JP4839552B2 - 誘導電動機の制御方法 - Google Patents
誘導電動機の制御方法 Download PDFInfo
- Publication number
- JP4839552B2 JP4839552B2 JP2001279609A JP2001279609A JP4839552B2 JP 4839552 B2 JP4839552 B2 JP 4839552B2 JP 2001279609 A JP2001279609 A JP 2001279609A JP 2001279609 A JP2001279609 A JP 2001279609A JP 4839552 B2 JP4839552 B2 JP 4839552B2
- Authority
- JP
- Japan
- Prior art keywords
- induction motor
- magnetic flux
- value
- calculation value
- inverter
- Prior art date
- Legal status (The legal status is an assumption and is not a legal conclusion. Google has not performed a legal analysis and makes no representation as to the accuracy of the status listed.)
- Expired - Lifetime
Links
Images
Landscapes
- Control Of Ac Motors In General (AREA)
Description
【発明の属する技術分野】
この発明は、可変電圧可変周波数インバータを用い誘導電動機の二次磁束を補正するような該インバータの出力電圧を発生しつつ、所謂、速度センサレスで該電動機を可変速駆動する誘導電動機の制御方法に関する。
【0002】
【従来の技術】
この種の誘導電動機の従来の制御方法としては、例えば特開昭50−121724号公報に開示されているように、可変電圧可変周波数インバータ(以下、単にインバータとも称する)から誘導電動機に給電される無効電力に基づいて該電動機の二次磁束演算値を求め、この磁束演算値が該電動機の二次磁束の定格値になるように前記インバータの出力電圧を補正して、該インバータで駆動される誘導電動機の可変速特性を改善することが行われていた。
【0003】
【発明が解決しようとする課題】
上述の従来の誘導電動機の制御方法では、誘導電動機の二次磁束の補正が行われているが該電動機のすべりに対する補償が行われておらず、その結果、該電動機の負荷が変動すると、前記電動機の回転速度もすべり分だけ変動するという難点があった。
【0004】
この発明の目的は、上記問題点を解決する誘導電動機の制御方法を提供することにある。
【0005】
【課題を解決するための手段】
この第1の発明は、可変電圧可変周波数インバータを用い誘導電動機の二次磁束を補正するような該インバータの出力電圧を発生しつつ、該電動機を可変速駆動する誘導電動機の制御方法において、
前記可変電圧可変周波数インバータから前記誘導電動機への出力電流と、該インバータから該電動機への出力電圧又は該出力電圧を発生させるための該インバータへの出力電圧指令値とに基づいて該電動機の二次磁束演算値とトルク電流演算値とをそれぞれ導出し、前記二次磁束演算値と二次磁束指令値との偏差を入力とする磁束調節器により前記偏差を零にする一次電圧補正値を求め、この一次電圧補正値を前記電圧指令値に加算して電圧指令値を補正するとともに、前記トルク電流演算値によりすべり周波数演算値を求め、すべり周波数演算値により前記誘導電動機への周波数指令を補正することを特徴とする。
【0006】
第2の発明は前記第1の発明の誘導電動機の制御方法において、
前記誘導電動機の二次磁束演算値とトルク電流演算値とをそれぞれ導出する際には、前記誘導電動機の電気定数としての励磁インダクタンスと漏れインダクタンスとを用いることを特徴とする。
【0007】
また、第3の発明は前記誘導電動機の制御方法において、
前記可変電圧可変周波数インバータから前記誘導電動機への出力電流と、該インバータから該電動機への出力電圧又は該出力電圧を発生させるための該インバータへの出力電圧指令値とに基づいて該電動機の二次磁束演算値と軸トルク演算値とをそれぞれ導出し、前記二次磁束演算値と二次磁束指令値との偏差を入力とする磁束調節器により前記偏差を零にする一次電圧補正値を求め、この一次電圧補正値を前記電圧指令値に加算して電圧指令値を補正するとともに、前記軸トルク演算値によりすべり周波数演算値を求め、この求めたすべり周波数演算値により前記誘導電動機への周波数指令を補正することを特徴とする。
【0008】
第4の発明は前記第3の発明の誘導電動機の制御方法において、
前記誘導電動機の二次磁束演算値を導出する際には該電動機の電気定数としての励磁インダクタンスと漏れインダクタンスとを用い、前記誘導電動機の軸トルク演算値を導出する際には該電動機の電気定数としての一次抵抗値を用いることを特徴とする。
【0009】
この発明によれば、可変電圧可変周波数インバータを介して誘導電動機の二次磁束を補正しつつ該電動機を可変速度駆動するときに、後述の如き該電動機のすべり補償機能を付加することにより、該インバータで駆動される誘導電動機の可変速特性をより改善することができる。
【0010】
【発明の実施の形態】
図1は、この発明の第1の実施の形態を示す誘導電動機の制御装置の回路構成図である。
【0011】
図1において、1は後述の制御装置10からの各相の電圧指令vu *,vv *,vw *(交流量)をPWM演算して内蔵するインバータ主回路を形成するそれぞれの半導体スイッチへのオン,オフ駆動信号に変換し、このオン,オフ駆動信号に基づき前記インバータ主回路から三相の出力電圧を発生するインバータ、2はインバータ1から給電される誘導電動機、3はインバータ1から誘導電動機2に流れる各相の電流iu,iv,iwを検出する電流検出器、10はインバータ1を介した誘導電動機2を可変速制御する制御装置である。
【0012】
この制御装置10には磁束指令演算器11と、乗算演算器12と、加算演算器13,14と、電圧指令演算器15と、積分演算器16と、ベクトル回転器17と、磁束・トルク電流演算器18と、加算演算器19と、磁束調節器20と、すべり演算器21とを備えている。
【0013】
図1に示した制御装置10において、先ず、磁束指令演算器11は外部から指令される角周波数指令ω*を誘導電動機2の二次磁束指令φ2 *に変換する演算を行うが、図示の如く角周波数指令ω*が誘導電動機2の定格角周波数までは一定値の二次磁束指令φ2 *を出力し、該定格角周波数を越えると角周波数指令ω*に反比例した値の二次磁束指令φ2 *を出力する。加算演算器13は角周波数指令ω*と後述のすべり角周波数の演算値ωslとを加算した誘導電動機2の一次角周波数指令ω1 *を出力する。乗算演算器12では二次磁束指令φ2 *と一次角周波数指令ω1 *とを乗算して得られる誘導電動機2の一次電圧基準値を出力するが、周知の如く、角周波数指令ω*に比してすべり周波数の演算値ωslの値は僅かであるため、前記一次電圧基準値は角周波数指令ω*が前記定格角周波数までは角周波数指令ω*にほぼ比例して増大し、前記定格角周波数を越えると、この領域では前記一次電圧基準値はほぼ一定値となる。
【0014】
次に、加算演算器14は前記一次電圧基準値に後述の磁束調節器20の出力である誘導電動機2の二次磁束補正のための一次電圧補正値とを加算した誘導電動機2の一次電圧V1の絶対値(大きさ)に対応した出力電圧指令値|V1 *|を出力する。電圧指令演算器15では前記出力電圧指令値|V1 *|に対応した振幅とし、前記一次角周波数指令ω1 *を積分演算器16での時間積分演算で得られる角度指令θ*に基づいた三相の電圧指令vu *,vv *,vw *それぞれに変換している。
【0015】
また、ベクトル回転器17では電流検出器2で得られた検出値iu,iv,iwを前記角度指令θ*に基づくベクトル回転演算により直交した2軸(d−q軸)の値i1d,i1qに変換している。
【0016】
以下に、図1に示した実施形態回路構成図におけるこの発明の主要な構成要素である磁束・トルク電流演算器18,加算演算器19,磁束調節器20,すべり演算器21それぞれの動作を、図2に示す誘導電動機のT−1形等価回路図を参照しつつ、説明する。
【0017】
図2において、誘導電動機の無効電力Qは該電動機の一次角周波数をω1とすると、下記式(1)で表される。
【0018】
【数1】
【0019】
また、誘導電動機の二次磁束φ2は、下記式(2)で表される。
【0020】
【数2】
【0021】
上記式(1),式(2)から二次磁束φ2は下記式(3)となる。
【0022】
【数3】
【0023】
すなわち磁束・トルク電流演算器18では一方の演算動作として、前記ω1 *と|V1 *|とi1dとi1qとをそれぞれ入力し、実効値I1及びI1dを求め、前記Qと等価なV1 *・I1dを演算し、これらの値と誘導電動機2の電気定数として温度変化による影響の無い励磁インダクタンスLmと漏れインダクタンスLσとを前記式(3)に当てはめた誘導電動機2の二次磁束演算値φ2Eを導出している。
【0024】
加算演算器19では前記φ2 *とφ2Eとの偏差を求め、この偏差を零にする調節演算を磁束調節器20に行わせ、この調節演算結果を、誘導電動機2の二次磁束φ2を補正するための一次電圧補正値として出力することにより、インバータ1で駆動される誘導電動機2の可変速特性を改善している。
【0025】
また、図2において、一次電流I1とトルク電流ITと励磁電流IMには下記式(4)の関係がある。
【0026】
【数4】
【0027】
前記式(2),式(3)から励磁電流IMは下記式(5)で表される。
【0028】
【数5】
【0029】
上記式(4),式(5)からトルク電流ITは、下記式(6)で表される。
【0030】
【数6】
【0031】
すなわち磁束・トルク電流演算器18では他方の演算動作として、前記ω1 *と|V1 *|とi1dとi1qとをそれぞれ入力し、実効値I1及びI1dを求め、前記Qと等価なV1 *・I1dを演算し、これらの値と誘導電動機2の電気定数としての励磁インダクタンスLmと漏れインダクタンスLσとを前記式(6)に当てはめた誘導電動機2のトルク電流演算値ITEを導出している。
【0032】
すべり演算器21では前記φ2 *とITEとを入力し、さらに誘導電動機2の二次抵抗R2を用いて、該電動機のすべり角周波数の演算値ωslとして、下記式(7)の演算を行っている。
【0033】
【数7】
【0034】
図3は、この発明の第2の実施の形態を示す誘導電動機の制御装置の回路構成図であり、図1に示した第1の実施形態回路と同一機能を有するものには同一符号を付して、ここではその説明を省略する。
【0035】
すなわち、図3に示した制御装置30が図1に示した制御装置10と異なる点は、磁束・トルク電流演算器18とすべり演算器21に代えて、磁束演算器31とトルク演算器32とすべり演算器33とを備えていることである。
【0036】
磁束演算器31は前記ω1 *と|V1 *|とi1dとi1qとをそれぞれ入力し、実効値I1及びI1dを求め、前記Qと等価なV1 *・I1dを演算し、これらの値と誘導電動機2の電気定数としての励磁インダクタンスLmと漏れインダクタンスLσとを前記式(3)に当てはめた誘導電動機2の二次磁束演算値φ2Eを導出している。
【0037】
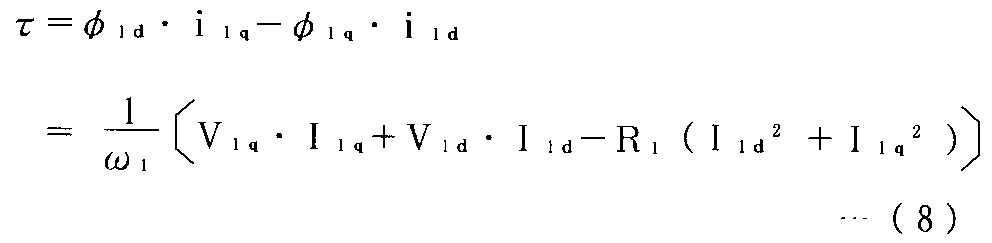
また、トルク演算器32では、前記ω1 *と|V1 *|とi1dとi1qとをそれぞれ入力し、実効値I1d及びI1qを求め、さらに誘導電動機2の一次電圧ベクトルV1d及びV1qを求め、誘導電動機2の一次抵抗R1を用いると、誘導電動機2の軸トルクの演算値τEは誘導電動機2の一次磁束ベクトルφ1d及びφ1qと前記i1d及びi1qの外積から、下記式(8)のように表される。
【0038】
【数8】
【0039】
すべり演算器33では前記φ2 *とτEとを入力し、トルク電流演算値ITEとしてITE=τE/φ2 *を求め、さらに誘導電動機2の二次抵抗R2を用いて該電動機のすべり角周波数の演算値ωslとして、前記式(7)の演算を行っている。
【0040】
なお、図1及び図3に示したこの発明の実施形態回路では、インバータ1の出力電圧指令値を用いた回路構成であるが、この出力電圧指令値の代わりにインバータ1の出力電圧を検出して誘導電動機2を制御してもよい。
【0041】
【発明の効果】
この発明によれば、誘導電動機が定格周波数以内の運転では出力電圧と出力周波数の比をほぼ一定にし、定格周波数以上の運転では前記出力電圧をほぼ一定にし出力周波数のみ可変にする可変電圧可変周波数インバータ(一般に、VVVFインバータと称される)において、該電動機の二次磁束の補正に加えて、前記電動機のすべりに対する補償も行う制御機能を付加することにより、前記インバータで駆動される誘導電動機の可変速特性をより改善することができる。
【図面の簡単な説明】
【図1】 この発明の第1の実施の形態を示す誘導電動機の制御装置の回路構成図
【図2】 誘導電動機のT−1形等価回路図
【図3】 この発明の第2の実施の形態を示す誘導電動機の制御装置の回路構成図
【符号の説明】
1…インバータ、2…誘導電動機、3…電流検出器、10…制御装置、11…磁束指令演算器、12…乗算演算器、13,14…加算演算器、15…電圧指令演算器、16…積分演算器、17…ベクトル回転器、18…磁束・トルク電流演算器、19…加算演算器、20…磁束調節器、21…すべり演算器、30…制御装置、31…磁束演算器、32…トルク演算器、33…すべり演算器。
Claims (4)
- 可変電圧可変周波数インバータを用い誘導電動機の二次磁束を補正するような該インバータの出力電圧を発生しつつ、該電動機を可変速駆動する誘導電動機の制御方法において、
前記可変電圧可変周波数インバータから前記誘導電動機への出力電流と、該インバータから該電動機への出力電圧又は該出力電圧を発生させるための該インバータへの出力電圧指令値とに基づいて該電動機の二次磁束演算値とトルク電流演算値とをそれぞれ導出し、前記二次磁束演算値と二次磁束指令値との偏差を入力とする磁束調節器により前記偏差を零にする一次電圧補正値を求め、この一次電圧補正値を前記電圧指令値に加算して電圧指令値を補正するとともに、前記トルク電流演算値によりすべり周波数演算値を求め、すべり周波数演算値により前記誘導電動機への周波数指令を補正することを特徴とする誘導電動機の制御方法。 - 請求項1に記載の誘導電動機の制御方法において、
前記誘導電動機の二次磁束演算値とトルク電流演算値とをそれぞれ導出する際には、前記誘導電動機の電気定数としての励磁インダクタンスと漏れインダクタンスとを用いることを特徴とする誘導電動機の制御方法。 - 可変電圧可変周波数インバータを用い誘導電動機の二次磁束を補正するような該インバータの出力電圧を発生しつつ、該電動機を可変速駆動する誘導電動機の制御方法において、
前記可変電圧可変周波数インバータから前記誘導電動機への出力電流と、該インバータから該電動機への出力電圧又は該出力電圧を発生させるための該インバータへの出力電圧指令値とに基づいて該電動機の二次磁束演算値と軸トルク演算値とをそれぞれ導出し、前記二次磁束演算値と二次磁束指令値との偏差を入力とする磁束調節器により前記偏差を零にする一次電圧補正値を求め、この一次電圧補正値を前記電圧指令値に加算して電圧指令値を補正するとともに、前記軸トルク演算値によりすべり周波数演算値を求め、この求めたすべり周波数演算値により前記誘導電動機への周波数指令を補正することを特徴とする誘導電動機の制御方法。 - 請求項3に記載の誘導電動機の制御方法において、
前記誘導電動機の二次磁束演算値を導出する際には、該電動機の電気定数としての励磁インダクタンスと漏れインダクタンスとを用い、前記誘導電動機の軸トルク演算値を導出する際には、該電動機の電気定数としての一次抵抗値を用いることを特徴とする誘導電動機の制御方法。
Priority Applications (1)
| Application Number | Priority Date | Filing Date | Title |
|---|---|---|---|
| JP2001279609A JP4839552B2 (ja) | 2001-09-14 | 2001-09-14 | 誘導電動機の制御方法 |
Applications Claiming Priority (1)
| Application Number | Priority Date | Filing Date | Title |
|---|---|---|---|
| JP2001279609A JP4839552B2 (ja) | 2001-09-14 | 2001-09-14 | 誘導電動機の制御方法 |
Publications (2)
| Publication Number | Publication Date |
|---|---|
| JP2003088198A JP2003088198A (ja) | 2003-03-20 |
| JP4839552B2 true JP4839552B2 (ja) | 2011-12-21 |
Family
ID=19103770
Family Applications (1)
| Application Number | Title | Priority Date | Filing Date |
|---|---|---|---|
| JP2001279609A Expired - Lifetime JP4839552B2 (ja) | 2001-09-14 | 2001-09-14 | 誘導電動機の制御方法 |
Country Status (1)
| Country | Link |
|---|---|
| JP (1) | JP4839552B2 (ja) |
Families Citing this family (2)
| Publication number | Priority date | Publication date | Assignee | Title |
|---|---|---|---|---|
| JP2005117761A (ja) * | 2003-10-07 | 2005-04-28 | Tsudakoma Corp | 誘導電動機の駆動方法および駆動装置 |
| CN106849812B (zh) * | 2017-02-28 | 2019-04-30 | 湘潭电机股份有限公司 | 一种基于磁链补偿的异步电机控制方法 |
Family Cites Families (6)
| Publication number | Priority date | Publication date | Assignee | Title |
|---|---|---|---|---|
| US3909687A (en) * | 1974-03-05 | 1975-09-30 | Westinghouse Electric Corp | Flux control system for controlled induction motors |
| JPS6489988A (en) * | 1987-09-29 | 1989-04-05 | Toshiba Corp | Induction machine controller |
| JPH07143799A (ja) * | 1993-06-23 | 1995-06-02 | Isao Takahashi | 誘導電動機の二次抵抗検出装置 |
| JPH09121600A (ja) * | 1995-10-26 | 1997-05-06 | Fuji Electric Co Ltd | 誘導電動機の制御装置 |
| JP2000095453A (ja) * | 1998-09-18 | 2000-04-04 | Hitachi Ltd | エレベータの制御装置 |
| JP2001224191A (ja) * | 2000-02-09 | 2001-08-17 | Fuji Electric Co Ltd | 誘導電動機の制御装置 |
-
2001
- 2001-09-14 JP JP2001279609A patent/JP4839552B2/ja not_active Expired - Lifetime
Also Published As
| Publication number | Publication date |
|---|---|
| JP2003088198A (ja) | 2003-03-20 |
Similar Documents
| Publication | Publication Date | Title |
|---|---|---|
| JP5130716B2 (ja) | モータ制御装置および電気式動力舵取装置 | |
| JP4033030B2 (ja) | 電動パワーステアリング装置 | |
| JPH1127999A (ja) | 誘導電動機の誘導起電力推定方法、速度推定方法、軸ずれ補正方法及び誘導電動機制御装置 | |
| US6359415B1 (en) | Apparatus for controlling synchronous motor | |
| JP3951075B2 (ja) | 電動機の制御方法及び装置 | |
| JP2585376B2 (ja) | 誘導電動機の制御方法 | |
| WO2006033180A1 (ja) | 誘導電動機のベクトル制御装置 | |
| JP3637209B2 (ja) | 速度センサレスベクトル制御を用いた電力変換装置 | |
| JP4581739B2 (ja) | 電動機の駆動装置 | |
| US6075337A (en) | Speed control apparatus for induction motor | |
| JP3067659B2 (ja) | 誘導電動機の制御方法 | |
| JP4839552B2 (ja) | 誘導電動機の制御方法 | |
| JP2004187460A (ja) | インバータ制御装置、誘導電動機の制御装置及び誘導電動機システム | |
| JP3023256B2 (ja) | 誘導電動機の制御装置 | |
| JPH06335278A (ja) | 誘導電動機のベクトル制御インバータのチューニング方法 | |
| JP2004180480A (ja) | ステッピングモータの駆動装置 | |
| JP3770286B2 (ja) | 誘導電動機のベクトル制御方法 | |
| WO2007063766A1 (ja) | 電動機の制御装置 | |
| JP3944659B2 (ja) | 誘導電動機の制御装置 | |
| JPH11285299A (ja) | 誘導電動機のベクトル制御装置および方法 | |
| JP3323900B2 (ja) | リニアモータ電気車の制御装置 | |
| JP5228436B2 (ja) | モータ制御装置とその制御方法 | |
| JP3797479B2 (ja) | 誘導電動機の制御方法 | |
| JPH06319285A (ja) | 誘導電動機のベクトル制御装置 | |
| JP2001120000A (ja) | 誘導電動機のベクトル制御方法 |
Legal Events
| Date | Code | Title | Description |
|---|---|---|---|
| A621 | Written request for application examination |
Free format text: JAPANESE INTERMEDIATE CODE: A621 Effective date: 20080715 |
|
| A711 | Notification of change in applicant |
Free format text: JAPANESE INTERMEDIATE CODE: A712 Effective date: 20080919 |
|
| RD03 | Notification of appointment of power of attorney |
Free format text: JAPANESE INTERMEDIATE CODE: A7423 Effective date: 20080919 |
|
| RD04 | Notification of resignation of power of attorney |
Free format text: JAPANESE INTERMEDIATE CODE: A7424 Effective date: 20080919 |
|
| A977 | Report on retrieval |
Free format text: JAPANESE INTERMEDIATE CODE: A971007 Effective date: 20101209 |
|
| A131 | Notification of reasons for refusal |
Free format text: JAPANESE INTERMEDIATE CODE: A131 Effective date: 20101228 |
|
| A521 | Written amendment |
Free format text: JAPANESE INTERMEDIATE CODE: A523 Effective date: 20110225 |
|
| A711 | Notification of change in applicant |
Free format text: JAPANESE INTERMEDIATE CODE: A712 Effective date: 20110422 |
|
| TRDD | Decision of grant or rejection written | ||
| A01 | Written decision to grant a patent or to grant a registration (utility model) |
Free format text: JAPANESE INTERMEDIATE CODE: A01 Effective date: 20110906 |
|
| A01 | Written decision to grant a patent or to grant a registration (utility model) |
Free format text: JAPANESE INTERMEDIATE CODE: A01 |
|
| A61 | First payment of annual fees (during grant procedure) |
Free format text: JAPANESE INTERMEDIATE CODE: A61 Effective date: 20110919 |
|
| R150 | Certificate of patent or registration of utility model |
Ref document number: 4839552 Country of ref document: JP Free format text: JAPANESE INTERMEDIATE CODE: R150 Free format text: JAPANESE INTERMEDIATE CODE: R150 |
|
| FPAY | Renewal fee payment (event date is renewal date of database) |
Free format text: PAYMENT UNTIL: 20141014 Year of fee payment: 3 |
|
| R250 | Receipt of annual fees |
Free format text: JAPANESE INTERMEDIATE CODE: R250 |
|
| R250 | Receipt of annual fees |
Free format text: JAPANESE INTERMEDIATE CODE: R250 |
|
| R250 | Receipt of annual fees |
Free format text: JAPANESE INTERMEDIATE CODE: R250 |
|
| R250 | Receipt of annual fees |
Free format text: JAPANESE INTERMEDIATE CODE: R250 |
|
| R250 | Receipt of annual fees |
Free format text: JAPANESE INTERMEDIATE CODE: R250 |
|
| R250 | Receipt of annual fees |
Free format text: JAPANESE INTERMEDIATE CODE: R250 |
|
| R250 | Receipt of annual fees |
Free format text: JAPANESE INTERMEDIATE CODE: R250 |
|
| EXPY | Cancellation because of completion of term |
