JP7655893B2 - 水回り用成形体及び方法 - Google Patents
水回り用成形体及び方法 Download PDFInfo
- Publication number
- JP7655893B2 JP7655893B2 JP2022500384A JP2022500384A JP7655893B2 JP 7655893 B2 JP7655893 B2 JP 7655893B2 JP 2022500384 A JP2022500384 A JP 2022500384A JP 2022500384 A JP2022500384 A JP 2022500384A JP 7655893 B2 JP7655893 B2 JP 7655893B2
- Authority
- JP
- Japan
- Prior art keywords
- acid
- polyamide
- units
- mass
- parts
- Prior art date
- Legal status (The legal status is an assumption and is not a legal conclusion. Google has not performed a legal analysis and makes no representation as to the accuracy of the status listed.)
- Active
Links
Classifications
-
- C—CHEMISTRY; METALLURGY
- C08—ORGANIC MACROMOLECULAR COMPOUNDS; THEIR PREPARATION OR CHEMICAL WORKING-UP; COMPOSITIONS BASED THEREON
- C08L—COMPOSITIONS OF MACROMOLECULAR COMPOUNDS
- C08L77/00—Compositions of polyamides obtained by reactions forming a carboxylic amide link in the main chain; Compositions of derivatives of such polymers
- C08L77/06—Polyamides derived from polyamines and polycarboxylic acids
-
- C—CHEMISTRY; METALLURGY
- C08—ORGANIC MACROMOLECULAR COMPOUNDS; THEIR PREPARATION OR CHEMICAL WORKING-UP; COMPOSITIONS BASED THEREON
- C08G—MACROMOLECULAR COMPOUNDS OBTAINED OTHERWISE THAN BY REACTIONS ONLY INVOLVING UNSATURATED CARBON-TO-CARBON BONDS
- C08G69/00—Macromolecular compounds obtained by reactions forming a carboxylic amide link in the main chain of the macromolecule
- C08G69/02—Polyamides derived from amino-carboxylic acids or from polyamines and polycarboxylic acids
- C08G69/26—Polyamides derived from amino-carboxylic acids or from polyamines and polycarboxylic acids derived from polyamines and polycarboxylic acids
- C08G69/265—Polyamides derived from amino-carboxylic acids or from polyamines and polycarboxylic acids derived from polyamines and polycarboxylic acids from at least two different diamines or at least two different dicarboxylic acids
-
- C—CHEMISTRY; METALLURGY
- C08—ORGANIC MACROMOLECULAR COMPOUNDS; THEIR PREPARATION OR CHEMICAL WORKING-UP; COMPOSITIONS BASED THEREON
- C08K—Use of inorganic or non-macromolecular organic substances as compounding ingredients
- C08K5/00—Use of organic ingredients
- C08K5/04—Oxygen-containing compounds
- C08K5/13—Phenols; Phenolates
- C08K5/134—Phenols containing ester groups
- C08K5/1345—Carboxylic esters of phenolcarboxylic acids
-
- C—CHEMISTRY; METALLURGY
- C08—ORGANIC MACROMOLECULAR COMPOUNDS; THEIR PREPARATION OR CHEMICAL WORKING-UP; COMPOSITIONS BASED THEREON
- C08K—Use of inorganic or non-macromolecular organic substances as compounding ingredients
- C08K7/00—Use of ingredients characterised by shape
- C08K7/02—Fibres or whiskers
- C08K7/04—Fibres or whiskers inorganic
- C08K7/14—Glass
-
- C—CHEMISTRY; METALLURGY
- C08—ORGANIC MACROMOLECULAR COMPOUNDS; THEIR PREPARATION OR CHEMICAL WORKING-UP; COMPOSITIONS BASED THEREON
- C08K—Use of inorganic or non-macromolecular organic substances as compounding ingredients
- C08K3/00—Use of inorganic substances as compounding ingredients
- C08K3/02—Elements
- C08K3/04—Carbon
-
- C—CHEMISTRY; METALLURGY
- C08—ORGANIC MACROMOLECULAR COMPOUNDS; THEIR PREPARATION OR CHEMICAL WORKING-UP; COMPOSITIONS BASED THEREON
- C08K—Use of inorganic or non-macromolecular organic substances as compounding ingredients
- C08K3/00—Use of inorganic substances as compounding ingredients
- C08K3/34—Silicon-containing compounds
- C08K3/346—Clay
-
- C—CHEMISTRY; METALLURGY
- C08—ORGANIC MACROMOLECULAR COMPOUNDS; THEIR PREPARATION OR CHEMICAL WORKING-UP; COMPOSITIONS BASED THEREON
- C08L—COMPOSITIONS OF MACROMOLECULAR COMPOUNDS
- C08L2205/00—Polymer mixtures characterised by other features
- C08L2205/02—Polymer mixtures characterised by other features containing two or more polymers of the same C08L -group
- C08L2205/025—Polymer mixtures characterised by other features containing two or more polymers of the same C08L -group containing two or more polymers of the same hierarchy C08L, and differing only in parameters such as density, comonomer content, molecular weight, structure
-
- E—FIXED CONSTRUCTIONS
- E03—WATER SUPPLY; SEWERAGE
- E03C—DOMESTIC PLUMBING INSTALLATIONS FOR FRESH WATER OR WASTE WATER; SINKS
- E03C1/00—Domestic plumbing installations for fresh water or waste water; Sinks
- E03C1/02—Plumbing installations for fresh water
- E03C1/025—Water supply lines as such, e.g. shower hoses
Landscapes
- Chemical & Material Sciences (AREA)
- Health & Medical Sciences (AREA)
- Chemical Kinetics & Catalysis (AREA)
- Medicinal Chemistry (AREA)
- Polymers & Plastics (AREA)
- Organic Chemistry (AREA)
- Compositions Of Macromolecular Compounds (AREA)
Description
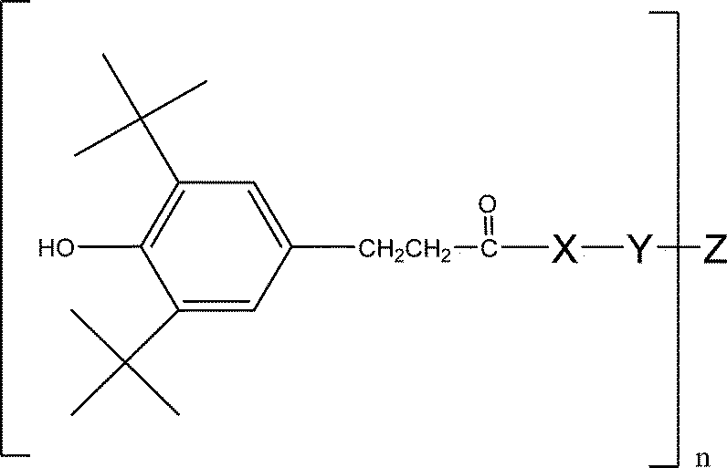
[1]半芳香族ポリアミド(A)100質量部に対して、無機充填剤(B)10~200質量部及びフェノール系酸化防止剤(C)0.1~2.0質量部の割合で含む樹脂組成物からなる水回り用成形体であって、前記半芳香族ポリアミド(A)は、芳香族ジカルボン酸単位を主成分とするジカルボン酸単位と、脂肪族ジアミン単位を主成分とするジアミン単位とを含み、前記フェノール系酸化防止剤(C)が、分子中に下記式(1)で表される構造を有する、水回り用成形体。
(式(1)中、**は結合部を表す。)
[2]前記半芳香族ポリアミド(A)100質量部に対して、前記フェノール系酸化防止剤(C)を0.1~1.0質量部の割合で含む、上記〔1〕に記載の水回り用成形体。
[3]前記ジカルボン酸単位の50~100モル%が、テレフタル酸及びナフタレンジカルボン酸の少なくともいずれかに由来する構造単位であり、前記ジアミン単位の60~100モル%が、炭素数4~10の脂肪族ジアミンに由来する構造単位である、上記〔1〕又は〔2〕に記載の水回り用成形体。
[4]フェノール系酸化防止剤(C)がエステル基及びアミド基の少なくともいずれかを更に有する、上記〔1〕~〔3〕のいずれかに記載の水回り用成形体。
[5]厚みが0.5mm以上である、上記〔1〕~〔4〕のいずれかに記載の水回り用成形体。
[6]上記〔1〕~〔5〕のいずれかに記載の水回り用成形体を、次亜塩素酸及び次亜塩素酸塩の少なくともいずれかを含む水と接触する環境下で使用する方法。
[7]樹脂組成物又は該樹脂組成物からなる成形体を、次亜塩素酸及び次亜塩素酸塩の少なくともいずれかを含む水と接触する環境下で使用する方法であって、前記樹脂組成物が、分子中に下記式(1)で表される構造を有するフェノール系酸化防止剤(C)を含む、方法。
(式(1)中、**は結合部を表す。)
[8]前記樹脂組成物がポリアミド(D)を更に含む、上記〔7〕に記載の方法。
[9]前記ポリアミド(D)は、芳香族ジカルボン酸単位を主成分とするジカルボン酸単位と脂肪族ジアミン単位を主成分とするジアミン単位とを含む半芳香族ポリアミド(A)である、上記〔8〕に記載の方法。
[10]前記半芳香族ポリアミド(A)は、芳香族ジカルボン酸単位を主成分とするジカルボン酸単位と、炭素数4~10の脂肪族ジアミン単位を主成分とするジアミン単位とを含む、上記〔9〕に記載の方法。
水栓用途の具体例としては、例えば、水道水の運搬用部品のハウジング;水道水の貯蔵用部品のハウジング;フィルターケーシングのハウジング;蛇口のハウジング;パイプのハウジング;浴室水栓(湯水の切換え弁、水量切り替えバルブ等)のハウジング;衛生部品のハウジング;キッチン水栓のハウジング;温水器のハウジング;弁部品(シャットオフボール、スライド、シリンダー)および弁部品ハウジング;トイレ止水栓のハウジング;シャワーヘッド内のハウジング;給湯器のバルブハウジング;住設配管(床下配管等)の継手;浴室水栓の継手;水道配管の継手;パイプジョイント;水道メーターのハウジング;水道メーター部品(軸受、プロペラ、ピン)および水道メーター;ガスメーターのハウジング;分配器のハウジング;家庭用装置のバルブ/ポンプハウジング;スチームアイロンの耐スチーム部品;ポンプのハウジング;ポンプ部品(例えばタービン・ホイール、インペラ);水供給システム(温水タンク等)のハウジング;加熱システムのハウジング;冷却システムのハウジング;水量調節弁;減圧弁;逃がし弁;電磁弁;三方弁;サーモバルブ;湯温センサー;水量センサー;浴槽用アダプタ;などが挙げられる。
調理家電用途の具体例としては、紅茶及びコーヒーメーカーのバルブ/ポンプハウジング;調理家電(炊飯器、蒸し器等)のバルブ/ポンプハウジング;調理家電(炊飯器、蒸し器等)の耐スチーム部品(炊飯器の上蓋等);調理家電(炊飯器、蒸し器等)の摺動部品(ギア等);業務用調理器具の摺動部品(ギアポンプ用ギア等);業務用調理器具の耐スチーム部品(業務用炊飯器のパイプ等);などが挙げられる。
本明細書において、「XX~YY」との記載は、「XX以上YY以下」を意味する。
本明細書において、好ましい数値範囲(例えば、含有量等の範囲)について、段階的に記載された下限値及び上限値は、それぞれ独立して組み合わせることができる。例えば、「好ましくは10~90、より好ましくは30~60」という記載から、「好ましい下限値(10)」と「より好ましい上限値(60)」とを組み合わせて、「10~60」とすることもできる。
また、本明細書において、「~単位」(ここで「~」は単量体を示す)とは「~に由来する構造単位」を意味し、例えば「プロピレン単位」とは「プロピレンに由来する構造単位」を意味する。
また、本明細書において、「主成分とする」とは、全単位中の50~100モル%、好ましくは60~100モル%を構成することをいう。
また、本明細書において、「アミド基1個当たりの炭素数」は、アミド基1個当たりの各繰り返し単位中に含まれる全炭素数(アミド基の炭素も含む)の平均値である。
さらに、本明細書において、微量であっても次亜塩素酸及び次亜塩素酸塩の少なくともいずれかを含む水であれば、「次亜塩素酸及び次亜塩素酸塩の少なくともいずれかを含む水」に該当するが、次亜塩素酸及び次亜塩素酸塩の合計含有量は、通常、0.01ppm以上10000ppm以下である。
本発明の水回り用成形体は、半芳香族ポリアミド(A)100質量部に対して、無機充填剤(B)10~200質量部及びフェノール系酸化防止剤(C)0.1~2.0質量部の割合で含む樹脂組成物からなる水回り用成形体であって、前記半芳香族ポリアミド(A)は、芳香族ジカルボン酸単位を主成分とするジカルボン酸単位と、脂肪族ジアミン単位を主成分とするジアミン単位とを含み、前記フェノール系酸化防止剤(C)が、分子中に下記式(1)で表される構造を有することを特徴とする。
(式(1)中、**は結合部を表す。)
本発明によれば、樹脂組成物に特定構造のフェノール系酸化防止剤を添加することにより、水道水に殺菌用として含まれる塩素系酸化物質に起因するラジカル発生によるポリアミドの分子切断を抑制することができ、ひいては成形体の性能が低下するのを抑制することができる。
前記水回り用成形体は、上述の樹脂組成物を用いて、射出成形法、ブロー成形法、押出成形法、圧縮成形法、延伸成形法、真空成形法、発泡成形法、回転成形法、含浸法、レーザー焼結法、熱溶解積層法等の各種成形方法で成形することにより得ることができる。さらに、上述の樹脂組成物と他のポリマー等とを複合成形して水回り用成形体を得ることもできる。
前記水回り用成形体の具体例としては、水と接触する環境下で用いられる成形体である限り、特に制限はなく、例えば、継手、耐スチーム部品、フィルム、シート、チューブ、パイプ、ギア等の摺動部品、カム、各種ハウジング、ローラー、インペラー、ベアリングリテーナー、スプリングホルダー、クラッチパーツ、チェインテンショナー、タンク、ホイール、コンデンサー、ジャック、LEDリフレクタ、などが挙げられる。
前記水回り用成形体の厚みとしては、特に制限はないが、耐水圧の観点で、0.5mm以上であることが好ましく、0.8mm以上がより好ましく、1.0mm以上が特に好ましい。
半芳香族ポリアミドは、芳香族ジカルボン酸単位を主成分とするジカルボン酸単位と、脂肪族ジアミン単位を主成分とするジアミン単位とを含むポリアミドである。
これらの中でも、テレフタル酸、ナフタレンジカルボン酸が好ましい。なお、上記ナフタレンジカルボン酸としては、2,6-ナフタレンジカルボン酸が好ましい。
これらの中でも、1,4-ブタンジアミン、1,6-ヘキサンジアミン、1,9-ノナンジアミン、2-メチル-1,8-オクタンジアミン及び1,10-デカンジアミンから選ばれる少なくとも1種であることがより好ましく、耐熱性、低吸水性及び耐薬液性により一層優れる樹脂組成物が得られることから、1,9-ノナンジアミンと2-メチル-1,8-オクタンジアミンとの少なくとも一方を使用することが好ましく、両者を併用することがより好ましい。1,9-ノナンジアミン及び2-メチル-1,8-オクタンジアミンを併用する場合、1,9-ノナンジアミン:2-メチル-1,8-オクタンジアミンのモル比は、99:1~1:99が好ましく、95:5~50:50がより好ましく、90:10~75:25が更に好ましく、85:15~78:22が特に好ましい。1,9-ノナンジアミン及び2-メチル-1,8-オクタンジアミンのモル比が前記範囲内であると、成形体の強度が高くなり、低吸水性も実現できる。
当該アミノカルボン酸単位としては、例えば、11-アミノウンデカン酸、12-アミノドデカン酸などに由来する単位を挙げることができ、アミノカルボン酸単位は、2種以上含まれていてもよい。半芳香族ポリアミドにおけるアミノカルボン酸単位の含有率は、半芳香族ポリアミドを構成する全モノマー単位100モル%に対して、40モル%以下であることが好ましく、20モル%以下であることがより好ましく、10モル%以下であることがさらに好ましい。
これらの中でも、ポリノナメチレンナフタレンジカルボキサミド(ポリアミド9N)、ポリノナメチレンナフタレンジカルボキサミド/ポリ(2-メチルオクタメチレン)ナフタレンジカルボキサミドコポリマー(ナイロン9N/M8N)、ポリノナメチレンテレフタルアミド(ポリアミド9T)、ポリノナメチレンテレフタルアミド/ポリ(2-メチルオクタメチレン)テレフタルアミドコポリマー(ナイロン9T/M8T)及びポリデカメチレンテレフタルアミド(ポリアミド10T)から選ばれる少なくとも1種が好ましく、ポリノナメチレンナフタレンジカルボキサミド/ポリ(2-メチルオクタメチレン)ナフタレンジカルボキサミドコポリマー(ナイロン9N/M8N)、及びポリノナメチレンテレフタルアミド/ポリ(2-メチルオクタメチレン)テレフタルアミドコポリマー(ナイロン9T/M8T)から選ばれる少なくとも1種がより好ましく、ポリノナメチレンテレフタルアミド(ポリアミド9T)、ポリノナメチレンテレフタルアミド/ポリ(2-メチルオクタメチレン)テレフタルアミドコポリマー(ナイロン9T/M8T)がさらに好ましい。
これらの中でも、反応性、封止末端の安定性、価格などの点から、酢酸、プロピオン酸、酪酸、吉草酸、カプロン酸、カプリル酸、ラウリン酸、トリデカン酸、ミリスチン酸、パルミチン酸、ステアリン酸、及び安息香酸から選ばれる少なくとも1種が好ましい。
これらの中でも、反応性、沸点、封止末端の安定性及び価格などの観点から、ブチルアミン、ヘキシルアミン、オクチルアミン、デシルアミン、ステアリルアミン、シクロヘキシルアミン、及びアニリンから選ばれる少なくとも1種が好ましい。
本発明における樹脂組成物は、無機充填剤(B)を含有する。無機充填剤(B)を含有することにより、強度に優れ、低吸水性の樹脂組成物となる。
無機充填剤(B)としては、例えば、ガラス繊維、炭素繊維、ケイ酸カルシウム繊維、チタン酸カリウム繊維、ホウ酸アルミニウム繊維等の繊維状充填剤;ガラスフレーク、タルク、カオリン、マイカ、窒化珪素、ハイドロタルサイト、炭酸カルシウム、炭酸亜鉛、酸化チタン、リン酸一水素カルシウム、ウォラストナイト、シリカ、ゼオライト、アルミナ、ベーマイト、水酸化アルミニウム、ケイ酸カルシウム、アルミノケイ酸ナトリウム、ケイ酸マグネシウム、ケッチェンブラック、アセチレンブラック、ファーネスブラック、カーボンナノチューブ、グラファイト、グラフェン、黄銅、銅、銀、アルミニウム、ニッケル、鉄、フッ化カルシウム、モンモリロナイト、膨潤性フッ素雲母、アパタイト等が挙げられる。これらの無機充填剤(B)は1種を単独で用いてもよく、2種以上を併用してもよい。
これらの平均繊維径、平均繊維長、及びアスペクト比のいずれか2つ以上の好ましい態様の組み合わせを有する繊維状充填剤が、樹脂組成物の高温強度、耐熱性、及び機械的強度等に優れる観点からさらに好ましい。
なお、繊維状充填剤の平均繊維径及び平均繊維長は、光学顕微鏡により観察、測定することができる。
また、繊維状充填剤の断面形状に特に制限はなく、正方形又は円形でもよいし、扁平でもよい。断面形状が扁平のものとしては、例えば、長方形、長方形に近い長円形、楕円形、繭型、長手方向の中央部がくびれた繭型等が挙げられる。断面の最長径と最短径の比率である扁平度は1以上5未満が好ましく、1であることが更に好ましい。
樹脂組成物に特定構造のフェノール系酸化防止剤(C)を添加することにより、水道水に殺菌用として含まれる塩素系酸化物質に起因するラジカル発生によるポリアミドの分子切断を抑制することができ、ひいては成形体の性能が低下するのを抑制することができる。
詳述すると、水(水酸基)の存在下において、特定構造のフェノール系酸化防止剤(C)を含まない樹脂組成物では、塩素系酸化物質によりヒドロキシラジカルが発生し、該生成したラジカルが半芳香族ポリアミド(A)の主鎖中にラジカルを発生させ、その結果として分子鎖を切断するものと推定される。これに対し、特定構造のフェノール系酸化防止剤(C)を含む樹脂組成物では、特定構造のフェノール系酸化防止剤(C)が、塩素系酸化物質により発生したヒドロキシラジカルの酸化反応を阻害して、ラジカル(O2・)の発生を抑制するので、水中での半芳香族ポリアミド(A)の分子切断(分解)を抑制することができるものと推定される。
上記「フェノール構造」とは、好ましくは下記式(1)で示される構造である。
(式(1)中、**は結合部を表す。)
前記式(1)で表される構造を有するヒンダートフェノール系酸化防止剤の方が、該構造を有さないセミヒンダードフェノール系よりも、安定性が高く、分解しにくく、寿命が長いため、長期にわたって効果を発揮する。
これらの中でも、N,N’-ヘキサメチレンビス[3-(3,5-ジ-tert-ブチル-4-ヒドロキシフェニル)プロパンアミド]、ペンタエリトリトールテトラキス[3-(3,5-ジ-tert-ブチル-4-ヒドロキシフェニル)プロピオナート]が好ましく、N,N’-ヘキサメチレンビス[3-(3,5-ジ-tert-ブチル-4-ヒドロキシフェニル)プロパンアミド]がより好ましい。
半芳香族ポリアミド(A)100質量部に対するフェノール系酸化防止剤(C)の含有量が、0.1質量部未満であると、フェノール系酸化防止剤(C)の配合の効果が得られないおそれがあり、また、2.0質量部を超えると酸化防止剤の分解物が増え、樹脂の分子切断(分解)を助長するおそれがある。
樹脂組成物中における、半芳香族ポリアミド(A)、無機充填剤(B)及びフェノール系酸化防止剤(C)の合計含有量としては、80質量%以上が好ましく、90質量%以上がより好ましく、95質量%以上が特に好ましい。
樹脂組成物は、上記半芳香族ポリアミド(A)、無機充填剤(B)及びフェノール系酸化防止剤(C)以外にその他の添加剤を必要に応じて含んでいてもよい。
その他の添加剤としては、例えば、ビス(2-トリメトキシシリルエチル)アミン、ビス(2-トリエトキシシリルエチル)アミン、ビス(3-トリメトキシシリルプロピル)アミン、ビス(3-トリエトキシシリルプロピル)アミン等のシランカップリング剤;銅化合物等の安定剤;フェノール系酸化防止剤(C)以外の酸化防止剤(例えば、アミン系酸化防止剤、リン系酸化防止剤、チオ系酸化防止剤等);カーボンブラック等の着色剤;顔料;流動性改善剤;紫外線吸収剤;光安定化剤;熱安定剤;帯電防止剤;臭素化ポリマー、酸化アンチモン、金属水酸化物、ホスフィン酸塩等の難燃剤;難燃助剤;タルク等の結晶核剤;可塑剤;滑剤;分散剤;酸素吸収剤;硫化水素吸着剤;超高分子量ポリエチレンやPTFE等の潤滑剤;アラミド繊維等の全芳香族ポリアミド繊維等の有機繊維状充填剤;α-オレフィン系共重合体、ゴム等の衝撃改質剤などが挙げられる。
上記その他の添加剤の含有量は、本発明の効果を損なわない限りにおいて特に限定されないが、半芳香族ポリアミド(A)100質量部に対して、0.02~200質量部が好ましく、0.03~100質量部がより好ましい。
その他の添加剤の含有量を半芳香族ポリアミド(A)100質量部に対して0.02質量部以上とすることで、製造上のメリットにより分子量保持率を向上させることができる。
樹脂組成物の製造方法としては、特に制限はなく、半芳香族ポリアミド(A)、無機充填剤(B)、フェノール系酸化防止剤(C)及び必要に応じて用いられる上記その他の添加剤等を均一に混合することのできる方法を好ましく採用することができる。混合は、通常、単軸押出機、二軸押出機、ニーダー、バンバリーミキサーなどを使用して溶融混練する方法が好ましく採用される。溶融混練条件は特に限定されないが、例えば、半芳香族ポリアミド(A)の融点よりも10~60℃程度高い温度範囲で、約1~30分間溶融混練する方法が挙げられる。
本発明の第1の使用方法は、本発明の水回り用成形体を、次亜塩素酸及び次亜塩素酸塩の少なくともいずれかを含む水と接触する環境下で使用する方法である。
本発明の第2の使用方法は、上述のフェノール系酸化防止剤(C)を含む樹脂組成物又は該樹脂組成物からなる成形体を、次亜塩素酸及び次亜塩素酸塩の少なくともいずれかを含む水と接触する環境下で使用する方法である。
本発明の第2の使用方法で用いられる樹脂組成物としては、「水回り用成形体」の欄で上述した「フェノール系酸化防止剤(C)」を含む樹脂組成物である限り、特に制限はないが、ポリアミド(D)を更に含むことが好ましい。また、本発明の第2の使用方法で用いられる樹脂組成物は、「水回り用成形体」の欄で上述した「無機充填剤(B)」、及び、「水回り用成形体」の欄で上述した「その他の添加剤」を更に含んでいてもよい。
フェノール系酸化防止剤(C)の含有量としては、特に制限はないが、ポリアミド(D)100質量部に対して、0.1質量部以上2.0質量部以下が好ましく、0.15質量部以上1.5質量部以下がより好ましく、0.2質量部以上1.0質量部以下が特に好ましい。
任意成分としての無機充填剤(B)の含有量としては、特に制限はないが、ポリアミド(D)100質量部に対して、10質量部以上200質量部以下が好ましく、15質量部以上がより好ましく、20質量部以上がさらに好ましく、25質量部以上がよりさらに好ましく、35質量部以上がよりさらに好ましく、45質量部以上がよりさらに好ましく、そして、140質量部以下がより好ましく、120質量部以下がさらに好ましく、100質量部以下がよりさらに好ましく、60質量部以下がよりさらに好ましい。
任意成分としてのその他の添加剤の含有量としては、特に制限はないが、ポリアミド(D)100質量部に対して、0.02~200質量部が好ましく、0.03~100質量部がより好ましい。
本発明の第2の使用方法で用いられる樹脂組成物は、射出成形、押出し成形、ブロー成形のいずれの成形タイプにも適している。
ポリアミド(D)は、特に制限はないが、ポリアミドの繰り返し単位中におけるアミド基1個当たりの炭素数が6~13であるポリアミドが好ましい。ポリアミドの繰り返し単位中におけるアミド基1個当たりの炭素数が前記範囲内であると、成形体が低吸水性になり、吸水による寸法変化などを抑えることができる。これらの観点から、繰り返し単位中におけるアミド基1個当たりの炭素数は7~13がより好ましく、8~13がさらに好ましい。
前記原料としては、例えば、6-アミノカプロン酸、11-アミノウンデカン酸、12-アミノドデカン酸、パラアミノメチル安息香酸等のアミノカルボン酸;ε-カプロラクタム、ω-ラウロラクタム等のラクタム;1,6-ヘキサメチレンジアミン、2-メチルペンタメチレンジアミン、1,7-ヘプタメチレンジアミン、1,8-オクタメチレンジアミン、1,9-ノナメチレンジアミン、2-メチル-1,8-オクタメチレンジアミン、2-エチル-1,7-ヘプタンジアミン、1,10-デカメチレンジアミン、1,11-ウンデカメチレンジアミン、1,12-ドデカメチレンジアミン、1,13-トリデカメチレンジアミン、5-メチルノナメチレンジアミン等の脂肪族ジアミン;1,3-ビス(アミノメチル)シクロヘキサン、1,4-ビス(アミノメチル)シクロヘキサン、1-アミノ-3-アミノメチル-3,5,5-トリメチルシクロヘキサン、ビス(4-アミノシクロヘキシル)メタン、ビス(3-メチル-4-アミノシクロヘキシル)メタン、2,2-ビス(4-アミノシクロヘキシル)プロパン、ビス(アミノプロピル)ピペラジン、アミノエチルピペラジン等の脂環族ジアミン;メタキシリレンジアミン、パラキシリレンジアミン等の芳香族ジアミン、及びシュウ酸、マロン酸、ジメチルマロン酸、コハク酸、グルタル酸、アジピン酸、2-メチルアジピン酸、ピメリン酸、2,2-ジメチルグルタル酸、スペリン酸、3,3-ジエチルコハク酸、アゼライン酸、セバシン酸、ドデカン二酸、ダイマー酸等の脂肪族ジカルボン酸;1,3-シクロヘキサンジカルボン酸、1,4-シクロヘキサンジカルボン酸等の脂環族ジカルボン酸;テレフタル酸、イソフタル酸、フタル酸、1,4-ナフタレンジカルボン酸、2,6-ナフタレンジカルボン酸、2,7-ナフタレンジカルボン酸、1,4-フェニレンジオキシジ酢酸、1,3-フェニレンジオキシジ酢酸、ジフェン酸、4,4’-オキシジ安息香酸、ジフェニルメタン-4,4’-ジカルボン酸、ジフェニルスルホン-4,4’-ジカルボン酸、4,4’-ビフェニルジカルボン酸等の芳香族ジカルボン酸等が挙げられる。
これらの原料から誘導されるホモポリマー又はコポリマーの1種を単独で用いてもよく、2種以上を併用してもよい。
前記半芳香族ポリアミド(A)は、芳香族ジカルボン酸単位を主成分とするジカルボン酸単位と、脂肪族ジアミン単位を主成分とするジアミン単位とを含むポリアミドである限り、特に制限はないが、芳香族ジカルボン酸単位を主成分とするジカルボン酸単位と、炭素数4~10の脂肪族ジアミン単位を主成分とするジアミン単位とを含むポリアミドであることが好ましい。
ここで、「芳香族ジカルボン酸単位」及び「炭素数4~10の脂肪族ジアミン単位(炭素数4~10の脂肪族ジアミンに由来する構造単位)」は「水回り用成形体」の欄で上述した通りである。
住友重機械工業株式会社製の射出成形機(型締力:100トン、スクリュー径:φ32mm)を使用し、シリンダー温度を320℃とし、実金型温度140℃の条件下で、Tランナー金型を用いて、実施例及び比較例で得られた樹脂組成物(ペレット)から、ISO多目的試験片A型ダンベル(4mm厚、全長170mm、平行部長さ80mm、平行部幅10mm)を作製して評価用試験片とした。
上記の方法で作製した評価用試験片を用いて、ISO527-1に準じて、オートグラフ(株式会社島津製作所製)を使用して、23℃における引張強度(引張降伏強度)を測定した。
上記の方法で作製した評価用試験片を、次亜塩素酸ナトリウム濃度1000ppmの水溶液を80℃に調整したものに96時間浸漬した。前記水溶液は24時間おきに交換した。浸漬前後で分子量測定を実施し、浸漬前の評価用試験片の数平均分子量をMn1、浸漬後の評価用試験片の数平均分子量をMn2とし、分子量保持率(%)を下記式で求めた。
分子量保持率(%)=Mn2/Mn1×100
なお、各数平均分子量は、東ソー株式会社製HLC-8320GPC、東ソー株式会社製カラムTSK-gel SuperHM-Nを用いて、トリフルオロ酢酸10mMのヘキサフルオロ-2-プロパノールを溶離液とし、測定温度40℃で測定し、ポリメチルメタクリレート換算で算出した。
[製造例1:ポリアミド9T(PA9T)(ポリアミド9T、繰り返し単位中のアミド基1個当たりの炭素数:8.5)の製造]
7917gの1,9-ノナンジアミン、1979gの2-メチル-1,8-オクタンジアミン(1,9-ノナンジアミン:2-メチル-1,8-オクタンジアミン=80:20(モル比))、10031gのテレフタル酸、149gの安息香酸、20gの次亜燐酸ナトリウム一水和物、5000gの水を反応装置に入れ、窒素置換した。3時間かけて内部温度を220℃に昇温した。この時、オートクレーブは2MPaまで昇圧した。その後4時間、水蒸気を徐々に抜いて圧力を2MPaに保ちながら反応させた。次いで、30分間かけて圧力を1.2MPaまで下げ、プレポリマーを得た。このプレポリマーを粉砕し、120℃、減圧下で12時間乾燥した。これを200℃、13.3Paの条件で2時間、続いて235℃、13.3Paの条件で固相重合し、融点が300℃のポリアミド9T(PA9T)を得た。
・ガラス繊維:(日本電気硝子株式会社製、T-251H、平均繊維径10.5μm、平均繊維長3mm、扁平度1)
・ヒンダードフェノール系:N,N’-ヘキサメチレンビス[3-(3,5-ジ-tert-ブチル-4-ヒドロキシフェニル)プロパンアミド](BASFジャパン株式会社製、Irganox 1098)
・セミヒンダードフェノール系:3,9-ビス[2-〔3-(3-tert-ブチル-4-ヒドロキシ-5-メチルフェニル)プロピオニロキシ〕-1,1-ジメチルエチル]-2,4,8,10-テトラオキサスピロ[5.5]ウンデカン(住友化学株式会社製、スミライザー(登録商標)GA-80)
・結晶核剤:タルク(IMI Fabi S.p.A製、HM4)
・着色剤:カーボンブラック(キャボット社製、モナーク4750)
半芳香族ポリアミド(A)としての製造例1で製造したポリアミド9T(PA9T)100質量部、酸化防止剤(C)としてのN,N’-ヘキサメチレンビス[3-(3,5-ジ-tert-ブチル-4-ヒドロキシフェニル)プロパンアミド](BASFジャパン株式会社製、Irganox 1098)0.2質量部、結晶核剤としてのタルク(IMI Fabi S.p.A製、HM4)0.1質量部、及び着色剤としてのカーボンブラック(キャボット社製、モナーク4750)0.2質量部を予め混合して、二軸押出機(東芝機械株式会社製「TEM-26SS」)の上流部ホッパーからフィードするとともに、押出機下流側のサイドフィード口から、無機充填剤(B)としてのT-251H(ガラス繊維)54質量部をフィードした。シリンダー温度320℃の条件で溶融混練して押出し、冷却及び切断してペレット状の樹脂組成物を製造した。
表1に記載の種類及び配合量(含有量)の各成分を配合することにより実施例1と同様にして樹脂組成物を製造した。
上記結果は、式(1)で表される構造を分子中に有するヒンダードフェノール系酸化防止剤(Irganox 1098)が、式(1)で表される構造を分子中に有さないセミヒンダードフェノール系酸化防止剤(GA-80)よりも寿命が長い(長期に亘って活性を有する)ことに基づくものと推定される。
なお、実施例3は、実施例1及び2と比較して、酸化防止剤(C)の含有量が2.0質量部と多いため、実施例1及び2よりも、分子量保持率が低くなっている。
Claims (6)
- 半芳香族ポリアミド(A)100質量部に対して、無機充填剤(B)10~200質量部及びフェノール系酸化防止剤(C)0.1~2.0質量部の割合で含む樹脂組成物からなる水回り用成形体であって、
前記半芳香族ポリアミド(A)は、芳香族ジカルボン酸単位を主成分とするジカルボン酸単位と、脂肪族ジアミン単位を主成分とするジアミン単位とを含み、
前記フェノール系酸化防止剤(C)が、分子中に下記式(1)で表される構造を有し、
前記ジカルボン酸単位の50~100モル%が、テレフタル酸及びナフタレンジカルボン酸の少なくともいずれかに由来する構造単位であり、前記ジアミン単位の60~100モル%が、炭素数4~10の脂肪族ジアミンに由来する構造単位であり、
前記炭素数4~10の脂肪族ジアミンは、1,9-ノナンジアミン及び2-メチル-1,8-オクタンジアミンを含み、1,9-ノナンジアミン:2-メチル-1,8-オクタンジアミンのモル比が95:5~50:50である、水回り用成形体。
(1)
(式(1)中、**は結合部を表す。) - 前記半芳香族ポリアミド(A)100質量部に対して、前記フェノール系酸化防止剤(C)を0.1~1.0質量部の割合で含む、請求項1に記載の水回り用成形体。
- フェノール系酸化防止剤(C)がエステル基及びアミド基の少なくともいずれかを更に有する、請求項1又は2に記載の水回り用成形体。
- 厚みが0.5mm以上である、請求項1~3のいずれか1項に記載の水回り用成形体。
- 請求項1~4のいずれか1項に記載の水回り用成形体を、次亜塩素酸及び次亜塩素酸塩の少なくともいずれかを含む水と接触する環境下で使用する方法。
- 樹脂組成物又は該樹脂組成物からなる成形体を、次亜塩素酸及び次亜塩素酸塩の少なくともいずれかを含む水と接触する環境下で使用する方法であって、
前記樹脂組成物が、無機充填剤(B)、ポリアミド(D)、及び分子中に下記式(1)で表される構造を有するフェノール系酸化防止剤(C)を含み、
前記ポリアミド(D)は、芳香族ジカルボン酸単位を主成分とするジカルボン酸単位と脂肪族ジアミン単位を主成分とするジアミン単位とを含む半芳香族ポリアミド(A)であり、
前記半芳香族ポリアミド(A)は、芳香族ジカルボン酸単位を主成分とするジカルボン酸単位と、炭素数4~10を有する脂肪族ジアミン単位を主成分とするジアミン単位とを含み、
前記ジカルボン酸単位の50~100モル%が、テレフタル酸及びナフタレンジカルボン酸の少なくともいずれかに由来する構造単位であり、前記ジアミン単位の60~100モル%が、炭素数4~10の脂肪族ジアミンに由来する構造単位であり、
前記炭素数4~10の脂肪族ジアミンは、1,9-ノナンジアミン及び2-メチル-1,8-オクタンジアミンを含み、1,9-ノナンジアミン:2-メチル-1,8-オクタンジアミンのモル比が95:5~50:50である、方法。
(1)
(式(1)中、**は結合部を表す。)
Applications Claiming Priority (3)
| Application Number | Priority Date | Filing Date | Title |
|---|---|---|---|
| JP2020020926 | 2020-02-10 | ||
| JP2020020926 | 2020-02-10 | ||
| PCT/JP2021/004474 WO2021161937A1 (ja) | 2020-02-10 | 2021-02-08 | 水回り用成形体及び方法 |
Publications (2)
| Publication Number | Publication Date |
|---|---|
| JPWO2021161937A1 JPWO2021161937A1 (ja) | 2021-08-19 |
| JP7655893B2 true JP7655893B2 (ja) | 2025-04-02 |
Family
ID=77292232
Family Applications (1)
| Application Number | Title | Priority Date | Filing Date |
|---|---|---|---|
| JP2022500384A Active JP7655893B2 (ja) | 2020-02-10 | 2021-02-08 | 水回り用成形体及び方法 |
Country Status (6)
| Country | Link |
|---|---|
| US (1) | US20230060402A1 (ja) |
| EP (1) | EP4105399A4 (ja) |
| JP (1) | JP7655893B2 (ja) |
| CN (1) | CN115052931A (ja) |
| TW (1) | TWI874581B (ja) |
| WO (1) | WO2021161937A1 (ja) |
Citations (4)
| Publication number | Priority date | Publication date | Assignee | Title |
|---|---|---|---|---|
| JP2007246563A (ja) | 2006-03-13 | 2007-09-27 | Asahi Kasei Chemicals Corp | 耐候性ポリアミド樹脂組成物および成形品 |
| JP2008266434A (ja) | 2007-04-19 | 2008-11-06 | Mitsubishi Engineering Plastics Corp | 黒色のレーザー溶着用ポリアミド樹脂組成物およびこれを用いた成形品 |
| JP2015196836A (ja) | 2014-04-01 | 2015-11-09 | エーエムエス−パテント アクチェンゲゼルシャフト | 特に飲料水部門の成形品の製造用ポリアミド成形組成物 |
| JP2017193703A (ja) | 2016-03-23 | 2017-10-26 | エーエムエス−パテント アクチェンゲゼルシャフト | 耐高温性ポリアミド成形材料および特に自動車産業分野におけるその使用 |
Family Cites Families (5)
| Publication number | Priority date | Publication date | Assignee | Title |
|---|---|---|---|---|
| JPS5575437A (en) * | 1978-12-01 | 1980-06-06 | Sumitomo Chem Co Ltd | Halogen water-resistant polyethylene tube |
| EP2759562B1 (en) * | 2011-09-22 | 2015-11-18 | Unitika, Ltd. | Semi-aromatic polyamide and molded body comprising same |
| CN105377989B (zh) * | 2013-08-05 | 2017-03-15 | 东洋纺株式会社 | 阻燃性聚酰胺树脂组合物 |
| JP6099767B2 (ja) * | 2013-12-13 | 2017-03-22 | 旭化成株式会社 | ポリアミド組成物、成形品、led用反射板、及び熱による反射率の低下を抑制する方法 |
| CN111133038B (zh) * | 2017-09-25 | 2022-10-14 | 东洋纺株式会社 | 具有以半芳香族聚酰胺树脂组合物构成的成形品为构成成分的成形体 |
-
2021
- 2021-02-08 EP EP21753328.0A patent/EP4105399A4/en active Pending
- 2021-02-08 US US17/797,513 patent/US20230060402A1/en active Pending
- 2021-02-08 WO PCT/JP2021/004474 patent/WO2021161937A1/ja not_active Ceased
- 2021-02-08 CN CN202180012902.5A patent/CN115052931A/zh active Pending
- 2021-02-08 JP JP2022500384A patent/JP7655893B2/ja active Active
- 2021-02-09 TW TW110104918A patent/TWI874581B/zh active
Patent Citations (4)
| Publication number | Priority date | Publication date | Assignee | Title |
|---|---|---|---|---|
| JP2007246563A (ja) | 2006-03-13 | 2007-09-27 | Asahi Kasei Chemicals Corp | 耐候性ポリアミド樹脂組成物および成形品 |
| JP2008266434A (ja) | 2007-04-19 | 2008-11-06 | Mitsubishi Engineering Plastics Corp | 黒色のレーザー溶着用ポリアミド樹脂組成物およびこれを用いた成形品 |
| JP2015196836A (ja) | 2014-04-01 | 2015-11-09 | エーエムエス−パテント アクチェンゲゼルシャフト | 特に飲料水部門の成形品の製造用ポリアミド成形組成物 |
| JP2017193703A (ja) | 2016-03-23 | 2017-10-26 | エーエムエス−パテント アクチェンゲゼルシャフト | 耐高温性ポリアミド成形材料および特に自動車産業分野におけるその使用 |
Also Published As
| Publication number | Publication date |
|---|---|
| EP4105399A1 (en) | 2022-12-21 |
| US20230060402A1 (en) | 2023-03-02 |
| EP4105399A4 (en) | 2023-12-27 |
| TWI874581B (zh) | 2025-03-01 |
| CN115052931A (zh) | 2022-09-13 |
| JPWO2021161937A1 (ja) | 2021-08-19 |
| TW202136417A (zh) | 2021-10-01 |
| WO2021161937A1 (ja) | 2021-08-19 |
Similar Documents
| Publication | Publication Date | Title |
|---|---|---|
| JP7322983B2 (ja) | 積層チューブ | |
| US10663092B2 (en) | Multilayer tube | |
| US11254082B2 (en) | Multi-layer tube | |
| JP5113910B2 (ja) | ポリアミド成形化合物、特に、飲料水のために適用される成形部品を製造するためのポリアミド成形化合物 | |
| CN104448810B (zh) | 基于部分芳族的共聚酰胺的模塑料 | |
| CN104448794B (zh) | 基于部分芳族的共聚酰胺的模塑料 | |
| KR101998532B1 (ko) | 반 방향족 코폴리아미드 수지와 그로 구성되는 폴리아미드 몰딩 조성물 | |
| TWI772581B (zh) | 飲用水領域中用於製造模製體之具有低萃取値之聚醯胺模製化合物之用途及其相應之模製體 | |
| JPWO2020040283A1 (ja) | ポリアミド組成物 | |
| JP2017014388A (ja) | ポリアミド樹脂組成物及び成形体 | |
| JP2022030403A (ja) | ポリアミド樹脂組成物及びその成形体 | |
| CN109627756B (zh) | 一种热水器内胆材料及其制备方法 | |
| JP7655893B2 (ja) | 水回り用成形体及び方法 | |
| JP7141015B2 (ja) | ポリアミド組成物 | |
| WO2023120459A1 (ja) | ポリアミド組成物 | |
| WO2023120460A1 (ja) | ポリアミド組成物 | |
| CN118414382A (zh) | 聚酰胺组合物 | |
| WO2015040863A1 (ja) | 成形品の製造方法、射出溶着用材料および成形品 | |
| JP7300843B2 (ja) | 繊維強化ポリアミド樹脂組成物及び成形品 | |
| JP2017193101A (ja) | 積層チューブ | |
| CN112639024B (zh) | 热塑性树脂组合物 | |
| JP5977598B2 (ja) | ポリアミド樹脂組成物の流動性を改良する方法 | |
| JP6896551B2 (ja) | 視認性タンク用ポリアミド樹脂組成物および視認性タンク | |
| JP2020041163A (ja) | ポリアミド樹脂組成物及び成形体 | |
| WO2023120461A1 (ja) | ポリアミド組成物 |
Legal Events
| Date | Code | Title | Description |
|---|---|---|---|
| A621 | Written request for application examination |
Free format text: JAPANESE INTERMEDIATE CODE: A621 Effective date: 20231130 |
|
| A131 | Notification of reasons for refusal |
Free format text: JAPANESE INTERMEDIATE CODE: A131 Effective date: 20240924 |
|
| A521 | Request for written amendment filed |
Free format text: JAPANESE INTERMEDIATE CODE: A523 Effective date: 20241122 |
|
| TRDD | Decision of grant or rejection written | ||
| A01 | Written decision to grant a patent or to grant a registration (utility model) |
Free format text: JAPANESE INTERMEDIATE CODE: A01 Effective date: 20250225 |
|
| A61 | First payment of annual fees (during grant procedure) |
Free format text: JAPANESE INTERMEDIATE CODE: A61 Effective date: 20250321 |
|
| R150 | Certificate of patent or registration of utility model |
Ref document number: 7655893 Country of ref document: JP Free format text: JAPANESE INTERMEDIATE CODE: R150 |







