixed inorganic/organic electrolytes the electrolyte being constituted of organic materials only
- H01M10/0566—Liquid materials
- H01M10/0569—Liquid materials characterised by the solvents
-
- H—ELECTRICITY
- H01—ELECTRIC ELEMENTS
- H01M—PROCESSES OR MEANS, e.g. BATTERIES, FOR THE DIRECT CONVERSION OF CHEMICAL ENERGY INTO ELECTRICAL ENERGY
- H01M4/00—Electrodes
- H01M4/02—Electrodes composed of, or comprising, active material
- H01M4/36—Selection of substances as active materials, active masses, active liquids
- H01M4/38—Selection of substances as active materials, active masses, active liquids of elements or alloys
- H01M4/386—Silicon or alloys based on silicon
-
- H—ELECTRICITY
- H01—ELECTRIC ELEMENTS
- H01M—PROCESSES OR MEANS, e.g. BATTERIES, FOR THE DIRECT CONVERSION OF CHEMICAL ENERGY INTO ELECTRICAL ENERGY
- H01M4/00—Electrodes
- H01M4/02—Electrodes composed of, or comprising, active material
- H01M4/36—Selection of substances as active materials, active masses, active liquids
- H01M4/362—Composites
- H01M4/364—Composites as mixtures
-
- H—ELECTRICITY
- H01—ELECTRIC ELEMENTS
- H01M—PROCESSES OR MEANS, e.g. BATTERIES, FOR THE DIRECT CONVERSION OF CHEMICAL ENERGY INTO ELECTRICAL ENERGY
- H01M4/00—Electrodes
- H01M4/02—Electrodes composed of, or comprising, active material
- H01M4/36—Selection of substances as active materials, active masses, active liquids
- H01M4/48—Selection of substances as active materials, active masses, active liquids of inorganic oxides or hydroxides
- H01M4/483—Selection of substances as active materials, active masses, active liquids of inorganic oxides or hydroxides for non-aqueous cells
-
- H—ELECTRICITY
- H01—ELECTRIC ELEMENTS
- H01M—PROCESSES OR MEANS, e.g. BATTERIES, FOR THE DIRECT CONVERSION OF CHEMICAL ENERGY INTO ELECTRICAL ENERGY
- H01M4/00—Electrodes
- H01M4/02—Electrodes composed of, or comprising, active material
- H01M4/36—Selection of substances as active materials, active masses, active liquids
- H01M4/58—Selection of substances as active materials, active masses, active liquids of inorganic compounds other than oxides or hydroxides, e.g. sulfides, selenides, tellurides, halogenides or LiCoFy; of polyanionic structures, e.g. phosphates, silicates or borates
- H01M4/583—Carbonaceous material, e.g. graphite-intercalation compounds or CFx
- H01M4/587—Carbonaceous material, e.g. graphite-intercalation compounds or CFx for inserting or intercalating light metals
-
- Y—GENERAL TAGGING OF NEW TECHNOLOGICAL DEVELOPMENTS; GENERAL TAGGING OF CROSS-SECTIONAL TECHNOLOGIES SPANNING OVER SEVERAL SECTIONS OF THE IPC; TECHNICAL SUBJECTS COVERED BY FORMER USPC CROSS-REFERENCE ART COLLECTIONS [XRACs] AND DIGESTS
- Y02—TECHNOLOGIES OR APPLICATIONS FOR MITIGATION OR ADAPTATION AGAINST CLIMATE CHANGE
- Y02E—REDUCTION OF GREENHOUSE GAS [GHG] EMISSIONS, RELATED TO ENERGY GENERATION, TRANSMISSION OR DISTRIBUTION
- Y02E60/00—Enabling technologies; Technologies with a potential or indirect contribution to GHG emissions mitigation
- Y02E60/10—Energy storage using batteries
Landscapes
- Chemical & Material Sciences (AREA)
- Chemical Kinetics & Catalysis (AREA)
- Electrochemistry (AREA)
- General Chemical & Material Sciences (AREA)
- Engineering & Computer Science (AREA)
- Manufacturing & Machinery (AREA)
- Physics & Mathematics (AREA)
- Condensed Matter Physics & Semiconductors (AREA)
- General Physics & Mathematics (AREA)
- Inorganic Chemistry (AREA)
- Secondary Cells (AREA)
- Battery Electrode And Active Subsutance (AREA)
Abstract
상기 화학식 1 및 화학식 2의 구조와 정의는 명세서에 기재한 바와 같다.
Description
도 2는 실시예 1 내지 4와 비교예 1 및 2의 리튬 이차 전지에 대하여 사이클에 따른 용량 변화를 나타낸 그래프이다.
도 3은 실시예 1 내지 4와 비교예 1 및 2의 리튬 이차 전지에 대하여 사이클에 따른 전지의 두께 변화율을 나타낸 그래프이다.
도 4는 실시예 1 내지 4와 비교예 1 및 2의 리튬 이차 전지에 대하여 사이클 진행 전의 AC 임피던스를 나타내는 그래프이다.
도 5는 실시예 1 내지 4와 비교예 1 및 2의 리튬 이차 전지에 대하여 500 사이클 진행 후의 AC 임피던스를 나타내는 그래프이다.
도 6 내지 8는 각각 실시예 A 내지 F, 및 비교예 A 내지 C의 리튬 이차 전지에 대한 순환전압전류(cyclic voltammetry)를 나타낸 그래프이다.
| 실시예 | 비교예 | ||||||
| 1 | 2 | 3 | 4 | 1 | 2 | ||
| 음극활물질 | 흑연 | 97 | 97 | 97 | 97 | 97 | 97 |
| SiOx | 3 | 3 | 3 | 3 | 3 | 3 | |
| 전해액 첨가제 | FEC | 10 | 10 | 10 | 10 | 10 | - |
| FMP | 2 | 1 | 0.5 | - | - | 2 | |
| FP | - | - | - | 1 | - | - | |
| 실시예 | 비교예 | |||||||||
| A | B | C | D | E | F | A | B | C | ||
| 음극활물질 | 흑연 | 100 | 100 | 97 | 97 | 100 | 97 | |||
| SiOx | 3 | 3 | 3 | |||||||
| SCN | 100 | 100 | 100 | |||||||
| 전해액 첨가제 | FEC | 2 | - | 2 | - | 2 | - | - | - | - |
| FMP | - | 2 | 2 | - | 2 | - | - | - | ||
112: 음극
113: 세퍼레이터
114: 양극
120: 전지 용기
140: 밀봉 부재
Claims (8)
- 양극;
음극 활물질을 포함하는 음극; 및
리튬 염, 비수성 유기 용매 및 첨가제를 포함하는 전해액을 포함하고,
상기 음극 활물질은 실리콘계 물질을 포함하고,
상기 첨가제는 하기 화학식 1로 표시되는 에틸렌 카보네이트계 화합물, 및 하기 화학식 2로 표시되는 피리딘계 화합물을 포함하는
리튬 이차 전지:
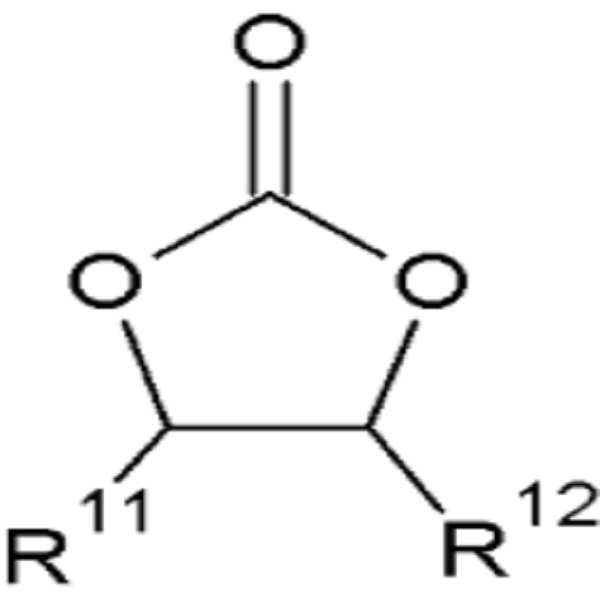
[화학식 1]
[화학식 2]
상기 화학식 1 및 상기 화학식 2에서,
R11, R12 및 R1 내지 R5는 각각 독립적으로 수소, 할로겐, 치환 또는 비치환된 C1 내지 C20 알킬기, 또는 C1 내지 C20 할로알킬기이고,
상기 R11 및 R12 중 적어도 하나는 할로겐이고,
상기 R1 내지 R5 중 적어도 하나는 할로겐이다. - 제1항에서,
상기 화학식 2에서 R1 내지 R5 중 적어도 다른 하나는 C1 내지 C20 알킬기인 리튬 이차 전지. - 제1항에서,
상기 화학식 2로 표시되는 피리딘계 화합물은 상기 비수성 유기 용매 100 중량부에 대하여 0.1 내지 3 중량부로 포함되는 리튬 이차 전지. - 제1항에서,
상기 화학식 2로 표시되는 피리딘계 화합물은 상기 비수성 유기 용매 100 중량부에 대하여 0.1 내지 1 중량부로 포함되는 리튬 이차 전지. - 제1항에서,
상기 화학식 1로 표시되는 에틸렌 카보네이트계 화합물은 상기 비수성 유기 용매 100 중량부에 대하여 0.1 내지 20 중량부로 포함되는 리튬 이차 전지. - 제1항에서,
상기 화학식 1로 표시되는 에틸렌 카보네이트계 화합물은 상기 비수성 유기 용매 100 중량부에 대하여 7 내지 12 중량부로 포함되는 리튬 이차 전지. - 제1항에서,
상기 화학식 1로 표시되는 에틸렌 카보네이트계 화합물과 상기 화학식 2로 표시되는 피리딘계 화합물은 5:1 내지 20:1의 중량비로 포함되는 것인 리튬 이차 전지. - 제1항에서,
상기 실리콘계 물질은 Si, SiOx, Si-C 복합체, Si-Q 합금, 또는 이들의 조합을 포함하고,
상기 x는 0<x<2이고,
상기 Q는 알칼리 금속, 알칼리 토금속, 13족 내지 16족 원소, 전이금속, 희토류 원소 또는 이들의 조합이며, 상기 Q에서 Si은 제외되는 것인
리튬 이차 전지.
Priority Applications (2)
| Application Number | Priority Date | Filing Date | Title |
|---|---|---|---|
| KR1020140055657A KR102130028B1 (ko) | 2014-05-09 | 2014-05-09 | 리튬 이차 전지 |
| US14/661,801 US9825334B2 (en) | 2014-05-09 | 2015-03-18 | Rechargeable lithium battery |
Applications Claiming Priority (1)
| Application Number | Priority Date | Filing Date | Title |
|---|---|---|---|
| KR1020140055657A KR102130028B1 (ko) | 2014-05-09 | 2014-05-09 | 리튬 이차 전지 |
Publications (2)
| Publication Number | Publication Date |
|---|---|
| KR20150128362A true KR20150128362A (ko) | 2015-11-18 |
| KR102130028B1 KR102130028B1 (ko) | 2020-07-03 |
Family
ID=54368601
Family Applications (1)
| Application Number | Title | Priority Date | Filing Date |
|---|---|---|---|
| KR1020140055657A Active KR102130028B1 (ko) | 2014-05-09 | 2014-05-09 | 리튬 이차 전지 |
Country Status (2)
| Country | Link |
|---|---|
| US (1) | US9825334B2 (ko) |
| KR (1) | KR102130028B1 (ko) |
Cited By (2)
| Publication number | Priority date | Publication date | Assignee | Title |
|---|---|---|---|---|
| KR20210148715A (ko) | 2020-06-01 | 2021-12-08 | 주식회사 엘지에너지솔루션 | 리튬 이차전지용 비수전해액 및 이를 포함하는 리튬 이차전지 |
| KR20220010200A (ko) * | 2020-07-17 | 2022-01-25 | 주식회사 엘지에너지솔루션 | 리튬 이차전지용 비수 전해액 및 이를 포함하는 리튬 이차전지 |
Families Citing this family (14)
| Publication number | Priority date | Publication date | Assignee | Title |
|---|---|---|---|---|
| US10707526B2 (en) | 2015-03-27 | 2020-07-07 | New Dominion Enterprises Inc. | All-inorganic solvents for electrolytes |
| US10707531B1 (en) | 2016-09-27 | 2020-07-07 | New Dominion Enterprises Inc. | All-inorganic solvents for electrolytes |
| US10686228B2 (en) | 2016-12-14 | 2020-06-16 | Pacesetter, Inc. | Pouch battery for use in implantable electronic devices |
| KR102278634B1 (ko) * | 2017-12-20 | 2021-07-16 | 주식회사 엘지에너지솔루션 | 리튬이차전지용 음극, 이의 제조방법 및 이를 포함한 리튬이차전지 |
| CN108493481B (zh) * | 2018-04-04 | 2019-03-22 | 深圳新宙邦科技股份有限公司 | 一种锂离子电池非水电解液及锂离子电池 |
| CN109638351B (zh) * | 2018-11-02 | 2021-08-24 | 珠海市赛纬电子材料股份有限公司 | 一种兼顾高低温性能的高电压电解液及其锂离子电池 |
| CN109687022B (zh) * | 2018-12-25 | 2020-12-01 | 杉杉新材料(衢州)有限公司 | 一种含氟溶剂和吡啶类添加剂的电解液及使用该电解液的锂离子电池 |
| CN109802177B (zh) * | 2018-12-25 | 2020-10-16 | 杉杉新材料(衢州)有限公司 | 一种含硅溶剂和吡啶类添加剂的电解液及使用该电解液的锂离子电池 |
| JP2020198276A (ja) * | 2019-06-05 | 2020-12-10 | 時空化学株式会社 | 電解質用添加剤、リチウムイオン二次電池用電解質及びリチウムイオン二次電池 |
| CN110994027B (zh) * | 2019-12-25 | 2022-05-13 | 湖州昆仑亿恩科电池材料有限公司 | 具有良好高温循环特性的锂离子电池电解液和锂离子电池 |
| US12087907B2 (en) * | 2020-03-03 | 2024-09-10 | Ningde Amperex Technology Limited | Electrolyte and electrochemical device using the same |
| JP7493180B2 (ja) * | 2020-06-12 | 2024-05-31 | 時空化学株式会社 | 電池用電解液及びリチウム電池 |
| CN114142090B (zh) * | 2021-11-20 | 2023-10-31 | 九江天赐高新材料有限公司 | 电解液添加剂组合物、电解液及锂二次电池 |
| US20250259802A1 (en) * | 2022-04-18 | 2025-08-14 | Maxwell Technologies Korea Co., Ltd. | Halogenated compounds for energy storage device formulations |
Citations (2)
| Publication number | Priority date | Publication date | Assignee | Title |
|---|---|---|---|---|
| JP2011054490A (ja) * | 2009-09-03 | 2011-03-17 | Mitsubishi Chemicals Corp | 非水系電解液及びそれを用いたリチウム二次電池 |
| JP2011060464A (ja) * | 2009-09-07 | 2011-03-24 | Mitsubishi Chemicals Corp | 非水系電解液およびそれを用いた電池 |
Family Cites Families (6)
| Publication number | Priority date | Publication date | Assignee | Title |
|---|---|---|---|---|
| US6767671B2 (en) * | 2000-07-14 | 2004-07-27 | Mitsubishi Chemical Corporation | Non-aqueous electrolytic solution and secondary battery containing same |
| EP1187244A2 (de) | 2000-09-07 | 2002-03-13 | MERCK PATENT GmbH | Organische Amine als Additive in elektrochemischen Zellen |
| JP4281895B2 (ja) | 2001-12-28 | 2009-06-17 | 三井化学株式会社 | 非水電解液およびそれを用いたリチウム二次電池 |
| KR100511517B1 (ko) | 2002-12-31 | 2005-08-31 | 제일모직주식회사 | 리튬전지용 비수전해액 |
| KR20080087341A (ko) | 2007-03-26 | 2008-10-01 | 삼성에스디아이 주식회사 | 리튬 이차 전지 |
| KR101293269B1 (ko) | 2010-01-15 | 2013-08-09 | 주식회사 엘지화학 | 과충전에 대한 안전성이 우수한 리튬 이차전지용 전해질 및 이를 포함하는 리튬 이차전지 |
-
2014
- 2014-05-09 KR KR1020140055657A patent/KR102130028B1/ko active Active
-
2015
- 2015-03-18 US US14/661,801 patent/US9825334B2/en active Active
Patent Citations (2)
| Publication number | Priority date | Publication date | Assignee | Title |
|---|---|---|---|---|
| JP2011054490A (ja) * | 2009-09-03 | 2011-03-17 | Mitsubishi Chemicals Corp | 非水系電解液及びそれを用いたリチウム二次電池 |
| JP2011060464A (ja) * | 2009-09-07 | 2011-03-24 | Mitsubishi Chemicals Corp | 非水系電解液およびそれを用いた電池 |
Cited By (2)
| Publication number | Priority date | Publication date | Assignee | Title |
|---|---|---|---|---|
| KR20210148715A (ko) | 2020-06-01 | 2021-12-08 | 주식회사 엘지에너지솔루션 | 리튬 이차전지용 비수전해액 및 이를 포함하는 리튬 이차전지 |
| KR20220010200A (ko) * | 2020-07-17 | 2022-01-25 | 주식회사 엘지에너지솔루션 | 리튬 이차전지용 비수 전해액 및 이를 포함하는 리튬 이차전지 |
Also Published As
| Publication number | Publication date |
|---|---|
| KR102130028B1 (ko) | 2020-07-03 |
| US20150325880A1 (en) | 2015-11-12 |
| US9825334B2 (en) | 2017-11-21 |
Similar Documents
| Publication | Publication Date | Title |
|---|---|---|
| KR102130028B1 (ko) | 리튬 이차 전지 | |
| KR101754608B1 (ko) | 리튬 이차 전지용 전해액 및 이를 포함하는 리튬 이차 전지 | |
| EP3739673A1 (en) | Rechargeable lithium battery | |
| KR101733737B1 (ko) | 리튬 이차 전지용 전해액 및 이를 포함하는 리튬 이차 전지 | |
| KR101765190B1 (ko) | 리튬 이차 전지 및 그 제조 방법 | |
| KR101711981B1 (ko) | 리튬 이차 전지용 비수 전해질 및 이를 포함하는 리튬 이차 전지 | |
| KR101649133B1 (ko) | 리튬 이차 전지용 비수 전해질 및 이를 포함하는 리튬 이차 전지 | |
| EP3451433B1 (en) | Rechargeable lithium battery | |
| KR101666877B1 (ko) | 리튬 이차 전지 | |
| KR20140139294A (ko) | 리튬 이차 전지용 음극 활물질, 이를 포함하는 음극 및 리튬 이차 전지 | |
| JP6526375B2 (ja) | リチウム二次電池用非水電解質およびこれを含むリチウム二次電池 | |
| KR20150057730A (ko) | 리튬 이차 전지용 음극 활물질층 조성물 및 이의 제조 방법, 그리고 이를 포함하는 음극 및 리튬 이차 전지 | |
| EP2728651A1 (en) | Positive electrode for rechargeable lithium battery and rechargeable lithium battery including same | |
| KR20150087457A (ko) | 리튬 이차 전지용 전해액 및 이를 포함하는 리튬 이차 전지 | |
| KR101702981B1 (ko) | 리튬 이차 전지용 전해액 및 이를 포함하는 리튬 이차 전지 | |
| KR20140139845A (ko) | 리튬 이차 전지용 전극, 및 상기 전극을 포함하는 리튬 이차 전지 | |
| KR102296816B1 (ko) | 리튬 이차 전지용 전해액 및 이를 포함하는 리튬 이차 전지 | |
| KR20140095652A (ko) | 리튬 이차 전지용 전해액 및 이를 포함하는 리튬 이차 전지 | |
| KR20150094088A (ko) | 전해액 첨가제, 전해액 및 리튬 이차 전지 | |
| EP4239747A1 (en) | Electrolyte for rechargeable lithium battery and rechargeable lithium battery including same | |
| KR20150093057A (ko) | 리튬 이차전지용 전해액 및 이를 포함하는 리튬 이차전지 | |
| KR102515100B1 (ko) | 리튬 이차 전지용 전해액 및 이를 포함하는 리튬 이차 전지 | |
| KR20140134953A (ko) | 리튬 이차 전지용 전해액 및 이를 포함하는 리튬 이차 전지 | |
| KR101557486B1 (ko) | 리튬 이차 전지 | |
| EP4358185A1 (en) | Rechargeable lithium battery |
Legal Events
| Date | Code | Title | Description |
|---|---|---|---|
| PA0109 | Patent application |
Patent event code: PA01091R01D Comment text: Patent Application Patent event date: 20140509 |
|
| PG1501 | Laying open of application | ||
| A201 | Request for examination | ||
| PA0201 | Request for examination |
Patent event code: PA02012R01D Patent event date: 20190329 Comment text: Request for Examination of Application Patent event code: PA02011R01I Patent event date: 20140509 Comment text: Patent Application |
|
| E701 | Decision to grant or registration of patent right | ||
| PE0701 | Decision of registration |
Patent event code: PE07011S01D Comment text: Decision to Grant Registration Patent event date: 20200521 |
|
| GRNT | Written decision to grant | ||
| PR0701 | Registration of establishment |
Comment text: Registration of Establishment Patent event date: 20200629 Patent event code: PR07011E01D |
|
| PR1002 | Payment of registration fee |
Payment date: 20200629 End annual number: 3 Start annual number: 1 |
|
| PG1601 | Publication of registration | ||
| PR1001 | Payment of annual fee |
Payment date: 20230522 Start annual number: 4 End annual number: 4 |








