JP2022166327A - 癌の治療法 - Google Patents
癌の治療法 Download PDFInfo
- Publication number
- JP2022166327A JP2022166327A JP2022135758A JP2022135758A JP2022166327A JP 2022166327 A JP2022166327 A JP 2022166327A JP 2022135758 A JP2022135758 A JP 2022135758A JP 2022135758 A JP2022135758 A JP 2022135758A JP 2022166327 A JP2022166327 A JP 2022166327A
- Authority
- JP
- Japan
- Prior art keywords
- cdp
- conjugate
- cancer
- composition
- particle
- Prior art date
- Legal status (The legal status is an assumption and is not a legal conclusion. Google has not performed a legal analysis and makes no representation as to the accuracy of the status listed.)
- Withdrawn
Links
- 238000011275 oncology therapy Methods 0.000 title abstract 2
- 238000000034 method Methods 0.000 claims abstract description 132
- 239000000203 mixture Substances 0.000 abstract description 456
- 239000003534 dna topoisomerase inhibitor Substances 0.000 abstract description 352
- 229940044693 topoisomerase inhibitor Drugs 0.000 abstract description 352
- VSJKWCGYPAHWDS-FQEVSTJZSA-N camptothecin Chemical class C1=CC=C2C=C(CN3C4=CC5=C(C3=O)COC(=O)[C@]5(O)CC)C4=NC2=C1 VSJKWCGYPAHWDS-FQEVSTJZSA-N 0.000 abstract description 272
- 229940127093 camptothecin Drugs 0.000 abstract description 239
- 206010028980 Neoplasm Diseases 0.000 abstract description 203
- 201000011510 cancer Diseases 0.000 abstract description 192
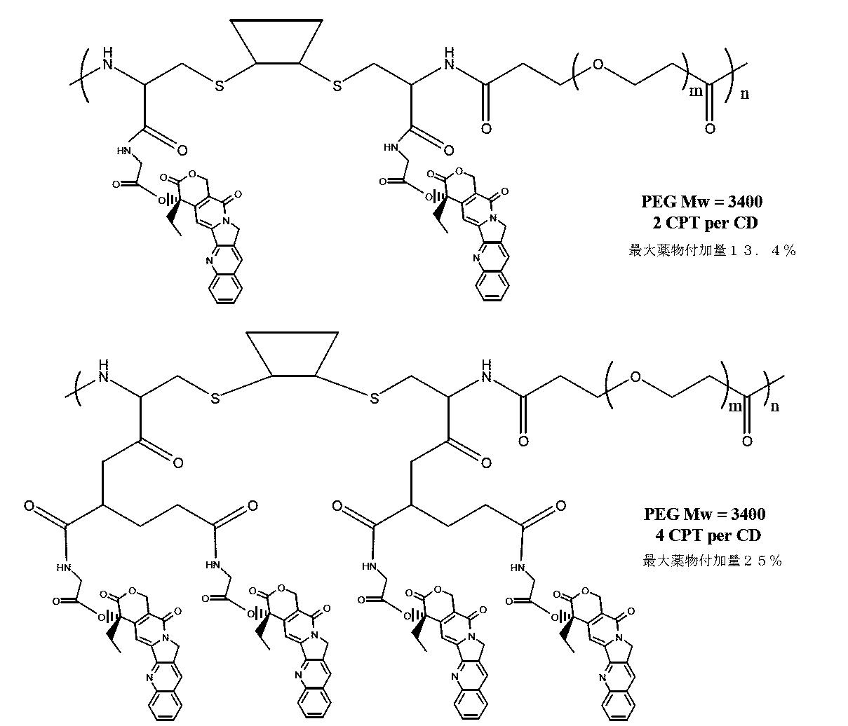
- 229960005529 CRLX101 Drugs 0.000 abstract description 155
- 206010058467 Lung neoplasm malignant Diseases 0.000 abstract description 39
- 201000005202 lung cancer Diseases 0.000 abstract description 39
- 208000020816 lung neoplasm Diseases 0.000 abstract description 39
- 208000037265 diseases, disorders, signs and symptoms Diseases 0.000 abstract description 36
- 208000002154 non-small cell lung carcinoma Diseases 0.000 abstract description 27
- 208000029729 tumor suppressor gene on chromosome 11 Diseases 0.000 abstract description 27
- 230000002062 proliferating effect Effects 0.000 abstract description 26
- 238000002560 therapeutic procedure Methods 0.000 abstract description 21
- 206010041067 Small cell lung cancer Diseases 0.000 abstract description 20
- 208000000587 small cell lung carcinoma Diseases 0.000 abstract description 20
- 201000010099 disease Diseases 0.000 abstract description 19
- 208000003170 Bronchiolo-Alveolar Adenocarcinoma Diseases 0.000 abstract description 9
- 206010058354 Bronchioloalveolar carcinoma Diseases 0.000 abstract description 9
- 208000009956 adenocarcinoma Diseases 0.000 abstract description 9
- 208000003849 large cell carcinoma Diseases 0.000 abstract description 9
- 208000016992 lung adenocarcinoma in situ Diseases 0.000 abstract description 9
- 208000024191 minimally invasive lung adenocarcinoma Diseases 0.000 abstract description 9
- 206010041823 squamous cell carcinoma Diseases 0.000 abstract description 9
- 206010050017 Lung cancer metastatic Diseases 0.000 abstract description 3
- 239000000562 conjugate Substances 0.000 description 559
- 239000002245 particle Substances 0.000 description 434
- BASFCYQUMIYNBI-UHFFFAOYSA-N platinum Chemical compound [Pt] BASFCYQUMIYNBI-UHFFFAOYSA-N 0.000 description 140
- AOJJSUZBOXZQNB-TZSSRYMLSA-N Doxorubicin Chemical compound O([C@H]1C[C@@](O)(CC=2C(O)=C3C(=O)C=4C=CC=C(C=4C(=O)C3=C(O)C=21)OC)C(=O)CO)[C@H]1C[C@H](N)[C@H](O)[C@H](C)O1 AOJJSUZBOXZQNB-TZSSRYMLSA-N 0.000 description 94
- 239000003795 chemical substances by application Substances 0.000 description 89
- 239000003112 inhibitor Substances 0.000 description 85
- 229920000642 polymer Polymers 0.000 description 71
- 229910052697 platinum Inorganic materials 0.000 description 70
- 239000002246 antineoplastic agent Substances 0.000 description 69
- 239000003814 drug Substances 0.000 description 65
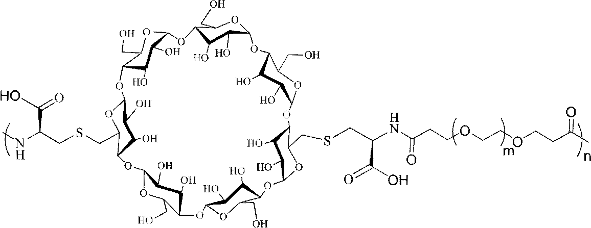
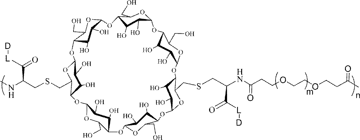
- HFHDHCJBZVLPGP-UHFFFAOYSA-N schardinger α-dextrin Chemical compound O1C(C(C2O)O)C(CO)OC2OC(C(C2O)O)C(CO)OC2OC(C(C2O)O)C(CO)OC2OC(C(O)C2O)C(CO)OC2OC(C(C2O)O)C(CO)OC2OC2C(O)C(O)C1OC2CO HFHDHCJBZVLPGP-UHFFFAOYSA-N 0.000 description 63
- -1 e.g. Substances 0.000 description 61
- 229960004679 doxorubicin Drugs 0.000 description 60
- 229940127089 cytotoxic agent Drugs 0.000 description 58
- 230000037361 pathway Effects 0.000 description 56
- 239000002256 antimetabolite Substances 0.000 description 53
- 108010073929 Vascular Endothelial Growth Factor A Proteins 0.000 description 52
- 102000005789 Vascular Endothelial Growth Factors Human genes 0.000 description 52
- 108010019530 Vascular Endothelial Growth Factors Proteins 0.000 description 52
- 125000005647 linker group Chemical group 0.000 description 47
- DWAFYCQODLXJNR-BNTLRKBRSA-L oxaliplatin Chemical compound O1C(=O)C(=O)O[Pt]11N[C@@H]2CCCC[C@H]2N1 DWAFYCQODLXJNR-BNTLRKBRSA-L 0.000 description 46
- 229960001756 oxaliplatin Drugs 0.000 description 46
- KLWPJMFMVPTNCC-UHFFFAOYSA-N Camptothecin Natural products CCC1(O)C(=O)OCC2=C1C=C3C4Nc5ccccc5C=C4CN3C2=O KLWPJMFMVPTNCC-UHFFFAOYSA-N 0.000 description 43
- 206010033128 Ovarian cancer Diseases 0.000 description 43
- 206010061535 Ovarian neoplasm Diseases 0.000 description 43
- VSRXQHXAPYXROS-UHFFFAOYSA-N azanide;cyclobutane-1,1-dicarboxylic acid;platinum(2+) Chemical compound [NH2-].[NH2-].[Pt+2].OC(=O)C1(C(O)=O)CCC1 VSRXQHXAPYXROS-UHFFFAOYSA-N 0.000 description 43
- 229960004562 carboplatin Drugs 0.000 description 43
- 229960004316 cisplatin Drugs 0.000 description 43
- DQLATGHUWYMOKM-UHFFFAOYSA-L cisplatin Chemical compound N[Pt](N)(Cl)Cl DQLATGHUWYMOKM-UHFFFAOYSA-L 0.000 description 43
- VSJKWCGYPAHWDS-UHFFFAOYSA-N dl-camptothecin Natural products C1=CC=C2C=C(CN3C4=CC5=C(C3=O)COC(=O)C5(O)CC)C4=NC2=C1 VSJKWCGYPAHWDS-UHFFFAOYSA-N 0.000 description 43
- 150000003230 pyrimidines Chemical class 0.000 description 40
- 101150039808 Egfr gene Proteins 0.000 description 39
- 229940123237 Taxane Drugs 0.000 description 39
- 108700021358 erbB-1 Genes Proteins 0.000 description 39
- GAGWJHPBXLXJQN-UORFTKCHSA-N Capecitabine Chemical compound C1=C(F)C(NC(=O)OCCCCC)=NC(=O)N1[C@H]1[C@H](O)[C@H](O)[C@@H](C)O1 GAGWJHPBXLXJQN-UORFTKCHSA-N 0.000 description 37
- GAGWJHPBXLXJQN-UHFFFAOYSA-N Capecitabine Natural products C1=C(F)C(NC(=O)OCCCCC)=NC(=O)N1C1C(O)C(O)C(C)O1 GAGWJHPBXLXJQN-UHFFFAOYSA-N 0.000 description 37
- GHASVSINZRGABV-UHFFFAOYSA-N Fluorouracil Chemical compound FC1=CNC(=O)NC1=O GHASVSINZRGABV-UHFFFAOYSA-N 0.000 description 37
- 229960004117 capecitabine Drugs 0.000 description 37
- WBXPDJSOTKVWSJ-ZDUSSCGKSA-N pemetrexed Chemical compound C=1NC=2NC(N)=NC(=O)C=2C=1CCC1=CC=C(C(=O)N[C@@H](CCC(O)=O)C(O)=O)C=C1 WBXPDJSOTKVWSJ-ZDUSSCGKSA-N 0.000 description 35
- 229960005079 pemetrexed Drugs 0.000 description 35
- 108020004705 Codon Proteins 0.000 description 34
- 208000005718 Stomach Neoplasms Diseases 0.000 description 34
- 206010017758 gastric cancer Diseases 0.000 description 34
- 201000011549 stomach cancer Diseases 0.000 description 34
- 206010006187 Breast cancer Diseases 0.000 description 33
- 229940123780 DNA topoisomerase I inhibitor Drugs 0.000 description 33
- 229940124087 DNA topoisomerase II inhibitor Drugs 0.000 description 33
- 239000000365 Topoisomerase I Inhibitor Substances 0.000 description 33
- 239000000317 Topoisomerase II Inhibitor Substances 0.000 description 33
- ODKNJVUHOIMIIZ-RRKCRQDMSA-N floxuridine Chemical compound C1[C@H](O)[C@@H](CO)O[C@H]1N1C(=O)NC(=O)C(F)=C1 ODKNJVUHOIMIIZ-RRKCRQDMSA-N 0.000 description 33
- 229960000961 floxuridine Drugs 0.000 description 33
- 229920000858 Cyclodextrin Polymers 0.000 description 32
- SDUQYLNIPVEERB-QPPQHZFASA-N gemcitabine Chemical compound O=C1N=C(N)C=CN1[C@H]1C(F)(F)[C@H](O)[C@@H](CO)O1 SDUQYLNIPVEERB-QPPQHZFASA-N 0.000 description 32
- 229960005277 gemcitabine Drugs 0.000 description 32
- IVTVGDXNLFLDRM-HNNXBMFYSA-N Tomudex Chemical compound C=1C=C2NC(C)=NC(=O)C2=CC=1CN(C)C1=CC=C(C(=O)N[C@@H](CCC(O)=O)C(O)=O)S1 IVTVGDXNLFLDRM-HNNXBMFYSA-N 0.000 description 31
- 230000003432 anti-folate effect Effects 0.000 description 31
- 229940127074 antifolate Drugs 0.000 description 31
- 239000004052 folic acid antagonist Substances 0.000 description 31
- 229960004432 raltitrexed Drugs 0.000 description 31
- 208000026310 Breast neoplasm Diseases 0.000 description 29
- ZDZOTLJHXYCWBA-VCVYQWHSSA-N N-debenzoyl-N-(tert-butoxycarbonyl)-10-deacetyltaxol Chemical compound O([C@H]1[C@H]2[C@@](C([C@H](O)C3=C(C)[C@@H](OC(=O)[C@H](O)[C@@H](NC(=O)OC(C)(C)C)C=4C=CC=CC=4)C[C@]1(O)C3(C)C)=O)(C)[C@@H](O)C[C@H]1OC[C@]12OC(=O)C)C(=O)C1=CC=CC=C1 ZDZOTLJHXYCWBA-VCVYQWHSSA-N 0.000 description 28
- 229930012538 Paclitaxel Natural products 0.000 description 28
- BMQGVNUXMIRLCK-OAGWZNDDSA-N cabazitaxel Chemical compound O([C@H]1[C@@H]2[C@]3(OC(C)=O)CO[C@@H]3C[C@@H]([C@]2(C(=O)[C@H](OC)C2=C(C)[C@@H](OC(=O)[C@H](O)[C@@H](NC(=O)OC(C)(C)C)C=3C=CC=CC=3)C[C@]1(O)C2(C)C)C)OC)C(=O)C1=CC=CC=C1 BMQGVNUXMIRLCK-OAGWZNDDSA-N 0.000 description 28
- 229960001573 cabazitaxel Drugs 0.000 description 28
- 229960003668 docetaxel Drugs 0.000 description 28
- 229950005692 larotaxel Drugs 0.000 description 28
- SEFGUGYLLVNFIJ-QDRLFVHASA-N larotaxel dihydrate Chemical compound O.O.O([C@@H]1[C@@]2(C[C@@H](C(C)=C(C2(C)C)[C@H](C([C@@]23[C@H]1[C@@]1(CO[C@@H]1C[C@@H]2C3)OC(C)=O)=O)OC(=O)C)OC(=O)[C@H](O)[C@@H](NC(=O)OC(C)(C)C)C=1C=CC=CC=1)O)C(=O)C1=CC=CC=C1 SEFGUGYLLVNFIJ-QDRLFVHASA-N 0.000 description 28
- 229960001592 paclitaxel Drugs 0.000 description 28
- RCINICONZNJXQF-MZXODVADSA-N taxol Chemical compound O([C@@H]1[C@@]2(C[C@@H](C(C)=C(C2(C)C)[C@H](C([C@]2(C)[C@@H](O)C[C@H]3OC[C@]3([C@H]21)OC(C)=O)=O)OC(=O)C)OC(=O)[C@H](O)[C@@H](NC(=O)C=1C=CC=CC=1)C=1C=CC=CC=1)O)C(=O)C1=CC=CC=C1 RCINICONZNJXQF-MZXODVADSA-N 0.000 description 28
- 238000011282 treatment Methods 0.000 description 28
- 229940079593 drug Drugs 0.000 description 27
- 125000000217 alkyl group Chemical group 0.000 description 25
- 230000000340 anti-metabolite Effects 0.000 description 24
- 229940100197 antimetabolite Drugs 0.000 description 24
- 206010009944 Colon cancer Diseases 0.000 description 23
- 230000035772 mutation Effects 0.000 description 23
- 206010061902 Pancreatic neoplasm Diseases 0.000 description 22
- 208000015486 malignant pancreatic neoplasm Diseases 0.000 description 22
- 201000002528 pancreatic cancer Diseases 0.000 description 22
- 208000008443 pancreatic carcinoma Diseases 0.000 description 22
- FDLYAMZZIXQODN-UHFFFAOYSA-N olaparib Chemical compound FC1=CC=C(CC=2C3=CC=CC=C3C(=O)NN=2)C=C1C(=O)N(CC1)CCN1C(=O)C1CC1 FDLYAMZZIXQODN-UHFFFAOYSA-N 0.000 description 21
- 208000001333 Colorectal Neoplasms Diseases 0.000 description 20
- 229940045799 anthracyclines and related substance Drugs 0.000 description 20
- 210000004027 cell Anatomy 0.000 description 19
- 229910052739 hydrogen Inorganic materials 0.000 description 19
- 239000004037 angiogenesis inhibitor Substances 0.000 description 18
- 229940121369 angiogenesis inhibitor Drugs 0.000 description 18
- ATHLLZUXVPNPAW-UHFFFAOYSA-N lamellarin d Chemical compound C1=C(O)C(OC)=CC(C2=C3C4=CC(OC)=C(O)C=C4C=CN3C3=C2C=2C=C(OC)C(O)=CC=2OC3=O)=C1 ATHLLZUXVPNPAW-UHFFFAOYSA-N 0.000 description 18
- VEEGZPWAAPPXRB-BJMVGYQFSA-N (3e)-3-(1h-imidazol-5-ylmethylidene)-1h-indol-2-one Chemical compound O=C1NC2=CC=CC=C2\C1=C/C1=CN=CN1 VEEGZPWAAPPXRB-BJMVGYQFSA-N 0.000 description 17
- 229940045688 antineoplastic antimetabolites pyrimidine analogues Drugs 0.000 description 17
- 229960000397 bevacizumab Drugs 0.000 description 17
- 125000004122 cyclic group Chemical group 0.000 description 17
- 208000035475 disorder Diseases 0.000 description 17
- VBEQCZHXXJYVRD-GACYYNSASA-N uroanthelone Chemical compound C([C@@H](C(=O)N[C@H](C(=O)N[C@@H](CS)C(=O)N[C@@H](CC(N)=O)C(=O)N[C@@H](CS)C(=O)N[C@H](C(=O)N[C@@H]([C@@H](C)CC)C(=O)NCC(=O)N[C@@H](CC=1C=CC(O)=CC=1)C(=O)N[C@@H](CO)C(=O)NCC(=O)N[C@@H](CC(O)=O)C(=O)N[C@@H](CCCNC(N)=N)C(=O)N[C@@H](CS)C(=O)N[C@@H](CCC(N)=O)C(=O)N[C@@H]([C@@H](C)O)C(=O)N[C@@H](CCCNC(N)=N)C(=O)N[C@@H](CC(O)=O)C(=O)N[C@@H](CC(C)C)C(=O)N[C@@H](CCCNC(N)=N)C(=O)N[C@@H](CC=1C2=CC=CC=C2NC=1)C(=O)N[C@@H](CC=1C2=CC=CC=C2NC=1)C(=O)N[C@@H](CCC(O)=O)C(=O)N[C@@H](CC(C)C)C(=O)N[C@@H](CCCNC(N)=N)C(O)=O)C(C)C)[C@@H](C)O)NC(=O)[C@H](CO)NC(=O)[C@H](CC(O)=O)NC(=O)[C@H](CC(C)C)NC(=O)[C@H](CO)NC(=O)[C@H](CCC(O)=O)NC(=O)[C@@H](NC(=O)[C@H](CC=1NC=NC=1)NC(=O)[C@H](CCSC)NC(=O)[C@H](CS)NC(=O)[C@@H](NC(=O)CNC(=O)CNC(=O)[C@H](CC(N)=O)NC(=O)[C@H](CC(C)C)NC(=O)[C@H](CS)NC(=O)[C@H](CC=1C=CC(O)=CC=1)NC(=O)CNC(=O)[C@H](CC(O)=O)NC(=O)[C@H](CC=1C=CC(O)=CC=1)NC(=O)[C@H](CO)NC(=O)[C@H](CO)NC(=O)[C@H]1N(CCC1)C(=O)[C@H](CS)NC(=O)CNC(=O)[C@H]1N(CCC1)C(=O)[C@H](CC=1C=CC(O)=CC=1)NC(=O)[C@H](CO)NC(=O)[C@@H](N)CC(N)=O)C(C)C)[C@@H](C)CC)C1=CC=C(O)C=C1 VBEQCZHXXJYVRD-GACYYNSASA-N 0.000 description 17
- 229940122803 Vinca alkaloid Drugs 0.000 description 16
- 208000024891 symptom Diseases 0.000 description 15
- DKPFODGZWDEEBT-QFIAKTPHSA-N taxane Chemical class C([C@]1(C)CCC[C@@H](C)[C@H]1C1)C[C@H]2[C@H](C)CC[C@@H]1C2(C)C DKPFODGZWDEEBT-QFIAKTPHSA-N 0.000 description 15
- 125000003118 aryl group Chemical group 0.000 description 13
- 238000001990 intravenous administration Methods 0.000 description 13
- 229940124302 mTOR inhibitor Drugs 0.000 description 13
- 239000003628 mammalian target of rapamycin inhibitor Substances 0.000 description 13
- 229940124597 therapeutic agent Drugs 0.000 description 13
- VVIAGPKUTFNRDU-UHFFFAOYSA-N 6S-folinic acid Natural products C1NC=2NC(N)=NC(=O)C=2N(C=O)C1CNC1=CC=C(C(=O)NC(CCC(O)=O)C(O)=O)C=C1 VVIAGPKUTFNRDU-UHFFFAOYSA-N 0.000 description 12
- 102400001368 Epidermal growth factor Human genes 0.000 description 12
- 101800003838 Epidermal growth factor Proteins 0.000 description 12
- 102100030708 GTPase KRas Human genes 0.000 description 12
- 239000002260 anti-inflammatory agent Substances 0.000 description 12
- 229940121363 anti-inflammatory agent Drugs 0.000 description 12
- 230000000694 effects Effects 0.000 description 12
- 229940116977 epidermal growth factor Drugs 0.000 description 12
- VVIAGPKUTFNRDU-ABLWVSNPSA-N folinic acid Chemical compound C1NC=2NC(N)=NC(=O)C=2N(C=O)C1CNC1=CC=C(C(=O)N[C@@H](CCC(O)=O)C(O)=O)C=C1 VVIAGPKUTFNRDU-ABLWVSNPSA-N 0.000 description 12
- 235000008191 folinic acid Nutrition 0.000 description 12
- 239000011672 folinic acid Substances 0.000 description 12
- 239000001257 hydrogen Substances 0.000 description 12
- 229960001691 leucovorin Drugs 0.000 description 12
- 229920001282 polysaccharide Polymers 0.000 description 12
- 239000005017 polysaccharide Substances 0.000 description 12
- 230000005855 radiation Effects 0.000 description 12
- 101000584612 Homo sapiens GTPase KRas Proteins 0.000 description 11
- 101001012157 Homo sapiens Receptor tyrosine-protein kinase erbB-2 Proteins 0.000 description 11
- 206010020751 Hypersensitivity Diseases 0.000 description 11
- 101150105104 Kras gene Proteins 0.000 description 11
- 102100030086 Receptor tyrosine-protein kinase erbB-2 Human genes 0.000 description 11
- 238000012217 deletion Methods 0.000 description 11
- 230000037430 deletion Effects 0.000 description 11
- 125000002887 hydroxy group Chemical group [H]O* 0.000 description 11
- 229910052717 sulfur Inorganic materials 0.000 description 11
- 231100000419 toxicity Toxicity 0.000 description 11
- 230000001988 toxicity Effects 0.000 description 11
- OGWKCGZFUXNPDA-XQKSVPLYSA-N vincristine Chemical compound C([N@]1C[C@@H](C[C@]2(C(=O)OC)C=3C(=CC4=C([C@]56[C@H]([C@@]([C@H](OC(C)=O)[C@]7(CC)C=CCN([C@H]67)CC5)(O)C(=O)OC)N4C=O)C=3)OC)C[C@@](C1)(O)CC)CC1=C2NC2=CC=CC=C12 OGWKCGZFUXNPDA-XQKSVPLYSA-N 0.000 description 11
- 229960004528 vincristine Drugs 0.000 description 11
- OGWKCGZFUXNPDA-UHFFFAOYSA-N vincristine Natural products C1C(CC)(O)CC(CC2(C(=O)OC)C=3C(=CC4=C(C56C(C(C(OC(C)=O)C7(CC)C=CCN(C67)CC5)(O)C(=O)OC)N4C=O)C=3)OC)CN1CCC1=C2NC2=CC=CC=C12 OGWKCGZFUXNPDA-UHFFFAOYSA-N 0.000 description 11
- GBABOYUKABKIAF-IELIFDKJSA-N vinorelbine Chemical compound C1N(CC=2C3=CC=CC=C3NC=22)CC(CC)=C[C@H]1C[C@]2(C(=O)OC)C1=CC([C@]23[C@H]([C@@]([C@H](OC(C)=O)[C@]4(CC)C=CCN([C@H]34)CC2)(O)C(=O)OC)N2C)=C2C=C1OC GBABOYUKABKIAF-IELIFDKJSA-N 0.000 description 11
- 229960002066 vinorelbine Drugs 0.000 description 11
- NDMPLJNOPCLANR-UHFFFAOYSA-N 3,4-dihydroxy-15-(4-hydroxy-18-methoxycarbonyl-5,18-seco-ibogamin-18-yl)-16-methoxy-1-methyl-6,7-didehydro-aspidospermidine-3-carboxylic acid methyl ester Natural products C1C(CC)(O)CC(CC2(C(=O)OC)C=3C(=CC4=C(C56C(C(C(O)C7(CC)C=CCN(C67)CC5)(O)C(=O)OC)N4C)C=3)OC)CN1CCC1=C2NC2=CC=CC=C12 NDMPLJNOPCLANR-UHFFFAOYSA-N 0.000 description 10
- AOJJSUZBOXZQNB-VTZDEGQISA-N 4'-epidoxorubicin Chemical compound O([C@H]1C[C@@](O)(CC=2C(O)=C3C(=O)C=4C=CC=C(C=4C(=O)C3=C(O)C=21)OC)C(=O)CO)[C@H]1C[C@H](N)[C@@H](O)[C@H](C)O1 AOJJSUZBOXZQNB-VTZDEGQISA-N 0.000 description 10
- STQGQHZAVUOBTE-UHFFFAOYSA-N 7-Cyan-hept-2t-en-4,6-diinsaeure Natural products C1=2C(O)=C3C(=O)C=4C(OC)=CC=CC=4C(=O)C3=C(O)C=2CC(O)(C(C)=O)CC1OC1CC(N)C(O)C(C)O1 STQGQHZAVUOBTE-UHFFFAOYSA-N 0.000 description 10
- FJHBVJOVLFPMQE-QFIPXVFZSA-N 7-Ethyl-10-Hydroxy-Camptothecin Chemical compound C1=C(O)C=C2C(CC)=C(CN3C(C4=C([C@@](C(=O)OC4)(O)CC)C=C33)=O)C3=NC2=C1 FJHBVJOVLFPMQE-QFIPXVFZSA-N 0.000 description 10
- 102000003915 DNA Topoisomerases Human genes 0.000 description 10
- 108090000323 DNA Topoisomerases Proteins 0.000 description 10
- HTIJFSOGRVMCQR-UHFFFAOYSA-N Epirubicin Natural products COc1cccc2C(=O)c3c(O)c4CC(O)(CC(OC5CC(N)C(=O)C(C)O5)c4c(O)c3C(=O)c12)C(=O)CO HTIJFSOGRVMCQR-UHFFFAOYSA-N 0.000 description 10
- HKVAMNSJSFKALM-GKUWKFKPSA-N Everolimus Chemical compound C1C[C@@H](OCCO)[C@H](OC)C[C@@H]1C[C@@H](C)[C@H]1OC(=O)[C@@H]2CCCCN2C(=O)C(=O)[C@](O)(O2)[C@H](C)CC[C@H]2C[C@H](OC)/C(C)=C/C=C/C=C/[C@@H](C)C[C@@H](C)C(=O)[C@H](OC)[C@H](O)/C(C)=C/[C@@H](C)C(=O)C1 HKVAMNSJSFKALM-GKUWKFKPSA-N 0.000 description 10
- XDXDZDZNSLXDNA-TZNDIEGXSA-N Idarubicin Chemical compound C1[C@H](N)[C@H](O)[C@H](C)O[C@H]1O[C@@H]1C2=C(O)C(C(=O)C3=CC=CC=C3C3=O)=C3C(O)=C2C[C@@](O)(C(C)=O)C1 XDXDZDZNSLXDNA-TZNDIEGXSA-N 0.000 description 10
- XDXDZDZNSLXDNA-UHFFFAOYSA-N Idarubicin Natural products C1C(N)C(O)C(C)OC1OC1C2=C(O)C(C(=O)C3=CC=CC=C3C3=O)=C3C(O)=C2CC(O)(C(C)=O)C1 XDXDZDZNSLXDNA-UHFFFAOYSA-N 0.000 description 10
- 239000005551 L01XE03 - Erlotinib Substances 0.000 description 10
- 206010025323 Lymphomas Diseases 0.000 description 10
- 102000012338 Poly(ADP-ribose) Polymerases Human genes 0.000 description 10
- 108010061844 Poly(ADP-ribose) Polymerases Proteins 0.000 description 10
- 229920000776 Poly(Adenosine diphosphate-ribose) polymerase Polymers 0.000 description 10
- 239000002202 Polyethylene glycol Substances 0.000 description 10
- JXLYSJRDGCGARV-WWYNWVTFSA-N Vinblastine Natural products O=C(O[C@H]1[C@](O)(C(=O)OC)[C@@H]2N(C)c3c(cc(c(OC)c3)[C@]3(C(=O)OC)c4[nH]c5c(c4CCN4C[C@](O)(CC)C[C@H](C3)C4)cccc5)[C@@]32[C@H]2[C@@]1(CC)C=CCN2CC3)C JXLYSJRDGCGARV-WWYNWVTFSA-N 0.000 description 10
- 229940100198 alkylating agent Drugs 0.000 description 10
- 239000002168 alkylating agent Substances 0.000 description 10
- 208000026935 allergic disease Diseases 0.000 description 10
- 229960000975 daunorubicin Drugs 0.000 description 10
- STQGQHZAVUOBTE-VGBVRHCVSA-N daunorubicin Chemical compound O([C@H]1C[C@@](O)(CC=2C(O)=C3C(=O)C=4C=CC=C(C=4C(=O)C3=C(O)C=21)OC)C(C)=O)[C@H]1C[C@H](N)[C@H](O)[C@H](C)O1 STQGQHZAVUOBTE-VGBVRHCVSA-N 0.000 description 10
- 229960001904 epirubicin Drugs 0.000 description 10
- AAKJLRGGTJKAMG-UHFFFAOYSA-N erlotinib Chemical compound C=12C=C(OCCOC)C(OCCOC)=CC2=NC=NC=1NC1=CC=CC(C#C)=C1 AAKJLRGGTJKAMG-UHFFFAOYSA-N 0.000 description 10
- 150000004676 glycans Chemical class 0.000 description 10
- 230000009610 hypersensitivity Effects 0.000 description 10
- 229960000908 idarubicin Drugs 0.000 description 10
- 102000039446 nucleic acids Human genes 0.000 description 10
- 108020004707 nucleic acids Proteins 0.000 description 10
- 150000007523 nucleic acids Chemical class 0.000 description 10
- 229920001223 polyethylene glycol Polymers 0.000 description 10
- 238000007363 ring formation reaction Methods 0.000 description 10
- 229960000653 valrubicin Drugs 0.000 description 10
- ZOCKGBMQLCSHFP-KQRAQHLDSA-N valrubicin Chemical compound O([C@H]1C[C@](CC2=C(O)C=3C(=O)C4=CC=CC(OC)=C4C(=O)C=3C(O)=C21)(O)C(=O)COC(=O)CCCC)[C@H]1C[C@H](NC(=O)C(F)(F)F)[C@H](O)[C@H](C)O1 ZOCKGBMQLCSHFP-KQRAQHLDSA-N 0.000 description 10
- JXLYSJRDGCGARV-CFWMRBGOSA-N vinblastine Chemical compound C([C@H](C[C@]1(C(=O)OC)C=2C(=CC3=C([C@]45[C@H]([C@@]([C@H](OC(C)=O)[C@]6(CC)C=CCN([C@H]56)CC4)(O)C(=O)OC)N3C)C=2)OC)C[C@@](C2)(O)CC)N2CCC2=C1NC1=CC=CC=C21 JXLYSJRDGCGARV-CFWMRBGOSA-N 0.000 description 10
- 229960003048 vinblastine Drugs 0.000 description 10
- UGGWPQSBPIFKDZ-KOTLKJBCSA-N vindesine Chemical compound C([C@@H](C[C@]1(C(=O)OC)C=2C(=CC3=C([C@]45[C@H]([C@@]([C@H](O)[C@]6(CC)C=CCN([C@H]56)CC4)(O)C(N)=O)N3C)C=2)OC)C[C@@](C2)(O)CC)N2CCC2=C1N=C1[C]2C=CC=C1 UGGWPQSBPIFKDZ-KOTLKJBCSA-N 0.000 description 10
- 229960004355 vindesine Drugs 0.000 description 10
- 206010062878 Gastrooesophageal cancer Diseases 0.000 description 9
- DHMQDGOQFOQNFH-UHFFFAOYSA-N Glycine Natural products NCC(O)=O DHMQDGOQFOQNFH-UHFFFAOYSA-N 0.000 description 9
- UFHFLCQGNIYNRP-UHFFFAOYSA-N Hydrogen Chemical compound [H][H] UFHFLCQGNIYNRP-UHFFFAOYSA-N 0.000 description 9
- 208000006265 Renal cell carcinoma Diseases 0.000 description 9
- 108091008605 VEGF receptors Proteins 0.000 description 9
- 102000009484 Vascular Endothelial Growth Factor Receptors Human genes 0.000 description 9
- 229960002412 cediranib Drugs 0.000 description 9
- 229960001433 erlotinib Drugs 0.000 description 9
- 125000000524 functional group Chemical group 0.000 description 9
- 201000006974 gastroesophageal cancer Diseases 0.000 description 9
- UWKQSNNFCGGAFS-XIFFEERXSA-N irinotecan Chemical compound C1=C2C(CC)=C3CN(C(C4=C([C@@](C(=O)OC4)(O)CC)C=4)=O)C=4C3=NC2=CC=C1OC(=O)N(CC1)CCC1N1CCCCC1 UWKQSNNFCGGAFS-XIFFEERXSA-N 0.000 description 9
- 229960004768 irinotecan Drugs 0.000 description 9
- 239000002105 nanoparticle Substances 0.000 description 9
- 239000002243 precursor Substances 0.000 description 9
- UCFGDBYHRUNTLO-QHCPKHFHSA-N topotecan Chemical compound C1=C(O)C(CN(C)C)=C2C=C(CN3C4=CC5=C(C3=O)COC(=O)[C@]5(O)CC)C4=NC2=C1 UCFGDBYHRUNTLO-QHCPKHFHSA-N 0.000 description 9
- 229960000303 topotecan Drugs 0.000 description 9
- 239000002525 vasculotropin inhibitor Substances 0.000 description 9
- XXJWYDDUDKYVKI-UHFFFAOYSA-N 4-[(4-fluoro-2-methyl-1H-indol-5-yl)oxy]-6-methoxy-7-[3-(1-pyrrolidinyl)propoxy]quinazoline Chemical compound COC1=CC2=C(OC=3C(=C4C=C(C)NC4=CC=3)F)N=CN=C2C=C1OCCCN1CCCC1 XXJWYDDUDKYVKI-UHFFFAOYSA-N 0.000 description 8
- BUROJSBIWGDYCN-GAUTUEMISA-N AP 23573 Chemical compound C1C[C@@H](OP(C)(C)=O)[C@H](OC)C[C@@H]1C[C@@H](C)[C@H]1OC(=O)[C@@H]2CCCCN2C(=O)C(=O)[C@](O)(O2)[C@H](C)CC[C@H]2C[C@H](OC)/C(C)=C/C=C/C=C/[C@@H](C)C[C@@H](C)C(=O)[C@H](OC)[C@H](O)/C(C)=C/[C@@H](C)C(=O)C1 BUROJSBIWGDYCN-GAUTUEMISA-N 0.000 description 8
- 201000009030 Carcinoma Diseases 0.000 description 8
- 208000017891 HER2 positive breast carcinoma Diseases 0.000 description 8
- 208000035327 Oestrogen receptor positive breast cancer Diseases 0.000 description 8
- 208000003721 Triple Negative Breast Neoplasms Diseases 0.000 description 8
- 201000007280 estrogen-receptor negative breast cancer Diseases 0.000 description 8
- 201000007281 estrogen-receptor positive breast cancer Diseases 0.000 description 8
- 239000003446 ligand Substances 0.000 description 8
- 230000001394 metastastic effect Effects 0.000 description 8
- 229910052760 oxygen Inorganic materials 0.000 description 8
- 229940002612 prodrug Drugs 0.000 description 8
- 239000000651 prodrug Substances 0.000 description 8
- 238000001356 surgical procedure Methods 0.000 description 8
- 230000008685 targeting Effects 0.000 description 8
- NRUKOCRGYNPUPR-QBPJDGROSA-N teniposide Chemical compound COC1=C(O)C(OC)=CC([C@@H]2C3=CC=4OCOC=4C=C3[C@@H](O[C@H]3[C@@H]([C@@H](O)[C@@H]4O[C@@H](OC[C@H]4O3)C=3SC=CC=3)O)[C@@H]3[C@@H]2C(OC3)=O)=C1 NRUKOCRGYNPUPR-QBPJDGROSA-N 0.000 description 8
- 229960001278 teniposide Drugs 0.000 description 8
- 208000022679 triple-negative breast carcinoma Diseases 0.000 description 8
- CTLOSZHDGZLOQE-UHFFFAOYSA-N 14-methoxy-9-[(4-methylpiperazin-1-yl)methyl]-9,19-diazapentacyclo[10.7.0.02,6.07,11.013,18]nonadeca-1(12),2(6),7(11),13(18),14,16-hexaene-8,10-dione Chemical compound O=C1C2=C3C=4C(OC)=CC=CC=4NC3=C3CCCC3=C2C(=O)N1CN1CCN(C)CC1 CTLOSZHDGZLOQE-UHFFFAOYSA-N 0.000 description 7
- HXHAJRMTJXHJJZ-UHFFFAOYSA-N 3-[(4-bromo-2,6-difluorophenyl)methoxy]-5-(4-pyrrolidin-1-ylbutylcarbamoylamino)-1,2-thiazole-4-carboxamide Chemical group S1N=C(OCC=2C(=CC(Br)=CC=2F)F)C(C(=O)N)=C1NC(=O)NCCCCN1CCCC1 HXHAJRMTJXHJJZ-UHFFFAOYSA-N 0.000 description 7
- GSCPDZHWVNUUFI-UHFFFAOYSA-N 3-aminobenzamide Chemical compound NC(=O)C1=CC=CC(N)=C1 GSCPDZHWVNUUFI-UHFFFAOYSA-N 0.000 description 7
- MDOJTZQKHMAPBK-UHFFFAOYSA-N 4-iodo-3-nitrobenzamide Chemical compound NC(=O)C1=CC=C(I)C([N+]([O-])=O)=C1 MDOJTZQKHMAPBK-UHFFFAOYSA-N 0.000 description 7
- 102000001301 EGF receptor Human genes 0.000 description 7
- 108060006698 EGF receptor Proteins 0.000 description 7
- 239000002253 acid Substances 0.000 description 7
- 150000001875 compounds Chemical class 0.000 description 7
- 235000018417 cysteine Nutrition 0.000 description 7
- PCHKPVIQAHNQLW-CQSZACIVSA-N niraparib Chemical compound N1=C2C(C(=O)N)=CC=CC2=CN1C(C=C1)=CC=C1[C@@H]1CCCNC1 PCHKPVIQAHNQLW-CQSZACIVSA-N 0.000 description 7
- 229960000572 olaparib Drugs 0.000 description 7
- 229960001302 ridaforolimus Drugs 0.000 description 7
- FCCGJTKEKXUBFZ-UHFFFAOYSA-N rucaparib phosphate Chemical compound OP(O)(O)=O.C1=CC(CNC)=CC=C1C(N1)=C2CCNC(=O)C3=C2C1=CC(F)=C3 FCCGJTKEKXUBFZ-UHFFFAOYSA-N 0.000 description 7
- 229950011257 veliparib Drugs 0.000 description 7
- JNAHVYVRKWKWKQ-CYBMUJFWSA-N veliparib Chemical compound N=1C2=CC=CC(C(N)=O)=C2NC=1[C@@]1(C)CCCN1 JNAHVYVRKWKWKQ-CYBMUJFWSA-N 0.000 description 7
- 208000031261 Acute myeloid leukaemia Diseases 0.000 description 6
- 206010003445 Ascites Diseases 0.000 description 6
- 206010005003 Bladder cancer Diseases 0.000 description 6
- 208000011691 Burkitt lymphomas Diseases 0.000 description 6
- MPJKWIXIYCLVCU-UHFFFAOYSA-N Folinic acid Natural products NC1=NC2=C(N(C=O)C(CNc3ccc(cc3)C(=O)NC(CCC(=O)O)CC(=O)O)CN2)C(=O)N1 MPJKWIXIYCLVCU-UHFFFAOYSA-N 0.000 description 6
- 206010017993 Gastrointestinal neoplasms Diseases 0.000 description 6
- 201000010915 Glioblastoma multiforme Diseases 0.000 description 6
- 208000017604 Hodgkin disease Diseases 0.000 description 6
- 208000021519 Hodgkin lymphoma Diseases 0.000 description 6
- 208000010747 Hodgkins lymphoma Diseases 0.000 description 6
- 208000005726 Inflammatory Breast Neoplasms Diseases 0.000 description 6
- 206010021980 Inflammatory carcinoma of the breast Diseases 0.000 description 6
- XUJNEKJLAYXESH-REOHCLBHSA-N L-Cysteine Chemical compound SC[C@H](N)C(O)=O XUJNEKJLAYXESH-REOHCLBHSA-N 0.000 description 6
- 206010027476 Metastases Diseases 0.000 description 6
- 208000033776 Myeloid Acute Leukemia Diseases 0.000 description 6
- 208000015914 Non-Hodgkin lymphomas Diseases 0.000 description 6
- 229940122907 Phosphatase inhibitor Drugs 0.000 description 6
- 206010060862 Prostate cancer Diseases 0.000 description 6
- 208000000236 Prostatic Neoplasms Diseases 0.000 description 6
- 208000007097 Urinary Bladder Neoplasms Diseases 0.000 description 6
- 150000001413 amino acids Chemical group 0.000 description 6
- 229920000249 biocompatible polymer Polymers 0.000 description 6
- 238000003776 cleavage reaction Methods 0.000 description 6
- 229960002433 cysteine Drugs 0.000 description 6
- XUJNEKJLAYXESH-UHFFFAOYSA-N cysteine Natural products SCC(N)C(O)=O XUJNEKJLAYXESH-UHFFFAOYSA-N 0.000 description 6
- XGALLCVXEZPNRQ-UHFFFAOYSA-N gefitinib Chemical compound C=12C=C(OCCCN3CCOCC3)C(OC)=CC2=NC=NC=1NC1=CC=C(F)C(Cl)=C1 XGALLCVXEZPNRQ-UHFFFAOYSA-N 0.000 description 6
- 208000005017 glioblastoma Diseases 0.000 description 6
- 201000010536 head and neck cancer Diseases 0.000 description 6
- 208000014829 head and neck neoplasm Diseases 0.000 description 6
- 125000001072 heteroaryl group Chemical group 0.000 description 6
- RAXXELZNTBOGNW-UHFFFAOYSA-N imidazole Natural products C1=CNC=N1 RAXXELZNTBOGNW-UHFFFAOYSA-N 0.000 description 6
- 238000011532 immunohistochemical staining Methods 0.000 description 6
- 201000004653 inflammatory breast carcinoma Diseases 0.000 description 6
- 208000032839 leukemia Diseases 0.000 description 6
- 125000001570 methylene group Chemical group [H]C([H])([*:1])[*:2] 0.000 description 6
- 210000004498 neuroglial cell Anatomy 0.000 description 6
- QNDVLZJODHBUFM-WFXQOWMNSA-N okadaic acid Chemical compound C([C@H](O1)[C@H](C)/C=C/[C@H]2CC[C@@]3(CC[C@H]4O[C@@H](C([C@@H](O)[C@@H]4O3)=C)[C@@H](O)C[C@H](C)[C@@H]3[C@@H](CC[C@@]4(OCCCC4)O3)C)O2)C(C)=C[C@]21O[C@H](C[C@@](C)(O)C(O)=O)CC[C@H]2O QNDVLZJODHBUFM-WFXQOWMNSA-N 0.000 description 6
- VEFJHAYOIAAXEU-UHFFFAOYSA-N okadaic acid Natural products CC(CC(O)C1OC2CCC3(CCC(O3)C=CC(C)C4CC(=CC5(OC(CC(C)(O)C(=O)O)CCC5O)O4)C)OC2C(O)C1C)C6OC7(CCCCO7)CCC6C VEFJHAYOIAAXEU-UHFFFAOYSA-N 0.000 description 6
- 108090000765 processed proteins & peptides Proteins 0.000 description 6
- 208000015347 renal cell adenocarcinoma Diseases 0.000 description 6
- 230000007017 scission Effects 0.000 description 6
- 201000005112 urinary bladder cancer Diseases 0.000 description 6
- XLYOFNOQVPJJNP-UHFFFAOYSA-N water Substances O XLYOFNOQVPJJNP-UHFFFAOYSA-N 0.000 description 6
- FDKXTQMXEQVLRF-ZHACJKMWSA-N (E)-dacarbazine Chemical compound CN(C)\N=N\c1[nH]cnc1C(N)=O FDKXTQMXEQVLRF-ZHACJKMWSA-N 0.000 description 5
- CMSMOCZEIVJLDB-UHFFFAOYSA-N Cyclophosphamide Chemical compound ClCCN(CCCl)P1(=O)NCCCO1 CMSMOCZEIVJLDB-UHFFFAOYSA-N 0.000 description 5
- 239000004471 Glycine Substances 0.000 description 5
- 239000005411 L01XE02 - Gefitinib Substances 0.000 description 5
- 239000012661 PARP inhibitor Substances 0.000 description 5
- 229940121906 Poly ADP ribose polymerase inhibitor Drugs 0.000 description 5
- CBPNZQVSJQDFBE-FUXHJELOSA-N Temsirolimus Chemical compound C1C[C@@H](OC(=O)C(C)(CO)CO)[C@H](OC)C[C@@H]1C[C@@H](C)[C@H]1OC(=O)[C@@H]2CCCCN2C(=O)C(=O)[C@](O)(O2)[C@H](C)CC[C@H]2C[C@H](OC)/C(C)=C/C=C/C=C/[C@@H](C)C[C@@H](C)C(=O)[C@H](OC)[C@H](O)/C(C)=C/[C@@H](C)C(=O)C1 CBPNZQVSJQDFBE-FUXHJELOSA-N 0.000 description 5
- 229940024606 amino acid Drugs 0.000 description 5
- 229910052799 carbon Inorganic materials 0.000 description 5
- 229960005395 cetuximab Drugs 0.000 description 5
- HWGQMRYQVZSGDQ-HZPDHXFCSA-N chembl3137320 Chemical compound CN1N=CN=C1[C@H]([C@H](N1)C=2C=CC(F)=CC=2)C2=NNC(=O)C3=C2C1=CC(F)=C3 HWGQMRYQVZSGDQ-HZPDHXFCSA-N 0.000 description 5
- 229940097362 cyclodextrins Drugs 0.000 description 5
- 229960004397 cyclophosphamide Drugs 0.000 description 5
- 230000002255 enzymatic effect Effects 0.000 description 5
- 229960005167 everolimus Drugs 0.000 description 5
- 229960002584 gefitinib Drugs 0.000 description 5
- HOMGKSMUEGBAAB-UHFFFAOYSA-N ifosfamide Chemical compound ClCCNP1(=O)OCCCN1CCCl HOMGKSMUEGBAAB-UHFFFAOYSA-N 0.000 description 5
- 229960001101 ifosfamide Drugs 0.000 description 5
- SGDBTWWWUNNDEQ-LBPRGKRZSA-N melphalan Chemical compound OC(=O)[C@@H](N)CC1=CC=C(N(CCCl)CCCl)C=C1 SGDBTWWWUNNDEQ-LBPRGKRZSA-N 0.000 description 5
- 229960001924 melphalan Drugs 0.000 description 5
- 206010061289 metastatic neoplasm Diseases 0.000 description 5
- 229960001972 panitumumab Drugs 0.000 description 5
- ZAHRKKWIAAJSAO-UHFFFAOYSA-N rapamycin Natural products COCC(O)C(=C/C(C)C(=O)CC(OC(=O)C1CCCCN1C(=O)C(=O)C2(O)OC(CC(OC)C(=CC=CC=CC(C)CC(C)C(=O)C)C)CCC2C)C(C)CC3CCC(O)C(C3)OC)C ZAHRKKWIAAJSAO-UHFFFAOYSA-N 0.000 description 5
- QFJCIRLUMZQUOT-HPLJOQBZSA-N sirolimus Chemical compound C1C[C@@H](O)[C@H](OC)C[C@@H]1C[C@@H](C)[C@H]1OC(=O)[C@@H]2CCCCN2C(=O)C(=O)[C@](O)(O2)[C@H](C)CC[C@H]2C[C@H](OC)/C(C)=C/C=C/C=C/[C@@H](C)C[C@@H](C)C(=O)[C@H](OC)[C@H](O)/C(C)=C/[C@@H](C)C(=O)C1 QFJCIRLUMZQUOT-HPLJOQBZSA-N 0.000 description 5
- 229960002930 sirolimus Drugs 0.000 description 5
- 238000006467 substitution reaction Methods 0.000 description 5
- 229960000235 temsirolimus Drugs 0.000 description 5
- 230000036325 urinary excretion Effects 0.000 description 5
- CQOQDQWUFQDJMK-SSTWWWIQSA-N 2-methoxy-17beta-estradiol Chemical compound C([C@@H]12)C[C@]3(C)[C@@H](O)CC[C@H]3[C@@H]1CCC1=C2C=C(OC)C(O)=C1 CQOQDQWUFQDJMK-SSTWWWIQSA-N 0.000 description 4
- 239000004475 Arginine Substances 0.000 description 4
- 206010055113 Breast cancer metastatic Diseases 0.000 description 4
- OKTJSMMVPCPJKN-UHFFFAOYSA-N Carbon Chemical group [C] OKTJSMMVPCPJKN-UHFFFAOYSA-N 0.000 description 4
- 229940122957 Histamine H2 receptor antagonist Drugs 0.000 description 4
- 208000008839 Kidney Neoplasms Diseases 0.000 description 4
- ROHFNLRQFUQHCH-UHFFFAOYSA-N Leucine Natural products CC(C)CC(N)C(O)=O ROHFNLRQFUQHCH-UHFFFAOYSA-N 0.000 description 4
- 206010038389 Renal cancer Diseases 0.000 description 4
- BPEGJWRSRHCHSN-UHFFFAOYSA-N Temozolomide Chemical compound O=C1N(C)N=NC2=C(C(N)=O)N=CN21 BPEGJWRSRHCHSN-UHFFFAOYSA-N 0.000 description 4
- 101710183280 Topoisomerase Proteins 0.000 description 4
- 125000003342 alkenyl group Chemical group 0.000 description 4
- 125000003545 alkoxy group Chemical group 0.000 description 4
- 125000002947 alkylene group Chemical group 0.000 description 4
- 235000001014 amino acid Nutrition 0.000 description 4
- 125000003277 amino group Chemical group 0.000 description 4
- 239000000739 antihistaminic agent Substances 0.000 description 4
- ODKSFYDXXFIFQN-UHFFFAOYSA-N arginine Natural products OC(=O)C(N)CCCNC(N)=N ODKSFYDXXFIFQN-UHFFFAOYSA-N 0.000 description 4
- 125000004429 atom Chemical group 0.000 description 4
- 238000006243 chemical reaction Methods 0.000 description 4
- ZNEWHQLOPFWXOF-UHFFFAOYSA-N coenzyme M Chemical compound OS(=O)(=O)CCS ZNEWHQLOPFWXOF-UHFFFAOYSA-N 0.000 description 4
- 239000003246 corticosteroid Substances 0.000 description 4
- 125000000753 cycloalkyl group Chemical group 0.000 description 4
- 125000005842 heteroatom Chemical group 0.000 description 4
- 125000000592 heterocycloalkyl group Chemical group 0.000 description 4
- 125000000743 hydrocarbylene group Chemical group 0.000 description 4
- 238000007912 intraperitoneal administration Methods 0.000 description 4
- 201000010982 kidney cancer Diseases 0.000 description 4
- 239000002207 metabolite Substances 0.000 description 4
- 125000002496 methyl group Chemical group [H]C([H])([H])* 0.000 description 4
- 229920000747 poly(lactic acid) Polymers 0.000 description 4
- 229920002643 polyglutamic acid Polymers 0.000 description 4
- 108090000623 proteins and genes Proteins 0.000 description 4
- 229960004964 temozolomide Drugs 0.000 description 4
- 125000001981 tert-butyldimethylsilyl group Chemical group [H]C([H])([H])[Si]([H])(C([H])([H])[H])[*]C(C([H])([H])[H])(C([H])([H])[H])C([H])([H])[H] 0.000 description 4
- 230000002485 urinary effect Effects 0.000 description 4
- SPMVMDHWKHCIDT-UHFFFAOYSA-N 1-[2-chloro-4-[(6,7-dimethoxy-4-quinolinyl)oxy]phenyl]-3-(5-methyl-3-isoxazolyl)urea Chemical compound C=12C=C(OC)C(OC)=CC2=NC=CC=1OC(C=C1Cl)=CC=C1NC(=O)NC=1C=C(C)ON=1 SPMVMDHWKHCIDT-UHFFFAOYSA-N 0.000 description 3
- 229920001450 Alpha-Cyclodextrin Polymers 0.000 description 3
- 206010061424 Anal cancer Diseases 0.000 description 3
- 208000007860 Anus Neoplasms Diseases 0.000 description 3
- 101150015280 Cel gene Proteins 0.000 description 3
- 206010008342 Cervix carcinoma Diseases 0.000 description 3
- 108010016626 Dipeptides Proteins 0.000 description 3
- 206010014733 Endometrial cancer Diseases 0.000 description 3
- 206010014759 Endometrial neoplasm Diseases 0.000 description 3
- VGGSQFUCUMXWEO-UHFFFAOYSA-N Ethene Chemical compound C=C VGGSQFUCUMXWEO-UHFFFAOYSA-N 0.000 description 3
- 239000005977 Ethylene Substances 0.000 description 3
- 208000006168 Ewing Sarcoma Diseases 0.000 description 3
- 201000001342 Fallopian tube cancer Diseases 0.000 description 3
- 208000013452 Fallopian tube neoplasm Diseases 0.000 description 3
- 208000022072 Gallbladder Neoplasms Diseases 0.000 description 3
- WQZGKKKJIJFFOK-GASJEMHNSA-N Glucose Natural products OC[C@H]1OC(O)[C@H](O)[C@@H](O)[C@@H]1O WQZGKKKJIJFFOK-GASJEMHNSA-N 0.000 description 3
- 206010062904 Hormone-refractory prostate cancer Diseases 0.000 description 3
- QNAYBMKLOCPYGJ-REOHCLBHSA-N L-alanine Chemical compound C[C@H](N)C(O)=O QNAYBMKLOCPYGJ-REOHCLBHSA-N 0.000 description 3
- ODKSFYDXXFIFQN-BYPYZUCNSA-P L-argininium(2+) Chemical compound NC(=[NH2+])NCCC[C@H]([NH3+])C(O)=O ODKSFYDXXFIFQN-BYPYZUCNSA-P 0.000 description 3
- 206010023825 Laryngeal cancer Diseases 0.000 description 3
- 206010061306 Nasopharyngeal cancer Diseases 0.000 description 3
- 229920002873 Polyethylenimine Polymers 0.000 description 3
- 229920000954 Polyglycolide Polymers 0.000 description 3
- MTCFGRXMJLQNBG-UHFFFAOYSA-N Serine Natural products OCC(N)C(O)=O MTCFGRXMJLQNBG-UHFFFAOYSA-N 0.000 description 3
- FAPWRFPIFSIZLT-UHFFFAOYSA-M Sodium chloride Chemical compound [Na+].[Cl-] FAPWRFPIFSIZLT-UHFFFAOYSA-M 0.000 description 3
- 208000000102 Squamous Cell Carcinoma of Head and Neck Diseases 0.000 description 3
- GUGOEEXESWIERI-UHFFFAOYSA-N Terfenadine Chemical compound C1=CC(C(C)(C)C)=CC=C1C(O)CCCN1CCC(C(O)(C=2C=CC=CC=2)C=2C=CC=CC=2)CC1 GUGOEEXESWIERI-UHFFFAOYSA-N 0.000 description 3
- 208000024313 Testicular Neoplasms Diseases 0.000 description 3
- 206010057644 Testis cancer Diseases 0.000 description 3
- 208000024770 Thyroid neoplasm Diseases 0.000 description 3
- 208000006105 Uterine Cervical Neoplasms Diseases 0.000 description 3
- 235000004279 alanine Nutrition 0.000 description 3
- 150000001412 amines Chemical class 0.000 description 3
- 150000008064 anhydrides Chemical class 0.000 description 3
- 230000001387 anti-histamine Effects 0.000 description 3
- 201000011165 anus cancer Diseases 0.000 description 3
- 125000003710 aryl alkyl group Chemical group 0.000 description 3
- MOTJMGVDPWRKOC-QPVYNBJUSA-N atrasentan Chemical compound C1([C@H]2[C@@H]([C@H](CN2CC(=O)N(CCCC)CCCC)C=2C=C3OCOC3=CC=2)C(O)=O)=CC=C(OC)C=C1 MOTJMGVDPWRKOC-QPVYNBJUSA-N 0.000 description 3
- 230000002238 attenuated effect Effects 0.000 description 3
- 201000010881 cervical cancer Diseases 0.000 description 3
- 208000029742 colonic neoplasm Diseases 0.000 description 3
- 238000002591 computed tomography Methods 0.000 description 3
- JMZZXKLQQWGKQV-QFIPXVFZSA-N cpt-gly Chemical compound C1=CC=C2C=C(CN3C4=CC5=C(C3=O)COC(=O)[C@]5(OC(=O)CN)CC)C4=NC2=C1 JMZZXKLQQWGKQV-QFIPXVFZSA-N 0.000 description 3
- 125000000151 cysteine group Chemical group N[C@@H](CS)C(=O)* 0.000 description 3
- 238000012377 drug delivery Methods 0.000 description 3
- 230000002357 endometrial effect Effects 0.000 description 3
- 201000010175 gallbladder cancer Diseases 0.000 description 3
- 239000000499 gel Substances 0.000 description 3
- 125000003827 glycol group Chemical group 0.000 description 3
- 229910052736 halogen Inorganic materials 0.000 description 3
- 125000005843 halogen group Chemical group 0.000 description 3
- 201000000459 head and neck squamous cell carcinoma Diseases 0.000 description 3
- 239000003485 histamine H2 receptor antagonist Substances 0.000 description 3
- 125000001183 hydrocarbyl group Chemical group 0.000 description 3
- 150000002431 hydrogen Chemical class 0.000 description 3
- 238000003364 immunohistochemistry Methods 0.000 description 3
- 238000001727 in vivo Methods 0.000 description 3
- 206010023841 laryngeal neoplasm Diseases 0.000 description 3
- 201000005243 lung squamous cell carcinoma Diseases 0.000 description 3
- 210000004324 lymphatic system Anatomy 0.000 description 3
- 210000004788 neurological cell Anatomy 0.000 description 3
- 230000000926 neurological effect Effects 0.000 description 3
- 210000003101 oviduct Anatomy 0.000 description 3
- 201000002628 peritoneum cancer Diseases 0.000 description 3
- 238000006116 polymerization reaction Methods 0.000 description 3
- UVSMNLNDYGZFPF-UHFFFAOYSA-N pomalidomide Chemical compound O=C1C=2C(N)=CC=CC=2C(=O)N1C1CCC(=O)NC1=O UVSMNLNDYGZFPF-UHFFFAOYSA-N 0.000 description 3
- 210000002307 prostate Anatomy 0.000 description 3
- 230000000306 recurrent effect Effects 0.000 description 3
- 235000004400 serine Nutrition 0.000 description 3
- 239000011780 sodium chloride Substances 0.000 description 3
- 125000000547 substituted alkyl group Chemical group 0.000 description 3
- 201000003120 testicular cancer Diseases 0.000 description 3
- 201000002510 thyroid cancer Diseases 0.000 description 3
- 239000012130 whole-cell lysate Substances 0.000 description 3
- MTCFGRXMJLQNBG-REOHCLBHSA-N (2S)-2-Amino-3-hydroxypropansäure Chemical compound OC[C@H](N)C(O)=O MTCFGRXMJLQNBG-REOHCLBHSA-N 0.000 description 2
- FQVLRGLGWNWPSS-BXBUPLCLSA-N (4r,7s,10s,13s,16r)-16-acetamido-13-(1h-imidazol-5-ylmethyl)-10-methyl-6,9,12,15-tetraoxo-7-propan-2-yl-1,2-dithia-5,8,11,14-tetrazacycloheptadecane-4-carboxamide Chemical compound N1C(=O)[C@@H](NC(C)=O)CSSC[C@@H](C(N)=O)NC(=O)[C@H](C(C)C)NC(=O)[C@H](C)NC(=O)[C@@H]1CC1=CN=CN1 FQVLRGLGWNWPSS-BXBUPLCLSA-N 0.000 description 2
- YABJJWZLRMPFSI-UHFFFAOYSA-N 1-methyl-5-[[2-[5-(trifluoromethyl)-1H-imidazol-2-yl]-4-pyridinyl]oxy]-N-[4-(trifluoromethyl)phenyl]-2-benzimidazolamine Chemical compound N=1C2=CC(OC=3C=C(N=CC=3)C=3NC(=CN=3)C(F)(F)F)=CC=C2N(C)C=1NC1=CC=C(C(F)(F)F)C=C1 YABJJWZLRMPFSI-UHFFFAOYSA-N 0.000 description 2
- KNUCVCTWSZQZDG-UHFFFAOYSA-N 3,4-bis(ethenyl)furan-2,5-dione Chemical compound C(=C)/C/1=C(/C(=O)OC\1=O)\C=C KNUCVCTWSZQZDG-UHFFFAOYSA-N 0.000 description 2
- FGTCROZDHDSNIO-UHFFFAOYSA-N 3-(4-quinolinylmethylamino)-N-[4-(trifluoromethoxy)phenyl]-2-thiophenecarboxamide Chemical compound C1=CC(OC(F)(F)F)=CC=C1NC(=O)C1=C(NCC=2C3=CC=CC=C3N=CC=2)C=CS1 FGTCROZDHDSNIO-UHFFFAOYSA-N 0.000 description 2
- WLCZTRVUXYALDD-IBGZPJMESA-N 7-[[(2s)-2,6-bis(2-methoxyethoxycarbonylamino)hexanoyl]amino]heptoxy-methylphosphinic acid Chemical compound COCCOC(=O)NCCCC[C@H](NC(=O)OCCOC)C(=O)NCCCCCCCOP(C)(O)=O WLCZTRVUXYALDD-IBGZPJMESA-N 0.000 description 2
- 229940125668 ADH-1 Drugs 0.000 description 2
- XKJMBINCVNINCA-UHFFFAOYSA-N Alfalone Chemical compound CON(C)C(=O)NC1=CC=C(Cl)C(Cl)=C1 XKJMBINCVNINCA-UHFFFAOYSA-N 0.000 description 2
- IJGRMHOSHXDMSA-UHFFFAOYSA-N Atomic nitrogen Chemical group N#N IJGRMHOSHXDMSA-UHFFFAOYSA-N 0.000 description 2
- 101100516040 Caenorhabditis elegans nra-2 gene Proteins 0.000 description 2
- 102000004225 Cathepsin B Human genes 0.000 description 2
- 108090000712 Cathepsin B Proteins 0.000 description 2
- 102000005600 Cathepsins Human genes 0.000 description 2
- 108010084457 Cathepsins Proteins 0.000 description 2
- 229920002307 Dextran Polymers 0.000 description 2
- YMWUJEATGCHHMB-UHFFFAOYSA-N Dichloromethane Chemical compound ClCCl YMWUJEATGCHHMB-UHFFFAOYSA-N 0.000 description 2
- 102000004190 Enzymes Human genes 0.000 description 2
- 108090000790 Enzymes Proteins 0.000 description 2
- QXRSDHAAWVKZLJ-OXZHEXMSSA-N Epothilone B Natural products O=C1[C@H](C)[C@H](O)[C@@H](C)CCC[C@@]2(C)O[C@H]2C[C@@H](/C(=C\c2nc(C)sc2)/C)OC(=O)C[C@H](O)C1(C)C QXRSDHAAWVKZLJ-OXZHEXMSSA-N 0.000 description 2
- XOZIUKBZLSUILX-SDMHVBBESA-N Epothilone D Natural products O=C1[C@H](C)[C@@H](O)[C@@H](C)CCC/C(/C)=C/C[C@@H](/C(=C\c2nc(C)sc2)/C)OC(=O)C[C@H](O)C1(C)C XOZIUKBZLSUILX-SDMHVBBESA-N 0.000 description 2
- LYCAIKOWRPUZTN-UHFFFAOYSA-N Ethylene glycol Chemical compound OCCO LYCAIKOWRPUZTN-UHFFFAOYSA-N 0.000 description 2
- 229920001612 Hydroxyethyl starch Polymers 0.000 description 2
- ROHFNLRQFUQHCH-YFKPBYRVSA-N L-leucine Chemical compound CC(C)C[C@H](N)C(O)=O ROHFNLRQFUQHCH-YFKPBYRVSA-N 0.000 description 2
- 241000124008 Mammalia Species 0.000 description 2
- XOGTZOOQQBDUSI-UHFFFAOYSA-M Mesna Chemical compound [Na+].[O-]S(=O)(=O)CCS XOGTZOOQQBDUSI-UHFFFAOYSA-M 0.000 description 2
- 241001465754 Metazoa Species 0.000 description 2
- 208000002454 Nasopharyngeal Carcinoma Diseases 0.000 description 2
- 239000004698 Polyethylene Substances 0.000 description 2
- 108010020346 Polyglutamic Acid Proteins 0.000 description 2
- BFZKMNSQCNVFGM-UCEYFQQTSA-N Sagopilone Chemical compound O1C(=O)C[C@H](O)C(C)(C)C(=O)[C@H](CC=C)[C@@H](O)[C@@H](C)CCC[C@@]2(C)O[C@H]2C[C@H]1C1=CC=C(SC(C)=N2)C2=C1 BFZKMNSQCNVFGM-UCEYFQQTSA-N 0.000 description 2
- NINIDFKCEFEMDL-UHFFFAOYSA-N Sulfur Chemical compound [S] NINIDFKCEFEMDL-UHFFFAOYSA-N 0.000 description 2
- 230000002378 acidificating effect Effects 0.000 description 2
- ORILYTVJVMAKLC-UHFFFAOYSA-N adamantane Chemical compound C1C(C2)CC3CC1CC2C3 ORILYTVJVMAKLC-UHFFFAOYSA-N 0.000 description 2
- 108010081667 aflibercept Proteins 0.000 description 2
- 229960003982 apatinib Drugs 0.000 description 2
- 229960003005 axitinib Drugs 0.000 description 2
- RITAVMQDGBJQJZ-FMIVXFBMSA-N axitinib Chemical compound CNC(=O)C1=CC=CC=C1SC1=CC=C(C(\C=C\C=2N=CC=CC=2)=NN2)C2=C1 RITAVMQDGBJQJZ-FMIVXFBMSA-N 0.000 description 2
- 125000000852 azido group Chemical group *N=[N+]=[N-] 0.000 description 2
- 125000005605 benzo group Chemical group 0.000 description 2
- WHGYBXFWUBPSRW-FOUAGVGXSA-N beta-cyclodextrin Chemical compound OC[C@H]([C@H]([C@@H]([C@H]1O)O)O[C@H]2O[C@@H]([C@@H](O[C@H]3O[C@H](CO)[C@H]([C@@H]([C@H]3O)O)O[C@H]3O[C@H](CO)[C@H]([C@@H]([C@H]3O)O)O[C@H]3O[C@H](CO)[C@H]([C@@H]([C@H]3O)O)O[C@H]3O[C@H](CO)[C@H]([C@@H]([C@H]3O)O)O3)[C@H](O)[C@H]2O)CO)O[C@@H]1O[C@H]1[C@H](O)[C@@H](O)[C@@H]3O[C@@H]1CO WHGYBXFWUBPSRW-FOUAGVGXSA-N 0.000 description 2
- 229960004853 betadex Drugs 0.000 description 2
- RZEKVGVHFLEQIL-UHFFFAOYSA-N celecoxib Chemical compound C1=CC(C)=CC=C1C1=CC(C(F)(F)F)=NN1C1=CC=C(S(N)(=O)=O)C=C1 RZEKVGVHFLEQIL-UHFFFAOYSA-N 0.000 description 2
- ZXFCRFYULUUSDW-OWXODZSWSA-N chembl2104970 Chemical compound C([C@H]1C2)C3=CC=CC(O)=C3C(=O)C1=C(O)[C@@]1(O)[C@@H]2CC(O)=C(C(=O)N)C1=O ZXFCRFYULUUSDW-OWXODZSWSA-N 0.000 description 2
- 229950009003 cilengitide Drugs 0.000 description 2
- AMLYAMJWYAIXIA-VWNVYAMZSA-N cilengitide Chemical compound N1C(=O)[C@H](CC(O)=O)NC(=O)CNC(=O)[C@H](CCCN=C(N)N)NC(=O)[C@H](C(C)C)N(C)C(=O)[C@H]1CC1=CC=CC=C1 AMLYAMJWYAIXIA-VWNVYAMZSA-N 0.000 description 2
- VFLDPWHFBUODDF-FCXRPNKRSA-N curcumin Chemical compound C1=C(O)C(OC)=CC(\C=C\C(=O)CC(=O)\C=C\C=2C=C(OC)C(O)=CC=2)=C1 VFLDPWHFBUODDF-FCXRPNKRSA-N 0.000 description 2
- 125000004093 cyano group Chemical group *C#N 0.000 description 2
- 201000003146 cystitis Diseases 0.000 description 2
- XOZIUKBZLSUILX-UHFFFAOYSA-N desoxyepothilone B Natural products O1C(=O)CC(O)C(C)(C)C(=O)C(C)C(O)C(C)CCCC(C)=CCC1C(C)=CC1=CSC(C)=N1 XOZIUKBZLSUILX-UHFFFAOYSA-N 0.000 description 2
- UREBDLICKHMUKA-CXSFZGCWSA-N dexamethasone Chemical compound C1CC2=CC(=O)C=C[C@]2(C)[C@]2(F)[C@@H]1[C@@H]1C[C@@H](C)[C@@](C(=O)CO)(O)[C@@]1(C)C[C@@H]2O UREBDLICKHMUKA-CXSFZGCWSA-N 0.000 description 2
- 229960003957 dexamethasone Drugs 0.000 description 2
- ZZVUWRFHKOJYTH-UHFFFAOYSA-N diphenhydramine Chemical compound C=1C=CC=CC=1C(OCCN(C)C)C1=CC=CC=C1 ZZVUWRFHKOJYTH-UHFFFAOYSA-N 0.000 description 2
- 229960000520 diphenhydramine Drugs 0.000 description 2
- 125000002228 disulfide group Chemical group 0.000 description 2
- 229940088598 enzyme Drugs 0.000 description 2
- 229930013356 epothilone Natural products 0.000 description 2
- HESCAJZNRMSMJG-HGYUPSKWSA-N epothilone A Natural products O=C1[C@H](C)[C@H](O)[C@H](C)CCC[C@H]2O[C@H]2C[C@@H](/C(=C\c2nc(C)sc2)/C)OC(=O)C[C@H](O)C1(C)C HESCAJZNRMSMJG-HGYUPSKWSA-N 0.000 description 2
- QXRSDHAAWVKZLJ-PVYNADRNSA-N epothilone B Chemical compound C/C([C@@H]1C[C@@H]2O[C@]2(C)CCC[C@@H]([C@@H]([C@@H](C)C(=O)C(C)(C)[C@@H](O)CC(=O)O1)O)C)=C\C1=CSC(C)=N1 QXRSDHAAWVKZLJ-PVYNADRNSA-N 0.000 description 2
- XOZIUKBZLSUILX-GIQCAXHBSA-N epothilone D Chemical compound O1C(=O)C[C@H](O)C(C)(C)C(=O)[C@H](C)[C@@H](O)[C@@H](C)CCC\C(C)=C/C[C@H]1C(\C)=C\C1=CSC(C)=N1 XOZIUKBZLSUILX-GIQCAXHBSA-N 0.000 description 2
- 150000003883 epothilone derivatives Chemical class 0.000 description 2
- 229940011871 estrogen Drugs 0.000 description 2
- 239000000262 estrogen Substances 0.000 description 2
- XUFQPHANEAPEMJ-UHFFFAOYSA-N famotidine Chemical compound NC(N)=NC1=NC(CSCCC(N)=NS(N)(=O)=O)=CS1 XUFQPHANEAPEMJ-UHFFFAOYSA-N 0.000 description 2
- 229960001596 famotidine Drugs 0.000 description 2
- 125000001153 fluoro group Chemical group F* 0.000 description 2
- OVBPIULPVIDEAO-LBPRGKRZSA-N folic acid Chemical compound C=1N=C2NC(N)=NC(=O)C2=NC=1CNC1=CC=C(C(=O)N[C@@H](CCC(O)=O)C(O)=O)C=C1 OVBPIULPVIDEAO-LBPRGKRZSA-N 0.000 description 2
- 150000002367 halogens Chemical class 0.000 description 2
- HYFHYPWGAURHIV-UHFFFAOYSA-N homoharringtonine Natural products C1=C2CCN3CCCC43C=C(OC)C(OC(=O)C(O)(CCCC(C)(C)O)CC(=O)OC)C4C2=CC2=C1OCO2 HYFHYPWGAURHIV-UHFFFAOYSA-N 0.000 description 2
- 230000002209 hydrophobic effect Effects 0.000 description 2
- 229940050526 hydroxyethylstarch Drugs 0.000 description 2
- 229950006359 icrucumab Drugs 0.000 description 2
- 238000003780 insertion Methods 0.000 description 2
- 230000037431 insertion Effects 0.000 description 2
- FZWBNHMXJMCXLU-BLAUPYHCSA-N isomaltotriose Chemical group O[C@@H]1[C@@H](O)[C@H](O)[C@@H](CO)O[C@@H]1OC[C@@H]1[C@@H](O)[C@H](O)[C@@H](O)[C@@H](OC[C@@H](O)[C@@H](O)[C@H](O)[C@@H](O)C=O)O1 FZWBNHMXJMCXLU-BLAUPYHCSA-N 0.000 description 2
- 210000003734 kidney Anatomy 0.000 description 2
- 150000002614 leucines Chemical class 0.000 description 2
- 210000004185 liver Anatomy 0.000 description 2
- 238000004519 manufacturing process Methods 0.000 description 2
- 239000000178 monomer Substances 0.000 description 2
- WPEWQEMJFLWMLV-UHFFFAOYSA-N n-[4-(1-cyanocyclopentyl)phenyl]-2-(pyridin-4-ylmethylamino)pyridine-3-carboxamide Chemical compound C=1C=CN=C(NCC=2C=CN=CC=2)C=1C(=O)NC(C=C1)=CC=C1C1(C#N)CCCC1 WPEWQEMJFLWMLV-UHFFFAOYSA-N 0.000 description 2
- 201000011216 nasopharynx carcinoma Diseases 0.000 description 2
- 230000007935 neutral effect Effects 0.000 description 2
- 230000003472 neutralizing effect Effects 0.000 description 2
- 125000000449 nitro group Chemical group [O-][N+](*)=O 0.000 description 2
- 239000000041 non-steroidal anti-inflammatory agent Substances 0.000 description 2
- 229940021182 non-steroidal anti-inflammatory drug Drugs 0.000 description 2
- 229920001542 oligosaccharide Polymers 0.000 description 2
- 150000002482 oligosaccharides Chemical class 0.000 description 2
- HYFHYPWGAURHIV-JFIAXGOJSA-N omacetaxine mepesuccinate Chemical compound C1=C2CCN3CCC[C@]43C=C(OC)[C@@H](OC(=O)[C@@](O)(CCCC(C)(C)O)CC(=O)OC)[C@H]4C2=CC2=C1OCO2 HYFHYPWGAURHIV-JFIAXGOJSA-N 0.000 description 2
- FPOHNWQLNRZRFC-ZHACJKMWSA-N panobinostat Chemical compound CC=1NC2=CC=CC=C2C=1CCNCC1=CC=C(\C=C\C(=O)NO)C=C1 FPOHNWQLNRZRFC-ZHACJKMWSA-N 0.000 description 2
- 229960005415 pasireotide Drugs 0.000 description 2
- 108700017947 pasireotide Proteins 0.000 description 2
- CUIHSIWYWATEQL-UHFFFAOYSA-N pazopanib Chemical compound C1=CC2=C(C)N(C)N=C2C=C1N(C)C(N=1)=CC=NC=1NC1=CC=C(C)C(S(N)(=O)=O)=C1 CUIHSIWYWATEQL-UHFFFAOYSA-N 0.000 description 2
- 229920000728 polyester Polymers 0.000 description 2
- 229920000573 polyethylene Polymers 0.000 description 2
- 239000004633 polyglycolic acid Substances 0.000 description 2
- 239000004626 polylactic acid Substances 0.000 description 2
- 229920002451 polyvinyl alcohol Polymers 0.000 description 2
- 229960000688 pomalidomide Drugs 0.000 description 2
- XOFYZVNMUHMLCC-ZPOLXVRWSA-N prednisone Chemical compound O=C1C=C[C@]2(C)[C@H]3C(=O)C[C@](C)([C@@](CC4)(O)C(=O)CO)[C@@H]4[C@@H]3CCC2=C1 XOFYZVNMUHMLCC-ZPOLXVRWSA-N 0.000 description 2
- 229960004618 prednisone Drugs 0.000 description 2
- 125000002924 primary amino group Chemical group [H]N([H])* 0.000 description 2
- 229950003608 prinomastat Drugs 0.000 description 2
- YKPYIPVDTNNYCN-INIZCTEOSA-N prinomastat Chemical compound ONC(=O)[C@H]1C(C)(C)SCCN1S(=O)(=O)C(C=C1)=CC=C1OC1=CC=NC=C1 YKPYIPVDTNNYCN-INIZCTEOSA-N 0.000 description 2
- VMXUWOKSQNHOCA-LCYFTJDESA-N ranitidine Chemical compound [O-][N+](=O)/C=C(/NC)NCCSCC1=CC=C(CN(C)C)O1 VMXUWOKSQNHOCA-LCYFTJDESA-N 0.000 description 2
- 229960000620 ranitidine Drugs 0.000 description 2
- 101150077543 st gene Proteins 0.000 description 2
- 150000003431 steroids Chemical class 0.000 description 2
- 239000011593 sulfur Substances 0.000 description 2
- UXXQOJXBIDBUAC-UHFFFAOYSA-N tandutinib Chemical compound COC1=CC2=C(N3CCN(CC3)C(=O)NC=3C=CC(OC(C)C)=CC=3)N=CN=C2C=C1OCCCN1CCCCC1 UXXQOJXBIDBUAC-UHFFFAOYSA-N 0.000 description 2
- 230000001225 therapeutic effect Effects 0.000 description 2
- 150000003573 thiols Chemical class 0.000 description 2
- 229950000578 vatalanib Drugs 0.000 description 2
- YCOYDOIWSSHVCK-UHFFFAOYSA-N vatalanib Chemical compound C1=CC(Cl)=CC=C1NC(C1=CC=CC=C11)=NN=C1CC1=CC=NC=C1 YCOYDOIWSSHVCK-UHFFFAOYSA-N 0.000 description 2
- 230000001792 virilizing effect Effects 0.000 description 2
- AKNNEGZIBPJZJG-MSOLQXFVSA-N (-)-noscapine Chemical compound CN1CCC2=CC=3OCOC=3C(OC)=C2[C@@H]1[C@@H]1C2=CC=C(OC)C(OC)=C2C(=O)O1 AKNNEGZIBPJZJG-MSOLQXFVSA-N 0.000 description 1
- WCWUXEGQKLTGDX-LLVKDONJSA-N (2R)-1-[[4-[(4-fluoro-2-methyl-1H-indol-5-yl)oxy]-5-methyl-6-pyrrolo[2,1-f][1,2,4]triazinyl]oxy]-2-propanol Chemical compound C1=C2NC(C)=CC2=C(F)C(OC2=NC=NN3C=C(C(=C32)C)OC[C@H](O)C)=C1 WCWUXEGQKLTGDX-LLVKDONJSA-N 0.000 description 1
- KGWWHPZQLVVAPT-STTJLUEPSA-N (2r,3r)-2,3-dihydroxybutanedioic acid;6-(4-methylpiperazin-1-yl)-n-(5-methyl-1h-pyrazol-3-yl)-2-[(e)-2-phenylethenyl]pyrimidin-4-amine Chemical compound OC(=O)[C@H](O)[C@@H](O)C(O)=O.C1CN(C)CCN1C1=CC(NC2=NNC(C)=C2)=NC(\C=C\C=2C=CC=CC=2)=N1 KGWWHPZQLVVAPT-STTJLUEPSA-N 0.000 description 1
- RIWLPSIAFBLILR-WVNGMBSFSA-N (2s)-1-[(2s)-2-[[(2s,3s)-2-[[(2s)-2-[[(2s,3r)-2-[[(2r,3s)-2-[[(2s)-2-[[2-[[2-[acetyl(methyl)amino]acetyl]amino]acetyl]amino]-3-methylbutanoyl]amino]-3-methylpentanoyl]amino]-3-hydroxybutanoyl]amino]pentanoyl]amino]-3-methylpentanoyl]amino]-5-(diaminomethy Chemical compound CC(=O)N(C)CC(=O)NCC(=O)N[C@@H](C(C)C)C(=O)N[C@H]([C@@H](C)CC)C(=O)N[C@@H]([C@@H](C)O)C(=O)N[C@@H](CCC)C(=O)N[C@@H]([C@@H](C)CC)C(=O)N[C@@H](CCCN=C(N)N)C(=O)N1CCC[C@H]1C(=O)NCC RIWLPSIAFBLILR-WVNGMBSFSA-N 0.000 description 1
- MMHDBUJXLOFTLC-WOYTXXSLSA-N (2s)-2-[[(2r)-2-[[(2s)-2-[[(2s)-2-[[(2s)-1-acetylpyrrolidine-2-carbonyl]amino]-3-(1h-imidazol-5-yl)propanoyl]amino]-3-hydroxypropanoyl]amino]-3-sulfanylpropanoyl]amino]butanediamide Chemical compound CC(=O)N1CCC[C@H]1C(=O)N[C@H](C(=O)N[C@@H](CO)C(=O)N[C@@H](CS)C(=O)N[C@@H](CC(N)=O)C(N)=O)CC1=CN=CN1 MMHDBUJXLOFTLC-WOYTXXSLSA-N 0.000 description 1
- GTXSRFUZSLTDFX-HRCADAONSA-N (2s)-n-[(2s)-3,3-dimethyl-1-(methylamino)-1-oxobutan-2-yl]-4-methyl-2-[[(2s)-2-sulfanyl-4-(3,4,4-trimethyl-2,5-dioxoimidazolidin-1-yl)butanoyl]amino]pentanamide Chemical compound CNC(=O)[C@H](C(C)(C)C)NC(=O)[C@H](CC(C)C)NC(=O)[C@@H](S)CCN1C(=O)N(C)C(C)(C)C1=O GTXSRFUZSLTDFX-HRCADAONSA-N 0.000 description 1
- CSGQVNMSRKWUSH-IAGOWNOFSA-N (3r,4r)-4-amino-1-[[4-(3-methoxyanilino)pyrrolo[2,1-f][1,2,4]triazin-5-yl]methyl]piperidin-3-ol Chemical compound COC1=CC=CC(NC=2C3=C(CN4C[C@@H](O)[C@H](N)CC4)C=CN3N=CN=2)=C1 CSGQVNMSRKWUSH-IAGOWNOFSA-N 0.000 description 1
- SRSHBZRURUNOSM-DEOSSOPVSA-N (4-chlorophenyl) (1s)-6-chloro-1-(4-methoxyphenyl)-1,3,4,9-tetrahydropyrido[3,4-b]indole-2-carboxylate Chemical compound C1=CC(OC)=CC=C1[C@H]1C(NC=2C3=CC(Cl)=CC=2)=C3CCN1C(=O)OC1=CC=C(Cl)C=C1 SRSHBZRURUNOSM-DEOSSOPVSA-N 0.000 description 1
- 125000000008 (C1-C10) alkyl group Chemical group 0.000 description 1
- JRMGHBVACUJCRP-BTJKTKAUSA-N (z)-but-2-enedioic acid;4-[(4-fluoro-2-methyl-1h-indol-5-yl)oxy]-6-methoxy-7-(3-pyrrolidin-1-ylpropoxy)quinazoline Chemical compound OC(=O)\C=C/C(O)=O.COC1=CC2=C(OC=3C(=C4C=C(C)NC4=CC=3)F)N=CN=C2C=C1OCCCN1CCCC1 JRMGHBVACUJCRP-BTJKTKAUSA-N 0.000 description 1
- XQQZRZQVBFHBHL-UHFFFAOYSA-N 12-crown-4 Chemical compound C1COCCOCCOCCO1 XQQZRZQVBFHBHL-UHFFFAOYSA-N 0.000 description 1
- VFTFKUDGYRBSAL-UHFFFAOYSA-N 15-crown-5 Chemical compound C1COCCOCCOCCOCCO1 VFTFKUDGYRBSAL-UHFFFAOYSA-N 0.000 description 1
- XEZNGIUYQVAUSS-UHFFFAOYSA-N 18-crown-6 Chemical compound C1COCCOCCOCCOCCOCCO1 XEZNGIUYQVAUSS-UHFFFAOYSA-N 0.000 description 1
- UEJJHQNACJXSKW-UHFFFAOYSA-N 2-(2,6-dioxopiperidin-3-yl)-1H-isoindole-1,3(2H)-dione Chemical compound O=C1C2=CC=CC=C2C(=O)N1C1CCC(=O)NC1=O UEJJHQNACJXSKW-UHFFFAOYSA-N 0.000 description 1
- VHSHLMUCYSAUQU-UHFFFAOYSA-N 2-hydroxypropyl methacrylate Chemical compound CC(O)COC(=O)C(C)=C VHSHLMUCYSAUQU-UHFFFAOYSA-N 0.000 description 1
- AUFVJZSDSXXFOI-UHFFFAOYSA-N 2.2.2-cryptand Chemical compound C1COCCOCCN2CCOCCOCCN1CCOCCOCC2 AUFVJZSDSXXFOI-UHFFFAOYSA-N 0.000 description 1
- AXRCEOKUDYDWLF-UHFFFAOYSA-N 3-(1-methyl-3-indolyl)-4-[1-[1-(2-pyridinylmethyl)-4-piperidinyl]-3-indolyl]pyrrole-2,5-dione Chemical compound C12=CC=CC=C2N(C)C=C1C(C(NC1=O)=O)=C1C(C1=CC=CC=C11)=CN1C(CC1)CCN1CC1=CC=CC=N1 AXRCEOKUDYDWLF-UHFFFAOYSA-N 0.000 description 1
- QFCXANHHBCGMAS-UHFFFAOYSA-N 4-[[4-(4-chloroanilino)furo[2,3-d]pyridazin-7-yl]oxymethyl]-n-methylpyridine-2-carboxamide Chemical compound C1=NC(C(=O)NC)=CC(COC=2C=3OC=CC=3C(NC=3C=CC(Cl)=CC=3)=NN=2)=C1 QFCXANHHBCGMAS-UHFFFAOYSA-N 0.000 description 1
- ZRHDKBOBHHFLBW-UHFFFAOYSA-N 4-amino-5-fluoro-3-[6-(4-methylpiperazin-1-yl)-1H-benzimidazol-2-yl]-1H-quinolin-2-one 2-hydroxypropanoic acid Chemical compound CC(O)C(O)=O.C1CN(C)CCN1C1=CC=C(NC(=N2)C=3C(NC4=CC=CC(F)=C4C=3N)=O)C2=C1 ZRHDKBOBHHFLBW-UHFFFAOYSA-N 0.000 description 1
- LGZKGOGODCLQHG-CYBMUJFWSA-N 5-[(2r)-2-hydroxy-2-(3,4,5-trimethoxyphenyl)ethyl]-2-methoxyphenol Chemical compound C1=C(O)C(OC)=CC=C1C[C@@H](O)C1=CC(OC)=C(OC)C(OC)=C1 LGZKGOGODCLQHG-CYBMUJFWSA-N 0.000 description 1
- JCYNMRJCUYVDBC-UHFFFAOYSA-N 5-[[4-[[6-(4-amino-3,5-dimethylphenoxy)-1-methylbenzimidazol-2-yl]methoxy]phenyl]methyl]-1,3-thiazolidine-2,4-dione Chemical compound CC1=C(N)C(C)=CC(OC=2C=C3N(C)C(COC=4C=CC(CC5C(NC(=O)S5)=O)=CC=4)=NC3=CC=2)=C1 JCYNMRJCUYVDBC-UHFFFAOYSA-N 0.000 description 1
- 125000004070 6 membered heterocyclic group Chemical group 0.000 description 1
- SJUWEPZBTXEUMU-LDXVYITESA-N 7-bromo-6-chloro-3-[3-[(2s,3r)-3-hydroxypiperidin-2-yl]-2-oxopropyl]quinazolin-4-one;hydrobromide Chemical compound Br.O[C@@H]1CCCN[C@H]1CC(=O)CN1C(=O)C2=CC(Cl)=C(Br)C=C2N=C1 SJUWEPZBTXEUMU-LDXVYITESA-N 0.000 description 1
- YEAHTLOYHVWAKW-UHFFFAOYSA-N 8-(1-hydroxyethyl)-2-methoxy-3-[(4-methoxyphenyl)methoxy]benzo[c]chromen-6-one Chemical compound C1=CC(OC)=CC=C1COC(C(=C1)OC)=CC2=C1C1=CC=C(C(C)O)C=C1C(=O)O2 YEAHTLOYHVWAKW-UHFFFAOYSA-N 0.000 description 1
- OONFNUWBHFSNBT-HXUWFJFHSA-N AEE788 Chemical compound C1CN(CC)CCN1CC1=CC=C(C=2NC3=NC=NC(N[C@H](C)C=4C=CC=CC=4)=C3C=2)C=C1 OONFNUWBHFSNBT-HXUWFJFHSA-N 0.000 description 1
- ULXXDDBFHOBEHA-ONEGZZNKSA-N Afatinib Chemical compound N1=CN=C2C=C(OC3COCC3)C(NC(=O)/C=C/CN(C)C)=CC2=C1NC1=CC=C(F)C(Cl)=C1 ULXXDDBFHOBEHA-ONEGZZNKSA-N 0.000 description 1
- YUWPMEXLKGOSBF-GACAOOTBSA-N Anecortave acetate Chemical compound O=C1CC[C@]2(C)C3=CC[C@]4(C)[C@](C(=O)COC(=O)C)(O)CC[C@H]4[C@@H]3CCC2=C1 YUWPMEXLKGOSBF-GACAOOTBSA-N 0.000 description 1
- 208000028185 Angioedema Diseases 0.000 description 1
- 206010073360 Appendix cancer Diseases 0.000 description 1
- 208000036170 B-Cell Marginal Zone Lymphoma Diseases 0.000 description 1
- 108010017384 Blood Proteins Proteins 0.000 description 1
- 102000004506 Blood Proteins Human genes 0.000 description 1
- 241000283690 Bos taurus Species 0.000 description 1
- 235000012905 Brassica oleracea var viridis Nutrition 0.000 description 1
- 244000064816 Brassica oleracea var. acephala Species 0.000 description 1
- 206010006262 Breast inflammation Diseases 0.000 description 1
- 208000009079 Bronchial Spasm Diseases 0.000 description 1
- 208000014181 Bronchial disease Diseases 0.000 description 1
- 206010006482 Bronchospasm Diseases 0.000 description 1
- 108010001282 CT-322 Proteins 0.000 description 1
- 241001518005 Callisto Species 0.000 description 1
- 241000282472 Canis lupus familiaris Species 0.000 description 1
- KXDHJXZQYSOELW-UHFFFAOYSA-M Carbamate Chemical group NC([O-])=O KXDHJXZQYSOELW-UHFFFAOYSA-M 0.000 description 1
- BVKZGUZCCUSVTD-UHFFFAOYSA-L Carbonate Chemical group [O-]C([O-])=O BVKZGUZCCUSVTD-UHFFFAOYSA-L 0.000 description 1
- 206010052358 Colorectal cancer metastatic Diseases 0.000 description 1
- 206010010264 Condition aggravated Diseases 0.000 description 1
- 241000938605 Crocodylia Species 0.000 description 1
- BWGNESOTFCXPMA-UHFFFAOYSA-N Dihydrogen disulfide Chemical compound SS BWGNESOTFCXPMA-UHFFFAOYSA-N 0.000 description 1
- 208000000059 Dyspnea Diseases 0.000 description 1
- 206010013975 Dyspnoeas Diseases 0.000 description 1
- 206010015150 Erythema Diseases 0.000 description 1
- 206010061850 Extranodal marginal zone B-cell lymphoma (MALT type) Diseases 0.000 description 1
- 239000001116 FEMA 4028 Substances 0.000 description 1
- 241000282326 Felis catus Species 0.000 description 1
- 241000287828 Gallus gallus Species 0.000 description 1
- 101000796901 Gallus gallus Alcohol dehydrogenase 1 Proteins 0.000 description 1
- WHUUTDBJXJRKMK-UHFFFAOYSA-N Glutamic acid Natural products OC(=O)C(N)CCC(O)=O WHUUTDBJXJRKMK-UHFFFAOYSA-N 0.000 description 1
- 229940125497 HER2 kinase inhibitor Drugs 0.000 description 1
- HTTJABKRGRZYRN-UHFFFAOYSA-N Heparin Chemical compound OC1C(NC(=O)C)C(O)OC(COS(O)(=O)=O)C1OC1C(OS(O)(=O)=O)C(O)C(OC2C(C(OS(O)(=O)=O)C(OC3C(C(O)C(O)C(O3)C(O)=O)OS(O)(=O)=O)C(CO)O2)NS(O)(=O)=O)C(C(O)=O)O1 HTTJABKRGRZYRN-UHFFFAOYSA-N 0.000 description 1
- 208000001953 Hypotension Diseases 0.000 description 1
- 206010022095 Injection Site reaction Diseases 0.000 description 1
- 229920001202 Inulin Polymers 0.000 description 1
- ONIBWKKTOPOVIA-BYPYZUCNSA-N L-Proline Chemical compound OC(=O)[C@@H]1CCCN1 ONIBWKKTOPOVIA-BYPYZUCNSA-N 0.000 description 1
- CKLJMWTZIZZHCS-REOHCLBHSA-N L-aspartic acid Chemical compound OC(=O)[C@@H](N)CC(O)=O CKLJMWTZIZZHCS-REOHCLBHSA-N 0.000 description 1
- WHUUTDBJXJRKMK-VKHMYHEASA-N L-glutamic acid Chemical compound OC(=O)[C@@H](N)CCC(O)=O WHUUTDBJXJRKMK-VKHMYHEASA-N 0.000 description 1
- ZDXPYRJPNDTMRX-VKHMYHEASA-N L-glutamine Chemical compound OC(=O)[C@@H](N)CCC(N)=O ZDXPYRJPNDTMRX-VKHMYHEASA-N 0.000 description 1
- HNDVDQJCIGZPNO-YFKPBYRVSA-N L-histidine Chemical compound OC(=O)[C@@H](N)CC1=CN=CN1 HNDVDQJCIGZPNO-YFKPBYRVSA-N 0.000 description 1
- AGPKZVBTJJNPAG-WHFBIAKZSA-N L-isoleucine Chemical compound CC[C@H](C)[C@H](N)C(O)=O AGPKZVBTJJNPAG-WHFBIAKZSA-N 0.000 description 1
- KDXKERNSBIXSRK-YFKPBYRVSA-N L-lysine Chemical compound NCCCC[C@H](N)C(O)=O KDXKERNSBIXSRK-YFKPBYRVSA-N 0.000 description 1
- FFEARJCKVFRZRR-BYPYZUCNSA-N L-methionine Chemical compound CSCC[C@H](N)C(O)=O FFEARJCKVFRZRR-BYPYZUCNSA-N 0.000 description 1
- COLNVLDHVKWLRT-QMMMGPOBSA-N L-phenylalanine Chemical compound OC(=O)[C@@H](N)CC1=CC=CC=C1 COLNVLDHVKWLRT-QMMMGPOBSA-N 0.000 description 1
- AYFVYJQAPQTCCC-GBXIJSLDSA-N L-threonine Chemical compound C[C@@H](O)[C@H](N)C(O)=O AYFVYJQAPQTCCC-GBXIJSLDSA-N 0.000 description 1
- QIVBCDIJIAJPQS-VIFPVBQESA-N L-tryptophane Chemical compound C1=CC=C2C(C[C@H](N)C(O)=O)=CNC2=C1 QIVBCDIJIAJPQS-VIFPVBQESA-N 0.000 description 1
- OUYCCCASQSFEME-QMMMGPOBSA-N L-tyrosine Chemical compound OC(=O)[C@@H](N)CC1=CC=C(O)C=C1 OUYCCCASQSFEME-QMMMGPOBSA-N 0.000 description 1
- KZSNJWFQEVHDMF-BYPYZUCNSA-N L-valine Chemical compound CC(C)[C@H](N)C(O)=O KZSNJWFQEVHDMF-BYPYZUCNSA-N 0.000 description 1
- 239000002147 L01XE04 - Sunitinib Substances 0.000 description 1
- 239000003798 L01XE11 - Pazopanib Substances 0.000 description 1
- 239000002176 L01XE26 - Cabozantinib Substances 0.000 description 1
- UCEQXRCJXIVODC-PMACEKPBSA-N LSM-1131 Chemical compound C1CCC2=CC=CC3=C2N1C=C3[C@@H]1C(=O)NC(=O)[C@H]1C1=CNC2=CC=CC=C12 UCEQXRCJXIVODC-PMACEKPBSA-N 0.000 description 1
- KDXKERNSBIXSRK-UHFFFAOYSA-N Lysine Natural products NCCCCC(N)C(O)=O KDXKERNSBIXSRK-UHFFFAOYSA-N 0.000 description 1
- 239000004472 Lysine Substances 0.000 description 1
- 201000003791 MALT lymphoma Diseases 0.000 description 1
- 206010063916 Metastatic gastric cancer Diseases 0.000 description 1
- OUSFTKFNBAZUKL-UHFFFAOYSA-N N-(5-{[(5-tert-butyl-1,3-oxazol-2-yl)methyl]sulfanyl}-1,3-thiazol-2-yl)piperidine-4-carboxamide Chemical compound O1C(C(C)(C)C)=CN=C1CSC(S1)=CN=C1NC(=O)C1CCNCC1 OUSFTKFNBAZUKL-UHFFFAOYSA-N 0.000 description 1
- 108010022476 N-Ac-CHAVC-NH2 Proteins 0.000 description 1
- OVBPIULPVIDEAO-UHFFFAOYSA-N N-Pteroyl-L-glutaminsaeure Natural products C=1N=C2NC(N)=NC(=O)C2=NC=1CNC1=CC=C(C(=O)NC(CCC(O)=O)C(O)=O)C=C1 OVBPIULPVIDEAO-UHFFFAOYSA-N 0.000 description 1
- CXQHYVUVSFXTMY-UHFFFAOYSA-N N1'-[3-fluoro-4-[[6-methoxy-7-[3-(4-morpholinyl)propoxy]-4-quinolinyl]oxy]phenyl]-N1-(4-fluorophenyl)cyclopropane-1,1-dicarboxamide Chemical compound C1=CN=C2C=C(OCCCN3CCOCC3)C(OC)=CC2=C1OC(C(=C1)F)=CC=C1NC(=O)C1(C(=O)NC=2C=CC(F)=CC=2)CC1 CXQHYVUVSFXTMY-UHFFFAOYSA-N 0.000 description 1
- 108010072915 NAc-Sar-Gly-Val-(d-allo-Ile)-Thr-Nva-Ile-Arg-ProNEt Proteins 0.000 description 1
- 208000001894 Nasopharyngeal Neoplasms Diseases 0.000 description 1
- 108010038807 Oligopeptides Proteins 0.000 description 1
- 102000015636 Oligopeptides Human genes 0.000 description 1
- 241001494479 Pecora Species 0.000 description 1
- 229920002732 Polyanhydride Polymers 0.000 description 1
- 229920000805 Polyaspartic acid Polymers 0.000 description 1
- 229920001710 Polyorthoester Polymers 0.000 description 1
- 229930182780 Polyphenon E Natural products 0.000 description 1
- 239000004372 Polyvinyl alcohol Substances 0.000 description 1
- WDVSHHCDHLJJJR-UHFFFAOYSA-N Proflavine Chemical compound C1=CC(N)=CC2=NC3=CC(N)=CC=C3C=C21 WDVSHHCDHLJJJR-UHFFFAOYSA-N 0.000 description 1
- 102100025803 Progesterone receptor Human genes 0.000 description 1
- ONIBWKKTOPOVIA-UHFFFAOYSA-N Proline Natural products OC(=O)C1CCCN1 ONIBWKKTOPOVIA-UHFFFAOYSA-N 0.000 description 1
- 229920001218 Pullulan Polymers 0.000 description 1
- 239000004373 Pullulan Substances 0.000 description 1
- 241000282374 Puma concolor Species 0.000 description 1
- 208000015634 Rectal Neoplasms Diseases 0.000 description 1
- 101000832889 Scheffersomyces stipitis (strain ATCC 58785 / CBS 6054 / NBRC 10063 / NRRL Y-11545) Alcohol dehydrogenase 2 Proteins 0.000 description 1
- 208000002669 Sex Cord-Gonadal Stromal Tumors Diseases 0.000 description 1
- UIRKNQLZZXALBI-MSVGPLKSSA-N Squalamine Chemical compound C([C@@H]1C[C@H]2O)[C@@H](NCCCNCCCCN)CC[C@]1(C)[C@@H]1[C@@H]2[C@@H]2CC[C@H]([C@H](C)CC[C@H](C(C)C)OS(O)(=O)=O)[C@@]2(C)CC1 UIRKNQLZZXALBI-MSVGPLKSSA-N 0.000 description 1
- UIRKNQLZZXALBI-UHFFFAOYSA-N Squalamine Natural products OC1CC2CC(NCCCNCCCCN)CCC2(C)C2C1C1CCC(C(C)CCC(C(C)C)OS(O)(=O)=O)C1(C)CC2 UIRKNQLZZXALBI-UHFFFAOYSA-N 0.000 description 1
- 241000282887 Suidae Species 0.000 description 1
- 239000005463 Tandutinib Substances 0.000 description 1
- 206010043276 Teratoma Diseases 0.000 description 1
- AYFVYJQAPQTCCC-UHFFFAOYSA-N Threonine Natural products CC(O)C(N)C(O)=O AYFVYJQAPQTCCC-UHFFFAOYSA-N 0.000 description 1
- 239000004473 Threonine Substances 0.000 description 1
- QIVBCDIJIAJPQS-UHFFFAOYSA-N Tryptophan Natural products C1=CC=C2C(CC(N)C(O)=O)=CNC2=C1 QIVBCDIJIAJPQS-UHFFFAOYSA-N 0.000 description 1
- 102000007537 Type II DNA Topoisomerases Human genes 0.000 description 1
- 108010046308 Type II DNA Topoisomerases Proteins 0.000 description 1
- 208000024780 Urticaria Diseases 0.000 description 1
- KZSNJWFQEVHDMF-UHFFFAOYSA-N Valine Natural products CC(C)C(N)C(O)=O KZSNJWFQEVHDMF-UHFFFAOYSA-N 0.000 description 1
- 241000251539 Vertebrata <Metazoa> Species 0.000 description 1
- HGVNLRPZOWWDKD-UHFFFAOYSA-N ZSTK-474 Chemical compound FC(F)C1=NC2=CC=CC=C2N1C(N=1)=NC(N2CCOCC2)=NC=1N1CCOCC1 HGVNLRPZOWWDKD-UHFFFAOYSA-N 0.000 description 1
- QBDVVYNLLXGUGN-XGTBZJOHSA-N [(3r,4s,5s,6r)-5-methoxy-4-[(2r,3r)-2-methyl-3-(3-methylbut-2-enyl)oxiran-2-yl]-1-oxaspiro[2.5]octan-6-yl] n-[(2r)-1-amino-3-methyl-1-oxobutan-2-yl]carbamate Chemical compound C([C@H]([C@H]([C@@H]1[C@]2(C)[C@H](O2)CC=C(C)C)OC)OC(=O)N[C@H](C(C)C)C(N)=O)C[C@@]21CO2 QBDVVYNLLXGUGN-XGTBZJOHSA-N 0.000 description 1
- 108010011755 acetyl-prolyl-histidyl-seryl-cysteinyl-asparaginamide Proteins 0.000 description 1
- 150000007513 acids Chemical class 0.000 description 1
- 150000001266 acyl halides Chemical class 0.000 description 1
- 125000005042 acyloxymethyl group Chemical group 0.000 description 1
- 239000003470 adrenal cortex hormone Substances 0.000 description 1
- 229960002833 aflibercept Drugs 0.000 description 1
- HFHDHCJBZVLPGP-RWMJIURBSA-N alpha-cyclodextrin Chemical compound OC[C@H]([C@H]([C@@H]([C@H]1O)O)O[C@H]2O[C@@H]([C@@H](O[C@H]3O[C@H](CO)[C@H]([C@@H]([C@H]3O)O)O[C@H]3O[C@H](CO)[C@H]([C@@H]([C@H]3O)O)O[C@H]3O[C@H](CO)[C@H]([C@@H]([C@H]3O)O)O3)[C@H](O)[C@H]2O)CO)O[C@@H]1O[C@H]1[C@H](O)[C@@H](O)[C@@H]3O[C@@H]1CO HFHDHCJBZVLPGP-RWMJIURBSA-N 0.000 description 1
- 229940043377 alpha-cyclodextrin Drugs 0.000 description 1
- AKNNEGZIBPJZJG-UHFFFAOYSA-N alpha-noscapine Natural products CN1CCC2=CC=3OCOC=3C(OC)=C2C1C1C2=CC=C(OC)C(OC)=C2C(=O)O1 AKNNEGZIBPJZJG-UHFFFAOYSA-N 0.000 description 1
- 229910000147 aluminium phosphate Inorganic materials 0.000 description 1
- 125000003368 amide group Chemical group 0.000 description 1
- 150000001408 amides Chemical group 0.000 description 1
- MDFFNEOEWAXZRQ-UHFFFAOYSA-N aminyl Chemical compound [NH2] MDFFNEOEWAXZRQ-UHFFFAOYSA-N 0.000 description 1
- 238000004458 analytical method Methods 0.000 description 1
- 229960001232 anecortave Drugs 0.000 description 1
- 239000003242 anti bacterial agent Substances 0.000 description 1
- 230000001093 anti-cancer Effects 0.000 description 1
- 229940088710 antibiotic agent Drugs 0.000 description 1
- 229940125715 antihistaminic agent Drugs 0.000 description 1
- 208000021780 appendiceal neoplasm Diseases 0.000 description 1
- 125000000637 arginyl group Chemical group N[C@@H](CCCNC(N)=N)C(=O)* 0.000 description 1
- 235000003704 aspartic acid Nutrition 0.000 description 1
- QVGXLLKOCUKJST-UHFFFAOYSA-N atomic oxygen Chemical group [O] QVGXLLKOCUKJST-UHFFFAOYSA-N 0.000 description 1
- 229950010993 atrasentan Drugs 0.000 description 1
- 229940120638 avastin Drugs 0.000 description 1
- 229960003094 belinostat Drugs 0.000 description 1
- NCNRHFGMJRPRSK-MDZDMXLPSA-N belinostat Chemical compound ONC(=O)\C=C\C1=CC=CC(S(=O)(=O)NC=2C=CC=CC=2)=C1 NCNRHFGMJRPRSK-MDZDMXLPSA-N 0.000 description 1
- 230000009286 beneficial effect Effects 0.000 description 1
- 230000008901 benefit Effects 0.000 description 1
- SMDHCQAYESWHAE-UHFFFAOYSA-N benfluralin Chemical compound CCCCN(CC)C1=C([N+]([O-])=O)C=C(C(F)(F)F)C=C1[N+]([O-])=O SMDHCQAYESWHAE-UHFFFAOYSA-N 0.000 description 1
- OQFSQFPPLPISGP-UHFFFAOYSA-N beta-carboxyaspartic acid Natural products OC(=O)C(N)C(C(O)=O)C(O)=O OQFSQFPPLPISGP-UHFFFAOYSA-N 0.000 description 1
- 235000011175 beta-cyclodextrine Nutrition 0.000 description 1
- 230000001588 bifunctional effect Effects 0.000 description 1
- 239000012867 bioactive agent Substances 0.000 description 1
- 230000000975 bioactive effect Effects 0.000 description 1
- 230000003115 biocidal effect Effects 0.000 description 1
- 230000000035 biogenic effect Effects 0.000 description 1
- 229960000074 biopharmaceutical Drugs 0.000 description 1
- 230000015572 biosynthetic process Effects 0.000 description 1
- GXJABQQUPOEUTA-RDJZCZTQSA-N bortezomib Chemical compound C([C@@H](C(=O)N[C@@H](CC(C)C)B(O)O)NC(=O)C=1N=CC=NC=1)C1=CC=CC=C1 GXJABQQUPOEUTA-RDJZCZTQSA-N 0.000 description 1
- 229960001467 bortezomib Drugs 0.000 description 1
- 229950005993 brivanib alaninate Drugs 0.000 description 1
- LTEJRLHKIYCEOX-OCCSQVGLSA-N brivanib alaninate Chemical compound C1=C2NC(C)=CC2=C(F)C(OC2=NC=NN3C=C(C(=C32)C)OC[C@@H](C)OC(=O)[C@H](C)N)=C1 LTEJRLHKIYCEOX-OCCSQVGLSA-N 0.000 description 1
- VTJUKNSKBAOEHE-UHFFFAOYSA-N calixarene Chemical class COC(=O)COC1=C(CC=2C(=C(CC=3C(=C(C4)C=C(C=3)C(C)(C)C)OCC(=O)OC)C=C(C=2)C(C)(C)C)OCC(=O)OC)C=C(C(C)(C)C)C=C1CC1=C(OCC(=O)OC)C4=CC(C(C)(C)C)=C1 VTJUKNSKBAOEHE-UHFFFAOYSA-N 0.000 description 1
- 239000002775 capsule Substances 0.000 description 1
- 239000004202 carbamide Chemical group 0.000 description 1
- 150000001721 carbon Chemical group 0.000 description 1
- 125000004432 carbon atom Chemical group C* 0.000 description 1
- 150000001732 carboxylic acid derivatives Chemical group 0.000 description 1
- 208000002458 carcinoid tumor Diseases 0.000 description 1
- 229940047495 celebrex Drugs 0.000 description 1
- 229960000590 celecoxib Drugs 0.000 description 1
- 235000010980 cellulose Nutrition 0.000 description 1
- 229920002678 cellulose Polymers 0.000 description 1
- 239000001913 cellulose Substances 0.000 description 1
- 238000002512 chemotherapy Methods 0.000 description 1
- 235000013330 chicken meat Nutrition 0.000 description 1
- 125000001309 chloro group Chemical group Cl* 0.000 description 1
- 230000004087 circulation Effects 0.000 description 1
- 210000001072 colon Anatomy 0.000 description 1
- LGZKGOGODCLQHG-UHFFFAOYSA-N combretastatin Natural products C1=C(O)C(OC)=CC=C1CC(O)C1=CC(OC)=C(OC)C(OC)=C1 LGZKGOGODCLQHG-UHFFFAOYSA-N 0.000 description 1
- 230000009918 complex formation Effects 0.000 description 1
- 239000000470 constituent Substances 0.000 description 1
- 229920001577 copolymer Polymers 0.000 description 1
- 229960001334 corticosteroids Drugs 0.000 description 1
- 229960005061 crizotinib Drugs 0.000 description 1
- KTEIFNKAUNYNJU-GFCCVEGCSA-N crizotinib Chemical compound O([C@H](C)C=1C(=C(F)C=CC=1Cl)Cl)C(C(=NC=1)N)=CC=1C(=C1)C=NN1C1CCNCC1 KTEIFNKAUNYNJU-GFCCVEGCSA-N 0.000 description 1
- 150000003983 crown ethers Chemical class 0.000 description 1
- 239000002739 cryptand Substances 0.000 description 1
- 229940109262 curcumin Drugs 0.000 description 1
- 235000012754 curcumin Nutrition 0.000 description 1
- 239000004148 curcumin Substances 0.000 description 1
- 125000000113 cyclohexyl group Chemical group [H]C1([H])C([H])([H])C([H])([H])C([H])(*)C([H])([H])C1([H])[H] 0.000 description 1
- 125000001511 cyclopentyl group Chemical group [H]C1([H])C([H])([H])C([H])([H])C([H])(*)C1([H])[H] 0.000 description 1
- 150000001945 cysteines Chemical class 0.000 description 1
- 229950006418 dactolisib Drugs 0.000 description 1
- JOGKUKXHTYWRGZ-UHFFFAOYSA-N dactolisib Chemical compound O=C1N(C)C2=CN=C3C=CC(C=4C=C5C=CC=CC5=NC=4)=CC3=C2N1C1=CC=C(C(C)(C)C#N)C=C1 JOGKUKXHTYWRGZ-UHFFFAOYSA-N 0.000 description 1
- 229960004969 dalteparin Drugs 0.000 description 1
- 230000003111 delayed effect Effects 0.000 description 1
- 230000001627 detrimental effect Effects 0.000 description 1
- 150000001990 dicarboxylic acid derivatives Chemical class 0.000 description 1
- VFLDPWHFBUODDF-UHFFFAOYSA-N diferuloylmethane Natural products C1=C(O)C(OC)=CC(C=CC(=O)CC(=O)C=CC=2C=C(OC)C(O)=CC=2)=C1 VFLDPWHFBUODDF-UHFFFAOYSA-N 0.000 description 1
- 238000009826 distribution Methods 0.000 description 1
- AUZONCFQVSMFAP-UHFFFAOYSA-N disulfiram Chemical compound CCN(CC)C(=S)SSC(=S)N(CC)CC AUZONCFQVSMFAP-UHFFFAOYSA-N 0.000 description 1
- 238000001647 drug administration Methods 0.000 description 1
- 230000036267 drug metabolism Effects 0.000 description 1
- 230000008406 drug-drug interaction Effects 0.000 description 1
- 229940121647 egfr inhibitor Drugs 0.000 description 1
- 108700008165 endostar Proteins 0.000 description 1
- 238000005516 engineering process Methods 0.000 description 1
- 208000037828 epithelial carcinoma Diseases 0.000 description 1
- 229940082789 erbitux Drugs 0.000 description 1
- 231100000321 erythema Toxicity 0.000 description 1
- 150000002148 esters Chemical group 0.000 description 1
- 125000005677 ethinylene group Chemical group [*:2]C#C[*:1] 0.000 description 1
- 125000001495 ethyl group Chemical group [H]C([H])([H])C([H])([H])* 0.000 description 1
- VJJPUSNTGOMMGY-MRVIYFEKSA-N etoposide Chemical compound COC1=C(O)C(OC)=CC([C@@H]2C3=CC=4OCOC=4C=C3[C@@H](O[C@H]3[C@@H]([C@@H](O)[C@@H]4O[C@H](C)OC[C@H]4O3)O)[C@@H]3[C@@H]2C(OC3)=O)=C1 VJJPUSNTGOMMGY-MRVIYFEKSA-N 0.000 description 1
- 229960005420 etoposide Drugs 0.000 description 1
- 230000005713 exacerbation Effects 0.000 description 1
- 201000001343 fallopian tube carcinoma Diseases 0.000 description 1
- 229950008085 figitumumab Drugs 0.000 description 1
- 235000019152 folic acid Nutrition 0.000 description 1
- 239000011724 folic acid Substances 0.000 description 1
- 229960000304 folic acid Drugs 0.000 description 1
- 229940087051 fragmin Drugs 0.000 description 1
- GDSRMADSINPKSL-HSEONFRVSA-N gamma-cyclodextrin Chemical group OC[C@H]([C@H]([C@@H]([C@H]1O)O)O[C@H]2O[C@@H]([C@@H](O[C@H]3O[C@H](CO)[C@H]([C@@H]([C@H]3O)O)O[C@H]3O[C@H](CO)[C@H]([C@@H]([C@H]3O)O)O[C@H]3O[C@H](CO)[C@H]([C@@H]([C@H]3O)O)O[C@H]3O[C@H](CO)[C@H]([C@@H]([C@H]3O)O)O[C@H]3O[C@H](CO)[C@H]([C@@H]([C@H]3O)O)O3)[C@H](O)[C@H]2O)CO)O[C@@H]1O[C@H]1[C@H](O)[C@@H](O)[C@@H]3O[C@@H]1CO GDSRMADSINPKSL-HSEONFRVSA-N 0.000 description 1
- 201000006585 gastric adenocarcinoma Diseases 0.000 description 1
- 201000011587 gastric lymphoma Diseases 0.000 description 1
- 201000007492 gastroesophageal junction adenocarcinoma Diseases 0.000 description 1
- 210000004602 germ cell Anatomy 0.000 description 1
- 239000008103 glucose Substances 0.000 description 1
- 235000013922 glutamic acid Nutrition 0.000 description 1
- 229960002989 glutamic acid Drugs 0.000 description 1
- 239000004220 glutamic acid Substances 0.000 description 1
- ZDXPYRJPNDTMRX-UHFFFAOYSA-N glutamine Natural products OC(=O)C(N)CCC(N)=O ZDXPYRJPNDTMRX-UHFFFAOYSA-N 0.000 description 1
- 150000002310 glutaric acid derivatives Chemical class 0.000 description 1
- 150000002332 glycine derivatives Chemical class 0.000 description 1
- 210000002175 goblet cell Anatomy 0.000 description 1
- 229920000578 graft copolymer Polymers 0.000 description 1
- 229940094952 green tea extract Drugs 0.000 description 1
- 235000020688 green tea extract Nutrition 0.000 description 1
- 229920000669 heparin Polymers 0.000 description 1
- 125000004404 heteroalkyl group Chemical group 0.000 description 1
- 125000000623 heterocyclic group Chemical group 0.000 description 1
- HNDVDQJCIGZPNO-UHFFFAOYSA-N histidine Natural products OC(=O)C(N)CC1=CN=CN1 HNDVDQJCIGZPNO-UHFFFAOYSA-N 0.000 description 1
- 230000007062 hydrolysis Effects 0.000 description 1
- 238000006460 hydrolysis reaction Methods 0.000 description 1
- 125000004356 hydroxy functional group Chemical group O* 0.000 description 1
- WGCNASOHLSPBMP-UHFFFAOYSA-N hydroxyacetaldehyde Natural products OCC=O WGCNASOHLSPBMP-UHFFFAOYSA-N 0.000 description 1
- 230000036543 hypotension Effects 0.000 description 1
- YAMHXTCMCPHKLN-UHFFFAOYSA-N imidazolidin-2-one Chemical compound O=C1NCCN1 YAMHXTCMCPHKLN-UHFFFAOYSA-N 0.000 description 1
- 230000005847 immunogenicity Effects 0.000 description 1
- 230000001506 immunosuppresive effect Effects 0.000 description 1
- 239000003018 immunosuppressive agent Substances 0.000 description 1
- 229940125721 immunosuppressive agent Drugs 0.000 description 1
- 230000004054 inflammatory process Effects 0.000 description 1
- 230000000968 intestinal effect Effects 0.000 description 1
- 229940029339 inulin Drugs 0.000 description 1
- JYJIGFIDKWBXDU-MNNPPOADSA-N inulin Chemical compound O[C@H]1[C@H](O)[C@@H](CO)O[C@@]1(CO)OC[C@]1(OC[C@]2(OC[C@]3(OC[C@]4(OC[C@]5(OC[C@]6(OC[C@]7(OC[C@]8(OC[C@]9(OC[C@]%10(OC[C@]%11(OC[C@]%12(OC[C@]%13(OC[C@]%14(OC[C@]%15(OC[C@]%16(OC[C@]%17(OC[C@]%18(OC[C@]%19(OC[C@]%20(OC[C@]%21(OC[C@]%22(OC[C@]%23(OC[C@]%24(OC[C@]%25(OC[C@]%26(OC[C@]%27(OC[C@]%28(OC[C@]%29(OC[C@]%30(OC[C@]%31(OC[C@]%32(OC[C@]%33(OC[C@]%34(OC[C@]%35(OC[C@]%36(O[C@@H]%37[C@@H]([C@@H](O)[C@H](O)[C@@H](CO)O%37)O)[C@H]([C@H](O)[C@@H](CO)O%36)O)[C@H]([C@H](O)[C@@H](CO)O%35)O)[C@H]([C@H](O)[C@@H](CO)O%34)O)[C@H]([C@H](O)[C@@H](CO)O%33)O)[C@H]([C@H](O)[C@@H](CO)O%32)O)[C@H]([C@H](O)[C@@H](CO)O%31)O)[C@H]([C@H](O)[C@@H](CO)O%30)O)[C@H]([C@H](O)[C@@H](CO)O%29)O)[C@H]([C@H](O)[C@@H](CO)O%28)O)[C@H]([C@H](O)[C@@H](CO)O%27)O)[C@H]([C@H](O)[C@@H](CO)O%26)O)[C@H]([C@H](O)[C@@H](CO)O%25)O)[C@H]([C@H](O)[C@@H](CO)O%24)O)[C@H]([C@H](O)[C@@H](CO)O%23)O)[C@H]([C@H](O)[C@@H](CO)O%22)O)[C@H]([C@H](O)[C@@H](CO)O%21)O)[C@H]([C@H](O)[C@@H](CO)O%20)O)[C@H]([C@H](O)[C@@H](CO)O%19)O)[C@H]([C@H](O)[C@@H](CO)O%18)O)[C@H]([C@H](O)[C@@H](CO)O%17)O)[C@H]([C@H](O)[C@@H](CO)O%16)O)[C@H]([C@H](O)[C@@H](CO)O%15)O)[C@H]([C@H](O)[C@@H](CO)O%14)O)[C@H]([C@H](O)[C@@H](CO)O%13)O)[C@H]([C@H](O)[C@@H](CO)O%12)O)[C@H]([C@H](O)[C@@H](CO)O%11)O)[C@H]([C@H](O)[C@@H](CO)O%10)O)[C@H]([C@H](O)[C@@H](CO)O9)O)[C@H]([C@H](O)[C@@H](CO)O8)O)[C@H]([C@H](O)[C@@H](CO)O7)O)[C@H]([C@H](O)[C@@H](CO)O6)O)[C@H]([C@H](O)[C@@H](CO)O5)O)[C@H]([C@H](O)[C@@H](CO)O4)O)[C@H]([C@H](O)[C@@H](CO)O3)O)[C@H]([C@H](O)[C@@H](CO)O2)O)[C@@H](O)[C@H](O)[C@@H](CO)O1 JYJIGFIDKWBXDU-MNNPPOADSA-N 0.000 description 1
- 229940084651 iressa Drugs 0.000 description 1
- AGPKZVBTJJNPAG-UHFFFAOYSA-N isoleucine Natural products CCC(C)C(N)C(O)=O AGPKZVBTJJNPAG-UHFFFAOYSA-N 0.000 description 1
- 229960000310 isoleucine Drugs 0.000 description 1
- 125000001449 isopropyl group Chemical group [H]C([H])([H])C([H])(*)C([H])([H])[H] 0.000 description 1
- UHEBDUAFKQHUBV-UHFFFAOYSA-N jspy-st000261 Chemical compound C1=CC=C2C3=C(C(=O)NC4)C4=C(C=4C(=CC=C(C=4)COC(C)C)N4CCCOC(=O)CN(C)C)C4=C3CC2=C1 UHEBDUAFKQHUBV-UHFFFAOYSA-N 0.000 description 1
- GOTYRUGSSMKFNF-UHFFFAOYSA-N lenalidomide Chemical compound C1C=2C(N)=CC=CC=2C(=O)N1C1CCC(=O)NC1=O GOTYRUGSSMKFNF-UHFFFAOYSA-N 0.000 description 1
- MPVGZUGXCQEXTM-UHFFFAOYSA-N linifanib Chemical compound CC1=CC=C(F)C(NC(=O)NC=2C=CC(=CC=2)C=2C=3C(N)=NNC=3C=CC=2)=C1 MPVGZUGXCQEXTM-UHFFFAOYSA-N 0.000 description 1
- 201000007270 liver cancer Diseases 0.000 description 1
- 208000014018 liver neoplasm Diseases 0.000 description 1
- 238000011068 loading method Methods 0.000 description 1
- 229940076783 lucentis Drugs 0.000 description 1
- 229940092110 macugen Drugs 0.000 description 1
- 208000012966 malignant exocrine pancreas neoplasm Diseases 0.000 description 1
- 208000004396 mastitis Diseases 0.000 description 1
- 230000004060 metabolic process Effects 0.000 description 1
- 229930182817 methionine Natural products 0.000 description 1
- BMGQWWVMWDBQGC-IIFHNQTCSA-N midostaurin Chemical compound CN([C@H]1[C@H]([C@]2(C)O[C@@H](N3C4=CC=CC=C4C4=C5C(=O)NCC5=C5C6=CC=CC=C6N2C5=C43)C1)OC)C(=O)C1=CC=CC=C1 BMGQWWVMWDBQGC-IIFHNQTCSA-N 0.000 description 1
- 229950010895 midostaurin Drugs 0.000 description 1
- 229960001156 mitoxantrone Drugs 0.000 description 1
- KKZJGLLVHKMTCM-UHFFFAOYSA-N mitoxantrone Chemical compound O=C1C2=C(O)C=CC(O)=C2C(=O)C2=C1C(NCCNCCO)=CC=C2NCCNCCO KKZJGLLVHKMTCM-UHFFFAOYSA-N 0.000 description 1
- RAHBGWKEPAQNFF-UHFFFAOYSA-N motesanib Chemical compound C=1C=C2C(C)(C)CNC2=CC=1NC(=O)C1=CC=CN=C1NCC1=CC=NC=C1 RAHBGWKEPAQNFF-UHFFFAOYSA-N 0.000 description 1
- OKPYIWASQZGASP-UHFFFAOYSA-N n-(2-hydroxypropyl)-2-methylprop-2-enamide Chemical compound CC(O)CNC(=O)C(C)=C OKPYIWASQZGASP-UHFFFAOYSA-N 0.000 description 1
- LBWFXVZLPYTWQI-IPOVEDGCSA-N n-[2-(diethylamino)ethyl]-5-[(z)-(5-fluoro-2-oxo-1h-indol-3-ylidene)methyl]-2,4-dimethyl-1h-pyrrole-3-carboxamide;(2s)-2-hydroxybutanedioic acid Chemical compound OC(=O)[C@@H](O)CC(O)=O.CCN(CC)CCNC(=O)C1=C(C)NC(\C=C/2C3=CC(F)=CC=C3NC\2=O)=C1C LBWFXVZLPYTWQI-IPOVEDGCSA-N 0.000 description 1
- FWLMVFUGMHIOAA-UHFFFAOYSA-N n-methyl-4-[[4-[[3-[methyl(methylsulfonyl)amino]pyrazin-2-yl]methylamino]-5-(trifluoromethyl)pyrimidin-2-yl]amino]benzamide Chemical compound C1=CC(C(=O)NC)=CC=C1NC1=NC=C(C(F)(F)F)C(NCC=2C(=NC=CN=2)N(C)S(C)(=O)=O)=N1 FWLMVFUGMHIOAA-UHFFFAOYSA-N 0.000 description 1
- PLPRGLOFPNJOTN-UHFFFAOYSA-N narcotine Natural products COc1ccc2C(OC(=O)c2c1OC)C3Cc4c(CN3C)cc5OCOc5c4OC PLPRGLOFPNJOTN-UHFFFAOYSA-N 0.000 description 1
- 229960004378 nintedanib Drugs 0.000 description 1
- XZXHXSATPCNXJR-ZIADKAODSA-N nintedanib Chemical compound O=C1NC2=CC(C(=O)OC)=CC=C2\C1=C(C=1C=CC=CC=1)\NC(C=C1)=CC=C1N(C)C(=O)CN1CCN(C)CC1 XZXHXSATPCNXJR-ZIADKAODSA-N 0.000 description 1
- 229910052757 nitrogen Inorganic materials 0.000 description 1
- QJGQUHMNIGDVPM-UHFFFAOYSA-N nitrogen group Chemical group [N] QJGQUHMNIGDVPM-UHFFFAOYSA-N 0.000 description 1
- 229960004708 noscapine Drugs 0.000 description 1
- 229960002230 omacetaxine mepesuccinate Drugs 0.000 description 1
- 229940127084 other anti-cancer agent Drugs 0.000 description 1
- 239000001301 oxygen Substances 0.000 description 1
- 229960005184 panobinostat Drugs 0.000 description 1
- VMZMNAABQBOLAK-DBILLSOUSA-N pasireotide Chemical compound C([C@H]1C(=O)N2C[C@@H](C[C@H]2C(=O)N[C@H](C(=O)N[C@H](CC=2C3=CC=CC=C3NC=2)C(=O)N[C@H](C(N[C@@H](CC=2C=CC(OCC=3C=CC=CC=3)=CC=2)C(=O)N1)=O)CCCCN)C=1C=CC=CC=1)OC(=O)NCCN)C1=CC=CC=C1 VMZMNAABQBOLAK-DBILLSOUSA-N 0.000 description 1
- NEEFMPSSNFRRNC-HQUONIRXSA-N pasireotide aspartate Chemical compound OC(=O)[C@@H](N)CC(O)=O.OC(=O)[C@@H](N)CC(O)=O.C([C@H]1C(=O)N2C[C@@H](C[C@H]2C(=O)N[C@H](C(=O)N[C@H](CC=2C3=CC=CC=C3NC=2)C(=O)N[C@H](C(N[C@@H](CC=2C=CC(OCC=3C=CC=CC=3)=CC=2)C(=O)N1)=O)CCCCN)C=1C=CC=CC=1)OC(=O)NCCN)C1=CC=CC=C1 NEEFMPSSNFRRNC-HQUONIRXSA-N 0.000 description 1
- 229960000639 pazopanib Drugs 0.000 description 1
- 229960003407 pegaptanib Drugs 0.000 description 1
- COLNVLDHVKWLRT-UHFFFAOYSA-N phenylalanine Natural products OC(=O)C(N)CC1=CC=CC=C1 COLNVLDHVKWLRT-UHFFFAOYSA-N 0.000 description 1
- NBIIXXVUZAFLBC-UHFFFAOYSA-N phosphoric acid Substances OP(O)(O)=O NBIIXXVUZAFLBC-UHFFFAOYSA-N 0.000 description 1
- 230000036470 plasma concentration Effects 0.000 description 1
- 229950011498 plinabulin Drugs 0.000 description 1
- UNRCMCRRFYFGFX-TYPNBTCFSA-N plinabulin Chemical compound N1C=NC(\C=C/2C(NC(=C\C=3C=CC=CC=3)/C(=O)N\2)=O)=C1C(C)(C)C UNRCMCRRFYFGFX-TYPNBTCFSA-N 0.000 description 1
- 229920001308 poly(aminoacid) Polymers 0.000 description 1
- 229920002627 poly(phosphazenes) Polymers 0.000 description 1
- 229920000447 polyanionic polymer Polymers 0.000 description 1
- 108010064470 polyaspartate Proteins 0.000 description 1
- 229920002851 polycationic polymer Polymers 0.000 description 1
- 239000001267 polyvinylpyrrolidone Substances 0.000 description 1
- 229920000036 polyvinylpyrrolidone Polymers 0.000 description 1
- 235000013855 polyvinylpyrrolidone Nutrition 0.000 description 1
- 238000002360 preparation method Methods 0.000 description 1
- 102000004196 processed proteins & peptides Human genes 0.000 description 1
- 108090000468 progesterone receptors Proteins 0.000 description 1
- 201000007282 progesterone-receptor negative breast cancer Diseases 0.000 description 1
- 201000007283 progesterone-receptor positive breast cancer Diseases 0.000 description 1
- 125000001436 propyl group Chemical group [H]C([*])([H])C([H])([H])C([H])([H])[H] 0.000 description 1
- 235000018102 proteins Nutrition 0.000 description 1
- 102000004169 proteins and genes Human genes 0.000 description 1
- 235000019423 pullulan Nutrition 0.000 description 1
- 125000000714 pyrimidinyl group Chemical group 0.000 description 1
- 229960002633 ramucirumab Drugs 0.000 description 1
- 108091006082 receptor inhibitors Proteins 0.000 description 1
- 206010038038 rectal cancer Diseases 0.000 description 1
- 201000001275 rectum cancer Diseases 0.000 description 1
- FNHKPVJBJVTLMP-UHFFFAOYSA-N regorafenib Chemical compound C1=NC(C(=O)NC)=CC(OC=2C=C(F)C(NC(=O)NC=3C=C(C(Cl)=CC=3)C(F)(F)F)=CC=2)=C1 FNHKPVJBJVTLMP-UHFFFAOYSA-N 0.000 description 1
- 238000011160 research Methods 0.000 description 1
- 230000004044 response Effects 0.000 description 1
- 229940120975 revlimid Drugs 0.000 description 1
- 230000035945 sensitivity Effects 0.000 description 1
- 125000003607 serino group Chemical group [H]N([H])[C@]([H])(C(=O)[*])C(O[H])([H])[H] 0.000 description 1
- 208000028467 sex cord-stromal tumor Diseases 0.000 description 1
- 150000003384 small molecules Chemical class 0.000 description 1
- 241000894007 species Species 0.000 description 1
- 238000004611 spectroscopical analysis Methods 0.000 description 1
- 229950001248 squalamine Drugs 0.000 description 1
- 239000000126 substance Substances 0.000 description 1
- 150000003443 succinic acid derivatives Chemical class 0.000 description 1
- 235000000346 sugar Nutrition 0.000 description 1
- 125000000446 sulfanediyl group Chemical group *S* 0.000 description 1
- 125000004434 sulfur atom Chemical group 0.000 description 1
- FIAFUQMPZJWCLV-UHFFFAOYSA-N suramin Chemical compound OS(=O)(=O)C1=CC(S(O)(=O)=O)=C2C(NC(=O)C3=CC=C(C(=C3)NC(=O)C=3C=C(NC(=O)NC=4C=C(C=CC=4)C(=O)NC=4C(=CC=C(C=4)C(=O)NC=4C5=C(C=C(C=C5C(=CC=4)S(O)(=O)=O)S(O)(=O)=O)S(O)(=O)=O)C)C=CC=3)C)=CC=C(S(O)(=O)=O)C2=C1 FIAFUQMPZJWCLV-UHFFFAOYSA-N 0.000 description 1
- 229960005314 suramin Drugs 0.000 description 1
- 229940034785 sutent Drugs 0.000 description 1
- 229950009893 tandutinib Drugs 0.000 description 1
- 229940120982 tarceva Drugs 0.000 description 1
- 230000002123 temporal effect Effects 0.000 description 1
- 229950003046 tesevatinib Drugs 0.000 description 1
- 229960003433 thalidomide Drugs 0.000 description 1
- 150000007970 thio esters Chemical group 0.000 description 1
- 230000002885 thrombogenetic effect Effects 0.000 description 1
- 229940064689 tinzaparin sodium Drugs 0.000 description 1
- 210000001519 tissue Anatomy 0.000 description 1
- 229950005976 tivantinib Drugs 0.000 description 1
- 231100000331 toxic Toxicity 0.000 description 1
- 230000002588 toxic effect Effects 0.000 description 1
- 231100000607 toxicokinetics Toxicity 0.000 description 1
- 229960000575 trastuzumab Drugs 0.000 description 1
- 108010075758 trebananib Proteins 0.000 description 1
- 229910052721 tungsten Inorganic materials 0.000 description 1
- OUYCCCASQSFEME-UHFFFAOYSA-N tyrosine Natural products OC(=O)C(N)CC1=CC=C(O)C=C1 OUYCCCASQSFEME-UHFFFAOYSA-N 0.000 description 1
- 229950008737 vadimezan Drugs 0.000 description 1
- XGOYIMQSIKSOBS-UHFFFAOYSA-N vadimezan Chemical compound C1=CC=C2C(=O)C3=CC=C(C)C(C)=C3OC2=C1CC(O)=O XGOYIMQSIKSOBS-UHFFFAOYSA-N 0.000 description 1
- 239000004474 valine Substances 0.000 description 1
- 229960000241 vandetanib Drugs 0.000 description 1
- UHTHHESEBZOYNR-UHFFFAOYSA-N vandetanib Chemical compound COC1=CC(C(/N=CN2)=N/C=3C(=CC(Br)=CC=3)F)=C2C=C1OCC1CCN(C)CC1 UHTHHESEBZOYNR-UHFFFAOYSA-N 0.000 description 1
- 101150067041 vas gene Proteins 0.000 description 1
- 230000002792 vascular Effects 0.000 description 1
- WAEXFXRVDQXREF-UHFFFAOYSA-N vorinostat Chemical compound ONC(=O)CCCCCCC(=O)NC1=CC=CC=C1 WAEXFXRVDQXREF-UHFFFAOYSA-N 0.000 description 1
- 229960000237 vorinostat Drugs 0.000 description 1
Images
Classifications
-
- C—CHEMISTRY; METALLURGY
- C07—ORGANIC CHEMISTRY
- C07D—HETEROCYCLIC COMPOUNDS
- C07D491/00—Heterocyclic compounds containing in the condensed ring system both one or more rings having oxygen atoms as the only ring hetero atoms and one or more rings having nitrogen atoms as the only ring hetero atoms, not provided for by groups C07D451/00 - C07D459/00, C07D463/00, C07D477/00 or C07D489/00
- C07D491/22—Heterocyclic compounds containing in the condensed ring system both one or more rings having oxygen atoms as the only ring hetero atoms and one or more rings having nitrogen atoms as the only ring hetero atoms, not provided for by groups C07D451/00 - C07D459/00, C07D463/00, C07D477/00 or C07D489/00 in which the condensed system contains four or more hetero rings
-
- A—HUMAN NECESSITIES
- A61—MEDICAL OR VETERINARY SCIENCE; HYGIENE
- A61K—PREPARATIONS FOR MEDICAL, DENTAL OR TOILETRY PURPOSES
- A61K47/00—Medicinal preparations characterised by the non-active ingredients used, e.g. carriers or inert additives; Targeting or modifying agents chemically bound to the active ingredient
- A61K47/50—Medicinal preparations characterised by the non-active ingredients used, e.g. carriers or inert additives; Targeting or modifying agents chemically bound to the active ingredient the non-active ingredient being chemically bound to the active ingredient, e.g. polymer-drug conjugates
- A61K47/51—Medicinal preparations characterised by the non-active ingredients used, e.g. carriers or inert additives; Targeting or modifying agents chemically bound to the active ingredient the non-active ingredient being chemically bound to the active ingredient, e.g. polymer-drug conjugates the non-active ingredient being a modifying agent
- A61K47/68—Medicinal preparations characterised by the non-active ingredients used, e.g. carriers or inert additives; Targeting or modifying agents chemically bound to the active ingredient the non-active ingredient being chemically bound to the active ingredient, e.g. polymer-drug conjugates the non-active ingredient being a modifying agent the modifying agent being an antibody, an immunoglobulin or a fragment thereof, e.g. an Fc-fragment
- A61K47/6835—Medicinal preparations characterised by the non-active ingredients used, e.g. carriers or inert additives; Targeting or modifying agents chemically bound to the active ingredient the non-active ingredient being chemically bound to the active ingredient, e.g. polymer-drug conjugates the non-active ingredient being a modifying agent the modifying agent being an antibody, an immunoglobulin or a fragment thereof, e.g. an Fc-fragment the modifying agent being an antibody or an immunoglobulin bearing at least one antigen-binding site
- A61K47/6851—Medicinal preparations characterised by the non-active ingredients used, e.g. carriers or inert additives; Targeting or modifying agents chemically bound to the active ingredient the non-active ingredient being chemically bound to the active ingredient, e.g. polymer-drug conjugates the non-active ingredient being a modifying agent the modifying agent being an antibody, an immunoglobulin or a fragment thereof, e.g. an Fc-fragment the modifying agent being an antibody or an immunoglobulin bearing at least one antigen-binding site the antibody targeting a determinant of a tumour cell
-
- A—HUMAN NECESSITIES
- A61—MEDICAL OR VETERINARY SCIENCE; HYGIENE
- A61K—PREPARATIONS FOR MEDICAL, DENTAL OR TOILETRY PURPOSES
- A61K39/00—Medicinal preparations containing antigens or antibodies
- A61K39/395—Antibodies; Immunoglobulins; Immune serum, e.g. antilymphocytic serum
- A61K39/39533—Antibodies; Immunoglobulins; Immune serum, e.g. antilymphocytic serum against materials from animals
- A61K39/3955—Antibodies; Immunoglobulins; Immune serum, e.g. antilymphocytic serum against materials from animals against proteinaceous materials, e.g. enzymes, hormones, lymphokines
-
- A—HUMAN NECESSITIES
- A61—MEDICAL OR VETERINARY SCIENCE; HYGIENE
- A61K—PREPARATIONS FOR MEDICAL, DENTAL OR TOILETRY PURPOSES
- A61K45/00—Medicinal preparations containing active ingredients not provided for in groups A61K31/00 - A61K41/00
- A61K45/06—Mixtures of active ingredients without chemical characterisation, e.g. antiphlogistics and cardiaca
-
- A—HUMAN NECESSITIES
- A61—MEDICAL OR VETERINARY SCIENCE; HYGIENE
- A61K—PREPARATIONS FOR MEDICAL, DENTAL OR TOILETRY PURPOSES
- A61K47/00—Medicinal preparations characterised by the non-active ingredients used, e.g. carriers or inert additives; Targeting or modifying agents chemically bound to the active ingredient
- A61K47/50—Medicinal preparations characterised by the non-active ingredients used, e.g. carriers or inert additives; Targeting or modifying agents chemically bound to the active ingredient the non-active ingredient being chemically bound to the active ingredient, e.g. polymer-drug conjugates
- A61K47/51—Medicinal preparations characterised by the non-active ingredients used, e.g. carriers or inert additives; Targeting or modifying agents chemically bound to the active ingredient the non-active ingredient being chemically bound to the active ingredient, e.g. polymer-drug conjugates the non-active ingredient being a modifying agent
- A61K47/56—Medicinal preparations characterised by the non-active ingredients used, e.g. carriers or inert additives; Targeting or modifying agents chemically bound to the active ingredient the non-active ingredient being chemically bound to the active ingredient, e.g. polymer-drug conjugates the non-active ingredient being a modifying agent the modifying agent being an organic macromolecular compound, e.g. an oligomeric, polymeric or dendrimeric molecule
- A61K47/61—Medicinal preparations characterised by the non-active ingredients used, e.g. carriers or inert additives; Targeting or modifying agents chemically bound to the active ingredient the non-active ingredient being chemically bound to the active ingredient, e.g. polymer-drug conjugates the non-active ingredient being a modifying agent the modifying agent being an organic macromolecular compound, e.g. an oligomeric, polymeric or dendrimeric molecule the organic macromolecular compound being a polysaccharide or a derivative thereof
-
- A—HUMAN NECESSITIES
- A61—MEDICAL OR VETERINARY SCIENCE; HYGIENE
- A61P—SPECIFIC THERAPEUTIC ACTIVITY OF CHEMICAL COMPOUNDS OR MEDICINAL PREPARATIONS
- A61P35/00—Antineoplastic agents
-
- A—HUMAN NECESSITIES
- A61—MEDICAL OR VETERINARY SCIENCE; HYGIENE
- A61P—SPECIFIC THERAPEUTIC ACTIVITY OF CHEMICAL COMPOUNDS OR MEDICINAL PREPARATIONS
- A61P35/00—Antineoplastic agents
- A61P35/02—Antineoplastic agents specific for leukemia
-
- A—HUMAN NECESSITIES
- A61—MEDICAL OR VETERINARY SCIENCE; HYGIENE
- A61P—SPECIFIC THERAPEUTIC ACTIVITY OF CHEMICAL COMPOUNDS OR MEDICINAL PREPARATIONS
- A61P35/00—Antineoplastic agents
- A61P35/04—Antineoplastic agents specific for metastasis
-
- A—HUMAN NECESSITIES
- A61—MEDICAL OR VETERINARY SCIENCE; HYGIENE
- A61P—SPECIFIC THERAPEUTIC ACTIVITY OF CHEMICAL COMPOUNDS OR MEDICINAL PREPARATIONS
- A61P43/00—Drugs for specific purposes, not provided for in groups A61P1/00-A61P41/00
-
- A—HUMAN NECESSITIES
- A61—MEDICAL OR VETERINARY SCIENCE; HYGIENE
- A61P—SPECIFIC THERAPEUTIC ACTIVITY OF CHEMICAL COMPOUNDS OR MEDICINAL PREPARATIONS
- A61P9/00—Drugs for disorders of the cardiovascular system
Landscapes
- Health & Medical Sciences (AREA)
- Chemical & Material Sciences (AREA)
- Life Sciences & Earth Sciences (AREA)
- Medicinal Chemistry (AREA)
- Animal Behavior & Ethology (AREA)
- Pharmacology & Pharmacy (AREA)
- General Health & Medical Sciences (AREA)
- Public Health (AREA)
- Veterinary Medicine (AREA)
- Organic Chemistry (AREA)
- Epidemiology (AREA)
- Engineering & Computer Science (AREA)
- Bioinformatics & Cheminformatics (AREA)
- Nuclear Medicine, Radiotherapy & Molecular Imaging (AREA)
- Chemical Kinetics & Catalysis (AREA)
- General Chemical & Material Sciences (AREA)
- Immunology (AREA)
- Oncology (AREA)
- Endocrinology (AREA)
- Microbiology (AREA)
- Mycology (AREA)
- Cell Biology (AREA)
- Hematology (AREA)
- Cardiology (AREA)
- Heart & Thoracic Surgery (AREA)
- Pharmaceuticals Containing Other Organic And Inorganic Compounds (AREA)
- Medicines That Contain Protein Lipid Enzymes And Other Medicines (AREA)
- Medicinal Preparation (AREA)
- Nitrogen Condensed Heterocyclic Rings (AREA)
- Medicines Containing Antibodies Or Antigens For Use As Internal Diagnostic Agents (AREA)
- Acyclic And Carbocyclic Compounds In Medicinal Compositions (AREA)
Abstract
【課題】癌の治療法も提供。【解決手段】CDP-トポイソメラーゼ阻害剤、例えばCDP-カンプトテシンまたはカンプトテシン誘導体コンジュゲート、例えばCRLX101を含む組成物に関する方法を提供する。一態様では、本開示は、対象における増殖性疾患、例えば癌の治療法を特徴とする。一態様では、本開示は、対象、例えばヒト対象における肺癌(例えば、小細胞肺癌または非小細胞肺癌(例えば、腺癌、扁平上皮癌、細気管支肺胞癌および大細胞癌))、例えば局所進行性または転移性肺癌の治療法を特徴とする。【選択図】図1
Description
カンプトテシンのような小分子治療剤の薬物送達および投与は、半減期、毒性、分布などを含めたいくつかの点で問題となり得る。
一態様では、本開示は、対象における増殖性疾患、例えば癌の治療法を特徴とする。この方法は、増殖性疾患を治療するために、CDP-トポイソメラーゼ阻害剤コンジュゲート、粒子または組成物、例えばCDP-カンプトテシンコンジュゲート、粒子もしくは組成物またはカンプトテシン誘導体コンジュゲート、粒子もしくは組成物、例えば本明細書に記載のCDP-カンプトテシンコンジュゲート、粒子もしくは組成物またはカンプトテシン誘導体コンジュゲート、粒子もしくは組成物、例えばCRLX101の初回投与を、6mg/m2、7mg/m2、8mg/m2、9mg/m2、10mg/m2、11mg/m2、12mg/m2、13mg/m2、14mg/m2、15mg/m2、16mg/m2、17mg/m2、18mg/m2、19mg/m2、20mg/m2、21mg/m2、22mg/m2、23mg/m2、24mg/m2、25mg/m2、26mg/m2、27mg/m2、28mg/m2、29mg/m2または30mg/m2の用量(前記用量は、コンジュゲートのmg数ではなく薬物のmg数で表される)で前記対象に提供することと、任意に前記CDP-トポイソメラーゼ阻害剤コンジュゲート、粒子または組成物、例えばCDP-カンプトテシンコンジュゲート、粒子もしくは組成物またはカンプトテシン誘導体コンジュゲート、粒子もしくは組成物、例えば本明細書に記載のCDP-カンプトテシンコンジュゲート、粒子もしくは組成物またはカンプトテシン誘導体コンジュゲート、粒子もしくは組成物、例えばCRLX101の1回以上後続投与を、6mg/m2、7mg/m2、8mg/m2、9mg/m2、10mg/m2、11mg/m2、12mg/m2、13mg/m2、14mg/m2、15mg/m2、16mg/m2、17mg/m2、18mg/m2、19mg/m2、20mg/m2、21mg/m2、22mg/m2、23mg/m2、24mg/m2、25mg/m2、26mg/m2、27mg/m2、28mg/m2、29mg/m2または30mg/m2の用量で、前回投与、例えば初回投与後の9、10、11、12、13、14、15日または16日の間にそれぞれ独立して提供することとを含む。
一実施形態では、少なくとも2、3、4、5、6、7、8、9、10、12、15回または20回の用量は同じである。
一実施形態では、少なくとも2、3、4、5、6、7、8、9、10、12、15回または20回の投与間の時間は同じである。
一実施形態では、各後続投与を前回投与の12~16日後、例えば、14日後に行う。
一実施形態では、少なくとも2、3、4、5、6、7、8、9、10、12、15、20、50回または100回の投与を前記対象に対して行う。
一実施形態では、薬物を12~17mg/(m2・投与)、例えば、12~15mg/(m2・投与)で投与する。
一実施形態では、薬物を18~60mg/(m2・月)、例えば、18~30mg/(m2・月)、24~30mg/(m2・月)または36~60mg/(m2・月)で投与する。
一実施形態では、コンジュゲートは、トポイソメラーゼI阻害剤および/またはトポイソメラーゼII阻害剤を含む。一実施形態では、トポイソメラーゼI阻害剤またはトポイソメラーゼI阻害剤の組合せ、例えば、カンプトテシン、イリノテカン、SN-38、トポテカン、ラメラリンDおよびそれらの誘導体を含む。一実施形態では、コンジュゲートは、トポイソメラーゼII阻害剤またはトポイソメラーゼII阻害剤の組合せ、例えば、エプトポシド(eptoposide)、テノポシド(tenoposide)、ドキソルビシンおよびそれらの誘導体を含む。一実施形態では、コンジュゲートは、1つ以上のトポイソメラーゼI阻害剤と1つ以上のトポイソメラーゼII阻害剤の組合せを含む。一実施形態では、CDP-トポイソメラーゼ阻害剤コンジュゲートは、CDP-カンプトテシンまたはカンプトテシン誘導体コンジュゲート、例えば、本明細書に記載のCDP-カンプトテシンまたはカンプトテシン誘導体コンジュゲート、例えばCRLX101である。
一実施形態では、CDP-トポイソメラーゼ阻害剤コンジュゲート、粒子または組成物、例えば、CDP-カンプトテシンまたはカンプトテシン誘導体、本明細書に記載のCDP-カンプトテシンまたはカンプトテシン誘導体コンジュゲート、粒子または組成物、例えばCRLX101を、約30分、45分、60分、90分、120分、150分または180分以下の時間にわたって静脈内投与により投与する。一実施形態では、CDP-トポイソメラーゼ阻害剤コンジュゲート、粒子または組成物、例えばCDP-カンプトテシンまたはカンプトテシン誘導体コンジュゲート、粒子または組成物、例えば、本明細書に記載のCDP-カンプトテシンまたはカンプトテシン誘導体コンジュゲート、粒子または組成物、例えばCRLX101を、6mg/m2、7mg/m2、8mg/m2、9mg/m2、10mg/m2、11mg/m2、12mg/m2、13mg/m2、14mg/m2、15mg/m2、16mg/m2、17mg/m2、18mg/m2、19mg/m2、20mg/m2、21mg/m2、22mg/m2、23mg/m2、24mg/m2、25mg/m2、26mg/m2、27mg/m2、28mg/m2、29mg/m2または30mg/m2の用量で、約30分、45分、60分または90分以下の時間、例えば、30分、45分または60分以下の時間にわたって静脈内投与により投与する。
一実施形態では、CDP-トポイソメラーゼ阻害剤コンジュゲート、粒子または組成物、例えば、CDP-カンプトテシンまたはカンプトテシン誘導体、本明細書に記載のCDP-カンプトテシンまたはカンプトテシン誘導体コンジュゲート、粒子または組成物、例えばCRLX101を、約12時間、15時間、18時間、21時間、24時間、27時間または30時間の時間にわたって静脈内投与により投与する。一実施形態では、CDP-トポイソメラーゼ阻害剤コンジュゲート、粒子または組成物、例えばCDP-カンプトテシンまたはカンプトテシン誘導体コンジュゲート、粒子または組成物、例えば、本明細書に記載のCDP-カンプトテシンまたはカンプトテシン誘導体コンジュゲート、粒子または組成物、例えばCRLX101を、6mg/m2、7mg/m2、8mg/m2、9mg/m2、10mg/m2、11mg/m2、12mg/m2、13mg/m2、14mg/m2、15mg/m2、16mg/m2、17mg/m2、18mg/m2、19mg/m2、20mg/m2、21mg/m2、22mg/m2、23mg/m2、24mg/m2、25mg/m2、26mg/m2、27mg/m2、28mg/m2、29mg/m2または30mg/m2の用量で、約12時間、15時間、18時間、21時間、24時間、27時間または30時間の時間にわたって静脈内投与により投与する。好ましくは、CDP-トポイソメラーゼ阻害剤コンジュゲート、粒子または組成物、例えばCDP-カンプトテシンまたはカンプトテシン誘導体コンジュゲート、粒子または組成物、例えば、本明細書に記載のCDP-カンプトテシンまたはカンプトテシン誘導体コンジュゲート、粒子または組成物、例えばCRLX101を、15mg/m2、16mg/m2、17mg/m2、18mg/m2、19mg/m2、20mg/m2、21mg/m2、22mg/m2、23mg/m2、24mg/m2、25mg/m2、26mg/m2、27mg/m2、28mg/m2、29mg/m2または30mg/m2の用量で、約12時間、15時間、18時間、21時間、24時間、27時間または30時間の時間にわたって静脈内投与により投与する。
一実施形態では、増殖性疾患を治療するために、CDP-トポイソメラーゼ阻害剤コンジュゲート、粒子または組成物、例えばCDP-カンプトテシンまたはカンプトテシン誘導体コンジュゲート、粒子または組成物、例えば、本明細書に記載のCDP-カンプトテシンまたはカンプトテシン誘導体コンジュゲート、粒子または組成物、例えばCRLX101を、1日2回、6mg/m2、7mg/m2、8mg/m2、9mg/m2、10mg/m2、11mg/m2、12mg/m2、13mg/m2または14mg/m2の用量で投与し、任意に、前記CDP-トポイソメラーゼ阻害剤コンジュゲート、粒子または組成物、例えばCDP-カンプトテシンコンジュゲート、粒子もしくは組成物またはカンプトテシン誘導体コンジュゲート、粒子もしくは組成物、例えば本明細書に記載のCDP-カンプトテシンコンジュゲート、粒子もしくは組成物またはカンプトテシン誘導体コンジュゲート、粒子もしくは組成物、例えばCRLX101の1回以上の後続投与を、1日2回、6mg/m2、7mg/m2、8mg/m2、9mg/m2、10mg/m2、11mg/m2、12mg/m2、13mg/m2または14mg/m2の用量で、前回投与、例えば初回投与後の9、10、11、12、13、14、15日または16日の間にそれぞれ独立して行う。一実施形態では、最初の毎日投与の4、5、6、7、8、9、10、12、13、14、15、16、17、18、19、20時間後に2回目の毎日投与を行う。
一実施形態では、この方法は、前記対象への12mg/m2、13mg/m2、14mg/m2、15mg/m2、16mg/m2または17mg/m2の用量でのCRLX101の初回投与と、前記対象への12mg/m2、13mg/m2、14mg/m2、15mg/m2、16mg/m2または17mg/m2の用量、例えば、初回用量と同じ用量でのCRLX101の1回以上の後続投与とを含み、各後続投与は前回投与、例えば初回投与の12~16日後、例えば14日後に独立して行い、癌は、例えば肺癌、例えば非小細胞肺癌および/または小細胞肺癌(例えば、扁平上皮細胞非小細胞肺癌または扁平上皮細胞小細胞肺癌)である。一実施形態では、肺癌は、白金系薬剤(例えば、カルボプラチン、シスプラチン、オキサリプラチン)および/またはタキサン(例えば、ドセタキセル、パクリタキセル、ラロタキセルまたはカバジタキセル)に対して難治性、再発性または耐性である。
一実施形態では、この方法は、前記対象への16mg/m2、17mg/m2、18mg/m2、19mg/m2、20mg/m2、21mg/m2、22mg/m2、23mg/m2、24mg/m2、25mg/m2、26mg/m2、27mg/m2、28mg/m2、29mg/m2または30mg/m2の用量でのCRLX101の初回投与と、前記対象への16mg/m2、17mg/m2、18mg/m2、19mg/m2、20mg/m2、21mg/m2、22mg/m2、23mg/m2、24mg/m2、25mg/m2、26mg/m2、27mg/m2、28mg/m2、29mg/m2または30mg/m2の用量、例えば初回用量と同じ用量でのCRLX101の1回以上の後続投与とを含み、各後続投与を前回投与、例えば初回投与の12~16日後、例えば14日後に独立して行い、癌は、例えば肺癌、例えば非小細胞肺癌および/または小細胞肺癌(例えば、扁平上皮細胞非小細胞肺癌または扁平上皮細胞小細胞肺癌)である。一実施形態では、肺癌は、白金系薬剤(例えば、カルボプラチン、シスプラチン、オキサリプラチン)および/またはタキサン(例えば、ドセタキセル、パクリタキセル、ラロタキセルまたはカバジタキセル)に対して難治性、再発性または耐性である。
一実施形態では、この方法は、前記対象への12mg/m2、13mg/m2、14mg/m2、15mg/m2、16mg/m2または17mg/m2の用量でのCRLX101の初回投与と、前記対象への12mg/m2、13mg/m2、14mg/m2、15mg/m2、16mg/m2または17mg/m2の用量、例えば初回用量と同じ用量でのCRLX101の1回以上の後続投与とを含み、各後続投与を前回投与、例えば初回投与の12~16日後、例えば14日後に独立して行い、癌は、例えば卵巣癌である。一実施形態では、卵巣癌は、白金系薬剤(例えば、カルボプラチン、シスプラチン、オキサリプラチン)に対して難治性、再発性または耐性である。一実施形態では、CRLX101を腹腔内投与により投与する。
一実施形態では、この方法は、前記対象への16mg/m2、17mg/m2、18mg/m2、19mg/m2、20mg/m2、21mg/m2、22mg/m2、23mg/m2、24mg/m2、25mg/m2、26mg/m2、27mg/m2、28mg/m2、29mg/m2または30mg/m2の用量でのCRLX101の初回投与と、前記対象への16mg/m2、17mg/m2、18mg/m2、19mg/m2、20mg/m2、21mg/m2、22mg/m2、23mg/m2、24mg/m2、25mg/m2、26mg/m2、27mg/m2、28mg/m2、29mg/m2または30mg/m2の用量、例えば初回用量と同じ用量でのCRLX101の1回以上の後続投与とを含み、各後続投与を前回投与、例えば初回投与の12~16日後、例えば14日後に独立して行い、癌は、例えば卵巣癌である。一実施形態では、卵巣癌は、白金系薬剤(例えば、カルボプラチン、シスプラチン、オキサリプラチン)に対して難治性、再発性または耐性である。一実施形態では、CRLX101を腹腔内投与により投与する。
一実施形態では、この方法は、前記対象への12mg/m2、13mg/m2、14mg/m2,15mg/m2、16mg/m2または17mg/m2の用量でのCRLX101の初回投与と、前記対象への12mg/m2、13mg/m2、14mg/m2,15mg/m2、16mg/m2または17mg/m2の用量、例えば初回用量と同じ用量でのCRLX101の1回以上の後続投与とを含み、各後続投与を前回投与、例えば初回投与の12~16日後、例えば14日後に独立して行い、癌は、例えば胃癌、例えば胃食道癌、上部胃癌または下部胃癌である。
一実施形態では、この方法は、前記対象への16mg/m2、17mg/m2、18mg/m2、19mg/m2、20mg/m2、21mg/m2、22mg/m2、23mg/m2、24mg/m2、25mg/m2、26mg/m2、27mg/m2、28mg/m2、29mg/m2または30mg/m2の用量でのCRLX101の初回投与と、前記対象への16mg/m2、17mg/m2、18mg/m2、19mg/m2、20mg/m2、21mg/m2、22mg/m2、23mg/m2、24mg/m2、25mg/m2、26mg/m2、27mg/m2、28mg/m2、29mg/m2または30mg/m2の用量、例えば初回用量と同じ用量でのCRLX101の1回以上の後続投与とを含み、各後続投与を前回投与、例えば初回投与の12~16日後、例えば14日後に独立して行い、癌は、例えば胃癌、例えば胃食道癌、上部胃癌または下部胃癌である。
一実施形態では、この方法は、前記対象への12mg/m2、13mg/m2、14mg/m2または15mg/m2の用量でのCRLX101の初回投与と、前記対象への12mg/m2、13mg/m2、14mg/m2または15mg/m2の用量、例えば初回用量と同じ用量でのCRLX101の1回以上の後続投与とを含み、各後続投与を前回投与、例えば初回投与の12~16日後、例えば14日後に独立して行い、癌は、例えば膵臓癌である。
一実施形態では、この方法は、前記対象への16mg/m2、17mg/m2、18mg/m2、19mg/m2、20mg/m2、21mg/m2、22mg/m2、23mg/m2、24mg/m2、25mg/m2、26mg/m2、27mg/m2、28mg/m2、29mg/m2または30mg/m2の用量でのCRLX101の初回投与と、前記対象への16mg/m2、17mg/m2、18mg/m2、19mg/m2、20mg/m2、21mg/m2、22mg/m2、23mg/m2、24mg/m2、25mg/m2、26mg/m2、27mg/m2、28mg/m2、29mg/m2または30mg/m2の用量、例えば初回用量と同じ用量でのCRLX101の1回以上の後続投与とを含み、各後続投与を前回投与、例えば初回投与の12~16日後、例えば14日後に独立して行い、癌は、例えば膵臓癌である。
一実施形態では、この方法は、前記対象への12mg/m2、13mg/m2、14mg/m2,15mg/m2、16mg/m2または17mg/m2の用量でのCRLX101の初回投与と、前記対象への12mg/m2、13mg/m2、14mg/m2、15mg/m2、16mg/m2または17mg/m2の用量、例えば初回用量と同じ用量でのCRLX101の1回以上の後続投与とを含み、各後続投与を前回投与、例えば初回投与の12~16日後、例えば14日後に独立して行い、癌は、例えば結腸直腸癌である。
一実施形態では、この方法は、前記対象への16mg/m2、17mg/m2、18mg/m2、19mg/m2、20mg/m2、21mg/m2、22mg/m2、23mg/m2、24mg/m2、25mg/m2、26mg/m2、27mg/m2、28mg/m2、29mg/m2または30mg/m2の用量でのCRLX101の初回投与と、前記対象への16mg/m2、17mg/m2、18mg/m2、19mg/m2、20mg/m2、21mg/m2、22mg/m2、23mg/m2、24mg/m2、25mg/m2、26mg/m2、27mg/m2、28mg/m2、29mg/m2または30mg/m2の用量、例えば初回用量と同じ用量でのCRLX101の1回以上の後続投与とを含み、各後続投与を前回投与、例えば初回投与の12~16日後、例えば14日後に独立して行い、癌は、例えば結腸直腸癌である。
一実施形態では、この方法は、前記対象への12mg/m2、13mg/m2、14mg/m2,15mg/m2、16mg/m2または17mg/m2の用量でのCRLX101の初回投与と、前記対象への12mg/m2、13mg/m2、14mg/m2、15mg/m2、16mg/m2または17mg/m2の用量、例えば初回用量と同じ用量でのCRLX101の1回以上の後続投与とを含み、各後続投与を前回投与、例えば初回投与の12~16日後、例えば14日後に独立して行い、癌は、例えば乳癌、例えばエストロゲン受容体陽性乳癌、エストロゲン受容体陰性乳癌、HER-2陽性乳癌、HER-2陰性乳癌、トリプル陰性乳癌または炎症性乳癌である。
一実施形態では、この方法は、前記対象への16mg/m2、17mg/m2、18mg/m2、19mg/m2、20mg/m2、21mg/m2、22mg/m2、23mg/m2、24mg/m2、25mg/m2、26mg/m2、27mg/m2、28mg/m2、29mg/m2または30mg/m2の用量でのCRLX101の初回投与と、前記対象への16mg/m2、17mg/m2、18mg/m2、19mg/m2、20mg/m2、21mg/m2、22mg/m2、23mg/m2、24mg/m2、25mg/m2、26mg/m2、27mg/m2、28mg/m2、29mg/m2または30mg/m2の用量、例えば初回用量と同じ用量でのCRLX101の1回以上の後続投与とを含み、各後続投与を前回投与、例えば初回投与の12~16日後、例えば14日後に独立して行い、癌は、例えば乳癌、例えばエストロゲン受容体陽性乳癌、エストロゲン受容体陰性乳癌、HER-2陽性乳癌、HER-2陰性乳癌、トリプル陰性乳癌または炎症性乳癌である。
一実施形態では、癌は本明細書に記載の癌である。例えば、癌は、膀胱癌(急速進行性および転移性膀胱癌を含む)、乳癌(例えば、エストロゲン受容体陽性乳癌、エストロゲン受容体陰性乳癌、HER-2陽性乳癌、HER-2陰性乳癌、トリプル陰性乳癌、炎症性乳癌)、結腸癌(結腸直腸癌を含む)、腎臓癌、肝臓癌、肺癌(小細胞肺癌および非小細胞肺癌(腺癌、扁平上皮癌、細気管支肺胞癌および大細胞癌を含む)を含む)、尿生殖路癌、例えば卵巣癌(卵管、子宮内膜および腹膜癌を含む)、子宮頸癌、前立腺癌および精巣癌、リンパ系癌、喉頭癌、膵臓癌(外分泌膵臓癌を含む)、胃癌(例えば、胃食道癌、上部胃癌または下部胃癌)、消化管癌(例えば、肛門癌)、胆嚢癌、甲状腺癌、リンパ腫(例えば、バーキット、ホジキンまたは非ホジキンリンパ腫)、白血病(例えば、急性骨髄性白血病)、ユーイング肉腫、鼻食道癌(nasoesophageal cancer)、鼻咽頭癌、神経およびグリア細胞癌(例えば、多形神経膠芽腫)ならびに頭頸部癌であり得る。好適な癌としては、乳癌(例えば、転移性または局所進行性乳癌)、前立腺癌(例えば、ホルモン難治性前立腺癌)、腎細胞癌、肺癌(例えば、小細胞肺癌および非小細胞肺癌(腺癌、扁平上皮癌、細気管支肺胞癌および大細胞癌を含む)を含む)、膵臓癌、胃癌(例えば、胃食道癌、上部胃癌または下部胃癌)、結腸直腸癌、頭頸部扁平上皮癌、卵巣癌(例えば、進行性卵巣癌、白金系薬剤耐性または難治性卵巣癌)、リンパ腫(例えば、バーキット、ホジキンまたは非ホジキンリンパ腫)、白血病(例えば、急性骨髄性白血病)および消化管癌が挙げられる。
一実施形態では、癌は、卵巣癌、結腸直腸癌、乳癌、肺癌、リンパ腫または胃癌である。一実施形態では、癌は、膵臓癌、腎細胞癌および/または肺癌(例えば、非小細胞肺癌および/または小細胞肺癌)以外の癌である。一実施形態では、癌は、膵臓癌、腎細胞癌、肺癌(例えば、非小細胞肺癌および/または小細胞肺癌)および/または卵巣癌以外の癌である。
一実施形態では、対象は、初回投与の前にCDP-トポイソメラーゼ阻害剤コンジュゲート、粒子または組成物、例えばCDP-カンプトテシンまたはカンプトテシン誘導体コンジュゲート、粒子または組成物、本明細書に記載のCDP-カンプトテシンまたはカンプトテシン誘導体コンジュゲート、粒子または組成物、例えばCRLX101を投与されていない。
一実施形態では、CDP-トポイソメラーゼ阻害剤コンジュゲート、粒子または組成物を癌の第一選択治療として投与する。
一実施形態では、CDP-トポイソメラーゼ阻害剤コンジュゲート、粒子または組成物を、癌の第二、第三または第四選択治療として投与する。一実施形態では、癌は1つ以上の化学療法剤、例えば、白金系薬剤、タキサン、アルキル化剤、アントラサイクリン(例えば、ドキソルビシン(例えば、リポソームドキソルビシン))、抗代謝剤および/またはビンカアルカロイドに感受性である。一実施形態では、癌は、1つ以上の化学療法剤、例えば、白金系薬剤、タキサン、アルキル化剤、抗代謝剤および/またはビンカアルカロイドに対して難治性、再発性または耐性である。一実施形態では、癌は、例えば卵巣癌であり、かつ卵巣癌は白金系薬剤(例えば、カルボプラチン、シスプラチン、オキサリプラチン)、タキサン(例えば、パクリタキセル、ドセタキセル、ラロタキセル、カバジタキセル)および/またはアントラサイクリン(例えば、ドキソルビシン(例えば、リポソームドキソルビシン))に対して難治性、再発性または耐性である。一実施形態では、癌は、例えば結腸直腸癌あり、かつ癌は抗代謝剤(例えば、葉酸代謝拮抗剤(例えば、ペメトレキセド、フロクスウリジン、ラルチトレキセド)およびピリミジン類似体(例えば、カペシタビン、シトララビン(cytrarabine)、ゲムシタビン、5FU))および/または白金系薬剤(例えば、カルボプラチン、シスプラチン、オキサリプラチン)に対して難治性、再発性または耐性である。一実施形態では、癌は、例えば肺癌であり、かつ癌はタキサン(例えば、パクリタキセル、ドセタキセル、ラロタキセル、カバジタキセル)、白金系薬剤(例えば、カルボプラチン、シスプラチン、オキサリプラチン)、ビンカアルカロイド(例えば、ビンブラスチン、ビンクリスチン、ビンデシン、ビノレルビン)、血管内皮増殖因子(VEGF)経路阻害剤、上皮増殖因子(EGF)経路阻害剤および/または抗代謝剤(例えば、葉酸代謝拮抗剤(例えば、ペメトレキセド、フロクスウリジン、ラルチトレキセド)およびピリミジン類似体(例えば、カペシタビン、シトララビン(cytrarabine)、ゲムシタビン、5FU))に対して難治性、再発性または耐性である。一実施形態では、癌は、例えば乳癌であり、かつ癌はタキサン(例えば、パクリタキセル、ドセタキセル、ラロタキセル、カバジタキセル)、血管内皮増殖因子(VEGF)経路阻害剤、アントラサイクリン(例えば、ダウノルビシン、ドキソルビシン(例えば、リポソームドキソルビシン)、エピルビシン、バルルビシン、イダルビシン)、白金系薬剤(例えば、カルボプラチン、シスプラチン、オキサリプラチン)および/または抗代謝剤(例えば、葉酸代謝拮抗剤(例えば、ペメトレキセド、フロクスウリジン、ラルチトレキセド)およびピリミジン類似体(例えば、カペシタビン、シトララビン(cytrarabine)、ゲムシタビン、5FU)に対して難治性、再発性または耐性である。一実施形態では、癌は、例えば胃癌あり、かつ癌は抗代謝剤(例えば、葉酸代謝拮抗剤(例えば、ペメトレキセド、フロクスウリジン、ラルチトレキセド)およびピリミジン類似体(例えば、カペシタビン、シトララビン(cytrarabine)、ゲムシタビン、5FU))および/または白金系薬剤(例えば、カルボプラチン、シスプラチン、オキサリプラチン)に対して難治性、再発性または耐性である。
一実施形態では、対象は白金系薬剤に対して難治性、再発性または耐性である卵巣癌を有し、この対象にCDP-トポイソメラーゼ阻害剤コンジュゲート、粒子または組成物、例えば、本明細書に記載のCDP-トポイソメラーゼ阻害剤コンジュゲート、粒子または組成物を投与する。一実施形態では、CDP-トポイソメラーゼ阻害剤コンジュゲート、粒子または組成物をドキソルビシン(例えば、リポソームドキソルビシン)と組み合わせて投与する。一実施形態では、ドキソルビシン(例えば、リポソームドキソルビシン)を、24、25、26、27、28、29、30日または31日ごと、例えば28日ごとに約20mg/m2、約30mg/m2または約40mg/m2の用量で投与する。一実施形態では、CDP-トポイソメラーゼ阻害剤コンジュゲート、粒子または組成物をドキソルビシン(例えば、リポソームドキソルビシン)と組み合わせて投与する場合、CDP-トポイソメラーゼ阻害剤コンジュゲート、粒子または組成物を投与する用量は、本明細書に記載の用量よりも1%、3%、5%、10%、15%、20%、25%、30%未満である。
一実施形態では、CDP-トポイソメラーゼ阻害剤コンジュゲート、粒子または組成物の投与前に、癌をトポイソメラーゼ阻害剤に対して感受性にしておく、例えば、対象に放射線を投与しておく、および/または対象にホスファターゼ阻害剤(例えば、オカダ酸)を投与しておく。一実施形態では、癌をトポイソメラーゼ阻害剤に対して感受性にする、例えば、対象にCDP-トポイソメラーゼ阻害剤コンジュゲート、粒子または組成物の投与と組み合わせて放射線を投与する、および/または対象にCDP-トポイソメラーゼ阻害剤コンジュゲート、粒子または組成物の投与と組み合わせてホスファターゼ阻害剤(例えば、オカダ酸)を投与する。一実施形態では、癌をトポイソメラーゼ阻害剤に対して感受性にするか、または感受性にしておき、かつ癌はグリア細胞癌(例えば、多形神経膠芽腫)または頭頸部癌である。
一実施形態では、コンジュゲート、粒子または組成物を、1つ以上の追加の化学療法剤、例えば、本明細書に記載の化学療法剤(血管新生阻害剤など)または化学療法剤の組合せと組み合わせて投与する。一実施形態では、コンジュゲート、粒子または組成物を、白金系薬剤(例えば、カルボプラチン、シスプラチン、オキサリプラチン)、タキサン(例えば、パクリタキセル、ドセタキセル、ラロタキセル、カバジタキセル)、ビンカアルカロイド(例えば、ビンブラスチン、ビンクリスチン、ビンデシン、ビノレルビン)、抗代謝剤(例えば、葉酸代謝拮抗剤(例えば、ペメトレキセド、フロクスウリジン、ラルチトレキセド)およびピリミジン類似体(例えば、5FU、カペシタビン、シトララビン(cytrarabine)、ゲムシタビン))、アルキル化剤(例えば、シクロホスファミド、デカルバジン(decarbazine)、メルファラン、イホスファミド、テモゾロミド)、血管内皮増殖因子(VEGF)経路阻害剤、ポリADP-リボースポリメラーゼ(PARP)阻害剤およびmTOR阻害剤のうちの1つ以上と組み合わせて投与する。一実施形態では、CDP-トポイソメラーゼ阻害剤コンジュゲート、粒子または組成物を追加の化学療法剤と組み合わせて投与する場合、CDP-トポイソメラーゼ阻害剤コンジュゲート、粒子または組成物を投与する用量は、本明細書に記載の用量よりも1%、3%、5%、10%、15%、20%、25%、30%少ない。
一実施形態では、この方法は、CDP-カンプトテシンまたはカンプトテシン誘導体コンジュゲート、粒子または組成物の投与に関連した1つ以上の副作用を減少させる治療、例えば、本明細書に記載の治療を前記対象に対して行うことをさらに含む。
一態様では、本開示は、対象、例えばヒト対象における増殖性疾患の治療法を特徴とする。この方法は、増殖性疾患を治療するために、CDP-トポイソメラーゼ阻害剤コンジュゲート、粒子または組成物、例えばCDP-カンプトテシンまたはカンプトテシン誘導体コンジュゲート、粒子または組成物、例えば、本明細書に記載のCDP-カンプトテシンまたはカンプトテシン誘導体コンジュゲート、粒子または組成物、例えばCRLX101の初回投与を、9mg/m2、10mg/m2、11mg/m2,12mg/m2、13mg/m2、14mg/m2、15mg/m2、16mg/m2、17mg/m2、18mg/m2、19mg/m2、20mg/m2、21mg/m2、22mg/m2、23mg/m2、24mg/m2、25mg/m2、26mg/m2、27mg/m2、28mg/m2、29mg/m2、30mg/m2、31mg/m2、32mg/m2、33mg/m2、34mg/m2、35mg/m2または36mg/m2の用量(前記用量は、コンジュゲートのmg数ではなく薬剤のmg数で表される)で前記対象に提供することと、任意に前記CDP-トポイソメラーゼ阻害剤コンジュゲート、粒子または組成物、例えばCDP-カンプトテシンまたはカンプトテシン誘導体コンジュゲート、粒子または組成物、例えば、本明細書に記載のCDP-カンプトテシンまたはカンプトテシン誘導体コンジュゲート、粒子または組成物、例えばCRLX101の1回以上後続投与を、6mg/m2、7mg/m2、8mg/m2、9mg/m2、10mg/m2、11mg/m2,12mg/m2、13mg/m2、14mg/m2、15mg/m2、16mg/m2、17mg/m2、18mg/m2、19mg/m2、20mg/m2、21mg/m2、22mg/m2、23mg/m2、24mg/m2、25mg/m2、26mg/m2、27mg/m2、28mg/m2、29mg/m2、30mg/m2、31mg/m2、32mg/m2、33mg/m2、34mg/m2、35mg/m2または36mg/m2の用量で、前回投与、例えば初回投与後の17、18、19、20、21、22、23、24、25、26、27、28、29、30日または31日の間にそれぞれ独立して提供することとを含む。
一実施形態では、少なくとも2、3、4、5、6、7、8、9、10、12、15回または20回の投与の用量は同じである。
一実施形態では、少なくとも2、3、4、5、6、7、8、9、10、12、15回または20回の投与間の時間は同じである。
一実施形態では、各後続投与を、前回投与の19~23日後、例えば、21日または25~29日後、例えば、27日または28日後に行う。
一実施形態では、少なくとも2、3、4、5、6、7、8、9、10、12、15、20、50回または100回の投与を前記対象に対して行う。
一実施形態では、薬物を、18~60mg/(m2・月)、例えば、18~30mg/(m2・月)または36~60mg/(m2・月)で投与する。一実施形態では、薬物を1つ以上の追加の化学療法剤、例えば、本明細書に記載の化学療法剤と組み合わせて投与する場合、薬物を6~12mg/(m2・月)で投与する。
一実施形態では、コンジュゲートはトポイソメラーゼI阻害剤および/またはトポイソメラーゼII阻害剤を含む。一実施形態では、コンジュゲートは、トポイソメラーゼI阻害剤またはトポイソメラーゼI阻害剤の組合せ、例えば、カンプトテシン、イリノテカン、SN-38、トポテカン、ラメラリンDおよびそれらの誘導体を含む。一実施形態では、コンジュゲートは、トポイソメラーゼII阻害剤またはトポイソメラーゼII阻害剤の組合せ、例えば、エトポシド、テノポシド(tenoposide)、ドキソルビシンおよびそれらの誘導体を含む。一実施形態では、コンジュゲートは、1つ以上のトポイソメラーゼI阻害剤と1つ以上のトポイソメラーゼII阻害剤の組合せを含む。一実施形態では、CDP-トポイソメラーゼ阻害剤コンジュゲートはCDP-カンプトテシンまたはカンプトテシン誘導体コンジュゲート、例えば、本明細書に記載のCDP-カンプトテシンまたはカンプトテシン誘導体コンジュゲート、例えばCRLX101である。
一実施形態では、CDP-トポイソメラーゼ阻害剤コンジュゲート、粒子または組成物、例えば、CDP-カンプトテシンまたはカンプトテシン誘導体、本明細書に記載のCDP-カンプトテシンまたはカンプトテシン誘導体コンジュゲート、粒子または組成物、例えばCRLX101を、約30分、45分、60分、90分、120分、150分または180分以下の時間にわたって静脈内投与により投与する。一実施形態では、CDP-トポイソメラーゼ阻害剤コンジュゲート、粒子または組成物、例えばCDP-カンプトテシンまたはカンプトテシン誘導体コンジュゲート、粒子または組成物、例えば、本明細書に記載のCDP-カンプトテシンまたはカンプトテシン誘導体コンジュゲート、粒子または組成物、例えばCRLX101を、9mg/m2、10mg/m2、11mg/m2,12mg/m2、13mg/m2、14mg/m2、15mg/m2、16mg/m2、17mg/m2、18mg/m2、19mg/m2、20mg/m2、21mg/m2、22mg/m2、23mg/m2、24mg/m2、25mg/m2、26mg/m2、27mg/m2、28mg/m2、29mg/m2、30mg/m2、31mg/m2、32mg/m2、33mg/m2、34mg/m2、35mg/m2または36mg/m2の用量で、約30分、45分、60分または90分以下の時間、例えば、30分、45分または60分以下の時間にわたって静脈内投与により投与する。
一実施形態では、CDP-トポイソメラーゼ阻害剤コンジュゲート、粒子または組成物、例えば、CDP-カンプトテシンまたはカンプトテシン誘導体、本明細書に記載のCDP-カンプトテシンまたはカンプトテシン誘導体コンジュゲート、粒子または組成物、例えばCRLX101を、約12時間、15時間、18時間、21時間、24時間、27時間または30時間の時間にわたって静脈内投与により投与する。一実施形態では、CDP-トポイソメラーゼ阻害剤コンジュゲート、粒子または組成物、例えばCDP-カンプトテシンまたはカンプトテシン誘導体コンジュゲート、粒子または組成物、例えば、本明細書に記載のCDP-カンプトテシンまたはカンプトテシン誘導体コンジュゲート、粒子または組成物、例えばCRLX101を、15mg/m2、16mg/m2、17mg/m2、18mg/m2、19mg/m2、20mg/m2、21mg/m2、22mg/m2、23mg/m2、24mg/m2、25mg/m2、26mg/m2、27mg/m2、28mg/m2、29mg/m2、30mg/m2、31mg/m2、32mg/m2、33mg/m2、34mg/m2、35mg/m2または36mg/m2の用量で、約12時間、15時間、18時間、21時間、24時間、27時間または30時間の時間にわたって静脈内投与により投与する。
一実施形態では、増殖性疾患を治療するために、CDP-トポイソメラーゼ阻害剤コンジュゲート、粒子または組成物、例えばCDP-カンプトテシンまたはカンプトテシン誘導体コンジュゲート、粒子または組成物、例えば、本明細書に記載のCDP-カンプトテシンまたはカンプトテシン誘導体コンジュゲート、粒子または組成物、例えばCRLX101を、1日2回、6mg/m2、7mg/m2、8mg/m2、9mg/m2、10mg/m2、11mg/m2、12mg/m2、13mg/m2または14mg/m2の用量で投与し、任意に前記CDP-トポイソメラーゼ阻害剤コンジュゲート、粒子または組成物、例えばCDP-カンプトテシンコンジュゲート、粒子もしくは組成物またはカンプトテシン誘導体コンジュゲート、粒子もしくは組成物、例えば本明細書に記載のCDP-カンプトテシンコンジュゲート、粒子もしくは組成物またはカンプトテシン誘導体コンジュゲート、粒子もしくは組成物の1回以上の後続投与を、1日2回、6mg/m2、7mg/m2、8mg/m2、9mg/m2、10mg/m2、11mg/m2、12mg/m2、13mg/m2または14mg/m2の用量で、前回投与、例えば初回投与後の17、18、19、20、21、22、23、24、25、26、27、28、29、20日または31日の間にそれぞれ独立して行う。一実施形態では、2回目の毎日投与を、最初の毎日投与の4、5、6、7、8、9、10、12、13、14、15、16、17、18、19、20時間後に行う。
一実施形態では、この方法は、前記対象への6mg/m2、7mg/m2、8mg/m2、9mg/m2、10mg/m2、11mg/m2、12mg/m2、13mg/m2、14mg/m2、15mg/m2、16mg/m2、17mg/m2または18mg/m2の用量でのCRLX101の初回投与と、前記対象への6mg/m2、7mg/m2、8mg/m2、9mg/m2、10mg/m2、11mg/m2、12mg/m2、13mg/m2、14mg/m2、15mg/m2、16mg/m2、17mg/m2または18mg/m2の用量、例えば初回用量と同じ用量でのCRLX101の1回以上の後続投与とを含み、各後続投与を前回投与、例えば初回投与の19~22日後、例えば21日後に独立して行い、癌は、例えば肺癌、例えば非小細胞肺癌および/または小細胞肺癌(例えば、扁平上皮細胞非小細胞肺癌または扁平上皮細胞小細胞肺癌)である。一実施形態では、肺癌は白金系薬剤(例えば、カルボプラチン、シスプラチン、オキサリプラチン)および/またはタキサン(ドセタキセル、パクリタキセル、ラロタキセルまたはカバジタキセル)に対して難治性、再発性または耐性である。
一実施形態では、この方法は、前記対象への6mg/m2、7mg/m2、8mg/m2、9mg/m2、10mg/m2、11mg/m2、12mg/m2、13mg/m2、14mg/m2、15mg/m2、16mg/m2、17mg/m2または18mg/m2の用量でのCRLX101の初回投与と、前記対象への6mg/m2、7mg/m2、8mg/m2、9mg/m2、10mg/m2、11mg/m2、12mg/m2、13mg/m2、14mg/m2、15mg/m2、16mg/m2、17mg/m2または18mg/m2の用量、例えば初回用量と同じ用量でのCRLX101の1回以上の後続投与とを含み、各後続投与を前回投与、例えば初回投与の19~22日後、例えば21日後に独立して行い、癌は、例えば卵巣癌である。一実施形態では、卵巣癌は白金系薬剤(例えば、カルボプラチン、シスプラチン、オキサリプラチン)に対して難治性、再発性または耐性である。一実施形態では、CRLX101を腹腔内投与により投与する。
一実施形態では、この方法は、前記対象への6mg/m2、7mg/m2、8mg/m2、9mg/m2、10mg/m2、11mg/m2、12mg/m2、13mg/m2、14mg/m2、15mg/m2、16mg/m2、17mg/m2または18mg/m2の用量でのCRLX101の初回投与と、前記対象への6mg/m2、7mg/m2、8mg/m2、9mg/m2、10mg/m2、11mg/m2、12mg/m2、13mg/m2、14mg/m2、15mg/m2、16mg/m2、17mg/m2または18mg/m2の用量、例えば初回用量と同じ用量でのCRLX101の1回以上の後続投与とを含み、各後続投与を前回投与、例えば初回投与の19~22日後、例えば21日後に独立して行い、癌は、例えば胃癌、例えば胃食道癌、上部胃癌または下部胃癌である。
一実施形態では、この方法は、前記対象への6mg/m2、7mg/m2、8mg/m2、9mg/m2、10mg/m2、11mg/m2、12mg/m2、13mg/m2、14mg/m2、15mg/m2、16mg/m2、17mg/m2または18mg/m2の用量でのCRLX101の初回投与と、前記対象への6mg/m2、7mg/m2、8mg/m2、9mg/m2、10mg/m2、11mg/m2、12mg/m2、13mg/m2、14mg/m2、15mg/m2、16mg/m2、17mg/m2または18mg/m2の用量、例えば初回用量と同じ用量でのCRLX101の1回以上の後続投与とを含み、各後続投与を前回投与、例えば初回投与の19~22日後、例えば21日後に独立して行い、癌は、例えば膵臓癌である。
一実施形態では、この方法は、前記対象への6mg/m2、7mg/m2、8mg/m2、9mg/m2、10mg/m2、11mg/m2、12mg/m2、13mg/m2、14mg/m2、15mg/m2、16mg/m2、17mg/m2または18mg/m2の用量でのCRLX101の初回投与と、前記対象への6mg/m2、7mg/m2、8mg/m2、9mg/m2、10mg/m2、11mg/m2、12mg/m2、13mg/m2、14mg/m2、15mg/m2、16mg/m2、17mg/m2または18mg/m2の用量、例えば初回用量と同じ用量でのCRLX101の1回以上の後続投与とを含み、各後続投与を前回投与、例えば初回投与の19~22日後、例えば21日後に独立して行い、癌は、例えば結腸直腸癌である。
一実施形態では、この方法は、前記対象への6mg/m2、7mg/m2、8mg/m2、9mg/m2、10mg/m2、11mg/m2、12mg/m2、13mg/m2、14mg/m2、15mg/m2、16mg/m2、17mg/m2または18mg/m2の用量でのCRLX101の初回投与と、前記対象への6mg/m2、7mg/m2、8mg/m2、9mg/m2、10mg/m2、11mg/m2、12mg/m2、13mg/m2、14mg/m2、15mg/m2、16mg/m2、17mg/m2または18mg/m2の用量、例えば初回用量と同じ用量でのCRLX101の1回以上の後続投与とを含み、各後続投与を前回投与、例えば初回投与の19~22日後、例えば21日後に独立して行い、癌は、例えば乳癌、例えばエストロゲン受容体陽性乳癌、エストロゲン受容体陰性乳癌、HER-2陽性乳癌、HER-2陰性乳癌、トリプル陰性乳癌または炎症性乳癌である。
一実施形態では、癌は本明細書に記載の癌である。例えば、癌は、膀胱癌(急速進行性および転移性膀胱癌を含む)、乳癌(例えば、エストロゲン受容体陽性乳癌、エストロゲン受容体陰性乳癌、HER-2陽性乳癌、HER-2陰性乳癌、トリプル陰性乳癌、炎症性乳癌)、結腸癌(結腸直腸癌を含む)、腎臓、肝臓、肺癌(小細胞肺癌および非小細胞肺癌(腺癌、扁平上皮癌、細気管支肺胞癌および大細胞癌を含む)を含む)、尿生殖路癌、例えば卵巣癌(卵管、子宮内膜および腹膜癌を含む)、子宮頸癌、前立腺癌および精巣癌、リンパ系癌、喉頭癌、膵臓癌(外分泌膵臓癌を含む)、胃癌(例えば、胃食道癌、上部胃癌または下部胃癌)、消化管癌(例えば、肛門癌)、胆嚢癌、甲状腺癌、リンパ腫(例えば、バーキット、ホジキンまたは非ホジキンリンパ腫)、白血病(例えば、急性骨髄性白血病)、ユーイング肉腫、鼻食道癌(nasoesophageal cancer)、鼻咽頭癌、神経およびグリア細胞癌(例えば、多形神経膠芽腫)、ならびに頭頸部癌であり得る。好適な癌としては、乳癌(例えば、転移性または局所進行性乳癌)、前立腺癌(例えば、ホルモン難治性前立腺癌)、腎細胞癌、肺癌(例えば、小細胞肺癌および非小細胞肺癌(腺癌、扁平上皮癌、細気管支肺胞癌および大細胞癌を含む)を含む)、膵臓癌、胃癌(例えば、胃食道癌、上部胃癌または下部胃癌)、結腸直腸癌、頭頸部扁平上皮癌、卵巣癌(例えば、進行性卵巣癌、白金系薬剤耐性または難治性卵巣癌)、リンパ腫(例えば、バーキット、ホジキンまたは非ホジキンリンパ腫)、白血病(例えば、急性骨髄性白血病)および消化管癌が挙げられる。
一実施形態では、癌は、卵巣癌、結腸直腸癌、乳癌、肺癌、リンパ腫または胃癌である。一実施形態では、癌は、膵臓癌、腎細胞癌および/または肺癌(例えば、非小細胞肺癌)以外の癌である。一実施形態では、癌は、膵臓癌、腎細胞癌、肺癌(例えば、非小細胞肺癌)および/または卵巣癌以外の癌である。
一実施形態では、対象は、初回投与の前にCDP-トポイソメラーゼ阻害剤コンジュゲート、粒子または組成物、例えばCDP-カンプトテシンまたはカンプトテシン誘導体コンジュゲート、粒子または組成物、本明細書に記載のCDP-カンプトテシンまたはカンプトテシン誘導体コンジュゲート、粒子または組成物、例えばCRLX101を投与されていない。
一実施形態では、CDP-トポイソメラーゼ阻害剤コンジュゲート、粒子または組成物を癌の一次治療として投与する。
一実施形態では、CDP-トポイソメラーゼ阻害剤コンジュゲート、粒子または組成物を、癌の二次、三次または四次治療として投与する。一実施形態では、癌は1つ以上の化学療法剤、例えば、白金系薬剤、タキサン、アルキル化剤、抗代謝剤および/またはビンカアルカロイドに対して感受性である。一実施形態では、癌は、1つ以上の化学療法剤、例えば、白金系薬剤、タキサン、アルキル化剤、アントラサイクリン(例えば、ドキソルビシン(例えば、リポソームドキソルビシン))、抗代謝剤および/またはビンカアルカロイドに対して難治性、再発性または耐性である。一実施形態では、癌は、例えば卵巣癌であり、卵巣癌は白金系薬剤(例えば、カルボプラチン、シスプラチン、オキサリプラチン)、タキサン(例えば、パクリタキセル、ドセタキセル、ラロタキセル、カバジタキセル)および/またはアントラサイクリン(例えば、ドキソルビシン(例えば、リポソームドキソルビシン))に対して難治性、再発性または耐性である。一実施形態では、癌は、例えば結腸直腸癌であり、癌は抗代謝剤(例えば、葉酸代謝拮抗剤(例えば、ペメトレキセド、フロクスウリジン、ラルチトレキセド)およびピリミジン類似体(例えば、カペシタビン、シトララビン(cytrarabine)、ゲムシタビン、5FU))および/または白金系薬剤(例えば、カルボプラチン、シスプラチン、オキサリプラチン)に対して難治性、再発性または耐性である。一実施形態では、癌は、例えば肺癌であり、癌はタキサン(例えば、パクリタキセル、ドセタキセル、ラロタキセル、カバジタキセル)、白金系薬剤(例えば、カルボプラチン、シスプラチン、オキサリプラチン)、ビンカアルカロイド(例えば、ビンブラスチン、ビンクリスチン、ビンデシン、ビノレルビン)、血管内皮増殖因子(VEGF)経路阻害剤、上皮増殖因子(EGF)経路阻害剤および/または抗代謝剤(例えば、葉酸代謝拮抗剤(例えば、ペメトレキセド、フロクスウリジン、ラルチトレキセド)およびピリミジン類似体(例えば、カペシタビン、シトララビン(cytrarabine)、ゲムシタビン、5FU))に対して難治性、再発性または耐性である。一実施形態では、癌は、例えば乳癌であり、癌はタキサン(例えば、パクリタキセル、ドセタキセル、ラロタキセル、カバジタキセル)、血管内皮増殖因子(VEGF)経路阻害剤、アントラサイクリン(例えば、ダウノルビシン、ドキソルビシン(例えば、リポソームドキソルビシン)、エピルビシン、バルルビシン、イダルビシン)、白金系薬剤(例えば、カルボプラチン、シスプラチン、オキサリプラチン)および/または抗代謝剤(例えば、葉酸代謝拮抗剤(例えば、ペメトレキセド、フロクスウリジン、ラルチトレキセド)およびピリミジン類似体(例えば、カペシタビン、シトララビン(cytrarabine)、ゲムシタビン、5FU))に対して難治性、再発性または耐性である。一実施形態では、癌は、例えば胃癌であり、癌は抗代謝剤(例えば、葉酸代謝拮抗剤(例えば、ペメトレキセド、フロクスウリジン、ラルチトレキセド)およびピリミジン類似体(例えば、カペシタビン、シトララビン(cytrarabine)、ゲムシタビン、5FU))および/または白金系薬剤(例えば、カルボプラチン、シスプラチン、オキサリプラチン)に対して難治性、再発性または耐性である。
一実施形態では、対象は白金系薬剤に対して難治性、再発性または耐性である卵巣癌を有し、この対象にCDP-トポイソメラーゼ阻害剤コンジュゲート、粒子または組成物、例えば、本明細書に記載のCDP-トポイソメラーゼ阻害剤コンジュゲート、粒子または組成物を投与する。一実施形態では、CDP-トポイソメラーゼ阻害剤コンジュゲート、粒子または組成物を、ドキソルビシン(例えば、リポソームドキソルビシン)と組み合わせて投与する。一実施形態では、ドキソルビシン(例えば、リポソームドキソルビシン)を、24、25、26、27、28、29、30日または31日ごと、例えば28日ごとに約20mg/m2、約30mg/m2または約40mg/m2の用量で投与する。一実施形態では、CDP-トポイソメラーゼ阻害剤コンジュゲート、粒子または組成物、例えば、本明細書に記載のCDP-トポイソメラーゼ阻害剤コンジュゲート、粒子または組成物を、本明細書に記載の用量および/または用量レジメンで投与し、ドキソルビシン(例えば、リポソームドキソルビシン)を、24、25、26、27、28、29、30日または31日ごと、例えば28日ごとに約20mg/m2、約30mg/m2または約40mg/m2の用量で投与する。一実施形態では、CDP-トポイソメラーゼ阻害剤コンジュゲート、粒子または組成物をドキソルビシン(例えば、リポソームドキソルビシン)と組み合わせて投与する場合、CDP-トポイソメラーゼ阻害剤コンジュゲート、粒子または組成物を投与する用量は、本明細書に記載の用量よりも1%、3%、5%、10%、15%、20%、25%、30%少ない。
一実施形態では、CDP-トポイソメラーゼ阻害剤コンジュゲート、粒子または組成物の投与前に、癌をトポイソメラーゼ阻害剤に対して感受性にしておく、例えば、対象に放射線を投与しておく、および/または対象にホスファターゼ阻害剤(例えば、オカダ酸)を投与しておく。一実施形態では、癌をトポイソメラーゼ阻害剤に対して感受性にする、例えば、対象にCDP-トポイソメラーゼ阻害剤コンジュゲート、粒子または組成物の投与と組み合わせて放射線を投与する、および/または対象にCDP-トポイソメラーゼ阻害剤コンジュゲート、粒子または組成物の投与と組み合わせてホスファターゼ阻害剤(例えば、オカダ酸)を投与する。一実施形態では、癌をトポイソメラーゼ阻害剤に対して感受性にするか、または感受性にしておき、かつ癌はグリア細胞癌(例えば、多形神経膠芽腫)または頭頸部癌である。
一実施形態では、コンジュゲート、粒子または組成物を、1つ以上の追加の化学療法剤、例えば、本明細書に記載の化学療法剤(血管新生阻害剤など)または化学療法剤の組合せと組み合わせて投与する。一実施形態では、コンジュゲート、粒子または組成物を、白金系薬剤(例えば、カルボプラチン、シスプラチン、オキサリプラチン)、タキサン(例えば、パクリタキセル、ドセタキセル、ラロタキセル、カバジタキセル)、ビンカアルカロイド(例えば、ビンブラスチン、ビンクリスチン、ビンデシン、ビノレルビン)、抗代謝剤(例えば、葉酸代謝拮抗剤(例えば、フロクスウリジン、ラルチトレキセド、ペメトレキセド)、ピリミジン類似体(例えば、5FU、カペシタビン)、アルキル化剤(例えば、シクロホスファミド、デカルバジン(decarbazine)、メルファラン、イホスファミド、テモゾロミド)、血管内皮増殖因子(VEGF)経路阻害剤、ポリADP-リボースポリメラーゼ(PARP)阻害剤およびmTOR阻害剤のうちの1つ以上と組み合わせて投与する。一実施形態では、CDP-トポイソメラーゼ阻害剤コンジュゲート、粒子または組成物を追加の化学療法剤と組み合わせて投与する場合、CDP-トポイソメラーゼ阻害剤コンジュゲート、粒子または組成物を投与する用量は、本明細書に記載の用量よりも1%、3%、5%、10%、15%、20%、25%、30%少ない。
一態様では、本開示は、対象における増殖性疾患、例えば癌の治療法を特徴とする。この方法は、増殖性疾患を治療するために、CDP-トポイソメラーゼ阻害剤コンジュゲート、粒子または組成物、例えばCDP-カンプトテシンまたはカンプトテシン誘導体コンジュゲート、粒子または組成物、例えば、本明細書に記載のCDP-カンプトテシンまたはカンプトテシン誘導体コンジュゲート、粒子または組成物、例えばCRLX101の初回投与を、3mg/m2、4mg/m2、5mg/m2、6mg/m2、7mg/m2、8mg/m2、9mg/m2、10mg/m2または11mg/m2の用量(前記用量は、コンジュゲートのmg数ではなく薬物のmg数で表される)で前記対象に提供することと、任意に前記CDP-トポイソメラーゼ阻害剤コンジュゲート、粒子または組成物、例えばCDP-カンプトテシンまたはカンプトテシン誘導体コンジュゲート、粒子または組成物、例えば、本明細書に記載のCDP-カンプトテシンまたはカンプトテシン誘導体コンジュゲート、粒子または組成物、例えばCRLX101の1回以上後続投与を、3mg/m2、4mg/m2、5mg/m2、6mg/m2、7mg/m2、8mg/m2、9mg/m2、10mg/m2または11mg/m2の用量で前回投与、例えば初回投与後の5、6、7、8、9日の間にそれぞれ独立して提供することとを含む。
一実施形態では、少なくとも2、3、4、5、6、7、8、9、10、12、15回または20回の投与の用量は同じである。
一実施形態では、少なくとも2、3、4、5、6、7、8、9、10、12、15回または20回の投与間の時間は同じである。
一実施形態では、各後続投与を前回投与の5~9日後、例えば、7日後に行う。一実施形態では、3回の投与を前回投与から5、6、7、8日または9日の間に行い、4回目の投与を前回投与から10、11、12、13、14、15日または16日の間に行う。この投与スケジュールを、前回投与から5、6、7、8日または9日の間に行われる3回の追加投与で繰り返し、かつ後続投与を前回投与から10、11、12、13、14、15日または16日の間に行い得る。
一実施形態では、少なくとも2、3、4、5、6、7、8、9、10、12、15、20、50回または100回の投与を前記対象に対して行う。
一実施形態では、薬物を9~33mg/(m2・月)で投与する。
一実施形態では、コンジュゲートはトポイソメラーゼI阻害剤および/またはトポイソメラーゼII阻害剤を含む。一実施形態では、コンジュゲートは、トポイソメラーゼI阻害剤またはトポイソメラーゼI阻害剤の組合せ、例えば、カンプトテシン、イリノテカン、SN-38、トポテカン、ラメラリンDおよびそれらの誘導体を含む。一実施形態では、コンジュゲートは、トポイソメラーゼII阻害剤またはトポイソメラーゼII阻害剤の組合せ、例えば、エプトポシド(eptoposide)、テノポシド(tenoposide)、ドキソルビシンおよびそれらの誘導体を含む。一実施形態では、コンジュゲートは、1つ以上のトポイソメラーゼI阻害剤と1つ以上のトポイソメラーゼII阻害剤の組合せを含む。一実施形態では、CDP-トポイソメラーゼ阻害剤コンジュゲートは、CDP-カンプトテシンまたはカンプトテシン誘導体コンジュゲート、例えば、本明細書に記載のCDP-カンプトテシンまたはカンプトテシン誘導体コンジュゲート、例えばCRLX101である。
一実施形態では、CDP-トポイソメラーゼ阻害剤コンジュゲート、粒子、または組成物、例えば、CDP-カンプトテシンまたはカンプトテシン誘導体、本明細書に記載のCDP-カンプトテシンまたはカンプトテシン誘導体コンジュゲート、粒子または組成物、例えばCRLX101を、約30分、45分、60分、90分、120分、150分または180分以下の時間にわたって静脈内投与により投与する。一実施形態では、CDP-トポイソメラーゼ阻害剤コンジュゲート、粒子または組成物、例えばCDP-カンプトテシンまたはカンプトテシン誘導体コンジュゲート、粒子または組成物、例えば、本明細書に記載のCDP-カンプトテシンまたはカンプトテシン誘導体コンジュゲート、粒子または組成物、例えばCRLX101を、3mg/m2、4mg/m2、5mg/m2、6mg/m2、7mg/m2、8mg/m2、9mg/m2、10mg/m2または11mg/m2の用量で、約30分、45分、60分または90分以下の時間、例えば、30分、45分または60分以下の時間にわたって静脈内投与により投与する。
一実施形態では、この方法は、前記対象への3mg/m2、4mg/m2、5mg/m2、6mg/m2、7mg/m2、8mg/m2、9mg/m2、10mg/m2または11mg/m2の用量でのCRLX101の初回投与と、前記対象への3mg/m2、4mg/m2、5mg/m2、6mg/m2、7mg/m2、8mg/m2、9mg/m2、10mg/m2または11mg/m2の用量、例えば、初回用量と同じ用量でのCRLX101の1回以上の後続投与とを含み、各後続投与を前回投与、例えば初回投与の5~9日後、例えば7日後に独立して行い、癌は、例えば肺癌、例えば非小細胞肺癌および/または小細胞肺癌(例えば、扁平上皮細胞非小細胞肺癌または扁平上皮細胞小細胞肺癌)である。一実施形態では、肺癌は、白金系薬剤(例えば、カルボプラチン、シスプラチン、オキサリプラチン)および/またはタキサン(例えば、ドセタキセル、パクリタキセル、ラロタキセルまたはカバジタキセル)に対して難治性、再発性または耐性である。
一実施形態では、この方法は、前記対象への3mg/m2、4mg/m2、5mg/m2、6mg/m2、7mg/m2、8mg/m2、9mg/m2、10mg/m2または11mg/m2の用量でのCRLX101の初回投与と、前記対象への3mg/m2、4mg/m2、5mg/m2、6mg/m2、7mg/m2、8mg/m2、9mg/m2、10mg/m2または11mg/m2の用量、例えば、初回用量と同じ用量でのCRLX101の1回以上の後続投与とを含み、各後続投与を前回投与、例えば初回投与の5~9日後、例えば7日後に独立して行い、癌は、例えば卵巣癌である。一実施形態では、卵巣癌は白金系薬剤(例えば、カルボプラチン、シスプラチン、オキサリプラチン)に対して難治性、再発性または耐性である。一実施形態では、CRLX101を腹腔内投与により投与する。
一実施形態では、この方法は、前記対象への3mg/m2、4mg/m2、5mg/m2、6mg/m2、7mg/m2、8mg/m2、9mg/m2、10mg/m2または11mg/m2の用量でのCRLX101の初回投与と、前記対象への3mg/m2、4mg/m2、5mg/m2、6mg/m2、7mg/m2、8mg/m2、9mg/m2、10mg/m2または11mg/m2の用量、例えば、初回用量と同じ用量でのCRLX101の1回以上の後続投与とを含み、各後続投与を前回投与、例えば初回投与の5~9日後、例えば7日後に独立して行い、癌は、例えば胃癌、例えば胃食道癌、上部胃癌または下部胃癌である。
一実施形態では、この方法は、前記対象への3mg/m2、4mg/m2、5mg/m2、6mg/m2、7mg/m2、8mg/m2、9mg/m2、10mg/m2または11mg/m2の用量でのCRLX101の初回投与と、前記対象への3mg/m2、4mg/m2、5mg/m2、6mg/m2、7mg/m2、8mg/m2、9mg/m2、10mg/m2または11mg/m2の用量、例えば、初回用量と同じ用量でのCRLX101の1回以上の後続投与とを含み、各後続投与を前回投与、例えば初回投与の5~9日後、例えば7日後に独立して行い、癌は、例えば膵臓癌である。
一実施形態では、この方法は、前記対象への3mg/m2、4mg/m2、5mg/m2、6mg/m2、7mg/m2、8mg/m2、9mg/m2、10mg/m2または11mg/m2の用量でのCRLX101の初回投与と、前記対象への3mg/m2、4mg/m2、5mg/m2、6mg/m2、7mg/m2、8mg/m2、9mg/m2、10mg/m2または11mg/m2の用量、例えば、初回用量と同じ用量でのCRLX101の1回以上の後続投与とを含み、各後続投与を前回投与、例えば初回投与の5~9日後、例えば7日後に独立して行い、癌は、例えば結腸直腸癌である。
一実施形態では、この方法は、前記対象への3mg/m2、4mg/m2、5mg/m2、6mg/m2、7mg/m2、8mg/m2、9mg/m2、10mg/m2または11mg/m2の用量でのCRLX101の初回投与と、前記対象への3mg/m2、4mg/m2、5mg/m2、6mg/m2、7mg/m2、8mg/m2、9mg/m2、10mg/m2または11mg/m2の用量、例えば、初回用量と同じ用量でのCRLX101の1回以上の後続投与とを含み、各後続投与を前回投与、例えば初回投与の5~9日後、例えば7日後に独立して行い、癌は、例えば乳癌、例えばエストロゲン受容体陽性乳癌、エストロゲン受容体陰性乳癌、HER-2陽性乳癌、HER-2陰性乳癌、トリプル陰性乳癌または炎症性乳癌である。
一実施形態では、癌は本明細書に記載の癌である。例えば、癌は、膀胱癌(急速進行性および転移性膀胱癌を含む)、乳癌(例えば、エストロゲン受容体陽性乳癌、エストロゲン受容体陰性乳癌、HER-2陽性乳癌、HER-2陰性乳癌、トリプル陰性乳癌、炎症性乳癌)、結腸癌(結腸直腸癌を含む)、腎臓、肝臓、肺癌(小細胞肺癌および非小細胞肺癌(腺癌、扁平上皮癌、細気管支肺胞癌および大細胞癌を含む)を含む)、尿生殖路癌、例えば、卵巣癌(卵管、子宮内膜および腹膜癌を含む)、子宮頸癌、前立腺癌および精巣癌、リンパ系癌、喉頭癌、膵臓癌(外分泌膵臓癌を含む)、胃癌(例えば、胃食道癌、上部胃癌または下部胃癌)、消化管癌(例えば、肛門癌)、胆嚢癌、甲状腺癌、リンパ腫(例えば、バーキット、ホジキンまたは非ホジキンリンパ腫)、白血病(例えば、急性骨髄性白血病)、ユーイング肉腫、鼻食道癌(nasoesophageal cancer)、鼻咽頭癌、神経およびグリア細胞癌(例えば、多形神経膠芽腫)、ならびに頭頸部癌である。好適な癌としては、乳癌(例えば、転移性または局所進行性乳癌)、前立腺癌(例えば、ホルモン難治性前立腺癌)、腎細胞癌、肺癌(例えば、小細胞肺癌および非小細胞肺癌(腺癌、扁平上皮癌、細気管支肺胞癌および大細胞癌を含む)を含む)、膵臓癌、胃癌(例えば、胃食道癌、上部胃癌または下部胃癌)、結腸直腸癌、頭頸部扁平上皮癌、卵巣癌(例えば、進行性卵巣癌、白金系薬剤耐性または難治性卵巣癌)、リンパ腫(例えば、バーキット、ホジキンまたは非ホジキンリンパ腫)、白血病(例えば、急性骨髄性白血病)および消化管癌が挙げられる。
一実施形態では、癌は、卵巣癌、結腸直腸、乳癌、肺癌、リンパ腫または胃癌である。一実施形態では、癌は、膵臓癌、腎細胞癌および/または肺癌(例えば、非小細胞肺癌)以外の癌である。一実施形態では、癌は、膵臓癌、腎細胞癌、肺癌(例えば、非小細胞肺癌)および/または卵巣癌以外の癌である。
一実施形態では、対象は、初回投与の前にCDP-トポイソメラーゼ阻害剤コンジュゲート、粒子または組成物、例えばCDP-カンプトテシンまたはカンプトテシン誘導体コンジュゲート、粒子または組成物、本明細書に記載のCDP-カンプトテシンまたはカンプトテシン誘導体コンジュゲート、粒子または組成物、例えばCRLX101を投与されていない。
一実施形態では、CDP-トポイソメラーゼ阻害剤コンジュゲート、粒子または組成物を癌の一次治療として投与する。
一実施形態では、CDP-トポイソメラーゼ阻害剤コンジュゲート、粒子または組成物を、癌の二次、三次または四次治療として投与する。一実施形態では、癌は1つ以上の化学療法剤、例えば、白金系薬剤、タキサン、アルキル化剤、抗代謝剤および/またはビンカアルカロイドに対して感受性である。一実施形態では、癌は、1つ以上の化学療法剤、例えば、白金系薬剤、タキサン、アルキル化剤、アントラサイクリン(例えば、ドキソルビシン(例えば、リポソームドキソルビシン))および抗代謝剤および/またはビンカアルカロイドに対して難治性、再発性または耐性である。一実施形態では、癌は、例えば卵巣癌であり、卵巣癌は白金系薬剤(例えば、カルボプラチン、シスプラチン、オキサリプラチン)、タキサン(例えば、パクリタキセル、ドセタキセル、ラロタキセル、カバジタキセル)および/またはアントラサイクリン(例えば、ドキソルビシン(例えば、リポソームドキソルビシン))に対して難治性、再発性または耐性である。一実施形態では、癌は、例えば結腸直腸癌であり、癌は抗代謝剤(例えば、葉酸代謝拮抗剤(例えば、ペメトレキセド、フロクスウリジン、ラルチトレキセド)およびピリミジン類似体(例えば、カペシタビン、シトララビン(cytrarabine)、ゲムシタビン、5FU))および/または白金系薬剤(例えば、カルボプラチン、シスプラチン、オキサリプラチン)に対して難治性、再発性または耐性である。一実施形態では、癌は、例えば肺癌であり、癌はタキサン(例えば、パクリタキセル、ドセタキセル、ラロタキセル、カバジタキセル)、白金系薬剤(例えば、カルボプラチン、シスプラチン、オキサリプラチン)、ビンカアルカロイド(例えば、ビンブラスチン、ビンクリスチン、ビンデシン、ビノレルビン)、血管内皮増殖因子(VEGF)経路阻害剤、上皮増殖因子(EGF)経路阻害剤および/または抗代謝剤(例えば、葉酸代謝拮抗剤(例えば、ペメトレキセド、フロクスウリジン、ラルチトレキセド)およびピリミジン類似体(例えば、カペシタビン、シトララビン(cytrarabine)、ゲムシタビン、5FU))に対して難治性、再発性または耐性である。一実施形態では、癌は、例えば乳癌であり、癌はタキサン(例えば、パクリタキセル、ドセタキセル、ラロタキセル、カバジタキセル)、血管内皮増殖因子(VEGF)経路阻害剤、アントラサイクリン(例えば、ダウノルビシン、ドキソルビシン(例えば、リポソームドキソルビシン)、エピルビシン、バルルビシン、イダルビシン)、白金系薬剤(例えば、カルボプラチン、シスプラチン、オキサリプラチン)および/または抗代謝剤(例えば、葉酸代謝拮抗剤(例えば、ペメトレキセド、フロクスウリジン、ラルチトレキセド)およびピリミジン類似体(例えば、カペシタビン、シトララビン(cytrarabine)、ゲムシタビン、5FU))に対して難治性、再発性または耐性である。一実施形態では、癌は、例えば胃癌であり、癌は抗代謝剤(例えば、葉酸代謝拮抗剤(例えば、ペメトレキセド、フロクスウリジン、ラルチトレキセド)およびピリミジン類似体(例えば、カペシタビン、シトララビン(cytrarabine)、ゲムシタビン、5FU))および/または白金系薬剤(例えば、カルボプラチン、シスプラチン、オキサリプラチン)に対して難治性、再発性または耐性である。
一実施形態では、対象は白金系薬剤に対して難治性、再発性または耐性である卵巣癌を有し、この対象にCDP-トポイソメラーゼ阻害剤コンジュゲート、粒子または組成物、例えば、本明細書に記載のCDP-トポイソメラーゼ阻害剤コンジュゲート、粒子または組成物を投与する。一実施形態では、CDP-トポイソメラーゼ阻害剤コンジュゲート、粒子または組成物を、ドキソルビシン(例えば、リポソームドキソルビシン)と組み合わせて投与する。一実施形態では、ドキソルビシン(例えば、リポソームドキソルビシン)を、24、25、26、27、28、29、30日または31日ごと、例えば28日ごとに約20mg/m2、約30mg/m2または約40mg/m2の用量で投与する。一実施形態では、CDP-トポイソメラーゼ阻害剤コンジュゲート、粒子または組成物をドキソルビシン(例えば、リポソームドキソルビシン)と組み合わせて投与する場合、CDP-トポイソメラーゼ阻害剤コンジュゲート、粒子または組成物を投与する用量は、本明細書に記載の用量よりも1%、3%、5%、10%、15%、20%、25%、30%少ない。
一実施形態では、CDP-トポイソメラーゼ阻害剤コンジュゲート、粒子または組成物の投与前に、癌をトポイソメラーゼ阻害剤に対して感受性にしておく、例えば、対象に放射線を投与しておく、および/または対象にホスファターゼ阻害剤(例えば、オカダ酸)を投与しておく。一実施形態では、癌をトポイソメラーゼ阻害剤に対して感受性にする、例えば、対象にCDP-トポイソメラーゼ阻害剤コンジュゲート、粒子または組成物の投与と組み合わせて放射線を投与する、および/または対象にCDP-トポイソメラーゼ阻害剤コンジュゲート、粒子または組成物の投与と組み合わせてホスファターゼ阻害剤(例えば、オカダ酸)を投与する。一実施形態では、癌をトポイソメラーゼ阻害剤に対して感受性にするか、または感受性にしておき、かつ癌はグリア細胞癌(例えば、多形神経膠芽腫)または頭頸部癌である。
一実施形態では、コンジュゲート、粒子または組成物を、1つ以上の追加の化学療法剤、例えば、本明細書に記載の化学療法剤(血管新生阻害剤など)または化学療法剤の組合せと組み合わせて投与する。一実施形態では、組成物を、白金系薬剤(例えば、カルボプラチン、シスプラチン、オキサリプラチン)、タキサン(例えば、パクリタキセル、ドセタキセル、ラロタキセル、カバジタキセル)、ビンカアルカロイド(例えば、ビンブラスチン、ビンクリスチン、ビンデシン、ビノレルビン)、抗代謝剤(例えば、葉酸代謝拮抗剤(例えば、ペメトレキセド、フロクスウリジン、ラルチトレキセド)およびピリミジン類似体(例えば、5FU、カペシタビン、シトララビン(cytrarabine)、ゲムシタビン))、アルキル化剤(例えば、シクロホスファミド、デカルバジン(decarbazine)、メルファラン、イホスファミド、テモゾロミド)、血管内皮増殖因子(VEGF)経路阻害剤、ポリADP-リボースポリメラーゼ(PARP)阻害剤およびmTOR阻害剤のうちの1つ以上と組み合わせて投与する。一実施形態では、CDP-トポイソメラーゼ阻害剤コンジュゲート、粒子または組成物を追加の化学療法剤と組み合わせて投与する場合、CDP-トポイソメラーゼ阻害剤コンジュゲート、粒子または組成物を投与する用量は、本明細書に記載の用量よりも1%、3%、5%、10%、15%、20%、25%、30%少ない。
一実施形態では、この方法は、CDP-トポイソメラーゼ阻害剤コンジュゲート、粒子または組成物の投与に関連した1つ以上の副作用を減少させる治療、例えば、本明細書に記載の治療を前記対象に対して行うことをさらに含む。
一態様では、本開示は、対象、例えばヒト対象における卵巣癌(例えば、上皮癌、卵管癌、胚細胞癌(例えば、奇形腫)、性索間質腫瘍(例えば、エストロゲン産生顆粒膜細胞腫、男性化セルトリ・ライディッヒ腫瘍、男化腫瘍))、例えば局所進行性または転移性卵巣癌の治療法を特徴とする。この方法は、CDP-トポイソメラーゼ阻害剤コンジュゲート、粒子または組成物、例えばCDP-カンプトテシンまたはカンプトテシン誘導体コンジュゲート、粒子または組成物、例えば本明細書に記載のCDP-カンプトテシンまたはカンプトテシン誘導体コンジュゲート、粒子または組成物、例えばCRLX101を、第二の化学療法剤と組み合わせて投与することを含む。
一実施形態では、CDP-トポイソメラーゼ阻害剤コンジュゲート、粒子または組成物、例えばCDP-カンプトテシンまたはカンプトテシン誘導体コンジュゲート、粒子または組成物、例えば本明細書に記載のCDP-カンプトテシンまたはカンプトテシン誘導体コンジュゲート、粒子または組成物、例えばCRLX101を、癌を除去する、例えば原発性腫瘍および/または転移を除去する手術前、手術後または手術前後に投与する。
一実施形態では、この方法は、CDP-トポイソメラーゼ阻害剤コンジュゲート、粒子または組成物、例えばCDP-カンプトテシンまたはカンプトテシン誘導体コンジュゲート、粒子または組成物、例えば本明細書に記載のCDP-カンプトテシンまたはカンプトテシン誘導体コンジュゲート、粒子または組成物、例えばCRLX101を、白金系薬剤(例えば、シスプラチン、カルボプラチン、オキサリプラチン)と組み合わせて投与することを含む。一実施形態では、コンジュゲート、粒子または組成物を、さらに抗代謝剤、例えば葉酸代謝拮抗剤(例えば、ペメトレキセド、フロクスウリジン、ラルチトレキセド)またはピリミジン類似体(例えば、カペシタビン、シトララビン(cytrarabine)、ゲムシタビン、5FU)と組み合わせて投与する。一実施形態では、コンジュゲート、粒子または組成物を、さらに抗代謝剤、例えば葉酸代謝拮抗剤(例えば、ペメトレキセド、フロクスウリジン、ラルチトレキセド)またはピリミジン類似体(例えば、カペシタビン、シトララビン(cytrarabine)、ゲムシタビン、5FU)およびホリン酸(ロイコボリン)と組み合わせて投与する。
一実施形態では、コンジュゲート、粒子または組成物を、血管新生阻害剤(例えば、VEGF経路阻害剤のような本明細書に記載の血管新生阻害剤)と組み合わせて投与する。一実施形態では、この方法は、CDP-トポイソメラーゼ阻害剤コンジュゲート、粒子または組成物、例えばCDP-カンプトテシンまたはカンプトテシン誘導体コンジュゲート、粒子または組成物、例えば本明細書に記載のCDP-カンプトテシンまたはカンプトテシン誘導体コンジュゲート、粒子または組成物、例えばCRLX101を、タキサン(例えば、パクリタキセル、ドセタキセル、ラロタキセル、カバジタキセル)と組み合わせて投与することを含む。一実施形態では、コンジュゲート、粒子または組成物を、さらに白金系薬剤(例えば、シスプラチン、カルボプラチン、オキサリプラチン)と組み合わせて投与する。一実施形態では、コンジュゲート、粒子または組成物を、さらに抗代謝剤、例えば葉酸代謝拮抗剤(例えば、ペメトレキセド、フロクスウリジン、ラルチトレキセド)またはピリミジン類似体(例えば、カペシタビン、シトララビン(cytrarabine)、ゲムシタビン、5FU)と組み合わせて投与する。一実施形態では、コンジュゲート、粒子または組成物を、さらに抗代謝剤、例えば葉酸代謝拮抗剤(例えば、ペメトレキセド、フロクスウリジン、ラルチトレキセド)またはピリミジン類似体(例えば、カペシタビン、シトララビン(cytrarabine)、ゲムシタビン、5FU)およびホリン酸(ロイコボリン)と組み合わせて投与する。
一実施形態では、この方法は、CDP-トポイソメラーゼ阻害剤コンジュゲート、粒子または組成物、例えばCDP-カンプトテシンまたはカンプトテシン誘導体コンジュゲート、粒子または組成物、例えば本明細書に記載のCDP-カンプトテシンまたはカンプトテシン誘導体コンジュゲート、粒子または組成物、例えばCRLX101を、アントラサイクリン(例えば、ドキソルビシン(例えば、リポソームドキソルビシン)、ダウノルビシン、エピルビシン、イダルビシン、ミトキサントロン、バルルビシン)と組み合わせて投与することを含む。一実施形態では、癌はタキサンおよび/または白金系薬剤に対して難治性、再発性または耐性である。
一実施形態では、コンジュゲート、粒子または組成物を、抗代謝剤、例えば葉酸代謝拮抗剤(例えば、ペメトレキセド、フロクスウリジン、ラルチトレキセド)またはピリミジン類似体(例えば、カペシタビン、シトララビン(cytrarabine)、ゲムシタビン、5FU);アルキル化剤(例えば、シクロホスファミド、デカルバジン(decarbazine)、メルファラン、イホスファミド、テモゾロミド);白金系薬剤(カルボプラチン、シスプラチン、オキサリプラチン);ビンカアルカロイド(例えば、ビンブラスチン、ビンクリスチン、ビンデシン、ビノレルビン)のうちの1つ以上と組み合わせて投与する。一実施形態では、コンジュゲート、粒子または組成物を、カペシタビン、シクロホスファミド、ゲムシタビン、イホスファミド、メルファラン、オキサリプラチン、ビノレルビン、ビンクリスチンおよびペメトレキセドのうちの1つ以上と組み合わせて投与する。一実施形態では、癌はタキサンおよび/または白金系薬剤に対して難治性、再発性または耐性である。
一実施形態では、コンジュゲート、粒子または組成物を、本明細書に記載の用量および/または投与計画で投与する。一実施形態では、CDP-トポイソメラーゼ阻害剤コンジュゲート、粒子または組成物を追加の化学療法剤と組み合わせて投与する場合、CDP-トポイソメラーゼ阻害剤コンジュゲート、粒子または組成物を投与する用量は、本明細書に記載の用量よりも1%、3%、5%、10%、15%、20%、25%、30%少ない。
一実施形態では、コンジュゲート、粒子または組成物を、CDP-トポイソメラーゼ阻害剤コンジュゲート、粒子または組成物の投与に関連した1つ以上の副作用を減少させる治療、例えば、本明細書に記載の治療と組み合わせて投与する
別の態様では、本開示は、対象、例えばヒト対象における結腸直腸癌(例えば、結腸、小腸、直腸および/または虫垂癌)、例えば局所進行性または転移性結腸直腸癌の治療法を特徴とする。この方法は、CDP-トポイソメラーゼ阻害剤コンジュゲート、粒子または組成物、例えばCDP-カンプトテシンまたはカンプトテシン誘導体コンジュゲート、粒子または組成物、例えば本明細書に記載のCDP-カンプトテシンまたはカンプトテシン誘導体コンジュゲート、粒子または組成物、例えばCRLX101を、第二の化学療法剤と組み合わせて投与することを含む。
一実施形態では、CDP-トポイソメラーゼ阻害剤コンジュゲート、粒子または組成物、例えばCDP-カンプトテシンまたはカンプトテシン誘導体コンジュゲート、粒子または組成物、例えば本明細書に記載のCDP-カンプトテシンまたはカンプトテシン誘導体コンジュゲート、粒子または組成物、例えばCRLX101を手術前、癌を除去する、例えば原発性腫瘍および/または転移を除去する手術後または手術前後に投与する。
一実施形態では、この方法は、CDP-トポイソメラーゼ阻害剤コンジュゲート、粒子または組成物、例えばCDP-カンプトテシンまたはカンプトテシン誘導体コンジュゲート、粒子または組成物、例えば本明細書に記載のCDP-カンプトテシンまたはカンプトテシン誘導体コンジュゲート、粒子または組成物、例えばCRLX101を、抗代謝剤、例えば葉酸代謝拮抗剤(例えば、ペメトレキセド、フロクスウリジン、ラルチトレキセド)と組み合わせて投与することを含む。一実施形態では、コンジュゲート、粒子または組成物を、抗代謝剤、例えばピリミジン類似体(例えば、カペシタビン、シトララビン(cytrarabine)、ゲムシタビン、5FU)およびホリン酸(ロイコボリン)と組み合わせて投与する。一実施形態では、コンジュゲート、粒子または組成物を、さらに白金系薬剤(例えば、シスプラチン、カルボプラチン、オキサリプラチン)と組み合わせて投与する。例えば、一実施形態では、コンジュゲート、粒子または組成物を、抗代謝剤、例えば5FU、ホリン酸(ロイコボリン)および白金系薬剤、例えばオキサリプラチンと組み合わせて投与する。別の実施形態では、抗代謝剤はピリミジン類似体、例えばカペシタビンである。
一実施形態では、コンジュゲート、粒子または組成物を、血管新生阻害剤(例えば、VEGF経路阻害剤のような本明細書に記載の血管新生阻害剤)と組み合わせて投与する。一実施形態では、この方法は、CDP-トポイソメラーゼ阻害剤コンジュゲート、粒子または組成物、例えばCDP-カンプトテシンまたはカンプトテシン誘導体コンジュゲート、粒子または組成物、例えば本明細書に記載のCDP-カンプトテシンまたはカンプトテシン誘導体コンジュゲート、粒子または組成物、例えばCRLX101を、白金系薬剤(例えば、シスプラチン、カルボプラチン、オキサリプラチン)と組み合わせて投与することを含む。
一実施形態では、この方法は、CDP-トポイソメラーゼ阻害剤コンジュゲート、粒子または組成物、例えばCDP-カンプトテシンまたはカンプトテシン誘導体コンジュゲート、粒子または組成物、例えば本明細書に記載のCDP-カンプトテシンまたはカンプトテシン誘導体コンジュゲート、粒子または組成物、例えばCRLX101を、血管内皮増殖因子(VEGF)経路阻害剤、例えばVEGF阻害剤またはVEGF受容体阻害剤と組み合わせて投与することを含む。一実施形態では、VEGF阻害剤はベバシズマブまたはAV-951である。一実施形態では、VEGF受容体阻害剤はCP-547632およびAZD2171から選択される。一実施形態では、コンジュゲート、粒子または組成物を、VEGF経路阻害剤、例えばベバシズマブ、および抗代謝剤、例えば葉酸代謝拮抗剤(例えば、ペメトレキセド、フロルリジン(floruridine)、ラルチトレキセド)またはピリミジン類似体(例えば、カペシタビン、5FU、シトララビン(cytrarabine)、ゲムシタビン)と組み合わせて投与する。一実施形態では、コンジュゲート、粒子または組成物を、VEGF経路阻害剤、例えばベバシズマブ、抗代謝剤、例えばピリミジン類似体(例えば、5FU)およびホリン酸(ロイコボリン)と共に投与する。別の実施形態では、コンジュゲート、粒子または組成物を、VEGF経路阻害剤、例えばベバシズマブ、抗代謝剤、例えばピリミジン類似体(例えば、5FU)、ホリン酸(ロイコボリン)および白金系薬剤(例えば、シスプラチン、カルボプラチン、オキサリプラチン)と共に投与する。一実施形態では、癌は抗代謝剤および/または白金系薬剤に対して難治性、再発性または耐性である。
別の実施形態では、CDP-トポイソメラーゼ阻害剤コンジュゲート、粒子または組成物、例えばCDP-カンプトテシンまたはカンプトテシン誘導体コンジュゲート、粒子または組成物、例えば本明細書に記載のCDP-カンプトテシンまたはカンプトテシン誘導体コンジュゲート、粒子または組成物、例えばCRLX101を、VEGF経路阻害剤、例えばベバシズマブ、およびピリミジン類似体である抗代謝剤、例えばカペシタビンと組み合わせて投与する。一実施形態では、コンジュゲート、粒子または組成物を、さらに白金系薬剤(例えば、シスプラチン、カルボプラチン、オキサリプラチン)と組み合わせて投与する。例えば、一実施形態では、コンジュゲート、粒子または組成物を、以下の組合せと共に投与する:VEGF経路阻害剤、例えばVEGF阻害剤(例えば、ベバシズマブ)もしくはVEGF受容体阻害剤、ピリミジン類似体(例えば、カペシタビン)および白金系薬剤(例えば、オキサリプラチン);またはVEGF経路阻害剤(例えば、ベバシズマブ)およびピリミジン類似体(例えば、カペシタビン)。一実施形態では、癌は抗代謝剤および/または白金系薬剤に対して難治性、再発性または耐性である。
一実施形態では、CDP-トポイソメラーゼ阻害剤コンジュゲート、粒子または組成物、例えばCDP-カンプトテシンまたはカンプトテシン誘導体コンジュゲート、粒子または組成物、例えば本明細書に記載のCDP-カンプトテシンまたはカンプトテシン誘導体コンジュゲート、粒子または組成物、例えばCRLX101を、上皮増殖因子(EGF)経路阻害剤、例えばEGF阻害剤またはEGF受容体阻害剤と組み合わせて投与する。EGF受容体阻害剤は、例えば、セツキシマブ、エルロチニブ、ゲフィチニブ、パニツムマブであり得る。一実施形態では、コンジュゲート、粒子または組成物を、EGF経路阻害剤、例えばセツキシマブまたはパニツムマブおよびVEGF経路阻害剤、例えばベバシズマブと組み合わせて投与する。一実施形態では、癌は抗代謝剤および/または白金系薬剤に対して難治性、再発性または耐性である。
一実施形態では、コンジュゲート、粒子または組成物を、本明細書に記載の用量および/または投与計画で投与する。一実施形態では、CDP-トポイソメラーゼ阻害剤コンジュゲート、粒子または組成物を追加の化学療法剤と組み合わせて投与する場合、CDP-トポイソメラーゼ阻害剤コンジュゲート、粒子または組成物を投与する用量は、本明細書に記載の用量よりも1%、3%、5%、10%、15%、20%、25%、30%少ない。
一実施形態では、コンジュゲート、粒子または組成物を、CDP-トポイソメラーゼ阻害剤コンジュゲート、粒子または組成物の投与に関連した1つ以上の副作用を減少させる治療、例えば、本明細書に記載の治療と組み合わせて投与する。
一態様では、本開示は、対象、例えばヒト対象における肺癌(例えば、小細胞肺癌または非小細胞肺癌(例えば、腺癌、扁平上皮癌、細気管支肺胞癌および大細胞癌))、例えば局所進行性または転移性肺癌の治療法を特徴とする。この方法は、CDP-トポイソメラーゼ阻害剤コンジュゲート、粒子または組成物、例えばCDP-トポイソメラーゼIまたはII阻害剤コンジュゲート、粒子または組成物、例えばCDP-カンプトテシンまたはカンプトテシン誘導体コンジュゲート、粒子または組成物、例えば本明細書に記載のCDP-カンプトテシンまたはカンプトテシン誘導体コンジュゲート、粒子または組成物、例えばCRLX101を投与することを含む。一実施形態では、この方法は、CDP-トポイソメラーゼ阻害剤コンジュゲート、粒子または組成物、例えばCDP-トポイソメラーゼIまたはII阻害剤コンジュゲート、粒子または組成物、例えばCDP-カンプトテシンまたはカンプトテシン誘導体コンジュゲート、粒子または組成物、例えば本明細書に記載のCDP-カンプトテシンまたはカンプトテシン誘導体コンジュゲート、粒子または組成物、例えばCRLX101による治療のために、扁平上皮細胞肺癌を有する対象を選択することを含む。
一実施形態では、CDP-トポイソメラーゼ阻害剤コンジュゲート、粒子または組成物、例えばCDP-カンプトテシンまたはカンプトテシン誘導体コンジュゲート、粒子または組成物、例えば本明細書に記載のCDP-カンプトテシンまたはカンプトテシン誘導体コンジュゲート、粒子または組成物、例えばCRLX101を、癌を除去する、例えば原発性腫瘍および/または転移を除去する手術前、手術後または手術前後に投与する。
一実施形態では、この方法は、肺癌を有し、かつ例えば参照標準と比べて、KRASおよび/またはST発現レベルが増加している、ならびに/あるいはKRASおよび/またはST遺伝子における変異を有する対象を選択することと、CDP-トポイソメラーゼ阻害剤コンジュゲート、粒子または組成物、例えばCDP-カンプトテシンまたはカンプトテシン誘導体コンジュゲート、粒子または組成物、例えば本明細書に記載のCDP-カンプトテシンまたはカンプトテシン誘導体コンジュゲート、粒子または組成物、例えばCRLX101を、癌を治療するのに有効な量で対象に投与して癌を治療することとを含む。
一実施形態では、対象は、例えば参照標準と比べて、KRASおよび/またはST発現レベルが増加している、ならびに/あるいはKRASおよび/またはST遺伝子における変異を有する。一実施形態では、対象は、KRAS遺伝子(例えば、GからTへの塩基転換)、KRAS遺伝子のコドン13、KRAS遺伝子のコドン61のうちの1つ以上において変異を有する。一実施形態では、対象は、粘液細気管支肺胞細胞または杯細胞に関連した非小細胞肺癌を有する。
一実施形態では、この方法は、肺癌を有し、かつEGFR遺伝子における変異を有する対象を選択することと、CDP-トポイソメラーゼ阻害剤コンジュゲート、粒子または組成物、例えばCDP-カンプトテシンまたはカンプトテシン誘導体コンジュゲート、粒子または組成物、例えば本明細書に記載のCDP-カンプトテシンまたはカンプトテシン誘導体コンジュゲート、粒子または組成物、例えばCRLX101を、癌を治療するのに有効な量で対象に投与して癌を治療することとを含む。
一実施形態では、対象は、EGF経路阻害剤、例えばEGF受容体阻害剤(例えば、エルロチニブ)に対して耐性、再発性または難治性である肺癌を有する。
一実施形態では、対象は、以下の変異の1つ以上を有する:EGFR遺伝子のコドン719(例えば、EGFR遺伝子のコドン719においてグリシンからシステイン、アラニンまたはセリンへの置換を生じるミスセンス変異)、EGFR遺伝子のコドン746(例えば、EGFR遺伝子のコドン746の1つ以上の核酸の欠失)、EGFR遺伝子のコドン747(例えば、EGFR遺伝子のコドン747の1つ以上の核酸の欠失)、EGFR遺伝子のコドン748(例えば、EGFR遺伝子のコドン748の1つ以上の核酸の欠失)、EGFR遺伝子のコドン749(例えば、EGFR遺伝子のコドン749の1つ以上の核酸の欠失)、EGFR遺伝子のコドン750(例えば、EGFR遺伝子のコドン750の1つ以上の核酸の欠失)、EGFR遺伝子のコドン858(例えば、EGFR遺伝子のコドン858においてロイシンからアルギニンへの置換を生じるミスセンス変異)、EGFR遺伝子のエクソン19における欠失およびEGFR遺伝子のエクソン20における挿入変異。
一実施形態では、対象は、EGFR遺伝子における変異を有し、かつ例えば参照標準に比べて、KRAS遺伝子における変異を有する、および/またはKRASを過剰発現する。
一実施形態では、この方法は、肺癌を有し、かつEGFR遺伝子における変異を有さない対象を選択することと、CDP-トポイソメラーゼ阻害剤コンジュゲート、粒子または組成物、例えばCDP-カンプトテシンまたはカンプトテシン誘導体コンジュゲート、粒子または組成物、例えば本明細書に記載のCDP-カンプトテシンまたはカンプトテシン誘導体コンジュゲート、粒子または組成物、例えばCRLX101を、癌を治療するのに有効な量で対象に投与して癌を治療することとを含む。
一実施形態では、この方法は、扁平上皮細胞肺癌を有する対象を選択することと、CDP-トポイソメラーゼ阻害剤コンジュゲート、粒子または組成物、例えばCDP-カンプトテシンまたはカンプトテシン誘導体コンジュゲート、粒子または組成物、例えば本明細書に記載のCDP-カンプトテシンまたはカンプトテシン誘導体コンジュゲート、粒子または組成物、例えばCRLX101を、癌を治療するのに有効な量で対象に投与して癌を治療することとを含む。
一実施形態では、対象は、以下の変異の1つ以上を有さない:EGFR遺伝子のコドン719(例えば、EGFR遺伝子のコドン719においてグリシンからシステイン、アラニンまたはセリンへの置換を生じるミスセンス変異)、EGFR遺伝子のコドン746(例えば、EGFR遺伝子のコドン746の1つ以上の核酸の欠失)、EGFR遺伝子のコドン747(例えば、EGFR遺伝子のコドン747の1つ以上の核酸の欠失)、EGFR遺伝子のコドン748(例えば、EGFR遺伝子のコドン748の1つ以上の核酸の欠失)、EGFR遺伝子のコドン749(例えば、EGFR遺伝子のコドン749の1つ以上の核酸の欠失)、EGFR遺伝子のコドン750(例えば、EGFR遺伝子のコドン750の1つ以上の核酸の欠失)、EGFR遺伝子のコドン858(例えば、EGFR遺伝子のコドン858においてロイシンからアルギニンへの置換を生じるミスセンス変異)、EGFR遺伝子のエクソン19における欠失およびEGFR遺伝子のエクソン20における挿入変異。
一実施形態では、対象は、KRAS遺伝子における変異を有する、および/または例えば参照標準に比べてKRASを過剰発現し、かつEGFR遺伝子における変異を有さない。
一実施形態では、対象は1つ以上の化学療法剤、例えば白金系薬剤(例えば、カルボプラチン、シスプラチン、オキサリプラチン)ならびに/あるいはEGF経路阻害剤、例えばEGF阻害剤および/またはEGFR阻害剤、例えばエルロチニブに対して難治性、再発性または耐性である。
一実施形態では、コンジュゲート、粒子または組成物を、本明細書に記載の用量および/または投与計画で投与する。
一実施形態では、コンジュゲート、粒子または組成物を、CDP-トポイソメラーゼ阻害剤コンジュゲート、粒子または組成物の投与に関連した1つ以上の副作用を減少させる治療、例えば、本明細書に記載の治療と組み合わせて投与する。
一態様では、本開示は、対象、例えばヒト対象における肺癌(例えば、小細胞肺癌および非小細胞肺癌(例えば、腺癌、扁平上皮癌、細気管支肺胞癌および大細胞癌))、例えば局所進行性または転移性肺癌の治療法を特徴とする。この方法は、CDP-トポイソメラーゼ阻害剤コンジュゲート、粒子または組成物、例えばCDP-トポイソメラーゼIまたはII阻害剤コンジュゲート、粒子または組成物、例えばCDP-カンプトテシンまたはカンプトテシン誘導体コンジュゲート、粒子または組成物、例えば本明細書に記載のCDP-カンプトテシンまたはカンプトテシン誘導体コンジュゲート、粒子または組成物、例えばCRLX101を、第二の化学療法剤と組み合わせて投与することを含む。
一実施形態では、この方法は、扁平上皮細胞肺癌を有する対象を選択することと、CDP-トポイソメラーゼ阻害剤コンジュゲート、粒子または組成物、例えばCDP-カンプトテシンまたはカンプトテシン誘導体コンジュゲート、粒子または組成物、例えば本明細書に記載のCDP-カンプトテシンまたはカンプトテシン誘導体コンジュゲート、粒子または組成物、例えばCRLX101を、癌を治療するのに有効な量で対象に投与して癌を治療することとを含む。
一実施形態では、CDP-トポイソメラーゼ阻害剤コンジュゲート、粒子または組成物、例えばCDP-カンプトテシンまたはカンプトテシン誘導体コンジュゲート、粒子または組成物、例えば本明細書に記載のCDP-カンプトテシンまたはカンプトテシン誘導体コンジュゲート、粒子または組成物、例えばCRLX101を、癌を除去する、例えば原発性腫瘍および/または転移を除去する手術前、手術後または手術前後に投与する。
一実施形態では、この方法は、CDP-トポイソメラーゼ阻害剤コンジュゲート、粒子または組成物、例えばCDP-カンプトテシンまたはカンプトテシン誘導体コンジュゲート、粒子または組成物、例えば本明細書に記載のCDP-カンプトテシンまたはカンプトテシン誘導体コンジュゲート、粒子または組成物、例えばCRLX101を、上皮増殖因子(EGF)経路阻害剤、例えばEGF阻害剤またはEGF受容体阻害剤と組み合わせて投与することを含む。EGF受容体阻害剤は、例えば、セツキシマブ、エルロチニブ、ゲフィチニブ、パニツムマブであり得る。一実施形態では、対象は、例えばEGF受容体においてロイシンからアルギニンへの置換を生じる、EGF受容体をコードする遺伝子のコドン858における変異を有する。一実施形態では、コンジュゲート、粒子または組成物を、EGF経路阻害剤、例えば、セツキシマブ、エルロチニブ、ゲフィチニブ、パニツムマブ、および放射線と組み合わせて投与する。一実施形態では、コンジュゲート、粒子または組成物を、EGF経路阻害剤、例えば、セツキシマブ、エルロチニブ、ゲフィチニブ、パニツムマブ、および1つ以上の追加の化学療法剤と組み合わせて投与する。例えば、化学療法剤は、白金系薬剤(例えば、シスプラチン、カルボプラチン、オキサリプラチン)、タキサン(例えば、パクリタキセル、ドセタキセル、ラロタキセル、カバジタキセル)、ビンカアルカロイド(例えば、ビンブラスチン、ビンクリスチン、ビンデシン、ビノレルビン)、抗代謝剤、例えば葉酸代謝拮抗剤(例えば、ペメトレキセド、フロクスウリジン、ラルチトレキセド)またはピリミジン類似体(例えば、カペシタビン、シトララビン(cytrarabine)、ゲムシタビン、5FU)およびそれらの組合せであり得る。
一実施形態では、CDP-トポイソメラーゼ阻害剤コンジュゲート、粒子または組成物、例えばCDP-カンプトテシンまたはカンプトテシン誘導体コンジュゲート、粒子または組成物、例えば本明細書に記載のCDP-カンプトテシンまたはカンプトテシン誘導体コンジュゲート、粒子または組成物、例えばCRLX101を、血管内皮増殖因子(VEGF)経路阻害剤、例えばVEGF阻害剤またはVEGF受容体阻害剤と組み合わせて投与する。一実施形態では、VEGF阻害剤はベバシズマブまたはAV-951である。一実施形態では、VEGF受容体阻害剤はCP-547632およびAZD2171から選択される。一実施形態では、コンジュゲート、粒子または組成物を、VEGF経路阻害剤、例えばベバシズマブおよび放射線と組み合わせて投与する。一実施形態では、コンジュゲート、粒子または組成物を、VEGF経路阻害剤、例えばベバシズマブおよび1つ以上の追加の化学療法剤と組み合わせて投与する。例えば、化学療法剤は、白金系薬剤(例えば、シスプラチン、カルボプラチン、オキサリプラチン)、タキサン(例えば、パクリタキセル、ドセタキセル、ラロタキセル、カバジタキセル)、ビンカアルカロイド(例えば、ビンブラスチン、ビンクリスチン、ビンデシン、ビノレルビン)、抗代謝剤、例えば葉酸代謝拮抗剤(例えば、ペメトレキセド、フロクスウリジン、ラルチトレキセド)またはピリミジン類似体(例えば、カペシタビン、シトララビン(cytrarabine)、ゲムシタビン、5FU)およびそれらの組合せであり得る。一実施形態では、癌は、1つ以上の化学療法剤、例えばEGF経路阻害剤、例えばエルロチニブに対して難治性、再発性または耐性である。
一実施形態では、コンジュゲート、粒子または組成物を、血管新生阻害剤(例えば、VEGF経路阻害剤のような本明細書に記載の血管新生阻害剤)と組み合わせて投与する。一実施形態では、CDP-トポイソメラーゼ阻害剤コンジュゲート、粒子または組成物、例えばCDP-カンプトテシンまたはカンプトテシン誘導体コンジュゲート、粒子または組成物、例えば本明細書に記載のCDP-カンプトテシンまたはカンプトテシン誘導体コンジュゲート、粒子または組成物、例えばCRLX101を、白金系薬剤(例えば、シスプラチン、カルボプラチン、オキサリプラチン)と組み合わせて投与する。一実施形態では、コンジュゲート、粒子または組成物を、さらにタキサン(例えば、パクリタキセル、ドセタキセル、ラロタキセル、カバジタキセル)、ビンカアルカロイド(例えば、ビンブラスチン、ビンクリスチン、ビンデシン、ビノレルビン)および/または抗代謝剤、例えば葉酸代謝拮抗剤(例えば、ペメトレキセド、フロクスウリジン、ラルチトレキセド)またはピリミジン類似体(例えば、カペシタビン、シトララビン(cytrarabine)、ゲムシタビン、5FU)と組み合わせて投与する。一実施形態では、この方法は、対象に放射線を投与することをさらに含む。一実施形態では、癌は、1つ以上の化学療法剤、例えば、EGF経路阻害剤(例えば、エルロニチブ(erlonitib)、VEGF経路阻害剤および/またはタキサンに対して難治性、再発性または耐性である。
一実施形態では、CDP-トポイソメラーゼ阻害剤コンジュゲート、粒子または組成物、例えばCDP-カンプトテシンまたはカンプトテシン誘導体コンジュゲート、粒子または組成物、例えば本明細書に記載のCDP-カンプトテシンまたはカンプトテシン誘導体コンジュゲート、粒子または組成物、例えばCRLX101を、タキサン(例えば、パクリタキセル、ドセタキセル、ラロタキセル、カバジタキセル)と組み合わせて投与する。一実施形態では、この方法は、対象に放射線を投与することをさらに含む。一実施形態では、癌は、1つ以上の化学療法剤、例えば、EGF経路阻害剤(例えば、エルロチニブ)、VEGF経路阻害剤および/または白金系薬剤に対して難治性、再発性または耐性である。
一実施形態では、CDP-トポイソメラーゼ阻害剤コンジュゲート、粒子または組成物、例えばCDP-カンプトテシンまたはカンプトテシン誘導体コンジュゲート、粒子または組成物、例えば本明細書に記載のCDP-カンプトテシンまたはカンプトテシン誘導体コンジュゲート、粒子または組成物、例えばCRLX101を、抗代謝剤、例えば葉酸代謝拮抗剤(例えば、ペメトレキセド、フロクスウリジン、ラルチトレキセド)と組み合わせて投与する。一実施形態では、この方法は、対象に放射線を投与することをさらに含む。一実施形態では、癌は、1つ以上の化学療法剤、例えば、EGF経路阻害剤(例えば、エルロチニブ)、VEGF経路阻害剤、タキサンおよび/または白金系薬剤に対して難治性、再発性または耐性である。
一実施形態では、コンジュゲート、粒子または組成物を、本明細書に記載の用量および/または投与計画で投与する。一実施形態では、CDP-トポイソメラーゼ阻害剤コンジュゲート、粒子または組成物を追加の化学療法剤と組み合わせて投与する場合、CDP-トポイソメラーゼ阻害剤コンジュゲート、粒子または組成物を投与する用量は、本明細書に記載の用量よりも1%、3%、5%、10%、15%、20%、25%、30%少ない。
一実施形態では、コンジュゲート、粒子または組成物を、CDP-トポイソメラーゼ阻害剤コンジュゲート、粒子または組成物の投与に関連した1つ以上の副作用を減少させる治療、例えば、本明細書に記載の治療と組み合わせて投与する。
一態様では、本開示は、対象、例えばヒト対象における乳癌(例えば、エストロゲン受容体陽性乳癌;エストロゲン受容体陰性乳癌;HER-2陽性乳癌;HER-2陰性乳癌;プロゲステロン受容体陽性乳癌;プロゲステロン受容体陰性乳癌;エストロゲン受容体陰性、HER-2陰性およびプロゲステロン受容体陰性乳癌(すなわち、トリプル陰性乳癌))、例えば局所進行性または転移性乳癌の治療法を特徴とする。この方法は、CDP-トポイソメラーゼ阻害剤コンジュゲート、粒子または組成物、例えばトポイソメラーゼIまたはII阻害剤コンジュゲート、粒子または組成物、例えばCDP-カンプトテシンまたはカンプトテシン誘導体コンジュゲート、粒子または組成物、例えば本明細書に記載のCDP-カンプトテシンまたはカンプトテシン誘導体コンジュゲート、粒子または組成物、例えばCRLX101を、第二の化学療法剤と組み合わせて投与することを含む。
一実施形態では、CDP-トポイソメラーゼ阻害剤コンジュゲート、粒子または組成物、例えばCDP-カンプトテシンまたはカンプトテシン誘導体コンジュゲート、粒子または組成物、例えば本明細書に記載のCDP-カンプトテシンまたはカンプトテシン誘導体コンジュゲート、粒子または組成物、例えばCRLX101を、癌を除去する、例えば原発性腫瘍および/または転移を除去する手術前、手術後または手術前後に投与する。
一実施形態では、CDP-トポイソメラーゼ阻害剤コンジュゲート、粒子または組成物、例えばCDP-カンプトテシンまたはカンプトテシン誘導体コンジュゲート、粒子または組成物、例えば本明細書に記載のCDP-カンプトテシンまたはカンプトテシン誘導体コンジュゲート、粒子または組成物、例えばCRLX101を、HER-2経路阻害剤、例えばHER-2阻害剤またはHER-2受容体阻害剤と組み合わせて投与する。例えば、CDP-トポイソメラーゼ阻害剤コンジュゲート、粒子または組成物を、トラスツズマブと共に投与する。
いくつかの実施形態では、CDP-トポイソメラーゼ阻害剤コンジュゲート、粒子または組成物、例えばCDP-カンプトテシンまたはカンプトテシン誘導体コンジュゲート、粒子または組成物、例えば本明細書に記載のCDP-カンプトテシンまたはカンプトテシン誘導体コンジュゲート、粒子または組成物、例えばCRLX101を、血管内皮増殖因子(VEGF)経路阻害剤、例えばVEGF阻害剤(例えば、ベバシズマブ)またはVEGF受容体阻害剤(例えば、CP-547632およびAZD2171)と組み合わせて投与する。一実施形態では、CDP-トポイソメラーゼ阻害剤コンジュゲート、粒子または組成物を、ベバシズマブと組み合わせて投与する。いくつかの実施形態では、この方法は、タキサン(例えば、パクリタキセル、ドセタキセル、ラロタキセル、カバジタキセル)を投与することをさらに含む。一実施形態では、この方法は、ポリADP-リボースポリメラーゼ(PARP)阻害剤(例えば、BSI201、オラパリブ(AZD-2281)、ABT-888、AG014699、CEP9722、MK4827、KU-0059436(AZD2281)、LT-673、3-アミノベンズアミド)を投与することをさらに含む。
いくつかの実施形態では、CDP-トポイソメラーゼ阻害剤コンジュゲート、粒子または組成物、例えばCDP-カンプトテシンまたはカンプトテシン誘導体コンジュゲート、粒子または組成物、例えば本明細書に記載のCDP-カンプトテシンまたはカンプトテシン誘導体コンジュゲート、粒子または組成物、例えばCRLX101を、白金系薬剤(例えば、シスプラチン、カルボプラチン、オキサリプラチン)と組み合わせて投与する。いくつかの実施形態では、この方法は、タキサン(例えば、パクリタキセル、ドセタキセル、ラロタキセル、カバジタキセル)を投与することをさらに含む。いくつかの実施形態では、この方法は、mTOR阻害剤を投与することをさらに含む。mTOR阻害剤の非限定的な例としては、ラパマイシン、エベロリムス、AP23573、CCI-779およびSDZ-RADが挙げられる。一実施形態では、この方法は、PARP阻害剤(例えば、BSI201、オラパリブ(AZD-2281)、ABT-888、AG014699、CEP9722、MK4827、KU-0059436(AZD2281)、LT-673、3-アミノベンズアミド)を投与することをさらに含む。いくつかの実施形態では、この方法は、VEGF経路阻害剤、例えばVEGF阻害剤(例えば、ベバシズマブ)またはVEGF受容体阻害剤(例えば、CP-547632およびAZD2171)を投与することをさらに含む。
一実施形態では、コンジュゲート、粒子または組成物を、血管新生阻害剤(例えば、VEGF経路阻害剤のような本明細書に記載の血管新生阻害剤)と組み合わせて投与する。いくつかの実施形態では、CDP-トポイソメラーゼ阻害剤コンジュゲート、粒子または組成物、例えばCDP-カンプトテシンまたはカンプトテシン誘導体コンジュゲート、粒子または組成物、例えば本明細書に記載のCDP-カンプトテシンまたはカンプトテシン誘導体コンジュゲート、粒子または組成物、例えばCRLX101を、タキサン(例えば、パクリタキセル、ドセタキセル、ラロタキセル、カバジタキセル)と組み合わせて投与する。いくつかの実施形態では、この方法は、mTOR阻害剤を投与することをさらに含む。mTOR阻害剤の非限定的な例としては、ラパマイシン、エベロリムス、AP23573、CCI-779およびSDZ-RADが挙げられる。一実施形態では、PARP阻害剤(例えば、BSI201オラパリブ(AZD-2281)、ABT-888、AG014699、CEP9722、MK4827、KU-0059436(AZD2281)、LT-673、3-アミノベンズアミド)を投与することをさらに含む。
いくつかの実施形態では、CDP-トポイソメラーゼ阻害剤コンジュゲート、粒子または組成物、例えばCDP-カンプトテシンまたはカンプトテシン誘導体コンジュゲート、粒子または組成物、例えば本明細書に記載のCDP-カンプトテシンまたはカンプトテシン誘導体コンジュゲート、粒子または組成物、例えばCRLX101を、エポチロン(例えば、イクサベリポン(ixabelipone)、エポチロンB、エポチロンD、BMS310705、デヒデロン、ZK-EPO)と組み合わせて投与する。いくつかの実施形態では、この方法は、mTOR阻害剤を投与することをさらに含む。mTOR阻害剤の非限定的な例としては、ラパマイシン、エベロリムス、AP23573、CCI-779およびSDZ-RADが挙げられる。一実施形態では、この方法は、PARP阻害剤(例えば、BSI201、オラパリブ(AZD-2281)、ABT-888、AG014699、CEP9722、MK4827、KU-0059436(AZD2281)、LT-673、3-アミノベンズアミド)を投与することをさらに含む。いくつかの実施形態では、この方法は、VEGF経路阻害剤、例えばVEGF阻害剤(例えば、ベバシズマブ)またはVEGF受容体阻害剤(例えば、CP-547632およびAZD2171)を投与することをさらに含む。いくつかの実施形態では、この方法は、アントラサイクリン(例えば、ダウノルビシン、ドキソルビシン(リポソームドキソルビシン)、エピルビシン、バルルビシンおよびイダルビシン)および/または抗代謝剤(例えば、フロクスウリジン、ペメトレキセド、5FU)のうちの1つ以上を投与することをさらに含む。
いくつかの実施形態では、CDP-トポイソメラーゼ阻害剤コンジュゲート、粒子または組成物、例えばCDP-カンプトテシンまたはカンプトテシン誘導体コンジュゲート、粒子または組成物、例えば本明細書に記載のCDP-カンプトテシンまたはカンプトテシン誘導体コンジュゲート、粒子または組成物、例えばCRLX101を、アントラサイクリン(例えば、ダウノルビシン、ドキソルビシン(リポソームドキソルビシン)、エピルビシン、バルルビシンおよびイダルビシン)と組み合わせて投与する。一実施形態では、癌は、1つ以上の化学療法剤、例えばHER-2経路阻害剤、VEGF経路阻害剤、タキサン、抗代謝剤および/または白金系薬剤に対して難治性、再発性または耐性である。
いくつかの実施形態では、CDP-トポイソメラーゼ阻害剤コンジュゲート、粒子または組成物、例えばCDP-カンプトテシンまたはカンプトテシン誘導体コンジュゲート、粒子または組成物、例えば本明細書に記載のCDP-カンプトテシンまたはカンプトテシン誘導体コンジュゲート、粒子または組成物、例えばCRLX101を、抗代謝剤、例えば葉酸代謝拮抗剤(例えば、フロクスウリジン、ペメトレキセド)またはピリミジン類似体(例えば、5FU))と組み合わせて投与する。一実施形態では、癌は、1つ以上の化学療法剤、例えばHER-2経路阻害剤、VEGF経路阻害剤、タキサン、アントラサイクリンおよび/または白金系薬剤に対して難治性、再発性または耐性である。
いくつかの実施形態では、CDP-トポイソメラーゼ阻害剤コンジュゲート、粒子または組成物、例えばCDP-カンプトテシンまたはカンプトテシン誘導体コンジュゲート、粒子または組成物、例えば本明細書に記載のCDP-カンプトテシンまたはカンプトテシン誘導体コンジュゲート、粒子または組成物、例えばCRLX101を、アントラサイクリン(例えば、ダウノルビシン、ドキソルビシン(リポソームドキソルビシン)、エピルビシン、バルルビシンおよびイダルビシン)および抗代謝剤(例えば、フロクスウリジン、ペメトレキセド、5FU)と組み合わせて投与する。一実施形態では、癌は、1つ以上の化学療法剤、例えばHER-2経路阻害剤、VEGF経路阻害剤および/または白金系薬剤に対して難治性、再発性または耐性である。
いくつかの実施形態では、CDP-トポイソメラーゼ阻害剤コンジュゲート、粒子または組成物、例えばCDP-カンプトテシンまたはカンプトテシン誘導体コンジュゲート、粒子または組成物、例えば本明細書に記載のCDP-カンプトテシンまたはカンプトテシン誘導体コンジュゲート、粒子または組成物、例えばCRLX101を、mTOR阻害剤と組み合わせて投与する。mTOR阻害剤の非限定的な例としては、ラパマイシン、エベロリムス、AP23573、CCI-779およびSDZ-RADが挙げられる。いくつかの実施形態では、この方法は、PARP阻害剤(例えば、BSI201、オラパリブ(AZD-2281)、ABT-888、AG014699、CEP9722、MK4827、KU-0059436(AZD2281)、LT-673、3-アミノベンズアミド)を投与することをさらに含む
いくつかの実施形態では、CDP-トポイソメラーゼ阻害剤コンジュゲート、粒子または組成物、例えばCDP-カンプトテシンまたはカンプトテシン誘導体コンジュゲート、粒子または組成物、例えば本明細書に記載のCDP-カンプトテシンまたはカンプトテシン誘導体コンジュゲート、粒子または組成物、例えばCRLX101を、PARP阻害剤(例えば、BSI201、オラパリブ(AZD-2281)、ABT-888、AG014699、CEP9722、MK4827、KU-0059436(AZD2281)、LT-673、3-アミノベンズアミド)と組み合わせて投与する。
いくつかの実施形態では、CDP-トポイソメラーゼ阻害剤コンジュゲート、粒子または組成物、例えばCDP-カンプトテシンまたはカンプトテシン誘導体コンジュゲート、粒子または組成物、例えば本明細書に記載のCDP-カンプトテシンまたはカンプトテシン誘導体コンジュゲート、粒子または組成物、例えばCRLX101を、ピリミジン類似体、例えば本明細書に記載のピリミジン類似体(例えば、カペシタビン)と組み合わせて投与する。いくつかの実施形態では、この方法は、タキサン(例えば、ドセタキセル、パクリタキセル、ラロタキセル、カバジタキセル)を投与することをさらに含む。いくつかの実施形態では、この方法は、エポチロン(例えば、イクサベリポン(ixabelipone)、エポチロンB、エポチロンD、BMS310705、デヒデロン、ZK-EPO)を投与することをさらに含む。
一実施形態では、コンジュゲート、粒子または組成物を、本明細書に記載の用量および/または投与計画で投与する。一実施形態では、CDP-トポイソメラーゼ阻害剤コンジュゲート、粒子または組成物を追加の化学療法剤と組み合わせて投与する場合、CDP-トポイソメラーゼ阻害剤コンジュゲート、粒子または組成物を投与する用量は、本明細書に記載の用量よりも1%、3%、5%、10%、15%、20%、25%、30%少ない。
一実施形態では、コンジュゲート、粒子または組成物を、CDP-トポイソメラーゼ阻害剤コンジュゲート、粒子または組成物の投与に関連した1つ以上の副作用を減少させる治療、例えば、本明細書に記載の治療と組み合わせて投与する。
一態様では、本開示は、対象、例えばヒト対象における胃癌(例えば、胃腺癌(例えば、腸型または拡散型)、胃リンパ腫(例えば、MALTリンパ腫)、カルチノイド間質腫瘍)、例えば、局所進行性または転移性胃癌の治療法を特徴とする。この方法は、CDP-トポイソメラーゼ阻害剤コンジュゲート、粒子または組成物、例えばCDP-トポイソメラーゼIまたはII阻害剤コンジュゲート、粒子または組成物、例えばCDP-カンプトテシンまたはカンプトテシン誘導体コンジュゲート、粒子または組成物、例えば本明細書に記載のCDP-カンプトテシンまたはカンプトテシン誘導体コンジュゲート、粒子または組成物、例えばCRLX101を、第二の化学療法剤と組み合わせて投与することを含む。
一実施形態では、胃癌は食道胃接合部腺癌である。
一実施形態では、CDP-トポイソメラーゼ阻害剤コンジュゲート、粒子または組成物、例えばCDP-カンプトテシンまたはカンプトテシン誘導体コンジュゲート、粒子または組成物、例えば本明細書に記載のCDP-カンプトテシンまたはカンプトテシン誘導体コンジュゲート、粒子または組成物、例えばCRLX101を、癌を除去する、例えば原発性腫瘍および/または転移を除去する手術前、手術後または手術前後に投与する。
一実施形態では、CDP-トポイソメラーゼ阻害剤コンジュゲート、粒子または組成物、例えばCDP-カンプトテシンまたはカンプトテシン誘導体コンジュゲート、粒子または組成物、例えば本明細書に記載のCDP-カンプトテシンまたはカンプトテシン誘導体コンジュゲート、粒子または組成物、例えばCRLX101を、アントラサイクリン(例えば、ダウノルビシン、ドキソルビシン(例えば、リポソームドキソルビシン)、エピルビシン、バルルビシン、ミトキサトロン(mitoxatrone)およびイダルビシン)、白金系薬剤(例えば、シスプラチン、カルボプラチン、オキサリプラチン)および抗代謝剤、例えば葉酸代謝拮抗剤(例えば、フロクスウリジン、ペメトレキセド、ラルチトレキセド)またはピリミジン類似体(例えば、5FU、カペシタビン、シトララビン(cytrarabine)、ゲムシタビン))のうちの1つ以上と組み合わせて投与する。例えば、一実施形態では、CDP-トポイソメラーゼ阻害剤コンジュゲート、粒子または組成物、例えばCDP-カンプトテシンまたはカンプトテシン誘導体コンジュゲート、粒子または組成物、例えば本明細書に記載のCDP-カンプトテシンまたはカンプトテシン誘導体コンジュゲート、粒子または組成物、例えばCRLX101を、アントラサイクリン(例えば、ダウノルビシン、ドキソルビシン(例えば、リポソームドキソルビシン)、エピルビシン、バルルビシン、ミトキサトロン(mitoxatrone)およびイダルビシン)、白金系薬剤(例えば、シスプラチン、カルボプラチン、オキサリプラチン)および抗代謝剤、例えば葉酸代謝拮抗剤(例えば、フロクスウリジン、ペメトレキセド、ラルチトレキセド)またはピリミジン類似体(例えば、5FU、カペシタビン、シトララビン(cytrarabine)、ゲムシタビン)と組み合わせて投与する。一実施形態では、CDP-トポイソメラーゼ阻害剤コンジュゲート、粒子または組成物、例えばCDP-カンプトテシンまたはカンプトテシン誘導体コンジュゲート、粒子または組成物、例えば本明細書に記載のCDP-カンプトテシンまたはカンプトテシン誘導体コンジュゲート、粒子または組成物、例えばCRLX101を、アントラサイクリン(例えば、ダウノルビシン、ドキソルビシン(例えば、リポソームドキソルビシン)、エピルビシン、バルルビシン、ミトキサトロン(mitoxatrone)およびイダルビシン)と組み合わせて投与する。一実施形態では、癌は、1つ以上の化学療法剤、例えば白金系薬剤(例えば、シスプラチン、カルボプラチン、オキサリプラチン)に対して難治性、再発性または耐性である。
別の実施形態では、CDP-トポイソメラーゼ阻害剤コンジュゲート、粒子または組成物、例えばCDP-カンプトテシンまたはカンプトテシン誘導体コンジュゲート、粒子または組成物、例えば本明細書に記載のCDP-カンプトテシンまたはカンプトテシン誘導体コンジュゲート、粒子または組成物、例えばCRLX101を、白金系薬剤(例えば、シスプラチン、カルボプラチン、オキサリプラチン)および抗代謝剤、例えば葉酸代謝拮抗剤(例えば、フロクスウリジン、ペメトレキセド、ラルチトレキセド)またはピリミジン類似体(例えば、5FU、カペシタビン、シトララビン(cytrarabine)、ゲムシタビン)と組み合わせて投与する。
いくつかの実施形態では、CDP-トポイソメラーゼ阻害剤コンジュゲート、粒子または組成物、例えばCDP-カンプトテシンまたはカンプトテシン誘導体コンジュゲート、粒子または組成物、例えば本明細書に記載のCDP-カンプトテシンまたはカンプトテシン誘導体コンジュゲート、粒子または組成物、例えばCRLX101を、抗代謝剤、例えば葉酸代謝拮抗剤(例えば、フロクスウリジン、ペメトレキセド、ラルチトレキセド)またはピリミジン類似体(例えば、カペシタビン,5FU,シトララビン(cytrarabine)、ゲムシタビン)と組み合わせて投与する。一実施形態では、この方法は、タキサン(例えば、パクリタキセル、ドセタキセル、ラロタキセル、カバジタキセル)を投与することをさらに含む。例えば、一実施形態では、CDP-トポイソメラーゼ阻害剤コンジュゲート、粒子または組成物、例えばCDP-カンプトテシンまたはカンプトテシン誘導体コンジュゲート、粒子または組成物、例えば本明細書に記載のCDP-カンプトテシンまたはカンプトテシン誘導体コンジュゲート、粒子または組成物、例えばCRLX101を、抗代謝剤、例えば葉酸代謝拮抗剤(例えば、フロクスウリジン、ペメトレキセド、ラルチトレキセド)またはピリミジン類似体(例えば、カペシタビン,5FU,シトララビン(cytrarabine)、ゲムシタビン)およびタキサン(例えば、パクリタキセル、ドセタキセル、ラロタキセル、カバジタキセル)と組み合わせて投与する。
一実施形態では、コンジュゲート、粒子または組成物を、血管新生阻害剤(例えば、VEGF経路阻害剤のような本明細書に記載の血管新生阻害剤)と組み合わせて投与する。
一実施形態では、CDP-トポイソメラーゼ阻害剤コンジュゲート、粒子または組成物、例えばCDP-カンプトテシンまたはカンプトテシン誘導体コンジュゲート、粒子または組成物、例えば本明細書に記載のCDP-カンプトテシンまたはカンプトテシン誘導体コンジュゲート、粒子または組成物、例えばCRLX101を、放射線と組み合わせて投与する
いくつかの実施形態では、CDP-トポイソメラーゼ阻害剤コンジュゲート、粒子または組成物、例えばCDP-カンプトテシンまたはカンプトテシン誘導体コンジュゲート、粒子または組成物、例えば本明細書に記載のCDP-カンプトテシンまたはカンプトテシン誘導体コンジュゲート、粒子または組成物、例えばCRLX101を、血管内皮増殖因子(VEGF)経路阻害剤、例えばVEGF阻害剤(例えば、ベバシズマブ)またはVEGF受容体阻害剤(例えば、CP-547632およびAZD2171)と組み合わせて投与する。一実施形態では、CDP-トポイソメラーゼ阻害剤コンジュゲート、粒子または組成物、例えばCDP-カンプトテシンまたはカンプトテシン誘導体コンジュゲート、粒子または組成物、例えば本明細書に記載のCDP-カンプトテシンまたはカンプトテシン誘導体コンジュゲート、粒子または組成物、例えばCRLX101を、ベバシズマブと組み合わせて投与する。一実施形態では、癌は、1つ以上の化学療法剤、例えば、抗代謝剤、白金系薬剤および/またはアントラサイクリンに対して難治性、再発性または耐性である。
いくつかの実施形態では、CDP-トポイソメラーゼ阻害剤コンジュゲート、粒子または組成物、例えばCDP-カンプトテシンまたはカンプトテシン誘導体コンジュゲート、粒子または組成物、例えば本明細書に記載のCDP-カンプトテシンまたはカンプトテシン誘導体コンジュゲート、粒子または組成物、例えばCRLX101を、mTOR阻害剤と組み合わせて投与する。mTOR阻害剤の非限定的な例としては、ラパマイシン、エベロリムス、AP23573、CCI-779およびSDZ-RADが挙げられる。一実施形態では、癌は、1つ以上の化学療法剤、例えば、抗代謝剤、白金系薬剤および/またはアントラサイクリンに対して難治性、再発性または耐性である。
いくつかの実施形態では、CDP-トポイソメラーゼ阻害剤コンジュゲート、粒子または組成物、例えばCDP-カンプトテシンまたはカンプトテシン誘導体コンジュゲート、粒子または組成物、例えば本明細書に記載のCDP-カンプトテシンまたはカンプトテシン誘導体コンジュゲート、粒子または組成物、例えばCRLX101を、ポリADP-リボースポリメラーゼ(PARP)阻害剤(例えば、BSI201、オラパリブ(AZD-2281)、ABT-888、AG014699、CEP9722、MK4827、KU-0059436(AZD2281)、LT-673、3-アミノベンズアミド)と組み合わせて投与する。一実施形態では、癌は、1つ以上の化学療法剤、例えば、抗代謝剤、白金系薬剤および/またはアントラサイクリンに対して難治性、再発性または耐性である。
一実施形態では、コンジュゲート、粒子または組成物を、本明細書に記載の用量および/または投与計画で投与する。一実施形態では、CDP-トポイソメラーゼ阻害剤コンジュゲート、粒子または組成物を追加の化学療法剤と組み合わせて投与する場合、CDP-トポイソメラーゼ阻害剤コンジュゲート、粒子または組成物を投与する用量は、本明細書に記載の用量よりも1%、3%、5%、10%、15%、20%、25%、30%少ない。
一実施形態では、コンジュゲート、粒子または組成物を、CDP-トポイソメラーゼ阻害剤コンジュゲート、粒子または組成物の投与に関連した1つ以上の副作用を減少させる治療、例えば、本明細書に記載の治療と組み合わせて投与する。
一態様では、本発明は、対象における膵臓癌の治療法を特徴とし、この方法は、CDP-トポイソメラーゼ阻害剤コンジュゲート、粒子または組成物を、ピリミジン類似体(例えば、カペシタビン、5FU、シトララビン(cytrarabine)、ゲムシタビン)と組み合わせて対象に投与することを含む。一実施形態では、ピリミジン類似体はゲムシタビンである。
一態様では、本発明は、対象、例えばヒト対象における増殖性疾患、例えば癌の治療法を特徴とする。この方法は、増殖性疾患、例えば癌を有する対象を提供することと、CDP-トポイソメラーゼ阻害剤コンジュゲート、粒子または組成物、例えばCDP-トポイソメラーゼIまたはII阻害剤コンジュゲート、粒子または組成物、例えばCDP-カンプトテシンまたはカンプトテシン誘導体コンジュゲート、粒子または組成物、例えば本明細書に記載のCDP-カンプトテシン誘導体コンジュゲート、粒子、または組成物を含む組成物、例えばCRLX101を、血管新生阻害剤と組み合わせて前記対象に投与することとを含む。
一実施形態では、癌は腎臓癌である。
一実施形態では、コンジュゲート、粒子または組成物を、VEGF経路阻害剤(例えば、本明細書に記載のVEGF経路阻害剤)のような本明細書に記載の血管新生阻害剤と組み合わせて投与する。典型的な血管新生阻害剤としては以下のものが挙げられる:A6(Angstrom Pharmacueticals)、ABT-510(Abbott
Laboratories)、ABT-627(Atrasentan)(Abbott Laboratories/Xinlay)、ABT-869(Abbott Laboratories)、Actimid(CC4047、ポマリドマイド)(Celgene Corporation)、AdGVPEDF.11D(GenVec)、ADH-1(Exherin)(Adherex Technologies)、AEE788(Novartis)、AG-013736(アキシチニブ)(Pfizer)、AG3340(プリノマスタット)(Agouron Pharmaceuticals)、AGX1053(AngioGenex)、AGX51(AngioGenex)、ALN-VSP(ALN-VSP O2)(Alnylam Pharmaceuticals)、AMG386(Amgen)、AMG706(Amgen)、アパチニブ(YN968D1)(Jiangsu Hengrui Medicine)、AP23573(リダフォロリムス/MK8669)(Ariad Pharmaceuticals)、AQ4N(Novavea)、ARQ 197(ArQule)、ASA404(Novartis/Antisoma)、アチプリモド(Callisto Pharmaceuticals)、ATN-161(Attenuon)、AV-412(Aveo Pharmaceuticals)、AV-951(Aveo Pharmaceuticals)、Avastin(ベバシズマブ)(Genentech)、AZD2171(セディラニブ/レセンチン)(AstraZeneca)、BAY57-9352(テラチニブ)(Bayer)、BEZ235(Novartis)、BIBF1120(Boehringer Ingelheim Pharmaceuticals)、BIBW
2992(Boehringer Ingelheim Pharmaceuticals)、BMS-275291(Bristol-Myers Squibb)、BMS-582664(ブリバニブ)(Bristol-Myers Squibb)、BMS-690514(Bristol-Myers Squibb)、カルシトリオール、CCI-779(Torisel)(Wyeth)、CDP-791(ImClone Systems)、Ceflatonin(ホモハリントニン/HHT)(ChemGenex Therapeutics)、Celebrex(セレコキシブ)(Pfizer)、CEP-7055(Cephalon/Sanofi)、CHIR-265(Chiron Corporation)、NGR-TNF、COL-3(Metastat)(Collagenex Pharaceuticals)、コンブレタスタチン(Oxigene)、CP-751,871(フィギツムマブ)(Pfizer)、CP-547,632(Pfizer)、CS-7017(Daiichi Sankyo Pharma)、CT-322(Angiocept)(Adnexus)、クルクミン、ダルテパリン(Fragmin)(Pfizer)、ジスルフィラム(Antabuse)、E7820(Eisai Limited)、E7080(Eisai Limited)、EMD121974(シレンジタイド)(EMD Pharmaceuticals)、ENMD-1198(EntreMed)、ENMD-2076(EntreMed)、Endostar(Simcere)、Erbitux(ImClone/Bristol-Myers Squibb)、EZN-2208(Enzon Pharmaceuticals)、EZN-2968(Enzon Pharmaceuticals)、GC1008(Genzyme)、ゲニステイン、GSK1363089(フォレチニブ)(GlaxoSmithKline)、GW786034(パゾパニブ)(GlaxoSmithKline)、GT-111(Vascular Biogenics Ltd.)、IMC--1121B(ラムシルマブ)(ImClone Systems)、IMC-18F1(ImClone Systems)、IMC-3G3(ImClone LLC)、INCB007839(Incyte Corporation)、INGN 241(Introgen Therapeutics)、Iressa(ZD1839/ゲフィチニブ)、LBH589(Faridak/パノビノスタット)(Novartis)、Lucentis(ラニビズマブ)(Genentech/Novartis)、LY317615(エンザスタウリン)(Eli Lilly and Company)、Macugen(ペガプタニブ)(Pfizer)、MEDI522(Abegrin)(MedImmune)、MLN518(タンデュチニブ)(Millennium)、Neovastat(AE941/ベネフィン)(Aeterna Zentaris)、Nexavar(Bayer/Onyx)、NM-3(Genzyme Corporation)、ノスカピン(Cougar Biotechnology)、NPI-2358(Nereus Pharmaceuticals)、OSI-930(OSI)、パロミド529(Paloma Pharmaceuticals、Inc.)、Panzemカプセル(2ME2)(EntreMed)、Panzem NCD(2ME2)(EntreMed)、PF-02341066(Pfizer)、PF-04554878(Pfizer)、PI-88(Progen Industries/Medigen Biotechnology)、PKC412(Novartis)、Polyphenon E(緑茶抽出物)(Polypheno E International、Inc)、PPI-2458(Praecis Pharmaceuticals)、PTC299(PTC Therapeutics)、PTK787(バタラニブ)(Novartis)、PXD101(ベリノスタット)(CuraGen Corporation)、RAD001(エベロリムス)(Novartis)、RAF265(Novartis)、レゴラフェニブ(BAY73-4506)(Bayer)、Revlimid(Celgene)、Retaane(Alcon Research)、SN38(リポソーム性)(Neopharm)、SNS-032(BMS-387032)(Sunesis)、SOM230(パシレオチド)(Novartis)、スクアラミン(Genaera)、スラミン、Sutent(Pfizer)、Tarceva(Genentech)、TB-403(Thrombogenics)、Tempostatin(Collard Biopharmaceuticals)、テトラチオモリブデン酸(Sigma-Aldrich)、TG100801(TargeGen)、サリドマイド(Celgene Corporation)、チンザパリンナトリウム、TKI258(Novartis)、TRC093(Tracon Pharmaceuticals Inc.)、VEGFトラップ(アフリベルセプト)(Regeneron Pharmaceuticals)、VEGFトラップアイ(Regeneron Pharmaceuticals)、Veglin(VasGene Therapeutics)、ボルテゾミブ(Millennium)、XL184(Exelixis)、XL647(Exelixis)、XL784(Exelixis)、XL820(Exelixis)、XL999(Exelixis)、ZD6474(AstraZeneca)、ボリノスタット(Merck)およびZSTK474。
Laboratories)、ABT-627(Atrasentan)(Abbott Laboratories/Xinlay)、ABT-869(Abbott Laboratories)、Actimid(CC4047、ポマリドマイド)(Celgene Corporation)、AdGVPEDF.11D(GenVec)、ADH-1(Exherin)(Adherex Technologies)、AEE788(Novartis)、AG-013736(アキシチニブ)(Pfizer)、AG3340(プリノマスタット)(Agouron Pharmaceuticals)、AGX1053(AngioGenex)、AGX51(AngioGenex)、ALN-VSP(ALN-VSP O2)(Alnylam Pharmaceuticals)、AMG386(Amgen)、AMG706(Amgen)、アパチニブ(YN968D1)(Jiangsu Hengrui Medicine)、AP23573(リダフォロリムス/MK8669)(Ariad Pharmaceuticals)、AQ4N(Novavea)、ARQ 197(ArQule)、ASA404(Novartis/Antisoma)、アチプリモド(Callisto Pharmaceuticals)、ATN-161(Attenuon)、AV-412(Aveo Pharmaceuticals)、AV-951(Aveo Pharmaceuticals)、Avastin(ベバシズマブ)(Genentech)、AZD2171(セディラニブ/レセンチン)(AstraZeneca)、BAY57-9352(テラチニブ)(Bayer)、BEZ235(Novartis)、BIBF1120(Boehringer Ingelheim Pharmaceuticals)、BIBW
2992(Boehringer Ingelheim Pharmaceuticals)、BMS-275291(Bristol-Myers Squibb)、BMS-582664(ブリバニブ)(Bristol-Myers Squibb)、BMS-690514(Bristol-Myers Squibb)、カルシトリオール、CCI-779(Torisel)(Wyeth)、CDP-791(ImClone Systems)、Ceflatonin(ホモハリントニン/HHT)(ChemGenex Therapeutics)、Celebrex(セレコキシブ)(Pfizer)、CEP-7055(Cephalon/Sanofi)、CHIR-265(Chiron Corporation)、NGR-TNF、COL-3(Metastat)(Collagenex Pharaceuticals)、コンブレタスタチン(Oxigene)、CP-751,871(フィギツムマブ)(Pfizer)、CP-547,632(Pfizer)、CS-7017(Daiichi Sankyo Pharma)、CT-322(Angiocept)(Adnexus)、クルクミン、ダルテパリン(Fragmin)(Pfizer)、ジスルフィラム(Antabuse)、E7820(Eisai Limited)、E7080(Eisai Limited)、EMD121974(シレンジタイド)(EMD Pharmaceuticals)、ENMD-1198(EntreMed)、ENMD-2076(EntreMed)、Endostar(Simcere)、Erbitux(ImClone/Bristol-Myers Squibb)、EZN-2208(Enzon Pharmaceuticals)、EZN-2968(Enzon Pharmaceuticals)、GC1008(Genzyme)、ゲニステイン、GSK1363089(フォレチニブ)(GlaxoSmithKline)、GW786034(パゾパニブ)(GlaxoSmithKline)、GT-111(Vascular Biogenics Ltd.)、IMC--1121B(ラムシルマブ)(ImClone Systems)、IMC-18F1(ImClone Systems)、IMC-3G3(ImClone LLC)、INCB007839(Incyte Corporation)、INGN 241(Introgen Therapeutics)、Iressa(ZD1839/ゲフィチニブ)、LBH589(Faridak/パノビノスタット)(Novartis)、Lucentis(ラニビズマブ)(Genentech/Novartis)、LY317615(エンザスタウリン)(Eli Lilly and Company)、Macugen(ペガプタニブ)(Pfizer)、MEDI522(Abegrin)(MedImmune)、MLN518(タンデュチニブ)(Millennium)、Neovastat(AE941/ベネフィン)(Aeterna Zentaris)、Nexavar(Bayer/Onyx)、NM-3(Genzyme Corporation)、ノスカピン(Cougar Biotechnology)、NPI-2358(Nereus Pharmaceuticals)、OSI-930(OSI)、パロミド529(Paloma Pharmaceuticals、Inc.)、Panzemカプセル(2ME2)(EntreMed)、Panzem NCD(2ME2)(EntreMed)、PF-02341066(Pfizer)、PF-04554878(Pfizer)、PI-88(Progen Industries/Medigen Biotechnology)、PKC412(Novartis)、Polyphenon E(緑茶抽出物)(Polypheno E International、Inc)、PPI-2458(Praecis Pharmaceuticals)、PTC299(PTC Therapeutics)、PTK787(バタラニブ)(Novartis)、PXD101(ベリノスタット)(CuraGen Corporation)、RAD001(エベロリムス)(Novartis)、RAF265(Novartis)、レゴラフェニブ(BAY73-4506)(Bayer)、Revlimid(Celgene)、Retaane(Alcon Research)、SN38(リポソーム性)(Neopharm)、SNS-032(BMS-387032)(Sunesis)、SOM230(パシレオチド)(Novartis)、スクアラミン(Genaera)、スラミン、Sutent(Pfizer)、Tarceva(Genentech)、TB-403(Thrombogenics)、Tempostatin(Collard Biopharmaceuticals)、テトラチオモリブデン酸(Sigma-Aldrich)、TG100801(TargeGen)、サリドマイド(Celgene Corporation)、チンザパリンナトリウム、TKI258(Novartis)、TRC093(Tracon Pharmaceuticals Inc.)、VEGFトラップ(アフリベルセプト)(Regeneron Pharmaceuticals)、VEGFトラップアイ(Regeneron Pharmaceuticals)、Veglin(VasGene Therapeutics)、ボルテゾミブ(Millennium)、XL184(Exelixis)、XL647(Exelixis)、XL784(Exelixis)、XL820(Exelixis)、XL999(Exelixis)、ZD6474(AstraZeneca)、ボリノスタット(Merck)およびZSTK474。
一実施形態では、コンジュゲート、粒子または組成物を、CDP-トポイソメラーゼ阻害剤コンジュゲート、粒子または組成物の投与に関連した1つ以上の副作用を減少させる治療、例えば、本明細書に記載の治療と組み合わせて投与する。
一態様では、本開示は、対象、例えばヒト対象における増殖性疾患、例えば癌の治療法を特徴とする。この方法は、増殖性疾患、例えば癌を有する対象を提供することと、前記対象に多糖を投与することと、CDP-トポイソメラーゼ阻害剤コンジュゲート、粒子または組成物、例えばCDP-トポイソメラーゼIまたはII阻害剤コンジュゲート、粒子または組成物、例えばCDP-カンプトテシンまたはカンプトテシン誘導体コンジュゲート、粒子または組成物、例えば本明細書に記載のCDP-カンプトテシン誘導体コンジュゲート、粒子または組成物、例えばCRLX101を含む組成物を前記対象に投与することを含む。
一実施形態では、多糖は、直鎖状、分岐状または環状多糖である。一実施形態では、多糖は、グルコース分子を含む直鎖状多糖である。一実施形態では、多糖は、デキストラン、シクロデキストリンまたはシクロデキストリン誘導体、例えば、α-、β-および/またはγ-シクロデキストリン、例えばCDPである。
一実施形態では、多糖を組成物投与前に、投与と同時にまたは投与後に投与する。一実施形態では、多糖を100mg~10gの用量で投与する。
一実施形態では、コンジュゲートは、トポイソメラーゼI阻害剤および/またはトポイソメラーゼII阻害剤を含む。一実施形態では、コンジュゲートは、トポイソメラーゼI阻害剤またはトポイソメラーゼI阻害剤の組合せ、例えば、カンプトテシン、イリノテカン、SN-38、トポテカン、ラメラリンDおよびそれらの誘導体を含む。一実施形態では、コンジュゲートは、トポイソメラーゼII阻害剤またはトポイソメラーゼII阻害剤の組合せ、例えば、エプトポシド(eptoposide)、テノポシド(tenoposide)、ドキソルビシンおよびそれらの誘導体を含む。一実施形態では、コンジュゲートは、1つ以上のトポイソメラーゼI阻害剤と1つ以上のトポイソメラーゼII阻害剤の組合せを含む。一実施形態では、CDP-トポイソメラーゼ阻害剤コンジュゲートは、CDP-カンプトテシンまたはカンプトテシン誘導体コンジュゲート、例えば本明細書に記載のCDP-カンプトテシンまたはカンプトテシン誘導体コンジュゲート、例えばCRLX101である。
一実施形態では、増殖性疾患は癌、例えば本明細書に記載の癌である。
一実施形態では、CDP-トポイソメラーゼ阻害剤コンジュゲート、粒子または組成物を、1つ以上の例えば本明細書に記載の追加の化学療法剤と組み合わせて投与する。一実施形態では、CDP-トポイソメラーゼ阻害剤コンジュゲート、粒子または組成物を、本明細書に記載の用量および/または投与計画で投与する。一実施形態では、対象に、2用量以上の例えば本明細書に記載のCDP-トポイソメラーゼ阻害剤コンジュゲート、粒子または組成物を投与し、かつ1用量以上のCDP-トポイソメラーゼ阻害剤コンジュゲート、粒子または組成物の前に、それと同時にまたはその後に多糖を投与する。
一態様では、本開示は、対象、例えばヒト対象における増殖性疾患、例えば癌の治療法を特徴とする。この方法は、増殖性疾患、例えば癌を有する対象を提供することと、治療に伴う膀胱毒性を改善する薬剤、例えば、尿排泄を増加させるおよび/または1つ以上の尿代謝産物を中和する薬剤を投与することと、カンプトテシンまたはカンプトテシン誘導体、例えばCDP-トポイソメラーゼ阻害剤コンジュゲート、粒子または組成物、例えばCDP-カンプトテシンまたはカンプトテシン誘導体コンジュゲート、粒子または組成物、例えば本明細書に記載のCDP-カンプトテシンまたはカンプトテシン誘導体コンジュゲート、粒子または組成物、例えばCRLX101を含む組成物を前記対象に投与することとを含む。
一実施形態では、治療に伴う膀胱毒性を改善する薬剤、例えば、尿排泄を増加させるおよび/または1つ以上の尿代謝産物を中和する薬剤を、カンプトテシンまたはカンプトテシン誘導体の投与前に、投与と同時におよび/または投与後に投与する。
一実施形態では、治療に伴う膀胱毒性を改善する薬剤は、生理食塩水、例えば、静脈内生理食塩水、D5・2分の1生理食塩水またはD5水である。一実施形態では、尿排泄を増加させるおよび/または1つ以上の尿代謝産物を中和する薬剤は、2-メルカプトエタンスルホン酸ナトリウム(MESNA)である。一実施形態では、治療に伴う膀胱毒性を改善する薬剤は2-メルカプトエタンスルホン酸ナトリウム(MESNA)であり、MESNAをカンプトテシンもしくはカンプトテシン誘導体の用量の約10%、20%、30%の用量で静脈内投与する、および/またはMESNAをカンプトテシンもしくはカンプトテシン誘導体の用量の約20%、30%、40%、50%の用量で経口投与する。
一実施形態では、コンジュゲートは、トポイソメラーゼI阻害剤および/またはトポイソメラーゼII阻害剤を含む。一実施形態では、コンジュゲートは、トポイソメラーゼI阻害剤またはトポイソメラーゼI阻害剤の組合せ、例えば、カンプトテシン、イリノテカン、SN-38、トポテカン、ラメラリンDおよびそれらの誘導体を含む。一実施形態では、コンジュゲートは、トポイソメラーゼII阻害剤またはトポイソメラーゼII阻害剤の組合せ、例えば、エプトポシド(eptoposide)、テノポシド(tenoposide)、ドキソルビシンおよびそれらの誘導体を含む。一実施形態では、コンジュゲートは、1つ以上のトポイソメラーゼI阻害剤と1つ以上のトポイソメラーゼII阻害剤の組合せを含む。一実施形態では、CDP-トポイソメラーゼ阻害剤コンジュゲートは、CDP-カンプトテシンまたはカンプトテシン誘導体コンジュゲート、例えば本明細書に記載のCDP-カンプトテシンまたはカンプトテシン誘導体コンジュゲート、例えばCRLX101である。
一実施形態では、増殖性疾患は癌、例えば、本明細書に記載の癌である。
一実施形態では、CDP-トポイソメラーゼ阻害剤コンジュゲート、粒子または組成物、例えば本明細書に記載のCDP-トポイソメラーゼ阻害剤コンジュゲート、粒子または組成物、例えばCDP-カンプトテシンまたはカンプトテシン誘導体コンジュゲート、粒子または組成物、例えば本明細書に記載のCDP-カンプトテシンまたはカンプトテシン誘導体コンジュゲート、粒子または組成物を、1つ以上の例えば本明細書に記載の追加の化学療法剤と組み合わせて投与する。一実施形態では、CDP-トポイソメラーゼ阻害剤コンジュゲート、粒子または組成物を、本明細書に記載の用量および/または投与計画で投与する。一実施形態では、対象に、2用量以上の例えば本明細書に記載のCDP-トポイソメラーゼ阻害剤コンジュゲート、粒子または組成物を投与し、かつ治療に伴う膀胱毒性を改善する薬剤を、1用量以上のCDP-トポイソメラーゼ阻害剤コンジュゲート、粒子または組成物の前に投与する。
一実施形態では、CDP-トポイソメラーゼ阻害剤コンジュゲート、粒子または組成物を、さらに本明細書に記載の1つ以上の薬剤と組み合わせて投与する。例えば、CDP-トポイソメラーゼ阻害剤コンジュゲート、粒子または組成物を、1つ以上の過敏性の症状を低減または抑制する薬剤と組み合わせて投与し得る。
一実施形態では、この方法は、治療に伴う膀胱毒性を改善する薬剤およびCDP-トポイソメラーゼ阻害剤コンジュゲート、粒子または組成物、例えばCDP-カンプトテシンまたはカンプトテシン誘導体コンジュゲート、粒子または組成物、例えば本明細書に記載のCDP-カンプトテシンまたはカンプトテシン誘導体コンジュゲート、粒子または組成物、例えばCRLX101の投与のために、増殖性疾患、例えば癌を有し、かつ膀胱炎を経験している、例えば、以前の化学療法の結果として膀胱炎を経験している対象を選択することを含む。
一態様では、本開示は、対象、例えばヒト対象における増殖性疾患、例えば癌の治療法を特徴とする。この方法は、増殖性疾患、例えば癌を有し、かつ1つ以上の過敏性の症状を低減または抑制する薬剤を投与されている対象を提供することと、CDP-トポイソメラーゼ阻害剤コンジュゲート、粒子または組成物、例えばCDP-カンプトテシンまたはカンプトテシン誘導体コンジュゲート、粒子または組成物、例えば本明細書に記載のCDP-カンプトテシンまたはカンプトテシン誘導体コンジュゲート、粒子または組成物、例えばCRLX101を含む組成物を前記対象に投与することとを含む。
一実施形態では、この方法は、1つ以上の過敏性の症状を低減または抑制する薬剤対象に投与することをさらに含む。
一実施形態では、過敏性の1つ以上の症状を低減または抑制する薬剤は、副腎皮質ステロイド剤(例えば、デキサメタゾン)、抗ヒスタミン剤(例えば、ジフェンヒドラミン)、H1アンタゴニストおよびH2アンタゴニスト(例えば、ラニチジンまたはファモチジン)のうちの1つ以上であり得る。一実施形態では、薬剤は副腎皮質ステロイド剤(例えば、デキサメタゾン)であり、副腎皮質ステロイド剤を、5、10、15、20、25または30mgで投与する。一実施形態では、副腎皮質ステロイド剤をCDP-トポイソメラーゼ阻害剤コンジュゲート、粒子または組成物投与の約12、11、10、9、8、7、6、5、4および/または3時間前に投与するか、あるいは副腎皮質ステロイド剤をCDP-トポイソメラーゼ阻害剤コンジュゲート、粒子または組成物の約40、30、20分前に静脈内に投与する。一実施形態では、薬剤は抗ヒスタミン剤(例えば、ジフェンヒドラミン)であり、抗ヒスタミン剤を、15、20、25、30、35、40、45、50、55、60、65または70mgで投与する。一実施形態では、抗ヒスタミン剤を、DP-トポイソメラーゼ阻害剤コンジュゲート、粒子または組成物の約40、30、20、10分前に静脈内に投与する。一実施形態では、薬剤はH2アンタゴニスト(例えば、ラニチジンまたはファモチジン)であり、H2アンタゴニストを、10、15、20、25、30、35、40、45、50、55、60、65または70mgで投与する。一実施形態では、H2アンタゴニストを、CDP-トポイソメラーゼ阻害剤コンジュゲート、粒子または組成物の約70、60、50、40、30、20、10分前に静脈内に投与する。
一実施形態では、コンジュゲートは、トポイソメラーゼI阻害剤および/またはトポイソメラーゼII阻害剤を含む。一実施形態では、コンジュゲートは、トポイソメラーゼI阻害剤またはトポイソメラーゼI阻害剤の組合せ、例えば、カンプトテシン、イリノテカン、SN-38、トポテカン、ラメラリンDおよびそれらの誘導体を含む。一実施形態では、コンジュゲートは、トポイソメラーゼII阻害剤またはトポイソメラーゼII阻害剤の組合せ、例えば、エプトポシド(eptoposide)、テノポシド(tenoposide)、ドキソルビシンおよびそれらの誘導体を含む。一実施形態では、コンジュゲートは、1つ以上のトポイソメラーゼI阻害剤と1つ以上のトポイソメラーゼII阻害剤の組合せを含む。一実施形態では、CDP-トポイソメラーゼ阻害剤コンジュゲートは、CDP-カンプトテシンまたはカンプトテシン誘導体コンジュゲート、例えば本明細書に記載のCDP-カンプトテシンまたはカンプトテシン誘導体コンジュゲート、例えばCRLX101である。
一実施形態では、増殖性疾患は癌、例えば本明細書に記載の癌である。
一実施形態では、CDP-トポイソメラーゼ阻害剤コンジュゲート、粒子または組成物を、1つ以上の例えば本明細書に記載の追加の化学療法剤と組み合わせて投与する。一実施形態では、CDP-トポイソメラーゼ阻害剤コンジュゲート、粒子または組成物を、本明細書に記載の用量および/または投与計画で投与する。一実施形態では、対象に2用量以上の例えば本明細書に記載のCDP-トポイソメラーゼ阻害剤コンジュゲート、粒子または組成物を投与し、1つ以上の過敏性の症状を低減または抑制する薬剤を、CDP-トポイソメラーゼ阻害剤コンジュゲート、粒子または組成物の各投与の前に投与する。
一実施形態では、この方法は、1つ以上の過敏症の症状を低減または抑制する薬剤およびCDP-トポイソメラーゼ阻害剤コンジュゲート、粒子または組成物、例えばCDP-カンプトテシンまたはカンプトテシン誘導体コンジュゲート、粒子または組成物、例えば本明細書に記載のCDP-カンプトテシンまたはカンプトテシン誘導体コンジュゲート、粒子または組成物、例えばCRLX101の投与のために、増殖性疾患、例えば癌を有し、かつ1つ以上の過敏症の症状を経験している、例えば、前回の化学療法に対して1つ以上の過敏症の症状を経験している対象を選択することを含む。過敏性症状としては、注射部位反応、呼吸困難、低血圧症、血管性浮腫、蕁麻疹、気管支痙攣および紅斑症が挙げられる。
さらに別の態様では、本開示は、増殖性疾患、例えば癌を有する対象、例えばヒト対象の治療法を特徴とし、この方法は、癌を治療するために、例えば参照標準に比べて、KRASおよび/またはST発現レベルが増加している、ならびに/あるいはKRAS遺伝子および/またはST遺伝子において変異を有する増殖性疾患、例えば癌を有する対象を選択することと、CDP-トポイソメラーゼ阻害剤コンジュゲート、粒子または組成物、例えばCDP-カンプトテシンまたはカンプトテシン誘導体コンジュゲート、粒子または組成物、例えば本明細書に記載のCDP-カンプトテシンまたはカンプトテシン誘導体コンジュゲート、粒子または組成物、例えばCRLX101を、癌を治療するのに十分な量で対象に投与することとを含む。
一実施形態では、コンジュゲートは、トポイソメラーゼI阻害剤および/またはトポイソメラーゼII阻害剤を含む。一実施形態では、コンジュゲートは、トポイソメラーゼI阻害剤またはトポイソメラーゼI阻害剤の組合せ、例えば、カンプトテシン、イリノテカン、SN-38、トポテカン、ラメラリンDおよびそれらの誘導体を含む。一実施形態では、コンジュゲートは、トポイソメラーゼII阻害剤またはトポイソメラーゼII阻害剤の組合せ、例えば、エプトポシド(eptoposide)、テノポシド(tenoposide)、ドキソルビシンおよびそれらの誘導体を含む。一実施形態では、コンジュゲートは、1つ以上のトポイソメラーゼI阻害剤と1つ以上のトポイソメラーゼII阻害剤の組合せを含む。一実施形態では、CDP-トポイソメラーゼ阻害剤コンジュゲートは、CDP-カンプトテシンまたはカンプトテシン誘導体コンジュゲート、例えば本明細書に記載のCDP-カンプトテシンまたはカンプトテシン誘導体コンジュゲート、例えばCRLX101である。
一実施形態では、対象は、例えば参照標準に比べて、KRASおよび/またはST発現レベルが増加している、ならびに/あるいはKRASおよび/またはST遺伝子において変異を有する。一実施形態では、対象は、KRAS遺伝子のコドン12(例えば、GからTへの塩基転換)、KRAS遺伝子のコドン13、KRAS遺伝子のコドン61のうちの1つ以上において変異を有する。一実施形態では、対象は、肺癌(例えば、小細胞肺癌および/または非小細胞肺癌)、膵臓癌または結腸直腸癌を有する。
一実施形態では、癌は本明細書に記載の癌である。
一実施形態では、CDP-トポイソメラーゼ阻害剤コンジュゲート、粒子または組成物を、1つ以上の例えば本明細書に記載の追加の化学療法剤と組み合わせて投与する。一実施形態では、CDP-トポイソメラーゼ阻害剤コンジュゲート、粒子または組成物を、本明細書に記載の用量および/または投与計画で投与する。
一実施形態では、CDP-トポイソメラーゼ阻害剤コンジュゲート、粒子または組成物を、1つ以上の本明細書に記載の薬剤と組み合わせて投与する。例えば、CDP-トポイソメラーゼ阻害剤コンジュゲート、粒子または組成物を、1つ以上の過敏症の症状を低減または抑制する薬剤、ならびに/あるいは尿排泄を増加させるおよび/または1つ以上の尿代謝産物を中和する薬剤と組み合わせて投与し得る。
別の態様では、本開示は、CDP-トポイソメラーゼ阻害剤コンジュゲート、粒子または組成物、例えばCDP-カンプトテシンまたはカンプトテシン誘導体コンジュゲート、粒子または組成物、例えば本明細書に記載のCDP-カンプトテシンまたはカンプトテシン誘導体コンジュゲート、粒子または組成物、例えばCRLX101の単位用量を特徴とする。
一態様では、本開示は、CDP-トポイソメラーゼ阻害剤コンジュゲート、粒子または組成物、例えばCDP-カンプトテシン誘導体コンジュゲート、粒子または組成物、例えば本明細書に記載のCDP-カンプトテシン誘導体コンジュゲート、粒子または組成物、ならびにCDP-トポイソメラーゼ阻害剤コンジュゲート、粒子および組成物、例えばCDP-カンプトテシン誘導体コンジュゲート、粒子または組成物、例えば本明細書に記載のCDP-カンプトテシン誘導体コンジュゲート、粒子または組成物の製造法を特徴とする。
一実施形態では、コンジュゲートは、トポイソメラーゼI阻害剤および/またはトポイソメラーゼII阻害剤を含む。一実施形態では、コンジュゲートは、トポイソメラーゼI阻害剤またはトポイソメラーゼI阻害剤の組合せ、例えば、イリノテカン、SN-38、トポテカン、ラメラリンDおよびそれらの誘導体を含む。一実施形態では、コンジュゲートは、トポイソメラーゼII阻害剤またはトポイソメラーゼII阻害剤の組合せ、例えば、エプトポシド(eptoposide)、テノポシド(tenoposide)、ドキソルビシンおよびそれらの誘導体を含む。一実施形態では、コンジュゲートは、1つ以上のトポイソメラーゼI阻害剤と1つ以上のトポイソメラーゼII阻害剤の組合せを含む。
一実施形態では、CDPは生分解性ではない。
一実施形態では、CDPは生体適合性である。
一実施形態では、CDP-トポイソメラーゼ阻害剤コンジュゲート、粒子または組成物、例えばCDP-カンプトテシン誘導体コンジュゲート、粒子または組成物、例えば本明細書に記載のCDP-カンプトテシン誘導体は、トポイソメラーゼ阻害剤、例えば、CDPと、例えば共有結合を介して結合またはコンジュゲートされているカンプトテシン誘導体と、CDP中の別の分子との間に包接錯体を含む。一実施形態では、CDP-トポイソメラーゼ阻害剤コンジュゲートはナノ粒子を形成する。一実施形態では、包接錯体を含むCDP-トポイソメラーゼ阻害剤コンジュゲートは、ナノ粒子を形成する。ナノ粒子は、直径10~300nm、例えば、直径20~280nm、30~250nm、30~200nm、20~150nm、30~100nm、20~80nm、30~70nm、30~60nmまたは30~50nmの大きさの範囲である。一実施形態では、ナノ粒子は直径30~60nmである。一実施形態では、組成物は、平均直径が10~300nm、例えば、20~280nm、30~250nm、30~200nm、20~150nm、30~100nm、20~80nm、30~70nm、30~60nmまたは30~50nmの一群または複数のナノ粒子を含む。一実施形態では、平均ナノ粒子直径は30~60nmである。一実施形態では、分子の表面電荷は中性またはわずかに負である。いくつかの実施形態では、粒子表面のゼータ電位が、約-80mV~約50mV、約-20mV~約20mV、約-20mV~約-10mVまたは約-10mV~約0である。
一実施形態では、CDPとコンジュゲートされているトポイソメラーゼ阻害剤(例えば、カンプトテシン誘導体、本明細書に記載のカンプトテシン誘導体)は、CDPとコンジュゲートされている場合、CDPとコンジュゲートされていない場合よりも可溶性である。
一実施形態では、組成物は、一群、混合物または複数のCDP-トポイソメラーゼ阻害剤コンジュゲートを含む。一実施形態では、一群、混合物または複数のCDP-トポイソメラーゼ阻害剤コンジュゲートは、CDPとコンジュゲートされている複数の異なるトポイソメラーゼ阻害剤を含む(例えば、2つの異なるトポイソメラーゼ阻害剤は、2つの異なるトポイソメラーゼ阻害剤が単一のCDPと結合されるように組成物中に存在する;または第一のトポイソメラーゼ阻害剤が第一のCDPと結合し、第二のトポイソメラーゼ阻害剤が第二のCDPと結合し、かつ両CDP-トポイソメラーゼ阻害剤コンジュゲートが組成物中に存在する)。
本発明の1つ以上の実施形態の詳細を以下の説明において記載する。本発明のその他の特徴、目的および利点は、説明および図面、ならびに特許請求の範囲から明らかになるであろう。
例えば、本発明は以下の項目を提供する。
(項目1)
対象における増殖性疾患の治療法であって、
CRLX10を含む組成物による少なくとも1サイクルの治療を提供することを含み、
前記サイクルが以下の投与を含み、それにより前記増殖性疾患を治療する方法:
CRLX101を含む組成物の初回投与を、コンジュゲートのmg数ではなくカンプトテシンのmg数で表される、12mg/m2を上回る用量、例えば、13mg/m2、14mg/m2、15mg/m2、16mg/m2または17mg/m2の用量で前記対象に提供することと、
任意に前記CRLX101の1回以上の後続投与を、12mg/m2を上回る用量、例えば、13mg/m2、14mg/m2、15mg/m2、16mg/m2または17mg/m2の用量で、前回投与後の9、10、11、12、13、14日または15日の間にそれぞれ独立して提供すること。
(項目2)
前記癌が、肺癌、例えば非小細胞肺癌、例えば扁平上皮細胞非小細胞肺癌である、項目1に記載の方法。
(項目3)
前記対象が、KRAS遺伝子における変異を有するおよび/またはKRAS発現のレベルが、例えば参照標準に比べて増加している、項目2に記載の方法。
(項目4)
前記対象が、EGFR遺伝子における変異を有する、項目2または3に記載の方法。
(項目5)
前記癌が卵巣癌である、項目1に記載の方法。
(項目6)
前記癌が、化学療法剤、例えば、白金系薬剤(例えば、カルボプラチン、シスプラチン、オキサリプラチン)に対して難治性、再発性または耐性である、項目5に記載の方法。(項目7)
前記対象に、CRLX101を第二の化学療法剤と組み合わせて投与する、項目5または6に記載の方法。
(項目8)
前記CRLX101を、30分、45分、60分または90分以下にわたって静脈内投与により投与する、項目1に記載の方法。
(項目9)
前記CRLX101を、12時間、15時間、18時間、20時間、21時間、24時間または27時間にわたって静脈内投与により投与する、項目1に記載の方法。
(項目10)
対象における増殖性疾患、例えば癌の治療法であって、
CRLX10を含む組成物による少なくとも1サイクルの治療を提供することを含み、
前記サイクルが以下の投与を含み、それにより前記増殖性疾患を治療する方法:
CRLX101を含む組成物の初回投与を、コンジュゲートのmg数ではなくカンプトテシンのmg数で表される、6mg/m2を上回る用量、例えば、7mg/m2、8mg/m2、9mg/m2、10mg/m2、11mg/m2または12mg/m2の用量で1日2回、前記対象に提供することと、
任意に前記CRLX101の1回以上の後続投与を、コンジュゲートのmg数ではなくカンプトテシンのmg数で表される、6mg/m2を上回る用量、例えば、7mg/m2、8mg/m2、9mg/m2、10mg/m2、11mg/m2または12mg/m2の用量で1日2回、前回投与後の9、10、11、12、13、14日または15日の間にそれぞれ独立して提供すること。
(項目11)
対象における癌の治療法であって、
以下を含み、それにより前記癌を治療する方法:
CDP-トポイソメラーゼ阻害剤コンジュゲート、粒子または組成物の初回投与を、コンジュゲートのmg数ではなくトポイソメラーゼ阻害剤のmg数で表される、6mg/m2、7mg/m2、8mg/m2、9mg/m2、10mg/m2、11mg/m2、12mg/m2、13mg/m2、14mg/m2、15mg/m2、16mg/m2、17mg/m2、18mg/m2、19mg/m2、20mg/m2、21mg/m2、22mg/m2、23mg/m2、24mg/m2、25mg/m2、26mg/m2、27mg/m2、28mg/m2、29mg/m2または30mg/m2の用量で前記対象に提供することと、
任意に前記CDP-トポイソメラーゼ阻害剤コンジュゲート、粒子または組成物の1回以上の後続投与を、6mg/m2、7mg/m2、8mg/m2、9mg/m2、10mg/m2、11mg/m2、12mg/m2、13mg/m2、14mg/m2、15mg/m2、16mg/m2、17mg/m2、18mg/m2、19mg/m2、20mg/m2、21mg/m2、22mg/m2、23mg/m2、24mg/m2、25mg/m2、26mg/m2、27mg/m2、28mg/m2、29mg/m2または30mg/m2の用量で、前回投与後の9、10、11、12、13、14、15日または16日の間にそれぞれ独立して提供すること。
(項目12)
少なくとも2、3、4、5、6、7、8、9、10、12、15回または20回の前記投与が同じである、項目11に記載の方法。
(項目13)
少なくとも2、3、4、5、6、7、8、9、10、12、15回または20回の投与間の時間が同じである、項目11または12に記載の方法。
(項目14)
各後続投与が、前回投与の12~16日後に行われる、項目11~13のいずれか1項に記載の方法。
(項目15)
前記薬物を12~17mg/(m2・投与)で投与する、項目11~14のいずれか1項に記載の方法。
(項目16)
前記コンジュゲートが、トポイソメラーゼI阻害剤および/またはトポイソメラーゼII阻害剤を含む、項目11~15のいずれか1項に記載の方法。
(項目17)
前記コンジュゲートが、カンプトテシン、イリノテカン、SN-38、トポテカン、ラメラリンDまたはそれらの誘導体を含む、項目16に記載の方法。
(項目18)
前記コンジュゲートを、約30分、45分、60分、90分、120分、150分または180分以下にわたって静脈内投与により投与する、項目11~17のいずれか1項に記載の方法。
(項目19)
前記癌が、肺癌、卵巣癌、乳癌、胃癌、膵臓癌、結腸直腸癌または腎臓癌である、項目11~18のいずれか1項に記載の方法。
(項目20)
前記コンジュゲートを、1つ以上の追加の化学療法剤と組み合わせて投与する、項目11~19のいずれか1項に記載の方法。
(項目21)
対象における癌の治療法であって、
以下を含み、それにより前記癌を治療する方法:
CDP-トポイソメラーゼ阻害剤コンジュゲート、粒子または組成物の初回投与を、コンジュゲートのmg数ではなくトポイソメラーゼ阻害剤のmg数で表される、9mg/m2、10mg/m2、11mg/m2,12mg/m2、13mg/m2、14mg/m2、15mg/m2、16mg/m2、17mg/m2、18mg/m2、19mg/m2、20mg/m2、21mg/m2、22mg/m2、23mg/m2、24mg/m2、25mg/m2、26mg/m2、27mg/m2、28mg/m2、29mg/m2、30mg/m2、31mg/m2、32mg/m2、33mg/m2、34mg/m2、35mg/m2または36mg/m2の用量で前記対象に提供することと、
任意に前記CDP-トポイソメラーゼ阻害剤コンジュゲート、粒子または組成物の1回以上の後続投与を、6mg/m2、7mg/m2、8mg/m2、9mg/m2、10mg/m2、11mg/m2、12mg/m2、13mg/m2、14mg/m2、15mg/m2、16mg/m2、17mg/m2、18mg/m2、19mg/m2、20mg/m2、21mg/m2、22mg/m2、23mg/m2、24mg/m2、25mg/m2、26mg/m2、27mg/m2、28mg/m2、29mg/m2、30mg/m2、31mg/m2、32mg/m2、33mg/m2、34mg/m2、35mg/m2または36mg/m2の用量で、前回投与後の17、18、19、20、21、22、23、24、25、26、27、28、29、30日または31日の間にそれぞれ独立して提供すること。
(項目22)
対象における癌の治療法であって、
以下を含み、それにより前記癌を治療する方法:
CDP-トポイソメラーゼ阻害剤コンジュゲート、粒子または組成物の初回投与を、コンジュゲートのmg数ではなくトポイソメラーゼ阻害剤のmg数で表される、3mg/m2、4mg/m2、5mg/m2、6mg/m2、7mg/m2、8mg/m2、9mg/m2、10mg/m2または11mg/m2の用量で前記対象に提供することと、
任意に前記CDP-トポイソメラーゼ阻害剤コンジュゲート、粒子または組成物の1回以上の後続投与を、3mg/m2、4mg/m2、5mg/m2、6mg/m2、7mg/m2、8mg/m2、9mg/m2、10mg/m2または11mg/m2の用量で、前回投与後の5、6、7、8、9日の間にそれぞれ独立して提供すること。
(項目23)
対象における卵巣癌の治療法であって、CDP-トポイソメラーゼ阻害剤コンジュゲート、粒子または組成物を、第二の化学療法剤と組み合わせて対象に投与することを含む方法。
(項目24)
対象における結腸直腸癌の治療法であって、CDP-トポイソメラーゼ阻害剤コンジュゲート、粒子または組成物を、第二の化学療法剤と組み合わせて対象に投与することを含む方法。
(項目25)
対象における肺癌の治療法であって、CDP-トポイソメラーゼ阻害剤コンジュゲート、粒子または組成物を対象に投与することを含む方法。
(項目26)
対象における肺癌の治療法であって、CDP-トポイソメラーゼ阻害剤コンジュゲート、粒子または組成物を、第二の化学療法剤と組み合わせて対象に投与することを含む方法。
(項目27)
対象における乳癌の治療法であって、CDP-トポイソメラーゼ阻害剤コンジュゲート、粒子または組成物を、第二の化学療法剤と組み合わせて対象に投与することを含む方法。
(項目28)
対象における胃癌の治療法であって、CDP-トポイソメラーゼ阻害剤コンジュゲート、粒子または組成物を、第二の化学療法剤と組み合わせて対象に投与することを含む方法。
(項目29)
対象における癌の治療法であって、CDP-トポイソメラーゼ阻害剤コンジュゲート、粒子または組成物を、血管新生阻害剤と組み合わせて対象に投与することを含む方法。
(項目30)
前記癌が腎臓癌である、項目29に記載の方法。
(項目31)
前記血管新生阻害剤がVEGF経路阻害剤である、項目29または30に記載の方法。(項目32)
対象における癌の治療法であって、
前記対象に多糖を投与することと、
前記対象にCDP-トポイソメラーゼ阻害剤コンジュゲート、粒子または組成物を投与することと
を含む方法。
(項目33)
対象における癌の治療法であって、
前記対象に、治療に伴う膀胱毒性を改善する薬剤を投与することと、
前記対象に、カンプトテシンまたはカンプトテシン誘導体を含む組成物を投与することと
を含む方法。
(項目34)
対象における癌の治療法であって、
癌を有し、かつ1つ以上の過敏症の症状を低減または抑制する薬剤を投与されている対象を提供することと、
前記対象に、CDP-トポイソメラーゼ阻害剤コンジュゲート、粒子または組成物を含む組成物を投与することと
を含む方法。
(項目35)
対象における癌の治療法であって、
KRASおよび/またはST発現レベルが増加している癌を有する対象を選択することと、
CDP-トポイソメラーゼ阻害剤コンジュゲート、粒子または組成物を、癌を治療するのに十分な量で対象に投与することにより癌を治療することと
を含む方法。
例えば、本発明は以下の項目を提供する。
(項目1)
対象における増殖性疾患の治療法であって、
CRLX10を含む組成物による少なくとも1サイクルの治療を提供することを含み、
前記サイクルが以下の投与を含み、それにより前記増殖性疾患を治療する方法:
CRLX101を含む組成物の初回投与を、コンジュゲートのmg数ではなくカンプトテシンのmg数で表される、12mg/m2を上回る用量、例えば、13mg/m2、14mg/m2、15mg/m2、16mg/m2または17mg/m2の用量で前記対象に提供することと、
任意に前記CRLX101の1回以上の後続投与を、12mg/m2を上回る用量、例えば、13mg/m2、14mg/m2、15mg/m2、16mg/m2または17mg/m2の用量で、前回投与後の9、10、11、12、13、14日または15日の間にそれぞれ独立して提供すること。
(項目2)
前記癌が、肺癌、例えば非小細胞肺癌、例えば扁平上皮細胞非小細胞肺癌である、項目1に記載の方法。
(項目3)
前記対象が、KRAS遺伝子における変異を有するおよび/またはKRAS発現のレベルが、例えば参照標準に比べて増加している、項目2に記載の方法。
(項目4)
前記対象が、EGFR遺伝子における変異を有する、項目2または3に記載の方法。
(項目5)
前記癌が卵巣癌である、項目1に記載の方法。
(項目6)
前記癌が、化学療法剤、例えば、白金系薬剤(例えば、カルボプラチン、シスプラチン、オキサリプラチン)に対して難治性、再発性または耐性である、項目5に記載の方法。(項目7)
前記対象に、CRLX101を第二の化学療法剤と組み合わせて投与する、項目5または6に記載の方法。
(項目8)
前記CRLX101を、30分、45分、60分または90分以下にわたって静脈内投与により投与する、項目1に記載の方法。
(項目9)
前記CRLX101を、12時間、15時間、18時間、20時間、21時間、24時間または27時間にわたって静脈内投与により投与する、項目1に記載の方法。
(項目10)
対象における増殖性疾患、例えば癌の治療法であって、
CRLX10を含む組成物による少なくとも1サイクルの治療を提供することを含み、
前記サイクルが以下の投与を含み、それにより前記増殖性疾患を治療する方法:
CRLX101を含む組成物の初回投与を、コンジュゲートのmg数ではなくカンプトテシンのmg数で表される、6mg/m2を上回る用量、例えば、7mg/m2、8mg/m2、9mg/m2、10mg/m2、11mg/m2または12mg/m2の用量で1日2回、前記対象に提供することと、
任意に前記CRLX101の1回以上の後続投与を、コンジュゲートのmg数ではなくカンプトテシンのmg数で表される、6mg/m2を上回る用量、例えば、7mg/m2、8mg/m2、9mg/m2、10mg/m2、11mg/m2または12mg/m2の用量で1日2回、前回投与後の9、10、11、12、13、14日または15日の間にそれぞれ独立して提供すること。
(項目11)
対象における癌の治療法であって、
以下を含み、それにより前記癌を治療する方法:
CDP-トポイソメラーゼ阻害剤コンジュゲート、粒子または組成物の初回投与を、コンジュゲートのmg数ではなくトポイソメラーゼ阻害剤のmg数で表される、6mg/m2、7mg/m2、8mg/m2、9mg/m2、10mg/m2、11mg/m2、12mg/m2、13mg/m2、14mg/m2、15mg/m2、16mg/m2、17mg/m2、18mg/m2、19mg/m2、20mg/m2、21mg/m2、22mg/m2、23mg/m2、24mg/m2、25mg/m2、26mg/m2、27mg/m2、28mg/m2、29mg/m2または30mg/m2の用量で前記対象に提供することと、
任意に前記CDP-トポイソメラーゼ阻害剤コンジュゲート、粒子または組成物の1回以上の後続投与を、6mg/m2、7mg/m2、8mg/m2、9mg/m2、10mg/m2、11mg/m2、12mg/m2、13mg/m2、14mg/m2、15mg/m2、16mg/m2、17mg/m2、18mg/m2、19mg/m2、20mg/m2、21mg/m2、22mg/m2、23mg/m2、24mg/m2、25mg/m2、26mg/m2、27mg/m2、28mg/m2、29mg/m2または30mg/m2の用量で、前回投与後の9、10、11、12、13、14、15日または16日の間にそれぞれ独立して提供すること。
(項目12)
少なくとも2、3、4、5、6、7、8、9、10、12、15回または20回の前記投与が同じである、項目11に記載の方法。
(項目13)
少なくとも2、3、4、5、6、7、8、9、10、12、15回または20回の投与間の時間が同じである、項目11または12に記載の方法。
(項目14)
各後続投与が、前回投与の12~16日後に行われる、項目11~13のいずれか1項に記載の方法。
(項目15)
前記薬物を12~17mg/(m2・投与)で投与する、項目11~14のいずれか1項に記載の方法。
(項目16)
前記コンジュゲートが、トポイソメラーゼI阻害剤および/またはトポイソメラーゼII阻害剤を含む、項目11~15のいずれか1項に記載の方法。
(項目17)
前記コンジュゲートが、カンプトテシン、イリノテカン、SN-38、トポテカン、ラメラリンDまたはそれらの誘導体を含む、項目16に記載の方法。
(項目18)
前記コンジュゲートを、約30分、45分、60分、90分、120分、150分または180分以下にわたって静脈内投与により投与する、項目11~17のいずれか1項に記載の方法。
(項目19)
前記癌が、肺癌、卵巣癌、乳癌、胃癌、膵臓癌、結腸直腸癌または腎臓癌である、項目11~18のいずれか1項に記載の方法。
(項目20)
前記コンジュゲートを、1つ以上の追加の化学療法剤と組み合わせて投与する、項目11~19のいずれか1項に記載の方法。
(項目21)
対象における癌の治療法であって、
以下を含み、それにより前記癌を治療する方法:
CDP-トポイソメラーゼ阻害剤コンジュゲート、粒子または組成物の初回投与を、コンジュゲートのmg数ではなくトポイソメラーゼ阻害剤のmg数で表される、9mg/m2、10mg/m2、11mg/m2,12mg/m2、13mg/m2、14mg/m2、15mg/m2、16mg/m2、17mg/m2、18mg/m2、19mg/m2、20mg/m2、21mg/m2、22mg/m2、23mg/m2、24mg/m2、25mg/m2、26mg/m2、27mg/m2、28mg/m2、29mg/m2、30mg/m2、31mg/m2、32mg/m2、33mg/m2、34mg/m2、35mg/m2または36mg/m2の用量で前記対象に提供することと、
任意に前記CDP-トポイソメラーゼ阻害剤コンジュゲート、粒子または組成物の1回以上の後続投与を、6mg/m2、7mg/m2、8mg/m2、9mg/m2、10mg/m2、11mg/m2、12mg/m2、13mg/m2、14mg/m2、15mg/m2、16mg/m2、17mg/m2、18mg/m2、19mg/m2、20mg/m2、21mg/m2、22mg/m2、23mg/m2、24mg/m2、25mg/m2、26mg/m2、27mg/m2、28mg/m2、29mg/m2、30mg/m2、31mg/m2、32mg/m2、33mg/m2、34mg/m2、35mg/m2または36mg/m2の用量で、前回投与後の17、18、19、20、21、22、23、24、25、26、27、28、29、30日または31日の間にそれぞれ独立して提供すること。
(項目22)
対象における癌の治療法であって、
以下を含み、それにより前記癌を治療する方法:
CDP-トポイソメラーゼ阻害剤コンジュゲート、粒子または組成物の初回投与を、コンジュゲートのmg数ではなくトポイソメラーゼ阻害剤のmg数で表される、3mg/m2、4mg/m2、5mg/m2、6mg/m2、7mg/m2、8mg/m2、9mg/m2、10mg/m2または11mg/m2の用量で前記対象に提供することと、
任意に前記CDP-トポイソメラーゼ阻害剤コンジュゲート、粒子または組成物の1回以上の後続投与を、3mg/m2、4mg/m2、5mg/m2、6mg/m2、7mg/m2、8mg/m2、9mg/m2、10mg/m2または11mg/m2の用量で、前回投与後の5、6、7、8、9日の間にそれぞれ独立して提供すること。
(項目23)
対象における卵巣癌の治療法であって、CDP-トポイソメラーゼ阻害剤コンジュゲート、粒子または組成物を、第二の化学療法剤と組み合わせて対象に投与することを含む方法。
(項目24)
対象における結腸直腸癌の治療法であって、CDP-トポイソメラーゼ阻害剤コンジュゲート、粒子または組成物を、第二の化学療法剤と組み合わせて対象に投与することを含む方法。
(項目25)
対象における肺癌の治療法であって、CDP-トポイソメラーゼ阻害剤コンジュゲート、粒子または組成物を対象に投与することを含む方法。
(項目26)
対象における肺癌の治療法であって、CDP-トポイソメラーゼ阻害剤コンジュゲート、粒子または組成物を、第二の化学療法剤と組み合わせて対象に投与することを含む方法。
(項目27)
対象における乳癌の治療法であって、CDP-トポイソメラーゼ阻害剤コンジュゲート、粒子または組成物を、第二の化学療法剤と組み合わせて対象に投与することを含む方法。
(項目28)
対象における胃癌の治療法であって、CDP-トポイソメラーゼ阻害剤コンジュゲート、粒子または組成物を、第二の化学療法剤と組み合わせて対象に投与することを含む方法。
(項目29)
対象における癌の治療法であって、CDP-トポイソメラーゼ阻害剤コンジュゲート、粒子または組成物を、血管新生阻害剤と組み合わせて対象に投与することを含む方法。
(項目30)
前記癌が腎臓癌である、項目29に記載の方法。
(項目31)
前記血管新生阻害剤がVEGF経路阻害剤である、項目29または30に記載の方法。(項目32)
対象における癌の治療法であって、
前記対象に多糖を投与することと、
前記対象にCDP-トポイソメラーゼ阻害剤コンジュゲート、粒子または組成物を投与することと
を含む方法。
(項目33)
対象における癌の治療法であって、
前記対象に、治療に伴う膀胱毒性を改善する薬剤を投与することと、
前記対象に、カンプトテシンまたはカンプトテシン誘導体を含む組成物を投与することと
を含む方法。
(項目34)
対象における癌の治療法であって、
癌を有し、かつ1つ以上の過敏症の症状を低減または抑制する薬剤を投与されている対象を提供することと、
前記対象に、CDP-トポイソメラーゼ阻害剤コンジュゲート、粒子または組成物を含む組成物を投与することと
を含む方法。
(項目35)
対象における癌の治療法であって、
KRASおよび/またはST発現レベルが増加している癌を有する対象を選択することと、
CDP-トポイソメラーゼ阻害剤コンジュゲート、粒子または組成物を、癌を治療するのに十分な量で対象に投与することにより癌を治療することと
を含む方法。
本発明は、カンプトテシンまたはカンプトテシン誘導体のようなトポイソメラーゼ阻害剤の薬物送達用に設計された、治療用シクロデキストリン含有ポリマー(CDP)の組成物に関する。特定の実施形態では、上記シクロデキストリン含有ポリマーは、薬物の安定性および/または溶解性を向上させる、ならびに/あるいは毒性を減少させる、ならびに/あるいはインビボで使用した場合にトポイソメラーゼ阻害剤の効果を向上させる。
さらに、CDPをカンプトテシンまたはカンプトテシン誘導体のようなトポイソメラーゼ阻害剤と連結もしくは結合させる各種のリンカー基および/または標的化リガンから選択することにより、送達制御のためにポリマーからの薬物放出速度を弱めることができる。または本発明は、本明細書に記載の組成物により対象を治療する方法にも関する。本発明はさらに、本明細書に記載のCDP-トポイソメラーゼ阻害剤コンジュゲート、粒子および組成物を含むまたはそれらに関連するキットの製造、認可または流通を含む医薬品事業を行うための方法に関する。
より一般的には、本発明は、生物学的条件下で切断されてトポイソメラーゼ阻害剤が遊離する、結合を介してトポイソメラーゼ阻害剤と共有結合した水溶性の生体適合性ポリマーを含む、水溶性の生体適合性ポリマーコンジュゲートを提供する。
本明細書に記載の方法で取り上げられるポリマーコンジュゲートは、カンプトテシンのような生物活性/治療剤の溶解性および/または安定性を向上させる、薬剤-薬剤相互作用を減少させる、血漿タンパク質を含めた血液要素との相互作用を減少させる、免疫原性を低減または排除する、薬剤を代謝から保護する、薬物放出動態を調節する、循環時間を向上させる、薬物半減期(例えば、血中、または腫瘍のような選択された組織中での)を向上させる、毒性を弱める、効果を向上させる、異なる種、民族および/または人種の対象間での薬物代謝を正規化する、ならびに/あるいは特定の細胞または組織への標的化送達をもたらす。
好適な実施形態では、CDP-トポイソメラーゼ阻害剤コンジュゲート、粒子または組成物中のトポイソメラーゼ阻害剤は、カンプトテシンまたはカンプトテシン誘導体である。本明細書で使用される「カンプトテシン誘導体」という用語は、カンプトテシン類似体およびカンプトテシンの代謝産物を包含する。例えば、カンプトテシン誘導体は以下の構造を有し得る:
式中、
R1はH、OH、任意に置換されているアルキル(例えば、NRa 2またはORaまたはSiRa 3で任意に置換されている)またはSiRa 3であるか;あるいはR1とR2が一緒になって、任意に置換されている5~8員環(例えば、NRa 2またはORaで任意に置換されている)を形成してもよく;
R2はH、OH、NH2、ハロ、ニトロ、任意に置換されているアルキル(例えば、NRa 2またはORa、NRa 2、OC(=O)NRa 2またはOC(=O)ORa)で任意に置換されている)であり;
R3はH、OH、NH2、ハロ、ニトロ、NRa 2、OC(=O)NRa 2またはOC(=O)ORaであり、
R4はH、OH、NH2、ハロ、CNまたはNRa 2であるか;あるいはR3とR4が、それらが結合している原子と一緒になって、5~6員環を形成し(例えば、-OCH2O-または-OCH2CH2O-を含めた環を形成している); Raは、それぞれ独立してHまたはアルキルであるか;あるいは2つのRaが、それらが結合している原子と一緒になって、4~8員環(例えば、任意にOまたはNRbを含む)を形成し、
RbはHまたは任意に置換されているアルキル(例えば、ORcまたはNRc 2で任意に置換されている)であり;
RcはHまたはアルキルであるか;あるいは2つのRcが、それらが結合している原子と一緒になって、4~8員環を形成し;かつ
n=0または1である。
式中、
R1はH、OH、任意に置換されているアルキル(例えば、NRa 2またはORaまたはSiRa 3で任意に置換されている)またはSiRa 3であるか;あるいはR1とR2が一緒になって、任意に置換されている5~8員環(例えば、NRa 2またはORaで任意に置換されている)を形成してもよく;
R2はH、OH、NH2、ハロ、ニトロ、任意に置換されているアルキル(例えば、NRa 2またはORa、NRa 2、OC(=O)NRa 2またはOC(=O)ORa)で任意に置換されている)であり;
R3はH、OH、NH2、ハロ、ニトロ、NRa 2、OC(=O)NRa 2またはOC(=O)ORaであり、
R4はH、OH、NH2、ハロ、CNまたはNRa 2であるか;あるいはR3とR4が、それらが結合している原子と一緒になって、5~6員環を形成し(例えば、-OCH2O-または-OCH2CH2O-を含めた環を形成している); Raは、それぞれ独立してHまたはアルキルであるか;あるいは2つのRaが、それらが結合している原子と一緒になって、4~8員環(例えば、任意にOまたはNRbを含む)を形成し、
RbはHまたは任意に置換されているアルキル(例えば、ORcまたはNRc 2で任意に置換されている)であり;
RcはHまたはアルキルであるか;あるいは2つのRcが、それらが結合している原子と一緒になって、4~8員環を形成し;かつ
n=0または1である。
一実施形態では、カンプトテシン誘導体のR1、R2、R3およびR4はそれぞれHであり、かつnは0である。
一実施形態では、カンプトテシン誘導体のR1、R2、R3およびR4はそれぞれHであり、かつnは1である。
一実施形態では、カンプトテシン誘導体のR1はHであり、R2は-CH2N(CH3)2であり、R3は-OHであり、R4はHであり;かつnは0である。
一実施形態では、カンプトテシン誘導体のR1は-CH2CH3であり、R2はHであり、R3は-OHであり、R4はHであり、かつnは0である。
一実施形態では、カンプトテシン誘導体のR1はtert-ブチルジメチルシリルであり、R2はHであり、R3は-OHであり、かつR4は-OHであり、かつnは0である。
一実施形態では、カンプトテシン誘導体のR1はtert-ブチルジメチルシリルであり、R2は水素であり、R3は-OHであり、かつR4は水素であり、かつnは1である。
一実施形態では、カンプトテシン誘導体のR1はtert-ブチルジメチルシリルであり、R2、R3およびR4はそれぞれHであり、かつnは0である
一実施形態では、カンプトテシン誘導体のR1はtert-ブチルジメチルシリルであり、R2、R3およびR4はそれぞれHであり、かつnは1である。
一実施形態では、カンプトテシン誘導体のR1は-CH2CH2Si(CH3)3であり、かつR2、R3およびR4はそれぞれHである。
一実施形態では、カンプトテシン誘導体のR1およびR2は、それらが結合している炭素と一緒になって、任意に置換されている環を形成する。一実施形態では、カンプトテシン誘導体のR1およびR2は、それらが結合している炭素と一緒になって、置換されている6員環を形成する。一実施形態では、カンプトテシン誘導体は下式:
を有する。一実施形態では、R3はメチルであり、かつR4はフルオロである。
を有する。一実施形態では、R3はメチルであり、かつR4はフルオロである。
一実施形態では、R3およびR4は、それらが結合している炭素と一緒になって、任意に置換されている環を形成する。一実施形態では、R3およびR4は、それらが結合している炭素と一緒になって、6員複素環を形成する。一実施形態では、カンプトテシン誘導体は下式:
を有する。一実施形態では、R1は
であり、かつR2は水素である。
を有する。一実施形態では、R1は
であり、かつR2は水素である。
一実施形態では、R1は-CH=NOC(CH3)3であり、R2、R3およびR4はそれぞれHであり、かつnは0である。
一実施形態では、R1は-CH2CH2NHCH(CH3)2あり、R2、R3およびR4はそれぞれHであり;かつnは0である。
一実施形態では、R1およびR2はHであり、R3およびR4はフルオロであり、かつnは1である。
一実施形態では、R1、R3およびR4はそれぞれHであり、R2はNH2であり、かつnは0である。
一実施形態では、R1、R3およびR4はそれぞれHであり、R2はNO2であり、かつnは0である。
「有効量(「effective amount」または「an amount effective」)」は、細胞の処置、疾患症状の治癒、緩和、軽減または改善における対象への単回または複数回投与において有効な、CDP-トポイソメラーゼ阻害剤コンジュゲート、粒子または組成物の量を指す。コンジュゲート、粒子または組成物の有効量は、個人の病的状態、年齢、性別および体重、ならびに個人において所望の応答を誘発する化合物の能力などの要因によって異なり得る。または有効量は、コンジュゲート、粒子または組成物の任意の毒性または有害効果よりも治療的に有用な効果が上回る量でもある。
本明細書で使用される「対象」という用語は、ヒトおよび非ヒト動物を包含することが意図される。典型的なヒト対象としては、疾患、例えば本明細書に記載の疾患を有するヒト患者または正常な対象が挙げられる。「非ヒト動物」という用語は、すべての脊椎動物、例えば、非哺乳動物(例えばニワトリ、両生類、爬虫類など)および哺乳動物、例えば非ヒト霊長類、家畜化されたおよび/または農業的に有用な動物、例えばヒツジ、イヌ、ネコ、ウシ、ブタなどが挙げられる。
本明細書で使用される、疾患を有する対象を「治療する」または「治療すること」という用語は、疾患の少なくとも1つの症状が治癒する、修復される、緩和される、軽減される、変化する、矯正される、改善されるまたは向上するように、対象に投与計画、例えばCDP-トポイソメラーゼ阻害剤コンジュゲート、粒子または組成物の投与を行うことを指す。治療することは、疾患または疾患症状を緩和する、軽減する、変化させる、矯正する、改善する、向上させるまたはそれに影響を与えるために有効量を投与することを含む。治療は、疾患症状の増悪または悪化を抑制し得る。
対象への薬剤の投与との関連において使用される、疾患を予防するのに有効なCDP-トポイソメラーゼ阻害剤コンジュゲート、粒子もしくは組成物の量またはコンジュゲート、粒子または組成物の「予防有効量」は、疾患の少なくとも1つの症状の発現が、投与計画なしで見られ得るものと比べて遅延されるように、対象に投与計画、例えばCDP-トポイソメラーゼ阻害剤コンジュゲート、粒子または組成物の投与を行うことを指す。
CDP-トポイソメラーゼ阻害剤コンジュゲート、粒子および組成物
1つ以上のトポイソメラーゼ阻害剤がCDPと共有結合している(例えば、直接的にまたはリンカーを介して)、シクロデキストリン含有ポリマー(「CDP」)-トポイソメラーゼ阻害剤コンジュゲートを本明細書に記載する。CDP-トポイソメラーゼ阻害剤コンジュゲートは、直鎖状または分岐状シクロデキストリン含有ポリマーおよびシクロデキストリンでグラフト化されたポリマーを含む。本明細書に記載のように修飾され得る典型的なシクロデキストリン含有ポリマーは、米国特許第7,270,808号、同第6,509,323号、同第7,091,192号、同第6,884,789号、米国特許出願公開第20040087024号、同第20040109888号および同第20070025952号において教示されている。
1つ以上のトポイソメラーゼ阻害剤がCDPと共有結合している(例えば、直接的にまたはリンカーを介して)、シクロデキストリン含有ポリマー(「CDP」)-トポイソメラーゼ阻害剤コンジュゲートを本明細書に記載する。CDP-トポイソメラーゼ阻害剤コンジュゲートは、直鎖状または分岐状シクロデキストリン含有ポリマーおよびシクロデキストリンでグラフト化されたポリマーを含む。本明細書に記載のように修飾され得る典型的なシクロデキストリン含有ポリマーは、米国特許第7,270,808号、同第6,509,323号、同第7,091,192号、同第6,884,789号、米国特許出願公開第20040087024号、同第20040109888号および同第20070025952号において教示されている。
したがって一実施形態では、CDP-トポイソメラーゼ阻害剤コンジュゲートは式Iにより表され:
式中、
Pは直鎖状または分岐状ポリマー鎖を表し;
CDはシクロデキストリン部分のような環状部分を表し;
L1、L2およびL3は各存在で独立して、存在しないかまたはリンカー基を表し得;
Dは各存在で独立して、トポイソメラーゼ阻害剤またはそのプロドラッグ(例えば、カンプトテシンまたはカンプトテシン誘導体)を表し;
Tは各存在で独立して、標的化リガンドまたはその前駆体を表し;
a、mおよびvは各存在で独立して、1~10の範囲の整数(好ましくは、1~8、1~5または1~3)を表し;
nおよびwは各存在で独立して、0~約30,000(好ましくは、25,000未満、20,000未満、15,000未満、10,000未満、5,000未満、1,000未満、500未満、100未満、50未満、25未満、10未満またはさらに5未満)の範囲の整数を表し;かつ
bは、1~約30,000(好ましくは、25,000未満、20,000未満、15,000未満、10,000未満、5,000未満、1,000未満、500未満、100未満、50未満、25未満、10未満またはさらに5未満)の範囲の整数を表し、
Pがシクロデキストリン部分を含むか、またはnが少なくとも1である。
Pは直鎖状または分岐状ポリマー鎖を表し;
CDはシクロデキストリン部分のような環状部分を表し;
L1、L2およびL3は各存在で独立して、存在しないかまたはリンカー基を表し得;
Dは各存在で独立して、トポイソメラーゼ阻害剤またはそのプロドラッグ(例えば、カンプトテシンまたはカンプトテシン誘導体)を表し;
Tは各存在で独立して、標的化リガンドまたはその前駆体を表し;
a、mおよびvは各存在で独立して、1~10の範囲の整数(好ましくは、1~8、1~5または1~3)を表し;
nおよびwは各存在で独立して、0~約30,000(好ましくは、25,000未満、20,000未満、15,000未満、10,000未満、5,000未満、1,000未満、500未満、100未満、50未満、25未満、10未満またはさらに5未満)の範囲の整数を表し;かつ
bは、1~約30,000(好ましくは、25,000未満、20,000未満、15,000未満、10,000未満、5,000未満、1,000未満、500未満、100未満、50未満、25未満、10未満またはさらに5未満)の範囲の整数を表し、
Pがシクロデキストリン部分を含むか、またはnが少なくとも1である。
いくつかの実施形態では、CDP-トポイソメラーゼ阻害剤コンジュゲート中の1つ以上のトポイソメラーゼ阻害剤部分を、別の治療剤、例えば別の抗癌剤または抗炎症剤に置き換え得る。他の抗癌剤の例は本明細書に記載されている。抗炎症剤の例としては、ステロイド、例えばプレドニゾン、およびNSAIDが挙げられる。
特定の実施形態では、シクロデキストリン部分がポリマー鎖からのペンダント基上にグラフトされているのではなく、Pがポリマー鎖内に複数のシクロデキストリン部分を含む。したがって、特定の実施形態では、式Iのポリマー鎖は、n’単位のUをさらに含み、n’は1~約30,000、例えば、4~100、4~50、4~25、4~15、6~100、6~50、6~25および6~15(好ましくは、25,000未満、20,000未満、15,000未満、10,000未満、5,000未満、1,000未満、500未満、100未満、50未満、25未満、20未満、15未満、10未満またはさらに5未満)の範囲の整数を表し;かつUは以下の一般式のうちの1つで表され:
式中、
CDは、シクロデキストリン部分またはその誘導体のような環状部分を表し;
L4、L5、L6およびL7は各存在で独立して、存在しないかまたはリンカー基を表してよく;
DおよびD’は各存在で独立して、同じまたは異なるトポイソメラーゼ阻害剤またはそのプロドラッグ形態(例えば、カンプトテシンまたはカンプトテシン誘導体)を表し;
TおよびT’は各存在で独立して、同じまたは異なる標的化リガンドまたはその前駆体を表し;
fおよびyは各存在で独立して、1~10の範囲の整数を表し;かつ
gおよびzは各存在で独立して、0~10の範囲の整数を表す。
CDは、シクロデキストリン部分またはその誘導体のような環状部分を表し;
L4、L5、L6およびL7は各存在で独立して、存在しないかまたはリンカー基を表してよく;
DおよびD’は各存在で独立して、同じまたは異なるトポイソメラーゼ阻害剤またはそのプロドラッグ形態(例えば、カンプトテシンまたはカンプトテシン誘導体)を表し;
TおよびT’は各存在で独立して、同じまたは異なる標的化リガンドまたはその前駆体を表し;
fおよびyは各存在で独立して、1~10の範囲の整数を表し;かつ
gおよびzは各存在で独立して、0~10の範囲の整数を表す。
好ましくは、ポリマーは複数のDまたはD’部分を有する。いくつかの実施形態では、U単位の少なくとも50%が、少なくとも1つのDまたはD’を有する。いくつかの実施形態では、CDP-トポイソメラーゼコンジュゲート中の1つ以上のトポイソメラーゼ阻害剤部分を、別の治療剤、例えば別の抗癌剤または抗炎症剤に置き換え得る。
好適な実施形態では、L4およびL7はリンカー基を表す。
CDPは、ポリカチオン性、ポリアニオン性または非イオン性ポリマーを含み得る。ポリカチオン性またはポリアニオン性ポリマーは、それぞれ正または負電荷を有する少なくとも1つの部位を有する。特定のこのような実施形態では、リンカー部分および環状部分の少なくとも1つが上記荷電部分を含み、その部分のあらゆる場合が荷電部分を含む。いくつかの実施形態では、CDPは生体適合性である。
特定の実施形態では、CDPは、少なくとも1つの末端ヒドロキシル基を含む多糖およびその他の非タンパク質生体適合性ポリマー、ならびにそれらの組合せ、例えばポリビニルピロリドン、ポリ(オキシエチレン)グリコール(PEG)、ポリ無水コハク酸、ポリセバシン酸、PEG-リン酸、ポリグルタミン酸、ポリエチレンイミン、無水マレイン酸ジビニルエーテル(DIVMA)、セルロース、プルラン、イヌリン、ポリビニルアルコール(PVA)、N-(2-ヒドロキシプロピル)メタクリルアミド(HPMA)、デキストランおよびヒドロキシエチルデンプン(HES)などを含み、治療剤、標的化リガンドおよび/またはシクロデキストリン部分をグラフトするための任意のペンダント基を有し得る。特定の実施形態では、ポリマーは、例えばポリ(乳酸)、ポリ(グリコール酸)、ポリ(アルキル2-シアノアクリラート)、ポリ酸無水物およびポリオルトエステルなどのような生分解性、あるいは例えばポリラクチド-グリコリドコポリマーおよびその誘導体、非ペプチドポリアミノ酸、ポリイミノカルボン酸、ポリアルファ-アミノ酸、ポリアルキル-シアノ-アクリラート、ポリホスファゼンまたはアシルオキシメチルポリアスパラギン酸およびポリグルタミン酸コポリマーならびにそれらの混合物などのような生物分解性であり得る。
別の実施形態では、CDP-トポイソメラーゼ阻害剤コンジュゲートは、式IIにより表され:
式中、
Pはシクロデキストリン部分を含むポリマーのモノマー単位を表し;
Tは各存在で独立して、標的化リガンドまたはその前駆体を表し;
L6、L7、L8、L9およびL10は各存在で独立して、存在しないかまたはリンカー基を表してよく;
CDは各存在で独立して、シクロデキストリン部分またはその誘導体を表し;
Dは各存在で独立して、トポイソメラーゼ阻害剤またはそのプロドラッグ形態(例えば、カンプトテシンまたはカンプトテシン誘導体)を表し;
mは各存在で独立して、1~10(好ましくは、1~8、1~5またはさらに1~3)の範囲の整数を表し;
oは、1~約30,000(好ましくは、25,000未満、20,000未満、15,000未満、10,000未満、5,000未満、1,000未満、500未満、100未満、50未満、25未満、10未満またはさらに5未満)の範囲の整数を表し;かつ
p、nおよびqは各存在で独立して、0~10(好ましくは、0~8、0~5または0~約2)の範囲の整数を表し、
好ましくは、CDおよびDは、それぞれ化合物中の少なくとも1ヶ所(好ましくは、少なくとも5、10、25または50もしくは100ヶ所)に存在する。
Pはシクロデキストリン部分を含むポリマーのモノマー単位を表し;
Tは各存在で独立して、標的化リガンドまたはその前駆体を表し;
L6、L7、L8、L9およびL10は各存在で独立して、存在しないかまたはリンカー基を表してよく;
CDは各存在で独立して、シクロデキストリン部分またはその誘導体を表し;
Dは各存在で独立して、トポイソメラーゼ阻害剤またはそのプロドラッグ形態(例えば、カンプトテシンまたはカンプトテシン誘導体)を表し;
mは各存在で独立して、1~10(好ましくは、1~8、1~5またはさらに1~3)の範囲の整数を表し;
oは、1~約30,000(好ましくは、25,000未満、20,000未満、15,000未満、10,000未満、5,000未満、1,000未満、500未満、100未満、50未満、25未満、10未満またはさらに5未満)の範囲の整数を表し;かつ
p、nおよびqは各存在で独立して、0~10(好ましくは、0~8、0~5または0~約2)の範囲の整数を表し、
好ましくは、CDおよびDは、それぞれ化合物中の少なくとも1ヶ所(好ましくは、少なくとも5、10、25または50もしくは100ヶ所)に存在する。
いくつかの実施形態では、CDP-トポイソメラーゼ阻害剤コンジュゲート中の1つ以上のトポイソメラーゼ阻害剤部分を、別の治療剤、例えば別の抗癌剤または抗炎症剤に置き換え得る。抗癌剤の例は本明細書に記載に記載されている。抗炎症剤の例としては、ステロイド、例えばプレドニゾン、またはNSAIDが挙げられる。
別の実施形態では、CDP-トポイソメラーゼ阻害剤コンジュゲートは、以下のいずれかの式で表され:
式中、
CDは、シクロデキストリン部分またはその誘導体のような環状部分を表し;
L4、L5、L6およびL7は各存在で独立して、存在しないかまたはリンカー基を表してよく;
DおよびD’は各存在で独立して、同じまたは異なるトポイソメラーゼ阻害剤またはそのプロドラッグ(例えば、カンプトテシンまたはカンプトテシン誘導体)を表し;
TおよびT’は各存在で独立して、同じまたは異なる標的化リガンドまたはその前駆体を表し;
fおよびyは各存在で独立して、1~10(好ましくは、1~8、1~5または1~3)の範囲の整数を表し;
gおよびzは各存在で独立して、0~10(好ましくは、0~8、0~5、0~3または1~約2)の範囲の整数を表し;かつ
hは、1~30,000、例えば、4~100、4~50、4~25、4~15、6~100、6~50、6~25および6~15(好ましくは、25,000未満、20,000未満、15,000未満、10,000未満、5,000未満、1,000未満、500未満、100未満、50未満、25未満、20未満、15未満、10未満またはさらに5未満)の範囲の整数を表し、
gの少なくとも1つの場合(および好ましくは、少なくとも5、10または少なくとも20、50もしくは100の場合)は、1以上の整数を表す。
CDは、シクロデキストリン部分またはその誘導体のような環状部分を表し;
L4、L5、L6およびL7は各存在で独立して、存在しないかまたはリンカー基を表してよく;
DおよびD’は各存在で独立して、同じまたは異なるトポイソメラーゼ阻害剤またはそのプロドラッグ(例えば、カンプトテシンまたはカンプトテシン誘導体)を表し;
TおよびT’は各存在で独立して、同じまたは異なる標的化リガンドまたはその前駆体を表し;
fおよびyは各存在で独立して、1~10(好ましくは、1~8、1~5または1~3)の範囲の整数を表し;
gおよびzは各存在で独立して、0~10(好ましくは、0~8、0~5、0~3または1~約2)の範囲の整数を表し;かつ
hは、1~30,000、例えば、4~100、4~50、4~25、4~15、6~100、6~50、6~25および6~15(好ましくは、25,000未満、20,000未満、15,000未満、10,000未満、5,000未満、1,000未満、500未満、100未満、50未満、25未満、20未満、15未満、10未満またはさらに5未満)の範囲の整数を表し、
gの少なくとも1つの場合(および好ましくは、少なくとも5、10または少なくとも20、50もしくは100の場合)は、1以上の整数を表す。
好ましくは、ポリマーは複数のDまたはD’部分を有する。いくつかの実施形態では、少なくとも50%のポリマー反復単位が少なくとも1つのDまたはD’を有する。いくつかの実施形態では、CDP-トポイソメラーゼ阻害剤コンジュゲート中の1つ以上のトポイソメラーゼ阻害剤部分を、別の治療剤、例えば別の抗癌剤または抗炎症剤に置き換え得る。
好適な実施形態では、L4およびL7はリンカー基を表す。
特定の上記実施形態では、CDPは、環状構造を、例えば直鎖状または分岐状ポリマー、好ましくは直鎖状ポリマー内に結合させるリンカー部分と交互に存在する環状部分を含む。環状部分は、任意の適当な環状構造、例えばシクロデキストリン、クラウンエーテル(例えば、18-クラウン-6、15-クラウン-5、12-クラウン-4など)、環状オリゴペプチド(例えば、5~10個のアミノ酸残基を含む)、クリプタンドまたはクリプテート(例えば、クリプタンド[2.2.2]、クリプタンド-2,1,1およびそれらの複合体)、カリックスアレーンまたはキャビタンド、またはそれらの任意の組合せなどであり得る。好ましくは、環状構造は水溶性である(または水溶性になるように修飾されている)。特定の実施形態では、例えば、直線状ポリマーの調製のために、重合条件下で各環状構造のちょうど2つの部分がリンカー部分と反応し、得られたポリマーが、交互に連続する環状部分とリンカー部分、例えば少なくとも4つの各種の部分などを含む(または実質的にその部分からなる)ように環状構造を選択する。適当な二官能性の環状部分には、市販である、および/または公開されているプロトコールを用いた調製に従った数多くのものがある。特定の実施形態では、コンジュゲートは、少なくとも0.1g/mL、好ましくは少なくとも0.25g/mLの濃度まで水に溶解可能である。
したがって、特定の実施形態では、本発明は、トポイソメラーゼ阻害剤の薬物送達用に設計された、治療用シクロデキストリン含有ポリマー化合物の新規組成物に関する。特定の実施形態では、上記CDPは、薬物の安定性および/または溶解性を向上させる、ならびに/あるいは毒性を減少させる、ならびに/あるいはインビボで使用した場合にトポイソメラーゼ阻害剤の効果を向上させる。さらに、各種のリンカー基および/または標的化リガンから選択することにより、送達制御のためにCDPからのトポイソメラーゼ阻害剤の放出速度を弱めることができる。
特定の実施形態では、CDPは直鎖状シクロデキストリン含有ポリマーを含み、例えば、ポリマー主鎖がシクロデキストリン部分を含む。例えば、ポリマーは、ちょうど2つの位置のそれぞれに1つの反応部位を有するように修飾された少なくとも1つのシクロデキストリン誘導体を準備し、そのシクロデキストリン誘導体を、リンカーとシクロデキストリン誘導体の間に共有結合を形成するための反応部位と反応部分との反応を促進する重合条件下で、その反応部位と共有結合を形成することができるちょうど2つの反応部分を有するリンカーと反応させて、シクロデキストリン誘導体とリンカーが交互に存在する単位を含む直線状ポリマーを生成することにより作製される、水溶性の直線状シクロデキストリンポリマーであり得る。あるいは、ポリマーは、直鎖状ポリマー主鎖を有する、水溶性の直鎖状シクロデキストリンポリマーであってもよく、このポリマーは、直鎖状ポリマー主鎖内に複数の置換または非置換シクロデキストリン部分およびリンカー部分を含み、ポリマー鎖末端のシクロデキストリン部分以外の各シクロデキストリン部分が前記リンカー部分のうちの2つと結合し、各リンカー部分が2つのシクロデキストリン部分を共有結合させている。さらに別の実施形態では、ポリマーは、複数のリンカー部分により互いに共有結合している複数のシクロデキストリン部分を含む、水溶性の直鎖状シクロデキストリンポリマーであり、ポリマー鎖末端のシクロデキストリン部分以外の各シクロデキストリン部分が2つのリンカー部分と結合して、直鎖状シクロデキストリンポリマーを形成している。
いくつかの実施形態では、CDP-トポイソメラーゼ阻害剤コンジュゲートは、シクロデキストリン部分;シクロデキストリン部分を含まないコモノマー(コモノマー);および複数のトポイソメラーゼ阻害剤を含む、水溶性の直鎖状ポリマーコンジュゲートを含み;このCDP-トポイソメラーゼ阻害剤コンジュゲートは、少なくとも4つ、5つ、6つ、7つ、8つなどのシクロデキストリン部分および少なくとも4つ、5つ、6つ、7つ、8つなどのコモノマーを含む。いくつかの実施形態では、トポイソメラーゼ阻害剤は本明細書に記載のトポイソメラーゼ阻害剤である、例えば、トポイソメラーゼ阻害剤は本明細書に記載のカンプトテシンまたはカンプトテシン誘導体である。トポイソメラーゼ阻害剤は、ヒドロキシル基または必要に応じてアミノ基のような官能基を介してCDPと結合し得る。
いくつかの実施形態では、CDP-トポイソメラーゼ阻害剤コンジュゲート中の1つ以上のトポイソメラーゼ阻害剤部分を、別の治療剤、例えば別の抗癌剤または抗炎症剤に置き換え得る。
いくつかの実施形態では、最小限の4つのシクロデキストリン部分と少なくとも4つのコモノマーが、CDP-トポイソメラーゼ阻害剤コンジュゲート中に交互に存在する。いくつかの実施形態では、トポイソメラーゼ阻害剤が生物学的下で前記CDP-トポイソメラーゼ阻害剤コンジュゲートから切断されて、トポイソメラーゼ阻害剤が遊離する。いくつかの実施形態では、シクロデキストリン部分は、トポイソメラーゼ阻害剤が連結しているリンカーを含む。いくつかの実施形態では、トポイソメラーゼ阻害剤はリンカーを介して結合している。
いくつかの実施形態では、コモノマーは、シクロデキストリンモノマーの反応および連結が行われる少なくとも2つの官能基の残基を含む。いくつかの実施形態では、各コモノマーの官能基は、同じであっても異なっていても、また末端にあっても内側にあってもよく、アミノ、酸、イミダゾール、ヒドロキシル、チオ、ハロゲン化アシル、-HC=CH-、-C≡C-基またはそれらの誘導体を含む。いくつかの実施形態では、2つの官能基は同じであり、かつコモノマー前駆体の末端に位置する。いくつかの実施形態では、コモノマーは、トポイソメラーゼ阻害剤の反応ひいては連結が行われる少なくとも1つの官能基を有する1つ以上のペンダント基を含む。いくつかの実施形態では、各コモノマーペンダント基の官能基は、同じであっても異なっていても、また末端にあっても内側にあってもよく、アミノ、酸、イミダゾール、ヒドロキシル、チオール、ハロゲン化アシル、エチレン、エチン基またはそれらの誘導体を含む。いくつかの実施形態では、ペンダント基は、置換もしくは非置換の分岐状、環状もしくは直鎖状C1~C10アルキル、または鎖もしくは環内に1つ以上のヘテロ原子を任意に含むアリールアルキルである。いくつかの実施形態では、シクロデキストリン部分は、アルファ、ベータまたはガンマシクロデキストリン部分を含む。いくつかの実施形態では、トポイソメラーゼ阻害剤は、CDP-トポイソメラーゼ阻害剤コンジュゲートの少なくとも5重量%、10重量%、15重量%、20重量%、25重量%、30重量%または35重量%である。
いくつかの実施形態では、コモノマーは分子量3,400Daのポリエチレングリコールを含み、シクロデキストリン部分はベータ-シクロデキストリンを含み、CDP-トポイソメラーゼ阻害剤コンジュゲート上のトポイソメラーゼ阻害剤の理論的な最大付加量は13重量%であり、かつトポイソメラーゼ阻害剤はCDP-トポイソメラーゼ阻害剤コンジュゲートの6~10重量%である。いくつかの実施形態では、トポイソメラーゼ阻害剤は水に難溶性である。いくつかの実施形態では、トポイソメラーゼ阻害剤の溶解度は、生理的pHにおいて5mg/ml未満である。いくつかの実施形態では、トポイソメラーゼ阻害剤は、logPが0.4超、0.6超、0.8超、1超、2超、3超、4超または5超の疎水性化合物である。
いくつかの実施形態では、トポイソメラーゼ阻害剤は、第二の化合物を介してCDPと結合している。
いくつかの実施形態では、対象へのCDP-トポイソメラーゼ阻害剤コンジュゲートの投与により、少なくとも6時間にわたるトポイソメラーゼ阻害剤の放出がもたらされる。いくつかの実施形態では、対象へのCDP-トポイソメラーゼ阻害剤コンジュゲートの投与により、2時間、3時間、5時間、6時間、8時間、10時間、15時間、20時間、1日、2日、3日、4日、7日、10日、14日、17日、20日、24日、27日、最大1ヶ月にわたるトポイソメラーゼ阻害剤の放出がもたらされる。いくつかの実施形態では、対象へのCDP-トポイソメラーゼ阻害剤コンジュゲートの投与の際に、トポイソメラーゼ阻害剤放出の速度は、酵素的切断ではなく主として加水分解の速度に依存する。
いくつかの実施形態では、CDP-トポイソメラーゼ阻害剤コンジュゲートは10,000~500,000の分子量を有する。いくつかの実施形態では、シクロデキストリン部分は、CDP-トポイソメラーゼ阻害剤コンジュゲートの少なくとも約2重量%、5重量%、10重量%、20重量%、30重量%、50重量%または80重量%を占める。
いくつかの実施形態では、CDP-トポイソメラーゼ阻害剤コンジュゲートを、ちょうど2つの位置のそれぞれに1つの反応部位を有するように修飾されたシクロデキストリン部分の前駆体を提供し、そのシクロデキストリン部分の前駆体を、コモノマーとシクロデキストリン部分の間に共有結合を形成するための反応部位と反応部分との反応を促進する重合条件下で、その反応部位と共有結合を形成することができるちょうど2つの反応部分を有するコモノマー前駆体と反応させて、交互に存在するシクロデキストリン部分とコモノマーの単位を含むCDPを生成することを含む方法により作製する。いくつかの実施形態では、シクロデキストリン部分の前駆体が組成物中にあり、その組成物は、反応部位を有するように修飾された2つの位置以外の位置を有するシクロデキストリン部分(例えば、反応部位を有するように修飾された、1、3、4、5、6または7つの位置を有するシクロデキストリン部分)を実質的に有さない。
いくつかの実施形態では、CDP-トポイソメラーゼ阻害剤コンジュゲートのコモノマーは、アルキレン鎖、ポリ無水コハク酸、ポリ-L‐グルタミン酸、ポリ(エチレンイミン)、オリゴ糖およびアミノ酸鎖からなる群より選択される部分を含む。いくつかの実施形態では、CDP-トポイソメラーゼ阻害剤コンジュゲートコモノマーは、ポリエチレングリコール鎖を含む。いくつかの実施形態では、コモノマーは、ポリグリコール酸およびポリ乳酸鎖から選択される部分を含む。いくつかの実施形態では、コモノマーは、1つ以上のメチレン基が任意に基Yにより置き換わっている(ただし、どのYも互いに隣接していない)ヒドロカルビレン基を含み、各Yは各存在で独立して、置換または非置換アリール、ヘテロアリール、シクロアルキル、ヘテロシクロアルキル、または-O-、C(=X)(式中、XはNR1、OまたはSである)、-OC(O)-、-C(=O)O、-NR1-、-NR1CO-、-C(O)NR1-、-S(O)n-(式中、nは0、1または2である)、-OC(O)-NR1、-NR1-C(O)-NR1-、-NR11-C(NR1)-NR1-および-B(OR1)-から選択され;かつR1は各存在で独立して、Hまたは低級アルキルを表す。
いくつかの実施形態では、CDP-トポイソメラーゼ阻害剤コンジュゲートは、下式の複数のD部分が結合したポリマーであり:
式中、Lはそれぞれ独立してリンカーであり、かつDはそれぞれ独立してトポイソメラーゼ阻害剤、そのプロドラッグ誘導体、例えばカンプトテシンもしくはカンプトテシン誘導体であるか、または存在せず;かつコモノマーはそれぞれ独立して、本明細書に記載のコモノマーであり、かつnは少なくとも4、5、6、7、8、9、10、11、12、13、14、15、16、17、18、19または20であるが、ただし、ポリマーは少なくとも1つのトポイソメラーゼ阻害剤を、またいくつかの実施形態では、少なくとも2つのトポイソメラーゼ阻害剤部分を含む。いくつかの実施形態では、コモノマーの分子量は約2000~約5000Da(例えば、約3000~約4000Da(例えば、約3400Da))である。
いくつかの実施形態では、トポイソメラーゼ阻害剤は本明細書に記載のトポイソメラーゼ阻害剤である、例えば、トポイソメラーゼ阻害剤は本明細書に記載のカンプトテシンまたはカンプトテシン誘導体である。トポイソメラーゼ阻害剤は、ヒドロキシル基または必要に応じてアミノ基のような官能基を介してCDPと結合し得る。いくつかの実施形態では、CDP-トポイソメラーゼ阻害剤コンジュゲート中の1つ以上のトポイソメラーゼ阻害剤部分を、別の治療剤、例えば別の抗癌剤または抗炎症剤に置き換え得る。
いくつかの実施形態では、CDP-トポイソメラーゼ阻害剤コンジュゲートは、下式の複数のD部分が結合したポリマーであり:
式中、Lはそれぞれ独立してリンカーであり、かつDはそれぞれ独立してトポイソメラーゼ、そのプロドラッグ誘導体、例えばカンプトテシンもしくはカンプトテシン誘導体であるか、または存在せず、ただし、ポリマーは少なくとも1つのトポイソメラーゼ阻害剤を、またいくつかの実施形態では、少なくとも2つのトポイソメラーゼ阻害剤部分を含み;かつ基
は3.4kDa以下の分子量を有し、かつnは少なくとも4、5、6、7、8、9、10、11、12、13、14、15、16、17、18、19または20である。
式中、Lはそれぞれ独立してリンカーであり、かつDはそれぞれ独立してトポイソメラーゼ、そのプロドラッグ誘導体、例えばカンプトテシンもしくはカンプトテシン誘導体であるか、または存在せず、ただし、ポリマーは少なくとも1つのトポイソメラーゼ阻害剤を、またいくつかの実施形態では、少なくとも2つのトポイソメラーゼ阻害剤部分を含み;かつ基
は3.4kDa以下の分子量を有し、かつnは少なくとも4、5、6、7、8、9、10、11、12、13、14、15、16、17、18、19または20である。
いくつかの実施形態では、トポイソメラーゼ阻害剤は本明細書に記載のトポイソメラーゼ阻害剤である、例えば、トポイソメラーゼは本明細書に記載のカンプトテシンまたはカンプトテシン誘導体である。トポイソメラーゼ阻害剤は、ヒドロキシル基または必要に応じてアミノ基のような官能基を介してCDPと結合し得る。いくつかの実施形態では、CDP-トポイソメラーゼ阻害剤コンジュゲート中の1つ以上のトポイソメラーゼ阻害剤部分を、別の治療剤、例えば別の抗癌剤または抗炎症剤に置き換え得る。
いくつかの実施形態では、すべてのL部分がD部分と結合しているわけでない、すなわち、いくつかの実施形態では、少なくとも1つのDが存在しない。いくつかの実施形態では、CDP-トポイソメラーゼ阻害剤コンジュゲートへのD部分の付加量は、約1~約50%(例えば、約1~約25%、約5~約20%または約5~約15%)である。いくつかの実施形態では、Lはそれぞれ独立して、アミノ酸またはその誘導体を含む。いくつかの実施形態では、Lはそれぞれ独立して、複数のアミノ酸またはその誘導体を含む。いくつかの実施形態では、Lはそれぞれ独立して、ジペプチドまたはその誘導体を含む。一実施形態では、Lは、アラニン、アルギニン、ヒスチジン、リジン、アスパラギン酸、グルタミン酸、セリン、スレオニン、アスパルガニン(asparganine)、グルタミン、システイン、グリシン、プロリン、イソロイシン、ロイシン、メチオニン、フェニルアラニン、トリプトファン、チロシンおよびバリンのうちの1つ以上である。
いくつかの実施形態では、CDP-トポイソメラーゼ阻害剤コンジュゲートは、下式の複数のL-D部分が結合したポリマーであり:
式中、Lはそれぞれ独立してリンカーであるか、または存在せず、かつDはそれぞれ独立してトポイソメラーゼ、そのプロドラッグ誘導体、例えばカンプトテシンもしくはカンプトテシン誘導体であるか、または存在せず、基
は3.4kDa以下の分子量を有し、かつnは少なくとも4、5、6、7、8、9、10、11、12、13、14、15、16、17、18、19または20であるが、ただし、ポリマーは少なくとも1つのトポイソメラーゼ阻害剤を、またいくつかの実施形態では、少なくとも2つのトポイソメラーゼ阻害剤部分を含む。
式中、Lはそれぞれ独立してリンカーであるか、または存在せず、かつDはそれぞれ独立してトポイソメラーゼ、そのプロドラッグ誘導体、例えばカンプトテシンもしくはカンプトテシン誘導体であるか、または存在せず、基
は3.4kDa以下の分子量を有し、かつnは少なくとも4、5、6、7、8、9、10、11、12、13、14、15、16、17、18、19または20であるが、ただし、ポリマーは少なくとも1つのトポイソメラーゼ阻害剤を、またいくつかの実施形態では、少なくとも2つのトポイソメラーゼ阻害剤部分を含む。
いくつかの実施形態では、すべてのC(=O)部分がL-D部分と結合しているわけでない、すなわち、いくつかの実施形態では、少なくとも1つのLおよび/またはDが存在しない。いくつかの実施形態では、CDP-トポイソメラーゼ阻害剤コンジュゲートへのL、Dおよび/またはL-D部分の付加量は、約1~約50%(例えば、約1~約25%、約5~約20%または約5~約15%)である。いくつかの実施形態では、Lはそれぞれ独立して、アミノ酸またはその誘導体である。いくつかの実施形態では、Lはそれぞれ独立して、グリシンまたはその誘導体である。
いくつかの実施形態では、CDP-トポイソメラーゼ阻害剤コンジュゲート中の1つ以上のトポイソメラーゼ阻害剤部分を、別の治療剤、例えば別の抗癌剤または抗炎症剤に置き換え得る。
いくつかの実施形態では、すべてのC(=O)部分が
部分と結合しているわけでない、すなわち、いくつかの実施形態では、
は存在せず、ただし、ポリマーは、少なくとも1つのトポイソメラーゼ阻害剤を、またまたいくつかの実施形態では、少なくとも2つのトポイソメラーゼ阻害剤部分を含む。いくつかの実施形態では、CDP-トポイソメラーゼ阻害剤コンジュゲートへの
部分の付加量は、約1~約50%(例えば、約1~約25%、約5~約20%または約5~約15%)である。
部分と結合しているわけでない、すなわち、いくつかの実施形態では、
は存在せず、ただし、ポリマーは、少なくとも1つのトポイソメラーゼ阻害剤を、またまたいくつかの実施形態では、少なくとも2つのトポイソメラーゼ阻害剤部分を含む。いくつかの実施形態では、CDP-トポイソメラーゼ阻害剤コンジュゲートへの
部分の付加量は、約1~約50%(例えば、約1~約25%、約5~約20%または約5~約15%)である。
いくつかの実施形態では、CDP-トポイソメラーゼ阻害剤コンジュゲート中の1つ以上のトポイソメラーゼ阻害剤部分を、別の治療剤、例えば別の抗癌剤または抗炎症剤に置き換え得る。
いくつかの実施形態では、CDP-トポイソメラーゼ阻害剤コンジュゲートは、トポイソメラーゼ阻害剤および少なくとも1つの追加の治療剤を含む。例えば、トポイソメラーゼ阻害剤およびもう1つの異なる抗癌剤、免疫抑制剤、抗生物質または抗炎症剤を、任意のリンカーを介してポリマー上にグラフトし得る。異なる薬物に対して異なるリンカーを選択することにより、各薬物の放出を弱めて最大の用量および効果を達成し得る。
シクロデキストリン
特定の実施形態では、シクロデキストリン部分は、CDPの少なくとも約2重量%、5重量%または10重量%、最大で20重量%、30重量%、50重量%または80重量%を占める。特定の実施形態では、トポイソメラーゼ阻害剤または標的化リガンドは、CDPの少なくとも約重量1%、5重量%、10重量%または5重量%、20重量%、25重量%、30重量%または35重量%を占める。数平均分子量(Mn)も大きく変化し得るが、一般的には、約1,000~約500,000ダルトン、好ましくは約5000~約200,000ダルトン、さらにより好ましくは約10,000~約100,000の範囲にある。最も好ましくは、Mnは約12,000~65,000ダルトンの間で変化する。特定の他の実施形態では、Mnは約3000~150,000ダルトンの間で変化する。対象ポリマーの所与の試料内で、広範囲の分子量が存在し得る。例えば、試料内の分子は、2、5、10、20、50、100以上の因数だけ異なる分子量または平均分子量と2、5、10、20、50、100以上の因数だけ異なる分子量を有し得る。典型的なシクロデキストリン部分は、実質的に7~9個のシクロデキストリンまたは酸化シクロデキストリンのような糖部分からなる環状構造を含む。シクロデキストリン部分は、環状構造とポリマー主鎖の間で共有結合を形成し、好ましくは、例えばジカルボン酸誘導体(例えばグルタル酸誘導体、コハク酸誘導体など)を含めたアルキル鎖およびオリゴエチレングリコール鎖のようなヘテロアルキル鎖などの鎖内に1~20個の原子を有するリンカー部分を任意に含む。
特定の実施形態では、シクロデキストリン部分は、CDPの少なくとも約2重量%、5重量%または10重量%、最大で20重量%、30重量%、50重量%または80重量%を占める。特定の実施形態では、トポイソメラーゼ阻害剤または標的化リガンドは、CDPの少なくとも約重量1%、5重量%、10重量%または5重量%、20重量%、25重量%、30重量%または35重量%を占める。数平均分子量(Mn)も大きく変化し得るが、一般的には、約1,000~約500,000ダルトン、好ましくは約5000~約200,000ダルトン、さらにより好ましくは約10,000~約100,000の範囲にある。最も好ましくは、Mnは約12,000~65,000ダルトンの間で変化する。特定の他の実施形態では、Mnは約3000~150,000ダルトンの間で変化する。対象ポリマーの所与の試料内で、広範囲の分子量が存在し得る。例えば、試料内の分子は、2、5、10、20、50、100以上の因数だけ異なる分子量または平均分子量と2、5、10、20、50、100以上の因数だけ異なる分子量を有し得る。典型的なシクロデキストリン部分は、実質的に7~9個のシクロデキストリンまたは酸化シクロデキストリンのような糖部分からなる環状構造を含む。シクロデキストリン部分は、環状構造とポリマー主鎖の間で共有結合を形成し、好ましくは、例えばジカルボン酸誘導体(例えばグルタル酸誘導体、コハク酸誘導体など)を含めたアルキル鎖およびオリゴエチレングリコール鎖のようなヘテロアルキル鎖などの鎖内に1~20個の原子を有するリンカー部分を任意に含む。
シクロデキストリンは、α-(1,4)結合の天然のD-(+)-グルコピラノース単位を含む環状多糖である。最も一般的なシクロデキストリンは、それぞれ6、7または6個のグルコピラノース単位を含むアルファ(α)-シクロデキストリン、ベータ(β)-シクロデキストリンおよびガンマ(γ)-シクロデキストリンである。構造的には、シクロデキストリンの環状性により円環またはドーナツ様の形状が形成され、そこには内部の無極性または疎水性の空洞、シクロデキストリン円環の片側に位置する二級ヒドロキシル基およびその反対側に位置する一級ヒドロキシル基が存在している。したがって、例として(β)-シクロデキストリンを用いれば、シクロデキストリンは多くの場合、模式的に以下のように表される。
二級ヒドロキシル基が位置する側は、一級ヒドロキシルが位置する側よりも直径が大きい。本発明は、一級および/または二級ヒドロキシル基上でのシクロデキストリン部分との共有結合を意図する。シクロデキストリン内腔の疎水性により、各種の化合物、例えばアダマンタンのホスト-ゲスト包接錯体形成が可能となる(Comprehensive
Supramolecular Chemistry,Volume 3,J.L.Atwoodら,編,Pergamon Press(1996);T.Cserhati,Analytical Biochemistry,225:328-332(1995);Husainら,Applied Spectroscopy,46:652-658(1992);FR 2 665 169)。ポリマーを修飾するのためのさらなる方法は、Suh,J.およびNoh,Y.,Bioorg.Med.Chem.Lett.1998,8,1327-1330に開示されている。
Supramolecular Chemistry,Volume 3,J.L.Atwoodら,編,Pergamon Press(1996);T.Cserhati,Analytical Biochemistry,225:328-332(1995);Husainら,Applied Spectroscopy,46:652-658(1992);FR 2 665 169)。ポリマーを修飾するのためのさらなる方法は、Suh,J.およびNoh,Y.,Bioorg.Med.Chem.Lett.1998,8,1327-1330に開示されている。
特定の実施形態では、化合物はシクロデキストリン部分を含み、CDP-トポイソメラーゼ阻害剤コンジュゲートの少なくとも1つまたは複数のシクロデキストリン部分が酸化されている。特定の実施形態では、ポリマー鎖内でPのシクロデキストリン部分がリンカー部分と交互に存在する。
コモノマー
シクロデキストリン部分に加え、CDPはコモノマー、例えば、本明細書に記載のコモノマーを含み得る。いくつかの実施形態では、CDP-トポイソメラーゼ阻害剤コンジュゲートのコモノマーは、アルキレン鎖、ポリ無水コハク酸、ポリ-L‐グルタミン酸、ポリ(エチレンイミン)、オリゴ糖およびアミノ酸鎖からなる群より選択される部分を含む。いくつかの実施形態では、CDP-トポイソメラーゼ阻害剤コンジュゲートコモノマーは、ポリエチレングリコール鎖を含む。いくつかの実施形態では、コモノマーは、ポリグリコール酸およびポリ乳酸鎖から選択される部分を含む。いくつかの実施形態では、コモノマーは、1つ以上のメチレン基が基Yにより任意に置き換わっている(ただし、どのY基も互いに隣接していない)ヒドロカルビレン基を含み、各Yは各存在で独立して、置換または非置換アリール、ヘテロアリール、シクロアルキル、ヘテロシクロアルキルまたは-O-、C(=X)(式中、XはNR1、OまたはSである)、-OC(O)-、-C(=O)O、-NR1-、-NR1CO-、-C(O)NR1-、-S(O)n-(式中、nは0、1または2である)、-OC(O)-NR1、-NR1-C(O)-NR1-、-NR11-C(NR1)-NR1-および-B(OR1)-から選択され;かつR1は各存在で独立して、Hまたは低級アルキルを表す。
シクロデキストリン部分に加え、CDPはコモノマー、例えば、本明細書に記載のコモノマーを含み得る。いくつかの実施形態では、CDP-トポイソメラーゼ阻害剤コンジュゲートのコモノマーは、アルキレン鎖、ポリ無水コハク酸、ポリ-L‐グルタミン酸、ポリ(エチレンイミン)、オリゴ糖およびアミノ酸鎖からなる群より選択される部分を含む。いくつかの実施形態では、CDP-トポイソメラーゼ阻害剤コンジュゲートコモノマーは、ポリエチレングリコール鎖を含む。いくつかの実施形態では、コモノマーは、ポリグリコール酸およびポリ乳酸鎖から選択される部分を含む。いくつかの実施形態では、コモノマーは、1つ以上のメチレン基が基Yにより任意に置き換わっている(ただし、どのY基も互いに隣接していない)ヒドロカルビレン基を含み、各Yは各存在で独立して、置換または非置換アリール、ヘテロアリール、シクロアルキル、ヘテロシクロアルキルまたは-O-、C(=X)(式中、XはNR1、OまたはSである)、-OC(O)-、-C(=O)O、-NR1-、-NR1CO-、-C(O)NR1-、-S(O)n-(式中、nは0、1または2である)、-OC(O)-NR1、-NR1-C(O)-NR1-、-NR11-C(NR1)-NR1-および-B(OR1)-から選択され;かつR1は各存在で独立して、Hまたは低級アルキルを表す。
いくつかの実施形態では、コモノマーは、本明細書に記載のリンカーのようなリンカーであり得る、および/またはそれを含み得る。
典型的なCDP-トポイソメラーゼ阻害剤コンジュゲート、粒子および組成物
一実施形態では、CDP-トポイソメラーゼ阻害剤コンジュゲートは粒子、例えば、ナノ粒子を形成する。粒子は、CDP-トポイソメラーゼ阻害剤コンジュゲート、例えば、複数のCDP-トポイソメラーゼ阻害剤コンジュゲート、例えば、同じトポイソメラーゼ阻害剤または異なるトポイソメラーゼ阻害剤を有するCDP-トポイソメラーゼ阻害剤コンジュゲートを含み得る。本明細書に記載の組成物は、1つのCDP-トポイソメラーゼ阻害剤コンジュゲートまたは複数CDP-トポイソメラーゼ阻害剤コンジュゲートを含む。また組成物は、本明細書に記載の1つまたは複数の粒子も含み得る。
一実施形態では、CDP-トポイソメラーゼ阻害剤コンジュゲートは粒子、例えば、ナノ粒子を形成する。粒子は、CDP-トポイソメラーゼ阻害剤コンジュゲート、例えば、複数のCDP-トポイソメラーゼ阻害剤コンジュゲート、例えば、同じトポイソメラーゼ阻害剤または異なるトポイソメラーゼ阻害剤を有するCDP-トポイソメラーゼ阻害剤コンジュゲートを含み得る。本明細書に記載の組成物は、1つのCDP-トポイソメラーゼ阻害剤コンジュゲートまたは複数CDP-トポイソメラーゼ阻害剤コンジュゲートを含む。また組成物は、本明細書に記載の1つまたは複数の粒子も含み得る。
一実施形態では、包接錯体を含むCDP-トポイソメラーゼ阻害剤コンジュゲートは、粒子、例えば、ナノ粒子を形成する。ナノ粒子は、直径10~300nm、例えば、直径20~280nm、30~250nm、40~200nm、20~150nm、30~100nm、20~80nm、30~70nm、40~60nmまたは40~50nmの範囲の大きさである。一実施形態では、粒子は、直径50~60nm、20~60nm、30~60nm、35~55nm、35~50nmまたは35~45nmである。
一実施形態では、分子の表面電荷が中性またはわずかに負である。いくつかの実施形態では、粒子表面のゼータ電位が、約-80mV~約50mV、約-20mV~約20mV、約-20mV~約-10mVまたは約-10mV~約0である。
いくつかの実施形態では、CDP-トポイソメラーゼ阻害剤コンジュゲートは、下式Cを有するポリマーであり:
式中、LおよびL’は各存在で独立して、リンカー、結合または-OHであり、かつDは各存在で独立して、カンプトテシン(「CPT」)のようなトポイソメラーゼ阻害剤もしくはカンプトテシン誘導体であるか、または存在せず、
基
は3.4kDa以下の分子量を有し、かつnは少なくとも4であり、ただし、少なくとも1つのDはCPTまたはカンプトテシン誘導体である。いくつかの実施形態では、少なくとも2つのD部分がCPTおよび/またはカンプトテシン誘導体である。
基
は3.4kDa以下の分子量を有し、かつnは少なくとも4であり、ただし、少なくとも1つのDはCPTまたはカンプトテシン誘導体である。いくつかの実施形態では、少なくとも2つのD部分がCPTおよび/またはカンプトテシン誘導体である。
いくつかの実施形態では、各L’は各存在で独立して、システインである。いくつかの実施形態では、システインは、スルフィド結合を介してシクロデキストリンと結合している。いくつかの実施形態では、システインは、アミド結合を介してポリマーのPEG含有部分と結合している。
いくつかの実施形態では、複数のD部分が存在せず、かつポリマー上の同位置において、対応するLは-OHである。
いくつかの実施形態では、ポリマー主鎖中のシステイン残基のすべてのC(=O)部分が
部分と結合しているわけではない、すなわち、いくつかの実施形態では、
はポリマー主鎖の1つ以上の位置において存在せず、ただし、ポリマーは少なくとも1つの
を、またいくつかの実施形態では、少なくとも2つの
部分を含む。いくつかの実施形態では、DP-トポイソメラーゼ阻害剤コンジュゲートにおける
部分の付加量は約1~約50%(例えば、約1~約25%、約5~約20%または約5~約15%、例えば約6~約10%)である。いくつかの実施形態では、CDPにおける
の付加量は、総ポリマーの約6重量%~約10重量%である。
部分と結合しているわけではない、すなわち、いくつかの実施形態では、
はポリマー主鎖の1つ以上の位置において存在せず、ただし、ポリマーは少なくとも1つの
を、またいくつかの実施形態では、少なくとも2つの
部分を含む。いくつかの実施形態では、DP-トポイソメラーゼ阻害剤コンジュゲートにおける
部分の付加量は約1~約50%(例えば、約1~約25%、約5~約20%または約5~約15%、例えば約6~約10%)である。いくつかの実施形態では、CDPにおける
の付加量は、総ポリマーの約6重量%~約10重量%である。
いくつかの実施形態では、式CのCDP-トポイソメラーゼ阻害剤コンジュゲートは、下式を有するポリマーであり:
式中、Lは各存在で独立して、リンカー、結合または-OHであり、かつDは各存在で独立して、カンプトテシン(「CPT」)、カンプトテシン誘導体であるか、または存在せず、
基
は3.4kDa以下の分子量を有し、かつnは少なくとも4であり、ただし、少なくとも1つのDはCPTまたはカンプトテシン誘導体である。いくつかの実施形態では、少なくとも2つのD部分がCPTおよび/またはカンプトテシン誘導体である。
式中、Lは各存在で独立して、リンカー、結合または-OHであり、かつDは各存在で独立して、カンプトテシン(「CPT」)、カンプトテシン誘導体であるか、または存在せず、
基
は3.4kDa以下の分子量を有し、かつnは少なくとも4であり、ただし、少なくとも1つのDはCPTまたはカンプトテシン誘導体である。いくつかの実施形態では、少なくとも2つのD部分がCPTおよび/またはカンプトテシン誘導体である。
いくつかの実施形態では、式CのCDP-カンプトテシンコンジュゲートは、下式のポリマーであり:
式中、mおよびnは上で定義される通りであり、ポリマー主鎖のシステインのすべてのC(=O)部位が上に示されるようにCPT-Glyで占められているわけではなく、代わりに遊離酸となっている、すなわち、ポリマーの理論的付加量は100%未満である。
式中、mおよびnは上で定義される通りであり、ポリマー主鎖のシステインのすべてのC(=O)部位が上に示されるようにCPT-Glyで占められているわけではなく、代わりに遊離酸となっている、すなわち、ポリマーの理論的付加量は100%未満である。
いくつかの実施形態では、CDP-カンプトテシンコンジュゲートは、図4に記載され以下に示される通りであり、本明細書では「CRLX101」と呼ばれる。
上記構造において:
n=約77であるか、またはPEG部分の分子量は約3060~約3740(例えば、約3400)Daであり;
m=約10~約18(例えば、約14)であり;
ポリマー主鎖(すなわち、CPT-glyがなくなり、遊離-C(O)OHを有するシステイン部分となったポリマー)の分子量は、約48~約85kDaであり;
ポリマー主鎖の多分散度は約2.2未満であり;かつ
ポリマー主鎖へのCPTの付加量は、約6~約13重量%であり、13%は理論的最大値である、すなわち、いくつかの場合には、1つ以上のシステイン残基が遊離-C(O)OHを有する(すなわち、CPT-glyがない)。
いくつかの実施形態では、上記構造中のPEG構成要素の多分散度は約1.1未満である。
いくつかの実施形態では、本明細書に記載のCDP-カンプトテシンコンジュゲートは、末端アミンおよび/または末端カルボン酸を有する。
リンカー/テザー
本明細書に記載のCDPは、1つ以上のリンカーを含み得る。いくつかの実施形態では、リンカーは、トポイソメラーゼ阻害剤とCDPを連結し得る。いくつかの実施形態では、リンカーは、カンプトテシンまたはカンプトテシン誘導体とCDPを連結し得る。いくつかの実施形態では、例えば、トポイソメラーゼ阻害剤とCDPを連結するリンカーに関して述べる場合、リンカーはテザーとも呼ばれ得る。
本明細書に記載のCDPは、1つ以上のリンカーを含み得る。いくつかの実施形態では、リンカーは、トポイソメラーゼ阻害剤とCDPを連結し得る。いくつかの実施形態では、リンカーは、カンプトテシンまたはカンプトテシン誘導体とCDPを連結し得る。いくつかの実施形態では、例えば、トポイソメラーゼ阻害剤とCDPを連結するリンカーに関して述べる場合、リンカーはテザーとも呼ばれ得る。
特定の実施形態では、複数のリンカー部分がトポイソメラーゼ阻害剤またはそのプロドラッグと結合し、生物学的条件下で切断される。
生物学的条件下で切断されてトポイソメラーゼ阻害剤が遊離する結合を介してトポイソメラーゼ阻害剤と共有結合したCDPを含む、CDP-トポイソメラーゼ阻害剤コンジュゲートが本明細書に記載されている。特定の実施形態では、CDP-トポイソメラーゼ阻害剤コンジュゲートは、テザー、例えばリンカーを介してポリマー、好ましくは生体適合性ポリマーと共有結合したトポイソメラーゼ阻害剤を含み、テザーは、テザー内で、例えば、ポリマーとトポイソメラーゼ阻害剤の間で互いに共有結合した選択性決定部分および自己環化部分を含む。
いくつかの実施形態では、このようなトポイソメラーゼ阻害剤は、1つ以上のヘテロ原子を含む官能基、例えば、ヒドロキシ、チオール、カルボキシ、アミノおよびアミド基を介して、CDPと共有結合している。このような基は、本明細書に記載のようなリンカー基、例えば生分解性のリンカー基を介して、および/またはテザー、例えば互いに共有結合した選択性決定部分および自己環化部分を含むテザーなどを介して、対象ポリマーと共有結合し得る。
特定の実施形態では、CDP-トポイソメラーゼ阻害剤コンジュゲートは、自己環化部分を含むテザーを介してCDPと共有結合しているトポイソメラーゼ阻害剤を含む。いくつかの実施形態では、テザーは選択性決定部分をさらに含む。したがって、本発明の一態様は、互いに共有結合した選択性決定部分および自己環化部分を含むテザーを介して、ポリマー、好ましくは生体適合性ポリマーと共有結合しているトポイソメラーゼ阻害剤を含むポリマーコンジュゲートに関する。
いくつかの実施形態では、選択性決定部分は、自己環化部分とCDPの間で自己環化部分と結合している。
特定の実施形態では、選択性決定部分は、選択性決定部分と自己環化部分の間の結合の切断における選択性を促進する部分である。このような部分は、例えば、選択性決定部分と自己環化部分の間の酵素的切断を促進し得る。あるいは、このような部分は、酸性条件または塩基性条件下で、選択性決定部分と自己環化部分の間の切断を促進し得る。
特定の実施形態では、本発明は、上記の任意の組合せを意図する。当業者は、例えば、任意のリンカーと組み合わせた本発明の任意のトポイソメラーゼ阻害剤(例えば、自己環化部分、任意の選択性決定部分および/または任意のトポイソメラーゼ阻害剤)が本発明の範囲内にあることを理解するであろう。
特定の実施形態では、酸性条件下で結合が切断されるように選択性決定部分を選択する。
特定の実施形態では、塩基性条件下で結合が切断されるように選択性決定部分を選択する場合、選択性決定部分はアミノアルキルカルボニルオキシアルキル部分である。特定の実施形態では、選択性決定部分は構造
を有する。
結合が酵素的に切断されるように選択性決定部分を選択する特定の実施形態では、特定の酵素または酵素のクラスが結合を切断するようにそれを選択する。特定の好適な上記実施形態では、結合がカテプシン、好ましくはカテプシンBにより切断されるように選択性決定部分を選択し得る。
特定の実施形態では、選択性決定部分はペプチド、好ましくはジペプチド、トリペプチドまたはテトラペプチドを含む。そのような特定の上記実施形態では、ペプチドは、KFおよびFKから選択されるジペプチドである。特定の実施形態では、ペプチドは、GFA、GLA、AVA、GVA、GIA、GVL、GVFおよびAVFから選択されるトリペプチドである。特定の実施形態では、ペプチドは、GFYAおよびGFLGから選択されるテトラペプチド、好ましくはGFLGである。
特定の上記実施形態では、選択性決定部分と自己環化部分の間の結合がカテプシン、好ましくはカテプシンBにより切断されるように、GFLGのようなペプチドを選択する。
特定の実施形態では、選択性決定部分は、式Aにより表され:
式中、
Sはジスルフィド結合の一部である硫黄原子であり;
Jは任意に置換されているヒドロカルビルであり;かつ
QはOまたはNR13であり、R13は水素またはアルキルである。
Sはジスルフィド結合の一部である硫黄原子であり;
Jは任意に置換されているヒドロカルビルであり;かつ
QはOまたはNR13であり、R13は水素またはアルキルである。
特定の実施形態では、Jは、ポリエチレングリコール、ポリエチレン、ポリエステル、アルケニルまたはアルキルであり得る。特定の実施形態では、Jは、任意に基Yにより置き換わっている(ただし、どのY基も互いに隣接していない)1つ以上のメチレン基を含むヒドロカルビレン基を表し、各Yは各存在で独立して、置換または非置換アリール、ヘテロアリール、シクロアルキル、ヘテロシクロアルキル、または-O-、C(=X)(式中、XはNR30、OまたはSである)、-OC(O)-、-C(=O)O、-NR30-、-NR1CO-、-C(O)NR30-、-S(O)n-(式中、nは0、1または2である)、-OC(O)-NR30、-NR30-C(O)-NR30-、-NR30-C(NR30)-NR30-および-B(OR30)-から選択され;かつR30は各存在で独立して、Hまたは低級アルキルを表す。特定の実施形態では、Jは、置換または非置換低級アルキレン、例えばエチレンなどであり得る。例えば、選択性決定部分は
であり得る。
であり得る。
特定の実施形態では、選択性決定部分は、式Bにより表され:
式中、
Wは、直接結合であるか、または低級アルキル、NR14、S、Oから選択され;
Sは硫黄であり;
Jは、独立しておよび各存在で、ヒドロカルビルまたはポリエチレングリコールであり;
QはOまたはNR13であり、R13は水素またはアルキルであり;かつ
R14は水素およびアルキルから選択される。
Wは、直接結合であるか、または低級アルキル、NR14、S、Oから選択され;
Sは硫黄であり;
Jは、独立しておよび各存在で、ヒドロカルビルまたはポリエチレングリコールであり;
QはOまたはNR13であり、R13は水素またはアルキルであり;かつ
R14は水素およびアルキルから選択される。
特定の上記実施形態では、Jは、置換または非置換低級アルキル、例えばメチレンなどであり得る。特定の上記実施形態では、Jはアリール環であり得る。特定の実施形態では、アリール環はベンゾ環である。特定の実施形態では、WおよびSは、アリール環上で1,2の関係にある。特定の実施形態では、アリール環は、アルキル、アルケニル、アルコキシ、アラルキル、アリール、ヘテロアリール、ハロゲン、-CN、アジド、-NRxRx、-CO2ORx、-C(O)-NRxRx、-C(O)-Rx、-NRx-C(O)-Rx、-NRxSO2Rx、-SRx、-S(O)Rx、-SO2Rx、-SO2NRxRx、-(C(Rx)2)n-ORx、-(C(Rx)2)n-NRxRxおよび-(C(Rx)2)n-SO2Rxで任意に置換されており;Rxは各存在で独立して、Hまたは低級アルキルであり;かつnは各存在で独立して、0~2の整数である。
特定の実施形態では、アリール環は、アルキル、アルケニル、アルコキシ、アラルキル、アリール、ヘテロアリール、ハロゲン、-CN、アジド、-NRxRx、-CO2ORx、-C(O)-NRxRx、-C(O)-Rx、-NRx-C(O)-Rx、-NRxSO2Rx、-SRx、-S(O)Rx、-SO2Rx、-SO2NRxRx、-(C(Rx)2)n-ORx、-(C(Rx)2)n-NRxRxおよび-(C(Rx)2)n-SO2Rxで任意に置換されているアリール環であり;Rxは各存在で独立して、Hまたは低級アルキルであり;かつnは各存在で独立して、0~2の整数である。
特定の実施形態では、Jは独立しておよび各存在で、ポリエチレングリコール、ポリエチレン、ポリエステル、アルケニルまたはアルキルである。
特定の実施形態では、独立しておよび各存在で、1つ以上のメチレン基を含むヒドロカルビレンを含むリンカーであり、1つ以上のメチレン基は、基Yにより任意に置き換わっており(ただし、どのY基も互いに隣接していない)、各Yは各存在で独立して、置換または非置換アリール、ヘテロアリール、シクロアルキル、ヘテロシクロアルキル、または-O-、C(=X)(式中、XはNR30、OまたはSである)、-OC(O)-、-C(=O)O、-NR30-、-NR1CO-、-C(O)NR30-、-S(O)n-(式中、nは0、1または2である)、-OC(O)-NR30、-NR30-C(O)-NR30-、-NR30-C(NR30)-NR30-および-B(OR30)-から選択され;かつR30は各存在で独立して、Hまたは低級アルキルを表す。
特定の実施形態では、Jは独立しておよび各存在で、置換または非置換低級アルキレンである。特定の実施形態では、Jは独立しておよび各存在で、置換または非置換エチレンである。
特定の実施形態では、選択性決定部分は
から選択される。選択性決定部分は、ジスルフィド基のような特定の条件下で切断可能な結合を有する基を含み得る。特定の実施形態では、選択性決定部分は、例えば、ジスルフィド基と結合したアリールおよび/またはアルキル基(1つまたは複数)を含む、ジスルフィド含有部分を含む。特定の実施形態では、選択性決定部分は、以下の構造を有し:
式中、
Arは置換または非置換ベンゾ環であり;
Jは任意に置換されているヒドロカルビルであり;かつ
QはOまたはNR13であり、R13は水素またはアルキルである。
Arは置換または非置換ベンゾ環であり;
Jは任意に置換されているヒドロカルビルであり;かつ
QはOまたはNR13であり、R13は水素またはアルキルである。
特定の実施形態では、選択性決定部分と自己環化部分の間の結合切断の際に環化が生じて治療剤が遊離するように、自己環化部分を選択する。このような切断-環化-遊離カスケードは、別々の段階で逐次的に、または実質的に同時に生じ得る。したがって、特定の実施形態では、切断と自己環化の間に時間的および/または空間的な差があり得る。自己環化カスケードの速度はpHによって決まり得、例えば、塩基性pHにより切断後の自己環化の速度が増加し得る。自己環化は、インビボ導入後の半減期が、24時間、18時間、14時間、10時間、6時間、3時間、2時間、1時間、30分、10分、5分または1分であり得る。
特定の上記実施形態では、環化の際に5または6員環、好ましくは5員環が形成されるように、自己環化部分を選択し得る。特定の上記実施形態では、5または6員環は、酸素、窒素または硫黄から選択される少なくとも1つの、好ましくは少なくとも2つのヘテロ原子を含み、このヘテロ原子は同じであっても異なっていてもよい。特定の上記実施形態では、複素環は、少なくとも1つの、好ましくは少なくとも2つの窒素を含む。特定の上記実施形態では、自己環化部分は、環化してイミダゾリドンを形成する。
特定の実施形態では、自己環化部分は、以下の構造を有し:
式中、
UはNR1およびSから選択され;
Xは、O、NR5およびS、好ましくはOまたはSから選択され;
Vは、O、SおよびNR4、好ましくはOまたはNR4から選択され;
R2およびR3は独立して、水素、アルキルおよびアルコキシから選択されるか;あるいはR2およびR3は、それらが結合している炭素原子と一緒になって環を形成し;かつ
R1、R4およびR5は独立して、水素およびアルキルから選択される。
式中、
UはNR1およびSから選択され;
Xは、O、NR5およびS、好ましくはOまたはSから選択され;
Vは、O、SおよびNR4、好ましくはOまたはNR4から選択され;
R2およびR3は独立して、水素、アルキルおよびアルコキシから選択されるか;あるいはR2およびR3は、それらが結合している炭素原子と一緒になって環を形成し;かつ
R1、R4およびR5は独立して、水素およびアルキルから選択される。
特定の実施形態では、UがNR1である、および/またはVがNR4であり、かつR1およびR4は独立して、メチル、エチル、プロピルおよびイソプロピルから選択される。特定の実施形態では、R1およびR4は共にメチルである。特定の実施形態では、R2およびR3は共に水素である。特定の実施形態では、R2およびR3は独立して、アルキル、好ましくは低級アルキルである。特定の実施形態では、R2およびR3は共に-(CH2)n-であり、式中nは3または4であって、それによりシクロペンチルまたはシクロヘキシル環を形成する。特定の実施形態では、R2およびR3の性質が自己環化部分の環化速度に影響し得る。特定の上記実施形態では、R2およびR3が、それらが結合している炭素原子と一緒になって環を形成する場合の環化率は、R2およびR3が、独立して水素、アルキルおよびアルコキシから選択される場合の速度よりも高いことが予想される。特定の実施形態では、Uは自己環化部分と結合している。
特定の実施形態では、選択性決定部分は、カルボニル-ヘテロ原子結合、例えば、アミド、カルバマート、カルボナート、エステル、チオエステルおよび尿素結合を介して自己環化部分と結合し得る。
特定の実施形態では、トポイソメラーゼ阻害剤は、テザーを介してポリマーと共有結合し、テザーは、互いに共有結合している選択性決定部分と自己環化部分を含む。特定の実施形態では、選択性決定部分と自己環化部分の間の結合切断後に、自己環化部分の環化が生じて治療剤が遊離するように、自己環化部分を選択する。例として、ABCが選択性決定部分であり、DEFGHが自己環化部分であり、かつ酵素YがCとDの間を切断するようにABCを選択し得る。CとDの間の結合切断がある時点まで進行すると、DがH上に環化して、トポイソメラーゼ阻害剤Xまたはそのプロドラッグが遊離する:
。
特定の実施形態では、トポイソメラーゼ阻害剤Xは、切断が生じた後に残りの分子から自発的に解離する、特に限定されないが別の自己環化部分または脱離基リンカー、例えばCO2またはメトキシメチルなどを含めた追加の介在要素をさらに含み得る。
いくつかの実施形態では、リンカーは、アルキレン鎖、ポリエチレングリコール(PEG)鎖、ポリ無水コハク酸、ポリ-L‐グルタミン酸、ポリ(エチレンイミン)、オリゴ糖、アミノ酸(例えば、グリシンまたはシステイン)、アミノ酸鎖または任意のその他の適当な結合であり得る、および/またはそれを含み得る。特定の実施形態では、リンカー基自体が、例えばアルキレン鎖のように生理的条件下で安定であり得るか、または生理的条件下で、例えば酵素により(例えば、結合が、ペプチダーゼの基質であるペプチド配列を含む)もしくは加水分解により(例えば、結合が、エステルもしくはチオエステルのような加水分解可能な基を含む)切断され得る。リンカー基は、例えばPEG、ポリグリコール酸もしくはポリ乳酸鎖のように生物学的に不活性であるか、または部分から切断された場合に受容体と結合したり、酵素を不活性化したりするオリゴもしくはポリペプチドのように生物学的に活性であり得る。生物学的に適合性であるおよび/また生物分解性である各種のオリゴマーリンカー基が当該技術分野で公知であり、結合の選択が物質の最終的な特性、例えばその物質が、埋め込まれたときに耐久性があるか否か、埋め込み後に徐々に変形もしくは縮小するか否か、または徐々に分解するかもしくは体に吸収されるか否かなどに影響し得る。リンカー基は、炭素-炭素結合、エステル、エーテル、アミド、アミン、カルボナート、カルバマート、スルホンアミドなどを含めた任意の適当な結合または官能基により結合し得る。
特定の実施形態では、本発明のリンカー基(1つまたは複数)は、1つ以上のメチレン基が基Yにより任意に置き換わっている(ただし、どのY基も互いに隣接していない)ヒドロカルビレン基を表し、各Yは各存在で独立して、置換または非置換アリール、ヘテロアリール、シクロアルキル、ヘテロシクロアルキル、または-O-、C(=X)(式中、XはNR1、OまたはSである)、-OC(O)-、-C(=O)O、-NR1-、-NR1CO-、-C(O)NR1 、-S(O)n-(式中、nは0、1または2である)、-OC(O)NR1、-NR1-C(O)NR1-、-NR1-C(NR1)-NR1-および-B(OR1)-から選択され;かつR1は各存在で独立して、Hまたは低級アルキルを表す。
特定の実施形態では、リンカー基は、誘導体化または非誘導体化アミノ酸(例えば、グリシンまたはシステイン)を表す。特定の実施形態では、1つ以上の末端カルボキシル基を有するリンカー基がポリマーとコンジュゲートされ得る。特定の実施形態では、1つ以上の上記末端カルボキシル基が、(チオ)エステルまたはアミド結合を介して治療剤、標的化部分またはシクロデキストリン部分と共有結合することにより、キャップ化され得る。さらに他の実施形態では、1つ以上の末端ヒドロキシル、チオールまたはアミノ基を有するリンカー基がポリマー内に組み込まれ得る。好適な実施形態では、1つ以上の上記末端ヒドロキシル基が、(チオ)エステル、アミド、カルボナート、カルバマート、チオカルボナートまたはチオカルバマート結合を介して治療剤、標的化部分またはシクロデキストリン部分と共有結合することにより、キャップ化され得る。特定の実施形態では、上記(チオ)エステル、アミド、(チオ)カルボナートまたは(チオ)カルバマート結合は、生加水分解性であり得る、すなわち、生物学的条件下で加水分解され得る。
特定の実施形態では、リンカー基は、1つ以上のメチレン基が基Yにより任意に置き換わっている(ただし、どのY基も互いに隣接していない)ヒドロカルビレン基を表し、各Yは各存在で独立して、置換または非置換アリール、ヘテロアリール、シクロアルキル、ヘテロシクロアルキル、または-O-、C(=X)(式中、XはNR1、OまたはSである)、-OC(O)-、-C(=O)O、-NR1-、-NR1CO-、-C(O)NR1-、-S(O)n-(式中、nは0、1または2である)、-OC(O)NR1、-NR1-C(O)-NR1-、-NR1-C(NR1)-NR1-および-B(OR1)-から選択され;かつR1は各存在で独立して、Hまたは低級アルキルを表す。
特定の実施形態では、例えばトポイソメラーゼ阻害剤とCDPの間のリンカー基は、自己環化部分を含む。特定の実施形態では、例えばトポイソメラーゼ阻害剤とCDPの間のリンカー基は、選択性決定部分を含む。
本明細書に開示される特定の実施形態では、例えばトポイソメラーゼ阻害剤とCDPの間のリンカー基は、自己環化部分および選択性決定部分を含む。
本明細書に開示される特定の実施形態では、トポイソメラーゼ阻害剤または標的化リガンドは、生加水分解性結合(例えば、エステル、アミド、カルボナート、カルバマートまたはリン酸)を介してリンカー基と共有結合している。
本明細書に開示される特定の実施形態では、CDPは、ポリマー鎖内にリンカー部分と交互に存在するシクロデキストリン部分を含む。
特定の実施形態では、リンカー部分は、生物学的条件下で切断されるトポイソメラーゼ阻害剤またはそのプロドラッグと結合している。
特定の実施形態では、トポイソメラーゼ阻害剤またはそのプロドラッグとポリマーとを連結する少なくとも1つのリンカーは、式
により表される基を含み、
式中、
Pはリンであり;
Oは酸素であり;
Eは酸素またはNR40を表し;
Kはヒドロカルビルを表し;
XはOR42またはNR43R44から選択され;かつ
R40、R41、R42、R43およびR44は独立して、水素または任意に置換されているアルキルを表す。
により表される基を含み、
式中、
Pはリンであり;
Oは酸素であり;
Eは酸素またはNR40を表し;
Kはヒドロカルビルを表し;
XはOR42またはNR43R44から選択され;かつ
R40、R41、R42、R43およびR44は独立して、水素または任意に置換されているアルキルを表す。
特定の実施形態では、EはNR40であり、かつR40は水素である。
特定の実施形態では、Kは低級アルキレン(例えば、エチレン)である。
特定の実施形態では、XはOR42である。
特定の実施形態では、リンカー基は、アミノ酸もしくはペプチドまたはその誘導体(例えば、グリシンまたはシステイン)を含む。
本明細書に開示される特定の実施形態では、リンカーは、ヒドロキシル基を介してトポイソメラーゼ阻害剤と結合している。本明細書に開示される特定の実施形態では、リンカーは、アミノ基を介してトポイソメラーゼ阻害剤と結合している。
特定の実施形態では、トポイソメラーゼ阻害剤と結合しているリンカー基は、自己環化部分もしくは選択性決定部分、またはその両方を含む。特定の実施形態では、選択性決定部分は、選択性決定部分と自己環化部分の間の結合切断における選択性を促進する部分である。このような部分は、例えば、選択性決定部分と自己環化部分の間の酵素的切断を促進し得る。あるいは、このような部分は、酸性条件または塩基性条件下で、選択性決定部分と自己環化部分の間の切断を促進し得る。
特定の実施形態では、任意のリンカー基が、自己環化部分もしくは選択性決定部分、またはその両方を含む。特定の実施形態では、選択性決定部分は、自己環化部分とポリマーの間の自己環化部分と結合し得る。
特定の実施形態では、いずれかのリンカー基が独立して、アルキル鎖、ポリエチレングリコール(PEG)鎖、ポリ無水コハク酸、ポリ-L‐グルタミン酸、ポリ(エチレンイミン)、オリゴ糖、アミノ酸鎖または任意の他の適当な結合であるか、それらを含み得る。特定の実施形態では、リンカー基自体が、例えばアルキル鎖のように生理的条件下で安定であり得るか、または生理的条件下で、例えば酵素により(例えば、結合が、ペプチダーゼの基質であるペプチド配列を含む)もしくは加水分解により(例えば、結合が、エステルもしくはチオエステルのような加水分解可能な基を含む)切断され得る。リンカー基は、例えばPEG、ポリグリコール酸もしくはポリ乳酸鎖のように生物学的に不活性であるか、または部分から切断された場合に受容体と結合する、酵素を不活性化する、オリゴもしくはポリペプチドなどのように生物学的に活性であり得る。生物学的に適合性であるおよび/また生物分解性である各種のオリゴマーリンカー基が当該技術分野で公知であり、結合の選択が物質の最終的な特性、例えばその物質が、埋め込まれたときに耐久性があるか否か、埋め込み後に徐々に変形もしくは縮小するか否か、または徐々に分解するかもしくは体に吸収されるか否かなどに影響し得る。リンカー基は、炭素-炭素結合、エステル、エーテル、アミド、アミン、カルボナート、カルバマート、スルホンアミドなどを含めた任意の適当な結合または官能基により結合し得る。
特定の実施形態では、いずれかのリンカー基が独立して、1つ以上のメチレン基が基Yにより任意に置き換わっている(ただし、どのY基も互いに隣接していない)ヒドロカルビレン基であり得、各Yは各存在で独立して、置換または非置換アリール、ヘテロアリール、カルボシクリル、ヘテロシクリル、または-O-、C(=X)(式中、XはNR1、OまたはSである)、-OC(O)-、-C(=O)O-、-NR1-、-NR1CO-、-C(O)NR1-、-S(O)n-(式中、nは0、1または2である)、-OC(O)NR1-、-NR1-C(O)-NR1-、-NR1-C(NR1)-NR1-および-B(OR1)-から選択され;かつR1は各存在で独立して、Hまたは低級アルキルである。
特定の実施形態では、本発明は、複数のトポイソメラーゼ阻害剤が、上述のように生物学的条件下で切断されて治療剤が遊離する結合を介してポリマーと共有結合しているCDPを意図し、対象へのポリマー投与により、少なくとも2、3、5、6、8、10、15、20、24、36、48または72時間にわたる治療剤の放出がもたらされる。
いくつかの実施形態では、トポイソメラーゼ阻害剤とCDPのコンジュゲーションが、トポイソメラーゼ阻害剤の水溶解性を、したがってバイオアベイラビリティーを向上させる。したがって、本発明の一実施形態では、トポイソメラーゼ阻害剤は、0.4超、0.6超、0.8超、1、2超、3超、4超またはさらに5超のlogPを有する。
本発明のCDP-トポイソメラーゼ阻害剤コンジュゲートは、好ましくは、10,000~500,000amu;30,000~200,000amu;または70,000~150,000amuの範囲の分子量を有する。
特定の実施形態では、本発明は、治療剤とポリマーの間に各種のテザーおよび/または連結基を導入することにより、トポイソメラーゼ阻害剤の放出速度を弱めることを意図する。したがって、特定の実施形態では、本発明のCDP-トポイソメラーゼ阻害剤コンジュゲートは、トポイソメラーゼ阻害剤の制御送達のための組成物である。
CDP-トポイソメラーゼ阻害剤コンジュゲートの特徴
いくつかの実施形態では、本明細書に記載のCDPおよび/またはCDP-トポイソメラーゼ阻害剤コンジュゲート、粒子または組成物は、多分散度が約3未満またはさらに約2未満である。
いくつかの実施形態では、本明細書に記載のCDPおよび/またはCDP-トポイソメラーゼ阻害剤コンジュゲート、粒子または組成物は、多分散度が約3未満またはさらに約2未満である。
本発明の一実施形態では、1つ以上のトポイソメラーゼ阻害剤をCDPと共有結合させることによる、特定のトポイソメラーゼ阻害剤の送達向上が提供される。このようなコンジュゲーションは、トポイソメラーゼ阻害剤の水溶解性を、したがってバイオアベイラビリティーを向上させ得る。
本明細書に記載のCDP-トポイソメラーゼ阻害剤コンジュゲート、粒子および組成物は、好ましくは10,000~500,000amu;30,000~200,000amu;または70,000~150,000amuの範囲の分子量を有する。本明細書に開示される特定の実施形態では、化合物は、1,000~500,000amuの間、または5,000~200,000amuの間、または10,000~100,000amuの間の数平均(Mn)分子量を有する。分子量を決定するための方法の1つは、ゲル浸透クロマトグラフィー(「GPC」)、例えば、混床式カラム、CH2Cl2溶媒、光散乱検出器およびオフラインdn/dcによるものである。その他の方法は当該技術分野で公知である。
本明細書に開示される特定の実施形態では、CDP-トポイソメラーゼ阻害剤コンジュゲート、粒子または組成物は生分解性または生物侵食性である。
本明細書に開示される特定の実施形態では、トポイソメラーゼ阻害剤、例えば、カンプトテシン、カンプトテシン誘導体またはそのプロドラッグは、ポリマーの少なくとも3重量%(例えば、少なくとも約5重量%)を占める。特定の実施形態では、トポイソメラーゼ阻害剤、例えば、カンプトテシン、カンプトテシン誘導体またはそのプロドラッグは、化合物の少なくとも20重量%を占める。特定の実施形態では、トポイソメラーゼ阻害剤、例えば、カンプトテシン、カンプトテシン誘導体またはそのプロドラッグは、化合物の少なくとも5重量%、10重量%、15重量%または少なくとも20重量%を占める。
本発明のCDP-トポイソメラーゼ阻害剤コンジュゲート、粒子および組成物は、トポイソメラーゼ阻害剤の溶解性および/または安定性を向上させる、薬剤-薬剤相互作用を減少させる、血漿タンパク質を含めた血液要素との相互作用を減少させる、免疫原性を低減または排除する、トポイソメラーゼ阻害剤を代謝から保護する、薬物放出動態を調節する、循環時間を向上させる、トポイソメラーゼ阻害剤の半減期(例えば、血中、または腫瘍のような選択された組織中での)を向上させる、毒性を弱める、効果を向上させる、異なる種、民族および/または人種の対象間でのトポイソメラーゼ阻害剤の代謝を正規化する、ならびに/あるいは特定の細胞または組織への標的化送達をもたらすのに有用であり得る。
他の実施形態では、CDP-トポイソメラーゼ阻害剤コンジュゲート、粒子または組成物は、可動性または流動性の物質であり得る。使用するCDP自体が流動性である場合、本発明の組成物は、粘稠性である場合でも、流動性にするための生体適合性溶媒を含む必要はないが、それでも微量または残存量の生体適合性溶媒が存在し得る。
可動性または流動性組成物中の生物学的に活性な薬剤の非晶性でモノリシック型の分布または微細分散をより効率的にもたらすのために、生分解性ポリマーまたは生物学的に活性な薬剤を少量の無毒な溶媒に溶解させることが可能であるが、好適な一実施形態では、流動性組成物を形成するために溶媒を必要としないことが本発明の利点である。また、溶媒の使用を避けることが好ましいが、それは、溶媒を含有するポリマー組成物の全部または一部が体内に入ると、溶媒がポリマーから散逸または拡散し、体がそれを処理および排出しなければならず、疾患(および/または疾患に対する他の治療)が既に悪影響を及ぼしているところへ、体のクリアランス能に余分な負担をかけることになるからである。
しかし、CDP-トポイソメラーゼ阻害剤コンジュゲート、粒子または組成物の混合を容易にするため、または流動性を維持するために溶媒を使用する場合、溶媒は無毒または生体適合性であるべきであり、また比較的少量を使用するべきである。毒性のある溶媒は、一部でも生体内に入るどの物質にも使用するべきではない。こうした溶媒は、投与部位に実質的な組織刺激または壊死を引き起こしてもならない。
使用する場合に適当な生体適合性溶媒の例としては、N-メチル-2-ピロリドン、2-ピロリドン、エタノール、プロピレングリコール、アセトン、酢酸メチル、酢酸エチル、メチルエチルケトン、ジメチルホルムアミド、ジメチルスルホキシド、テトラヒドロフラン、カプロラクタム、オレイン酸または1-ドデシルアザシクロヘプタノンが挙げられる。好適な溶媒としては、溶媒和能および生体適合性という理由で、N-メチルピロリドン、2-ピロリドン、ジメチルスルホキシドおよびアセトンが挙げられる。
特定の実施形態では、CDP-トポイソメラーゼ阻害剤コンジュゲート、粒子および組成物は、製造および加工を容易にするための1つ以上の一般的な有機溶媒に溶解する。一般的な有機溶媒としては、例えばクロロホルム、ジクロロメタン、ジクロロエタン、2-ブタノン、酢酸ブチル、酪酸エチル、アセトン、酢酸エチル、ジメチルアセトアミド、N-メチルピロリドン、ジメチルホルムアミドおよびジメチルスルホキシドなどの溶媒が挙げられる。
特定の実施形態では、本明細書に記載のCDP-トポイソメラーゼ阻害剤コンジュゲート、粒子および組成物は、体液に接触すると徐々に分解される。インビボでの生分解性ポリマーの寿命は、特にその分子量、結晶化度、生体内安定性および架橋度によって決まる。一般に、分子量が大きいほど、結晶化度が高いほど、および生体内安定性が高いほど生分解は遅くなる。
目的組成物をトポイソメラーゼ阻害剤またはその他の物質を用いて製剤化する場合、等張食塩水溶液からの放出と比較して持続的または長期間の放出のためのトポイソメラーゼ阻害剤またはその他の物質が、一般に得られる。このような放出プロファイルは、有効量(例えば、約0.0001mg/(kg・時)~約10mg/(kg・時)、例えば、0.001mg/(kg・時)、0.01mg/(kg・時)、0.1mg/(kg・時)、1.0mg/(kg・時))のトポイソメラーゼ阻害剤または他の任意のポリマー関連物質の長時間の送達(例えば、1~約2,000時間、または約2~約800時間)をもたらし得る。
各種の因子がCDP-トポイソメラーゼ阻害剤コンジュゲート、粒子および組成物の所望の加水分解速度、得られる固体マトリックスの所望の柔らかさと可動性、生物活性物質放出の速度と程度に影響し得る。このような因子のいくつかには、各種のサブユニットの選択/アイデンティティ、モノマーサブユニットの鏡像異性体またはジアステレオ異性体純度、ポリマー中にあるサブユニットの均一性およびポリマーの長さが含まれる。例えば、本発明は、例えば、マトリックスの生分解速度を制御するための様々な結合を有するヘテロポリマー、および/またはポリマー中への他のモノマー要素の含有を意図する。
さらに説明すると、ポリマーの主鎖または側鎖の疎水性を調節することにより、任意のこのようなポリマーで使用するための十分な生分解性をそのまま維持しながら、広範囲の分解速度をもたらすことができる。ポリマーの各種の官能基を変化させることにより、このような結果がもたらされ得る。例えば、疎水性主鎖と親水性結合の組み合わせにより、切断が促進される一方で透水が抑えられるため、不均一な分解がもたらされる。
本発明のCDP-トポイソメラーゼ阻害剤コンジュゲート、粒子または組成物中に付加されているトポイソメラーゼ阻害剤のような治療剤またはその他の物質の放出速度を決定するために使用し得る、当該分野で一般的に受け入れられているプロトコールの1つとして、当該技術分野で公知のアッセイである、37℃、0.1MのPBS溶液(pH7.4)中での任意の上記マトリックスの分解が挙げられる。本発明のために、本明細書では「PBSプロトコール」という用語をこのようなプロトコールを表すために使用する。
ある場合には、本発明の異なるCDP-トポイソメラーゼ阻害剤コンジュゲート、粒子および組成物を上記プロトコールに供することにより、その放出速度を比較し得る。ある場合には、ポリマー系を同じ方法で処理して、異なる系の直接的かつ比較的正確な比較を行うことができる。例えば、本発明では、CDP-トポイソメラーゼ阻害剤コンジュゲート、粒子および組成物を製剤化するためのいくつかの異なる方法が教示されている。こうした比較は、任意の1つのCDP-トポイソメラーゼ阻害剤コンジュゲート、粒子または組成物が、組み込まれている物質を別のポリマー系よりも約2倍以下~約1000倍以上速い速度で放出することを示し得る。
あるいは、約3、5、7、10、25、50、100、250、500倍または750倍の速度差が、比較することにより明らかとなり得る。さらに大きな速度差が本発明および放出速度プロトコールにより意図される。
特定の実施形態では、特定の方法で製剤化した場合、本発明のCDP-トポイソメラーゼ阻害剤コンジュゲート、粒子および組成物の放出速度は、一相性または二相性で存在し得る。
ポリマーマトリックス内に組み込まれた任意の物質の放出は、マイクロスフィアとしてもたらされることが多く、ある場合には最初の放出速度の増加が特徴的であり、任意の物質の約5%~約50%以上あるいは約10、15、20、25、30%または40%が放出されが、その後の放出速度は遅い。
また任意の組み込まれた物質の放出速度は、マトリックス1mg当たりで1日当たりに放出されるのその物質量により特徴付け得る。例えば、特定の実施形態では、放出速度は、1日当たり、ポリマー系1mg当たりで任意の組み込まれた物質約1ng/(日・mg)以下~約500ng/(日・mg)以上で変化し得る。あるいは、放出速度は、約0.05、0.5、5、10、25、50、75、100、125、150、175、200、250、300、350、400、450ng/(日・mg)または500ng/(日・mg)であり得る。さらに他の実施形態では、任意の組み込まれた物質の放出速度は、10,000ng/(日・mg)以上であり得る。ある場合には、組み込まれて上記放出速度プロトコールにより特徴付けられる物質としては、治療剤、増量剤およびその他の物質を挙げ得る。
別の態様では、本発明のCDP-トポイソメラーゼ阻害剤コンジュゲート、粒子または組成物からの任意の組み込まれた物質の放出速度は、マトリックス中の上記物質の半減期として表され得る。
放出速度をインビトロで決定するためのプロトコールを含む実施形態に加えて、インビボプロトコールも本発明により意図され、ある場合には、ポリマー系の放出速度がこれによりインビボで決定され得る。本発明のシステムのポリマーからの任意の物質の放出を決定するのに有用なその他のアッセイは、当該技術分野で公知ある。
CDP-トポイソメラーゼ阻害剤コンジュゲート、粒子および組成物の物理的構造
CDP-トポイソメラーゼ阻害剤コンジュゲート、粒子および組成物は、各種の形状で形成され得る。例えば、特定の実施形態では、CDP-トポイソメラーゼ阻害剤コンジュゲートは、微粒子またはナノ粒子の形態で提供され得る。マイクロスフィアは通常、薬物を組み込む生分解性ポリマーマトリックスを含む。マイクロスフィアは、当業者に公知の多種多様な技術で形成することができる。マイクロスフィア形成技術の例としては、(a)乳化による相分離およびそれに続く有機溶媒留去(水中油型エマルション、油中水型エマルションおよび水-油-水型エマルションのような複合エマルション法を含む);(b)コアセルベーション-相分離法;(c)溶融分散法;(d)界面沈着法;(e)インサイチュ重合;(f)噴霧乾燥法および噴霧凝固法;(g)気中懸濁被覆法;ならびに(h)パンおよびスプレー被覆法が挙げられるが、これらに限定されない。上記方法ならびにマイクロスフィアの特性および特徴は、例えば、その開示が参照によりその内容全体が本明細書に組み込まれる、米国特許第4,438,253号;米国特許第4,652,441号;米国特許第5,100,669号;米国特許第5,330,768号;米国特許第4,526,938号;米国特許第5,889,110号;米国特許第6,034,175号;および欧州特許第0258780号に開示されている。
CDP-トポイソメラーゼ阻害剤コンジュゲート、粒子および組成物は、各種の形状で形成され得る。例えば、特定の実施形態では、CDP-トポイソメラーゼ阻害剤コンジュゲートは、微粒子またはナノ粒子の形態で提供され得る。マイクロスフィアは通常、薬物を組み込む生分解性ポリマーマトリックスを含む。マイクロスフィアは、当業者に公知の多種多様な技術で形成することができる。マイクロスフィア形成技術の例としては、(a)乳化による相分離およびそれに続く有機溶媒留去(水中油型エマルション、油中水型エマルションおよび水-油-水型エマルションのような複合エマルション法を含む);(b)コアセルベーション-相分離法;(c)溶融分散法;(d)界面沈着法;(e)インサイチュ重合;(f)噴霧乾燥法および噴霧凝固法;(g)気中懸濁被覆法;ならびに(h)パンおよびスプレー被覆法が挙げられるが、これらに限定されない。上記方法ならびにマイクロスフィアの特性および特徴は、例えば、その開示が参照によりその内容全体が本明細書に組み込まれる、米国特許第4,438,253号;米国特許第4,652,441号;米国特許第5,100,669号;米国特許第5,330,768号;米国特許第4,526,938号;米国特許第5,889,110号;米国特許第6,034,175号;および欧州特許第0258780号に開示されている。
マイクロスフィアを調製するために、送達媒体の所望の用途に応じていくつかの方法を使用し得る。適当な方法としては、噴霧乾燥法、凍結乾燥法、空気乾燥法、真空乾燥法、流動層乾燥法、粉砕法、共沈殿法および臨界流体抽出法が挙げられるが、これらに限定されない。噴霧乾燥法、凍結乾燥法、空気乾燥法、真空乾燥法、流動層乾燥法および臨界流体抽出法の場合、最初に成分(安定化ポリオール、生物活性物質、緩衝剤など)を水性条件下で溶解または懸濁させる。粉砕法の場合、当該技術分野で公知の任意の方法により、成分を乾燥形態で混合し粉砕する。共沈殿法の場合、後述するように、成分を有機条件下で混合し処理する。噴霧乾燥法では、安定化ポリオールに生物活性物質を付加するために使用し得る。成分を水性条件下で混合し、乾燥室内で精密ノズルを用いて乾燥させて、極めて均一な飛沫を得る。適当な噴霧乾燥機器としては、製造者説明書に従って用いるBuchi、NIRO、APVおよびLab-plant噴霧乾燥器が挙げられるが、これらに限定されない。
微粒子およびナノ粒子の形状は、走査電子顕微鏡法により判定し得る。血流中を循環させるために、球状のナノ粒子を特定の実施形態で使用する。必要に応じて、粒子を既知の技術を用いて特定用途のためにより有用な他の形状に製造し得る。
トポイソメラーゼ阻害剤の細胞内送達に加えて、CDP-トポイソメラーゼ阻害剤コンジュゲートの粒子、例えば微粒子またはナノ粒子などにエンドサイトーシスを受けさせることにより細胞へ侵入させることも可能である。このようなエンドサイトーシス処理の回数は、おそらく任意の粒子のサイズによって決まると思われる。
一実施形態では、分子の表面電荷が中性またはわずかに負である。いくつかの実施形態では、粒子表面のゼータ電位が約-80mV~約50mVである。
CDP、その作製法およびCDPとトポイソメラーゼ阻害剤のコンジュゲート法
概略的には、本明細書に記載のCDP-トポイソメラーゼ阻害剤コンジュゲート、粒子および組成物は、2つの方法のうちの1つで調製し得る:トポイソメラーゼ阻害剤、標的化リガンドおよび/またはシクロデキストリン部分を有するモノマー重合化し得る、あるいはポリマー主鎖をトポイソメラーゼ阻害剤、標的化リガンドおよび/またはシクロデキストリン部分で誘導体化し得る。CDPおよびCDP-トポイソメラーゼ阻害剤コンジュゲート、粒子および組成物の典型的な作製法は、例えば、その内容全体が参照により本明細書に組み込まれる、米国特許第7,270,808号に記載されている。
概略的には、本明細書に記載のCDP-トポイソメラーゼ阻害剤コンジュゲート、粒子および組成物は、2つの方法のうちの1つで調製し得る:トポイソメラーゼ阻害剤、標的化リガンドおよび/またはシクロデキストリン部分を有するモノマー重合化し得る、あるいはポリマー主鎖をトポイソメラーゼ阻害剤、標的化リガンドおよび/またはシクロデキストリン部分で誘導体化し得る。CDPおよびCDP-トポイソメラーゼ阻害剤コンジュゲート、粒子および組成物の典型的な作製法は、例えば、その内容全体が参照により本明細書に組み込まれる、米国特許第7,270,808号に記載されている。
本明細書に記載のCDPは、本明細書に記載のものを含めた各種の方法を用いて作製し得る。いくつかの実施形態では、シクロデキストリン部分の前駆体を提供し;シクロデキストリン部分を含まないコモノマー前駆体(コモノマー前駆体)を提供し;前記シクロデキストリン部分の前駆体およびコモノマー前駆体を共重合して、少なくとも4つのシクロデキストリン部分と少なくとも4つのコモノマーとを含むCDPを作製することにより、CDPを作製し得る。
いくつかの実施形態では、少なくとも4つのシクロデキストリン部分と少なくとも4つのコモノマーは、水溶性直鎖状ポリマー内に交互に存在する。いくつかの実施形態では、この方法は、ちょうど2つの位置のそれぞれに1つの反応部位を有するように修飾されたシクロデキストリン部分の前駆体を準備し、そのシクロデキストリン部分の前駆体を、コモノマーとシクロデキストリン部分の間に共有結合を形成するための反応部位と反応部分との反応を促進する重合条件下で、その反応部位と共有結合を形成することができるちょうど2つの反応部分を有するコモノマー前駆体と反応させて、交互に存在するシクロデキストリン部分とコモノマーの単位を含むCDPを生成することを含む。
いくつかの実施形態では、シクロデキストリンモノマーは、トポイソメラーゼ阻害剤がさらに連結し得るリンカーを含む。
いくつかの実施形態では、コモノマー前駆体は、シクロデキストリン部分の反応ひいては連結が行われる少なくとも2つの官能基を含む化合物である。いくつかの実施形態では、各コモノマー前駆体の官能基は、同じであっても異なっていても、また末端にあっても内側にあってもよく、アミノ、酸、イミダゾール、ヒドロキシル、チオ、ハロゲン化アシル、-HC=CH-、-C≡C-基またはそれらの誘導体を含む。いくつかの実施形態では、2つの官能基は同じであり、かつコモノマー前駆体の末端に位置する。いくつかの実施形態では、コモノマーは、治療剤の反応ひいては連結が行われ得る少なくとも1つの官能基を有する1つ以上のペンダント基を含む。いくつかの実施形態では、官能基は、同じであっても異なっていても、また各コモノマーペンダント基の末端にあっても内側にあってもよく、アミノ、酸、イミダゾール、ヒドロキシル、チオール、ハロゲン化アシル、エチレン、エチン基またはそれらの誘導体を含む。いくつかの実施形態では、ペンダント基は、置換もしくは非置換の分岐状、環状もしくは直鎖状C1~C10アルキル、または鎖もしくは環内に1つ以上のヘテロ原子を任意に含むアリールアルキルである。
いくつかの実施形態では、シクロデキストリン部分は、アルファ、ベータまたはガンマシクロデキストリン部分を含む。
いくつかの実施形態では、CDPは、コンジュゲートされたときに、CDPの少なくとも3重量%、5重量%、10重量%、11重量%、12重量%、13重量%、14重量%、15重量%、20重量%、25重量%、30重量%または35重量%までがトポイソメラーゼ阻害剤であるように、十分なトポイソメラーゼ阻害剤を結合させることに適している。
いくつかの実施形態では、CDPは10,000~500,000amuの分子量を有する。いくつかの実施形態では、シクロデキストリン部分は、CDPの少なくとも約2重量%、5重量%、10重量%、20重量%、30重量%、50重量%または80重量%を占める。
いくつかの実施形態では、下式のCDP:
(式中、Rは
の形態である)を:
下式の化合物:
を、溶媒中、非求核性基の存在下で下式の化合物:
(式中、基
は、3.4kDa以下の分子量を有し、かつnは少なくとも4である)
と反応させる段階を含むスキームにより作製し得る。
(式中、Rは
の形態である)を:
下式の化合物:
を、溶媒中、非求核性基の存在下で下式の化合物:
(式中、基
は、3.4kDa以下の分子量を有し、かつnは少なくとも4である)
と反応させる段階を含むスキームにより作製し得る。
いくつかの実施形態では、溶媒は極性非プロトン溶媒である。いくつかの実施形態では、溶媒はDMSOである。
いくつかの実施形態では、この方法は、透析および凍結乾燥の各段階も含む。
いくつかの実施形態では、下記のCDPを以下のスキームにより作製し得る:
(式中、Rはの形態である)
下記の化合物と:
(式中、基
は3.4kDaの分子量を有する);
DMSO中、非求核有機塩基の存在下で;かつ
以下のポリマー:
を透析し凍結乾燥する。
(式中、Rはの形態である)
下記の化合物と:
は3.4kDaの分子量を有する);
DMSO中、非求核有機塩基の存在下で;かつ
以下のポリマー:
を透析し凍結乾燥する。
本発明は、CD-ビスシステインモノマーおよびジ-NHSエステル、例えばPEG-DiSPAまたはPEG-BTCなどを用いて、スキームIに示すように合成されるCDPおよびCDP-コンジュゲートをさらに意図する。
スキームI
上記スキームXIIIは、上記のように1つ以上の位置にgly-CPTが存在しない実施形態を含む。これは例えば、CPTとポリマーをカップリングさせて100%未満の収率が得られる場合、および/または反応で等量未満のCPTが使用される場合に得ることができる。したがって、ポリマーのカンプトテシンのようなトポイソメラーゼ阻害剤の付加重量は異なり得る。したがって、スキームXIIIは各ポリマーサブユニットの各システイン残基におけるCPTを表しているが、CDP-CPTコンジュゲートは、CDPの任意の所与のポリマーサブユニットと結合した2分子未満のCPTを有し得る。例えば、一実施形態では、CDP-CPTコンジュゲートは複数のポリマーサブユニットを含み、ポリマーサブユニットはそれぞれ独立して、ポリマーサブユニットの各システイン残基と結合した2個、1個または0個のCPTを含み得る。さらに、粒子および組成物は、CDP-CPTコンジュゲートの各ポリマーサブユニットの各システイン残基と結合した2個、1個または0個のCPTを有するCDP-CPTコンジュゲートを含み得、コンジュゲートは、粒子または組成物中のコンジュゲートの各ポリマーサブユニットのglyと結合したCPTの数が異なり得るCDP-CPTコンジュゲートの混合物を含む。
上記スキームXIIIは、上記のように1つ以上の位置にgly-CPTが存在しない実施形態を含む。これは例えば、CPTとポリマーをカップリングさせて100%未満の収率が得られる場合、および/または反応で等量未満のCPTが使用される場合に得ることができる。したがって、ポリマーのカンプトテシンのようなトポイソメラーゼ阻害剤の付加重量は異なり得る。したがって、スキームXIIIは各ポリマーサブユニットの各システイン残基におけるCPTを表しているが、CDP-CPTコンジュゲートは、CDPの任意の所与のポリマーサブユニットと結合した2分子未満のCPTを有し得る。例えば、一実施形態では、CDP-CPTコンジュゲートは複数のポリマーサブユニットを含み、ポリマーサブユニットはそれぞれ独立して、ポリマーサブユニットの各システイン残基と結合した2個、1個または0個のCPTを含み得る。さらに、粒子および組成物は、CDP-CPTコンジュゲートの各ポリマーサブユニットの各システイン残基と結合した2個、1個または0個のCPTを有するCDP-CPTコンジュゲートを含み得、コンジュゲートは、粒子または組成物中のコンジュゲートの各ポリマーサブユニットのglyと結合したCPTの数が異なり得るCDP-CPTコンジュゲートの混合物を含む。
いくつかの実施形態では、シクロデキストリン部分とシクロデキストリン部分を含まないコモノマー(コモノマー)とを含み、中にシクロデキストリン部分とコモノマーが交互に存在し、かつ少なくとも4つのシクロデキストリン部分と少なくとも4つのコモノマーとを含むCDPを提供し;トポイソメラーゼ阻害剤をCDPと結合させることにより、CDP-トポイソメラーゼ阻害剤コンジュゲートを作製し得る。
いくつかの実施形態では、CDP-トポイソメラーゼ阻害剤コンジュゲート中の1つ以上のトポイソメラーゼ阻害剤部分を、別の治療剤、例えば別の抗癌剤または抗炎症剤に置き換え得る。
いくつかの実施形態では、トポイソメラーゼ阻害剤は、リンカーを介して水溶性直鎖状ポリマーと結合している。いくつかの実施形態では、トポイソメラーゼ阻害剤は、生物学的条件下で切断されてトポイソメラーゼ阻害剤が遊離する結合を介して、水溶性直鎖状ポリマーと結合している。いくつかの実施形態では、トポイソメラーゼ阻害剤は、シクロデキストリン部分またはコモノマーにおいて水溶性直鎖状ポリマーと結合している。いくつかの実施形態では、トポイソメラーゼ阻害剤は、シクロデキストリン部分またはコモノマーに対する任意のリンカーを介して水溶性直鎖状ポリマーと結合している。
いくつかの実施形態では、シクロデキストリン部分は、治療剤が連結しているリンカーを含む。
いくつかの実施形態では、シクロデキストリン部分の前駆体を提供し、コモノマー前駆体を提供し、前記シクロデキストリン部分の前駆体とコモノマー前駆体を共重合させて、シクロデキストリン部分とコモノマーとを含むCDPを作製することを含む工程により作製する。いくつかの実施形態では、CDPをカンプトテシンのようなトポイソメラーゼ阻害剤とコンジュゲートしてCDP-トポイソメラーゼ阻害剤コンジュゲートを得る。
いくつかの実施形態では、この方法は、ちょうど2つの位置のそれぞれに1つの反応部位を有するように修飾されたシクロデキストリン部分の前駆体を準備し、そのシクロデキストリン部分の前駆体を、コモノマーとシクロデキストリン部分の間に共有結合を形成するための反応部位と反応部分との反応を促進する重合条件下で、その反応部位と共有結合を形成することができるちょうど2つの反応部分を有するコモノマー前駆体と反応させて、交互に存在するシクロデキストリン部分とコモノマーの単位を含むCDPを生成することを含む。
いくつかの実施形態では、トポイソメラーゼ阻害剤は、リンカーを介してをCDPと結合している。いくつかの実施形態では、リンカーは生物学的条件下で切断させる。
いくつかの実施形態では、トポイソメラーゼ阻害剤は、CDP-トポイソメラーゼ阻害剤コンジュゲートの少なくとも5重量%、10重量%、11重量%、12重量%、13重量%、14重量%、15重量%、20重量%、25重量%、30重量%または35重量%を占める。
いくつかの実施形態では、コモノマーは分子量3,400Daのポリエチレングリコールを含み、シクロデキストリン部分はベータ-シクロデキストリンを含み、CDP-カンプトテシンコンジュゲート上のカンプトテシンの理論的な最大付加量は13%であり、かつカンプトテシンはCDP-カンプトテシンコンジュゲートの6~10重量%である。
いくつかの実施形態では、コモノマー前駆体は、シクロデキストリン部分の反応ひいては連結が行われる少なくとも2つの官能基を含む化合物である。いくつかの実施形態では、各コモノマーの官能基は、同じであっても異なっていても、また末端にあっても内側にあってもよく、アミノ、酸、イミダゾール、ヒドロキシル、チオ、ハロゲン化アシル、-HC=CH-、-C≡C-基またはそれらの誘導体を含む。いくつかの実施形態では、2つの官能基は同じであり、かつコモノマー前駆体の末端に位置する。いくつかの実施形態では、コモノマーは、治療剤の反応ひいては連結が行われる少なくとも1つの官能基を有する1つ以上のペンダント基を含む。いくつかの実施形態では、各コモノマーペンダント基の官能基は、同じであっても異なっていても、また末端にあっても内側にあってもよく、アミノ、酸、イミダゾール、ヒドロキシル、チオール、ハロゲン化アシル、エチレン、エチン基またはそれらの誘導体を含む。いくつかの実施形態では、ペンダント基は、置換もしくは非置換の分岐状、環状もしくは直鎖状C1~C10アルキル、または鎖もしくは環内に1つ以上のヘテロ原子を任意に含むアリールアルキルである。
いくつかの実施形態では、シクロデキストリン部分は、アルファ、ベータまたはガンマシクロデキストリン部分を含む。
いくつかの実施形態では、トポイソメラーゼ阻害剤は水に難溶性である。
いくつかの実施形態では、対象へのCDP-トポイソメラーゼ阻害剤コンジュゲート、粒子または組成物の投与により、少なくとも6時間にわたるトポイソメラーゼ阻害剤の放出がもたらされる。いくつかの実施形態では、対象へのCDP-トポイソメラーゼ阻害剤コンジュゲート、粒子または組成物の投与により、6時間~1ヶ月にわたるトポイソメラーゼ阻害剤の放出がもたらされる。いくつかの実施形態では、対象へのCDP-トポイソメラーゼ阻害剤コンジュゲート、粒子または組成物の投与の際に、トポイソメラーゼ阻害剤放出の速度は、酵素的切断ではなく主として加水分解の速度に依存する。
いくつかの実施形態では、CDP-トポイソメラーゼ阻害剤コンジュゲート、粒子または組成物は、10,000~500,000amuの分子量を有する。
いくつかの実施形態では、シクロデキストリン部分は、ポリマーの少なくとも約2重量%、5重量%、10重量%、20重量%、30重量%、50重量%または80重量%を占める。
いくつかの実施形態では、下式のCDP-ポリマーコンジュゲート:
を以下のように作製することができる:
下記のポリマー
を提供して、複数のL-D部分を有するポリマーとカップリングさせ(式中、Lはリンカーであるか、存在せず、かつDは、カンプトテシンまたはカンプトテシン誘導体のようなトポイソメラーゼ阻害剤である)、
を作製し(式中、基
は3.4kDa以下の分子量を有し、かつnは少なくとも4である)、最終産物において、Lはリンカー、結合またはOHであってよく、かつDはトポイソメラーゼ阻害剤(例えば、カンプトテシンまたはカンプトテシン誘導体)であるか、または存在しなくてよい)
を以下のように作製することができる:
下記のポリマー
を提供して、複数のL-D部分を有するポリマーとカップリングさせ(式中、Lはリンカーであるか、存在せず、かつDは、カンプトテシンまたはカンプトテシン誘導体のようなトポイソメラーゼ阻害剤である)、
を作製し(式中、基
は3.4kDa以下の分子量を有し、かつnは少なくとも4である)、最終産物において、Lはリンカー、結合またはOHであってよく、かつDはトポイソメラーゼ阻害剤(例えば、カンプトテシンまたはカンプトテシン誘導体)であるか、または存在しなくてよい)
いくつかの実施形態では、CDP-トポイソメラーゼ阻害剤コンジュゲート中の1つ以上のトポイソメラーゼ阻害剤部分を、別の治療剤、例えば別の抗癌剤または抗炎症剤に置き換え得る。
上記反応スキームは、L-Dが上記1つ以上の位置に存在しない実施形態を含む。これは例えば、トポイソメラーゼ阻害剤-リンカーとポリマーをカップリングさせて100%未満の収率が得られる場合、および/または反応で等量未満のトポイソメラーゼ阻害剤-リンカーが使用される場合に得ることができる。したがって、ポリマーのトポイソメラーゼ阻害剤-リンカーの付加重量は、異なる可能性があり、例えば、トポイソメラーゼ阻害剤の付加量は、少なくとも約3重量%、例えば、少なくとも約5重量%、少なくとも約8重量%、少なくとも約10重量%、少なくとも約11重量%、少なくとも約12重量%、少なくとも約13重量%、少なくとも約14重量%、少なくとも約15重量%または少なくとも約20重量%であり得る。
いくつかの実施形態では、L-Dの少なくとも一部のL部分が存在しない。いくつかの実施形態では、各Lは独立して、アミノ酸またはその誘導体(例えば、グリシン)である。
いくつかの実施形態では、ポリマーと複数のL-D部分とのカップリングにより複数のアミド結合が生じる。
ある場合には、CDPは、異なるサブユニットおよび/またはその他のモノマー単位がポリマー鎖全体にランダムに分布しているランダムコポリマーである。したがって、X、YおよびZがポリマーサブユニットである式Xm-Yn-Zoが生じる場合、これらのサブユニットはポリマー主鎖全体にランダムに散在し得る。一部では、「ランダム」という用語は、2種類以上のモノマー単位を有するポリマー内のモノマー単位の特定の分布または組込みが、合成プロトコールにより直接、指定または制御されるのではなく、ポリマー系本来の特性、例えばサブユニットの反応性、量、および合成反応またはその他の製造、加工または処置方法といった他の特性などから生じる状態を指すことが意図される。
医薬組成物
別の態様では、本発明は組成物、例えば、CDP-トポイソメラーゼ阻害剤コンジュゲートまたは粒子と薬学的に許容される担体または補助剤とを含む医薬組成物を提供する。
別の態様では、本発明は組成物、例えば、CDP-トポイソメラーゼ阻害剤コンジュゲートまたは粒子と薬学的に許容される担体または補助剤とを含む医薬組成物を提供する。
いくつかの実施形態では、医薬組成物は、本明細書に記載の化合物、例えばCDP-トポイソメラーゼ阻害剤コンジュゲート、粒子または組成物の薬学的に許容される塩を含み得る。本明細書に記載の化合物の薬学的に許容される塩としては、薬学的に許容される無機および有機の酸および塩に由来するものが挙げられる。適当な酸性塩の例としては、酢酸塩、アジピン酸塩、安息香酸塩、ベンゼンスルホン酸塩、酪酸塩、クエン酸塩、ジグルコン酸塩、ドデシル硫酸塩、ギ酸、フマル酸塩、グリコール酸塩、ヘミ硫酸塩、ヘプタン酸塩、ヘキサン酸塩、塩酸塩、臭化水素酸塩、ヨウ化水素酸塩、乳酸塩、マレイン酸塩、マロン酸塩、メタンスルホン酸塩、2-ナフタレンスルホン酸塩、ニコチン酸塩、硝酸塩、パルモアート(palmoate)、リン酸塩、ピクリン酸塩、ピバル酸塩、プロピオン酸塩、サリチル酸塩、コハク酸塩、硫酸塩、酒石酸塩、トシル酸塩およびウンデカン酸塩が挙げられる。適当な塩基に由来する塩としては、アルカリ金属(例えば、ナトリウム)、アルカリ土類金属(例えば、マグネシウム)、アンモニウムおよびN-(アルキル)4
+塩が挙げられる。また本発明は、本明細書に記載の化合物の任意の塩基性窒素含有基の四級化も考慮する。水溶性または油溶性または分散性の生成物もそのような四級化により入手し得る。
ラウリル硫酸ナトリウムおよびステアリン酸マグネシウムのような湿潤剤、乳化剤および滑沢剤、ならびに着色剤、放出剤、コーティング剤、甘味料、香味料および賦香剤、保存剤および抗酸化剤も組成物中に存在し得る。
薬学的に許容される抗酸化剤の例としては:(1)水溶性抗酸化剤、例えば、アスコルビン酸、塩酸システイン、硫酸水素ナトリウム、二亜硫酸ナトリウム、亜硫酸ナトリウムなど;(2)油溶性抗酸化剤、例えば、パルミチン酸アスコルビン、ブチル化ヒドロキシアニソール(BHA)、ブチル化ヒドロキシトルエン(BHT)、レシチン、プロピルガイラート(propyl gailate)、アルファ-トコフェロールなど;および(3)金属キレート剤、例えば、クエン酸、エチレンジアミン四酢酸(EDTA)、ソルビトール、酒石酸、リン酸などが挙げられる。
組成物は、CDP-トポイソメラーゼ阻害剤コンジュゲート、粒子または組成物を懸濁させるために使用する液体を含んでもよく、この液体は、CDP-トポイソメラーゼ阻害剤コンジュゲート、粒子または組成物と適合性があり、また医薬組成物中での使用にも適する、薬学的に許容される無毒性液体のような任意の液体溶液であり得る。特に限定されないが、水、水性ショ糖シロップ、コーンシロップ、ソルビトール、ポリエチレングリコール、プロピレングリコールおよびそれらの混合物からなる群より選択される懸濁液を含めた、適当な懸濁液。
また本明細書に記載の組成物は、別の成分、例えば抗酸化剤、抗菌剤、緩衝剤、増量剤、キレート剤、不活性ガス、浸透圧剤および/または粘性剤なども含み得る。
一実施形態では、CDP-トポイソメラーゼ阻害剤コンジュゲート、粒子または組成物を凍結乾燥形態で提供し、対象への投与前に復元する。凍結乾燥CDP-トポイソメラーゼ阻害剤コンジュゲート、粒子または組成物は、塩類溶液または生理食塩水のような希釈用溶液、例えば、pHが6~9の間である塩化ナトリウム溶液、乳酸リンゲル注射液または市販の希釈剤、例えば血漿-LYTE A Injection pH7.4(登録商標)(Baxter,Deerfield,IL)などで復元し得る。
一実施形態では、凍結乾燥製剤は、凍結乾燥中の結晶形成および融合工程による損傷からCDP-トポイソメラーゼ阻害剤コンジュゲート、粒子または組成物を保護することにより生理的および化学的安定性を維持するために、リオプロテクタントまたは安定化剤を含む。リオプロテクタントまたは安定化剤は、ポリエチレングリコール(PEG)、PEG脂質コンジュゲート(例えば、PEG-セラミドまたはD-アルファ-トコフェリルポリエチレングリコール1000コハク酸エステル)、ポリ(ビニルアルコール)(PVA)、ポリ(ビニルピロリドン)(PVP)、ポリオキシエチレンエステル、ポロキソマー(poloxomer)、Tween、レシチン、糖類、オリゴ糖、多糖およびポリオール(例えば、トレハロース、マンニトール、ソルビトール、ラクトース、スクロース、グルコースおよびデキストラン)、塩およびクラウンエーテルのうちの1つ以上であり得る。一実施形態では、リオプロテクタントはマンニトールである。
いくつかの実施形態では、凍結乾燥CDP-トポイソメラーゼ阻害剤コンジュゲート、粒子または組成物を、脱水アルコール、USPおよび非イオン性界面活性剤、例えばGAF Corporation,Mount Olive,N.J.から入手可能な商標名Cremophor ELであるポリオキシエチレン化ヒマシ油界面活性剤などの等体積混合物で復元する。いくつかの実施形態では、凍結乾燥CDP-トポイソメラーゼ阻害剤コンジュゲート、粒子または組成物を注射用水で復元する。凍結乾燥生成物および復元用の溶媒は、適切に光保護されたバイアル、例えば、琥珀色またはその他の色のバイアル中に分けて包装し得る。復元された溶液中の界面活性剤の量を最小化するために、CDP-トポイソメラーゼ阻害剤コンジュゲート、粒子または組成物の濃度が約2mg/mL~約4mg/mLである溶液を形成するのに十分な量だけの溶媒を提供し得る。薬物が溶解すれば、得られた溶液を注射前に適当な非経口希釈剤でさらに希釈する。このような希釈剤は当業者に公知である。上記希釈剤は一般に、臨床施設で入手可能である。しかし、対象CDP-トポイソメラーゼ阻害剤コンジュゲート、粒子または組成物を、投与のための最終濃度を調製するのに十分な非経口希釈剤を含有する第三のバイアルと共に包装することが、本発明の範囲内にある。典型的な希釈剤は乳酸リンゲル注射液である。
復元したCDP-トポイソメラーゼ阻害剤コンジュゲート、粒子または組成物の最終的な希釈は、同様の効用を有する他の調製物、例えば、5%ブドウ糖注射液、乳酸リンゲルおよびブドウ糖注射液(D5W)、滅菌注射用水などで行い得る。しかし、乳酸リンゲル注射液はpHの範囲がpH6.0~7.5と狭いため、最も典型的なものである。乳酸リンゲル注射液は100mL当たり、塩化ナトリウムUSPを0.6g、乳酸ナトリウムを0.31g、塩化カリウムUSPを0.03gおよび塩化カルシウム2H2O USPを0.02g含有する。モル浸透圧濃度は、等張に極めて近い275mOsmol/Lである。
組成物は単位投与剤形で提供することが好都合であり、薬学分野で公知の任意の方法により調製し得る。剤形は例えば、バッグ、例えば注入または腹腔内投与用のバッグであり得る。単一剤形を作製するために担体物質と組み合わせ得る有効成分の量は、治療される宿主、特定の投与様式によって異なる。単一剤形を作製するために担体物質と組み合わせ得る有効成分の量は一般に、治療効果をもたらす化合物の量である。この量は一般に、100パーセントのうち約1パーセント~約99パーセント、好ましくは約5パーセント~約70パーセント、最も好ましくは約10~約30パーセントの有効成分である。
投与経路
本明細書に記載の医薬組成物は、経口的に、非経口的に(例えば、静脈内、皮下、皮内、筋肉内、関節内、動脈内、腹腔内、滑液嚢内、胸骨内、髄腔内、病巣内または頭蓋内注射により)、局所的に、粘膜的に(例えば、直腸内または経膣的に)、経鼻的に、頬側的に、眼科的に、吸入スプレーにより(例えば、噴霧、噴射または乾燥粉末装置により送達する)または埋め込みリザーバにより投与し得る。通常、組成物は注射可能なまたは注入可能な溶液の形態である。好適な投与様式は、例えば、静脈内、皮下、腹腔内、筋肉内である。
本明細書に記載の医薬組成物は、経口的に、非経口的に(例えば、静脈内、皮下、皮内、筋肉内、関節内、動脈内、腹腔内、滑液嚢内、胸骨内、髄腔内、病巣内または頭蓋内注射により)、局所的に、粘膜的に(例えば、直腸内または経膣的に)、経鼻的に、頬側的に、眼科的に、吸入スプレーにより(例えば、噴霧、噴射または乾燥粉末装置により送達する)または埋め込みリザーバにより投与し得る。通常、組成物は注射可能なまたは注入可能な溶液の形態である。好適な投与様式は、例えば、静脈内、皮下、腹腔内、筋肉内である。
非経口投与に適した医薬組成物は、抗酸化剤、緩衝剤、静菌剤、製剤を目的受容者の血液と等張にする溶質、または懸濁化もしくは増粘剤を含有し得る、1つ以上の薬学的に許容される滅菌された等張の水性もしくは非水性の液剤、分散液剤、懸濁剤もしくは乳剤、または使用直前に滅菌注射用液剤もしくは分散液剤に再構成し得る滅菌粉末剤と組み合わせた、1つ以上のCDP-トポイソメラーゼ阻害剤コンジュゲート(1つまたは複数)、粒子(1つまたは複数)または組成物(1つまたは複数)を含む。
医薬組成物に使用し得る適当な水性および非水性担体の例としては、水、エタノール、ポリオール(例えばグリセロール、プロピレングリコール、ポリエチレングリコールなど)およびそれらの混合物、オリーブ油のような植物油、ならびにオレイン酸エチルのような注射用有機エステルが挙げられる。例えば、レシチンのようなコーティング物質の使用により、分散液剤の場合は、必要とされる粒子サイズの維持により、および界面活性剤の使用により、適切な流動性を維持し得る。
また上記組成物は、補助剤、例えば保存剤、湿潤剤、乳化剤および分散剤なども含有し得る。各種の抗菌剤および抗真菌剤、例えば、パラベン、クロロブタノール、ソルビン酸フェノールなどを含むことにより、微生物の活動防止を確実に行い得る。組成物中に糖、塩化ナトリウムなどのような等張剤を含むことが望ましい場合もある。さらに、モノステアリン酸アルミニウムおよびゼラチンのような吸収を遅延させる薬剤を含むことにより、注射用医薬形態の持続的吸収をもたらし得る。
いくつかの場合には、薬物の作用を延長するために、皮下または筋肉内注射からの薬剤の吸収を遅らせることが望ましい。これは、水溶解度の低い結晶性または非晶質物質の液体懸濁液の使用により行い得る。そしてCDP-トポイソメラーゼ阻害剤コンジュゲート、粒子または組成物の吸収速度は、その溶解速度によって決まり、ついで溶解速度は結晶サイズおよび結晶形態によって決まり得る。あるいは、非経口投与する薬物形態の吸収遅延は、CDP-トポイソメラーゼ阻害剤コンジュゲート、粒子または組成物を油性溶媒中に溶解または懸濁させることにより行う。
経口投与に適した医薬組成物は、それぞれ有効成分として所定量の薬剤を含有する、カプセル剤、カシェ剤、丸剤、錠剤、ガム剤、トローチ剤(風味付きの基剤、通常はスクロースおよびアラビアゴムもしくはトラガカントを用いる)、粉末剤、顆粒剤の形態で、あるいは溶液または水性もしくは非水性液体中の懸濁液として、あるいは水中油型または油中水型乳濁液として、あるいはエリキシル剤またはシロップ剤として、あるいは香錠剤(不活性な基剤、例えばゼラチンとグリセリン、またはスクロースとアラビアゴムを用いる)ならびに/あるいは口腔洗浄剤などとして投与し得る。また化合物は、巨丸剤、舐剤またはペースト剤としても投与し得る。
任意に1つ以上の補助成分と共に、圧縮または成形することにより錠剤を作製し得る。圧縮錠剤は、結合剤(例えば、ゼラチンまたはヒドロキシプロピルメチルセルロース)、滑沢剤、不活性希釈剤、保存剤、崩壊剤(例えば、デンプングリコール酸ナトリウムまたは架橋カルボキシメチルセルロースナトリウム)、界面活性剤または分散剤を用いて調製し得る。成形錠剤は、不活性な液体希釈剤で湿潤させた粉末のペプチドまたはペプチド模倣薬の混合物を適当な機械で成形することにより作製し得る。
錠剤およびその他の固形剤形、例えば糖衣錠剤、カプセル剤、丸剤および顆粒剤を、任意に刻み目を付けるか、または腸溶性コーティングおよびその他の医薬製剤技術分野で公知のコーティングのようなコーティングおよび殻で調製し得る。また、中の有効成分の緩徐なまたは制御された放出をもたらすために、例えば、所望の放出プロファイルを得るための様々な割合のヒドロキシプロピルメチルセルロース、その他のポリマーマトリックス、リポソームおよび/またはマイクロスフィアを使用してこれらを製剤化し得る。これらを、例えば、細菌保持フィルターでのろ過により、または使用直前に滅菌水またはその他の滅菌注射媒体に溶解させ得る滅菌固体組成物の形態で滅菌剤を組み込むことにより滅菌し得る。また上記組成物は、乳白剤も任意に含有してもよく、また有効成分(1つまたは複数)のみを、またはそれを優先的に、消化管の特定の部分で任意に遅延させて放出する組成物であり得る。使用し得る包埋組成物の例としては、ポリマー物質およびロウが挙げられる。また有効成分は、必要に応じて1つ以上の上記添加剤を含むマクロカプセル化形態であり得る。
経口投与用の液体剤形としては、薬学的に許容される乳剤、マイクロエマルション剤、液剤、懸濁剤、シロップ剤およびエリキシル剤が挙げられる。液体剤形は、CDP-トポイソメラーゼ阻害剤コンジュゲート、粒子または組成物に加えて、当該技術分野において一般的に使用される不活性希釈剤、例えば水またはその他の溶媒、可溶化剤および乳化剤、例えばエチルアルコール、イソプロピルアルコール、炭酸エチル、酢酸エチル、ベンジルアルコール、安息香酸ベンジル、プロピレングリコール、1,3-ブチレングリコール、油(特に、綿実油、ラッカセイ油、トウモロコシ油、胚芽油、オリーブ油、ヒマシ油およびゴマ油)、グリセロール、テトラヒドロフリルアルコール、ポリエチレングリコールおよびソルビタン脂肪酸エステルなど、ならびにそれらの混合物を含有し得る。
また経口組成物は、不活性希釈剤の他に、湿潤剤、乳化および懸濁化剤、甘味剤,香味剤、着色剤、賦香剤および保存剤も含み得る。
懸濁剤は、CDP-トポイソメラーゼ阻害剤コンジュゲート、粒子または組成物に加えて、懸濁化剤を、例えば、エトキシル化イソステアリルアルコール、ポリオキシエチレンソルビトールおよびソルビタンエステル、微結晶性セルロース、メタ水酸化アルミニウム、ベントナイト、寒天およびトラガカント、ならびにそれらの混合物として含有し得る。
局所投与に適した医薬組成物は、所望の治療が局所適用により容易に到達できる部位または器官である場合に有用である。皮膚への局所適用には、担体中に懸濁または溶解した活性成分を含有する適当な軟膏で医薬組成物を製剤化するべきである。本明細書に記載の粒子の局所投与のための担体としては、鉱油、液体石油、白色石油、プロピレングリコール、ポリオキシエチレンポリオキシプロピレン化合物、乳化ロウおよび水が挙げられるが、これらに限定されない。あるいは、医薬組成物を、適当な乳化剤で担体中に懸濁または溶解させた活性な粒子を含有する適当なローションまたはクリームで製剤化し得る。適当な担体としては、鉱油、モノステアリン酸ソルビタン、ポリソルベート60、セチルエステルワックス、セテアリルアルコール、2-オクチルドデカノール、ベンジルアルコールおよび水が挙げられるが、これらに限定されない。また本明細書に記載の医薬組成物は、直腸坐剤製剤により、または適当な浣腸剤で下部腸管へ局所的に適用し得る。局所経皮パッチも本明細書に含まれる。
本明細書に記載の医薬組成物は、経鼻エアロゾルまたは吸入により投与し得る。このような組成物は、医薬製剤分野で公知の技術により調製し、またベンジルアルコールもしくはその他の適当な保存剤、バイオアベイラビリティーを促進する吸収促進剤、フッ化炭素および/または当該技術分野で公知のその他の可溶化もしくは分散剤を用いて、生理食塩水中の液剤として調製し得る。
また本明細書に記載の医薬組成物は、直腸内または膣内投与用の坐剤形態でも投与し得る。坐剤は、本明細書に記載の1つ以上のCDP-トポイソメラーゼ阻害剤コンジュゲート、粒子または組成物を、室温で固体、体温では液体である1つ以上の適当な非刺激性添加剤と混合することにより調製し得る。したがって、組成物は直腸または膣腔内で溶解して、CDP-トポイソメラーゼ阻害剤コンジュゲート、粒子または組成物を放出する。このような物質としては、例えば、カカオバター、ポリエチレングリコール、坐剤ワックスまたはサリチル酸が挙げられる。また膣内投与に適した本発明の組成物は、適切であることが当該技術分野で公知の担体を含有する膣坐剤、タンポン剤、クリーム剤、ゲル剤、ペースト剤、泡状剤またはスプレー製剤も含み得る。
眼科製剤、眼軟膏剤、粉末剤、液剤なども本発明の範囲内にあることが意図される。
用量および用法
CDP-トポイソメラーゼ阻害剤コンジュゲート、粒子または組成物は、当業者に公知の従来の方法により薬学的に許容される剤形に製剤化し得る。
CDP-トポイソメラーゼ阻害剤コンジュゲート、粒子または組成物は、当業者に公知の従来の方法により薬学的に許容される剤形に製剤化し得る。
対象に害を与えずに、特定の対象、組成物および投与様式に関する所望の治療応答を得るのに効果的な有効成分量が得られるように、本発明の医薬組成物の有効成分の実際の投与量レベルを変化させ得る。
一実施形態では、CDP-トポイソメラーゼ阻害剤コンジュゲート、粒子または組成物を、例えば、約1~40mg/m2、約3~35mg/m2、約9~40mg/m2、例えば、約1、3、5、6、7、8、9、10、11、12、13、14、15、16、17、18、19、20、21、22、23、24、25、26、27、28、29、30、31、32、33、34、35、36、37、38、39、40mg/m2のトポイソメラーゼ阻害剤の用量で対象に投与する。投与は、一定間隔、例えば1週間ごとまたは2、3、4、5週間もしくは6週間ごとであり得る。投与は、約10分~約6時間、例えば約30分~約2時間、約45分~90分、例えば約30分、45分、1時間、2時間、3時間、4時間、5時間以上の時間であり得る。CDP-トポイソメラーゼ阻害剤コンジュゲート、粒子または組成物を、例えば静脈内または腹腔内投与により投与し得る。
一実施形態では、CDP-トポイソメラーゼ阻害剤コンジュゲート、粒子または組成物を、例えば、15分、10分、5分以下にわたるボーラス投与または静脈内プッシュで投与する。一実施形態では、所望の用量の薬剤が投与されるように、CDP-トポイソメラーゼ阻害剤コンジュゲート、粒子または組成物を投与する。好ましくは、CDP-トポイソメラーゼ阻害剤コンジュゲート、粒子または組成物の用量は、本明細書に記載の用量である。
一実施形態では、対象は、1、2、3回、最大10回以上、または疾患症状が治癒する、修復される、軽減される、緩和される、変化する、矯正される、改善される、和らげられる、向上するまたは影響を受けるまで治療を受ける。例えば、対象は、疾患もしくは疾患症状が治癒する、修復される、軽減される、緩和されり、変化する、矯正される、改善される、和らげられる、向上するまたは影響を受けるまで、1、2、3または4週間に1回、注入を受ける。好ましくは、投与スケジュールは本明細書に記載の投与スケジュールである。
CDP-トポイソメラーゼ阻害剤コンジュゲート、粒子または組成物は、例えば、単独で、または1つもしくは複数の追加の薬剤と組み合わせて、第一選択治療として投与し得る。他の実施形態では、対象が第一選択治療に対して耐性になった、応答しなかった、またはその後に再発した後に、CDP-トポイソメラーゼ阻害剤コンジュゲート、粒子または組成物を投与する。CDP-トポイソメラーゼ阻害剤コンジュゲート、粒子または組成物を第二の薬剤と組み合わせて投与し得る。好ましくは、CDP-トポイソメラーゼ阻害剤コンジュゲート、粒子または組成物を、本明細書に記載の第二の薬剤と組み合わせて投与する。
キット
本明細書に記載のCDP-トポイソメラーゼ阻害剤コンジュゲート、粒子または組成物は、キットで提供し得る。キットは、本明細書に記載のCDP-トポイソメラーゼ阻害剤コンジュゲート、粒子または組成物、ならびに任意に、容器、薬学的に許容される担体および/または情報資料を含む。情報資料は、本明細書に記載の方法ならびに/あるいは本明細書に記載の方法のためのCDP-トポイソメラーゼ阻害剤コンジュゲート、粒子または組成物の使用に関する記述、説明、販売またはその他の事項であり得る。
本明細書に記載のCDP-トポイソメラーゼ阻害剤コンジュゲート、粒子または組成物は、キットで提供し得る。キットは、本明細書に記載のCDP-トポイソメラーゼ阻害剤コンジュゲート、粒子または組成物、ならびに任意に、容器、薬学的に許容される担体および/または情報資料を含む。情報資料は、本明細書に記載の方法ならびに/あるいは本明細書に記載の方法のためのCDP-トポイソメラーゼ阻害剤コンジュゲート、粒子または組成物の使用に関する記述、説明、販売またはその他の事項であり得る。
キットの情報資料はその形態が限定されない。一実施形態では、情報資料は、CDP-トポイソメラーゼ阻害剤コンジュゲート、粒子または組成物の生産、CDP-トポイソメラーゼ阻害剤コンジュゲート、粒子または組成物の物理的特性、濃度、有効期限、バッチに関する情報または製造地情報などを含み得る。一実施形態では、情報資料は、例えば、本明細書に記載の投与経路による、ならびに/あるいは本明細書に記載の用量および/または投与スケジュールでのCDP-トポイソメラーゼ阻害剤コンジュゲート、粒子または組成物の投与の方法に関する。
一実施形態では、情報資料は、本明細書に記載のCDP-トポイソメラーゼ阻害剤コンジュゲート、粒子または組成物を、本明細書に記載の方法を実施するのに適した方法で、例えば、適切なな用量、剤形または投与様式(例えば、本明細書に記載の用量、剤形または投与様式)で投与するための説明を含み得る。別の実施形態では、情報資料は、本明細書に記載のCDP-トポイソメラーゼ阻害剤コンジュゲート、粒子または組成物を、適当な対象、例えばヒト、例えば本明細書に記載の疾患を有するかまたはその危険性のあるヒトに投与するための説明を含み得る。別の実施形態では、情報資料は、本明細書に記載のCDP-トポイソメラーゼ阻害剤コンジュゲート、粒子または組成物を薬学的に許容される組成物に再構成するための説明を含み得る。
一実施形態では、キットは、例えば対象の治療のためなどにCDP-トポイソメラーゼ阻害剤コンジュゲート、粒子または組成物を使用するための説明を含み得る。説明は、CDP-トポイソメラーゼ阻害剤コンジュゲート、粒子または組成物を、特定の対象でまたは特定の化学療法剤と組み合わせて使用するために再構成または希釈するための方法を含む。また説明は、CDP-トポイソメラーゼ阻害剤コンジュゲート、粒子または組成物を、例えば静脈内注入または腹腔内投与などによる特定の投与手段で使用するための説明に再構成または希釈するための方法も含み得る。
別の実施形態では、キットは、特定の適応症、例えば特定の癌または特定の癌段階などを有する対象を治療するための説明を含む。例えば、説明は、本明細書に記載の癌または癌段階、例えば、肺癌(例えば、非小細胞肺癌および/または小細胞肺癌、例えば、扁平上皮細胞非小細胞および/または小細胞肺癌)または卵巣癌のためのものであり得る。また説明は、本明細書に記載の特定の癌または癌段階を有する対象の第一選択治療に関するものでもあり得る。また説明は、第一選択治療、例えばタキサン、アントラサイクリン、抗代謝剤、ビンカアルカロイド、血管内皮増殖因子(VEGF)経路阻害剤、上皮増殖因子(EGF)経路阻害剤、アルキル化剤、白金系薬剤、ビンカアルカロイドなどに対して非応答性であるか、または第一選択治療に対して感受性になっている(例えば、1つ以上の供されない副作用を有する)対象の治療に関するものでもあり得る。別の実施形態では、説明には、選択された対象のCDP-トポイソメラーゼ阻害剤コンジュゲート、粒子または組成物による治療が記載される。例えば、説明には、KRASおよび/またはST発現レベルが、例えば参照標準に比べて増加している癌を有する1つ以上の対象の治療が記載され得る。
キットの情報資料はその形態が限定されない。多くの場合、情報資料、例えば説明は、印刷物、例えば、印刷された文章、図および/または写真、例えば、ラベルまたは印刷されたシートで提供される。しかし、情報資料は、点字、コンピュータ読み取り可能媒体物、ビデオ記録または録音のような他の形式でも提供され得る。別の実施形態では、キットの情報資料は、キットの使用者が、本明細書に記載のCDP-トポイソメラーゼ阻害剤コンジュゲート、粒子または組成物および/または本明細書に記載の方法でのその使用に関する情報を入手することができる連絡先、例えば、実在住所、電子メールアドレス、ウェブサイトまたは電話番号である。また情報資料は、任意の形式の組合せでも提供され得る。
キットの組成物は、本明細書に記載のCDP-トポイソメラーゼ阻害剤コンジュゲート、粒子または組成物に加えて、他の成分、例えば界面活性剤、リオプロテクタントまたは安定化剤、抗酸化剤、抗菌剤、増量剤、キレート剤、不活性ガス、浸透圧剤および/または粘性剤、溶媒または緩衝剤、安定化剤、保存剤、着香剤(例えば、抗苦味剤または甘味料)、香料、例えば、キット中の1つ以上の成分に色合いをつけるまたはそれを着色するための色素または着色剤、あるいは他の化粧品成分、薬学的に許容される担体ならびに/あるいは本明細書に記載の状態または疾患を治療するための第二の薬剤などを含み得る。あるいは、他の成分を、本明細書に記載のCDP-トポイソメラーゼ阻害剤コンジュゲート、粒子または組成物とは異なる組成物または容器に入れてキット中に含み得る。このような実施形態では、キットは、本明細書に記載のCDP-トポイソメラーゼ阻害剤コンジュゲート、粒子もしくは組成物と他の成分とを混合するための、または本明細書に記載のCDP-トポイソメラーゼ阻害剤コンジュゲート、粒子または組成物を他の成分と共に使用するための説明を含み得る。例えば、キットは、1つ以上の過敏症の症状を低減もしくは抑制する薬剤、多糖、および/または尿排泄を増加させるおよび/または1つ以上の尿代謝産物を中和する薬剤を含み得る。
別の実施形態では、キットは、第二の化学療法剤、例えば本明細書に記載の化学療法剤または化学療法剤の組合せなどを含む。一実施形態では、第二の薬剤は凍結乾燥または液体形態である。一実施形態では、CDP-トポイソメラーゼ阻害剤コンジュゲート、粒子または組成物と第二の治療剤は別々の容器内にあり、また別の実施形態では、CDP-トポイソメラーゼ阻害剤コンジュゲート、粒子または組成物と第二の治療剤は同じ容器内にある。
いくつかの実施形態では、キットの成分を、例えば、ゴムまたはシリコーン栓(例えば、ポリブタジエンまたはポリイソプレン栓)を有する密閉バイアル内で保管する。いくつかの実施形態では、キットの成分を不活性条件下で(例えば、窒素またはアルゴンのような別の不活性ガスの下で)保管する。いくつかの実施形態では、キットの成分を無水条件下で(例えば、乾燥剤と共に)保管する。いくつかの実施形態では、キットの成分を、琥珀色バイアルのような遮光容器内で保管する。
本明細書に記載のCDP-トポイソメラーゼ阻害剤コンジュゲート、粒子または組成物は、任意の形態、例えば、液体、凍結、乾燥または凍結乾燥形態で提供され得る。コンジュゲート、粒子または組成物を含む組成物、例えば、本明細書に記載のコンジュゲートを含む1つまたは複数の粒子を含む組成物は、実質的に純粋および/また無菌であることが好ましい。本明細書に記載のCDP-トポイソメラーゼ阻害剤コンジュゲート、粒子または組成物を液体溶液で提供する場合、液体溶液は、好ましくは水溶液であり、滅菌水溶液が好ましい。一実施形態では、CDP-トポイソメラーゼ阻害剤コンジュゲート、粒子または組成物を凍結乾燥形態で提供し、任意に、凍結乾燥薬剤を復元するために希釈用溶液を提供する。希釈剤としては、例えば、塩溶液または生理食塩溶液、例えば、pHが6~9の間である塩化ナトリウム溶液、乳酸リンゲル注射液、D5Wまたは血漿-LYTE A Injection pH7.4(登録商標)(Baxter,Deerfield,IL)を挙げ得る。
キットは、本明細書に記載のCDP-トポイソメラーゼ阻害剤コンジュゲート、粒子または組成物を含有する組成物のための1つ以上の容器を含み得る。いくつかの実施形態では、キットは、組成物および情報資料のための別々の容器、仕切りまたは区画を含む。例えば、組成物をボトル、バイアル、IV混合バッグ、IV注入セット、ピギーバックセットまたはシリンジに入れ、情報資料をプラスチックのスリーブまたはポケット内に収納し得る。他の実施形態では、キットの別々の構成要素を、単一の分割されていない容器内に収納する。例えば、ラベル形態の情報資料を添付したボトル、バイアルまたはシリンジに組成物を入れる。いくつかの実施形態では、キットは、それぞれが本明細書に記載のCDP-トポイソメラーゼ阻害剤コンジュゲート、粒子または組成物の1つ以上の単位投与剤形(例えば、本明細書に記載の剤形)を収納している複数の(例えば、一組の)個々の容器を含む。例えば、キットは、それぞれが1用量単位の本明細書に記載の粒子を収納している複数のシリンジ、アンプル、ホイル小包またはブリスターパックを含む。キットの容器は、気密性、防水性(例えば、湿度または蒸発量の変化を通さない)および/または遮光性であり得る。
キットは任意に、組成物の投与に適した装置、例えば、シリンジ、吸入器、ピペット、鉗子、測定スプーン、ドロッパ(例えば、点眼器)、スワブ(例えば、綿スワブまたは木製スワブ)または任意のこのような送達装置を含む。一実施形態では、装置は医療用埋め込み装置、例えば、外科的挿入用のパッケージである。
併用療法
CDP-トポイソメラーゼ阻害剤コンジュゲート、粒子または組成物は、他の既知の治療法と組み合わせて使用し得る。本明細書で使用される「組み合わせて」投与するとは、対象の病悩期間中に、例えば、対象が疾患を有すると診断された後、および疾患が治癒されるもしくは除去されるか、または他の理由で治療が中止される前に、2つ(以上)の異なる治療を対象に送達することを意味する。いくつかの実施形態では、投与が重複するように、1つの治療の送達が、第二の治療の送達が始まっても行われている。これは、本明細書では「同時(「simultaneous」または「concurrent」)送達」と呼ぶことがある。他の実施形態では、1つの治療の送達が、他方の治療の送達が始まる前に終わる。いずれの場合の実施形態でも、併用投与により治療がより効果的となる。例えば、第二の治療が、第二の治療が第一の治療の非存在下で行われた場合に見られるよりも効果的である、例えば、より少ない第二の治療で同等の効果が見られるか、もしくは第二の治療が症状をより低減させる、または第一の治療で同様の状況が見られる。いくつかの実施形態では、疾患に関連した症状または他のパラメーターの減少が、他方の非存在下で送達された1つの治療で観察されるよりも大きい。2つの治療の効果は、一部相加的、完全に相加的であるか、または相加的効果を上回る。送達は、第二の治療が送達されるとき、送達された第一の治療の効果が依然として検出可能なものであり得る。
CDP-トポイソメラーゼ阻害剤コンジュゲート、粒子または組成物は、他の既知の治療法と組み合わせて使用し得る。本明細書で使用される「組み合わせて」投与するとは、対象の病悩期間中に、例えば、対象が疾患を有すると診断された後、および疾患が治癒されるもしくは除去されるか、または他の理由で治療が中止される前に、2つ(以上)の異なる治療を対象に送達することを意味する。いくつかの実施形態では、投与が重複するように、1つの治療の送達が、第二の治療の送達が始まっても行われている。これは、本明細書では「同時(「simultaneous」または「concurrent」)送達」と呼ぶことがある。他の実施形態では、1つの治療の送達が、他方の治療の送達が始まる前に終わる。いずれの場合の実施形態でも、併用投与により治療がより効果的となる。例えば、第二の治療が、第二の治療が第一の治療の非存在下で行われた場合に見られるよりも効果的である、例えば、より少ない第二の治療で同等の効果が見られるか、もしくは第二の治療が症状をより低減させる、または第一の治療で同様の状況が見られる。いくつかの実施形態では、疾患に関連した症状または他のパラメーターの減少が、他方の非存在下で送達された1つの治療で観察されるよりも大きい。2つの治療の効果は、一部相加的、完全に相加的であるか、または相加的効果を上回る。送達は、第二の治療が送達されるとき、送達された第一の治療の効果が依然として検出可能なものであり得る。
CDP-トポイソメラーゼ阻害剤コンジュゲート、粒子または組成物および少なくとも1つの追加の治療剤を同時に、同じもしくは別々の組成物で、または順次投与し得る。順次投与では、最初にCDP-トポイソメラーゼ阻害剤コンジュゲート、粒子または組成物を投与し、二番目に追加の薬剤を投与し得るか、または投与順序を逆にし得る。
いくつかの実施形態では、CDP-トポイソメラーゼ阻害剤コンジュゲート、粒子または組成物を、外科手術、放射線照射、凍結手術および/または温熱療法を含めた他の治療様式と組み合わせて投与する。このような併用療法は、投与する薬剤および/または他の化学療法剤を低用量で用いて、各種の単独療法に関連した毒性または合併症の可能性を回避し得る点で優れている。「放射線照射」という語句は、照射領域が治療組織の容積と一致するように設計された三次元原体照射療法を含む外部照射療法;超音波誘導を用いて放射性化合物のシードを埋め込む組織内放射線療法;および外部照射療法と組織内放射線療法の組合せを包含するが、これらに限定されない。
いくつかの実施形態では、CDP-トポイソメラーゼ阻害剤コンジュゲート、粒子または組成物を、少なくとも1つの化学療法剤のような追加の治療剤と共に投与する。特定の実施形態では、CDP-トポイソメラーゼ阻害剤コンジュゲート、粒子または組成物を、1つ以上の追加の化学療法剤、例えば本明細書に記載の1つ以上の化学療法剤と組み合わせて投与する。典型的な化学療法剤の種類としては、例えば以下のものが挙げられる:
アルキル化剤(ナイトロジェンマスタード、エチレンイミン誘導体、スルホン酸アルキル、ニトロソウレアおよびトリアゼンを非限定的に含む):ウラシルマスタード(Aminouracil Mustard(登録商標)、Chlorethaminacil(登録商標)、Demethyldopan(登録商標)、Desmethyldopan(登録商標)、Haemanthamine(登録商標)、Nordopan(登録商標)、Uracil nitrogen mustard(登録商標)、Uracillost(登録商標)、Uracilmostaza(登録商標)、Uramustin(登録商標)、Uramustine(登録商標))、クロルメチン(Mustargen(登録商標))、シクロホスファミド(Cytoxan(登録商標)、Neosar(登録商標)、Clafen(登録商標)、Endoxan(登録商標)、Procytox(登録商標)、Revimmune(商標))、イホスファミド(Mitoxana(登録商標))、メルファラン(Alkeran(登録商標))、クロラムブシル(Leukeran(登録商標))、ピポブロマン(Amedel(登録商標)、Vercyte(登録商標))、トリエチレメラミン(Hemel(登録商標)、Hexalen(登録商標)、Hexastat(登録商標))、トリエチレンチオホスホルアミン、テモゾロミド(Temodar(登録商標))、チオテパ(Thioplex(登録商標))、ブスルファン(Busilvex(登録商標)、Myleran(登録商標))、カルムスチン(BiCNU(登録商標))、ロムスチン(CeeNU(登録商標))、ストレプトゾシン(Zanosar(登録商標))およびダカルバジン(DTIC-Dome(登録商標))。
抗EGFR抗体(例えば、セツキシマブ(Erbitux(登録商標))およびパニツムマブ(Vectibix(登録商標))。
抗HER-2抗体(例えば、トラスツズマブ(Herceptin(登録商標))。
抗代謝剤(葉酸アンタゴニスト(本明細書では葉酸代謝拮抗剤とも呼ぶ)、ピリミジン類似体、プリン類似体およびアデノシンデアミナーゼ阻害剤を非限定的に含む):メトトレキサート(Rheumatrex(登録商標)、Trexall(登録商標))、5‐フルオロウラシル(Adrucil(登録商標)、Efudex(登録商標)、Fluoroplex(登録商標))、フロクスウリジン(FUDF(登録商標))、シタラビン(Cytosar-U(登録商標)、Tarabine PFS)、6-メルカプトプリン(Puri-Nethol(登録商標)))、6-チオグアニン(Thioguanine Tabloid(登録商標))、リン酸フルダラビン(Fludara(登録商標))、ペントスタチン(Nipent(登録商標))、ペメトレキセド(Alimta(登録商標))、ラルチトレキセド(Tomudex(登録商標))、クラドリビン(Leustatin(登録商標))、クロファラビン(Clofarex(登録商標)、Clolar(登録商標))、メルカプトプリン(Puri-Nethol(登録商標))、カペシタビン(Xeloda(登録商標))、ネララビン(Arranon(登録商標))、アザシチジン(Vidaza(登録商標))およびゲムシタビン(Gemzar(登録商標))。好適な抗代謝剤としては、例えば、5‐フルオロウラシル(Adrucil(登録商標)、Efudex(登録商標)、Fluoroplex(登録商標))、フロクスウリジン(FUDF(登録商標))、カペシタビン(Xeloda(登録商標))、ペメトレキセド(Alimta(登録商標))、ラルチトレキセド(Tomudex(登録商標))およびゲムシタビン(Gemzar(登録商標))が挙げられる。
ビンカアルカロイド:ビンブラスチン(Velban(登録商標)、Velsar(登録商標))、ビンクリスチン(Vincasar(登録商標)、Oncovin(登録商標))、ビンデシン(Eldisine(登録商標))、ビノレルビン(Navelbine(登録商標))。
白金系薬剤:カルボプラチン(Paraplat(登録商標)、Paraplatin(登録商標))、シスプラチン(Platinol(登録商標))、オキサリプラチン(Eloxatin(登録商標))。
アントラサイクリン:ダウノルビシン(Cerubidine(登録商標)、Rubidomycin(登録商標))、ドキソルビシン(Adriamycin(登録商標))、エピルビシン(Ellence(登録商標))、イダルビシン(Idamycin(登録商標))、ミトキサントロン(Novantrone(登録商標))、バルルビシン(Valstar(登録商標))。好適なアントラサイクリンとしては、ダウノルビシン(Cerubidine(登録商標)、Rubidomycin(登録商標))およびドキソルビシン(Adriamycin(登録商標))が挙げられる。
トポイソメラーゼ阻害剤:トポテカン(Hycamtin(登録商標))、イリノテカン(Camptosar(登録商標))、エトポシド(Toposar(登録商標)、VePesid(登録商標))、テニポシド(Vumon(登録商標))、ラメラリンD、SN-38、カンプトテシン。
タキサン:パクリタキセル(Taxol(登録商標))、ドセタキセル(Taxotere(登録商標))、ラロタキセル、カバジタキセル。
エポチロン:イクサベピロン、エポチロンB、エポチロンD、BMS310705、デヒデロン、ZK-エポチロン(ZK-EPO)。
ポリADP-リボースポリメラーゼ(PARP)阻害剤:(例えば、BSI201、オラパリブ(AZD-2281)、ABT-888、AG014699、CEP9722、MK4827、KU-0059436(AZD2281)、LT-673、3-アミノベンズアミド)。
抗生物質:アクチノマイシン(Cosmegen(登録商標))、ブレオマイシン(Blenoxane(登録商標))、ヒドロキシウレア(Droxia(登録商標)、Hydrea(登録商標))、マイトマイシン(Mitozytrex(登録商標)、Mutamycin(登録商標))。
免疫調節剤:レナリドマイド(Revlimid(登録商標))、サリドマイド(Thalomid(登録商標))。
免疫細胞抗体:アレムツズマブ(Campath(登録商標))、ゲムツズマブ(Myelotarg(登録商標))、リツキシマブ(Rituxan(登録商標))、トシツモマブ(Bexxar(登録商標))。
インターフェロン(例えば、IFN-アルファ(Alferon(登録商標)、Roferon-A(登録商標)、Intron(登録商標)-A)またはIFN-ガンマ(Actimmune(登録商標)))。
インターロイキン:IL-1、IL-2(Proleukin(登録商標))、IL-24、IL-6(Sigosix(登録商標))、IL-12。
HSP90阻害剤(例えば、ゲルダナマイシンまたはその任意の誘導体)。特定の実施形態では、HSP90阻害剤は、ゲルダナマイシン、17-アルキルアミノ-17-デスメトキシゲルダナマイシン(「17-AAG」)または17-(2-ジメチルアミノエチル)アミノ-17-デスメトキシゲルダナマイシン(「17-DMAG」)から選択される。
以下のものを非限定的に含む血管新生阻害剤:A6(Angstrom Pharmacueticals)、ABT-510(Abbott Laboratories)、ABT-627(Atrasentan)(Abbott Laboratories/Xinlay)、ABT-869(Abbott Laboratories)、Actimid(CC4047、ポマリドマイド)(Celgene Corporation)、AdGVPEDF.11D(GenVec)、ADH-1(Exherin)(Adherex Technologies)、AEE788(Novartis)、AG-013736(アキシチニブ)(Pfizer)、AG3340(プリノマスタット)(Agouron Pharmaceuticals)、AGX1053(AngioGenex)、AGX51(AngioGenex)、ALN-VSP(ALN-VSP O2)(Alnylam Pharmaceuticals)、AMG386(Amgen)、AMG706(Amgen)、アパチニブ(YN968D1)(Jiangsu Hengrui Medicine)、AP23573(リダフォロリムス/MK8669)(Ariad Pharmaceuticals)、AQ4N(Novavea)、ARQ 197(ArQule)、ASA404(Novartis/Antisoma)、アチプリモド(Callisto Pharmaceuticals)、ATN-161(Attenuon)、AV-412(Aveo Pharmaceuticals)、AV-951(Aveo Pharmaceuticals)、Avastin(ベバシズマブ)(Genentech)、AZD2171(セディラニブ/レセンチン)(AstraZeneca)、BAY57-9352(テラチニブ)(Bayer)、BEZ235(Novartis)、BIBF1120(Boehringer Ingelheim Pharmaceuticals)、BIBW 2992(Boehringer Ingelheim Pharmaceuticals)、BMS-275291(Bristol-Myers Squibb)、BMS-582664(ブリバニブ)(Bristol-Myers Squibb)、BMS-690514(Bristol-Myers Squibb)、カルシトリオール、CCI-779(Torisel)(Wyeth)、CDP-791(ImClone Systems)、Ceflatonin(ホモハリントニン/HHT)(ChemGenex Therapeutics)、Celebrex(セレコキシブ)(Pfizer)、CEP-7055(Cephalon/Sanofi)、CHIR-265(Chiron Corporation)、NGR-TNF、COL-3(Metastat)(Collagenex Pharaceuticals)、コンブレタスタチン(Oxigene)、CP-751,871(フィギツムマブ)(Pfizer)、CP-547,632(Pfizer)、CS-7017(Daiichi Sankyo Pharma)、CT-322(Angiocept)(Adnexus)、クルクミン、ダルテパリン(Fragmin)(Pfizer)、ジスルフィラム(Antabuse)、E7820(Eisai Limited)、E7080(Eisai Limited)、EMD121974(シレンジタイド)(EMD Pharmaceuticals)、ENMD-1198(EntreMed)、ENMD-2076(EntreMed)、Endostar(Simcere)、Erbitux(ImClone/Bristol-Myers Squibb)、EZN-2208(Enzon Pharmaceuticals)、EZN-2968(Enzon Pharmaceuticals)、GC1008(Genzyme)、ゲニステイン、GSK1363089(Foretinib)(GlaxoSmithKline)、GW786034(パゾパニブ)(GlaxoSmithKline)、GT-111(Vascular Biogenics Ltd.)、IMC--1121B(ラムシルマブ)(ImClone Systems)、IMC-18F1(ImClone Systems)、IMC-3G3(ImClone LLC)、INCB007839(Incyte Corporation)、INGN 241(Introgen Therapeutics)、Iressa(ZD1839/ゲフィチニブ)、LBH589(Faridak/Panobinostst)(Novartis)、Lucentis(ラニビズマブ)(Genentech/Novartis)、LY317615(エンザスタウリン)(Eli Lilly and Company)、Macugen(ペガプタニブ)(Pfizer)、MEDI522(Abegrin)(MedImmune)、MLN518(タンデュチニブ)(Millennium)、Neovastat(AE941/Benefin)(Aeterna Zentaris)、Nexavar(Bayer/Onyx)、NM-3(Genzyme Corporation)、ノスカピン(Cougar Biotechnology)、NPI-2358(Nereus Pharmaceuticals)、OSI-930(OSI)、Palomid529(Paloma Pharmaceuticals、Inc.)、Panzemカプセル(2ME2)(EntreMed)、Panzem NCD(2ME2)(EntreMed)、PF-02341066(Pfizer)、PF-04554878(Pfizer)、PI-88(Progen Industries/Medigen Biotechnology)、PKC412(Novartis)、Polyphenon E(Green Tea Extract)(Polypheno E International、Inc)、PPI-2458(Praecis
Pharmaceuticals)、PTC299(PTC Therapeutics)、PTK787(バタラニブ)(Novartis)、PXD101(ベリノスタット)(CuraGen Corporation)、RAD001(エベロリムス)(Novartis)、RAF265(Novartis)、レゴラフェニブ(BAY73-4506)(Bayer)、Revlimid(Celgene)、Retaane(Alcon Research)、SN38(Liposomal)(Neopharm)、SNS-032(BMS-387032)(Sunesis)、SOM230(パシレオチド)(Novartis)、スクアラミン(Genaera)、スラミン、Sutent(Pfizer)、Tarceva(Genentech)、TB-403(Thrombogenics)、Tempostatin(Collard Biopharmaceuticals)、テトラチオモリブデン酸(Sigma-Aldrich)、TG100801(TargeGen)、サリドマイド(Celgene Corporation)、チンザパリンナトリウム、TKI258(Novartis)、TRC093(Tracon Pharmaceuticals Inc.)、VEGF Trap(アフリベルセプト)(Regeneron Pharmaceuticals)、VEGF Trap-Eye(Regeneron Pharmaceuticals)、Veglin(VasGene Therapeutics)、ボルテゾミブ(Millennium)、XL184(Exelixis)、XL647(Exelixis)、XL784(Exelixis)、XL820(Exelixis)、XL999(Exelixis)、ZD6474(AstraZeneca)、ボリノスタット(Merck)およびZSTK474。
ニルタミド(Nilandron(登録商標))およびビカルタミド(Caxodex(登録商標))を非限定的に含む抗アンドロゲン剤。
タモキシフェン(Nolvadex(登録商標))、トレミフェン(Fareston(登録商標))、レトロゾール(Femara(登録商標))、テストラクトン(Teslac(登録商標))、アナストロゾール(Arimidex(登録商標))、ビカルタミド(Casodex(登録商標))、エキセメスタン(Aromasin(登録商標))、フルタミド(Eulexin(登録商標))、フルベストラント(Faslodex(登録商標))、ラロキシフェン(Evista(登録商標)、Keoxifene(登録商標))および塩酸ラロキシフェンを非限定的に含む抗エストロゲン剤。
硝酸ガリウム(III)水和物(Ganite(登録商標))およびパミドロン酸二ナトリウム(Aredia(登録商標))を非限定的に含む抗高カルシウム血症剤。
エタノール、2-[[3-(2,3-ジクロロフェノキシ)プロピル]アミノ]-(9Cl)、ガンボギン酸、エンベリンおよび亜ヒ酸(Trisenox(登録商標))を非限定的に含むアポトーシス誘導剤。
ビヌクレイン2を非限定的に含むオーロラキナーゼ阻害剤。
テレ酸を非限定的に含むブルトン型チロシンキナーゼ。
シペルメトリン、デルタメトリン、フェンバレラートおよびチルホスチン8を非限定的に含むカルシニューリン阻害剤。
5-イソキノリンスルホン酸、4-[{2S)-2-[(5-イソキノリニルスルホニル)メチルアミノ]-3-オキソ-3-{4-フェニル-1-ピペラジニル)プロピル]フェニルエステルおよびベンゼンスルホンアミドを非限定的に含むCaMキナーゼII阻害剤。
ホスホン酸を非限定的に含むCD45チロシンホスファターゼ阻害剤。
1,4-ナフタレンジオン、2,3-ビス[(2-ヒドロキシエチル)チオ]-(9Cl)を非限定的に含むCDC25ホスファターゼ阻害剤。
デブロモヒメニアルジシンを非限定的に含むCHKキナーゼ阻害剤。
1H-インドール-3-アセトアミド、1-(4-クロロベンゾイル)-5-メトキシ-2-メチル-N-(2-フェニルエチル)-(9Cl)、5-アルキル置換2-アリールアミノフェニル酢酸およびその誘導体(例えば、セレコキシブ(Celebrex(登録商標))、ロフェコキシブ(Vioxx(登録商標))、エトリコキシブ(Arcoxia(登録商標))、ルミラコキシブ(Prexige(登録商標))、バルデコキシブ(Bextra(登録商標))または5-アルキル-2-アリールアミノフェニル酢酸)を非限定的に含むシクロオキシゲナーゼ阻害剤。
3-(3,5-ジブロモ-4-ヒドロキシベンジリデン)-5-ヨード-1,3-ジヒドロインドロ-2-オンおよびベンズアミド、3-(ジメチルアミノ)-N-[3-[(4-ヒドロキシベンゾイル)アミノ]-4-メチルフェニル]-(9Cl)を非限定的に含むcRAFキナーゼ阻害剤。
オロモウシンおよびその誘導体、プルバラノールB、ロスコビチン(Seliciclib(登録商標))、インジルビン、ケンパウロン、プルバラノールAおよびインジルビン-3’-モノオキシムを非限定的に含むサイクリン依存性キナーゼ阻害剤。
4-モルホリンカルボキサミド、N-[(1S)-3-フルオロ-2-オキソ-1-(2-フェニルエチル)プロピル]アミノ]-2-オキソ-1-(フェニルメチル)エチル]-(9Cl)を非限定的に含むシステインプロテアーゼ阻害剤。
プリカマイシン(Mithracin(登録商標))およびダプトマイシン(Cubicin(登録商標))を非限定的に含むDNAインターカレーター。
ブレオマイシン(Blenoxane(登録商標))を非限定的に含むDNA鎖切断剤。
N-((3,3,3-トリフルオロ-2-トリフルオロメチル)プロピオニル)スルファニルアミドを非限定的に含むE3リガーゼ阻害剤。
チルホスチン46、EKB-569、エルロチニブ(Tarceva(登録商標))、ゲフィチニブ(Iressa(登録商標))、ラパチニブ(Tykerb(登録商標))、ならびに国際公開第号97/02266号、欧州特許第0564409号、国際公開第99/03854号、欧州特許第0520722号、欧州特許第0566226号、欧州特許第0787722号、欧州特許第0837063号、米国特許第5,747,498号、国際公開第98/10767号、国際公開第97/30034号、国際公開第97/49688号、国際公開第97/38983号および国際公開第96/33980号で一般的および具体的に開示されている化合物を非限定的に含むEGF経路阻害剤。
A-ヒドロキシファルネシルホスホン酸、ブタン酸、2-[(2S)-2-[[(2S,3S)-2-[[(2R)-2-アミノ-3-メルカプトプロピル]アミノ]-3-メチルペンチル]オキシ]-1-オキソ-3-フェニルプロピル]アミノ]-4-(メチルスルホニル)-1-メチルエチルエステル(2S)-(9Cl)およびマニュマイシンAを非限定的に含むファルネシルトランスフェラーゼ阻害剤。
2-プロペンアミド、2-シアノ-3-[4-ヒドロキシ-3,5-ビス(1-メチルエチル)フェニル]-N-(3-フェニルプロピル)-(2E)-(9Cl)を非限定的に含むFlk-1キナーゼ阻害剤。
インジルビン-3’-モノオキシムを非限定的に含むグリコーゲン合成酵素キナーゼ-3(GSK3)阻害剤。
スベロイルアニリドヒドロキサム酸(SAHA)、[4-(2-アミノ-フェニルカルバモイル)-ベンジル]-カルバミン酸ピリジン-3-イルメチルエステルおよびその誘導体、酪酸、ピロキサミド、トリコスタチンA、オキサムフラチン、アピシジン、デプシペプチド、デプデシン、トラポキシン、および国際公開第02/22577号に開示されている化合物を非限定的に含むヒストン脱アセチル化酵素(HDAC)阻害剤。
2-プロペンニトリル、3-[(4-メチルフェニル)スルホニル]-(2E)-(9Cl)を非限定的に含むI-カッパB-アルファキナーゼ阻害剤(IKK)阻害剤。
テモゾロミド(Methazolastone(登録商標)、Temodar(登録商標)およびその誘導体(例えば、米国特許第5,260,291号で一般的および特異的に開示されているもの)、およびミトゾロミドを非限定的に含むイミダゾテトラジノン。
ヒドロキシル-2-ナフタレニルメチルホスホン酸を非限定的に含むインスリンチロシンキナーゼ阻害剤。
ピラゾールアントロンおよびエピガロカテキンガラートを非限定的に含むc-Jun-N末端キナーゼ(JNK)阻害剤。
ベンゼンスルホンアミド、N-[2-[[[3-(4-クロロフェニル)-2-プロペニル]メチル]アミノ]メチル]フェニル]-N-(2-ヒドロキシエチル)-4-メトキシ-(9Cl)を非限定的に含むマイトジェン活性化プロテインキナーゼ(MAP)阻害剤。
trans-4-ヨード、4’-ボラニル-カルコンを非限定的に含むMDM2阻害剤。
ビス[アミノ[2-アミノフェニル)チオ]メチレン]-(9Cl)を非限定的に含むMEK阻害剤。
アクチノニン、エピガロカテキンガラート、コラーゲンペプチド模倣薬および非ペプチド模倣阻害剤、テトラサイクリン誘導体マリマスタット(Marimastat(登録商標))、プリノマスタット、インサイクリジン(Metastat(登録商標))、サメ軟骨抽出物AE-941(Neovastat(登録商標))、タノマスタット、TAA211、MMI270BまたはAAJ996を非限定的に含むMMP阻害剤。
ラパマイシン(Rapamune(登録商標))ならびにその類似体および誘導体、AP23573(リダフォロリムス、デホロリムスまたはMK-8669としても知られる)、CCI-779(テムシロリムスとしても知られる)(Torisel(登録商標))ならびにSDZ-RADを非限定的に含むmTor阻害剤。
チルホスチンAG879を非限定的に含むNGFRチロシンキナーゼ阻害剤。
フェノール、4-[4-(4-フルオロフェニル)-5-(4-ピリジニル)-1H-イミダゾール-2-イル]-(9Cl)およびベンズアミド、3-(ジメチルアミノ)-N-[3-[(4-ヒドロキシルベンゾイル(hydroxylbenzoyl))アミノ]-4-メチルフェニル]-(9Cl)を非限定的に含むp38MAPキナーゼ阻害剤。
ダムナカンタールおよびチルホスチン46を非限定的に含むp56チロシンキナーゼ阻害剤。
チルホスチンAG1296、チルホスチン9、1,3-ブタジエン-1,1,3-トリカルボニトリル、2-アミノ-4-(1H-インドール-5-イル)-(9Cl)、イマチニブ(Gleevec(登録商標))およびゲフィチニブ(Iressa(登録商標))、ならびに欧州特許第0564409号およびPCT国際公開第99/03854号で一般的および具体的に開示されている化合物を非限定的に含むPDGF経路阻害剤。
ウォルトマンニンおよびクエルセチン水和物を非限定的に含むホスファチジルイノシトール3-キナーゼ阻害剤。
カンタリジン酸、カンタリジンおよびL-ロイシンアミドを非限定的に含むホスファターゼ阻害剤。
カンタリジン酸、カンタリジン、シュウ酸L-P-ブロモテトラミソール、2(5H)-フラノン、4-ヒドロキシ-5-(ヒドロキシメチル)-3-(1-オキソヘキサデシル)-(5R)-(9Cl)およびベンジルホスホン酸を非限定的に含むタンパク質ホスファターゼ阻害剤。
1-H-ピロロ(pyrollo)-2,5-ジオン,3-[1-[3-(ジメチルアミノ)プロピル]-1H-インドール-3-イル]-4-(1H-インドール-3-イル)-(9Cl)、ビスインドリルマレイミドIX、スフィノゴシン(Sphinogosine)、スタウロスポリンおよびヒペリシンを非限定的に含むPKC阻害剤。
ロットレリンを非限定的に含むPKCデルタキナーゼ阻害剤。
DMFOを非限定的に含むポリアミン合成阻害剤。
アクラシノマイシンA、グリオトキシンおよびボルテゾミブ(Velcade(登録商標))を非限定的に含むプロテアソーム阻害剤。
L-ロイシンアミドを非限定的に含むPTP1B阻害剤。
チルホスチンAg216、チルホスチンAg1288、チルホスチンAg1295、ゲルダナマイシン、ゲニステイン、ならびにPCT国際公開第03/013541号および米国特許出願公開第2008/0139587号で一般的および具体的に記載されている式Iの7H-ピロロ(pyrollo)[2,3-d]ピリミジン誘導体:
(米国特許出願公開第2008/0139587号は各種の置換基、例えば、R1、R2などを開示している)を非限定的に含むタンパク質チロシンキナーゼ阻害剤。
PP1およびPP2を非限定的に含むSRCファミリーチロシンキナーゼ阻害剤。
ピセタノールを非限定的に含むSykチロシンキナーゼ阻害剤。
チルホスチンAG490および2-ナフチルビニルケトンを非限定的に含むヤヌス(JAK-2および/またはJAK-3)チロシンキナーゼ阻害剤。
イソトレチノイン(Accutane(登録商標)、Amnesteem(登録商標)、Cistane(登録商標)、Claravis(登録商標)、Sotret(登録商標))およびトレチノイン(Aberel(登録商標)、Aknoten(登録商標)、Avita(登録商標)、Renova(登録商標)、Retin-A(登録商標)、Retin-A MICRO(登録商標)、Vesanoid(登録商標))を非限定的に含むレチノイド。
5,6-ジクロロ-1-ベータ-D-リボフラノシルベンゾイミダゾールを非限定的に含むRNAポリメラーゼII伸長阻害剤。
2-アミノプリンを非限定的に含むセリン/スレオニンキナーゼ阻害剤。
スクアレンエポキシダーゼおよびCYP2D6を非限定的に含むステロール生合成阻害剤。
抗VEGF抗体、例えばベバシズマブ、ならびに小分子、例えばスニチニブ(Sutent(登録商標))、ソラフェニブ(Nexavar(登録商標))、ZD6474(バンデタニブとしても知られる)(Zactima(商標))、SU6668、CP-547632、AV-951(チボザニブ)およびAZD2171(セディラニブとしても知られる)(レセンチン(商標))を非限定的に含むVEGF経路阻害剤。
アルキル化剤(ナイトロジェンマスタード、エチレンイミン誘導体、スルホン酸アルキル、ニトロソウレアおよびトリアゼンを非限定的に含む):ウラシルマスタード(Aminouracil Mustard(登録商標)、Chlorethaminacil(登録商標)、Demethyldopan(登録商標)、Desmethyldopan(登録商標)、Haemanthamine(登録商標)、Nordopan(登録商標)、Uracil nitrogen mustard(登録商標)、Uracillost(登録商標)、Uracilmostaza(登録商標)、Uramustin(登録商標)、Uramustine(登録商標))、クロルメチン(Mustargen(登録商標))、シクロホスファミド(Cytoxan(登録商標)、Neosar(登録商標)、Clafen(登録商標)、Endoxan(登録商標)、Procytox(登録商標)、Revimmune(商標))、イホスファミド(Mitoxana(登録商標))、メルファラン(Alkeran(登録商標))、クロラムブシル(Leukeran(登録商標))、ピポブロマン(Amedel(登録商標)、Vercyte(登録商標))、トリエチレメラミン(Hemel(登録商標)、Hexalen(登録商標)、Hexastat(登録商標))、トリエチレンチオホスホルアミン、テモゾロミド(Temodar(登録商標))、チオテパ(Thioplex(登録商標))、ブスルファン(Busilvex(登録商標)、Myleran(登録商標))、カルムスチン(BiCNU(登録商標))、ロムスチン(CeeNU(登録商標))、ストレプトゾシン(Zanosar(登録商標))およびダカルバジン(DTIC-Dome(登録商標))。
抗EGFR抗体(例えば、セツキシマブ(Erbitux(登録商標))およびパニツムマブ(Vectibix(登録商標))。
抗HER-2抗体(例えば、トラスツズマブ(Herceptin(登録商標))。
抗代謝剤(葉酸アンタゴニスト(本明細書では葉酸代謝拮抗剤とも呼ぶ)、ピリミジン類似体、プリン類似体およびアデノシンデアミナーゼ阻害剤を非限定的に含む):メトトレキサート(Rheumatrex(登録商標)、Trexall(登録商標))、5‐フルオロウラシル(Adrucil(登録商標)、Efudex(登録商標)、Fluoroplex(登録商標))、フロクスウリジン(FUDF(登録商標))、シタラビン(Cytosar-U(登録商標)、Tarabine PFS)、6-メルカプトプリン(Puri-Nethol(登録商標)))、6-チオグアニン(Thioguanine Tabloid(登録商標))、リン酸フルダラビン(Fludara(登録商標))、ペントスタチン(Nipent(登録商標))、ペメトレキセド(Alimta(登録商標))、ラルチトレキセド(Tomudex(登録商標))、クラドリビン(Leustatin(登録商標))、クロファラビン(Clofarex(登録商標)、Clolar(登録商標))、メルカプトプリン(Puri-Nethol(登録商標))、カペシタビン(Xeloda(登録商標))、ネララビン(Arranon(登録商標))、アザシチジン(Vidaza(登録商標))およびゲムシタビン(Gemzar(登録商標))。好適な抗代謝剤としては、例えば、5‐フルオロウラシル(Adrucil(登録商標)、Efudex(登録商標)、Fluoroplex(登録商標))、フロクスウリジン(FUDF(登録商標))、カペシタビン(Xeloda(登録商標))、ペメトレキセド(Alimta(登録商標))、ラルチトレキセド(Tomudex(登録商標))およびゲムシタビン(Gemzar(登録商標))が挙げられる。
ビンカアルカロイド:ビンブラスチン(Velban(登録商標)、Velsar(登録商標))、ビンクリスチン(Vincasar(登録商標)、Oncovin(登録商標))、ビンデシン(Eldisine(登録商標))、ビノレルビン(Navelbine(登録商標))。
白金系薬剤:カルボプラチン(Paraplat(登録商標)、Paraplatin(登録商標))、シスプラチン(Platinol(登録商標))、オキサリプラチン(Eloxatin(登録商標))。
アントラサイクリン:ダウノルビシン(Cerubidine(登録商標)、Rubidomycin(登録商標))、ドキソルビシン(Adriamycin(登録商標))、エピルビシン(Ellence(登録商標))、イダルビシン(Idamycin(登録商標))、ミトキサントロン(Novantrone(登録商標))、バルルビシン(Valstar(登録商標))。好適なアントラサイクリンとしては、ダウノルビシン(Cerubidine(登録商標)、Rubidomycin(登録商標))およびドキソルビシン(Adriamycin(登録商標))が挙げられる。
トポイソメラーゼ阻害剤:トポテカン(Hycamtin(登録商標))、イリノテカン(Camptosar(登録商標))、エトポシド(Toposar(登録商標)、VePesid(登録商標))、テニポシド(Vumon(登録商標))、ラメラリンD、SN-38、カンプトテシン。
タキサン:パクリタキセル(Taxol(登録商標))、ドセタキセル(Taxotere(登録商標))、ラロタキセル、カバジタキセル。
エポチロン:イクサベピロン、エポチロンB、エポチロンD、BMS310705、デヒデロン、ZK-エポチロン(ZK-EPO)。
ポリADP-リボースポリメラーゼ(PARP)阻害剤:(例えば、BSI201、オラパリブ(AZD-2281)、ABT-888、AG014699、CEP9722、MK4827、KU-0059436(AZD2281)、LT-673、3-アミノベンズアミド)。
抗生物質:アクチノマイシン(Cosmegen(登録商標))、ブレオマイシン(Blenoxane(登録商標))、ヒドロキシウレア(Droxia(登録商標)、Hydrea(登録商標))、マイトマイシン(Mitozytrex(登録商標)、Mutamycin(登録商標))。
免疫調節剤:レナリドマイド(Revlimid(登録商標))、サリドマイド(Thalomid(登録商標))。
免疫細胞抗体:アレムツズマブ(Campath(登録商標))、ゲムツズマブ(Myelotarg(登録商標))、リツキシマブ(Rituxan(登録商標))、トシツモマブ(Bexxar(登録商標))。
インターフェロン(例えば、IFN-アルファ(Alferon(登録商標)、Roferon-A(登録商標)、Intron(登録商標)-A)またはIFN-ガンマ(Actimmune(登録商標)))。
インターロイキン:IL-1、IL-2(Proleukin(登録商標))、IL-24、IL-6(Sigosix(登録商標))、IL-12。
HSP90阻害剤(例えば、ゲルダナマイシンまたはその任意の誘導体)。特定の実施形態では、HSP90阻害剤は、ゲルダナマイシン、17-アルキルアミノ-17-デスメトキシゲルダナマイシン(「17-AAG」)または17-(2-ジメチルアミノエチル)アミノ-17-デスメトキシゲルダナマイシン(「17-DMAG」)から選択される。
以下のものを非限定的に含む血管新生阻害剤:A6(Angstrom Pharmacueticals)、ABT-510(Abbott Laboratories)、ABT-627(Atrasentan)(Abbott Laboratories/Xinlay)、ABT-869(Abbott Laboratories)、Actimid(CC4047、ポマリドマイド)(Celgene Corporation)、AdGVPEDF.11D(GenVec)、ADH-1(Exherin)(Adherex Technologies)、AEE788(Novartis)、AG-013736(アキシチニブ)(Pfizer)、AG3340(プリノマスタット)(Agouron Pharmaceuticals)、AGX1053(AngioGenex)、AGX51(AngioGenex)、ALN-VSP(ALN-VSP O2)(Alnylam Pharmaceuticals)、AMG386(Amgen)、AMG706(Amgen)、アパチニブ(YN968D1)(Jiangsu Hengrui Medicine)、AP23573(リダフォロリムス/MK8669)(Ariad Pharmaceuticals)、AQ4N(Novavea)、ARQ 197(ArQule)、ASA404(Novartis/Antisoma)、アチプリモド(Callisto Pharmaceuticals)、ATN-161(Attenuon)、AV-412(Aveo Pharmaceuticals)、AV-951(Aveo Pharmaceuticals)、Avastin(ベバシズマブ)(Genentech)、AZD2171(セディラニブ/レセンチン)(AstraZeneca)、BAY57-9352(テラチニブ)(Bayer)、BEZ235(Novartis)、BIBF1120(Boehringer Ingelheim Pharmaceuticals)、BIBW 2992(Boehringer Ingelheim Pharmaceuticals)、BMS-275291(Bristol-Myers Squibb)、BMS-582664(ブリバニブ)(Bristol-Myers Squibb)、BMS-690514(Bristol-Myers Squibb)、カルシトリオール、CCI-779(Torisel)(Wyeth)、CDP-791(ImClone Systems)、Ceflatonin(ホモハリントニン/HHT)(ChemGenex Therapeutics)、Celebrex(セレコキシブ)(Pfizer)、CEP-7055(Cephalon/Sanofi)、CHIR-265(Chiron Corporation)、NGR-TNF、COL-3(Metastat)(Collagenex Pharaceuticals)、コンブレタスタチン(Oxigene)、CP-751,871(フィギツムマブ)(Pfizer)、CP-547,632(Pfizer)、CS-7017(Daiichi Sankyo Pharma)、CT-322(Angiocept)(Adnexus)、クルクミン、ダルテパリン(Fragmin)(Pfizer)、ジスルフィラム(Antabuse)、E7820(Eisai Limited)、E7080(Eisai Limited)、EMD121974(シレンジタイド)(EMD Pharmaceuticals)、ENMD-1198(EntreMed)、ENMD-2076(EntreMed)、Endostar(Simcere)、Erbitux(ImClone/Bristol-Myers Squibb)、EZN-2208(Enzon Pharmaceuticals)、EZN-2968(Enzon Pharmaceuticals)、GC1008(Genzyme)、ゲニステイン、GSK1363089(Foretinib)(GlaxoSmithKline)、GW786034(パゾパニブ)(GlaxoSmithKline)、GT-111(Vascular Biogenics Ltd.)、IMC--1121B(ラムシルマブ)(ImClone Systems)、IMC-18F1(ImClone Systems)、IMC-3G3(ImClone LLC)、INCB007839(Incyte Corporation)、INGN 241(Introgen Therapeutics)、Iressa(ZD1839/ゲフィチニブ)、LBH589(Faridak/Panobinostst)(Novartis)、Lucentis(ラニビズマブ)(Genentech/Novartis)、LY317615(エンザスタウリン)(Eli Lilly and Company)、Macugen(ペガプタニブ)(Pfizer)、MEDI522(Abegrin)(MedImmune)、MLN518(タンデュチニブ)(Millennium)、Neovastat(AE941/Benefin)(Aeterna Zentaris)、Nexavar(Bayer/Onyx)、NM-3(Genzyme Corporation)、ノスカピン(Cougar Biotechnology)、NPI-2358(Nereus Pharmaceuticals)、OSI-930(OSI)、Palomid529(Paloma Pharmaceuticals、Inc.)、Panzemカプセル(2ME2)(EntreMed)、Panzem NCD(2ME2)(EntreMed)、PF-02341066(Pfizer)、PF-04554878(Pfizer)、PI-88(Progen Industries/Medigen Biotechnology)、PKC412(Novartis)、Polyphenon E(Green Tea Extract)(Polypheno E International、Inc)、PPI-2458(Praecis
Pharmaceuticals)、PTC299(PTC Therapeutics)、PTK787(バタラニブ)(Novartis)、PXD101(ベリノスタット)(CuraGen Corporation)、RAD001(エベロリムス)(Novartis)、RAF265(Novartis)、レゴラフェニブ(BAY73-4506)(Bayer)、Revlimid(Celgene)、Retaane(Alcon Research)、SN38(Liposomal)(Neopharm)、SNS-032(BMS-387032)(Sunesis)、SOM230(パシレオチド)(Novartis)、スクアラミン(Genaera)、スラミン、Sutent(Pfizer)、Tarceva(Genentech)、TB-403(Thrombogenics)、Tempostatin(Collard Biopharmaceuticals)、テトラチオモリブデン酸(Sigma-Aldrich)、TG100801(TargeGen)、サリドマイド(Celgene Corporation)、チンザパリンナトリウム、TKI258(Novartis)、TRC093(Tracon Pharmaceuticals Inc.)、VEGF Trap(アフリベルセプト)(Regeneron Pharmaceuticals)、VEGF Trap-Eye(Regeneron Pharmaceuticals)、Veglin(VasGene Therapeutics)、ボルテゾミブ(Millennium)、XL184(Exelixis)、XL647(Exelixis)、XL784(Exelixis)、XL820(Exelixis)、XL999(Exelixis)、ZD6474(AstraZeneca)、ボリノスタット(Merck)およびZSTK474。
ニルタミド(Nilandron(登録商標))およびビカルタミド(Caxodex(登録商標))を非限定的に含む抗アンドロゲン剤。
タモキシフェン(Nolvadex(登録商標))、トレミフェン(Fareston(登録商標))、レトロゾール(Femara(登録商標))、テストラクトン(Teslac(登録商標))、アナストロゾール(Arimidex(登録商標))、ビカルタミド(Casodex(登録商標))、エキセメスタン(Aromasin(登録商標))、フルタミド(Eulexin(登録商標))、フルベストラント(Faslodex(登録商標))、ラロキシフェン(Evista(登録商標)、Keoxifene(登録商標))および塩酸ラロキシフェンを非限定的に含む抗エストロゲン剤。
硝酸ガリウム(III)水和物(Ganite(登録商標))およびパミドロン酸二ナトリウム(Aredia(登録商標))を非限定的に含む抗高カルシウム血症剤。
エタノール、2-[[3-(2,3-ジクロロフェノキシ)プロピル]アミノ]-(9Cl)、ガンボギン酸、エンベリンおよび亜ヒ酸(Trisenox(登録商標))を非限定的に含むアポトーシス誘導剤。
ビヌクレイン2を非限定的に含むオーロラキナーゼ阻害剤。
テレ酸を非限定的に含むブルトン型チロシンキナーゼ。
シペルメトリン、デルタメトリン、フェンバレラートおよびチルホスチン8を非限定的に含むカルシニューリン阻害剤。
5-イソキノリンスルホン酸、4-[{2S)-2-[(5-イソキノリニルスルホニル)メチルアミノ]-3-オキソ-3-{4-フェニル-1-ピペラジニル)プロピル]フェニルエステルおよびベンゼンスルホンアミドを非限定的に含むCaMキナーゼII阻害剤。
ホスホン酸を非限定的に含むCD45チロシンホスファターゼ阻害剤。
1,4-ナフタレンジオン、2,3-ビス[(2-ヒドロキシエチル)チオ]-(9Cl)を非限定的に含むCDC25ホスファターゼ阻害剤。
デブロモヒメニアルジシンを非限定的に含むCHKキナーゼ阻害剤。
1H-インドール-3-アセトアミド、1-(4-クロロベンゾイル)-5-メトキシ-2-メチル-N-(2-フェニルエチル)-(9Cl)、5-アルキル置換2-アリールアミノフェニル酢酸およびその誘導体(例えば、セレコキシブ(Celebrex(登録商標))、ロフェコキシブ(Vioxx(登録商標))、エトリコキシブ(Arcoxia(登録商標))、ルミラコキシブ(Prexige(登録商標))、バルデコキシブ(Bextra(登録商標))または5-アルキル-2-アリールアミノフェニル酢酸)を非限定的に含むシクロオキシゲナーゼ阻害剤。
3-(3,5-ジブロモ-4-ヒドロキシベンジリデン)-5-ヨード-1,3-ジヒドロインドロ-2-オンおよびベンズアミド、3-(ジメチルアミノ)-N-[3-[(4-ヒドロキシベンゾイル)アミノ]-4-メチルフェニル]-(9Cl)を非限定的に含むcRAFキナーゼ阻害剤。
オロモウシンおよびその誘導体、プルバラノールB、ロスコビチン(Seliciclib(登録商標))、インジルビン、ケンパウロン、プルバラノールAおよびインジルビン-3’-モノオキシムを非限定的に含むサイクリン依存性キナーゼ阻害剤。
4-モルホリンカルボキサミド、N-[(1S)-3-フルオロ-2-オキソ-1-(2-フェニルエチル)プロピル]アミノ]-2-オキソ-1-(フェニルメチル)エチル]-(9Cl)を非限定的に含むシステインプロテアーゼ阻害剤。
プリカマイシン(Mithracin(登録商標))およびダプトマイシン(Cubicin(登録商標))を非限定的に含むDNAインターカレーター。
ブレオマイシン(Blenoxane(登録商標))を非限定的に含むDNA鎖切断剤。
N-((3,3,3-トリフルオロ-2-トリフルオロメチル)プロピオニル)スルファニルアミドを非限定的に含むE3リガーゼ阻害剤。
チルホスチン46、EKB-569、エルロチニブ(Tarceva(登録商標))、ゲフィチニブ(Iressa(登録商標))、ラパチニブ(Tykerb(登録商標))、ならびに国際公開第号97/02266号、欧州特許第0564409号、国際公開第99/03854号、欧州特許第0520722号、欧州特許第0566226号、欧州特許第0787722号、欧州特許第0837063号、米国特許第5,747,498号、国際公開第98/10767号、国際公開第97/30034号、国際公開第97/49688号、国際公開第97/38983号および国際公開第96/33980号で一般的および具体的に開示されている化合物を非限定的に含むEGF経路阻害剤。
A-ヒドロキシファルネシルホスホン酸、ブタン酸、2-[(2S)-2-[[(2S,3S)-2-[[(2R)-2-アミノ-3-メルカプトプロピル]アミノ]-3-メチルペンチル]オキシ]-1-オキソ-3-フェニルプロピル]アミノ]-4-(メチルスルホニル)-1-メチルエチルエステル(2S)-(9Cl)およびマニュマイシンAを非限定的に含むファルネシルトランスフェラーゼ阻害剤。
2-プロペンアミド、2-シアノ-3-[4-ヒドロキシ-3,5-ビス(1-メチルエチル)フェニル]-N-(3-フェニルプロピル)-(2E)-(9Cl)を非限定的に含むFlk-1キナーゼ阻害剤。
インジルビン-3’-モノオキシムを非限定的に含むグリコーゲン合成酵素キナーゼ-3(GSK3)阻害剤。
スベロイルアニリドヒドロキサム酸(SAHA)、[4-(2-アミノ-フェニルカルバモイル)-ベンジル]-カルバミン酸ピリジン-3-イルメチルエステルおよびその誘導体、酪酸、ピロキサミド、トリコスタチンA、オキサムフラチン、アピシジン、デプシペプチド、デプデシン、トラポキシン、および国際公開第02/22577号に開示されている化合物を非限定的に含むヒストン脱アセチル化酵素(HDAC)阻害剤。
2-プロペンニトリル、3-[(4-メチルフェニル)スルホニル]-(2E)-(9Cl)を非限定的に含むI-カッパB-アルファキナーゼ阻害剤(IKK)阻害剤。
テモゾロミド(Methazolastone(登録商標)、Temodar(登録商標)およびその誘導体(例えば、米国特許第5,260,291号で一般的および特異的に開示されているもの)、およびミトゾロミドを非限定的に含むイミダゾテトラジノン。
ヒドロキシル-2-ナフタレニルメチルホスホン酸を非限定的に含むインスリンチロシンキナーゼ阻害剤。
ピラゾールアントロンおよびエピガロカテキンガラートを非限定的に含むc-Jun-N末端キナーゼ(JNK)阻害剤。
ベンゼンスルホンアミド、N-[2-[[[3-(4-クロロフェニル)-2-プロペニル]メチル]アミノ]メチル]フェニル]-N-(2-ヒドロキシエチル)-4-メトキシ-(9Cl)を非限定的に含むマイトジェン活性化プロテインキナーゼ(MAP)阻害剤。
trans-4-ヨード、4’-ボラニル-カルコンを非限定的に含むMDM2阻害剤。
ビス[アミノ[2-アミノフェニル)チオ]メチレン]-(9Cl)を非限定的に含むMEK阻害剤。
アクチノニン、エピガロカテキンガラート、コラーゲンペプチド模倣薬および非ペプチド模倣阻害剤、テトラサイクリン誘導体マリマスタット(Marimastat(登録商標))、プリノマスタット、インサイクリジン(Metastat(登録商標))、サメ軟骨抽出物AE-941(Neovastat(登録商標))、タノマスタット、TAA211、MMI270BまたはAAJ996を非限定的に含むMMP阻害剤。
ラパマイシン(Rapamune(登録商標))ならびにその類似体および誘導体、AP23573(リダフォロリムス、デホロリムスまたはMK-8669としても知られる)、CCI-779(テムシロリムスとしても知られる)(Torisel(登録商標))ならびにSDZ-RADを非限定的に含むmTor阻害剤。
チルホスチンAG879を非限定的に含むNGFRチロシンキナーゼ阻害剤。
フェノール、4-[4-(4-フルオロフェニル)-5-(4-ピリジニル)-1H-イミダゾール-2-イル]-(9Cl)およびベンズアミド、3-(ジメチルアミノ)-N-[3-[(4-ヒドロキシルベンゾイル(hydroxylbenzoyl))アミノ]-4-メチルフェニル]-(9Cl)を非限定的に含むp38MAPキナーゼ阻害剤。
ダムナカンタールおよびチルホスチン46を非限定的に含むp56チロシンキナーゼ阻害剤。
チルホスチンAG1296、チルホスチン9、1,3-ブタジエン-1,1,3-トリカルボニトリル、2-アミノ-4-(1H-インドール-5-イル)-(9Cl)、イマチニブ(Gleevec(登録商標))およびゲフィチニブ(Iressa(登録商標))、ならびに欧州特許第0564409号およびPCT国際公開第99/03854号で一般的および具体的に開示されている化合物を非限定的に含むPDGF経路阻害剤。
ウォルトマンニンおよびクエルセチン水和物を非限定的に含むホスファチジルイノシトール3-キナーゼ阻害剤。
カンタリジン酸、カンタリジンおよびL-ロイシンアミドを非限定的に含むホスファターゼ阻害剤。
カンタリジン酸、カンタリジン、シュウ酸L-P-ブロモテトラミソール、2(5H)-フラノン、4-ヒドロキシ-5-(ヒドロキシメチル)-3-(1-オキソヘキサデシル)-(5R)-(9Cl)およびベンジルホスホン酸を非限定的に含むタンパク質ホスファターゼ阻害剤。
1-H-ピロロ(pyrollo)-2,5-ジオン,3-[1-[3-(ジメチルアミノ)プロピル]-1H-インドール-3-イル]-4-(1H-インドール-3-イル)-(9Cl)、ビスインドリルマレイミドIX、スフィノゴシン(Sphinogosine)、スタウロスポリンおよびヒペリシンを非限定的に含むPKC阻害剤。
ロットレリンを非限定的に含むPKCデルタキナーゼ阻害剤。
DMFOを非限定的に含むポリアミン合成阻害剤。
アクラシノマイシンA、グリオトキシンおよびボルテゾミブ(Velcade(登録商標))を非限定的に含むプロテアソーム阻害剤。
L-ロイシンアミドを非限定的に含むPTP1B阻害剤。
チルホスチンAg216、チルホスチンAg1288、チルホスチンAg1295、ゲルダナマイシン、ゲニステイン、ならびにPCT国際公開第03/013541号および米国特許出願公開第2008/0139587号で一般的および具体的に記載されている式Iの7H-ピロロ(pyrollo)[2,3-d]ピリミジン誘導体:
(米国特許出願公開第2008/0139587号は各種の置換基、例えば、R1、R2などを開示している)を非限定的に含むタンパク質チロシンキナーゼ阻害剤。
PP1およびPP2を非限定的に含むSRCファミリーチロシンキナーゼ阻害剤。
ピセタノールを非限定的に含むSykチロシンキナーゼ阻害剤。
チルホスチンAG490および2-ナフチルビニルケトンを非限定的に含むヤヌス(JAK-2および/またはJAK-3)チロシンキナーゼ阻害剤。
イソトレチノイン(Accutane(登録商標)、Amnesteem(登録商標)、Cistane(登録商標)、Claravis(登録商標)、Sotret(登録商標))およびトレチノイン(Aberel(登録商標)、Aknoten(登録商標)、Avita(登録商標)、Renova(登録商標)、Retin-A(登録商標)、Retin-A MICRO(登録商標)、Vesanoid(登録商標))を非限定的に含むレチノイド。
5,6-ジクロロ-1-ベータ-D-リボフラノシルベンゾイミダゾールを非限定的に含むRNAポリメラーゼII伸長阻害剤。
2-アミノプリンを非限定的に含むセリン/スレオニンキナーゼ阻害剤。
スクアレンエポキシダーゼおよびCYP2D6を非限定的に含むステロール生合成阻害剤。
抗VEGF抗体、例えばベバシズマブ、ならびに小分子、例えばスニチニブ(Sutent(登録商標))、ソラフェニブ(Nexavar(登録商標))、ZD6474(バンデタニブとしても知られる)(Zactima(商標))、SU6668、CP-547632、AV-951(チボザニブ)およびAZD2171(セディラニブとしても知られる)(レセンチン(商標))を非限定的に含むVEGF経路阻害剤。
化学療法剤の例は、科学文献および特許文献にも記載されており、例えば、Bulinski(1997)J.Cell Sci.110:3055-3064;Panda(1997)Proc.Natl.Acad.Sci.USA 94:10560-10564;Muhlradt(1997)Cancer Res.57:3344-3346;Nicolaou(1997)Nature 387:268-272;Vasquez(1997)Mol.Biol.Cell.8:973-985;Panda(1996)J.Biol.Chem 271:29807-29812を参照されたい。
いくつかの実施形態では、別のトポイソメラーゼ阻害剤の代わりに、例えば、第一選択治療または第二選択治療としてのトポイソメラーゼ阻害剤の代わりに、CDP-トポイソメラーゼ阻害剤コンジュゲート、粒子または組成物を投与する。例えば、以下のトポイソメラーゼ阻害剤:トポイソメラーゼI阻害剤、例えば、カンプトテシン、イリノテカン、SN-38、トポテカン、ラメラリンD;トポイソメラーゼII阻害剤、例えば、エトポシド、テノポシド(tenoposide)、ドキソルビシンのいずれかの代わりに、CDP-トポイソメラーゼ阻害剤コンジュゲート、粒子または組成物を使用し得る。
いくつかの場合には、CDP-トポイソメラーゼ阻害剤コンジュゲート、粒子または組成物と組み合わせてホルモン剤および/またはステロイド剤を投与し得る。ホルモン剤およびステロイド剤の例としては、以下のものが挙げられる:17a-エチニルエストラジオール(Estinyl(登録商標)、Ethinoral(登録商標)、Feminone(登録商標)、Orestralyn(登録商標))、ジエチルスチルベストロール(Acnestrol(登録商標)、Cyren A(登録商標)、Deladumone(登録商標)、Diastyl(登録商標)、Domestrol(登録商標)、Estrobene(登録商標)、Estrobene(登録商標)、Estrosyn(登録商標)、Fonatol(登録商標)、Makarol(登録商標)、Milestrol(登録商標)、Milestrol(登録商標)、Neo-Oestronol I(登録商標)、Oestrogenine(登録商標)、Oestromenin(登録商標)、Oestromon(登録商標)、Palestrol(登録商標)、Stilbestrol(登録商標)、Stilbetin(登録商標)、Stilboestroform(登録商標)、Stilboestrol(登録商標)、Synestrin(登録商標)、Synthoestrin(登録商標)、Vagestrol(登録商標))、テストステロン(Delatestryl(登録商標)、Testoderm(登録商標)、Testolin(登録商標)、Testostroval(登録商標)、Testostroval-PA(登録商標)、Testro AQ(登録商標))、プレドニゾン(Delta-Dome(登録商標)、Deltasone(登録商標)、Liquid Pred(登録商標)、Lisacort(登録商標)、Meticorten(登録商標)、Orasone(登録商標)、Prednicen-M(登録商標)、Sk-Prednisone(登録商標)、Sterapred(登録商標))、フルオキシメステロン(Android-F(登録商標)、Halodrin(登録商標)、Halotestin(登録商標)、Ora-Testryl(登録商標)、Ultandren(登録商標))、プロピオン酸ドロモスタノロン(Drolban(登録商標)、Emdisterone(登録商標)、Masterid(登録商標)、Masteril(登録商標)、Masteron(登録商標)、Masterone(登録商標)、Metholone(登録商標)、Permastril(登録商標))、テストラクトン(Teslac(登録商標))、酢酸メゲストロール(Magestin(登録商標)、Maygace(登録商標)、Megace(登録商標)、Megeron(登録商標)、Megestat(登録商標)、Megestil(登録商標)、Megestin(登録商標)、Nia(登録商標)、Niagestin(登録商標)、Ovaban(登録商標)、Ovarid(登録商標)、Volidan(登録商標))、メチルプレドニゾロン(Depo-Medrol(登録商標)、Medlone21(登録商標)、Medrol(登録商標)、Meprolone(登録商標)、Metrocort(登録商標)、Metypred(登録商標)、Solu-Medrol(登録商標)、Summicort(登録商標))、メチル-テストステロン(Android(登録商標)、Testred(登録商標)、Virilon(登録商標))、プレドニゾロン(Cortalone(登録商標)、Delta-Cortef(登録商標)、Hydeltra(登録商標)、Hydeltrasol(登録商標)、Meti-derm(登録商標)、Prelone(登録商標))、トリアムシノロン(Aristocort(登録商標))、クロロトリアニセン(Anisene(登録商標)、Chlorotrisin(登録商標)、Clorestrolo(登録商標)、Clorotrisin(登録商標)、Hormonisene(登録商標)、Khlortrianizen(登録商標)、Merbentul(登録商標)、Metace(登録商標)、Rianil(登録商標)、Tace(登録商標)、Tace-Fn(登録商標)、Trianisestrol(登録商標))、ヒドロキシプロゲステロン(Delalutin(登録商標)、Gestiva(商標))、アミノグルテチミド(Cytadren(登録商標)、Elipten(登録商標)、Orimeten(登録商標))、エストラムスチン(Emcyt(登録商標))、酢酸メドロキシプロゲステロン(Provera(登録商標)、Depo-Provera(登録商標))、ロイプロリド(Lupron(登録商標)、Viadur(登録商標))、フルタミド(Eulexin(登録商標))、トレミフェン(Fareston(登録商標))およびゴセレリン(Zoladex(登録商標))。
特定の実施形態では、CDP-トポイソメラーゼ阻害剤コンジュゲート、粒子または組成物を抗菌剤(例えば、レプトマイシンB)と組み合わせて投与する。
別の実施形態では、CDP-トポイソメラーゼ阻害剤コンジュゲート、粒子または組成物を、薬剤組成物による潜在的な副作用、例えば膀胱炎、過敏性、下痢、嘔気および嘔吐を軽減するための薬剤または処置と組み合わせて投与する。
膀胱炎は、尿排泄を増加させる、および/または1つ以上の尿代謝産物を中和する薬剤で軽減され得る。例えば、膀胱炎はMESNAで軽減または治療され得る。
下痢は、特に限定されないが、オピオイド(例えば、コデイン(Codicept(登録商標)、Coducept(登録商標))、オキシコデイン、パーコセット、パレゴリック、アヘンチンキ、ジフェノキシラート(Lomotil(登録商標))、ジフレノキシン(diflenoxin))およびロペラミド(Imodium A-D(登録商標))、ビスマスサブサリチラート、ランレオチド、バプレオチド(Sanvar(登録商標)、Sanvar IR(登録商標))、モチリン(motiln)アンタゴニスト、COX2阻害剤(例えば、セレコキシブ(Celebrex(登録商標))、グルタミン(NutreStore(登録商標))、サリドマイド(Synovir(登録商標)、Thalomid(登録商標))、従来の止瀉薬(例えば、カオリン、ペクチン、ベルベリンおよびムスカリン性薬物)、オクトレオチドおよびDPP-IV阻害剤止瀉剤を含めた止瀉剤で治療し得る。
本発明で使用するDPP-IV阻害剤は、PCT国際公開WO98/19998号、同DE19616486 A1号、同WO00/34241号および同WO95/15309号で一般的および具体的に開示されている。
嘔気および嘔吐は、制吐剤、例えばデキサメタゾン(Aeroseb-Dex(登録商標)、Alba-Dex(登録商標)、Decaderm(登録商標)、Decadrol(登録商標)、Decadron(登録商標)、Decasone(登録商標)、Decaspray(登録商標)、Deenar(登録商標)、Deronil(登録商標)、Dex-4(登録商標)、Dexace(登録商標)、Dexameth(登録商標)、Dezone(登録商標)、Gammacorten(登録商標)、Hexadrol(登録商標)、Maxidex(登録商標)、Sk-Dexamethasone(登録商標))、メトクロプラミド(Reglan(登録商標))、ジフェニルヒドラミン(Benadryl(登録商標)、SK-Diphenhydramine(登録商標))、ロラゼパム(Ativan(登録商標))、オンダンセトロン(Zofran(登録商標))、プロクロルペラジン(Bayer A173(登録商標)、Buccastem(登録商標)、Capazine(登録商標)、Combid(登録商標)、Compazine(登録商標)、Compro(登録商標)、Emelent(登録商標)、Emetiral(登録商標)、Eskatrol(登録商標)、Kronocin(登録商標)、Meterazin(登録商標)、Meterazin Maleate(登録商標)、Meterazine(登録商標)、Nipodal(登録商標)、Novamin(登録商標)、Pasotomin(登録商標)、Phenotil(登録商標)、Stemetil(登録商標)、Stemzine(登録商標)、Tementil(登録商標)、Temetid(登録商標)、Vertigon(登録商標))、チエチルペラジン(Norzine(登録商標)、Torecan(登録商標))およびドロナビノール(Marinol(登録商標))などで治療し得る。
いくつかの実施形態では、CDP-トポイソメラーゼ阻害剤コンジュゲート、粒子または組成物を、免疫抑制剤と組み合わせて投与する。組合せに適した免疫抑制剤としては、ナタリズマブ(Tysabri(登録商標))、アザチオプリン(Imuran(登録商標))、ミトキサントロン(Novantrone(登録商標))、ミコフェノール酸モフェチル(Cellcept(登録商標))、シクロスポリン(例えば、シクロスポリンA(Neoral(登録商標)、Sandimmun(登録商標)、Sandimmune(登録商標)、SangCya(登録商標))、カルシニューリン阻害剤(例えば、タクロリムス(Prograf(登録商標)、Protopic(登録商標))、シロリムス(Rapamune(登録商標))、エベロリムス(Afinitor(登録商標))、シクロホスファミド(Clafen(登録商標)、Cytoxan(登録商標)、Neosar(登録商標))またはメトトレキサート(Abitrexate(登録商標)、Folex(登録商標)、Methotrexate(登録商標)、Mexate(登録商標)))、フィンゴリモド、ミコフェノール酸モフェチル(CellCept(登録商標))、ミコフェノール酸(Myfortic(登録商標))、抗CD3抗体、抗CD25抗体(例えば、バシリキシマブ(Simulect(登録商標))またはダクリズマブ(Zenapax(登録商標)))および抗TNFα抗体(例えば、インフリキシマブ(Remicade(登録商標))またはアダリムマブ(Humira(登録商標)))が挙げられるが、これらに限定されない。
いくつかの実施形態では、CDP-トポイソメラーゼ阻害剤コンジュゲート、粒子または組成物を、CYP3A4阻害剤(例えば、ケトコナゾール(Nizoral(登録商標)、Xolegel(登録商標))、イトラコナゾール(Sporanox(登録商標))、クラリスロマイシン(Biaxin(登録商標))、アタザナビル(Reyataz(登録商標))、ネファゾドン(Serzone(登録商標)、Nefadar(登録商標))、サキナビル(Invirase(登録商標))、テリスロマイシン(Ketek(登録商標))、リトナビル(Norvir(登録商標))、アンプレナビル(Ageneraseとしても知られ、プロドラッグ型は、ホスアンプレナビル(Lexiva(登録商標)、Telzir(登録商標)である)、インジナビル(Crixivan(登録商標))、ネルフィナビル(Viracept(登録商標))、デラビルジン(Rescriptor(登録商標))またはボリコナゾール(Vfend(登録商標))と組み合わせて投与する。
この方法または組成物を使用する場合、臨床状況で腫瘍増殖または転移の調節に使用される制吐剤のような他の薬剤も、必要に応じて投与し得る。
本発明で取り上げられる医薬組成物を製剤化する場合、臨床医は、治療を受けている対象の状態により必要とされる好ましい量を使用し得る。例えば、一実施形態では、CDP-トポイソメラーゼ阻害剤コンジュゲート、粒子または組成物を、本明細書に記載の投与スケジュールで、例えば、1、2、3または4週間に1回、投与し得る。
また一般に、CDP-トポイソメラーゼ阻害剤コンジュゲート、粒子または組成物と追加の化学療法剤(1つまたは複数)を同じ医薬組成物で投与する必要はなく、異なる物理的および化学的特徴を理由に、異なる経路で投与する必要があり得る。例えば、CDP-トポイソメラーゼ阻害剤コンジュゲート、粒子または組成物は静脈内に投与し、化学療法剤(1つまたは複数)は経口的に投与し得る。同じ医薬組成物での投与が可能な場合、投与様式および投与の可否の決定は、臨床医の知識の範囲内である。当該技術分野で公知の確立されたプロトコールに従って初回投与を行い、次いで、観察された効果に基づいて、熟練した臨床医が投与様式および投与時間を修正し得る。
一実施形態では、CDP-トポイソメラーゼ阻害剤コンジュゲート、粒子または組成物を3週間に1回投与し、治療が必要である限り、追加の治療剤(1つまたは複数)を3週間に1回投与し得る。3週間に1回投与する他の化学療法剤の例としては、以下のものが挙げられる:抗代謝剤(例えば、フロクスウリジン(FUDF(登録商標))、ペメトレキセド(ALIMTA(登録商標))、5FU(Adrucil(登録商標)、Efudex(登録商標)、Fluoroplex(登録商標)));アントラサイクリン(例えば、ダウノルビシン(Cerubidine(登録商標)、Rubidomycin(登録商標))、エピルビシン(Ellence(登録商標))、イダルビシン(Idamycin(登録商標))、ミトキサントロン(Novantrone(登録商標))、バルルビシン(Valstar(登録商標)));ビンカアルカロイド(例えば、ビンブラスチン(Velban(登録商標)、Velsar(登録商標))、ビンクリスチン(Vincasar(登録商標)、Oncovin(登録商標))、ビンデシン(Eldisine(登録商標))およびビノレルビン(Navelbine(登録商標)));タキサン(例えば、パクリタキセル、ドセタキセル、ラロタキセルおよびカバジタキセル);および白金系薬剤(例えば、シスプラチン(Platinol(登録商標))、カルボプラチン(Paraplat(登録商標)、Paraplatin(登録商標))、オキサリプラチン(Eloxatin(登録商標)))。
別の実施形態では、CDP-トポイソメラーゼ阻害剤コンジュゲート、粒子または組成物を、2週間に1回、経口投与される1つ以上の追加の化学療法剤と組み合わせて投与する。例えば、CDP-トポイソメラーゼ阻害剤コンジュゲート、粒子または組成物を、2週間に1回、以下の化学療法剤:カペシタビン(Xeloda(登録商標))、エストラムスチン(Emcyt(登録商標))、エルロチニブ(Tarceva(登録商標))、ラパマイシン(Rapamune(登録商標))、SDZ-RAD、CP-547632;AZD2171、スニチニブ(Sutent(登録商標))、ソラフェニブ(Nexavar(登録商標))およびエベロリムス(Afinitor(登録商標))のうちの1つ以上と組み合わせて投与し得る。
CDP-トポイソメラーゼ阻害剤コンジュゲート、粒子もしくは組成物および/または任意の追加の化学療法剤の実際に用いられる用量は、対象の必要および治療する状態の重症度によって異なり得る。特定の状況に適した用量の決定は、当該分野の技術の範囲内にある。一般に、化合物の最適用量未満の比較的少ない用量から治療を始める。その後、最大効果がその状況下で達成されるまで用量を少量ずつ増加させる。
いくつかの実施形態では、CDP-トポイソメラーゼ阻害剤コンジュゲート、粒子または組成物を1つ以上の追加の化学療法剤と組み合わせて投与する場合、追加の化学療法剤(1つまたは複数)を標準用量で投与する。例えば、シスプラチンの標準用量は、3週間ごとに75~120mg/m2の投与であり;カルボプラチンの標準用量は、200~600mg/m2または0.5~8(mg/ml)・分のAUC;例えば、4~6(mg/ml)・分のAUCの範囲であり;イリノテカンの標準用量は、週1回100~125mg/m2の範囲であり;ゲムシタビンの標準用量は、80~1500mg/m2の週1回投与であり;UFTの標準用量は、ロイコボリン投与と組み合わせた場合、1日300~400mg/m2の範囲であり;ロイコボリンの標準用量は、10~600mg/m2の週1回投与である。
また本開示は、CDP-トポイソメラーゼ阻害剤コンジュゲート、粒子または組成物を1つまたは複数の追加の化学療法剤と組み合わせて投与する、癌の相乗治療のための方法も包含する。
コンジュゲート、粒子または組成物および抗増殖性細胞毒性薬(1つまたは複数)または放射線の個々の選択は、主治医による診断および主治医による対象の状態の判断、ならびに適する治療プロトコールによって決まる。
CDP-トポイソメラーゼ阻害剤コンジュゲート、粒子もしくは組成物および化学療法剤(1つもしくは複数)または放射線を同時に、または実質的に同時に投与しない場合、CDP-トポイソメラーゼ阻害剤コンジュゲート、粒子または組成物および化学療法剤(1つまたは複数)または放射線の最初の投与順序は様々であり得る。したがって、例えば、CDP-トポイソメラーゼ阻害剤コンジュゲート、粒子または組成物を最初に投与し、続いて化学療法剤(1つまたは複数)および/または放射線を投与するか;あるいは化学療法剤(1つまたは複数)および/または放射線を最初に投与し、続いてCDP-トポイソメラーゼ阻害剤コンジュゲート、粒子または組成物を投与する。この交互投与を単回治療プロトコールの間に繰り返す。治療プロトコールにおける各治療剤の投与順序および投与反復回数は、治療する疾患および対象の状態の評価後に、熟練した医師の知識の範囲内となる。
したがって、開業医は、経験と知識に従い、治療の進行に伴って個々の対象の必要に応じて治療の構成要素(CDP-トポイソメラーゼ阻害剤コンジュゲート、粒子もしくは組成物、抗腫瘍剤(1つまたは複数)または放射線)の投与のための各プロトコールを修正し得る。
投与された用量で治療が効果的であるか否かを判断する際に、担当臨床医は、対象の全般的な健康状態だけでなく、疾患関連症状の緩和、腫瘍増殖の抑制、腫瘍の実際の収縮または転移の抑制のような、より明確な徴候も考慮する。腫瘍サイズは、放射線検査、例えばCATまたはMRIスキャンなどの標準的な方法で測定することができ、また連続測定を用いて、腫瘍の増殖が遅延またさらに逆転しているか否かを判断することができる。疼痛のような疾患関連症状の緩和および全身状態の向上を用いて、治療の有効性の判断の補助とすることもできる。
適応症
本開示のCDP-トポイソメラーゼ阻害剤コンジュゲート、粒子および組成物は、増殖性疾患の治療、例えば腫瘍、例えば原発性腫瘍またはその転移である原発性腫瘍および/またはその転移、例えば本明細書に記載の癌または本明細書に記載の癌の転移の治療において有用である。
本開示のCDP-トポイソメラーゼ阻害剤コンジュゲート、粒子および組成物は、増殖性疾患の治療、例えば腫瘍、例えば原発性腫瘍またはその転移である原発性腫瘍および/またはその転移、例えば本明細書に記載の癌または本明細書に記載の癌の転移の治療において有用である。
本明細書に記載の方法を用いて、固形腫瘍、軟組織腫瘍または液性腫瘍を治療し得る。典型的な固形腫瘍としては、各種器官系の悪性腫瘍(例えば、肉腫および癌腫(例えば、腺癌または扁平上皮癌))、例えば脳、肺、乳房、リンパ系、胃腸管(例えば、結腸)および尿生殖器(例えば、腎臓、尿路上皮または精巣腫瘍)管、咽頭、前立腺および卵巣などの悪性腫瘍が挙げられる。典型的な腺癌としては、結腸直腸癌、腎細胞癌、肝臓癌、肺非小細胞癌および小腸癌が挙げられる。また本開示の方法は、軟組織腫瘍、例えば腱、筋肉または脂肪などの軟組織腫瘍、および液性腫瘍の評価または治療にも有用である。
本明細書に記載の方法は、任意の癌、例えば、米国国立癌研究所により記載されている癌に使用し得る。癌は、癌腫、肉腫、骨髄腫、白血病、リンパ腫または混合型であり得る。米国国立癌研究所により記載されている典型的な癌としては、以下のものが挙げられる:
消化器/胃腸癌、例えば、肛門癌;胆管癌;肝外胆管癌;虫垂癌;カルチノイド腫瘍,消化管癌;結腸癌;小児結腸直腸癌を含めた結腸直腸癌;小児食道癌を含めた食道癌;胆嚢癌;小児胃(gastric(stomach))癌を含めた胃(gastric(stomach))癌;小児肝細胞癌を含めた肝細胞癌;小児膵臓癌を含めた膵臓癌;肉腫、横紋筋肉腫;膵臓癌、島細胞;直腸癌;および小腸癌など;
内分泌癌、例えば、島細胞癌(内分泌膵臓);小児副腎皮質癌を含めた副腎皮質癌;胃腸管カルチノイド腫瘍;副甲状腺癌;褐色細胞腫;下垂体腫瘍;小児甲状腺癌を含めた甲状腺癌;小児多発性内分泌腫瘍症候群;および小児カルチノイド腫瘍など;
眼癌、例えば、眼球内黒色腫;および網膜芽細胞腫など;
筋骨格癌、例えば、ユーイング肉腫ファミリー腫瘍;骨肉腫/骨悪性線維性組織球腫;小児横紋筋肉腫を含めた横紋筋肉腫;小児軟部組織肉腫を含めた軟部組織肉腫;腱鞘明細胞肉腫;および子宮肉腫など;
乳癌、例えば、小児および男性乳癌を含めた乳癌および妊娠など;
神経癌、例えば、小児脳幹神経膠腫;脳腫瘍;小児小脳星状細胞腫;小児大脳星状細胞腫/悪性神経膠腫;小児上衣腫;小児髄芽腫;小児松果体およびテント上原始神経外胚葉性腫瘍;小児視覚路および視床下部神経膠腫;その他の小児脳癌;副腎皮質癌;中枢神経系リンパ腫、原発性;小児小脳星状細胞腫;神経芽腫;頭蓋咽頭腫;脊髄腫瘍;中枢神経系非定型奇形様/ラブドイド腫瘍;中枢神経系胚芽腫;ならびに小児および下垂体腫瘍を含めたテント上原始神経外胚葉性腫瘍など;
尿生殖器癌、例えば、小児膀胱癌を含めた膀胱癌;腎細胞(腎臓)癌;小児卵巣癌を含めた卵巣癌;卵巣上皮癌;卵巣低悪性度潜在腫瘍;陰茎癌;前立腺癌;小児腎細胞癌を含めた腎細胞癌;腎臓骨盤および尿管、移行上皮癌;精巣癌;尿道癌;腟癌;外陰癌;子宮頸癌;ウイルムス腫瘍およびその他の小児腎臓腫瘍;子宮内膜癌;ならびに妊娠性絨毛性腫瘍など;
胚細胞癌、例えば、小児頭蓋外胚細胞腫瘍;性腺外胚細胞腫瘍;卵巣胚細胞腫瘍;および精巣癌など;
頭頸部癌、例えば、口唇および口腔癌;小児口腔癌;下咽頭癌;小児喉頭癌を含めた喉頭癌;原発不明転移性頸部扁平上皮癌;口腔癌;鼻腔および副鼻腔癌;小児鼻咽頭癌を含めた鼻咽頭癌;中咽頭癌;副甲状腺癌;咽頭癌;小児唾液腺癌を含めた唾液腺癌;咽喉癌;ならびに甲状腺癌など;
血液/血液細胞癌、例えば、白血病(例えば、成人および小児の急性リンパ芽球性白血病;例えば成人および小児の急性骨髄性白血病;慢性リンパ球性白血病;慢性骨髄性白血病;および有毛細胞性白血病);リンパ腫(例えば、AIDS関連リンパ腫;皮膚T細胞リンパ腫;成人および小児のホジキンリンパ腫を含めたホジキンリンパ腫;妊娠中のホジキンリンパ腫;成人および小児の非ホジキンリンパ腫を含めた非ホジキンリンパ腫;妊娠中の非ホジキンリンパ腫;菌状息肉症;セザリー症候群;ワルデンストレームマクログロブリン血症;および原発性中枢神経系リンパ腫);ならびにその他の血液癌(例えば、慢性骨髄増殖性疾患;多発性骨髄腫/形質細胞腫瘍;骨髄異形成症候群;および骨髄異形成/骨髄増殖性疾患)など;
肺癌、例えば、非小細胞肺癌;および小細胞肺癌など;
呼吸器癌、例えば、成人および小児の悪性中皮腫を含めた悪性中皮腫;悪性胸腺腫;小児胸腺腫;胸腺癌;小児気管支腺腫/カルチノイドを含めた気管支腺腫/カルチノイド;胸膜肺芽腫;非小細胞肺癌;ならびに小細胞肺癌など;
皮膚癌、例えば、カポジ肉腫;メルケル細胞癌;黒色腫;および小児皮膚癌;
AIDS関連悪性腫瘍;
その他の小児癌、稀な小児癌および原発部位不明の小児癌;
また上記癌の転移も、本明細書に記載の方法に従って治療または予防し得る。
消化器/胃腸癌、例えば、肛門癌;胆管癌;肝外胆管癌;虫垂癌;カルチノイド腫瘍,消化管癌;結腸癌;小児結腸直腸癌を含めた結腸直腸癌;小児食道癌を含めた食道癌;胆嚢癌;小児胃(gastric(stomach))癌を含めた胃(gastric(stomach))癌;小児肝細胞癌を含めた肝細胞癌;小児膵臓癌を含めた膵臓癌;肉腫、横紋筋肉腫;膵臓癌、島細胞;直腸癌;および小腸癌など;
内分泌癌、例えば、島細胞癌(内分泌膵臓);小児副腎皮質癌を含めた副腎皮質癌;胃腸管カルチノイド腫瘍;副甲状腺癌;褐色細胞腫;下垂体腫瘍;小児甲状腺癌を含めた甲状腺癌;小児多発性内分泌腫瘍症候群;および小児カルチノイド腫瘍など;
眼癌、例えば、眼球内黒色腫;および網膜芽細胞腫など;
筋骨格癌、例えば、ユーイング肉腫ファミリー腫瘍;骨肉腫/骨悪性線維性組織球腫;小児横紋筋肉腫を含めた横紋筋肉腫;小児軟部組織肉腫を含めた軟部組織肉腫;腱鞘明細胞肉腫;および子宮肉腫など;
乳癌、例えば、小児および男性乳癌を含めた乳癌および妊娠など;
神経癌、例えば、小児脳幹神経膠腫;脳腫瘍;小児小脳星状細胞腫;小児大脳星状細胞腫/悪性神経膠腫;小児上衣腫;小児髄芽腫;小児松果体およびテント上原始神経外胚葉性腫瘍;小児視覚路および視床下部神経膠腫;その他の小児脳癌;副腎皮質癌;中枢神経系リンパ腫、原発性;小児小脳星状細胞腫;神経芽腫;頭蓋咽頭腫;脊髄腫瘍;中枢神経系非定型奇形様/ラブドイド腫瘍;中枢神経系胚芽腫;ならびに小児および下垂体腫瘍を含めたテント上原始神経外胚葉性腫瘍など;
尿生殖器癌、例えば、小児膀胱癌を含めた膀胱癌;腎細胞(腎臓)癌;小児卵巣癌を含めた卵巣癌;卵巣上皮癌;卵巣低悪性度潜在腫瘍;陰茎癌;前立腺癌;小児腎細胞癌を含めた腎細胞癌;腎臓骨盤および尿管、移行上皮癌;精巣癌;尿道癌;腟癌;外陰癌;子宮頸癌;ウイルムス腫瘍およびその他の小児腎臓腫瘍;子宮内膜癌;ならびに妊娠性絨毛性腫瘍など;
胚細胞癌、例えば、小児頭蓋外胚細胞腫瘍;性腺外胚細胞腫瘍;卵巣胚細胞腫瘍;および精巣癌など;
頭頸部癌、例えば、口唇および口腔癌;小児口腔癌;下咽頭癌;小児喉頭癌を含めた喉頭癌;原発不明転移性頸部扁平上皮癌;口腔癌;鼻腔および副鼻腔癌;小児鼻咽頭癌を含めた鼻咽頭癌;中咽頭癌;副甲状腺癌;咽頭癌;小児唾液腺癌を含めた唾液腺癌;咽喉癌;ならびに甲状腺癌など;
血液/血液細胞癌、例えば、白血病(例えば、成人および小児の急性リンパ芽球性白血病;例えば成人および小児の急性骨髄性白血病;慢性リンパ球性白血病;慢性骨髄性白血病;および有毛細胞性白血病);リンパ腫(例えば、AIDS関連リンパ腫;皮膚T細胞リンパ腫;成人および小児のホジキンリンパ腫を含めたホジキンリンパ腫;妊娠中のホジキンリンパ腫;成人および小児の非ホジキンリンパ腫を含めた非ホジキンリンパ腫;妊娠中の非ホジキンリンパ腫;菌状息肉症;セザリー症候群;ワルデンストレームマクログロブリン血症;および原発性中枢神経系リンパ腫);ならびにその他の血液癌(例えば、慢性骨髄増殖性疾患;多発性骨髄腫/形質細胞腫瘍;骨髄異形成症候群;および骨髄異形成/骨髄増殖性疾患)など;
肺癌、例えば、非小細胞肺癌;および小細胞肺癌など;
呼吸器癌、例えば、成人および小児の悪性中皮腫を含めた悪性中皮腫;悪性胸腺腫;小児胸腺腫;胸腺癌;小児気管支腺腫/カルチノイドを含めた気管支腺腫/カルチノイド;胸膜肺芽腫;非小細胞肺癌;ならびに小細胞肺癌など;
皮膚癌、例えば、カポジ肉腫;メルケル細胞癌;黒色腫;および小児皮膚癌;
AIDS関連悪性腫瘍;
その他の小児癌、稀な小児癌および原発部位不明の小児癌;
また上記癌の転移も、本明細書に記載の方法に従って治療または予防し得る。
本明細書に記載のCDP-トポイソメラーゼ阻害剤コンジュゲート、粒子および組成物は、胃癌、結腸直腸癌、非小細胞肺癌、卵巣癌および乳癌の進行性または転移性癌の治療に特に適する。
一実施形態では、例えばCDP-トポイソメラーゼ阻害剤コンジュゲート、粒子または組成物と第二の治療剤での治療などによる、癌の併用療法のための方法が提供される。各種の組合せが本明細書に記載されている。これらの組合せにより、哺乳動物宿主において、腫瘍の発達を低減する、腫瘍量を減少させる、または腫瘍退縮をもたらすことができる。
別途定義されない限り、本明細書で使用される技術的および科学的用語はすべて、本発明の属する分野の当業者により一般的に理解されているものと同じ意味を有する。本明細書で言及されるすべての刊行物、特許出願、特許およびその他の参考文献は、その内容全体が参照により組み込まれる。矛盾が生じた場合には、定義を含めた本明細書が優先される。さらに、材料、方法および実施例は単に例示的なものであり、限定することを意図するものではない。
実施例1:CRLX101のヒト第1相試験
以下の実施例では、最初のCRLX101のヒト第1相試験を記載する。試験は2部で構成されていた。第1相試験の第1部は、各4週間サイクルのうちの連続する3週間で毎週(初回投与レジメン、本明細書では「毎週×3」と呼ばれる場合がある)投与した場合のCRLX101の安全性プロファイル、毒性および薬物動態を判定することを主目的とした。第2部では、最初の12例の患者を登録した後、第1相プログラムの残りの期間のために1週間おきのスケジュール(本明細書では「隔週」と呼ばれる場合がある)を開始した。
以下の実施例では、最初のCRLX101のヒト第1相試験を記載する。試験は2部で構成されていた。第1相試験の第1部は、各4週間サイクルのうちの連続する3週間で毎週(初回投与レジメン、本明細書では「毎週×3」と呼ばれる場合がある)投与した場合のCRLX101の安全性プロファイル、毒性および薬物動態を判定することを主目的とした。第2部では、最初の12例の患者を登録した後、第1相プログラムの残りの期間のために1週間おきのスケジュール(本明細書では「隔週」と呼ばれる場合がある)を開始した。
患者および方法
適格基準
標準治療に対して難治性であるかまたは標準的治療法もしくは緩和療法が存在しない転移性または切除不能固形腫瘍が組織学的または細胞学的に確認される患者が、この試験に適格であった。トポイソメラーゼ阻害剤での先行治療が認められていた。主な適格基準には、18歳以上の男女患者であること、標準治療に対して難治性であるまたは標準治療が存在しない、組織学的に確認される進行性の固形腫瘍、測定また評価が可能な疾患を有すること、Eastern Cooperative Oncology Group(ECOG)パフォーマンスステータスが2以下であること、許容される器官および骨髄機能であること、伝導異常または虚血の臨床的に重要な証拠がないこと、駆出率が45%以上であることが含まれていた。事前の化学療法、放射線療法または試験的治療は、登録前の規定のインターバル内に終えているとともに、自家幹細胞レスキュー骨髄移植での高用量の化学療法は含んではならず、かつ患者はトポイソメラーゼI阻害剤による先行治療に難治性であってはならなかった。
適格基準
標準治療に対して難治性であるかまたは標準的治療法もしくは緩和療法が存在しない転移性または切除不能固形腫瘍が組織学的または細胞学的に確認される患者が、この試験に適格であった。トポイソメラーゼ阻害剤での先行治療が認められていた。主な適格基準には、18歳以上の男女患者であること、標準治療に対して難治性であるまたは標準治療が存在しない、組織学的に確認される進行性の固形腫瘍、測定また評価が可能な疾患を有すること、Eastern Cooperative Oncology Group(ECOG)パフォーマンスステータスが2以下であること、許容される器官および骨髄機能であること、伝導異常または虚血の臨床的に重要な証拠がないこと、駆出率が45%以上であることが含まれていた。事前の化学療法、放射線療法または試験的治療は、登録前の規定のインターバル内に終えているとともに、自家幹細胞レスキュー骨髄移植での高用量の化学療法は含んではならず、かつ患者はトポイソメラーゼI阻害剤による先行治療に難治性であってはならなかった。
この試験は、Clinical Protocol Review and Monitoring Committee(CPRMC)および治験審査委員会(IRB)の承認後にCity of Hope(COH)(Duarte,CA)で行われた。最初の18例の患者を登録した後、WIRB(Western Institutional Review Broad)の承認後にTGen(Scottsdale,AZ)においてさらに施設を追加した。
試験計画および薬物投与
CRLX101のオープン、単群、用量漸増の第1相試験であった。第1部では、CRLX101を、1ヶ月当たり3週間、週1回のスケジュールで、6、12または18mg/m2投与した。第2部では、CRLX101を、1週間おきのスケジュールで、12、15または18mg/m2投与した。
CRLX101のオープン、単群、用量漸増の第1相試験であった。第1部では、CRLX101を、1ヶ月当たり3週間、週1回のスケジュールで、6、12または18mg/m2投与した。第2部では、CRLX101を、1週間おきのスケジュールで、12、15または18mg/m2投与した。
第1部では、1、8および15日目に、CRLX101を90分間の静脈内注入で投与し、その後、7日間の休息期間を設けた(28日サイクル)。第2部では1日目、15日目および28日毎に、CRLX101を90分間の静脈内注入で投与した。第1相試験の第2部では、残りの6例の患者に対して、1日目および15日目、および28日ごとにに、CRLX101を60分間の静脈内注入で投与した。
第1部での開始用量は6mg/m2であった。Fibonacci用量漸増スキームで修正した加速されたSimonデザイン(Simonら,“Accelerated Titration Designs for Phase I Clinical Trials in Oncology”J Natl Cancer Inst.89:1138-47,1997)を用いて用量漸増を行った。簡潔には、最初のサイクルで用量制限毒性(DLT)が生じるまで用量を漸増させる1つのコホートに患者を集めた。DLTが生じれば、最大耐量を決定する目的で、その用量群に追加の患者を集めて、標準的な用量漸増で準備したように3例または6例の患者を準備した。同じ用量レベル内での同時発生は認められた。患者内での用量漸増は認められなかった。
毒性評価
米国国立癌研究所(NCI)共通毒性基準(CTCAE)第3.0版に従って毒性をグレードに分けた。所与の患者でのDLTは、治療に関連する任意のグレートIIIの非血液毒性、任意のグレードIVの血液毒性、または計画された治療を2週間よりも遅らせる必要のある任意のグレードの持続的毒性に定めた。DLTは最初の治療過程に基づくものであった。
米国国立癌研究所(NCI)共通毒性基準(CTCAE)第3.0版に従って毒性をグレードに分けた。所与の患者でのDLTは、治療に関連する任意のグレートIIIの非血液毒性、任意のグレードIVの血液毒性、または計画された治療を2週間よりも遅らせる必要のある任意のグレードの持続的毒性に定めた。DLTは最初の治療過程に基づくものであった。
用量漸増の規則
患者1例を各用量レベルで治療した。試験薬物(単数または複数)に帰しうるDLTが経験された場合、続いてさらに5例以下の患者をその用量レベルで治療した。増加させた用量レベルでさらなるDLTが観察されなければ(すなわち、起因するDLTが最大1/6である)、用量を漸増させた。患者6例のうち2例が所与の用量レベルの試験薬物に起因する任意のDLTを経験したとき、漸増を終了した。最大耐容量(MTD)は、2/6以上の患者が初回のDLTを経験する用量の前の用量レベルに定めた。DLTが観察されず、かつ臨床的有用性が観察された場合、個々の患者で同じ用量レベルで合計6サイクルの間、治療を継続した。過度の毒性が経験された場合、どの患者においても治療を中止した。患者内での用量漸増は認めなかった。6サイクルを完了し臨床的有用性が認められた患者は、隔週で同じ用量レベルの治療を任意選択で続けた。
患者1例を各用量レベルで治療した。試験薬物(単数または複数)に帰しうるDLTが経験された場合、続いてさらに5例以下の患者をその用量レベルで治療した。増加させた用量レベルでさらなるDLTが観察されなければ(すなわち、起因するDLTが最大1/6である)、用量を漸増させた。患者6例のうち2例が所与の用量レベルの試験薬物に起因する任意のDLTを経験したとき、漸増を終了した。最大耐容量(MTD)は、2/6以上の患者が初回のDLTを経験する用量の前の用量レベルに定めた。DLTが観察されず、かつ臨床的有用性が観察された場合、個々の患者で同じ用量レベルで合計6サイクルの間、治療を継続した。過度の毒性が経験された場合、どの患者においても治療を中止した。患者内での用量漸増は認めなかった。6サイクルを完了し臨床的有用性が認められた患者は、隔週で同じ用量レベルの治療を任意選択で続けた。
安全性および有効性の評価
患者を各投与の前に、診察、検査し、全血数を血球分画および血清化学と共に得た。2サイクルごとにX線撮影による腫瘍応答の評価(Response Evaluation Criteria in Solid Tumor criteria RECISTにより評価した)を行った(Therasseら,“New Guidelines to Evaluate the Response to Treatment in
Solid Tumors.European Organization for Research and Treatment of Cancer,National Cancer Institute of the United States,National Cancer Institute of Canada” J.Natl.Cancer Inst.92:205-16,2000)。
患者を各投与の前に、診察、検査し、全血数を血球分画および血清化学と共に得た。2サイクルごとにX線撮影による腫瘍応答の評価(Response Evaluation Criteria in Solid Tumor criteria RECISTにより評価した)を行った(Therasseら,“New Guidelines to Evaluate the Response to Treatment in
Solid Tumors.European Organization for Research and Treatment of Cancer,National Cancer Institute of the United States,National Cancer Institute of Canada” J.Natl.Cancer Inst.92:205-16,2000)。
治療法の修正
初回サイクル中にDLTを、または試験中の任意の時点で重症のもしくは致命的な非血液毒性を経験した患者では、DLTがグレード1まで回復した場合、次の用量投与で用量を減らした。サイクル内での各投与のインターバルの間に非血液DLTが生じ、かつ毒性が致命的ではなく直ちに消散した場合、そのサイクル内での次の用量投与は1段階低い用量レベルにすることにした。サイクル内での各投与のインターバルの間に血液DLTが生じた場合、次の計画された投与の日までに血液細胞数が回復しても、次の用量投与は1段階低い用量レベルにすることにした。グレード2の疲労および食欲不振を除く、グレード2以上のいかなる非血液毒性でも投与を保留することにした。最初のサイクルの後、用量修正はインターバルでの毒性に基づき、また治療当日に血小板数および顆粒球数を得た。
初回サイクル中にDLTを、または試験中の任意の時点で重症のもしくは致命的な非血液毒性を経験した患者では、DLTがグレード1まで回復した場合、次の用量投与で用量を減らした。サイクル内での各投与のインターバルの間に非血液DLTが生じ、かつ毒性が致命的ではなく直ちに消散した場合、そのサイクル内での次の用量投与は1段階低い用量レベルにすることにした。サイクル内での各投与のインターバルの間に血液DLTが生じた場合、次の計画された投与の日までに血液細胞数が回復しても、次の用量投与は1段階低い用量レベルにすることにした。グレード2の疲労および食欲不振を除く、グレード2以上のいかなる非血液毒性でも投与を保留することにした。最初のサイクルの後、用量修正はインターバルでの毒性に基づき、また治療当日に血小板数および顆粒球数を得た。
血液毒性:
サイクルの1日目に、CRLX101の投与には1500以上の絶対顆粒球数(AGC)および100,000以上の血小板数を必要とした。8日目に、AGCが1000以上であり、かつ血小板数が75,000以上であれば、全用量でCRLX101を投与し、同じ方法で15日目にも行った。AGCが1000未満であれば、治療医は8日目および15日目のCRLX101投与を遅らせることができた。許容できない血液毒性が7日間よりも長く続いた場合は、CRLX101用量を1段階低い用量レベルまで減らした。同様の基準を隔週の部で用いた。
サイクルの1日目に、CRLX101の投与には1500以上の絶対顆粒球数(AGC)および100,000以上の血小板数を必要とした。8日目に、AGCが1000以上であり、かつ血小板数が75,000以上であれば、全用量でCRLX101を投与し、同じ方法で15日目にも行った。AGCが1000未満であれば、治療医は8日目および15日目のCRLX101投与を遅らせることができた。許容できない血液毒性が7日間よりも長く続いた場合は、CRLX101用量を1段階低い用量レベルまで減らした。同様の基準を隔週の部で用いた。
非血液毒性:
患者に許容されない任意のグレード2の毒性またはCRLX101に帰しうるグレード3以上の任意の非血液毒性は、新たな治療サイクルが開始される前にグレード1まで回復しなければならなかった。どの治療でもCRLX101に起因する毒性による遅延が2週間を上回れば、患者を試験から除外した。患者がグレード3の任意の尿生殖器(GU)毒性を経験した場合、CRLX101の用量を1段階低い用量レベルまで減らしたが、これはCPTが、回復不可能となり得る血尿、膀胱炎またはその他のGU毒性を引き起こすことが報告されているからである。患者がグレード3の非血液毒性を経験し、次の治療の前にそれがグレード1まで回復しなければ、回復するまで治療を保留してから、1用量レベルだけ減らした。患者がグレード4の非血液毒性を経験し、次の治療の前にそれがグレード1まで回復しなければ、次のサイクルで用量を50%だけ減らした。血液毒性および非血液毒性による相克的な用量低減がない場合、多い方の減量を適用した。すべての用量修正は永続的であった。治療から除外する基準には、疾患進行、臨床的進行、過度の毒性または患者の脱退が含まれていた。
患者に許容されない任意のグレード2の毒性またはCRLX101に帰しうるグレード3以上の任意の非血液毒性は、新たな治療サイクルが開始される前にグレード1まで回復しなければならなかった。どの治療でもCRLX101に起因する毒性による遅延が2週間を上回れば、患者を試験から除外した。患者がグレード3の任意の尿生殖器(GU)毒性を経験した場合、CRLX101の用量を1段階低い用量レベルまで減らしたが、これはCPTが、回復不可能となり得る血尿、膀胱炎またはその他のGU毒性を引き起こすことが報告されているからである。患者がグレード3の非血液毒性を経験し、次の治療の前にそれがグレード1まで回復しなければ、回復するまで治療を保留してから、1用量レベルだけ減らした。患者がグレード4の非血液毒性を経験し、次の治療の前にそれがグレード1まで回復しなければ、次のサイクルで用量を50%だけ減らした。血液毒性および非血液毒性による相克的な用量低減がない場合、多い方の減量を適用した。すべての用量修正は永続的であった。治療から除外する基準には、疾患進行、臨床的進行、過度の毒性または患者の脱退が含まれていた。
血漿/尿の試料採取および解析
サイクル1の間に以下の時点:投与前、投与中の30分、60分および投与終了直前(90分)、次いで、最初の投与後の0.25、0.5、1、2、3、4、6、8、24時間、(任意に48~72時間)、168時間(1週間)および336時間(隔週スケジュールの患者のみ)で、ヘパリン処置したチューブ内に全血試料(5mL)を採取した。各サイクルの1日目および15日目に、随意トラフPK血液試料を投与前に採取した。4℃、10分間、1,300×gの遠心分離により血漿を分離した。血漿を-20℃で直ちに凍結させ、解析まで凍結保管した。ポリマーコンジュゲートおよび未結合CPTの尿排泄を判定するために、最初のサイクルの投与1の後(投与後0~24時間および24~48時間)に全尿採取を行った。遊離CPTに対する全CPT比をより正確に決定するために、随時尿試料(15mL)を8、24、48、168(1週間)および336時間(2回目の投与の前)で採取した。各尿採取が完了してから、実際の採取時間および全尿量を記録し、それぞれ5~10mLのアリコートを後の薬物レベル分析用に凍結した。
サイクル1の間に以下の時点:投与前、投与中の30分、60分および投与終了直前(90分)、次いで、最初の投与後の0.25、0.5、1、2、3、4、6、8、24時間、(任意に48~72時間)、168時間(1週間)および336時間(隔週スケジュールの患者のみ)で、ヘパリン処置したチューブ内に全血試料(5mL)を採取した。各サイクルの1日目および15日目に、随意トラフPK血液試料を投与前に採取した。4℃、10分間、1,300×gの遠心分離により血漿を分離した。血漿を-20℃で直ちに凍結させ、解析まで凍結保管した。ポリマーコンジュゲートおよび未結合CPTの尿排泄を判定するために、最初のサイクルの投与1の後(投与後0~24時間および24~48時間)に全尿採取を行った。遊離CPTに対する全CPT比をより正確に決定するために、随時尿試料(15mL)を8、24、48、168(1週間)および336時間(2回目の投与の前)で採取した。各尿採取が完了してから、実際の採取時間および全尿量を記録し、それぞれ5~10mLのアリコートを後の薬物レベル分析用に凍結した。
有効な方法を用いて、試料を抽出し、LC-MS/MS(液体クロマトグラフィー質量分析/質量分析法)により解析した。試料中の全CPTを決定するために、20μLのアリコートを5μLの0.2N NaOHと共に1時間インキュベートし、ポリマーコンジュゲートから全CPTを解離させた。溶液を7μLの44%ギ酸で酸性化した。内部標準9-ニトロカンプトテシン(9-NC)を8ng/mLの濃度で含有する160μLの冷メタノール(-20℃未満)の添加、氷上での30分間のインキュベーションおよび14,000rpmでの遠心分離により、タンパク質を沈殿させた。得られた上清を等体積の0.5mM酢酸アンモニウム緩衝液(pH3.5)で希釈し、LC-MS/MSにより解析した。
試料中の非コンジュゲートCPTを決定するため、20μLのアリコートを3μLの44%ギ酸で酸性化した。9-NCを8ng/mLの濃度で含有する160μLの冷メタノール(-20℃未満)の添加、氷上での30分間のインキュベーションおよび14,000rpmでの遠心分離により、タンパク質を沈殿させた。得られた上清を等体積の0.5mM酢酸アンモニウム緩衝液(pH3.5)で希釈し、LC-MS/MSにより解析した。
Micromass Quattro Ultima Triple四極子質量分析器(Micromass,Inc.,Beverly,MA)と連結したAgilent1100シリーズHPLCシステム(Palo Alto,CA)でLC-MS/MSを行った。C18ガードカラム(Phenomenex,Torrance,CA)、次いでSynergy Hydro-RP 4μm 75×2mmの分析カラム(Phenomenex,Torrance,CA)を用いてHPLC分離を行った。アイソクラティック移動相の構成は、34%のアセトニトリル、66%の0.5mMの酢酸アンモニウム、pH3.5、室温で流速0.2mL/分であった。データの収集および処理にはMassLynxバージョン3.5ソフトウェアを使用した。
トポイソメラーゼI発現の免疫組織化学的解析
卵巣癌を有する患者1例から、治療前および6mg/m2でのCRLX101による治療後2日目に腹水液を採取した。細胞を遠心分離によりペレット化し、ペレットを凍結させた。ペレットをホルマリン固定し、パラフィン包埋した。厚さ5μmの切片に免疫組織化学染色を施した。切片をキシレン、次いで100%エタノールで脱パラフィンした。次いで試料を3%過酸化水素で反応停止させ、DIVA/クエン酸緩衝剤(pH6.0,Biocare Medical,Concord,CA)溶液の蒸気により前処理を行って抗原回復を促進した。抗原回復後、スライドをProtein Block中で20分間インキュベートした。次いでスライドを4℃で一晩、一次抗体とインキュベートした。トポイソメラーゼI抗体はAbcam(Cambridge,MA)のウサギポリクローナルであった。
卵巣癌を有する患者1例から、治療前および6mg/m2でのCRLX101による治療後2日目に腹水液を採取した。細胞を遠心分離によりペレット化し、ペレットを凍結させた。ペレットをホルマリン固定し、パラフィン包埋した。厚さ5μmの切片に免疫組織化学染色を施した。切片をキシレン、次いで100%エタノールで脱パラフィンした。次いで試料を3%過酸化水素で反応停止させ、DIVA/クエン酸緩衝剤(pH6.0,Biocare Medical,Concord,CA)溶液の蒸気により前処理を行って抗原回復を促進した。抗原回復後、スライドをProtein Block中で20分間インキュベートした。次いでスライドを4℃で一晩、一次抗体とインキュベートした。トポイソメラーゼI抗体はAbcam(Cambridge,MA)のウサギポリクローナルであった。
翌日、スライドをDako緩衝液(DB)で洗浄し、室温で30分間、適当な二次抗体とインキュベートした。DBでの洗浄後、スライドを色素原ジアミノベンジジン四塩酸塩(DAB)とインキュベートし、ヘマトキシリンで対比染色して、装着した。
トポイソメラーゼI酵素活性アッセイ
特に凍結細胞に対して用いる方法である、Minagawaらの方法(“Enhanced Topoisomerase I Activity and Increased Topoisomerase II Alpha Content in Cisplatin-Resistant Cancer Cell Lines”Jpn J Cancer Res.88:1218-23,1997)に従って、そのままの凍結腹水細胞から全細胞タンパク質を含有するライセートを作製した。
特に凍結細胞に対して用いる方法である、Minagawaらの方法(“Enhanced Topoisomerase I Activity and Increased Topoisomerase II Alpha Content in Cisplatin-Resistant Cancer Cell Lines”Jpn J Cancer Res.88:1218-23,1997)に従って、そのままの凍結腹水細胞から全細胞タンパク質を含有するライセートを作製した。
製造者の説明書に従って、スーパーコイル化プラスミド基質DNAの弛緩をTopo Iアッセイキット(TopoGEN,Port Orange,FL)を用いて測定することにより、トポイソメラーゼIの触媒活性を判定した。簡潔には、反応混合物はスーパーコイル化プラスミド基質DNA(0.5μg)、全細胞ライセート(0.25μgまたは0.5μg、データ中に示されている)およびアッセイ緩衝液(最終濃度:10mMのトリスHCl[pH7.9]、1mMのEDTA、150mMのNaCl、0.1%のBSA、0.1mMのスペルミジンおよび5%のグリセロール)で構成されていた。反応混合物を37℃で30分間インキュベートし、5μLの停止緩衝液/ゲルローディング緩衝液の添加により停止させた。試料を1×TAE緩衝液(40mMのトリス塩基[pH8.3、氷酢酸を用いて50×ストック緩衝液中で調整]、2.5mMのNaOAcおよび0.05mMのEDTA)中1%のアガロースゲル上に負荷し、1センチメートル当たり4~5ボルトで3~4時間、電気泳動した。Topo Iアッセイキットにより得られたスーパーコイル化プラスミドDNA(0.5μg)および弛緩したDNA(0.5μg)を対照マーカーとして使用した。ゲルを室温で20分間、0.2μg/mLの臭化エチジウムで染色し、水で20分間脱染し、紫外(UV)光下で写真撮影した。
薬物動態および統計解析
血漿濃度対時間のデータをADAPTII(Biomedical Simulations Resource,Los Angeles)非コンパートメントモデルを用いて解析した。結果を記述統計を用いてまとめる。
血漿濃度対時間のデータをADAPTII(Biomedical Simulations Resource,Los Angeles)非コンパートメントモデルを用いて解析した。結果を記述統計を用いてまとめる。
結果
患者登録
2006年6月~2010年4月までに24例の患者を登録した。患者特性を表1にまとめる。患者は各種の固形腫瘍を有し、肺癌が最も多い腫瘍タイプであった。全24例の患者が2つの完全な治療サイクルを受け、毒性の評価が可能であると見なされた。
患者登録
2006年6月~2010年4月までに24例の患者を登録した。患者特性を表1にまとめる。患者は各種の固形腫瘍を有し、肺癌が最も多い腫瘍タイプであった。全24例の患者が2つの完全な治療サイクルを受け、毒性の評価が可能であると見なされた。
腫瘍応答
患者の用量およびデータを表2に示す。最初の投与スケジュール(第1部)では、肺および肝臓まで拡散した転移性膵臓癌を有する患者1例が安定(stable disease)を経験し、疾患進行前に合計22サイクルの救済治療を受けた。この患者に行ったCTスキャンの結果を図1Aおよび1Bに示す。肺転移を有する腎臓癌の患者1例、非小細胞肺癌患者を有する患者2例および膵臓腺癌を有する患者1例の計4例の患者が、長期(6ヶ月超)のSD(安定(stable disease))を経験した(表3)。全患者が転移性疾患の強力な前治療を受けていた(表3を参照されたい)。このプロトコールではCPTによる先行治療が認められていたが、上記患者はいずれも先行CPT治療を受けていなかった。
患者の用量およびデータを表2に示す。最初の投与スケジュール(第1部)では、肺および肝臓まで拡散した転移性膵臓癌を有する患者1例が安定(stable disease)を経験し、疾患進行前に合計22サイクルの救済治療を受けた。この患者に行ったCTスキャンの結果を図1Aおよび1Bに示す。肺転移を有する腎臓癌の患者1例、非小細胞肺癌患者を有する患者2例および膵臓腺癌を有する患者1例の計4例の患者が、長期(6ヶ月超)のSD(安定(stable disease))を経験した(表3)。全患者が転移性疾患の強力な前治療を受けていた(表3を参照されたい)。このプロトコールではCPTによる先行治療が認められていたが、上記患者はいずれも先行CPT治療を受けていなかった。
毒性評価
登録した第一の全12例の患者(週1回×3)が、6mg/m2を上回る用量でグレード3または4の毒性を経験した。6mg/m2よりも高用量で治療した全患者で重度の毒性が観察されたため、この最初の12例の患者の後に週1回×3スケジュールを中止した。患者1例が、5サイクルの週1回×3のスケジュール(1サイクル当たり3用量)で9mg/m2を忍容した。
登録した第一の全12例の患者(週1回×3)が、6mg/m2を上回る用量でグレード3または4の毒性を経験した。6mg/m2よりも高用量で治療した全患者で重度の毒性が観察されたため、この最初の12例の患者の後に週1回×3スケジュールを中止した。患者1例が、5サイクルの週1回×3のスケジュール(1サイクル当たり3用量)で9mg/m2を忍容した。
隔週スケジュールに登録した第二の12例の患者では、MTDに達するまで重度の毒性を経験した者はいなかった。グレード2のDLTには以下のものが含まれていた。
患者1例がサイクル2の8日目にグレード2の貧血を経験した。このグレード2の血液毒性は2週間で消散した。
肺癌の患者1例で臨床検査におけるアミラーゼ上昇が見られたが、膵炎の臨床症状は見られなかった。
頭頸部癌の患者1例(強力な先行化学療法を受けた鼻咽頭癌)が、サイクル2の1日目に遅延性のグレード2の高トランスアミナーゼ血症を経験した。
肺癌の患者1例がグレード2の血液毒性を経験し、毒性は2週間で消散した。
最高用量での試験では、患者2例がDLT血液毒性を経験した。第一の患者は、肺およびその他の器官への転移性疾患を有する乳癌患者で、複数の化学療法レジメンを以前受けていたが、グレード3の貧血、好中球減少症および血小板減少症を発症した。この患者は血小板輸血が必要であった。第二の患者は転移性肺癌を有し、以前カルボプラチンおよびパクリタキセルを投与され、短時間の応答を得ていた。この患者はグレード3の好中球減少症を発症し、減量および顆粒球コロニー刺激因子(G-CSF)補助が必要であった。3例の患者中2例におけるこの血液毒性により、18mg/m2のDLTレベルが確立された。
膵臓癌の患者1例がサイクル5の1日目にグレード2の貧血を経験した。
肝細胞癌を有する患者1例が、サイクル3の1日目の1週間後に疾患進行により死亡した。
複数の先行レジメンを受けていた肺癌の患者1例が、サイクル3の15日目にグレード2の好中球減少症を発症した。この患者は減量およびG-CSF補助が必要であった。
ポリマーコンジュゲートCPTおよび特に非コンジュゲートCPTの終末相半減期に基づき(図2Aおよび2Bを参照されたい)、プロトコールの第2部を修正し、1週間おきのスケジュールを評価した。このスケジュールでは、12mg/m2で患者3例、15mg/m2で患者6例および18mg/m2で患者3例の合計12例の患者を治療した。グレード3の好中球減少症が1例発生したことを除けば、用量レベル12mg/m2および15mg/m2でグレード3/4の血液事象は記録されなかった。用量レベル18mg/m2では、グレード4の白血球減少症1例、グレード4の血小板減少症2例およびグレード3の貧血1例が血液毒性として報告された。これにより、このスケジュールでは18mg/m2での骨髄抑制のDLTが決定された。唯一の他の著しい非血液イベントはグレード3の過敏性反応であった(表4)。
表4は、評価可能な全患者のすべてのグレード3/4の治療関連毒性のまとめを示す。週1回スケジュールの患者4例が遅発性(サイクル4の後)の軽度の血尿および軽度の排尿障害を発症したが、これはCPTで既に報告されているように治療に関連していた可能性がある(Muggiaら,“Phase I Clinical Trial of Weekly and Daily Treatment with Camptothecin(NSC-100880):Correlation with Preclinical Studies”Cancer Chemother Rep 56:515-521,1972)。しかし、泌尿器科医による評価では、膀胱炎は確認されなかった。したがって、隔週18mg/m2では、DLTを発症した患者2例が報告され、隔週スケジュールのMTDは15mg/m2に確定された。
薬物動態および毒物動態解析
サイクル1の間に薬物動態解析用の試料を全患者から採取した。この解析から得られた結果を図2A、2Bおよび表5にまとめる。平均消失半減期は、コンジュゲートCPTおよび非コンジュゲートCPTで、それぞれ31.8±5.7時間および43.8±9.7時間であった。ポリマーコンジュゲートの分布容積は4.2±1.1リットルであり、用量とは無関係であった。低い分布容積は、CRLX101が最初は血漿中に保持され、迅速な初回通過クリアランスを回避するということを示している。CmaxおよびAUC0-infは、用量全域にわたって直線的であり、用量/m2に正規化しても同様であった。図2Aおよび2Bは、2つのスケジュールでポリマーコンジュゲートCPTおよび非コンジュゲートCPTを測定した薬物動態パラメーターをまとめたものである。非コンジュゲートCPTは、血漿濃度が増加し20.2±9.7時間でピークに達することにより示されるように、CRLX101から徐々に放出された。非コンジュゲートCPTの血漿濃度は、全時点においてコンジュゲートCPTの血漿濃度よりも有意に低く、非コンジュゲートCPTが全CPT血漿曝露の平均8.7±2.7%を占めていた。図2Aは、隔週12mg/分コホートの平均血漿時間-濃度曲線を示す。コンジュゲートCPTの全身血漿クリアランスは、ヒトの腎臓および肝臓血流量よりも有意に低い0.12±0.2L/時であり、また用量に無関係であった。図2Bは、CRLX101投与後の最初の48時間におけるポリマーコンジュゲートCPTおよび非コンジュゲートCPTの平均尿排泄量を示す。全CPTの尿中排泄量は、最初の48時間で排泄された用量の平均22.8±12.1%とばらつきがあり、そのうちの78±9%がコンジュゲート形態であった。ポリマーコンジュゲートの尿排泄量は、投与後の最初の24時間(用量の16.4%±10.0%)が次の24時間(用量の1.5±1.3%)比べて主であったことは興味深い。非コンジュゲートCPTの尿排泄量は、両方の24時間にわたってほぼ一定であった(用量の2.0±1.1%と2.9±1.4%)。2つのスケジュールの毒物動態解析により、コンジュゲートCPTと非コンジュゲートCPTの予測される1ヶ月の曝露量は、週1回6mg/m2対隔週12mg/m2でも週1回12mg/m2対隔週15mg/m2でも同様であった;しかし、サイクル1での薬物関連有害事象を経験した患者は、隔週レジメンの方が少なかった。
サイクル1の間に薬物動態解析用の試料を全患者から採取した。この解析から得られた結果を図2A、2Bおよび表5にまとめる。平均消失半減期は、コンジュゲートCPTおよび非コンジュゲートCPTで、それぞれ31.8±5.7時間および43.8±9.7時間であった。ポリマーコンジュゲートの分布容積は4.2±1.1リットルであり、用量とは無関係であった。低い分布容積は、CRLX101が最初は血漿中に保持され、迅速な初回通過クリアランスを回避するということを示している。CmaxおよびAUC0-infは、用量全域にわたって直線的であり、用量/m2に正規化しても同様であった。図2Aおよび2Bは、2つのスケジュールでポリマーコンジュゲートCPTおよび非コンジュゲートCPTを測定した薬物動態パラメーターをまとめたものである。非コンジュゲートCPTは、血漿濃度が増加し20.2±9.7時間でピークに達することにより示されるように、CRLX101から徐々に放出された。非コンジュゲートCPTの血漿濃度は、全時点においてコンジュゲートCPTの血漿濃度よりも有意に低く、非コンジュゲートCPTが全CPT血漿曝露の平均8.7±2.7%を占めていた。図2Aは、隔週12mg/分コホートの平均血漿時間-濃度曲線を示す。コンジュゲートCPTの全身血漿クリアランスは、ヒトの腎臓および肝臓血流量よりも有意に低い0.12±0.2L/時であり、また用量に無関係であった。図2Bは、CRLX101投与後の最初の48時間におけるポリマーコンジュゲートCPTおよび非コンジュゲートCPTの平均尿排泄量を示す。全CPTの尿中排泄量は、最初の48時間で排泄された用量の平均22.8±12.1%とばらつきがあり、そのうちの78±9%がコンジュゲート形態であった。ポリマーコンジュゲートの尿排泄量は、投与後の最初の24時間(用量の16.4%±10.0%)が次の24時間(用量の1.5±1.3%)比べて主であったことは興味深い。非コンジュゲートCPTの尿排泄量は、両方の24時間にわたってほぼ一定であった(用量の2.0±1.1%と2.9±1.4%)。2つのスケジュールの毒物動態解析により、コンジュゲートCPTと非コンジュゲートCPTの予測される1ヶ月の曝露量は、週1回6mg/m2対隔週12mg/m2でも週1回12mg/m2対隔週15mg/m2でも同様であった;しかし、サイクル1での薬物関連有害事象を経験した患者は、隔週レジメンの方が少なかった。
相関性試験
治療前ならびに治療後2日目および25日目に、卵巣癌を有する患者1例から腹水細胞を採取した。この細胞のペレットを後の解析用に凍結させた。また治療前および治療後2日目の腹水液中のポリマーコンジュゲートCPTおよび非コンジュゲートCPTのレベルも判定した。2日目に検出された濃度は、コンジュゲートCPTが46.6μg/L、完全に活性な非コンジュゲートCPTが19.6μg/Lであった。使用した各量のライセートにおいて、2日目の試料のトポイソメラーゼIの巻き戻し活性は、治療前または25日目の試料よりも少なかった(すなわち、スーパーコイル化DNAの残量が多かった)。このことは、投与後の早い時点での腹水細胞に対するCRLX101の阻害効果を示している。また免疫組織化学(IHC)に腹水細胞を用いて、トポイソメラーゼIのレベルも評価した。トポイソメラーゼI活性アッセイとトポイソメラーゼIのIHCとの間には基本的な一致が見られた。図3Aおよび3Bに見られるように、治療後2日目に患者の腹水液から単離した卵巣癌細胞の核の染色(図3B)が、薬物投与前に採取した同様の試料(図3A)に比べて約30%減少していた。48時間後の腹水細胞のIHCにより直接見られるトポイソメラーゼIレベルの減少により、2日目のライセートの反応を有する図3Cのレーンに多量のスーパーコイル化DNAが残っている理由が説明される;すなわち、この基質分子に作用する利用可能な酵素がかなり少ないということである。
治療前ならびに治療後2日目および25日目に、卵巣癌を有する患者1例から腹水細胞を採取した。この細胞のペレットを後の解析用に凍結させた。また治療前および治療後2日目の腹水液中のポリマーコンジュゲートCPTおよび非コンジュゲートCPTのレベルも判定した。2日目に検出された濃度は、コンジュゲートCPTが46.6μg/L、完全に活性な非コンジュゲートCPTが19.6μg/Lであった。使用した各量のライセートにおいて、2日目の試料のトポイソメラーゼIの巻き戻し活性は、治療前または25日目の試料よりも少なかった(すなわち、スーパーコイル化DNAの残量が多かった)。このことは、投与後の早い時点での腹水細胞に対するCRLX101の阻害効果を示している。また免疫組織化学(IHC)に腹水細胞を用いて、トポイソメラーゼIのレベルも評価した。トポイソメラーゼI活性アッセイとトポイソメラーゼIのIHCとの間には基本的な一致が見られた。図3Aおよび3Bに見られるように、治療後2日目に患者の腹水液から単離した卵巣癌細胞の核の染色(図3B)が、薬物投与前に採取した同様の試料(図3A)に比べて約30%減少していた。48時間後の腹水細胞のIHCにより直接見られるトポイソメラーゼIレベルの減少により、2日目のライセートの反応を有する図3Cのレーンに多量のスーパーコイル化DNAが残っている理由が説明される;すなわち、この基質分子に作用する利用可能な酵素がかなり少ないということである。
まとめ
上記第1相試験において、週1回×3および1週間おき(隔週)の2つの投与スケジュールを調べた。週1回×3スケジュールでは、最大耐量が約9mg/m2であった。血液毒性および膀胱炎がこのスケジュールでのDLTであった。グレード3/4の非血液有害事象には、患者3例(25%)での疲労、患者2例(17%)での遅延性血尿/排尿障害、患者1例(8%)でのCPK(クレアチンホスホキナーゼ)上昇および患者1例(8%)での脱水症が含まれていたが、これらはすべて可逆性であった。主としてサイクル1の後に、このスケジュールの一部の患者で累積的膀胱毒性が観察され、これは、主として腎臓により除去されて累積的な膀胱刺激を引き起こす非コンジュゲートCPTの長い終末相半減期に関連していた可能性がある。この観察に基づき、用量送達を維持しながら累積的毒性を低減するストラテジーとして、隔週スケジュールを調べることが決まった。
上記第1相試験において、週1回×3および1週間おき(隔週)の2つの投与スケジュールを調べた。週1回×3スケジュールでは、最大耐量が約9mg/m2であった。血液毒性および膀胱炎がこのスケジュールでのDLTであった。グレード3/4の非血液有害事象には、患者3例(25%)での疲労、患者2例(17%)での遅延性血尿/排尿障害、患者1例(8%)でのCPK(クレアチンホスホキナーゼ)上昇および患者1例(8%)での脱水症が含まれていたが、これらはすべて可逆性であった。主としてサイクル1の後に、このスケジュールの一部の患者で累積的膀胱毒性が観察され、これは、主として腎臓により除去されて累積的な膀胱刺激を引き起こす非コンジュゲートCPTの長い終末相半減期に関連していた可能性がある。この観察に基づき、用量送達を維持しながら累積的毒性を低減するストラテジーとして、隔週スケジュールを調べることが決まった。
隔週スケジュールにより、患者において達成するべき同様の1サイクル当たりの血漿曝露が可能となり、しかも有害事象の発生が有意に低減された。唯一観察されたグレード3/4の有害事象は、患者1例におけるグレード3の可逆性の好中球減少症であった。このスケジュールで1回の減量が必要であった。このスケジュールでは、CRLX101は、通常はカンプトテシン類似体に付随する毒性、例えば重度の下痢および出血性膀胱炎などを伴わずに高い忍容性が認められた。このスケジュールでのMTDは15mg/m2に決定された。
最初の投与後に、CRLX101の薬物動態解析を全患者に関して行った。CRLX101の薬物動態は、低い分布容積および限定的な全身クリアランスを特徴とし、これは前臨床的データと一致するものであった。前臨床試験では、肝臓および脾臓のような細網内皮系の腫瘍および組織へのCRLX101の蓄積が示さた。またコンジュゲートからの活性なCPTの放出増加も上記組織で観察された。またこの試験では、CPTの放出動態が、非コンジュゲートCPTの血漿レベルを常にコンジュゲートのレベルよりもかなり低く維持するものであることも確認された。非コンジュゲートCPTの記録された最大濃度の約10%が1週間後に血漿中で検出され、これが週1回×3スケジュールで観察された累積的毒性を引き起こしたと考えられる。しかし、隔週スケジュールでは、非コンジュゲートCPTレベルが2回目の投与前に定量限界未満まで低下し、このことにより、このスケジュールで泌尿器副作用がなかったことが説明され得る。
全般的には、CRLX101は高い忍容性が認められ、骨髄抑制がDLTであった。患者24例のうち10例が、サイクル2の終わりのCTスキャン評価で安定(stable
disease)を示した。膵臓癌患者1例は22.8ヶ月間安定であった。全治療患者の血中および尿中PKデータは、コンジュゲートCPTおよび非コンジュゲートCPTの平均消失半減期が、それぞれ31.8時間および43.8時間であることを示していた。CmaxおよびAUC0-infは用量全体にわたって直線的であり、用量/m2に正規化しても同様であった。隔週スケジュールでは、患者において達成させるべき同様の1サイクル当たりの血漿曝露が可能であったが、有害事象の発生は大幅に低減された。
disease)を示した。膵臓癌患者1例は22.8ヶ月間安定であった。全治療患者の血中および尿中PKデータは、コンジュゲートCPTおよび非コンジュゲートCPTの平均消失半減期が、それぞれ31.8時間および43.8時間であることを示していた。CmaxおよびAUC0-infは用量全体にわたって直線的であり、用量/m2に正規化しても同様であった。隔週スケジュールでは、患者において達成させるべき同様の1サイクル当たりの血漿曝露が可能であったが、有害事象の発生は大幅に低減された。
実施例2:6A,6D-ビス-(2-アミノ-2-カルボキシルエチルチオ(carboxylethylthio))-6A,6D-ジデオキシ-β-シクロデキストリン,4(CD-BisCys)の合成
スキームII
167mLの0.1M炭酸ナトリウム緩衝液を、磁気撹拌子、コンデンサおよびセプタムを備えた500mLの2口丸底フラスコ中で45分間、脱気した。この溶液に1.96g(16.2mmol)のL-システインおよび10.0g(73.8mmol)のジヨード,デオキシ-β-シクロデキストリン2を加えた。得られた懸濁液を、溶液が透明(無色)になるまで還流温度で4.5時間加熱した。次いで溶液を室温まで冷却し、1NのHClを用いてpH3に酸性化した。アセトンを徐々に添加(溶液の3倍の重量比)して生成物を沈殿させた。これにより、CD-ビスシステイン(90.0%)、未反応シクロデキストリン、CD-モノ-システインおよびシスチンを含有する粗物質が得られた。得られた固体を、0~0.4Mの炭酸水素アンモニウムの勾配溶離を用いる陰イオン交換カラムクロマトグラフィー(SuperQ650M、Tosoh Bioscience)に供した。全画分をHPLCにより分析した。所望の画分を合わせ、溶媒を真空下で100mLまで減らした。最終産物をアセトン添加またはメタノール添加(溶液の3倍の重量比)のいずれかにより沈殿させた。60~90%の収率で4が得られた。1H NMR(D2O)δ5.08(m,7H,CD-2-CH),3.79-3.94(m,30H,CD-3,4-CH,CD-CH2,Cys-CH),3.49-3.62(m,14H,CD-5,6-CH),2.92-3.30(m,4H,Cys-CH2).13C NMR(D2O)δ172.3,101.9,83.9,81.6,81.5,73.3,72.2,72.0,60.7,54.0,34.0,30.6.ESI/MS(m/z):1342[M]+,1364[M+Na]+。HPLCにより4の純度を確認した。
スキームII
実施例3:Gly-CPT(構造11)(Greenwaldら,Bioorg.Med.Chem.,1998,6,551-562)の合成
スキームIII
t-Boc-グリシン(0.9、4.7mmol)を350mLの無水塩化メチレンに室温で溶解させ、この溶液にDIPC(0.75mL、4.7mmol)、DMAP(382mg、3.13mmol)およびカンプトテシン(0.55g、1.57mmol)を0℃で加えた。反応混合物を室温まで温め、16時間放置した。溶液を0.1NのHClで洗浄し、減圧下で乾燥および蒸発させて白色固体を得、これをメタノールから再結晶させて、t-Boc-グリシンのカンプトテシン-20-エステルを得た:1H NMR(DMSO-d6)7.5 ̄8.8(m),7.3(s),5.5(s),5.3(s),4(m),2.1(m),1.6(s),1.3(d),0.9(t)。t-Boc-グリシンのカンプトテシン-20-エステル(0.595g、1.06mmol)を塩化メチレン(7.5mL)とTFA(7.5mL)の混合物に溶解させ、室温で1時間攪拌した。溶媒を除去し、残留物を塩化メチレンおよびエーテルから再結晶させて、0.45gの11を得た。1H NMR(DMSO-d6)δ7.7 ̄8.5(m);7.2(s),5.6(s),5.4(s),4.4(m),2.2(m),1.6(d),1.0(t),13C NMR(DMSO-d6)δ168.6,166.6,156.5,152.2,147.9,146.2,144.3,131.9,130.6,129.7,128.8,128.6,128.0,127.8,119.0,95.0,77.6,66.6,50.5,47.9,30.2,15.9,7.9.ESI/MS(m/z)予測値405;実測値406(M+H)。
スキームIII
ポリ(CDDCys-PA-PEG)、36aの合成
4(アセトンによる沈殿後、63mg、0.047mmol)およびPEG-DiSPA(MW3400、160mg、0.047mmol)を真空下で8時間乾燥させた。無水DMSO(1.26mL)をアルゴン下で混合物に加えた。10分間の攪拌後、無水ジイソプロピルエチルアミン(DIEA、19μL、2.3eq.)をアルゴン下で加えた。反応混合物をアルゴン下で120時間攪拌した。ポリマー含有溶液を、10,000MWCO膜(Spectra/Por7)を用いて水に対して48時間透析し、乾燥させて、196mgの36a(90%、表1)を得た。Mw=57.4kDa,Mn=41.7kDa,Mw/Mn=1.38.1H NMR(D2O)δ5.08(m,CD-2-H),4.27(m,Cys-CH),2.72-3.76(m,CD-3,4,5,6-CH,CD-CH2,PEG-CH2),2.44(m,Cys-CH2)。
4(アセトンによる沈殿後、63mg、0.047mmol)およびPEG-DiSPA(MW3400、160mg、0.047mmol)を真空下で8時間乾燥させた。無水DMSO(1.26mL)をアルゴン下で混合物に加えた。10分間の攪拌後、無水ジイソプロピルエチルアミン(DIEA、19μL、2.3eq.)をアルゴン下で加えた。反応混合物をアルゴン下で120時間攪拌した。ポリマー含有溶液を、10,000MWCO膜(Spectra/Por7)を用いて水に対して48時間透析し、乾燥させて、196mgの36a(90%、表1)を得た。Mw=57.4kDa,Mn=41.7kDa,Mw/Mn=1.38.1H NMR(D2O)δ5.08(m,CD-2-H),4.27(m,Cys-CH),2.72-3.76(m,CD-3,4,5,6-CH,CD-CH2,PEG-CH2),2.44(m,Cys-CH2)。
その他のポリ(CDDCys-PA-PEG)(36b-f)、ポリ(CDDCys-BA-PEG)(36g)、ポリ(CDDCys-CB-PEG)(36h-i)の合成を36aと同様の重合条件下で行った。重合条件、モノマー選択、ポリマ分子量、多分散度および収率の詳細を表6に記載する。36g:1H NMR(D2O)δ5.10(m,CD-2-H),4.25-4.37(m,Cys-CH),2.72-3.86(m,CD-3,4,5,6-CH,CD-CH2,PEG-CH2),2.21(m,Cys-CH2).36h-i:1H NMR(D2O)δ5.05(m,CD-2-H),4.56(m,Cys-CH),2.70-3.93(m,CD-3,4,5,6-CH,CD-CH2,PEG-CH2),2.38(m,-OCH2CH2CH2C(O)-NH-),2.34(m,Cys-CH2),1.90(m,-OCH2CH2CH2C(O)-NH-)。
塩基を加えない場合、48時間後に重合溶液の粘度の変化が見られなかったため、この重合には非求核有機塩基(DIEAなど)の添加が不可欠であった。2.3当量のDIEAを加えると、反応の4~6時間後に重合溶液の粘度が著しく増加した。DIEAは4のアミノ基を脱プロトン化して、PEG-DiSPAとのカップリングのためにアミノ基をより求核性にする。TEAまたはDMAPのような他の塩基を用いた場合、基本的に重合に違いがなかった(36b-c、表6)。2つの異なる沈殿法(アセトンおよびメタノール)により回収された4を用いる重合により、MWが異なるポリマーが生成された。メタノール沈殿法により精製された4(遊離シスチンを含有しない)の方が、アセトン沈殿法により得られた純度の低い4(36a)に比べてMWの大きいポリマー(36d-e)が得られた。4とPEG-DiSPAとの重合により、通常、90%を上回るポリマー収率が得られた。
4を他の活性化モノマー、例えばPEG-DiSBA、PEG-DiBTCおよびPEG-DiNPCと重合させた。4とPEG-DiSBAとの反応により、36a-fと同様の結合(アミド結合であるが、リンカーでの-CH2基が36a-fより1つ多い)を有し、100kDaを上回る分子量を有するポリマー36gが得られたが、4とPEG-DiBTCおよびPEG-DiNPCとの反応では、連結するカルバマート部分および50kDaを上回る分子量を有するポリマー36hおよび36iがそれぞれ生じた(表6)。
ポリマー36a-iは水溶液に高溶解性であった。このポリマーは、水またはリン酸緩衝生理食塩水(PBS)溶液に少なくとも200mg/mLの濃度で容易に溶解し得る。上記ポリマーの水溶液への200mg/mLを超える濃度での可溶性は、高粘度のため試みなかった。また上記ポリマーは、DMF、DMSOおよびメタノールに可溶性であり、CH3CNおよびCHCl3にわずかに可溶性であったが、THFおよびエチルエーテルには不溶性であった。
CDポリマーの分子量制御
4(メタノールによる沈殿後)(56.2mg、0.0419mmol)およびPEG-DiSPA(147mg、0.0419mmol)を真空下で4~8時間乾燥させた。混合物にアルゴン下で乾燥DMSO(1.1mL)を加えた。10分間の攪拌後、アルゴン下でDIEA(16μL、2.2当量)を加えた。重合溶液(150μL)の一部を取り出し、選択された時間(2時間、18時間、43時間、70時間、168時間および288時間)でエーテルにより沈殿させた。沈殿したポリマーの分子量を上記のように決定した。
4(メタノールによる沈殿後)(56.2mg、0.0419mmol)およびPEG-DiSPA(147mg、0.0419mmol)を真空下で4~8時間乾燥させた。混合物にアルゴン下で乾燥DMSO(1.1mL)を加えた。10分間の攪拌後、アルゴン下でDIEA(16μL、2.2当量)を加えた。重合溶液(150μL)の一部を取り出し、選択された時間(2時間、18時間、43時間、70時間、168時間および288時間)でエーテルにより沈殿させた。沈殿したポリマーの分子量を上記のように決定した。
ポリ(CDDCys-PA-PEG)-GlyGlyGly-CPT(HGGG6)の合成
36e(1.37g、0.30mmolの反復単位)を無水DMSO(136mL)に溶解させた。混合物を10分間攪拌した。12(419mg、0.712mmol、2.36当量)、DIEA(0.092mL、0.712mmol、2.36当量)、EDC(172mg、0.903mmol、3当量)およびNHS(76mg、0.662mmol、2.2当量)をポリマー溶液に加え、約15時間攪拌した。エチルエーテル(1L)でポリマーを沈殿させた。エーテルを捨て、沈殿をCH3CN(3×100mL)で洗浄した。沈殿を水600mLに溶解させた。一部の不溶固体を0.2μmフィルターでろ過した。溶液を10~15℃で10時間、25,000MWCO膜(Spectra/Por7)を用いてDI水中で透析した。透析水を60分ごとに交換した。ポリマー-薬物コンジュゲート溶液を0.2μMフィルターに通して滅菌した。溶液を凍結乾燥させて、黄色固体HGGG6(1.42g、収率85%)を得た。
36e(1.37g、0.30mmolの反復単位)を無水DMSO(136mL)に溶解させた。混合物を10分間攪拌した。12(419mg、0.712mmol、2.36当量)、DIEA(0.092mL、0.712mmol、2.36当量)、EDC(172mg、0.903mmol、3当量)およびNHS(76mg、0.662mmol、2.2当量)をポリマー溶液に加え、約15時間攪拌した。エチルエーテル(1L)でポリマーを沈殿させた。エーテルを捨て、沈殿をCH3CN(3×100mL)で洗浄した。沈殿を水600mLに溶解させた。一部の不溶固体を0.2μmフィルターでろ過した。溶液を10~15℃で10時間、25,000MWCO膜(Spectra/Por7)を用いてDI水中で透析した。透析水を60分ごとに交換した。ポリマー-薬物コンジュゲート溶液を0.2μMフィルターに通して滅菌した。溶液を凍結乾燥させて、黄色固体HGGG6(1.42g、収率85%)を得た。
ポリ(CDDCys-PA-PEG)-GlyGlyGly-CPT(LGGG10)の合成
12と36fのコンジュゲーションを、25,000MWCO膜の代わりに10,000MWCO膜(Spectra/Por7)によりこのコンジュゲートを透析したこと以外は、HGGG6の生成に用いた方法と同様の方法で行った。LGGG10の収率は83%であった。
12と36fのコンジュゲーションを、25,000MWCO膜の代わりに10,000MWCO膜(Spectra/Por7)によりこのコンジュゲートを透析したこと以外は、HGGG6の生成に用いた方法と同様の方法で行った。LGGG10の収率は83%であった。
ポリ(CDDCys-PA-PEG)-Gly-CPT(HG6)の合成
HGGG6の生成に用いた方法と同様の方法で11と36eとのコンジュゲーションを行った。HG6の収率は83%であった。
HGGG6の生成に用いた方法と同様の方法で11と36eとのコンジュゲーションを行った。HG6の収率は83%であった。
ポリ(CDDCys-PA-PEG)-GlyGlyGly-CPT(HGGG10)の合成
36e(1.5g、0.33mmolの反復単位)を無水DMSO(150mL)に溶解させた。混合物を10分間攪拌した。12(941mg、1.49mmol、4.5当量)、DIEA(0.258mL、1.49mmol、4.5当量)、EDC(283mg、1.49mmol、4.5当量)およびNHS(113mg、0.99mmol、3当量)をポリマー溶液に加え、約24時間攪拌した。コンジュゲーション溶液にEDC(142mg、0.75mmol、2.3当量)およびNHS(56mg、0.5mmol、1.5当量)をもう一部加えた。ポリマーをさらに22時間攪拌した。ワークアップの手順はHGGG6合成のものと同じであった。HGGG10の収率は77%であった。
36e(1.5g、0.33mmolの反復単位)を無水DMSO(150mL)に溶解させた。混合物を10分間攪拌した。12(941mg、1.49mmol、4.5当量)、DIEA(0.258mL、1.49mmol、4.5当量)、EDC(283mg、1.49mmol、4.5当量)およびNHS(113mg、0.99mmol、3当量)をポリマー溶液に加え、約24時間攪拌した。コンジュゲーション溶液にEDC(142mg、0.75mmol、2.3当量)およびNHS(56mg、0.5mmol、1.5当量)をもう一部加えた。ポリマーをさらに22時間攪拌した。ワークアップの手順はHGGG6合成のものと同じであった。HGGG10の収率は77%であった。
コンジュゲート上のCPTの重量%の決定
HGGG6、LGGG10、HG6およびHGGG10のストック溶液をDMSO中10mg/mLの濃度で調製した。対応するストック溶液のアリコートを1NのNaOHを用いて100μg/mLまで希釈した。室温で2時間以内に、CPTをこの基本溶液中で完全に加水分解して、そのカルボキシラート形態に変換した。この溶液のアリコートを8.5%のH3PO4を用いて10μg/mLまで希釈し、CPTカルボキシラート形態をそのラクトン形態に変換した。この溶液30μLをHPLCに注入した。CPTラクトン形態のピーク面積を積分し、標準曲線と比較した。
HGGG6、LGGG10、HG6およびHGGG10のストック溶液をDMSO中10mg/mLの濃度で調製した。対応するストック溶液のアリコートを1NのNaOHを用いて100μg/mLまで希釈した。室温で2時間以内に、CPTをこの基本溶液中で完全に加水分解して、そのカルボキシラート形態に変換した。この溶液のアリコートを8.5%のH3PO4を用いて10μg/mLまで希釈し、CPTカルボキシラート形態をそのラクトン形態に変換した。この溶液30μLをHPLCに注入した。CPTラクトン形態のピーク面積を積分し、標準曲線と比較した。
従来のカップリング法を用いて、11および12を36eまたは36fとコンジュゲートさせた(表2)。水溶液中での11および12のエステルリンカーの不安定性により、アルゴン下、無水DMSO中でコンジュゲーションを行った。11および12のTFA塩を脱プロトン化してカップリングを促進するために、有機塩基が必要であった。12とのポリマーコンジュゲーションでは、重量パーセント(wt%)薬物付加量が約6~10%であった。理論的な最大薬物付加量は、分子量が3400DaであるPEGを用いて約13%であり;PEG部分の分子量を減らすことにより最大値を増加させることができる。全コンジュゲートの水またはPBSへの溶解度は200mg/mLを上回っていた(それぞれ、6~10重量%の薬物付加量に対して12~20mgのCPT/mLに相当する)。HGGG6、LGGG10、HG6およびHGGG10に関する詳細を表7にまとめる。
C.HGGG6およびHG6からのCPTの遊離
PBS中でのCPTの遊離
HGGG6およびHG6をPBS(1×、pH7.4)中1mg/mLで調製した。100μLアリコートの溶液を1.5mLエッペンドルフチューブに移し、37℃でインキュベートした。インキュベートした試料を選択された時間間隔で反応停止させ、解析まで-80℃で保管した。メスフラスコ中、8.5%のH3PO4を用いて各溶液を全体積5mLまで希釈した。この溶液30μLをHPLCに注入した。CPTラクトン形態のピーク面積を積分し、標準曲線と比較した。
PBS中でのCPTの遊離
HGGG6およびHG6をPBS(1×、pH7.4)中1mg/mLで調製した。100μLアリコートの溶液を1.5mLエッペンドルフチューブに移し、37℃でインキュベートした。インキュベートした試料を選択された時間間隔で反応停止させ、解析まで-80℃で保管した。メスフラスコ中、8.5%のH3PO4を用いて各溶液を全体積5mLまで希釈した。この溶液30μLをHPLCに注入した。CPTラクトン形態のピーク面積を積分し、標準曲線と比較した。
アセチルコリンエステラーゼ(エステラーゼ、100単位/mL)含有PBS中、KH2PO4緩衝液(pH6.1、0.1M)中およびカテプシンB(システインプロテイナーゼ、200μM、2mMのDTTおよび1mMのEDTAを含有するこの緩衝液中で30分間、氷上で予め活性化した)含有KH2PO4緩衝液(pH6.1、0.1M)中での、HGGG6およびHG6からのCPT遊離の解析を、PBS単独での上記方法と同様の方法で行った。
ヒト血漿中でのCPTの遊離
HGGG6およびHG6ストック溶液のアリコートを希釈して、PBS(1×、pH7.4)中0.5mg/mLの最終濃度にした。この溶液をヒト血漿の凍結乾燥粉末に加え、推奨量で100%ヒト血漿を再構成した。溶液を1.5mLエッペンドルフチューブに等体積(250μL)に分割し、37℃でインキュベートし、選択された時点で終了した。試料を解析まで-80℃で保管した。試料を固相抽出カラムにより血漿から分離した。負荷前に、固相抽出カートリッジ(Waters製のOasis HLB 1ccカートリッジ)を1mLのアセトニトリル、次いで1mLの8.5%H3PO4で予め調整した。負荷前に試料を等体積の8.5%H3PO4で酸性化した。酸性化した溶液をカートリッジに負荷した後、ベッドを3×1mLの水で洗浄した。遊離CPTおよびポリマーコンジュゲートをアセトニトリルとリン酸カリウム緩衝液(pH4.1)の混合溶液(60/40v/v)3×1mLで溶出した。溶出された溶液を5mLメスフラスコ中、全体積5mLまで希釈した。この溶液30μLをHPLCに注入した。CPTラクトン形態のピーク面積を積分し、標準曲線と比較した。
HGGG6およびHG6ストック溶液のアリコートを希釈して、PBS(1×、pH7.4)中0.5mg/mLの最終濃度にした。この溶液をヒト血漿の凍結乾燥粉末に加え、推奨量で100%ヒト血漿を再構成した。溶液を1.5mLエッペンドルフチューブに等体積(250μL)に分割し、37℃でインキュベートし、選択された時点で終了した。試料を解析まで-80℃で保管した。試料を固相抽出カラムにより血漿から分離した。負荷前に、固相抽出カートリッジ(Waters製のOasis HLB 1ccカートリッジ)を1mLのアセトニトリル、次いで1mLの8.5%H3PO4で予め調整した。負荷前に試料を等体積の8.5%H3PO4で酸性化した。酸性化した溶液をカートリッジに負荷した後、ベッドを3×1mLの水で洗浄した。遊離CPTおよびポリマーコンジュゲートをアセトニトリルとリン酸カリウム緩衝液(pH4.1)の混合溶液(60/40v/v)3×1mLで溶出した。溶出された溶液を5mLメスフラスコ中、全体積5mLまで希釈した。この溶液30μLをHPLCに注入した。CPTラクトン形態のピーク面積を積分し、標準曲線と比較した。
4%ヒト血漿(PBS/再構成したヒト血漿溶液=96/4(v/v))含有PBS中、マウス血漿中および再構成したヒトアルブミン(PBS溶液)中でのHGGG6およびHG6からのCPT遊離を、純粋ヒト血漿での上記方法と同様の方法で行った。
PBS(1×、pH7.4)中では、HG6およびHGGG6からのCPT遊離の半減期(t1/2)は、それぞれ59時間および32時間であった。半減期は、4%ヒト血漿の存在下でそれぞれ25時間および22時間まで減少し、100%ヒト血漿(「HP」)中でそれぞれ1.7時間および1.6まで減少し、100%マウス血漿(「MP」)中でそれぞれ2.6時間および2.2時間まで減少した。アルブミン(「Alb」)またはアセチルコリンエステラーゼ(「Ac Cho」)の存在下でのCPT遊離率は、HG6およびHGGG6共にPBS中と同じ桁数であった。酵素カテプシンB(pH6.1で活性)を含むまたは含まない、PBS(pH6.1)よりpHの低い緩衝液では、全コンジュゲートCPTの50%未満が、144時間までの間にHG6およびHGGG6の両者から遊離した(表8)。
異なるpHの溶液中でのCPTの遊離
HGGG6およびHG6を、酸性(pH=1.2)から塩基性(pH=13.1)の範囲のpHを有する緩衝液中1mg/mLで調製し、37℃で24時間インキュベートした。各溶液のアリコートを8.5%H3PO4で約100μg/mLまで希釈した。この溶液30μLをHPLCに注入した。CPTラクトン形態のピーク面積を積分し、標準曲線と比較した。
HGGG6およびHG6を、酸性(pH=1.2)から塩基性(pH=13.1)の範囲のpHを有する緩衝液中1mg/mLで調製し、37℃で24時間インキュベートした。各溶液のアリコートを8.5%H3PO4で約100μg/mLまで希釈した。この溶液30μLをHPLCに注入した。CPTラクトン形態のピーク面積を積分し、標準曲線と比較した。
水溶液のpHは、HG6およびHGGG6両方からのCPT遊離率に有意な影響を与えた。1.1~13.1の範囲のpHの緩衝液中、24時間後、37℃におけるHG6およびHGGG6からのCPT遊離量を図6に示す。HG6およびHGGG6両方のグリシニル-CPTエステル結合は、24時間で7%未満のCPTが遊離したように、酸性pH(1.1~6.4)において非常に安定であった。
薬物の重量パーセント付加量を増加させるための方法
方法I.短いPeg結合によるCD-BisCys-PegコポリマーおよびそのGlyCPTコンジュゲートの合成
実施例5:CD-BisCys-Peg(短いPEG、例えばPeg200~Peg2000)およびそのCPTコンジュゲート42の合成
スキームVI
ポリマーおよび薬物コンジュゲート42の合成は、36、37および38と同じである。
方法I.短いPeg結合によるCD-BisCys-PegコポリマーおよびそのGlyCPTコンジュゲートの合成
実施例5:CD-BisCys-Peg(短いPEG、例えばPeg200~Peg2000)およびそのCPTコンジュゲート42の合成
スキームVI
ポリマーおよび薬物コンジュゲート42の合成は、36、37および38と同じである。
スキームVIは、利用可能なすべての位置で薬物が結合することを示しているが、必ずしもすべての位置が反応しなくてもよい。したがって、上記コンジュゲートを含む粒子は、結合に利用可能なすべての位置で反応したコンジュゲート、および結合に利用可能なすべての位置よりも少ない位置を有する、薬物を含む粒子を含み得る、例えば、粒子は、結合に利用可能な1個または0個の位置で反応したCPDを含み得る。したがって、スキームVIは、各ポリマーサブユニットのすべての結合点にCPTを図示しているが、CDP-CPTコンジュゲートは、CDPの所与のポリマーサブユニットと結合した2個未満のCPT分子を有し得る。例えば、一実施形態では、CDP-CPTコンジュゲートが複数のポリマーサブユニットを含み、ポリマーサブユニットがそれぞれ独立して、ポリマーサブユニットの各結合点で結合した2個、1個または0個のCPTを含み得る。さらに、粒子および組成物は、CDP-CPTコンジュゲートの各ポリマーサブユニットと結合した2個、1個または0個のCPTを有するCDP-CPTコンジュゲートを含んでもよく、またコンジュゲートは、粒子または組成物中のコンジュゲートのポリマーサブユニットの各結合点で結合したCPTの数が異なり得るCDP-CPTコンジュゲートの混合物も含み得る。
方法II.各付加部位に複数の薬物分子を有するCD-BisCys-Pegコポリマーの合成
実施例6:CD-BisCys-PegおよびそのGluBis(GlyCPT)コンジュゲート43の合成
スキームVII
36およびGlu-ビス(Gly-CPT)17をDMSOに溶解させる。この溶液にEDC(3当量)、NHS(2.2当量)およびDIEA(2.2当量)を加える。CD-BisCys-Peg-GluBis(GlyCPT)43をCH3CNで沈殿させ、遊離の薬物がUVまたはTLCを用いて検出されなくなるまで同じ溶媒で洗浄する。43を高真空下で乾燥させる。スキームVIIは、利用可能なすべての位置で薬物が結合することを示しているが、必ずしもすべての位置が反応しなくてもよい。したがって、上記コンジュゲートを含む粒子は、結合に利用可能なすべての位置で反応したコンジュゲート、および結合に利用可能なすべての位置よりも少ない位置を有する、薬物を含む粒子を含み得る、例えば、粒子は、結合に利用可能な3個、2個、1個または0個の位置で反応したCPDを含み得る。したがって、スキームVIIは、各ポリマーサブユニットのすべての結合点にCPTを図示しているが、CDP-CPTコンジュゲートは、CDPの所与のポリマーサブユニットと結合した4個未満のCPT分子を有し得る。例えば、一実施形態では、CDP-CPTコンジュゲートが複数のポリマーサブユニットを含み、ポリマーサブユニットがそれぞれ独立して、ポリマーサブユニットの各結合点で結合した4個、3個、2個、1個または0個のCPTを含み得る。さらに、粒子および組成物は、CDP-CPTコンジュゲートの各ポリマーサブユニットと結合した4個、3個、2個、1個または0個のCPTを有するCDP-CPTコンジュゲートを含んでもよく、またコンジュゲートは、粒子または組成物中のコンジュゲートのポリマーサブユニットの各結合点で結合したCPTの数が異なり得るCDP-CPTコンジュゲートの混合物も含み得る。
実施例6:CD-BisCys-PegおよびそのGluBis(GlyCPT)コンジュゲート43の合成
スキームVII
実施例7:CDP-Gly-SN-38の合成およびインビトロ解析
スキームVIIIに示すように、SN-38を20-OH位でアミノ酸グリシンにより誘導体化した。簡潔には、20(S)-7-エチル-10‐ヒドロキシカンプトテシン(SN-38、1.0g、2.5mmol)を、70mLのジメチルホルムアミド(DMF)と30mLのピリジンの混合物に溶解させた。ジ-tert-ブチル-ジカルボナート(0.83g、3.8mmol)の10mL DMF溶液を加え、混合物を室温で一晩(12時間)攪拌した。真空下で溶媒を除去して黄色固体を得、沸騰2-プロパノール(75mL)から再結晶させて、20(s)-10-tert-ブトキシカルボニルオキシ-7-エチル-カンプトテシン(Boc-SN-38)を黄色固体として得た(0.6g、収率48%)。
スキームVIIIに示すように、SN-38を20-OH位でアミノ酸グリシンにより誘導体化した。簡潔には、20(S)-7-エチル-10‐ヒドロキシカンプトテシン(SN-38、1.0g、2.5mmol)を、70mLのジメチルホルムアミド(DMF)と30mLのピリジンの混合物に溶解させた。ジ-tert-ブチル-ジカルボナート(0.83g、3.8mmol)の10mL DMF溶液を加え、混合物を室温で一晩(12時間)攪拌した。真空下で溶媒を除去して黄色固体を得、沸騰2-プロパノール(75mL)から再結晶させて、20(s)-10-tert-ブトキシカルボニルオキシ-7-エチル-カンプトテシン(Boc-SN-38)を黄色固体として得た(0.6g、収率48%)。
Boc-SN-38(0.73g、1.5mmol)、N-(tertブトキシカルボニル)グリシン(0.26g、1.5mmol)および4-ジメチルアミノピリジン(DMAP、0.18g、1.5mmol)を無水塩化メチレン(30mL)に溶解させ、0℃まで冷却した。1,3-ジイソプロピル-カルボジイミド(DIPC、0.19g、1.5mmol)を加え、混合物を0℃で30分間攪拌し、次いで室温で4時間攪拌した。混合物を塩化メチレンで100mLまで希釈し、0.1Nの塩酸水溶液(25mL)で2回洗浄し、硫酸マグネシウム上で乾燥させて、減圧下で溶媒を除去した。得られた黄色固体を塩化メチレン:アセトン(9:1)でフラッシュクロマトグラフィーにより精製し、次いで真空下で溶媒を除去して、20-O-(N-(tert-ブトキシカルボニル)グリシル)-10-tert-ブチオキシカルボニルオキシ-7-エチルカンプトテシン(diBoc-Gly-SN-38、640mg、収率67%)を得た。
スキームVIII:SN-38の20-O-(N-(tert-ブトキシカルボニル)グリシル)-10-tert-ブチオキシカルボニルオキシ-7-エチルカンプトテシン(diBOC-Gly-SN-38)への誘導体化。
CDPを既に記載されている通りに合成した(Chengら(2003)Bioconjugate Chemistry 14(5):1007-1017)。diBOC-Gly-SN-38(0.62g、0.77mmol)を15mLの塩化メチレン:トリフルオロ酢酸(TFA)の1:1混合物中、室温で1時間脱保護した。20-O-トリフルオログリシン-10-ヒドロキシ-7-エチルカンプトテシン(TFA-Gly-SN-38、0.57g、収率97%)をエタノール(100mL)での沈殿により黄色固体として単離し、次いでエタノールで2回洗浄し(それぞれ30mL)、塩化メチレンに溶解させ、真空下で溶媒を除去した。ESI/MS予測値449.4;実測値471.66(M+Na)。
CDP-Gly-SN-38(ポリ-CD-PEG-Gly-SN-38、スキームIX)を以下の通りに合成した:CDP(270mg、0.056mmol)、TFA-Gly-SN-38(70mg、0.12mmol)、N-ヒドロキシ-スクシンイミド(14mg、0.12mmol)および1-エチル-3-(3-ジメチルアミノプロピル)カルボジイミド(EDCI、32mg、0.17mmol)をジメチルホルムアミド(10mL)に溶解させ、室温で4時間攪拌した。ポリマーを50mLのアセトン添加、次いで50mLのジエチルエーテルにより沈殿させた。沈殿を遠心分離し、アセトンで2回、それぞれ20mLで洗浄し、水に溶解させて、塩酸によりpH3.0に酸性化した。ポリマー溶液を、25kDaのMWCO透析膜を用いてpH3.0の水に対して24時間透析した。得られた溶液を凍結乾燥させて、CDP-Gly-SN-38(180mg、収率67%)を得た。既に記載されている通りに、標準曲線としてSN-38を用いたHPLCにより、ポリマーを全SN-38および遊離SN-38含有量について解析した(Chengら(2003)Bioconjugate Chemistry 14(5):1007-1017)。全SN-38含有量は7.66%w/wであり、そのうちの97.4%がポリマーと結合していた。動的光散乱法により平均粒子サイズは27.9nmであると判定された。
スキームIX:CDP-Gly-SN-38サブユニットの構造
スキームIXは、サブユニット中の利用可能なすべての位置で薬物が結合することを示しているが、必ずしもすべての位置が反応しなくてもよい。したがって、上記コンジュゲートを含む粒子は、結合に利用可能なすべての位置で反応したコンジュゲート、および結合に利用可能なすべての位置よりも少ない位置を有する、薬物を含む粒子を含み得る、例えば、粒子は、結合に利用可能な1個または0個の位置で反応したCPDを含み得る。したがって、スキームIXは、各ポリマーサブユニットのすべての結合点にCPTを図示しているが、CDP-SN-38コンジュゲートは、CDPの所与のポリマーサブユニットと結合した2個未満のSN-38分子を有し得る。例えば、一実施形態では、CDP-SN-38コンジュゲートが複数のポリマーサブユニットを含み、ポリマーサブユニットがそれぞれ独立して、ポリマーサブユニットの各結合点で結合した2個、1個または0個のSn-38を含み得る。さらに、粒子および組成物は、CDP-SN-38コンジュゲートの各ポリマーサブユニットと結合した2個、1個または0個のSn-38を有するCDP-SN-38コンジュゲートを含んでもよく、またコンジュゲートは、粒子または組成物中のコンジュゲートのポリマーサブユニットの各結合点で結合したSn-38sの数が異なり得るCDP-SN-38コンジュゲートの混合物も含み得る。
スキームIXは、サブユニット中の利用可能なすべての位置で薬物が結合することを示しているが、必ずしもすべての位置が反応しなくてもよい。したがって、上記コンジュゲートを含む粒子は、結合に利用可能なすべての位置で反応したコンジュゲート、および結合に利用可能なすべての位置よりも少ない位置を有する、薬物を含む粒子を含み得る、例えば、粒子は、結合に利用可能な1個または0個の位置で反応したCPDを含み得る。したがって、スキームIXは、各ポリマーサブユニットのすべての結合点にCPTを図示しているが、CDP-SN-38コンジュゲートは、CDPの所与のポリマーサブユニットと結合した2個未満のSN-38分子を有し得る。例えば、一実施形態では、CDP-SN-38コンジュゲートが複数のポリマーサブユニットを含み、ポリマーサブユニットがそれぞれ独立して、ポリマーサブユニットの各結合点で結合した2個、1個または0個のSn-38を含み得る。さらに、粒子および組成物は、CDP-SN-38コンジュゲートの各ポリマーサブユニットと結合した2個、1個または0個のSn-38を有するCDP-SN-38コンジュゲートを含んでもよく、またコンジュゲートは、粒子または組成物中のコンジュゲートのポリマーサブユニットの各結合点で結合したSn-38sの数が異なり得るCDP-SN-38コンジュゲートの混合物も含み得る。
CDP-Gly-SN-38のインビトロ評価
CDP-Gly-SN-38を、A2780ヒト卵巣癌細胞系において以下の通りにインビトロで評価した:
ヒト卵巣癌A2780細胞をAmerican Type Culture Collectionから入手した。細胞を1ウェル当たり5,000個の細胞濃度で96ウェルプレートに播き、加湿した5%CO2雰囲気中、37℃で24時間、10%のウシ胎仔血清を含有する培地中で増殖させた。培地を、0.01nmol/L~1μmol/Lの範囲の濃度で試験化合物を含有する新たな培地と入れ替えた。プレートごとに三つ組のウェルを各濃度で処置した。対照は、溶媒処置細胞および培地のみのブランクであった。プレートを37℃で72時間インキュベートした。CellTiter96 AQueous
One Solution(Promega)をPBS/グルコースに5倍で希釈してMTSアッセイ試薬を調製した(4.5g/L)。細胞培地を吸引し、100μLのMTS試薬を各ウェルに加えた。プレートを37℃で1時間インキュベートした。プレートを5分間振盪し、SPECTRAFluor Plusプレートリーダー(Tecan)を用いて485nmでの吸光度を測定した。無処置細胞に対する細胞生存のパーセンテージを算出し、log用量(nmol/L)対細胞の細胞生存%のグラフからIC50を推定した(GraphPad Prizm)。
CDP-Gly-SN-38を、A2780ヒト卵巣癌細胞系において以下の通りにインビトロで評価した:
ヒト卵巣癌A2780細胞をAmerican Type Culture Collectionから入手した。細胞を1ウェル当たり5,000個の細胞濃度で96ウェルプレートに播き、加湿した5%CO2雰囲気中、37℃で24時間、10%のウシ胎仔血清を含有する培地中で増殖させた。培地を、0.01nmol/L~1μmol/Lの範囲の濃度で試験化合物を含有する新たな培地と入れ替えた。プレートごとに三つ組のウェルを各濃度で処置した。対照は、溶媒処置細胞および培地のみのブランクであった。プレートを37℃で72時間インキュベートした。CellTiter96 AQueous
One Solution(Promega)をPBS/グルコースに5倍で希釈してMTSアッセイ試薬を調製した(4.5g/L)。細胞培地を吸引し、100μLのMTS試薬を各ウェルに加えた。プレートを37℃で1時間インキュベートした。プレートを5分間振盪し、SPECTRAFluor Plusプレートリーダー(Tecan)を用いて485nmでの吸光度を測定した。無処置細胞に対する細胞生存のパーセンテージを算出し、log用量(nmol/L)対細胞の細胞生存%のグラフからIC50を推定した(GraphPad Prizm)。
この実験の結果を下の表9に示す。
その他の実施形態は特許請求の範囲に記載されている。
Claims (1)
- 明細書に記載の方法。
Applications Claiming Priority (9)
| Application Number | Priority Date | Filing Date | Title |
|---|---|---|---|
| US24275209P | 2009-09-15 | 2009-09-15 | |
| US61/242,752 | 2009-09-15 | ||
| US31703910P | 2010-03-24 | 2010-03-24 | |
| US61/317,039 | 2010-03-24 | ||
| US33215010P | 2010-05-06 | 2010-05-06 | |
| US61/332,150 | 2010-05-06 | ||
| US38185110P | 2010-09-10 | 2010-09-10 | |
| US61/381,851 | 2010-09-10 | ||
| JP2020109574A JP2020164547A (ja) | 2009-09-15 | 2020-06-25 | 癌の治療法 |
Related Parent Applications (1)
| Application Number | Title | Priority Date | Filing Date |
|---|---|---|---|
| JP2020109574A Division JP2020164547A (ja) | 2009-09-15 | 2020-06-25 | 癌の治療法 |
Publications (1)
| Publication Number | Publication Date |
|---|---|
| JP2022166327A true JP2022166327A (ja) | 2022-11-01 |
Family
ID=43758997
Family Applications (6)
| Application Number | Title | Priority Date | Filing Date |
|---|---|---|---|
| JP2012529881A Expired - Fee Related JP5855568B2 (ja) | 2009-09-15 | 2010-09-15 | 癌の治療法 |
| JP2014223985A Withdrawn JP2015025020A (ja) | 2009-09-15 | 2014-11-04 | 癌の治療法 |
| JP2016045695A Pending JP2016106143A (ja) | 2009-09-15 | 2016-03-09 | 癌の治療法 |
| JP2017196769A Withdrawn JP2017226708A (ja) | 2009-09-15 | 2017-10-10 | 癌の治療法 |
| JP2020109574A Pending JP2020164547A (ja) | 2009-09-15 | 2020-06-25 | 癌の治療法 |
| JP2022135758A Withdrawn JP2022166327A (ja) | 2009-09-15 | 2022-08-29 | 癌の治療法 |
Family Applications Before (5)
| Application Number | Title | Priority Date | Filing Date |
|---|---|---|---|
| JP2012529881A Expired - Fee Related JP5855568B2 (ja) | 2009-09-15 | 2010-09-15 | 癌の治療法 |
| JP2014223985A Withdrawn JP2015025020A (ja) | 2009-09-15 | 2014-11-04 | 癌の治療法 |
| JP2016045695A Pending JP2016106143A (ja) | 2009-09-15 | 2016-03-09 | 癌の治療法 |
| JP2017196769A Withdrawn JP2017226708A (ja) | 2009-09-15 | 2017-10-10 | 癌の治療法 |
| JP2020109574A Pending JP2020164547A (ja) | 2009-09-15 | 2020-06-25 | 癌の治療法 |
Country Status (11)
| Country | Link |
|---|---|
| US (5) | US20110160159A1 (ja) |
| EP (1) | EP2477985B1 (ja) |
| JP (6) | JP5855568B2 (ja) |
| CN (1) | CN102666533A (ja) |
| AU (1) | AU2010295646B2 (ja) |
| BR (1) | BR112012005594A2 (ja) |
| CA (2) | CA2774015A1 (ja) |
| EA (1) | EA201200486A1 (ja) |
| IL (1) | IL218575A0 (ja) |
| MX (2) | MX366955B (ja) |
| WO (1) | WO2011034954A1 (ja) |
Families Citing this family (56)
| Publication number | Priority date | Publication date | Assignee | Title |
|---|---|---|---|---|
| US9770517B2 (en) | 2002-03-01 | 2017-09-26 | Immunomedics, Inc. | Anti-Trop-2 antibody-drug conjugates and uses thereof |
| CN104383554B (zh) | 2002-09-06 | 2018-06-08 | 天蓝制药公司 | 用于传递治疗剂的以环糊精为基础的聚合物 |
| US10058621B2 (en) | 2015-06-25 | 2018-08-28 | Immunomedics, Inc. | Combination therapy with anti-HLA-DR antibodies and kinase inhibitors in hematopoietic cancers |
| US9707302B2 (en) | 2013-07-23 | 2017-07-18 | Immunomedics, Inc. | Combining anti-HLA-DR or anti-Trop-2 antibodies with microtubule inhibitors, PARP inhibitors, bruton kinase inhibitors or phosphoinositide 3-kinase inhibitors significantly improves therapeutic outcome in cancer |
| US20080176958A1 (en) | 2007-01-24 | 2008-07-24 | Insert Therapeutics, Inc. | Cyclodextrin-based polymers for therapeutics delivery |
| US20120114658A1 (en) * | 2009-09-15 | 2012-05-10 | John Ryan | Treatment of cancer |
| MX336339B (es) | 2009-10-29 | 2016-01-14 | Aventis Pharma Sa | Nuevo uso antitumoral de cabazitaxel. |
| US20120064107A1 (en) * | 2010-05-18 | 2012-03-15 | Cerulean Pharma Inc. | Compositions and methods for treatment of autoimmune and other disease |
| US20130196906A1 (en) * | 2012-01-31 | 2013-08-01 | Cerulean Pharma Inc. | Cyclodextrin-based polymers for therapeutic delivery |
| US9382329B2 (en) | 2012-08-14 | 2016-07-05 | Ibc Pharmaceuticals, Inc. | Disease therapy by inducing immune response to Trop-2 expressing cells |
| WO2014055493A1 (en) | 2012-10-02 | 2014-04-10 | Cerulean Pharma Inc. | Methods and systems for polymer precipitation and generation of particles |
| HK1214128A1 (zh) * | 2012-10-05 | 2016-07-22 | Bluelink Pharmaceuticals, Inc. | 癌症的治療 |
| US20240139324A1 (en) | 2012-12-13 | 2024-05-02 | Immunomedics, Inc. | Dosages of immunoconjugates of antibodies and sn-38 for improved efficacy and decreased toxicity |
| US10206918B2 (en) | 2012-12-13 | 2019-02-19 | Immunomedics, Inc. | Efficacy of anti-HLA-DR antiboddy drug conjugate IMMU-140 (hL243-CL2A-SN-38) in HLA-DR positive cancers |
| US10137196B2 (en) | 2012-12-13 | 2018-11-27 | Immunomedics, Inc. | Dosages of immunoconjugates of antibodies and SN-38 for improved efficacy and decreased toxicity |
| US9492566B2 (en) | 2012-12-13 | 2016-11-15 | Immunomedics, Inc. | Antibody-drug conjugates and uses thereof |
| US10744129B2 (en) | 2012-12-13 | 2020-08-18 | Immunomedics, Inc. | Therapy of small-cell lung cancer (SCLC) with a topoisomerase-I inhibiting antibody-drug conjugate (ADC) targeting Trop-2 |
| ES2819573T3 (es) | 2012-12-13 | 2021-04-16 | Immunomedics Inc | Método para producir inmunoconjugados de anticuerpo-SN-38 con un enlazador CL2A |
| US10413539B2 (en) | 2012-12-13 | 2019-09-17 | Immunomedics, Inc. | Therapy for metastatic urothelial cancer with the antibody-drug conjugate, sacituzumab govitecan (IMMU-132) |
| EP2900277B1 (en) | 2012-12-13 | 2022-02-16 | Immunomedics, Inc. | Dosages of immunoconjugates of antibodies and sn-38 for improved efficacy and decreased toxicity |
| US9931417B2 (en) | 2012-12-13 | 2018-04-03 | Immunomedics, Inc. | Antibody-SN-38 immunoconjugates with a CL2A linker |
| US12310958B2 (en) | 2012-12-13 | 2025-05-27 | Immunomedics, Inc. | Antibody-drug conjugates and uses thereof |
| US9714266B2 (en) | 2013-02-21 | 2017-07-25 | Bayer Pharma Aktiengesellschaft | Estra-1,3,5(10),16-tetraene-3-carboxamides for inhibition of 17.beta.-hydroxysteroid dehydrogenase (AKR1C3) |
| EP2801370A1 (en) * | 2013-05-07 | 2014-11-12 | Fundació Privada Institut d'Investigació Oncològica de Vall Hebron | Methods and compositions for the treatment of cancer |
| US11253606B2 (en) | 2013-07-23 | 2022-02-22 | Immunomedics, Inc. | Combining anti-HLA-DR or anti-Trop-2 antibodies with microtubule inhibitors, PARP inhibitors, Bruton kinase inhibitors or phosphoinositide 3-kinase inhibitors significantly improves therapeutic outcome in cancer |
| WO2015048467A1 (en) * | 2013-09-27 | 2015-04-02 | Cerulean Pharma Inc. | Treatment of cancer |
| EP3096752A4 (en) * | 2014-01-24 | 2017-10-18 | Sirtex Medical Limited | Treatment of neoplasia |
| US20180028531A1 (en) * | 2015-02-12 | 2018-02-01 | BeyondSpring Phamaceuticals, Inc. | Use of plinabulin in combination with immune checkpoint inhibitors |
| US10238650B2 (en) | 2015-03-06 | 2019-03-26 | Beyondspring Pharmaceuticals, Inc. | Method of treating cancer associated with a RAS mutation |
| JP6746845B2 (ja) | 2015-04-22 | 2020-08-26 | イミューノメディクス、インコーポレイテッドImmunomedics, Inc. | 循環trop−2陽性癌細胞の単離、検出、診断及び/または特徴付け |
| US10195175B2 (en) | 2015-06-25 | 2019-02-05 | Immunomedics, Inc. | Synergistic effect of anti-Trop-2 antibody-drug conjugate in combination therapy for triple-negative breast cancer when used with microtubule inhibitors or PARP inhibitors |
| ES2910035T3 (es) | 2015-07-13 | 2022-05-11 | Beyondspring Pharmaceuticals Inc | Composiciones de plinabulina |
| WO2017031442A1 (en) | 2015-08-20 | 2017-02-23 | Merrimack Pharmaceuticals, Inc. | Combination therapy using liposomal irinotecan and a parp inhibitor for cancer treatment |
| FR3040860B1 (fr) * | 2015-09-10 | 2020-05-15 | Universite de Bordeaux | Milieu de conservation injectable pour la conservation de cellules du sang placentaire, de la moelle osseuse et du sang peripherique |
| JP2018536655A (ja) * | 2015-11-03 | 2018-12-13 | ナノプロティアジェン, リミテッド | ポリマーナノ粒子 |
| BR112018016054A2 (pt) | 2016-02-08 | 2019-02-12 | Beyondspring Pharmaceuticals, Inc. | composições farmacêuticas e/ou métodos para tratar câncer e/ou para romper vasculatura de tumor associada ao câncer em indivíduo |
| CA3011372A1 (en) | 2016-02-10 | 2017-08-17 | Immunomedics, Inc. | Combination of abcg2 inhibitors with sacituzumab govitecan (immu-132) overcomes resistance to sn-38 in trop-2 expressing cancers |
| WO2017177055A1 (en) * | 2016-04-08 | 2017-10-12 | Liang Zhao | Cyclodextrin-based polymers for therapeutic delivery |
| CA3016917A1 (en) | 2016-04-27 | 2017-11-02 | Immunomedics, Inc. | Efficacy of anti-trop-2-sn-38 antibody drug conjugates for therapy of tumors relapsed/refractory to checkpoint inhibitors |
| MX389200B (es) | 2016-06-06 | 2025-03-20 | Beyondspring Pharmaceuticals Inc | Composición y método para reducir la neutropenia. |
| WO2018102769A1 (en) * | 2016-12-01 | 2018-06-07 | Bluelink Pharmaceuticals, Inc. | Treatment of cancer |
| CN110431135A (zh) | 2017-01-06 | 2019-11-08 | 大连万春布林医药有限公司 | 微管蛋白结合化合物及其治疗用途 |
| KR20190109479A (ko) | 2017-02-01 | 2019-09-25 | 비욘드스프링 파마수티컬스, 인코포레이티드. | 호중구감소증의 감소 방법 |
| US10918734B2 (en) | 2017-03-27 | 2021-02-16 | Immunomedics, Inc. | Treatment of high Trop-2 expressing triple negative breast cancer (TNBC) with sacituzumab govitecan (IMMU-132) overcomes homologous recombination repair (HRR) rescue mediated by Rad51 |
| CN110352201A (zh) | 2017-04-03 | 2019-10-18 | 免疫医疗公司 | 用于癌症疗法的抗体药物缀合物的皮下施用 |
| WO2019147615A1 (en) | 2018-01-24 | 2019-08-01 | Beyondspring Pharmaceuticals, Inc. | Composition and method for reducing thrombocytopenia via the administration of plinabulin |
| MX420412B (es) * | 2018-06-01 | 2025-02-10 | Beyondspring Pharmaceuticals Inc | Plinabulina, composiciones que la comprenden y sus usos en el tratamiento de cáncer asociado con mutación del egfr. |
| EP3866812A1 (en) | 2018-10-17 | 2021-08-25 | BioLineRx Ltd. | Treatment of metastatic pancreatic adenocarcinoma |
| WO2020148744A1 (en) | 2019-01-17 | 2020-07-23 | Biolinerx Ltd. | Combination therapy for treatment of pancreatic cancer |
| US20220072087A1 (en) | 2019-01-17 | 2022-03-10 | Biolinerx Ltd. | Specific combination therapy for treatment of pancreatic cancer |
| WO2021119464A1 (en) * | 2019-12-13 | 2021-06-17 | Veri Nano Inc. | Compositions and modular nano- and microparticles for the delivery of various agents and use thereof |
| EP4093439A1 (en) * | 2020-01-22 | 2022-11-30 | MedImmune Limited | Compounds and conjugates thereof |
| WO2022150561A1 (en) * | 2021-01-08 | 2022-07-14 | Starton Therapeutics, Inc. | Stable solutions of immunomodulatory imide compounds for parenteral use |
| CN114904013A (zh) * | 2021-02-08 | 2022-08-16 | 中国科学院上海药物研究所 | 硫酸乙酰肝素-骨化三醇偶联物,包含其的乙酰肝素酶响应性纳米粒,其制备方法及用途 |
| CN115109258A (zh) * | 2021-03-19 | 2022-09-27 | 江西中医药大学 | 7-乙基-10-羟基喜树碱聚合物、制备方法及其应用 |
| JP2024513505A (ja) | 2021-04-09 | 2024-03-25 | ビヨンドスプリング ファーマシューティカルズ,インコーポレイテッド | 腫瘍を治療するための組成物及び方法 |
Family Cites Families (33)
| Publication number | Priority date | Publication date | Assignee | Title |
|---|---|---|---|---|
| EP0092918B1 (en) | 1982-04-22 | 1988-10-19 | Imperial Chemical Industries Plc | Continuous release formulations |
| US4438253A (en) | 1982-11-12 | 1984-03-20 | American Cyanamid Company | Poly(glycolic acid)/poly(alkylene glycol) block copolymers and method of manufacturing the same |
| JPS60100516A (ja) | 1983-11-04 | 1985-06-04 | Takeda Chem Ind Ltd | 徐放型マイクロカプセルの製造法 |
| ES2058081T3 (es) | 1986-09-05 | 1994-11-01 | American Cyanamid Co | Poliesteres que contienen bloques de oxido de alquileno como sistemas de administracion de medicamentos. |
| JP2670680B2 (ja) | 1988-02-24 | 1997-10-29 | 株式会社ビーエムジー | 生理活性物質含有ポリ乳酸系微小球およびその製造法 |
| FR2665169A1 (fr) | 1990-07-30 | 1992-01-31 | Rhone Poulenc Chimie | Composes d'inclusion de cyclodextrines enfermant des antioxydants phenoliques et leur utilisation dans les polymeres. |
| US5330768A (en) | 1991-07-05 | 1994-07-19 | Massachusetts Institute Of Technology | Controlled drug delivery using polymer/pluronic blends |
| GB9211268D0 (en) | 1992-05-28 | 1992-07-15 | Ici Plc | Salts of basic peptides with carboxyterminated polyesters |
| IL111785A0 (en) | 1993-12-03 | 1995-01-24 | Ferring Bv | Dp-iv inhibitors and pharmaceutical compositions containing them |
| DE122010000020I1 (de) | 1996-04-25 | 2010-07-08 | Prosidion Ltd | Verfahren zur Senkung des Blutglukosespiegels in Säugern |
| TW492957B (en) | 1996-11-07 | 2002-07-01 | Novartis Ag | N-substituted 2-cyanopyrrolidnes |
| US5990237A (en) * | 1997-05-21 | 1999-11-23 | Shearwater Polymers, Inc. | Poly(ethylene glycol) aldehyde hydrates and related polymers and applications in modifying amines |
| AU756796B2 (en) * | 1998-10-16 | 2003-01-23 | Government Of The United States Of America, As Represented By The Secretary Of The Department Of Health And Human Services, The | Combination therapy with VIP antagonist |
| CO5150173A1 (es) | 1998-12-10 | 2002-04-29 | Novartis Ag | Compuestos n-(glicilo sustituido)-2-cianopirrolidinas inhibidores de peptidasa de dipeptidilo-iv (dpp-iv) los cuales son efectivos en el tratamiento de condiciones mediadas por la inhibicion de dpp-iv |
| AUPP913999A0 (en) * | 1999-03-12 | 1999-04-01 | Biota Scientific Management Pty Ltd | Novel chemical compounds and their use |
| US6420378B1 (en) * | 1999-10-15 | 2002-07-16 | Supergen, Inc. | Inhibition of abnormal cell proliferation with camptothecin and combinations including the same |
| AU2003243561A1 (en) * | 2002-06-14 | 2003-12-31 | Bristol-Myers Squibb Company | Combination of epothilone analogs and chemotherapeutic agents for the treatment of proliferative diseases |
| CN104383554B (zh) | 2002-09-06 | 2018-06-08 | 天蓝制药公司 | 用于传递治疗剂的以环糊精为基础的聚合物 |
| US20040047835A1 (en) * | 2002-09-06 | 2004-03-11 | Cell Therapeutics, Inc. | Combinatorial drug therapy using polymer drug conjugates |
| AU2003299651A1 (en) * | 2002-12-11 | 2004-06-30 | Merck And Co., Inc. | Tyrosine kinase inhibitors |
| US7358262B2 (en) * | 2003-01-29 | 2008-04-15 | Whitehead Institute For Biomedical Research | Identification of genotype-selective anti-tumor agents |
| CN1216057C (zh) * | 2003-03-28 | 2005-08-24 | 贵州省生物研究所 | 喜树碱类似物的衍生物及其制备方法 |
| WO2006004574A2 (en) * | 2004-02-19 | 2006-01-12 | Abbott Laboratories | Method for using gamma cyclodextrin to control blood glucose and insulin secretion |
| ES2564127T5 (es) * | 2004-06-04 | 2020-03-26 | Genentech Inc | Mutaciones en EGFR |
| TW200640493A (en) * | 2005-02-16 | 2006-12-01 | Insert Therapeutics Inc | Cyclodextrin-based polymers for therapeutics delivery |
| US20090202989A1 (en) * | 2005-06-28 | 2009-08-13 | Hillan Kenneth J | Egfr and kras mutations |
| US8143236B2 (en) * | 2005-12-13 | 2012-03-27 | Bionumerik Pharmaceuticals, Inc. | Chemoprotective methods |
| KR100917809B1 (ko) * | 2006-05-22 | 2009-09-18 | 에스케이케미칼주식회사 | 우수한 저장안정성을 갖는 도세탁셀 함유 주사제 조성물 |
| US20100112077A1 (en) * | 2006-11-06 | 2010-05-06 | Abraxis Bioscience, Llc | Nanoparticles of paclitaxel and albumin in combination with bevacizumab against cancer |
| WO2008148080A2 (en) * | 2007-05-24 | 2008-12-04 | Dr. Reddy's Laboratories Ltd. | Pharmaceutical compositions of [5(s)-(2'-hydroxyethoxy)-20(s)-camptothecin] |
| US20100056555A1 (en) * | 2008-08-29 | 2010-03-04 | Enzon Pharmaceuticals, Inc. | Method of treating ras associated cancer |
| JP2012522055A (ja) * | 2009-03-30 | 2012-09-20 | セルリアン・ファーマ・インコーポレイテッド | ポリマー‐薬剤抱合体、粒子、組成物、および関連する使用方法 |
| US20120114658A1 (en) * | 2009-09-15 | 2012-05-10 | John Ryan | Treatment of cancer |
-
2010
- 2010-09-15 EP EP10817784.1A patent/EP2477985B1/en active Active
- 2010-09-15 MX MX2016013249A patent/MX366955B/es unknown
- 2010-09-15 EA EA201200486A patent/EA201200486A1/ru unknown
- 2010-09-15 BR BR112012005594A patent/BR112012005594A2/pt not_active Application Discontinuation
- 2010-09-15 CA CA2774015A patent/CA2774015A1/en not_active Abandoned
- 2010-09-15 AU AU2010295646A patent/AU2010295646B2/en not_active Ceased
- 2010-09-15 WO PCT/US2010/048973 patent/WO2011034954A1/en not_active Ceased
- 2010-09-15 US US12/883,084 patent/US20110160159A1/en not_active Abandoned
- 2010-09-15 JP JP2012529881A patent/JP5855568B2/ja not_active Expired - Fee Related
- 2010-09-15 CN CN2010800410580A patent/CN102666533A/zh active Pending
- 2010-09-15 MX MX2012003046A patent/MX342709B/es active IP Right Grant
- 2010-09-15 CA CA2939165A patent/CA2939165A1/en not_active Abandoned
-
2012
- 2012-03-11 IL IL218575A patent/IL218575A0/en unknown
-
2013
- 2013-01-10 US US13/738,630 patent/US20130338103A1/en not_active Abandoned
- 2013-02-15 US US13/769,046 patent/US20130164282A1/en not_active Abandoned
-
2014
- 2014-11-04 JP JP2014223985A patent/JP2015025020A/ja not_active Withdrawn
-
2015
- 2015-04-01 US US14/675,815 patent/US20160058875A1/en not_active Abandoned
-
2016
- 2016-03-09 JP JP2016045695A patent/JP2016106143A/ja active Pending
-
2017
- 2017-04-26 US US15/498,056 patent/US20180071404A1/en not_active Abandoned
- 2017-10-10 JP JP2017196769A patent/JP2017226708A/ja not_active Withdrawn
-
2020
- 2020-06-25 JP JP2020109574A patent/JP2020164547A/ja active Pending
-
2022
- 2022-08-29 JP JP2022135758A patent/JP2022166327A/ja not_active Withdrawn
Also Published As
| Publication number | Publication date |
|---|---|
| US20180071404A1 (en) | 2018-03-15 |
| EP2477985A4 (en) | 2013-05-15 |
| JP2016106143A (ja) | 2016-06-16 |
| AU2010295646A1 (en) | 2012-04-05 |
| EP2477985B1 (en) | 2018-11-07 |
| US20160058875A1 (en) | 2016-03-03 |
| BR112012005594A2 (pt) | 2015-09-08 |
| US20110160159A1 (en) | 2011-06-30 |
| WO2011034954A1 (en) | 2011-03-24 |
| MX342709B (es) | 2016-10-10 |
| MX2012003046A (es) | 2012-09-07 |
| JP2015025020A (ja) | 2015-02-05 |
| CN102666533A (zh) | 2012-09-12 |
| CA2939165A1 (en) | 2011-03-24 |
| EP2477985A1 (en) | 2012-07-25 |
| CA2774015A1 (en) | 2011-03-24 |
| EA201200486A1 (ru) | 2012-08-30 |
| JP2013504630A (ja) | 2013-02-07 |
| US20130338103A1 (en) | 2013-12-19 |
| JP2017226708A (ja) | 2017-12-28 |
| AU2010295646B2 (en) | 2016-02-11 |
| MX366955B (es) | 2019-07-31 |
| US20130164282A1 (en) | 2013-06-27 |
| IL218575A0 (en) | 2012-05-31 |
| JP2020164547A (ja) | 2020-10-08 |
| JP5855568B2 (ja) | 2016-02-09 |
Similar Documents
| Publication | Publication Date | Title |
|---|---|---|
| JP2022166327A (ja) | 癌の治療法 | |
| AU2012229503B2 (en) | Treatment of cancer | |
| US20200375978A1 (en) | Treatment of cancer | |
| US20200093932A1 (en) | Treatment of cancer | |
| US20110245201A1 (en) | Treatment of cancer | |
| EP3049078B1 (en) | Treatment of cancer | |
| US20140205594A1 (en) | Treatment of cancer | |
| AU2013205079B2 (en) | Treatment of cancer | |
| HK1169391B (en) | Crlx101 for use in the treatment of cancer | |
| HK1169391A (en) | Crlx101 for use in the treatment of cancer | |
| HK1232118B (en) | Treatment of cancer |
Legal Events
| Date | Code | Title | Description |
|---|---|---|---|
| A621 | Written request for application examination |
Free format text: JAPANESE INTERMEDIATE CODE: A621 Effective date: 20220927 |
|
| A761 | Written withdrawal of application |
Free format text: JAPANESE INTERMEDIATE CODE: A761 Effective date: 20230302 |
|
| A521 | Request for written amendment filed |
Free format text: JAPANESE INTERMEDIATE CODE: A821 Effective date: 20230530 |







































































