JP7581336B2 - 硫黄及びスルホキシミン含有置換基を有する殺有害生物的に活性な複素環式誘導体 - Google Patents

硫黄及びスルホキシミン含有置換基を有する殺有害生物的に活性な複素環式誘導体 Download PDF

Info

Publication number
JP7581336B2
JP7581336B2 JP2022517940A JP2022517940A JP7581336B2 JP 7581336 B2 JP7581336 B2 JP 7581336B2 JP 2022517940 A JP2022517940 A JP 2022517940A JP 2022517940 A JP2022517940 A JP 2022517940A JP 7581336 B2 JP7581336 B2 JP 7581336B2
Authority
JP
Japan
Prior art keywords
formula
compounds
compound
trifluoromethyl
provides
Prior art date
Legal status (The legal status is an assumption and is not a legal conclusion. Google has not performed a legal analysis and makes no representation as to the accuracy of the status listed.)
Active
Application number
JP2022517940A
Other languages
English (en)
Other versions
JP2022549417A (ja
Inventor
ヴィカス シケルヴァル
インディラ セン
ミシェル ミューレバッハ
セバスチャン レンドラー
アンドレ シュトラー
ダニエル エメリー
アンケ ブッフホルツ
ベネディクト クルツ
Original Assignee
シンジェンタ クロップ プロテクション アクチェンゲゼルシャフト
Priority date (The priority date is an assumption and is not a legal conclusion. Google has not performed a legal analysis and makes no representation as to the accuracy of the date listed.)
Filing date
Publication date
Application filed by シンジェンタ クロップ プロテクション アクチェンゲゼルシャフト filed Critical シンジェンタ クロップ プロテクション アクチェンゲゼルシャフト
Publication of JP2022549417A publication Critical patent/JP2022549417A/ja
Application granted granted Critical
Publication of JP7581336B2 publication Critical patent/JP7581336B2/ja
Active legal-status Critical Current
Anticipated expiration legal-status Critical

Links

Classifications

    • AHUMAN NECESSITIES
    • A01AGRICULTURE; FORESTRY; ANIMAL HUSBANDRY; HUNTING; TRAPPING; FISHING
    • A01NPRESERVATION OF BODIES OF HUMANS OR ANIMALS OR PLANTS OR PARTS THEREOF; BIOCIDES, e.g. AS DISINFECTANTS, AS PESTICIDES OR AS HERBICIDES; PEST REPELLANTS OR ATTRACTANTS; PLANT GROWTH REGULATORS
    • A01N43/00Biocides, pest repellants or attractants, or plant growth regulators containing heterocyclic compounds
    • A01N43/48Biocides, pest repellants or attractants, or plant growth regulators containing heterocyclic compounds having rings with two nitrogen atoms as the only ring hetero atoms
    • A01N43/501,3-Diazoles; Hydrogenated 1,3-diazoles
    • A01N43/521,3-Diazoles; Hydrogenated 1,3-diazoles condensed with carbocyclic rings, e.g. benzimidazoles
    • AHUMAN NECESSITIES
    • A01AGRICULTURE; FORESTRY; ANIMAL HUSBANDRY; HUNTING; TRAPPING; FISHING
    • A01NPRESERVATION OF BODIES OF HUMANS OR ANIMALS OR PLANTS OR PARTS THEREOF; BIOCIDES, e.g. AS DISINFECTANTS, AS PESTICIDES OR AS HERBICIDES; PEST REPELLANTS OR ATTRACTANTS; PLANT GROWTH REGULATORS
    • A01N43/00Biocides, pest repellants or attractants, or plant growth regulators containing heterocyclic compounds
    • A01N43/72Biocides, pest repellants or attractants, or plant growth regulators containing heterocyclic compounds having rings with nitrogen atoms and oxygen or sulfur atoms as ring hetero atoms
    • A01N43/74Biocides, pest repellants or attractants, or plant growth regulators containing heterocyclic compounds having rings with nitrogen atoms and oxygen or sulfur atoms as ring hetero atoms five-membered rings with one nitrogen atom and either one oxygen atom or one sulfur atom in positions 1,3
    • A01N43/761,3-Oxazoles; Hydrogenated 1,3-oxazoles
    • AHUMAN NECESSITIES
    • A01AGRICULTURE; FORESTRY; ANIMAL HUSBANDRY; HUNTING; TRAPPING; FISHING
    • A01NPRESERVATION OF BODIES OF HUMANS OR ANIMALS OR PLANTS OR PARTS THEREOF; BIOCIDES, e.g. AS DISINFECTANTS, AS PESTICIDES OR AS HERBICIDES; PEST REPELLANTS OR ATTRACTANTS; PLANT GROWTH REGULATORS
    • A01N43/00Biocides, pest repellants or attractants, or plant growth regulators containing heterocyclic compounds
    • A01N43/90Biocides, pest repellants or attractants, or plant growth regulators containing heterocyclic compounds having two or more relevant hetero rings, condensed among themselves or with a common carbocyclic ring system
    • AHUMAN NECESSITIES
    • A01AGRICULTURE; FORESTRY; ANIMAL HUSBANDRY; HUNTING; TRAPPING; FISHING
    • A01NPRESERVATION OF BODIES OF HUMANS OR ANIMALS OR PLANTS OR PARTS THEREOF; BIOCIDES, e.g. AS DISINFECTANTS, AS PESTICIDES OR AS HERBICIDES; PEST REPELLANTS OR ATTRACTANTS; PLANT GROWTH REGULATORS
    • A01N47/00Biocides, pest repellants or attractants, or plant growth regulators containing organic compounds containing a carbon atom not being member of a ring and having no bond to a carbon or hydrogen atom, e.g. derivatives of carbonic acid
    • A01N47/02Biocides, pest repellants or attractants, or plant growth regulators containing organic compounds containing a carbon atom not being member of a ring and having no bond to a carbon or hydrogen atom, e.g. derivatives of carbonic acid the carbon atom having no bond to a nitrogen atom
    • A01N47/04Biocides, pest repellants or attractants, or plant growth regulators containing organic compounds containing a carbon atom not being member of a ring and having no bond to a carbon or hydrogen atom, e.g. derivatives of carbonic acid the carbon atom having no bond to a nitrogen atom containing >N—S—C≡(Hal)3 groups
    • AHUMAN NECESSITIES
    • A01AGRICULTURE; FORESTRY; ANIMAL HUSBANDRY; HUNTING; TRAPPING; FISHING
    • A01NPRESERVATION OF BODIES OF HUMANS OR ANIMALS OR PLANTS OR PARTS THEREOF; BIOCIDES, e.g. AS DISINFECTANTS, AS PESTICIDES OR AS HERBICIDES; PEST REPELLANTS OR ATTRACTANTS; PLANT GROWTH REGULATORS
    • A01N47/00Biocides, pest repellants or attractants, or plant growth regulators containing organic compounds containing a carbon atom not being member of a ring and having no bond to a carbon or hydrogen atom, e.g. derivatives of carbonic acid
    • A01N47/40Biocides, pest repellants or attractants, or plant growth regulators containing organic compounds containing a carbon atom not being member of a ring and having no bond to a carbon or hydrogen atom, e.g. derivatives of carbonic acid the carbon atom having a double or triple bond to nitrogen, e.g. cyanates, cyanamides
    • AHUMAN NECESSITIES
    • A01AGRICULTURE; FORESTRY; ANIMAL HUSBANDRY; HUNTING; TRAPPING; FISHING
    • A01NPRESERVATION OF BODIES OF HUMANS OR ANIMALS OR PLANTS OR PARTS THEREOF; BIOCIDES, e.g. AS DISINFECTANTS, AS PESTICIDES OR AS HERBICIDES; PEST REPELLANTS OR ATTRACTANTS; PLANT GROWTH REGULATORS
    • A01N53/00Biocides, pest repellants or attractants, or plant growth regulators containing cyclopropane carboxylic acids or derivatives thereof
    • CCHEMISTRY; METALLURGY
    • C07ORGANIC CHEMISTRY
    • C07DHETEROCYCLIC COMPOUNDS
    • C07D401/00Heterocyclic compounds containing two or more hetero rings, having nitrogen atoms as the only ring hetero atoms, at least one ring being a six-membered ring with only one nitrogen atom
    • C07D401/02Heterocyclic compounds containing two or more hetero rings, having nitrogen atoms as the only ring hetero atoms, at least one ring being a six-membered ring with only one nitrogen atom containing two hetero rings
    • C07D401/04Heterocyclic compounds containing two or more hetero rings, having nitrogen atoms as the only ring hetero atoms, at least one ring being a six-membered ring with only one nitrogen atom containing two hetero rings directly linked by a ring-member-to-ring-member bond
    • CCHEMISTRY; METALLURGY
    • C07ORGANIC CHEMISTRY
    • C07DHETEROCYCLIC COMPOUNDS
    • C07D413/00Heterocyclic compounds containing two or more hetero rings, at least one ring having nitrogen and oxygen atoms as the only ring hetero atoms
    • C07D413/02Heterocyclic compounds containing two or more hetero rings, at least one ring having nitrogen and oxygen atoms as the only ring hetero atoms containing two hetero rings
    • C07D413/04Heterocyclic compounds containing two or more hetero rings, at least one ring having nitrogen and oxygen atoms as the only ring hetero atoms containing two hetero rings directly linked by a ring-member-to-ring-member bond
    • CCHEMISTRY; METALLURGY
    • C07ORGANIC CHEMISTRY
    • C07DHETEROCYCLIC COMPOUNDS
    • C07D413/00Heterocyclic compounds containing two or more hetero rings, at least one ring having nitrogen and oxygen atoms as the only ring hetero atoms
    • C07D413/14Heterocyclic compounds containing two or more hetero rings, at least one ring having nitrogen and oxygen atoms as the only ring hetero atoms containing three or more hetero rings
    • CCHEMISTRY; METALLURGY
    • C07ORGANIC CHEMISTRY
    • C07DHETEROCYCLIC COMPOUNDS
    • C07D471/00Heterocyclic compounds containing nitrogen atoms as the only ring hetero atoms in the condensed system, at least one ring being a six-membered ring with one nitrogen atom, not provided for by groups C07D451/00 - C07D463/00
    • C07D471/02Heterocyclic compounds containing nitrogen atoms as the only ring hetero atoms in the condensed system, at least one ring being a six-membered ring with one nitrogen atom, not provided for by groups C07D451/00 - C07D463/00 in which the condensed system contains two hetero rings
    • C07D471/04Ortho-condensed systems
    • CCHEMISTRY; METALLURGY
    • C07ORGANIC CHEMISTRY
    • C07DHETEROCYCLIC COMPOUNDS
    • C07D401/00Heterocyclic compounds containing two or more hetero rings, having nitrogen atoms as the only ring hetero atoms, at least one ring being a six-membered ring with only one nitrogen atom
    • C07D401/14Heterocyclic compounds containing two or more hetero rings, having nitrogen atoms as the only ring hetero atoms, at least one ring being a six-membered ring with only one nitrogen atom containing three or more hetero rings

Landscapes

  • Chemical & Material Sciences (AREA)
  • Organic Chemistry (AREA)
  • Life Sciences & Earth Sciences (AREA)
  • Dentistry (AREA)
  • Wood Science & Technology (AREA)
  • Plant Pathology (AREA)
  • Health & Medical Sciences (AREA)
  • Engineering & Computer Science (AREA)
  • Agronomy & Crop Science (AREA)
  • General Health & Medical Sciences (AREA)
  • Pest Control & Pesticides (AREA)
  • Zoology (AREA)
  • Environmental Sciences (AREA)
  • Plural Heterocyclic Compounds (AREA)
  • Agricultural Chemicals And Associated Chemicals (AREA)
  • Catching Or Destruction (AREA)
  • Nitrogen Condensed Heterocyclic Rings (AREA)

Description

本発明は、硫黄置換基を含有する、殺有害生物的に活性である、特に殺虫的に活性である複素環式誘導体、それらの調製のためのプロセス、それらの化合物を含む組成物及び節足動物、特に昆虫又はダニ目(Acarina)の代表例を含む動物有害生物を防除するためのそれらの使用に関する。
殺有害生物作用を有するヘテロ環式化合物は、公知であり、例えば国際公開第2014/104407号、国際公開第2016/107831号、国際公開第2016/107831号、国際公開第2013/018928号、国際公開第2014/119672号、国際公開第2014/119494号、国際公開第2014/119679号及び国際公開第2014/119670号に記載されている。
意外なことに、ここで、硫黄及びスルホキシミン含有置換基を有する特定の新規な殺有害生物活性誘導体が殺有害生物剤として好ましい特性を有することが見出された。
したがって、本発明は、式I
Figure 0007581336000001
(式中、
1及びG2は、相互に独立して、CH又はNであり;
3は、NCH3又はOであり;
1は、C1~C6アルキル又はC1~C6ハロアルキルであり;
2は、H、C1~C6アルキル、C1~C6シクロアルキル、C1~C6ハロアルキル、-C(O)R3又はCNであり;
3は、C1~C6アルキルであり;
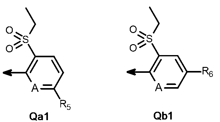
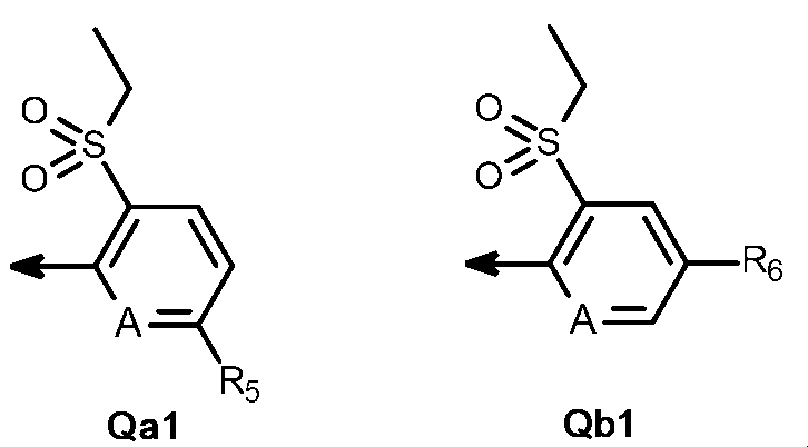
Qは、式Qa及びQb
Figure 0007581336000002
からなる群から選択される基であり、ここで、矢印は、二環式環の炭素原子に対する結合点を示し;
Aは、CH又はNであり;
Xは、S、SO又はSO2であり;
4は、C1~C4アルキルであり;
5は、水素又はハロゲンであるか;又は
5は、環炭素原子を介して、置換基Aを含有する環に結合されている5員~6員芳香族環系であり、前記環系は、無置換であるか、又はハロゲン、シアノ、C1~C4アルキル、C1~C4ハロアルキル、C1~C4アルコキシ、C1~C4ハロアルコキシ、C1~C4アルキルスルファニル、C1~C4アルキルスルフィニル及びC1~C4アルキルスルホニルからなる群から選択される置換基によって単置換若しくは多置換されており;及び前記環系は、窒素、酸素及び硫黄からなる群から選択される1個、2個又は3個の環ヘテロ原子を含有することができ、ここで、前記環系は、2個以上の環酸素原子を含有することができず、且つ2個以上の環硫黄原子を含有することができないか;又は
5は、環窒素原子を介して、置換基Aを含有する環に結合されている5員芳香族環系であり、前記環系は、無置換であるか、又はハロゲン、シアノ、C1~C4アルキル、C1~C4ハロアルキル、C1~C4アルコキシ、C1~C4ハロアルコキシ、C1~C4アルキルスルファニル、C1~C4アルキルスルフィニル及びC1~C4アルキルスルホニルからなる群から選択される置換基によって単置換若しくは多置換されており;及び前記環系は、窒素、酸素及び硫黄からなる群から選択される1個、2個又は3個の環ヘテロ原子を含有し、ここで、前記環系は、少なくとも1個の環窒素原子を含有し、及び2個以上の環酸素原子を含有することができず、且つ2個以上の環硫黄原子を含有することができず;
6は、ハロゲン、C1~C6ハロアルキル、C3~C6シクロアルキル、シアノによって単置換されたC3~C6シクロアルキル、シアノによって単置換されたC3~C6アルキル、C1~C6アルコキシ、C1~C6ハロアルコキシ、シアノによって単置換されたC1~C6アルコキシ、-N=S(O)R78、-N(R9)C(=O)R10、-N(R11)R12又は2-ピリジルオキシであるか;又は
6は、環炭素原子を介して、置換基Aを含有する環に結合されている5員~6員芳香族環系であり、前記環系は、無置換であるか、又はハロゲン、シアノ、C1~C4アルキル、C1~C4ハロアルキル、C1~C4アルコキシ、C1~C4ハロアルコキシ、C1~C4アルキルスルファニル、C1~C4アルキルスルフィニル及びC1~C4アルキルスルホニルからなる群から選択される置換基によって単置換若しくは多置換されており;及び前記環系は、窒素、酸素及び硫黄からなる群から選択される1個、2個又は3個の環ヘテロ原子を含有することができ、ここで、前記環系は、2個以上の環酸素原子を含有することができず、且つ2個以上の環硫黄原子を含有することができないか;又は
6は、環窒素原子を介して、置換基Aを含有する環に結合されている5員芳香族環系であり、前記環系は、無置換であるか、又はハロゲン、シアノ、C1~C4アルキル、C1~C4ハロアルキル、C1~C4アルコキシ、C1~C4ハロアルコキシ、C1~C4アルキルスルファニル、C1~C4アルキルスルフィニル及びC1~C4アルキルスルホニルからなる群から選択される置換基によって単置換若しくは多置換されており;及び前記環系は、少なくとも1個の環窒素原子を含有し、且つ窒素、酸素及び硫黄からなる群から選択される2個又は3個のさらなる環ヘテロ原子を含有することができ、ここで、前記環系は、2個以上の環酸素原子を含有することができず、且つ2個以上の環硫黄原子を含有することができず;
7及びR8は、相互に独立して、C1~C6アルキルであり;
9は、H又はC1~C6アルキルであり;
10は、C1~C6アルキル又はC3~C6シクロアルキルであり;
11及びR12は、相互に独立して、H又はC1~C6アルキルである)
の化合物又は式Iの化合物の農芸化学的に許容可能な塩、立体異性体、鏡像異性体、互変異性体若しくはN-オキシドを提供する。
少なくとも1つの塩基性中心(basic centre)を有する式Iの化合物は、例えば、酸付加塩、例えば無機強酸、例えば鉱酸、例えば過塩素酸、硫酸、硝酸、亜硝酸、リン酸又はハロゲン化水素酸との酸付加塩、強有機カルボン酸、例えば非置換であるか又は例えばハロゲンで置換されるC1~C4アルカンカルボン酸、例えば酢酸、例えば飽和又は不飽和ジカルボン酸、例えばシュウ酸、マロン酸、コハク酸、マレイン酸、フマル酸又はフタル酸、例えばヒドロキシカルボン酸、例えばアスコルビン酸、乳酸、リンゴ酸、酒石酸又はクエン酸、又は例えば安息香酸との酸付加塩、又は有機スルホン酸、例えば非置換であるか又は例えばハロゲンで置換されるC1~C4アルカン-又はアリールスルホン酸、例えばメタン-又はp-トルエンスルホン酸との酸付加塩を形成することができる。少なくとも1つの酸性基を有する式Iの化合物は、例えば、塩基との塩、例えば無機塩、例えばアルカリ金属塩又はアルカリ土類金属塩、例えばナトリウム塩、カリウム塩又はマグネシウム塩、又はアンモニア又は有機アミンとの塩、例えばモルホリン、ピペリジン、ピロリジン、モノ-、ジ-又はトリ-低級アルキルアミン、例えばエチル-、ジエチル-、トリエチル-又はジメチルプロピルアミン、又はモノ-、ジ-又はトリヒドロキシ-低級アルキルアミン、例えばモノ-、ジ-又はトリエタノールアミンを形成することができる。
各事例において、本発明に係る式(I)の化合物は、遊離形態、N-オキシドとしての酸化型形態又は例えば農学的に使用可能な塩形態といった塩形態である。
N-オキシドは、第三級アミンの酸化型又は窒素含有芳香族複素環式化合物の酸化型である。これらは、例えば、“Heterocyclic N-oxides”,A.Albini and S.Pietra,CRC Press,Boca Raton 1991といった書籍に記載されている。
本発明に係る式Iの化合物は、塩形成中に形成され得る水和物も含む。
本明細書において用いられる場合、「C1~Cnアルキル」という用語は、炭素原子のいずれかを介して結合している、1~n個の炭素原子を有する飽和直鎖又は分岐炭化水素基を指し、例えばメチル、エチル、n-プロピル、1-メチルブチル、2-メチルブチル、3-メチルブチル、2,2-ジメチルプロピル、1-エチルプロピル、n-ヘキシル、n-ペンチル、1,1-ジメチルプロピル、1,2-ジメチルプロピル、1-メチルペンチル、2-メチルペンチル、3-メチルペンチル、4-メチルペンチル、1,1-ジメチルブチル、1,2-ジメチルブチル、1,3-ジメチルブチル、2,2-ジメチルブチル、2,3-ジメチルブチル、3,3-ジメチルブチル、1-エチルブチル、2-エチルブチル、1,1,2-トリメチルプロピル、1,2,2-トリメチルプロピル、1-エチル-1-メチルプロピル又は1-エチル-2-メチルプロピルといった基のいずれか1つである。
本明細書において用いられる場合、「C1~Cnハロアルキル」という用語は、炭素原子のいずれかを介して結合している、1~n個の炭素原子を有する直鎖又は分岐飽和アルキル基を指し(上記のとおり)、ここで、これらの基中における水素原子のいくつか又はすべては、フッ素、塩素、臭素及び/又はヨウ素で置き換えられ得、すなわち例えばクロロメチル、ジクロロメチル、トリクロロメチル、フルオロメチル、ジフルオロメチル、トリフルオロメチル、クロロフルオロメチル、ジクロロフルオロメチル、クロロジフルオロメチル、2-フルオロエチル、2-クロロエチル、2-ブロモエチル、2-ヨードエチル、2,2-ジフルオロエチル、2,2,2-トリフルオロエチル、2-クロロ-2-フルオロエチル、2-クロロ-2,2-ジフルオロエチル、2,2-ジクロロ-2-フルオロエチル、2,2,2-トリクロロエチル、ペンタフルオロエチル、2-フルオロプロピル、3-フルオロプロピル、2,2-ジフルオロプロピル、2,3-ジフルオロプロピル、2-クロロプロピル、3-クロロプロピル、2,3-ジクロロプロピル、2-ブロモプロピル、3-ブロモプロピル、3,3,3-トリフルオロプロピル、3,3,3-トリクロロプロピル、2,2,3,3,3-ペンタフルオロプロピル、ヘプタフルオロプロピル、1-(フルオロメチル)-2-フルオロエチル、1-(クロロメチル)-2-クロロエチル、1-(ブロモメチル)-2-ブロモエチル、4-フルオロブチル、4-クロロブチル、4-ブロモブチル又はノナフルオロブチルの1つである。「C1~C2-フルオロアルキル」という用語によれば、1、2、3、4又は5つのフッ素原子を有するC1~C2-アルキル基を指し、例えばジフルオロメチル、トリフルオロメチル、1-フルオロエチル、2-フルオロエチル、2,2-ジフルオロエチル、2,2,2-トリフルオロエチル、1,1,2,2-テトラフルオロエチル又はペンタ-フルオロエチルのいずれか1つである。
本明細書において用いられる場合、「C1~Cnアルコキシ」という用語は、酸素原子を介して結合している、1~n個の炭素原子を有する直鎖又は分岐飽和アルキル基を指し(上記のとおり)、すなわち例えばメトキシ、エトキシ、n-プロポキシ、1-メチルエトキシ、n-ブトキシ、1-メチルプロポキシ、2-メチルプロポキシ又は1,1-ジメチルエトキシのいずれか1つである。
本明細書において用いられる場合、「C1~Cnハロアルコキシ」という用語は、フッ素、塩素、臭素及び/又はヨウ素で部分的又は完全に置換されている上記のC1~Cnアルコキシ基を指し、すなわち例えばクロロメトキシ、ジクロロメトキシ、トリクロロメトキシ、フルオロメトキシ、ジフルオロメトキシ、トリフルオロメトキシ、クロロフルオロメトキシ、ジクロロフルオロメトキシ、クロロジフルオロメトキシ、2-フルオロエトキシ、2-クロロエトキシ、2-ブロモエトキシ、2-ヨードエトキシ、2,2-ジフルオロエトキシ、2,2,2-トリフルオロエトキシ、2-クロロ-2-フルオロエトキシ、2-クロロ-2,2-ジフルオロエトキシ、2,2-ジクロロ-2-フルオロエトキシ、2,2,2-トリクロロエトキシ、ペンタフルオロエトキシ、2-フルオロプロポキシ、3-フルオロプロポキシ、2,2-ジフルオロプロポキシ、2,3-ジフルオロプロポキシ、2-クロロプロポキシ、3-クロロプロポキシ、2,3-ジクロロプロポキシ、2-ブロモプロポキシ、3-ブロモプロポキシ、3,3,3-トリフルオロプロポキシ、3,3,3-トリクロロプロポキシ、2,2,3,3,3-ペンタフルオロプロポキシ、ヘプタフルオロプロポキシ、1-(フルオロメチル)-2-フルオロエトキシ、1-(クロロメチル)-2-クロロエトキシ、1-(ブロモメチル)-2-ブロモエトキシ、4-フルオロブトキシ、4-クロロブトキシ又は4-ブロモブトキシのいずれか1つである。
本明細書において用いられる場合、「C1~Cn-アルキルスルファニル」という用語は、硫黄原子を介して結合している、1~n個の炭素原子を有する直鎖又は分岐飽和アルキル基を指し(上記のとおり)、すなわち例えばメチルチオ、エチルチオ、n-プロピルチオ、1-メチルエチルチオ、ブチルチオ、1-メチルプロピルチオ、2-メチルプロピルチオ又は1,1-ジメチルエチルチオのいずれか1つである。
本明細書において用いられる場合、「C1~Cnアルキルスルフィニル」という用語は、スルフィニル基の硫黄原子を介して結合している、1~n個の炭素原子を有する直鎖又は分岐飽和アルキル基を指し(上記のとおり)、すなわち例えばメチルスルフィニル、エチルスルフィニル、n-プロピルスルフィニル、1-メチルエチル-スルフィニル、n-ブチルスルフィニル、1-メチルプロピルスルフィニル、2-メチルプロピルスルフィニル、1,1-ジメチル-エチルスルフィニル、n-ペンチルスルフィニル、1-メチルブチルスルフィニル、2-メチルブチルスルフィニル、3-メチル-ブチルスルフィニル、1,1-ジメチルプロピルスルフィニル、1,2-ジメチルプロピルスルフィニル、2,2-ジメチルプロピルスルフィニル又は1-エチルプロピルスルフィニルのいずれか1つである。
本明細書において用いられる場合、「C1~Cnアルキルスルホニル」という用語は、スルホニル基の硫黄原子を介して結合している、1~n個の炭素原子を有する直鎖又は分岐飽和アルキル基を指し(上記のとおり)、すなわち例えばメチルスルホニル、エチルスルホニル、n-プロピルスルホニル、イソプロピルスルホニル、n-ブチルスルホニル、1-メチルプロピルスルホニル、2-メチルプロピルスルホニル又はt-ブチルスルホニルのいずれか1つである。
本明細書において用いられる場合、「シアノによって単置換されたC1~Cnアルキル」という用語は、シアノ基で置換されている、1~n個の炭素原子を有する直鎖又は分岐飽和アルキル基を指し(上記のとおり)、例えばシアノメチレン、シアノエチレン、1,1-ジメチルシアノメチル、シアノメチル、シアノエチル及び1-ジメチルシアノメチルである。
本明細書において用いられる場合、「シアノで単置換されたC1~Cnアルコキシ」という用語は、シアノ基で置換されている、1個~n個の炭素原子を有する直鎖又は分岐状の飽和アルコキシ基を指し(上記のとおり)、例えばシアノメトキシ、シアノエチオキシ、1,1-ジメチルシアノメトキシ及び1-ジメチルシアノメトキシである。
本明細書において用いられる場合、「C3~C6シクロアルキル」という用語は、シクロプロパン、シクロブタン、シクロプロパン、シクロペンタン及びシクロヘキサンなどの3~6員シクロアルキル基を指す。
ハロゲンは、一般に、フッ素、塩素、臭素又はヨウ素である。これは、対応して、ハロアルキルなどの他の意味との組み合わせでハロゲンにも適用される。
本発明に関連して、置換基の定義における「単置換又は多置換」は、典型的には、置換基の化学構造に応じて単置換~5回置換、より好ましくは単置換、二置換又は三置換を意味する。
本発明に関連して、「環炭素原子を介して結合されている5員~6員芳香族環系であり、...、及び前記環系は、1個、2個又は3個の環ヘテロ原子を含有することができる」の例は、特にこれらに限定されないが、フェニル、ピリジニル及びピリミジニル;好ましくはフェニル、2-ピリジル、3-ピリジル、4-ピリジル、ピリミジン-2-イル、ピリミジン-4-イル及びピリミジン-5-イルである。
本発明に関連して、「環窒素原子を介して結合されている5員芳香族環系であり...、及び前記環系は、1個、2個又は3個の環ヘテロ原子を含有する」の例は、特にこれらに限定されないが、ピラゾリル、ピロリル、イミダゾリル及びトリアゾリル;好ましくはピロール-1-イル、ピラゾール-1-イル、トリアゾール-2-イル、1,2,4-トリアゾール-1-イル、トリアゾール-1-イル及びイミダゾール-1-イルである。
本発明に係る特定の実施形態が以下に記載のとおり提供される。
実施形態1は、式Iの化合物又はその農芸化学的に許容可能な塩、立体異性体、鏡像異性体、互変異性体若しくはN-オキシドを提供し、ここで、G1、G2、G3、R1、R2、R3、A、X、Q、R4、R5、R6、R7、R8、R9、R10、R11及びR12は、上記において式Iで定義されているとおりである。
実施形態2は、実施形態1に係る化合物又はその農芸化学的に許容可能な塩、立体異性体、鏡像異性体、互変異性体若しくはN-オキシドを提供し、ここで、Qは、Qaである。
実施形態3は、実施形態1に係る化合物又はその農芸化学的に許容可能な塩、立体異性体、鏡像異性体、互変異性体若しくはN-オキシドを提供し、ここで、Qは、Qbである。
実施形態1~3に関して、G1、G2、G3、R1、R2、R3、A、X、R4、R5、R6、R7、R8、R9、R10、R11及びR12の好ましい値は、これらのいずれかの組み合わせにおいて、以下に記載されているとおりである。
好ましくは、G1及びG2の両方は、Nである。
1がCHであり、G2がNである場合も好ましい。
1がNであり、G2がCHである場合も好ましい。
最も好ましくは、G1及びG2の両方は、CHである。
好ましくは、G3は、Oである。
好ましくは、R1は、メチル又はトリフルオロメチル;最も好ましくはトリフルオロメチルである。
好ましくは、R2は、H、C1~C4アルキル、シクロプロピル、C1~C4ハロアルキル、-C(O)R3又はシアノである。
より好ましくは、R2は、H、シアノ、COCH3、シクロプロピル、メチル、エチル、トリフルオロエチル又はトリフルオロメチルである。
最も好ましくは、R2は、H、シアノ、メチル、エチル、シクロプロピル又は2,2,2-トリフルオロエチルである。
好ましくは、R3は、C1~C4アルキルであり;最も好ましくは、R3は、メチルである。
好ましくは、Xは、S又はSO2であり;最も好ましくは、Xは、SO2である。
好ましくは、R4は、C1~C2アルキルであり;最も好ましくは、R4は、エチルである。
好ましくは、R5は、水素であるか;又は
5は、環炭素原子を介して、置換基Aを含有する環に結合されている5員~6員芳香族環系であり、前記環系は、無置換であるか、又はハロゲン、シアノ及びC1~C4ハロアルキルからなる群から選択される置換基によって単置換されており;及び前記環系は、1個又は2個の環窒素原子を含有することができるか;又は
5は、環窒素原子を介して、置換基Aを含有する環に結合されている5員芳香族環系であり、前記環系は、無置換であるか、又はハロゲン、シアノ及びC1~C4ハロアルキルからなる群から選択される置換基によって単置換されており;及び前記環系は、1個、2個又は3個の環窒素原子を含有する。
より好ましくは、R5は、水素であるか;又は
5は、環炭素原子を介して、置換基Aを含有する環に結合されている6員芳香族環系であり、前記環系は、無置換であるか、又はハロゲン、シアノ及びC1~C4ハロアルキルからなる群から選択される置換基によって単置換されており;及び前記環系は、1個又は2個の環窒素原子を含有するか;又は
5は、環窒素原子を介して、置換基Aを含有する環に結合されている5員芳香族環系であり、前記環系は、無置換であるか、又はハロゲン、シアノ及びC1~C4ハロアルキルからなる群から選択される置換基によって単置換されており;及び前記環系は、2個又は3個の環窒素原子を含有する。
より好ましくは、R5は、水素であるか;又は
5は、環炭素原子を介して、置換基Aを含有する環に結合されているピリジル及びピリミジニル(好ましくはピリミジニル)から選択される6員芳香族環系であり、前記環系は、無置換であるか、又はハロゲン及びC1~C4ハロアルキルからなる群から選択される置換基によって単置換されているか;又は
5は、環窒素原子を介して、置換基Aを含有する環に結合されているピラゾリル、イミダゾリル及びトリアゾリル(好ましくはピラゾリル及びトリアゾリル)から選択される5員芳香族環系であり、前記環系は、無置換であるか、又はハロゲン及びC1~C4ハロアルキルからなる群から選択される置換基によって単置換されている。
より好ましくは、R5は、水素、無置換であるか又はクロロ若しくはトリフルオロメチルによって単置換され得るN結合ピラゾリル、無置換であるか又はクロロ若しくはトリフルオロメチルによって単置換され得るC結合ピリミジニル、或いは無置換であるか又はクロロ若しくはトリフルオロメチルによって単置換され得るN結合トリアゾリルである。
最も好ましくは、R5は、水素、3-クロロ-ピラゾール-1-イル、3-トリフルオロメチル-ピラゾール-1-イル、ピリミジン-2-イル、1,2,4-トリアゾール-1-イル、3-クロロ-1,2,4-トリアゾール-1-イル又は3-トリフルオロメチル-1,2,4-トリアゾール-1-イルである。
好ましくは、R6は、C3~C6シクロアルキル、シアノによって単置換されたC3~C6シクロアルキル、C1~C6ハロアルコキシ、シアノによって単置換されたC1~C6アルコキシ、-N=S(O)R78(式中、R7及びR8は、相互に独立して、C1~C4アルキルである)、-N(R9)COR10(式中、R9及びR10は、相互に独立して、C1~C4アルキルである)であるか、又はR6は、2-ピリジルオキシであるか;又は
6は、環炭素原子を介して、置換基Aを含有する環に結合されている5員~6員芳香族環系であり、前記環系は、無置換であるか、又はハロゲン、シアノ及びC1~C4ハロアルキルからなる群から選択される置換基によって単置換されており;及び前記環系は、1個又は2個の環窒素原子を含有することができるか;又は
6は、環窒素原子を介して、置換基Aを含有する環に結合されている5員芳香族環系であり、前記環系は、無置換であるか、又はハロゲン、シアノ及びC1~C4ハロアルキルからなる群から選択される置換基によって単置換されており;及び前記環系は、1個、2個又は3個の環窒素原子を含有する。
より好ましくは、R6は、シクロプロピル、シアノシクロプロピル、トリフルオロエトキシ、ジフルオロプロピオキシ、シアノイソプロポキシ、-N=S(O)(CH32、-N(CH3)COCH3又は2-ピリジルオキシであるか;又は
6は、環炭素原子を介して、置換基Aを含有する環に結合されているピリジル及びピリミジニル(好ましくはピリミジニル)から選択される6員芳香族環系であり、前記環系は、無置換であるか、又はハロゲン、シアノ及びC1~C4ハロアルキルからなる群から選択される置換基によって単置換されているか;又は
6は、環窒素原子を介して、置換基Aを含有する環に結合されているピラゾリル、イミダゾリル及びトリアゾリル(好ましくはピラゾリル及びトリアゾリル)から選択される5員芳香族環系であり、前記環系は、無置換であるか、又はハロゲン及びC1~C4ハロアルキルからなる群から選択される置換基によって単置換されている。
最も好ましくは、R6は、シクロプロピル、1-シアノシクロプロピル、2,2,2-トリフルオロエトキシ、2,2-ジフルオロプロポキシ、1-シアノ-1-メチル-エトキシ、-N=S(O)(CH32、-N(CH3)COCH3、2-ピリジルオキシ、ピリミジン-2-イル、4-トリフルオロメチル-ピリミジン-2-イル、5-シアノ-ピリミジン-2-イル、5-クロロ-ピリミジン-2-イル、3-クロロ-ピラゾール-1-イル、3-トリフルオロメチル-ピラゾール-1-イルである。
好ましくは、R7及びR8は、相互に独立して、C1~C4アルキルである。
最も好ましくは、R7及びR8は、メチルである。
好ましくは、R9は、H又はC1~C4アルキルである。
より好ましくは、R9は、H又はメチルであり;最も好ましくは、R9は、メチルである。
好ましくは、R10は、C1~C6アルキルであり;より好ましくは、R10は、C1~C4アルキルであり;最も好ましくは、R10は、メチルである。
好ましくは、R11及びR12は、相互に独立して、H又はC1~C4アルキルであり;最も好ましくは、R11及びR12は、メチルである。
本発明に係る化合物の1つの群は、式I-1
Figure 0007581336000003
(式中、G1、G2、R1、R2、R3、A、X、R4及びR5は、上記の式Iで定義されているとおりである)
のもの又はその農芸化学的に許容可能な塩、立体異性体、鏡像異性体、互変異性体若しくはN-オキシドであり;ここで、R5は、好ましくは、Hであるか;又は
5は、環炭素原子を介して、置換基Aを含有する環に結合されている5員~6員芳香族環系であり、前記環系は、無置換であるか、又はハロゲン、シアノ及びC1~C4ハロアルキルからなる群から選択される置換基によって単置換されており;及び前記環系は、1個又は2個の環窒素原子を含有するか;又は
5は、環窒素原子を介して、置換基Aを含有する環に結合されている5員芳香族環系であり、前記環系は、無置換であるか、又はハロゲン、シアノ及びC1~C4ハロアルキルからなる群から選択される置換基によって単置換されており;及び前記環系は、1個、2個又は3個の環窒素原子を含有する。
式I-1の化合物の好ましい群において、R5は、好ましくは、Hであるか;又は
5は、環炭素原子を介して、置換基Aを含有する環に結合されているピリジル及びピリミジニルから選択される6員芳香族環系であり、前記環系は、無置換であるか、又はハロゲン及びC1~C4ハロアルキルからなる群から選択される置換基によって単置換されているか;又は
5は、環窒素原子を介して、置換基Aを含有する環に結合されているピラゾリル、イミダゾリル及びトリアゾリルから選択される5員芳香族環系であり、前記環系は、無置換であるか、又はハロゲン及びC1~C4ハロアルキルからなる群から選択される置換基によって単置換されている。
式I-1の化合物のより好ましい群において、R5は、好ましくは、H、無置換であるか又はクロロ若しくはトリフルオロメチルによって単置換され得るN結合ピラゾリル、無置換であるか又はクロロ若しくはトリフルオロメチルによって単置換され得るC結合ピリミジニル、或いは無置換であるか又はクロロ若しくはトリフルオロメチルによって単置換され得るN結合トリアゾリルであり;よりさらに好ましくは、R5は、H、3-クロロ-ピラゾール-1-イル、3-トリフルオロメチル-ピラゾール-1-イル、ピリミジン-2-イル、1,2,4-トリアゾール-1-イル、3-クロロ-1,2,4-トリアゾール-1-イル及び3-トリフルオロメチル-1,2,4-トリアゾール-1-イルからなる群から選択される。
この実施形態による化合物の1つの好ましい群は、R1がC1~C4アルキル又はC1~C4ハロアルキルであり;好ましくは、R1がCH3又はCF3であり;より好ましくは、R1がCF3である、式(I-1)の化合物又は式(I-1)の化合物の好ましい実施形態のいずれかの化合物である式(I-1a)の化合物である。
この実施形態による化合物の別の好ましい群は、R2がH、C1~C4アルキル、シクロプロピル、C1~C4ハロアルキル、C(O)R3又はシアノであり;R3がC1~C4アルキルであり;好ましくは、R3がメチルである、式(I-1)の化合物又は式(I-1)の化合物の好ましい実施形態のいずれかの化合物である式(I-1b)の化合物であり;
より好ましくは、R2は、H、シアノ、COCH3、シクロプロピル、メチル、エチル、トリフルオロエチル又はトリフルオロメチルであり;より好ましくは、R2は、H、シアノ、メチル、エチル、シクロプロピル又は2,2,2-トリフルオロエチルである。
この実施形態による化合物の別の好ましい群は、XがS又はSO2、好ましくはSO2である、式(I-1)の化合物又は式(I-1)の化合物の好ましい実施形態のいずれかの化合物である式(I-1c)の化合物である。
この実施形態による化合物のさらなる好ましい群は、R4がC1~C2アルキルであり;好ましくは、R4がエチルである、式(I-1)の化合物又は式(I-1)の化合物の好ましい実施形態のいずれかの化合物である式(I-1d)の化合物である。
この実施形態による化合物の1つの好ましい群は、AがNである、式(I-1)の化合物又は式(I-1)の化合物の好ましい実施形態のいずれかの化合物である式(I-1e)の化合物である。
この実施形態による化合物の別の好ましい群は、AがCHである、式(I-1)の化合物又は式(I-1)の化合物の好ましい実施形態のいずれかの化合物である式(I-1f)の化合物である。
この実施形態による化合物の1つの好ましい群は、G2がNであり、G1がCHである、式(I-1)の化合物又は式(I-1)の化合物の好ましい実施形態のいずれかの化合物である式(I-1g)の化合物である。
この実施形態による化合物の別の好ましい群は、G2及びG1が両方ともCHである、式(I-1)の化合物又は式(I-1)の化合物の好ましい実施形態のいずれかの化合物である式(I-1h)の化合物である。
この実施形態による化合物の別の好ましい群は、G2がCHであり、G1がNである、式(I-1)の化合物又は式(I-1)の化合物の好ましい実施形態のいずれかの化合物である式(I-1i)の化合物である。
本発明に係る化合物の別の群は、式I-2
Figure 0007581336000004
(式中、G1、G2、R1、R2、R3、A、X、R4、R6、R7、R8、R9、R10、R11及びR12は、上記の式Iで定義されているとおりである)
のもの又はその農芸化学的に許容可能な塩、立体異性体、鏡像異性体、互変異性体若しくはN-オキシドであり;ここで、
6は、好ましくは、C3~C6シクロアルキル、シアノによって単置換されたC3~C6シクロアルキル、C1~C6ハロアルコキシ、シアノで置換されたC1~C6アルコキシ、-N=S(O)R78、-N(R9)COR10又は2-ピリジルオキシであるか;又は
6は、環炭素原子を介して、置換基Aを含有する環に結合されている5員~6員芳香族環系であり、前記環系は、無置換であるか、又はハロゲン、シアノ及びC1~C4ハロアルキルからなる群から選択される置換基によって単置換されており;及び前記環系は、1個又は2個の環窒素原子を含有するか;又は
6は、環窒素原子を介して、置換基Aを含有する環に結合されている5員芳香族環系であり、前記環系は、無置換であるか、又はハロゲン、シアノ及びC1~C4ハロアルキルからなる群から選択される置換基によって単置換されており;及び前記環系は、1個、2個又は3個の環窒素原子を含有する。
式I-2の化合物の好ましい群において、R6は、好ましくは、シクロプロピル、シアノシクロプロピル、C1~C4ハロアルコキシ、シアノによって置換されたC1~C4アルコキシ、-N=S(O)(CH32、-N(CH3)COCH3又は2-ピリジルオキシであり;最も好ましくは、R6は、シクロプロピル、シアノシクロプロピル、-OCH2CF3、-OCH2CF2CH3、シアノによって単置換されたC1~C3アルコキシ、-N=S(O)(CH32、-N(CH3)COCH3又は2-ピリジルオキシであるか;又は
6は、環炭素原子を介して、置換基Aを含有する環に結合されているピリジル及びピリミジニルから選択される6員芳香族環系であり、前記環系は、無置換であるか、又はハロゲン、シアノ及びC1~C4ハロアルキルからなる群から選択される置換基によって単置換されているか;又は
6は、環窒素原子を介して、置換基Aを含有する環に結合されているピラゾリル、イミダゾリル及びトリアゾリルから選択される5員芳香族環系であり、前記環系は、無置換であるか、又はハロゲン及びC1~C4ハロアルキルからなる群から選択される置換基によって単置換されている。
式I-2の化合物のより好ましい群において、R6は、好ましくは、シクロプロピル、シアノシクロプロピル、トリフルオロエトキシ、ジフルオロプロピオキシ、シアノイソプロポキシ、-N=S(O)(CH32、-N(CH3)COCH3、2-ピリジルオキシ、無置換であるか又はクロロ、シアノ若しくはトリフルオロメチルによって単置換され得るN結合ピラゾリル、或いは無置換であるか又はクロロ、シアノ若しくはトリフルオロメチルによって単置換され得るC結合ピリミジニルであり;よりさらに好ましくは、R6は、シクロプロピル、1-シアノシクロプロピル、2,2,2-トリフルオロエトキシ、2,2-ジフルオロプロポキシ、1-シアノ-1-メチル-エトキシ、-N=S(O)(CH32、-N(CH3)COCH3、2-ピリジルオキシ、ピリミジン-2-イル、4-トリフルオロメチル-ピリミジン-2-イル、5-シアノ-ピリミジン-2-イル、5-クロロ-ピリミジン-2-イル、3-クロロ-ピラゾール-1-イル及び3-トリフルオロメチル-ピラゾール-1-イルからなる群から選択される。
この実施形態による化合物の1つの好ましい群は、R1がC1~C4アルキル又はC1~C4ハロアルキルであり;好ましくは、R1がCH3又はCF3であり;より好ましくは、R1がCF3である、式(I-2)の化合物又は式(I-2)の化合物の好ましい実施形態のいずれかの化合物である式(I-2a)の化合物である。
この実施形態による化合物の別の好ましい群は、R2がH、C1~C4アルキル、シクロプロピル、C1~C4ハロアルキル、C(O)R3又はシアノであり;R3がC1~C4アルキルであり;好ましくは、R3がメチルである、式(I-2)の化合物又は式(I-2)の化合物の好ましい実施形態のいずれかの化合物である式(I-2b)の化合物であり;
より好ましくは、R2は、H、シアノ、COCH3、シクロプロピル、メチル、エチル、トリフルオロエチル又はトリフルオロメチルであり;より好ましくは、R2は、H、シアノ、メチル、エチル、シクロプロピル又は2,2,2-トリフルオロエチルである。
この実施形態による化合物の別の好ましい群は、XがS又はSO2、好ましくはSO2である、式(I-2)の化合物又は式(I-2)の化合物の好ましい実施形態のいずれかの化合物である式(I-2c)の化合物である。
この実施形態による化合物のさらなる好ましい群は、R4がC1~C2アルキルであり;好ましくは、R4がエチルである、式(I-2)の化合物又は式(I-2)の化合物の好ましい実施形態のいずれかの化合物である式(I-2d)の化合物である。
この実施形態による化合物の1つの好ましい群は、AがNである、式(I-2)の化合物又は式(I-2)の化合物の好ましい実施形態のいずれかの化合物である式(I-2e)の化合物である。
この実施形態による化合物の別の好ましい群は、AがCHである、式(I-2)の化合物又は式(I-2)の化合物の好ましい実施形態のいずれかの化合物である式(I-2f)の化合物である。
この実施形態による化合物の1つの好ましい群は、G2がNであり、G1がCHである、式(I-2)の化合物又は式(I-2)の化合物の好ましい実施形態のいずれかの化合物である式(I-2g)の化合物である。
この実施形態による化合物の別の好ましい群は、G2及びG1が両方ともCHである、式(I-2)の化合物又は式(I-2)の化合物の好ましい実施形態のいずれかの化合物である式(I-2h)の化合物である。
この実施形態による化合物の別の好ましい群は、G2がCHであり、G1がNである、式(I-2)の化合物又は式(I-2)の化合物の好ましい実施形態のいずれかの化合物である式(I-2i)の化合物である。
本発明に係る化合物の別の群は、式I-3
Figure 0007581336000005
(式中、G1、G2、R1、R2、R3、A、X、R4及びR5は、上記の式Iで定義されているとおりである)
のもの又はその農芸化学的に許容可能な塩、立体異性体、鏡像異性体、互変異性体若しくはN-オキシドであり;ここで、R5は、好ましくは、Hであるか;又は
5は、環炭素原子を介して、置換基Aを含有する環に結合されている5員~6員芳香族環系であり、前記環系は、無置換であるか、又はハロゲン、シアノ及びC1~C4ハロアルキルからなる群から選択される置換基によって単置換されており;及び前記環系は、1個又は2個の環窒素原子を含有するか;又は
5は、環窒素原子を介して、置換基Aを含有する環に結合されている5員芳香族環系であり、前記環系は、無置換であるか、又はハロゲン、シアノ及びC1~C4ハロアルキルからなる群から選択される置換基によって単置換されており;及び前記環系は、1個、2個又は3個の環窒素原子を含有する。
式I-3の化合物の好ましい群において、R5は、好ましくは、Hであるか;又は
5は、環炭素原子を介して、置換基Aを含有する環に結合されているピリジル及びピリミジニルから選択される6員芳香族環系であり、前記環系は、無置換であるか、又はハロゲン及びC1~C4ハロアルキルからなる群から選択される置換基によって単置換されているか;又は
5は、環窒素原子を介して、置換基Aを含有する環に結合されているピラゾリル、イミダゾリル及びトリアゾリルから選択される5員芳香族環系であり、前記環系は、無置換であるか、又はハロゲン及びC1~C4ハロアルキルからなる群から選択される置換基によって単置換されている。
式I-3の化合物のより好ましい群において、R5は、好ましくは、H、無置換であるか又はクロロ若しくはトリフルオロメチルによって単置換され得るN結合ピラゾリル、無置換であるか又はクロロ若しくはトリフルオロメチルによって単置換され得るC結合ピリミジニル、或いは無置換であるか又はクロロ若しくはトリフルオロメチルによって単置換され得るN結合トリアゾリルであり;よりさらに好ましくは、R5は、H、3-クロロ-ピラゾール-1-イル、3-トリフルオロメチル-ピラゾール-1-イル、ピリミジン-2-イル、1,2,4-トリアゾール-1-イル、3-クロロ-1,2,4-トリアゾール-1-イル及び3-トリフルオロメチル-1,2,4-トリアゾール-1-イルからなる群から選択される。
この実施形態による化合物の1つの好ましい群は、R1がC1~C4アルキル又はC1~C4ハロアルキルであり;好ましくは、R1がCH3又はCF3であり;より好ましくは、R1がCF3である、式(I-3)の化合物又は式(I-3)の化合物の好ましい実施形態のいずれかの化合物である式(I-3a)の化合物である。
この実施形態による化合物の別の好ましい群は、R2がH、C1~C4アルキル、シクロプロピル、C1~C4ハロアルキル、C(O)R3又はシアノであり;R3がC1~C4アルキルであり;好ましくは、R3がメチルである、式(I-3)の化合物又は式(I-3)の化合物の好ましい実施形態のいずれかの化合物である式(I-3b)の化合物であり;
より好ましくは、R2は、H、シアノ、COCH3、シクロプロピル、メチル、エチル、トリフルオロエチル又はトリフルオロメチルであり;より好ましくは、R2は、H、シアノ、メチル、エチル、シクロプロピル又は2,2,2-トリフルオロエチルである。
この実施形態による化合物の別の好ましい群は、XがS又はSO2、好ましくはSO2である、式(I-3)の化合物又は式(I-3)の化合物の好ましい実施形態のいずれかの化合物である式(I-3c)の化合物である。
この実施形態による化合物のさらなる好ましい群は、R4がC1~C2アルキルであり;好ましくは、R4がエチルである、式(I-3)の化合物又は式(I-3)の化合物の好ましい実施形態のいずれかの化合物である式(I-3d)の化合物である。
この実施形態による化合物の1つの好ましい群は、AがNである、式(I-3)の化合物又は式(I-3)の化合物の好ましい実施形態のいずれかの化合物である式(I-3e)の化合物である。
この実施形態による化合物の別の好ましい群は、AがCHである、式(I-3)の化合物又は式(I-3)の化合物の好ましい実施形態のいずれかの化合物である式(I-3f)の化合物である。
この実施形態による化合物の1つの好ましい群は、G2がNであり、G1がCHである、式(I-3)の化合物又は式(I-3)の化合物の好ましい実施形態のいずれかの化合物である式(I-3g)の化合物である。
この実施形態による化合物の別の好ましい群は、G2及びG1が両方ともCHである、式(I-3)の化合物又は式(I-3)の化合物の好ましい実施形態のいずれかの化合物である式(I-3h)の化合物である。
この実施形態による化合物の別の好ましい群は、G2がCHであり、G1がNである、式(I-3)の化合物又は式(I-3)の化合物の好ましい実施形態のいずれかの化合物である式(I-3i)の化合物である。
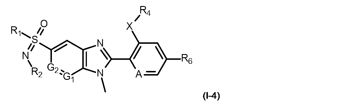
本発明に係る化合物の別の群は、式I-4
Figure 0007581336000006
(式中、G1、G2、R1、R2、R3、A、X、R4、R6、R7、R8、R9、R10、R11及びR12は、上記の式Iで定義されているとおりである)
のもの又はその農芸化学的に許容可能な塩、立体異性体、鏡像異性体、互変異性体若しくはN-オキシドであり、ここで、
6は、好ましくは、C3~C6シクロアルキル、シアノによって単置換されたC3~C6シクロアルキル、C1~C6ハロアルコキシ、シアノで置換されたC1~C6アルコキシ、-N=S(O)R78、-N(R9)COR10又は2-ピリジルオキシであるか;又は
6は、環炭素原子を介して、置換基Aを含有する環に結合されている5員~6員芳香族環系であり、前記環系は、無置換であるか、又はハロゲン、シアノ及びC1~C4ハロアルキルからなる群から選択される置換基によって単置換されており;及び前記環系は、1個又は2個の環窒素原子を含有するか;又は
6は、環窒素原子を介して、置換基Aを含有する環に結合されている5員芳香族環系であり、前記環系は、無置換であるか、又はハロゲン、シアノ及びC1~C4ハロアルキルからなる群から選択される置換基によって単置換されており;及び前記環系は、1個、2個又は3個の環窒素原子を含有する。
式I-4の化合物の好ましい群において、R6は、好ましくは、シクロプロピル、シアノシクロプロピル、C1~C4ハロアルコキシ、シアノによって置換されたC1~C4アルコキシ、-N=S(O)(CH32、-N(CH3)COCH3又は2-ピリジルオキシであり;最も好ましくは、R6は、シクロプロピル、シアノシクロプロピル、-OCH2CF3、-OCH2CF2CH3、シアノによって単置換されたC1~C3アルコキシ、-N=S(O)(CH32、-N(CH3)COCH3又は2-ピリジルオキシであるか;又は
6は、環炭素原子を介して、置換基Aを含有する環に結合されているピリジル及びピリミジニルから選択される6員芳香族環系であり、前記環系は、無置換であるか、又はハロゲン、シアノ及びC1~C4ハロアルキルからなる群から選択される置換基によって単置換されているか;又は
6は、環窒素原子を介して、置換基Aを含有する環に結合されているピラゾリル、イミダゾリル及びトリアゾリルから選択される5員芳香族環系であり、前記環系は、無置換であるか、又はハロゲン及びC1~C4ハロアルキルからなる群から選択される置換基によって単置換されている。
式I-4の化合物のより好ましい群において、R6は、好ましくは、シクロプロピル、シアノシクロプロピル、トリフルオロエトキシ、ジフルオロプロピオキシ、シアノイソプロポキシ、-N=S(O)(CH32、-N(CH3)COCH3、2-ピリジルオキシ、無置換であるか又はクロロ、シアノ若しくはトリフルオロメチルによって単置換され得るN結合ピラゾリル、或いは無置換であるか又はクロロ、シアノ若しくはトリフルオロメチルによって単置換され得るC結合ピリミジニルであり;よりさらに好ましくは、R6は、シクロプロピル、1-シアノシクロプロピル、2,2,2-トリフルオロエトキシ、2,2-ジフルオロプロポキシ、1-シアノ-1-メチル-エトキシ、-N=S(O)(CH32、-N(CH3)COCH3、2-ピリジルオキシ、ピリミジン-2-イル、4-トリフルオロメチル-ピリミジン-2-イル、5-シアノ-ピリミジン-2-イル、5-クロロ-ピリミジン-2-イル、3-クロロ-ピラゾール-1-イル及び3-トリフルオロメチル-ピラゾール-1-イルからなる群から選択される。
この実施形態による化合物の1つの好ましい群は、R1がC1~C4アルキル又はC1~C4ハロアルキルであり;好ましくは、R1がCH3又はCF3であり;より好ましくは、R1がCF3である、式(I-4)の化合物又は式(I-4)の化合物の好ましい実施形態のいずれかの化合物である式(I-4a)の化合物である。
この実施形態による化合物の別の好ましい群は、R2がH、C1~C4アルキル、シクロプロピル、C1~C4ハロアルキル、C(O)R3又はシアノであり;R3がC1~C4アルキルであり;好ましくは、R3がメチルである、式(I-4)の化合物又は式(I-4)の化合物の好ましい実施形態のいずれかの化合物である式(I-4b)の化合物であり;
より好ましくは、R2は、H、シアノ、COCH3、シクロプロピル、メチル、エチル、トリフルオロエチル又はトリフルオロメチルであり;より好ましくは、R2は、H、シアノ、メチル、エチル、シクロプロピル又は2,2,2-トリフルオロエチルである。
この実施形態による化合物の別の好ましい群は、XがS又はSO2、好ましくはSO2である、式(I-4)の化合物又は式(I-4)の化合物の好ましい実施形態のいずれかの化合物である式(I-4c)の化合物である。
この実施形態による化合物のさらなる好ましい群は、R4がC1~C2アルキルであり;好ましくは、R4がエチルである、式(I-2)の化合物又は式(I-4)の化合物の好ましい実施形態のいずれかの化合物である式(I-4d)の化合物である。
この実施形態による化合物の1つの好ましい群は、AがNである、式(I-4)の化合物又は式(I-4)の化合物の好ましい実施形態のいずれかの化合物である式(I-4e)の化合物である。
この実施形態による化合物の別の好ましい群は、AがCHである、式(I-4)の化合物又は式(I-4)の化合物の好ましい実施形態のいずれかの化合物である式(I-4f)の化合物である。
この実施形態による化合物の1つの好ましい群は、G2がNであり、G1がCHである、式(I-4)の化合物又は式(I-4)の化合物の好ましい実施形態のいずれかの化合物である式(I-4g)の化合物である。
この実施形態による化合物の別の好ましい群は、G2及びG1が両方ともCHである、式(I-4)の化合物又は式(I-4)の化合物の好ましい実施形態のいずれかの化合物である式(I-4h)の化合物である。
この実施形態による化合物の別の好ましい群は、G2がCHであり、G1がNである、式(I-4)の化合物又は式(I-4)の化合物の好ましい実施形態のいずれかの化合物である式(I-4i)の化合物である。
本発明に係る化合物の別の群は、式I-5
Figure 0007581336000007
(式中、R1、R2、R3、A、X、R4及びR5は、上記の式Iで定義されているとおりである)
のもの又はその農芸化学的に許容可能な塩、立体異性体、鏡像異性体、互変異性体若しくはN-オキシドであり;ここで、R5は、好ましくは、Hであるか;又は
5は、環炭素原子を介して、置換基Aを含有する環に結合されている5員~6員芳香族環系であり、前記環系は、無置換であるか、又はハロゲン、シアノ及びC1~C4ハロアルキルからなる群から選択される置換基によって単置換されており;及び前記環系は、1個又は2個の環窒素原子を含有するか;又は
5は、環窒素原子を介して、置換基Aを含有する環に結合されている5員芳香族環系であり、前記環系は、無置換であるか、又はハロゲン、シアノ及びC1~C4ハロアルキルからなる群から選択される置換基によって単置換されており;及び前記環系は、1個、2個又は3個の環窒素原子を含有する。
式I-5の化合物の好ましい群において、R5は、好ましくは、Hであるか;又は
5は、環炭素原子を介して、置換基Aを含有する環に結合されているピリジル及びピリミジニルから選択される6員芳香族環系であり、前記環系は、無置換であるか、又はハロゲン及びC1~C4ハロアルキルからなる群から選択される置換基によって単置換されているか;又は
5は、環窒素原子を介して、置換基Aを含有する環に結合されているピラゾリル、イミダゾリル及びトリアゾリルから選択される5員芳香族環系であり、前記環系は、無置換であるか、又はハロゲン及びC1~C4ハロアルキルからなる群から選択される置換基によって単置換されている。
式I-5の化合物のより好ましい群において、R5は、好ましくは、H、無置換であるか又はクロロ若しくはトリフルオロメチルによって単置換され得るN結合ピラゾリル、無置換であるか又はクロロ若しくはトリフルオロメチルによって単置換され得るC結合ピリミジニル、或いは無置換であるか又はクロロ若しくはトリフルオロメチルによって単置換され得るN結合トリアゾリルであり;よりさらに好ましくは、R5は、H、3-クロロ-ピラゾール-1-イル、3-トリフルオロメチル-ピラゾール-1-イル、ピリミジン-2-イル、1,2,4-トリアゾール-1-イル、3-クロロ-1,2,4-トリアゾール-1-イル及び3-トリフルオロメチル-1,2,4-トリアゾール-1-イルからなる群から選択される。
この実施形態による化合物の1つの好ましい群は、R1がC1~C4アルキル又はC1~C4ハロアルキルであり;好ましくは、R1がCH3又はCF3であり;より好ましくは、R1がCF3である、式(I-5)の化合物又は式(I-5)の化合物の好ましい実施形態のいずれかの化合物である式(I-5a)の化合物である。
この実施形態による化合物の別の好ましい群は、R2がH、C1~C4アルキル、シクロプロピル、C1~C4ハロアルキル、C(O)R3又はシアノであり;R3がC1~C4アルキルであり;好ましくは、R3がメチルである、式(I-5)の化合物又は式(I-5)の化合物の好ましい実施形態のいずれかの化合物である式(I-5b)の化合物であり;
より好ましくは、R2は、H、シアノ、COCH3、シクロプロピル、メチル、エチル、トリフルオロエチル又はトリフルオロメチルであり;より好ましくは、R2は、H、シアノ、メチル、エチル、シクロプロピル又は2,2,2-トリフルオロエチルである。
この実施形態による化合物の別の好ましい群は、XがS又はSO2、好ましくはSO2である、式(I-5)の化合物又は式(I-5)の化合物の好ましい実施形態のいずれかの化合物である式(I-5c)の化合物である。
この実施形態による化合物のさらなる好ましい群は、R4がC1~C2アルキルであり;好ましくは、R4がエチルである、式(I-5)の化合物又は式(I-5)の化合物の好ましい実施形態のいずれかの化合物である式(I-5d)の化合物である。
この実施形態による化合物の1つの好ましい群は、AがNである、式(I-5)の化合物又は式(I-5)の化合物の好ましい実施形態のいずれかの化合物である式(I-5e)の化合物である。
この実施形態による化合物の別の好ましい群は、AがCHである、式(I-5)の化合物又は式(I-5)の化合物の好ましい実施形態のいずれかの化合物である式(I-5f)の化合物である。
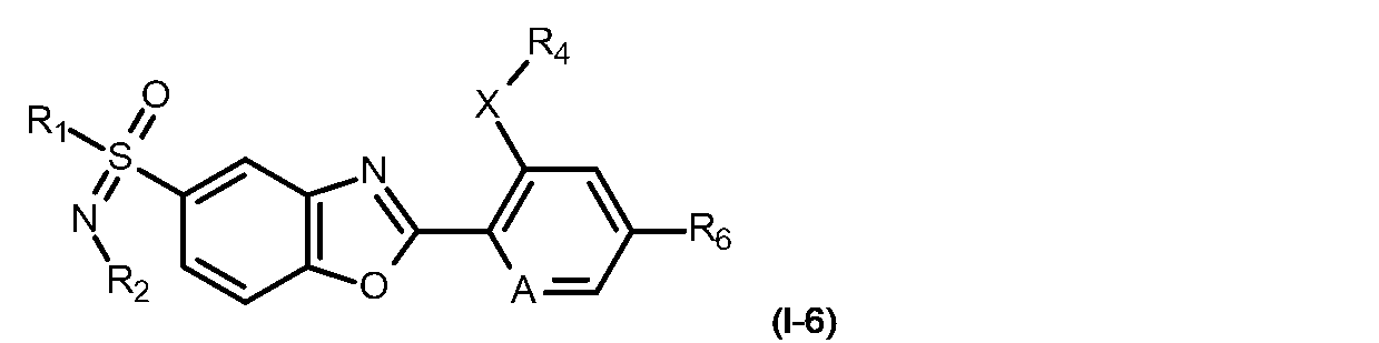
本発明に係る化合物の別の群は、式I-6
Figure 0007581336000008
(式中、R1、R2、R3、A、X、R4、R6、R7、R8、R9、R10、R11及びR12は、上記の式Iで定義されているとおりである)
のもの又はその農芸化学的に許容可能な塩、立体異性体、鏡像異性体、互変異性体若しくはN-オキシドであり;ここで、
6は、好ましくは、C3~C6シクロアルキル、シアノによって単置換されたC3~C6シクロアルキル、C1~C6ハロアルコキシ、シアノで置換されたC1~C6アルコキシ、-N=S(O)R78、-N(R9)COR10又は2-ピリジルオキシであるか;又は
6は、環炭素原子を介して、置換基Aを含有する環に結合されている5員~6員芳香族環系であり、前記環系は、無置換であるか、又はハロゲン、シアノ及びC1~C4ハロアルキルからなる群から選択される置換基によって単置換されており;及び前記環系は、1個又は2個の環窒素原子を含有するか;又は
6は、環窒素原子を介して、置換基Aを含有する環に結合されている5員芳香族環系であり、前記環系は、無置換であるか、又はハロゲン、シアノ及びC1~C4ハロアルキルからなる群から選択される置換基によって単置換されており;及び前記環系は、1個、2個又は3個の環窒素原子を含有する。
式I-6の化合物の好ましい群において、R6は、好ましくは、シクロプロピル、シアノシクロプロピル、C1~C4ハロアルコキシ、シアノによって置換されたC1~C4アルコキシ、-N=S(O)(CH32、-N(CH3)COCH3又は2-ピリジルオキシであり;最も好ましくは、R6は、シクロプロピル、シアノシクロプロピル、-OCH2CF3、-OCH2CF2CH3、シアノによって単置換されたC1~C3アルコキシ、-N=S(O)(CH32、-N(CH3)COCH3又は2-ピリジルオキシであるか;又は
6は、環炭素原子を介して、置換基Aを含有する環に結合されているピリジル及びピリミジニルから選択される6員芳香族環系であり、前記環系は、無置換であるか、又はハロゲン、シアノ及びC1~C4ハロアルキルからなる群から選択される置換基によって単置換されているか;又は
6は、環窒素原子を介して、置換基Aを含有する環に結合されているピラゾリル、イミダゾリル及びトリアゾリルから選択される5員芳香族環系であり、前記環系は、無置換であるか、又はハロゲン及びC1~C4ハロアルキルからなる群から選択される置換基によって単置換されている。
式I-6の化合物のより好ましい群において、R6は、好ましくは、シクロプロピル、シアノシクロプロピル、トリフルオロエトキシ、ジフルオロプロピオキシ、シアノイソプロポキシ、-N=S(O)(CH32、-N(CH3)COCH3、2-ピリジルオキシ、無置換であるか又はクロロ、シアノ若しくはトリフルオロメチルによって単置換され得るN結合ピラゾリル、或いは無置換であるか又はクロロ、シアノ若しくはトリフルオロメチルによって単置換され得るC結合ピリミジニルであり;よりさらに好ましくは、R6は、シクロプロピル、1-シアノシクロプロピル、2,2,2-トリフルオロエトキシ、2,2-ジフルオロプロポキシ、1-シアノ-1-メチル-エトキシ、-N=S(O)(CH32、-N(CH3)COCH3、2-ピリジルオキシ、ピリミジン-2-イル、4-トリフルオロメチル-ピリミジン-2-イル、5-シアノ-ピリミジン-2-イル、5-クロロ-ピリミジン-2-イル、3-クロロ-ピラゾール-1-イル及び3-トリフルオロメチル-ピラゾール-1-イルからなる群から選択される。
この実施形態による化合物の1つの好ましい群は、R1がC1~C4アルキル又はC1~C4ハロアルキルであり;好ましくは、R1がCH3又はCF3であり;より好ましくは、R1がCF3である、式(I-6)の化合物又は式(I-6)の化合物の好ましい実施形態のいずれかの化合物である式(I-6a)の化合物である。
この実施形態による化合物の別の好ましい群は、R2がH、C1~C4アルキル、シクロプロピル、C1~C4ハロアルキル、C(O)R3又はシアノであり;R3がC1~C4アルキルであり;好ましくは、R3がメチルである、式(I-6)の化合物又は式(I-6)の化合物の好ましい実施形態のいずれかの化合物である式(I-6b)の化合物であり;
より好ましくは、R2は、H、シアノ、COCH3、シクロプロピル、メチル、エチル、トリフルオロエチル又はトリフルオロメチルであり;より好ましくは、R2は、H、シアノ、メチル、エチル、シクロプロピル又は2,2,2-トリフルオロエチルである。
この実施形態による化合物の別の好ましい群は、XがS又はSO2、好ましくはSO2である、式(I-6)の化合物又は式(I-6)の化合物の好ましい実施形態のいずれかの化合物である式(I-6c)の化合物である。
この実施形態による化合物のさらなる好ましい群は、R4がC1~C2アルキルであり;好ましくは、R4がエチルである、式(I-6)の化合物又は式(I-6)の化合物の好ましい実施形態のいずれかの化合物である式(I-6d)の化合物である。
この実施形態による化合物の1つの好ましい群は、AがNである、式(I-6)の化合物又は式(I-6)の化合物の好ましい実施形態のいずれかの化合物である式(I-6e)の化合物である。
この実施形態による化合物の別の好ましい群は、AがCHである、式(I-6)の化合物又は式(I-6)の化合物の好ましい実施形態のいずれかの化合物である式(I-6f)の化合物である。
本発明に係る化合物の別の群は、式I-7
Figure 0007581336000009
(式中、R1、R2、R3、A、X、R4及びR5は、上記の式Iで定義されているとおりである)
のもの又はその農芸化学的に許容可能な塩、立体異性体、鏡像異性体、互変異性体若しくはN-オキシドであり;ここで、R5は、好ましくは、Hであるか;又は
5は、環炭素原子を介して、置換基Aを含有する環に結合されている5員~6員芳香族環系であり、前記環系は、無置換であるか、又はハロゲン、シアノ及びC1~C4ハロアルキルからなる群から選択される置換基によって単置換されており;及び前記環系は、1個又は2個の環窒素原子を含有するか;又は
5は、環窒素原子を介して、置換基Aを含有する環に結合されている5員芳香族環系であり、前記環系は、無置換であるか、又はハロゲン、シアノ及びC1~C4ハロアルキルからなる群から選択される置換基によって単置換されており;及び前記環系は、1個、2個又は3個の環窒素原子を含有する。
式I-7の化合物の好ましい群において、R5は、好ましくは、Hであるか;又は
5は、環炭素原子を介して、置換基Aを含有する環に結合されているピリジル及びピリミジニルから選択される6員芳香族環系であり、前記環系は、無置換であるか、又はハロゲン及びC1~C4ハロアルキルからなる群から選択される置換基によって単置換されているか;又は
5は、環窒素原子を介して、置換基Aを含有する環に結合されているピラゾリル、イミダゾリル及びトリアゾリルから選択される5員芳香族環系であり、前記環系は、無置換であるか、又はハロゲン及びC1~C4ハロアルキルからなる群から選択される置換基によって単置換されている。
式I-7の化合物のより好ましい群において、R5は、好ましくは、H、無置換であるか又はクロロ若しくはトリフルオロメチルによって単置換され得るN結合ピラゾリル、無置換であるか又はクロロ若しくはトリフルオロメチルによって単置換され得るC結合ピリミジニル、或いは無置換であるか又はクロロ若しくはトリフルオロメチルによって単置換され得るN結合トリアゾリルであり;よりさらに好ましくは、R5は、H、3-クロロ-ピラゾール-1-イル、3-トリフルオロメチル-ピラゾール-1-イル、ピリミジン-2-イル、1,2,4-トリアゾール-1-イル、3-クロロ-1,2,4-トリアゾール-1-イル及び3-トリフルオロメチル-1,2,4-トリアゾール-1-イルからなる群から選択される。
この実施形態による化合物の1つの好ましい群は、R1がC1~C4アルキル又はC1~C4ハロアルキルであり;好ましくは、R1がCH3又はCF3であり;より好ましくは、R1がCF3である、式(I-7)の化合物又は式(I-7)の化合物の好ましい実施形態のいずれかの化合物である式(I-7a)の化合物である。
この実施形態による化合物の別の好ましい群は、R2がH、C1~C4アルキル、シクロプロピル、C1~C4ハロアルキル、C(O)R3又はシアノであり;R3がC1~C4アルキルであり;好ましくは、R3がメチルである、式(I-7)の化合物又は式(I-7)の化合物の好ましい実施形態のいずれかの化合物である式(I-7b)の化合物であり;
より好ましくは、R2は、H、シアノ、COCH3、シクロプロピル、メチル、エチル、トリフルオロエチル又はトリフルオロメチルであり;より好ましくは、R2は、H、シアノ、メチル、エチル、シクロプロピル又は2,2,2-トリフルオロエチルである。
この実施形態による化合物の別の好ましい群は、XがS又はSO2、好ましくはSO2である、式(I-7)の化合物又は式(I-7)の化合物の好ましい実施形態のいずれかの化合物である式(I-7c)の化合物である。
この実施形態による化合物のさらなる好ましい群は、R4がC1~C2アルキルであり;好ましくは、R4がエチルである、式(I-7)の化合物又は式(I-7)の化合物の好ましい実施形態のいずれかの化合物である式(I-7d)の化合物である。
この実施形態による化合物の1つの好ましい群は、AがNである、式(I-7)の化合物又は式(I-7)の化合物の好ましい実施形態のいずれかの化合物である式(I-7e)の化合物である。
この実施形態による化合物の別の好ましい群は、AがCHである、式(I-7)の化合物又は式(I-7)の化合物の好ましい実施形態のいずれかの化合物である式(I-7f)の化合物である。
本発明に係る化合物の別の群は、式I-8
Figure 0007581336000010
(式中、R1、R2、R3、A、X、R4、R6、R7、R8、R9、R10、R11及びR12は、上記の式Iで定義されているとおりである)
のもの又はその農芸化学的に許容可能な塩、立体異性体、鏡像異性体、互変異性体若しくはN-オキシドであり;ここで、
6は、好ましくは、C3~C6シクロアルキル、シアノによって単置換されたC3~C6シクロアルキル、C1~C6ハロアルコキシ、シアノで置換されたC1~C6アルコキシ、-N=S(O)R78、-N(R9)COR10又は2-ピリジルオキシであるか;又は
6は、環炭素原子を介して、置換基Aを含有する環に結合されている5員~6員芳香族環系であり、前記環系は、無置換であるか、又はハロゲン、シアノ及びC1~C4ハロアルキルからなる群から選択される置換基によって単置換されており;及び前記環系は、1個又は2個の環窒素原子を含有するか;又は
6は、環窒素原子を介して、置換基Aを含有する環に結合されている5員芳香族環系であり、前記環系は、無置換であるか、又はハロゲン、シアノ及びC1~C4ハロアルキルからなる群から選択される置換基によって単置換されており;及び前記環系は、1個、2個又は3個の環窒素原子を含有する。
式I-8の化合物の好ましい群において、R6は、好ましくは、シクロプロピル、シアノシクロプロピル、C1~C4ハロアルコキシ、シアノによって置換されたC1~C4アルコキシ、-N=S(O)(CH32、-N(CH3)COCH3又は2-ピリジルオキシであり;最も好ましくは、R6は、シクロプロピル、シアノシクロプロピル、-OCH2CF3、-OCH2CF2CH3、シアノによって単置換されたC1~C3アルコキシ、-N=S(O)(CH32、-N(CH3)COCH3又は2-ピリジルオキシであるか;又は
6は、環炭素原子を介して、置換基Aを含有する環に結合されているピリジル及びピリミジニルから選択される6員芳香族環系であり、前記環系は、無置換であるか、又はハロゲン、シアノ及びC1~C4ハロアルキルからなる群から選択される置換基によって単置換されているか;又は
6は、環窒素原子を介して、置換基Aを含有する環に結合されているピラゾリル、イミダゾリル及びトリアゾリルから選択される5員芳香族環系であり、前記環系は、無置換であるか、又はハロゲン及びC1~C4ハロアルキルからなる群から選択される置換基によって単置換されている。
式I-8の化合物のより好ましい群において、R6は、好ましくは、シクロプロピル、シアノシクロプロピル、トリフルオロエトキシ、ジフルオロプロピオキシ、シアノイソプロポキシ、-N=S(O)(CH32、-N(CH3)COCH3、2-ピリジルオキシ、無置換であるか又はクロロ、シアノ若しくはトリフルオロメチルによって単置換され得るN結合ピラゾリル、或いは無置換であるか又はクロロ、シアノ若しくはトリフルオロメチルによって単置換され得るC結合ピリミジニルであり;よりさらに好ましくは、R6は、シクロプロピル、1-シアノシクロプロピル、2,2,2-トリフルオロエトキシ、2,2-ジフルオロプロポキシ、1-シアノ-1-メチル-エトキシ、-N=S(O)(CH32、-N(CH3)COCH3、2-ピリジルオキシ、ピリミジン-2-イル、4-トリフルオロメチル-ピリミジン-2-イル、5-シアノ-ピリミジン-2-イル、5-クロロ-ピリミジン-2-イル、3-クロロ-ピラゾール-1-イル及び3-トリフルオロメチル-ピラゾール-1-イルからなる群から選択される。
この実施形態による化合物の1つの好ましい群は、R1がC1~C4アルキル又はC1~C4ハロアルキルであり;好ましくは、R1がCH3又はCF3であり;より好ましくは、R1がCF3である、式(I-8)の化合物又は式(I-8)の化合物の好ましい実施形態のいずれかの化合物である式(I-8a)の化合物である。
この実施形態による化合物の別の好ましい群は、R2がH、C1~C4アルキル、シクロプロピル、C1~C4ハロアルキル、C(O)R3又はシアノであり;R3がC1~C4アルキルであり;好ましくは、R3がメチルである、式(I-8)の化合物又は式(I-8)の化合物の好ましい実施形態のいずれかの化合物である式(I-8b)の化合物であり;
より好ましくは、R2は、H、シアノ、COCH3、シクロプロピル、メチル、エチル、トリフルオロエチル又はトリフルオロメチルであり;より好ましくは、R2は、H、シアノ、メチル、エチル、シクロプロピル又は2,2,2-トリフルオロエチルである。
この実施形態による化合物の別の好ましい群は、XがS又はSO2であり、好ましくはSO2である、式(I-8)の化合物又は式(I-8)の化合物の好ましい実施形態のいずれかの化合物である式(I-8c)の化合物である。
この実施形態による化合物のさらなる好ましい群は、R4がC1~C2アルキルであり;好ましくは、R4がエチルである、式(I-8)の化合物又は式(I-8)の化合物の好ましい実施形態のいずれかの化合物である式(I-8d)の化合物である。
この実施形態による化合物の1つの好ましい群は、AがNである、式(I-8)の化合物又は式(I-8)の化合物の好ましい実施形態のいずれかの化合物である式(I-8e)の化合物である。
この実施形態による化合物の別の好ましい群は、AがCHである、式(I-8)の化合物又は式(I-8)の化合物の好ましい実施形態のいずれかの化合物である式(I-8f)の化合物である。
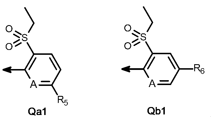
本発明に係る化合物の際立った群は、式(I-9)
Figure 0007581336000011
(式中、R2は、上記の式Iで定義されているとおりであり、及びQは、式Qa1及びQb1
Figure 0007581336000012
からなる群から選択される基であり、ここで、矢印は、二環式環の炭素原子に対する結合点を示し;
A、R5及びR6は、上記の式Iで定義されているとおりである)
のもの又はその農芸化学的に許容可能な塩、立体異性体、鏡像異性体、互変異性体若しくはN-オキシドであり;ここで、
2は、好ましくは、H、C1~C4アルキル、シクロプロピル、C1~C4ハロアルキル、C(O)R3又はシアノであり;R3は、C1~C4アルキルであり;好ましくは、R3は、メチルである。
式I-9の化合物の1つの好ましい群において、Aは、Nである。
式I-9の化合物の別の好ましい群において、R2は、H、シアノ、COCH3、シクロプロピル、メチル、エチル、トリフルオロエチル又はトリフルオロメチルであり;より好ましくは、R2は、H、シアノ、メチル、エチル、シクロプロピル又は2,2,2-トリフルオロエチルであり;よりさらに好ましくは、R2は、H、メチル、エチル、シクロプロピル又は2,2,2-トリフルオロエチルである。
式I-9の化合物の特に好ましい群において、R2は、H、エチル、シクロプロピル又は2,2,2-トリフルオロエチルであり;よりさらに好ましくは、R2は、H又はエチルである。
この実施形態による化合物の1つの好ましい群は、QがQa1である、式(I-9)の化合物又は式(I-9)の化合物の好ましい実施形態のいずれかの化合物である式(I-9a)の化合物である。
この実施形態による化合物の別の好ましい群は、QがQb1である、式(I-9)の化合物又は式(I-9)の化合物の好ましい実施形態のいずれかの化合物である式(I-9b)の化合物である。
式(I-9a)の化合物の好ましい群において、R5は、好ましくは、Hであるか;又は
5は、環炭素原子を介して、置換基Aを含有する環に結合されている5員~6員芳香族環系であり、前記環系は、無置換であるか、又はハロゲン、シアノ及びC1~C4ハロアルキルからなる群から選択される置換基によって単置換されており;及び前記環系は、1個又は2個の環窒素原子を含有するか;又は
5は、環窒素原子を介して、置換基Aを含有する環に結合されている5員芳香族環系であり、前記環系は、無置換であるか、又はハロゲン、シアノ及びC1~C4ハロアルキルからなる群から選択される置換基によって単置換されており;及び前記環系は、1個、2個又は3個の環窒素原子を含有する。
式(I-9a)の化合物のより好ましい群において、R5は、好ましくは、Hであるか;又は
5は、環炭素原子を介して、置換基Aを含有する環に結合されているピリジル及びピリミジニルから選択される6員芳香族環系であり、前記環系は、無置換であるか、又はハロゲン及びC1~C4ハロアルキルからなる群から選択される置換基によって単置換されているか;又は
5は、環窒素原子を介して、置換基Aを含有する環に結合されているピラゾリル、イミダゾリル及びトリアゾリルから選択される5員芳香族環系であり、前記環系は、無置換であるか、又はハロゲン及びC1~C4ハロアルキルからなる群から選択される置換基によって単置換されている。
式(I-9a)の化合物の特に好ましい群において、R5は、好ましくは、H、無置換であるか又はクロロ若しくはトリフルオロメチルによって単置換され得るN結合ピラゾリル、無置換であるか又はクロロ若しくはトリフルオロメチルによって単置換され得るC結合ピリミジニル、或いは無置換であるか又はクロロ若しくはトリフルオロメチルによって単置換され得るN結合トリアゾリルであり;よりさらに好ましくは、R5は、H、3-クロロ-ピラゾール-1-イル、3-トリフルオロメチル-ピラゾール-1-イル、ピリミジン-2-イル、1,2,4-トリアゾール-1-イル、3-クロロ-1,2,4-トリアゾール-1-イル及び3-トリフルオロメチル-1,2,4-トリアゾール-1-イルからなる群から選択される。
式(I-9a)の化合物の際立った群において、R5は、好ましくは、H、無置換C結合ピリミジニル、或いは無置換であるか又はクロロ若しくはトリフルオロメチルによって単置換され得るN結合トリアゾリルであり;より好ましくは、R5は、H、ピリミジン-2-イル、1,2,4-トリアゾール-1-イル、3-クロロ-1,2,4-トリアゾール-1-イル及び3-トリフルオロメチル-1,2,4-トリアゾール-1-イルからなる群から選択され;よりさらに好ましくは、R5は、H、ピリミジン-2-イル及び1,2,4-トリアゾール-1-イルからなる群から選択される。
式(I-9b)の化合物の好ましい群において、R6は、好ましくは、C3~C6シクロアルキル、シアノによって単置換されたC3~C6シクロアルキル、C1~C6ハロアルコキシ、シアノで置換されたC1~C6アルコキシ、-N=S(O)R78(式中、R7及びR8は、相互に独立して、C1~C4アルキルである)、-N(R9)COR10(式中、R9及びR10は、相互に独立して、C1~C4アルキルである)又は2-ピリジルオキシであるか;又は
6は、環炭素原子を介して、置換基Aを含有する環に結合されている5員~6員芳香族環系であり、前記環系は、無置換であるか、又はハロゲン、シアノ及びC1~C4ハロアルキルからなる群から選択される置換基によって単置換されており;及び前記環系は、1個又は2個の環窒素原子を含有するか;又は
6は、環窒素原子を介して、置換基Aを含有する環に結合されている5員芳香族環系であり、前記環系は、無置換であるか、又はハロゲン、シアノ及びC1~C4ハロアルキルからなる群から選択される置換基によって単置換されており;及び前記環系は、1個、2個又は3個の環窒素原子を含有する。
式(I-9b)の化合物のより好ましい群において、R6は、好ましくは、シクロプロピル、シアノシクロプロピル、C1~C4ハロアルコキシ、シアノによって置換されたC1~C4アルコキシ、-N=S(O)(CH32、-N(CH3)COCH3又は2-ピリジルオキシであり;最も好ましくは、R6は、シクロプロピル、シアノシクロプロピル、-OCH2CF3、-OCH2CF2CH3、シアノによって単置換されたC1~C3アルコキシ、-N=S(O)(CH32、-N(CH3)COCH3又は2-ピリジルオキシであるか;又は
6は、環炭素原子を介して、置換基Aを含有する環に結合されているピリジル及びピリミジニルから選択される6員芳香族環系であり、前記環系は、無置換であるか、又はハロゲン、シアノ及びC1~C4ハロアルキルからなる群から選択される置換基によって単置換されているか;又は
6は、環窒素原子を介して、置換基Aを含有する環に結合されているピラゾリル、イミダゾリル及びトリアゾリルから選択される5員芳香族環系であり、前記環系は、無置換であるか、又はハロゲン及びC1~C4ハロアルキルからなる群から選択される置換基によって単置換されている。
式(I-9b)の化合物の特に好ましい群において、R6は、好ましくは、シクロプロピル、シアノシクロプロピル、トリフルオロエトキシ、ジフルオロプロピオキシ、シアノイソプロポキシ、-N=S(O)(CH32、-N(CH3)COCH3、2-ピリジルオキシ、無置換であるか又はクロロ、シアノ若しくはトリフルオロメチルによって単置換され得るN結合ピラゾリル、或いは無置換であるか又はクロロ、シアノ若しくはトリフルオロメチルによって単置換され得るC結合ピリミジニルであり;よりさらに好ましくは、R6は、シクロプロピル、1-シアノシクロプロピル、2,2,2-トリフルオロエトキシ、2,2-ジフルオロプロポキシ、1-シアノ-1-メチル-エトキシ、-N=S(O)(CH32、-N(CH3)COCH3、2-ピリジルオキシ、ピリミジン-2-イル、4-トリフルオロメチル-ピリミジン-2-イル、5-シアノ-ピリミジン-2-イル、5-クロロ-ピリミジン-2-イル、3-クロロ-ピラゾール-1-イル及び3-トリフルオロメチル-ピラゾール-1-イルからなる群から選択される。
式(I-9b)の化合物の別の特に好ましい群において、R6は、好ましくは、シクロプロピル、シアノシクロプロピル、トリフルオロエトキシ、ジフルオロプロピオキシ、-N=S(O)(CH32、-N(CH3)COCH3、2-ピリジルオキシ、無置換であるか又はクロロ若しくはトリフルオロメチルによって単置換され得るN結合ピラゾリル、或いは無置換であるか又はクロロ、シアノ若しくはトリフルオロメチルによって単置換され得るC結合ピリミジニルであり;より好ましくは、R6は、シクロプロピル、1-シアノシクロプロピル、2,2,2-トリフルオロエトキシ、2,2-ジフルオロプロポキシ、-N=S(O)(CH32、-N(CH3)COCH3、2-ピリジルオキシ、ピリミジン-2-イル、4-トリフルオロメチル-ピリミジン-2-イル、5-シアノ-ピリミジン-2-イル、5-クロロ-ピリミジン-2-イル、3-クロロ-ピラゾール-1-イル及び3-トリフルオロメチル-ピラゾール-1-イルからなる群から選択され;よりさらに好ましくは、R6は、シクロプロピル、1-シアノシクロプロピル、2,2,2-トリフルオロエトキシ、2,2-ジフルオロプロポキシ、-N=S(O)(CH32、-N(CH3)COCH3、2-ピリジルオキシ、ピリミジン-2-イル、4-トリフルオロメチル-ピリミジン-2-イル、5-クロロ-ピリミジン-2-イル、3-クロロ-ピラゾール-1-イル及び3-トリフルオロメチル-ピラゾール-1-イルからなる群から選択される。
この実施形態による化合物の1つの好ましい群は、AがNである、式(I-9)の化合物又は式(I-9)の化合物の好ましい実施形態のいずれかの化合物である式(I-9c)の化合物である。
この実施形態による化合物の別の好ましい群は、AがCHである、式(I-9)の化合物又は式(I-9)の化合物の好ましい実施形態のいずれかの化合物である式(I-9e)の化合物である。
本発明に係る化合物の別の群は、式I-10
Figure 0007581336000013
(式中、R1、R2、R3、A、X、R4及びR5は、上記の式Iで定義されているとおりである)
のもの又はその農芸化学的に許容可能な塩、立体異性体、鏡像異性体、互変異性体若しくはN-オキシドであり;ここで、R5は、好ましくは、Hであるか;又は
5は、環炭素原子を介して、置換基Aを含有する環に結合されている5員~6員芳香族環系であり、前記環系は、無置換であるか、又はハロゲン、シアノ及びC1~C4ハロアルキルからなる群から選択される置換基によって単置換されており;及び前記環系は、1個又は2個の環窒素原子を含有するか;又は
5は、環窒素原子を介して、置換基Aを含有する環に結合されている5員芳香族環系であり、前記環系は、無置換であるか、又はハロゲン、シアノ及びC1~C4ハロアルキルからなる群から選択される置換基によって単置換されており;及び前記環系は、1個、2個又は3個の環窒素原子を含有する。
式I-10の化合物の好ましい群において、R5は、好ましくは、Hであるか;又は
5は、環炭素原子を介して、置換基Aを含有する環に結合されているピリジル及びピリミジニルから選択される6員芳香族環系であり、前記環系は、無置換であるか、又はハロゲン及びC1~C4ハロアルキルからなる群から選択される置換基によって単置換されているか;又は
5は、環窒素原子を介して、置換基Aを含有する環に結合されているピラゾリル、イミダゾリル及びトリアゾリルから選択される5員芳香族環系であり、前記環系は、無置換であるか、又はハロゲン及びC1~C4ハロアルキルからなる群から選択される置換基によって単置換されている。
式I-10の化合物のより好ましい群において、R5は、好ましくは、H、無置換であるか又はクロロ若しくはトリフルオロメチルによって単置換され得るN結合ピラゾリル、無置換であるか又はクロロ若しくはトリフルオロメチルによって単置換され得るC結合ピリミジニル、或いは無置換であるか又はクロロ若しくはトリフルオロメチルによって単置換され得るN結合トリアゾリルであり;よりさらに好ましくは、R5は、H、3-クロロ-ピラゾール-1-イル、3-トリフルオロメチル-ピラゾール-1-イル、ピリミジン-2-イル、1,2,4-トリアゾール-1-イル、3-クロロ-1,2,4-トリアゾール-1-イル及び3-トリフルオロメチル-1,2,4-トリアゾール-1-イルからなる群から選択される。
この実施形態による化合物の1つの好ましい群は、R1がC1~C4アルキル又はC1~C4ハロアルキルであり;好ましくは、R1がCH3又はCF3であり;より好ましくは、R1がCF3である、式(I-10)の化合物又は式(I-10)の化合物の好ましい実施形態のいずれかの化合物である式(I-10a)の化合物である。
この実施形態による化合物の別の好ましい群は、R2がH、C1~C4アルキル、シクロプロピル、C1~C4ハロアルキル、C(O)R3又はシアノであり;R3がC1~C4アルキルであり;好ましくは、R3がメチルである、式(I-10)の化合物又は式(I-10)の化合物の好ましい実施形態のいずれかの化合物である式(I-10b)の化合物であり;
より好ましくは、R2は、H、シアノ、COCH3、シクロプロピル、メチル、エチル、トリフルオロエチル又はトリフルオロメチルであり;より好ましくは、R2は、H、シアノ、メチル、エチル、シクロプロピル又は2,2,2-トリフルオロエチルである。
この実施形態による化合物の別の好ましい群は、XがS又はSO2であり、好ましくはSO2である、式(I-10)の化合物又は式(I-10)の化合物の好ましい実施形態のいずれかの化合物である式(I-10c)の化合物である。
この実施形態による化合物のさらなる好ましい群は、R4がC1~C2アルキルであり;好ましくは、R4がエチルである、式(I-10)の化合物又は式(I-10)の化合物の好ましい実施形態のいずれかの化合物である式(I-10d)の化合物である。
この実施形態による化合物の1つの好ましい群は、AがNである、式(I-10)の化合物又は式(I-10)の化合物の好ましい実施形態のいずれかの化合物である式(I-10e)の化合物である。
この実施形態による化合物の別の好ましい群は、AがCHである、式(I-10)の化合物又は式(I-10)の化合物の好ましい実施形態のいずれかの化合物である式(I-10f)の化合物である。
本発明に係る化合物の別の群は、式I-11
Figure 0007581336000014
(式中、R1、R2、R3、A、X、R4、R6、R7、R8、R9、R10、R11及びR12は、上記の式Iで定義されているとおりである)
のもの又はその農芸化学的に許容可能な塩、立体異性体、鏡像異性体、互変異性体若しくはN-オキシドであり;ここで、
6は、好ましくは、C3~C6シクロアルキル、シアノによって単置換されたC3~C6シクロアルキル、C1~C6ハロアルコキシ、シアノで置換されたC1~C6アルコキシ、-N=S(O)R78、-N(R9)COR10又は2-ピリジルオキシであるか;又は
6は、環炭素原子を介して、置換基Aを含有する環に結合されている5員~6員芳香族環系であり、前記環系は、無置換であるか、又はハロゲン、シアノ及びC1~C4ハロアルキルからなる群から選択される置換基によって単置換されており;及び前記環系は、1個又は2個の環窒素原子を含有するか;又は
6は、環窒素原子を介して、置換基Aを含有する環に結合されている5員芳香族環系であり、前記環系は、無置換であるか、又はハロゲン、シアノ及びC1~C4ハロアルキルからなる群から選択される置換基によって単置換されており;及び前記環系は、1個、2個又は3個の環窒素原子を含有する。
式I-11の化合物の好ましい群において、R6は、好ましくは、シクロプロピル、シアノシクロプロピル、C1~C4ハロアルコキシ、シアノによって置換されたC1~C4アルコキシ、-N=S(O)(CH32、-N(CH3)COCH3又は2-ピリジルオキシであり;最も好ましくは、R6は、シクロプロピル、シアノシクロプロピル、-OCH2CF3、-OCH2CF2CH3、シアノによって単置換されたC1~C3アルコキシ、-N=S(O)(CH32、-N(CH3)COCH3又は2-ピリジルオキシであるか;又は
6は、環炭素原子を介して、置換基Aを含有する環に結合されているピリジル及びピリミジニルから選択される6員芳香族環系であり、前記環系は、無置換であるか、又はハロゲン、シアノ及びC1~C4ハロアルキルからなる群から選択される置換基によって単置換されているか;又は
6は、環窒素原子を介して、置換基Aを含有する環に結合されているピラゾリル、イミダゾリル及びトリアゾリルから選択される5員芳香族環系であり、前記環系は、無置換であるか、又はハロゲン及びC1~C4ハロアルキルからなる群から選択される置換基によって単置換されている。
式I-11の化合物のより好ましい群において、R6は、好ましくは、シクロプロピル、シアノシクロプロピル、トリフルオロエトキシ、ジフルオロプロピオキシ、シアノイソプロポキシ、-N=S(O)(CH32、-N(CH3)COCH3、2-ピリジルオキシ、無置換であるか又はクロロ、シアノ若しくはトリフルオロメチルによって単置換され得るN結合ピラゾリル、或いは無置換であるか又はクロロ、シアノ若しくはトリフルオロメチルによって単置換され得るC結合ピリミジニルであり;よりさらに好ましくは、R6は、シクロプロピル、1-シアノシクロプロピル、2,2,2-トリフルオロエトキシ、2,2-ジフルオロプロポキシ、1-シアノ-1-メチル-エトキシ、-N=S(O)(CH32、-N(CH3)COCH3、2-ピリジルオキシ、ピリミジン-2-イル、4-トリフルオロメチル-ピリミジン-2-イル、5-シアノ-ピリミジン-2-イル、5-クロロ-ピリミジン-2-イル、3-クロロ-ピラゾール-1-イル及び3-トリフルオロメチル-ピラゾール-1-イルからなる群から選択される。
この実施形態による化合物の1つの好ましい群は、R1がC1~C4アルキル又はC1~C4ハロアルキルであり;好ましくは、R1がCH3又はCF3であり;より好ましくは、R1がCF3である、式(I-11)の化合物又は式(I-11)の化合物の好ましい実施形態のいずれかの化合物である式(I-11a)の化合物である。
この実施形態による化合物の別の好ましい群は、R2がH、C1~C4アルキル、シクロプロピル、C1~C4ハロアルキル、C(O)R3又はシアノであり;R3がC1~C4アルキルであり;好ましくは、R3がメチルである、式(I-11)の化合物又は式(I-11)の化合物の好ましい実施形態のいずれかの化合物である式(I-11b)の化合物であり;
より好ましくは、R2は、H、シアノ、COCH3、シクロプロピル、メチル、エチル、トリフルオロエチル又はトリフルオロメチルであり;より好ましくは、R2は、H、シアノ、メチル、エチル、シクロプロピル又は2,2,2-トリフルオロエチルである。
この実施形態による化合物の別の好ましい群は、XがS又はSO2であり、好ましくはSO2である、式(I-11)の化合物又は式(I-11)の化合物の好ましい実施形態のいずれかの化合物である式(I-11c)の化合物である。
この実施形態による化合物のさらなる好ましい群は、R4がC1~C2アルキルであり;好ましくは、R4がエチルである、式(I-11)の化合物又は式(I-11)の化合物の好ましい実施形態のいずれかの化合物である式(I-11d)の化合物である。
この実施形態による化合物の1つの好ましい群は、AがNである、式(I-11)の化合物又は式(I-11)の化合物の好ましい実施形態のいずれかの化合物である式(I-11e)の化合物である。
この実施形態による化合物の別の好ましい群は、AがCHである、式(I-11)の化合物又は式(I-11)の化合物の好ましい実施形態のいずれかの化合物である式(I-11f)の化合物である。
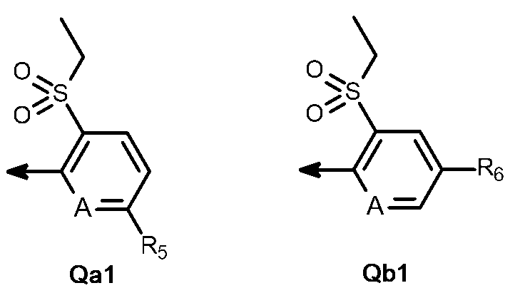
本発明に係る化合物の際立った群は、式(I-12)
Figure 0007581336000015
(式中、R2は、上記の式Iで定義されているとおりであり、及びQは、式Qa1及びQb1
Figure 0007581336000016
からなる群から選択される基であり、ここで、矢印は、二環式環の炭素原子に対する結合点を示し;
A、R5及びR6は、上記の式Iで定義されているとおりである)
のもの又はその農芸化学的に許容可能な塩、立体異性体、鏡像異性体、互変異性体若しくはN-オキシドであり;ここで、
2は、好ましくは、H、C1~C4アルキル、シクロプロピル、C1~C4ハロアルキル、C(O)R3又はシアノであり;R3は、C1~C4アルキルであり;好ましくは、R3は、メチルである。
式I-12の化合物の1つの好ましい群において、Aは、Nである。
式I-12の化合物の別の好ましい群において、R2は、H、シアノ、COCH3、シクロプロピル、メチル、エチル、トリフルオロエチル又はトリフルオロメチルであり;より好ましくは、R2は、H、シアノ、メチル、エチル、シクロプロピル又は2,2,2-トリフルオロエチルであり;よりさらに好ましくは、R2は、H、メチル、エチル、シクロプロピル又は2,2,2-トリフルオロエチルである。
式I-12の化合物の特に好ましい群において、R2は、H、エチル、シクロプロピル又は2,2,2-トリフルオロエチルであり;よりさらに好ましくは、R2は、H又はエチルである。
この実施形態による化合物の1つの好ましい群は、QがQa1である、式(I-12)の化合物又は式(I-12)の化合物の好ましい実施形態のいずれかの化合物である式(I-12a)の化合物である。
この実施形態による化合物の別の好ましい群は、QがQb1である、式(I-12)の化合物又は式(I-12)の化合物の好ましい実施形態のいずれかの化合物である式(I-12b)の化合物である。
式(I-12a)の化合物の好ましい群において、R5は、好ましくは、Hであるか;又は
5は、環炭素原子を介して、置換基Aを含有する環に結合されている5員~6員芳香族環系であり、前記環系は、無置換であるか、又はハロゲン、シアノ及びC1~C4ハロアルキルからなる群から選択される置換基によって単置換されており;及び前記環系は、1個又は2個の環窒素原子を含有するか;又は
5は、環窒素原子を介して、置換基Aを含有する環に結合されている5員芳香族環系であり、前記環系は、無置換であるか、又はハロゲン、シアノ及びC1~C4ハロアルキルからなる群から選択される置換基によって単置換されており;及び前記環系は、1個、2個又は3個の環窒素原子を含有する。
式(I-12a)の化合物のより好ましい群において、R5は、好ましくは、Hであるか;又は
5は、環炭素原子を介して、置換基Aを含有する環に結合されているピリジル及びピリミジニルから選択される6員芳香族環系であり、前記環系は、無置換であるか、又はハロゲン及びC1~C4ハロアルキルからなる群から選択される置換基によって単置換されているか;又は
5は、環窒素原子を介して、置換基Aを含有する環に結合されているピラゾリル、イミダゾリル及びトリアゾリルから選択される5員芳香族環系であり、前記環系は、無置換であるか、又はハロゲン及びC1~C4ハロアルキルからなる群から選択される置換基によって単置換されている。
式(I-12a)の化合物の特に好ましい群において、R5は、好ましくは、H、無置換であるか又はクロロ若しくはトリフルオロメチルによって単置換され得るN結合ピラゾリル、無置換であるか又はクロロ若しくはトリフルオロメチルによって単置換され得るC結合ピリミジニル、或いは無置換であるか又はクロロ若しくはトリフルオロメチルによって単置換され得るN結合トリアゾリルであり;よりさらに好ましくは、R5は、H、3-クロロ-ピラゾール-1-イル、3-トリフルオロメチル-ピラゾール-1-イル、ピリミジン-2-イル、1,2,4-トリアゾール-1-イル、3-クロロ-1,2,4-トリアゾール-1-イル及び3-トリフルオロメチル-1,2,4-トリアゾール-1-イルからなる群から選択される。
式(I-12a)の化合物の際立った群において、R5は、好ましくは、H、無置換C結合ピリミジニル、或いは無置換であるか又はクロロ若しくはトリフルオロメチルによって単置換され得るN結合トリアゾリルであり;より好ましくは、R5は、H、ピリミジン-2-イル、1,2,4-トリアゾール-1-イル、3-クロロ-1,2,4-トリアゾール-1-イル及び3-トリフルオロメチル-1,2,4-トリアゾール-1-イルからなる群から選択され;よりさらに好ましくは、R5は、H、ピリミジン-2-イル及び1,2,4-トリアゾール-1-イルからなる群から選択される;R5がHである場合がさらにより好ましい。
式(I-12b)の化合物の好ましい群において、R6は、好ましくは、C3~C6シクロアルキル、シアノによって単置換されたC3~C6シクロアルキル、C1~C6ハロアルコキシ、シアノで置換されたC1~C6アルコキシ、-N=S(O)R78(式中、R7及びR8は、相互に独立して、C1~C4アルキルである)、-N(R9)COR10(式中、R9及びR10は、相互に独立して、C1~C4アルキルである)又は2-ピリジルオキシであるか;又は
6は、環炭素原子を介して、置換基Aを含有する環に結合されている5員~6員芳香族環系であり、前記環系は、無置換であるか、又はハロゲン、シアノ及びC1~C4ハロアルキルからなる群から選択される置換基によって単置換されており;及び前記環系は、1個又は2個の環窒素原子を含有するか;又は
6は、環窒素原子を介して、置換基Aを含有する環に結合されている5員芳香族環系であり、前記環系は、無置換であるか、又はハロゲン、シアノ及びC1~C4ハロアルキルからなる群から選択される置換基によって単置換されており;及び前記環系は、1個、2個又は3個の環窒素原子を含有する。
式(I-12b)の化合物のより好ましい群において、R6は、好ましくは、シクロプロピル、シアノシクロプロピル、C1~C4ハロアルコキシ、シアノによって置換されたC1~C4アルコキシ、-N=S(O)(CH32、-N(CH3)COCH3又は2-ピリジルオキシであり;最も好ましくは、R6は、シクロプロピル、シアノシクロプロピル、-OCH2CF3、-OCH2CF2CH3、シアノによって単置換されたC1~C3アルコキシ、-N=S(O)(CH32、-N(CH3)COCH3又は2-ピリジルオキシであるか;又は
6は、環炭素原子を介して、置換基Aを含有する環に結合されているピリジル及びピリミジニルから選択される6員芳香族環系であり、前記環系は、無置換であるか、又はハロゲン、シアノ及びC1~C4ハロアルキルからなる群から選択される置換基によって単置換されているか;又は
6は、環窒素原子を介して、置換基Aを含有する環に結合されているピラゾリル、イミダゾリル及びトリアゾリルから選択される5員芳香族環系であり、前記環系は、無置換であるか、又はハロゲン及びC1~C4ハロアルキルからなる群から選択される置換基によって単置換されている。
式(I-12b)の化合物の特に好ましい群において、R6は、好ましくは、シクロプロピル、シアノシクロプロピル、トリフルオロエトキシ、ジフルオロプロピオキシ、シアノイソプロポキシ、-N=S(O)(CH32、-N(CH3)COCH3、2-ピリジルオキシ、無置換であるか又はクロロ、シアノ若しくはトリフルオロメチルによって単置換され得るN結合ピラゾリル、或いは無置換であるか又はクロロ、シアノ若しくはトリフルオロメチルによって単置換され得るC結合ピリミジニルであり;よりさらに好ましくは、R6は、シクロプロピル、1-シアノシクロプロピル、2,2,2-トリフルオロエトキシ、2,2-ジフルオロプロポキシ、1-シアノ-1-メチル-エトキシ、-N=S(O)(CH32、-N(CH3)COCH3、2-ピリジルオキシ、ピリミジン-2-イル、4-トリフルオロメチル-ピリミジン-2-イル、5-シアノ-ピリミジン-2-イル、5-クロロ-ピリミジン-2-イル、3-クロロ-ピラゾール-1-イル及び3-トリフルオロメチル-ピラゾール-1-イルからなる群から選択される。
式(I-12b)の化合物の別の特に好ましい群において、R6は、好ましくは、シクロプロピル、シアノシクロプロピル、トリフルオロエトキシ、ジフルオロプロピオキシ、-N=S(O)(CH32、-N(CH3)COCH3、2-ピリジルオキシ、無置換であるか又はクロロ若しくはトリフルオロメチルによって単置換され得るN結合ピラゾリル、或いは無置換であるか又はクロロ、シアノ若しくはトリフルオロメチルによって単置換され得るC結合ピリミジニルであり;より好ましくは、R6は、シクロプロピル、1-シアノシクロプロピル、2,2,2-トリフルオロエトキシ、2,2-ジフルオロプロポキシ、-N=S(O)(CH32、-N(CH3)COCH3、2-ピリジルオキシ、ピリミジン-2-イル、4-トリフルオロメチル-ピリミジン-2-イル、5-シアノ-ピリミジン-2-イル、5-クロロ-ピリミジン-2-イル、3-クロロ-ピラゾール-1-イル及び3-トリフルオロメチル-ピラゾール-1-イルからなる群から選択され;よりさらに好ましくは、R6は、シクロプロピル、1-シアノシクロプロピル、2,2,2-トリフルオロエトキシ、2,2-ジフルオロプロポキシ、-N=S(O)(CH32、-N(CH3)COCH3、2-ピリジルオキシ、ピリミジン-2-イル、4-トリフルオロメチル-ピリミジン-2-イル、5-クロロ-ピリミジン-2-イル、3-クロロ-ピラゾール-1-イル及び3-トリフルオロメチル-ピラゾール-1-イルからなる群から選択される。
式(I-12b)の化合物のさらに特に好ましい群において、R6は、好ましくは、シアノシクロプロピルであり;より好ましくは、R6は、1-シアノシクロプロピルである。
この実施形態による化合物の1つの好ましい群は、AがNである、式(I-12)の化合物又は式(I-12)の化合物の好ましい実施形態のいずれかの化合物である式(I-12c)の化合物である。
この実施形態による化合物の別の好ましい群は、AがCHである、式(I-12)の化合物又は式(I-12)の化合物の好ましい実施形態のいずれかの化合物である式(I-12e)の化合物である。
本発明に係る化合物の別の際立った群は、式(I-13)
Figure 0007581336000017
(式中、R2は、上記の式Iで定義されているとおりであり、及びQは、式Qa1及びQb1
Figure 0007581336000018
からなる群から選択される基であり、ここで、矢印は、二環式環の炭素原子に対する結合点を示し;
A、R5及びR6は、上記の式Iで定義されているとおりである)
のもの又はその農芸化学的に許容可能な塩、立体異性体、鏡像異性体、互変異性体若しくはN-オキシドであり;ここで、
2は、好ましくは、H、C1~C4アルキル、シクロプロピル、C1~C4ハロアルキル、C(O)R3又はシアノであり;R3は、C1~C4アルキルであり;好ましくは、R3は、メチルである。
式I-13の化合物の好ましい群において、Aは、Nである。
式I-13の化合物の別の好ましい群において、R2は、H、シアノ、COCH3、シクロプロピル、メチル、エチル、トリフルオロエチル又はトリフルオロメチルであり;より好ましくは、R2は、H、シアノ、メチル、エチル、シクロプロピル又は2,2,2-トリフルオロエチルであり;よりさらに好ましくは、R2は、H、メチル、エチル、シクロプロピル又は2,2,2-トリフルオロエチルである。
式I-13の化合物の特に好ましい群において、R2は、H、エチル、シクロプロピル又は2,2,2-トリフルオロエチルであり;よりさらに好ましくは、R2は、H又はエチルである。
この実施形態による化合物の1つの好ましい群は、QがQa1である、式(I-13)の化合物又は式(I-13)の化合物の好ましい実施形態のいずれかの化合物である式(I-13a)の化合物である。
この実施形態による化合物の別の好ましい群は、QがQb1である、式(I-13)の化合物又は式(I-13)の化合物の好ましい実施形態のいずれかの化合物である式(I-13b)の化合物である。
式(I-13a)の化合物の好ましい群において、R5は、好ましくは、Hであるか;又は
5は、環炭素原子を介して、置換基Aを含有する環に結合されている5員~6員芳香族環系であり、前記環系は、無置換であるか、又はハロゲン、シアノ及びC1~C4ハロアルキルからなる群から選択される置換基によって単置換されており;及び前記環系は、1個又は2個の環窒素原子を含有するか;又は
5は、環窒素原子を介して、置換基Aを含有する環に結合されている5員芳香族環系であり、前記環系は、無置換であるか、又はハロゲン、シアノ及びC1~C4ハロアルキルからなる群から選択される置換基によって単置換されており;及び前記環系は、1個、2個又は3個の環窒素原子を含有する。
式(I-13a)の化合物のより好ましい群において、R5は、好ましくは、Hであるか;又は
5は、環炭素原子を介して、置換基Aを含有する環に結合されているピリジル及びピリミジニルから選択される6員芳香族環系であり、前記環系は、無置換であるか、又はハロゲン及びC1~C4ハロアルキルからなる群から選択される置換基によって単置換されているか;又は
5は、環窒素原子を介して、置換基Aを含有する環に結合されているピラゾリル、イミダゾリル及びトリアゾリルから選択される5員芳香族環系であり、前記環系は、無置換であるか、又はハロゲン及びC1~C4ハロアルキルからなる群から選択される置換基によって単置換されている。
式(I-13a)の化合物の特に好ましい群において、R5は、好ましくは、H、無置換であるか又はクロロ若しくはトリフルオロメチルによって単置換され得るN結合ピラゾリル、無置換であるか又はクロロ若しくはトリフルオロメチルによって単置換され得るC結合ピリミジニル、或いは無置換であるか又はクロロ若しくはトリフルオロメチルによって単置換され得るN結合トリアゾリルであり;よりさらに好ましくは、R5は、H、3-クロロ-ピラゾール-1-イル、3-トリフルオロメチル-ピラゾール-1-イル、ピリミジン-2-イル、1,2,4-トリアゾール-1-イル、3-クロロ-1,2,4-トリアゾール-1-イル及び3-トリフルオロメチル-1,2,4-トリアゾール-1-イルからなる群から選択される。
式(I-13a)の化合物の際立った群において、R5は、好ましくは、H、無置換C結合ピリミジニル、或いは無置換であるか又はクロロ若しくはトリフルオロメチルによって単置換され得るN結合トリアゾリルであり;より好ましくは、R5は、H、ピリミジン-2-イル、1,2,4-トリアゾール-1-イル、3-クロロ-1,2,4-トリアゾール-1-イル及び3-トリフルオロメチル-1,2,4-トリアゾール-1-イルからなる群から選択され;よりさらに好ましくは、R5は、H、ピリミジン-2-イル及び1,2,4-トリアゾール-1-イルからなる群から選択される。
式(I-13a)の化合物のさらに際立った群において、R5は、好ましくは、H、或いは無置換であるか又はクロロ若しくはトリフルオロメチルによって単置換され得るN結合トリアゾリルであり;より好ましくは、R5は、H、1,2,4-トリアゾール-1-イル、3-クロロ-1,2,4-トリアゾール-1-イル及び3-トリフルオロメチル-1,2,4-トリアゾール-1-イルからなる群から選択される。
式(I-13b)の化合物の好ましい群において、R6は、好ましくは、C3~C6シクロアルキル、シアノによって単置換されたC3~C6シクロアルキル、C1~C6ハロアルコキシ、シアノで置換されたC1~C6アルコキシ、-N=S(O)R78(式中、R7及びR8は、相互に独立して、C1~C4アルキルである)、-N(R9)COR10(式中、R9及びR10は、相互に独立して、C1~C4アルキルである)又は2-ピリジルオキシであるか;又は
6は、環炭素原子を介して、置換基Aを含有する環に結合されている5員~6員芳香族環系であり、前記環系は、無置換であるか、又はハロゲン、シアノ及びC1~C4ハロアルキルからなる群から選択される置換基によって単置換されており;及び前記環系は、1個又は2個の環窒素原子を含有するか;又は
6は、環窒素原子を介して、置換基Aを含有する環に結合されている5員芳香族環系であり、前記環系は、無置換であるか、又はハロゲン、シアノ及びC1~C4ハロアルキルからなる群から選択される置換基によって単置換されており;及び前記環系は、1個、2個又は3個の環窒素原子を含有する。
式(I-13b)の化合物のより好ましい群において、R6は、好ましくは、シクロプロピル、シアノシクロプロピル、C1~C4ハロアルコキシ、シアノによって置換されたC1~C4アルコキシ、-N=S(O)(CH32、-N(CH3)COCH3又は2-ピリジルオキシであり;最も好ましくは、R6は、シクロプロピル、シアノシクロプロピル、-OCH2CF3、-OCH2CF2CH3、シアノによって単置換されたC1~C3アルコキシ、-N=S(O)(CH32、-N(CH3)COCH3又は2-ピリジルオキシであるか;又は
6は、環炭素原子を介して、置換基Aを含有する環に結合されているピリジル及びピリミジニルから選択される6員芳香族環系であり、前記環系は、無置換であるか、又はハロゲン、シアノ及びC1~C4ハロアルキルからなる群から選択される置換基によって単置換されているか;又は
6は、環窒素原子を介して、置換基Aを含有する環に結合されているピラゾリル、イミダゾリル及びトリアゾリルから選択される5員芳香族環系であり、前記環系は、無置換であるか、又はハロゲン及びC1~C4ハロアルキルからなる群から選択される置換基によって単置換されている。
式(I-13b)の化合物の特に好ましい群において、R6は、好ましくは、シクロプロピル、シアノシクロプロピル、トリフルオロエトキシ、ジフルオロプロピオキシ、シアノイソプロポキシ、-N=S(O)(CH32、-N(CH3)COCH3、2-ピリジルオキシ、無置換であるか又はクロロ、シアノ若しくはトリフルオロメチルによって単置換され得るN結合ピラゾリル、或いは無置換であるか又はクロロ、シアノ若しくはトリフルオロメチルによって単置換され得るC結合ピリミジニルであり;よりさらに好ましくは、R6は、シクロプロピル、1-シアノシクロプロピル、2,2,2-トリフルオロエトキシ、2,2-ジフルオロプロポキシ、1-シアノ-1-メチル-エトキシ、-N=S(O)(CH32、-N(CH3)COCH3、2-ピリジルオキシ、ピリミジン-2-イル、4-トリフルオロメチル-ピリミジン-2-イル、5-シアノ-ピリミジン-2-イル、5-クロロ-ピリミジン-2-イル、3-クロロ-ピラゾール-1-イル及び3-トリフルオロメチル-ピラゾール-1-イルからなる群から選択される。
式(I-13b)の化合物の別の特に好ましい群において、R6は、好ましくは、シクロプロピル、シアノシクロプロピル、トリフルオロエトキシ、ジフルオロプロピオキシ、-N=S(O)(CH32、-N(CH3)COCH3、2-ピリジルオキシ、無置換であるか又はクロロ若しくはトリフルオロメチルによって単置換され得るN結合ピラゾリル、或いは無置換であるか又はクロロ、シアノ若しくはトリフルオロメチルによって単置換され得るC結合ピリミジニルであり;より好ましくは、R6は、シクロプロピル、1-シアノシクロプロピル、2,2,2-トリフルオロエトキシ、2,2-ジフルオロプロポキシ、-N=S(O)(CH32、-N(CH3)COCH3、2-ピリジルオキシ、ピリミジン-2-イル、4-トリフルオロメチル-ピリミジン-2-イル、5-シアノ-ピリミジン-2-イル、5-クロロ-ピリミジン-2-イル、3-クロロ-ピラゾール-1-イル及び3-トリフルオロメチル-ピラゾール-1-イルからなる群から選択され;よりさらに好ましくは、R6は、シクロプロピル、1-シアノシクロプロピル、2,2,2-トリフルオロエトキシ、2,2-ジフルオロプロポキシ、-N=S(O)(CH32、-N(CH3)COCH3、2-ピリジルオキシ、ピリミジン-2-イル、4-トリフルオロメチル-ピリミジン-2-イル、5-クロロ-ピリミジン-2-イル、3-クロロ-ピラゾール-1-イル及び3-トリフルオロメチル-ピラゾール-1-イルからなる群から選択される。
式(I-13b)の化合物のさらに特に好ましい群において、R6は、好ましくは、シアノシクロプロピル、2-ピリジルオキシ又はシアノによって単置換され得るC結合ピリミジニルであり;より好ましくは、R6は、1-シアノシクロプロピル、2-ピリジルオキシ又は5-シアノ-ピリミジン-2-イルである。
この実施形態による化合物の1つの好ましい群は、AがNである、式(I-13)の化合物又は式(I-13)の化合物の好ましい実施形態のいずれかの化合物である式(I-13c)の化合物である。
この実施形態による化合物の別の好ましい群は、AがCHである、式(I-13)の化合物又は式(I-13)の化合物の好ましい実施形態のいずれかの化合物である式(I-13e)の化合物である。
本発明に係る化合物は、とりわけ、昆虫に対して植物を保護するための有利なレベルの生物学的活性又は農芸化学的有効成分として用いられるための優れた特性(例えば、高い生物学的活性、有利な活性範囲、高い安全性プロファイル、向上した物理化学的特性又は高い生分解性又は環境プロファイル)を含むいずれかの数の有益性を有し得る。特に、特定の式(I)の化合物は、特にミツバチ、単生ミツバチ及びマルハナバチなどの受粉媒介者といった非標的節足動物に対して有利な安全性プロファイルを示し得ることが意外なことに見出された。最も具体的には、セイヨウミツバチ(Apis mellifera)である。
他の態様において、本発明は、殺虫的、殺ダニ的、殺線虫的又は殺軟体動物的に有効な量の、実施形態1、2若しくは3(上記)のいずれか又は式(I-1)、(I-2)、(I-3)、(I-4)、(I-5)、(I-6)、(I-7)、(I-8)、(I-9)、(I-10)、(I-11)、(I-12)若しくは(I-13)の化合物に係る実施形態のいずれかに定義されている式(I)の化合物又はその農芸化学的に許容可能な塩、立体異性体、鏡像異性体、互変異性体若しくはN-オキシドと、任意に助剤又は希釈剤とを含む組成物を提供する。
さらなる態様において、本発明は、昆虫、ダニ類、線虫又は軟体動物を駆除及び防除する方法であって、有害生物、有害生物の生息地又は有害生物による攻撃を受けやすい植物に、殺虫的、殺ダニ的、殺線虫的又は殺軟体動物的に有効な量の、実施形態1、2若しくは3(上記)のいずれか又は式(I-1)、(I-2)、(I-3)、(I-4)、(I-5)、(I-6)、(I-7)、(I-8)、(I-9)、(I-10)、(I-11)、(I-12)若しくは(I-13)(上記)の化合物に係る実施形態のいずれかに定義されている式(I)の化合物又はその農芸化学的に許容可能な塩、立体異性体、鏡像異性体、互変異性体若しくはN-オキシド或いは上記に定義されている組成物を適用する工程を含む方法を提供する。
さらなる態様において、本発明は、昆虫、ダニ類、線虫又は軟体動物による攻撃から植物繁殖材料を保護する方法であって、繁殖材料又は繁殖材料が植えられている場所を、上記に定義されている組成物で処理する工程を含む方法を提供する。
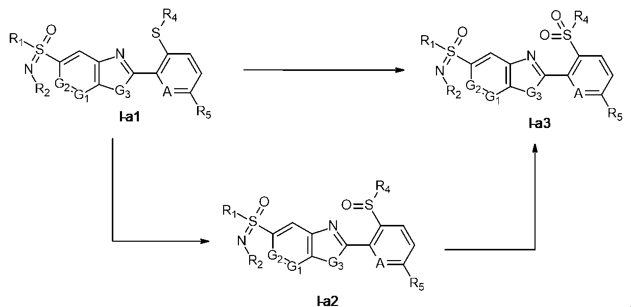
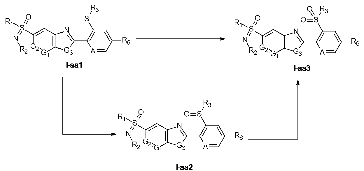
式Iの化合物を調製するための本発明に係るプロセスは、当業者に公知の方法によって行われる。式I-a3(式中、Xは、SO2であり、R1、R2、R4、R5、G1、G2、G3及びAは、上記の式Iに定義されている)の化合物は、式I-a2(式中、Xは、SOであり、R1、R2、R4、R5、G1、G2、G3及びAは、上記の式Iに定義されている)の化合物の酸化によって調製され得る。反応は、試薬、例えば過酸、例えば過酢酸若しくはm-クロロ過安息香酸又はヒドロペルオキシド、例えば過酸化水素若しくはtert-ブチル-ヒドロペルオキシド又は無機酸化剤、例えばモノペルオキソ二硫酸塩若しくは過マンガン酸カリウムによって行うことができる。同様に、式I-a2(式中、Xは、SOであり、R1、R2、R4、R5、G1、G2、G3及びAは、上記の式Iに定義されている)の化合物は、上記の類似の条件下で式I-a1(式中、Xは、Sであり、R1、R2、R4、R5、G1、G2、G3及びAは、上記の式Iに定義されている)の化合物の酸化によって調製され得る。これらの反応は、これらの条件に適合した様々な有機又は水性溶媒中で0℃未満~溶媒系の沸点までの温度で行うことができる。反応において使用される溶媒の例は、脂肪族ハロゲン化炭化水素、例えばジクロロメタン及びクロロホルム、アルコール、例えばメタノール及びエタノール、酢酸、水;並びにこれらの混合物を含む。式I-a1の化合物は、上記のような同様の条件下で式I-a3の化合物にも直接酸化することができる。式I-a2及びI-a3の化合物への式I-a1の化合物の変換は、スキーム1において表される。
スキーム1
Figure 0007581336000019
式I-aa3(スキーム2)(式中、Xは、SO2であり、R1、R2、R4、R6、G1、G2、G3及びAは、上記の式Iに定義されている)の化合物は、式I-a3の化合物の合成のためのスキーム1において記載されているような類似の手順により、式I-aa2の化合物又は式I-aa1(式中、Xは、SO2であり、R1、R2、R4、R6、G1、G2、G3及びAは、上記の式Iに定義されている)の化合物から調製され得る。
スキーム2
Figure 0007581336000020
代わりに、式I-a5(式中、R1、G1、G2、G3及びQは、上記の式Iに定義されており、R2は、Hである)の化合物は、超原子価ヨウ素試薬、例えばジアセトキシヨードベンゼンPhI(OAc)2の存在下、溶媒、例えばトルエン、アセトニトリル又はアルコール(好ましくはとりわけメタノール、2,2,2-トリフルオロエタノール又は2,2,3,3,4,4,5,5-オクタフルオロペンタン-1-オール)中、0~100℃、好ましくは概ね室温の温度において、例えばChem.Commun.2017,53,348-351(及びその中で引用されている参考文献)に見出される記載と類似して、式II(式中、R1、G1、G2、G3及びQは、上記の式Iに定義されている)のスルフィド化合物と、好適な窒素源、例えばアンモニア、カルバミン酸アンモニウム又は酢酸アンモニウム(好ましくはカルバミン酸アンモニウム)とを反応させることによって調製することができる(スキーム3)。
スキーム3
Figure 0007581336000021
代わりに、式III(式中、R1、G1、G2、G3及びQは、上記の式Iに定義されている)のスルホキシド化合物は、とりわけ、酸触媒、例えば硫酸、トリフルオロ酢酸、メタンスルホン酸、イートン試薬の存在下、0℃~100℃の温度において、溶媒、例えば他のハロゲン化溶媒中でトルエン、ジクロロメタン、クロロホルム中においてアジ化ナトリウム又はトリメチルシリルアジドと反応して、式I-a5(式中、R1、G1、G2、G3及びQは、上記の式Iに定義されており、R2は、Hである)の化合物を形成することができる。このような反応は、例えば、Org.Process Res.Dev.2015,19(8),1062-1067及び国際公開第16/180695号に記載されている。
式III(式中、R1、G1、G2、G3及びQは、上記の式Iに定義されている)のスルホキシド化合物は、スキーム1及び2において上記で既に記載した条件下で式II(式中、R1、G1、G2、G3及びQは、上記の式Iに定義されている)のスルフィド化合物の酸化によって調製され得る。
代わりに、式I-a5(式中、R1、G1、G2、G3及びQは、上記の式Iに定義されており、R2は、Hである)の化合物は、スルホキシミンN結合官能基Rnの脱保護反応により、式IV(式中、R1、G1、G2、G3及びQは、上記の式Iに定義されており、Rnは、CN、-C=O(C1~C6アルキル)、-C=O(C1~C6ハロアルキル)又はSO2-アリールである)の化合物から調製することができる(スキーム4)。
スキーム4
Figure 0007581336000022
例えば、式IV(式中、R1、G1、G2、G3及びQは、上記の式Iに定義されており、Rnは、CNである)の化合物は、例えば、O.G.Mancheno,C.Bolm,Org.Lett.2007,9,3809-3811に記載されているように、溶媒、例えばジクロロメタン中のトリフルオロ酢酸無水物による処理により、式IV(式中、Rnは、C(O)CF3である)の化合物に変換され得る。式IV(式中、R1、G1、G2、G3及びQは、上記の式Iに定義されており、Rnは、C(O)CF3である)の化合物は、例えば、H.Okamura,C.Bolm,Org.Lett.2004,6,1305-1307に記載されているように、極性プロトン性溶媒、例えばメタノール又はエタノール中の塩基、例えば炭酸ナトリウム又は炭酸カリウムによる処置によって式I-a5化合物に変換され得る。
式IV(式中、R1、G1、G2、G3及びQは、上記の式Iに定義されており、Rnは、CN、-C=O(C1~C6アルキル)、-C=O(C1~C6ハロアルキル)又はSO2-アリールである)の化合物は、式RnNH2(式中、Rnは、上記で定義されているとおりである)の試薬の存在下において、例えばH.Okamura,C.Bolm,Org.Lett.2004,6,1305-1307;H.Okamura,C.Bolm,Chem.Lett.2004,33,482-487;D.Leca,K.Song,M.Amatore,L.Fensterbank,E.Lacote,M.Malacria,Chem.Eur.J.2004,10,906-916;又はM.Reggelin,C.Zur,Synthesis,2000,1-64に記載されているように、式III(式中、R1、G1、G2、G3及びQは、上記の式Iに定義されている)の化合物をイミノ化反応条件に供することによって調製することができる。代わりのイミノ化試薬/条件は、NaN3/H2SO4、O-メシチレンスルホニル-ヒドロキシルアミン(MSH)又は金属を触媒とする方法[O.G.Mancheno,C.Bolm,Chem.Eur.J.2007,13,6674-6681を参照されたい]、例えばRn-N3/FeCl2、Rn-NH2/Fe(acac)3/PhI=O、PhI=N-Rn/Fe(OTf)2、PhI=N-Rn/CuOTf、PhI=N-Rn/Cu(OTf)2、PhI=N-Rn/CuPF6、PhI(OAc)2/Rn-NH2/MgO/Rh2(OAc)4又はオキサジリジン(例えば、3-(4-シアノ-フェニル)-オキサジリジン-2-カルボン酸tert-ブチルエステル)として定義され得る。
特に関心があるのは、G.Y.Cho,C.Bolm,Tetrahedron Lett.2005,46,8007-8008に記載されているような、Rn-NH2及び酸化剤、例えばPhI(OAc)2/Rn-NH2;又はC.Bolm et al.,Synthesis 2010,No 17,2922-2925に記載されているような、N-ブロモスクシンイミド(NBS)/Rn-NH2及び塩基、例えばナトリウム又はカリウムter-ブトキシドを伴う無金属のイミノ化方法である。例えば、O.G.Mancheno,C.Bolm,Org.Lett.2007,9,3809-3811に記載されているように、酸化剤、例えばN-ヨードスクシンイミド(NIS)又はヨウ素も代わりに使用し得る。酸化剤として使用される次亜塩素酸塩の一例、例えば次亜塩素酸ナトリウムNaOCl又は次亜塩素酸カルシウムCa(OCl)2は、国際公開第2008/1060号に記載された。
式III(式中、R1、G1、G2、G3及びQは、上記の式Iに定義されている)の化合物は、スキーム3に記載されるように式II(式中、R1、G1、G2、G3及びQは、上記の式Iに定義されている)の化合物から調製することができる。
逆に、2つの酸化/イミノ化工程の順序は、スキーム5に示されるように逆戻りされ得る。
スキーム5
Figure 0007581336000023
したがって、式IVの化合物は、スキーム4における上記のような同じ化学反応を伴うことによる、酸化によって式Vの化合物から調製され得;式Vの化合物は、イミノ化によって式IIの化合物から調製され得る。
代わりに、式I-a6(式中、R1、R2、G1、G2、G3及びQは、上記の式Iに定義されている)の化合物は、式I-a5(式中、R1、G1、G2、G3及びQは、上記の式Iに定義されており、R2は、Hである)の化合物と、試薬R2-X0(式中、R2は、上記の式Iに定義されているとおりであり、X0は、脱離基、例えばハロゲン化物、例えばクロロ、ブロモ若しくはヨード又はアリールスルホネート若しくはアルキルスルホネート、例えばトリフルオロメタンスルホネートである)とのアルキル化又は金属を触媒とするカップリングによって調製され得る(スキーム6)。
スキーム6
Figure 0007581336000024
塩基、例えばとりわけ水酸化ナトリウム、水酸化カリウム、炭酸カリウム、炭酸ナトリウム、炭酸セシウム、トリエチルアミンの存在下、溶媒、例えばとりわけジクロロメタン、ジクロロエタン、DMF、DMSO、エタノール、メタノールの存在下、0℃~溶媒の沸点の温度においてアルキル化反応を行うことができる。式I-a5の化合物からの式I-a6の化合物の調製のための金属を触媒とするカップリングは、塩基、例えば炭酸カリウム、炭酸セシウム、水酸化ナトリウムの存在下、不活性溶媒、例えばトルエン、ジメチル-ホルムアミドDMF、N-メチルピロリジンNMP、ジメチルスルホキシドDMSO、ジオキサン、テトラヒドロフランTHFなどにおいて、任意に触媒、例えば酢酸パラジウム(II)、ビス(ジベンジリデンアセトン)パラジウム(0)(Pd(dba)2)又はトリス(ジベンジリデンアセトン)ジパラジウム(0)(Pd2(dba)3、任意にクロロホルム付加体の形態)又はパラジウムプレ触媒、例えばtert-BuBrettPhos Pd G3[(2-ジ-tert-ブチルホスフィノ-3,6-ジメトキシ-2’,4’,6’-トリイソプロピル-1,1’-ビフェニル)-2-(2’-アミノ-1,1’-ビフェニル)]パラジウム(II)メタンスルホネート又はBrettPhos Pd G3[(2-ジ-シクロヘキシルホスフィノ-3,6-ジメトキシ-2’,4’,6’-トリイソプロピル-1,1’-ビフェニル)-2-(2’-アミノ-1,1’-ビフェニル)]パラジウム(II)メタンスルホネートの存在下、任意にリガンド、例えばSPhos、t-BuBrettPhos又はキサントホスの存在下で60~120℃の温度において任意にマイクロ波照射下で行うことができる。
式I-a6(式中、R1、G1、G2、G3及びQは、上記の式Iに定義されており、R2は、-C(O)R3であり、R3は、C1~C6アルキルである)の化合物は、任意にアシル化触媒、例えば4-ジメチルアミノピリジン(DMAP)の存在下、好ましくは塩基、例えばトリエチルアミン、ジイソプロピルエチルアミン又はピリジンの存在下、不活性溶媒中で0~50℃の温度において、式LG1-C(O)R3の試薬又は式R3C(O)-O-C(O)R3の無水試薬(式中、R3は、C1~C6アルキルであり、LG1は、脱離基、例えばハロゲン(特に塩素)である)による処理により、式I-a5(式中、R1、G1、G2、G3及びQは、上記の式Iに定義されている)の化合物から調製され得る。使用する溶媒の例は、エーテル、例えばテトラヒドロフラン、エチレングリコールジメチルエーテル、tert-ブチルメチルエーテル及び1,4-ジオキサン、芳香族炭化水素、例えばトルエン及びキシレン、ハロゲン化炭化水素、例えばジクロロメタン及びクロロホルム、ニトリル、例えばアセトニトリル又は極性非プロトン性溶媒、例えばN,N-ジメチルホルムアミド、N,N-ジメチルアセトアミド、N-メチル-2-ピロリドン又はジメチルスルホキシドを含む。反応は、過剰な塩基(その後、溶媒又は賦形剤としても作用し得る)の存在下で行い得る。このような条件は、例えば、国際公開第15/071180号に記載されている。
式II(式中、R1、G1、G2、G3及びQは、上記の式Iに定義されている)の化合物は、例えば、0~180℃、好ましくは20~150℃の温度において、任意にマイクロ波照射下で酢酸又はトリフルオロ酢酸(好ましくはG3がNMeであるとき)中での加熱により、式(VI)(式中、R1、G1、G2、G3及びQは、上記の式Iに定義されている)の化合物を環化することによって調製され得る(スキーム7)。
スキーム7
Figure 0007581336000025
式(VI)(式中、R1、G1、G2、G3及びQは、式Iに定義されているとおりである)の化合物の環化は、酸触媒、例えばメタンスルホン酸又はパラ-トルエンスルホン酸p-TsOHの存在下において、不活性溶媒、例えばN-メチルピロリドン、トルエン又はキシレン中、25~180℃、好ましくは100~170℃の温度でも達成され得る。このようなプロセスは、従前に、例えば国際公開第2010/125985号に記載されている。代わりに、式(VI)の化合物は、不活性溶媒、例えばテトラヒドロフランTHF中、20~50℃の温度において、トリフェニルホスフィン、ジイソプロピルアゾジカルボキシレート(又はジエチルアゾジカルボキシレート)を使用して、式II(好ましくはG3がOであるとき)の化合物に変換され得る。このようなミツノブ条件は、これらの変換について従前に記載されている(国際公開第2009/131237号を参照されたい)。
式(VI)(式中、R1、G1、G2、G3及びQは、式Iに定義されているとおりである)の化合物は、i)当業者に公知であり、且つ例えばTetrahedron,2005,61(46),10827-10852に記載されている方法により、式(IX)(式中、Qは、式Iに定義されているとおりである)の化合物の活性化により、アシル化を介して調製し、活性化種(VIII)(式中、Qは、式Iに定義されているとおりであり、X00は、ハロゲン、好ましくは塩素である)を形成し得る。例えば、化合物(VIII)(X00がハロゲン、好ましくは塩素であるとき)は、触媒量のN,N-ジメチルホルムアミドDMFの存在下、不活性溶媒、例えば塩化メチレンCH2Cl2又はテトラヒドロフランTHF中、20~100℃、好ましくは25℃の温度において、例えば塩化オキサリル(COCl)2又は塩化チオニルSOCl2による(IX)の処理によって形成される。代わりに、例えば、1-エチル-3-(3-ジメチルアミノプロピル)カルボジイミドEDC又はジシクロヘキシルカルボジイミドDCCによる式(IX)の化合物の処理は、不活性溶媒、例えばピリジン又はテトラヒドロフランTHF中、任意に塩基、例えばトリエチルアミンの存在下において50~180℃の温度で活性化種(VIII)(式中、X00は、それぞれX01又はX02である)を生じさせ;それに続いて、
ii)塩基、例えばトリエチルアミン、N,N-ジイソプロピル-エチル-アミン又はピリジンの存在下、不活性溶媒、例えばジクロロメタン、テトラヒドロフラン、ジオキサン、N,N-ジメチルホルムアミド、N,N-ジメチルアセトアミド、アセトニトリル、酢酸エチル又はトルエン中において0~50℃の温度で式(VII)(式中、R1、G1、G2及びG3は、式Iに定義されているとおりである)の化合物による活性化種(VIII)の処理を行い、式(VI)の化合物を形成させる。
式(VII)(式中、R1、G1、G2及びG3は、式Iに定義されているとおりである)の化合物は、公知であるか、市販されているか、又は当業者に公知である方法によって調製され得る。
代わりに、式I-a6(式中、R1、R2、G1、G2、G3及びQは、上記の式Iに定義されているとおりである)の化合物は、スキーム7に記載されているような手順と類似のスキーム8に従って調製され得る。従前に記述した全ての置換基の定義は、有効なままである。
スキーム8
Figure 0007581336000026
式XI(式中、R1、R2、G1、G2及びG3は、上記の式Iに定義されているとおりである)の化合物は、スキーム9に従って調製され得る。
スキーム9
Figure 0007581336000027
式VII(式中、R1、G1、G2及びG3は、上記の式Iに定義されているとおりである)の化合物は、PG-X0(式中、PGは、ベンジル、パラ-メトキシベンジル、ベンゾイル、アセチル若しくはtert-ブチルオキシカルボニル又は当業者に公知のNH若しくはOH官能基のための同様の他の好適な保護基であり、X0は、脱離基、例えばハロゲン化物、例えばクロロ、ブロモ若しくはヨード又はアリールスルホネート若しくはアルキルスルホネート、例えばトリフルオロメタンスルホネートである)と反応して、式XIII(式中、R1、G1、G2及びG3は、式Iに定義されているとおりであり、PGは、ベンジル、パラ-メトキシベンジル、ベンゾイル、アセチル若しくはtert-ブチルオキシカルボニル又はNH若しくはOH官能基のための同様の他の好適な保護基であり、nは、1又は2である)の化合物を形成することができる。式XIIIの化合物は、スキーム3及び4並びにスキーム6に記載されている化学反応及び条件を適用することにより、式XV(式中、R1、R2、G1、G2及びG3は、式Iに定義されているとおりであり、PGは、ベンジル、パラ-メトキシベンジル、ベンゾイル、アセチル若しくはtert-ブチルオキシカルボニル又はNH若しくはOH官能基のための同様の他の好適な保護基であり、nは、1又は2である)の化合物に変換することができる。式XVの化合物は、アミノ又はアルコール官能基の脱保護反応により、式XI(式中、R1、R2、G1、G2及びG3は、上記の式Iに定義されているとおりである)の化合物に変換することができる。一例として、PGが式XVの化合物中の-CO2t-Bu基であるとき、これは、酸、例えばとりわけトリフルオロ酢酸、塩酸、硫酸を使用して脱保護され、式XIの化合物を形成することができる。
式IX(式中、Qは、上記の式Iに定義されているとおりである)のある特定の化合物は市販されている。式IX(式中、Qは、上記の式Iに定義されているとおりである)の他の化合物は、文献において公知であり(例えば、下記の化合物Q-1~Q-10)、例えばQ-1(Xは、Sである)の合成について国際公開第18/108726号において、及びQ-2の合成について国際公開第16/046071号において、及びQ-3の合成について国際公開第17/146226号において記載されている。
Figure 0007581336000028
式IXのまた他の化合物は、化合物Q-1~Q-10の合成のために記載されている方法と類似して当業者が調製され得る(「CAS」は、ケミカルアブストラクツ登録番号を意味する)。
Figure 0007581336000029
式I(式中、R1、R2、G1、G2、G3は、上記の式Iに定義されているとおりであり、Qは、Qbとして定義され、A、X、R4及びR6は、式Iに定義されているとおりである)の化合物のサブグループは、式I-Qbの化合物として定義され得る(スキーム10)。
スキーム10中の特定の状況において、R6が、環窒素原子を介して、基Aを含有する環に結合されている任意に置換されていてもよいトリアゾールであるとき、式I-Qb(式中、Xは、SO又はSO2である)の化合物は、溶媒、例えばアルコール(例えば、メタノール、エタノール、イソプロパノール又は高沸点直鎖状若しくは分岐状アルコール)、ピリジン又は酢酸中、任意にさらなる塩基、例えば炭酸カリウムK2CO3又は炭酸セシウムCs2CO3の存在下、任意に銅触媒、例えばヨウ化銅(I)の存在下、30~180℃の温度において、任意にマイクロ波照射下、任意に置換されていてもよいトリアゾールR6-H(適当なNH官能基を含有する)(XVIIaa)(式中、R6は、N結合トリアゾリルである)との反応(C-N結合形成)により、式XVIb(式中、R1、R2、G1、G2、G3、A及びR4は、上記の式Iに定義されているとおりであり、Xは、SO又はSO2であり、Xbは、脱離基、例えば塩素、臭素若しくはヨウ素(好ましくは塩素若しくは臭素)又はアリールスルホネート若しくはアルキルスルホネート、例えばトリフルオロメタンスルホネートである)の化合物から調製され得る。
スキーム10
Figure 0007581336000030
(a)スズキ反応:Pd触媒(例えば、Pd(PPh34)又はPd(dppf)Cl2)、塩基(例えば、Na2CO3)、溶媒(例えば、1,2-ジメトキシエタン/水)、25~180℃。
(b)スティル反応:Pd触媒(例えば、Pd(PPh34)又はPd(PPh3)Cl2)、溶媒(例えば、トルエン)、25~180℃。
(c)C-N結合形成:任意の塩基(例えば、K2CO3又はCs2CO3)、銅又はパラジウム触媒の任意の存在、任意の添加物(例えば、N,N’-ジメチルエチレンジアミン)、任意のリガンド(例えば、キサントホス)、溶媒(例えば、ジオキサン、ピリジン又はN,N-ジメチルホルムアミドDMF)、25~180℃。
代わりに、式I-Qb(式中、Xは、SO又はSO2である)の化合物は、例えば、式XVIb(式中、R1、R2、G1、G2、G3、A及びR4は、上記の式Iに定義されているとおりであり、Xは、SO又はSO2であり、Xbは、脱離基、例えば塩素、臭素若しくはヨウ素(好ましくは塩素若しくは臭素)又はアリールスルホネート若しくはアルキルスルホネート、例えばトリフルオロメタンスルホネートである)の化合物と、式(XVII)(式中、R6は、式Iに定義されているとおりであり、Yb1は、ホウ素由来官能基、例えばB(OH)2又はB(ORb12であり得、Rb1は、C1~C4アルキル基である得るか、又は2個の基ORb1は、ホウ素原子と一緒になって、例えばピナコールボロン酸エステルとしての5員環を形成することができる)の化合物とを反応させることを伴うスズキ反応によって調製され得る。反応は、塩基、例えば炭酸ナトリウム、リン酸三カリウム又はフッ化セシウムの存在下、溶媒又は溶媒混合物、例えばジオキサン、アセトニトリル、N,N-ジメチル-ホルムアミド、1,2-ジメトキシエタン及び水の混合物、又はジオキサン/水の混合物、又はトルエン/水の混合物中、好ましくは不活性雰囲気下において、パラジウム系触媒、例えばテトラキス(トリフェニル-ホスフィン)パラジウム(0)、(1,1’ビス(ジフェニルホスフィノ)フェロセン)ジクロロ-パラジウム-ジクロロメタン(1:1錯体)又はクロロ(2-ジシクロヘキシルホスフィノ-2’,4’,6’-トリイソプロピル-1,1’-ビフェニル)[2-(2’-アミノ-1,1’-ビフェニル)]パラジウム(II)(XPhosパラダサイクル)によって触媒され得る。反応温度は、優先的には、室温~反応混合物の沸点の範囲であり得るか、又は反応は、マイクロ波照射下で行われ得る。このようなスズキ反応は、当業者に周知であり、例えばJ.Orgmet.Chem.576,1999,147-168においてレビューされている。
代わりに、式I-Qb(式中、Xは、SO又はSO2である)の化合物は、式(XVIIa)(式中、R6は、上記で定義されているとおりであり、Yb2は、トリアルキルスズ誘導体、好ましくはトリ-n-ブチルスズ又はトリ-メチル-スズである)の化合物及び式XVIb(式中、R1、R2、G1、G2、G3、A及びR4は、上記の式Iに定義されているとおりであり、Xは、SO又はSO2であり、Xbは、脱離基、例えば塩素、臭素若しくはヨウ素(好ましくは塩素若しくは臭素)又はアリールスルホネート若しくはアルキルスルホネート、例えばトリフルオロメタンスルホネートである)の化合物間のスティル反応によって調製され得る。このようなスティル反応は、通常、パラジウム触媒、例えばテトラキス(トリフェニルホスフィン)パラジウム(0)又はビス(トリフェニルホスフィン)パラジウム(II)ジクロリドの存在下、不活性溶媒、例えばN,N-ジメチルホルムアミド、アセトニトリル、トルエン又はジオキサン中、任意に添加物、例えばフッ化セシウム又は塩化リチウムの存在下、任意にさらなる触媒、例えばヨウ化銅(I)の存在下で行われる。このようなスティルカップリングも当業者に周知であり、例えばJ.Org.Chem.,2005,70,8601-8604、J.Org.Chem.,2009,74,5599-5602及びAngew.Chem.Int.Ed.,2004,43,1132-1136において記載されている。
6が、環窒素原子を介して、置換基Aを含有する環に結合されている5員芳香族環系であるとき、式I-Qb(式中、Xは、SO又はSO2である)の化合物は、塩基、例えば炭酸カリウムK2CO3又は炭酸セシウムCs2CO3の存在下、任意に銅触媒、例えばヨウ化銅(I)の存在下、添加物、例えばL-プロリン、N,N’-ジメチルシクロヘキサン-1,2-ジアミン又はN,N’-ジメチル-エチレン-ジアミンを伴うか又は伴わず、不活性溶媒、例えばN-メチルピロリドンNMP又はN,N-ジメチルホルムアミドDMF中、30~150℃の温度において、任意にマイクロ波照射下、複素環R6-H(適当なNH官能基を含有する)(XVIIaa)(式中、R6は、上記で定義されているとおりである)との反応により、式XVIb(式中、R1、R2、G1、G2、G3、A及びR4は、上記の式Iに定義されているとおりであり、Xは、SO又はSO2であり、Xbは、脱離基、例えば塩素、臭素若しくはヨウ素(好ましくは塩素若しくは臭素)又はアリールスルホネート若しくはアルキルスルホネート、例えばトリフルオロメタンスルホネートである)の化合物から調製され得る。
スキーム10中の特定の状況において、R6が-N(R9)C(=O)R10(式中、R9及びR10は、式Iに定義されているとおりである)であるとき、式I-Qb(式中、Xは、SO又はSO2である)の化合物は、HN(R9)COR10(式中、R9及びR10は、式Iに定義されているとおりである)に対する均等物である試薬R6-H(XVIIaa)との反応(C-N結合形成)により、式XVIb(式中、R1、R2、G1、G2、G3、A及びR4は、上記の式Iに定義されているとおりであり、Xは、SO又はSO2であり、Xbは、脱離基、例えば塩素、臭素若しくはヨウ素(好ましくは塩素若しくは臭素)又はアリールスルホネート若しくはアルキルスルホネート、例えばトリフルオロメタンスルホネートである)の化合物から調製され得る。このような反応は、炭酸カリウム、炭酸セシウム、水酸化ナトリウムなどの塩基の存在下、トルエン、ジメチルホルムアミドDMF、N-メチルピロリジンNMP、ジメチルスルホキシドDMSO、ジオキサン、テトラヒドロフランTHF等などの不活性溶剤中、任意に例えば酢酸パラジウム(II)、ビス(ジベンジリデンアセトン)パラジウム(0)(Pd(dba)2)若しくはトリス(ジベンジリデンアセトン)ジパラジウム(0)(Pd2(dba)3、任意にクロロホルム付加物の形態)又は例えばt-BuBrettPhos Pd G3[(2-ジ-t-ブチルホスフィノ-3,6-ジメトキシ-2’,4’,6’-トリイソプロピル-1,1’-ビフェニル)-2-(2’-アミノ-1,1’-ビフェニル)]パラジウム(II)メタンスルホン酸若しくはBrettPhos Pd G3[(2-ジ-シクロヘキシルホスフィノ-3,6-ジメトキシ-2’,4’,6’-トリイソプロピル-1,1’-ビフェニル)-2-(2’-アミノ-1,1’-ビフェニル)]パラジウム(II)メタンスルホン酸などのパラジウムプレ触媒といった触媒の存在下及び任意に例えばSPhos、t-BuBrettPhos又はキサントホスといったリガンドの存在下、60~120℃の温度で任意にマイクロ波の照射下において行われる。
スキーム10中の特定の状況において、R6がN(R11)R12(式中、R11、R12は、式Iに定義されているとおりである)であるとき、式I-Qb(式中、Xは、SO又はSO2である)の化合物は、HN(R11)R12又はその塩(例えば、ハロゲン化水素酸塩、好ましくは塩酸塩、若しくは臭化水素酸塩、若しくはトリフルオロ酢酸塩又は任意の他の均等な塩)(式中、R11、R12は、式Iに定義されているとおりである)に対する均等物である試薬R6-H(XVIIaa)との反応(C-N結合形成)により、式XVIb(式中、R1、R2、G1、G2、G3、A及びR4は、上記の式Iに定義されているとおりであり、Xは、SO又はSO2であり、Xbは、脱離基、例えば塩素、臭素若しくはヨウ素(好ましくは塩素若しくは臭素)又はアリールスルホネート若しくはアルキルスルホネート、例えばトリフルオロメタンスルホネートである)の化合物から調製され得る。このような反応は、通常、アルコール、アミド、エステル、エーテル、ニトリル及び水などの不活性溶剤、特に好ましくはメタノール、エタノール、2,2,2-トリフルオロエタノール、プロパノール、イソプロパノール、N,N-ジメチルホルムアミド、N,N-ジメチルアセタミド、ジオキサン、テトラヒドロフラン、ジメトキシエタン、アセトニトリル、酢酸エチル、トルエン、水又はこれらの混合物といった不活性溶剤中、0~150℃の温度において、任意にマイクロ波の照射下又はオートクレーブを用いた加圧条件下、任意に銅粉末、ヨウ化銅(I)若しくは硫酸銅(任意に水和物の形態)などの銅触媒又はこれらの混合物の存在下、任意に例えばジアミンリガンド(例えば、N,N’-ジメチルエチレンジアミン若しくはトランス-シクロヘキシルジアミン)、又はジベンジリデンアセトン(dba)、又は1,10-フェナントロリンといったリガンドの存在下及び任意にリン酸カリウムなどの塩基の存在下で行われる。
試薬HN(R11)R12及びHN(R9)C(=O)R10(式中、R9、R10、R11及びR12は、式Iに定義されているとおりである)は、公知であるか、市販されているか、又は当業者に公知である方法によって調製され得る。
スキーム10中の特定の状況において、R6が-N=S(O)R78(式中、R7及びR8は、式Iに定義されているとおりである)であるとき、式I-Qb(式中、Xは、SO又はSO2である)の化合物は、HN=S(O)R78(式中、R7及びR8は、式Iに定義されているとおりである)に対する均等物である試薬R6-H(XVIIaa)との反応(C-N結合形成)により、式XVIb(式中、R1、R2、G1、G2、G3、A及びR4は、上記の式Iに定義されているとおりであり、Xは、SO又はSO2であり、Xbは、脱離基、例えば塩素、臭素若しくはヨウ素(好ましくは塩素若しくは臭素)又はアリールスルホネート若しくはアルキルスルホネート、例えばトリフルオロメタンスルホネートである)の化合物から調製され得る。このような反応は、例えば、国際公開第18099812号に見出される記載と類似して行い得る。
試薬HN=S(O)R78(式中、R7及びR8は、式Iに定義されているとおりである)は、公知であるか、市販されているか、又は当業者に公知である方法によって調製され得る。
式XVIb(式中、Xは、SO又はSO2である)の化合物への、好適な酸化剤による式XVIb(式中、R1、R2、G1、G2、G3、A及びR4は、上記の式Iに定義されているとおりであり、Xは、Sであり、Xbは、脱離基、例えば塩素、臭素若しくはヨウ素(好ましくは塩素若しくは臭素)又はアリールスルホネート若しくはアルキルスルホネート、例えばトリフルオロメタンスルホネートである)の化合物の酸化は、上記で既に記載した条件下で達成され得る。
多数の式(XVII)、(XVIIa)及び(XVIIaa)の化合物は、市販されているか、又は当業者が調製することができる。
代わりに、式I-Qb(式中、Xは、SO又はSO2である)の化合物は、式XVIb(式中、Xは、S(スルフィド)である)の化合物から、上記のような同じ化学反応を伴うが、工程の順序を変更することにより(すなわちスズキ、スティル又はC-N結合形成を介してXVIb(Xは、Sである)からI-Qb(Xは、Sである)へのシーケンスを実施し、それに続いて酸化工程を行い、I-Qb(Xは、SO又はSO2である)を形成させることにより調製され得る。
式XVIb(式中、R1、R2、G1、G2、G3、A及びR4は、上記の式Iに定義されているとおりであり、Xは、S、SO又はSO2であり、Xbは、脱離基、例えば塩素、臭素若しくはヨウ素(好ましくは塩素若しくは臭素)又はアリールスルホネート若しくはアルキルスルホネート、例えばトリフルオロメタンスルホネートである)の化合物は、スキーム6において既に開示した化学反応に従って、式XVIIIb(式中、R1、G1、G2、G3、A及びR4は、上記の式Iに定義されているとおりであり、Xは、S、SO又はSO2であり、Xbは、脱離基、例えば塩素、臭素若しくはヨウ素(好ましくは塩素若しくは臭素)又はアリールスルホネート若しくはアルキルスルホネート、例えばトリフルオロメタンスルホネートである)の化合物から調製され得る(スキーム10a)。
スキーム10a
Figure 0007581336000031
式XVIIIb(式中、R1、G1、G2、G3、A及びR4は、上記の式Iに定義されているとおりであり、Xは、S、SO又はSO2であり、Xbは、脱離基、例えば塩素、臭素若しくはヨウ素(好ましくは塩素若しくは臭素)又はアリールスルホネート若しくはアルキルスルホネート、例えばトリフルオロメタンスルホネートである)の化合物は、スキーム3において既に開示した化学反応及び上記で記載した酸化条件を適用することにより、式II-Xb(式中、R1、G1、G2、G3、A及びR4は、上記の式Iに定義されているとおりであり、Xは、Sであり、Xbは、上記に定義されているような脱離基である)の化合物から調製され得る。
式II-Xb(式中、R1、G1、G2、G3、A及びR4は、上記の式Iに定義されているとおりであり、Xは、Sであり、Xbは、上記に定義されているような脱離基である)の化合物は、スキーム7において既に開示した化学反応に従うことにより、式VI-Xb(式中、R1、G1、G2、G3、A及びR4は、上記の式Iに定義されているとおりであり、Xは、Sであり、Xbは、上記に定義されているような脱離基である)の中間体を介して、式IX-Xb(式中、A及びR4は、上記の式Iに定義されているとおりであり、Xは、Sであり、Xbは、上記に定義されているような脱離基である)の化合物及び式VII(式中、R1、G1、G2及びG3は、上記の式Iに定義されているとおりである)の化合物から調製され得る。
式IX-Xb(式中、A及びR4は、上記の式Iに定義されているとおりであり、Xは、Sであり、Xbは、脱離基、例えば塩素、臭素若しくはヨウ素(好ましくは塩素若しくは臭素)である)の化合物は、公知であるか(例えば、上記で考察したQ-4を参照されたい)、市販されているか、又は当業者に公知である方法によって調製され得る。
式I(式中、R1、R2、G1、G2、G3は、上記の式Iに定義されているとおりであり、Qは、Qaとして定義され、A、X、R4及びR5は、式Iに定義されているとおりである)の化合物のサブグループは、式I-Qaの化合物として定義され得る(スキーム11)。
スキーム11
Figure 0007581336000032
(a)スズキ反応:Pd触媒(例えば、Pd(PPh34)又はPd(dppf)Cl2)、塩基(例えば、Na2CO3)、溶媒(例えば、1,2-ジメトキシエタン/水)、25~180℃。
(b)スティル反応:Pd触媒(例えば、Pd(PPh34)又はPd(PPh3)Cl2)、溶媒(例えば、トルエン)、25~180℃。
(c)C-N結合形成:任意の塩基(例えば、K2CO3又はCs2CO3)、銅又はパラジウム触媒の任意の存在、任意の添加物(例えば、N,N’-ジメチルエチレンジアミン)、任意のリガンド(例えば、キサントホス)、溶媒(例えば、ジオキサン、ピリジン又はN,N-ジメチルホルムアミドDMF)、25~180℃。
式XVIbの化合物から式I-Qbの化合物にアクセスするためのスキーム10において従前に記載した化学反応は、式XVIaの化合物からの式I-Qaの化合物の調製のために類似して適用することができ(スキーム11)、ここで、従前に記述した全ての置換基の定義は、有効なままである。
反応剤は、塩基の存在下で反応され得る。好適な塩基の例は、アルカリ金属又はアルカリ土類金属水酸化物、アルカリ金属又はアルカリ土類金属水素化物、アルカリ金属又はアルカリ土類金属アミド、アルカリ金属又はアルカリ土類金属アルコキシド、アルカリ金属又はアルカリ土類金属酢酸塩、アルカリ金属又はアルカリ土類金属炭酸塩、アルカリ金属又はアルカリ土類金属ジアルキルアミド又はアルカリ金属又はアルカリ土類金属アルキルシリルアミド、アルキルアミド、アルキレンジアミド、遊離又はN-アルキル化飽和又は不飽和シクロアルキルアミン、塩基性複素環、水酸化アンモニウム及び炭素環式アミンである。挙げられる例は、水酸化ナトリウム、水素化ナトリウム、ナトリウムアミド、ナトリウムメトキシド、酢酸ナトリウム、炭酸ナトリウム、カリウムtert-ブトキシド、水酸化カリウム、炭酸カリウム、水素化カリウム、リチウムジイソプロピルアミド、カリウムビス(トリメチルシリル)アミド、水素化カルシウム、トリエチルアミン、ジイソプロピルエチルアミン、トリエチレンジアミン、シクロヘキシルアミン、N-シクロヘキシル-N,N-ジメチルアミン、N,N-ジエチルアニリン、ピリジン、4-(N,N-ジメチルアミノ)ピリジン、キヌクリジン、N-メチルモルホリン、水酸化ベンジルトリメチルアンモニウム及び1,8-ジアザビシクロ[5.4.0]ウンデカ-7-エン(DBU)である。
反応剤は、そのままで、すなわち溶媒又は希釈剤を加えずに互いに反応され得る。しかしながら、ほとんどの場合、不活性溶媒又は希釈剤又はこれらの混合物を加えることが有利である。反応が塩基の存在下で行われる場合、トリエチルアミン、ピリジン、N-メチルモルホリン又はN,N-ジエチルアニリンなどの過剰に用いられる塩基は、溶媒又は希釈剤としての役割も果たし得る。
反応は、約-80℃~約+140℃、好ましくは約-30℃~約+100℃の温度範囲、多くの場合、周囲温度から約+80℃の範囲で行われるのが有利である。
従来の方法において、本発明に係る他の置換基によって式Iの出発化合物の1つ以上の置換基を置換することにより、且つ酸化、アルキル化、還元、アシル化などの反応及び当業者に公知である他の方法による化合物の後変性により、式Iの化合物は、それ自体公知である様式で他の式Iの化合物に転換可能である。
それぞれ好適な反応条件及び出発材料の選択に応じて、例えば1つの反応工程において、1つの置換基を本発明に係る別の置換基で単に置換することが可能であるか、又は複数の置換基が同じ反応工程において本発明に係る他の置換基で置換され得る。
式Iの化合物の塩は、それ自体公知の方法で調製され得る。従って、例えば、式Iの化合物の酸付加塩が好適な酸又は好適なイオン交換試薬による処理によって得られ、塩基による塩が好適な塩基又は好適なイオン交換試薬による処理によって得られる。
式Iの化合物の塩は、例えば、好適な塩基性化合物又は好適なイオン交換試薬による処理により、遊離化合物Iの酸付加塩に、且つ例えば好適な酸又は好適なイオン交換試薬による処理により、塩基による塩に慣例的な方法で転化され得る。
式Iの化合物の塩は、例えば、塩化銀を形成する無機塩が不溶性であり、従って反応混合物から沈殿する好適な溶媒中において、例えば塩酸塩などの無機酸塩を酸のナトリウム塩、バリウム塩又は銀塩などの好適な金属塩、例えば酢酸銀で処理することにより、式Iの化合物の他の塩、酸付加塩、例えば他の酸付加塩にそれ自体公知の方法で転化され得る。
手順又は反応条件に応じて、塩形成特性を有する式Iの化合物が遊離形態又は塩の形態で得られる。
式Iの化合物及び必要に応じてその互変異性体は、それぞれ遊離形態又は塩形態において、分子中に現れる不斉炭素原子の数、絶対及び相対配置に応じて、且つ/又は分子中に現れる非芳香族二重結合の配置に応じて、例えば対掌体及び/若しくはジアステレオマーなどの純粋な異性体の形態において又は鏡像異性体混合物、例えばラセミ体、ジアステレオマー混合物若しくはラセミ体混合物などの異性体混合物として、可能な異性体の1つの形態で又はこれらの混合物として存在することができ;本発明は、純粋な異性体に関し、可能なすべての異性体混合物にも関し、立体化学の詳細がそれぞれ特に記載されていない場合でも、上記及び下記においてこの意味でそれぞれ理解されるべきである。
式Iの化合物のジアステレオマー混合物又はラセミ混合物は、いずれの出発材料及び手順が選択されたかに応じて得られる遊離形態又は塩形態において、例えば分別結晶化、蒸留及び/又はクロマトグラフィにより、成分の物理化学的差異に基づいて純粋なジアステレオマー又はラセミ体に公知の方法で分離され得る。
同様の方法で得られるラセミ体などの鏡像異性体混合物は、公知の方法により、例えば光学活性溶媒からの再結晶化により、キラル吸着剤におけるクロマトグラフィ、例えば好適な微生物を用いたアセチルセルロースにおける高速液体クロマトグラフィ(HPLC)により、例えば1つのみの鏡像異性体が複合されるキラルクラウンエーテルを用いた、包接化合物の形成を介した特定の固定化酵素による開裂により又はジアステレオマー塩への転化により、例えば塩基性最終生成物ラセミ体をカルボン酸、例えばショウノウ酸、酒石酸若しくはリンゴ酸又はスルホン酸、例えばカンファースルホン酸などの光学活性酸と反応させ、このように得られるジアステレオマー混合物を、例えば異なる溶解度に基づく分別結晶によって分離して、好適な物質、例えば塩基性物質の作用により、所望の鏡像異性体がそれから放出され得るジアステレオマーを得ることによって光学対掌体に分解され得る。
純粋なジアステレオマー又は鏡像異性体は、本発明に従って、好適な異性体混合物を分離することによるだけでなく、ジアステレオ選択的又はエナンチオ選択的合成の一般に知られている方法によっても、例えば立体化学特性を有する出発材料を用いて、本発明に係る方法を行うことによっても得られる。
N-オキシドは、酸無水物、例えば無水トリフルオロ酢酸の存在下で式Iの化合物を好適な酸化剤、例えばH22/尿素付加物と反応させることによって調製され得る。このような酸化は、例えば、J.Med.Chem.,32(12),2561-73,1989又は国際公開第2000/15615号といった文献から公知である。
個々の成分が異なる生物学的活性を有する場合、それぞれ生物学的により有効な異性体、例えば鏡像異性体若しくはジアステレオマー又は異性体混合物、例えば鏡像異性体混合物又はジアステレオマー混合物を単離又は合成することが有利である。
式Iの化合物及び必要に応じてその互変異性体は、それぞれ遊離形態又は塩形態、必要に応じて水和物の形態で得ることもでき、且つ/又は他の溶媒、例えば固体形態で存在する化合物の結晶化に使用され得た溶媒を含む。
以下の表A-1~A-96、表C-1~C-96、表E-1~E-96、表F-1~F-96、表G-1~G-96及び表H-1~H-96に係る化合物は、上記の方法に従って調製可能である。以下の例は、本発明を例示することを意図したものであり、好ましい式Iの化合物を示す。
以下の表A-1~A-96は、本発明の特定の化合物を示す。
「cPr」は、シクロプロピルを表す。
Figure 0007581336000033
表A-1は、式I-1-Qbの14種の化合物A-1.001~A-1.014を提供し、ここで、R1は、Meであり、R2は、Hであり、Aは、Nであり、Xは、Sであり、R6は、表Bに定義されているとおりである。
Figure 0007581336000034
表A-2は、式I-1-Qbの14種の化合物A-2.001~A-2.014を提供し、ここで、R1は、Meであり、R2は、Hであり、Aは、Nであり、Xは、SOであり、R6は、表Bに定義されているとおりである。
表A-3は、式I-1-Qbの14種の化合物A-3.001~A-3.014を提供し、ここで、R1は、Meであり、R2は、Hであり、Aは、Nであり、Xは、SO2であり、R6は、表Bに定義されているとおりである。
表A-4は、式I-1-Qbの14種の化合物A-4.001~A-4.014を提供し、ここで、R1は、Meであり、R2は、Hであり、Aは、CHであり、Xは、Sであり、R6は、表Bに定義されているとおりである。
表A-5は、式I-1-Qbの14種の化合物A-5.001~A-5.014を提供し、ここで、R1は、Meであり、R2は、Hであり、Aは、CHであり、Xは、SOであり、R6は、表Bに定義されているとおりである。
表A-6は、式I-1-Qbの14種の化合物A-6.001~A-6.014を提供し、ここで、R1は、Meであり、R2は、Hであり、Aは、CHであり、Xは、SO2であり、R6は、表Bに定義されているとおりである。
表A-7は、式I-1-Qbの14種の化合物A-7.001~A-7.014を提供し、ここで、R1は、Meであり、R2は、CNであり、Aは、Nであり、Xは、Sであり、R6は、表Bに定義されているとおりである。
表A-8は、式I-1-Qbの14種の化合物A-8.001~A-8.014を提供し、ここで、R1は、Meであり、R2は、CNであり、Aは、Nであり、Xは、SOであり、R6は、表Bに定義されているとおりである。
表A-9は、式I-1-Qbの14種の化合物A-9.001~A-9.014を提供し、ここで、R1は、Meであり、R2は、CNであり、Aは、Nであり、Xは、SO2であり、R6は、表Bに定義されているとおりである。
表A-10は、式I-1-Qbの14種の化合物A-10.001~A-10.014を提供し、ここで、R1は、Meであり、R2は、CNであり、Aは、CHであり、Xは、Sであり、R6は、表Bに定義されているとおりである。
表A-11は、式I-1-Qbの14種の化合物A-11.001~A-11.014を提供し、ここで、R1は、Meであり、R2は、CNであり、Aは、CHであり、Xは、SOであり、R6は、表Bに定義されているとおりである。
表A-12は、式I-1-Qbの14種の化合物A-12.001~A-12.014を提供し、ここで、R1は、Meであり、R2は、CNであり、Aは、CHであり、Xは、SO2であり、R6は、表Bに定義されているとおりである。
表A-13は、式I-1-Qbの14種の化合物A-13.001~A-13.014を提供し、ここで、R1は、Meであり、R2は、COCH3であり、Aは、Nであり、Xは、Sであり、R6は、表Bに定義されているとおりである。
表A-14は、式I-1-Qbの14種の化合物A-14.001~A-14.014を提供し、ここで、R1は、Meであり、R2は、COCH3であり、Aは、Nであり、Xは、SOであり、R6は、表Bに定義されているとおりである。
表A-15は、式I-1-Qbの14種の化合物A-15.001~A-15.014を提供し、ここで、R1は、Meであり、R2は、COCH3であり、Aは、Nであり、Xは、SO2であり、R6は、表Bに定義されているとおりである。
表A-16は、式I-1-Qbの14種の化合物A-16.001~A-16.014を提供し、ここで、R1は、Meであり、R2は、COCH3であり、Aは、CHであり、Xは、Sであり、R6は、表Bに定義されているとおりである。
表A-17は、式I-1-Qbの14種の化合物A-17.001~A-17.014を提供し、ここで、R1は、Meであり、R2は、COCH3であり、Aは、CHであり、Xは、SOであり、R6は、表Bに定義されているとおりである。
表A-18は、式I-1-Qbの14種の化合物A-18.001~A-18.014を提供し、ここで、R1は、Meであり、R2は、COCH3であり、Aは、CHであり、Xは、SO2であり、R6は、表Bに定義されているとおりである。
表A-19は、式I-1-Qbの14種の化合物A-19.001~A-19.014を提供し、ここで、R1は、Meであり、R2は、cPrであり、Aは、Nであり、Xは、Sであり、R6は、表Bに定義されているとおりである。
表A-20は、式I-1-Qbの14種の化合物A-20.001~A-20.014を提供し、ここで、R1は、Meであり、R2は、cPrであり、Aは、Nであり、Xは、SOであり、R6は、表Bに定義されているとおりである。
表A-21は、式I-1-Qbの14種の化合物A-21.001~A-21.014を提供し、ここで、R1は、Meであり、R2は、cPrであり、Aは、Nであり、Xは、SO2であり、R6は、表Bに定義されているとおりである。
表A-22は、式I-1-Qbの14種の化合物A-22.001~A-22.014を提供し、ここで、R1は、Meであり、R2は、cPrであり、Aは、CHであり、Xは、Sであり、R6は、表Bに定義されているとおりである。
表A-23は、式I-1-Qbの14種の化合物A-23.001~A-23.014を提供し、ここで、R1は、Meであり、R2は、cPrであり、Aは、CHであり、Xは、SOであり、R6は、表Bに定義されているとおりである。
表A-24は、式I-1-Qbの14種の化合物A-24.001~A-24.014を提供し、ここで、R1は、Meであり、R2は、cPrであり、Aは、CHであり、Xは、SO2であり、R6は、表Bに定義されているとおりである。
表A-25は、式I-1-Qbの14種の化合物A-25.001~A-25.014を提供し、ここで、R1は、Meであり、R2は、Meであり、Aは、Nであり、Xは、Sであり、R6は、表Bに定義されているとおりである。
表A-26は、式I-1-Qbの14種の化合物A-26.001~A-26.014を提供し、ここで、R1は、Meであり、R2は、Meであり、Aは、Nであり、Xは、SOであり、R6は、表Bに定義されているとおりである。
表A-27は、式I-1-Qbの14種の化合物A-27.001~A-27.014を提供し、ここで、R1は、Meであり、R2は、Meであり、Aは、Nであり、Xは、SO2であり、R6は、表Bに定義されているとおりである。
表A-28は、式I-1-Qbの14種の化合物A-28.001~A-28.014を提供し、ここで、R1は、Meであり、R2は、Meであり、Aは、CHであり、Xは、Sであり、R6は、表Bに定義されているとおりである。
表A-29は、式I-1-Qbの14種の化合物A-29.001~A-29.014を提供し、ここで、R1は、Meであり、R2は、Meであり、Aは、CHであり、Xは、SOであり、R6は、表Bに定義されているとおりである。
表A-30は、式I-1-Qbの14種の化合物A-30.001~A-30.014を提供し、ここで、R1は、Meであり、R2は、Meであり、Aは、CHであり、Xは、SO2であり、R6は、表Bに定義されているとおりである。
表A-31は、式I-1-Qbの14種の化合物A-31.001~A-31.014を提供し、ここで、R1は、Meであり、R2は、Etであり、Aは、Nであり、Xは、Sであり、R6は、表Bに定義されているとおりである。
表A-32は、式I-1-Qbの14種の化合物A-32.001~A-32.014を提供し、ここで、R1は、Meであり、R2は、Etであり、Aは、Nであり、Xは、SOであり、R6は、表Bに定義されているとおりである。
表A-33は、式I-1-Qbの14種の化合物A-33.001~A-33.014を提供し、ここで、R1は、Meであり、R2は、Etであり、Aは、Nであり、Xは、SO2であり、R6は、表Bに定義されているとおりである。
表A-34は、式I-1-Qbの14種の化合物A-34.001~A-34.014を提供し、ここで、R1は、Meであり、R2は、Etであり、Aは、CHであり、Xは、Sであり、R6は、表Bに定義されているとおりである。
表A-35は、式I-1-Qbの14種の化合物A-35.001~A-35.014を提供し、ここで、R1は、Meであり、R2は、Etであり、Aは、CHであり、Xは、SOであり、R6は、表Bに定義されているとおりである。
表A-36は、式I-1-Qbの14種の化合物A-36.001~A-36.014を提供し、ここで、R1は、Meであり、R2は、Etであり、Aは、CHであり、Xは、SO2であり、R6は、表Bに定義されているとおりである。
表A-37は、式I-1-Qbの14種の化合物A-37.001~A-37.014を提供し、ここで、R1は、Meであり、R2は、CH2CF3であり、Aは、Nであり、Xは、Sであり、R6は、表Bに定義されているとおりである。
表A-38は、式I-1-Qbの14種の化合物A-38.001~A-38.014を提供し、ここで、R1は、Meであり、R2は、CH2CF3であり、Aは、Nであり、Xは、SOであり、R6は、表Bに定義されているとおりである。
表A-39は、式I-1-Qbの14種の化合物A-39.001~A-39.014を提供し、ここで、R1は、Meであり、R2は、CH2CF3であり、Aは、Nであり、Xは、SO2であり、R6は、表Bに定義されているとおりである。
表A-40は、式I-1-Qbの14種の化合物A-40.001~A-40.014を提供し、ここで、R1は、Meであり、R2は、CH2CF3であり、Aは、CHであり、Xは、Sであり、R6は、表Bに定義されているとおりである。
表A-41は、式I-1-Qbの14種の化合物A-41.001~A-41.014を提供し、ここで、R1は、Meであり、R2は、CH2CF3であり、Aは、CHであり、Xは、SOであり、R6は、表Bに定義されているとおりである。
表A-42は、式I-1-Qbの14種の化合物A-42.001~A-42.014を提供し、ここで、R1は、Meであり、R2は、CH2CF3であり、Aは、CHであり、Xは、SO2であり、R6は、表Bに定義されているとおりである。
表A-43は、式I-1-Qbの14種の化合物A-43.001~A-43.014を提供し、ここで、R1は、Meであり、R2は、CF3であり、Aは、Nであり、Xは、Sであり、R6は、表Bに定義されているとおりである。
表A-44は、式I-1-Qbの14種の化合物A-44.001~A-44.014を提供し、ここで、R1は、Meであり、R2は、CF3であり、Aは、Nであり、Xは、SOであり、R6は、表Bに定義されているとおりである。
表A-45は、式I-1-Qbの14種の化合物A-45.001~A-45.014を提供し、ここで、R1は、Meであり、R2は、CF3であり、Aは、Nであり、Xは、SO2であり、R6は、表Bに定義されているとおりである。
表A-46は、式I-1-Qbの14種の化合物A-46.001~A-46.014を提供し、ここで、R1は、Meであり、R2は、CF3であり、Aは、CHであり、Xは、Sであり、R6は、表Bに定義されているとおりである。
表A-47は、式I-1-Qbの14種の化合物A-47.001~A-47.014を提供し、ここで、R1は、Meであり、R2は、CF3であり、Aは、CHであり、Xは、SOであり、R6は、表Bに定義されているとおりである。
表A-48は、式I-1-Qbの14種の化合物A-48.001~A-48.014を提供し、ここで、R1は、Meであり、R2は、CF3であり、Aは、CHであり、Xは、SO2であり、R6は、表Bに定義されているとおりである。
表A-49は、式I-1-Qbの14種の化合物A-49.001~A-49.014を提供し、ここで、R1は、CF3であり、R2は、Hであり、Aは、Nであり、Xは、Sであり、R6は、表Bに定義されているとおりである。
表A-50は、式I-1-Qbの14種の化合物A-50.001~A-50.014を提供し、ここで、R1は、CF3であり、R2は、Hであり、Aは、Nであり、Xは、SOであり、R6は、表Bに定義されているとおりである。
表A-51は、式I-1-Qbの14種の化合物A-51.001~A-51.014を提供し、ここで、R1は、CF3であり、R2は、Hであり、Aは、Nであり、Xは、SO2であり、R6は、表Bに定義されているとおりである。
表A-52は、式I-1-Qbの14種の化合物A-52.001~A-52.014を提供し、ここで、R1は、CF3であり、R2は、Hであり、Aは、CHであり、Xは、Sであり、R6は、表Bに定義されているとおりである。
表A-53は、式I-1-Qbの14種の化合物A-53.001~A-53.014を提供し、ここで、R1は、CF3であり、R2は、Hであり、Aは、CHであり、Xは、SOであり、R6は、表Bに定義されているとおりである。
表A-54は、式I-1-Qbの14種の化合物A-54.001~A-54.014を提供し、ここで、R1は、CF3であり、R2は、Hであり、Aは、CHであり、Xは、SO2であり、R6は、表Bに定義されているとおりである。
表A-55は、式I-1-Qbの14種の化合物A-55.001~A-55.014を提供し、ここで、R1は、CF3であり、R2は、CNであり、Aは、Nであり、Xは、Sであり、R6は、表Bに定義されているとおりである。
表A-56は、式I-1-Qbの14種の化合物A-56.001~A-56.014を提供し、ここで、R1は、CF3であり、R2は、CNであり、Aは、Nであり、Xは、SOであり、R6は、表Bに定義されているとおりである。
表A-57は、式I-1-Qbの14種の化合物A-57.001~A-57.014を提供し、ここで、R1は、CF3であり、R2は、CNであり、Aは、Nであり、Xは、SO2であり、R6は、表Bに定義されているとおりである。
表A-58は、式I-1-Qbの14種の化合物A-58.001~A-58.014を提供し、ここで、R1は、CF3であり、R2は、CNであり、Aは、CHであり、Xは、Sであり、R6は、表Bに定義されているとおりである。
表A-59は、式I-1-Qbの14種の化合物A-59.001~A-59.014を提供し、ここで、R1は、CF3であり、R2は、CNであり、Aは、CHであり、Xは、SOであり、R6は、表Bに定義されているとおりである。
表A-60は、式I-1-Qbの14種の化合物A-60.001~A-60.014を提供し、ここで、R1は、CF3であり、R2は、CNであり、Aは、CHであり、Xは、SO2であり、R6は、表Bに定義されているとおりである。
表A-61は、式I-1-Qbの14種の化合物A-61.001~A-61.014を提供し、ここで、R1は、CF3であり、R2は、COCH3であり、Aは、Nであり、Xは、Sであり、R6は、表Bに定義されているとおりである。
表A-62は、式I-1-Qbの14種の化合物A-62.001~A-62.014を提供し、ここで、R1は、CF3であり、R2は、COCH3であり、Aは、Nであり、Xは、SOであり、R6は、表Bに定義されているとおりである。
表A-63は、式I-1-Qbの14種の化合物A-63.001~A-63.014を提供し、ここで、R1は、CF3であり、R2は、COCH3であり、Aは、Nであり、Xは、SO2であり、R6は、表Bに定義されているとおりである。
表A-64は、式I-1-Qbの14種の化合物A-64.001~A-64.014を提供し、ここで、R1は、CF3であり、R2は、COCH3であり、Aは、CHであり、Xは、Sであり、R6は、表Bに定義されているとおりである。
表A-65は、式I-1-Qbの14種の化合物A-65.001~A-65.014を提供し、ここで、R1は、CF3であり、R2は、COCH3であり、Aは、CHであり、Xは、SOであり、R6は、表Bに定義されているとおりである。
表A-66は、式I-1-Qbの14種の化合物A-66.001~A-66.014を提供し、ここで、R1は、CF3であり、R2は、COCH3であり、Aは、CHであり、Xは、SO2であり、R6は、表Bに定義されているとおりである。
表A-67は、式I-1-Qbの14種の化合物A-67.001~A-67.014を提供し、ここで、R1は、CF3であり、R2は、cPrであり、Aは、Nであり、Xは、Sであり、R6は、表Bに定義されているとおりである。
表A-68は、式I-1-Qbの14種の化合物A-68.001~A-68.014を提供し、ここで、R1は、CF3であり、R2は、cPrであり、Aは、Nであり、Xは、SOであり、R6は、表Bに定義されているとおりである。
表A-69は、式I-1-Qbの14種の化合物A-69.001~A-69.014を提供し、ここで、R1は、CF3であり、R2は、cPrであり、Aは、Nであり、Xは、SO2であり、R6は、表Bに定義されているとおりである。
表A-70は、式I-1-Qbの14種の化合物A-70.001~A-70.014を提供し、ここで、R1は、CF3であり、R2は、cPrであり、Aは、CHであり、Xは、Sであり、R6は、表Bに定義されているとおりである。
表A-71は、式I-1-Qbの14種の化合物A-71.001~A-71.014を提供し、ここで、R1は、CF3であり、R2は、cPrであり、Aは、CHであり、Xは、SOであり、R6は、表Bに定義されているとおりである。
表A-72は、式I-1-Qbの14種の化合物A-72.001~A-72.014を提供し、ここで、R1は、CF3であり、R2は、cPrであり、Aは、CHであり、Xは、SO2であり、R6は、表Bに定義されているとおりである。
表A-73は、式I-1-Qbの14種の化合物A-73.001~A-73.014を提供し、ここで、R1は、CF3であり、R2は、Meであり、Aは、Nであり、Xは、Sであり、R6は、表Bに定義されているとおりである。
表A-74は、式I-1-Qbの14種の化合物A-74.001~A-74.014を提供し、ここで、R1は、CF3であり、R2は、Meであり、Aは、Nであり、Xは、SOであり、R6は、表Bに定義されているとおりである。
表A-75は、式I-1-Qbの14種の化合物A-75.001~A-75.014を提供し、ここで、R1は、CF3であり、R2は、Meであり、Aは、Nであり、Xは、SO2であり、R6は、表Bに定義されているとおりである。
表A-76は、式I-1-Qbの14種の化合物A-76.001~A-76.014を提供し、ここで、R1は、CF3であり、R2は、Meであり、Aは、CHであり、Xは、Sであり、R6は、表Bに定義されているとおりである。
表A-77は、式I-1-Qbの14種の化合物A-77.001~A-77.014を提供し、ここで、R1は、CF3であり、R2は、Meであり、Aは、CHであり、Xは、SOであり、R6は、表Bに定義されているとおりである。
表A-78は、式I-1-Qbの14種の化合物A-78.001~A-78.014を提供し、ここで、R1は、CF3であり、R2は、Meであり、Aは、CHであり、Xは、SO2であり、R6は、表Bに定義されているとおりである。
表A-79は、式I-1-Qbの14種の化合物A-79.001~A-79.014を提供し、ここで、R1は、CF3であり、R2は、Etであり、Aは、Nであり、Xは、Sであり、R6は、表Bに定義されているとおりである。
表A-80は、式I-1-Qbの14種の化合物A-80.001~A-80.014を提供し、ここで、R1は、CF3であり、R2は、Etであり、Aは、Nであり、Xは、SOであり、R6は、表Bに定義されているとおりである。
表A-81は、式I-1-Qbの14種の化合物A-81.001~A-81.014を提供し、ここで、R1は、CF3であり、R2は、Etであり、Aは、Nであり、Xは、SO2であり、R6は、表Bに定義されているとおりである。
表A-82は、式I-1-Qbの14種の化合物A-82.001~A-82.014を提供し、ここで、R1は、CF3であり、R2は、Etであり、Aは、CHであり、Xは、Sであり、R6は、表Bに定義されているとおりである。
表A-83は、式I-1-Qbの14種の化合物A-83.001~A-83.014を提供し、ここで、R1は、CF3であり、R2は、Etであり、Aは、CHであり、Xは、SOであり、R6は、表Bに定義されているとおりである。
表A-84は、式I-1-Qbの14種の化合物A-84.001~A-84.014を提供し、ここで、R1は、CF3であり、R2は、Etであり、Aは、CHであり、Xは、SO2であり、R6は、表Bに定義されているとおりである。
表A-85は、式I-1-Qbの14種の化合物A-85.001~A-85.014を提供し、ここで、R1は、CF3であり、R2は、CH2CF3であり、Aは、Nであり、Xは、Sであり、R6は、表Bに定義されているとおりである。
表A-86は、式I-1-Qbの14種の化合物A-86.001~A-86.014を提供し、ここで、R1は、CF3であり、R2は、CH2CF3であり、Aは、Nであり、Xは、SOであり、R6は、表Bに定義されているとおりである。
表A-87は、式I-1-Qbの14種の化合物A-87.001~A-87.014を提供し、ここで、R1は、CF3であり、R2は、CH2CF3であり、Aは、Nであり、Xは、SO2であり、R6は、表Bに定義されているとおりである。
表A-88は、式I-1-Qbの14種の化合物A-88.001~A-88.014を提供し、ここで、R1は、CF3であり、R2は、CH2CF3であり、Aは、CHであり、Xは、Sであり、R6は、表Bに定義されているとおりである。
表A-89は、式I-1-Qbの14種の化合物A-89.001~A-89.014を提供し、ここで、R1は、CF3であり、R2は、CH2CF3であり、Aは、CHであり、Xは、SOであり、R6は、表Bに定義されているとおりである。
表A-90は、式I-1-Qbの14種の化合物A-90.001~A-90.014を提供し、ここで、R1は、CF3であり、R2は、CH2CF3であり、Aは、CHであり、Xは、SO2であり、R6は、表Bに定義されているとおりである。
表A-91は、式I-1-Qbの14種の化合物A-91.001~A-91.014を提供し、ここで、R1は、CF3であり、R2は、CF3であり、Aは、Nであり、Xは、Sであり、R6は、表Bに定義されているとおりである。
表A-92は、式I-1-Qbの14種の化合物A-92.001~A-92.014を提供し、ここで、R1は、CF3であり、R2は、CF3であり、Aは、Nであり、Xは、SOであり、R6は、表Bに定義されているとおりである。
表A-93は、式I-1-Qbの14種の化合物A-93.001~A-93.014を提供し、ここで、R1は、CF3であり、R2は、CF3であり、Aは、Nであり、Xは、SO2であり、R6は、表Bに定義されているとおりである。
表A-94は、式I-1-Qbの14種の化合物A-94.001~A-94.014を提供し、ここで、R1は、CF3であり、R2は、CF3であり、Aは、CHであり、Xは、Sであり、R6は、表Bに定義されているとおりである。
表A-95は、式I-1-Qbの14種の化合物A-95.001~A-95.014を提供し、ここで、R1は、CF3であり、R2は、CF3であり、Aは、CHであり、Xは、SOであり、R6は、表Bに定義されているとおりである。
表A-96は、式I-1-Qbの14種の化合物A-96.001~A-96.014を提供し、ここで、R1は、CF3であり、R2は、CF3であり、Aは、CHであり、Xは、SO2であり、R6は、表Bに定義されているとおりである。
下記の表C-1~C-96は、本発明の特定の化合物をさらに例示する。
「cPr」は、シクロプロピルを表す。
Figure 0007581336000035
表C-1は、式I-1-Qaの7種の化合物C-1.001~C-1.007を提供し、ここで、Aは、Nであり、Xは、Sであり、R1は、CF3であり、R2は、Hであり、R5は、表Dに定義されているとおりである。
Figure 0007581336000036
表C-2は、式I-1-Qaの7種の化合物C-2.001~C-2.007を提供し、ここで、Aは、Nであり、Xは、Sであり、R1は、CF3であり、R2は、CNであり、R5は、表Dに定義されているとおりである。
表C-3は、式I-1-Qaの7種の化合物C-3.001~C-3.007を提供し、ここで、Aは、Nであり、Xは、Sであり、R1は、CF3であり、R2は、COCH3であり、R5は、表Dに定義されているとおりである。
表C-4は、式I-1-Qaの7種の化合物C-4.001~C-4.007を提供し、ここで、Aは、Nであり、Xは、Sであり、R1は、CF3であり、R2は、cPrであり、R5は、表Dに定義されているとおりである。
表C-5は、式I-1-Qaの7種の化合物C-5.001~C-5.007を提供し、ここで、Aは、Nであり、Xは、Sであり、R1は、CF3であり、R2は、Meであり、R5は、表Dに定義されているとおりである。
表C-6は、式I-1-Qaの7種の化合物C-6.001~C-6.007を提供し、ここで、Aは、Nであり、Xは、Sであり、R1は、CF3であり、R2は、Etであり、R5は、表Dに定義されているとおりである。
表C-7は、式I-1-Qaの7種の化合物C-7.001~C-7.007を提供し、ここで、Aは、Nであり、Xは、Sであり、R1は、CF3であり、R2は、CH2CF3であり、R5は、表Dに定義されているとおりである。
表C-8は、式I-1-Qaの7種の化合物C-8.001~C-8.007を提供し、ここで、Aは、Nであり、Xは、Sであり、R1は、CF3であり、R2は、CF3であり、R5は、表Dに定義されているとおりである。
表C-9は、式I-1-Qaの7種の化合物C-9.001~C-9.007を提供し、ここで、Aは、Nであり、Xは、Sであり、R1は、CH3であり、R2は、Hであり、R5は、表Dに定義されているとおりである。
表C-10は、式I-1-Qaの7種の化合物C-10.001~C-10.007を提供し、ここで、Aは、Nであり、Xは、Sであり、R1は、CH3であり、R2は、CNであり、R5は、表Dに定義されているとおりである。
表C-11は、式I-1-Qaの7種の化合物C-11.001~C-11.007を提供し、ここで、Aは、Nであり、Xは、Sであり、R1は、CH3であり、R2は、COCH3であり、R5は、表Dに定義されているとおりである。
表C-12は、式I-1-Qaの7種の化合物C-12.001~C-12.007を提供し、ここで、Aは、Nであり、Xは、Sであり、R1は、CH3であり、R2は、cPrであり、R5は、表Dに定義されているとおりである。
表C-13は、式I-1-Qaの7種の化合物C-13.001~C-13.007を提供し、ここで、Aは、Nであり、Xは、Sであり、R1は、CH3であり、R2は、Meであり、R5は、表Dに定義されているとおりである。
表C-14は、式I-1-Qaの7種の化合物C-14.001~C-14.007を提供し、ここで、Aは、Nであり、Xは、Sであり、R1は、CH3であり、R2は、Etであり、R5は、表Dに定義されているとおりである。
表C-15は、式I-1-Qaの7種の化合物C-15.001~C-15.007を提供し、ここで、Aは、Nであり、Xは、Sであり、R1は、CH3であり、R2は、CH2CF3であり、R5は、表Dに定義されているとおりである。
表C-16は、式I-1-Qaの7種の化合物C-16.001~C-16.007を提供し、ここで、Aは、Nであり、Xは、Sであり、R1は、CH3であり、R2は、CF3であり、R5は、表Dに定義されているとおりである。
表C-17は、式I-1-Qaの7種の化合物C-17.001~C-17.007を提供し、ここで、Aは、Nであり、Xは、SOであり、R1は、CF3であり、R2は、Hであり、R5は、表Dに定義されているとおりである。
表C-18は、式I-1-Qaの7種の化合物C-18.001~C-18.007を提供し、ここで、Aは、Nであり、Xは、SOであり、R1は、CF3であり、R2は、CNであり、R5は、表Dに定義されているとおりである。
表C-19は、式I-1-Qaの7種の化合物C-19.001~C-19.007を提供し、ここで、Aは、Nであり、Xは、SOであり、R1は、CF3であり、R2は、COCH3であり、R5は、表Dに定義されているとおりである。
表C-20は、式I-1-Qaの7種の化合物C-20.001~C-20.007を提供し、ここで、Aは、Nであり、Xは、SOであり、R1は、CF3であり、R2は、cPrであり、R5は、表Dに定義されているとおりである。
表C-21は、式I-1-Qaの7種の化合物C-21.001~C-21.007を提供し、ここで、Aは、Nであり、Xは、SOであり、R1は、CF3であり、R2は、Meであり、R5は、表Dに定義されているとおりである。
表C-22は、式I-1-Qaの7種の化合物C-22.001~C-22.007を提供し、ここで、Aは、Nであり、Xは、SOであり、R1は、CF3であり、R2は、Etであり、R5は、表Dに定義されているとおりである。
表C-23は、式I-1-Qaの7種の化合物C-23.001~C-23.007を提供し、ここで、Aは、Nであり、Xは、SOであり、R1は、CF3であり、R2は、CH2CF3であり、R5は、表Dに定義されているとおりである。
表C-24は、式I-1-Qaの7種の化合物C-24.001~C-24.007を提供し、ここで、Aは、Nであり、Xは、SOであり、R1は、CF3であり、R2は、CF3であり、R5は、表Dに定義されているとおりである。
表C-25は、式I-1-Qaの7種の化合物C-25.001~C-25.007を提供し、ここで、Aは、Nであり、Xは、SOであり、R1は、CH3であり、R2は、Hであり、R5は、表Dに定義されているとおりである。
表C-26は、式I-1-Qaの7種の化合物C-26.001~C-26.007を提供し、ここで、Aは、Nであり、Xは、SOであり、R1は、CH3であり、R2は、CNであり、R5は、表Dに定義されているとおりである。
表C-27は、式I-1-Qaの7種の化合物C-27.001~C-27.007を提供し、ここで、Aは、Nであり、Xは、SOであり、R1は、CH3であり、R2は、COCH3であり、R5は、表Dに定義されているとおりである。
表C-28は、式I-1-Qaの7種の化合物C-28.001~C-28.007を提供し、ここで、Aは、Nであり、Xは、SOであり、R1は、CH3であり、R2は、cPrであり、R5は、表Dに定義されているとおりである。
表C-29は、式I-1-Qaの7種の化合物C-29.001~C-29.007を提供し、ここで、Aは、Nであり、Xは、SOであり、R1は、CH3であり、R2は、Meであり、R5は、表Dに定義されているとおりである。
表C-30は、式I-1-Qaの7種の化合物C-30.001~C-30.007を提供し、ここで、Aは、Nであり、Xは、SOであり、R1は、CH3であり、R2は、Etであり、R5は、表Dに定義されているとおりである。
表C-31は、式I-1-Qaの7種の化合物C-31.001~C-31.007を提供し、ここで、Aは、Nであり、Xは、SOであり、R1は、CH3であり、R2は、CH2CF3であり、R5は、表Dに定義されているとおりである。
表C-32は、式I-1-Qaの7種の化合物C-32.001~C-32.007を提供し、ここで、Aは、Nであり、Xは、SOであり、R1は、CH3であり、R2は、CF3であり、R5は、表Dに定義されているとおりである。
表C-33は、式I-1-Qaの7種の化合物C-33.001~C-33.007を提供し、ここで、Aは、Nであり、Xは、SO2であり、R1は、CF3であり、R2は、Hであり、R5は、表Dに定義されているとおりである。
表C-34は、式I-1-Qaの7種の化合物C-34.001~C-34.007を提供し、ここで、Aは、Nであり、Xは、SO2であり、R1は、CF3であり、R2は、CNであり、R5は、表Dに定義されているとおりである。
表C-35は、式I-1-Qaの7種の化合物C-35.001~C-35.007を提供し、ここで、Aは、Nであり、Xは、SO2であり、R1は、CF3であり、R2は、COCH3であり、R5は、表Dに定義されているとおりである。
表C-36は、式I-1-Qaの7種の化合物C-36.001~C-36.007を提供し、ここで、Aは、Nであり、Xは、SO2であり、R1は、CF3であり、R2は、cPrであり、R5は、表Dに定義されているとおりである。
表C-37は、式I-1-Qaの7種の化合物C-37.001~C-37.007を提供し、ここで、Aは、Nであり、Xは、SO2であり、R1は、CF3であり、R2は、Meであり、R5は、表Dに定義されているとおりである。
表C-38は、式I-1-Qaの7種の化合物C-38.001~C-38.007を提供し、ここで、Aは、Nであり、Xは、SO2であり、R1は、CF3であり、R2は、Etであり、R5は、表Dに定義されているとおりである。
表C-39は、式I-1-Qaの7種の化合物C-39.001~C-39.007を提供し、ここで、Aは、Nであり、Xは、SO2であり、R1は、CF3であり、R2は、CH2CF3であり、R5は、表Dに定義されているとおりである。
表C-40は、式I-1-Qaの7種の化合物C-40.001~C-40.007を提供し、ここで、Aは、Nであり、Xは、SO2であり、R1は、CF3であり、R2は、CF3であり、R5は、表Dに定義されているとおりである。
表C-41は、式I-1-Qaの7種の化合物C-41.001~C-41.007を提供し、ここで、Aは、Nであり、Xは、SO2であり、R1は、CH3であり、R2は、Hであり、R5は、表Dに定義されているとおりである。
表C-42は、式I-1-Qaの7種の化合物C-42.001~C-42.007を提供し、ここで、Aは、Nであり、Xは、SO2であり、R1は、CH3であり、R2は、CNであり、R5は、表Dに定義されているとおりである。
表C-43は、式I-1-Qaの7種の化合物C-43.001~C-43.007を提供し、ここで、Aは、Nであり、Xは、SO2であり、R1は、CH3であり、R2は、COCH3であり、R5は、表Dに定義されているとおりである。
表C-44は、式I-1-Qaの7種の化合物C-44.001~C-44.007を提供し、ここで、Aは、Nであり、Xは、SO2であり、R1は、CH3であり、R2は、cPrであり、R5は、表Dに定義されているとおりである。
表C-45は、式I-1-Qaの7種の化合物C-45.001~C-45.007を提供し、ここで、Aは、Nであり、Xは、SO2であり、R1は、CH3であり、R2は、Meであり、R5は、表Dに定義されているとおりである。
表C-46は、式I-1-Qaの7種の化合物C-46.001~C-46.007を提供し、ここで、Aは、Nであり、Xは、SO2であり、R1は、CH3であり、R2は、Etであり、R5は、表Dに定義されているとおりである。
表C-47は、式I-1-Qaの7種の化合物C-47.001~C-47.007を提供し、ここで、Aは、Nであり、Xは、SO2であり、R1は、CH3であり、R2は、CH2CF3であり、R5は、表Dに定義されているとおりである。
表C-48は、式I-1-Qaの7種の化合物C-48.001~C-48.007を提供し、ここで、Aは、Nであり、Xは、SO2であり、R1は、CH3であり、R2は、CF3であり、R5は、表Dに定義されているとおりである。
表C-49は、式I-1-Qaの7種の化合物C-49.001~C-49.007を提供し、ここで、Aは、CHであり、Xは、Sであり、R1は、CF3であり、R2は、Hであり、R5は、表Dに定義されているとおりである。
表C-50は、式I-1-Qaの7種の化合物C-50.001~C-50.007を提供し、ここで、Aは、CHであり、Xは、Sであり、R1は、CF3であり、R2は、CNであり、R5は、表Dに定義されているとおりである。
表C-51は、式I-1-Qaの7種の化合物C-51.001~C-51.007を提供し、ここで、Aは、CHであり、Xは、Sであり、R1は、CF3であり、R2は、COCH3であり、R5は、表Dに定義されているとおりである。
表C-52は、式I-1-Qaの7種の化合物C-52.001~C-52.007を提供し、ここで、Aは、CHであり、Xは、Sであり、R1は、CF3であり、R2は、cPrであり、R5は、表Dに定義されているとおりである。
表C-53は、式I-1-Qaの7種の化合物C-53.001~C-53.007を提供し、ここで、Aは、CHであり、Xは、Sであり、R1は、CF3であり、R2は、Meであり、R5は、表Dに定義されているとおりである。
表C-54は、式I-1-Qaの7種の化合物C-54.001~C-54.007を提供し、ここで、Aは、CHであり、Xは、Sであり、R1は、CF3であり、R2は、Etであり、R5は、表Dに定義されているとおりである。
表C-55は、式I-1-Qaの7種の化合物C-55.001~C-55.007を提供し、ここで、Aは、CHであり、Xは、Sであり、R1は、CF3であり、R2は、CH2CF3であり、R5は、表Dに定義されているとおりである。
表C-56は、式I-1-Qaの7種の化合物C-56.001~C-56.007を提供し、ここで、Aは、CHであり、Xは、Sであり、R1は、CF3であり、R2は、CF3であり、R5は、表Dに定義されているとおりである。
表C-57は、式I-1-Qaの7種の化合物C-57.001~C-57.007を提供し、ここで、Aは、CHであり、Xは、Sであり、R1は、CH3であり、R2は、Hであり、R5は、表Dに定義されているとおりである。
表C-58は、式I-1-Qaの7種の化合物C-58.001~C-58.007を提供し、ここで、Aは、CHであり、Xは、Sであり、R1は、CH3であり、R2は、CNであり、R5は、表Dに定義されているとおりである。
表C-59は、式I-1-Qaの7種の化合物C-59.001~C-59.007を提供し、ここで、Aは、CHであり、Xは、Sであり、R1は、CH3であり、R2は、COCH3であり、R5は、表Dに定義されているとおりである。
表C-60は、式I-1-Qaの7種の化合物C-60.001~C-60.007を提供し、ここで、Aは、CHであり、Xは、Sであり、R1は、CH3であり、R2は、cPrであり、R5は、表Dに定義されているとおりである。
表C-61は、式I-1-Qaの7種の化合物C-61.001~C-61.007を提供し、ここで、Aは、CHであり、Xは、Sであり、R1は、CH3であり、R2は、Meであり、R5は、表Dに定義されているとおりである。
表C-62は、式I-1-Qaの7種の化合物C-62.001~C-62.007を提供し、ここで、Aは、CHであり、Xは、Sであり、R1は、CH3であり、R2は、Etであり、R5は、表Dに定義されているとおりである。
表C-63は、式I-1-Qaの7種の化合物C-63.001~C-63.007を提供し、ここで、Aは、CHであり、Xは、Sであり、R1は、CH3であり、R2は、CH2CF3であり、R5は、表Dに定義されているとおりである。
表C-64は、式I-1-Qaの7種の化合物C-64.001~C-64.007を提供し、ここで、Aは、CHであり、Xは、Sであり、R1は、CH3であり、R2は、CF3であり、R5は、表Dに定義されているとおりである。
表C-65は、式I-1-Qaの7種の化合物C-65.001~C-65.007を提供し、ここで、Aは、CHであり、Xは、SOであり、R1は、CF3であり、R2は、Hであり、R5は、表Dに定義されているとおりである。
表C-66は、式I-1-Qaの7種の化合物C-66.001~C-66.007を提供し、ここで、Aは、CHであり、Xは、SOであり、R1は、CF3であり、R2は、CNであり、R5は、表Dに定義されているとおりである。
表C-67は、式I-1-Qaの7種の化合物C-67.001~C-67.007を提供し、ここで、Aは、CHであり、Xは、SOであり、R1は、CF3であり、R2は、COCH3であり、R5は、表Dに定義されているとおりである。
表C-68は、式I-1-Qaの7種の化合物C-68.001~C-68.007を提供し、ここで、Aは、CHであり、Xは、SOであり、R1は、CF3であり、R2は、cPrであり、R5は、表Dに定義されているとおりである。
表C-69は、式I-1-Qaの7種の化合物C-69.001~C-69.007を提供し、ここで、Aは、CHであり、Xは、SOであり、R1は、CF3であり、R2は、Meであり、R5は、表Dに定義されているとおりである。
表C-70は、式I-1-Qaの7種の化合物C-70.001~C-70.007を提供し、ここで、Aは、CHであり、Xは、SOであり、R1は、CF3であり、R2は、Etであり、R5は、表Dに定義されているとおりである。
表C-71は、式I-1-Qaの7種の化合物C-71.001~C-71.007を提供し、ここで、Aは、CHであり、Xは、SOであり、R1は、CF3であり、R2は、CH2CF3であり、R5は、表Dに定義されているとおりである。
表C-72は、式I-1-Qaの7種の化合物C-72.001~C-72.007を提供し、ここで、Aは、CHであり、Xは、SOであり、R1は、CF3であり、R2は、CF3であり、R5は、表Dに定義されているとおりである。
表C-73は、式I-1-Qaの7種の化合物C-73.001~C-73.007を提供し、ここで、Aは、CHであり、Xは、SOであり、R1は、CH3であり、R2は、Hであり、R5は、表Dに定義されているとおりである。
表C-74は、式I-1-Qaの7種の化合物C-74.001~C-74.007を提供し、ここで、Aは、CHであり、Xは、SOであり、R1は、CH3であり、R2は、CNであり、R5は、表Dに定義されているとおりである。
表C-75は、式I-1-Qaの7種の化合物C-75.001~C-75.007を提供し、ここで、Aは、CHであり、Xは、SOであり、R1は、CH3であり、R2は、COCH3であり、R5は、表Dに定義されているとおりである。
表C-76は、式I-1-Qaの7種の化合物C-76.001~C-76.007を提供し、ここで、Aは、CHであり、Xは、SOであり、R1は、CH3であり、R2は、cPrであり、R5は、表Dに定義されているとおりである。
表C-77は、式I-1-Qaの7種の化合物C-77.001~C-77.007を提供し、ここで、Aは、CHであり、Xは、SOであり、R1は、CH3であり、R2は、Meであり、R5は、表Dに定義されているとおりである。
表C-78は、式I-1-Qaの7種の化合物C-78.001~C-78.007を提供し、ここで、Aは、CHであり、Xは、SOであり、R1は、CH3であり、R2は、Etであり、R5は、表Dに定義されているとおりである。
表C-79は、式I-1-Qaの7種の化合物C-79.001~C-79.007を提供し、ここで、Aは、CHであり、Xは、SOであり、R1は、CH3であり、R2は、CH2CF3であり、R5は、表Dに定義されているとおりである。
表C-80は、式I-1-Qaの7種の化合物C-80.001~C-80.007を提供し、ここで、Aは、CHであり、Xは、SOであり、R1は、CH3であり、R2は、CF3であり、R5は、表Dに定義されているとおりである。
表C-81は、式I-1-Qaの7種の化合物C-81.001~C-81.007を提供し、ここで、Aは、CHであり、Xは、SO2であり、R1は、CF3であり、R2は、Hであり、R5は、表Dに定義されているとおりである。
表C-82は、式I-1-Qaの7種の化合物C-82.001~C-82.007を提供し、ここで、Aは、CHであり、Xは、SO2であり、R1は、CF3であり、R2は、CNであり、R5は、表Dに定義されているとおりである。
表C-83は、式I-1-Qaの7種の化合物C-83.001~C-83.007を提供し、ここで、Aは、CHであり、Xは、SO2であり、R1は、CF3であり、R2は、COCH3であり、R5は、表Dに定義されているとおりである。
表C-84は、式I-1-Qaの7種の化合物C-84.001~C-84.007を提供し、ここで、Aは、CHであり、Xは、SO2であり、R1は、CF3であり、R2は、cPrであり、R5は、表Dに定義されているとおりである。
表C-85は、式I-1-Qaの7種の化合物C-85.001~C-85.007を提供し、ここで、Aは、CHであり、Xは、SO2であり、R1は、CF3であり、R2は、Meであり、R5は、表Dに定義されているとおりである。
表C-86は、式I-1-Qaの7種の化合物C-86.001~C-86.007を提供し、ここで、Aは、CHであり、Xは、SO2であり、R1は、CF3であり、R2は、Etであり、R5は、表Dに定義されているとおりである。
表C-87は、式I-1-Qaの7種の化合物C-87.001~C-87.007を提供し、ここで、Aは、CHであり、Xは、SO2であり、R1は、CF3であり、R2は、CH2CF3であり、R5は、表Dに定義されているとおりである。
表C-88は、式I-1-Qaの7種の化合物C-88.001~C-88.007を提供し、ここで、Aは、CHであり、Xは、SO2であり、R1は、CF3であり、R2は、CF3であり、R5は、表Dに定義されているとおりである。
表C-89は、式I-1-Qaの7種の化合物C-89.001~C-89.007を提供し、ここで、Aは、CHであり、Xは、SO2であり、R1は、CH3であり、R2は、Hであり、R5は、表Dに定義されているとおりである。
表C-90は、式I-1-Qaの7種の化合物C-90.001~C-90.007を提供し、ここで、Aは、CHであり、Xは、SO2であり、R1は、CH3であり、R2は、CNであり、R5は、表Dに定義されているとおりである。
表C-91は、式I-1-Qaの7種の化合物C-91.001~C-91.007を提供し、ここで、Aは、CHであり、Xは、SO2であり、R1は、CH3であり、R2は、COCH3であり、R5は、表Dに定義されているとおりである。
表C-92は、式I-1-Qaの7種の化合物C-92.001~C-92.007を提供し、ここで、Aは、CHであり、Xは、SO2であり、R1は、CH3であり、R2は、cPrであり、R5は、表Dに定義されているとおりである。
表C-93は、式I-1-Qaの7種の化合物C-93.001~C-93.007を提供し、ここで、Aは、CHであり、Xは、SO2であり、R1は、CH3であり、R2は、Meであり、R5は、表Dに定義されているとおりである。
表C-94は、式I-1-Qaの7種の化合物C-94.001~C-94.007を提供し、ここで、Aは、CHであり、Xは、SO2であり、R1は、CH3であり、R2は、Etであり、R5は、表Dに定義されているとおりである。
表C-95は、式I-1-Qaの7種の化合物C-95.001~C-95.007を提供し、ここで、Aは、CHであり、Xは、SO2であり、R1は、CH3であり、R2は、CH2CF3であり、R5は、表Dに定義されているとおりである。
表C-96は、式I-1-Qaの7種の化合物C-96.001~C-96.007を提供し、ここで、Aは、CHであり、Xは、SO2であり、R1は、CH3であり、R2は、CF3であり、R5は、表Dに定義されているとおりである。
下記の表E-1~E-96は、本発明の特定の化合物をさらに例示する。
「cPr」は、シクロプロピルを表す。
Figure 0007581336000037
表E-1は、式I-2-Qbの14種の化合物E-1.001~E-1.014を提供し、ここで、R1は、Meであり、R2は、Hであり、Aは、Nであり、Xは、Sであり、R6は、表Bに定義されているとおりである。
表E-2は、式I-2-Qbの14種の化合物E-2.001~E-2.014を提供し、ここで、R1は、Meであり、R2は、Hであり、Aは、Nであり、Xは、SOであり、R6は、表Bに定義されているとおりである。
表E-3は、式I-2-Qbの14種の化合物E-3.001~E-3.014を提供し、ここで、R1は、Meであり、R2は、Hであり、Aは、Nであり、Xは、SO2であり、R6は、表Bに定義されているとおりである。
表E-4は、式I-2-Qbの14種の化合物E-4.001~E-4.014を提供し、ここで、R1は、Meであり、R2は、Hであり、Aは、CHであり、Xは、Sであり、R6は、表Bに定義されているとおりである。
表E-5は、式I-2-Qbの14種の化合物E-5.001~E-5.014を提供し、ここで、R1は、Meであり、R2は、Hであり、Aは、CHであり、Xは、SOであり、R6は、表Bに定義されているとおりである。
表E-6は、式I-2-Qbの14種の化合物E-6.001~E-6.014を提供し、ここで、R1は、Meであり、R2は、Hであり、Aは、CHであり、Xは、SO2であり、R6は、表Bに定義されているとおりである。
表E-7は、式I-2-Qbの14種の化合物E-7.001~E-7.014を提供し、ここで、R1は、Meであり、R2は、CNであり、Aは、Nであり、Xは、Sであり、R6は、表Bに定義されているとおりである。
表E-8は、式I-2-Qbの14種の化合物E-8.001~E-8.014を提供し、ここで、R1は、Meであり、R2は、CNであり、Aは、Nであり、Xは、SOであり、R6は、表Bに定義されているとおりである。
表E-9は、式I-2-Qbの14種の化合物E-9.001~E-9.014を提供し、ここで、R1は、Meであり、R2は、CNであり、Aは、Nであり、Xは、SO2であり、R6は、表Bに定義されているとおりである。
表E-10は、式I-2-Qbの14種の化合物E-10.001~E-10.014を提供し、ここで、R1は、Meであり、R2は、CNであり、Aは、CHであり、Xは、Sであり、R6は、表Bに定義されているとおりである。
表E-11は、式I-2-Qbの14種の化合物E-11.001~E-11.014を提供し、ここで、R1は、Meであり、R2は、CNであり、Aは、CHであり、Xは、SOであり、R6は、表Bに定義されているとおりである。
表E-12は、式I-2-Qbの14種の化合物E-12.001~E-12.014を提供し、ここで、R1は、Meであり、R2は、CNであり、Aは、CHであり、Xは、SO2であり、R6は、表Bに定義されているとおりである。
表E-13は、式I-2-Qbの14種の化合物E-13.001~E-13.014を提供し、ここで、R1は、Meであり、R2は、COCH3であり、Aは、Nであり、Xは、Sであり、R6は、表Bに定義されているとおりである。
表E-14は、式I-2-Qbの14種の化合物E-14.001~E-14.014を提供し、ここで、R1は、Meであり、R2は、COCH3であり、Aは、Nであり、Xは、SOであり、R6は、表Bに定義されているとおりである。
表E-15は、式I-2-Qbの14種の化合物E-15.001~E-15.014を提供し、ここで、R1は、Meであり、R2は、COCH3であり、Aは、Nであり、Xは、SO2であり、R6は、表Bに定義されているとおりである。
表E-16は、式I-2-Qbの14種の化合物E-16.001~E-16.014を提供し、ここで、R1は、Meであり、R2は、COCH3であり、Aは、CHであり、Xは、Sであり、R6は、表Bに定義されているとおりである。
表E-17は、式I-2-Qbの14種の化合物E-17.001~E-17.014を提供し、ここで、R1は、Meであり、R2は、COCH3であり、Aは、CHであり、Xは、SOであり、R6は、表Bに定義されているとおりである。
表E-18は、式I-2-Qbの14種の化合物E-18.001~E-18.014を提供し、ここで、R1は、Meであり、R2は、COCH3であり、Aは、CHであり、Xは、SO2であり、R6は、表Bに定義されているとおりである。
表E-19は、式I-2-Qbの14種の化合物E-19.001~E-19.014を提供し、ここで、R1は、Meであり、R2は、cPrであり、Aは、Nであり、Xは、Sであり、R6は、表Bに定義されているとおりである。
表E-20は、式I-2-Qbの14種の化合物E-20.001~E-20.014を提供し、ここで、R1は、Meであり、R2は、cPrであり、Aは、Nであり、Xは、SOであり、R6は、表Bに定義されているとおりである。
表E-21は、式I-2-Qbの14種の化合物E-21.001~E-21.014を提供し、ここで、R1は、Meであり、R2は、cPrであり、Aは、Nであり、Xは、SO2であり、R6は、表Bに定義されているとおりである。
表E-22は、式I-2-Qbの14種の化合物E-22.001~E-22.014を提供し、ここで、R1は、Meであり、R2は、cPrであり、Aは、CHであり、Xは、Sであり、R6は、表Bに定義されているとおりである。
表E-23は、式I-2-Qbの14種の化合物E-23.001~E-23.014を提供し、ここで、R1は、Meであり、R2は、cPrであり、Aは、CHであり、Xは、SOであり、R6は、表Bに定義されているとおりである。
表E-24は、式I-2-Qbの14種の化合物E-24.001~E-24.014を提供し、ここで、R1は、Meであり、R2は、cPrであり、Aは、CHであり、Xは、SO2であり、R6は、表Bに定義されているとおりである。
表E-25は、式I-2-Qbの14種の化合物E-25.001~E-25.014を提供し、ここで、R1は、Meであり、R2は、Meであり、Aは、Nであり、Xは、Sであり、R6は、表Bに定義されているとおりである。
表E-26は、式I-2-Qbの14種の化合物E-26.001~E-26.014を提供し、ここで、R1は、Meであり、R2は、Meであり、Aは、Nであり、Xは、SOであり、R6は、表Bに定義されているとおりである。
表E-27は、式I-2-Qbの14種の化合物E-27.001~E-27.014を提供し、ここで、R1は、Meであり、R2は、Meであり、Aは、Nであり、Xは、SO2であり、R6は、表Bに定義されているとおりである。
表E-28は、式I-2-Qbの14種の化合物E-28.001~E-28.014を提供し、ここで、R1は、Meであり、R2は、Meであり、Aは、CHであり、Xは、Sであり、R6は、表Bに定義されているとおりである。
表E-29は、式I-2-Qbの14種の化合物E-29.001~E-29.014を提供し、ここで、R1は、Meであり、R2は、Meであり、Aは、CHであり、Xは、SOであり、R6は、表Bに定義されているとおりである。
表E-30は、式I-2-Qbの14種の化合物E-30.001~E-30.014を提供し、ここで、R1は、Meであり、R2は、Meであり、Aは、CHであり、Xは、SO2であり、R6は、表Bに定義されているとおりである。
表E-31は、式I-2-Qbの14種の化合物E-31.001~E-31.014を提供し、ここで、R1は、Meであり、R2は、Etであり、Aは、Nであり、Xは、Sであり、R6は、表Bに定義されているとおりである。
表E-32は、式I-2-Qbの14種の化合物E-32.001~E-32.014を提供し、ここで、R1は、Meであり、R2は、Etであり、Aは、Nであり、Xは、SOであり、R6は、表Bに定義されているとおりである。
表E-33は、式I-2-Qbの14種の化合物E-33.001~E-33.014を提供し、ここで、R1は、Meであり、R2は、Etであり、Aは、Nであり、Xは、SO2であり、R6は、表Bに定義されているとおりである。
表E-34は、式I-2-Qbの14種の化合物E-34.001~E-34.014を提供し、ここで、R1は、Meであり、R2は、Etであり、Aは、CHであり、Xは、Sであり、R6は、表Bに定義されているとおりである。
表E-35は、式I-2-Qbの14種の化合物E-35.001~E-35.014を提供し、ここで、R1は、Meであり、R2は、Etであり、Aは、CHであり、Xは、SOであり、R6は、表Bに定義されているとおりである。
表E-36は、式I-2-Qbの14種の化合物E-36.001~E-36.014を提供し、ここで、R1は、Meであり、R2は、Etであり、Aは、CHであり、Xは、SO2であり、R6は、表Bに定義されているとおりである。
表E-37は、式I-2-Qbの14種の化合物E-37.001~E-37.014を提供し、ここで、R1は、Meであり、R2は、CH2CF3であり、Aは、Nであり、Xは、Sであり、R6は、表Bに定義されているとおりである。
表E-38は、式I-2-Qbの14種の化合物E-38.001~E-38.014を提供し、ここで、R1は、Meであり、R2は、CH2CF3であり、Aは、Nであり、Xは、SOであり、R6は、表Bに定義されているとおりである。
表E-39は、式I-2-Qbの14種の化合物E-39.001~E-39.014を提供し、ここで、R1は、Meであり、R2は、CH2CF3であり、Aは、Nであり、Xは、SO2であり、R6は、表Bに定義されているとおりである。
表E-40は、式I-2-Qbの14種の化合物E-40.001~E-40.014を提供し、ここで、R1は、Meであり、R2は、CH2CF3であり、Aは、CHであり、Xは、Sであり、R6は、表Bに定義されているとおりである。
表E-41は、式I-2-Qbの14種の化合物E-41.001~E-41.014を提供し、ここで、R1は、Meであり、R2は、CH2CF3であり、Aは、CHであり、Xは、SOであり、R6は、表Bに定義されているとおりである。
表E-42は、式I-2-Qbの14種の化合物E-42.001~E-42.014を提供し、ここで、R1は、Meであり、R2は、CH2CF3であり、Aは、CHであり、Xは、SO2であり、R6は、表Bに定義されているとおりである。
表E-43は、式I-2-Qbの14種の化合物E-43.001~E-43.014を提供し、ここで、R1は、Meであり、R2は、CF3であり、Aは、Nであり、Xは、Sであり、R6は、表Bに定義されているとおりである。
表E-44は、式I-2-Qbの14種の化合物E-44.001~E-44.014を提供し、ここで、R1は、Meであり、R2は、CF3であり、Aは、Nであり、Xは、SOであり、R6は、表Bに定義されているとおりである。
表E-45は、式I-2-Qbの14種の化合物E-45.001~E-45.014を提供し、ここで、R1は、Meであり、R2は、CF3であり、Aは、Nであり、Xは、SO2であり、R6は、表Bに定義されているとおりである。
表E-46は、式I-2-Qbの14種の化合物E-46.001~E-46.014を提供し、ここで、R1は、Meであり、R2は、CF3であり、Aは、CHであり、Xは、Sであり、R6は、表Bに定義されているとおりである。
表E-47は、式I-2-Qbの14種の化合物E-47.001~E-47.014を提供し、ここで、R1は、Meであり、R2は、CF3であり、Aは、CHであり、Xは、SOであり、R6は、表Bに定義されているとおりである。
表E-48は、式I-2-Qbの14種の化合物E-48.001~E-48.014を提供し、ここで、R1は、Meであり、R2は、CF3であり、Aは、CHであり、Xは、SO2であり、R6は、表Bに定義されているとおりである。
表E-49は、式I-2-Qbの14種の化合物E-49.001~E-49.014を提供し、ここで、R1は、CF3であり、R2は、Hであり、Aは、Nであり、Xは、Sであり、R6は、表Bに定義されているとおりである。
表E-50は、式I-2-Qbの14種の化合物E-50.001~E-50.014を提供し、ここで、R1は、CF3であり、R2は、Hであり、Aは、Nであり、Xは、SOであり、R6は、表Bに定義されているとおりである。
表E-51は、式I-2-Qbの14種の化合物E-51.001~E-51.014を提供し、ここで、R1は、CF3であり、R2は、Hであり、Aは、Nであり、Xは、SO2であり、R6は、表Bに定義されているとおりである。
表E-52は、式I-2-Qbの14種の化合物E-52.001~E-52.014を提供し、ここで、R1は、CF3であり、R2は、Hであり、Aは、CHであり、Xは、Sであり、R6は、表Bに定義されているとおりである。
表E-53は、式I-2-Qbの14種の化合物E-53.001~E-53.014を提供し、ここで、R1は、CF3であり、R2は、Hであり、Aは、CHであり、Xは、SOであり、R6は、表Bに定義されているとおりである。
表E-54は、式I-2-Qbの14種の化合物E-54.001~E-54.014を提供し、ここで、R1は、CF3であり、R2は、Hであり、Aは、CHであり、Xは、SO2であり、R6は、表Bに定義されているとおりである。
表E-55は、式I-2-Qbの14種の化合物E-55.001~E-55.014を提供し、ここで、R1は、CF3であり、R2は、CNであり、Aは、Nであり、Xは、Sであり、R6は、表Bに定義されているとおりである。
表E-56は、式I-2-Qbの14種の化合物E-56.001~E-56.014を提供し、ここで、R1は、CF3であり、R2は、CNであり、Aは、Nであり、Xは、SOであり、R6は、表Bに定義されているとおりである。
表E-57は、式I-2-Qbの14種の化合物E-57.001~E-57.014を提供し、ここで、R1は、CF3であり、R2は、CNであり、Aは、Nであり、Xは、SO2であり、R6は、表Bに定義されているとおりである。
表E-58は、式I-2-Qbの14種の化合物E-58.001~E-58.014を提供し、ここで、R1は、CF3であり、R2は、CNであり、Aは、CHであり、Xは、Sであり、R6は、表Bに定義されているとおりである。
表E-59は、式I-2-Qbの14種の化合物E-59.001~E-59.014を提供し、ここで、R1は、CF3であり、R2は、CNであり、Aは、CHであり、Xは、SOであり、R6は、表Bに定義されているとおりである。
表E-60は、式I-2-Qbの14種の化合物E-60.001~E-60.014を提供し、ここで、R1は、CF3であり、R2は、CNであり、Aは、CHであり、Xは、SO2であり、R6は、表Bに定義されているとおりである。
表E-61は、式I-2-Qbの14種の化合物E-61.001~E-61.014を提供し、ここで、R1は、CF3であり、R2は、COCH3であり、Aは、Nであり、Xは、Sであり、R6は、表Bに定義されているとおりである。
表E-62は、式I-2-Qbの14種の化合物E-62.001~E-62.014を提供し、ここで、R1は、CF3であり、R2は、COCH3であり、Aは、Nであり、Xは、SOであり、R6は、表Bに定義されているとおりである。
表E-63は、式I-2-Qbの14種の化合物E-63.001~E-63.014を提供し、ここで、R1は、CF3であり、R2は、COCH3であり、Aは、Nであり、Xは、SO2であり、R6は、表Bに定義されているとおりである。
表E-64は、式I-2-Qbの14種の化合物E-64.001~E-64.014を提供し、ここで、R1は、CF3であり、R2は、COCH3であり、Aは、CHであり、Xは、Sであり、R6は、表Bに定義されているとおりである。
表E-65は、式I-2-Qbの14種の化合物E-65.001~E-65.014を提供し、ここで、R1は、CF3であり、R2は、COCH3であり、Aは、CHであり、Xは、SOであり、R6は、表Bに定義されているとおりである。
表E-66は、式I-2-Qbの14種の化合物E-66.001~E-66.014を提供し、ここで、R1は、CF3であり、R2は、COCH3であり、Aは、CHであり、Xは、SO2であり、R6は、表Bに定義されているとおりである。
表E-67は、式I-2-Qbの14種の化合物E-67.001~E-67.014を提供し、ここで、R1は、CF3であり、R2は、cPrであり、Aは、Nであり、Xは、Sであり、R6は、表Bに定義されているとおりである。
表E-68は、式I-2-Qbの14種の化合物E-68.001~E-68.014を提供し、ここで、R1は、CF3であり、R2は、cPrであり、Aは、Nであり、Xは、SOであり、R6は、表Bに定義されているとおりである。
表E-69は、式I-2-Qbの14種の化合物E-69.001~E-69.014を提供し、ここで、R1は、CF3であり、R2は、cPrであり、Aは、Nであり、Xは、SO2であり、R6は、表Bに定義されているとおりである。
表E-70は、式I-2-Qbの14種の化合物E-70.001~E-70.014を提供し、ここで、R1は、CF3であり、R2は、cPrであり、Aは、CHであり、Xは、Sであり、R6は、表Bに定義されているとおりである。
表E-71は、式I-2-Qbの14種の化合物E-71.001~E-71.014を提供し、ここで、R1は、CF3であり、R2は、cPrであり、Aは、CHであり、Xは、SOであり、R6は、表Bに定義されているとおりである。
表E-72は、式I-2-Qbの14種の化合物E-72.001~E-72.014を提供し、ここで、R1は、CF3であり、R2は、cPrであり、Aは、CHであり、Xは、SO2であり、R6は、表Bに定義されているとおりである。
表E-73は、式I-2-Qbの14種の化合物E-73.001~E-73.014を提供し、ここで、R1は、CF3であり、R2は、Meであり、Aは、Nであり、Xは、Sであり、R6は、表Bに定義されているとおりである。
表E-74は、式I-2-Qbの14種の化合物E-74.001~E-74.014を提供し、ここで、R1は、CF3であり、R2は、Meであり、Aは、Nであり、Xは、SOであり、R6は、表Bに定義されているとおりである。
表E-75は、式I-2-Qbの14種の化合物E-75.001~E-75.014を提供し、ここで、R1は、CF3であり、R2は、Meであり、Aは、Nであり、Xは、SO2であり、R6は、表Bに定義されているとおりである。
表E-76は、式I-2-Qbの14種の化合物E-76.001~E-76.014を提供し、ここで、R1は、CF3であり、R2は、Meであり、Aは、CHであり、Xは、Sであり、R6は、表Bに定義されているとおりである。
表E-77は、式I-2-Qbの14種の化合物E-77.001~E-77.014を提供し、ここで、R1は、CF3であり、R2は、Meであり、Aは、CHであり、Xは、SOであり、R6は、表Bに定義されているとおりである。
表E-78は、式I-2-Qbの14種の化合物E-78.001~E-78.014を提供し、ここで、R1は、CF3であり、R2は、Meであり、Aは、CHであり、Xは、SO2であり、R6は、表Bに定義されているとおりである。
表E-79は、式I-2-Qbの14種の化合物E-79.001~E-79.014を提供し、ここで、R1は、CF3であり、R2は、Etであり、Aは、Nであり、Xは、Sであり、R6は、表Bに定義されているとおりである。
表E-80は、式I-2-Qbの14種の化合物E-80.001~E-80.014を提供し、ここで、R1は、CF3であり、R2は、Etであり、Aは、Nであり、Xは、SOであり、R6は、表Bに定義されているとおりである。
表E-81は、式I-2-Qbの14種の化合物E-81.001~E-81.014を提供し、ここで、R1は、CF3であり、R2は、Etであり、Aは、Nであり、Xは、SO2であり、R6は、表Bに定義されているとおりである。
表E-82は、式I-2-Qbの14種の化合物E-82.001~E-82.014を提供し、ここで、R1は、CF3であり、R2は、Etであり、Aは、CHであり、Xは、Sであり、R6は、表Bに定義されているとおりである。
表E-83は、式I-2-Qbの14種の化合物E-83.001~E-83.014を提供し、ここで、R1は、CF3であり、R2は、Etであり、Aは、CHであり、Xは、SOであり、R6は、表Bに定義されているとおりである。
表E-84は、式I-2-Qbの14種の化合物E-84.001~E-84.014を提供し、ここで、R1は、CF3であり、R2は、Etであり、Aは、CHであり、Xは、SO2であり、R6は、表Bに定義されているとおりである。
表E-85は、式I-2-Qbの14種の化合物E-85.001~E-85.014を提供し、ここで、R1は、CF3であり、R2は、CH2CF3であり、Aは、Nであり、Xは、Sであり、R6は、表Bに定義されているとおりである。
表E-86は、式I-2-Qbの14種の化合物E-86.001~E-86.014を提供し、ここで、R1は、CF3であり、R2は、CH2CF3であり、Aは、Nであり、Xは、SOであり、R6は、表Bに定義されているとおりである。
表E-87は、式I-2-Qbの14種の化合物E-87.001~E-87.014を提供し、ここで、R1は、CF3であり、R2は、CH2CF3であり、Aは、Nであり、Xは、SO2であり、R6は、表Bに定義されているとおりである。
表E-88は、式I-2-Qbの14種の化合物E-88.001~E-88.014を提供し、ここで、R1は、CF3であり、R2は、CH2CF3であり、Aは、CHであり、Xは、Sであり、R6は、表Bに定義されているとおりである。
表E-89は、式I-2-Qbの14種の化合物E-89.001~E-89.014を提供し、ここで、R1は、CF3であり、R2は、CH2CF3であり、Aは、CHであり、Xは、SOであり、R6は、表Bに定義されているとおりである。
表E-90は、式I-2-Qbの14種の化合物E-90.001~E-90.014を提供し、ここで、R1は、CF3であり、R2は、CH2CF3であり、Aは、CHであり、Xは、SO2であり、R6は、表Bに定義されているとおりである。
表E-91は、式I-2-Qbの14種の化合物E-91.001~E-91.014を提供し、ここで、R1は、CF3であり、R2は、CF3であり、Aは、Nであり、Xは、Sであり、R6は、表Bに定義されているとおりである。
表E-92は、式I-2-Qbの14種の化合物E-92.001~E-92.014を提供し、ここで、R1は、CF3であり、R2は、CF3であり、Aは、Nであり、Xは、SOであり、R6は、表Bに定義されているとおりである。
表E-93は、式I-2-Qbの14種の化合物E-93.001~E-93.014を提供し、ここで、R1は、CF3であり、R2は、CF3であり、Aは、Nであり、Xは、SO2であり、R6は、表Bに定義されているとおりである。
表E-94は、式I-2-Qbの14種の化合物E-94.001~E-94.014を提供し、ここで、R1は、CF3であり、R2は、CF3であり、Aは、CHであり、Xは、Sであり、R6は、表Bに定義されているとおりである。
表E-95は、式I-2-Qbの14種の化合物E-95.001~E-95.014を提供し、ここで、R1は、CF3であり、R2は、CF3であり、Aは、CHであり、Xは、SOであり、R6は、表Bに定義されているとおりである。
表E-96は、式I-2-Qbの14種の化合物E-96.001~E-96.014を提供し、ここで、R1は、CF3であり、R2は、CF3であり、Aは、CHであり、Xは、SO2であり、R6は、表Bに定義されているとおりである。
下記の表F-1~F-96は、本発明の特定の化合物をさらに例示する。
「cPr」は、シクロプロピルを表す。
Figure 0007581336000038
表F-1は、式I-2-Qaの7種の化合物F-1.001~F-1.007を提供し、ここで、Aは、Nであり、Xは、Sであり、R1は、CF3であり、R2は、Hであり、R5は、表Dに定義されているとおりである。
表F-2は、式I-2-Qaの7種の化合物F-2.001~F-2.007を提供し、ここで、Aは、Nであり、Xは、Sであり、R1は、CF3であり、R2は、CNであり、R5は、表Dに定義されているとおりである。
表F-3は、式I-2-Qaの7種の化合物F-3.001~F-3.007を提供し、ここで、Aは、Nであり、Xは、Sであり、R1は、CF3であり、R2は、COCH3であり、R5は、表Dに定義されているとおりである。
表F-4は、式I-2-Qaの7種の化合物F-4.001~F-4.007を提供し、ここで、Aは、Nであり、Xは、Sであり、R1は、CF3であり、R2は、cPrであり、R5は、表Dに定義されているとおりである。
表F-5は、式I-2-Qaの7種の化合物F-5.001~F-5.007を提供し、ここで、Aは、Nであり、Xは、Sであり、R1は、CF3であり、R2は、Meであり、R5は、表Dに定義されているとおりである。
表F-6は、式I-2-Qaの7種の化合物F-6.001~F-6.007を提供し、ここで、Aは、Nであり、Xは、Sであり、R1は、CF3であり、R2は、Etであり、R5は、表Dに定義されているとおりである。
表F-7は、式I-2-Qaの7種の化合物F-7.001~F-7.007を提供し、ここで、Aは、Nであり、Xは、Sであり、R1は、CF3であり、R2は、CH2CF3であり、R5は、表Dに定義されているとおりである。
表F-8は、式I-2-Qaの7種の化合物F-8.001~F-8.007を提供し、ここで、Aは、Nであり、Xは、Sであり、R1は、CF3であり、R2は、CF3であり、R5は、表Dに定義されているとおりである。
表F-9は、式I-2-Qaの7種の化合物F-9.001~F-9.007を提供し、ここで、Aは、Nであり、Xは、Sであり、R1は、CH3であり、R2は、Hであり、R5は、表Dに定義されているとおりである。
表F-10は、式I-2-Qaの7種の化合物F-10.001~F-10.007を提供し、ここで、Aは、Nであり、Xは、Sであり、R1は、CH3であり、R2は、CNであり、R5は、表Dに定義されているとおりである。
表F-11は、式I-2-Qaの7種の化合物F-11.001~F-11.007を提供し、ここで、Aは、Nであり、Xは、Sであり、R1は、CH3であり、R2は、COCH3であり、R5は、表Dに定義されているとおりである。
表F-12は、式I-2-Qaの7種の化合物F-12.001~F-12.007を提供し、ここで、Aは、Nであり、Xは、Sであり、R1は、CH3であり、R2は、cPrであり、R5は、表Dに定義されているとおりである。
表F-13は、式I-2-Qaの7種の化合物F-13.001~F-13.007を提供し、ここで、Aは、Nであり、Xは、Sであり、R1は、CH3であり、R2は、Meであり、R5は、表Dに定義されているとおりである。
表F-14は、式I-2-Qaの7種の化合物F-14.001~F-14.007を提供し、ここで、Aは、Nであり、Xは、Sであり、R1は、CH3であり、R2は、Etであり、R5は、表Dに定義されているとおりである。
表F-15は、式I-2-Qaの7種の化合物F-15.001~F-15.007を提供し、ここで、Aは、Nであり、Xは、Sであり、R1は、CH3であり、R2は、CH2CF3であり、R5は、表Dに定義されているとおりである。
表F-16は、式I-2-Qaの7種の化合物F-16.001~F-16.007を提供し、ここで、Aは、Nであり、Xは、Sであり、R1は、CH3であり、R2は、CF3であり、R5は、表Dに定義されているとおりである。
表F-17は、式I-2-Qaの7種の化合物F-17.001~F-17.007を提供し、ここで、Aは、Nであり、Xは、SOであり、R1は、CF3であり、R2は、Hであり、R5は、表Dに定義されているとおりである。
表F-18は、式I-2-Qaの7種の化合物F-18.001~F-18.007を提供し、ここで、Aは、Nであり、Xは、SOであり、R1は、CF3であり、R2は、CNであり、R5は、表Dに定義されているとおりである。
表F-19は、式I-2-Qaの7種の化合物F-19.001~F-19.007を提供し、ここで、Aは、Nであり、Xは、SOであり、R1は、CF3であり、R2は、COCH3であり、R5は、表Dに定義されているとおりである。
表F-20は、式I-2-Qaの7種の化合物F-20.001~F-20.007を提供し、ここで、Aは、Nであり、Xは、SOであり、R1は、CF3であり、R2は、cPrであり、R5は、表Dに定義されているとおりである。
表F-21は、式I-2-Qaの7種の化合物F-21.001~F-21.007を提供し、ここで、Aは、Nであり、Xは、SOであり、R1は、CF3であり、R2は、Meであり、R5は、表Dに定義されているとおりである。
表F-22は、式I-2-Qaの7種の化合物F-22.001~F-22.007を提供し、ここで、Aは、Nであり、Xは、SOであり、R1は、CF3であり、R2は、Etであり、R5は、表Dに定義されているとおりである。
表F-23は、式I-2-Qaの7種の化合物F-23.001~F-23.007を提供し、ここで、Aは、Nであり、Xは、SOであり、R1は、CF3であり、R2は、CH2CF3であり、R5は、表Dに定義されているとおりである。
表F-24は、式I-2-Qaの7種の化合物F-24.001~F-24.007を提供し、ここで、Aは、Nであり、Xは、SOであり、R1は、CF3であり、R2は、CF3であり、R5は、表Dに定義されているとおりである。
表F-25は、式I-2-Qaの7種の化合物F-25.001~F-25.007を提供し、ここで、Aは、Nであり、Xは、SOであり、R1は、CH3であり、R2は、Hであり、R5は、表Dに定義されているとおりである。
表F-26は、式I-2-Qaの7種の化合物F-26.001~F-26.007を提供し、ここで、Aは、Nであり、Xは、SOであり、R1は、CH3であり、R2は、CNであり、R5は、表Dに定義されているとおりである。
表F-27は、式I-2-Qaの7種の化合物F-27.001~F-27.007を提供し、ここで、Aは、Nであり、Xは、SOであり、R1は、CH3であり、R2は、COCH3であり、R5は、表Dに定義されているとおりである。
表F-28は、式I-2-Qaの7種の化合物F-28.001~F-28.007を提供し、ここで、Aは、Nであり、Xは、SOであり、R1は、CH3であり、R2は、cPrであり、R5は、表Dに定義されているとおりである。
表F-29は、式I-2-Qaの7種の化合物F-29.001~F-29.007を提供し、ここで、Aは、Nであり、Xは、SOであり、R1は、CH3であり、R2は、Meであり、R5は、表Dに定義されているとおりである。
表F-30は、式I-2-Qaの7種の化合物F-30.001~F-30.007を提供し、ここで、Aは、Nであり、Xは、SOであり、R1は、CH3であり、R2は、Etであり、R5は、表Dに定義されているとおりである。
表F-31は、式I-2-Qaの7種の化合物F-31.001~F-31.007を提供し、ここで、Aは、Nであり、Xは、SOであり、R1は、CH3であり、R2は、CH2CF3であり、R5は、表Dに定義されているとおりである。
表F-32は、式I-2-Qaの7種の化合物F-32.001~F-32.007を提供し、ここで、Aは、Nであり、Xは、SOであり、R1は、CH3であり、R2は、CF3であり、R5は、表Dに定義されているとおりである。
表F-33は、式I-2-Qaの7種の化合物F-33.001~F-33.007を提供し、ここで、Aは、Nであり、Xは、SO2であり、R1は、CF3であり、R2は、Hであり、R5は、表Dに定義されているとおりである。
表F-34は、式I-2-Qaの7種の化合物F-34.001~F-34.007を提供し、ここで、Aは、Nであり、Xは、SO2であり、R1は、CF3であり、R2は、CNであり、R5は、表Dに定義されているとおりである。
表F-35は、式I-2-Qaの7種の化合物F-35.001~F-35.007を提供し、ここで、Aは、Nであり、Xは、SO2であり、R1は、CF3であり、R2は、COCH3であり、R5は、表Dに定義されているとおりである。
表F-36は、式I-2-Qaの7種の化合物F-36.001~F-36.007を提供し、ここで、Aは、Nであり、Xは、SO2であり、R1は、CF3であり、R2は、cPrであり、R5は、表Dに定義されているとおりである。
表F-37は、式I-2-Qaの7種の化合物F-37.001~F-37.007を提供し、ここで、Aは、Nであり、Xは、SO2であり、R1は、CF3であり、R2は、Meであり、R5は、表Dに定義されているとおりである。
表F-38は、式I-2-Qaの7種の化合物F-38.001~F-38.007を提供し、ここで、Aは、Nであり、Xは、SO2であり、R1は、CF3であり、R2は、Etであり、R5は、表Dに定義されているとおりである。
表F-39は、式I-2-Qaの7種の化合物F-39.001~F-39.007を提供し、ここで、Aは、Nであり、Xは、SO2であり、R1は、CF3であり、R2は、CH2CF3であり、R5は、表Dに定義されているとおりである。
表F-40は、式I-2-Qaの7種の化合物F-40.001~F-40.007を提供し、ここで、Aは、Nであり、Xは、SO2であり、R1は、CF3であり、R2は、CF3であり、R5は、表Dに定義されているとおりである。
表F-41は、式I-2-Qaの7種の化合物F-41.001~F-41.007を提供し、ここで、Aは、Nであり、Xは、SO2であり、R1は、CH3であり、R2は、Hであり、R5は、表Dに定義されているとおりである。
表F-42は、式I-2-Qaの7種の化合物F-42.001~F-42.007を提供し、ここで、Aは、Nであり、Xは、SO2であり、R1は、CH3であり、R2は、CNであり、R5は、表Dに定義されているとおりである。
表F-43は、式I-2-Qaの7種の化合物F-43.001~F-43.007を提供し、ここで、Aは、Nであり、Xは、SO2であり、R1は、CH3であり、R2は、COCH3であり、R5は、表Dに定義されているとおりである。
表F-44は、式I-2-Qaの7種の化合物F-44.001~F-44.007を提供し、ここで、Aは、Nであり、Xは、SO2であり、R1は、CH3であり、R2は、cPrであり、R5は、表Dに定義されているとおりである。
表F-45は、式I-2-Qaの7種の化合物F-45.001~F-45.007を提供し、ここで、Aは、Nであり、Xは、SO2であり、R1は、CH3であり、R2は、Meであり、R5は、表Dに定義されているとおりである。
表F-46は、式I-2-Qaの7種の化合物F-46.001~F-46.007を提供し、ここで、Aは、Nであり、Xは、SO2であり、R1は、CH3であり、R2は、Etであり、R5は、表Dに定義されているとおりである。
表F-47は、式I-2-Qaの7種の化合物F-47.001~F-47.007を提供し、ここで、Aは、Nであり、Xは、SO2であり、R1は、CH3であり、R2は、CH2CF3であり、R5は、表Dに定義されているとおりである。
表F-48は、式I-2-Qaの7種の化合物F-48.001~F-48.007を提供し、ここで、Aは、Nであり、Xは、SO2であり、R1は、CH3であり、R2は、CF3であり、R5は、表Dに定義されているとおりである。
表F-49は、式I-2-Qaの7種の化合物F-49.001~F-49.007を提供し、ここで、Aは、CHであり、Xは、Sであり、R1は、CF3であり、R2は、Hであり、R5は、表Dに定義されているとおりである。
表F-50は、式I-2-Qaの7種の化合物F-50.001~F-50.007を提供し、ここで、Aは、CHであり、Xは、Sであり、R1は、CF3であり、R2は、CNであり、R5は、表Dに定義されているとおりである。
表F-51は、式I-2-Qaの7種の化合物F-51.001~F-51.007を提供し、ここで、Aは、CHであり、Xは、Sであり、R1は、CF3であり、R2は、COCH3であり、R5は、表Dに定義されているとおりである。
表F-52は、式I-2-Qaの7種の化合物F-52.001~F-52.007を提供し、ここで、Aは、CHであり、Xは、Sであり、R1は、CF3であり、R2は、cPrであり、R5は、表Dに定義されているとおりである。
表F-53は、式I-2-Qaの7種の化合物F-53.001~F-53.007を提供し、ここで、Aは、CHであり、Xは、Sであり、R1は、CF3であり、R2は、Meであり、R5は、表Dに定義されているとおりである。
表F-54は、式I-2-Qaの7種の化合物F-54.001~F-54.007を提供し、ここで、Aは、CHであり、Xは、Sであり、R1は、CF3であり、R2は、Etであり、R5は、表Dに定義されているとおりである。
表F-55は、式I-2-Qaの7種の化合物F-55.001~F-55.007を提供し、ここで、Aは、CHであり、Xは、Sであり、R1は、CF3であり、R2は、CH2CF3であり、R5は、表Dに定義されているとおりである。
表F-56は、式I-2-Qaの7種の化合物F-56.001~F-56.007を提供し、ここで、Aは、CHであり、Xは、Sであり、R1は、CF3であり、R2は、CF3であり、R5は、表Dに定義されているとおりである。
表F-57は、式I-2-Qaの7種の化合物F-57.001~F-57.007を提供し、ここで、Aは、CHであり、Xは、Sであり、R1は、CH3であり、R2は、Hであり、R5は、表Dに定義されているとおりである。
表F-58は、式I-2-Qaの7種の化合物F-58.001~F-58.007を提供し、ここで、Aは、CHであり、Xは、Sであり、R1は、CH3であり、R2は、CNであり、R5は、表Dに定義されているとおりである。
表F-59は、式I-2-Qaの7種の化合物F-59.001~F-59.007を提供し、ここで、Aは、CHであり、Xは、Sであり、R1は、CH3であり、R2は、COCH3であり、R5は、表Dに定義されているとおりである。
表F-60は、式I-2-Qaの7種の化合物F-60.001~F-60.007を提供し、ここで、Aは、CHであり、Xは、Sであり、R1は、CH3であり、R2は、cPrであり、R5は、表Dに定義されているとおりである。
表F-61は、式I-2-Qaの7種の化合物F-61.001~F-61.007を提供し、ここで、Aは、CHであり、Xは、Sであり、R1は、CH3であり、R2は、Meであり、R5は、表Dに定義されているとおりである。
表F-62は、式I-2-Qaの7種の化合物F-62.001~F-62.007を提供し、ここで、Aは、CHであり、Xは、Sであり、R1は、CH3であり、R2は、Etであり、R5は、表Dに定義されているとおりである。
表F-63は、式I-2-Qaの7種の化合物F-63.001~F-63.007を提供し、ここで、Aは、CHであり、Xは、Sであり、R1は、CH3であり、R2は、CH2CF3であり、R5は、表Dに定義されているとおりである。
表F-64は、式I-2-Qaの7種の化合物F-64.001~F-64.007を提供し、ここで、Aは、CHであり、Xは、Sであり、R1は、CH3であり、R2は、CF3であり、R5は、表Dに定義されているとおりである。
表F-65は、式I-2-Qaの7種の化合物F-65.001~F-65.007を提供し、ここで、Aは、CHであり、Xは、SOであり、R1は、CF3であり、R2は、Hであり、R5は、表Dに定義されているとおりである。
表F-66は、式I-2-Qaの7種の化合物F-66.001~F-66.007を提供し、ここで、Aは、CHであり、Xは、SOであり、R1は、CF3であり、R2は、CNであり、R5は、表Dに定義されているとおりである。
表F-67は、式I-2-Qaの7種の化合物F-67.001~F-67.007を提供し、ここで、Aは、CHであり、Xは、SOであり、R1は、CF3であり、R2は、COCH3であり、R5は、表Dに定義されているとおりである。
表F-68は、式I-2-Qaの7種の化合物F-68.001~F-68.007を提供し、ここで、Aは、CHであり、Xは、SOであり、R1は、CF3であり、R2は、cPrであり、R5は、表Dに定義されているとおりである。
表F-69は、式I-2-Qaの7種の化合物F-69.001~F-69.007を提供し、ここで、Aは、CHであり、Xは、SOであり、R1は、CF3であり、R2は、Meであり、R5は、表Dに定義されているとおりである。
表F-70は、式I-2-Qaの7種の化合物F-70.001~F-70.007を提供し、ここで、Aは、CHであり、Xは、SOであり、R1は、CF3であり、R2は、Etであり、R5は、表Dに定義されているとおりである。
表F-71は、式I-2-Qaの7種の化合物F-71.001~F-71.007を提供し、ここで、Aは、CHであり、Xは、SOであり、R1は、CF3であり、R2は、CH2CF3であり、R5は、表Dに定義されているとおりである。
表F-72は、式I-2-Qaの7種の化合物F-72.001~F-72.007を提供し、ここで、Aは、CHであり、Xは、SOであり、R1は、CF3であり、R2は、CF3であり、R5は、表Dに定義されているとおりである。
表F-73は、式I-2-Qaの7種の化合物F-73.001~F-73.007を提供し、ここで、Aは、CHであり、Xは、SOであり、R1は、CH3であり、R2は、Hであり、R5は、表Dに定義されているとおりである。
表F-74は、式I-2-Qaの7種の化合物F-74.001~F-74.007を提供し、ここで、Aは、CHであり、Xは、SOであり、R1は、CH3であり、R2は、CNであり、R5は、表Dに定義されているとおりである。
表F-75は、式I-2-Qaの7種の化合物F-75.001~F-75.007を提供し、ここで、Aは、CHであり、Xは、SOであり、R1は、CH3であり、R2は、COCH3であり、R5は、表Dに定義されているとおりである。
表F-76は、式I-2-Qaの7種の化合物F-76.001~F-76.007を提供し、ここで、Aは、CHであり、Xは、SOであり、R1は、CH3であり、R2は、cPrであり、R5は、表Dに定義されているとおりである。
表F-77は、式I-2-Qaの7種の化合物F-77.001~F-77.007を提供し、ここで、Aは、CHであり、Xは、SOであり、R1は、CH3であり、R2は、Meであり、R5は、表Dに定義されているとおりである。
表F-78は、式I-2-Qaの7種の化合物F-78.001~F-78.007を提供し、ここで、Aは、CHであり、Xは、SOであり、R1は、CH3であり、R2は、Etであり、R5は、表Dに定義されているとおりである。
表F-79は、式I-2-Qaの7種の化合物F-79.001~F-79.007を提供し、ここで、Aは、CHであり、Xは、SOであり、R1は、CH3であり、R2は、CH2CF3であり、R5は、表Dに定義されているとおりである。
表F-80は、式I-2-Qaの7種の化合物F-80.001~F-80.007を提供し、ここで、Aは、CHであり、Xは、SOであり、R1は、CH3であり、R2は、CF3であり、R5は、表Dに定義されているとおりである。
表F-81は、式I-2-Qaの7種の化合物F-81.001~F-81.007を提供し、ここで、Aは、CHであり、Xは、SO2であり、R1は、CF3であり、R2は、Hであり、R5は、表Dに定義されているとおりである。
表F-82は、式I-2-Qaの7種の化合物F-82.001~F-82.007を提供し、ここで、Aは、CHであり、Xは、SO2であり、R1は、CF3であり、R2は、CNであり、R5は、表Dに定義されているとおりである。
表F-83は、式I-2-Qaの7種の化合物F-83.001~F-83.007を提供し、ここで、Aは、CHであり、Xは、SO2であり、R1は、CF3であり、R2は、COCH3であり、R5は、表Dに定義されているとおりである。
表F-84は、式I-2-Qaの7種の化合物F-84.001~F-84.007を提供し、ここで、Aは、CHであり、Xは、SO2であり、R1は、CF3であり、R2は、cPrであり、R5は、表Dに定義されているとおりである。
表F-85は、式I-2-Qaの7種の化合物F-85.001~F-85.007を提供し、ここで、Aは、CHであり、Xは、SO2であり、R1は、CF3であり、R2は、Meであり、R5は、表Dに定義されているとおりである。
表F-86は、式I-2-Qaの7種の化合物F-86.001~F-86.007を提供し、ここで、Aは、CHであり、Xは、SO2であり、R1は、CF3であり、R2は、Etであり、R5は、表Dに定義されているとおりである。
表F-87は、式I-2-Qaの7種の化合物F-87.001~F-87.007を提供し、ここで、Aは、CHであり、Xは、SO2であり、R1は、CF3であり、R2は、CH2CF3であり、R5は、表Dに定義されているとおりである。
表F-88は、式I-2-Qaの7種の化合物F-88.001~F-88.007を提供し、ここで、Aは、CHであり、Xは、SO2であり、R1は、CF3であり、R2は、CF3であり、R5は、表Dに定義されているとおりである。
表F-89は、式I-2-Qaの7種の化合物F-89.001~F-89.007を提供し、ここで、Aは、CHであり、Xは、SO2であり、R1は、CH3であり、R2は、Hであり、R5は、表Dに定義されているとおりである。
表F-90は、式I-2-Qaの7種の化合物F-90.001~F-90.007を提供し、ここで、Aは、CHであり、Xは、SO2であり、R1は、CH3であり、R2は、CNであり、R5は、表Dに定義されているとおりである。
表F-91は、式I-2-Qaの7種の化合物F-91.001~F-91.007を提供し、ここで、Aは、CHであり、Xは、SO2であり、R1は、CH3であり、R2は、COCH3であり、R5は、表Dに定義されているとおりである。
表F-92は、式I-2-Qaの7種の化合物F-92.001~F-92.007を提供し、ここで、Aは、CHであり、Xは、SO2であり、R1は、CH3であり、R2は、cPrであり、R5は、表Dに定義されているとおりである。
表F-93は、式I-2-Qaの7種の化合物F-93.001~F-93.007を提供し、ここで、Aは、CHであり、Xは、SO2であり、R1は、CH3であり、R2は、Meであり、R5は、表Dに定義されているとおりである。
表F-94は、式I-2-Qaの7種の化合物F-94.001~F-94.007を提供し、ここで、Aは、CHであり、Xは、SO2であり、R1は、CH3であり、R2は、Etであり、R5は、表Dに定義されているとおりである。
表F-95は、式I-2-Qaの7種の化合物F-95.001~F-95.007を提供し、ここで、Aは、CHであり、Xは、SO2であり、R1は、CH3であり、R2は、CH2CF3であり、R5は、表Dに定義されているとおりである。
表F-96は、式I-2-Qaの7種の化合物F-96.001~F-96.007を提供し、ここで、Aは、CHであり、Xは、SO2であり、R1は、CH3であり、R2は、CF3であり、R5は、表Dに定義されているとおりである。
下記の表G-1~G-96は、本発明の特定の化合物をさらに例示する。
「cPr」は、シクロプロピルを表す。
Figure 0007581336000039
表G-1は、式I-3-Qbの14種の化合物G-1.001~G-1.014を提供し、ここで、R1は、Meであり、R2は、Hであり、Aは、Nであり、Xは、Sであり、R6は、表Bに定義されているとおりである。
表G-2は、式I-3-Qbの14種の化合物G-2.001~G-2.014を提供し、ここで、R1は、Meであり、R2は、Hであり、Aは、Nであり、Xは、SOであり、R6は、表Bに定義されているとおりである。
表G-3は、式I-3-Qbの14種の化合物G-3.001~G-3.014を提供し、ここで、R1は、Meであり、R2は、Hであり、Aは、Nであり、Xは、SO2であり、R6は、表Bに定義されているとおりである。
表G-4は、式I-3-Qbの14種の化合物G-4.001~G-4.014を提供し、ここで、R1は、Meであり、R2は、Hであり、Aは、CHであり、Xは、Sであり、R6は、表Bに定義されているとおりである。
表G-5は、式I-3-Qbの14種の化合物G-5.001~G-5.014を提供し、ここで、R1は、Meであり、R2は、Hであり、Aは、CHであり、Xは、SOであり、R6は、表Bに定義されているとおりである。
表G-6は、式I-3-Qbの14種の化合物G-6.001~G-6.014を提供し、ここで、R1は、Meであり、R2は、Hであり、Aは、CHであり、Xは、SO2であり、R6は、表Bに定義されているとおりである。
表G-7は、式I-3-Qbの14種の化合物G-7.001~G-7.014を提供し、ここで、R1は、Meであり、R2は、CNであり、Aは、Nであり、Xは、Sであり、R6は、表Bに定義されているとおりである。
表G-8は、式I-3-Qbの14種の化合物G-8.001~G-8.014を提供し、ここで、R1は、Meであり、R2は、CNであり、Aは、Nであり、Xは、SOであり、R6は、表Bに定義されているとおりである。
表G-9は、式I-3-Qbの14種の化合物G-9.001~G-9.014を提供し、ここで、R1は、Meであり、R2は、CNであり、Aは、Nであり、Xは、SO2であり、R6は、表Bに定義されているとおりである。
表G-10は、式I-3-Qbの14種の化合物G-10.001~G-10.014を提供し、ここで、R1は、Meであり、R2は、CNであり、Aは、CHであり、Xは、Sであり、R6は、表Bに定義されているとおりである。
表G-11は、式I-3-Qbの14種の化合物G-11.001~G-11.014を提供し、ここで、R1は、Meであり、R2は、CNであり、Aは、CHであり、Xは、SOであり、R6は、表Bに定義されているとおりである。
表G-12は、式I-3-Qbの14種の化合物G-12.001~G-12.014を提供し、ここで、R1は、Meであり、R2は、CNであり、Aは、CHであり、Xは、SO2であり、R6は、表Bに定義されているとおりである。
表G-13は、式I-3-Qbの14種の化合物G-13.001~G-13.014を提供し、ここで、R1は、Meであり、R2は、COCH3であり、Aは、Nであり、Xは、Sであり、R6は、表Bに定義されているとおりである。
表G-14は、式I-3-Qbの14種の化合物G-14.001~G-14.014を提供し、ここで、R1は、Meであり、R2は、COCH3であり、Aは、Nであり、Xは、SOであり、R6は、表Bに定義されているとおりである。
表G-15は、式I-3-Qbの14種の化合物G-15.001~G-15.014を提供し、ここで、R1は、Meであり、R2は、COCH3であり、Aは、Nであり、Xは、SO2であり、R6は、表Bに定義されているとおりである。
表G-16は、式I-3-Qbの14種の化合物G-16.001~G-16.014を提供し、ここで、R1は、Meであり、R2は、COCH3であり、Aは、CHであり、Xは、Sであり、R6は、表Bに定義されているとおりである。
表G-17は、式I-3-Qbの14種の化合物G-17.001~G-17.014を提供し、ここで、R1は、Meであり、R2は、COCH3であり、Aは、CHであり、Xは、SOであり、R6は、表Bに定義されているとおりである。
表G-18は、式I-3-Qbの14種の化合物G-18.001~G-18.014を提供し、ここで、R1は、Meであり、R2は、COCH3であり、Aは、CHであり、Xは、SO2であり、R6は、表Bに定義されているとおりである。
表G-19は、式I-3-Qbの14種の化合物G-19.001~G-19.014を提供し、ここで、R1は、Meであり、R2は、cPrであり、Aは、Nであり、Xは、Sであり、R6は、表Bに定義されているとおりである。
表G-20は、式I-3-Qbの14種の化合物G-20.001~G-20.014を提供し、ここで、R1は、Meであり、R2は、cPrであり、Aは、Nであり、Xは、SOであり、R6は、表Bに定義されているとおりである。
表G-21は、式I-3-Qbの14種の化合物G-21.001~G-21.014を提供し、ここで、R1は、Meであり、R2は、cPrであり、Aは、Nであり、Xは、SO2であり、R6は、表Bに定義されているとおりである。
表G-22は、式I-3-Qbの14種の化合物G-22.001~G-22.014を提供し、ここで、R1は、Meであり、R2は、cPrであり、Aは、CHであり、Xは、Sであり、R6は、表Bに定義されているとおりである。
表G-23は、式I-3-Qbの14種の化合物G-23.001~G-23.014を提供し、ここで、R1は、Meであり、R2は、cPrであり、Aは、CHであり、Xは、SOであり、R6は、表Bに定義されているとおりである。
表G-24は、式I-3-Qbの14種の化合物G-24.001~G-24.014を提供し、ここで、R1は、Meであり、R2は、cPrであり、Aは、CHであり、Xは、SO2であり、R6は、表Bに定義されているとおりである。
表G-25は、式I-3-Qbの14種の化合物G-25.001~G-25.014を提供し、ここで、R1は、Meであり、R2は、Meであり、Aは、Nであり、Xは、Sであり、R6は、表Bに定義されているとおりである。
表G-26は、式I-3-Qbの14種の化合物G-26.001~G-26.014を提供し、ここで、R1は、Meであり、R2は、Meであり、Aは、Nであり、Xは、SOであり、R6は、表Bに定義されているとおりである。
表G-27は、式I-3-Qbの14種の化合物G-27.001~G-27.014を提供し、ここで、R1は、Meであり、R2は、Meであり、Aは、Nであり、Xは、SO2であり、R6は、表Bに定義されているとおりである。
表G-28は、式I-3-Qbの14種の化合物G-28.001~G-28.014を提供し、ここで、R1は、Meであり、R2は、Meであり、Aは、CHであり、Xは、Sであり、R6は、表Bに定義されているとおりである。
表G-29は、式I-3-Qbの14種の化合物G-29.001~G-29.014を提供し、ここで、R1は、Meであり、R2は、Meであり、Aは、CHであり、Xは、SOであり、R6は、表Bに定義されているとおりである。
表G-30は、式I-3-Qbの14種の化合物G-30.001~G-30.014を提供し、ここで、R1は、Meであり、R2は、Meであり、Aは、CHであり、Xは、SO2であり、R6は、表Bに定義されているとおりである。
表G-31は、式I-3-Qbの14種の化合物G-31.001~G-31.014を提供し、ここで、R1は、Meであり、R2は、Etであり、Aは、Nであり、Xは、Sであり、R6は、表Bに定義されているとおりである。
表G-32は、式I-3-Qbの14種の化合物G-32.001~G-32.014を提供し、ここで、R1は、Meであり、R2は、Etであり、Aは、Nであり、Xは、SOであり、R6は、表Bに定義されているとおりである。
表G-33は、式I-3-Qbの14種の化合物G-33.001~G-33.014を提供し、ここで、R1は、Meであり、R2は、Etであり、Aは、Nであり、Xは、SO2であり、R6は、表Bに定義されているとおりである。
表G-34は、式I-3-Qbの14種の化合物G-34.001~G-34.014を提供し、ここで、R1は、Meであり、R2は、Etであり、Aは、CHであり、Xは、Sであり、R6は、表Bに定義されているとおりである。
表G-35は、式I-3-Qbの14種の化合物G-35.001~G-35.014を提供し、ここで、R1は、Meであり、R2は、Etであり、Aは、CHであり、Xは、SOであり、R6は、表Bに定義されているとおりである。
表G-36は、式I-3-Qbの14種の化合物G-36.001~G-36.014を提供し、ここで、R1は、Meであり、R2は、Etであり、Aは、CHであり、Xは、SO2であり、R6は、表Bに定義されているとおりである。
表G-37は、式I-3-Qbの14種の化合物G-37.001~G-37.014を提供し、ここで、R1は、Meであり、R2は、CH2CF3であり、Aは、Nであり、Xは、Sであり、R6は、表Bに定義されているとおりである。
表G-38は、式I-3-Qbの14種の化合物G-38.001~G-38.014を提供し、ここで、R1は、Meであり、R2は、CH2CF3であり、Aは、Nであり、Xは、SOであり、R6は、表Bに定義されているとおりである。
表G-39は、式I-3-Qbの14種の化合物G-39.001~G-39.014を提供し、ここで、R1は、Meであり、R2は、CH2CF3であり、Aは、Nであり、Xは、SO2であり、R6は、表Bに定義されているとおりである。
表G-40は、式I-3-Qbの14種の化合物G-40.001~G-40.014を提供し、ここで、R1は、Meであり、R2は、CH2CF3であり、Aは、CHであり、Xは、Sであり、R6は、表Bに定義されているとおりである。
表G-41は、式I-3-Qbの14種の化合物G-41.001~G-41.014を提供し、ここで、R1は、Meであり、R2は、CH2CF3であり、Aは、CHであり、Xは、SOであり、R6は、表Bに定義されているとおりである。
表G-42は、式I-3-Qbの14種の化合物G-42.001~G-42.014を提供し、ここで、R1は、Meであり、R2は、CH2CF3であり、Aは、CHであり、Xは、SO2であり、R6は、表Bに定義されているとおりである。
表G-43は、式I-3-Qbの14種の化合物G-43.001~G-43.014を提供し、ここで、R1は、Meであり、R2は、CF3であり、Aは、Nであり、Xは、Sであり、R6は、表Bに定義されているとおりである。
表G-44は、式I-3-Qbの14種の化合物G-44.001~G-44.014を提供し、ここで、R1は、Meであり、R2は、CF3であり、Aは、Nであり、Xは、SOであり、R6は、表Bに定義されているとおりである。
表G-45は、式I-3-Qbの14種の化合物G-45.001~G-45.014を提供し、ここで、R1は、Meであり、R2は、CF3であり、Aは、Nであり、Xは、SO2であり、R6は、表Bに定義されているとおりである。
表G-46は、式I-3-Qbの14種の化合物G-46.001~G-46.014を提供し、ここで、R1は、Meであり、R2は、CF3であり、Aは、CHであり、Xは、Sであり、R6は、表Bに定義されているとおりである。
表G-47は、式I-3-Qbの14種の化合物G-47.001~G-47.014を提供し、ここで、R1は、Meであり、R2は、CF3であり、Aは、CHであり、Xは、SOであり、R6は、表Bに定義されているとおりである。
表G-48は、式I-3-Qbの14種の化合物G-48.001~G-48.014を提供し、ここで、R1は、Meであり、R2は、CF3であり、Aは、CHであり、Xは、SO2であり、R6は、表Bに定義されているとおりである。
表G-49は、式I-3-Qbの14種の化合物G-49.001~G-49.014を提供し、ここで、R1は、CF3であり、R2は、Hであり、Aは、Nであり、Xは、Sであり、R6は、表Bに定義されているとおりである。
表G-50は、式I-3-Qbの14種の化合物G-50.001~G-50.014を提供し、ここで、R1は、CF3であり、R2は、Hであり、Aは、Nであり、Xは、SOであり、R6は、表Bに定義されているとおりである。
表G-51は、式I-3-Qbの14種の化合物G-51.001~G-51.014を提供し、ここで、R1は、CF3であり、R2は、Hであり、Aは、Nであり、Xは、SO2であり、R6は、表Bに定義されているとおりである。
表G-52は、式I-3-Qbの14種の化合物G-52.001~G-52.014を提供し、ここで、R1は、CF3であり、R2は、Hであり、Aは、CHであり、Xは、Sであり、R6は、表Bに定義されているとおりである。
表G-53は、式I-3-Qbの14種の化合物G-53.001~G-53.014を提供し、ここで、R1は、CF3であり、R2は、Hであり、Aは、CHであり、Xは、SOであり、R6は、表Bに定義されているとおりである。
表G-54は、式I-3-Qbの14種の化合物G-54.001~G-54.014を提供し、ここで、R1は、CF3であり、R2は、Hであり、Aは、CHであり、Xは、SO2であり、R6は、表Bに定義されているとおりである。
表G-55は、式I-3-Qbの14種の化合物G-55.001~G-55.014を提供し、ここで、R1は、CF3であり、R2は、CNであり、Aは、Nであり、Xは、Sであり、R6は、表Bに定義されているとおりである。
表G-56は、式I-3-Qbの14種の化合物G-56.001~G-56.014を提供し、ここで、R1は、CF3であり、R2は、CNであり、Aは、Nであり、Xは、SOであり、R6は、表Bに定義されているとおりである。
表G-57は、式I-3-Qbの14種の化合物G-57.001~G-57.014を提供し、ここで、R1は、CF3であり、R2は、CNであり、Aは、Nであり、Xは、SO2であり、R6は、表Bに定義されているとおりである。
表G-58は、式I-3-Qbの14種の化合物G-58.001~G-58.014を提供し、ここで、R1は、CF3であり、R2は、CNであり、Aは、CHであり、Xは、Sであり、R6は、表Bに定義されているとおりである。
表G-59は、式I-3-Qbの14種の化合物G-59.001~G-59.014を提供し、ここで、R1は、CF3であり、R2は、CNであり、Aは、CHであり、Xは、SOであり、R6は、表Bに定義されているとおりである。
表G-60は、式I-3-Qbの14種の化合物G-60.001~G-60.014を提供し、ここで、R1は、CF3であり、R2は、CNであり、Aは、CHであり、Xは、SO2であり、R6は、表Bに定義されているとおりである。
表G-61は、式I-3-Qbの14種の化合物G-61.001~G-61.014を提供し、ここで、R1は、CF3であり、R2は、COCH3であり、Aは、Nであり、Xは、Sであり、R6は、表Bに定義されているとおりである。
表G-62は、式I-3-Qbの14種の化合物G-62.001~G-62.014を提供し、ここで、R1は、CF3であり、R2は、COCH3であり、Aは、Nであり、Xは、SOであり、R6は、表Bに定義されているとおりである。
表G-63は、式I-3-Qbの14種の化合物G-63.001~G-63.014を提供し、ここで、R1は、CF3であり、R2は、COCH3であり、Aは、Nであり、Xは、SO2であり、R6は、表Bに定義されているとおりである。
表G-64は、式I-3-Qbの14種の化合物G-64.001~G-64.014を提供し、ここで、R1は、CF3であり、R2は、COCH3であり、Aは、CHであり、Xは、Sであり、R6は、表Bに定義されているとおりである。
表G-65は、式I-3-Qbの14種の化合物G-65.001~G-65.014を提供し、ここで、R1は、CF3であり、R2は、COCH3であり、Aは、CHであり、Xは、SOであり、R6は、表Bに定義されているとおりである。
表G-66は、式I-3-Qbの14種の化合物G-66.001~G-66.014を提供し、ここで、R1は、CF3であり、R2は、COCH3であり、Aは、CHであり、Xは、SO2であり、R6は、表Bに定義されているとおりである。
表G-67は、式I-3-Qbの14種の化合物G-67.001~G-67.014を提供し、ここで、R1は、CF3であり、R2は、cPrであり、Aは、Nであり、Xは、Sであり、R6は、表Bに定義されているとおりである。
表G-68は、式I-3-Qbの14種の化合物G-68.001~G-68.014を提供し、ここで、R1は、CF3であり、R2は、cPrであり、Aは、Nであり、Xは、SOであり、R6は、表Bに定義されているとおりである。
表G-69は、式I-3-Qbの14種の化合物G-69.001~G-69.014を提供し、ここで、R1は、CF3であり、R2は、cPrであり、Aは、Nであり、Xは、SO2であり、R6は、表Bに定義されているとおりである。
表G-70は、式I-3-Qbの14種の化合物G-70.001~G-70.014を提供し、ここで、R1は、CF3であり、R2は、cPrであり、Aは、CHであり、Xは、Sであり、R6は、表Bに定義されているとおりである。
表G-71は、式I-3-Qbの14種の化合物G-71.001~G-71.014を提供し、ここで、R1は、CF3であり、R2は、cPrであり、Aは、CHであり、Xは、SOであり、R6は、表Bに定義されているとおりである。
表G-72は、式I-3-Qbの14種の化合物G-72.001~G-72.014を提供し、ここで、R1は、CF3であり、R2は、cPrであり、Aは、CHであり、Xは、SO2であり、R6は、表Bに定義されているとおりである。
表G-73は、式I-3-Qbの14種の化合物G-73.001~G-73.014を提供し、ここで、R1は、CF3であり、R2は、Meであり、Aは、Nであり、Xは、Sであり、R6は、表Bに定義されているとおりである。
表G-74は、式I-3-Qbの14種の化合物G-74.001~G-74.014を提供し、ここで、R1は、CF3であり、R2は、Meであり、Aは、Nであり、Xは、SOであり、R6は、表Bに定義されているとおりである。
表G-75は、式I-3-Qbの14種の化合物G-75.001~G-75.014を提供し、ここで、R1は、CF3であり、R2は、Meであり、Aは、Nであり、Xは、SO2であり、R6は、表Bに定義されているとおりである。
表G-76は、式I-3-Qbの14種の化合物G-76.001~G-76.014を提供し、ここで、R1は、CF3であり、R2は、Meであり、Aは、CHであり、Xは、Sであり、R6は、表Bに定義されているとおりである。
表G-77は、式I-3-Qbの14種の化合物G-77.001~G-77.014を提供し、ここで、R1は、CF3であり、R2は、Meであり、Aは、CHであり、Xは、SOであり、R6は、表Bに定義されているとおりである。
表G-78は、式I-3-Qbの14種の化合物G-78.001~G-78.014を提供し、ここで、R1は、CF3であり、R2は、Meであり、Aは、CHであり、Xは、SO2であり、R6は、表Bに定義されているとおりである。
表G-79は、式I-3-Qbの14種の化合物G-79.001~G-79.014を提供し、ここで、R1は、CF3であり、R2は、Etであり、Aは、Nであり、Xは、Sであり、R6は、表Bに定義されているとおりである。
表G-80は、式I-3-Qbの14種の化合物G-80.001~G-80.014を提供し、ここで、R1は、CF3であり、R2は、Etであり、Aは、Nであり、Xは、SOであり、R6は、表Bに定義されているとおりである。
表G-81は、式I-3-Qbの14種の化合物G-81.001~G-81.014を提供し、ここで、R1は、CF3であり、R2は、Etであり、Aは、Nであり、Xは、SO2であり、R6は、表Bに定義されているとおりである。
表G-82は、式I-3-Qbの14種の化合物G-82.001~G-82.014を提供し、ここで、R1は、CF3であり、R2は、Etであり、Aは、CHであり、Xは、Sであり、R6は、表Bに定義されているとおりである。
表G-83は、式I-3-Qbの14種の化合物G-83.001~G-83.014を提供し、ここで、R1は、CF3であり、R2は、Etであり、Aは、CHであり、Xは、SOであり、R6は、表Bに定義されているとおりである。
表G-84は、式I-3-Qbの14種の化合物G-84.001~G-84.014を提供し、ここで、R1は、CF3であり、R2は、Etであり、Aは、CHであり、Xは、SO2であり、R6は、表Bに定義されているとおりである。
表G-85は、式I-3-Qbの14種の化合物G-85.001~G-85.014を提供し、ここで、R1は、CF3であり、R2は、CH2CF3であり、Aは、Nであり、Xは、Sであり、R6は、表Bに定義されているとおりである。
表G-86は、式I-3-Qbの14種の化合物G-86.001~G-86.014を提供し、ここで、R1は、CF3であり、R2は、CH2CF3であり、Aは、Nであり、Xは、SOであり、R6は、表Bに定義されているとおりである。
表G-87は、式I-3-Qbの14種の化合物G-87.001~G-87.014を提供し、ここで、R1は、CF3であり、R2は、CH2CF3であり、Aは、Nであり、Xは、SO2であり、R6は、表Bに定義されているとおりである。
表G-88は、式I-3-Qbの14種の化合物G-88.001~G-88.014を提供し、ここで、R1は、CF3であり、R2は、CH2CF3であり、Aは、CHであり、Xは、Sであり、R6は、表Bに定義されているとおりである。
表G-89は、式I-3-Qbの14種の化合物G-89.001~G-89.014を提供し、ここで、R1は、CF3であり、R2は、CH2CF3であり、Aは、CHであり、Xは、SOであり、R6は、表Bに定義されているとおりである。
表G-90は、式I-3-Qbの14種の化合物G-90.001~G-90.014を提供し、ここで、R1は、CF3であり、R2は、CH2CF3であり、Aは、CHであり、Xは、SO2であり、R6は、表Bに定義されているとおりである。
表G-91は、式I-3-Qbの14種の化合物G-91.001~G-91.014を提供し、ここで、R1は、CF3であり、R2は、CF3であり、Aは、Nであり、Xは、Sであり、R6は、表Bに定義されているとおりである。
表G-92は、式I-3-Qbの14種の化合物G-92.001~G-92.014を提供し、ここで、R1は、CF3であり、R2は、CF3であり、Aは、Nであり、Xは、SOであり、R6は、表Bに定義されているとおりである。
表G-93は、式I-3-Qbの14種の化合物G-93.001~G-93.014を提供し、ここで、R1は、CF3であり、R2は、CF3であり、Aは、Nであり、Xは、SO2であり、R6は、表Bに定義されているとおりである。
表G-94は、式I-3-Qbの14種の化合物G-94.001~G-94.014を提供し、ここで、R1は、CF3であり、R2は、CF3であり、Aは、CHであり、Xは、Sであり、R6は、表Bに定義されているとおりである。
表G-95は、式I-3-Qbの14種の化合物G-95.001~G-95.014を提供し、ここで、R1は、CF3であり、R2は、CF3であり、Aは、CHであり、Xは、SOであり、R6は、表Bに定義されているとおりである。
表G-96は、式I-3-Qbの14種の化合物G-96.001~G-96.014を提供し、ここで、R1は、CF3であり、R2は、CF3であり、Aは、CHであり、Xは、SO2であり、R6は、表Bに定義されているとおりである。
下記の表H-1~H-96は、本発明の特定の化合物をさらに例示する。
「cPr」は、シクロプロピルを表す。
Figure 0007581336000040
表H-1は、式I-3-Qaの7種の化合物H-1.001~H-1.007を提供し、ここで、Aは、Nであり、Xは、Sであり、R1は、CF3であり、R2は、Hであり、R5は、表Dに定義されているとおりである。
表H-2は、式I-3-Qaの7種の化合物H-2.001~H-2.007を提供し、ここで、Aは、Nであり、Xは、Sであり、R1は、CF3であり、R2は、CNであり、R5は、表Dに定義されているとおりである。
表H-3は、式I-3-Qaの7種の化合物H-3.001~H-3.007を提供し、ここで、Aは、Nであり、Xは、Sであり、R1は、CF3であり、R2は、COCH3であり、R5は、表Dに定義されているとおりである。
表H-4は、式I-3-Qaの7種の化合物H-4.001~H-4.007を提供し、ここで、Aは、Nであり、Xは、Sであり、R1は、CF3であり、R2は、cPrであり、R5は、表Dに定義されているとおりである。
表H-5は、式I-3-Qaの7種の化合物H-5.001~H-5.007を提供し、ここで、Aは、Nであり、Xは、Sであり、R1は、CF3であり、R2は、Meであり、R5は、表Dに定義されているとおりである。
表H-6は、式I-3-Qaの7種の化合物H-6.001~H-6.007を提供し、ここで、Aは、Nであり、Xは、Sであり、R1は、CF3であり、R2は、Etであり、R5は、表Dに定義されているとおりである。
表H-7は、式I-3-Qaの7種の化合物H-7.001~H-7.007を提供し、ここで、Aは、Nであり、Xは、Sであり、R1は、CF3であり、R2は、CH2CF3であり、R5は、表Dに定義されているとおりである。
表H-8は、式I-3-Qaの7種の化合物H-8.001~H-8.007を提供し、ここで、Aは、Nであり、Xは、Sであり、R1は、CF3であり、R2は、CF3であり、R5は、表Dに定義されているとおりである。
表H-9は、式I-3-Qaの7種の化合物H-9.001~H-9.007を提供し、ここで、Aは、Nであり、Xは、Sであり、R1は、CH3であり、R2は、Hであり、R5は、表Dに定義されているとおりである。
表H-10は、式I-3-Qaの7種の化合物H-10.001~H-10.007を提供し、ここで、Aは、Nであり、Xは、Sであり、R1は、CH3であり、R2は、CNであり、R5は、表Dに定義されているとおりである。
表H-11は、式I-3-Qaの7種の化合物H-11.001~H-11.007を提供し、ここで、Aは、Nであり、Xは、Sであり、R1は、CH3であり、R2は、COCH3であり、R5は、表Dに定義されているとおりである。
表H-12は、式I-3-Qaの7種の化合物H-12.001~H-12.007を提供し、ここで、Aは、Nであり、Xは、Sであり、R1は、CH3であり、R2は、cPrであり、R5は、表Dに定義されているとおりである。
表H-13は、式I-3-Qaの7種の化合物H-13.001~H-13.007を提供し、ここで、Aは、Nであり、Xは、Sであり、R1は、CH3であり、R2は、Meであり、R5は、表Dに定義されているとおりである。
表H-14は、式I-3-Qaの7種の化合物H-14.001~H-14.007を提供し、ここで、Aは、Nであり、Xは、Sであり、R1は、CH3であり、R2は、Etであり、R5は、表Dに定義されているとおりである。
表H-15は、式I-3-Qaの7種の化合物H-15.001~H-15.007を提供し、ここで、Aは、Nであり、Xは、Sであり、R1は、CH3であり、R2は、CH2CF3であり、R5は、表Dに定義されているとおりである。
表H-16は、式I-3-Qaの7種の化合物H-16.001~H-16.007を提供し、ここで、Aは、Nであり、Xは、Sであり、R1は、CH3であり、R2は、CF3であり、R5は、表Dに定義されているとおりである。
表H-17は、式I-3-Qaの7種の化合物H-17.001~H-17.007を提供し、ここで、Aは、Nであり、Xは、SOであり、R1は、CF3であり、R2は、Hであり、R5は、表Dに定義されているとおりである。
表H-18は、式I-3-Qaの7種の化合物H-18.001~H-18.007を提供し、ここで、Aは、Nであり、Xは、SOであり、R1は、CF3であり、R2は、CNであり、R5は、表Dに定義されているとおりである。
表H-19は、式I-3-Qaの7種の化合物H-19.001~H-19.007を提供し、ここで、Aは、Nであり、Xは、SOであり、R1は、CF3であり、R2は、COCH3であり、R5は、表Dに定義されているとおりである。
表H-20は、式I-3-Qaの7種の化合物H-20.001~H-20.007を提供し、ここで、Aは、Nであり、Xは、SOであり、R1は、CF3であり、R2は、cPrであり、R5は、表Dに定義されているとおりである。
表H-21は、式I-3-Qaの7種の化合物H-21.001~H-21.007を提供し、ここで、Aは、Nであり、Xは、SOであり、R1は、CF3であり、R2は、Meであり、R5は、表Dに定義されているとおりである。
表H-22は、式I-3-Qaの7種の化合物H-22.001~H-22.007を提供し、ここで、Aは、Nであり、Xは、SOであり、R1は、CF3であり、R2は、Etであり、R5は、表Dに定義されているとおりである。
表H-23は、式I-3-Qaの7種の化合物H-23.001~H-23.007を提供し、ここで、Aは、Nであり、Xは、SOであり、R1は、CF3であり、R2は、CH2CF3であり、R5は、表Dに定義されているとおりである。
表H-24は、式I-3-Qaの7種の化合物H-24.001~H-24.007を提供し、ここで、Aは、Nであり、Xは、SOであり、R1は、CF3であり、R2は、CF3であり、R5は、表Dに定義されているとおりである。
表H-25は、式I-3-Qaの7種の化合物H-25.001~H-25.007を提供し、ここで、Aは、Nであり、Xは、SOであり、R1は、CH3であり、R2は、Hであり、R5は、表Dに定義されているとおりである。
表H-26は、式I-3-Qaの7種の化合物H-26.001~H-26.007を提供し、ここで、Aは、Nであり、Xは、SOであり、R1は、CH3であり、R2は、CNであり、R5は、表Dに定義されているとおりである。
表H-27は、式I-3-Qaの7種の化合物H-27.001~H-27.007を提供し、ここで、Aは、Nであり、Xは、SOであり、R1は、CH3であり、R2は、COCH3であり、R5は、表Dに定義されているとおりである。
表H-28は、式I-3-Qaの7種の化合物H-28.001~H-28.007を提供し、ここで、Aは、Nであり、Xは、SOであり、R1は、CH3であり、R2は、cPrであり、R5は、表Dに定義されているとおりである。
表H-29は、式I-3-Qaの7種の化合物H-29.001~H-29.007を提供し、ここで、Aは、Nであり、Xは、SOであり、R1は、CH3であり、R2は、Meであり、R5は、表Dに定義されているとおりである。
表H-30は、式I-3-Qaの7種の化合物H-30.001~H-30.007を提供し、ここで、Aは、Nであり、Xは、SOであり、R1は、CH3であり、R2は、Etであり、R5は、表Dに定義されているとおりである。
表H-31は、式I-3-Qaの7種の化合物H-31.001~H-31.007を提供し、ここで、Aは、Nであり、Xは、SOであり、R1は、CH3であり、R2は、CH2CF3であり、R5は、表Dに定義されているとおりである。
表H-32は、式I-3-Qaの7種の化合物H-32.001~H-32.007を提供し、ここで、Aは、Nであり、Xは、SOであり、R1は、CH3であり、R2は、CF3であり、R5は、表Dに定義されているとおりである。
表H-33は、式I-3-Qaの7種の化合物H-33.001~H-33.007を提供し、ここで、Aは、Nであり、Xは、SO2であり、R1は、CF3であり、R2は、Hであり、R5は、表Dに定義されているとおりである。
表H-34は、式I-3-Qaの7種の化合物H-34.001~H-34.007を提供し、ここで、Aは、Nであり、Xは、SO2であり、R1は、CF3であり、R2は、CNであり、R5は、表Dに定義されているとおりである。
表H-35は、式I-3-Qaの7種の化合物H-35.001~H-35.007を提供し、ここで、Aは、Nであり、Xは、SO2であり、R1は、CF3であり、R2は、COCH3であり、R5は、表Dに定義されているとおりである。
表H-36は、式I-3-Qaの7種の化合物H-36.001~H-36.007を提供し、ここで、Aは、Nであり、Xは、SO2であり、R1は、CF3であり、R2は、cPrであり、R5は、表Dに定義されているとおりである。
表H-37は、式I-3-Qaの7種の化合物H-37.001~H-37.007を提供し、ここで、Aは、Nであり、Xは、SO2であり、R1は、CF3であり、R2は、Meであり、R5は、表Dに定義されているとおりである。
表H-38は、式I-3-Qaの7種の化合物H-38.001~H-38.007を提供し、ここで、Aは、Nであり、Xは、SO2であり、R1は、CF3であり、R2は、Etであり、R5は、表Dに定義されているとおりである。
表H-39は、式I-3-Qaの7種の化合物H-39.001~H-39.007を提供し、ここで、Aは、Nであり、Xは、SO2であり、R1は、CF3であり、R2は、CH2CF3であり、R5は、表Dに定義されているとおりである。
表H-40は、式I-3-Qaの7種の化合物H-40.001~H-40.007を提供し、ここで、Aは、Nであり、Xは、SO2であり、R1は、CF3であり、R2は、CF3であり、R5は、表Dに定義されているとおりである。
表H-41は、式I-3-Qaの7種の化合物H-41.001~H-41.007を提供し、ここで、Aは、Nであり、Xは、SO2であり、R1は、CH3であり、R2は、Hであり、R5は、表Dに定義されているとおりである。
表H-42は、式I-3-Qaの7種の化合物H-42.001~H-42.007を提供し、ここで、Aは、Nであり、Xは、SO2であり、R1は、CH3であり、R2は、CNであり、R5は、表Dに定義されているとおりである。
表H-43は、式I-3-Qaの7種の化合物H-43.001~H-43.007を提供し、ここで、Aは、Nであり、Xは、SO2であり、R1は、CH3であり、R2は、COCH3であり、R5は、表Dに定義されているとおりである。
表H-44は、式I-3-Qaの7種の化合物H-44.001~H-44.007を提供し、ここで、Aは、Nであり、Xは、SO2であり、R1は、CH3であり、R2は、cPrであり、R5は、表Dに定義されているとおりである。
表H-45は、式I-3-Qaの7種の化合物H-45.001~H-45.007を提供し、ここで、Aは、Nであり、Xは、SO2であり、R1は、CH3であり、R2は、Meであり、R5は、表Dに定義されているとおりである。
表H-46は、式I-3-Qaの7種の化合物H-46.001~H-46.007を提供し、ここで、Aは、Nであり、Xは、SO2であり、R1は、CH3であり、R2は、Etであり、R5は、表Dに定義されているとおりである。
表H-47は、式I-3-Qaの7種の化合物H-47.001~H-47.007を提供し、ここで、Aは、Nであり、Xは、SO2であり、R1は、CH3であり、R2は、CH2CF3であり、R5は、表Dに定義されているとおりである。
表H-48は、式I-3-Qaの7種の化合物H-48.001~H-48.007を提供し、ここで、Aは、Nであり、Xは、SO2であり、R1は、CH3であり、R2は、CF3であり、R5は、表Dに定義されているとおりである。
表H-49は、式I-3-Qaの7種の化合物H-49.001~H-49.007を提供し、ここで、Aは、CHであり、Xは、Sであり、R1は、CF3であり、R2は、Hであり、R5は、表Dに定義されているとおりである。
表H-50は、式I-3-Qaの7種の化合物H-50.001~H-50.007を提供し、ここで、Aは、CHであり、Xは、Sであり、R1は、CF3であり、R2は、CNであり、R5は、表Dに定義されているとおりである。
表H-51は、式I-3-Qaの7種の化合物H-51.001~H-51.007を提供し、ここで、Aは、CHであり、Xは、Sであり、R1は、CF3であり、R2は、COCH3であり、R5は、表Dに定義されているとおりである。
表H-52は、式I-3-Qaの7種の化合物H-52.001~H-52.007を提供し、ここで、Aは、CHであり、Xは、Sであり、R1は、CF3であり、R2は、cPrであり、R5は、表Dに定義されているとおりである。
表H-53は、式I-3-Qaの7種の化合物H-53.001~H-53.007を提供し、ここで、Aは、CHであり、Xは、Sであり、R1は、CF3であり、R2は、Meであり、R5は、表Dに定義されているとおりである。
表H-54は、式I-3-Qaの7種の化合物H-54.001~H-54.007を提供し、ここで、Aは、CHであり、Xは、Sであり、R1は、CF3であり、R2は、Etであり、R5は、表Dに定義されているとおりである。
表H-55は、式I-3-Qaの7種の化合物H-55.001~H-55.007を提供し、ここで、Aは、CHであり、Xは、Sであり、R1は、CF3であり、R2は、CH2CF3であり、R5は、表Dに定義されているとおりである。
表H-56は、式I-3-Qaの7種の化合物H-56.001~H-56.007を提供し、ここで、Aは、CHであり、Xは、Sであり、R1は、CF3であり、R2は、CF3であり、R5は、表Dに定義されているとおりである。
表H-57は、式I-3-Qaの7種の化合物H-57.001~H-57.007を提供し、ここで、Aは、CHであり、Xは、Sであり、R1は、CH3であり、R2は、Hであり、R5は、表Dに定義されているとおりである。
表H-58は、式I-3-Qaの7種の化合物H-58.001~H-58.007を提供し、ここで、Aは、CHであり、Xは、Sであり、R1は、CH3であり、R2は、CNであり、R5は、表Dに定義されているとおりである。
表H-59は、式I-3-Qaの7種の化合物H-59.001~H-59.007を提供し、ここで、Aは、CHであり、Xは、Sであり、R1は、CH3であり、R2は、COCH3であり、R5は、表Dに定義されているとおりである。
表H-60は、式I-3-Qaの7種の化合物H-60.001~H-60.007を提供し、ここで、Aは、CHであり、Xは、Sであり、R1は、CH3であり、R2は、cPrであり、R5は、表Dに定義されているとおりである。
表H-61は、式I-3-Qaの7種の化合物H-61.001~H-61.007を提供し、ここで、Aは、CHであり、Xは、Sであり、R1は、CH3であり、R2は、Meであり、R5は、表Dに定義されているとおりである。
表H-62は、式I-3-Qaの7種の化合物H-62.001~H-62.007を提供し、ここで、Aは、CHであり、Xは、Sであり、R1は、CH3であり、R2は、Etであり、R5は、表Dに定義されているとおりである。
表H-63は、式I-3-Qaの7種の化合物H-63.001~H-63.007を提供し、ここで、Aは、CHであり、Xは、Sであり、R1は、CH3であり、R2は、CH2CF3であり、R5は、表Dに定義されているとおりである。
表H-64は、式I-3-Qaの7種の化合物H-64.001~H-64.007を提供し、ここで、Aは、CHであり、Xは、Sであり、R1は、CH3であり、R2は、CF3であり、R5は、表Dに定義されているとおりである。
表H-65は、式I-3-Qaの7種の化合物H-65.001~H-65.007を提供し、ここで、Aは、CHであり、Xは、SOであり、R1は、CF3であり、R2は、Hであり、R5は、表Dに定義されているとおりである。
表H-66は、式I-3-Qaの7種の化合物H-66.001~H-66.007を提供し、ここで、Aは、CHであり、Xは、SOであり、R1は、CF3であり、R2は、CNであり、R5は、表Dに定義されているとおりである。
表H-67は、式I-3-Qaの7種の化合物H-67.001~H-67.007を提供し、ここで、Aは、CHであり、Xは、SOであり、R1は、CF3であり、R2は、COCH3であり、R5は、表Dに定義されているとおりである。
表H-68は、式I-3-Qaの7種の化合物H-68.001~H-68.007を提供し、ここで、Aは、CHであり、Xは、SOであり、R1は、CF3であり、R2は、cPrであり、R5は、表Dに定義されているとおりである。
表H-69は、式I-3-Qaの7種の化合物H-69.001~H-69.007を提供し、ここで、Aは、CHであり、Xは、SOであり、R1は、CF3であり、R2は、Meであり、R5は、表Dに定義されているとおりである。
表H-70は、式I-3-Qaの7種の化合物H-70.001~H-70.007を提供し、ここで、Aは、CHであり、Xは、SOであり、R1は、CF3であり、R2は、Etであり、R5は、表Dに定義されているとおりである。
表H-71は、式I-3-Qaの7種の化合物H-71.001~H-71.007を提供し、ここで、Aは、CHであり、Xは、SOであり、R1は、CF3であり、R2は、CH2CF3であり、R5は、表Dに定義されているとおりである。
表H-72は、式I-3-Qaの7種の化合物H-72.001~H-72.007を提供し、ここで、Aは、CHであり、Xは、SOであり、R1は、CF3であり、R2は、CF3であり、R5は、表Dに定義されているとおりである。
表H-73は、式I-3-Qaの7種の化合物H-73.001~H-73.007を提供し、ここで、Aは、CHであり、Xは、SOであり、R1は、CH3であり、R2は、Hであり、R5は、表Dに定義されているとおりである。
表H-74は、式I-3-Qaの7種の化合物H-74.001~H-74.007を提供し、ここで、Aは、CHであり、Xは、SOであり、R1は、CH3であり、R2は、CNであり、R5は、表Dに定義されているとおりである。
表H-75は、式I-3-Qaの7種の化合物H-75.001~H-75.007を提供し、ここで、Aは、CHであり、Xは、SOであり、R1は、CH3であり、R2は、COCH3であり、R5は、表Dに定義されているとおりである。
表H-76は、式I-3-Qaの7種の化合物H-76.001~H-76.007を提供し、ここで、Aは、CHであり、Xは、SOであり、R1は、CH3であり、R2は、cPrであり、R5は、表Dに定義されているとおりである。
表H-77は、式I-3-Qaの7種の化合物H-77.001~H-77.007を提供し、ここで、Aは、CHであり、Xは、SOであり、R1は、CH3であり、R2は、Meであり、R5は、表Dに定義されているとおりである。
表H-78は、式I-3-Qaの7種の化合物H-78.001~H-78.007を提供し、ここで、Aは、CHであり、Xは、SOであり、R1は、CH3であり、R2は、Etであり、R5は、表Dに定義されているとおりである。
表H-79は、式I-3-Qaの7種の化合物H-79.001~H-79.007を提供し、ここで、Aは、CHであり、Xは、SOであり、R1は、CH3であり、R2は、CH2CF3であり、R5は、表Dに定義されているとおりである。
表H-80は、式I-3-Qaの7種の化合物H-80.001~H-80.007を提供し、ここで、Aは、CHであり、Xは、SOであり、R1は、CH3であり、R2は、CF3であり、R5は、表Dに定義されているとおりである。
表H-81は、式I-3-Qaの7種の化合物H-81.001~H-81.007を提供し、ここで、Aは、CHであり、Xは、SO2であり、R1は、CF3であり、R2は、Hであり、R5は、表Dに定義されているとおりである。
表H-82は、式I-3-Qaの7種の化合物H-82.001~H-82.007を提供し、ここで、Aは、CHであり、Xは、SO2であり、R1は、CF3であり、R2は、CNであり、R5は、表Dに定義されているとおりである。
表H-83は、式I-3-Qaの7種の化合物H-83.001~H-83.007を提供し、ここで、Aは、CHであり、Xは、SO2であり、R1は、CF3であり、R2は、COCH3であり、R5は、表Dに定義されているとおりである。
表H-84は、式I-3-Qaの7種の化合物H-84.001~H-84.007を提供し、ここで、Aは、CHであり、Xは、SO2であり、R1は、CF3であり、R2は、cPrであり、R5は、表Dに定義されているとおりである。
表H-85は、式I-3-Qaの7種の化合物H-85.001~H-85.007を提供し、ここで、Aは、CHであり、Xは、SO2であり、R1は、CF3であり、R2は、Meであり、R5は、表Dに定義されているとおりである。
表H-86は、式I-3-Qaの7種の化合物H-86.001~H-86.007を提供し、ここで、Aは、CHであり、Xは、SO2であり、R1は、CF3であり、R2は、Etであり、R5は、表Dに定義されているとおりである。
表H-87は、式I-3-Qaの7種の化合物H-87.001~H-87.007を提供し、ここで、Aは、CHであり、Xは、SO2であり、R1は、CF3であり、R2は、CH2CF3であり、R5は、表Dに定義されているとおりである。
表H-88は、式I-3-Qaの7種の化合物H-88.001~H-88.007を提供し、ここで、Aは、CHであり、Xは、SO2であり、R1は、CF3であり、R2は、CF3であり、R5は、表Dに定義されているとおりである。
表H-89は、式I-3-Qaの7種の化合物H-89.001~H-89.007を提供し、ここで、Aは、CHであり、Xは、SO2であり、R1は、CH3であり、R2は、Hであり、R5は、表Dに定義されているとおりである。
表H-90は、式I-3-Qaの7種の化合物H-90.001~H-90.007を提供し、ここで、Aは、CHであり、Xは、SO2であり、R1は、CH3であり、R2は、CNであり、R5は、表Dに定義されているとおりである。
表H-91は、式I-3-Qaの7種の化合物H-91.001~H-91.007を提供し、ここで、Aは、CHであり、Xは、SO2であり、R1は、CH3であり、R2は、COCH3であり、R5は、表Dに定義されているとおりである。
表H-92は、式I-3-Qaの7種の化合物H-92.001~H-92.007を提供し、ここで、Aは、CHであり、Xは、SO2であり、R1は、CH3であり、R2は、cPrであり、R5は、表Dに定義されているとおりである。
表H-93は、式I-3-Qaの7種の化合物H-93.001~H-93.007を提供し、ここで、Aは、CHであり、Xは、SO2であり、R1は、CH3であり、R2は、Meであり、R5は、表Dに定義されているとおりである。
表H-94は、式I-3-Qaの7種の化合物H-94.001~H-94.007を提供し、ここで、Aは、CHであり、Xは、SO2であり、R1は、CH3であり、R2は、Etであり、R5は、表Dに定義されているとおりである。
表H-95は、式I-3-Qaの7種の化合物H-95.001~H-95.007を提供し、ここで、Aは、CHであり、Xは、SO2であり、R1は、CH3であり、R2は、CH2CF3であり、R5は、表Dに定義されているとおりである。
表H-96は、式I-3-Qaの7種の化合物H-96.001~H-96.007を提供し、ここで、Aは、CHであり、Xは、SO2であり、R1は、CH3であり、R2は、CF3であり、R5は、表Dに定義されているとおりである。
本発明に係る式Iの化合物は、低施用量でも、有害生物防除分野における予防的及び/又は治療的に価値の高い有効成分であり、これらは、きわめて好ましい殺生物範囲を有すると共に、温血種、魚類及び植物類による良好な耐性を示す。本発明に係る有効成分は、通常、感受性であるが、耐性でもある昆虫又は代表的なダニ目などの動物有害生物の成長段階のすべて又は各々に対して作用する。本発明に係る有効成分の殺虫活性又は殺ダニ活性は、それ自体、直接的に顕在化(すなわち直後又は一定時間が経過した後にのみ(例えば、脱皮中)生じる有害生物の駆除)されるか、又は間接的に顕在化(例えば、産卵及び/又は孵化率の低下、少なくとも50~60%の駆除割合(死亡率)に相当する良好な活性)され得る。
上記の動物有害生物の例は、以下のとおりである:
ダニ目(Acarina)から、例えばアカリツス属(Acalitus spp)、アカルス属(Aculus spp)、アカリカルス属(Acaricalus spp)、アセリア属(Aceria spp)、アシブトコナダニ(Acarus siro)、キララマダニ属(Amblyomma spp.)、ナガヒメダニ属(Argas spp.)、ウシマダニ属(Boophilus spp.)、ブレビパルパス属(Brevipalpus spp.)、ブリオビア属(Bryobia spp)、カリピトリメルス属(Calipitrimerus spp.)、ショクヒヒゼンダニ属(Chorioptes spp.)、ワクモ(Dermanyssus gallinae)、デルマトファゴイデス属(Dermatophagoides spp)、エオテトラニカス属(Eotetranychus spp)、エリオフィエス属(Eriophyes spp.)、ヘミタルソネムス属(Hemitarsonemus spp)、イボマダニ属(Hyalomma spp.)、タネガタマダニ属(Ixodes spp.)、オリゴニクス属(Olygonychus spp)、カズキダニ属(Ornithodoros spp.)、ポリファゴタルソネ・ラタス(Polyphagotarsone latus)、パノニクス属(Panonychus spp.)、ミカンサビダニ(Phyllocoptruta oleivora)、フィトネムス属(Phytonemus spp)、ポリファゴタロソネムス属(Polyphagotarsonemus spp)、キュウセンヒゼンダニ属(Psoroptes spp.)、コイタマダニ属(Rhipicephalus spp.)、リゾグリフス属(Rhizoglyphus spp.)、サルコプテス属(Sarcoptes spp.)、ステネオタルソネムス属(Steneotarsonemus spp)、ホコリダニ属(Tarsonemus spp.)及びテトラニクス属(Tetranychus spp.);
シラミ目(Anoplura)から、例えばブタジラミ属(Haematopinus spp.)、リノグナツス属(Linognathus spp.)、ペディクルス属(Pediculus spp.)、ペムフィグス属(Pemphigus spp.)及びフィロキセラ属(Phylloxera spp.);
鞘翅目(Coleoptera)から、例えばアグリオテス属(Agriotes spp.)、アンフィマロン・マジャレ(Amphimallon majale)、セマダラコガネ(Anomala orientalis)、アントノムス属(Anthonomus spp.)、マグソコガネ属(Aphodius spp)、アスチラス・アトロマクラタス(Astylus atromaculatus)、アテニウス属(Ataenius spp)、アトマリア・リネアリス(Atomaria linearis)、カエトクネマ・チビアリス(Chaetocnema tibialis)、セロトマ属(Cerotoma spp)、コノデルス属(Conoderus spp)、コスモポリテス属(Cosmopolites spp.)、コチニス・ニチダ(Cotinis nitida)、クルクリオ属(Curculio spp.)、シクロセファラ属(Cyclocephala spp)、デルメステス属(Dermestes spp.)、ジアブロチカ属(Diabrotica spp.)、アブデルスツノカブトムシ(Diloboderus abderus)、エピラクナ属(Epilachna spp.)、エレムヌス属(Eremnus spp.)、ヘテロニクス・アラトル(Heteronychus arator)、コーヒーノミキクイムシ(Hypothenemus hampei)、ラグリア・フイロサ(Lagria vilosa)、コロラドハムシ(Leptinotarsa decemLineata)、リッソルホプトルス属(Lissorhoptrus spp.)、リオゲニス属(Liogenys spp)、マエコラスピス属(Maecolaspis spp)、アカビロウドコガネ(Maladera castanea)、メガセリス属(Megascelis spp)、メリゲテス・アエネウス(Melighetes aeneus)、メロロンタ属(Melolontha spp.)、マイオクロウス・アルマツス(Myochrous armatus)、オリカエフィルス属(Orycaephilus spp.)、オチオリンクス属(Otiorhynchus spp.)、フィロファガ属(Phyllophaga spp)、フリクチヌス属(Phlyctinus spp.)、ポピリア属(Popillia spp.)、プシリオデス属(Psylliodes spp.)、リソマツス・アウブチリス(Rhyssomatus aubtilis)、リゾペルタ属(Rhizopertha spp.)、コガネムシ科(Scarabeidae)、シトフィルス属(Sitophilus spp.)、シトトルガ属(Sitotroga spp.)、ソマチカス属(Somaticus spp)、スフェノフォラス属(Sphenophorus spp)、ステルネクススブ・シグナツス(Sternechus subsignatus)、ゴミムシダマシ属(Tenebrio spp.)、トリボリウム属(Tribolium spp.)及びトロゴデルマ属(Trogoderma spp.);
双翅目(Diptera)から、例えばヤブカ属(Aedes spp.)、ハマダラカ属(Anopheles spp)、アンテリゴナ・ソカタ(Antherigona soccata)、オリーブミバエ(Bactrocea oleae)、ビビオ・ホルツラヌス(Bibio hortulanus)、ブラジシア属(Bradysia spp)、クロバエ(Calliphora erythrocephala)、セラチチス属(Ceratitis spp.)、オビキンバエ属(Chrysomyia spp.)、イエカ属(Culex spp.)、クテレブラ属(Cuterebra spp.)、ダクス属(Dacus spp.)、デリア属(Delia spp)、キイロショウジョウバエ(Drosophila melanogaster)、ヒメイエバエ属(Fannia spp.)、ガストロフィラス属(Gastrophilus spp.)、ゲオミザ・トリプンクタタ(Geomyza tripunctata)、ツェツェバエ属(Glossina spp.)、ヒフバエ属(Hypoderma spp.)、ヒッポボスカ属(Hyppobosca spp.)、リリオミザ属(Liriomyza spp.)、キンバエ属(Lucilia spp.)、メラナグロミザ属(Melanagromyza spp.)、イエバエ属(Musca spp.)、ヒツジバエ属(Oestrus spp.)、オルセオリア属(Orseolia spp.)、キモグリバエ(Oscinella frit)、アカザモグリハナバエ(Pegomyia hyoscyami)、ホルビア属(Phorbia spp.)、ラゴレチス属(Rhagoletis spp)、リベリア・クアドリファシアタ(Rivelia quadrifasciata)、スカテラ属(Scatella spp)、キノコバエ属(Sciara spp.)、サシバエ属(Stomoxys spp.)、アブ属(Tabanus spp.)、タニア属(Tannia spp.)及びガガンボ属(Tipula spp.);
半翅目(Hemiptera)から、例えばアカントコリス・スカブラトル(Acanthocoris scabrator)、アクロステルナム属(Acrosternum spp)、ウススジカスミカメムシ(Adelphocoris lineolatus)、アンブリペルタ・ニチダ(Amblypelta nitida)、バチコエリア・タラシナ(Bathycoelia thalassina)、ブリサス属(Blissus spp)、トコジラミ属(Cimex spp.)、クラビグララ・トメントシコリス(Clavigralla tomentosicollis)、クレオンチアデス属(Creontiades spp)、ジスタンチエラ・テオブロマ(Distantiella theobroma)、ジケロプス・フルカツス(Dichelops furcatus)、ジスデルクス属(Dysdercus spp.)、エデッサ属(Edessa spp)、ユースキスツス属(Euschistus spp.)、ヒメナガメ(Eurydema pulchrum)、エウリガステル属(Eurygaster spp.)、クサギカメムシ(Halyomorpha halys)、ホルシアス・ノビレルス(Horcias nobilellus)、レプトコリサ属(Leptocorisa spp.)、メクラカメムシ属(Lygus spp)、マルガロデス属(Margarodes spp)、ムルガンチア・ヒストリオニク(Murgantia histrionic)、ネオメガロトムス属(Neomegalotomus spp)、タバコカスミカメムシ(Nesidiocoris tenuis)、ネザラ属(Nezara spp.)、ニシウス・シムランス(Nysius simulans)、オエバルス・インスラリス(Oebalus insularis)、ピエスマ属(Piesma spp.)、ピエゾドルス属(Piezodorus spp)、ロドニウス属(Rhodnius spp.)、サールベルゲラ・シングラリス(Sahlbergella singularis)、スカプトコリス・カスタネア(Scaptocoris castanea)、スコチノファラ属(Scotinophara spp.)、チアンタ属(Thyanta spp)、サシガメ属(Triatoma spp.)、ヴァチガ・イルデンス(Vatiga illudens);
アシルトシウム・ピスム(Acyrthosium pisum)、アダルゲス属(Adalges spp)、アガリアナ・エンシゲラ(Agalliana ensigera)、アゴノセナ・タルギオニイ(Agonoscena targionii)、アレウロジクス属(Aleurodicus spp)、アレウロカンツス属(Aleurocanthus spp)、アレウロロブス・バロデンシス(Aleurolobus barodensis)、アレウロトリクス・フロッコスス(Aleurothrixus floccosus)、アレイロデス・ブラシカエ(Aleyrodes brassicae)、フタテンミドリヨコバイ(Amarasca biguttula)、アムリトズス・アトキンソニ(Amritodus atkinsoni)、アノニジエラ属(Aonidiella spp.)、アリマキ科(Aphididae)、ワタアブラムシ属(Aphis spp.)、アスピジオツス属(Aspidiotus spp.)、ジャガイモヒゲナガアブラムシ(Aulacorthum solani)、バクテリセラ・コッケレリ(Bactericera cockerelli)、ベミシア属(Bemisia spp)、ブラキカウズス属(Brachycaudus spp)、ダイコンアブラムシ(Brevicoryne brassicae)、カコプシラ属(Cacopsylla spp)、ニンジンフタオアブラムシ(Cavariella aegopodii Scop.)、セロプラスタ属(Ceroplaster spp.)、クリソムファルス・アオニジウム(Chrysomphalus aonidium)、オンシツマルカイガラムシ(Chrysomphalus dictyospermi)、シカデラ属(Cicadella spp)、シロオオヨコバイ(Cofana spectra)、クリプトミズス属(Cryptomyzus spp)、シカデュリナ属(Cicadulina spp)、ヒラタカタカイガラムシ(Coccus hesperidum)、ダルブルス・マイジス(Dalbulus maidis)、ジアレウロデス属(Dialeurodes spp)、ミカンキジラミ(Diaphorina citri)、ジウラフィス・ノキシア(Diuraphis noxia)、ジサフィス属(Dysaphis spp)、エンポアスカ属(Empoasca spp.)、リンゴワタムシ(Eriosoma larigerum)、エリスロネウラ属(Erythroneura spp.)、ガスカルジア属(Gascardia spp.)、グリカスピス・ブリンブレコンベイ(Glycaspis brimblecombei)、ヒアダフィス・シュードブラシカエ(Hyadaphis pseudobrassicae)、ヒアロプテルス属(Hyalopterus spp)、ヒペロミズス・パリズス(Hyperomyzus pallidus)、リュウガンズキンヨコバイ(Idioscopus clypealis)、ヤコビアスカ・リビカ(Jacobiasca lybica)、ラオデルファクス属(Laodelphax spp.)、ミズキカタカイガラムシ(Lecanium corni)、レピドサフェス属(Lepidosaphes spp.)、ニセダイコンアブラムシ(Lopaphis erysimi)、リオゲニス・マイジス(Lyogenys maidis)、マクロシフム属(Macrosiphum spp.)、マハナルヴァ属(Mahanarva spp)、メタカルファ・プルイノサ(Metcalfa pruinosa)、ムギウスイロアブラムシ(Metopolophium dirhodum)、ミンズス・クルズス(Myndus crudus)、ミズス属(Myzus spp.)、ネオトキソプテラ属(Neotoxoptera sp)、ツマグロヨコバイ属(Nephotettix spp.)、ニラパルバタ属(Nilaparvata spp.)、ナシミドリオオアブラムシ(Nippolachnus piri Mats)、オドナスピス・ルタエ(Odonaspis ruthae)、オレグマ・ラニゲラ・ゼンター(Oregma lanigera Zehnter)、ヤマモモコナジラミ(Parabemisia myricae)、パラトリオザ・コッケレリ(Paratrioza cockerelli)、パルラトリア属(Parlatoria spp.)、ペムフィグス属(Pemphigus spp.)、トウモロコシウンカ(Peregrinus maidis)、ペルキンシエラ属(Perkinsiella spp)、ホップイボアブラムシ(Phorodon humuli)、フィロキセラ属(Phylloxera spp)、プラノコッカス属(Planococcus spp.)、シューダウラカスピス属(Pseudaulacaspis spp.)、シュードコッカス属(Pseudococcus spp.)、ワタノミハムシ(Pseudatomoscelis seriatus)、プシラ属(Psylla spp.)、プルビナリア・エチオピカ(Pulvinaria aethiopica)、クアドラズピジオツス属(Quadraspidiotus spp.)、クエサダ・ギガス(Quesada gigas)、イナズマヨコバイ(Recilia dorsalis)、ロパロシフム属(Rhopalosiphum spp.)、サイセチア属(Saissetia spp.)、スカホイデウス属(Scaphoideus spp.)、スチザフィス属(Schizaphis spp.)、シトビオン属(Sitobion spp.)、セジロウンカ(Sogatella furcifera)、スピシスチルス・フェスチヌス(Spissistilus festinus)、タロファガス・プロセルピナ(Tarophagus Proserpina)、トキソプテラ属(Toxoptera spp)、トリアレウロデス属(Trialeurodes spp)、トリジスカス・スポロボリ(Tridiscus sporoboli)、トリオニムス属(Trionymus spp)、ミカントガリキジラミ(Trioza erytreae)、ニセヤノネカイガラムシ(Unaspis citri)、ジギナ・フラミゲラ(Zygina flammigera)、ジギニジア・スクテラリス(Zyginidia scutellaris);
膜翅目(Hymenoptera)から、例えばヒメハキリアリ属(Acromyrmex)、アルゲ属(Arge spp)、ハキリアリ属(Atta spp.)、セフス属(Cephus spp.)、ジプリオン属(Diprion spp.)、マツハバチ科(Diprionidae)、シマトウヒハバチ(Gilpinia polytoma)、ホプロカンパ属(Hoplocampa spp.)、ケアリ属(Lasius spp.)、イエヒメアリ(Monomorium pharaonis)、ネオジプリオン属(Neodiprion spp.)、シュウカクアリ属(Pogonomyrmex spp)、スレノプシス・インビクタ(Slenopsis invicta)、ソレノプシス属(Solenopsis spp.)及びベスパ属(Vespa spp.);
等翅目(Isoptera)から、例えばコプトテルメス属(Coptotermes spp)、コルニテルネス・クムランス(Corniternes cumulans)、インシシテルメス属(Incisitermes spp)、マクロテルメス属(Macrotermes spp)、マストテルメス属(Mastotermes spp)、ミクロテルメス属(Microtermes spp)、ヤマトシロアリ属(Reticulitermes spp.);ソレノプシス・ゲミナテ(Solenopsis geminate)
鱗翅目(Lepidoptera)から、例えばアクレリス属(Acleris spp.)、アドキソフィエス属(Adoxophyes spp.)、アエゲリア属(Aegeria spp.)、アグロティス属(Agrotis spp.)、アラバマ・アルギラセア(Alabama argillaceae)、アミロイス属(Amylois spp.)、アンチカルシア・ゲマタリス(Anticarsia gemmatalis)、アルチップス属(Archips spp.)、アルギレスチア属(Argyresthia spp)、アルギロタエニア属(Argyrotaenia spp.)、アウトグラファ属(Autographa spp.)、ブックラトリクス・ツルベリエラ(Bucculatrix thurberiella)、アフリカズイム(Busseola fusca)、スジマラダメイガ(Cadra cautella)、モモシンクイガ(Carposina nipponensis)、チロ属(Chilo spp.)、コリストネウラ属(Choristoneura spp.)、クリソテウチア・トピアリア(Chrysoteuchia topiaria)、ブドウホソハマキ(Clysia ambiguella)、クナファロクロシス属(Cnaphalocrocis spp.)、クネファシア属(Cnephasia spp.)、コチリス属(Cochylis spp.)、コレオフォラ属(Coleophora spp.)、コリアス・レスビア(Colias lesbia)、ワタアカキリバ(Cosmophila flava)、クラムバス属(Crambus spp)、ケブカノメイガ(Crocidolomia binotalis)、クリプトフレビア・ロイコトレタ(Cryptophlebia leucotreta)、シダリマ・ペルスペクタリス(Cydalima perspectalis)、シジア属(Cydia spp.)、ジアファニア・ペルスペクタリス(Diaphania perspectalis)、ジアトラエア属(Diatraea spp.)、ジパロプシス・カスタネア(Diparopsis castanea)、エアリアス属(Earias spp.)、エルダナ・サッカリナ(Eldana saccharina)、エフェスチア属(Ephestia spp.)、エピノチア属(Epinotia spp)、エスチグメネ・アクレア(Estigmene acrea)、エチエラ・ジンキネラ(Etiella zinckinella)、ユーコスマ属(Eucosma spp.)、ブドウホソハマキ(Eupoecilia ambiguella)、ユープロクチス属(Euproctis spp.)、ユークソア属(Euxoa spp.)、フェルチア・ジャクリフェリア(Feltia jaculiferia)、グラホリタ属(Grapholita spp.)、ヘディア・ヌビフェラナ(Hedya nubiferana)、ヘリオティス属(Heliothis spp.)、ハイマダラノメイガ(Hellula undalis)、ヘルペトグラマ属(Herpetogramma spp)、アメリカシロヒトリ(Hyphantria cunea)、ケイフェリア・リコペルシセラ(Keiferia lycopersicella)、モロコシマダラメイガ(Lasmopalpus lignosellus)、レウコプテラ・シテラ(Leucoptera scitella)、リトコレチス属(Lithocollethis spp.)、ホソバヒメハマキ(Lobesia botrana)、ロキソステゲ・ビフィダリス(Loxostege bifidalis)、リマントリア属(Lymantria spp.)、リオネチア属(Lyonetia spp.)、マラコソマ属(Malacosoma spp.)、ヨトウガ(Mamestra brassicae)、タバコスズメガ(Manduca sexta)、ミチムナ属(Mythimna spp)、ノクツア属(Noctua spp)、オペロフテラ属(Operophtera spp.)、オルニオデス・インディカ(Orniodes indica)、アワノメイガ(Ostrinia nubilalis)、パメネ属(Pammene spp.)、パンデミス属(Pandemis spp.)、マツキリガ(Panolis flammea)、パパイペマ・ネブリス(Papaipema nebris)、ワタアカミムシ(Pectinophora gossypiela)、コーヒーハモグリバエ(Perileucoptera coffeella)、シューダレチア・ウニプンクタ(Pseudaletia unipuncta)、ジャガイモガ(Phthorimaea operculella)、モンシロチョウ(Pieris rapae)、ピエリス属(Pieris spp.)、コナガ(Plutella xylostella)、プレイス属(Prays spp.)、シュードプルシア属(Pseudoplusia spp)、ラキプルシア・ヌ(Rachiplusia nu)、リチア・アルビコスタ(Richia albicosta)、シルポファガ属(Scirpophaga spp.)、セサミア属(Sesamia spp.)、スパルガノチス属(Sparganothis spp.)、スポドプテラ属(Spodoptera spp.)、シレプタ・デロガテ(Sylepta derogate)、シナンテドン属(Synanthedon spp.)、タウメトポエア属(Thaumetopoea spp.)、トルトリックス属(Tortrix spp.)、イラクサギンウワバ(Trichoplusia ni)、トマトキバガ(Tuta absoluta)及びスガ属(Yponomeuta spp.);
食毛目(Mallophaga)から、例えばダマリネア属(Damalinea spp.)及びケモノハジラミ属(Trichodectes spp.);
直翅目(Orthoptera)から、例えばゴキブリ属(Blatta spp.)、チャバネゴキブリ属(Blattella spp.)、ケラ属(Gryllotalpa spp.)、マデラゴキブリ(Leucophaea maderae)、トノサマバッタ属(Locusta spp.)、ネオクルチラ・ヘキサダクチラ(Neocurtilla hexadactyla)、ワモンゴキブリ属(Periplaneta spp.)、スカプテリスカス属(Scapteriscus spp)及びコオロギ属(Schistocerca spp.);
チャタテムシ目(Psocoptera)から、例えばリポセリス属(Liposcelis spp.);
ノミ目(Siphonaptera)から、例えばナガノミ属(Ceratophyllus spp.)、イヌノミ属(Ctenocephalides spp.)及びケオプスネズミノミ(Xenopsylla cheopis);
総翅目(Thysanoptera)から、例えばカリオトリプス・ファセオリ(Calliothrips phaseoli)、ハナアザミウマ属(Frankliniella spp.)、ヘリオトリプス属(Heliothrips spp)、ヘルシノトリプス属(Hercinothrips spp.)、パルテノトリプス属(Parthenothrips spp)、シルトトリプス・アウランチィ(Scirtothrips aurantii)、ダイズアザミウマ(Sericothrips variabilis)、タエニオトリプス属(Taeniothrips spp.)、アザミウマ属(Thrips spp);
シミ目(Thysanura)から、例えばセイヨウシミ(Lepisma saccharina)。
本発明に係る有効成分は、特に植物、特に有用な植物及び農業、園芸及び森林における観賞植物又はこのような植物の果実、花、葉、茎、塊茎若しくは根などの器官において発生する上記のタイプの有害生物を防除、すなわち抑制又は破壊するのに使用され得、場合により、後の時点で形成される植物器官でさえこれらの有害生物から保護されたままである。
好適な標的作物は、特に、コムギ、オオムギ、ライムギ、オートムギ、イネ、トウモロコシ又はソルガムなどの穀物;テンサイ又は飼料用ビートなどのビート;果実、例えばリンゴ、セイヨウナシ、プラム、モモ、アーモンド、サクランボ又は液果類、例えばイチゴ、ラズベリー又はブラックベリーなどの仁果類、核果類又は柔らかい果物;インゲンマメ、レンズマメ、エンドウマメ又はダイズなどのマメ科作物;ナタネ、カラシナ、ケシ、オリーブ、ヒマワリ、ヤシ、ヒマ、カカオ又はアメリカホドイモ(ground nut)などの油脂作物;カボチャ、キュウリ又はメロンなどのウリ科植物;ワタ、アマ、麻又はジュートなどの繊維植物;オレンジ、レモン、グレープフルーツ又はタンジェリンなどの柑橘類の果物;ホウレンソウ、レタス、アスパラガス、キャベツ、ニンジン、タマネギ、トマト、ジャガイモ又はピーマンなどの野菜類;アボカド、シナモン又はショウノウなどのクスノキ科(Lauraceae)の植物;及びさらにタバコ、堅果類、コーヒー、ナス、サトウキビ、茶、コショウ、ブドウ、ホップ、オオバコ科の植物及びラテックス植物である。
本発明の組成物及び/又は方法は、花、潅木、闊葉樹及び常緑樹を含むいずれかの観賞用及び/又は野菜作物にも用いられ得る。
例えば、本発明は、以下の観賞植物種のいずれかに使用され得る:カッコウアザミ属(Ageratum spp.)、アロンソア属(Alonsoa spp.)、イチリンソウ属(Anemone spp.)、アニソドンテア・カペンシス(Anisodontea capsenisis)、アンセミス属(Anthemis spp.)、キンギョソウ属(Antirrhinum spp.)、シオン属(Aster spp.)、ベゴニア属(Begonia spp.)(例えば、エラチオールベゴニア(B.elatior)、シキザキベゴニア(B.semperflorens)、B.チュベレウクス(B.tubereux))、ブーゲンビリア属(Bougainvillea spp.)、ブラキスコメ属(Brachycome spp.)、アブラナ属(Brassica spp.)(観賞植物)、カルセオラリア属(Calceolaria spp.)、トウガラシ(Capsicum annuum)、ニチニチソウ(Catharanthus roseus)、カンナ属(Canna spp.)、ヤグルマギク属(Centaurea spp.)、キク属(Chrysanthemum spp.)、シネラリア属(Cineraria spp.)(シロタエギク(C.maritime))、ハルシャギク属(Coreopsis spp.)、クラッスラ・コッキネア(Crassula coccinea)、クフェア・イグネア(Cuphea ignea)、ダリア属(Dahlia spp.)、デルフィニウム属(Delphinium spp.)、ケマンソウ(Dicentra spectabilis)、ドロテアンツス属(Dorotheantus spp.)、トルコギキョウ(Eustoma grandiflorum)、レンギョウ属(Forsythia spp.)、フクシア属(Fuchsia spp.)、ゼラニウム・グナファリウム(Geranium gnaphalium)、ガーベラ属(Gerbera spp.)、センニチコウ(Gomphrena globosa)、キダチルリソウ属(Heliotropium spp.)、ヒマワリ属(Helianthus spp.)、フヨウ属(Hibiscus spp.)、アジサイ属(Hortensia spp.)、アジサイ属(Hydrangea spp.)、ソバカスソウ(Hypoestes phyllostachya)、ツリフネソウ属(Impatiens spp.)(アフリカホウセンカ(I.Walleriana))、イレシネ属(Iresines spp.)、カランコエ属(Kalanchoe spp.)、ランタナ(Lantana camara)、ハナアオイ(Lavatera trimestris)、カエンキセワタ(Leonotis leonurus)、ユリ属(Lilium spp.)、メセンブリアンテマ属(Mesembryanthemum spp.)、ミゾホオズキ属(Mimulus spp.)、ヤグルマハッカ属(Monarda spp.)、ネメシア属(Nemesia spp.)、タゲテス属(Tagetes spp.)、ナデシコ属(Dianthus spp.)(カーネーション)、カンナ属(Canna spp.)、カタバミ属(Oxalis spp.)、ヒナギク属(Bellis spp.)、テンジクアオイ属(Pelargonium spp.)(アイビーゼラニウム(P.peltatum)、モンテンジクアオイ(P.Zonale))、スミレ属(Viola spp.)(パンジー)、ペチュニア属(Petunia spp.)、フロックス属(Phlox spp.)、プレクトランサス属(Plecthranthus spp.)、ポインセチア種(Poinsettia spp.)、ツタ属(Parthenocissus spp.)(アメリカヅタ(P.quinquefolia)、ツタ(P.tricuspidata))、サクラソウ属(Primula spp.)、キンポウゲ属(Ranunculus spp.)、ツツジ属(Rhododendron spp.)、バラ属(Rosa spp.)(バラ)、オオハンゴンソウ属(Rudbeckia spp.)、セントポーリア属(Saintpaulia spp.)、アキギリ属(Salvia spp.)、ブルーファンフラワー(Scaevola aemola)、コチョウソウ(Schizanthus wisetonensis)、マンネングサ属(Sedum spp.)、ナス属(Solanum spp.)、サフィニア種(Surfinia spp.)、タゲテス属(Tagetes spp.)、タバコ属(Nicotinia spp.)、バーベナ種(Verbena spp.)、ヒャクニチソウ属(Zinnia spp.)及び他の花壇用の植物。
例えば、本発明は、以下の野菜種のいずれかに使用され得る:ネギ属(Allium spp.)(ニンニク(A.sativum)、タマネギ(A..cepa)、エシャロット(A.oschaninii)、リーキ(A.Porrum)、シャロット(A.ascalonicum)、ネギ(A.fistulosum))、チャービル(Anthriscus cerefolium)、セロリ(Apium graveolus)、アスパラガス(Asparagus officinalis)、テンサイ(Beta vulgarus)、アブラナ属(Brassica spp.)(ヤセイカンラン(B.Oleracea)、ハクサイ(B.Pekinensis)、カブ(B.rapa))、トウガラシ(Capsicum annuum)、ヒヨコマメ(Cicer arietinum)、エンダイブ(Cichorium endivia)、キクニガナ属(Cichorum spp.)(チコリー(C.intybus)、エンダイブ(C.endivia))、スイカ(Citrillus lanatus)、キュウリ属(Cucumis spp.)(サフラン(C.sativus)、メロン(C.melo))、カボチャ属(Cucurbita spp.)(ペポカボチャ(C.pepo)、西洋カボチャ(C.maxima))、チョウセンアザミ属(Cyanara spp.)(アーティチョーク(C.scolymus)、カルドン(C.cardunculus))、黒人参(Daucus carota)、フェンネル(Foeniculum vulgare)、オトギリソウ属(Hypericum spp.)、レタス(Lactuca sativa)、トマト属(Lycopersicon spp.)(トマト(L.esculentum)、トマト(L.lycopersicum))、ハッカ属(Mentha spp.)、バジル(Ocimum basilicum)、パセリ(Petroselinum crispum)、インゲンマメ属(Phaseolus spp.)(インゲンマメ(P.vulgaris)、ベニバナインゲン(P.coccineus))、エンドウ(Pisum sativum)、ハツカダイコン(Raphanus sativus)、マルバダイオウ(Rheum rhaponticum)、マンネンロウ属(Rosemarinus spp.)、アキギリ属(Salvia spp.)、キバナバラモンジン(Scorzonera hispanica)、ナス(Solanum melongena)、ホウレンソウ(Spinacea oleracea)、ノヂシャ属(Valerianella spp.)(ノヂシャ(V.locusta)、イタリアンコーンサラダ(V.eriocarpa))及びソラマメ(Vicia faba)。
好ましい観賞植物種としては、セントポーリア(African violet)、ベゴニア属(Begonia)、ダリア属(Dahlia)、ガーベラ属(Gerbera)、アジサイ属(Hydrangea)、クマツヅラ属(Verbena)、バラ属(Rosa)、カランコエ属(Kalanchoe)、ポインセチア(Poinsettia)、シオン属(Aster)、ヤグルマギク属(Centaurea)、ハルシャギク属(Coreopsis)、デルフィニウム属(Delphinium)、ヤグルマハッカ属(Monarda)、フロックス属(Phlox)、オオハンゴンソウ属(Rudbeckia)、マンネングサ属(Sedum)、ペチュニア属(Petunia)、スミレ属(Viola)、ツリフネソウ属(Impatiens)、フウロソウ属(Geranium)、キク属(Chrysanthemum)、キンポウゲ属(Ranunculus)、フクシア属(Fuchsia)、アキギリ属(Salvia)、アジサイ属(Hortensia)、ローズマリー、セージ、セイヨウオトギリ(St.Johnswort)、ミント、ピーマン、トマト及びキュウリが挙げられる。
本発明に係る有効成分は、ワタ、野菜、トウモロコシ、イネ及びダイズ作物におけるマメアブラムシ(Aphis craccivora)、ジアブロチカ・バルテアタ(Diabrotica balteata)、ニセアメリカタバコガ(Heliothis virescens)、モモアカアブラムシ(Myzus persicae)、コナガ(Plutella xylostella)及びエジプトヨトウ(Spodoptera littoralis)を防除するのに特に好適である。本発明に係る有効成分は、さらに、マメストラ属(Mamestra)(好ましくは野菜中)、コドリンガ(Cydia pomonella)(好ましくはリンゴ中)、エンポアスカ属(Empoasca)(好ましくは野菜、ブドウ園中)、レプチノタルサ属(Leptinotarsa)(好ましくはジャガイモ中)及びニカメイガ(Chilo supressalis)(好ましくはイネ中)を防除するのに特に好適である。
本発明に係る有効成分は、ワタ、野菜、トウモロコシ、イネ及びダイズ作物における、マメアブラムシ(Aphis craccivora)、ジアブロチカ・バルテアタ(Diabrotica balteata)、ニセアメリカタバコガ(Heliothis virescens)、モモアカアブラムシ(Myzus persicae)、コナガ(Plutella xylostella)及びエジプトヨトウ(Spodoptera littoralis)を防除するのに特に好適である。本発明に係る有効成分は、さらに、マメストラ属(Mamestra)(好ましくは野菜中)、コドリンガ(Cydia pomonella)(好ましくはリンゴ中)、エンポアスカ属(Empoasca)(好ましくは野菜、ブドウ園中)、レプチノタルサ属(Leptinotarsa)(好ましくはジャガイモ中)及びニカメイガ(Chilo supressalis)(好ましくはイネ中)を防除するのに特に好適である。
さらなる態様において、本発明は、植物寄生性線虫(内部寄生性、半内部寄生性及び外部寄生性線虫)、特にネコブセンチュウ、キタネコブセンチュウ(Meloidogyne hapla)、サツマイモネコブセンチュウ(Meloidogyne incognita)、ジャワネコブセンチュウ(Meloidogyne javanica)、アレナリアネコブセンチュウ(Meloidogyne arenaria)及び他のメロイドギネ属(Meloidogyne)種;シスト形成センチュウ、ジャガイモシストセンチュウ(Globodera rostochiensis)及び他のグロボデラ属(Globodera)種;ムギシストセンチュウ(Heterodera avenae)、ダイズシストセンチュウ(Heterodera glycines)、テンサイシストセンチュウ(Heterodera schachtii)、クローバシストセンチュウ(Heterodera trifolii)及び他のヘテロデラ属(Heterodera)種;タネコブセンチュウ、アンギナ属(Anguina)種;クキセンチュウ及びハセンチュウ、アフェレンコイデス属(Aphelenchoides)種;刺毛センチュウ(Sting nematode)、ベロノライムス・ロンギカウダツス(Belonolaimus longicaudatus)及び他のベロノライムス属(Belonolaimus)種;マツセンチュウ、マツノザイセンチュウ(Bursaphelenchus xylophilus)及び他のバーサフェレンカス属(Bursaphelenchus)種;ワセンチュウ(Ring nematode)、クリコネマ属(Criconema)種、クリコネメラ属(Criconemella)種、クリコネモイデス属(Criconemoides)種、メソクリコネマ属(Mesocriconema)種;クキ及びリンケイセンチュウ、イモグサレセンチュウ(Ditylenchus destructor)、ナミクキセンチュウ(Ditylenchus dipsaci)及び他のジチレンクス属(Ditylenchus)種;キリセンチュウ(Awl nematode)、ドリコドルス属(Dolichodorus)種;ラセンセンチュウ(Spiral nematode)、ヘリオコチレンクス・マルチシンクツス(Heliocotylenchus multicinctus)及び他のヘリオコチレンクス属(Helicotylenchus)種;サヤセンチュウ及びサヤワセンチュウ(Sheath and sheathoid nematode)、ヘミシクリオホラ属(Hemicycliophora)種及びヘミクリコネモイデス属(Hemicriconemoides)種;ヒルスマンニエラ属(Hirshmanniella)種;ヤリセンチュウ(Lance nematode)、ホプロライムス(Hoploaimus)種;ニセネコブセンチュウ、ナコブス属(Nacobbus)種;ハリセンチュウ(Needle nematode)、ロンギドルス・エロンガツス(Longidorus elongatus)及び他のロンギドルス属(Longidorus)種;ピンセンチュウ(Pin nematode)、プラチレンクス属(Pratylenchus)種;ネグサレセンチュウ(Lesion nematode)、ムギネグサレセンチュウ(Pratylenchus neglectus)、キタネグサレセンチュウ(Pratylenchus penetrans)、プラチレンクス・カービタツス(Pratylenchus curvitatus)、プラチレンクス・ゴオデイ(Pratylenchus goodeyi)及び他のプラチレンクス属(Pratylenchus)種;ネモグリセンチュウ(Burrowing nematode)、バナナネモグリセンチュウ(Radopholus similis)及び他のラドホルス属(Radopholus)種;ニセフクロセンチュウ(Reniform nematode)、ロチレンクス・ロブスタス(Rotylenchus robustus)、ロチレンクス・レニフォルミス(Rotylenchus reniformis)及び他のロチレンクス属(Rotylenchus)種;スクテロネマ属(Scutellonema)種;ミハリセンチュウ(Stubby root nematode)、トリコドルス・プリミチブス(Trichodorus primitivus)及び他のトリコドルス属(Trichodorus)種、パラトリコドルス属(Paratrichodorus)種;イシュクセンチュウ(Stunt nematode)、ナミイシュクセンチュ(Tylenchorhynchus claytoni)、チレンコリンクス・デュビウス(Tylenchorhynchus dubius)及び他のチレンコリンクス属(Tylenchorhynchus)種;ミカンセンチュウ(Citrus nematode)、チレンクルス属(Tylenchulus)種;オオハリセンチュウ(Dagger nematode)、キシフィネマ属(Xiphinema)種などの植物寄生性線虫;並びにスバンギナ属(Subanguina spp.)、ヒプソペリン属(Hypsoperine spp.)、マクロポストニア属(Macroposthonia spp.)、メリニウス属(Melinius spp.)、プンクトデラ属(Punctodera spp.)及びキニスルシウス属(Quinisulcius spp.)などの他の植物寄生性線虫種による植物及び植物の部分への攻撃を防除する方法にも関する。特に、線虫種、ネコブセンチュウ属(Meloidogyne)の種(サツマイモネコブセンチュウ(Melodoigyne incognita))、シストセンチュウ属(Heterodera)の種(テンサイシストセンチュウ(Heterodera schachtii))、ロチレンクス属(Rotylenchus)の種及びネグサレセンチュウ属(Pratylenchus)の種を本発明の化合物によって防除することができる。
本発明の化合物は、軟体動物に対しても活性を有し得る。軟体動物の例としては、例えば、スクミリンゴガイ科(Ampullariidae);アリオン属(Arion)(コウラクロナメクジ(A.ater)、A.サーカムスクリプツス(A.circumscriptus)、A.ホルテンシス(A.hortensis)、A.ルーファス(A.rufus));オナジマイマイ科(Bradybaenidae)(ブラジバエナ・フルチクム(Bradybaena fruticum));オウシュウマイマイ属(Cepaea)(ニワノオウシュウマイマイ(C.hortensis)、モリマイマイ(C.Nemoralis));オクロジナ(ochlodina);デロセラス属(Deroceras)(D.アグレスチス(D.agrestis)、D.エムピリコルム(D.empiricorum)、D.ラエヴェ(D.laeve)、D.レチクラツム(D.reticulatum));ディスクス属(Discus)(D.ロツンダツス(D.rotundatus));ユーオムファリア属(Euomphalia);ガルバ属(Galba)(G.トルンクラタ(G.trunculata));ヘリセリア属(Helicelia)(H.イタラ(H.itala)、H.オブヴィア(H.obvia));マイマイ科(Helicidae)ヘリシゴナ・アルブストルム(Helicigona arbustorum));ヘリコディスクス属(Helicodiscus);ヘリクス属(Helix)(H.アペルタ(H.aperta));リマックス属(Limax)(L.シネレオニゲル(L.cinereoniger)、キイロナメクジ(L.flavus)、チャコウラナメクジ(L.marginatus)、マダラコウラナメクジ(L.maximus)、L.テネルス(L.tenellus));モノアライガイ属(Lymnaea);ミラックス属(Milax)(ニワコウラナメクジ(M.gagates)、M.マルギナツス(M.marginatus)、M.ソウェルビイ(M.sowerbyi));オペアス属(Opeas);リンゴガイ属(Pomacea)(スクミリンゴガイ(P.canaticulata));ミジンマイマイ属(Vallonia)及びザニトイデス属(Zanitoides)が挙げられる。
「作物」という用語は、例えば、毒素産生細菌、特にバチルス属(Bacillus)の細菌に由来する公知のような1つ又は複数の選択的に作用する毒素を合成することができるように、組み換えDNA技術の使用によって形質転換された作物も含むことが理解されるべきである。
このようなトランスジェニック植物によって発現され得る毒素としては、例えば、セレウス菌(Bacillus cereus)又はバチルス・ポピリエ(Bacillus popilliae)に由来する殺虫タンパク質;又はδ-エンドトキシン、例えばCry1Ab、Cry1Ac、Cry1F、Cry1Fa2、Cry2Ab、Cry3A、Cry3Bb1又はCry9Cなど、バチルス・チューリンゲンシス(Bacillus thuringiensis)に由来する殺虫タンパク質又は植物性殺虫タンパク質(Vip)、例えばVip1、Vip2、Vip3又はVip3A;又は細菌コロニー形成線虫、例えばフォトラブダス・ルミネセンス(Photorhabdus luminescens)、キセノラブダス・ネマトフィルス(Xenorhabdus nematophilus)などのフォトラブダス属(Photorhabdus spp.又はキセノラブダス属(Xenorhabdus spp.)の殺虫タンパク質;サソリ毒素、クモ形類毒素、ハチ毒素及び他の昆虫に特有の神経毒素など、動物によって産生される毒素;ストレプトマイセス属(Streptomycetes)毒素など、真菌によって産生される毒素、エンドウレクチン、オオムギレクチン又はユキノハナレクチンなどの植物レクチン;凝集素;トリプシン阻害剤、セリンプロテアーゼ阻害剤、パタチン、シスタチン、パパイン阻害剤などのプロティナーゼ阻害剤;リシン、トウモロコシ-RIP、アブリン、ルフィン、サポリン又はブリオジンなどのリボソーム不活性化タンパク質(RIP);3-ヒドロキシステロイドオキシダーゼ、エクジステロイド-UDP-グリコシル-トランスフェラーゼ、コレステロールオキシダーゼ、エクジソン阻害剤、HMG-COA-レダクターゼなどのステロイド代謝酵素、ナトリウムチャネル又はカルシウムチャネルの遮断薬などのイオンチャネル遮断薬、幼若ホルモンエステラーゼ、利尿ホルモン受容体、スチルベンシンターゼ、ビベンジルシンターゼ、キチナーゼ及びグルカナーゼが挙げられる。
本発明に関して、δ-エンドトキシンは、例えば、Cry1Ab、Cry1Ac、Cry1F、Cry1Fa2、Cry2Ab、Cry3A、Cry3Bb1若しくはCry9C又は植物性殺虫タンパク質(Vip)、例えばVip1、Vip2、Vip3又はVip3A、また明確にハイブリッド毒素、切断毒素及び改変毒素によって理解される。ハイブリッド毒素は、それらのタンパク質の異なるドメインの新たな組合せによって組み換えにより産生される(例えば、国際公開第02/15701号を参照されたい)。切断毒素、例えば切断Cry1Abが公知である。改変毒素の場合、天然毒素の1つ又は複数のアミノ酸が置換される。このようなアミノ酸置換では、好ましくは、天然に存在しないプロテアーゼ認識配列が毒素に挿入され、例えばCry3A055の場合、カテプシン-G-認識配列がCry3A毒素に挿入される(国際公開第03/018810号を参照されたい)。
このような毒素又はこのような毒素を合成することが可能なトランスジェニック植物の例は、例えば、欧州特許出願公開第0374753号明細書、国際公開第93/07278号、国際公開第95/34656号、欧州特許出願公開第0427529号明細書、欧州特許出願公開第451878号明細書及び国際公開第03/052073号に開示されている。
このようなトランスジェニック植物の調製のための方法は、当業者に一般に知られており、例えば上記の刊行物に記載されている。CryI型のデオキシリボ核酸及びそれらの調製は、例えば、国際公開第95/34656号、欧州特許出願公開第0367474号明細書、欧州特許出願公開第0401979号明細書及び国際公開第90/13651号から公知である。
トランスジェニック植物に含まれる毒素は、害虫に対する耐性を植物に与える。このような昆虫は、昆虫の分類群において見られるが、甲虫(鞘翅目(Coleoptera))、双翅昆虫(双翅目(Diptera))及び蛾(鱗翅目(Lepidoptera))において特に一般的に見られる。
殺虫剤耐性(insecticidal resistance)をコードし、1つ又は複数の毒素を発現する1つ又は複数の遺伝子を含むトランスジェニック植物が公知であり、それらのいくつかが市販されている。このような植物の例は、YieldGard(登録商標)(Cry1Ab毒素を発現するトウモロコシ品種);YieldGard Rootworm(登録商標)(Cry3Bb1毒素を発現するトウモロコシ品種);YieldGard Plus(登録商標)(Cry1Ab及びCry3Bb1毒素を発現するトウモロコシ品種);Starlink(登録商標)(Cry9C毒素を発現するトウモロコシ品種);Herculex I(登録商標)(Cry1Fa2毒素及び除草剤グルホシネートアンモニウムに対する耐性を得るための酵素ホスフィノトリシンN-アセチルトランスフェラーゼ(PAT)を発現するトウモロコシ品種);NuCOTN 33B(登録商標)(Cry1Ac毒素を発現するワタ品種);Bollgard I(登録商標)(Cry1Ac毒素を発現するワタ品種);Bollgard II(登録商標)(Cry1Ac及びCry2Ab毒素を発現するワタ品種);VipCot(登録商標)(Vip3A及びCry1Ab毒素を発現するワタ品種);NewLeaf(登録商標)(Cry3A毒素を発現するジャガイモ品種);NatureGard(登録商標)、Agrisure(登録商標)GT Advantage(GA21グリホサート耐性形質)、Agrisure(登録商標)CB Advantage(Bt11アワノメイガ(CB)形質)及びProtecta(登録商標)である。
このようなトランスジェニック作物のさらなる例は、以下のとおりである:
1.Syngenta Seeds SAS(Chemin de l’Hobit 27,F-31 790 St.Sauveur,France)製のBt11トウモロコシ、登録番号C/FR/96/05/10。切断Cry1Ab毒素のトランスジェニック発現により、ヨーロッパアワノメイガ(アワノメイガ(Ostrinia nubilalis)及びセサミア・ノナグリオイデス(Sesamia nonagrioides))による攻撃に対する耐性を与えられた遺伝子組み換えトウモロコシ。Bt11トウモロコシは、除草剤グルホシネートアンモニウムに対する耐性を得るために酵素PATも遺伝子組み換えにより発現する。
2.Syngenta Seeds SAS(Chemin de l’Hobit 27,F-31 790 St.Sauveur,France)製のBt176トウモロコシ、登録番号C/FR/96/05/10。Cry1Ab毒素のトランスジェニック発現により、ヨーロッパアワノメイガ(アワノメイガ(Ostrinia nubilalis)及びセサミア・ノナグリオイデス(Sesamia nonagrioides))による攻撃に対する耐性を与えられた遺伝子組み換えトウモロコシ。Bt176トウモロコシは、除草剤グルホシネートアンモニウムに対する耐性を得るために酵素PATも遺伝子組み換えにより発現する。
3.Syngenta Seeds SAS(Chemin de l’Hobit 27,F-31 790 St.Sauveur,France)製のMIR604トウモロコシ、登録番号C/FR/96/05/10。改変Cry3A毒素のトランスジェニック発現によって耐虫性にされたトウモロコシ。この毒素は、カテプシン-G-プロテアーゼ認識配列の挿入によって修飾されたCry3A055である。このようなトランスジェニックトウモロコシ植物の調製は、国際公開第03/018810号に記載されている。
4.Monsanto Europe S.A.(270-272 Avenue de Tervuren,B-1150 Brussels,Belgium)製のMON 863トウモロコシ、登録番号C/DE/02/9。MON 863は、Cry3Bb1毒素を発現し、特定の鞘翅目(Coleoptera)昆虫に対する耐性を有する。
5.Monsanto Europe S.A.(270-272 Avenue de Tervuren,B-1150 Brussels,Belgium)製のIPC 531ワタ、登録番号C/ES/96/02。
6.Pioneer Overseas Corporation(Avenue Tedesco,7 B-1160 Brussels,Belgium)製の1507トウモロコシ、登録番号C/NL/00/10。特定の鱗翅目(Lepidoptera)昆虫に対する耐性を得るためにタンパク質Cry1F及び除草剤グルホシネートアンモニウムに対する耐性を得るためにPATタンパク質の発現のための遺伝子組み換えトウモロコシ。
7.Monsanto Europe S.A.(270-272 Avenue de Tervuren,B-1150 Brussels,Belgium)製のNK603×MON 810トウモロコシ、登録番号C/GB/02/M3/03。遺伝子組み換え品種NK603及びMON 810を交配することによる従来法で育種した雑種トウモロコシ品種からなる。NK603×MON 810トウモロコシは、除草剤Roundup(登録商標)(グリホサートを含有する)に対する耐性を与える、アグロバクテリウム属(Agrobacterium sp.)菌株CP4から得られるタンパク質CP4 EPSPS及びヨーロッパアワノメイガを含む特定の鱗翅目(Lepidoptera)に対する耐性をもたらす、バチルス・チューリンゲンシス亜種クルスターキ(Bacillus thuringiensis subsp.kurstaki)から得られるCry1Ab毒素も遺伝子組み換えにより発現する。
昆虫耐性植物のトランスジェニック作物は、BATS(Zentrum fuer Biosicherheit und Nachhaltigkeit,Zentrum BATS,Clarastrasse 13,4058 Basel,Switzerland)Report 2003,(http://bats.ch)にも記載されている。
「作物」という用語は、例えば、いわゆる「病原性関連タンパク質」(PRP、例えば欧州特許出願公開第0392225号明細書を参照されたい)など、選択的作用を有する抗病原性物質を合成することができるように、組み換えDNA技術の使用によって形質転換された作物も含むことが理解されるべきである。このような抗病原性物質及びこのような抗病原性物質を合成することが可能なトランスジェニック植物の例は、例えば、欧州特許出願公開第0392225号明細書、国際公開第95/33818号及び欧州特許出願公開第0353191号明細書から公知である。このようなトランスジェニック植物を産生する方法は、当業者に一般に知られており、例えば上記の刊行物に記載されている。
作物は、真菌(例えば、フザリウム属(Fusarium)、炭疽病又はフィトフトラ属(Phytophthora))、細菌(例えば、シュードモナス属(Pseudomonas))又はウイルス性(例えば、ジャガイモ葉巻病ウイルス、トマト黄化壊疽ウイルス、キュウリモザイクウイルス)病原体に対する耐性を高めるためにも改良され得る。
作物は、ダイズシスト線虫などの線虫に対する高い抵抗性を有するものも含む。
非生物的ストレスに耐性である作物は、例えば、NF-YB又は、当技術分野において公知である他のタンパク質の発現により、干ばつ、高塩分、高温、低温、霜又は光線に対する高い耐性を有するものを含む。
このようなトランスジェニック植物によって発現され得る抗病原性物質としては、例えば、ナトリウムチャネル又はカルシウムチャネルの遮断薬などのイオンチャネル遮断薬、例えばウイルス性KP1、KP4又はKP6毒素;スチルベンシンターゼ;ビベンジルシンターゼ;キチナーゼ;グルカナーゼ;いわゆる「病原性関連タンパク質」(PRP;例えば欧州特許出願公開第0392225号明細書を参照されたい);微生物によって産生される抗病原性物質、例えばペプチド抗生物質又は複素環式抗生物質(例えば、国際公開第95/33818号を参照されたい)又は植物病原体防御に関与するタンパク質又はポリペプチド因子(国際公開第03/000906号に記載されている、いわゆる「植物病害抵抗性遺伝子」)が挙げられる。
本発明に係る組成物のさらなる使用分野は、貯蔵品及び貯蔵室の保護及び原料(木材及び織物など)、床仕上げ材及び建築物の保護及び衛生分野において、特に上記のタイプの有害生物からのヒト、家畜及び生産性家畜の保護である。
本発明は、有害生物(蚊及び他の病原媒介動物など;http://www.who.int/malaria/vector_control/irs/en/も参照されたい)を防除する方法も提供する。一実施形態において、有害生物を防除する方法は、本発明の組成物を標的有害生物、その生息地又は表面若しくは基材にブラシ塗布、ローラ塗布、噴霧、塗布又は浸漬によって施用する工程を含む。例として、壁、天井又は床面などの表面のIRS(屋内残留噴霧)施用が本発明の方法によって想定されている。別の実施形態において、このような組成物を網、衣類、寝具、カーテン及びテントの形態(又はこれらの製造に使用され得る形態)の不織布又は布帛材料などの基材に施用することが想定されている。
一実施形態において、このような有害生物を防除する方法は、有効な残存性の有害生物防除活性を表面又は基材に与えるように、殺有害生物的に有効な量の本発明の組成物を標的有害生物、その生息地又は表面若しくは基材に施用する工程を含む。このような施用は、本発明の殺有害生物組成物をブラシ塗布、ローラ塗布、噴霧、塗布又は浸漬することによって行われ得る。例として、壁、天井又は床面などの表面におけるIRS施用は、有効な残存性の有害生物防除活性を表面に与えるように、本発明の方法によって想定されている。別の実施形態において、網、衣類、寝具、カーテン及びテントの形態(又はこれらの製造に使用され得る形態)の布帛材料などの基材における有害生物の残存性防除のためにこのような組成物を施用することが想定されている。
処理されるべき不織布、布帛又は網を含む基材は、綿、ラフィア、ジュート、亜麻、サイザル、麻布若しくは羊毛などの天然繊維又はポリアミド、ポリエステル、ポリプロピレン、ポリアクリロニトリルなどの合成繊維で作製され得る。ポリエステルが特に好適である。織物処理の方法は、例えば、国際公開第2008/151984号、国際公開第2003/034823号、米国特許第5631072号明細書、国際公開第2005/64072号、国際公開第2006/128870号、欧州特許第1724392号明細書、国際公開第2005113886号又は国際公開第2007/090739号から公知である。
本発明に係る組成物のさらなる使用分野は、すべての観賞用樹木並びにあらゆる種類の果樹及び堅果の成る木の樹幹注入/幹処理の分野である。
樹幹注入/幹処理の分野において、本発明に係る化合物は、上記の鱗翅目(Lepidoptera)及び鞘翅目(Coleoptera)の木材穿孔性(wood-boring)昆虫に対して、特に以下の表A及びBに列挙される木材穿孔性昆虫(woodborer)に対して特に好適である。
Figure 0007581336000041
Figure 0007581336000042
Figure 0007581336000043
Figure 0007581336000044
本発明は、例えば、甲虫、イモムシ、ヒアリ、ワタフキカイガラムシ(ground pearl)、ヤスデ、ダンゴムシ、ダニ、ケラ、カイガラムシ、コナカイガラムシ、マダニ、アワフキムシ、サウザンキンクバッグ(southern chinch bug)及び地虫を含む、芝草中に存在し得る任意の昆虫有害生物を防除するのにも使用され得る。本発明は、卵、幼虫、若虫及び成虫を含む、生活環の様々な段階の昆虫有害生物を防除するのに使用され得る。
特に、本発明は、地虫(コガネカブト属(Cyclocephala spp.)(例えば、マスクドコガネムシ(masked chafer)、C.ルリダ(C.lurida))、リゾトログス属(Rhizotrogus spp.)(例えば、ヨーロピアンコガネムシ、R.マハリス(R.majalis))、コチヌス属(Cotinus spp.)(例えば、アオコフキコガネ、C.ニチダ(C.nitida))、ポピリア属(Popillia spp.)(例えば、マメコガネ(Japanese beetle)、マメコガネ(P.japonica))、フィロファガ属(Phyllophaga spp.)(例えば、コガネムシ(May/June beetle))、アテニウス属(Ataenius spp.)(例えば、ブラック・ターフグラス・アテニウス(Black turfgrass ataenius)、A.スプレツルス(A.spretulus))、マラデラ属(Maladera spp.)(例えば、アカビロウドコガネ、M.カスタネア(M.castanea))及びトマルス属(Tomarus spp.)など)、ワタフキカイガラムシ(マルガロデス属(Margarodes spp.))、ケラ(タウニー(tawny)、サウザン(southern)及び短翅型;スカプテリスクス属(Scapteriscus spp.)、ケラ(Gryllotalpa africana))及びレザージャケット(leatherjacket)(ヨーロピアンクレーンフライ(European crane fly)、ガガンボ属(Tipula spp.))を含む、芝草の根を餌とする昆虫有害生物を防除するのに使用され得る。
本発明は、ヨトウムシ(ツマジロクサヨトウ(Spodoptera frugiperda)及び一般的なヨトウムシ(common armyworm)(プセウダレチア・ウニプンクタ(Pseudaletia unipuncta)など)、ネキリムシ、ゾウムシ(スフェノホルス属(Sphenophorus spp.)、シバオサゾウムシ(S.venatus verstitus)及びS.パルブルス(S.parvulus)など)及びソッドウェブワーム(sod webworm)(クラムブス属(Crambus spp.)及び熱帯ソッドウェブワーム(tropical sod webworm)、ケナシクロオビクロノメイガ(Herpetogramma phaeopteralis)など)を含む、藁に住む芝草の昆虫有害生物を防除するのにも使用され得る。
本発明は、ヒメコガネナガカメムシ(サウザンキンクバッグ、ブリスス・インスラリス(Blissus insularis)など)、ギョウギシバ(Bermudagrass)のダニ(エリオフィエス・シノドニエンシス(Eriophyes cynodoniensis))、アフリカヒゲシバ(rhodesgrass)のコナカイガラムシ(チガヤシロオカイガラムシ(Antonina graminis))、2本線のあるアワフキムシ(two-lined spittlebug)(プロサピア・ビシンクタ(Propsapia bicincta))、ヨコバイ、ネキリムシ(ヤガ科(Noctuidae))及びムギミドリアブラムシを含む、地上に生息し、芝草の葉を餌とする昆虫有害生物を防除するのにも使用され得る。
本発明は、芝生にアリ塚を作製するアカヒアリ(Solenopsis invicta)など、芝草の他の有害生物を防除するのにも使用され得る。
衛生分野において、本発明に係る組成物は、カタダニ(hard tick)、ヒメダニ(soft tick)、疥癬ダニ、ツツガムシ、ハエ(サシバエ及び舐性(licking)のハエ)、寄生性のハエ幼虫、シラミ、ケジラミ、ハジラミ及びノミなどの外部寄生生物に対して有効である。
このような寄生生物の例は、以下のとおりである:
シラミ目(Anoplurida)のうち:ブタジラミ属(Haematopinus spp.)、ホソジラミ属(Linognathus spp.)、ペディクルス属(Pediculus spp.)及びケジラミ属(Phtirus spp.)、ソレノポテス属(Solenopotes spp.)。
ハジラミ目(Mallophagida)のうち:トリメノポン属(Trimenopon spp.)、タンカクハジラミ属(Menopon spp.)、トリノトン属(Trinoton spp.)、ボビコラ属(Bovicola spp.)、ウェルネッキエラ属(Werneckiella spp.)、レピケントロン属(Lepikentron spp.)、ダマリナ属(Damalina spp.)、トリコデクテス属(Trichodectes spp.)及びフェリコラ属(Felicola spp.)。
双翅目(Diptera)並びにその亜目であるネマトセリナ亜目(Nematocerina)及び短角亜目(Brachycerina)のうち、例えばヤブカ属(Aedes spp.)、ハマダラカ属(Anopheles spp.)、イエカ属(Culex spp.)、ブヨ属(Simulium spp.)、ツノマユブユ属(Eusimulium spp.)、サシチョウバエ属(Phlebotomus spp.)、ルツォミヤ属(Lutzomyia spp.)、キュリコイデス属(Culicoides spp.)、メクラアブ属(Chrysops spp.)、ヒボミトラ属(Hybomitra spp.)、キイロアブ属(Atylotus spp.)、アブ属(Tabanus spp.)、ゴマフアブ属(Haematopota spp.)、フィリポミア属(Philipomyia spp.)、ブラウラ属(Braula spp.)、イエバエ属(Musca spp.)、トゲアシメマトイ属(Hydrotaea spp.)、サシバエ属(Stomoxys spp.)、ヘマトビア属(Haematobia spp.)、モレリア属(Morellia spp.)、ヒメイエバエ属(Fannia spp.)、ツェツェバエ属(Glossina spp.)、オオクロバエ属(Calliphora spp.)、キンバエ属(Lucilia spp.)、オビキンバエ属(Chrysomyia spp.)、ヴォールファールトニクバエ属(Wohlfahrtia spp.)、ニクバエ属(Sarcophaga spp.)、ヒツジバエ属(Oestrus spp.)、ウシバエ属(Hypoderma spp.)、ウマバエ属(Gasterophilus spp.)、シラミバエ属(Hippobosca spp.)、シカシラミバエ属(Lipoptena spp.)及びヒツジシラミバエ属(Melophagus spp.)。
ノミ目(Siphonapterida)のうち、例えばヒトノミ属(Pulex spp.)、イヌノミ属(Ctenocephalides spp.)、ネズミノミ属(Xenopsylla spp.)、ナガノミ属(Ceratophyllus spp.)。
異翅目(Heteropterida)のうち、例えばトコジラミ属(Cimex spp.)、サシガメ属(Triatoma spp.)、ロドニウス属(Rhodnius spp.)、パンストロギルス属(Panstrongylus spp.)。
ゴキブリ目(Blattarida)のうち、例えばトウヨウゴキブリ(Blatta orientalis)、ワモンゴキブリ(Periplaneta americana)、チャバネゴキブリ(Blattelagermanica)及びスペラ属(Supella spp.)。
ダニ亜綱(Acaria(Acarida))並びにマダニ亜目(Metastigmata)及び中気門亜目(Mesostigmata)のうち、例えばナガヒメダニ属(Argas spp.)、カズキダニ属(Ornithodorus spp.)、オトビウス属(Otobius spp.)、タネガタマダニ属(Ixodes spp.)、キララマダニ属(Amblyomma spp.)、ウシマダニ属(Boophilus spp.)、カクマダニ属(Dermacentor spp.)、チマダニ属(Haemophysalis spp.)、イボマダニ属(Hyalomma spp.)、コイタマダニ属(Rhipicephalus spp.)、デルマニスス属(Dermanyssus spp.)、ライリエチア属(Raillietia spp.)、ニューモニスス属(Pneumonyssus spp.)、ステルノストマ属(Sternostoma spp.)及びバロア属(Varroa spp.)。
ダニ目(Actinedida)(前気門類(Prostigmata))及びカイチュウ目(Acaridida)(コナダニ亜目(Astigmata))のうち、例えばアカラピス属(Acarapis spp.)、ツメダニ属(Cheyletiella spp.)、オルニソケイレチア属(Ornithocheyletia spp.)、ミオビア属(Myobia spp.)、ヒツジツメダニ属(Psorergatesspp.)、ニキビダニ属(Demodex spp.)、ツツガムシ属(Trombicula spp.)、リストロホルス属(Listrophorus spp.)、コナダニ属(Acarus spp.)、チロファグス属(Tyrophagus spp.)、ゴミコナダニ属(Caloglyphus spp.)、ヒポデクテス属(Hypodectes spp.)、プテロリクス属(Pterolichus spp.)、キュウセンヒゼンダニ属(Psoroptes spp.)、ショクヒヒゼンダニ属(Chorioptes spp.)、ミミヒゼンダニ属(Otodectes spp.)、ヒゼンダニ属(Sarcoptes spp.)、ショウセンコウヒゼンダニ属(Notoedres spp.)、クネミドコプテス属(Knemidocoptes spp.)、シトジテス属(Cytodites spp.)及びラミノシオプテス属(Laminosioptes spp.)。
本発明に係る組成物は、木材、織物、プラスチック、接着剤、のり、塗料、紙及び厚紙、皮革、床仕上げ材及び建築物などの材料の場合、昆虫の寄生から保護するのにも好適である。
本発明に係る組成物は、例えば、以下の有害生物に対して使用され得る:ヨーロッパイエカミキリ(Hylotrupes bajulus)、クロロホルス・ピロシス(Chlorophorus pilosis)、アノビウム・プンクタツム(Anobium punctatum)、キセストビウム・ルホビロスム(Xestobium rufovillosum)、プチリヌスペクチコルニス(Ptilinuspecticornis)、デンドロビウム・ペルチネクス(Dendrobium pertinex)、マツザイシバンムシ(Ernobius mollis)、オオナガシバンムシ(Priobium carpini)、ヒラタキクイムシ(Lyctus brunneus)、アフリカヒラタキクイムシ(Lyctus africanus)、アメリカヒラタキクイムシ(Lyctus planicollis)、ナラヒラタキクイムシ(Lyctus linearis)、リクツス・プベセンス(Lyctus pubescens)、トロゴキシロン・アエクアレ(Trogoxylon aequale)、ミンテスルギコリス(Minthesrugicollis)、キシルボルス属種(Xyleborus spec.)、トリプトデンドロン属種(Tryptodendron spec.)、アパテ・モナクス(Apate monachus)、ボストリクス・カプシンス(Bostrychus capucins)、ヘテロボストリクス・ブルンネウス(Heterobostrychus brunneus)、シノキシロン属種(Sinoxylon spec.)及びチビタケナガシンクイムシ(Dinoderus minutus)などの甲虫並びにさらにコルリキバチ(Sirex juvencus)、モミノオオキバチ(Urocerus gigas)、ウロセルス・ギガス・タイグヌス(Urocerus gigas taignus)及びウロセルス・アウグル(Urocerus augur)などの膜翅類の昆虫(hymenopteran)並びにカロテルメス・フラヴィコリス(Kalotermes flavicollis)、ニシインドカンザイシロアリ(Cryptotermes brevis)、ヘテロテルメス・インディコラ(Heterotermes indicola)、キアシシロアリ(Reticulitermes flavipes)、レティクリテルメス・サントネンシス(Reticulitermes santonensis)、レティキュリテルメス・ルシフグス(Reticulitermes lucifugus)、ムカシシロアリ(Mastotermes darwiniensis)、ネバダオオシロアリ(Zootermopsis nevadensis)及びイエシロアリ(Coptotermes formosanus)などのシロアリ並びにセイヨウシミ(Lepisma saccharina)などのシミ。
本発明に係る化合物は、非修飾形態で有害生物防除剤として使用され得るが、それらは、一般に、担体、溶媒及び表面活性物質などの製剤化補助剤を用いて、様々な方法で組成物に製剤化される。製剤は、様々な物理的形態、例えば粉剤、ゲル、水和剤、水和性粒剤、水分散性錠剤、発泡性ペレット、乳化性濃縮物、マイクロ乳化性濃縮物、水中油乳剤、油性フロアブル剤、水性分散液、油性分散液、サスポエマルション、カプセル懸濁剤、乳化性粒剤、可溶性液体、水溶性濃縮物(担体として水又は水混和性有機溶媒を含む)、含浸ポリマーフィルムの形態又は例えばthe Manual on Development and Use of FAO and WHO Specifications for Pesticides,United Nations,First Edition,Second Revision(2010)から公知の他の形態であり得る。このような製剤は、直接使用されるか又は使用前に希釈され得る。希釈は、例えば、水、液体肥料、微量栄養素、生物有機体、油又は溶媒を用いて行われ得る。
製剤は、微粉化された固体、粒剤、液剤、分散液又は乳剤の形態の組成物を得るために、例えば有効成分を製剤化補助剤と混合することによって調製され得る。有効成分は、微粉化された固体、鉱油、植物若しくは動物由来の油、植物若しくは動物由来の変性油、有機溶媒、水、表面活性物質又はそれらの組合せなどの他の補助剤と共にも製剤化され得る。
有効成分は、微細なマイクロカプセル中に含有され得る。マイクロカプセルは、多孔質担体中に有効成分も含有する。これにより、有効成分を制御された量で環境中に放出させることができる(例えば、持続放出)。マイクロカプセルは、通常、0.1~500μmの直径を有する。マイクロカプセルは、カプセル重量の約25~95重量%の量で有効成分を含有する。有効成分は、モノリシック固体の形態、固体若しくは液体分散体中の微粒子の形態又は好適な溶液の形態であり得る。封入用の膜は、例えば、天然若しくは合成ゴム、セルロース、スチレン/ブタジエンコポリマー、ポリアクリロニトリル、ポリアクリレート、ポリエステル、ポリアミド、ポリ尿素、ポリウレタン又は化学修飾ポリマー及びデンプンキサンテート又は当業者に公知の他のポリマーを含み得る。代わりに、有効成分が基剤の固体マトリクス中に微粉化された粒子の形態で含まれた微細なマイクロカプセルが形成され得るが、このマイクロカプセル自体は封入されない。
本発明に係る組成物の調製に好適な製剤化補助剤は、それ自体公知である。液体担体として、以下のものが使用され得る:水、トルエン、キシレン、石油エーテル、植物油、アセトン、メチルエチルケトン、シクロヘキサノン、酸無水物、アセトニトリル、アセトフェノン、酢酸アミル、2-ブタノン、炭酸ブチレン、クロロベンゼン、シクロヘキサン、シクロヘキサノール、酢酸のアルキルエステル、ジアセトンアルコール、1,2-ジクロロプロパン、ジエタノールアミン、p-ジエチルベンゼン、ジエチレングリコール、ジエチレングリコールアビエテート、ジエチレングリコールブチルエーテル、ジエチレングリコールエチルエーテル、ジエチレングリコールメチルエーテル、N,N-ジメチルホルムアミド、ジメチルスルホキシド、1,4-ジオキサン、ジプロピレングリコール、ジプロピレングリコールメチルエーテル、ジプロピレングリコールジベンゾエート、ジプロキシトール(diproxitol)、アルキルピロリドン、酢酸エチル、2-エチルヘキサノール、炭酸エチレン、1,1,1-トリクロロエタン、2-ヘプタノン、α-ピネン、d-リモネン、乳酸エチル、エチレングリコール、エチレングリコールブチルエーテル、エチレングリコールメチルエーテル、γ-ブチロラクトン、グリセロール、酢酸グリセロール、二酢酸グリセロール、三酢酸グリセロール、ヘキサデカン、ヘキシレングリコール、酢酸イソアミル、酢酸イソボルニル、イソオクタン、イソホロン、イソプロピルベンゼン、ミリスチン酸イソプロピル、乳酸、ラウリルアミン、酸化メシチル、メトキシプロパノール、メチルイソアミルケトン、メチルイソブチルケトン、ラウリン酸メチル、オクタン酸メチル、オレイン酸メチル、塩化メチレン、m-キシレン、n-ヘキサン、n-オクチルアミン、オクタデカン酸、オクチルアミンアセテート、オレイン酸、オレイルアミン、o-キシレン、フェノール、ポリエチレングリコール、プロピオン酸、乳酸プロピル、炭酸プロピレン、プロピレングリコール、プロピレングリコールメチルエーテル、p-キシレン、トルエン、リン酸トリエチル、トリエチレングリコール、キシレンスルホン酸、パラフィン、鉱油、トリクロロエチレン、ペルクロロエチレン、酢酸エチル、酢酸アミル、酢酸ブチル、プロピレングリコールメチルエーテル、ジエチレングリコールメチルエーテル、メタノール、エタノール、イソプロパノール及びアミルアルコール、テトラヒドロフルフリルアルコール、ヘキサノール、オクタノールなどのより高い分子量のアルコール、エチレングリコール、プロピレングリコール、グリセロール、N-メチル-2-ピロリドンなど。
好適な固体担体は、例えば、タルク、二酸化チタン、葉ろう石粘土、シリカ、アタパルジャイト粘土、珪藻土、石灰石、炭酸カルシウム、ベントナイト、カルシウムモンモリロナイト、綿実殻、小麦粉、大豆粉、軽石、木粉、粉砕されたクルミ殻、リグニン及び同様の物質である。
多くの表面活性物質は、固体及び液体製剤の両方中、特に使用前に担体で希釈され得る製剤中で有利に使用され得る。表面活性物質は、アニオン性、カチオン性、非イオン性又はポリマーであり得、それらは、乳化剤、湿潤剤又は懸濁化剤として又は他の目的のために使用され得る。典型的な表面活性物質としては、例えば、ラウリル硫酸ジエタノールアンモニウムなど、硫酸アルキルの塩;ドデシルベンゼンスルホン酸カルシウムなど、アルキルアリールスルホネートの塩;ノニルフェノールエトキシレートなど、アルキルフェノール/アルキレンオキシド付加生成物;トリデシルアルコールエトキシレートなど、アルコール/アルキレンオキシド付加生成物;ステアリン酸ナトリウムなどの石鹸;ナトリウムジブチルナフタレンスルホネートなど、アルキルナフタレンスルホネートの塩;ナトリウムジ(2-エチルヘキシル)スルホスクシネートなど、スルホコハク酸塩のジアルキルエステル;オレイン酸ソルビトールなどのソルビトールエステル;ラウリルトリメチルアンモニウムクロリドなどの第4級アミン、ポリエチレングリコールステアレートなど、脂肪酸のポリエチレングリコールエステル;エチレンオキシド及びプロピレンオキシドのブロックコポリマー;並びにモノ-及びジ-アルキルリン酸エステルの塩;並びにさらに例えばMcCutcheon’s Detergents and Emulsifiers Annual,MC Publishing Corp.,Ridgewood New Jersey(1981)に記載されているさらなる物質が挙げられる。
殺有害生物製剤に使用され得るさらなる補助剤としては、結晶化抑制剤、粘度調整剤、懸濁化剤、染料、酸化防止剤、発泡剤、光吸収剤、混合助剤、消泡剤、錯化剤、中和剤又はpH調整物質及び緩衝液、腐食防止剤、香料、湿潤剤、吸収向上剤、微量栄養素、可塑剤、滑剤、潤滑剤、分散剤、増粘剤、不凍剤、殺菌剤並びに液体及び固体肥料が挙げられる。
本発明に係る組成物は、植物若しくは動物由来の油、鉱油、このような油のアルキルエステル又はこのような油と油誘導体との混合物を含む添加剤を含み得る。本発明に係る組成物中の油添加剤の量は、一般に、施用される混合物を基準にして、0.01~10%である。例えば、油添加剤は、スプレー混合物が調製された後、所望の濃度でスプレータンクに加えられ得る。好ましい油添加剤は、鉱油又は植物由来の油、例えばナタネ油、オリーブ油若しくはヒマワリ油、乳化植物油、植物由来の油のアルキルエステル、例えばメチル誘導体又は魚油若しくは牛脂などの動物由来の油を含む。好ましい油添加剤は、C8~C22脂肪酸のアルキルエステル、特にC12~C18脂肪酸のメチル誘導体、例えばラウリン酸、パルミチン酸及びオレイン酸のメチルエステル(それぞれラウリン酸メチル、パルミチン酸メチル及びオレイン酸メチル)を含む。多くの油誘導体は、the Compendium of Herbicide Adjuvants,10th Edition,Southern Illinois University,2010から公知である。
本発明の組成物は、一般に、0.1~99重量%、特に0.1~95重量%の、本発明の化合物及び1~99.9重量%の製剤化補助剤(これは、好ましくは、0~25重量%の表面活性物質を含む)を含む。市販の製品は、好ましくは、濃縮物として製剤化され得るが、最終使用者は、通常、希釈製剤を用いるであろう。
施用量は、広い範囲内で変化し、土壌の性質、施用方法、作物植物、防除される有害生物、そのときの気候条件並びに施用方法、施用の時期及び標的作物に左右される他の要因に応じて決まる。一般的な指針として、化合物は、1~2000l/ha、特に10~1000l/haの割合で施用され得る。
好ましい製剤は、以下の組成を有し得る(重量%)。
乳化性濃縮物:
有効成分:1~95%、好ましくは60~90%
表面活性剤:1~30%、好ましくは5~20%
液体担体:1~80%、好ましくは1~35%
ダスト剤:
有効成分:0.1~10%、好ましくは0.1~5%
固体担体:99.9~90%、好ましくは99.9~99%
懸濁液濃縮物:
有効成分:5~75%、好ましくは10~50%
水:94~24%、好ましくは88~30%
表面活性剤:1~40%、好ましくは2~30%
水和剤:
有効成分:0.5~90%、好ましくは1~80%
表面活性剤:0.5~20%、好ましくは1~15%
固体担体:5~95%、好ましくは15~90%
粒剤:
有効成分:0.1~30%、好ましくは0.1~15%
固体担体:99.5~70%、好ましくは97~85%
以下の実施例は、本発明をさらに例示するが、本発明を限定するものではない。
Figure 0007581336000045
この組合せは、補助剤と十分に混合され、混合物が好適なミルにおいて十分に粉砕され、これにより、水和剤が得られ、これは、水で希釈されて、所望の濃度の懸濁液が得られる。
Figure 0007581336000046
この組合せは、補助剤と十分に混合され、混合物が好適なミルにおいて十分に粉砕され、種子処理に直接使用され得る粉剤が得られる。
Figure 0007581336000047
植物保護に使用され得る、任意の所要の希釈率の乳剤が水による希釈によってこの濃縮物から得られる。
Figure 0007581336000048
即時使用可能なダスト剤は、担体と組み合わせて混合し、混合物を好適なミルにおいて粉砕することによって得られる。このような粉末は、種子の乾式粉衣にも使用され得る。
Figure 0007581336000049
この組合せは、補助剤と混合され、粉砕され、混合物は、水で濡らされる。混合物は、押し出され、次に空気流中で乾燥される。
Figure 0007581336000050
この微粉化された組合せは、ミキサー中において、ポリエチレングリコールで濡らされたカオリンに均一に適用される。このように、ほこりのない被覆された粒剤が得られる。
Figure 0007581336000051
この微粉化された組合せは、補助剤と均質混合され、懸濁液濃縮物が得られ、この懸濁液濃縮物から、任意の所望の希釈率の懸濁液が水による希釈によって得られる。このような希釈を用いて、生きた植物並びに植物繁殖材料が処理され、噴霧、注ぎかけ又は浸漬によって微生物による寄生から保護され得る。
Figure 0007581336000052
この微粉化された組合せは、補助剤と均質混合され、懸濁液濃縮物が得られ、この懸濁液濃縮物から、任意の所望の希釈率の懸濁液が水による希釈によって得られる。このような希釈を用いて、生きた植物並びに植物繁殖材料が処理され、噴霧、注ぎかけ又は浸漬によって微生物による寄生から保護され得る。
持続放出性カプセル懸濁剤
28部のこの組合せを2部の芳香族溶媒及び7部のトルエンジイソシアネート/ポリメチレン-ポリフェニルイソシアネート-混合物(8:1)と混合する。この混合物を、所望の粒度が得られるまで、1.2部のポリビニルアルコールと、0.05部の消泡剤と、51.6部の水との混合物中で乳化する。この乳剤に5.3部の水中の2.8部の1,6-ジアミノヘキサンの混合物を加える。混合物を、重合反応が完了するまで撹拌する。得られたカプセル懸濁剤を、0.25部の増粘剤及び3部の分散剤を加えることによって安定化させる。カプセル懸濁剤製剤は、28%の有効成分を含有する。カプセルの中間直径は8~15μmである。得られた製剤を、該当する目的に好適な装置中の水性懸濁液として種子に施用する。
製剤のタイプとしては、乳剤濃縮物(EC)、懸濁液濃縮物(SC)、サスポエマルション(SE)、カプセル懸濁剤(CS)、水和性粒剤(WG)、乳化性粒剤(EG)、油中水乳剤(EO)、水中油乳剤(EW)、マイクロエマルション(ME)、油性分散液(OD)、油混和性フロアブル剤(OF)、油混和性液体(OL)、可溶性濃縮物(SL)微量散布用懸濁剤(SU)、微量散布用液剤(UL)、工業用濃縮物(TK)、分散性濃縮物(DC)、水和剤(WP)、可溶性粒剤(SG)又は農学的に許容できる補助剤と組み合わされた任意の技術的に実現可能な製剤が挙げられる。
調製実施例:
「Mp」は、融点(℃)を意味する。遊離基は、メチル基を表す。1H NMR測定をBrucker400MHz分光計で記録し、化学シフトを、TMS標準を基準としてppmで示す。示されるように、スペクトルを重水素化溶媒中で測定した。以下のLCMS法のいずれか一方を用いて化合物を特徴付けた。各化合物について得た特徴的なLCMS値は、保持時間(「Rt」、分で記録した)及び実測の分子イオン(M+H)+又は(M-H)-であった。
LCMS方法:
方法1:
スペクトルを、以下を備えるWaters製質量分析計(SQDシングル四重極型質量分析計)で記録した:エレクトロスプレーソース(極性:陽イオン又は陰イオン、フルスキャン、キャピラリ:3.00kV、コーン範囲:41V、ソース温度:150℃、脱溶媒和温度:500℃、コーンガス流:50L/Hr、脱溶媒和ガス流:1000L/Hr、質量範囲:110~800Da)及びWaters製HクラスUPLC:バイナリポンプ、被加熱カラムコンパートメント及びダイオード-アレイ検出器。カラム:Waters UPLC HSS T3 C18、1.8μm、30×2.1mm、温度:40℃、DAD波長帯(nm):210~400、溶媒勾配:A=水+5%アセトニトリル+0.1%HCOOH、B=アセトニトリル+0.05%HCOOH:勾配:0分間、10% B;0.~0.2分間、10%から50% B;0.2~0.7分間、50%から100% B;0.7~1.3分間、100% B;1.3~1.4分間、100%から10% B;1.4~1.6分間、10% B;流れ(mL/分)0.6。
方法2:
スペクトルを、以下を備えるAgilent Technologies製の質量分光計(6410 Triple Quadrupole質量分光計)で記録した:エレクトロスプレーソース(極性:陽イオン又は陰イオン、MS2スキャン、キャピラリ:4.00kV、フラグメンタ:100V、脱溶剤温度:350℃、ガス流:11L/min、ネブライザガス:45psi、質量範囲:110~1000Da)及びAgilent製1200Series HPLC:クォータナリポンプ、被加熱カラムコンパートメント及びダイオード-アレイ検出器。カラム:KINETEX EVO C18、2.6μm、50×4.6mm、温度:40℃、DAD波長範囲(nm):210~400、溶剤勾配:A=水+5% アセトニトリル+0.1% HCOOH、B=アセトニトリル+0.1% HCOOH:勾配:0分間 0% B、100% A;0.9~1.8分間 100% B;1.8~2.2分間 100%から10% B;2.2~2.5分間 10% B;流れ(mL/min)1.8。
実施例P1:[2-[5-[[ジメチル(オキソ)-λ6-スルファニリデン]アミノ]-3-エチルスルホニル-2-ピリジル]-1,3-ベンゾオキサゾール-5-イル]-イミノ-オキソ-(トリフルオロメチル)-λ6-スルファン(化合物P1)の調製
Figure 0007581336000053
工程1:5-ブロモ-3-エチルスルホニル-N-[2-ヒドロキシ-5-(トリフルオロメチルスルファニル)フェニル]ピリジン-2-カルボキサミド(中間体I1)の調製
Figure 0007581336000054
0℃の冷却した5-ブロモ-3-エチルスルホニル-ピリジン-2-カルボン酸(CAS 2098699-89-7、国際公開第2018215304号に記載したように調製)(5.3g、18mmol)のジクロロメタン(53mL)及びDMF(1.8mL)懸濁液に、二塩化オキサリル(3.2mL、36mmol)を、シリンジを介して滴下で添加した。このように得られたオフホワイト色の懸濁液を室温で2時間撹拌した。反応塊を窒素雰囲気下で蒸発乾固し、粗5-ブロモ-3-エチルスルホニル-ピリジン-2-カルボニルクロリドを得て、これを次の工程のためにそれ自体で使用した。
0℃の冷却した2-アミノ-4-(トリフルオロメチルスルファニル)フェノール(CAS 228401-48-7、国際公開第2011040629号に記載したように調製)(4.5g、21mmol)のテトラヒドロフラン(20mL)溶液にN,N-ジイソプロピルエチルアミン(6.1mL、36mmol)を加え、それに続いて新たに調製した5-ブロモ-3-エチルスルホニル-ピリジン-2-カルボニルクロリドのTHF(20mL)溶液を加えた。反応塊を室温で16時間撹拌し、次いで水(100mL)でクエンチし、酢酸エチル(3×80mL)で抽出した。合わせた有機層をブライン(100mL)で洗浄し、硫酸ナトリウムで乾燥させ、濾過し、真空中で濃縮した。粗化合物を、combiflash(シリカゲル、シクロヘキサン中の10~15%酢酸エチル)を使用して精製し、5-ブロモ-3-エチルスルホニル-N-[2-ヒドロキシ-5-(トリフルオロメチル-スルファニル)フェニル]ピリジン-2-カルボキサミドを得た。LCMS(方法1):保持時間1.11分、485(M+H)+
工程2:2-(5-ブロモ-3-エチルスルホニル-2-ピリジル)-5-(トリフルオロメチルスルファニル)-1,3-ベンゾオキサゾール(中間体I2)の調製
Figure 0007581336000055
撹拌した5-ブロモ-3-エチルスルホニル-N-[2-ヒドロキシ-5-(トリフルオロメチルスルファニル)フェニル]ピリジン-2-カルボキサミド(上記のように調製した中間体I1)(4.5g、9.3mmol)のm-キシレン(45mL)溶液に4-メチルベンゼンスルホン酸水和物(1.6g、9.3mmol)を室温で加え、反応塊を160℃で9時間加熱した。反応混合物を室温に冷却し、水(50mL)で希釈し、酢酸エチル(3×50mL)で抽出した。合わせた有機層をブライン(50mL)で洗浄し、硫酸ナトリウムで乾燥させ、濾過し、真空中で濃縮した。粗化合物を、combiflash(シリカゲル、シクロヘキサン中の10~15%酢酸エチル)を使用して精製し、2-(5-ブロモ-3-エチルスルホニル-2-ピリジル)-5-(トリフルオロメチルスルファニル)-1,3-ベンゾオキサゾールを得た。
LCMS(方法1):保持時間1.23分、476(M+H)+。1H NMR(400MHz,DMSO-d6)δ ppm 1.28(t,3H),3.91-3.98(m,2H),7.91(dd,1H),8.10(d,1H),8.38(d,1H),8.74(d,1H),9.30(d,1H).
工程3:[5-エチルスルホニル-6-[5-(トリフルオロメチルスルファニル)-1,3-ベンゾオキサゾール-2-イル]-3-ピリジル]イミノ-ジメチル-オキソ-λ6-スルファン(中間体I3)の調製
Figure 0007581336000056
2-(5-ブロモ-3-エチルスルホニル-2-ピリジル)-5-(トリフルオロメチルスルファニル)-1,3-ベンゾオキサゾール(上記のように調製した中間体I2)(0.59g、1.26mmol)の1,4-ジオキサン(5.0mL)溶液に(ジメタンスルフィニリデン)アミン(0.136g、1.38mmol)、炭酸セシウム(0.827g、2.52mmol)及び(5-ジフェニルホスファニル-9,9-ジメチル-キサンテン-4-イル)-ジフェニル-ホスファン(0.15g、0.25mmol)を加えた。反応塊を窒素で10分間脱気し、これに次いで(1E,4E)-1,5-ジフェニルペンタ-1,4-ジエン-3-オン;パラジウム(0.11g、0.12mmol)を加えた。反応塊を110℃で窒素雰囲気下において3時間還流させ、次いで水(30mL)で希釈し、酢酸エチル(3×30mL)で抽出した。合わせた有機層を硫酸ナトリウムで乾燥させ、濾過し、真空中で濃縮した。粗生成物をcombiflash(シリカゲル、ジクロロメタン中の10%メタノール)によって精製し、[[5-エチルスルホニル-6-[5-(トリフルオロメチルスルファニル)-1,3-ベンゾオキサゾール-2-イル]-3-ピリジル]イミノ-ジメチル-オキソ-λ6スルファンを得た。LCMS(方法1):保持時間1.05分、480(M+H)+1H NMR(400MHz,クロロホルム-d)δ ppm 1.44(t,3H),3.32(s,6H),4.05(q,2H),7.68-7.75(m,2H),8.14-8.18(m,2H),8.70(d,1H).
工程4:[2-[5-[[ジメチル(オキソ)-λ6-スルファニリデン]アミノ]-3-エチルスルホニル-2-ピリジル]-1,3-ベンゾオキサゾール-5-イル]-イミノ-オキソ-(トリフルオロメチル)-λ6-スルファン(化合物P1)の調製
Figure 0007581336000057
撹拌した[[5-エチルスルホニル-6-[5-(トリフルオロメチルスルファニル)-1,3-ベンゾオキサゾール-2-イル]-3-ピリジル]イミノ-ジメチル-オキソ-λ6-スルファン(上記のように調製した中間体I3)(0.4g、0.83mmol)の2,2,3,3,4,4,5,5-オクタフルオロペンタン-1-オール(7.0mL)溶液にカルバミン酸アンモニウム(0.19g、2.5mmol)、それに続いてPhI(OAc)2(1.15g、3.5mmol)を室温で加えた。反応混合物を室温で6時間撹拌した。反応塊を氷冷水(20mL)でクエンチし、酢酸エチル(3×20mL)で抽出した。合わせた有機層をチオ硫酸ナトリウム溶液(20mL)及びブライン(20mL)で洗浄し、硫酸ナトリウムで乾燥させ、濾過し、真空中で濃縮した。粗生成物をcombiflash(シリカゲル、ジクロロメタン中の10%MeOH)によって精製し、[2-[5-[[ジメチル(オキソ)-λ6-スルファニリデン]アミノ]-3-エチルスルホニル-2-ピリジル]-1,3-ベンゾオキサゾール-5-イル]-イミノ-オキソ-(トリフルオロメチル)-λ6-スルファンを得た。LCMS(方法1):保持時間0.91分、511(M+H)+
1H NMR(400MHz,アセトン-d6)δ ppm 1.32-1.41(m,3H),3.49(s,6H),3.94(q,2H),8.05(d,1H),8.16(d,1H),8.32(d,1H),8.32(d,1H),8.58-8.63(m,2H).
実施例P2:[2-[5-[[ジメチル(オキソ)-λ6-スルファニリデン]アミノ]-3-エチルスルホニル-2-ピリジル]-1,3-ベンゾオキサゾール-5-イル]-エチルイミノ-オキソ-(トリフルオロメチル)-λ6-スルファン(化合物P2)の調製
Figure 0007581336000058
工程1:[2-(5-ブロモ-3-エチルスルホニル-2-ピリジル)-1,3-ベンゾオキサゾール-5-イル]-イミノ-オキソ-(トリフルオロメチル)-λ6-スルファン(中間体I4)の調製
Figure 0007581336000059
撹拌した2-(5-ブロモ-3-エチルスルホニル-2-ピリジル)-5-(トリフルオロメチルスルファニル)-1,3-ベンゾオキサゾール(上記のように調製した中間体I2)(0.9g、1.92mmol)の2,2,3,3,4,4,5,5-オクタフルオロペンタン-1-オール(12.0mL)溶液にカルバミン酸アンモニウム(0.46g、5.77mmol)、それに続いてPhI(OAc)2(2.65g、8.09mmol)を室温で加えた。反応混合物を室温で16時間撹拌した。反応塊を氷冷水(50mL)でクエンチし、酢酸エチル(3×50mL)で抽出した。合わせた有機層をチオ硫酸ナトリウム溶液(50mL)及びブライン(50mL)で洗浄し、硫酸ナトリウムで乾燥させ、濾過し、真空中で濃縮した。粗生成物をcombiflash(シリカゲル、シクロヘキサン中の40%酢酸エチル)によって精製し、[2-(5-ブロモ-3-エチルスルホニル-2-ピリジル)-1,3-ベンゾオキサゾール-5-イル]-イミノ-オキソ-(トリフルオロメチル)-λ6-スルファンを得た。
LCMS(方法1):保持時間1.05分、498(M+H)+
工程2:[2-(5-ブロモ-3-エチルスルホニル-2-ピリジル)-1,3-ベンゾオキサゾール-5-イル]-エチルイミノ-オキソ-(トリフルオロメチル)-λ6-スルファン(中間体I5)の調製
Figure 0007581336000060
撹拌した[2-(5-ブロモ-3-エチルスルホニル-2-ピリジル)-1,3-ベンゾオキサゾール-5-イル]-イミノ-オキソ-(トリフルオロメチル)-λ6-スルファン(上記のように調製した中間体I4)(1.5g、3.0mmol)のN,N-ジメチルホルムアミド(15.0mL)溶液に炭酸カリウム(1.2g、9.0mmol)、それに続いてヨードエタン(700mg、4.5mmol)を加えた。反応塊を室温で4時間撹拌し、次いで氷冷水(80mL)でクエンチし、酢酸エチル(3×50mL)で抽出した。合わせた有機層を硫酸ナトリウムで乾燥させ、濾過し、真空中で濃縮した。粗生成物をcombiflash(シリカゲル、シクロヘキサン中の40%酢酸エチル)によって精製し、[2-(5-ブロモ-3-エチルスルホニル-2-ピリジル)-1,3-ベンゾオキサゾール-5-イル]-エチルイミノ-オキソ-(トリフルオロメチル)-λ6-スルファンを得た。
LCMS(方法1):保持時間1.21分、526(M+H)+
工程3:[2-[5-[[ジメチル(オキソ)-λ6-スルファニリデン]アミノ]-3-エチルスルホニル-2-ピリジル]-1,3-ベンゾオキサゾール-5-イル]-エチルイミノ-オキソ-(トリフルオロメチル)-λ6-スルファン(化合物P2)の調製
Figure 0007581336000061
[2-(5-ブロモ-3-エチルスルホニル-2-ピリジル)-1,3-ベンゾオキサゾール-5-イル]-エチルイミノ-オキソ-(トリフルオロメチル)-λ6-スルファン(上記のように調製した中間体I5)(0.70g、1.33mmol)の1,4-ジオキサン(5.0mL)溶液に(ジメタンスルフィニリデン)アミン(0.14g、1.46mmol)、炭酸セシウム(0.87g、2.66mmol)及び(5-ジフェニルホスファニル-9,9-ジメチル-キサンテン-4-イル)-ジフェニル-ホスファン(0.15g、0.26mmol)を加えた。反応塊を窒素で10分間脱気し、これに次いで(1E,4E)-1,5-ジフェニルペンタ-1,4-ジエン-3-オン;パラジウム(0.12g、0.13mmol)を加えた。反応塊を110℃で窒素雰囲気下において3時間還流させ、次いで水(30mL)で希釈し、酢酸エチル(3×30mL)で抽出した。合わせた有機層を硫酸ナトリウムで乾燥させ、濾過し、真空中で濃縮した。粗生成物をcombiflash(シリカゲル、ジクロロメタン中の10%メタノール)によって精製し、[2-[5-[[ジメチル(オキソ)-λ6-スルファニリデン]アミノ]-3-エチルスルホニル-2-ピリジル]-1,3-ベンゾオキサゾール-5-イル]-エチルイミノ-オキソ-(トリフルオロメチル)-λ6-スルファンを白色の固体として得た。LCMS(方法1):保持時間1.07分、539(M+H)+。1H NMR(400MHz,クロロホルム-d)δ ppm 1.31-1.38(m,3H),1.43-1.48(m,3H),3.33(s,6H),3.39-3.63(m,1H),3.40-3.61(m,1H),3.96-4.08(m,2H),7.79-7.92(m,1H),8.13-8.22(m,2H),8.50-8.71(m,2H).
実施例P3:N-[5-エチルスルホニル-6-[5-[N-エチル-S-(トリフルオロメチル)スルホンイミドイル]-1,3-ベンゾオキサゾール-2-イル]-3-ピリジル]-N-メチル-アセトアミド(化合物P3)の調製
Figure 0007581336000062
工程1:tert-ブチル5-ブロモ-3-エチルスルファニル-ピリジン-2-カルボキシレート(中間体I6)の調製
Figure 0007581336000063
4-ジメチルアミノピリジン(0.23g、0.19mmol)及びジ-tert-ブチルジカーボネート(6.31g、28.6mmol)を、トリエチルアミン(4.03mL、28.6mmol)を有する5-ブロモ-3-エチルスルファニル-ピリジン-2-カルボン酸(CAS 1857366-13-2、国際公開第2017084879号に記載したように調製)(5.00g、19.1mmol)のアセトニトリル(100mL)溶液に加えた。反応混合物を50℃で一晩加熱した。室温に冷却した後、反応混合物を水(80mL)で希釈し、水相を酢酸エチル(3×100mL)で抽出した。合わせた有機相を硫酸ナトリウムで乾燥させ、濾過し、真空中で濃縮した。得られた原油をシリカゲル(シクロヘキサン中の35%酢酸エチル)上のフラッシュクロマトグラフィーによって精製し、所望の化合物を黄色の油として得た。1H NMR(400MHz,クロロホルム-d)δ ppm:1.39-1.45(m,3H),1.65(s,9H),2.92(q,J=7.34Hz,2H),7.75(d,J=1.96Hz,1H),8.45(d,J=1.96Hz,1H).
工程2:tert-ブチル5-ブロモ-3-エチルスルホニル-ピリジン-2-カルボキシレート(中間体I7)の調製
Figure 0007581336000064
3-クロロ過安息香酸(2.20g、9.70mmol)を、0℃の冷却したtert-ブチル5-ブロモ-3-エチルスルファニル-ピリジン-2-カルボキシレート(上記のように調製した中間体I6)(1.50g、4.70mmol)のジクロロメタン(27mL)溶液に少しずつ加えた。反応混合物を0℃で40分、次いで室温で2時間撹拌した。飽和チオ硫酸ナトリウム溶液(10mL)及び1Nの水酸化ナトリウム(10mL)でクエンチした後、水相をジクロロメタン(3×30mL)で抽出した。合わせた有機相を硫酸ナトリウムで乾燥させ、濾過し、真空中で濃縮した。粗材料をそれ以上精製することなく次の工程で使用した。1H NMR(400MHz,クロロホルム-d)δ ppm:1.35(t,3H),1.65(s,9H),3.53(q,2H),8.45(d,1H),8.87(d,1H).
工程3:tert-ブチル3-エチルスルホニル-5-(メチルアミノ)ピリジン-2-カルボキシレート(中間体I8)の調製
Figure 0007581336000065
テトラヒドロフラン(4.0mL)中のtert-ブチル5-ブロモ-3-エチルスルホニル-ピリジン-2-カルボキシレート(上記のように調製した中間体I7)(1.30g、3.70mmol)、メチルアミン(水溶液中40%)(1.0mL、11.6mmol)及び銅粉(47mg、0.74mmol)の混合物を、密封したチューブ中において100℃で8時間加熱した。室温に冷却した後、反応混合物を水(10mL)でクエンチし、水相を酢酸エチル(3×30mL)で抽出した。合わせた有機相を硫酸ナトリウムで乾燥させ、濾過し、真空中で濃縮した。粗材料を精製せずに直接使用した。LCMS(方法3):保持時間1.06分、299(M-H)-
1H NMR(400MHz,クロロホルム-d)δ ppm 1.26(t,J=7.15Hz,3H),1.62(s,1H),2.94(s,3H),3.59(q,J=7.46Hz,2H),7.39(s,1H),8.3(br s,1H).
工程4:tert-ブチル5-[アセチル(メチル)アミノ]-3-エチルスルホニル-ピリジン-2-カルボキシレート(中間体I9)の調製
Figure 0007581336000066
tert-ブチル3-エチルスルホニル-5-(メチルアミノ)ピリジン-2-カルボキシレート(上記のように調製した中間体I8)(2.88g、9.59mmol)に無水酢酸(25mL)を加え、反応塊を60℃で2時間加熱した。反応混合物を氷水(80mL)で希釈し、酢酸エチル(3×60mL)で抽出した。合わせた有機層をブライン(30mL)で洗浄し、硫酸ナトリウムで乾燥させ、濾過し、真空中で濃縮した。粗化合物をトルエン(3×20mL)と共に同時蒸発させ、tert-ブチル5-[アセチル(メチル)アミノ]-3-エチルスルホニル-ピリジン-2-カルボキシレートを固体として得た。LCMS(方法1):保持時間0.90分、287(M+H)+
工程5:5-[アセチル(メチル)アミノ]-3-エチルスルホニル-ピリジン-2-カルボン酸(中間体I10)の調製
Figure 0007581336000067
tert-ブチル5-[アセチル(メチル)アミノ]-3-エチルスルホニル-ピリジン-2-カルボキシレート(上記のように調製した中間体I9)(3.2g、9.3mmol)のジクロロメタン(20mL)溶液、2,2,2-トリフルオロ酢酸(11mL、140mmol)を室温において滴下で添加した。反応塊を室温で16時間撹拌し、次いで真空中で濃縮した。残渣をトルエンと共に3回同時蒸発させ、5-[アセチル(メチル)アミノ]-3-エチルスルホニル-ピリジン-2-カルボン酸をオフホワイト色の固体として得て、これを次の工程のためにそれ自体で使用した。LCMS(方法1):保持時間0.14分、287(M+H)+
1H NMR(400MHz,DMSO-d6)δ ppm 1.19(t,3H),2.08(br s,3H),3.34(br s,3H),3.50-3.60(m,2H),8.29-8.36(m,1H),8.91(s,1H).
工程6:5-[アセチル(メチル)アミノ]-3-エチルスルホニル-N-[2-ヒドロキシ-5-(トリフルオロメチルスルファニル)フェニル]ピリジン-2-カルボキサミド(中間体I11)の調製
Figure 0007581336000068
0℃の冷却した5-[アセチル(メチル)アミノ]-3-エチルスルホニル-ピリジン-2-カルボン酸(上記のように調製した中間体I10)(2.7g、9.4mmol)のジクロロメタン(27mL)及びDMF(0.94mL)懸濁液に、二塩化オキサリル(1.7mL、19mmol)を、シリンジを介して滴下で添加した。このように得られたオフホワイト色の懸濁液を室温で2時間撹拌した。反応塊を窒素雰囲気下で蒸発乾固し、粗5-[アセチル(メチル)アミノ]-3-エチルスルホニル-ピリジン-2-カルボニルクロリドを得て、これを次の工程のためにそれ自体で使用した。
0℃の冷却した2-アミノ-4-(トリフルオロメチルスルファニル)フェノール(CAS 228401-48-7、国際公開第2011040629号に記載したように調製)(2.4g、11mmol)のテトラヒドロフラン(20mL)溶液にN,N-ジイソプロピルエチルアミン(4.9mL、28mmol)を加え、それに続いて新たに調製した5-[アセチル(メチル)アミノ]-3-エチルスルホニル-ピリジン-2-カルボニルクロリドのTHF(20mL)溶液を加えた。反応塊を室温で16時間撹拌し、次いで水(100mL)でクエンチし、酢酸エチル(3×80mL)で抽出した。合わせた有機層をブライン(100mL)で洗浄し、硫酸ナトリウムで乾燥させ、濾過し、真空中で濃縮した。粗化合物を、combiflash(シリカゲル、ジクロロメタン中の10%MeOH)を使用して精製し、5-[アセチル(メチル)アミノ]-3-エチルスルホニル-N-[2-ヒドロキシ-5-(トリフルオロメチルスルファニル)フェニル]ピリジン-2-カルボキサミドを得た。LCMS(方法1):保持時間0.99分、478(M+H)+
工程7:5-エチルスルホニル-N-メチル-6-[5-(トリフルオロメチルスルファニル)-1,3-ベンゾオキサゾール-2-イル]ピリジン-3-アミン(中間体I12)の調製
Figure 0007581336000069
撹拌した5-[アセチル(メチル)アミノ]-3-エチルスルホニル-N-[2-ヒドロキシ-5-(トリフルオロメチルスルファニル)フェニル]ピリジン-2-カルボキサミド(上記のように調製した中間体I11)(1.2g、2.9mmol)のm-キシレン(20mL)溶液に4-メチルベンゼンスルホン酸水和物(1.29g、7.35mmol)を室温で加え、反応塊を160℃で3時間、それに続いて120℃で16時間加熱した。反応混合物を室温に冷却し、水(50mL)で希釈し、酢酸エチル(3×50mL)で抽出した。合わせた有機層をブライン(50mL)で洗浄し、硫酸ナトリウムで乾燥させ、濾過し、真空中で濃縮した。粗化合物を、combiflash(シリカゲル、シクロヘキサン中の40%酢酸エチル)を使用して精製し、純粋な5-エチルスルホニル-N-メチル-6-[5-(トリフルオロメチルスルファニル)-1,3-ベンゾオキサゾール-2-イル]ピリジン-3-アミンを得た。LCMS(方法1):保持時間1.09分、418(M+H)+。1H NMR(400MHz,クロロホルム-d)δ ppm 1.44(t,3H),3.05(s,3H),4.05-4.16(m,2H),7.64-7.72(m,3H),8.13(s,1H),8.32(d,1H).
工程8:N-[5-エチルスルホニル-6-[5-(トリフルオロメチルスルファニル)-1,3-ベンゾオキサゾール-2-イル]-3-ピリジル]-N-メチル-アセトアミド(中間体I13)の調製
Figure 0007581336000070
5-エチルスルホニル-N-メチル-6-[5-(トリフルオロメチルスルファニル)-1,3-ベンゾオキサゾール-2-イル]ピリジン-3-アミン(上記のように調製した中間体I12)(1.5g、3.6mmol)に無水酢酸(15mL)を加え、反応塊を60℃で2時間加熱した。反応塊を氷水(50mL)で希釈し、酢酸エチル(3×60mL)で抽出した。合わせた有機層をブライン(30mL)で洗浄し、硫酸ナトリウムで乾燥させ、濾過し、真空中で濃縮した。粗化合物をトルエン(3×20mL)と共に同時蒸発させ、N-[5-エチルスルホニル-6-[5-(トリフルオロメチルスルファニル)-1,3-ベンゾオキサゾール-2-イル]-3-ピリジル]-N-メチル-アセトアミドをオフホワイト色の固体として得た。
LCMS(方法1):保持時間1.05分、460(M+H)+。1H NMR(400MHz,クロロホルム-d)δ ppm 1.47(t,3H),2.25(br s,3H),3.51(s,3H),4.09(q,2H),7.73-7.80(m,2H),8.18-8.21(m,1H),8.48(d,1H),8.98(br s,1H).
工程9:N-[5-エチルスルホニル-6-[5-(トリフルオロメチルスルホンイミドイル)-1,3-ベンゾオキサゾール-2-イル]-3-ピリジル]-N-メチル-アセトアミド(化合物P4)の調製
Figure 0007581336000071
撹拌したN-[5-エチルスルホニル-6-[5-(トリフルオロメチルスルファニル)-1,3-ベンゾオキサゾール-2-イル]-3-ピリジル]-N-メチル-アセトアミド(上記のように調製した中間体I13)(1.2g、2.6mmol)の2,2,3,3,4,4,5,5-オクタフルオロペンタン-1-オール(8.0mL)溶液にカルバミン酸アンモニウム(0.51g、6.5mmol)、それに続いてPhI(OAc)2(2.6g、7.8mmol)を室温で加えた。反応混合物を室温で8時間撹拌し、次いで氷冷水(30mL)でクエンチし、酢酸エチル(3×30mL)で抽出した。合わせた有機層をチオ硫酸ナトリウム溶液(20mL)及びブライン(20mL)で洗浄し、硫酸ナトリウムで乾燥させ、濾過し、真空中で濃縮した。粗生成物をcombiflash(シリカゲル、シクロヘキサン中の60%酢酸エチル)によって精製し、N-[5-エチルスルホニル-6-[5-(トリフルオロメチルスルホンイミドイル)-1,3-ベンゾオキサゾール-2-イル]-3-ピリジル]-N-メチル-アセトアミドを得た。
LCMS(方法1):保持時間0.92分、491(M+H)+。1H NMR(400MHz,DMSO-d6)δ ppm 1.26-1.32(m,3H),2.19(br s,3H),3.45(s,3H),3.93(q,2H),7.11(s,1H),8.25-8.31(m,2H),8.56(d,1H),8.63-8.65(m,1H),9.15(d,1H).
工程10:N-[5-エチルスルホニル-6-[5-[N-エチル-S-(トリフルオロメチル)スルホンイミドイル]-1,3-ベンゾオキサゾール-2-イル]-3-ピリジル]-N-メチル-アセトアミド(化合物P3)の調製
Figure 0007581336000072
撹拌したN-[5-エチルスルホニル-6-[5-(トリフルオロメチルスルホンイミドイル)-1,3-ベンゾオキサゾール-2-イル]-3-ピリジル]-N-メチル-アセトアミド(上記のように調製した化合物P4)(0.11g、0.23mmol)のN,N-ジメチルホルムアミド(3.0mL)溶液に炭酸カリウム(0.09g、0.70mmol)、それに続いてヨードエタン(0.05g、0.35mmol)を加えた。反応塊を室温で3時間撹拌し、次いで氷冷水(20mL)でクエンチし、酢酸エチル(3×20mL)で抽出した。合わせた有機層を硫酸ナトリウムで乾燥させ、濾過し、真空中で濃縮した。粗生成物をcombiflash(シリカゲル、シクロヘキサン中の60%酢酸エチル)によって精製し、N-[5-エチルスルホニル-6-[5-[N-エチル-S-(トリフルオロメチル)スルホンイミドイル]-1,3-ベンゾオキサゾール-2-イル]-3-ピリジル]-N-メチル-アセトアミドを得た。
LCMS(方法1):保持時間1.06分、519(M+H)+。1H NMR(400MHz,DMSO-d6)δ ppm 1.23-1.32(m,6H),2.19(br s,3H),3.37-3.51(m,5H),3.93(q,2H),8.24-8.32(m,2H),8.56(d,1H),8.64(d,1H),9.15(d,1H).
実施例P8:1-[5-エチルスルホニル-6-[5-[N-エチル-S-(トリフルオロメチル)スルホンイミドイル]-1,3-ベンゾオキサゾール-2-イル]-3-ピリジル]シクロプロパンカルボニトリル(化合物P8)の調製
Figure 0007581336000073
工程1:5-(1-シアノシクロプロピル)-3-エチルスルファニル-N-[2-ヒドロキシ-5-(トリフルオロメチルスルファニル)フェニル]ピリジン-2-カルボキサミド(中間体I14)の調製
Figure 0007581336000074
0℃の冷却した5-(1-シアノシクロプロピル)-3-エチルスルファニル-ピリジン-2-カルボン酸(CAS 2225113-77-7、国際公開第2018108726号に記載したように調製)(3.00g、12.1mmol)のジクロロメタン(30mL)及びDMF(1.21mL)懸濁液に、二塩化オキサリル(2.13mL、24.2mmol)を、シリンジを介して滴下で添加した。このように得られたオフホワイト色の懸濁液を室温で2時間撹拌した。反応塊を窒素雰囲気下で蒸発乾固し、粗5-(1-シアノシクロプロピル)-3-エチルスルファニル-ピリジン-2-カルボニルクロリドを得て、これを次の工程のためにそれ自体で使用した。
0℃の冷却した2-アミノ-4-(トリフルオロメチルスルファニル)フェノール(CAS 228401-48-7、国際公開第2011040629号に記載したように調製)(2.8g、13mmol)のテトラヒドロフラン(30mL)溶液にN,N-ジイソプロピルエチルアミン(3.9mL、22mmol)を加え、それに続いて新たに調製した5-(1-シアノシクロプロピル)-3-エチルスルファニル-ピリジン-2-カルボニルクロリド(3.0g、11mmol)のTHF(50mL)溶液を加えた。反応塊を室温で16時間撹拌し、次いで水(100mL)でクエンチし、酢酸エチル(3×50mL)で抽出した。合わせた有機層をブライン(100mL)で洗浄し、硫酸ナトリウムで乾燥させ、濾過し、真空中で濃縮した。粗化合物を、combiflash(シリカゲル、シクロヘキサン中の10~15%酢酸エチル)を使用して精製し、5-(1-シアノシクロプロピル)-3-エチルスルファニル-N-[2-ヒドロキシ-5-(トリフルオロメチルスルファニル)フェニル]ピリジン-2-カルボキサミドを得た。LCMS(方法1):保持時間1.06分、440(M+H)+。1H NMR(400MHz,DMSO-d6)δ ppm 1.32(t,3H),1.74-1.85(m,2H),1.85-1.93(m,2H),3.04(q,2H),7.06(d,1H),7.33(dd,1H),7.69(d,1H),8.39(d,1H),8.69(d,1H),10.48(s,1H),11.26(s,1H).
工程2:1-[5-エチルスルファニル-6-[5-(トリフルオロメチルスルファニル)-1,3-ベンゾオキサゾール-2-イル]-3-ピリジル]シクロプロパンカルボニトリル(中間体I15)の調製
Figure 0007581336000075
撹拌した5-(1-シアノシクロプロピル)-3-エチルスルファニル-N-[2-ヒドロキシ-5-(トリフルオロメチル-スルファニル)フェニル]ピリジン-2-カルボキサミド(上記のように調製した中間体I14)(3.10g、7.05mmol)のm-キシレン(30mL)溶液に4-メチルベンゼンスルホン酸水和物(1.24g、7.05mmol)を室温で加え、反応塊を160℃で9時間加熱した。反応混合物を室温に冷却し、水(50mL)で希釈し、酢酸エチル(3×50mL)で抽出した。合わせた有機層をブライン(50mL)で洗浄し、硫酸ナトリウムで乾燥させ、濾過し、真空中で濃縮した。粗化合物を、combiflash(シリカゲル、シクロヘキサン中の10~15%酢酸エチル)を使用して精製し、純粋な1-[5-エチルスルファニル-6-[5-(トリフルオロメチルスルファニル)-1,3-ベンゾオキサゾール-2-イル]-3-ピリジル]シクロプロパンカルボニトリルを得た。LCMS(方法1):保持時間1.14分、422(M+H)+。1H NMR(400MHz,クロロホルム-d)δ ppm 1.49-1.54(m,3H),1.60-1.66(m,2H),1.92-1.99(m,2H),3.12(q,2H),7.70-7.76(m,2H),7.79-7.86(m,1H),8.25-8.33(m,2H).
工程3:1-[5-エチルスルホニル-6-[5-(トリフルオロメチルスルファニル)-1,3-ベンゾオキサゾール-2-イル]-3-ピリジル]シクロプロパンカルボニトリル(中間体I16)の調製
Figure 0007581336000076
0℃の冷却した1-[5-エチルスルファニル-6-[5-(トリフルオロメチルスルファニル)-1,3-ベンゾオキサゾール-2-イル]-3-ピリジル]シクロプロパンカルボニトリル(上記のように調製した中間体I15)(2.20g、5.22mmol)のジクロロメタン(44.0mL)溶液に3-クロロベンゼンカルボペルオキソ酸(2.57g、10.4mmol)を加えた。反応塊を室温にし、4時間撹拌し、次いで2Mの水酸化ナトリウム溶液(70mL)でクエンチし、ジクロロメタン(3×100mL)で抽出した。合わせた有機層を硫酸ナトリウムで乾燥させ、濾過し、真空中で濃縮した。粗生成物をcombiflash(シリカゲル、シクロヘキサン中の40%酢酸エチル)によって精製し、1-[5-エチルスルホニル-6-[5-(トリフルオロメチルスルファニル)-1,3-ベンゾオキサゾール-2-イル]-3-ピリジル]シクロプロパンカルボニトリルを白色の固体として得た。
LCMS(方法1):保持時間1.11分、454(M+H)+。1H NMR(400MHz,クロロホルム-d)δ ppm 1.45(t,3H),1.62-1.73(m,2H),1.99-2.08(m,2H),4.07(q,2H),7.27(s,1H),7.73-7.81(m,2H),8.19(s,1H),8.32(d,1H),9.06(d,1H).
工程4:1-[5-エチルスルホニル-6-[5-(トリフルオロメチルスルホンイミドイル)-1,3-ベンゾオキサゾール-2-イル]-3-ピリジル]シクロプロパンカルボニトリル(化合物P7)の調製)
Figure 0007581336000077
撹拌した1-[5-エチルスルホニル-6-[5-(トリフルオロメチルスルファニル)-1,3-ベンゾオキサゾール-2-イル]-3-ピリジル]シクロプロパンカルボニトリル(上記のように調製した中間体I16)(1.0g、2.2mmol)の2,2,3,3,4,4,5,5-オクタフルオロペンタン-1-オール(7.0mL)溶液にカルバミン酸アンモニウム(0.44g、5.5mmol)、それに続いてPhI(OAc)2(2.2g、6.6mmol)を室温で加えた。反応混合物を室温で16時間撹拌し、次いで氷冷水(50mL)でクエンチし、酢酸エチル(3×50mL)で抽出した。合わせた有機層をチオ硫酸ナトリウム溶液(50mL)及びブライン(50mL)で洗浄し、硫酸ナトリウムで乾燥させ、濾過し、真空中で濃縮した。粗生成物をcombiflash(シリカゲル、シクロヘキサン中の30%酢酸エチル)によって精製し、1-[5-エチルスルホニル-6-[5-(トリフルオロメチルスルホンイミドイル)-1,3-ベンゾオキサゾール-2-イル]-3-ピリジル]シクロプロパンカルボニトリルを得た。LCMS(方法1):保持時間1.00分、485(M+H)+。1H NMR(400MHz,DMSO-d6)δ ppm 1.23-1.33(m,3H),1.91-2.08(m,4H),3.95(q,2H),7.12(s,1H),8.25-8.33(m,2H),8.43(d,1H),8.66(s,1H),9.04(d,1H).
工程5:1-[5-エチルスルホニル-6-[5-[N-エチル-S-(トリフルオロメチル)スルホンイミドイル]-1,3-ベンゾオキサゾール-2-イル]-3-ピリジル]シクロプロパンカルボニトリル(化合物P8)の調製
Figure 0007581336000078
撹拌した1-[5-エチルスルホニル-6-[5-(トリフルオロメチルスルホンイミドイル)-1,3-ベンゾオキサゾール-2-イル]-3-ピリジル]シクロプロパンカルボニトリル(上記のように調製した化合物P7)(0.16g、0.33mmol)のN,N-ジメチルホルムアミド(2.0mL)溶液に炭酸カリウム(0.13g、0.99mmol)、それに続いてヨードエタン(0.07g、0.49mmol)を加えた。反応塊を室温で4時間撹拌し、次いで氷冷水(20mL)でクエンチし、酢酸エチル(3×20mL)で抽出した。合わせた有機層を硫酸ナトリウムで乾燥させ、濾過し、真空中で濃縮した。粗生成物をcombiflash(シリカゲル、シクロヘキサン中の30%酢酸エチル)によって精製し、1-[5-エチルスルホニル-6-[5-[N-エチル-S-(トリフルオロメチル)スルホンイミドイル]-1,3-ベンゾオキサゾール-2-イル]-3-ピリジル]シクロプロパンカルボニトリルを白色の固体として得た。LCMS(方法1):保持時間1.19分、513(M+H)+。1H NMR(400MHz,DMSO-d6)δ ppm 1.23-1.33(m,6H),1.92-2.07(m,4H),3.35-3.52(m,2H),3.95(q,2H),8.25-8.33(m,2H),8.43(d,1H),8.65(s,1H),9.04(d,1H).
実施例P20:1-[5-エチルスルホニル-6-[6-[N-エチル-S-(トリフルオロメチル)スルホンイミドイル]-3-メチル-イミダゾ[4,5-b]ピリジン-2-イル]-3-ピリジル]シクロプロパンカルボニトリル(化合物P20)の調製
Figure 0007581336000079
工程1:N-[3-アミノ-5-(トリフルオロメチルスルファニル)-2-ピリジル]-5-(1-シアノシクロプロピル)-3-エチルスルファニル-N-メチル-ピリジン-2-カルボキサミド(中間体I17)の調製
Figure 0007581336000080
5-(1-シアノシクロプロピル)-3-エチルスルファニル-ピリジン-2-カルボン酸(CAS 2225113-77-7、国際公開第2018/108726号に記載したように調製)(3.17g、12.8mmol)のジクロロメタン(28.5mL)及び触媒DMF懸濁液に、二塩化オキサリル(2.05mL、23mmol)を、シリンジを介して室温において滴下で添加した。このように得られた反応塊を室温で1時間撹拌した。反応塊を窒素雰囲気下で蒸発乾固し、粗5-(1-シアノシクロプロピル)-3-エチルスルファニル-ピリジン-2-カルボニルクロリドを得て、これを次の工程のためにそれ自体で使用した。
0℃の冷却したN2-メチル-5-(トリフルオロメチルスルファニル)ピリジン-2,3-ジアミン(CAS 1383840-73-0)(2.99g、13.4mmol)のテトラヒドロフラン(63.4mL)溶液にトリエチルアミン(4.13mL、29.4mmol)を加え、それに続いて新たに調製した5-(1-シアノシクロプロピル)-3-エチルスルファニル-ピリジン-2-カルボニルクロリドのテトラヒドロフラン(19mL)溶液を加えた。反応混合物を室温で2時間撹拌し、次いで真空中で濃縮した。粗化合物を炭酸水素ナトリウム水溶液で塩基性化し、酢酸エチルで抽出した。合わせた有機層を炭酸水素ナトリウム水溶液で洗浄し、硫酸ナトリウムで乾燥させ、濾過し、真空中で濃縮し、N-[3-アミノ-5-(トリフルオロメチルスルファニル)-2-ピリジル]-5-(1-シアノシクロプロピル)-3-エチルスルファニル-N-メチル-ピリジン-2-カルボキサミドを得た。この粗材料を次の工程のためにそれ自体で使用した。LCMS(方法2):保持時間1.54分、454(M+H)+
工程2:1-[5-エチルスルファニル-6-[3-メチル-6-(トリフルオロメチルスルファニル)イミダゾ[4,5-b]ピリジン-2-イル]-3-ピリジル]シクロプロパンカルボニトリル(中間体I18)の調製
Figure 0007581336000081
酢酸(62mL)中のN-[3-アミノ-5-(トリフルオロメチルスルファニル)-2-ピリジル]-5-(1-シアノシクロプロピル)-3-エチルスルファニル-N-メチル-ピリジン-2-カルボキサミド(上記のように調製した中間体I17)(6.24g、13.77mmol)の混合物を130℃で4時間加熱した。反応混合物を室温に冷却し、真空中で濃縮し、飽和炭酸水素ナトリウム水溶液で塩基性化し、酢酸エチルで抽出した。合わせた有機層を飽和炭酸水素ナトリウム水溶液で洗浄し、硫酸ナトリウムで乾燥させ、濾過し、真空中で濃縮した。粗化合物を、combiflash(シリカゲル、シクロヘキサン中の40%酢酸エチル)を使用して精製し、純粋な1-[5-エチルスルファニル-6-[3-メチル-6-(トリフルオロメチルスルファニル)イミダゾ[4,5-b]ピリジン-2-イル]-3-ピリジル]シクロプロパンカルボニトリルを得た。LCMS(方法1):保持時間1.19分、436(M+H)+1H NMR(400MHz,CDCl3)δ ppm 1.40(t,3H),1.59-1.62(m,2H),1.92-1.95(m,2H),3.01(q,2H),4.05(s,3H),7.75(s,1H),8.33(s,1H),8.47(s,1H),8.68(s,1H).
工程3:1-[5-エチルスルホニル-6-[3-メチル-6-(トリフルオロメチルスルファニル)イミダゾ[4,5-b]ピリジン-2-イル]-3-ピリジル]シクロプロパンカルボニトリル(中間体I19)の調製
Figure 0007581336000082
0℃の冷却した1-[5-エチルスルファニル-6-[3-メチル-6-(トリフルオロメチルスルファニル)イミダゾ[4,5-b]ピリジン-2-イル]-3-ピリジル]シクロプロパンカルボニトリル(上記のように調製した中間体I18)(3.54g、8.13mmol)のジクロロメタン(70.0mL)溶液に3-クロロベンゼンカルボペルオキソ酸(4.21g、17.1mmol)を加えた。反応混合物を室温に温め、2時間撹拌し、次いで2Mの水酸化ナトリウム溶液でクエンチし、ジクロロメタンで抽出した。合わせた有機層を硫酸ナトリウムで乾燥させ、濾過し、真空中で濃縮した。粗生成物をcombiflash(シリカゲル、シクロヘキサン中の40%酢酸エチル)によって精製し、1-[5-エチルスルホニル-6-[3-メチル-6-(トリフルオロメチルスルファニル)イミダゾ[4,5-b]ピリジン-2-イル]-3-ピリジル]シクロプロパンカルボニトリルを白色の固体として得た。LCMS(方法2):保持時間1.55分、468(M+H)+1H NMR(400MHz,CDCl3)δ ppm 1.38(t,3H),1.67-1.69(m,2H),2.01-2.07(m,2H),3.86-3.93(m,5H),8.26(d,1H),8.38(d,1H),8.72(d,1H),9.05(d,1H).
工程4:1-[5-エチルスルホニル-6-[3-メチル-6-(トリフルオロメチルスルホンイミドイル)イミダゾ[4,5-b]ピリジン-2-イル]-3-ピリジル]シクロプロパンカルボニトリル(化合物P21)の調製
Figure 0007581336000083
撹拌した1-[5-エチルスルホニル-6-[3-メチル-6-(トリフルオロメチルスルファニル)イミダゾ[4,5-b]ピリジン-2-イル]-3-ピリジル]シクロプロパンカルボニトリル(上記のように調製した中間体I19)(2.44g、5.22mmol)の2,2,3,3,4,4,5,5-オクタフルオロペンタン-1-オール(25.0mL)溶液にカルバミン酸アンモニウム(1.25g、5.5mmol)、それに続いて(ジアセトキシヨード)ベンゼンPhI(OAc)2(4.29g、13.0mmol)を室温で加えた。反応混合物を室温で15時間撹拌し、次いで氷冷水でクエンチし、酢酸エチルで抽出した。合わせた有機層をチオ硫酸ナトリウム水溶液及びブラインで洗浄し、硫酸ナトリウムで乾燥させ、濾過し、真空中で濃縮した。粗生成物をcombiflash(シリカゲル、シクロヘキサン中の30%酢酸エチル)によって精製し、それに続いて分取HPLC(カラムAtlantis T3 Prep OBD(商標)、カラム長さ150mm、内径19mm、粒径5μm、0.1%トリフルオロ酢酸を含有するアセトニトリル及び水の混合物を使用)を使用して精製し、1-[5-エチルスルホニル-6-[3-メチル-6-(トリフルオロメチルスルホンイミドイル)イミダゾ[4,5-b]ピリジン-2-イル]-3-ピリジル]シクロプロパンカルボニトリルを得た。LCMS(方法1):保持時間0.94分、499(M+H)+1H NMR(400MHz,DMSO-d6)δ ppm 1.23(t,3H),1.90-2.06(m,4H),3.77-3.87(m,5H),7.20(br s,1H),8.42(d,1H),8.84(d,1H),9.04(d,1H),9.11(d,1H).
工程5:1-[5-エチルスルホニル-6-[6-[N-エチル-S-(トリフルオロメチル)スルホンイミドイル]-3-メチル-イミダゾ[4,5-b]ピリジン-2-イル]-3-ピリジル]シクロプロパンカルボニトリル(化合物P20)の調製
Figure 0007581336000084
撹拌した1-[5-エチルスルホニル-6-[3-メチル-6-(トリフルオロメチルスルホンイミドイル)イミダゾ[4,5-b]ピリジン-2-イル]-3-ピリジル]シクロプロパンカルボニトリル(上記のように調製した化合物P21)(0.30g、0.60mmol)のN,N-ジメチルホルムアミド(3.0mL)溶液に炭酸カリウム(0.24g、1.85mmol)、それに続いてヨードエタン(0.14g、0.90mmol)を加えた。反応混合物を室温で4時間撹拌し、次いで氷冷水でクエンチし、酢酸エチル(2×25mL)で抽出した。合わせた有機層を硫酸ナトリウムで乾燥させ、濾過し、真空中で濃縮した。粗生成物をcombiflash(シリカゲル、シクロヘキサン中の30%酢酸エチル)によって精製し、1-[5-エチルスルホニル-6-[6-[N-エチル-S-(トリフルオロメチル)スルホンイミドイル]-3-メチル-イミダゾ[4,5-b]ピリジン-2-イル]-3-ピリジル]シクロプロパンカルボニトリルを白色の固体として得た。LCMS(方法1):保持時間1.13分、527(M+H)+1H NMR(400MHz,CDCl3)δ ppm 1.38(dt,6H),1.68-1.71(m,2H),2.04-2.08(m,2H),3.44-3.61(m,2H),3.84-3.92(m,5H),8.26(d,1H),8.74(d,1H),9.06(d,1H),9.14(d,1H).
実施例P32:1-[5-エチルスルホニル-6-[5-[N-エチル-S-(トリフルオロメチル)スルホンイミドイル]-1-メチル-ベンゾイミダゾール-2-イル]-3-ピリジル]シクロプロパンカルボニトリル(化合物P32)の調製
Figure 0007581336000085
工程1:1-[5-エチルスルホニル-6-[1-メチル-5-(トリフルオロメチルスルファニル)ベンゾイミダゾール-2-イル]-3-ピリジル]シクロプロパンカルボニトリル(中間体I20)の調製
Figure 0007581336000086
5-(1-シアノシクロプロピル)-3-エチルスルホニル-ピリジン-2-カルボン酸(CAS 1879106-82-7、国際公開第2016/071214号に記載したように調製)(0.50g、1.78mmol)のニトロベンゼン(4mL)溶液にN1-メチル-4-(トリフルオロメチルスルファニル)ベンゼン-1,2-ジアミン(CAS 1383840-98-9)(0.476g、2.14mmol)、それに続いて塩化ホスホリル(0.420mL、4.46mmol)を室温において滴下で添加した。反応混合物を160℃で6時間、それに続いて120℃で16時間撹拌した。完了後、反応混合物を飽和炭酸水素ナトリウム水溶液(50mL)でクエンチし、酢酸エチル(3×50mL)で抽出した。合わせた有機層をブライン(50mL)で洗浄し、無水硫酸ナトリウムで乾燥させ、真空中で濃縮した。粗生成物をcombiflash(シリカゲル、シクロヘキサン中の35%酢酸エチル)によって精製し、1-[5-エチルスルホニル-6-[1-メチル-5-(トリフルオロメチルスルファニル)ベンゾイミダゾール-2-イル]-3-ピリジル]シクロプロパンカルボニトリルを茶色の固体として得た。LCMS(方法1):Rt=1.10分、m/z=468(M+H)+
工程2:1-[5-エチルスルホニル-6-[1-メチル-5-(トリフルオロメチルスルホンイミドイル)ベンゾイミダゾール-2-イル]-3-ピリジル]シクロプロパンカルボニトリル(化合物P33)の調製
Figure 0007581336000087
1-[5-エチルスルホニル-6-[1-メチル-5-(トリフルオロメチルスルファニル)ベンゾイミダゾール-2-イル]-3-ピリジル]シクロプロパンカルボニトリル(上記のように調製した中間体I20)(1.00g、2.14mmol)の2,2,3,3,4,4,5,5-オクタフルオロペンタン-1-オール(10mL)溶液にカルバミン酸アンモニウム(0.427g、5.36mmol)、それに続いて(ジアセトキシヨード)ベンゼン(2.11g、6.43mmol)を室温で加えた。反応混合物を室温で16時間撹拌し、次いで氷冷水(50mL)でクエンチし、酢酸エチル(3×100mL)で抽出した。合わせた有機層をチオ硫酸ナトリウム溶液(50mL)、それに続いてブライン(50mL)で洗浄し、硫酸ナトリウムで乾燥させ、濾過し、真空中で濃縮した。粗生成物をcombiflash(シリカゲル、シクロヘキサン中の35%酢酸エチル)によって精製し、1-[5-エチルスルホニル-6-[1-メチル-5-(トリフルオロメチルスルホンイミドイル)ベンゾイミダゾール-2-イル]-3-ピリジル]シクロプロパンカルボニトリルを白色の固体として得た。LCMS(方法1):Rt=0.95分、m/z=498(M+H)+1H NMR(400MHz,CDCl3)δ ppm 1.38(t,3H),1.62-1.74(m,2H),1.99-2.08(m,2H),3.66(s,1H),3.85(s,3H),3.85-3.94(m,2H),7.67(d,1H),8.16(d,1H),8.24(d,1H),8.64(s,1H),9.06(d,1H).
工程3:1-[5-エチルスルホニル-6-[5-[N-エチル-S-(トリフルオロメチル)スルホンイミドイル]-1-メチル-ベンゾイミダゾール-2-イル]-3-ピリジル]シクロプロパンカルボニトリル(化合物P32)の調製
Figure 0007581336000088
1-[5-エチルスルホニル-6-[1-メチル-5-(トリフルオロメチルスルホンイミドイル)ベンゾイミダゾール-2-イル]-3-ピリジル]シクロプロパンカルボニトリル(上記のように調製した化合物P33)(0.22g、0.442mmol)のN,N-ジメチルホルムアミド(2.0mL)溶液に炭酸カリウム(0.18g、1.32mmol)、それに続いてヨードエタン(0.10g、0.66mmol)を加えた。反応塊を室温で16時間撹拌し、次いで氷冷水でクエンチし、酢酸エチル(2×20mL)で抽出した。合わせた有機層を硫酸ナトリウムで乾燥させ、濾過し、真空中で濃縮した。粗生成物をcombiflash(シリカゲル、シクロヘキサン中の30%酢酸エチル)によって精製し、1-[5-エチルスルホニル-6-[5-[N-エチル-S-(トリフルオロメチル)スルホンイミドイル]-1-メチル-ベンゾイミダゾール-2-イル]-3-ピリジル]シクロプロパンカルボニトリルを白色の固体として得た。LCMS(方法1):Rt=1.10分、m/z=526(M+H)+1H NMR(400MHz,CDCl3)δ ppm 1.32-1.41(m,6H),1.63-1.72(m,2H),2.01-2.07(m,2H),3.41-3.64(m,2H),3.83(s,3H),3.83-3.94(m,2H),7.63(d,1H),8.11(d,1H),8.24(d,1H),8.57(s,1H),9.05(d,1H).
実施例P31:1-[6-[5-[N-シクロプロピル-S-(トリフルオロメチル)スルホンイミドイル]-1-メチル-ベンゾイミダゾール-2-イル]-5-エチルスルホニル-3-ピリジル]シクロプロパンカルボニトリル(化合物P31)の調製
Figure 0007581336000089
1-[5-エチルスルホニル-6-[1-メチル-5-(トリフルオロメチルスルホンイミドイル)ベンゾイミダゾール-2-イル]-3-ピリジル]シクロプロパンカルボニトリル(上記のように調製した化合物P33)(0.19g、0.38mmol)、ジアセトキシ銅(0.104g、0.57mmol)及びピリジン(0.072g、0.91mmol)の1,4-ジオキサン(3.8mL)溶液を開放空気条件下において室温で5分間撹拌し、それにシクロプロピルボロン酸(0.065g、0.76mmol)を加えた。反応混合物を事前加熱した油浴中、エアバルーン下において3時間100℃で還流させた。反応混合物を室温に冷却し、酢酸エチルで希釈し、蒸留水、それに続いてブライン溶液で洗浄した。有機層を無水硫酸ナトリウムで乾燥させ、真空中で濃縮した。粗生成物をcombiflash(シリカゲル、シクロヘキサン中の酢酸エチル)によって精製し、1-[6-[5-[N-シクロプロピル-S-(トリフルオロメチル)スルホンイミドイル]-1-メチル-ベンゾイミダゾール-2-イル]-5-エチルスルホニル-3-ピリジル]シクロプロパンカルボニトリルを白色の固体として得た。LCMS(方法1):Rt=1.11分、m/z=538(M+H)+1H NMR(400MHz,CDCl3)δ ppm 0.63-0.91(m,4H),1.37(t,3H),1.64-1.71(m,2H),2.02-2.07(m,2H),3.00(br d,1H),3.80-3.94(m,5H),7.62(d,1H),8.07(d,1H),8.24(d,1H),8.54(s,1H),9.05(d,1H).
実施例P17:N-[[2-(3-エチルスルホニル-2-ピリジル)-1,3-ベンゾオキサゾール-5-イル]-オキソ-(トリフルオロメチル)-λ6-スルファニリデン]アセトアミド(化合物P17)の調製
Figure 0007581336000090
[2-(3-エチルスルホニル-2-ピリジル)-1,3-ベンゾオキサゾール-5-イル]-イミノ-オキソ-(トリフルオロメチル)-λ6-スルファン(化合物P16、上記で見出される記述に類似して調製;LCMS(方法1):Rt=0.97分、m/z=420(M+H)+)(50mg、0.119mmol)のN,N-ジメチルホルムアミド(1.19mL)溶液にN,N-ジイソプロピルエチルアミン(64.9mg、0.477mmol)を加え、混合物を室温で10分間撹拌した。無水酢酸(50.2mg、0.477mmol)を加え、撹拌を100℃で16時間続けた。出発材料の不完全な変換を伴ってLCMS分析によって示されるように、N-[[2-(3-エチルスルホニル-2-ピリジル)-1,3-ベンゾオキサゾール-5-イル]-オキソ-(トリフルオロメチル)-λ6-スルファニリデン]アセトアミド(化合物P17)が観察された。LCMS(方法1):Rt=1.00分、m/z=462(M+H)+
実施例P15:[[2-(3-エチルスルホニル-2-ピリジル)-1,3-ベンゾオキサゾール-5-イル]-オキソ-(トリフルオロメチル)-λ6-スルファニリデン]シアナミド(化合物P15)の調製
Figure 0007581336000091
[2-(3-エチルスルホニル-2-ピリジル)-1,3-ベンゾオキサゾール-5-イル]-イミノ-オキソ-(トリフルオロメチル)-λ6-スルファン(化合物P16、上記で見出される記述に類似して調製;LCMS(方法1):Rt=0.97分、m/z=420(M+H)+)(300mg、0.715mmol)のN,N-ジメチルホルムアミド(5mL)溶液に炭酸カリウム(297mg、2.146mmol)を0℃で加え、混合物を10分間撹拌した。臭化シアン(2.0当量、1.431mmol)を0℃で加え、次いで撹拌を室温で6時間続けた。完了後、反応混合物を氷冷水でクエンチし、生成物を酢酸エチル(2×20mL)で抽出し、合わせた有機層を無水硫酸ナトリウムで乾燥させ、濾過し、真空中で濃縮した。残渣をcombiflash(シリカゲル、シクロヘキサン中の酢酸エチル)によって精製し、[[2-(3-エチルスルホニル-2-ピリジル)-1,3-ベンゾオキサゾール-5-イル]-オキソ-(トリフルオロメチル)-λ6-スルファニリデン]シアナミド(化合物P15)を白色の固体として得た。LCMS(方法2):Rt=1.39分、m/z=445(M+H)+
Figure 0007581336000092
Figure 0007581336000093
Figure 0007581336000094
Figure 0007581336000095
Figure 0007581336000096
Figure 0007581336000097
Figure 0007581336000098
Figure 0007581336000099
Figure 0007581336000100
Figure 0007581336000101
本発明に係る組成物の活性は、他の殺虫的に、殺ダニ的に、且つ/又は殺真菌的に活性な成分を加えることによってかなり範囲が拡大され、一般的な状況に適合され得る。式Iの化合物と、他の殺虫的に、殺ダニ的に、且つ/又は殺真菌的に活性な成分との混合物は、より広い意味において、相乗活性として記載されることもあるさらなる意外な利点も有し得る。例えば、植物によるより良好な耐容性、減少した植物毒性、昆虫がそれらの異なる発育段階で防除され得ること又はそれらの製造中、例えば粉砕若しくは混合中、それらの貯蔵中若しくはそれらの使用中におけるより良好な挙動がある。
本明細書における有効成分への好適な添加剤は、例えば、以下の種類の有効成分が代表例である:有機リン化合物、ニトロフェノール誘導体、チオ尿素、幼若ホルモン、ホルムアミジン、ベンゾフェノン誘導体、尿素、ピロール誘導体、カルバメート、ピレスロイド、塩素化炭化水素、アシル尿素、ピリジルメチレンアミノ誘導体、マクロライド、ネオニコチノイド及びバチルス・チューリンゲンシス(Bacillus thuringiensis)調製物。
有効成分を有する式Iの化合物の下記の混合物が好ましい(略語「TX」は、「本発明の表A-1~A-96、C-1~C-96、E-1~E-96、F-1~F-96、G-1~G-96及びH-1~H-96並びに表Pに記載されている化合物からなる群から選択される1つの化合物」を意味する):
石油(代替名)(628)+TXからなる物質の群から選択される補助剤;
以下から選択される昆虫防除活性物質:アバメクチン+TX、アセキノシル+TX、アセタミプリド+TX、アセトプロール+TX、アクリナトリン+TX、アシノナピル+TX、アフィドピロペン+TX、アホクソラナー+TX、アラニカルブ+TX、アレトリン+TX、アルファ-シペルメトリン+TX、アルファメトリン+TX、アミドフルメト+TX、アミノカルブ+TX、アゾシクロチン+TX、ベンスルタップ+TX、ベンゾキシメート+TX、ベンズピリモキサン+TX、ベータシフルトリン+TX、ベータ-シペルメトリン+TX、ビフェナゼート+TX、ビフェントリン+TX、ビナプアクリル+TX、バイオアレスリン+TX、バイオアレスリンS)-シクロペンチル異性体+TX、ビオレスメトリン+TX、ビストリフルロン+TX、ブロフラニリド+TX、ブロフルトリネート+TX、ブルモホス-エチル+TX、ブプロフェジン+TX、ブトカルボキシム+TX、カズサホス+TX、カルバリル+TX、カルボスルファン+TX、カルタップ+TX、CAS番号:1472050-04-6+TX、CAS番号:1632218-00-8+TX、CAS番号:1808115-49-2+TX、CAS番号:2032403-97-5+TX、CAS番号:2044701-44-0+TX、CAS番号:2128706-05-6+TX、CAS番号:2249718-27-0+TX、クロラントラニリプロール+TX、クロルデン+TX、クロルフェナピル+TX、クロロプラレトリン+TX、クロマフェノジド+TX、クレンピリン+TX、クロエトカルブ+TX、クロチアニジン+TX、2-クロロフェニルN-メチルカルバメート(CPMC)+TX、シアノフェンホス+TX、シアントラニリプロール+TX、シクラニリプロール+TX、シクロブトリフルラム+TX、シクロプロトリン+TX、シクロキサプリド+TX、シクロキサプリド+TX、シエノピラフェン+TX、シエトピラフェン+TX、シフルメトフェン+TX、シフルトリン+TX、シハロジアミド+TX、シハロトリン+TX、シペルメトリン+TX、シフェノトリン+TX、シプロフルアニリド+TX、シロマジン+TX、デルタメトリン+TX、ジアフェンチウロン+TX、ジアリホス+TX、Dibrom+TX、ジクロロメゾチアズ+TX、ジフロビダジン+TX、ジフルベンズロン+TX、ジンプロピリダズ+TX、ジナクチン+TX、ジノカップ+TX、ジノテフラン+TX、ジオキサベンゾホス+TX、エマメクチン+TX、エンペントリン+TX、イプシロン-モンフルオロトリン+TX、イプシロン-メトフルトリン+TX、エスフェンバレレ-ト+TX、エチオン+TX、エチプロール+TX、エトフェンプロックス+TX、エトキサゾール+TX、ファンファー+TX、フェナザキン+TX、フェンフルスリン+TX、フェニトロチオン+TX、フェノブカルブ+TX、フェノチオカルブ+TX、フェノキシカルブ+TX、フェンプロパトリン+TX、フェンピロキシメート+TX、フェンスルホチオン+TX、フェンチオン+TX、フェンチンアセタート+TX、フェンバレレート+TX、フィプロニル+TX、フロメトキン+TX、フロニカミド+TX、フルアクリピリム+TX、フルアザインドリジン+TX、フルアズロン+TX、フルベンジアミド+TX、フルベンジミン+TX、フルシトリネート+TX、フルシクロクスロン+TX、フルシトリネート+TX、フルエンスルホン+TX、フルフェネリム+TX、フルフェンプロックス+TX、フルフィプロール+TX、フルヘキサホン+TX、フルメトリン+TX、フルオピラム+TX、フルペンチオフェノックス+TX、フルピラジフロン+TX、フルピリミン+TX、フルララネル+TX、フルバリネート+TX、フルキサメタミド+TX、ホスチアゼート+TX、ガンマ-シハロトリン+TX、Gossyplure(商標)+TX、グアジピル+TX、ハロフェノジド+TX、ハロフェノジド+TX、ハロフェンプロックス+TX、ヘプタフルトリン+TX、ヘキシチアゾックス+TX、ハイドラメチルノン+TX、イミシアホス+TX、イミダクロプリド+TX、イミプロトリン+TX、インドキサカルブ+TX、ヨードメタン+TX、イプロジオン+TX、イソシクロセラム+TX、イソチオエート+TX、イベルメクチン+TX、カッパ-ビフェントリン+TX、カッパ-テフルトリン+TX、ラムダ-シハロトリン+TX、レピメクチン+TX、ルフェヌロン+TX、メタフルミゾン+TX、メタアルデヒド+TX、メタム+TX、メソミル+TX、メトキシフェノジド+TX、メトフルトリン+TX、メトルカルブ+TX、メキサカルベート+TX、ミルベメクチン+TX、モンフルオロトリン+TX、ニクロサミド+TX、ニコフルプロール+TX;ニテンピラム+TX、ニチアジン+TX、オメトエート+TX、オキサミル+TX、オキサゾスルフィル+TX、パラチオン-エチル+TX、ペルメトリン+TX、フェノトリン+TX、ホスホカルブ+TX、ピペロニルブトキシド+TX、ピリミカーブ+TX、ピリミホス-エチル+TX、多核体病ウイルス+TX、プラレトリン+TX、プロフェノホス+TX、プロフェノホス+TX、プロフルトリン+TX、プロパルギット+TX、プルペタンホス+TX、プロポキスル+TX、プロチオホス+TX、プロトリフェンブト+TX、ピフルブミド+TX、ピメトロジン+TX、ピラクロホス+TX、ピラフルプロール+TX、ピリダベン+TX、ピリダリル+TX、ピリフルキナゾン+TX、ピリミジフェン+TX、ピリモストロビン+TX、ピリプロール+TX、ピリプロキシフェン+TX、レスメトリン+TX、サロラネル+TX、セラメクチン+TX、シラフルオフェン+TX、スピネトラム+TX、スピノサド+TX、スピロジクロフェン+TX、スピロメシフェン+TX、スピロピジオン+TX、スピロテトラマト+TX、スルホキサフロル+TX、テブフェノジド+TX、テブフェンピラド+TX、テブピリミホス+TX、テフルトリン+TX、テメホス+TX、テトラクロラントラニリプロール+TX、テトラジホン+TX、テトラメトリン+TX、テトラメチルフルトリン+TX、テトラナクチン+TX、テトラニリプロール+TX、シータ-シペルメトリン+TX、チアクロプリド+TX、チアメトキサム+TX、チオシクラム+TX、チオジカルブ+TX、チオファノックス+TX、チオメトン+TX、チオスルタップ+TX、チオキサザフェン+TX、トルフェンピラド+TX、トキサフェン+TX、トラロメトリン+TX、トランスフルトリン+TX、トリアザメエート+TX、トリアゾホス+TX、トリクロルホン+TX、トリクロロネート+TX、トリクロルホン+TX、トリフルメゾピリム+TX、チクロピラゾフロル+TX、ゼータ-シペルメトリン+TX、海藻及びメラッセに由来する発酵産物の抽出物+TX、尿素を含む海藻及びメラッセに由来する発酵産物の抽出物+TX、アミノ酸+TX、カリウム及びモリブデン及びEDTAキレート化マンガン+TX、海藻及び発酵植物産物の抽出物+TX、植物ホルモンを含む海藻及び発酵植物産物の抽出物+TX、ビタミン+TX、EDTAキレート化銅+TX、亜鉛+TX及び鉄+TX、アザジラクチン+TX、バチルス・アイザワイ(Bacillus aizawai)+TX、バチルス・キチノスポルス(Bacillus chitinosporus)AQ746(NRRL受託番号B-21 618)+TX、バチルス・フィルムス(Bacillus firmus)+TX、バチルス・クルスターキ(Bacillus kurstaki)+TX、バチルス・ミコイデス(Bacillus mycoides)AQ726(NRRL受託番号B-21664)+TX、バチルス・プミルス(Bacillus pumilus)(NRRL受託番号B-30087)+TX、バチルス・プミルス(Bacillus pumilus)AQ717(NRRL受託番号B-21662)+TX、バチルス属(Bacillus)の種AQ178(ATCC受託番号53522)+TX、バチルス属(Bacillus)の種AQ175(ATCC受託番号55608)+TX、バチルス属(Bacillus)の種AQ177(ATCC受託番号55609)+TX、枯草菌(Bacillus subtilis)不特定+TX、枯草菌(Bacillus subtilis)AQ153(ATCC受託番号55614)+TX、枯草菌(Bacillus subtilis)AQ30002(NRRL受託番号B-50421)+TX、枯草菌(Bacillus subtilis)AQ30004(NRRL受託番号B-50455)+TX、枯草菌(Bacillus subtilis)AQ713(NRRL受託番号B-21661)+TX、枯草菌(Bacillus subtilis)AQ743(NRRL受託番号B-21665)+TX、バチルス・チューリンゲンシス(Bacillus thuringiensis)AQ52(NRRL受託番号B-21619)+TX、バチルス・チューリンゲンシス(Bacillus thuringiensis)BD#32(NRRL受託番号B-21530)+TX、バチルス・チューリンゲンシス亜種クルスターキ(Bacillus thuringiensis subspec.kurstaki)BMP 123+TX、白きょう病菌(Beauveria bassiana)+TX、D-リモネン+TX、グラニュロウイルス+TX、ハーピン+TX、オオタバコガ(Helicoverpa armigera)核多角体病ウイルス+TX、アメリカタバコガ(Helicoverpa zea)核多角体病ウイルス+TX、ニセアメリカタバコガ(Heliothis virescens)核多角体病ウイルス+TX、ヘリオチス・プンクチゲラ(Heliothis punctigera)核多角体病ウイルス+TX、メタリジウム属(Metarhizium)の種+TX、ムスコドル・アルブス(Muscodor albus)620(NRRL受託番号30547)+TX、ムスコドル・ロセウス(Muscodor roseus)A3-5(NRRL受託番号30548)+TX、ニームノキをベースとする生成物+TX、ペシロマイセス・フモソロセウス(Paecilomyces fumosoroseus)+TX、ペシロマイセス・リラシヌス(Paecilomyces lilacinus)+TX、パスツーリア・ニシザワエ(Pasteuria nishizawae)+TX、パスツーリア・ペネトランス(Pasteuria penetrans)+TX、パスツーリア・ラモサ(Pasteuria ramosa)+TX、パスツーリア・ソルネイ(Pasteuria thornei)+TX、パスツーリア・ウスガエ(Pasteuria usgae)+TX、P-シメン+TX、コナガ(Plutella xylostella)顆粒病ウイルス+TX、コナガ(Plutella xylostella)核多角体病ウイルス+TX、多核体病ウイルス+TX、除虫菊+TX、QRD 420(テルペノイドブレンド)+TX、QRD 452(テルペノイドブレンド)+TX、QRD 460(テルペノイドブレンド)+TX、シャボンノキ(Quillaja saponaria)+TX、ロドコッカス・グロベルルス(Rhodococcus globerulus)AQ719(NRRL受託番号B-21663)+TX、スポドプテラ・フルギペルダ(Spodoptera frugiperda)核多角体病ウイルス+TX、ストレプトマイセス・ガルバス(Streptomyces galbus)(NRRL受託番号30232)+TX、ストレプトマイセス属(Streptomyces)の種(NRRL受託番号B-30145)+TX、テルペノイドブレンド+TX及びベルチシリウム属(Verticillium)の種;
以下からなる物質の群から選択される殺藻剤:ベトキサジン[CCN]+TX、ジオクタン酸銅(IUPAC名)(170)+TX、硫酸銅(172)+TX、シブトリン[CCN]+TX、ジクロン(1052)+TX、ジクロロフェン(232)+TX、エンドタール(295)+TX、フェンチン(347)+TX、消石灰[CCN]+TX、ナーバム(566)+TX、キノクラミン(714)+TX、キノナミド(1379)+TX、シマジン(730)+TX、酢酸トリフェニルスズ(IUPAC名)(347)及び水酸化トリフェニルスズ(IUPAC名)(347)+TX;
以下からなる物質の群から選択される駆虫剤:アバメクチン(1)+TX、クルホマート(1011)+TX、シクロブトリフルラム+TX、ドラメクチン(代替名)[CCN]+TX、エマメクチン(291)+TX、エマメクチン安息香酸塩(291)+TX、エプリノメクチン(代替名)[CCN]+TX、イベルメクチン(代替名)[CCN]+TX、ミルベマイシンオキシム(代替名)[CCN]+TX、モキシデクチン(代替名)[CCN]+TX、ピペラジン[CCN]+TX、セラメクチン(代替名)[CCN]+TX、スピノサド(737)及びチオファネート(1435)+TX;
以下からなる物質の群から選択される殺鳥剤:クロラロース(127)+TX、エンドリン(1122)+TX、フェンチオン(346)+TX、ピリジン-4-アミン(IUPAC名)(23)及びストリキニーネ(745)+TX;
以下からなる物質の群から選択される殺菌剤:1-ヒドロキシ-1H-ピリジン-2-チオン(IUPAC名)(1222)+TX、4-(キノキサリン-2-イルアミノ)ベンゼンスルホンアミド(IUPAC名)(748)+TX、8-ヒドロキシキノリン硫酸塩(446)+TX、ブロノポール(97)+TX、ジオクタン酸銅(IUPAC名)(170)+TX、水酸化銅(IUPAC名)(169)+TX、クレゾール[CCN]+TX、ジクロロフェン(232)+TX、ジピリチオン(1105)+TX、ドジシン(1112)+TX、フェナミノスルフ(1144)+TX、ホルムアルデヒド(404)+TX、ヒドラルガフェン(代替名)[CCN]+TX、カスガマイシン(483)+TX、カスガマイシン塩酸塩一水和物(483)+TX、ニッケルビス(ジメチルジチオカルバメート)(IUPAC名)(1308)+TX、ニトラピリン(580)+TX、オクチリノン(590)+TX、オキソリン酸(606)+TX、オキシテトラサイクリン(611)+TX、カリウムヒドロキシキノリン硫酸塩(446)+TX、プロベナゾール(658)+TX、ストレプトマイシン(744)+TX、セスキ硫酸ストレプトマイシン(744)+TX、テクロフタラム(766)+TX及びチオメルサール(代替名)[CCN]+TX;
以下からなる物質の群から選択される生物剤:リンゴコカクモンハマキ(Adoxophyes orana)GV(代替名)(12)+TX、アグロバクテリウム・ラジオバクター(Agrobacterium radiobacter)(代替名)(13)+TX、ムチカブリダニ属(Amblyseius)の種(代替名)(19)+TX、アナグラファ・ファルシフェラ(Anagrapha falcifera)NPV(代替名)(28)+TX、アナグルス・アトムス(Anagrus atomus)(代替名)(29)+TX、アフェリヌス・アブドミナリス(Aphelinus abdominalis)(代替名)(33)+TX、アフィジウス・コレマニ(Aphidius colemani)(代替名)(34)+TX、アフィドレテス・アフィディマイザ(Aphidoletes aphidimyza)(代替名)(35)+TX、オートグラファ・カリフォルニカ(Autographa californica)NPV(代替名)(38)+TX、バチルス・フィルムス(Bacillus firmus)(代替名)(48)+TX、バチルス・スフェリクス・ネイデ(Bacillus sphaericus Neide)(学名)(49)+TX、バチルス・チューリンゲンシス・ベルリナー(Bacillus thuringiensis Berliner)(学名)(51)+TX、バチルス・チューリンゲンシス亜種アイザワイ(Bacillus thuringiensis subsp.aizawai)(学名)(51)+TX、バチルス・チューリンゲンシス亜種イスラエンシス(Bacillus thuringiensis subsp.israelensis)(学名)(51)+TX、バチルス・チューリンゲンシス亜種ジャポネンシス(Bacillus thuringiensis subsp.japonensis)(学名)(51)+TX、バチルス・チューリンゲンシス亜種クルスターキ(Bacillus thuringiensis subsp.kurstaki)(学名)(51)+TX、バチルス・チューリンゲンシス亜種テネブリオニス(Bacillus thuringiensis subsp.tenebrionis)(学名)(51)+TX、白きょう病菌(Beauveria bassiana)(代替名)(53)+TX、ビューベリア・ブロングニアルティ(Beauveria brongniartii)(代替名)(54)+TX、ヤマトクサカゲロウ(Chrysoperla carnea)(代替名)(151)+TX、ツマアカオオテントウムシ(Cryptolaemus montrouzieri)(代替名)(178)+TX、コドリンガ(Cydia pomonella)GV(代替名)(191)+TX、ハモグリコマユバチ(Dacnusa sibirica)(代替名)(212)+TX、イサエアヒメコバチ(Diglyphus isaea)(代替名)(254)+TX、オンシツツヤコバチ(Encarsia formosa)(学名)(293)+TX、サバクツヤコバチ(Eretmocerus eremicus)(代替名)(300)+TX、アメリカタバコガ(Helicoverpa zea)NPV(代替名)(431)+TX、ヘテロラブディティス・バクテリオフォラ(Heterorhabditis bacteriophora)及びH.メギディス(H.megidis)(代替名)(433)+TX、サカハチテントウ(Hippodamia convergens)(代替名)(442)+TX、レプトマスティクス・ダクチロピィ(Leptomastix dactylopii)(代替名)(488)+TX、マクロロフス・カリギノスス(Macrolophus caliginosus)(代替名)(491)+TX、ヨトウガ(Mamestra brassicae)NPV(代替名)(494)+TX、メタフィカス・ヘルボルス(Metaphycus helvolus)(代替名)(522)+TX、メタリジウム・アニソプリエ変種アクリヅム(Metarhizium anisopliae var.acridum)(学名)(523)+TX、メタリジウム・アニソプリエ変種アニソプリエ(Metarhizium anisopliae var.anisopliae)(学名)(523)+TX、マツノキハバチ(Neodiprion sertifer)NPV及びN.レコンティ(N.lecontei)NPV(代替名)(575)+TX、オリウス属(Orius)の種(代替名)(596)+TX、ペシロマイセス・フモソロセウス(Paecilomyces fumosoroseus)(代替名)(613)+TX、チリカブリダニ(Phytoseiulus persimilis)(代替名)(644)+TX、シロイチモジヨトウ(Spodoptera exigua)多カプシド核多角体病ウイルス(学名)(741)+TX、スタイナーネマ・ビビオニス(Steinernema bibionis)(代替名)(742)+TX、スタイナーネマ・カルポカプサエ(Steinernema carpocapsae)(代替名)(742)+TX、スタイナーネマ・フェルチアエ(Steinernema feltiae)(代替名)(742)+TX、スタイナーネマ・グラッセリ(Steinernema glaseri)(代替名)(742)+TX、スタイナーネマ・リオブラベ(Steinernema riobrave)(代替名)(742)+TX、スタイナーネマ・リオブラビス(Steinernema riobravis)(代替名)(742)+TX、スタイナーネマ・スカプテリシ(Steinernema scapterisci)(代替名)(742)+TX、スタイナーネマ属(Steinernema)の種(代替名)(742)+TX、トリコグラムマ属(Trichogramma)の種(代替名)(826)+TX、チフロドロムス・オシデンタリス(Typhlodromus occidentalis)(代替名)(844)及びバーティシリウム・レカニ(Verticillium lecanii)(代替名)(848)+TX;
以下からなる物質の群から選択される土壌滅菌剤:ヨードメタン(IUPAC名)(542)及び臭化メチル(537)+TX;
以下からなる物質の群から選択される化学不妊化剤:アフォレート[CCN]+TX、ビサジル(代替名)[CCN]+TX、ブスルファン(代替名)[CCN]+TX、ジフルベンズロン(250)+TX、ジマチフ(代替名)[CCN]+TX、ヘメル[CCN]+TX、ヘンパ[CCN]+TX、メテパ[CCN]+TX、メチオテパ[CCN]+TX、メチルアフォレート[CCN]+TX、モルジド[CCN]+TX、ペンフルロン(代替名)[CCN]+TX、テパ[CCN]+TX、チオヘンパ(代替名)[CCN]+TX、チオテパ(代替名)[CCN]+TX、トレタミン(代替名)[CCN]及びウレデパ(代替名)[CCN]+TX;
以下からなる物質の群から選択される昆虫フェロモン:(E)-デカ-5-エン-1-イルアセテート及び(E)-デカ-5-エン-1-オール(IUPAC名)(222)+TX、(E)-トリデカ-4-エン-1-イルアセテート(IUPAC名)(829)+TX、(E)-6-メチルヘプタ-2-エン-4-オール(IUPAC名)(541)+TX、(E,Z)-テトラデカ-4,10-ジエン-1-イルアセテート(IUPAC名)(779)+TX、(Z)-ドデカ-7-エン-1-イルアセテート(IUPAC名)(285)+TX、(Z)-ヘキサデカ-11-エナール(IUPAC名)(436)+TX、(Z)-ヘキサデカ-11-エン-1-イルアセテート(IUPAC名)(437)+TX、(Z)-ヘキサデカ-13-エン-11-イン-1-イルアセテート(IUPAC名)(438)+TX、(Z)-イコサ-13-エン-10-オン(IUPAC名)(448)+TX、(Z)-テトラデカ-7-エン-1-アール(IUPAC名)(782)+TX、(Z)-テトラデカ-9-エン-1-オール(IUPAC名)(783)+TX、(Z)-テトラデカ-9-エン-1-イルアセテート(IUPAC名)(784)+TX、(7E,9Z)-ドデカ-7,9-ジエン-1-イルアセテート(IUPAC名)(283)+TX、(9Z,11E)-テトラデカ-9,11-ジエン-1-イルアセテート(IUPAC名)(780)+TX、(9Z,12E)-テトラデカ-9,12-ジエン-1-イルアセテート(IUPAC名)(781)+TX、14-メチルオクタデカ-1-エン(IUPAC名)(545)+TX、4-メチルノナン-5-オール及び4-メチルノナン-5-オン(IUPAC名)(544)+TX、アルファ-マルチストリアチン(代替名)[CCN]+TX、ブレビコミン(代替名)[CCN]+TX、コドレルア(代替名)[CCN]+TX、コドレモン(代替名)(167)+TX、キュールア(代替名)(179)+TX、ディスパールア(277)+TX、ドデカ-8-エン-1-イルアセテート(IUPAC名)(286)+TX、ドデカ-9-エン-1-イルアセテート(IUPAC名)(287)+TX、ドデカ-8+TX、10-ジエン-1-イルアセテート(IUPAC名)(284)+TX、ドミニカルア(代替名)[CCN]+TX、エチル4-メチルオクタノエート(IUPAC名)(317)+TX、ユージノール(代替名)[CCN]+TX、フロンタリン(代替名)[CCN]+TX、ゴシップルア(代替名)(420)+TX、グランドルア(421)+TX、グランドルアI(代替名)(421)+TX、グランドルアII(代替名)(421)+TX、グランドルアIII(代替名)(421)+TX、グランドルアIV(代替名)(421)+TX、ヘキサルア[CCN]+TX、イプスジエノール(代替名)[CCN]+TX、イプセノール(代替名)[CCN]+TX、ジャポニルア(代替名)(481)+TX、リネアチン(代替名)[CCN]+TX、リトルア(代替名)[CCN]+TX、ループルア(代替名)[CCN]+TX、メドルア[CCN]+TX、メガトモ酸(代替名)[CCN]+TX、メチルユージノール(代替名)(540)+TX、ムスカルア(563)+TX、オクタデカ-2,13-ジエン-1-イルアセテート(IUPAC名)(588)+TX、オクタデカ-3,13-ジエン-1-イルアセテート(IUPAC名)(589)+TX、オルフラルア(代替名)[CCN]+TX、オリクタルア(代替名)(317)+TX、オストラモン(代替名)[CCN]+TX、シグルア[CCN]+TX、ソルジジン(代替名)(736)+TX、スルカトール(代替名)[CCN]+TX、テトラデカ-11-エン-1-イルアセテート(IUPAC名)(785)+TX、トリメドルア(839)+TX、トリメドルアA(代替名)(839)+TX、トリメドルアB1(代替名)(839)+TX、トリメドルアB2(代替名)(839)+TX、トリメドルアC(代替名)(839)及びトランク-コール(代替名)[CCN]+TX;
以下からなる物質の群から選択される昆虫忌避剤:2-(オクチルチオ)エタノール(IUPAC名)(591)+TX、ブトピロノキシル(933)+TX、ブトキシ(ポリプロピレングリコール)(936)+TX、アジピン酸ジブチル(IUPAC名)(1046)+TX、フタル酸ジブチル(1047)+TX、コハク酸ジブチル(IUPAC名)(1048)+TX、ジエチルトルアミド[CCN]+TX、ジメチルカルベート[CCN]+TX、フタル酸ジメチル[CCN]+TX、エチルヘキサンジオール(1137)+TX、ヘキサアミド[CCN]+TX、メトキン-ブチル(1276)+TX、メチルネオデカンアミド[CCN]+TX、オキサメート[CCN]及びピカリジン[CCN]+TX;
以下からなる物質の群から選択される殺軟体動物剤:ビス(トリブチルスズ)オキシド(IUPAC名)(913)+TX、ブロモアセトアミド[CCN]+TX、ヒ酸カルシウム[CCN]+TX、クロエトカルブ(999)+TX、アセト亜ヒ酸銅[CCN]+TX、硫酸銅(172)+TX、フェンチン(347)+TX、リン酸第2鉄(IUPAC名)(352)+TX、メタアルデヒド(518)+TX、メチオカルブ(530)+TX、ニクロサミド(576)+TX、ニクロサミド-オラミン(576)+TX、ペンタクロロフェノール(623)+TX、ナトリウムペンタクロロフェノキシド(623)+TX、タジムカルブ(1412)+TX、チオジカルブ(799)+TX、トリブチルスズオキシド(913)+TX、トリフェンモルフ(1454)+TX、トリメタカルブ(840)+TX、酢酸トリフェニルスズ(IUPAC名)(347)及び水酸化トリフェニルスズ(IUPAC名)(347)+TX、ピリプロール[394730-71-3]+TX;
以下からなる物質の群から選択される殺線虫剤:AKD-3088(化合物コード)+TX、1,2-ジブロモ-3-クロロプロパン(IUPAC/ケミカルアブストラクト名)(1045)+TX、1,2-ジクロロプロパン(IUPAC/ケミカルアブストラクト名)(1062)+TX、1,2-ジクロロプロパン及び1,3-ジクロロプロペン(IUPAC名)(1063)+TX、1,3-ジクロロプロペン(233)+TX、3,4-ジクロロテトラヒドロチオフェン1,1-ジオキシド(IUPAC/ケミカルアブストラクト名)(1065)+TX、3-(4-クロロフェニル)-5-メチルローダニン(IUPAC名)(980)+TX、5-メチル-6-チオキソ-1,3,5-チアジアジナン-3-イル酢酸(IUPAC名)(1286)+TX、6-イソペンテニルアミノプリン(代替名)(210)+TX、アバメクチン(1)+TX、アセトプロール[CCN]+TX、アラニカルブ(15)+TX、アルジカルブ(16)+TX、アルドキシカルブ(863)+TX、AZ 60541(化合物コード)+TX、ベンクロチアズ[CCN]+TX、ベノミル(62)+TX、ブチルピリダベン(代替名)+TX、カズサホス(109)+TX、カルボフラン(118)+TX、二硫化炭素(945)+TX、カルボスルファン(119)+TX、クロロピクリン(141)+TX、クロルピリホス(145)+TX、クロエトカルブ(999)+TX、シクロブトリフルラム+TX、サイトカイニン(代替名)(210)+TX、ダゾメット(216)+TX、DBCP(1045)+TX、DCIP(218)+TX、ジアミダホス(1044)+TX、ジクロフェンチオン(1051)+TX、ジクリホス(代替名)+TX、ジメトエート(262)+TX、ドラメクチン(代替名)[CCN]+TX、エマメクチン(291)+TX、エマメクチン安息香酸塩(291)+TX、エプリノメクチン(代替名)[CCN]+TX、エトプロホス(312)+TX、二臭化エチレン(316)+TX、フェナミホス(326)+TX、フェンピラド(代替名)+TX、フェンスルホチオン(1158)+TX、ホスチアゼート(408)+TX、ホスチエタン(1196)+TX、フルフラール(代替名)[CCN]+TX、GY-81(開発コード)(423)+TX、ヘテロホス[CCN]+TX、ヨードメタン(IUPAC名)(542)+TX、イサミドホス(1230)+TX、イサザホス(1231)+TX、イベルメクチン(代替名)[CCN]+TX、キネチン(代替名)(210)+TX、メカルフォン(1258)+TX、メタム(519)+TX、メタム-カリウム(代替名)(519)+TX、メタム-ナトリウム(519)+TX、臭化メチル(537)+TX、メチルイソチオシアネート(543)+TX、ミルベマイシンオキシム(代替名)[CCN]+TX、モキシデクチン(代替名)[CCN]+TX、クワ暗斑病菌(Myrothecium verrucaria)組成物(代替名)(565)+TX、NC-184(化合物コード)+TX、オキサミル(602)+TX、ホレート(636)+TX、ホスファミドン(639)+TX、ホスホカルブ[CCN]+TX、セブホス(代替名)+TX、セラメクチン(代替名)[CCN]+TX、スピノサド(737)+TX、テルバム(代替名)+TX、テルブホス(773)+TX、テトラクロロチオフェン(IUPAC/ケミカルアブストラクト名)(1422)+TX、チアフェノックス(代替名)+TX、チオナジン(1434)+TX、トリアゾホス(820)+TX、トリアズロン(代替名)+TX、キシレノール[CCN]+TX、YI-5302(化合物コード)及びゼアチン(代替名)(210)+TX、フルエンスルホン[318290-98-1]+TX、フルオピラム+TX;
以下からなる物質の群から選択される硝化阻害剤:エチルキサントゲン酸カリウム[CCN]及びニトラピリン(580)+TX;
以下からなる物質の群から選択される植物活性化剤:アシベンゾラル(6)+TX、アシベンゾラル-S-メチル(6)+TX、プロベナゾール(658)及びオオイタドリ(Reynoutria sachalinensis)抽出物(代替名)(720)+TX;
以下からなる物質の群から選択される殺げっ歯類剤:2-イソバレリルインダン-1,3-ジオン(IUPAC名)(1246)+TX、4-(キノキサリン-2-イルアミノ)ベンゼンスルホンアミド(IUPAC名)(748)+TX、アルファ-クロロヒドリン[CCN]+TX、リン化アルミニウム(640)+TX、アンチュ(880)+TX、三酸化ヒ素(882)+TX、炭酸バリウム(891)+TX、ビスチオセミ(912)+TX、ブロディファコウム(89)+TX、ブロマジオロン(アルファ-ブロマジオロンを含めた)+TX、ブロメタリン(92)+TX、シアン化カルシウム(444)+TX、クロラロース(127)+TX、クロロファシノン(140)+TX、コレカルシフェロール(代替名)(850)+TX、クマクロル(1004)+TX、クマフリル(1005)+TX、クマテトラリル(175)+TX、クリミジン(1009)+TX、ジフェナコウム(246)+TX、ジフェチアロン(249)+TX、ジファシノン(273)+TX、エルゴカルシフェロール(301)+TX、フロクマフェン(357)+TX、フルオロアセトアミド(379)+TX、フルプロパジン(1183)+TX、フルプロパジン塩酸塩(1183)+TX、ガンマ-HCH(430)+TX、HCH(430)+TX、シアン化水素(444)+TX、ヨードメタン(IUPAC名)(542)+TX、リンデン(430)+TX、リン化マグネシウム(IUPAC名)(640)+TX、臭化メチル(537)+TX、ノルボルミド(1318)+TX、ホサセチム(1336)+TX、ホスフィン(IUPAC名)(640)+TX、リン[CCN]+TX、ピンドン(1341)+TX、亜ヒ酸カリウム[CCN]+TX、ピリヌロン(1371)+TX、シリロシド(1390)+TX、亜ヒ酸ナトリウム[CCN]+TX、シアン化ナトリウム(444)+TX、フルオロ酢酸ナトリウム(735)+TX、ストリキニーネ(745)+TX、硫酸タリウム[CCN]+TX、ワルファリン(851)及びリン化亜鉛(640)+TX;
以下からなる物質の群から選択される共力剤:2-(2-ブトキシエトキシ)エチルピペロニレート(IUPAC名)(934)+TX、5-(1,3-ベンゾジオキソール-5-イル)-3-ヘキシルシクロヘキサ-2-エノン(IUPAC名)(903)+TX、ファルネソール及びネロリドール(代替名)(324)+TX、MB-599(開発コード)(498)+TX、MGK 264(開発コード)(296)+TX、ピペロニルブトキシド(649)+TX、ピプロタール(1343)+TX、プロピル異性体(1358)+TX、S421(開発コード)(724)+TX、セサメックス(1393)+TX、セサモリン(1394)及びスルホキシド(1406)+TX;
以下からなる物質の群から選択される動物忌避剤:アントラキノン(32)+TX、クロラロース(127)+TX、ナフテン酸銅[CCN]+TX、オキシ塩化銅(171)+TX、ダイアジノン(227)+TX、ジシクロペンタジエン(化学名)(1069)+TX、グアザチン(422)+TX、酢酸グアザチン(422)+TX、メチオカルブ(530)+TX、ピリジン-4-アミン(IUPAC名)(23)+TX、チラム(804)+TX、トリメタカルブ(840)+TX、ナフテン酸亜鉛[CCN]及びジラム(856)+TX;
以下からなる物質の群から選択される抗ウイルス剤:イマニン(代替名)[CCN]及びリバビリン(代替名)[CCN]+TX;
以下からなる物質の群から選択される傷保護剤:酸化第二水銀(512)+TX、オクチリノン(590)及びチオファネート-メチル(802)+TX;
以下から選択される生物学的活性物質:1,1-ビス(4-クロロ-フェニル)-2-エトキシエタノール+TX、2,4-ジクロロフェニルベンゼンスルホネート+TX、2-フルオロ-N-メチル-N-1-ナフチルアセトアミド+TX、4-クロロフェニルフェニルスルホン+TX、アセトプロール+TX、アルドキシカルブ+TX、アミジチオン+TX、アミドチオエート+TX、アミトン+TX、アミトンシュウ酸水素塩+TX、アミトラズ+TX、アラマイト+TX、三酸化ヒ素+TX、アゾベンゼン+TX、アゾトエート+TX、ベノミル+TX、ベノキサ-ホス+TX、安息香酸ベンジル+TX、ビキサフェン+TX、ブロフェンバレレート+TX、ブロモ-シクレン+TX、ブロモホス+TX、ブロモプロピレート+TX、ブプロフェジン+TX、ブトカルボキシム+TX、ブトキシカルボキシム+TX、ブチルピリダベン+TX、多硫化カルシウム+TX、カンフェクロル+TX、カーバノレート+TX、カルボフェノチオン+TX、シミアゾール+TX、キノ-メチオナト+TX、クロルベンシド+TX、クロルジメホルム+TX、クロルジメホルム塩酸塩+TX、クロルフェネトール+TX、クロルフェンソン+TX、クロルフェンスルフィド+TX、クロロベンジレート+TX、クロロメブホルム+TX、クロロメチウロン+TX、クロロプロピレート+TX、クロルチオホス+TX、シネリンI+TX、シネリンII+TX、シネリン+TX、クロサンテル+TX、クマホス+TX、クロタミトン+TX、クロトキシホス+TX、クフラネブ+TX、シアントエート+TX、DCPM+TX、DDT+TX、デメフィオン+TX、デメフィオン-O+TX、デメフィオン-S+TX、デメトン-メチル+TX、デメトン-O+TX、デメトン-O-メチル+TX、デメトン-S+TX、デメトン-S-メチル+TX、デメトン-S-メチルスルホン+TX、ジクロフルアニド+TX、ジクロルボス+TX、ジクリホス+TX、ジエノクロール+TX、ジメフォックス+TX、ジネクス+TX、ジネクス-ジクレキシン+TX、ジノカップ-4+TX、ジノカップ-6+TX、ジノクトン+TX、ジノ-ペントン+TX、ジノスルホン+TX、ジノテルボン+TX、ジオキサチオン+TX、ジフェニルスルホン+TX、ジスルフィラム+TX、DNOC+TX、ドフェナピン+TX、ドラメクチン+TX、エンドチオン+TX、エプリノメクチン+TX、エトエート-メチル+TX、エトリムホス+TX、フェナザフロール+TX、フェンブタチンオキシド+TX、フェノチオカルブ+TX、フェンピラド+TX、フェン-ピロキシメート+TX、フェンピラザミン+TX、フェンソン+TX、フェントリファニル+TX、フルベンジミン+TX、フルシクロクスロン+TX、フルエネチル+TX、フルオルベンシド+TX、FMC 1137+TX、ホルメタネート+TX、ホルメタネート塩酸塩+TX、ホルムパラネート+TX、ガンマ-HCH+TX、グリオジン+TX、ハルフェンプロックス+TX、ヘキサデシルシクロプロパンカルボキシレート+TX、イソカルボホス+TX、ジャスモリンI+TX、ジャスモリンII+TX、ヨードフェンホス+TX、リンデン+TX、マロノベン+TX、メカルバム+TX、メホスホラン+TX、メスルフェン+TX、メタクリホス+TX、臭化メチル+TX、メトルカルブ+TX、メキサカルベート+TX、ミルベマイシンオキシム+TX、ミパホックス+TX、モノクロトホス+TX、モルホチオン+TX、モキシデクチン+TX、ナレド+TX、4-クロロ-2-(2-クロロ-2-メチル-プロピル)-5-[(6-ヨード-3-ピリジル)メトキシ]ピリダジン-3-オン+TX、ニフルリジド+TX、ニコマイシン+TX、ニトリラカルブ+TX、ニトリラカルブ1:1塩化亜鉛錯体+TX、オメトエート+TX、オキシデプロホス+TX、オキシジスルホトン+TX、pp’-DDT+TX、パラチオン+TX、ペルメトリン+TX、フェンカプトン+TX、ホサロン+TX、ホスホラン+TX、ホスファミドン+TX、ポリクロロテルペン+TX、ポリナクチン+TX、プロクロノール+TX、プロマシル+TX、プロポキスル+TX、プロチダチオン+TX、プロトエート+TX、ピレトリンI+TX、ピレトリンII+TX、ピレトリン+TX、ピリダフェンチオン+TX、ピリミタート+TX、キナルホス+TX、キンチオホス+TX、R-1492+TX、ホスグリシン+TX、ロテノン+TX、シュラーダン+TX、セブホス+TX、セラメクチン+TX、ソファミド+TX、SSI-121+TX、スルフィラム+TX、スルフラミド+TX、スルホテップ+TX、硫黄+TX、ジフロビダジン+TX、タウ-フルバリネート+TX、TEPP+TX、テルバム+TX、テトラジホン+TX、テトラサル+TX、チアフェノックス+TX、チオカルボキシム+TX、チオファノックス+TX、チオメトン+TX、チオキノックス+TX、ツリンギエンシン+TX、トリアミホス+TX、トリアラテン+TX、トリアゾホス+TX、トリアズロン+TX、トリフェノホス+TX、トリナクチン+TX、バミドチオン+TX、バニリプロール+TX、ベトキサジン+TX、ジオクタン酸銅+TX、硫酸銅+TX、シブトリン+TX、ジクロン+TX、ジクロロフェン+TX、エンドタール+TX、フェンチン+TX、消石灰+TX、ナーバム+TX、キノクラミン+TX、キノナミド+TX、シマジン+TX、酢酸トリフェニルスズ+TX、水酸化トリフェニルスズ+TX、クルホマート+TX、ピペラジン+TX、チオファネート+TX、クロラロース+TX、フェンチオン+TX、ピリジン-4-アミン+TX、ストリキニーネ+TX、1-ヒドロキシ-1H-ピリジン-2-チオン+TX、4-(キノキサリン-2-イルアミノ)ベンゼンスルホンアミド+TX、8-ヒドロキシキノリン硫酸塩+TX、ブロノポール+TX、水酸化銅+TX、クレゾール+TX、ジピリチオン+TX、ドジシン+TX、フェナミノスルフ+TX、ホルムアルデヒド+TX、ヒドラルガフェン+TX、カスガマイシン+TX、カスガマイシン塩酸塩一水和物+TX、ニッケルビス(ジメチルジチオカルバメート)+TX、ニトラピリン+TX、オクチリノン+TX、オキソリン酸+TX、オキシテトラサイクリン+TX、カリウムヒドロキシキノリン硫酸塩+TX、プロベナゾール+TX、ストレプトマイシン+TX、セスキ硫酸ストレプトマイシン+TX、テクロフタラム+TX、チオメルサール+TX、リンゴコカクモンハマキ(Adoxophyes orana)GV+TX、アグロバクテリウム・ラジオバクター(Agrobacterium radiobacter)+TX、ムチカブリダニ属(Amblyseius)の種+TX、アナグラファ・ファルシフェラ(Anagrapha falcifera)NPV+TX、アナグルス・アトムス(Anagrus atomus)+TX、アフェリヌス・アブドミナリス(Aphelinus abdominalis)+TX、アフィジウス・コレマニ(Aphidius colemani)+TX、アフィドレテス・アフィディマイザ(Aphidoletes aphidimyza)+TX、オートグラファ・カリフォルニカ(Autographa californica)NPV+TX、バチルス・スフェリクス・ネイデ(Bacillus sphaericus Neide)+TX、ビューベリア・ブロングニアルティ(Beauveria brongniartii)+TX、ヤマトクサカゲロウ(Chrysoperla carnea)+TX、ツマアカオオテントウムシ(Cryptolaemus montrouzieri)+TX、コドリンガ(Cydia pomonella)GV+TX、ハモグリコマユバチ(Dacnusa sibirica)+TX、イサエアヒメコバチ(Diglyphus isaea)+TX、オンシツツヤコバチ(Encarsia formosa)+TX、サバクツヤコバチ(Eretmocerus eremicus)+TX、ヘテロラブディティス・バクテリオフォラ(Heterorhabditis bacteriophora)及びH.メギディス(H.megidis)+TX、サカハチテントウ(Hippodamia convergens)+TX、レプトマスティクス・ダクチロピィ(Leptomastix dactylopii)+TX、マクロロフス・カリギノスス(Macrolophus caliginosus)+TX、ヨトウガ(Mamestra brassicae)NPV+TX、メタフィカス・ヘルボルス(Metaphycus helvolus)+TX、メタリジウム・アニソプリエ変種アクリヅム(Metarhizium anisopliae var.acridum)+TX、メタリジウム・アニソプリエ変種アニソプリエ(Metarhizium anisopliae var.anisopliae)+TX、マツノキハバチ(Neodiprion sertifer)NPV及びN.レコンティ(N.lecontei)NPV+TX、オリウス属(Orius)の種+TX、ペシロマイセス・フモソロセウス(Paecilomyces fumosoroseus)+TX、チリカブリダニ(Phytoseiulus persimilis)+TX、スタイナーネマ・ビビオニス(Steinernema bibionis)+TX、スタイナーネマ・カルポカプサエ(Steinernema carpocapsae)+TX、スタイナーネマ・フェルチアエ(Steinernema feltiae)+TX、スタイナーネマ・グラッセリ(Steinernema glaseri)+TX、スタイナーネマ・リオブラベ(Steinernema riobrave)+TX、スタイナーネマ・リオブラビス(Steinernema riobravis)+TX、スタイナーネマ・スカプテリシ(Steinernema scapterisci)+TX、スタイナーネマ属(Steinernema)の種+TX、トリコグラムマ属(Trichogramma)の種+TX、チフロドロムス・オシデンタリス(Typhlodromus occidentalis)+TX、バーティシリウム・レカニ(Verticillium lecanii)+TX、アフォレート+TX、ビサジル+TX、ブスルファン+TX、ジマチフ+TX、ヘメル+TX、ヘンパ+TX、メテパ+TX、メチオテパ+TX、メチルアフォレート+TX、モルジド+TX、ペンフルロン+TX、テパ+TX、チオヘンパ+TX、チオテパ+TX、トレタミン+TX、ウレデパ+TX、(E)-デカ-5-エン-1-イルアセテート及び(E)-デカ-5-エン-1-オール+TX、(E)-トリデカ-4-エン-1-イルアセテート+TX、(E)-6-メチルヘプタ-2-エン-4-オール+TX、(E,Z)-テトラデカ-4,10-ジエン-1-イルアセテート+TX、(Z)-ドデカ-7-エン-1-イルアセテート+TX、(Z)-ヘキサデカ-11-エナール+TX、(Z)-ヘキサデカ-11-エン-1-イルアセテート+TX、(Z)-ヘキサデカ-13-エン-11-イン-1-イルアセテート+TX、(Z)-イコサ-13-エン-10-オン+TX、(Z)-テトラデカ-7-エン-1-アール+TX、(Z)-テトラデカ-9-エン-1-オール+TX、(Z)-テトラデカ-9-エン-1-イルアセテート+TX、(7E,9Z)-ドデカ-7,9-ジエン-1-イルアセテート+TX、(9Z,11E)-テトラデカ-9,11-ジエン-1-イルアセテート+TX、(9Z,12E)-テトラデカ-9,12-ジエン-1-イルアセテート+TX、14-メチルオクタデカ-1-エン+TX、4-メチルノナン-5-オール及び4-メチルノナン-5-オン+TX、アルファ-マルチストリアチン+TX、ブレビコミン+TX、コドレルア+TX、コドレモン+TX、キュールア+TX、ディスパールア+TX、ドデカ-8-エン-1-イルアセテート+TX、ドデカ-9-エン-1-イル
アセテート+TX、ドデカ-8+TX、10-ジエン-1-イルアセテート+TX、ドミニカルア+TX、エチル4-メチルオクタノエート+TX、ユージノール+TX、フロンタリン+TX、グランドルア+TX、グランドルアI+TX、グランドルアII+TX、グランドルアIII+TX、グランドルアIV+TX、ヘキサルア+TX、イプスジエノール+TX、イプセノール+TX、ジャポニルア+TX、リネアチン+TX、リトルア+TX、ループルア+TX、メドルア+TX、メガトモ酸+TX、メチルユージノール+TX、ムスカルア+TX、オクタデカ-2,13-ジエン-1-イルアセテート+TX、オクタデカ-3,13-ジエン-1-イルアセテート+TX、オルフラルア+TX、オリクタルア+TX、オストラモン+TX、シグルア+TX、ソルジジン+TX、スルカトール+TX、テトラデカ-11-エン-1-イルアセテート+TX、トリメドルア+TX、トリメドルアA+TX、トリメドルアB1+TX、トリメドルアB2+TX、トリメドルアC+TX、トランク-コール+TX、2-(オクチルチオ)-エタノール+TX、ブトピロノキシル+TX、ブトキシ(ポリプロピレングリコール)+TX、アジピン酸ジブチル+TX、フタル酸ジブチル+TX、コハク酸ジブチル+TX、ジエチルトルアミド+TX、ジメチルカルベート+TX、フタル酸ジメチル+TX、エチルヘキサンジオール+TX、ヘキサアミド+TX、メトキン-ブチル+TX、メチルネオデカンアミド+TX、オキサメート+TX、ピカリジン+TX、1-ジクロロ-1-ニトロエタン+TX、1,1-ジクロロ-2,2-ビス(4-エチルフェニル)エタン+TX、1,2-ジクロロプロパン及び1,3-ジクロロプロペン+TX、1-ブロモ-2-クロロエタン+TX、2,2,2-トリクロロ-1-(3,4-ジクロロフェニル)エチルアセテート+TX、2,2-ジクロロビニル2-エチルスルフィニルエチルメチルホスフェート+TX、2-(1,3-ジチオラン-2-イル)フェニルジメチルカルバメート+TX、2-(2-ブトキシエトキシ)エチルチオシアネート+TX、2-(4,5-ジメチル-1,3-ジオキソラン-2-イル)フェニルメチルカルバメート+TX、2-(4-クロロ-3,5-キシリルオキシ)エタノール+TX、2-クロロビニルジエチルホスフェート+TX、2-イミダゾリドン+TX、2-イソバレリルインダン-1,3-ジオン+TX、2-メチル(プロパ-2-イニル)アミノフェニルメチルカルバメート+TX、2-チオシアナトエチルラウレート+TX、3-ブロモ-1-クロロプロパ-1-エン+TX、3-メチル-1-フェニルピラゾール-5-イルジメチルカルバメート+TX、4-メチル(プロパ-2-イニル)アミノ-3,5-キシリルメチルカルバメート+TX、5,5-ジメチル-3-オキソシクロヘキサ-1-エニルジメチルカルバメート+TX、アセチオン+TX、アクリロニトリル+TX、アルドリン+TX、アロサミジン+TX、アリキシカルブ+TX、アルファ-エクジソン+TX、リン化アルミニウム+TX、アミノカルブ+TX、アナバシン+TX、アチダチオン+TX、アザメチホス+TX、バチルス・チューリンゲンシス(Bacillus thuringiensis)デルタ内毒素+TX、ヘキサフルオロケイ酸バリウム+TX、バ多硫化バリウム+TX、バルトリン+TX、Bayer 22/190+TX、Bayer 22408+TX、ベータ-シフルトリン+TX、ベータ-シペルメトリン+TX、ビオエタノメトリン+TX、ビオペルメトリン+TX、ビス(2-クロロエチル)エーテル+TX、ホウ砂+TX、ブロムフェンビンホス+TX、ブロモ-DDT+TX、ブフェンカルブ+TX、ブタカルブ+TX、ブタチオホス+TX、ブトナート+TX、ヒ酸カルシウム+TX、シアン化カルシウム+TX、二硫化炭素+TX、四塩化炭素+TX、カルタップ塩酸塩+TX、セバジン+TX、クロルビシクレン+TX、クロルデン+TX、クロルデコン+TX、クロロホルム+TX、クロロピクリン+TX、クロルホキシム+TX、クロルプラゾホス+TX、シス-レスメトリン+TX、シスメトリン+TX、クロシトリン+TX、アセト亜ヒ酸銅+TX、ヒ酸銅+TX、オレイン酸銅+TX、クミトエート+TX、氷晶石+TX、CS 708+TX、シアノフェンホス+TX、シアノホス+TX、シクレトリン+TX、サイチオアート+TX、d-テトラメトリン+TX、DAEP+TX、ダゾメット+TX、デカルボフラン+TX、ジアミダホス+TX、ジカプトン+TX、ジクロフェンチオン+TX、ジクレシル+TX、ジシクラニル+TX、ジエルドリン+TX、ジエチル5-メチルピラゾール-3-イルホスフェート+TX、ジロール+TX、ジメフルトリン+TX、ジメタン+TX、ジメトリン+TX、ジメチルビンホス+TX、ジメチラン+TX、ジノプロプ+TX、ジノサム+TX、ジノセブ+TX、ジオフェノラン+TX、ジオキサベンゾホス+TX、ジチクロホス+TX、DSP+TX、エクジステロン+TX、EI 1642+TX、EMPC+TX、EPBP+TX、エタホス+TX、エチオフェンカルブ+TX、ギ酸エチル+TX、二臭化エチレン+TX、二塩化エチレン+TX、エチレンオキシド+TX、EXD+TX、フェンクロルホス+TX、フェネタカルブ+TX、フェニトロチオン+TX、フェノキサクリム+TX、フェンピリトリン+TX、フェンスルホチオン+TX、フェンチオン-エチル+TX、フルコフロン+TX、ホスメチラン+TX、ホスピラート+TX、ホスチエタン+TX、フラチオカルブ+TX、フレトリン+TX、グアザチン+TX、酢酸グアザチン+TX、テトラチオ炭酸ナトリウム+TX、ハルフェンプロックス+TX、HCH+TX、HEOD+TX、ヘプタクロール+TX、ヘテロホス+TX、HHDN+TX、シアン化水素+TX、ヒキンカルブ+TX、IPSP+TX、イサザホス+TX、イソベンザン+TX、イソドリン+TX、イソフェンホス+TX、イソラン+TX、イソプロチオラン+TX、イソオキサチオン+TX、幼若ホルモンI+TX、幼若ホルモンII+TX、幼若ホルモンIII+TX、ケレバン+TX、キノプレン+TX、ヒ酸鉛+TX、レプトホス+TX、リリムホス+TX、リチダチオン+TX、m-クメニルメチルカルバメート+TX、リン化マグネシウム+TX、マジドックス+TX、メカルフォン+TX、メナゾン+TX、塩化第一水銀+TX、メスルフェンホス+TX、メタム+TX、メタム-カリウム+TX、メタム-ナトリウム+TX、フッ化メタンスルホニル+TX、メトクロトホス+TX、メトプレン+TX、メトトリン+TX、メトキシクロール+TX、メチルイソチオシアネート+TX、メチルクロロホルム+TX、塩化メチレン+TX、メトキアジアゾン+TX、ミレックス+TX、ナフタロホス+TX、ナフタレン+TX、NC-170+TX、ニコチン+TX、硫酸ニコチン+TX、ニチアジン+TX、ノルニコチン+TX、O-5-ジクロロ-4-ヨードフェニルO-エチルエチルホスホノチオエート+TX、O,O-ジエチルO-4-メチル-2-オキソ-2H-クロメン-7-イルホスホロチオエート+TX、O,O-ジエチルO-6-メチル-2-プロピルピリミジン-4-イルホスホロチオエート+TX、O,O,O’,O’-テトラプロピルジチオピロホスフェート+TX、オレイン酸+TX、パラ-ジクロロベンゼン+TX、パラチオン-メチル+TX、ペンタクロロフェノール+TX、ラウリン酸ペンタクロロフェニル+TX、PH 60-38+TX、フェンカプトン+TX、ホスニクロール+TX、ホスフィン+TX、ホキシム-メチル+TX、ピリメタホス+TX、ポリクロロジシクロペンタジエン異性体+TX、亜ヒ酸カリウム+TX、チオシアン酸カリウム+TX、プレコセンI+TX、プレコセンII+TX、プレコセンIII+TX、プリミドホス+TX、プロフルトリン+TX、プロメカルブ+TX、プロチオホス+TX、ピラゾホス+TX、ピレスメトリン+TX、クアッシア+TX、キナルホス-メチル+TX、キノチオン+TX、ラホキサニド+TX、レスメトリン+TX、ロテノン+TX、カデトリン+TX、リアニア+TX、リアノジン+TX、サバジラ)+TX、シュラーダン+TX、セブホス+TX、SI-0009+TX、チアプロニル+TX、亜ヒ酸ナトリウム+TX、シアン化ナトリウム+TX、フッ化ナトリウム+TX、ヘキサフルオロケイ酸ナトリウム+TX、ナトリウムペンタクロロフェノキシド+TX、セレン酸ナトリウム+TX、チオシアン酸ナトリウム+TX、スルコフロン+TX、スルコフロン-ナトリウム+TX、フッ化スルフリル+TX、スルプロホス+TX、タール油+TX、タジムカルブ+TX、TDE+TX、テブピリミホス+TX、テメホス+TX、テラレトリン+TX、テトラクロロエタン+TX、チクロホス+TX、チオシクラム+TX、チオシクラムシュウ酸塩+TX、チオナジン+TX、チオスルタップ+TX、チオスルタップ-ナトリウム+TX、トラロメトリン+TX、トランスペルメトリン+TX、トリアザメエート+TX、トリクロルメタホス-3+TX、トリクロロナート+TX、トリメタカルブ+TX、トルプロカルブ+TX、トリクロピリカルブ+TX、トリプレン+TX、ベラトリジン+TX、ベラトリン+TX、XMC+TX、ゼタメトリン+TX、リン化亜鉛+TX、ゾラプロホス+TX及びメペルフルトリン+TX、テトラメチルフルトリン+TX、ビス(トリブチルスズ)オキシド+TX、ブロモアセトアミド+TX、リン酸第2鉄+TX、ニクロサミド-オラミン+TX、トリブチルスズオキシド+TX、ピリモルフ+TX、トリフェンモルフ+TX、1,2-ジブロモ-3-クロロプロパン+TX、1,3-ジクロロプロペン+TX、3,4-ジクロロテトラヒドロチオフェン1,1-ジオキシド+TX、3-(4-クロロフェニル)-5-メチルローダニン+TX、5-メチル-6-チオキソ-1,3,5-チアジアジナン-3-イル酢酸+TX、6-イソペンテニルアミノプリン+TX、2-フルオロ-N-(3-メトキシフェニル)-9H-プリン-6-アミン+TX、ベンクロチアズ+TX、サイトカイニン+TX、DCIP+TX、フルフラール+TX、イサミドホス+TX、キネチン+TX、クワ暗斑病菌(Myrothecium verrucaria)組成物+TX、テトラクロロチオフェン+TX、キシレノール+TX、ゼアチン+TX、エチルキサントゲン酸カリウム+TX、アシベンゾラル+TX、アシベンゾラル-S-メチル+TX、オオイタドリ(Reynoutria sachalinensis)抽出物+TX、アルファ-クロロヒドリン+TX、アンチュ+TX、炭酸バリウム+TX、ビスチオセミ+TX、ブロディファコウム+TX、ブロマジオロン(アルファ-ブロマジオロンを含めた)+TX、ブロメタリン+TX、クロロファシノン+TX、コレカルシフェロール+TX、クマクロル+TX、クマフリル+TX、クマテトラリル+TX、クリミジン+TX、ジフェナコウム+TX、ジフェチアロン+TX、ジファシノン+TX、エルゴカルシフェロール+TX、フロクマフェン+TX、フルオロアセトアミド+TX、フルプロパジン+TX、フルプロパジン塩酸塩+TX、ノルボルミド+TX、ホサセチム+TX、リン+TX、ピンドン+TX、ピリヌロン+TX、シリロシド+TX、フルオロ酢酸ナトリウム+TX、硫酸タリウム+TX、ワルファリン+TX、2-(2-ブトキシエトキシ)エチルピペロニレート+TX、5-(1,3-ベンゾジオキソール-5-イル)-3-ヘキシルシクロヘキサ-2-エノン+TX、ファルネソール及びネロリドール+TX、ベルブチン+TX、MGK 264+TX、ピペロニルブトキシド+TX、ピプロタール+TX、プロピル異性体+TX、S421+TX、セサメックス+TX、セサモリン+TX、スルホキシド+TX、アントラキノン+TX、ナフテン酸銅+TX、オキシ塩化銅+TX、ジシクロペンタジエン+TX、チラム+TX、ナフテン酸亜鉛+TX、ザイラム+TX
、イマニン+TX、リバビリン+TX、酸化第二水銀+TX、チオファネート-メチル+TX、アザコナゾール+TX、ビテルタノール+TX、ブロムコナゾール+TX、シプロコナゾール+TX、ジフェノコナゾール+TX、ジニコナゾール+TX、エポキシコナゾール+TX、フェンブコナゾール+TX、フルキンコナゾール+TX、フルシラゾール+TX、フルトリアホール+TX、フラメトピル+TX、ヘキサコナゾール+TX、イマザリル+TX、イミベン-コナゾール+TX、イプコナゾール+TX、メトコナゾール+TX、ミクロブタニル+TX、パクロブトラゾール+TX、ペフラゾエート+TX、ペンコナゾール+TX、プロチオコナゾール+TX、ピリフェノックス+TX、プロクロラズ+TX、プロピコナゾール+TX、ピリソオキサゾール+TX、シメコナゾール+TX、テブコナゾール+TX、テトラコナゾール+TX、トリアジメホン+TX、トリアジメノール+TX、トリフルミゾール+TX、トリチコナゾール+TX、アンシミドール+TX、フェナリモル+TX、ヌアリモール+TX、ブピリメート+TX、ジメチリモール+TX、エチリモール+TX、ドデモルフ+TX、フェンプロピディン+TX、フェンプロピモルフ+TX、スピロキサミン+TX、トリデモルフ+TX、シプロジニル+TX、メパニピリム+TX、ピリメタニル+TX、フェンピクロニル+TX、フルジオキソニル+TX、ベナラキシル+TX、フララキシル+TX、メタラキシル+TX、R-メタラキシル+TX、オフレース+TX、オキサジキシル+TX、カルベンダジム+TX、デバカルブ+TX、フベリダゾール+TX、チアベンダゾール+TX、クロゾリネート+TX、ジクロゾリン+TX、ミクロゾリン+TX、プロシミドン+TX、ビンクロゾリン+TX、ボスカリド+TX、カルボキシン+TX、フェンフラム+TX、フルトラニル+TX、メプロニル+TX、オキシカルボキシン+TX、ペンチオピラド+TX、チフルザミド+TX、ドジン+TX、イミノクタジン+TX、アゾキシストロビン+TX、ジモキシストロビン+TX、エネストロブリン+TX、フェナミンストロビン+TX、フルフェノキシストロビン+TX、フルオキサストロビン+TX、クレソキシム-メチル+TX、メトミノストロビン+TX、トリフロキシストロビン+TX、オリサストロビン+TX、ピコキシストロビン+TX、ピラクロストロビン+TX、ピラメトストロビン+TX、ピラオキシストロビン+TX、ファーバム+TX、マンコゼブ+TX、マネブ+TX、メチラム+TX、プロビネブ+TX、ジネブ+TX、カプタホール+TX、キャプタン+TX、フルオロイミド+TX、ホルペット+TX、トリルフルアニド+TX、ボルドー液+TX、酸化銅+TX、マンコッパー+TX、オキシン銅+TX、ニトロタール-イソプロピル+TX、エディフェンホス+TX、イプロベンホス+TX、ホスジフェン+TX、トルクロホス-メチル+TX、アリラジン+TX、ベンチアバリカルブ+TX、ブラストサイジン-S+TX、クロロネブ+TX、クロロ-タ-ロニル+TX、シフルフェナミド+TX、シモキサニル+TX、シクロブトリフルラム+TX、ジクロシメット+TX、ジクロメジン+TX、ジクロラン+TX、ジエトフェンカルブ+TX、ジメトモルフ+TX、フルモルフ+TX、ジチアノン+TX、エタボキサム+TX、エトリジアゾール+TX、ファモキサドン+TX、フェナミドン+TX、フェノキサニル+TX、フェリムゾン+TX、フルアジナム+TX、フルオピコリド+TX、フルスルファミド+TX、フルキサピロキサド+TX、フェンヘキサミド+TX、ホセチル-アルミニウム+TX、ヒメキサゾール+TX、イプロバリカルブ+TX、シアゾファミド+TX、メタスルホカルブ+TX、メトラフェノン+TX、ペンシクロン+TX、フタリド+TX、ポリオキシン+TX、プロパモカルブ+TX、ピリベンカルブ+TX、プロキナジド+TX、ピロキロン+TX、ピリオフェノン+TX、キノキシフェン+TX、キントゼン+TX、チアジニル+TX、トリアゾキシド+TX、トリシクラゾール+TX、トリフォリン+TX、バリダマイシン+TX、バリフェナレート+TX、ゾキサミド+TX、マンジプロパミド+TX、フルベネテラム+TX、イソピラザム+TX、セダキサン+TX、ベンゾビンジフルピル+TX、ピジフルメトフェン+TX、3-ジフルオロメチル-1-メチル-1H-ピラゾール-4-カルボン酸(3’,4’,5’-トリフルオロ-ビフェニル-2-イル)-アミド+TX、イソフルシプラム+TX、イソチアニル+TX、ジピメチトロン+TX、6-エチル-5,7-ジオキソ-ピロロ[4,5][1,4]ジチイノ[1,2-c]イソチアゾール-3-カルボニトリル+TX、2-(ジフルオロメチル)-N-[3-エチル-1,1-ジメチル-インダン-4-イル]ピリジン-3-カルボキサミド+TX、4-(2,6-ジフルオロフェニル)-6-メチル-5-フェニル-ピリダジン-3-カルボニトリル+TX、(R)-3-(ジフルオロメチル)-1-メチル-N-[1,1,3-トリメチルインダン-4-イル]ピラゾール-4-カルボキサミド+TX、4-(2-ブロモ-4-フルオロ-フェニル)-N-(2-クロロ-6-フルオロ-フェニル)-2,5-ジメチル-ピラゾール-3-アミン+TX、4-(2-ブロモ-4-フルオロフェニル)-N-(2-クロロ-6-フルオロフェニル)-1、3-ジメチル-1H-ピラゾール-5-アミン+TX、フルインダピル+TX、クメトキシストロビン(ジアキシアングジュンジー)+TX、ルベンミキシアナン+TX、ジクロベンチアゾクス+TX、マンデストロビン+TX、3-(4,4-ジフルオロ-3,4-ジヒドロ-3,3-ジメチルイソキノリン-1-イル)キノロン+TX、2-[2-フルオロ-6-[(8-フルオロ-2-メチル-3-キノリル)オキシ]フェニル]プロパン-2-オール+TX、オキサチアピプロリン+TX、tert-ブチルN-[6-[[[(1-メチルテトラゾール-5-イル)-フェニル-メチレン]アミノ]オキシメチル]-2-ピリジル]カルバメート+TX、ピラジフルミド+TX、インピルフルキサム+TX、トルプロカルブ+TX、メフェントリフルコナゾール+TX、イプフェントリフルコナゾール+TX、2-(ジフルオロメチル)-N-[(3R)-3-エチル-1,1-ジメチル-インダン-4-イル]ピリジン-3-カルボキサミド+TX、N’-(2,5-ジメチル-4-フェノキシ-フェニル)-N-エチル-N-メチル-ホルムアミジン+TX、N’-[4-(4,5-ジクロロチアゾール-2-イル)オキシ-2,5-ジメチル-フェニル]-N-エチル-N-メチル-ホルムアミジン+TX、[2-[3-[2-[1-[2-[3,5-ビス(ジフルオロメチル)ピラゾール-1-イル]アセチル]-4-ピペリジル]チアゾール-4-イル]-4,5-ジヒドロイソオキサゾール-5-イル]-3-クロロ-フェニル]メタンスルホネート+TX、ブタ-3-イニルN-[6-[[(Z)-[(1-メチルテトラゾール-5-イル)-フェニル-メチレン]アミノ]オキシメチル]-2-ピリジル]カルバメート+TX、メチルN-[[5-[4-(2,4-ジメチルフェニル)トリアゾール-2-イル]-2-メチル-フェニル]メチル]カルバメート+TX、3-クロロ-6-メチル-5-フェニル-4-(2,4,6-トリフルオロフェニル)ピリダジン+TX、ピリダクロメチル+TX、3-(ジフルオロメチル)-1-メチル-N-[1,1,3-トリメチルインダン-4-イル]ピラゾール-4-カルボキサミド+TX、1-[2-[[1-(4-クロロフェニル)ピラゾール-3-イル]オキシメチル]-3-メチル-フェニル]-4-メチル-テトラゾール-5-オン+TX、1-メチル-4-[3-メチル-2-[[2-メチル-4-(3,4,5-トリメチルピラゾール-1-イル)フェノキシ]メチル]フェニル]テトラゾール-5-オン+TX、アミノピリフェン+TX、アメトクトラジン+TX、アミスルブロム+TX、ペンフルフェン+TX、(Z,2E)-5-[1-(4-クロロフェニル)ピラゾール-3-イル]オキシ-2-メトキシイミノ-N,3-ジメチル-ペンタ-3-エナミド+TX、フロリルピコキサミド+TX、フェンピコキサミド+TX、テブフロキン+TX、イプフルフェノキン+TX、キノフメリン+TX、イソフェタミド+TX、N-[2-[2,4-ジクロロ-フェノキシ]フェニル]-3-(ジフルオロメチル)-1-メチル-ピラゾール-4-カルボキサミド+TX、N-[2-[2-クロロ-4-(トリフルオロメチル)フェノキシ]フェニル]-3-(ジフルオロメチル)-1-メチル-ピラゾール-4-カルボキサミド+TX、ベンゾチオストロビン+TX、フェナマクリル+TX、5-アミノ-1,3,4-チアジアゾール-2-チオール亜鉛塩(2:1)+TX、フルオピラム+TX、フルチアニル+TX、フルオピモミド+TX、ピラプロポイン+TX、ピカルブトラゾクス+TX、2-(ジフルオロメチル)-N-(3-エチル-1,1-ジメチル-インダン-4-イル)ピリジン-3-カルボキサミド+TX、2-(ジフルオロメチル)-N-((3R)-1,1,3-トリメチルインダン-4-イル)ピリジン-3-カルボキサミド+TX、4-[[6-[2-(2,4-ジフルオロフェニル)-1,1-ジフルオロ-2-ヒドロキシ-3-(1,2,4-トリアゾール-1-イル)プロピル]-3-ピリジル]オキシ]ベンゾニトリル+TX、メチルテトラプロール+TX、2-(ジフルオロメチル)-N-((3R)-1,1,3-トリメチルインダン-4-イル)ピリジン-3-カルボキサミド+TX、α-(1,1-ジメチルエチル)-α-[4’-(トリフルオロメトキシ)[1,1’-ビフェニル]-4-イル]-5-ピリミジンメタノール+TX、フルオキサピプロリン+TX、エノキサストロビン+TX、4-[[6-[2-(2,4-ジフルオロフェニル)-1,1-ジフルオロ-2-ヒドロキシ-3-(1,2,4-トリアゾール-1-イル)プロピル]-3-ピリジル]オキシ]ベンゾニトリル+TX、4-[[6-[2-(2,4-ジフルオロフェニル)-1,1-ジフルオロ-2-ヒドロキシ-3-(5-スルファニル-1,2,4-トリアゾール-1-イル)プロピル]-3-ピリジル]オキシ]ベンゾニトリル+TX、4-[[6-[2-(2,4-ジフルオロフェニル)-1,1-ジフルオロ-2-ヒドロキシ-3-(5-チオキソ-4H-1,2,4-トリアゾール-1-イル)プロピル]-3-ピリジル]オキシ]ベンゾニトリル+TX、トリネキサパック+TX、クモキシストロビン+TX、ズホングシェングマイシン+TX、チオジアゾール銅+TX、亜鉛チアゾール+TX、アメクトトラクチン+TX、イプロジオン+TX、N-オクチル-N’-[2-(オクチルアミノ)エチル]エタン-1,2-ジアミン+TX;N’-[5-ブロモ-2-メチル-6-[(1S)-1-メチル-2-プロポキシ-エトキシ]-3-ピリジル]-N-エチル-N-メチル-ホルムアミジン+TX、N’-[5-ブロモ-2-メチル-6-[(1R)-1-メチル-2-プロポキシ-エトキシ]-3-ピリジル]-N-エチル-N-メチル-ホルムアミジン+TX、N’-[5-ブロモ-2-メチル-6-(1-メチル-2-プロポキシ-エトキシ)-3-ピリジル]-N-エチル-N-メチル-ホルムアミジン+TX、N’-[5-クロロ-2-メチル-6-(1-メチル-2-プロポキシ-エトキシ)-3-ピリジル]-N-エチル-N-メチル-ホルムアミジン+TX、N’-[5-ブロモ-2-メチル-6-(1-メチル-2-プロポキシ-エトキシ)-3-ピリジル]-N-イソプロピル-N-メチル-ホルムアミジン+TX(これらの化合物は、国際公開第2015/155075号に記載されている方法から調製され得る);N’-[5-ブロモ-2-メチル-6-(2-プロポキシプロポキシ)-3-ピリジル]-N-エチル-N-メチル-ホルムアミジン+TX(この化合物は、IPCOM000249
876Dに記載されている方法から調製され得る);N-イソプロピル-N’-[5-メトキシ-2-メチル-4-(2,2,2-トリフルオロ-1-ヒドロキシ-1-フェニル-エチル)フェニル]-N-メチル-ホルムアミジン+TX、N’-[4-(1-シクロプロピル-2,2,2-トリフルオロ-1-ヒドロキシ-エチル)-5-メトキシ-2-メチル-フェニル]-N-イソプロピル-N-メチル-ホルムアミジン+TX(これらの化合物は、国際公開第2018/228896号に記載されている方法から調製され得る);N-エチル-N’-[5-メトキシ-2-メチル-4-[(2-トリフルオロメチル)オキセタン-2-イル]フェニル]-N-メチル-ホルムアミジン+TX、N-エチル-N’-[5-メトキシ-2-メチル-4-[(2-トリフルオロメチル)テトラヒドロフラン-2-イル]フェニル]-N-メチル-ホルムアミジン+TX(これらの化合物は、国際公開第2019/110427号に記載されている方法から調製され得る);N-[(1R)-1-ベンジル-3-クロロ-1-メチル-ブタ-3-エニル]-8-フルオロ-キノリン-3-カルボキサミド+TX、N-[(1S)-1-ベンジル-3-クロロ-1-メチル-ブタ-3-エニル]-8-フルオロ-キノリン-3-カルボキサミド+TX、N-[(1R)-1-ベンジル-3,3,3-トリフルオロ-1-メチル-プロピル]-8-フルオロ-キノリン-3-カルボキサミド+TX、N-[(1S)-1-ベンジル-3,3,3-トリフルオロ-1-メチル-プロピル]-8-フルオロ-キノリン-3-カルボキサミド+TX、N-[(1R)-1-ベンジル-1,3-ジメチル-ブチル]-7,8-ジフルオロ-キノリン-3-カルボキサミド+TX、N-[(1S)-1-ベンジル-1,3-ジメチル-ブチル]-7,8-ジフルオロ-キノリン-3-カルボキサミド+TX、8-フルオロ-N-[(1R)-1-[(3-フルオロフェニル)メチル]-1,3-ジメチル-ブチル]キノリン-3-カルボキサミド+TX、8-フルオロ-N-[(1S)-1-[(3-フルオロフェニル)メチル]-1,3-ジメチル-ブチル]キノリン-3-カルボキサミド+TX、N-[(1R)-1-ベンジル-1,3-ジメチル-ブチル]-8-フルオロ-キノリン-3-カルボキサミド+TX、N-[(1S)-1-ベンジル-1,3-ジメチル-ブチル]-8-フルオロ-キノリン-3-カルボキサミド+TX、N-((1R)-1-ベンジル-3-クロロ-1-メチル-ブタ-3-エニル)-8-フルオロ-キノリン-3-カルボキサミド+TX、N-((1S)-1-ベンジル-3-クロロ-1-メチル-ブタ-3-エニル)-8-フルオロ-キノリン-3-カルボキサミド+TX(これらの化合物は、国際公開第2017/153380号に記載されている方法から調製され得る);
1-(6,7-ジメチルピラゾロ[1,5-a]ピリジン-3-イル)-4,4,5-トリフルオロ-3,3-ジメチル-イソキノリン+TX、1-(6,7-ジメチルピラゾロ[1,5-a]ピリジン-3-イル)-4,4,6-トリフルオロ-3,3-ジメチル-イソキノリン+TX、4,4-ジフルオロ-3,3-ジメチル-1-(6-メチルピラゾロ[1,5-a]ピリジン-3-イル)イソキノリン+TX、4,4-ジフルオロ-3,3-ジメチル-1-(7-メチルピラゾロ[1,5-a]ピリジン-3-イル)イソキノリン+TX、1-(6-クロロ-7-メチル-ピラゾロ[1,5-a]ピリジン-3-イル)-4,4-ジフルオロ-3,3-ジメチル-イソキノリン+TX(これらの化合物は、国際公開第2017/025510号に記載されている方法から調製され得る);1-(4,5-ジメチルベンゾイミダゾール-1-イル)-4,4,5-トリフルオロ-3,3-ジメチル-イソキノリン+TX、1-(4,5-ジメチルベンゾイミダゾール-1-イル)-4,4-ジフルオロ-3,3-ジメチル-イソキノリン+TX、6-クロロ-4,4-ジフルオロ-3,3-ジメチル-1-(4-メチルベンゾイミダゾール-1-イル)イソキノリン+TX、4,4-ジフルオロ-1-(5-フルオロ-4-メチル-ベンゾイミダゾール-1-イル)-3,3-ジメチル-イソキノリン+TX、3-(4,4-ジフルオロ-3,3-ジメチル-1-イソキノリル)-7,8-ジヒドロ-6H-シクロペンタ[e]ベンゾイミダゾール+TX(これらの化合物は、国際公開第2016/156085号に記載されている方法から調製され得る);N-メトキシ-N-[[4-[5-(トリフルオロメチル)-1,2,4-オキサジアゾール-3-イル]フェニル]メチル]シクロプロパンカルボキサミド+TX、N,2-ジメトキシ-N-[[4-[5-(トリフルオロメチル)-1,2,4-オキサジアゾール-3-イル]フェニル]メチル]プロパンアミド+TX、N-エチル-2-メチル-N-[[4-[5-(トリフルオロメチル)-1,2,4-オキサジアゾール-3-イル]フェニル]メチル]プロパンアミド+TX、1-メトキシ-3-メチル-1-[[4-[5-(トリフルオロメチル)-1,2,4-オキサジアゾール-3-イル]フェニル]メチル]尿素+TX、1,3-ジメトキシ-1-[[4-[5-(トリフルオロメチル)-1,2,4-オキサジアゾール-3-イル]フェニル]メチル]尿素+TX、3-エチル-1-メトキシ-1-[[4-[5-(トリフルオロメチル)-1,2,4-オキサジアゾール-3-イル]フェニル]メチル]尿素+TX、N-[[4-[5-(トリフルオロメチル)-1,2,4-オキサジアゾール-3-イル]フェニル]メチル]プロパンアミド+TX、4,4-ジメチル-2-[[4-[5-(トリフルオロメチル)-1,2,4-オキサジアゾール-3-イル]フェニル]メチル]イソオキサゾリジン-3-オン+TX、5,5-ジメチル-2-[[4-[5-(トリフルオロメチル)-1,2,4-オキサジアゾール-3-イル]フェニル]メチル]イソオキサゾリジン-3-オン+TX、エチル1-[[4-[5-(トリフルオロメチル)-1,2,4-オキサジアゾール-3-イル]フェニル]メチル]ピラゾール-4-カルボキシレート+TX、N,N-ジメチル-1-[[4-[5-(トリフルオロメチル)-1,2,4-オキサジアゾール-3-イル]フェニル]メチル]-1,2,4-トリアゾール-3-アミン+TX。このパラグラフにおける化合物は、国際公開第2017/055473号、国際公開第2017/055469号、国際公開第2017/093348号及び国際公開第2017/118689号に記載されている方法から調製され得る;2-[6-(4-クロロフェノキシ)-2-(トリフルオロメチル)-3-ピリジル]-1-(1,2,4-トリアゾール-1-イル)プロパン-2-オール+TX(この化合物は、国際公開第2017/029179号に記載されている方法から調製され得る);2-[6-(4-ブロモフェノキシ)-2-(トリフルオロメチル)-3-ピリジル]-1-(1,2,4-トリアゾール-1-イル)プロパン-2-オール+TX(この化合物は、国際公開第2017/029179号に記載されている方法から調製され得る);3-[2-(1-クロロシクロプロピル)-3-(2-フルオロフェニル)-2-ヒドロキシ-プロピル]イミダゾール-4-カルボニトリル+TX(この化合物は、国際公開第2016/156290号に記載されている方法から調製され得る);3-[2-(1-クロロシクロプロピル)-3-(3-クロロ-2-フルオロ-フェニル)-2-ヒドロキシ-プロピル]イミダゾール-4-カルボニトリル+TX(この化合物は、国際公開第2016/156290号に記載されている方法から調製され得る);(4-フェノキシフェニル)メチル2-アミノ-6-メチル-ピリジン-3-カルボキシレート+TX(この化合物は、国際公開第2014/006945号に記載されている方法から調製され得る);2,6-ジメチル-1H,5H-[1,4]ジチイノ[2,3-c:5,6-c’]ジピロール-1,3,5,7(2H,6H)-テトラオン+TX(この化合物は、国際公開第2011/138281号に記載されている方法から調製され得る);N-メチル-4-[5-(トリフルオロメチル)-1,2,4-オキサジアゾール-3-イル]ベンゼンカルボチオアミド+TX;N-メチル-4-[5-(トリフルオロメチル)-1,2,4-オキサジアゾール-3-イル]ベンズアミド+TX;(Z,2E)-5-[1-(2,4-ジクロロフェニル)ピラゾール-3-イル]オキシ-2-メトキシイミノ-N,3-ジメチル-ペンタ-3-エナミド+TX(この化合物は、国際公開第2018/153707号に記載されている方法から調製され得る);N’-(2-クロロ-5-メチル-4-フェノキシ-フェニル)-N-エチル-N-メチル-ホルムアミジン+TX;N’-[2-クロロ-4-(2-フルオロフェノキシ)-5-メチル-フェニル]-N-エチル-N-メチル-ホルムアミジン+TX(この化合物は、国際公開第2016/202742号に記載されている方法から調製され得る);2-(ジフルオロメチル)-N-[(3S)-3-エチル-1,1-ジメチル-インダン-4-イル]ピリジン-3-カルボキサミド+TX(この化合物は、国際公開第2014/095675号に記載されている方法から調製され得る);(5-メチル-2-ピリジル)-[4-[5-(トリフルオロメチル)-1,2,4-オキサジアゾール-3-イル]フェニル]メタノン+TX、(3-メチルイソオキサゾール-5-イル)-[4-[5-(トリフルオロメチル)-1,2,4-オキサジアゾール-3-イル]フェニル]メタノン+TX(これらの化合物は、国際公開第2017/220485号に記載されている方法から調製され得る);2-オキソ-N-プロピル-2-[4-[5-(トリフルオロメチル)-1,2,4-オキサジアゾール-3-イル]フェニル]アセトアミド+TX(この化合物は、国際公開第2018/065414号に記載されている方法から調製され得る);エチル1-[[5-[5-(トリフルオロメチル)-1,2,4-オキサジアゾール-3-イル]-2-チエニル]メチル]ピラゾール-4-カルボキシレート+TX(この化合物は、国際公開第2018/158365号に記載されている方法から調製され得る);2,2-ジフルオロ-N-メチル-2-[4-[5-(トリフルオロメチル)-1,2,4-オキサジアゾール-3-イル]フェニル]アセトアミド+TX、N-[(E)-メトキシイミノメチル]-4-[5-(トリフルオロメチル)-1,2,4-オキサジアゾール-3-イル]ベンズアミド+TX、N-[(Z)-メトキシイミノメチル]-4-[5-(トリフルオロメチル)-1,2,4-オキサジアゾール-3-イル]ベンズアミド+TX、N-[N-メトキシ-C-メチル-カルボンイミドイル]-4-[5-(トリフルオロメチル)-1,2,4-オキサジアゾール-3-イル]ベンズアミド+TX(これらの化合物は、国際公開第2018/202428号に記載されている方法から調製され得る);
以下のものを含む微生物:アシネトバクター・ルオフィイ(Acinetobacter lwoffii)+TX、アクレモニウム・アルタナツム(Acremonium alternatum)+TX+TX、アクレモニウム・セファロスポリウム(Acremonium cephalosporium)+TX+TX、アクレモニウム・ディオスピリ(Acremonium diospyri)+TX、アクレモニウム・オブクラバツム(Acremonium obclavatum)+TX、リンゴコカクモンハマキ・グラニュロウイルス(Adoxophyes orana granulovirus)(AdoxGV)(Capex(登録商標))+TX、アグロバクテリウム・ラジオバクター(Agrobacterium radiobacter)菌株K84(Galltrol-A(登録商標))+TX、アルテルナリア・アルテルナータ(Alternaria alternate)+TX、アルテルナリア・カシアエ(Alternaria cassia)+TX、アルテルナリア・デストルエンス(Alternaria destruens)(Smolder(登録商標))+TX、アンペロマイセス・キスカリス(Ampelomyces quisqualis)(AQ10(登録商標))+TX、アスペルギルス・フラバス(Aspergillus flavus)AF36(AF36(登録商標))+TX、アスペルギルス・フラバス(Aspergillus flavus)NRRL 21882(Aflaguard(登録商標))+TX、アスペルギルス属(Aspergillus)の種+TX、アウレオバシジウム・プルランス(Aureobasidium pullulans)+TX、アゾスピリルム属(Azospirillum)+TX、(MicroAZ(登録商標)+TX、TAZO B(登録商標))+TX、アゾトバクター属(Azotobacter)+TX、アゾトバクター・クロオコッカム(Azotobacter chroocuccum)(Azotomeal(登録商標))+TX、アゾトバクター(Azotobacter)シスト(Bionatural Blooming Blossoms(登録商標))+TX、バチルス・アミロリケファシエンス(Bacillus amyloliquefaciens)+TX、バチルス・セレウス(Bacillus cereus)+TX、バチルス・キチノスポルス(Bacillus chitinosporus)菌株CM-1+TX、バチルス・キチノスポルス(Bacillus chitinosporus)菌株AQ746+TX、バチルス・リケニフォルミス(Bacillus licheniformis)菌株HB-2(Biostart(商標)Rhizoboost(登録商標))+TX、バチルス・リケニフォルミス(Bacillus licheniformis)菌株3086(EcoGuard(登録商標)+TX、Green Releaf(登録商標))+TX、バチルス・サーキュランス(Bacillus circulans)+TX、バチルス・フィルムス(Bacillus firmus)(BioSafe(登録商標)+TX、BioNem-WP(登録商標)+TX、VOTiVO(登録商標))+TX、バチルス・フィルムス(Bacillus firmus)菌株I-1582+TX、バチルス・マセランス(Bacillus macerans)+TX、バチルス・マリスモルトゥイ(Bacillus marismortui)+TX、バチルス・メガテリウム(Bacillus megaterium)+TX、バチルス・ミコイデス(Bacillus mycoides)菌株AQ726+TX、バチルス・ポピリエ(Bacillus papillae)(Milky Spore Powder(登録商標))+TX、バチルス・プミルス(Bacillus pumilus)の種+TX、バチルス・プミルス(Bacillus pumilus)菌株GB34(Yield Shield(登録商標))+TX、バチルス・プミルス(Bacillus pumilus)菌株AQ717+TX、バチルス・プミルス(Bacillus pumilus)菌株QST 2808(Sonata(登録商標)+TX、Ballad Plus(登録商標))+TX、バチルス・スフェリカス(Bacillus spahericus)(VectoLex(登録商標))+TX、バチルス属(Bacillus)の種+TX、バチルス属(Bacillus)の種の菌株AQ175+TX、バチルス属(Bacillus)の種の菌株AQ177+TX、バチルス属(Bacillus)の種の菌株AQ178+TX、枯草菌(Bacillus subtilis)菌株QST 713(CEASE(登録商標)+TX、Serenade(登録商標)+TX、Rhapsody(登録商標))+TX、枯草菌(Bacillus subtilis)菌株QST 714(JAZZ(登録商標))+TX、枯草菌(Bacillus subtilis)菌株AQ153+TX、枯草菌(Bacillus subtilis)菌株AQ743+TX、枯草菌(Bacillus subtilis)菌株QST3002+TX、枯草菌(Bacillus subtilis)菌株QST3004+TX、枯草菌(Bacillus subtilis)変種アミロリケファシエンス(amyloliquefaciens)菌株FZB24(Taegro(登録商標)+TX、Rhizopro(登録商標))+TX、バチルス・チューリンゲンシス(Bacillus thuringiensis)Cry 2Ae+TX、バチルス・チューリンゲンシス(Bacillus thuringiensis)Cry1Ab+TX、バチルス・チューリンゲンシス・アイザワイ(Bacillus thuringiensis aizawai)GC 91(Agree(登録商標))+TX、バチルス・チューリンゲンシス・イスラエンシス(Bacillus thuringiensis israelensis)(BMP123(登録商標)+TX、Aquabac(登録商標)+TX、VectoBac(登録商標))+TX、バチルス・チューリンゲンシス・クルスターキ(Bacillus thuringiensis kurstaki)(Javelin(登録商標)+TX、Deliver(登録商標)+TX、CryMax(登録商標)+TX、Bonide(登録商標)+TX、Scutella WP(登録商標)+TX、Turilav WP(登録商標)+TX、Astuto(登録商標)+TX、Dipel WP(登録商標)+TX、Biobit(登録商標)+TX、Foray(登録商標))+TX、バチルス・チューリンゲンシス・クルスターキ(Bacillus thuringiensis kurstaki)BMP 123(Baritone(登録商標))+TX、バチルス・チューリンゲンシス・クルスターキ(Bacillus thuringiensis kurstaki)HD-1(Bioprotec-CAF/3P(登録商標))+TX、バチルス・チューリンゲンシス(Bacillus thuringiensis)菌株BD#32+TX、バチルス・チューリンゲンシス(Bacillus thuringiensis)菌株AQ52+TX、バチルス・チューリンゲンシス(Bacillus thuringiensis)変種アイザワイ(aizawai)(XenTari(登録商標)+TX、DiPel(登録商標))+TX、細菌種(GROWMEND(登録商標)+TX、GROWSWEET(登録商標)+TX、Shootup(登録商標))+TX、クラビバクター・ミシガネンシス(Clavipacter michiganensis)のバクテリオファージ(AgriPhage(登録商標))+TX、Bakflor(登録商標)+TX、白きょう病菌(Beauveria bassiana)(Beaugenic(登録商標)+TX、Brocaril WP(登録商標))+TX、白きょう病菌(Beauveria bassiana)GHA(Mycotrol ES(登録商標)+TX、Mycotrol O(登録商標)+TX、BotaniGuard(登録商標))+TX、ビューベリア・ブロングニアルティ(Beauveria brongniartii)(Engerlingspilz(登録商標)+TX、Schweizer Beauveria(登録商標)+TX、Melocont(登録商標))+TX、ビューベリア属(Beauveria)の種+TX、灰色かび病菌(Botrytis cineria)+TX、ブラディリゾビウム・ジャポニクム(Bradyrhizobium japonicum)(TerraMax(登録商標))+TX、ブレビバチルス・ブレビス(Brevibacillus brevis)+TX、バチルス・チューリンゲンシス・テネブリオニス(Bacillus thuringiensis tenebrionis)(Novodor(登録商標))+TX、BtBooster+TX、バークホルデリア・セパシア(Burkholderia cepacia)(Deny(登録商標)+TX、Intercept(登録商標)+TX、Blue Circle(登録商標))+TX、バークホルデリア・グラディ(Burkholderia gladii)+TX、バークホルデリア・グラディオリ(Burkholderia gladioli)+TX、バークホルデリア属(Burkholderia)の種+TX、セイヨウトゲアザミの菌(Canadian thistle fungus)(CBH Canadian Bioherbicide(登録商標))+TX、カンジダ・ブチリ(Candida butyri)+TX、カンジダ・ファマータ(Candida famata)+TX、カンジダ・フルクタス(Candida fructus)+TX、カンジダ・グラブラタ(Candida glabrata)+TX、カンジダ・ギリエルモンディ(Candida guilliermondii)+TX、カンジダ・メリビオシカ(Candida melibiosica)+TX、カンジダ・オレオフィラ(Candida oleophila)菌株O+TX、カンジダ・パラプシロシス(Candida parapsilosis)+TX、カンジダ・ペリキュローザ(Candida pelliculosa)+TX、カンジダ・プルケリマ(Candida pulcherrima)+TX、カンジダ・レウカウフィ(Candida reukaufii)+TX、カンジダ・サイトアナ(Candida saitoana)(Bio-Coat(登録商標)+TX、Biocure(登録商標))+TX、カンジダ・サケ(Candida sake)+TX、カンジダ属(Candida)の種+TX、カンジダ・テヌイス(Candida tenius)+TX、セデセア・ダビセ(Cedecea dravisae)+TX、セルロモナス・フラビゲナ(Cellulomonas flavigena)+TX、カエトミウム・コクリオイデス(Chaetomium cochliodes)(Nova-Cide(登録商標))+TX、カエトミウム・グロボスム(Chaetomium globosum)(Nova-Cide(登録商標))+TX、クロモバクテリウム・スブツガエ(Chromobacterium subtsugae)菌株PRAA4-1T(Grandevo(登録商標))+TX、クラドスポリウム・クラドスポリオイデス(Cladosporium cladosporioides)+TX、クラドスポリウム・オキシスポルム(Cladosporium oxysporum)+TX、クラドスポリウム・クロロセファルム(Cladosporium chlorocephalum)+TX、クラドスポリウム属(Cladospor
ium)の種+TX、クラドスポリウム・テヌイシマム(Cladosporium tenuissimum)+TX、クロノスタキス・ロゼア(Clonostachys rosea)(EndoFine(登録商標))+TX、コレトトリクム・アクタータム(Colletotrichum acutatum)+TX、コニオチリウム・ミニタンス(Coniothyrium minitans)(Cotans WG(登録商標))+TX、コニオチリウム属(Coniothyrium)の種+TX、クリプトコッカス・アルビダス(Cryptococcus albidus)(YIELDPLUS(登録商標))+TX、クリプトコッカス・フミコラ(Cryptococcus humicola)+TX、クリプトコッカス・インフィルモ-ミニアツス(Cryptococcus infirmo-miniatus)+TX、クリプトコッカス・ローレンティ(Cryptococcus laurentii)+TX、クリプトフレビア・レウコトレタ顆粒病ウイルス(Cryptophlebia leucotreta granulovirus)(Cryptex(登録商標))+TX、カプリアビダス・カンピネンシス(Cupriavidus campinensis)+TX、コドリンガ顆粒病ウイルス(Cydia pomonella granulovirus)(CYD-X(登録商標))+TX、コドリンガ顆粒病ウイルス(Cydia pomonella granulovirus)(Madex(登録商標)+TX、Madex Plus(登録商標)+TX、Madex Max/Carpovirusine(登録商標))+TX、エビコウヤクタケ(Cylindrobasidium laeve)(Stumpout(登録商標))+TX、シリンドロクラジウム属(Cylindrocladium)+TX、デバリオマイセス・ハンセニイ(Debaryomyces hansenii)+TX、ドレクスレラ・ハワイエンシス(Drechslera hawaiinensis)+TX、エンテロバクター・クロアカ(Enterobacter cloacae)+TX、腸内細菌科(Enterobacteriaceae)+TX、エントモフトラ・ビルレンタ(Entomophtora virulenta)(Vektor(登録商標))+TX、エピコッカム・ニグラム(Epicoccum nigrum)+TX、エピコッカム・パーパラセンス(Epicoccum purpurascens)+TX、エピコッカム属(Epicoccum)の種+TX、フィロバシディウム・フロリフォルメ(Filobasidium floriforme)+TX、フザリウム・アクミナツム(Fusarium acuminatum)+TX、フザリウム・クラミドスポルム(Fusarium chlamydosporum)+TX、フザリウム・オキシスポラム(Fusarium oxysporum)(Fusaclean(登録商標)/Biofox C(登録商標))+TX、フザリウム・プロリフェラツム(Fusarium proliferatum)+TX、フザリウム属(Fusarium)の種+TX、ガラクトマイセス・ゲオトリスム(Galactomyces geotrichum)+TX、グリオクラジウム・カテヌラツム(Gliocladium catenulatum)(Primastop(登録商標)+TX、Prestop(登録商標))+TX、グリオクラジウム・ロセウム(Gliocladium roseum)+TX、グリオクラジウム属(Gliocladium)の種(SoilGard(登録商標))+TX、グリオクラジウム・ビレンス(Gliocladium virens)(Soilgard(登録商標))+TX、グラニュロウイルス(Granulovirus)(Granupom(登録商標))+TX、ハロバチルス・ハロフィラス(Halobacillus halophilus)+TX、ハロバチルス・リトラリス(Halobacillus litoralis)+TX、ハロバチルス・トルウエペリ(Halobacillus trueperi)+TX、ハロモナス属(Halomonas)の種+TX、ハロモナス・スブグラシェスコーラ(Halomonas subglaciescola)+TX、ハロビブリオ・バリアビリス(Halovibrio variabilis)+TX、ハンセニアスポラ・ウバルム(Hanseniaspora uvarum)+TX、オオタバコガ(Helicoverpa armigera)核多角体病ウイルス(Helicovex(登録商標))+TX、アメリカタバコガ(Helicoverpa zea)核多角体病ウイルス(Gemstar(登録商標))+TX、イソフラボン-ホルモノネチン(Myconate(登録商標))+TX、クロエケラ・アピキュラータ(Kloeckera apiculata)+TX、クロエケラ属(Kloeckera)の種+TX、ラゲニジウム・ギガンテウム(Lagenidium giganteum)(Laginex(登録商標))+TX、レカニシリウム・ロンギスポルム(Lecanicillium longisporum)(Vertiblast(登録商標))+TX、レカニシリウム・ムスカリウム(Lecanicillium muscarium)(Vertikil(登録商標))+TX、マイマイガ核多角体病ウイルス(Lymantria Dispar nucleopolyhedrosis virus)(Disparvirus(登録商標))+TX、マリノコッカス・ハロフィルス(Marinococcus halophilus)+TX、メイラ・ゲウラコニギイ(Meira geulakonigii)+TX、メタリジウム・アニソプリエ(Metarhizium anisopliae)(Met52(登録商標))+TX、メタリジウム・アニソプリエ(Metarhizium anisopliae)(Destruxin WP(登録商標))+TX、メチニコビア・フルクチコラ(Metschnikowia fruticola)(Shemer(登録商標))+TX、メチニコビア・プルケリマ(Metschnikowia pulcherrima)+TX、ミクロドチウム・ジメルム(Microdochium dimerum)(Antibot(登録商標))+TX、ミクロモノスポラ・ケルレア(Micromonospora coerulea)+TX、ミクロスファエロプシス・オクラセ(Microsphaeropsis ochracea)+TX、ムスコドル・アルブス(Muscodor albus)620(Muscudor(登録商標))+TX、ムスコドル・ロセウス(Muscodor roseus)菌株A3-5+TX、ミコリザエ属(Mycorrhizae)の種(AMykor(登録商標)+TX、Root Maximizer(登録商標))+TX、クワ暗斑病菌(Myrothecium verrucaria)菌株AARC-0255(DiTera(登録商標))+TX、BROS PLUS(登録商標)+TX、オフィオストマ・ピリフェルム(Ophiostoma piliferum)菌株D97(Sylvanex(登録商標))+TX、ペシロマイセス・ファリノスス(Paecilomyces farinosus)+TX、ペシロマイセス・フモソロセウス(Paecilomyces fumosoroseus)(PFR-97(登録商標)+TX、PreFeRal(登録商標))+TX、ペシロマイセス・リラシヌス(Paecilomyces linacinus)(Biostat WP(登録商標))+TX、ペシロマイセス・リラシヌス(Paecilomyces lilacinus)菌株251(MeloCon WG(登録商標))+TX、パエニバチルス・ポリミキサ(Paenibacillus polymyxa)+TX、パントエア・アグロメランス(Pantoea agglomerans)(BlightBan C9-1(登録商標))+TX、パンテア属(Pantoea)の種+TX、パスツーリア属(Pasteuria)の種(Econem(登録商標))+TX、パスツーリア・ニシザワエ(Pasteuria nishizawae)+TX、ペニシリウム・オーランティオグリセウム(Penicillium aurantiogriseum)+TX、ペニシリウム・ビライ(Penicillium billai)(Jumpstart(登録商標)+TX、TagTeam(登録商標))+TX、ペニシリウム・ブレビコンパクツム(Penicillium brevicompactum)+TX、ペニシリウム・フレクエンタス(Penicillium frequentans)+TX、ペニシリウム・グリセオフルバム(Penicillium griseofulvum)+TX、ペニシリウム・プルプロゲナム(Penicillium purpurogenum)+TX、ペニシリウム属(Penicillium)の種+TX、ペニシリウム・ビリディカタム(Penicillium viridicatum)+TX、フレビオプシス・ギガンテア(Phlebiopsis gigantean)(Rotstop(登録商標))+TX、リン酸塩溶解細菌(Phosphomeal(登録商標))+TX、フィトファトラ・クリプトゲア(Phytophthora cryptogea)+TX、フィトファトラ・パルミボラ(Phytophthora palmivora)(Devine(登録商標))+TX、ピヒア・アノマラ(Pichia anomala)+TX、ピヒア・ギリエルモンディ(Pichia guilermondii)+TX、ピヒア・メンブラネファシエンス(Pichia membranaefaciens)+TX、ピヒア・オニキス(Pichia onychis)+TX、ピヒア・スチピチス(Pichia stipites)+TX、緑膿菌(Pseudomonas aeruginosa)+TX、シュードモナス・オーレオファシエンス(Pseudomonas aureofasciens)(Spot-Less Biofungicide(登録商標))+TX、シュードモナス・セパシア(Pseudomonas cepacia)+TX、シュードモナス・クロロラフィス(Pseudomonas chlororaphis)(AtEze(登録商標))+TX、シュードモナス・コルガータ(Pseudomonas corrugate)+TX、シュードモナス・フルオレッセンス(Pseudomonas fluorescens)菌株A506(BlightBan A506(登録商標))+TX、シュードモナス・プチダ(Pseudomonas putida)+TX、シュードモナス・リアクタンス(Pseudomonas reactans)+TX、シュードモナス属(Pseudomonas)の種+TX、シュードモナス・シリンガエ(Pseudomonas syringae)(Bio-Save(登録商標))+TX、シュードモナス・ビリジフラバ(Pseudomonas viridiflava)+TX、蛍光菌(Pseudomons fluorescens)(Zequanox(登録商標))+TX、シュードジマ・フロクロサ(Pseudozyma flocculosa)菌株PF-A22 UL(Sporodex L(登録商標))+TX、プッシニア・カナリクラタ(Puccinia canaliculata)+TX、プッシニア・テラスペオス(Puccinia thlaspeos)(Wood Warrior(登録商標))+TX、ピシウム・パレカンドルム(Pythium paroecandrum)+TX、ピシウム・オリガンドルム(Pythium oligandrum)(Polygandron(登録商標)+TX、Polyversum(登録商標
))+TX、ピシウム病菌(Pythium periplocum)+TX、ラーネラ・アクアティリス(Rhanella aquatilis)+TX、ラーネラ属(Rhanella)の種+TX、リゾビウム属(Rhizobia)(Dormal(登録商標)+TX、Vault(登録商標))+TX、リゾクトニア属(Rhizoctonia)+TX、ロドコッカス・グロベルルス(Rhodococcus globerulus)菌株AQ719+TX、ロドスポリジウム・ディオボバタム(Rhodosporidium diobovatum)+TX、ロドスポリジウム・トルロイデス(Rhodosporidium toruloides)+TX、ロドトルラ属(Rhodotorula)の種+TX、ロドトルラ・グルチニス(Rhodotorula glutinis)+TX、ロドトルラ・グラミニス(Rhodotorula graminis)+TX、ロドトルラ・ムチラギノーザ(Rhodotorula mucilagnosa)+TX、ロドトルラ・ルブラ(Rhodotorula rubra)+TX、サッカロマイセス・セレビシエ(Saccharomyces cerevisiae)+TX、サリニコッカス・ロセウス(Salinococcus roseus)+TX、スクレロチニア・ミノル(Sclerotinia minor)+TX、スクレロチニア・ミノル(Sclerotinia minor)(SARRITOR(登録商標))+TX、スキタリジウム属(Scytalidium)の種+TX、スキタリジウム・ウレジニコラ(Scytalidium uredinicola)+TX、シロイチモジヨトウ(Spodoptera exigua)核多角体病ウイルス(Spod-X(登録商標)+TX、Spexit(登録商標))+TX、セラチア・マルセッセンス(Serratia marcescens)+TX、セラチア・プリムシカ(Serratia plymuthica)+TX、セラチア属(Serratia)の種+TX、ソルダリア・フィミコーラ(Sordaria fimicola)+TX、エジプトヨトウ(Spodoptera littoralis)核多角体病ウイルス(Littovir(登録商標))+TX、スポロボロマイセス・ロセウス(Sporobolomyces roseus)+TX、ステノトロホモナス・マルトフィリア(Stenotrophomonas maltophilia)+TX、ストレプトマイセス・ヒグロスコピクス(Streptomyces ahygroscopicus)+TX、ストレプトマイセス・アルバドゥンカス(Streptomyces albaduncus)+TX、ストレプトマイセス・エクスフォリエーテス(Streptomyces exfoliates)+TX、ストレプトマイセス・ガルバス(Streptomyces galbus)+TX、ストレプトマイセス・グリセオプラヌス(Streptomyces griseoplanus)+TX、ストレプトマイセス・グリセオビリディス(Streptomyces griseoviridis)(Mycostop(登録商標))+TX、ストレプトマイセス・リディカス(Streptomyces lydicus)(Actinovate(登録商標))+TX、ストレプトマイセス・リディカス(Streptomyces lydicus)WYEC-108(ActinoGrow(登録商標))+TX、ストレプトマイセス・ビオラセウス(Streptomyces violaceus)+TX、チレチオプシス・ミノル(Tilletiopsis minor)+TX、チレチオプシス属(Tilletiopsis)の種+TX、トリコデルマ・アスペレルム(Trichoderma asperellum)(T34 Biocontrol(登録商標))+TX、トリコデルマ・ガムシイ(Trichoderma gamsii)(Tenet(登録商標))+TX、トリコデルマ・アトリビリデ(Trichoderma atroviride)(Plantmate(登録商標))+TX、トリコデルマ・ハマツム(Trichoderma hamatum)TH 382+TX、トリコデルマ・ハルジアヌム・リファイ(Trichoderma harzianum rifai)(Mycostar(登録商標))+TX、トリコデルマ・ハルジアヌム(Trichoderma harzianum)T-22(Trianum-P(登録商標)+TX、PlantShield HC(登録商標)+TX、RootShield(登録商標)+TX、Trianum-G(登録商標))+TX、トリコデルマ・ハルジアヌム(Trichoderma harzianum)T-39(Trichodex(登録商標))+TX、トリコデルマ・インハマタム(Trichoderma inhamatum)+TX、トリコデルマ・コニンギ(Trichoderma koningii)+TX、トリコデルマ属(Trichoderma)の種LC 52(Sentinel(登録商標))+TX、トリコデルマ・リグノルム(Trichoderma lignorum)+TX、トリコデルマ・ロンギブラキアタム(Trichoderma longibrachiatum)+TX、トリコデルマ・ポリスポラム(Trichoderma polysporum)(Binab T(登録商標))+TX、トリコデルマ・タキシ(Trichoderma taxi)+TX、トリコデルマ・ビレンス(Trichoderma virens)+TX、トリコデルマ・ビレンス(Trichoderma virens)(旧グリオクラジウム・ビレンス(Gliocladium virens)GL-21)(SoilGuard(登録商標))+TX、トリコデルマ・ビリデ(Trichoderma viride)+TX、トリコデルマ・ビリデ(Trichoderma viride)菌株ICC 080(Remedier(登録商標))+TX、トリコスポロン・プルランス(Trichosporon pullulans)+TX、トリコスポロン属(Trichosporon)の種+TX、トリコセシウム属(Trichothecium)の種+TX、トリコセシウム・ロセウム(Trichothecium roseum)+TX、アカエガマノホタケ(Typhula phacorrhiza)菌株94670+TX、アカエガマノホタケ(Typhula phacorrhiza)菌株94671+TX、ウロクラジウム・アトラム(Ulocladium atrum)+TX、ウロクラジウム・オウデマンシイ(Ulocladium oudemansii)(Botry-Zen(登録商標))+TX、トウモロコシ黒穂病菌(Ustilago maydis)+TX、様々な細菌及び補助微量栄養素(Natural II(登録商標))+TX、様々な真菌(Millennium Microbes(登録商標))+TX、バーチシリウム・クラミドスポリウム(Verticillium chlamydosporium)+TX、バーティシリウム・レカニ(Verticillium lecanii)(Mycotal(登録商標)+TX、Vertalec(登録商標))+TX、Vip3Aa20(VIPtera(登録商標))+TX、ビルジバチルス・マリスモルツイ(Virgibaclillus marismortui)+TX、キサントモナス・カムペストリス病原型ポアエ(Xanthomonas campestris pv.Poae)(Camperico(登録商標))+TX、ゼノラブダス・ボヴィエニイ(Xenorhabdus bovienii)+TX、ゼノラブダス・ネマトフィラ(Xenorhabdus nematophilus);
以下のものを含む植物抽出物:マツ油(Retenol(登録商標))+TX、アザジラクチン(Plasma Neem Oil(登録商標)+TX、AzaGuard(登録商標)+TX、MeemAzal(登録商標)+TX、Molt-X(登録商標)+TX、Botanical IGR(Neemazad(登録商標)+TX、Neemix(登録商標))+TX、キャノーラ油(Lilly Miller Vegol(登録商標))+TX、アメリカアリタソウ(Chenopodium ambrosioides near ambrosioides)(Requiem(登録商標))+TX、キク属(Chrysanthemum)抽出物(Crisant(登録商標))+TX、ニーム油の抽出物(Trilogy(登録商標))+TX、シソ科植物(Labiatae)の精油(Botania(登録商標))+TX、クローブローズマリーペパーミント及びタイム油の抽出物(Garden insect killer(登録商標))+TX、グリシンベタイン(Greenstim(登録商標))+TX、ニンニク+TX、レモングラス油(GreenMatch(登録商標))+TX、ニーム油+TX、イヌハッカ(Nepeta cataria)(キャットニップ油)+TX、イヌハッカ(Nepeta catarina)+TX、ニコチン+TX、オレガノ油(MossBuster(登録商標))+TX、ゴマ科植物(Pedaliaceae)油(Nematon(登録商標))+TX、除虫菊+TX、シャボンノキ(Quillaja saponaria)(NemaQ(登録商標))+TX、オオイタドリ(Reynoutria sachalinensis)(Regalia(登録商標)+TX、Sakalia(登録商標))+TX、ロテノン(Eco Roten(登録商標))+TX、ミカン科(Rutaceae)植物抽出物(Soleo(登録商標))+TX、ダイズ油(Ortho ecosense(登録商標))+TX、ティーツリー油(Timorex Gold(登録商標))+TX、胸腺油+TX、AGNIQUE(登録商標)MMF+TX、BugOil(登録商標)+TX、ローズマリーゴマペパーミントタイム及びシナモン抽出物の混合物(EF 300(登録商標))+TX、クローブローズマリー及びペパーミント抽出物の混合物(EF 400(登録商標))+TX、クローブペパーミントニンニク油及びミントの混合物(Soil Shot(登録商標))+TX、カオリン(Screen(登録商標))+TX、褐藻類の貯蔵グルカン(Laminarin(登録商標));
以下のものを含むフェロモン:クロネハイイロハマキフェロモン(3M Sprayable Blackheaded Fireworm Pheromone(登録商標))+TX、コドリンガフェロモン(Paramount dispenser-(CM)/Isomate C-Plus(登録商標))+TX、グレープベリーモス(Grape Berry Moth)フェロモン(3M MEC-GBM Sprayable Pheromone(登録商標))+TX、ハマキムシフェロモン(3M MEC-LR Sprayable Pheromone(登録商標))+TX、Muscamone(Snip7 Fly Bait(登録商標)+TX、Starbar Premium Fly Bait(登録商標))+TX、ナシノヒメシンクイフェロモン(3M oriental fruit moth sprayable pheromone(登録商標))+TX、ピーチツリーボーラーフェロモン(Isomate-P(登録商標))+TX、トマトピンワームフェロモン(3M Sprayable pheromone(登録商標))+TX、Entostat粉末(ヤシからの抽出物)(Exosex CM(登録商標))+TX、(E+TX,Z+TX,Z)-3+TX,8+TX,11テトラデカトリエニルアセテート+TX、(Z+TX,Z+TX,E)-7+TX,11+TX,13-ヘキサデカトリエナール+TX、(E+TX,Z)-7+TX,9-ドデカジエン-1-イルアセテート+TX、2-メチル-1-ブタノール+TX、酢酸カルシウム+TX、Scenturion(登録商標)+TX、Biolure(登録商標)+TX、Check-Mate(登録商標)+TX、ラバンズリルセネシオアート(Lavandulyl senecioate);
以下のものを含む生物:アフェリヌス・アブドミナリス(Aphelinus abdominalis)+TX、アフィジウス・エルビ(Aphidius ervi)(Aphelinus-System(登録商標))+TX、アセロファガス・パパイヤ(Acerophagus papaya)+TX、フタモンテントウ(Adalia bipunctata)(Adalia-System(登録商標))+TX、フタモンテントウ(Adalia bipunctata)(Adaline(登録商標))+TX、フタモンテントウ(Adalia bipunctata)(Aphidalia(登録商標))+TX、アゲニアスピス・シトリコラ(Ageniaspis citricola)+TX、アゲニアスピス・フシコリス(Ageniaspis fuscicollis)+TX、アンブリセイウス・アンデルソニ(Amblyseius andersoni)(Anderline(登録商標)+TX、Andersoni-System(登録商標))+TX、アンブリセイウス・カリフォルニクス(Amblyseius californicus)(Amblyline(登録商標)+TX、Spical(登録商標))+TX、アンブリセイウス・ククメリス(Amblyseius cucumeris)(Thripex(登録商標)+TX、Bugline cucumeris(登録商標))+TX、アンブリセイウス・ファラキス(Amblyseius fallacis)(Fallacis(登録商標))+TX、アンブリセイウス・スウィルスキイ(Amblyseius swirskii)(Bugline swirskii(登録商標)+TX、Swirskii-Mite(登録商標))+TX、アンブリセイウス・ウォマースレイ(Amblyseius womersleyi)(WomerMite(登録商標))+TX、アミツス・ヘスペリヅム(Amitus hesperidum)+TX、アナグルス・アトムス(Anagrus atomus)+TX、アナギルス・フスシベントリス(Anagyrus fusciventris)+TX、アナギルス・カマリ(Anagyrus kamali)+TX、アナギルス・ロエッキ(Anagyrus loecki)+TX、アナギルス・シュードコッカス(Anagyrus pseudococci)(Citripar(登録商標))+TX、アニセツス・ベネフィクス(Anicetus benefices)+TX、ゾウムシコガネコバチ(Anisopteromalus calandrae)+TX、アントコリス・ネモラリス(Anthocoris nemoralis)(Anthocoris-System(登録商標))+TX、アフェリヌス・アブドミナリス(Aphelinus abdominalis)(Apheline(登録商標)+TX、Aphiline(登録商標))+TX、アフェリヌス・アシキス(Aphelinus asychis)+TX、アフィジウス・コレマニ(Aphidius colemani)(Aphipar(登録商標))+TX、アフィジウス・エルビ(Aphidius ervi)(Ervipar(登録商標))+TX、アフィジウス・ギフエンシス(Aphidius gifuensis)+TX、アフィジウス・マトリカリアエ(Aphidius matricariae)(Aphipar-M(登録商標))+TX、アフィドレテス・アフィディマイザ(Aphidoletes aphidimyza)(Aphidend(登録商標))+TX、アフィドレテス・アフィディマイザ(Aphidoletes aphidimyza)(Aphidoline(登録商標))+TX、アフィチス・リングナネンシス(Aphytis lingnanensis)+TX、アフィチス・メリヌス(Aphytis melinus)+TX、アプロストセツス・ヘゲノウィイ(Aprostocetus hagenowii)+TX、アセタ・コリアリア(Atheta coriaria)(Staphyline(登録商標))+TX、マルハナバチ属(Bombus)の種+TX、セイヨウオオマルハナバチ(Bombus terrestris)(Natupol Beehive(登録商標))+TX、セイヨウオオマルハナバチ(Bombus terrestris)(Beeline(登録商標)+TX、Tripol(登録商標))+TX、セファロノミア・ステファノデリス(Cephalonomia stephanoderis)+TX、チノコルス・ニグリツス(Chilocorus nigritus)+TX、ヤマトクサカゲロウ(Chrysoperla carnea)(Chrysoline(登録商標))+TX、ヤマトクサカゲロウ(Chrysoperla carnea)(Chrysopa(登録商標))+TX、クリソペルラ・ルフィラブリス(Chrysoperla rufilabris)+TX、シロスピルス・インゲヌウス(Cirrospilus ingenuus)+TX、シロスピルス・クアドリストリアツス(Cirrospilus quadristriatus)+TX、シトロスチクス・フィロクニストイデス(Citrostichus phyllocnistoides)+TX、クロステロセルス・カマエレオン(Closterocerus chamaeleon)+TX、クロステロセルス属(Closterocerus)の種+TX、コシドキセノイデス・ペルミヌツス(Coccidoxenoides perminutus)(Planopar(登録商標))+TX、コッコファグス・コウペリ(Coccophagus cowperi)+TX、コッコファグス・リシムニア(Coccophagus lycimnia)+TX、キアシサムライコマユバチ(Cotesia flavipes)+TX、コナガサムライコマユバチ(Cotesia plutellae)+TX、ツマアカオオテントウムシ(Cryptolaemus montrouzieri)(Cryptobug(登録商標)+TX、Cryptoline(登録商標))+TX、キムネタマキスイ(Cybocephalus nipponicus)+TX、ハモグリコマユバチ(Dacnusa sibirica)+TX、ハモグリコマユバチ(Dacnusa sibirica)(Minusa(登録商標))+TX、イサエアヒメコバチ(Diglyphus isaea)(Diminex(登録商標))+TX、デルファスツス・カタリナエ(Delphastus catalinae)(Delphastus(登録商標))+TX、デルファスツス・プシルス(Delphastus pusillus)+TX、ジアカスミモルファ・クラウシイ(Diachasmimorpha krausii)+TX、ジアカスミモルファ・ロンギカウダタ(Diachasmimorpha longicaudata)+TX、ジアパルシス・ジュクンダ(Diaparsis jucunda)+TX、ジアホレンシルツス・アリガレンシス(Diaphorencyrtus aligarhensis)+TX、イサエアヒメコバチ(Diglyphus isaea)+TX、イサエアヒメコバチ(Diglyphus isaea)(Miglyphus(登録商標)+TX、Digline(登録商標))+TX、ハモグリコマユバチ(Dacnusa sibirica)(DacDigline(登録商標)+TX、Minex(登録商標))+TX、ディベルシネルブス属(Diversinervus)の種+TX、エンカルシア・シトリナ(Encarsia citrina)+TX、オンシツツヤコバチ(Encarsia formosa)(Encarsia max(登録商標)+TX、Encarline(登録商標)+TX、En-Strip(登録商標))+TX、サバクツヤコバチ(Eretmocerus eremicus)(Enermix(登録商標))+TX、エンカルシア・グアデロウパエ(Encarsia guadeloupae)+TX、エンカルシア・ハンティエンシス(Encarsia haitiensis)+TX、ホソヒラタアブ(Episyrphus balteatus)(Syrphidend(登録商標))+TX、エレトモセリス・シフォニニ(Eretmoceris siphonini)+TX、エレトモセルス・カリフォルニクス(Eretmocerus californicus)+TX、サバクツヤコバチ(Eretmocerus eremicus)(Ercal(登録商標)+TX、Eretline e(登録商標))+TX、サバクツヤコバチ(Eretmocerus eremicus)(Bemimix(登録商標))+TX、エレトモセルス・ハヤチ(Eretmocerus hayati)+TX、エレトモセルス・ムンヅス(Eretmocerus mundus)(Bemipar(登録商標)+TX、Eretline m(登録商標))+TX、エレトモセルス・シフォニニ(Eretmocerus siphonini)+TX、エキソコムス・クアドリプスツラツス(Exochomus quadripustulatus)+TX、フェルチエラ・アカリスガ(Feltiella acarisuga)(Spidend(登録商標))+TX、フェルチエラ・アカリスガ(Feltiella acarisuga)(Feltiline(登録商標))+TX、フォピウス・アリサヌス(Fopius arisanus)+TX、フォピウス・セラチチボルス(Fopius ceratitivorus)+TX、ホルモノネチン(Wirless Beehome(登録商標))+TX、アリガタシマアザミウマ(Franklinothrips vespiformis)(Vespop(登録商標))+TX、ガレンドロムス・オシデンタリス(Galendromus occidentalis)+TX、ゴニオズス・レグネリ(Goniozus legneri)+TX、シマメイガコマユバチ(Habrobracon hebetor)+TX、ナミテントウ(Harmonia axyridis)(HarmoBeetle(登録商標))+TX、ヘテロラブディティス属(Heterorhabditis)の種(Lawn Patrol(登録商標))+TX、ヘテロラブディティス・バクテリオフォラ(Heterorhabditis bacteriophora)(NemaShield HB(登録商標)+TX、Nemaseek(登録商標)+TX、Terranem-Nam(登録商標)+TX、Terranem(登録商標)+TX、Larvanem(登録商標)+TX、B-Green(登録商標)+TX、NemAttack(登録商標)+TX、Nematop(登録商標))+TX、ヘテロラブディティス・メジディス(Heterorhabditis megidis)(Nemasys H(登録商標)+TX、BioNem H(登録商標)+TX、Exhibitline hm(登録商標)+TX、Larvanem-M(登録商標))+TX、サカハチテントウ(Hippodamia convergens)+TX、ヒポアスピス・アクレイファー(Hypoaspis aculeifer)(Aculeifer-System(登録商標)+TX、Entomite-A(登録商標))+TX、ヒポアスピス・ミルス(Hypoaspis miles)(Hypoline m(登録商標)+TX、Entomite-M(登録商標))+TX、ルバリア・レウコスポイデス(Lbalia leucospoides)+TX、レカノイデウス・フロシシムス(Lecanoideus floccissimus)+TX、レモファグス・エラブンヅス(Lemophagus errabundus)+TX、レプトマスチデア・アブノルミス(Leptomastidea abnormis)+TX、レプトマス
ティクス・ダクチロピィ(Leptomastix dactylopii)(Leptopar(登録商標))+TX、レプトマスチクス・エポナ(Leptomastix epona)+TX、リンドルス・ロファンタエ(Lindorus lophanthae)+TX、リポレクシス・オレグマエ(Lipolexis oregmae)+TX、ルシリア・カエサル(Lucilia caesar)(Natufly(登録商標))+TX、リシフレブス・テスタケイペス(Lysiphlebus testaceipes)+TX、マクロロフス・カリギノスス(Macrolophus caliginosus)(Mirical-N(登録商標)+TX、Macroline c(登録商標)+TX、Mirical(登録商標))+TX、メソセイウルス・ロンギペス(Mesoseiulus longipes)+TX、メタフィクス・フラブス(Metaphycus flavus)+TX、メタフィクス・ロウンスブリイ(Metaphycus lounsburyi)+TX、ミクロムス・アングラツス(Micromus angulatus)(Milacewing(登録商標))+TX、ミクロテリス・フラブス(Microterys flavus)+TX、ムスシディフラクス・ラポトレルス(Muscidifurax raptorellus)及びスパランギア・カメロニ(Spalangia cameroni)(Biopar(登録商標))+TX、ネオドリイヌス・チフロシバエ(Neodryinus typhlocybae)+TX、ミヤコカブリダニ(Neoseiulus californicus)+TX、ネオセイウルス・ククメリス(Neoseiulus cucumeris)(THRYPEX(登録商標))+TX、ネオセイウルス・ファラシス(Neoseiulus fallacis)+TX、ネシディオコリス・テヌイス(Nesideocoris tenuis)(NesidioBug(登録商標)+TX、Nesibug(登録商標))+TX、オフィラ・アエネセンス(Ophyra aenescens)(Biofly(登録商標))+TX、シノビハナカメムシ(Orius insidiosus)(Thripor-I(登録商標)+TX、Oriline i(登録商標))+TX、エルヒメハナカメムシ(Orius laevigatus)(Thripor-L(登録商標)+TX、Oriline l(登録商標))+TX、オリウス・マジュスクルス(Orius majusculus)(Oriline m(登録商標))+TX、タイリクヒメハナカメムシ(Orius strigicollis)(Thripor-S(登録商標))+TX、パウエシア・ジュニペロルム(Pauesia juniperorum)+TX、ペディオビウス・ホベオレツス(Pediobius foveolatus)+TX、ファスマルハブディティス・ヘルマフロディタ(Phasmarhabditis hermaphrodita)(Nemaslug(登録商標))+TX、フィマスティクス・コフェア(Phymastichus coffea)+TX、フィトセイウルス・マクロピルス(Phytoseiulus macropilus)+TX、チリカブリダニ(Phytoseiulus persimilis)(Spidex(登録商標)+TX、Phytoline p(登録商標))+TX、ポディスス・マクリベントリス(Podisus maculiventris)(Podisus(登録商標))+TX、シューダクテオン・クルバツス(Pseudacteon curvatus)+TX、シューダクテオン・オブツスス(Pseudacteon obtusus)+TX、シューダクテオン・トリクスピス(Pseudacteon tricuspis)+TX、シューダフィクス・マクリペンニス(Pseudaphycus maculipennis)+TX、シュードレプトマスティクス・メキシカーナ(Pseudleptomastix mexicana)+TX、サイラエファグス・ピロスス(Psyllaephagus pilosus)+TX、サイタリア・コンコロル(Psyttalia concolor)(複合体)+TX、クアドラスティクス属(Quadrastichus)の種+TX、リゾビウス・ロファンタエ(Rhyzobius lophanthae)+TX、ベダリアテントウ(Rodolia cardinalis)+TX、オオクビキレガイ(Rumina decollate)+TX、セミエラケア・ペティオラツス(Semielacher petiolatus)+TX、シトビオン・アベナエ(Sitobion avenae)(Ervibank(登録商標))+TX、スタイナーネマ・カルポカプサエ(Steinernema carpocapsae)(Nematac C(登録商標)+TX、Millenium(登録商標)+TX、BioNem C(登録商標)+TX、NemAttack(登録商標)+TX、Nemastar(登録商標)+TX、Capsanem(登録商標))+TX、スタイナーネマ・フェルチアエ(Steinernema feltiae)(NemaShield(登録商標)+TX、Nemasys F(登録商標)+TX、BioNem F(登録商標)+TX、Steinernema-System(登録商標)+TX、NemAttack(登録商標)+TX、Nemaplus(登録商標)+TX、Exhibitline sf(登録商標)+TX、Scia-rid(登録商標)+TX、Entonem(登録商標))+TX、スタイナーネマ・クラッセイ(Steinernema kraussei)(Nemasys L(登録商標)+TX、BioNem L(登録商標)+TX、Exhibitline srb(登録商標))+TX、スタイナーネマ・リオブラベ(Steinernema riobrave)(BioVector(登録商標)+TX、BioVektor(登録商標))+TX、スタイナーネマ・スカプテリシ(Steinernema scapterisci)(Nematac S(登録商標))+TX、スタイナーネマ属(Steinernema)の種+TX、スタイナーネマチド属(Steinernematid)の種(Guardian Nematodes(登録商標))+TX、ステトルス・プンクチルム(Stethorus punctillum)(Stethorus(登録商標))+TX、タマリキシア・ラジアタ(Tamarixia radiate)+TX、テトラスティクス・セティファー(Tetrastichus setifer)+TX、トリポビウス・セミルテウス(Thripobius semiluteus)+TX、トリムス・シネンシス(Torymus sinensis)+TX、タマゴヤドリバチ(Trichogramma brassicae)(Tricholine b(登録商標))+TX、タマゴヤドリバチ(Trichogramma brassicae)(Tricho-Strip(登録商標))+TX、ヨトウタマゴバチ(Trichogramma evanescens)+TX、トリコグラムマ・ミヌツム(Trichogramma minutum)+TX、アワノメイガタマゴバチ(Trichogramma ostriniae)+TX、トリコグラムマ・プラトネリ(Trichogramma platneri)+TX、トリコグラムマ・プレチオスム(Trichogramma pretiosum)+TX、キアシキイロヒラタヒメバチ(Xanthopimpla stemmator);
以下のものを含む他の生物学的製剤:アブシジン酸+TX、bioSea(登録商標)+TX、コンドロステレウム・プルプレウム(Chondrostereum purpureum)(Chontrol Paste(登録商標))+TX、コレトトリクム・グレオスポリオイデス(Colletotrichum gloeosporioides)(Collego(登録商標))+TX、オクタン酸銅(Cueva(登録商標))+TX、デルタトラップ(Trapline d(登録商標))+TX、エルウィニア・アミロボラ(Erwinia amylovora)(ハーピン)(ProAct(登録商標)+TX、Ni-HIBIT Gold CST(登録商標))+TX、リン酸第二鉄(Ferramol(登録商標))+TX、ファネルトラップ(Trapline y(登録商標))+TX、Gallex(登録商標)+TX、Grower’s Secret(登録商標)+TX、ホモ-ブラシノリド+TX、リン酸鉄(Lilly Miller Worry Free Ferramol Slug & Snail Bait(登録商標))+TX、MCP hailトラップ(Trapline f(登録商標))+TX、ミクロクトヌス・ヒペロダエ(Microctonus hyperodae)+TX、ミコレプトジスクス・テレストリス(Mycoleptodiscus terrestris)(Des-X(登録商標))+TX、BioGain(登録商標)+TX、Aminomite(登録商標)+TX、Zenox(登録商標)+TX、フェロモントラップ(Thripline ams(登録商標))+TX、炭酸水素カリウム(MilStop(登録商標))+TX、脂肪酸のカリウム塩(Sanova(登録商標))+TX、ケイ酸カリウム溶液(Sil-Matrix(登録商標))+TX、ヨウ化カリウム+チオシアン酸カリウム(Enzicur(登録商標))+TX、SuffOil-X(登録商標)+TX、クモ毒+TX、ノセマ・ロクスタエ(Nosema locustae)(Semaspore Organic Grasshopper Control(登録商標))+TX、粘着トラップ(Trapline YF(登録商標)+TX、Rebell Amarillo(登録商標))+TX及びトラップ(Takitrapline y+b(登録商標))+TX;並びに
毒性緩和剤、例えばベノキサコール+TX、クロキントセット(クロキントセット-メキシルを含めた)+TX、シプロスルファミド+TX、ジクロルミド+TX、フェンクロラゾール(フェンクロラゾール-エチルを含めた)+TX、フェンクロリム+TX、フルキソフェニム+TX、フリラゾール+TX、イソオキサジフェン(イソオキサジフェン-エチルを含めた)+TX、メフェンピル(メフェンピル-ジエチルを含めた)+TX、メトカミフェン+TX及びオキサベトリニル+TX。
有効成分の後ろの角括弧における参照番号、例えば[3878-19-1]は、ケミカルアブストラクツ登録番号を意味する。上記の混合の相手は、公知である。有効成分は、“The Pesticide Manual”[The Pesticide Manual-A World Compendium;Thirteenth Edition; Editor:C.D.S.Tomlin;英国作物保護協議会(The British Crop Protection Council)]に含まれている場合、それらは、特定の化合物について上記において丸括弧中に示される項目番号でその中に記載されており;例えば、「アバメクチン」という化合物は、項目番号(1)で記載されている。「[CCN]」が上記において特定の化合物に付加されている場合、該当する化合物は、“Compendium of Pesticide Common Names”に含まれており、それは、インターネット上でアクセス可能であり[A.Wood;Compendium of Pesticide Common Names,(著作権)1995-2004];例えば、「アセトプロール」という化合物は、インターネットアドレス:http://www.alanwood.net/pesticides/acetoprole.htmlに記載されている。
上記の有効成分のほとんどは、上記においていわゆる「一般名」で呼ばれ、関連する「ISO一般名」又は別の「一般名」が個々の場合に使用される。表記が「一般名」でない場合、代わりに使用される表記の性質が特定の化合物について丸括弧中に示され;その場合、IUPAC名、IUPAC/ケミカルアブストラクツ名、「化学名」、「慣用名」、「化合物名」若しくは「開発コード」が使用されるか、又はそれらの表記の1つも使用されず、「一般名」も使用されない場合、「代替名」が用いられる。「CAS登録番号」は、ケミカルアブストラクル登録番号を意味する。
表A-1~A-96、表C-1~C-96、表E-1~E-96、表F-1~F-96、表G-1~G-96及び表H-1~H-96並びに表Pから選択される式Iの化合物と、上記の有効成分との有効成分混合物は、表A-1~A-96、表C-1~C-96、表E-1~E-96、表F-1~F-96、表G-1~G-96及び表H-1~H-96並びに表Pから選択される化合物及び上記の有効成分を好ましくは100:1~1:6000、特に50:1~1:50の混合比、より特に20:1~1:20、さらにより特に10:1~1:10、非常に特に5:1及び1:5の比率で(2:1~1:2の比率が特に好ましく、4:1~2:1の比率が同様に好ましい)、とりわけ1:1、又は5:1、又は5:2、又は5:3、又は5:4、又は4:1、又は4:2、又は4:3、又は3:1、又は3:2、又は2:1、又は1:5、又は2:5、又は3:5、又は4:5、又は1:4、又は2:4、又は3:4、又は1:3、又は2:3、又は1:2、又は1:600、又は1:300、又は1:150、又は1:35、又は2:35、又は4:35、又は1:75、又は2:75、又は4:75、又は1:6000、又は1:3000、又は1:1500、又は1:350、又は2:350、又は4:350、又は1:750、又は2:750、又は4:750の比率で含む。それらの混合比は、重量基準である。
上記の混合物は、有害生物を防除する方法に使用され得、この方法は、上記の混合物を含む組成物を有害生物又はその環境に施用する工程を含むが、手術又は治療による人又は動物の身体の治療のための方法及び人又は動物の身体において実施される診断方法を除く。
表A-1~A-96、表C-1~C-96、表E-1~E-96、表F-1~F-96、表G-1~G-96及び表H-1~H-96並びに表Pから選択される式Iの化合物と、上記の1つ又は複数の有効成分とを含む混合物は、例えば、単一の「レディミックス」形態において、「タンクミックス」など、単一の有効成分の別個の製剤から構成される組み合わされたスプレー混合物として及び逐次、すなわち数時間又は数日間などのかなり短い期間で次々に施用される場合、単一の有効成分の併用で施用され得る。表A-1~A-96、表C-1~C-96、表E-1~E-96、表F-1~F-96、表G-1~G-96及び表H-1~H-96並びに表Pから選択される式Iの化合物及び上記の有効成分を施用する順序は、本発明を行うのに重要でない。
本発明に係る組成物は、安定剤、例えば非エポキシ化又はエポキシ化植物油(例えば、エポキシ化ヤシ油、ナタネ油又は大豆油)、消泡剤、例えばシリコーン油、防腐剤、粘性調節剤、結合剤及び/又は粘着付与剤、肥料又は特定の効果を得るための他の有効成分、例えば殺菌剤、殺真菌剤、殺線虫剤、植物活性化剤、殺軟体動物剤又は除草剤などのさらなる固体又は液体助剤も含み得る。
本発明に係る組成物は、例えば、固体有効成分を粉砕し、篩にかけ、且つ/又は圧縮することにより、助剤の非存在下において及び例えば有効成分を1つ又は複数の助剤と均質混合し、且つ/又は粉砕することにより、少なくとも1つの助剤の存在下においてそれ自体公知の方法で調製される。この組成物の調製のためのこれらの方法及びこれらの組成物の調製のための化合物Iの使用も本発明の主題である。
この組成物のための施用方法、すなわち噴霧、霧化、散布、はけ塗り、粉衣、拡散又は注ぎかけ(これらは、一般的な状況における意図される目的に合わせて選択されるべきである)など、上記のタイプの有害生物を防除する方法及び上記のタイプの有害生物を防除するための組成物の使用が本発明の他の主題である。典型的な濃度の比率は、0.1~1000ppm、好ましくは0.1~500ppmの有効成分である。1ヘクタール当たりの施用量は、一般に、1ヘクタール当たり1~2000gの有効成分、特に10~1000g/ha、好ましくは10~600g/haである。
作物保護の分野における施用の好ましい方法は、植物の茎葉への施用(葉面施用)であり、該当する有害生物による寄生の危険性に合わせて施用頻度及び施用量を選択することができる。代わりに、有効成分は、植物の生息地に液体組成物を潅注することにより、又は固体形態の有効成分を植物の生息地、例えば土壌中に例えば粒剤の形態で導入すること(土壌施用)により、根系(全身作用)を介して植物に到達することができる。水稲植物の場合、このような粒剤は、水田に計量供給され得る。
本発明の化合物及びその組成物は、上記のタイプの有害生物からの、植物繁殖材料、例えば果実、塊茎若しくは穀粒などの種子又は苗の保護にも好適である。繁殖材料は、植え付けの前にこの化合物で処理され得、例えば、種子は、種まきの前に処理され得る。代わりに、この化合物は、種子仁を液体組成物に浸漬することにより又は固体組成物の層を塗布することにより種子仁に塗付され得る(コーティング)。繁殖材料が施用の場所に植え付けられる場合、この組成物を例えばドリルまきの際に畝間に施用することも可能である。植物繁殖材料のためのこれらの処理方法及びこのように処理された植物繁殖材料は、本発明のさらなる主題である。典型的な処理率は、植物及び防除される有害生物/真菌に応じて決まり、一般に、100kgの種子当たり1~200グラム、好ましくは100kgの種子当たり5~150グラム(100kgの種子当たり10~100グラムなど)である。
種子という用語は、真正種子、種子片、吸枝、トウモロコシ粒、鱗茎、果実、塊茎、穀粒、根茎、挿し木、挿し芽などを含むがこれらに限定されないあらゆる種類の種子及び植物の珠芽を包含し、好ましい実施形態において、真正種子を意味する。
本発明は、式Iの化合物で被覆若しくは処理されるか又はそれを含有する種子も含む。「で被覆又は処理されるか及び/又はそれを含有する」という用語は、一般に、有効成分は、ほとんどの場合、施用時に種子の表面上にあるが、施用方法に応じて、成分の一部は、程度の差はあるが、種子材料中に浸透し得ることを示す。前記種子製品が(再度)植え付けられるとき、有効成分を吸収し得る。一実施形態において、本発明は、式(I)の化合物が付着された植物繁殖材料を利用可能にする。さらに、これにより、式(I)の化合物で処理された植物繁殖材料を含む組成物が利用可能になる。
種子処理は、種子粉衣、種子コーティング、種子散布、種子浸漬及び種子ペレッティングなど、当技術分野において公知のすべての好適な種子処理技術を含む。式(I)の化合物の種子処理適用は、種まきの前又は種まき/種子の植え付けの際に噴霧又は種子を散布することなどによる、任意の公知の方法によって行われ得る。
生物学的実施例:
以下の実施例は、本発明を例示するためのものである。本発明の特定の化合物は、低施用量で効力が高いことにより公知の化合物と区別が可能であり、これは、実施例において概述されている実験手法を用いて、必要に応じて例えば50ppm、12.5ppm、6ppm、3ppm、1.5ppm、0.8ppm又は0.2ppmといった低施用量を用いて当業者により検証が可能である。
実施例B1:ジアブロチカバルテアタ(Diabrotica balteata)(コーンルートワーム)
24ウェルマイクロタイタープレート中の寒天層上に置いたトウモロコシの芽を、吹付けにより10,000ppmのDMSOストック溶液から調製したテスト水溶液で処理した。乾燥させた後、プレートにL2幼虫を寄生させた(1ウェル当たり6~10匹)。寄生の4日後、サンプルを死亡率及び成長阻害について未処理のサンプルと比べて評価した。
以下の化合物は、200ppmの施用量で2種のカテゴリ(死亡率又は成長阻害)の少なくとも一方において少なくとも80%の効果をもたらした:P1、P2、P3、P4、P5、P6、P7、P8、P9、P10、P11、P12、P13、P14、P15、P16、P17、P18、P19、P20、P21、P22、P23、P24、P25、P26、P27、P28、P29、P30、P31、P32、P33、P34、P35、P36、P37、P38、P39、P40、P41、P42、P43、P44、P45、P46、P47、P48、P49、P50、P51、P52、P53、P54、P55、P56、P57、P58。
実施例B2:ユースキスツスヘロス(Euschistus heros)(ネオトロピカルブラウンスティンクバグ(Neotropical Brown Stink Bug))
24ウェルマイクロタイタープレート中の寒天上のダイズの葉に、10,000ppmのDMSOストック溶液から調製したテスト水溶液を噴霧した。乾燥させた後、葉にN2若虫を寄生させた。寄生の5日後、サンプルを死亡率及び成長阻害について未処理のサンプルと比べて評価した。
以下の化合物は、200ppmの施用量で2種のカテゴリ(死亡率又は成長阻害)の少なくとも一方において少なくとも80%の効果をもたらした:P1、P2、P7、P8、P9、P10、P11、P12、P16、P17、P18、P19、P20、P21、P22、P24、P25、P26、P27、P29、P31、P32、P33、P34、P35、P36、P40、P42、P50、P51、P52、P53及びP58。
実施例B3:ミカンキイロアザミウマ(Frankliniella occidentalis)(ミカンキイロアザミウマ)
ヒマワリの葉片を24ウェルマイクロタイタープレート中の寒天上に置き、10,000DMSOストック溶液から調製したテスト水溶液を噴霧した。乾燥させた後、葉片に様々な齢数のハナアザミウマ属(Frankliniella)の個体群を寄生させた。寄生の7日後、サンプルを死亡率について評価した。
下記の化合物は、200ppmの施用量で少なくとも80%の死亡率をもたらした:P1、P2、P12、P20、P21、P26、P27、P40、P57。
実施例B4:コナガ(Plutella xylostella)(コナガ)
人工餌料の入った24ウェルマイクロタイタープレートを、ピペットにより、10,000ppmのDMSOストック溶液から調製したテスト水溶液で処理した。乾燥させた後、コナガの卵をプラスチック製のステンシルを介してゲル吸い取り紙上にピペットし、プレートをこれで閉じた。寄生から8日後、死亡率及び成長阻害について未処理のサンプルと比較してサンプルを評価した。
以下の化合物は、200ppmの施用量で2つのカテゴリ(死亡率又は成長阻害)の少なくとも一方において少なくとも80%の効果をもたらした:P1、P2、P3、P4、P5、P6、P7、P8、P9、P10、P11、P12、P13、P14、P15、P16、P17、P18、P19、P20、P21、P22、P23、P24、P25、P26、P27、P28、P29、P30、P31、P32、P33、P34、P35、P36、P37、P38、P40、P41、P42、P43、P44、P45、P46、P47、P48、P49、P50、P51、P52、P53、P54、P55、P56、P57、P58。
実施例B5:モモアカアブラムシ(Myzus persicae)(モモアカアブラムシ)。摂食/接触活性
ヒマワリの葉片を24ウェルマイクロタイタープレート中の寒天の上に置き、10,000ppmのDMSOストック溶液から調製したテスト水溶液を噴霧した。乾燥させた後、葉片に様々な齢数のアブラムシの個体群を寄生させた。サンプルを寄生の6日後に死亡率について評価した。
以下の化合物は、200ppmの施用量で少なくとも80%の死亡率をもたらした:P1、P3、P9、P11、P12、P13、P17、、P18、P19、P20、P21、P26、P27、P44、P45、P50、P51、P52、P53、P57。
実施例B6:タバココナジラミ(Bemisia tabaci)(綿コナジラミ)。摂食/接触活性
綿葉片を24ウェルマイクロタイタープレート中の寒天上に置き、10,000ppmのDMSOストック溶液から調製したテスト水溶液を噴霧した。乾燥させた後、葉片にコナジラミの成虫を寄生させた。インキュベーションの6日後、サンプルを死亡率について確認した。
下記の化合物は、200ppmの施用量で少なくとも80%の死亡率をもたらした:P1、P7、P17、P33、P34、P57、P58。
実施例B7:エジプトヨトウ(Spodoptera littoralis)(エジプトヨトウ)
綿の葉片を24ウェルマイクロタイタープレート中の寒天上に置き、10,000ppmのDMSOストック溶液から調製したテスト水溶液を噴霧した。乾燥させた後、葉片に5匹のL1幼虫を寄生させた。寄生の3日後、サンプルを死亡率、摂食阻害効果及び成長阻害について未処理のサンプルと比較して評価した。死亡率、摂食阻害効果及び成長阻害のカテゴリの少なくとも1つが未処理のサンプルよりも高い場合、テストサンプルによるエジプトヨトウ(Spodoptera littoralis)の防除がもたらされている。
以下の化合物は、200ppmの施用量で少なくとも80%の防除をもたらした:P1、P2、P3、P4、P6、P7、P8、P9、P10、P11、P12、P13、P14、P16、P17、P18、P19、P20、P21、P22、P23、P24、P25、P26、P27、P28、P29、P30、P32、P33、P34、P35、P36、P37、P38、P40、P41、P42、P43、P44、P45、P46、P47、P48、P49、P50、P51、P52、P53、P54、P55、P57、P58。
実施例B8:モモアカアブラムシ(Myzus persicae)(モモアカアブラムシ)。浸透移行活性
様々な齢数のアブラムシの個体群を寄生させたエンドウマメの実生の根を、10,000DMSOストック溶液から調製したテスト水溶液中に直接入れた。実生をテスト溶液中に入れてから6日後、サンプルを死亡率について評価した。
下記の化合物は、24ppmのテスト量で少なくとも80%の死亡率をもたらした:P20、P21、P32。
実施例B9:ニカメイガ(Chilo suppressalis)(ニカメイガ)
人工餌料の入った24ウェルマイクロタイタープレートを、ピペットにより、10,000ppmのDMSOストック溶液から調製したテスト水溶液で処理した。乾燥させた後、プレートにL2幼虫を寄生させた(1ウェル当たり6~8匹)。寄生の6日後、サンプルを未処理のサンプルと比較して、死亡率、摂食阻害効果及び成長阻害について評価した。死亡率、摂食阻害効果及び成長阻害のカテゴリーの少なくとも1つが未処理のサンプルより高いとき、テストサンプルによるニカメイガ(Chilo suppressalis)の防除がもたらされる。
例えば、下記の化合物は、200ppmの施用量で少なくとも80%の防除をもたらした:P57、P58。

Claims (24)

  1. 式(I)
    Figure 0007581336000102
    (式中、
    1及びG2は、相互に独立して、CH又はNであり;
    3は、NCH3又はOであり;
    1は、C1~C6アルキル又はC1~C6ハロアルキルであり;
    2は、H、C1~C6アルキル、C1~C6シクロアルキル、C1~C6ハロアルキル、-C(O)R3又はCNであり;
    3は、C1~C6アルキルであり;
    Qは、式Qa及びQb
    Figure 0007581336000103
    からなる群から選択される基であり、ここで、矢印は、二環式環の炭素原子に対する結合点を示し;
    Aは、CH又はNであり;
    Xは、S、SO又はSO2であり;
    4は、C1~C4アルキルであり;
    5は、水素又はハロゲンであるか;又は
    5は、環炭素原子を介して、前記置換基Aを含有する環に結合されている5員~6員芳香族環系であり、前記環系は、無置換であるか、又はハロゲン、シアノ、C1~C4アルキル、C1~C4ハロアルキル、C1~C4アルコキシ、C1~C4ハロアルコキシ、C1~C4アルキルスルファニル、C1~C4アルキルスルフィニル及びC1~C4アルキルスルホニルからなる群から選択される置換基によって単置換若しくは多置換されており;及び前記環系は、窒素、酸素及び硫黄からなる群から選択される1個、2個又は3個の環ヘテロ原子を含有することができ、ここで、前記環系は、2個以上の環酸素原子を含有することができず、且つ2個以上の環硫黄原子を含有することができないか;又は
    5は、環窒素原子を介して、前記置換基Aを含有する環に結合されている5員芳香族環系であり、前記環系は、無置換であるか、又はハロゲン、シアノ、C1~C4アルキル、C1~C4ハロアルキル、C1~C4アルコキシ、C1~C4ハロアルコキシ、C1~C4アルキルスルファニル、C1~C4アルキルスルフィニル及びC1~C4アルキルスルホニルからなる群から選択される置換基によって単置換若しくは多置換されており;及び前記環系は、窒素、酸素及び硫黄からなる群から選択される1個、2個又は3個の環ヘテロ原子を含有し、ここで、前記環系は、少なくとも1個の環窒素原子を含有し、及び2個以上の環酸素原子を含有することができず、且つ2個以上の環硫黄原子を含有することができず;
    6は、ハロゲン、C1~C6ハロアルキル、C3~C6シクロアルキル、シアノによって単置換されたC3~C6シクロアルキル、シアノによって単置換されたC3~C6アルキル、C1~C6アルコキシ、C1~C6ハロアルコキシ、シアノで置換されたC1~C6アルコキシ、-N=S(O)R78、N(R9)C(=O)R10、N(R11)R12又は2-ピリジルオキシであるか;又は
    6は、環炭素原子を介して、前記置換基Aを含有する環に結合されている5員~6員芳香族環系であり、前記環系は、無置換であるか、又はハロゲン、シアノ、C1~C4アルキル、C1~C4ハロアルキル、C1~C4アルコキシ、C1~C4ハロアルコキシ、C1~C4アルキルスルファニル、C1~C4アルキルスルフィニル及びC1~C4アルキルスルホニルからなる群から選択される置換基によって単置換若しくは多置換されており;及び前記環系は、窒素、酸素及び硫黄からなる群から選択される1個、2個又は3個の環ヘテロ原子を含有することができ、ここで、前記環系は、2個以上の環酸素原子を含有することができず、且つ2個以上の環硫黄原子を含有することができないか;又は
    6は、環窒素原子を介して、前記置換基Aを含有する環に結合されている5員芳香族環系であり、前記環系は、無置換であるか、又はハロゲン、シアノ、C1~C4アルキル、C1~C4ハロアルキル、C1~C4アルコキシ、C1~C4ハロアルコキシ、C1~C4アルキルスルファニル、C1~C4アルキルスルフィニル及びC1~C4アルキルスルホニルからなる群から選択される置換基によって単置換若しくは多置換されており;及び前記環系は、窒素、酸素及び硫黄からなる群から選択される1個、2個又は3個の環ヘテロ原子を含有し、ここで、前記環系は、少なくとも1個の環窒素原子を含有し、及び2個以上の環酸素原子を含有することができず、且つ2個以上の環硫黄原子を含有することができず;
    7及びR8は、相互に独立して、C1~C6アルキルであり;
    9は、H又はC1~C6アルキルであり;
    10は、C1~C6アルキル又はC3~C6シクロアルキルであり;
    11及びR12は、相互に独立して、H又はC1~C6アルキルである)
    の化合物又は式Iの化合物の農芸化学的に許容可能な塩、立体異性体、鏡像異性体、互変異性体若しくはN-オキシド。
  2. 式I-1
    Figure 0007581336000104
    (式中、G1、G2、R1、R2、A、X、R4及びR5は、請求項1において式Iで定義されているとおりである)
    の化合物によって表される、請求項1に記載の式Iの化合物又はその農芸化学的に許容可能な塩、立体異性体、鏡像異性体、互変異性体若しくはN-オキシド。
  3. 式I-2
    Figure 0007581336000105
    (式中、G1、G2、R1、R2、A、X、R4及びR6は、請求項1において式Iで定義されているとおりである)
    の化合物によって表される、請求項1に記載の式Iの化合物又はその農芸化学的に許容可能な塩、立体異性体、鏡像異性体、互変異性体若しくはN-オキシド。
  4. 式I-3
    Figure 0007581336000106
    (式中、G1、G2、R1、R2、A、X、R4及びR5は、請求項1において式Iで定義されているとおりである)
    の化合物によって表される、請求項1に記載の式Iの化合物又はその農芸化学的に許容可能な塩、立体異性体、鏡像異性体、互変異性体若しくはN-オキシド。
  5. 式I-4
    Figure 0007581336000107
    (式中、G1、G2、R1、R2、A、X、R4及びR6は、請求項1において式Iで定義されているとおりである)
    の化合物によって表される、請求項1に記載の式Iの化合物又はその農芸化学的に許容可能な塩、立体異性体、鏡像異性体、互変異性体若しくはN-オキシド。
  6. 式I-5
    Figure 0007581336000108
    (式中、R1、R2、A、X、R4及びR5は、請求項1において式Iで定義されているとおりである)
    の化合物によって表される、請求項1に記載の式Iの化合物又はその農芸化学的に許容可能な塩、立体異性体、鏡像異性体、互変異性体若しくはN-オキシド。
  7. 式I-6
    Figure 0007581336000109
    (式中、R1、R2、A、X、R4及びR6は、請求項1において式Iで定義されているとおりである)
    の化合物によって表される、請求項1に記載の式Iの化合物又はその農芸化学的に許容可能な塩、立体異性体、鏡像異性体、互変異性体若しくはN-オキシド。
  8. 式I-7
    Figure 0007581336000110
    (式中、R1、R2、A、X、R4及びR5は、請求項1において式Iで定義されているとおりである)
    の化合物によって表される、請求項1に記載の式Iの化合物又はその農芸化学的に許容可能な塩、立体異性体、鏡像異性体、互変異性体若しくはN-オキシド。
  9. 式I-8
    Figure 0007581336000111
    (式中、R1、R2、A、X、R4及びR6は、請求項1において式Iで定義されているとおりである)
    の化合物によって表される、請求項1に記載の式Iの化合物又はその農芸化学的に許容可能な塩、立体異性体、鏡像異性体、互変異性体若しくはN-オキシド。
  10. 1は、メチル又はトリフルオロメチル;好ましくはトリフルオロメチルであり;
    Xは、S又はSO2;好ましくはSO2であり;及び
    4は、C1~C2アルキル;好ましくはエチルである、請求項1~9のいずれか一項に記載の化合物。
  11. 式I-9
    Figure 0007581336000112
    (式中、Qは、式Qa1及びQb1
    Figure 0007581336000113
    からなる群から選択される基であり、ここで、矢印は、二環式環の炭素原子に対する結合点を示し;
    2、R5及びR6は、請求項1において式Iで定義されているとおりである)
    の化合物によって表される、請求項1に記載の式Iの化合物又はその農芸化学的に許容可能な塩、立体異性体、鏡像異性体、互変異性体若しくはN-オキシド。
  12. 式I-10
    Figure 0007581336000114
    (式中、R1、R2、A、X、R4及びR5は、請求項1において式Iで定義されているとおりである)
    の化合物によって表される、請求項1に記載の式Iの化合物又はその農芸化学的に許容可能な塩、立体異性体、鏡像異性体、互変異性体若しくはN-オキシド。
  13. 式I-11
    Figure 0007581336000115
    (式中、R1、R2、A、X、R4及びR6は、請求項1において式Iで定義されているとおりである)
    の化合物によって表される、請求項1に記載の式Iの化合物又はその農芸化学的に許容可能な塩、立体異性体、鏡像異性体、互変異性体若しくはN-オキシド。
  14. 式I-12
    Figure 0007581336000116
    (式中、R2は、請求項1において式Iで定義されているとおりであり、及びQは、式Qa1及びQb1
    Figure 0007581336000117
    からなる群から選択される基であり、ここで、矢印は、二環式環の炭素原子に対する結合点を示し;
    5及びR6は、請求項1において式Iで定義されているとおりである)
    の化合物によって表される、請求項1に記載の式Iの化合物又はその農芸化学的に許容可能な塩、立体異性体、鏡像異性体、互変異性体若しくはN-オキシド。
  15. 式I-13
    Figure 0007581336000118
    (式中、R2は、請求項1において式Iで定義されているとおりであり、及びQは、式Qa1及びQb1
    Figure 0007581336000119
    からなる群から選択される基であり、ここで、矢印は、二環式環の炭素原子に対する結合点を示し;
    A、R5及びR6は、請求項1において式Iで定義されているとおりである)
    の化合物によって表される、請求項1に記載の式Iの化合物又はその農芸化学的に許容可能な塩、立体異性体、鏡像異性体、互変異性体若しくはN-オキシド。
  16. 2は、H、C1~C4アルキル、シクロプロピル、C1~C4ハロアルキル、-C(O)R3又はシアノであり;好ましくは、R2は、H、シアノ、メチル、エチル、シクロプロピル又は2,2,2-トリフルオロエチルであり;及び
    3は、C1~C4アルキル;好ましくはメチルである、請求項1~15のいずれか一項に記載の化合物。
  17. 5は、水素、無置換であるか又はクロロ若しくはトリフルオロメチルによって単置換され得るN結合ピラゾリル、無置換であるか又はクロロ若しくはトリフルオロメチルによって単置換され得るC結合ピリミジニル、或いは無置換であるか又はクロロ若しくはトリフルオロメチルによって単置換され得るN結合トリアゾリルである、請求項1、2、4、6、8、10、11、12、14又は15のいずれか一項に記載の化合物。
  18. 6は、シクロプロピル、1-シアノシクロプロピル、2,2,2-トリフルオロエトキシ、2,2-ジフルオロプロポキシ、1-シアノ-1-メチル-エトキシ、-N=S(O)(CH32、-N(CH3)COCH3、2-ピリジルオキシ、ピリミジン-2-イル、4-トリフルオロメチル-ピリミジン-2-イル、5-シアノ-ピリミジン-2-イル、5-クロロ-ピリミジン-2-イル、3-クロロ-ピラゾール-1-イル又は3-トリフルオロメチル-ピラゾール-1-イルである、請求項1、3、5、7、9、10、11、13、14又は15のいずれか一項に記載の化合物。
  19. Aは、Nである、請求項1~18のいずれか一項に記載の化合物。
  20. Aは、CHである、請求項1~18のいずれか一項に記載の化合物。
  21. [2-[5-[[ジメチル(オキソ)-λ6-スルファニリデン]アミノ]-3-エチルスルホニル-2-ピリジル]-1,3-ベンゾオキサゾール-5-イル]-イミノ-オキソ-(トリフルオロメチル)-λ6-スルファン(化合物P1);
    [2-[5-[[ジメチル(オキソ)-λ6-スルファニリデン]アミノ]-3-エチルスルホニル-2-ピリジル]-1,3-ベンゾオキサゾール-5-イル]-エチルイミノ-オキソ-(トリフルオロメチル)-λ6-スルファン(化合物P2);
    N-[5-エチルスルホニル-6-[5-[N-エチル-S-(トリフルオロメチル)スルホンイミドイル]-1,3-ベンゾオキサゾール-2-イル]-3-ピリジル]-N-メチル-アセトアミド(化合物P3);
    N-[5-エチルスルホニル-6-[5-(トリフルオロメチルスルホンイミドイル)-1,3-ベンゾオキサゾール-2-イル]-3-ピリジル]-N-メチル-アセトアミド(化合物P4);
    エチルイミノ-[2-[3-エチルスルホニル-5-[3-(トリフルオロメチル)ピラゾール-1-イル]-2-ピリジル]-1,3-ベンゾオキサゾール-5-イル]-オキソ-(トリフルオロメチル)-λ6-スルファン(化合物P5);
    [2-[3-エチルスルホニル-5-[3-(トリフルオロメチル)ピラゾール-1-イル]-2-ピリジル]-1,3-ベンゾオキサゾール-5-イル]-イミノ-オキソ-(トリフルオロメチル)-λ6-スルファン(化合物P6);
    1-[5-エチルスルホニル-6-[5-(トリフルオロメチルスルホンイミドイル)-1,3-ベンゾオキサゾール-2-イル]-3-ピリジル]シクロプロパンカルボニトリル(化合物P7);
    1-[5-エチルスルホニル-6-[5-[N-エチル-S-(トリフルオロメチル)スルホンイミドイル]-1,3-ベンゾオキサゾール-2-イル]-3-ピリジル]シクロプロパンカルボニトリル(化合物P8);
    [2-[3-エチルスルホニル-5-(2-ピリジルオキシ)-2-ピリジル]-1,3-ベンゾオキサゾール-5-イル]-イミノ-オキソ-(トリフルオロメチル)-λ6-スルファン(化合物P9);エチルイミノ-[2-[3-エチルスルホニル-5-(2-ピリジルオキシ)-2-ピリジル]-1,3-ベンゾオキサゾール-5-イル]-オキソ-(トリフルオロメチル)-λ6-スルファン(化合物P10);
    [2-(5-シクロプロピル-3-エチルスルホニル-2-ピリジル)-1,3-ベンゾオキサゾール-5-イル]-エチルイミノ-オキソ-(トリフルオロメチル)-λ6-スルファン(化合物P11);
    [2-(5-シクロプロピル-3-エチルスルホニル-2-ピリジル)-1,3-ベンゾオキサゾール-5-イル]-イミノ-オキソ-(トリフルオロメチル)-λ6-スルファン(化合物P12);
    シクロプロピルイミノ-[2-(3-エチルスルホニル-2-ピリジル)-1,3-ベンゾオキサゾール-5-イル]-オキソ-(トリフルオロメチル)-λ6-スルファン(化合物P13);
    [2-(3-エチルスルホニル-2-ピリジル)-1,3-ベンゾオキサゾール-5-イル]-オキソ-(2,2,2-トリフルオロエチルイミノ)-(トリフルオロメチル)-λ6-スルファン(化合物P14);
    [[2-(3-エチルスルホニル-2-ピリジル)-1,3-ベンゾオキサゾール-5-イル]-オキソ-(トリフルオロメチル)-λ6-スルファニリデン]シアナミド(化合物P15);
    [2-(3-エチルスルホニル-2-ピリジル)-1,3-ベンゾオキサゾール-5-イル]-イミノ-オキソ-(トリフルオロメチル)-λ6-スルファン(化合物P16);
    N-[[2-(3-エチルスルホニル-2-ピリジル)-1,3-ベンゾオキサゾール-5-イル]-オキソ-(トリフルオロメチル)-λ6-スルファニリデン]アセトアミド(化合物P17);
    [2-(3-エチルスルホニル-2-ピリジル)-1,3-ベンゾオキサゾール-5-イル]-メチルイミノ-オキソ-(トリフルオロメチル)-λ6-スルファン(化合物P18);
    エチルイミノ-[2-(3-エチルスルホニル-2-ピリジル)-1,3-ベンゾオキサゾール-5-イル]-オキソ-(トリフルオロメチル)-λ6-スルファン(化合物P19);
    1-[5-エチルスルホニル-6-[6-[N-エチル-S-(トリフルオロメチル)スルホンイミドイル]-3-メチル-イミダゾ[4,5-b]ピリジン-2-イル]-3-ピリジル]シクロプロパン-カルボニトリル(化合物P20);
    1-[5-エチルスルホニル-6-[3-メチル-6-(トリフルオロメチル-スルホンイミドイル)イミダゾ[4,5-b]ピリジン-2-イル]-3-ピリジル]シクロプロパンカルボニトリル(化合物P21);
    エチルイミノ-[2-[3-エチルスルホニル-5-(2,2,2-トリフルオロエトキシ)-2-ピリジル]-1,3-ベンゾオキサゾール-5-イル]-オキソ-(トリフルオロメチル)-λ6-スルファン(化合物P22)、
    [2-[3-エチルスルホニル-5-(2,2,2-トリフルオロエトキシ)-2-ピリジル]-1,3-ベンゾオキサゾール-5-イル]-イミノ-オキソ-(トリフルオロメチル)-λ6-スルファン(化合物P23)、
    N-[[2-[3-エチルスルホニル-5-(2,2,2-トリフルオロエトキシ)-2-ピリジル]-1,3-ベンゾオキサゾール-5-イル]-オキソ-(トリフルオロメチル)-λ6-スルファニリデン]アセトアミド(化合物P24)、
    N-[[2-[3-エチルスルホニル-5-(2-ピリジルオキシ)-2-ピリジル]-1,3-ベンゾオキサゾール-5-イル]-オキソ-(トリフルオロメチル)-λ6-スルファニリデン]アセトアミド(化合物P25)、
    [2-[5-(2,2-ジフルオロプロポキシ)-3-エチルスルホニル-2-ピリジル]-1,3-ベンゾオキサゾール-5-イル]-イミノ-オキソ-(トリフルオロメチル)-λ6-スルファン(化合物P26)、
    [2-[5-(2,2-ジフルオロプロポキシ)-3-エチルスルホニル-2-ピリジル]-1,3-ベンゾオキサゾール-5-イル]-エチルイミノ-オキソ-(トリフルオロメチル)-λ6-スルファン(化合物P27)、
    1-[5-エチルスルホニル-6-[5-[N-(2,2,2-トリフルオロエチル)-S-(トリフルオロメチル)スルホンイミドイル]-1,3-ベンゾオキサゾール-2-イル]-3-ピリジル]シクロプロパンカルボニトリル(化合物P28)、
    1-[5-エチルスルホニル-6-[5-[N-メチル-S-(トリフルオロメチル)スルホンイミドイル]-1,3-ベンゾオキサゾール-2-イル]-3-ピリジル]シクロプロパンカルボニトリル(化合物P29)、
    1-[6-[5-[N-シクロプロピル-S-(トリフルオロメチル)スルホンイミドイル]-1,3-ベンゾオキサゾール-2-イル]-5-エチルスルホニル-3-ピリジル]シクロプロパンカルボニトリル(化合物P30)、
    1-[6-[5-[N-シクロプロピル-S-(トリフルオロメチル)スルホンイミドイル]-1-メチル-ベンゾイミダゾール-2-イル]-5-エチルスルホニル-3-ピリジル]シクロプロパンカルボニトリル(化合物P31)、
    1-[5-エチルスルホニル-6-[5-[N-エチル-S-(トリフルオロメチル)スルホンイミドイル]-1-メチル-ベンゾイミダゾール-2-イル]-3-ピリジル]シクロプロパンカルボニトリル(化合物P32)、
    1-[5-エチルスルホニル-6-[1-メチル-5-(トリフルオロメチルスルホンイミドイル)ベンゾイミダゾール-2-イル]-3-ピリジル]シクロプロパンカルボニトリル(化合物P33)、
    1-[5-エチルスルホニル-6-[1-メチル-5-[N-(2,2,2-トリフルオロエチル)-S-(トリフルオロメチル)スルホンイミドイル]ベンゾイミダゾール-2-イル]-3-ピリジル]シクロプロパンカルボニトリル(化合物P34)、
    エチルイミノ-[2-(3-エチルスルホニル-5-ピリミジン-2-イル-2-ピリジル)-1,3-ベンゾオキサゾール-5-イル]-オキソ-(トリフルオロメチル)-λ6-スルファン(化合物P35)、
    [2-(3-エチルスルホニル-5-ピリミジン-2-イル-2-ピリジル)-1,3-ベンゾオキサゾール-5-イル]-イミノ-オキソ-(トリフルオロメチル)-λ6-スルファン(化合物P36)、
    [2-[5-(3-クロロピラゾール-1-イル)-3-エチルスルホニル-2-ピリジル]-1,3-ベンゾオキサゾール-5-イル]-イミノ-オキソ-(トリフルオロメチル)-λ6-スルファン(化合物P37)、
    [2-[5-(3-クロロピラゾール-1-イル)-3-エチルスルホニル-2-ピリジル]-1,3-ベンゾオキサゾール-5-イル]-エチルイミノ-オキソ-(トリフルオロメチル)-λ6-スルファン(化合物P38)、
    エチルイミノ-[2-[3-エチルスルホニル-6-(1,2,4-トリアゾール-1-イル)-2-ピリジル]-1,3-ベンゾオキサゾール-5-イル]-オキソ-(トリフルオロメチル)-λ6-スルファン(化合物P39)、
    [2-[3-エチルスルホニル-5-[4-(トリフルオロメチル)ピリミジン-2-イル]-2-ピリジル]-1,3-ベンゾオキサゾール-5-イル]-イミノ-オキソ-(トリフルオロメチル)-λ6-スルファン(化合物P40)、
    エチルイミノ-[2-[3-エチルスルホニル-5-[4-(トリフルオロメチル)ピリミジン-2-イル]-2-ピリジル]-1,3-ベンゾオキサゾール-5-イル]-オキソ-(トリフルオロメチル)-λ6-スルファン(化合物P41)、
    [2-[5-(5-クロロピリミジン-2-イル)-3-エチルスルホニル-2-ピリジル]-1,3-ベンゾオキサゾール-5-イル]-イミノ-オキソ-(トリフルオロメチル)-λ6-スルファン(化合物P42)、
    [2-[5-(5-クロロピリミジン-2-イル)-3-エチルスルホニル-2-ピリジル]-1,3-ベンゾオキサゾール-5-イル]-エチルイミノ-オキソ-(トリフルオロメチル)-λ6-スルファン(化合物P43)、
    [2-[3-エチルスルホニル-6-(1,2,4-トリアゾール-1-イル)-2-ピリジル]-1-メチル-ベンゾイミダゾール-5-イル]-イミノ-オキソ-(トリフルオロメチル)-λ6-スルファン(化合物P44)、
    エチルイミノ-[2-[3-エチルスルホニル-6-(1,2,4-トリアゾール-1-イル)-2-ピリジル]-1-メチル-ベンゾイミダゾール-5-イル]-オキソ-(トリフルオロメチル)-λ6-スルファン(化合物P45)、
    [2-[6-(3-クロロ-1,2,4-トリアゾール-1-イル)-3-エチルスルホニル-2-ピリジル]-1-メチル-ベンゾイミダゾール-5-イル]-イミノ-オキソ-(トリフルオロメチル)-λ6-スルファン(化合物P46)、
    [2-[6-(3-クロロ-1,2,4-トリアゾール-1-イル)-3-エチルスルホニル-2-ピリジル]-1-メチル-ベンゾイミダゾール-5-イル]-エチルイミノ-オキソ-(トリフルオロメチル)-λ6-スルファン(化合物P47)、
    [2-[3-エチルスルホニル-6-[3-(トリフルオロメチル)-1,2,4-トリアゾール-1-イル]-2-ピリジル]-1-メチル-ベンゾイミダゾール-5-イル]-イミノ-オキソ-(トリフルオロメチル)-λ6-スルファン(化合物P48)、
    エチルイミノ-[2-[3-エチルスルホニル-6-[3-(トリフルオロメチル)-1,2,4-トリアゾール-1-イル]-2-ピリジル]-1-メチル-ベンゾイミダゾール-5-イル]-オキソ-(トリフルオロメチル)-λ6-スルファン(化合物P49)、
    [2-[3-エチルスルホニル-5-(2-ピリジルオキシ)-2-ピリジル]-1-メチル-ベンゾイミダゾール-5-イル]-イミノ-オキソ-(トリフルオロメチル)-λ6-スルファン(化合物P50)、
    エチルイミノ-[2-[3-エチルスルホニル-5-(2-ピリジルオキシ)-2-ピリジル]-1-メチル-ベンゾイミダゾール-5-イル]-オキソ-(トリフルオロメチル)-λ6-スルファン(化合物P51)、
    2-[5-エチルスルホニル-6-[1-メチル-5-(トリフルオロメチルスルホンイミドイル)ベンゾイミダゾール-2-イル]-3-ピリジル]ピリミジン-5-カルボニトリル(化合物P52)、
    2-[5-エチルスルホニル-6-[5-[N-エチル-S-(トリフルオロメチル)スルホンイミドイル]-1-メチル-ベンゾイミダゾール-2-イル]-3-ピリジル]ピリミジン-5-カルボニトリル(化合物P53)、
    [2-(3-エチルスルホニル-6-ピリミジン-2-イル-2-ピリジル)-1,3-ベンゾオキサゾール-5-イル]-イミノ-オキソ-(トリフルオロメチル)-λ6-スルファン(化合物P54)、
    エチルイミノ-[2-(3-エチルスルホニル-6-ピリミジン-2-イル-2-ピリジル)-1,3-ベンゾオキサゾール-5-イル]-オキソ-(トリフルオロメチル)-λ6-スルファン(化合物P55)、
    [2-[3-エチルスルホニル-6-(1,2,4-トリアゾール-1-イル)-2-ピリジル]-1,3-ベンゾオキサゾール-5-イル]-イミノ-オキソ-(トリフルオロメチル)-λ6-スルファン(化合物P56)、
    1-[5-エチルスルホニル-6-[3-メチル-6-[N-(2,2,2-トリフルオロエチル)-S-(トリフルオロメチル)スルホンイミドイル]イミダゾ[4,5-b]ピリジン-2-イル]-3-ピリジル]シクロプロパンカルボニトリル(化合物P57)、
    1-[6-[6-[N-シクロプロピル-S-(トリフルオロメチル)スルホンイミドイル]-3-メチル-イミダゾ[4,5-b]ピリジン-2-イル]-5-エチルスルホニル-3-ピリジル]シクロプロパンカルボニトリル(化合物P58)
    からなる群から選択される、請求項1に記載の式Iの化合物。
  22. 殺虫的、殺ダニ的、殺線虫的又は殺軟体動物的に有効な量の、請求項1~21のいずれか一項に記載の式(I)の化合物又はその農芸化学的に許容可能な塩、立体異性体、鏡像異性体、互変異性体若しくはN-オキシドと、任意に助剤又は希釈剤とを含む組成物。
  23. 昆虫、ダニ類、線虫又は軟体動物を駆除及び防除する方法であって、有害生物、有害生物の生息地又は有害生物による攻撃を受けやすい植物に、殺虫的、殺ダニ的、殺線虫的又は殺軟体動物的に有効な量の、請求項1~21のいずれか一項に記載の式(I)の化合物又はその農芸化学的に許容可能な塩、立体異性体、鏡像異性体、互変異性体若しくはN-オキシド或いは請求項22に記載の組成物を適用する工程を含む方法。
  24. 昆虫、ダニ類、線虫又は軟体動物による攻撃から植物繁殖材料を保護する方法であって、前記繁殖材料又は前記繁殖材料が植えられている場所を、請求項22に記載の組成物で処理する工程を含む方法。
JP2022517940A 2019-09-20 2020-09-17 硫黄及びスルホキシミン含有置換基を有する殺有害生物的に活性な複素環式誘導体 Active JP7581336B2 (ja)

Applications Claiming Priority (5)

Application Number Priority Date Filing Date Title
IN201911038070 2019-09-20
IN201911038070 2019-09-20
IN202011030926 2020-07-20
IN202011030926 2020-07-20
PCT/EP2020/076038 WO2021053110A1 (en) 2019-09-20 2020-09-17 Pesticidally active heterocyclic derivatives with sulfur and sulfoximine containing substituents

Publications (2)

Publication Number Publication Date
JP2022549417A JP2022549417A (ja) 2022-11-25
JP7581336B2 true JP7581336B2 (ja) 2024-11-12

Family

ID=72659178

Family Applications (1)

Application Number Title Priority Date Filing Date
JP2022517940A Active JP7581336B2 (ja) 2019-09-20 2020-09-17 硫黄及びスルホキシミン含有置換基を有する殺有害生物的に活性な複素環式誘導体

Country Status (8)

Country Link
US (1) US12503461B2 (ja)
EP (1) EP4031544B1 (ja)
JP (1) JP7581336B2 (ja)
CN (1) CN114450280B (ja)
BR (1) BR112022005137A2 (ja)
ES (1) ES2979156T3 (ja)
PY (1) PY2056233A (ja)
WO (1) WO2021053110A1 (ja)

Families Citing this family (13)

* Cited by examiner, † Cited by third party
Publication number Priority date Publication date Assignee Title
CN113348169A (zh) * 2018-12-31 2021-09-03 先正达农作物保护股份公司 具有含硫取代基的杀有害生物活性的杂环衍生物
WO2022013417A1 (en) 2020-07-17 2022-01-20 Syngenta Crop Protection Ag Pesticidally active heterocyclic derivatives with sulfur containing substituents
WO2022017975A1 (en) 2020-07-18 2022-01-27 Syngenta Crop Protection Ag Pesticidally active heterocyclic derivatives with sulfur containing substituents
UY39404A (es) 2020-09-02 2022-03-31 Syngenta Crop Protection Ag Derivados de 2,2-diflúor-5h-[1,3]dioxol[4,5-f]isoindol-7-ona activos como plaguicidas con sustituyentes que contienen azufre
CN118164923A (zh) * 2022-12-11 2024-06-11 沈阳中化农药化工研发有限公司 一种苯并五元杂环类化合物及其应用
JP2026503577A (ja) 2023-01-23 2026-01-29 シンジェンタ クロップ プロテクション アクチェンゲゼルシャフト 硫黄含有置換基を有する殺有害生物的に活性な複素環式誘導体
EP4680028A1 (en) 2023-03-14 2026-01-21 Syngenta Crop Protection AG Control of pests resistant to insecticides
CN120774897A (zh) * 2024-04-09 2025-10-14 青岛清原化合物有限公司 一种取代的苯并异噁唑类化合物及其制备方法、杀虫组合物和应用
WO2026020976A1 (zh) * 2024-07-25 2026-01-29 青岛清原化合物有限公司 一种取代的并咪唑环类化合物及其制备方法、杀虫组合物和应用
WO2026026591A1 (zh) * 2024-08-02 2026-02-05 青岛清原化合物有限公司 一种吡啶基取代的并咪唑环类化合物及其制备方法、杀虫组合物和应用
CN118985619B (zh) * 2024-08-13 2025-09-09 青岛恒宁生物科技有限公司 一种杀虫组合物及其应用
WO2026037855A1 (en) * 2024-08-14 2026-02-19 Basf Se Benzoxazole derivatives as pesticidal compounds
WO2026037853A1 (en) 2024-08-14 2026-02-19 Basf Se Benzoxazole derivatives as pesticidal compounds

Citations (3)

* Cited by examiner, † Cited by third party
Publication number Priority date Publication date Assignee Title
JP2014005263A (ja) 2011-08-04 2014-01-16 Sumitomo Chemical Co Ltd 縮合複素環化合物及びその有害生物防除用途
JP2018507184A (ja) 2015-01-19 2018-03-15 シンジェンタ パーティシペーションズ アーゲー 硫黄含有置換基を有する殺有害生物的に活性な多環式誘導体
JP2019006686A (ja) 2017-06-21 2019-01-17 住友化学株式会社 有害生物防除組成物およびその用途

Family Cites Families (69)

* Cited by examiner, † Cited by third party
Publication number Priority date Publication date Assignee Title
BR8600161A (pt) 1985-01-18 1986-09-23 Plant Genetic Systems Nv Gene quimerico,vetores de plasmidio hibrido,intermediario,processo para controlar insetos em agricultura ou horticultura,composicao inseticida,processo para transformar celulas de plantas para expressar uma toxina de polipeptideo produzida por bacillus thuringiensis,planta,semente de planta,cultura de celulas e plasmidio
CA1340685C (en) 1988-07-29 1999-07-27 Frederick Meins Dna sequences encoding polypeptides having beta-1,3-glucanase activity
US5169629A (en) 1988-11-01 1992-12-08 Mycogen Corporation Process of controlling lepidopteran pests, using bacillus thuringiensis isolate denoted b.t ps81gg
EP0374753A3 (de) 1988-12-19 1991-05-29 American Cyanamid Company Insektizide Toxine, Gene, die diese Toxine kodieren, Antikörper, die sie binden, sowie transgene Pflanzenzellen und transgene Pflanzen, die diese Toxine exprimieren
DK0392225T3 (da) 1989-03-24 2003-09-22 Syngenta Participations Ag Sygdomsresistente transgene planter
GB8910624D0 (en) 1989-05-09 1989-06-21 Ici Plc Bacterial strains
CA2015951A1 (en) 1989-05-18 1990-11-18 Mycogen Corporation Novel bacillus thuringiensis isolates active against lepidopteran pests, and genes encoding novel lepidopteran-active toxins
EP0427529B1 (en) 1989-11-07 1995-04-19 Pioneer Hi-Bred International, Inc. Larvicidal lectins and plant insect resistance based thereon
US5639949A (en) 1990-08-20 1997-06-17 Ciba-Geigy Corporation Genes for the synthesis of antipathogenic substances
UA48104C2 (uk) 1991-10-04 2002-08-15 Новартіс Аг Фрагмент днк, який містить послідовність,що кодує інсектицидний протеїн, оптимізовану для кукурудзи,фрагмент днк, який забезпечує направлену бажану для серцевини стебла експресію зв'язаного з нею структурного гена в рослині, фрагмент днк, який забезпечує специфічну для пилку експресію зв`язаного з нею структурного гена в рослині, рекомбінантна молекула днк, спосіб одержання оптимізованої для кукурудзи кодуючої послідовності інсектицидного протеїну, спосіб захисту рослин кукурудзи щонайменше від однієї комахи-шкідника
US5530195A (en) 1994-06-10 1996-06-25 Ciba-Geigy Corporation Bacillus thuringiensis gene encoding a toxin active against insects
US5631072A (en) 1995-03-10 1997-05-20 Avondale Incorporated Method and means for increasing efficacy and wash durability of insecticide treated fabric
BR9913745B1 (pt) 1998-09-15 2011-05-31 cetonas de piridina, composição herbicida e inibidora do crescimento de plantas, seu uso, método para controle de crescimento de plantas indesejáveis, bem como método para inibir o crescimento de plantas.
AU8590001A (en) 2000-08-25 2002-03-04 Syngenta Participations Ag Novel insecticidal toxins derived from bacillus thuringiensis insecticidal crystal proteins
US7777097B2 (en) 2001-06-22 2010-08-17 Syngenta Participations Ag Plant disease resistance genes
US7230167B2 (en) 2001-08-31 2007-06-12 Syngenta Participations Ag Modified Cry3A toxins and nucleic acid sequences coding therefor
WO2003034823A1 (en) 2001-10-25 2003-05-01 Siamdutch Mosquito Netting Company Limited Treatment of fabric materials with an insecticide
WO2003052073A2 (en) 2001-12-17 2003-06-26 Syngenta Participations Ag Novel corn event
US20050132500A1 (en) 2003-12-22 2005-06-23 Basf Aktiengesellschaft Composition for impregnation of fibers, fabrics and nettings imparting a protective activity against pests
DE102004023894A1 (de) 2004-05-12 2005-12-08 Basf Ag Verfahren zur Behandlung von flexiblen Substraten
DE102005020889A1 (de) 2005-05-04 2006-11-09 Fritz Blanke Gmbh & Co.Kg Verfahren zur antimikrobiellen Ausrüstung von textilen Flächengebilden
AP2007004257A0 (en) 2005-06-03 2007-12-31 Basf Ag Composition for impregnation of fibres fabrics andnettings imparting a protective activity against pests
ES2586569T3 (es) 2006-02-03 2016-10-17 Basf Se Procedimiento para el tratamiento de sustratos textiles
GB2439574A (en) 2006-06-29 2008-01-02 Symbian Software Ltd Detecting revoked certificates for downloaded software
JP5230731B2 (ja) 2007-06-12 2013-07-10 ビーエーエスエフ ソシエタス・ヨーロピア 害虫からの保護活性を付与するための非生物材料への含浸用水性製剤及び含浸方法
JP5369854B2 (ja) 2008-04-21 2013-12-18 住友化学株式会社 有害節足動物防除組成物および縮合複素環化合物
US8273764B2 (en) 2009-04-28 2012-09-25 Sumitomo Chemical Company, Limited Fused heterocyclic compounds and use thereof
CN102573488A (zh) 2009-09-30 2012-07-11 住友化学株式会社 用于防治节肢动物害虫的组合物和方法
MX2012012872A (es) 2010-05-06 2012-11-29 Bayer Cropscience Ag Procedimiento para preparar ditiin-tetracarboxi-diimidas.
WO2012086848A1 (en) * 2010-12-24 2012-06-28 Sumitomo Chemical Company, Limited Fused heterocyclic compound and use for pest control thereof
US9096528B2 (en) 2012-07-04 2015-08-04 Agro-Kanesho Co., Ltd. 2-aminonicotinic acid ester derivative and bactericide containing same as active ingredient
BR112015014191B1 (pt) 2012-12-19 2019-08-27 Bayer Cropscience Ag indanil carboxamidas difluorometilnicotínicas
EP2938601B1 (en) 2012-12-27 2018-05-16 Sumitomo Chemical Company Limited Fused oxazole compounds and use thereof for pest control
TWI621616B (zh) 2013-01-31 2018-04-21 住友化學股份有限公司 有害生物防治組成物及有害生物之防治方法
BR112015018242B1 (pt) 2013-01-31 2020-04-28 Sumitomo Chemical Company, Limited método de controle de pragas
TWI614242B (zh) 2013-01-31 2018-02-11 住友化學股份有限公司 有害生物防治組成物及有害生物之防治方法
WO2014119494A1 (ja) 2013-01-31 2014-08-07 住友化学株式会社 有害生物防除組成物及び有害生物の防除方法
EP2873668A1 (en) * 2013-11-13 2015-05-20 Syngenta Participations AG. Pesticidally active bicyclic heterocycles with sulphur containing substituents
WO2015091945A1 (en) 2013-12-20 2015-06-25 Syngenta Participations Ag Pesticidally active substituted 5,5-bicyclic heterocycles with sulphur containing substituents
SI3129355T1 (sl) 2014-04-11 2019-03-29 Syngenta Participations Ag Fungicidni derivati N'-(2-metil-6-(2-alkoksi-etoksi)-3-piridil)-N-alkil-formamida za uporabo v poljedelstvu
JP2014208695A (ja) * 2014-07-04 2014-11-06 住友化学株式会社 有害生物防除組成物およびその用途
EP3194394B1 (en) * 2014-09-16 2019-01-09 Syngenta Participations AG Pesticidally active tetracyclic derivatives with sulphur containing substituents
WO2016046071A1 (en) 2014-09-25 2016-03-31 Syngenta Participations Ag Pesticidally active heterocyclic derivatives with sulphur containing substituents
UA121319C2 (uk) 2014-11-07 2020-05-12 Сінгента Партісіпейшнс Аг Пестицидно активні поліциклічні похідні з сірковмісними замісниками
JP6704397B2 (ja) 2014-12-31 2020-06-03 シンジェンタ パーティシペーションズ アーゲー 硫黄含有置換基を有する殺有害生物的に活性な多環式誘導体
CR20170418A (es) 2015-03-27 2017-11-09 Syngenta Participations Ag Derivados heterobicíclicos microbicidas
CR20170445A (es) 2015-04-02 2018-02-06 Bayer Cropscience Ag Nuevos derivados de imidazolilmetilo 5-sustituidos
PL3294740T3 (pl) 2015-05-08 2020-03-31 F. Hoffmann-La Roche Ag Nowe sulfonoimidoilopurynony i pochodne do leczenia i profilaktyki infekcji wirusowych
MX2017016363A (es) 2015-06-15 2018-03-02 Bayer Cropscience Ag Fenoxifenilamidinas sustituidas con halogeno y el uso de estas como fungicidas.
EA035584B1 (ru) 2015-08-12 2020-07-10 Зингента Партисипейшнс Аг Микробиоцидные гетеробициклические производные
KR20180037267A (ko) 2015-08-14 2018-04-11 바이엘 크롭사이언스 악티엔게젤샤프트 트리아졸 유도체, 그의 중간체 및 살진균제로서의 그의 용도
MX2018003845A (es) 2015-10-02 2018-06-18 Syngenta Participations Ag Derivados de oxadiazol microbicidas.
HUE050030T2 (hu) 2015-10-02 2020-11-30 Syngenta Participations Ag Mikrobiocid oxadiazol-származékok
US10730872B2 (en) 2015-11-16 2020-08-04 Syngenta Participations Ag Pesticidally active heterocyclic derivatives with sulphur containing sustitutents
CN108289448B (zh) 2015-12-02 2021-10-22 先正达参股股份有限公司 杀微生物的噁二唑衍生物
UY37062A (es) 2016-01-08 2017-08-31 Syngenta Participations Ag Derivados de aryl oxadiazol fungicidas
AU2017221988B2 (en) 2016-02-26 2019-02-14 Nihon Nohyaku Co., Ltd. Benzoxazole compound or salt thereof, agricultural and horticultural insecticide comprising the compound, and method for using the insecticide
CA3015449C (en) 2016-03-10 2021-11-23 Syngenta Participations Ag Microbiocidal quinoline (thio)carboxamide derivatives
AR108745A1 (es) 2016-06-21 2018-09-19 Syngenta Participations Ag Derivados de oxadiazol microbiocidas
JP7077313B2 (ja) 2016-10-06 2022-05-30 シンジェンタ パーティシペーションズ アーゲー 殺微生物オキサジアゾール誘導体
DK3548466T3 (da) 2016-12-01 2022-04-19 Syngenta Participations Ag Fremgangsmåde til fremstilling af et mellemprodukt af pesticidaktive heterocykliske derivater med svovlindeholdende substituenter
EP3554242A1 (en) 2016-12-15 2019-10-23 Syngenta Participations AG Pesticidally active heterocyclic derivatives with sulfur containing substituents
WO2018153707A1 (en) 2017-02-22 2018-08-30 Basf Se Crystalline forms of a strobilurin type compound for combating phytopathogenic fungi
UY37623A (es) 2017-03-03 2018-09-28 Syngenta Participations Ag Derivados de oxadiazol tiofeno fungicidas
EP3618629A1 (en) 2017-05-02 2020-03-11 Basf Se Fungicidal mixture comprising substituted 3-phenyl-5-(trifluoromethyl)-1,2,4-oxadiazoles
WO2018215304A1 (en) 2017-05-22 2018-11-29 Syngenta Participations Ag Tetracyclic pyridazine sulphur containing compounds and their use as pesticides
WO2018228896A1 (en) 2017-06-14 2018-12-20 Syngenta Participations Ag Fungicidal compositions
WO2019076778A1 (en) * 2017-10-16 2019-04-25 Syngenta Participations Ag HETEROCYCLIC DERIVATIVES HAVING PESTICIDAL ACTIVITY HAVING SUBSTITUENTS CONTAINING SULFUR AND SULFONIMIDAMIDES
EP3720846A1 (en) 2017-12-04 2020-10-14 Syngenta Participations AG Microbiocidal phenylamidine derivatives

Patent Citations (3)

* Cited by examiner, † Cited by third party
Publication number Priority date Publication date Assignee Title
JP2014005263A (ja) 2011-08-04 2014-01-16 Sumitomo Chemical Co Ltd 縮合複素環化合物及びその有害生物防除用途
JP2018507184A (ja) 2015-01-19 2018-03-15 シンジェンタ パーティシペーションズ アーゲー 硫黄含有置換基を有する殺有害生物的に活性な多環式誘導体
JP2019006686A (ja) 2017-06-21 2019-01-17 住友化学株式会社 有害生物防除組成物およびその用途

Also Published As

Publication number Publication date
EP4031544C0 (en) 2024-02-28
JP2022549417A (ja) 2022-11-25
CN114450280A (zh) 2022-05-06
EP4031544B1 (en) 2024-02-28
US12503461B2 (en) 2025-12-23
US20220372026A1 (en) 2022-11-24
EP4031544A1 (en) 2022-07-27
PY2056233A (es) 2022-04-27
BR112022005137A2 (pt) 2022-06-14
WO2021053110A1 (en) 2021-03-25
ES2979156T3 (es) 2024-09-24
CN114450280B (zh) 2025-02-25

Similar Documents

Publication Publication Date Title
JP7581336B2 (ja) 硫黄及びスルホキシミン含有置換基を有する殺有害生物的に活性な複素環式誘導体
JP7551646B2 (ja) 殺有害生物的に活性なジアジン-アミド化合物
JP7482855B2 (ja) 殺有害生物活性アゾール-アミド化合物
JP7611848B2 (ja) 殺有害生物的に活性なジアジン-アミド化合物
JP7549601B2 (ja) 殺有害生物活性アゾールアミド化合物
JP2025063023A (ja) 殺有害生物的に活性なアゾール-アミド化合物
KR20210152508A (ko) 살충 활성 디아진-아미드 화합물
JP7725456B2 (ja) 殺有害生物的に活性な環状アミン化合物
BR112021016227A2 (pt) Compostos de azole-amida pesticidamente ativos
JP7788377B2 (ja) 殺有害生物的に活性な縮合二環式芳香族複素環式アミノ化合物
JP2024524883A (ja) 殺有害生物的に活性なジアジン-アミド化合物
JP2023540274A (ja) 硫黄含有置換基を有する殺有害生物的に活性な複素環式誘導体
JP2023540953A (ja) 硫黄含有置換基を有する殺有害生物的に活性な複素環式誘導体
JP2023540480A (ja) 硫黄含有置換基を有する殺有害生物的に活性な複素環式誘導体
JP7746286B2 (ja) 硫黄含有置換基を有する殺有害生物的に活性な複素環式誘導体
WO2021224409A1 (en) Pesticidally active heterocyclic derivatives with sulfur containing substituents
JP7738001B2 (ja) 殺有害生物的に活性な環状アミン化合物
JP2024505178A (ja) 硫黄含有置換基を有する殺有害生物的に活性な複素環式誘導体
JP2023540311A (ja) 殺有害生物的に活性である硫黄含有置換基を有する複素環式誘導体
WO2021213929A1 (en) Pesticidally active substituted 1,3-dihydro-2h-imidazo[4,5-c]pyridin-2-one derivatives with sulfur containing substituents
EP4655293A1 (en) Pesticidally active heterocyclic derivatives with sulfur containing substituents
JP2024528271A (ja) ジアミド耐性有害生物の防除方法及びそのための化合物
JP2024532152A (ja) ジアミド抵抗性有害生物の防除方法及びそのための化合物
EA047435B1 (ru) Пестицидно активные циклические аминосоединения
EA050402B1 (ru) Пестицидно активные конденсированные бициклические гетероароматические соединения

Legal Events

Date Code Title Description
A621 Written request for application examination

Free format text: JAPANESE INTERMEDIATE CODE: A621

Effective date: 20230914

A977 Report on retrieval

Free format text: JAPANESE INTERMEDIATE CODE: A971007

Effective date: 20240829

TRDD Decision of grant or rejection written
A01 Written decision to grant a patent or to grant a registration (utility model)

Free format text: JAPANESE INTERMEDIATE CODE: A01

Effective date: 20240930

A61 First payment of annual fees (during grant procedure)

Free format text: JAPANESE INTERMEDIATE CODE: A61

Effective date: 20241030

R150 Certificate of patent or registration of utility model

Ref document number: 7581336

Country of ref document: JP

Free format text: JAPANESE INTERMEDIATE CODE: R150