JP7089618B2 - 表面活性連結基を有するブロックコポリマー、組成物及びそれの方法 - Google Patents
表面活性連結基を有するブロックコポリマー、組成物及びそれの方法 Download PDFInfo
- Publication number
- JP7089618B2 JP7089618B2 JP2021076132A JP2021076132A JP7089618B2 JP 7089618 B2 JP7089618 B2 JP 7089618B2 JP 2021076132 A JP2021076132 A JP 2021076132A JP 2021076132 A JP2021076132 A JP 2021076132A JP 7089618 B2 JP7089618 B2 JP 7089618B2
- Authority
- JP
- Japan
- Prior art keywords
- integer
- block copolymer
- block
- group
- alkyl
- Prior art date
- Legal status (The legal status is an assumption and is not a legal conclusion. Google has not performed a legal analysis and makes no representation as to the accuracy of the status listed.)
- Active
Links
Images
Classifications
-
- C—CHEMISTRY; METALLURGY
- C08—ORGANIC MACROMOLECULAR COMPOUNDS; THEIR PREPARATION OR CHEMICAL WORKING-UP; COMPOSITIONS BASED THEREON
- C08F—MACROMOLECULAR COMPOUNDS OBTAINED BY REACTIONS ONLY INVOLVING CARBON-TO-CARBON UNSATURATED BONDS
- C08F293/00—Macromolecular compounds obtained by polymerisation on to a macromolecule having groups capable of inducing the formation of new polymer chains bound exclusively at one or both ends of the starting macromolecule
- C08F293/005—Macromolecular compounds obtained by polymerisation on to a macromolecule having groups capable of inducing the formation of new polymer chains bound exclusively at one or both ends of the starting macromolecule using free radical "living" or "controlled" polymerisation, e.g. using a complexing agent
-
- C—CHEMISTRY; METALLURGY
- C08—ORGANIC MACROMOLECULAR COMPOUNDS; THEIR PREPARATION OR CHEMICAL WORKING-UP; COMPOSITIONS BASED THEREON
- C08J—WORKING-UP; GENERAL PROCESSES OF COMPOUNDING; AFTER-TREATMENT NOT COVERED BY SUBCLASSES C08B, C08C, C08F, C08G or C08H
- C08J7/00—Chemical treatment or coating of shaped articles made of macromolecular substances
- C08J7/04—Coating
- C08J7/0427—Coating with only one layer of a composition containing a polymer binder
-
- C—CHEMISTRY; METALLURGY
- C08—ORGANIC MACROMOLECULAR COMPOUNDS; THEIR PREPARATION OR CHEMICAL WORKING-UP; COMPOSITIONS BASED THEREON
- C08F—MACROMOLECULAR COMPOUNDS OBTAINED BY REACTIONS ONLY INVOLVING CARBON-TO-CARBON UNSATURATED BONDS
- C08F297/00—Macromolecular compounds obtained by successively polymerising different monomer systems using a catalyst of the ionic or coordination type without deactivating the intermediate polymer
- C08F297/02—Macromolecular compounds obtained by successively polymerising different monomer systems using a catalyst of the ionic or coordination type without deactivating the intermediate polymer using a catalyst of the anionic type
-
- C—CHEMISTRY; METALLURGY
- C08—ORGANIC MACROMOLECULAR COMPOUNDS; THEIR PREPARATION OR CHEMICAL WORKING-UP; COMPOSITIONS BASED THEREON
- C08G—MACROMOLECULAR COMPOUNDS OBTAINED OTHERWISE THAN BY REACTIONS ONLY INVOLVING UNSATURATED CARBON-TO-CARBON BONDS
- C08G63/00—Macromolecular compounds obtained by reactions forming a carboxylic ester link in the main chain of the macromolecule
- C08G63/02—Polyesters derived from hydroxycarboxylic acids or from polycarboxylic acids and polyhydroxy compounds
- C08G63/06—Polyesters derived from hydroxycarboxylic acids or from polycarboxylic acids and polyhydroxy compounds derived from hydroxycarboxylic acids
- C08G63/08—Lactones or lactides
-
- C—CHEMISTRY; METALLURGY
- C08—ORGANIC MACROMOLECULAR COMPOUNDS; THEIR PREPARATION OR CHEMICAL WORKING-UP; COMPOSITIONS BASED THEREON
- C08G—MACROMOLECULAR COMPOUNDS OBTAINED OTHERWISE THAN BY REACTIONS ONLY INVOLVING UNSATURATED CARBON-TO-CARBON BONDS
- C08G63/00—Macromolecular compounds obtained by reactions forming a carboxylic ester link in the main chain of the macromolecule
- C08G63/64—Polyesters containing both carboxylic ester groups and carbonate groups
-
- C—CHEMISTRY; METALLURGY
- C08—ORGANIC MACROMOLECULAR COMPOUNDS; THEIR PREPARATION OR CHEMICAL WORKING-UP; COMPOSITIONS BASED THEREON
- C08G—MACROMOLECULAR COMPOUNDS OBTAINED OTHERWISE THAN BY REACTIONS ONLY INVOLVING UNSATURATED CARBON-TO-CARBON BONDS
- C08G64/00—Macromolecular compounds obtained by reactions forming a carbonic ester link in the main chain of the macromolecule
- C08G64/02—Aliphatic polycarbonates
- C08G64/0208—Aliphatic polycarbonates saturated
-
- C—CHEMISTRY; METALLURGY
- C09—DYES; PAINTS; POLISHES; NATURAL RESINS; ADHESIVES; COMPOSITIONS NOT OTHERWISE PROVIDED FOR; APPLICATIONS OF MATERIALS NOT OTHERWISE PROVIDED FOR
- C09D—COATING COMPOSITIONS, e.g. PAINTS, VARNISHES OR LACQUERS; FILLING PASTES; CHEMICAL PAINT OR INK REMOVERS; INKS; CORRECTING FLUIDS; WOODSTAINS; PASTES OR SOLIDS FOR COLOURING OR PRINTING; USE OF MATERIALS THEREFOR
- C09D153/00—Coating compositions based on block copolymers containing at least one sequence of a polymer obtained by reactions only involving carbon-to-carbon unsaturated bonds; Coating compositions based on derivatives of such polymers
-
- C—CHEMISTRY; METALLURGY
- C09—DYES; PAINTS; POLISHES; NATURAL RESINS; ADHESIVES; COMPOSITIONS NOT OTHERWISE PROVIDED FOR; APPLICATIONS OF MATERIALS NOT OTHERWISE PROVIDED FOR
- C09D—COATING COMPOSITIONS, e.g. PAINTS, VARNISHES OR LACQUERS; FILLING PASTES; CHEMICAL PAINT OR INK REMOVERS; INKS; CORRECTING FLUIDS; WOODSTAINS; PASTES OR SOLIDS FOR COLOURING OR PRINTING; USE OF MATERIALS THEREFOR
- C09D167/00—Coating compositions based on polyesters obtained by reactions forming a carboxylic ester link in the main chain; Coating compositions based on derivatives of such polymers
- C09D167/04—Polyesters derived from hydroxycarboxylic acids, e.g. lactones
-
- C—CHEMISTRY; METALLURGY
- C09—DYES; PAINTS; POLISHES; NATURAL RESINS; ADHESIVES; COMPOSITIONS NOT OTHERWISE PROVIDED FOR; APPLICATIONS OF MATERIALS NOT OTHERWISE PROVIDED FOR
- C09D—COATING COMPOSITIONS, e.g. PAINTS, VARNISHES OR LACQUERS; FILLING PASTES; CHEMICAL PAINT OR INK REMOVERS; INKS; CORRECTING FLUIDS; WOODSTAINS; PASTES OR SOLIDS FOR COLOURING OR PRINTING; USE OF MATERIALS THEREFOR
- C09D169/00—Coating compositions based on polycarbonates; Coating compositions based on derivatives of polycarbonates
-
- C—CHEMISTRY; METALLURGY
- C09—DYES; PAINTS; POLISHES; NATURAL RESINS; ADHESIVES; COMPOSITIONS NOT OTHERWISE PROVIDED FOR; APPLICATIONS OF MATERIALS NOT OTHERWISE PROVIDED FOR
- C09D—COATING COMPOSITIONS, e.g. PAINTS, VARNISHES OR LACQUERS; FILLING PASTES; CHEMICAL PAINT OR INK REMOVERS; INKS; CORRECTING FLUIDS; WOODSTAINS; PASTES OR SOLIDS FOR COLOURING OR PRINTING; USE OF MATERIALS THEREFOR
- C09D169/00—Coating compositions based on polycarbonates; Coating compositions based on derivatives of polycarbonates
- C09D169/005—Polyester-carbonates
-
- C—CHEMISTRY; METALLURGY
- C09—DYES; PAINTS; POLISHES; NATURAL RESINS; ADHESIVES; COMPOSITIONS NOT OTHERWISE PROVIDED FOR; APPLICATIONS OF MATERIALS NOT OTHERWISE PROVIDED FOR
- C09D—COATING COMPOSITIONS, e.g. PAINTS, VARNISHES OR LACQUERS; FILLING PASTES; CHEMICAL PAINT OR INK REMOVERS; INKS; CORRECTING FLUIDS; WOODSTAINS; PASTES OR SOLIDS FOR COLOURING OR PRINTING; USE OF MATERIALS THEREFOR
- C09D187/00—Coating compositions based on unspecified macromolecular compounds, obtained otherwise than by polymerisation reactions only involving unsaturated carbon-to-carbon bonds
- C09D187/005—Block or graft polymers not provided for in groups C09D101/00 - C09D185/04
-
- G—PHYSICS
- G03—PHOTOGRAPHY; CINEMATOGRAPHY; ANALOGOUS TECHNIQUES USING WAVES OTHER THAN OPTICAL WAVES; ELECTROGRAPHY; HOLOGRAPHY
- G03F—PHOTOMECHANICAL PRODUCTION OF TEXTURED OR PATTERNED SURFACES, e.g. FOR PRINTING, FOR PROCESSING OF SEMICONDUCTOR DEVICES; MATERIALS THEREFOR; ORIGINALS THEREFOR; APPARATUS SPECIALLY ADAPTED THEREFOR
- G03F7/00—Photomechanical, e.g. photolithographic, production of textured or patterned surfaces, e.g. printing surfaces; Materials therefor, e.g. comprising photoresists; Apparatus specially adapted therefor
- G03F7/0002—Lithographic processes using patterning methods other than those involving the exposure to radiation, e.g. by stamping
-
- B—PERFORMING OPERATIONS; TRANSPORTING
- B82—NANOTECHNOLOGY
- B82Y—SPECIFIC USES OR APPLICATIONS OF NANOSTRUCTURES; MEASUREMENT OR ANALYSIS OF NANOSTRUCTURES; MANUFACTURE OR TREATMENT OF NANOSTRUCTURES
- B82Y30/00—Nanotechnology for materials or surface science, e.g. nanocomposites
-
- C—CHEMISTRY; METALLURGY
- C08—ORGANIC MACROMOLECULAR COMPOUNDS; THEIR PREPARATION OR CHEMICAL WORKING-UP; COMPOSITIONS BASED THEREON
- C08F—MACROMOLECULAR COMPOUNDS OBTAINED BY REACTIONS ONLY INVOLVING CARBON-TO-CARBON UNSATURATED BONDS
- C08F2438/00—Living radical polymerisation
- C08F2438/01—Atom Transfer Radical Polymerization [ATRP] or reverse ATRP
-
- C—CHEMISTRY; METALLURGY
- C08—ORGANIC MACROMOLECULAR COMPOUNDS; THEIR PREPARATION OR CHEMICAL WORKING-UP; COMPOSITIONS BASED THEREON
- C08J—WORKING-UP; GENERAL PROCESSES OF COMPOUNDING; AFTER-TREATMENT NOT COVERED BY SUBCLASSES C08B, C08C, C08F, C08G or C08H
- C08J2367/00—Characterised by the use of polyesters obtained by reactions forming a carboxylic ester link in the main chain; Derivatives of such polymers
-
- C—CHEMISTRY; METALLURGY
- C08—ORGANIC MACROMOLECULAR COMPOUNDS; THEIR PREPARATION OR CHEMICAL WORKING-UP; COMPOSITIONS BASED THEREON
- C08J—WORKING-UP; GENERAL PROCESSES OF COMPOUNDING; AFTER-TREATMENT NOT COVERED BY SUBCLASSES C08B, C08C, C08F, C08G or C08H
- C08J2367/00—Characterised by the use of polyesters obtained by reactions forming a carboxylic ester link in the main chain; Derivatives of such polymers
- C08J2367/04—Polyesters derived from hydroxy carboxylic acids, e.g. lactones
-
- C—CHEMISTRY; METALLURGY
- C08—ORGANIC MACROMOLECULAR COMPOUNDS; THEIR PREPARATION OR CHEMICAL WORKING-UP; COMPOSITIONS BASED THEREON
- C08J—WORKING-UP; GENERAL PROCESSES OF COMPOUNDING; AFTER-TREATMENT NOT COVERED BY SUBCLASSES C08B, C08C, C08F, C08G or C08H
- C08J2369/00—Characterised by the use of polycarbonates; Derivatives of polycarbonates
Landscapes
- Chemical & Material Sciences (AREA)
- Organic Chemistry (AREA)
- Chemical Kinetics & Catalysis (AREA)
- Health & Medical Sciences (AREA)
- Medicinal Chemistry (AREA)
- Polymers & Plastics (AREA)
- Engineering & Computer Science (AREA)
- Materials Engineering (AREA)
- Life Sciences & Earth Sciences (AREA)
- Wood Science & Technology (AREA)
- Physics & Mathematics (AREA)
- General Physics & Mathematics (AREA)
- Nanotechnology (AREA)
- Crystallography & Structural Chemistry (AREA)
- Condensed Matter Physics & Semiconductors (AREA)
- Composite Materials (AREA)
- Inorganic Chemistry (AREA)
- Graft Or Block Polymers (AREA)
- Other Resins Obtained By Reactions Not Involving Carbon-To-Carbon Unsaturated Bonds (AREA)
- Polyethers (AREA)
- Polyesters Or Polycarbonates (AREA)
- Exposure Of Semiconductors, Excluding Electron Or Ion Beam Exposure (AREA)
- Laminated Bodies (AREA)
Description
本発明は、構造(1)を有する、連結基を持つ新規のブロックコポリマーに関する。
A-はブロックポリマー鎖であり、
Bはブロックポリマー鎖であり、
ここでA-及びB-は、化学的に異なった共有結合した、相分離可能なポリマー鎖であり、
部分X(Y(Z)b)aは、表面活性ペンダント部分Y(Z)bを含む連結基であり、ここで;
aは1~4の整数であり、X上の表面活性ペンダント部分Y(Z)bの数を表し、
bは1~5の整数であり、リンク部分Y上のZ部分の数を表し、
Xは、Aポリマーブロック、Bポリマーブロック及び部分Yの間のリンク基であり、
Yは、XとZとの間のリンク基または直接原子価結合であり;及び
Zは、フッ素含有部分、Si1~Si8シロキサン含有部分、または少なくとも18個の炭素を持つ炭化水素部分から独立して選択される部分であり、
及び更に、連結基X(Y(Z)b)aは、ブロックAの表面エネルギー未満及びブロックBの表面エネルギー未満の表面エネルギーを有する。
Aはブロックポリマー鎖であり、
Bはブロックポリマー鎖であり、
ここでA及びBは、化学的に異なった共有結合した、相分離可能なポリマー鎖であり、
X(Y(Z)b)aは、表面活性ペンダント部分Y(Z)bを含む連結基である部分であり、ここでaは1~4の整数であり、Xに結合した表面活性ペンダント部分Y(Z)bの数を意味し、bは1~5の整数であり、部分Yに結合したZ部分の数を意味し、
Xは、ポリマーブロックA、ポリマーブロックB及び部分Yを接続するリンク基であり、Yは、XとZとの間のリンク基または直接原子価結合であり、そして
Zは、フッ素含有部分、Si1~Si8シロキサン含有部分、または少なくとも18個の炭素を持つ炭化水素部分から独立して選択される部分であり、そして更に、連結基X(Y(Z)b)aは、ブロックAの表面エネルギー未満のかつブロックBの表面エネルギー未満の表面エネルギーを有する。
a)Zが、フッ素基、フッ素含有線状炭化水素基、フッ素含有分枝状炭化水素基、フッ素含有環状炭化水素基、フッ素含有線状アルキルエーテル基、フッ素含有分枝状アルキルエーテル基、フッ素含有環状アルキルエーテル基またはこれらの混合物であるもの、
b)Zが、Si1~Si8シロキサン、Si1~Si8シロキサンペンダント基を持つ線状炭化水素部分、Si1~Si8ペンダント基を持つ分枝状炭化水素部分、Si1~Si8シロキサンペンダント基を持つ環状炭化水素部分、カルボシラン、カルボシランペンダント基を持つ線状炭化水素部分、カルボシランペンダント基を持つ分枝状炭化水素部分、カルボシランペンダント基を持つ環状炭化水素部分、シラン、シランペンダント基を持つ線状炭化水素部分、シランペンダント基を持つ分枝状炭化水素部分、シランペンダント基を持つ環状炭化水素部分、またはこれらの混合物であるもの、及び
c)Zが、少なくとも18個の炭素を持つ線状炭化水素基、少なくとも18個の炭素を持つ分枝状炭化水素であるもの、
である。
構造(3)を有する部分
そして更にb’及びb’’は1~5の整数であり、qは0~10の整数であり、rは1~10の整数であり、sは0~10の整数であり、tは1~10の整数であり、及びuは0と10との間の整数である。
a)上記未パターン化基材上に、該新規組成物からブロックコポリマーのコーティング層を形成するステップ;及び
b)このブロックコポリマーの層をアニールして、上記未パターン化基材上に垂直に配向した、ゼロ以外の正の整数の第一及び第二のブロックコポリマードメインを生成するステップ。
a)構造(1)を有するブロックコポリマーから構成される上記の新規組成物を用いて、連結基を有するブロックコポリマーのコーティング層を、上記の第一のトポグラフィ基材上に形成し、ここで該ブロックコポリマーのコーティング層の平均厚が、第一のトポグラフィ基材のトポグラフィの高さ未満であり、ここで該ブロックコポリマー層は、このトポグラフィによって側面が閉じ込められているステップ;及び
b)該ブロックコポリマー層をアニールして、上記第一のパターン化基材上で垂直に配向しておりかつその凹んだ領域内に閉じ込められている第一及び第二のブロックコポリマードメインを生成するステップ、
を含む方法に使用される。
a)構造(1)を有するブロックコポリマーから構成される上記の新規組成物を用いて、コーティング層を、表面活性連結基を有するブロックコポリマーから上記の第二のパターン化基材上に形成し、ここで該ブロックコポリマーのコーティング層の厚さが、第二のパターン化基材のトポグラフィの高さ超であるステップ;及び
b)上記ブロックコポリマー層をアニールして、上記第二のパターン化基材上に垂直に配向したゼロ以外の整数の第一及び第二のブロックコポリマードメインを生成し、そしてこれらのドメインを第二のパターン化基材に整列し、ここで垂直に配向されたドメインの総和がトポグラフィパターンのピッチP1以上であるステップ、
を含む前記方法に使用する。
a)表面活性連結基を有するブロックコポリマーのコーティング層を、構造(1)のブロックコポリマーを含む新規組成物を用いて、表面化学的プリパターンを有する基材上に形成させるステップ、
b)前記ブロックコポリマー層をアニールして、ピッチ2Pを有する表面化学的プリパターンを有する基材と整列された、垂直に配向した第一及び第二のブロックコポリマードメインを生成するステップ、
を含む方法に使用される。
I-0.装置及び化学品
表1に記載のない化学品は、Aldrich Chemical Company(Sigma-Aldrich Corp St.Louis,MO,USA)から得たものであり、納品されたまま使用した。他に記載がなければ、フィルムのスピンコート及びベークは、Laurel WS-650-23Bスピンコータ-及び東京エレクトロン社のClean Track ACT-8を用いて行った。Si非含有ドメインのプラズマエッチングのためにはNordson(300 Nordson Dr.M/S 47 Amherst,OH 44001 U.S.A.)MARCHエッチャーを使用した。上視及び断面画像はそれぞれAMAT(Applied Materials,Inc.3050 Bowers Avenue P.O.Box 58039 Santa Clara,CA 95054-3299 U.S.A.)NanoSEM 3D及び日立(Hitachi High Technologies America Inc.10 North Martingale Road,Suite 500 Schaumburg,Illinois 60173-2295)S-5500で撮影した。表1は、使用した化合物及び溶媒の略語のリストを示す。この表において、「Sigma-Aldrich」は、ジップコード63103、ミズーリ州セントルイス・スプルース通り番地3050在の「Sigma-Aldrich Corporation」を指し; 「Synquest」は、レイチェル大通りルート2054番地13201在の「SynQuest Laboratories,Inc.」を指し、「Exfluor」は、ジップコード78664、テキサス州ダブルクリーク通りRound Rock番地2350在の「Exfluor Research Corporation」を指し、「Perstorp Chemicals」は、スウェーデン王国マルメ、ナプツニガータン1,211 20在の「Perstorp Speciality Chemicals」を指し、「Richman Chemicals」は、ジップコード19002、ペンシルベニア州ノースベツレヘムパイク番地768在の「Richman Chemicals Custom Solutions」を指す。SiArcコーティング液(Shin Etsu SHB A-940 L35)は、信越化学工業株式会社(日本国東京都、郵便番号100-0004)から得た。
例1 ペンダント基C4OLを有するATRP及びROP開始剤の製造
C4OLの代わりにC8OLを使用したことを除き、例1に使用した同じ反応条件を使用した。第一ステップでは、生成物であるアセタール保護C8OLエステルを1H NMRで確認した。1H NMR(400MHz,CDCl323℃,ppm):1.21(3H),1.46(6H),3.71(2H),4.21(2H)及び4.69(2H)。次のステップでは、生成物を1H NMRで確認した。1H NMR(400MHz,CDCl323℃,δ):1.08(3H),2.54(2H),3.77(2H),3.94(2H)及び4.51(2H)。最後のステップでは、ペンダントC8OL基を持つATRP及びROP開始剤を1H NMR及び19F NMRによって確認した。1H NMR(400MHz,CDCl3,23℃,ppm):1.28(3H),1.94(6H),2.36(1H),2.53(2H),3.77(2H),4.33(1H)及び4.45-4.50(3H)。
C4OLの代わりにC9OLを同じモル比で使用したことを除き、例1に使用した同じ反応条件を使用した。第一ステップでは、アセタール保護C9OLエステルを1H NMRで確認した。1H NMR(400MHz,CDCl323℃,ppm):1.21(3H),1.46(6H),3.69(2H),4.20(2H)及び4.71(2H)。次のステップでは、ジオールを1H NMRで確認した。1H NMR(400MHz,CDCl323℃,δ):1.14(3H),3.81(2H),3.97(2H)及び4.71(2H)。ペンダントC9OL鎖を持つATRP及びROP開始剤を得るための最後のステップで、生成物を1H NMR及び19F NMRによって確認した。1H NMR(400MHz,CDCl323℃,ppm):1.32(3H),1.94(6H),2.24(1H),3.80(2H),4.37-4.46(2H),4.69(2H)。19F NMR(400MHz,CDCl323℃,ppm):-199.41,-121.93,-122.72,-123.21及び-126.11。
C4OLの代わりにC10GOLを使用したことを除き、例1に使用した同じ反応条件を使用した。第一ステップでは、C10GOLアセタール保護エステルを1H NMRで確認した。1H NMR(400MHz,CDCl323℃,ppm):1.21(3H),1.46(6H),3.71(2H),4.23(2H)及び4.57(2H)。次のステップでは、純粋なジオールを1H NMRで確認した。1H NMR(400MHz,CDCl323℃,δ):1.12(3H),2.63(2H),3.81(2H),3.95(2H)及び4.58(2H)。ペンダントC10GOL鎖を持つATRP及びROP開始剤を得る最終のステップでは生成物を1H NMR及び19F NMRで確認した。1H NMR(400MHz,CDCl323℃,ppm):1.32(3H),1.94(6H),2.24(1H),3.80(2H),4.37-4.46(2H),4.69(2H)。19F NMR(400MHz,CDCl323℃,ppm):-199.41,-121.93,-122.72,-123.21及び-126.11。
例2からのATRP開始剤を同じモル量で使用したことを除き、例6と同じ条件を使用した。得られたポリマーは、Mn=5.2k、Mw=5.6k、PDI=1.07を有していた。
例3からのATRP開始剤を同じモル量で使用したことを除き、例6と同じ条件を使用した。得られたポリマーは、Mn=4.7k、Mw=5.0k、PDI=1.07を有していた。
例3からのATRP開始剤を同じモル量で使用したことを除き、例6と同じ条件を使用した。得られたポリマーは、Mn=9.4k、Mw=10.0k、PDI=1.07を有していた。(AV7-47-1)
例10 例4からの開始剤を用いたヒドロキシル官能性ポリスチレンの合成
例4からのATRP開始剤を同じモル量で使用したことを除き、例6と同じ条件を使用した。得られたポリマーは、Mn=6.9k、Mw=7.4k、PDI=1.07を有していた。
例5からのATRP開始剤を同じモル量で使用したことを除き、例6と同じ条件を使用した。得られたポリマーは、Mn=4.2k、Mw=4.5k、PDI=1.06を有していた。
以下の試薬を使用したことを除き、例6と同じ手順を使用した:1.83g(10.41mmol)のTMSS、例2からの0.10g(0.170mmol)のATRP開始剤、30mg(0.208mmol)のCuBr、1.83gのアニソール、及び36mg(0.208mmol)のPMDETA。得られたポリマーは、Mn=7.5k、Mw=8.1k、PDI=1.09を有していた。
以下の試薬を使用したことを除き、例6と同じ手順を使用した:3.0g(17.0mmol)のTMSS、例3からの0.13g(0.170mmol)のATRP開始剤、24mg(0.170mmol)のCuBr、3.0gのアニソール、及び30mg(0.170mmol)のPMDETA。ポリマーは、Mn=6.8k、Mw=7.4k、PDI=1.09を有していた。
以下の試薬を使用したことを除き、例6と同じ手順を使用した:0.89g(5.08mmol)のTMSS、2.11g(20.3mmol)のスチレン、例4からの0.15g(0.188mmol)のATRP開始剤、27mg(0.170mmol)のCuBr、3.0gのアニソール、及び33mg(0.188mmol)のPMDETA。ポリマーは、Mn=4.7k、Mw=5.1k、PDI=1.09を有していた。1H NMRで求めたスチレン:TMSSの比率=74:26。
以下の試薬を使用したことを除き、例6と同じ手順を使用した:9.20g(88.20mmol)のスチレン、例3からの0.15g(0.196mmol)のATRP、28mg(0.196mm)のCuBr、9.20gの34mg(0.196mmol)のPMDETA。ポリマーはMn=15.6k、Mw=16.9k、PDI=1.08を有していた。
磁気スターラーバーを備えた、炉で乾燥した4mlガラスバイアルに、例6からのCH2C3F7ペンダント基を有するヒドロキシル官能性ポリスチレン0.20g(0.0454mmol)、TMC 0.52g(5.17mmol)及びDCM 1.70gを加えた。この反応混合物を、高分子開始剤及びTMCがDCM中に完全に溶解するまで攪拌し、そうしたら直ぐにDBU(約12mg、0.078mmol)を加えた。この反応混合物を、グローブボックス中で5.5時間室温で攪拌した。5.5時間後、この反応バイアルをグローブボックスから取り出しそしてDCM(2ml)、アセチルクロライド(0.1g、0.988mmol)及びTEA(0.1g、1.28mmol)を加えることによって反応を停止した。この反応を更に室温で2時間攪拌した。反応混合物をメタノール中に析出させることによって、生じたポリマーを単離した。真空下にメタノールを除去することによって生成物をフリット漏斗中に集め、そして生じた固形物をTHF中に再溶解して20重量%溶液を調製し、そしてメタノール中に再析出した。固形物をフリット漏斗中に集め、そして真空下に40℃で2時間乾燥して、生じた化合物を得た。この化合物をTHF中に溶解して20重量%溶液を調製し、そしてポリマーをメタノール:アセトニトリル(200ml、60:40v:v)中に析出した。析出した固形物及び溶媒を遠心分離チューブ中に集め、そして0℃で4000RPMで遠心分離し、その後、溶媒をデカントしそして固形物を真空炉中40℃で2時間乾燥することによって固形物を集めた。Mn(GPC)=14.2k、Mw=15.7k、PDI=1.10。Mn(NMR)=PS(4.8k)-b-PTMC(5.8k)、VfPTMC=0.49。
以下の試薬を使用したことを除き、例16と同じ手順を使用した:例6からのCH2C3F7ペンダント基を有するヒドロキシル官能性ポリスチレン0.15g(0.0312mmol)、TMC 0.208g(2.08mmol)、DCM 0.67g、DBU(12mg、0.078mmol)、DCM(1ml)、アセチルクロライド(0.1g、0.988mmol)、及びTEA(0.1g、1.28mmol)。このポリマーは、Mn(GPC)=9.5k、Mw=10.5k、PDI=1.10を有していた。Mn(NMR)=PS(4.8k)-b-PTMC(2.6k)、VfPTMC=0.30。
以下の試薬を使用したことを除き例16と同じ手順を使用した。例7からのC2H4C6F13ペンダント基を有するヒドロキシル官能性ポリスチレン0.3g(0.0577mmol)、TMC 0.78g(7.64mmol)、DCM 2.55g、DBU(12mg、0.078mmol)、DCM(2ml)、アセチルクロライド(0.1g、0.988mmol)、及びTEA(0.1g、1.28mmol)。このポリマーは、Mn(GPC)=14.6k、Mw=15.5k、PDI=1.16を有していた。Mn(NMR)=PS(5.2k)-b-PTMC(6.6k)、VfPTMC=0.50。
以下の試薬を使用したことを除き、例16と同じ手順を使用した:例7からのC2H4C6F13ペンダント基を有するヒドロキシル官能性ポリスチレン0.2g(0.0384mmol)、TMC 0.217g(2.12mmol)、DCM 0.7g、DBU(12mg、0.078mmol)、DCM(1ml)、アセチルクロライド(0.1g、0.988mmol)、及びTEA(0.1g、1.28mmol)。このポリマーは、Mn(GPC)=9.2k、Mw=9.8k、PDI=1.06を有していた。Mn(NMR)=PS(5.2k)-b-PTMC(2.5k)、VfPTMC=0.28。
以下の試薬を使用したことを除き、例16と同じ手順を使用した:例8からのCH2C8F17ペンダント基を有するヒドロキシル官能性ポリスチレン0.2g(0.0425mmol)、TMC 0.260g(2.55mmol)、DCM 0.85g、DBU(12mg、0.078mmol)、DCM(1ml)、アセチルクロライド(0.1g、0.988mmol)、及びTEA(0.1g、1.28mmol)。この反応を更に室温で2時間攪拌した。生じたポリマーは、Mn(GPC)=10.2k、Mw=11.1k、PDI=1.08を有していた。Mn(NMR)=PS(4.7k)-b-PTMC(2.3k)、VfPTMC=0.28。
以下の試薬を使用したことを除き、例16と同じ手順を使用した:例8からのCH2C8F17ペンダント基を有するヒドロキシル官能性ポリスチレン0.2g(0.0425mmol)、TMC 0.43g(4.25mmol)、DCM 1.4g、DBU(12mg、0.078mmol)、DCM(1ml)、アセチルクロライド(0.1g、0.988mmol)、及びTEA(0.1g、1.28mmol)。このポリマーは、Mn(GPC)=14.7k、Mw=15.9k、PDI=1.07、Mn(NMR)=PS(4.7k)-b-PTMC(5.3k)、VfPTMC=0.47を有していた。
例21に記載のものと類似の反応条件を使用して、CH2C8F17ペンダント基を有するPS-b-PTMCを製造した。Mn(GPC)=15.3k、Mw=16.7k、PDI=1.08。Mn(NMR)=PS(4.7k)-b-PTMC(5.7k)、VfPTMC=0.49。
以下の試薬を使用したことを除き、例16と同じ手順を使用した:例9からのCH2C8F17ペンダント基を有するヒドロキシル官能性ポリスチレン0.2g(0.021mmol)、TMC 0.515g(5.05mmol)、DCM 1.65g。そうしたらDBU(約12mg、0.078mmol)を加え、DCM(1ml)、アセチルクロライド(0.1g、0.988mmol)、及びTEA(0.1g、1.28mmol)。このポリマーは、Mn(GPC)=24.3k、Mw=27.6k、PDI=1.13、Mn(NMR)=PS(9.5k)-b-PTMC(11.8k)、VfPTMC=0.49を有していた。
以下の試薬を使用したことを除き、例16と同じ手順を使用した:例9からのCH2C8F17ペンダント基を有するヒドロキシル官能性ポリスチレン0.15g(0.0158mmol)、TMC 0.167g(1.64mmol)、DCM 0.73g、DBU(約12mg、0.078mmol)、DCM(1ml)、アセチルクロライド(0.1g、0.988mmol)、及びTEA(0.1g、1.28mmol)。このポリマーは、Mn(GPC)=18.0k、Mw=20.0k、PDI=1.11を有していた。Mn(NMR)=PS(9.5k)-b-PTMC(4.8k)、VfPTMC=0.28。
以下の試薬を使用したことを除き、例16と同じ手順を使用した:例10からのCH2CF2(OCF2CF2)3C2F5ペンダント基を有するヒドロキシル官能性ポリスチレン0.20g(0.0290mmol)、TMC 0.212g(2.08mmol)、DCM 1.1g、DBU(約12mg、0.078mmol)、DCM(1ml)、アセチルクロライド(0.1g、0.988mmol)、及びTEA(0.1g、1.28mmol)。このポリマーは、Mn(GPC)=12.4k、Mw=13.7k、PDI=1.11を有していた。Mn(NMR)=PS(6.9k)-b-PTMC(3.2k)、VfPTMC=0.27。
以下の試薬を使用したことを除き、例16と同じ手順を使用した:例10からのCH2CF2(OCF2CF2)3C2F5ペンダント基を有するヒドロキシル官能性ポリスチレン0.20g(0.0290mmol)、TMC 0.502g(4.93mmol)、DCM 1.6g、DBU(約12mg、0.078mmol)、DCM(1ml)、アセチルクロライド(0.1g、0.988mmol)、及びTEA(0.1g、1.28mmol)。このポリマーは、Mn(GPC)=19.3k、Mw=21.0k、PDI=1.09を有していた。Mn(NMR)=PS(6.9k)-b-PTMC(8.3k)、VfPTMC=0.49。
以下の試薬を使用したことを除き、例16と同じ手順を使用した:例11からのC18H37ペンダント基を有するヒドロキシル官能性ポリスチレン0.15g(0.0357mmol)、TMC 0.382g(3.75mmol)、DCM 1.24g、DBU(12mg、0.078mmol)、DCM(1ml)、アセチルクロライド(0.1g、0.988mmol)、及びTEA(0.1g、1.28mmol)。生じたポリマーは、Mn(GPC)=10.8k、Mw=11.6k、PDI=1.06を有していた。Mn(NMR)=PS(4.2k)-b-PTMC(5.0k)、VfPTMC=0.48。
以下の試薬を使用したことを除き、例16と同じ手順を使用した:例11からのC18H37ペンダント基を有するヒドロキシル官能性ポリスチレン0.15g(0.0357mmol)、TMC 0.172g(1.68mmol)、DCM 0.56g、DBU(12mg、0.078mmol)、DCM(1ml)、アセチルクロライド(0.1g、0.988mmol)、及びTEA(0.1g、1.28mmol)。生じたポリマーは、Mn(GPC)=8.1k、Mw=8.6k、PDI=1.06を有していた。Mn(NMR)=PS(4.2k)-b-PTMC(2.9k)、VfPTMC=0.35。
磁気スターラーバーを備えた、炉で乾燥した4mlガラスバイアルに、例9からのCH2C8F17ペンダント基を有するヒドロキシル官能性ポリスチレン0.1g(0.0105mmol)、D,L-ラクチド(PLA)0.23g(1.59mmol)、及びDCM 2.1gを加えた。この反応混合物を、高分子開始剤及びD,L-ラクチドがDCM中に完全に溶解するまで攪拌し、そうしたら直ぐにTU 20mg(0.0525mmol)及びトリス[2-(ジメチルアミノ)エチル]アミン(M6TREN)(12mg、0.0526mmol)を加えた。この反応混合物を、グローブボックス中で3時間室温で攪拌した。3時間後、この反応バイアルをグローブボックスから取り出しそしてDCM(1ml)、アセチルクロライド(0.1g、0.988mmol)及びTEA(0.1g、1.28mmol)を加えることによって反応を停止した。この反応を更に室温で2時間攪拌した。反応混合物をメタノール中に析出させることによって、生じたポリマーを単離した。真空下にメタノールを除去することによって生成物をフリット漏斗中に集め、そして生じた固形物をTHF中に再溶解して20重量%溶液を調製し、そしてメタノール中に再析出した。固形物をフリット漏斗中に集め、そして真空下に40℃で2時間乾燥して、生じた化合物を得た。Mn(GPC)=24.0K、Mw=26.0k、PDI=1.09。Mn(NMR)=PS(9.5k)-b-PLA(9.6k)、VfPLA=0.47。
以下の試薬を使用したことを除き、例31と同じ手順を使用した:例9からのCH2C8F17ペンダント基を有するヒドロキシ官能性ポリスチレン0.1g(0.0105mmol)、D,L-ラクチド0.1g(0.69mmol)、DCM 0.92g、TU 20mg(0.00525mmol)、M6TREN(12mg、0.0526mmol)、DCM(1ml)、アセチルクロライド(0.1g、0.988mmol)、及びTEA(0.1g、1.28mmol)。生じたポリマーは、Mn(GPC)=18.5k、Mw=20.0k、PDI=1.08を有していた。Mn(NMR)=PS(9.5k)-b-PLA(5.4k)、VfPLA=0.32。
以下の試薬を使用したことを除き、例31と同じ手順を使用した:例15からのCH2C8F17ペンダント基を有するヒドロキシル官能性ポリスチレン0.1g(0.0064mmol)、D,L-ラクチド0.115g(0.80mmol)、DCM 1.0g、TU 12mg(0.032mmol)、M6TREN(7mg、0.026mmol)、DCM(1ml)、アセチルクロライド(0.1g、0.988mmol)、及びTEA(0.1g、1.28mmol)。T.Mn(GPC)=35.6K、Mw=38.7k、PDI=1.08。Mn(NMR)=PS(15.6k)-b-PLA(16.6k)、VfPLA=0.485。
以下の試薬を使用したことを除き、例31と同じ手順を使用した:例15からのCH2C8F17ペンダント基を有するヒドロキシル官能性ポリスチレン0.1g(0.0064mmol)、D,L-ラクチド0.46g(0.80mmol)、DCM 0.6g、TU 12mg(0.032mmol)、及びM6TREN(7mg、0.026mmol)を加えた、DCM(1ml)、アセチルクロライド(0.1g、0.988mmol)、及びTEA(0.1g、1.28mmol)。生じたポリマーは、Mn(GPC)=25.5K、Mw=27.7k、PDI=1.08を有していた。Mn(NMR)=PS(15.6k)-b-PLA(6.3k)、VfPLA=0.27。
以下の試薬を使用したことを除き、例31と同じ手順を使用した:例12からのC2H4C6F13ペンダント基を有するヒドロキシル官能性PTMSS 0.05g(0.0067mmol)、ラクチド0.060g(0.412mmol)、DCM 1.10g、TU 29mg(0.078mmol)、M6TREN(約18mg、0.078mmol)、DCM(1ml)、アセチルクロライド(0.1g、0.988mmol)、及びTEA(0.1g、1.28mmol)。生じたポリマーは、Mn(GPC)=15.5k、Mw=16.9k、PDI=1.09を有していた。Mn(NMR)=PS(6.3k)-b-PLA(4.0k)、VfPLA=0.35。
以下の試薬を使用したことを除き、例31と同じ手順を使用した:例12からのC2H4C6F13ペンダント基を有するヒドロキシル官能性PTMSS 0.05g(0.0067mmol)、ラクチド0.060g(0.412mmol)、DCM 1.10g、TU 29mg(0.078mmol)、M6TREN(18mg、0.078mmol)、DCM(1ml)、アセチルクロライド(0.1g、0.988mmol)、及びTEA(0.1g、1.28mmol)。生じたポリマーは、Mn(GPC)=17.3k、Mw=19.1k、PDI=1.10を有していた。Mn(NMR)=PS(6.3k)-b-PLA(6.2k)、VfPLA=0.45。
磁気スターラーバーを備えた、炉で乾燥した4mlガラスバイアルに、例8からのCH2C8F17ペンダント基を有するヒドロキシル官能性ポリスチレン0.1g(0.0212mmol)、メチル5-メチル-2-オキソ-1,3-ジオキサン-5-カルボキシレート(MeCAR)0.24g(1.37mmol)及びDCM 1.80gを加えた。この反応混合物を、高分子開始剤及びMeCARがDCM中に完全に溶解するまで攪拌し、そうしたら直ぐにDBU(トルエン中10重量%の原液3.27mg、0.0212mmol)を加えた。この反応混合物を、グローブボックス中で40分間室温で攪拌した。40分後、この反応バイアルをグローブボックスから取り出しそしてDCM(1ml)、アセチルクロライド(0.1g、0.988mmol)及びTEA(0.1g、1.28mmol)を加えることによって反応を停止した。この反応を更に室温で2時間攪拌した。反応混合物をメタノール中に析出させることによって、生じたポリマーを単離した。真空下にメタノールを除去することによって生成物をフリット漏斗中に集め、そして生じた固形物をTHF中に再溶解して20重量%溶液を調製し、そしてメタノール中に再析出した。固形物をフリット漏斗中に集め、そして真空下に40℃で2時間乾燥して、生じた化合物を得た。この化合物をTHF中に溶解して20重量%溶液を調製し、そしてポリマーをメタノール:アセトニトリル(200ml、85:15v:v)中に析出した。析出した固形物及び溶媒を遠心分離チューブ中に集め、そして0℃で4000RPMで遠心分離し、その後、溶媒をデカントしそして固形物を真空炉中40℃で2時間乾燥することによって固形物を集めた。Mn(GPC)=13.0k、Mw=14.0k、PDI=1.07。Mn(NMR)=PS(4.70k)-b-PMeCAR(6.2K)、VfPMeCAR=0.51。
これらのポリマーは、例37と共に表8に要約した例37の一般的手順を用いて調製した。
以下の試薬を使用したことを除き、例37と同じ手順を使用した:例8からのCH2C8F17ペンダント基を有するヒドロキシル官能性ポリスチレン0.1g(0.0105mmol)、エチル5-メチル-2-オキソ-1,3-ジオキサン-5-カルボキシレート(EtCAR)0.22g(1.17mmol)、DCM 1.50g、DBU(トルエン中10重量%の原液 1.6mg、0.0105mmol)、DCM(0.5ml)、アセチルクロライド(0.1g、0.988mmol)及びTEA(0.1g、1.28mmol)。生じたポリマーは、Mn(GPC)=23.3k、Mw=26.7k、PDI=1.14を有していた。Mn(NMR)=PS(9.5k)-b-PEtCAR(11.1)、VfPEtCAR 約0.48。
以下の試薬を使用したことを除き、例37と同じ手順を使用した:例9からのCH2C8F17ペンダント基を有するヒドロキシル官能性ポリスチレン0.1g(0.0105mmol)、プロピル5-メチル-2-オキソ-1,3-ジオキサン-5-カルボキシレート(PCAR)0.34g(1.68mmol)、DCM 2.23g、DBU(トルエン中10重量%の原液 1.6mg、0.0105mmol)、DCM(0.5ml)、アセチルクロライド(0.1g、0.988mmol)及びTEA(0.1g、1.28mmol)。生じたポリマーは、Mn(GPC)=23.3k、Mv=25.7k、PDI=1.10を有していた。Mn(NMR)=PS(9.5k)-b-PPCAR(11.5)、VfPCAR 約0.49。
このポリマーは、表9に要約した例42の一般的手順を用いて調製した。
以下の試薬を使用したことを除き、例6と同じ手順を使用した:スチレン27.50g(0.266mol)、例3からのATRP開始剤1.20g(1.56mmol)、CuBr 0.225g(1.56mmol)、及びアニソール27.5g、PMDETA 0.271g(1.56mmol)。THF(100ml)を加えることによってこの最終の混合物を希釈し、そして銅触媒を除去するためにショートシリカゲルカラムに通した。生じた溶液を真空下に濃縮し、そしてTHFからメタノール中に一度析出させた。このポリマーを集めそしてTHF中に再溶解し、そしてメトキシパーフルオロブタン(HFE-7100)中に一度析出した。生じたポリマーを真空下に乾燥し、そしてTHF中に再溶解し、そしてメタノール中に再析出した。このポリマーをフリット漏斗中に集め、そして真空下に乾燥した。Mn=8.5k、Mw=9.2k、PDI=1.08。
以下の試薬を使用したことを除き、例31及び例31aと同じ手順を使用した:例45からのCH2C8F17ペンダント基を有するヒドロキシル官能性ポリスチレン0.15g(0.0176mmol)、D,L-ラクチド(LA)0.23g(1.58mmol)、DCM 2.1g、TU 32mg(0.088mmol)、M6TREN(20mg、0.088mmol)、DCM(1ml)、アセチルクロライド(0.1g、0.988mmol)、及びTEA(0.1g、1.28mmol)。生じたポリマーは、Mn(GPC)=19.9K、Mw=21.4k、PDI=1.07を有していた。Mn(NMR)=PS(8.5k)-b-PLA(9.2k)、VfPLA=0.48。
以下の試薬を使用したことを除き、例31と同じ手順を使用した:例45からのCH2C8F17ペンダント基を有するヒドロキシル官能性ポリスチレン0.25g(0.029mmol)、MeCAR 0.80g(4.60mmol)、DCM 6.50g、DBU(トルエン中10重量%の原液4.5mg、0.0294mmol)、DCM(1ml)、アセチルクロライド(0.1g、0.988mmol)、及びTEA(0.1g、1.28mmol)。このポリマーは、Mn(GPC)=17.2k、Mw=18.5k、PDI=1.07を有していた。Mn(NMR)=PS(8.5k)-b-PMeCAR(10.2K)、VfPMeCAR=0.49。
例48 単官能性パーフルオロアルカン置換DPE(C3H6C8F17-DPE)の合成
必要量のモノマーを、脱水剤の存在下にキャリブレートしたアンプル中に蒸留しそしてN2下に貯蔵した。液体を、アンプルを介してまたはステンレススチールカニューレを用いてN2下に反応器中に移した。アンプルを接続するためのサイドアーム、磁気スターラーバー、窒素/真空三方向隔膜アダプタを備えた乾燥500mL丸底反応器中に、200mLの無水テトラヒドロフランを加えた。この反応器の温度を、ドライアイス-アセトン浴を用いて-60℃に低下した。次いで、1mL(0.0014mol)のsec-ブチルリチウム(sec-BuLi)(1.4M)を反応器中に加えた。次いで、既知の量のスチレン(14.75mL)を、高速に攪拌しながらアンプルから反応器中に加えた。反応溶液は橙色に変化し、そして反応を10分間攪拌した。次いで、無水トルエン8ml中の例48のパーフルオロアルカン置換1,1’-ジフェニルエチレン(C3H6C8F17-DPE)1.2gをアンプルを介して反応器中に加えた。この反応混合物の橙色は暗い赤煉瓦色に変化した。これは、スチリルリチウム活性センターが、C3H6C8F17-DPE付加物形成に由来する非局在化カルバニオンに転化したことを示す。2分間の攪拌後、sec-BuLiの存在下に蒸留した2mLのエチレンオキシド(EO)を、アンプルを介して反応器中に添加し、そしてEOを加えると暗い赤煉瓦色が直ぐに消え、薄いピンク色となった。この反応を15分後に1mLの脱気したメタノールを用いて停止した。10%の水を含む過剰のメタノール(ポリマー溶液の四倍)中に析出させてポリマーを回収し、濾過し、そして真空下に55℃で12時間乾燥して、14.1gのPS(F)-OHを得た(収率98%)。
13.75mlのスチレンを使用しかつ他の試薬の濃度は全て同一に維持することによって、例50と類似の実験を行った。得られたポリマーは、PSキャリブレーション標準に対してMn,PS=9,700g/mol及びMw/Mn=1.05を有した。C3H6C8F17-DPEの分子量(656g/mol)を差し引くと、PSの分子量は9,000g/molである。
適当な量のモノマーを用いることにより例49のジC3H6C4F9-DPEを使用して上述した例53に類似して実験を行い、PS36.8K(F)2-b-PMMA38.3Kを得た。100Å、500Å、103Å、105Å及び106Åμ-ウルトラスチラゲルカラムを備えたゲル透過クロマトグラフィは、第一のPSブロックが、PSキャリブレーション標準に対してMn,PS(GPS)=37,500g/mol及びMw/Mn=1.06を有することを示した。C3H6C8F17-DPEの分子量(656g/mol)を差し引いた後に、PSの分子量は36,800g/molである。GPCからのジブロックコポリマー分子量はMn,PS-b-PMMA=57,700g/molであり、Mw/Mn=1.08である。このブロックコポリマーは、少量の低分子量のコブ(5.7%)を有していた。このジブロックコポリマーをシクロヘキサンを使用してソックスレー抽出手順を用いて精製してhPSを除去した。Mn,PS(GPC)ブロックに基づいた-OCH3プロトン及び芳香族プロトンのNMR強度によって計算したPMMAブロックの分子量はMn,PMMA(NMR)=38,300g/molである。
例C1.アニオン重合によって製造されたヒドロキシルポリスチレン高分子開始剤(Mn=6,200)の合成
必要量のモノマーを、脱水剤の存在下にキャリブレートしたアンプル中に蒸留しそしてN2下に貯蔵した。液体を、アンプルを介してまたはステンレススチールカニューレを用いてN2下に反応器中に移した。アンプルを接続するためのサイドアーム、磁気スターラーバー、窒素/真空三方向隔膜アダプタを備えた乾燥500mL丸底反応器中に、200mLの無水テトラヒドロフランを加えた。この反応器の温度を、ドライアイス-アセトン浴を用いて-60℃に低下した。次いで、2.6mL(0.0036mol)のsec-ブチルリチウム(sec-BuLi)(1.4M)を反応器に加えた。次いで、既知の量のスチレン(14.75mL)を、高速に攪拌しながらアンプルから反応器中に加えた。反応溶液は橙色に変化し、そして反応を10分間攪拌した。その後、sec-BuLiの存在下に蒸留したエチレンオキシド(EO)2mLをアンプルを介して反応器中に加えた。この反応を15分後に1mLの脱気したメタノールを用いて停止した。10%の水を含む過剰のメタノール(ポリマー溶液の4倍)中で析出してポリマーを回収し、濾過し、そして真空下に55℃で12時間乾燥して、Mn(GPC)=6,200g/mol及びMw/Mn=1.05を有するPS-OH14.1gを得た(収率98%)。
このポリマーは、例C1の方法に沿って製造した。Mn(GPC)=10000、PDI=1.05。
磁気スターラーバーを備えた炉乾燥した20mLの丸底フラスコに、例C1からのPS-OH(0.70g、0.113mmol、Mn=6200、PDI=1.02、n=57)、TMC(1.76g、17.25mmol)、及びDCM(2.94mL)を加えた。この反応混合物を、PS-OH高分子開始剤及びTMCが完全にDCM中に溶解するまで攪拌し、そうしたら直ぐに触媒としてジフェニルホスフェート(DPP、400mg、1.6mmol)を加えた。この反応混合物を、グローブボックス中で16時間室温(r.t.)で攪拌した。反応フラスコをグローブボックスから取り出し、そしてこれを氷水浴中に浸漬することによって0℃で冷却した。DCM(6mL)、TEA(0.7ml、02.72mmol)及びアセチルクロライド(0.25ml、3.52mmol)を加えることによって反応を停止した。この反応を更に室温で2時間攪拌した。反応混合物をメタノール中に析出させることによって、生じたポリマーを単離した。真空下にメタノールを除去することによって生成物をフリット漏斗中に集め、そして生じた固形物をTHF中に再溶解して20重量%溶液を調製し、そしてメタノール中に再析出した。固形物をフリット漏斗中に集め、そして真空下に40℃で2時間乾燥して、生じた化合物を得た。生じたポリマーをTHF中に溶解して20重量%溶液を生成し、そしてこのポリマーをメタノール:アセトニトリル(200mL、60:40v:v)中に析出した。析出した固形物及び溶媒を遠心分離チューブ中に集め、そして0℃で4000RPMで遠心分離し、その後、溶媒をデカントしそして固形物を真空炉中40℃で2時間乾燥することによって固形物を集めてポリマーを得た;Mn(GPC)=19,300、Mw=19,900、PDI=1.02;Mn(NMR)=PS(6.2k)-b-PTMC(8.4k)、n=57、m=82。
例Cに概要を示した手順に沿って、ジブロックコポリマーを、例C1のPS-OH高分子開始剤(0.30g、0.048mmol、Mn=6200、n=57)、TMC(0.296g、2.90mmol)、及びDPP(0.12g、0.483mmol)を用いて製造した。Mn(GPC)=10800、Mw=11200、PDI=1.03;Mn(NMR)=PS(6.2k)-b-PTMC(2.9k)、n=57、m=28。
磁気スターラーバーを備えた炉乾燥した4mLの丸底フラスコに、例C2からのPS-OH高分子開始剤(0.20g、0.02mmol、Mn=10000、PDI=1.05、n=96)、ラクチド(0.254g、1.76mmol)、及びDCM(2.00mL)を加えた。この反応混合物を、PS-OH高分子開始剤及びラクチドが完全にDCM中に溶解するまで攪拌し、そうしたら直ぐにM6TREN(23mg、0.1mmol)及びTU(37mg、0.1mmol)を加えた。この反応混合物を、グローブボックス中で1時間40分間、室温(r.t.)で攪拌した。この反応フラスコをグローブボックスから取り出し、そしてDCM(1mL)、TEA(0.1mL)及びアセチルクロライド(0.1ml)を加えることによって停止した。この反応を更に室温で2時間攪拌した。反応混合物をメタノール中に析出させることによって、生じたポリマーを単離した。真空下にメタノールを除去することによって生成物をフリット漏斗中に集め、そして生じた固形物をTHF中に再溶解して20重量%溶液を調製し、そしてメタノール中に再析出した。固形物をフリット漏斗中に集め、そして真空下に40℃で2時間乾燥して、生じた化合物を得た。Mn(GPC)=29,500、Mw=31,100、PDI=1.05;Mn(NMR)=PS(10k)-PLA(11.4k)、n=57、m=79。
例54の手順に沿って、比較用のPBCP参照品と同じモル量で、官能化されていない1,1-ジフェニルエチレンによって行った。得られたポリマーは、類似のMn,PS-b-PMMA=57,700g/mol及びMw/Mn=1.08を有する。
このポリマーは、例C1の方法に沿って製造した。Mn(GPC)=4200、PDI=1.05。
例C3に概要を示した手順に沿って、ジブロックポリマーを、例C7のPS-OH高分子開始剤(0.1g、0.0238mmol、Mn=4200、PDI=1.05、TMC(0.133g、1.31mmol)、DCM(0.4ml)及びDPP(60mg、0.238mmol))を用いて製造した。Mn(GPC)=13.7k、Mw=14.1k、PDI=1.02;Mn(NMR)=PS(4.2k)-b-PTMC(5.3k)。
スチレン、TMC及びGMA(STGH)をベースとする下層ランダムコポリマー。これらのランダムコポリマーは、名称に接頭語“G1”を有する。
x’/y’=50.5/3.5(P-1高分子開始剤のDP比)、
x’/(y’a’)=73/27(1H NMRによるG1-1のスチレン:TMCモル比)、
再配置してx’/y’=73a’/27、
置換して50.5/3.5=73a’/27、
それを解くとa’=5.33。
例56の一般的な手順に沿って、これらのポリマーを様々なスチレン:TMCモル比で高分子開始剤P-1(例55)を用いて調製した。G1-2~G1-11は、側鎖中のTMCの繰り返し単位の平均数であるa’の点でG1-1と異なる。結果を表10に纏める。
N3と称するポリ(スチレン-co-メチルメタクリレート-co-グリシジルメタクリレート)ランダムコポリマー(P(S-r-MMA-r-GMA))は、US8623458(特許文献1)の手順を用いて、74:24:2のモル供給比S:MMA:GMAでスチレン、メチルメタクリレート及びグリシジルメタクリレートの遊離基重合によって製造した。13C NMRによって決定した単離されたポリマー組成は、S:MMA:GMA58:40:2(モル比)であり、Mn=12100であった。
例67の一般的手順に沿って、これらのポリマーを製造した。結果を表11に纏める。
II-0.UL変性未パターン化基材の用意
例71~77.ランダムグラフトコポリマーG1-2、G1-3、G1-7、G1-8及びG1-10を用いた基材の作製
クリーンな未パターン化ケイ素基材上に薄いフィルム下層を調製するために以下の一般的な手順を使用した。ランダムグラフトコポリマー(95重量部)及びp-ニトロベンジル4-メチルベンゼンスルホネート(p-NBT、5重量部)をプロピレングリコールモノメチルエーテルアセテート(PGMEA、10,000重量部)中に溶解することによって、全乾燥固形物を基準に1.0重量%溶液を調製した。n-NBTは熱酸発生剤であり、そしてベーク(アニール)した時にケイ素ウェハ基材上にランダムグラフトコポリマーの薄いフィルムのグラフト化及び部分架橋を促進するように加えた。これらの溶液を0.2mmポリテトラフルオロエチレン(PTFE)フィルタに通し、その後、この溶液をケイ素ウェハ上に2000rpmのスピン速度でスピンコートした。薄いフィルムを形成した後、コーティングされたウェハを200℃で3分間ベークし、そして室温に冷却した。薄い初期ベークフィルム(下層)は、Nanospec Reflectometerで測定して20nmの厚さを有した。次いで、下層を、このコーティングされたウェハの最上面上にPGMEAをキャストすることによって溶剤リンスし、溶剤を30秒間、ウェハ上に盛った状態にし、そして処理されたウェハを2000rpmで30秒間スピン乾燥した。このリンスは、架橋されていないまたはウェハ表面にグラフトしていない過剰のランダムグラフトコポリマーを除去することを意図したものであった。下層の最終フィルム厚は、溶剤リンスの後に10nmであった。表12は、名称に“G1”接頭語を持つランダムコポリマーを用いて調製した下層フィルムUL-1~UL-7を纏める。
Nシリーズのポリマー(例67~70)を用いた下層基材を、以下に表13に示す様々なP(S-MMA-GMA)ランダムコポリマーを用いて生成した。固形P(S-MMA-GMA)材料及びp-NBT(パラーニトロベンジル4-メチルベンジルスルホネート)を95/5w/wの比率でPGMEA中に1.0重量%の固形物で溶解することによってコーティング液を調製した。p-NBTは熱酸発生剤であり、これを、薄いフィルムの形でベークした時にケイ素ウェハ基材上でのランダムコポリマーのグラフト及び部分的架橋を促進するために添加した。これらの溶液は、0.2マイクロメータPTFEフィルタに通した。次いで、生じた組成物を、ケイ素ウェハ上に3000rpmのスピン速度でスピンコートした。薄いフィルムを形成した後、ウェハを215℃で2分間ベークし、そして室温に冷却した。次いで、ベークされたウェハの最上面にPGMEAをキャストし、そしてこれを30秒間、ウェハ上に盛った状態にして溶媒リンスを行い、その後、3000rpmで30秒間スピン乾燥して、例78~81の下層を形成した。
20%PS含有P(S-r-MMA)下層材料は、PGMEA溶液(溶液コードAZEMBLY NLD-328J)の形でAZ Electronic Materials(サマービル NJ)から納品されたものである。この溶液は納品された状態のまま使用した。このポリマー溶液をケイ素ウェハ上に1500rpmにスピンコートし、次いで250℃で2分間ベークし、その後、溶剤リンスして下層を形成した。
例86aを除き、例82の一般的な手順を適用して、他のブラシ型のP(S-r-MMA)下層の基材を調製した。例86aでは、架橋型のP(S-r-MMA)下層材料(AZEMBLY NLD-175)をスピンコートし、そして例82と同じ条件でベークし、そしてベークされた状態のまま使用した。データを以下に表14に纏める。
ケイ素含有反射防止層を、ケイ素ウェハ上に1500rpmでSiArc液(Shin Etsu SHB A-940 L35)をスピンコートすることによって調製した。次いで、生じたフィルムを220℃で1分間ベークして、材料を架橋した。SiArcの最終のフィルムは、Nanospec Reflectometerによって測定して35nmであった。
例C7.例76のUL上での例C3のブロックコポリマーの自己組織化
例C3のBCP(PSブロックMn 6200、PTMCブロック Mn 8400)は、0.52のTMC体積分率を有する。このブロックコポリマーは、ラメラ形成タイプのブロックコポリマーである。BCPをPGMEA中に、溶液の全重量を基準にして1.2重量%の濃度で溶解することによって溶液を調製した。この溶液を0.2マイクロメータPTFEフィルタを用いて濾過し、そして例76の下層フィルムのそれぞれに2000rpmの速度でスピンコートした。BCPフィルム層を含む生じた複合フィルム層を次いで、140℃で5分間アニールし、そして即座に室温に冷却した。このBCPフィルムを、タッピングモードで稼働した1N/mバネ定数窒化ケイ素カンチレバーを使用してデジタルインスタルメンツ社製3100AFMを用いて原子間力顕微鏡(AFM)によって特徴付けした。スキャンサイズ及び速度は、それぞれ2μm×2μm(μm=マイクロメータまたはミクロン)エリア及び1Hzに設定した。
例71~90の下層基材上に例C4~C8のブロックコポリマーの複合フィルム層を形成するために、以下の例C7の一般的手順を使用した。結果を以下に表15に纏める。
例92a.例75の下層上での表面活性連結基を有するPS-b-PTMC(例21)の自己組織化
例21のBCP、すなわちCH2C8F17連結基を有するPS-b-PTMCの溶液を、BCPをPGMEA中に溶液の全重量を基準にして1.0重量%の濃度で溶解することによって調製した。この溶液を0.2マイクロメータPTFEフィルタを用いて濾過し、そして例75の下層フィルム上に1500rpmの速度でスピンコートした。BCPフィルム層を含む生じた複合フィルム層を次いで、140℃で5分間アニールし、そして即座に室温に冷却した。このBCPフィルを、タッピングモードで稼働した1N/mバネ定数窒化ケイ素カンチレバーを使用してデジタルインスタルメンツ社製3100AFMを用いて原子間力顕微鏡(AFM)によって特徴付けした。スキャンサイズ及び速度は、それぞれ2μm×2μm(μm=マイクロメータまたはミクロン)エリア及び1Hzに設定した。
ブロックコポリマーの溶液は、例92aに概要を示した一般的な手順を用いて調製した。これらの溶液を例71~91の下層上にスピンコートし、そして所望の温度でアニールし、そしてBCP形態の検証のためにAFMで特徴付けした。結果を以下に表16に纏める。「I/H」は、島/孔(望ましくない形態)を意味する。「部分⊥ラメラ」は、フィルムの約20%~70%未満の領域が垂直ラメラを含んでいたことを意味する(望ましくない状態)。「大部分⊥ラメラ」は、フィルムの70%~95%未満の領域が垂直ラメラを含んでいたことを意味する。「⊥ラメラ」は、フィルムの95%~100%の領域が垂直ラメラを含んでいたことを意味する(最も望ましい状態)。「フラット」は、フィルム中に認識できる構造がなかったことを意味する。
例105a~109h.表面活性連結基を持つシリンダ形成性ブロックコポリマーの自己組織化
ブロックコポリマーの溶液は、例92aに概要を示した一般的な手順を用いて調製した。これらの溶液を例71~91の下層上にスピンコートし、そして所望の温度でアニールし、そしてBCP形態の検証のためにAFMで特徴付けした。結果を以下に表17に纏める。「大部分IIシリンダ」は、フィルムの約20%~70%未満の領域が垂直シリンダを含んでいたことを意味する(望ましくない状態)。「大部分⊥シリンダ」は、フィルムの70%~95%未満の領域が垂直シリンダを含んでいたことを意味する。「⊥シリンダ」は、フィルムの95%~100%の領域が垂直シリンダを含んでいたことを意味する(最も望ましい状態)。
例111~113.例21及び23のJBCPのブレンド
二種以上のJBCPのブレンドは、垂直な形態を達成するための他の方法である。この方法も、自己組織化及び誘導自己組織化用途のためのBCP調合物の有効ピッチを微調整することを可能にする。例21及び23の1.5重量%溶液は、適当な固形JBCPをPGMEA中に溶解することによって調製した。これらの生じた溶液は、0.2マイクロメータPTFEフィルタに通した。例110~113の調合物を以下に表18に纏める。
例117.例22のJBCPと比較例C8とのブレンド
0.132gのPGMEA中に、例C8のPS-b-PTMC(4.2k-5.3k、表面活性連結基無し)0.010gを溶解した。この溶液を、例22のPS-b-PTMC(4.2k-b-5.7k、表面活性連結基CH2C8F17含有)の1.5%PGMEA溶液0.067gに加えた。この溶液を0.45μm孔PTFEメンブレンフィルタに通して濾過して、50/50(w/w)ブレンドの1.0%PGMEA溶液を得た。
例117の調合物を様々な下層上にスピンコートしそしてアニールして、相分離ドメインを形成した。アニールされた薄いフィルムをAFMによって特徴付けした。結果を以下に表20に纏める。
III-1. 表面活性連結基を持つブロックコポリマーのグラフォエピタキシ
グラフォエピタキシのためのガイドプリパターンは、トポグラフィ及び下層の両方を含む。次のJBCPコーティングに曝されるプリパターン中の下層は、JBCPドメインの垂直配向を支持するために使用される。ガイドプリパターン中のトポグラフィは、凹んだ領域中にJBCPの少なくとも大部分を閉じ込めるために使用した。トポグラフィの典型的な高さは、少なくとも、0.5Loよりも大きい(Loは、JBCPのドメインのピッチである)。トポグラフィは、様々なリソグラフィ法及びパターン転写法によって生成した。一般的に、このトポグラフィプリパターンは、JBCPの施与のために使用した溶媒及びアニール条件下に安定していた。
グラフォエピタキシは、二つのタイプのトポグラフィプリパターン、すなわちPR7210/G1-2プリパターン及び/またはPR3538/SiARCプリパターン上で行った。この際、様々なJBCPをスピンコート及びベークして、整列したドメインを生成した。これらのサンプルを裂きそしてCF4+H2プラズマに横断面を曝して、使用したJBCPからPTMCまたはPLAドメインを選択的に除去した。各々のプリパターンは以下のように調製した。
例119a:PR7210/ULプリパターンでの例21
例21の0.8%PGMEA溶液を、PR7210/G1-2基材の切り取り試片上に4000rpmでスピンコートした。このコーティングされた基材を170℃で5分間ベークして、トレンチ側壁に対して並行に整列した垂直に配向したラメラを生成した。図9a-1及び9a-2は、垂直エッチングの後のサンプルの平面及び断面SEM画像を示す。
例21の0.8%PGMEA溶液を、PR3538/SiARC基材の切り取り試片上に2000rpmでスピンコートした。このコーティングされた基材を170℃で5分間ベークして、トレンチ側壁に対して並行に整列した垂直に配向したラメラを生成した。
例31の0.8%PGMEA溶液を、PR7210/G1-2基材の切り取り試片上に2000rpmでスピンコートした。このコーティングされた基材を170℃で5分間ベークして、トレンチ側壁に対して並行に整列した垂直に配向したラメラを生成した。図9b-1及び9b-2は、垂直エッチングの後のサンプルの平面及び断面SEM画像を示す。
例20の0.8%PGMEA溶液を、PR7210/G1-2基材の切り取り試片上に4000rpmでスピンコートした。このコーティングされた基材を170℃で5分間ベークして、トレンチ側壁に対して並行に整列した垂直に配向したシリンダを生成した。
例24の0.8%PGMEA溶液を、PR3538/SiARC基材の切り取り試片上に4000rpmでスピンコートした。このコーティングされた基材を170℃で5分間ベークして、トレンチ側壁に対して並行に整列した垂直に配向したシリンダを生成した。図9c-1及び9c-2は、垂直エッチングの後のサンプルの平面及び断面SEM画像を示す。
JBCPをオーバーコーティングするためのガイドプリパターンは、トポグラフィ及び下層の両方を含む。次のJBCPコーティングに曝されるプリパターン中の下層は、JBCPドメインの垂直配向を支持するために使用した。ガイドプリパターン中のトポグラフィは、凹んだ領域中にJBCPの少なくとも一部を閉じ込めるために使用した。トポグラフィの典型的な高さは、少なくとも、0.7Loよりも大きい(Loは、JBCPのピッチである)。ガイドプリパターンのピッチはnLoであった(JBCPのピッチと比例)。典型的なBCPコーティング厚さは、ガイドプリパターン上のトポグラフィ図形の高さよりもかなり厚い。一般的に、このトポグラフィプリパターンは、JBCPの溶媒及びアニール条件下に安定していた。
JBCPのオーバーコーティングのためのトポグラフィガイドプリパターンは、フォトレジスト/下層/SiARCパターンのO2プラズマ処理によって形成した。ArFフォトレジスト(JSR ArF AIM7946JN-8)の60nm厚フィルムを、下層(AZ Electronic materials AZEMBLYTM NLD-089)/SiARC A940スタックの最上面にコーティングし、パターン様に露光し、次いで有機現像剤(2-ヘプタノン)を用いたネガトーンで現像してレジストトレンチパターンを生成した。次いで、プリパターンをO2プラズマによって15秒間処理して、パターン化されたレジストで覆われていないNLD-089層を除去しかつSiARC表面を酸化し、その後、3分間、200℃でベークして、レジスト及び下のNLD-089を含む残りのトレンチ壁を硬化した。図10aは、上記のプリパターンを示す。
ピッチがLoのラメラ形成性及びシリンダ形成性ブロックコポリマーの誘導自己組織化を、図10aに示すような酸化されたレジストライン及び酸化されたSiARC基材を含むトポグラフィプリパターン上にBCPの層をコーティング及びアニールすることによって行った。酸化されたレジストラインの高さは約15nmであり、そして有機ラインのピッチは84nm(約5Lo)である。典型的には、オーバーコーティングでは、トポグラフィプリパターン上のBCPフィルムの厚さは、トポグラフィの高さよりも厚かった。大部分のJBCPを、SiARC及びトポグラフィガイドライン上にコーティングし、そしてアニール後に、自己組織化した垂直に配向したBCPドメインの空間配置を、エッチングされたレジスト及び下層のトポグラフィ及び表面ケミストリによって誘導した。プラズマ処理した有機ライン/SiARC基材上に厚手のBCPをコーティング及びアニールした後に、オーバーコートされたサンプルを裂きそしてCF4+H2プラズマに断面暴露して、各々のBCPからPTMCドメインまたはPLAドメインを部分的に除去した。
例22の1%PGMEA溶液を、O2プラズマ処理した有機ライン/SiARCプリパターンの切り取り試片上に800rpmでスピンコートした。コーティングされた基材を周囲雰囲気中で170℃で10分間ベークして、下にある有機ラインに整列された垂直に配向したラメラを形成した。図10b-1及び10b-2は、垂直エッチングの後のサンプルの平面及び断面SEM画像を示す。
例31の1%PGMEA溶液を、O2プラズマ処理した有機ライン/SiARCプリパターンの切り取り試片上に800rpmでスピンコートした。コーティングされた基材を周囲雰囲気中で170℃で10分間ベークして、下にある有機ラインに整列された垂直に配向したラメラを形成した。図10c-1及び10c-2は、垂直エッチングの後のサンプルの平面及び断面SEM画像を示す。
例24の1%PGMEA溶液を、O2プラズマ処理した有機ライン/SiARCプリパターンの切り取り試片上に1500rpmでスピンコートした。コーティングされた基材を周囲雰囲気中で170℃で5分間ベークして垂直に配向したシリンダアレイを形成した。ここで、密充填列は、下にある有機ラインに整列している。図10dは、サンプルの平面SEM画像を示す。
ケミエピタキシは、JBCPの自己組織化をガイドするための化学的プリパターンを必要とする。化学的プリパターンは、異なる表面ケミストリ“湿潤及び中性”の二つの領域からなる。湿潤領域は一つのドメインによって選択的に湿潤され、そして中性領域は、両方のドメインの垂直な配向を支持する。この化学的プリパターンのピッチは、一つの湿潤領域から近接の湿潤領域までの距離によって定義され、そしてブロックコポリマーの繰り返す距離のピッチの整数倍の数である。湿潤領域及び中性領域のどちらも、DSAプロセスの溶媒及びプロセス条件に適合する材料から作られる。ピッチがLoのJBCPでは、化学的プリパターンのピッチはnLoである。化学的エピタキシプリパターンのトポグラフィは最小化され;中性領域と湿潤領域との高さの差異は0.5Lo未満である。JBCPコーティングの典型的な厚さは、化学的プリパターンの高さの差異(トポグラフィ)よりもかなり厚い。JBCPフィルムは、化学的プリパターン上にコーティングし、そしてJBCPドメインの一つは、選択的に湿潤領域を濡らし、そしてJBCPドメインの側面秩序化を生む。
ケモエピタキシを、二つのタイプのトポグラフィプリパターン、すなわちHSQ/SMMA及び/またはxPS/SMMAプリパターンで行った。この際、様々なJBCPをスピンコートしそしてベークして、整列したドメインを生成した。各々の化学的プリパターンは以下のように調製した。
例126a:(5×周波数増倍のための)HSQ/SMMA化学的プリパターン上での例21
例21の1重量%PGMEA溶液を、HSQ/SMMA化学的プリパターン上に1500rpmでコーティングし、そして170℃で10分間アニールして、整列したPS及びPTMCドメインを生成した。ピッチがLoのラメラ形成性JBCPのDSAを、SMMAブラシ型層の上にHSQラインを含む化学的プリパターン上にJBCPの層をコーティング及びアニールすることによって行った。JBCP層の典型的な厚さはおおよそ1Lo~1.5Loである。JBCPのPTMCドメインはHSQラインを濡らし、そして化学的プリパターン上に側面が整列したラメラパターンを形成する。図11aは、5×周波数増倍のための、約85nmのピッチ(約5Lo)を有するHSQ/SMMAプリパターンからのHSQラインに対する例21からの整列されたPS及びPTMCドメインのSEM平面図である。
例126aと同じプロセス条件に沿って、例21の1重量%PGMEA溶液を、HSQ/SMMA化学的プリパターン上にコーティング、アニールした。図11bは、6×周波数増倍のための、約100nmのピッチ(約6Lo)を有するHSQ/SMMAプリパターンからのHSQラインに対する例21からの整列されたPS及びPTMCドメインのSEM平面図である。
例31の1重量%PGMEA溶液を、xPS/PMMA化学的プリパターン(C)上に2000rpmでコーティングし、そして190℃で5分間アニールして、その後、PGMEAリンス及び3000rpmでの溶液の再コーティングを行った。次いで、このフィルムを190℃で5分間アニールして、整列したPS及びPLAドメインを生成した。図11cは、3×周波数増倍のための、約52nmのピッチ(約3Lo)を有するxPS/PMMAプリパターンからのxPSラインに対する例31からの整列されたPS及びPLAドメインのSEM平面図である。
例127aと同じプロセス条件に沿って、例31の1重量%PGMEA溶液を、xPS/PMMA化学的プリパターン(A)上に2000rpmでコーティングし、そして190℃で5分間アニールして、その後、PGMEAリンス、その後、溶液の再コーティングを行った。次いで、このフィルムを190℃で5分間アニールして、整列したPS及びPLAドメインを生成した。図11dは、5×周波数増倍のための、約85nmのピッチ(約5Lo)を有するxPS/PMMAプリパターンからのxPSラインに対する例31からの整列されたPS及びPLAドメインのSEM平面図である。
例46の1.2%w/w濾過済み溶液をxPS/SMMA化学的プリパターン(C)上に3000rpmでコーティングし、そしてこのサンプルを200℃で5分間ベークし、そして室温まで冷却した。図11eは、PS-b-PLAが、プリパターン方向に対して並行に整列した垂直に配向したラメラを形成し、3×のピッチ増倍を生んだことを示した。
例47の1.2%w/w溶液を、xPS/SMMA化学的プリパターン(C)上に3000rpm上にコーティングし、そしてこのサンプルを200℃で5分間ベークした。図11fは、このPS-b-PMeCARが、プリパターン方向に対して並行に整列した垂直に配向したラメラを形成し、3×のピッチ増倍を生んだことを示した。
例53の1%w/wPGMEA溶液をxPS/SMMA化学的プリパターン(B)上に3000rpmでコーティングし、そして250℃でN2下に5分間ベークした。ドライエッチングによってPMMAを除去しそして基材中にパターンを転写した後に、LER/LWR/SWRをSEMによって測定した。
同じプロセス条件によって、例C6の薄いフィルムを、xPS/SMMA化学的プリパターン(B)上に調製し、そしてLER/LWR/SWRの測定のために同じドライエッチング技術によって処理した。例53及び例C6の誘導自己組織化の性能を表21に纏めた。
1.
構造(1)を有する、連結基を持つブロックコポリマー。
Aはブロックポリマー鎖であり、
Bはブロックポリマー鎖であり、
ここでA及びBは、化学的に異なる共有結合した、相分離可能なポリマー鎖であり;
部分X(Y(Z)b)aは、表面活性ペンダント部分Y(Z)bを含む連結基であり、ここで;
aは1~4の整数であり、bは1~5の整数であり;
Xは、Aポリマーブロック、Bポリマーブロック及び部分Yの間のリンク基であり、
Yは、XとZとの間のリンク基または直接原子価結合であり;及び
Zは、フッ素含有部分、好ましくはフッ素基、フッ素含有線状炭化水素基、フッ素含有分枝状炭化水素基、フッ素含有環状炭化水素基、フッ素含有線状アルキルエーテル基、フッ素含有分枝状アルキルエーテル基、フッ素含有環状アルキルエーテル基及びこれらの混合物からなる群から選択されるフッ素含有部分;Si1~Si8シロキサン含有部分、好ましくは、Si1~Si8シロキサン、Si1~Si8シロキサンペンダント基を有する線状炭化水素部分、Si1~Si8シロキサンペンダント基を有する分枝状炭化水素部分、Si1~Si8シロキサンペンダント基を有する環状炭化水素部分からなる群から選択されるSi1~Si8シロキサン含有部分;カルボシラン類、カルボシランペンダント基を有する線状炭化水素部分、カルボシランペンダント基を有する分枝状炭化水素部分、カルボシランペンダント基を有する環状炭化水素部分;シラン類、シランペンダント基を有する線状炭化水素部分、シランペンダント基を有する分枝状炭化水素部分、シランペンダント基を有する環状炭化水素部分、及びこれらの混合物;または少なくとも18個の炭素を有する炭化水素部分、好ましくは、少なくとも18個の炭素を有する線状炭化水素基及び少なくとも18個の炭素を有する分枝状炭化水素からなる群から選択される少なくとも18個の炭素を有する炭化水素部分から独立して選択される部分であり、そして更に前記連結基X(Y(Z)b)aは、ブロックAの表面エネルギーよりも低くかつブロックBの表面エネルギーよりも低い表面エネルギーを有する。
2.
(i)ブロックAのポリマー鎖が、エチレン性不飽和の重合可能なモノマーから誘導される単位、または環状モノマーの開環重合(ROP)から誘導される単位を含み、及び
(ii)ブロックB中のポリマー鎖が、エチレン性不飽和の重合可能なモノマーから誘導される単位、または環状モノマーの開環重合(ROP)から誘導される単位を含み、及び更にポリマーブロックA及びBは化学的に異なっておりかつ相分離可能である、上記1に記載のブロックコポリマー。
3.
Zとしてのフルオロカーボン含有部分が、線状C1~C10フルオロアルキル基、C3~C10分枝状フルオロアルキル基、C4~C10環状フルオロアルキル基、アルキレンフルオロアルキル基(-(CH2)q(CF2)r-CF3)、CFH含有アルキレンフルオロアルキル基-(-CH2-)q(CHF)q2(CF2)r-CF3)、アルキレンフルオロエーテル-フルオロアルキル基-(-CH2-)q(-CF2-O-)s(-CF2CF2-O-)t(CF2)uCF3、-CHF含有アルキレンフルオロエーテル-フルオロアルキル基(-CH2-)q(CHF)q2(-CF2-O-)s(-CF2CF2-O-)t(CF2)uCF3、または構造(2)を有する部分から選択されるフッ素含有炭化水素基であり、
上記1または2に記載のブロックコポリマー。
4.
表面活性ペンダント部分-Y(Z)bが、
-C(=O)-O-(-CH2-)q(-CF2-)r-CF3、
-C(=O)-O-(-CH2-)q(-CF2-O-)s(-CF2CF2-O)t(CF2)uCF3、
構造(xx)を有する部分
上記1~3のいずれか一つに記載のブロックコポリマー。
5.
連結基を有するブロックコポリマーが構造(7)を有し、
R2’は水素、C1~C8アルキル基、またはC6~C20アリール基であり、
R3’及びR4’は、独立して、C1~C8アルキル基、水素、臭素、塩素、またはヨウ素であり、
xaは1~6の整数であり、
yaは2~16の整数であり、そしてw及びw’は独立して1~4の整数であり;
ブロックAは、ラクトン、エポキシドまたは環状カーボネートから誘導され、そして
ブロックBは、ビニルアリールモノマーから誘導され、ここでアリール基は、トリ(C1~C8アルキル)シリル基、トリ(C1~C8アルキル)シリル(C1~C8アルキレン)基、及びトリ(C1~C8アルキル)シリル基(C2~C8オキシアルキレン)基からなる群から選択されるケイ素含有部分で置換されており、更にここでブロックA及びBは相分離可能である]
あるいは、連結基を持つブロックコポリマーが構造(9)を有し、
ブロックAは、ラクトン、エポキシドまたは環状カーボネートから誘導され、そしてブロックBは、ビニルアリールモノマーから誘導され、ここでアリール基は、トリ(C1~C8アルキル)シリル基、トリ(C1~C8アルキル)シリル(C1~C8アルキレン)基、及びトリ(C1~C8アルキル)シリル基(C2~C8オキシアルキレン)基からなる群から選択されるケイ素含有部分で置換されており、更にここでブロックA及びBは相分離可能である]
あるいは、連結基を持つブロックコポリマーが構造(10)を有し、
あるいは、連結基を持つブロックコポリマーが構造(11)を有し、
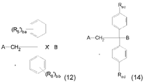
あるいは、連結基を持つブロックコポリマーが構造(12)を有し、
及び、更にブロックAはビニルアリールから誘導され、及びブロックBはラクトン、ラクタム、エポキシドまたは環状カーボネートから、またはX’が直接原子価結合である場合には、エチレン性不飽和モノマーから誘導され、更にブロックA及びBは相分離可能である]
あるいは、連結基を持つブロックコポリマーが構造(14)を有し、
あるいは、連結基を持つブロックコポリマーが構造(23)を有し、
上記1~4のいずれか一つに記載のブロックコポリマー。
6.
連結基を有するブロックコポリマーが構造(25)を有し、
あるいは、連結基を持つブロックコポリマーが構造(27)を有し、
あるいは、連結基を持つブロックコポリマーが構造(29)を有し、
あるいは、連結基を持つブロックコポリマーが構造(20)を有し、
上記1~4のいずれか一つに記載のブロックコポリマー。
7.
ブロックコポリマーが、構造(21a)及び(21b)を有するブロックコポリマーの混合物である、上記1~6のいずれか一つに記載のブロックコポリマー。
8.
連結部分X(Y(Z)b)aが、約30mNm-1未満の表面エネルギーを有する、上記1~7のいずれか一つに記載のブロックコポリマー。
9.
上記1~8のいずれか一つに記載のブロックコポリマー及び溶媒を含む、組成物。
10.
他のブロックコポリマーを更に含む、上記9に記載の組成物。
11.
ホモポリマーを更に含む、上記9または10に記載の組成物。
12.
周期性Loを有するブロックコポリマーの層を用いて未パターン化基材上で第一及び第二ブロックコポリマードメインを垂直に配向する方法であって、次のステップ:
a)上記9~11のいずれか一つに記載の組成物を用いて、連結基を有するブロックコポリマーのコーティング層を上記の未パターン化基材上に形成するステップ;及び
b)このブロックコポリマーの層をアニールして、上記未パターン化基材上に垂直に配向した、ゼロ以外の正の整数の第一及び第二のブロックコポリマードメインを生成するステップ、
を含む前記方法。
13.
周期性Loを有するブロックコポリマーから構成されるコーティングを用いて、第一のパターン化された基材上に第一及び第二のブロックコポリマードメインを垂直に配向し、ここでこの基材上のパターンのトポグラフィの高さが、Loの少なくとも0.7倍であり、及びこれらのドメインを前記パターンで整列させる方法であって、次のステップ:
a)上記9~11のいずれか一つに記載の組成物を用いて、連結基を有するブロックコポリマーのコーティング層を上記第一のトポグラフィ基材上に形成し、ここで、該ブロックコポリマーのコーティング層の平均厚さの厚さが、第一のトポグラフィ基材のトポグラフィの高さ未満であり、該ブロックコポリマー層は、トポグラフィによって側面が閉じ込められており;及び
b)該ブロックコポリマー層をアニールして、上記第一のパターン化された基材上に垂直に配向しておりかつ凹んだ領域内に閉じ込められた、第一及び第二のブロックコポリマードメインを生成するステップ、
を含む前記方法。
14.
トポグラフィパターンを有する第二のパターン化された基材上に周期性Loを持つ第一及び第二ブロックコポリマードメインを垂直に配向させ、ここで前記トポグラフィパターンは、Loの0.7倍超のトポグラフィの高さ及びピッチP1を有し、ピッチP1は、Loを乗じたゼロ以外の正の整数であり、及びこれらのドメインを前記パターンで整列させる方法であって、次のステップa)及びb):
a)上記9~11のいずれか一つに記載の組成物を用いて、表面活性連結基を有するブロックコポリマーのコーティング層を、上記の第二のパターン化基材上に形成し、ここで該ブロックコポリマーのコーティング層の厚さが、第二のパターン化基材のトポグラフィの高さ超であるステップ;及び
b)上記ブロックコポリマー層をアニールして、上記第二のパターン化基材上に垂直に配向したゼロ以外の正の整数の第一及び第二のブロックコポリマードメインを生成し、そしてこれらのドメインを第二のパターン化基材に整列させ、ここで垂直に配向されたドメインの総和がトポグラフィパターンのピッチP1以上であるステップ、
を含む前記方法。
15.
ピッチP2を有する表面化学的プリパターンを有する基材上に第一及び第二ブロックコポリマードメインを垂直に配向させ、ここでピッチP2はLoを乗じたゼロ以外の正の整数であり、及びこれらのドメインを整列させる方法であって、次のステップ:
a)上記9~11のいずれか一つに記載の組成物を用いて、表面活性連結基を有するブロックコポリマーのコーティング層を、表面化学的プリパターンを有する基材上に形成させるステップ;及び
b)前記ブロックコポリマー層をアニールして、ピッチP2を有する表面化学的プリパターンを有する基材で整列された、垂直に配向した第一及び第二のブロックコポリマードメインを生成するステップ、
を含む前記方法。
Claims (15)
- 次の構造(7)、構造(9)、構造(10)、構造(11)、構造(12)または構造(14)を有し、かつ3,000~500,000g/モルの範囲の重量平均分子量(Mw)、及び1,000~60,000g/モルの数平均分子量(Mn)、及び1.01~6の多分散性(Mw/Mn)(PD)を有する、連結基を持つブロックコポリマー。
構造(7):
[式中、
R2’は水素、C1~C8アルキル基、またはC6~C20アリール基であり、
R3’及びR4’は、独立して、C1~C8アルキル基、水素、臭素、塩素、またはヨウ素であり、
xaは1~6の整数であり、
yaは2~16の整数であり、そしてw及びw’は独立して1~4の整数であり;
ブロックAは、ラクトン、エポキシドまたは環状カーボネートから誘導され、そして
ブロックBは、ビニルアリールモノマーから誘導され、ここで前記ビニルアリールモノマー中のアリール基は、トリ(C1~C8アルキル)シリル基、トリ(C1~C8アルキル)シリル(C1~C8アルキレン)基、及びトリ(C1~C8アルキル)シリル(C2~C8オキシアルキレン)基からなる群から選択されるケイ素含有基で置換されており、更にここでブロックA及びBは相分離可能である]
構造(9):
[式中、R2’は水素、C1~C8アルキル基またはC6~C20アリール基であり、R3’及びR4’は独立してC1~C8アルキル基、水素、臭素、塩素またはヨウ素であり、xa及びxbは独立して1~6の整数であり;yaは2~16の整数であり;w及びw’は独立して1~4の整数であり、そしてb’は1~5の整数であり、
ブロックAは、ラクトン、エポキシドまたは環状カーボネートから誘導され、そしてブロックBは、ビニルアリールモノマーから誘導され、ここで前記ビニルアリールモノマー中のアリール基は、トリ(C1~C8アルキル)シリル基、トリ(C1~C8アルキル)シリル(C1~C8アルキレン)基、及びトリ(C1~C8アルキル)シリル(C2~C8オキシアルキレン)基からなる群から選択されるケイ素含有基で置換されており、更にここでブロックA及びBは相分離可能である]
構造(10):
[式中、R2’は、C1~C4アルキルから選択され、及びR3’及びR4’は、独立して、C1~C8アルキル基であり、及びRabは、-(-CH2-)q(-CF2-)r-CF3、-O-(-CH2-)q(-CF2-)r-CF3、-C(=O)-(-CH2-)q(-CF2-)r-CF3、-O-C(=O)-(-CH2-)q(-CF2-)r-CF3、-(-CH2-)q(-CF2-O-)s(-CF2CF2-O)t(CF2)uCF3、-O-(-CH2-)q(-CF2-O-)s(-CF2CF2-O)t(CF2)uCF3、-O-C(=O)-O-(-CH2-)q(-CF2-O-)s(-CF2CF2-O)t(CF2)uCF3及び-C(=O)-O-(-CH2-)q(-CF2-O-)s(-CF2CF2-O)t(CF2)uCF3からなる群から選択され、及び更にqは0~10の整数であり、rは1~10の整数であり、sは0~10の整数であり、tは1~10の整数であり、uは0と10との間の整数であり、及びxb、w及びw’は独立して1~5の整数であり、及び更にブロックBはビニルアリールから誘導され、及びブロックAはラクトン、ラクタム、エポキシドまたは環状カーボネートから誘導され、及び更にブロックA及びBは相分離可能である]
構造(11):
[式中、R2’はC1~C4アルキルから選択され、及びR3’及びR4’は独立してC1~C8アルキル基であり、及びRf1及びRf2は独立して-(-CH2-)q(-CF2-)r-CF3、-O-(-CH2-)q(-CF2-)r-CF3、または-(-CH2-)q(-CF2-O-)s(-CF2CF2-O)t(CF2)uCF3から選択され、更にここでqは0~10の整数であり、rは1~10の整数であり、sは0~10の整数であり、tは1~10の整数であり、uは0と10との間の整数であり、更にここでブロックBはビニルアリールから誘導され、及びブロックAは、ラクトン、ラクタム、エポキシドまたは環状カーボネートから誘導され、及び更にブロックA及びBは化学的に異なっておりかつ相分離可能である]
構造(12):
[式中、X’は直接原子価結合または基(13)である]
[式中、R5’は、-(-CH2-)q(-CF2-)r-CF3、-O-(-CH2-)q(-CF2-)r-CF3、-C(=O)-(-CH2-)q(-CF2-)r-CF3、-O-C(=O)-(-CH2-)q(-CF2-)r-CF3、-(-CH2-)q(-CF2-O-)s(-CF2CF2-O)t(CF2)uCF3、-O-(-CH2-)q(-CF2-O-)s(-CF2CF2-O)t(CF2)uCF3、-O-C(=O)-O-(-CH2-)q(-CF2-O-)s(-CF2CF2-O)t(CF2)uCF3または-C(=O)-O-(-CH2-)q(-CF2-O-)s(-CF2CF2-O)t(CF2)uCF3であり、及びR6’は、-(-CH2-)q(-CF2-)r-CF3、-O-(-CH2-)q(-CF2-)r-CF3、-C(=O)-(-CH2-)q(-CF2-)r-CF3、-O-C(=O)-(-CH2-)q(-CF2-)r-CF3、-(-CH2-)q(-CF2-O-)s(-CF2CF2-O)t(CF2)uCF3、-O-(-CH2-)q(-CF2-O-)s(-CF2CF2-O)t(CF2)uCF3、-O-C(=O)-O-(-CH2-)q(-CF2-O-)s(-CF2CF2-O)t(CF2)uCF3、-C(=O)-O-(-CH2-)q(-CF2-O-)s(-CF2CF2-O)t(CF2)uCF3または水素であり、R7’及びR9’は独立して水素及びC1~C4アルキルであり、R8’及びR10’は、独立して、水素、C1~C4アルキルまたはC2~C6アルキレンオキシアルキル基から選択され、X’’は、-O-または-S-であり、及びba及びbbは1~5の整数であり、qは0~10の整数であり、rは1~10の整数であり、sは0~10の整数であり、tは1~10の整数であり、uは0と10との間の整数であり、
及び、更にブロックAはビニルアリールから誘導され、及びブロックBはラクトン、ラクタム、エポキシドまたは環状カーボネートから、またはX’が直接原子価結合である場合には、エチレン性不飽和モノマーから誘導され、更にブロックA及びBは相分離可能である]
構造(14):
[式中、R ac は-O-(-CH2-)q(-CF2-)r-CF3であり、及びRadは-(-CH2-)q(-CF2-)r-CF3または水素であり、更にqは0~10の整数であり、及びrは1~10の整数であり、更にブロックAはビニルアリールから誘導され、及びブロックBは、ラクトン、ラクタム、エポキシド、環状カーボネートまたはエチレン性不飽和モノマーから誘導され、更にブロックA及びBは相分離可能である] - 次の構造(20)を有し、かつ3,000~500,000g/モルの範囲の重量平均分子量(Mw)、及び1,000~60,000g/モルの数平均分子量(Mn)、及び1.01~6の多分散性(Mw/Mn)(PD)を有する、連結基を持つブロックコポリマー。
[式中、E’及びE’’は独立して水素またはメチルから選択され、Raxは水素、C1~C3アルキル基、C3~C20トリアルキルシリル基、C3~C20トリアルキルゲルマニウム基、C3~C20トリアルキルスズ基、C3~C20トリアルキルチタン基、C2~C20アルキルカルボニル、C2~C20アルキルカルボニルオキシ、C1~C20アルコキシまたはC9~C36トリス(トリアルキルシリル)シリル基であり、Ravは、C1~C4アルキレンスペーサー基であり、及びRawは、-(-CH2-)q(-CF2-)r-CF3、-O-(-CH2-)q(-CF2-)r-CF3、-C(=O)-(-CH2-)q(-CF2-)r-CF3、-O-C(=O)-(-CH2-)q(-CF2-)r-CF3、-(-CH2-)q(-CF2-O-)s(-CF2CF2-O)t(CF2)uCF3、-O-(-CH2-)q(-CF2-O-)s(-CF2CF2-O)t(CF2)uCF3、-O-C(=O)-O-(-CH2-)q(-CF2-O-)s(-CF2CF2-O)t(CF2)uCF3または-C(=O)-O-(-CH2-)q(-CF2-O-)s(-CF2CF2-O)t(CF2)uCF3であり、更にqは0~10の整数であり、rは1~10の整数であり、sは0~10の整数であり、tは1~10の整数であり、uは0と10との間の整数であり、及びbaは1~5の整数であり、更にブロックAはビニルアリールから誘導され、及びブロックBはラクトン、ラクタム、エポキシドまたは環状カーボネートから誘導され、更にブロックA及びBは相分離可能である] - 連結基が、30mNm-1未満の表面エネルギーを有する、請求項1~3のいずれか一つに記載のブロックコポリマー。
- 請求項1~4のいずれか一つに記載のブロックコポリマー及び溶媒を含む、組成物。
- 他のブロックコポリマーを更に含み、該他のブロックコポリマーが、連結基は含まないが、エチレン性不飽和モノマーまたは環状モノマーのいずれかから誘導されるブロックを含み、上記エチレン性不飽和モノマーが、ビニルアリールモノマー、アルキルビニルモノマー、アルキルメタクリレートモノマー、またはアルキルアクリレートモノマーから選択され、上記環状モノマーが、エポキシド、ラクトン、ラクタムまたは環状カーボネートから選択される、請求項5に記載の組成物。
- エチレン性不飽和モノマーまたは環状モノマーから誘導されるホモポリマーを更に含み、前記エチレン性不飽和モノマーがビニルアリールモノマー、アルキルビニルモノマー、アルキルメタクリレートモノマーまたはアルキルアクリレートモノマーから選択され、前記環状モノマーが、エポキシド、ラクトン、ラクタムまたは環状カーボネートから選択される、請求項5または6に記載の組成物。
- 周期性Loを有するブロックコポリマーの層を用いて未パターン化基材上で第一及び第二ブロックコポリマードメインを垂直に配向する方法であって、次のステップ:
a)請求項5~7のいずれか一つに記載の組成物を用いて、連結基を有するブロックコポリマーのコーティング層を上記の未パターン化基材上に形成するステップ;及び
b)このブロックコポリマーの層をアニールして、上記未パターン化基材上に垂直に配向した、ゼロ以外の正の整数の第一及び第二のブロックコポリマードメインを生成するステップ、
を含む前記方法。 - 周期性Loを有するブロックコポリマーから構成されるコーティングを用いて、パターン化された基材上に第一及び第二のブロックコポリマードメインを垂直に配向し、ここでこの基材上のパターンのトポグラフィの高さが、Loの少なくとも0.7倍であり、及びこれらのドメインを前記パターンで整列させる方法であって、次のステップ:
a)請求項5~7のいずれか一つに記載の組成物を用いて、連結基を有するブロックコポリマーのコーティング層を上記トポグラフィ基材上に形成し、ここで、該ブロックコポリマーのコーティング層の平均厚さが、上記トポグラフィ基材のトポグラフィの高さ未満であり、該ブロックコポリマー層は、トポグラフィによって側面が閉じ込められており;及び
b)該ブロックコポリマー層をアニールして、上記パターン化された基材上に垂直に配向しておりかつ凹んだ領域内に閉じ込められた、第一及び第二のブロックコポリマードメインを生成するステップ、
を含む前記方法。 - トポグラフィパターンを有するパターン化された基材上に周期性Loを持つ第一及び第二ブロックコポリマードメインを垂直に配向させ、ここで前記トポグラフィパターンは、Loの0.7倍超のトポグラフィの高さ及びピッチP1を有し、ピッチP1は、Loを乗じたゼロ以外の正の整数であり、及びこれらのドメインを前記パターンで整列させる方法であって、次のステップa)及びb):
a)請求項5~7のいずれか一つに記載の組成物を用いて、表面活性連結基を有するブロックコポリマーのコーティング層を、上記のパターン化基材上に形成し、ここで該ブロックコポリマーのコーティング層の厚さが、上記パターン化基材のトポグラフィの高さ超であるステップ;及び
b)上記ブロックコポリマー層をアニールして、上記パターン化基材上に垂直に配向したゼロ以外の正の整数の第一及び第二のブロックコポリマードメインを生成し、そしてこれらのドメインをパターン化基材に整列させ、ここで垂直に配向されたドメインの総和がトポグラフィパターンのピッチP1以上であるステップ、
を含む前記方法。 - ピッチP2を有する表面化学的プリパターンを有する基材上に第一及び第二ブロックコポリマードメインを垂直に配向させ、ここでピッチP2はLoを乗じたゼロ以外の正の整数であり、及びこれらのドメインを整列させる方法であって、次のステップ:
a)請求項5~7のいずれか一つに記載の組成物を用いて、表面活性連結基を有するブロックコポリマーのコーティング層を、表面化学的プリパターンを有する基材上に形成させるステップ;及び
b)前記ブロックコポリマー層をアニールして、ピッチP2を有する表面化学的プリパターンを有する基材で整列された、垂直に配向した第一及び第二のブロックコポリマードメインを生成するステップ、
を含む前記方法。 - 第一及び第二のコポリマードメインを含む構造体において、前記第一及び第二のコポリマードメインは、周期性Loを有するブロックコポリマーのコーティング層から形成され、かつ未パターン化基材上に垂直に配向している、構造体であって、
前記ブロックコポリマーが請求項1~4のいずれか一つに記載のブロックコポリマーである、前記構造体。 - 第一及び第二のコポリマードメインを含む構造体において、前記第一及び第二のコポリマードメインは、周期性Loを有するブロックコポリマーのコーティング層から形成され、かつパターン化された基材上に垂直に配向されている、構造体であって、
・前記ブロックコポリマーが、請求項1~4のいずれか一つに記載のブロックコポリマーであり、
・前記基材上のパターンのトポグラフィの高さが、Loの少なくとも0.7倍であり、
・前記ドメインが前記パターンで整列されており、かつ前記トポグラフィ中の凹んだ領域内に閉じ込められており、及び
・前記ブロックコポリマーのコーティング層の平均厚さが、前記トポグラフィ基材のトポグラフィの高さ未満である、
前記構造体。 - ゼロ以外の正の整数の第一及び第二のコポリマードメインを含む構造体において、前記第一及び第二のコポリマードメインは、ブロックコポリマーのコーティング層から形成され、かつパターン化された基材上に垂直に配向されている、構造体であって、
・前記ブロックコポリマーが、請求項1~4のいずれか一つに記載のブロックコポリマーであり、
・前記ドメインが前記パターンで配列されており、かつLoの周期性を有し、
・前記パターン化された基材が、Loの0.7倍超のトポグラフィの高さ及びピッチP1を有するトポグラフィパターンを有し、ここでピッチP1は、Loを乗じたゼロ以外の正の整数であり、
・前記ブロックコポリマーのコーティング層の厚さが、前記パターン化された基材のトポグラフィの高さ超であり、及び
・垂直に配向したドメインの総和が前記トポグラフィパターンのピッチP1の高さ以上である、
前記構造体。 - 第一及び第二のコポリマードメインを含む構造体において、前記第一及び第二のコポリマーブロックは、ブロックコポリマーのコーティング層から形成され、かつ表面化学的プリパターンを持つ基材上に垂直に配向されており、かつ前記表面化学的プリパターンは、Loを乗じたゼロ以外の正の整数であるピッチP2を有する、構造体であって、
・前記ブロックコポリマーは、請求項1~4のいずれか一つに記載のブロックコポリマーであり、及び
・前記第一及び第二のドメインは、ピッチP2を有する表面化学的プリパターンを有する前記基材で整列されている、
前記構造体。
Applications Claiming Priority (3)
| Application Number | Priority Date | Filing Date | Title |
|---|---|---|---|
| US14/628,002 | 2015-02-20 | ||
| US14/628,002 US10259907B2 (en) | 2015-02-20 | 2015-02-20 | Block copolymers with surface-active junction groups, compositions and processes thereof |
| JP2017543930A JP6978318B2 (ja) | 2015-02-20 | 2016-02-18 | 表面活性連結基を有するブロックコポリマー、組成物及びそれの方法 |
Related Parent Applications (1)
| Application Number | Title | Priority Date | Filing Date |
|---|---|---|---|
| JP2017543930A Division JP6978318B2 (ja) | 2015-02-20 | 2016-02-18 | 表面活性連結基を有するブロックコポリマー、組成物及びそれの方法 |
Publications (3)
| Publication Number | Publication Date |
|---|---|
| JP2021130821A JP2021130821A (ja) | 2021-09-09 |
| JP2021130821A5 JP2021130821A5 (ja) | 2021-10-21 |
| JP7089618B2 true JP7089618B2 (ja) | 2022-06-22 |
Family
ID=55443232
Family Applications (2)
| Application Number | Title | Priority Date | Filing Date |
|---|---|---|---|
| JP2017543930A Active JP6978318B2 (ja) | 2015-02-20 | 2016-02-18 | 表面活性連結基を有するブロックコポリマー、組成物及びそれの方法 |
| JP2021076132A Active JP7089618B2 (ja) | 2015-02-20 | 2021-04-28 | 表面活性連結基を有するブロックコポリマー、組成物及びそれの方法 |
Family Applications Before (1)
| Application Number | Title | Priority Date | Filing Date |
|---|---|---|---|
| JP2017543930A Active JP6978318B2 (ja) | 2015-02-20 | 2016-02-18 | 表面活性連結基を有するブロックコポリマー、組成物及びそれの方法 |
Country Status (9)
| Country | Link |
|---|---|
| US (1) | US10259907B2 (ja) |
| EP (1) | EP3259292B1 (ja) |
| JP (2) | JP6978318B2 (ja) |
| KR (1) | KR102327569B1 (ja) |
| CN (1) | CN107257813B (ja) |
| IL (1) | IL253371A0 (ja) |
| SG (1) | SG11201705648TA (ja) |
| TW (1) | TWI713494B (ja) |
| WO (1) | WO2016131900A1 (ja) |
Families Citing this family (18)
| Publication number | Priority date | Publication date | Assignee | Title |
|---|---|---|---|---|
| JP6176426B2 (ja) * | 2015-07-23 | 2017-08-09 | Dic株式会社 | 含フッ素化合物、リビング重合開始剤、含フッ素重合体、含フッ素重合体の製造方法及びレジスト組成物 |
| US9982097B2 (en) * | 2016-02-11 | 2018-05-29 | International Business Machines Corporation | Thin film self assembly of topcoat-free silicon-containing diblock copolymers |
| TW201800434A (zh) * | 2016-02-22 | 2018-01-01 | Az電子材料(盧森堡)股份有限公司 | 具有線性表面活性接合基團之嵌段共聚物及其組合物與製法 |
| US9768059B1 (en) * | 2016-04-07 | 2017-09-19 | International Business Machines Corporation | High-chi block copolymers for interconnect structures by directed self-assembly |
| JP2018082033A (ja) | 2016-11-16 | 2018-05-24 | 東芝メモリ株式会社 | パターン形成方法 |
| WO2018112121A1 (en) * | 2016-12-14 | 2018-06-21 | Brewer Science Inc. | High-chi block copolymers for directed self-assembly |
| CN108227412A (zh) * | 2016-12-15 | 2018-06-29 | Imec 非营利协会 | 光刻掩模层 |
| US10082736B2 (en) * | 2017-01-13 | 2018-09-25 | International Business Machines Corporation | Approach to lowering extreme ultraviolet exposure dose for inorganic hardmasks for extreme ultraviolet patterning |
| TWI805617B (zh) | 2017-09-15 | 2023-06-21 | 南韓商Lg化學股份有限公司 | 層壓板 |
| JP2019099749A (ja) | 2017-12-06 | 2019-06-24 | 東芝メモリ株式会社 | パターン形成方法、ブロックコポリマー、及びパターン形成材料 |
| US10656527B2 (en) * | 2017-12-21 | 2020-05-19 | International Business Machines Corporation | Patterning material film stack with hard mask layer configured to support selective deposition on patterned resist layer |
| WO2019131953A1 (ja) * | 2017-12-27 | 2019-07-04 | Jsr株式会社 | パターン形成方法及び感放射線性組成物 |
| KR102136470B1 (ko) * | 2018-12-24 | 2020-07-22 | (주)서영 | 기판과 평행방향으로 자기조립된 실린더 블록공중합체를 이용한 대면적 나노패턴 제조 방법 |
| WO2020179918A1 (ja) * | 2019-03-06 | 2020-09-10 | Jsr株式会社 | 基板の製造方法及びブロック共重合体 |
| FR3105786A1 (fr) * | 2019-12-31 | 2021-07-02 | Arkema France | Procédé de nanostructuration d’un substrat |
| KR20230119186A (ko) * | 2020-12-17 | 2023-08-16 | 메르크 파텐트 게엠베하 | 지향성 자기 조립을 위한 교호 공중합체 세그먼트로이루어진 조정 가능한 하이 카이 디블록 공중합체 및 그의 적용 |
| US20240247093A1 (en) * | 2021-04-23 | 2024-07-25 | Merck Patent Gmbh | Multi-pitch tolerable block copolymers with enhanced kinetics for directed self-assembly applications |
| KR20240064273A (ko) * | 2022-11-04 | 2024-05-13 | 주식회사 엘지화학 | 불소계 화합물, 광중합성 조성물, 홀로그램 기록 매체, 이의 제조 방법 및 이를 포함하는 광학 소자 |
Citations (4)
| Publication number | Priority date | Publication date | Assignee | Title |
|---|---|---|---|---|
| JP2014531615A (ja) | 2011-09-06 | 2014-11-27 | コーネル ユニバーシティー | ブロックコポリマー及び該ブロックコポリマーを用いたリソグラフィーパターニング |
| US20140377465A1 (en) | 2013-06-24 | 2014-12-25 | Rohm And Haas Electronic Materials Llc | Neutral layer polymers, methods of manufacture thereof and articles comprising the same |
| JP2015007233A (ja) | 2013-06-24 | 2015-01-15 | ローム・アンド・ハース・エレクトロニック・マテリアルズ,エル.エル.シー. | 中立層ポリマー、その製造の方法、およびそれを含む物品 |
| US20160237307A1 (en) | 2015-02-16 | 2016-08-18 | International Business Machines Corporation | Fluoro-alcohol additives for orientation control of block copolymers |
Family Cites Families (27)
| Publication number | Priority date | Publication date | Assignee | Title |
|---|---|---|---|---|
| US5187244A (en) * | 1988-07-22 | 1993-02-16 | Mitsubishi Rayon Co., Ltd. | Preparation process of block copolymers and resulting block copolymers |
| WO1993006184A1 (en) | 1991-09-23 | 1993-04-01 | Minnesota Mining And Manufacturing Company | PRESSURE SENSITIVE ADHESIVE COMPOSITION WHICH IS REPULPABLE UNDER ACIDIC pH CONDITIONS |
| US5622764A (en) | 1995-06-07 | 1997-04-22 | Minnesota Mining And Manufacturing Company | Sterilization indicators and methods |
| JPH11322869A (ja) * | 1998-05-19 | 1999-11-26 | Jsr Corp | ブロック共重合体の製造方法 |
| NO990119D0 (no) | 1999-01-12 | 1999-01-12 | Jotun As | Blokk-kopolymerer med blokker med perfluorerte sidekjeder, og fremgangsmÕte for fremstilling derav |
| US8133534B2 (en) | 2004-11-22 | 2012-03-13 | Wisconsin Alumni Research Foundation | Methods and compositions for forming patterns with isolated or discrete features using block copolymer materials |
| US8080615B2 (en) | 2007-06-19 | 2011-12-20 | Micron Technology, Inc. | Crosslinkable graft polymer non-preferentially wetted by polystyrene and polyethylene oxide |
| US20090092803A1 (en) | 2007-09-27 | 2009-04-09 | Massachusetts Institute Of Technology | Self-assembly technique applicable to large areas and nanofabrication |
| US7763319B2 (en) | 2008-01-11 | 2010-07-27 | International Business Machines Corporation | Method of controlling orientation of domains in block copolymer films |
| US7989026B2 (en) | 2008-01-12 | 2011-08-02 | International Business Machines Corporation | Method of use of epoxy-containing cycloaliphatic acrylic polymers as orientation control layers for block copolymer thin films |
| US8999492B2 (en) * | 2008-02-05 | 2015-04-07 | Micron Technology, Inc. | Method to produce nanometer-sized features with directed assembly of block copolymers |
| US8425982B2 (en) | 2008-03-21 | 2013-04-23 | Micron Technology, Inc. | Methods of improving long range order in self-assembly of block copolymer films with ionic liquids |
| US8119017B2 (en) | 2008-06-17 | 2012-02-21 | Hitachi Global Storage Technologies Netherlands B.V. | Method using block copolymers for making a master mold with high bit-aspect-ratio for nanoimprinting patterned magnetic recording disks |
| WO2011030766A1 (ja) * | 2009-09-10 | 2011-03-17 | 国立大学法人群馬大学 | ポリ乳酸ステレオコンプレックス結晶の製造方法、ポリ乳酸、その成形体、合成繊維、多孔体およびイオン伝導体 |
| US8623458B2 (en) | 2009-12-18 | 2014-01-07 | International Business Machines Corporation | Methods of directed self-assembly, and layered structures formed therefrom |
| WO2012031818A2 (en) | 2010-09-09 | 2012-03-15 | Asml Netherlands B.V. | Lithography using self-assembled polymers |
| US9299381B2 (en) | 2011-02-07 | 2016-03-29 | Wisconsin Alumni Research Foundation | Solvent annealing block copolymers on patterned substrates |
| US8642086B2 (en) | 2011-03-31 | 2014-02-04 | International Business Machines Corporation | Antimicrobial compositions, methods of preparation thereof, and uses thereof |
| KR101545279B1 (ko) * | 2011-04-22 | 2015-08-20 | 주식회사 엘지화학 | 신규한 디블록공중합체, 이의 제조 방법 및 이를 사용한 나노 패턴 형성 방법 |
| WO2013010730A1 (en) | 2011-07-18 | 2013-01-24 | Asml Netherlands B.V. | Method for providing a template for a self-assemblable polymer for use in device lithography |
| NL2010004A (en) | 2012-01-13 | 2013-07-16 | Asml Netherlands Bv | Self-assemblable polymer and methods for use in lithography. |
| US9314819B2 (en) | 2012-02-10 | 2016-04-19 | Board Of Regents, The University Of Texas System | Anhydride copolymer top coats for orientation control of thin film block copolymers |
| JP6228932B2 (ja) | 2012-02-10 | 2017-11-08 | ボード・オブ・リージエンツ,ザ・ユニバーシテイ・オブ・テキサス・システム | ナノリソグラフィのためのポリ乳酸/ケイ素含有ブロックコポリマー |
| CN104159657B (zh) * | 2012-02-21 | 2017-05-10 | 陶氏环球技术有限责任公司 | 复合膜 |
| US9127113B2 (en) | 2012-05-16 | 2015-09-08 | Rohm And Haas Electronic Materials Llc | Polystyrene-polyacrylate block copolymers, methods of manufacture thereof and articles comprising the same |
| US9012545B2 (en) | 2012-08-31 | 2015-04-21 | Rohm And Haas Electronic Materials Llc | Composition and method for preparing pattern on a substrate |
| US9802400B2 (en) | 2013-06-24 | 2017-10-31 | Dow Global Technologies Llc | Orientation control layer formed on a free top surface of a first block copolymer from a mixture of first and second block copolymers |
-
2015
- 2015-02-20 US US14/628,002 patent/US10259907B2/en active Active
-
2016
- 2016-02-18 CN CN201680010655.4A patent/CN107257813B/zh active Active
- 2016-02-18 SG SG11201705648TA patent/SG11201705648TA/en unknown
- 2016-02-18 WO PCT/EP2016/053415 patent/WO2016131900A1/en not_active Ceased
- 2016-02-18 EP EP16706819.6A patent/EP3259292B1/en active Active
- 2016-02-18 JP JP2017543930A patent/JP6978318B2/ja active Active
- 2016-02-18 KR KR1020177026238A patent/KR102327569B1/ko active Active
- 2016-02-19 TW TW105104994A patent/TWI713494B/zh active
-
2017
- 2017-07-09 IL IL253371A patent/IL253371A0/en unknown
-
2021
- 2021-04-28 JP JP2021076132A patent/JP7089618B2/ja active Active
Patent Citations (6)
| Publication number | Priority date | Publication date | Assignee | Title |
|---|---|---|---|---|
| JP2014531615A (ja) | 2011-09-06 | 2014-11-27 | コーネル ユニバーシティー | ブロックコポリマー及び該ブロックコポリマーを用いたリソグラフィーパターニング |
| US20140370442A1 (en) | 2011-09-06 | 2014-12-18 | Cornell University | Block copolymers and lithographic patterning using same |
| US20140377465A1 (en) | 2013-06-24 | 2014-12-25 | Rohm And Haas Electronic Materials Llc | Neutral layer polymers, methods of manufacture thereof and articles comprising the same |
| JP2015007233A (ja) | 2013-06-24 | 2015-01-15 | ローム・アンド・ハース・エレクトロニック・マテリアルズ,エル.エル.シー. | 中立層ポリマー、その製造の方法、およびそれを含む物品 |
| US20160237307A1 (en) | 2015-02-16 | 2016-08-18 | International Business Machines Corporation | Fluoro-alcohol additives for orientation control of block copolymers |
| JP2018511660A (ja) | 2015-02-16 | 2018-04-26 | インターナショナル・ビジネス・マシーンズ・コーポレーションInternational Business Machines Corporation | ブロック・コポリマの配向制御用組成物 |
Also Published As
| Publication number | Publication date |
|---|---|
| JP6978318B2 (ja) | 2021-12-08 |
| SG11201705648TA (en) | 2017-08-30 |
| JP2018507301A (ja) | 2018-03-15 |
| IL253371A0 (en) | 2017-09-28 |
| CN107257813B (zh) | 2020-08-21 |
| WO2016131900A1 (en) | 2016-08-25 |
| CN107257813A (zh) | 2017-10-17 |
| US10259907B2 (en) | 2019-04-16 |
| JP2021130821A (ja) | 2021-09-09 |
| EP3259292B1 (en) | 2020-04-08 |
| US20160244557A1 (en) | 2016-08-25 |
| KR20170140171A (ko) | 2017-12-20 |
| EP3259292A1 (en) | 2017-12-27 |
| TWI713494B (zh) | 2020-12-21 |
| KR102327569B1 (ko) | 2021-11-17 |
| TW201638125A (zh) | 2016-11-01 |
Similar Documents
| Publication | Publication Date | Title |
|---|---|---|
| JP7089618B2 (ja) | 表面活性連結基を有するブロックコポリマー、組成物及びそれの方法 | |
| EP2859023B1 (en) | Neutral layer polymer composition for directed self assembly and processes thereof | |
| US9556353B2 (en) | Orientation control materials for block copolymers used in directed self-assembly applications | |
| GB2547122B (en) | Fluoro-alcohol additives for orientation control of block copolymers | |
| US10066040B2 (en) | Additives for orientation control of block copolymers | |
| TWI832955B (zh) | 在低玻璃轉移溫度(Tg)寡聚物存在下用於形成圖案的增強定向自組裝 | |
| TW202136330A (zh) | 非硫醇類基於氮之疏水性高分子刷材料及其用於基板表面修飾之用途 | |
| EP3858872B1 (en) | Compositions and processes for self-assembly of block copolymers | |
| US20240002571A1 (en) | Tunable high-chi diblock copolymers consisting of alternating copolymer segments for directed self-assembly and application thereof | |
| TW201800434A (zh) | 具有線性表面活性接合基團之嵌段共聚物及其組合物與製法 |
Legal Events
| Date | Code | Title | Description |
|---|---|---|---|
| A521 | Request for written amendment filed |
Free format text: JAPANESE INTERMEDIATE CODE: A523 Effective date: 20210527 |
|
| A621 | Written request for application examination |
Free format text: JAPANESE INTERMEDIATE CODE: A621 Effective date: 20210527 |
|
| A521 | Request for written amendment filed |
Free format text: JAPANESE INTERMEDIATE CODE: A523 Effective date: 20210806 |
|
| A977 | Report on retrieval |
Free format text: JAPANESE INTERMEDIATE CODE: A971007 Effective date: 20220525 |
|
| TRDD | Decision of grant or rejection written | ||
| A01 | Written decision to grant a patent or to grant a registration (utility model) |
Free format text: JAPANESE INTERMEDIATE CODE: A01 Effective date: 20220601 |
|
| A61 | First payment of annual fees (during grant procedure) |
Free format text: JAPANESE INTERMEDIATE CODE: A61 Effective date: 20220610 |
|
| R150 | Certificate of patent or registration of utility model |
Ref document number: 7089618 Country of ref document: JP Free format text: JAPANESE INTERMEDIATE CODE: R150 |
|
| R250 | Receipt of annual fees |
Free format text: JAPANESE INTERMEDIATE CODE: R250 |

























































































