JP2015166350A - テトラサイクリン化合物の塩および多型体 - Google Patents
テトラサイクリン化合物の塩および多型体 Download PDFInfo
- Publication number
- JP2015166350A JP2015166350A JP2015076659A JP2015076659A JP2015166350A JP 2015166350 A JP2015166350 A JP 2015166350A JP 2015076659 A JP2015076659 A JP 2015076659A JP 2015076659 A JP2015076659 A JP 2015076659A JP 2015166350 A JP2015166350 A JP 2015166350A
- Authority
- JP
- Japan
- Prior art keywords
- compound
- polymorph
- solvent
- salt
- tosylate salt
- Prior art date
- Legal status (The legal status is an assumption and is not a legal conclusion. Google has not performed a legal analysis and makes no representation as to the accuracy of the status listed.)
- Granted
Links
- 150000003839 salts Chemical class 0.000 title claims abstract description 74
- 239000004098 Tetracycline Substances 0.000 title abstract description 98
- 235000019364 tetracycline Nutrition 0.000 title abstract description 98
- 229960002180 tetracycline Drugs 0.000 title abstract description 95
- 229930101283 tetracycline Natural products 0.000 title abstract description 95
- -1 tetracycline compounds Chemical class 0.000 title abstract description 81
- 238000000034 method Methods 0.000 claims abstract description 100
- JOXIMZWYDAKGHI-UHFFFAOYSA-N toluene-4-sulfonic acid Chemical class CC1=CC=C(S(O)(=O)=O)C=C1 JOXIMZWYDAKGHI-UHFFFAOYSA-N 0.000 claims description 181
- 229940125904 compound 1 Drugs 0.000 claims description 134
- 239000002904 solvent Substances 0.000 claims description 106
- 239000000203 mixture Substances 0.000 claims description 100
- KFZMGEQAYNKOFK-UHFFFAOYSA-N Isopropanol Chemical compound CC(C)O KFZMGEQAYNKOFK-UHFFFAOYSA-N 0.000 claims description 87
- OKKJLVBELUTLKV-UHFFFAOYSA-N Methanol Chemical group OC OKKJLVBELUTLKV-UHFFFAOYSA-N 0.000 claims description 63
- AICOOMRHRUFYCM-ZRRPKQBOSA-N oxazine, 1 Chemical compound C([C@@H]1[C@H](C(C[C@]2(C)[C@@H]([C@H](C)N(C)C)[C@H](O)C[C@]21C)=O)CC1=CC2)C[C@H]1[C@@]1(C)[C@H]2N=C(C(C)C)OC1 AICOOMRHRUFYCM-ZRRPKQBOSA-N 0.000 claims description 59
- LFQSCWFLJHTTHZ-UHFFFAOYSA-N Ethanol Chemical compound CCO LFQSCWFLJHTTHZ-UHFFFAOYSA-N 0.000 claims description 54
- 239000002002 slurry Substances 0.000 claims description 54
- 238000000634 powder X-ray diffraction Methods 0.000 claims description 43
- 239000013078 crystal Substances 0.000 claims description 36
- 239000008194 pharmaceutical composition Substances 0.000 claims description 28
- 239000012458 free base Substances 0.000 claims description 21
- BZLVMXJERCGZMT-UHFFFAOYSA-N Methyl tert-butyl ether Chemical group COC(C)(C)C BZLVMXJERCGZMT-UHFFFAOYSA-N 0.000 claims description 19
- 239000000546 pharmaceutical excipient Substances 0.000 claims description 18
- 230000005855 radiation Effects 0.000 claims description 18
- KJIFKLIQANRMOU-UHFFFAOYSA-N oxidanium;4-methylbenzenesulfonate Chemical compound O.CC1=CC=C(S(O)(=O)=O)C=C1 KJIFKLIQANRMOU-UHFFFAOYSA-N 0.000 claims description 15
- 239000003085 diluting agent Substances 0.000 claims description 12
- 150000002148 esters Chemical class 0.000 claims description 12
- 238000003756 stirring Methods 0.000 claims description 11
- RTZKZFJDLAIYFH-UHFFFAOYSA-N Diethyl ether Chemical compound CCOCC RTZKZFJDLAIYFH-UHFFFAOYSA-N 0.000 claims description 10
- 239000005456 alcohol based solvent Substances 0.000 claims description 10
- 239000012296 anti-solvent Substances 0.000 claims description 8
- 238000002156 mixing Methods 0.000 claims description 8
- 238000004519 manufacturing process Methods 0.000 claims description 6
- 230000008569 process Effects 0.000 claims description 6
- 238000001035 drying Methods 0.000 claims description 5
- 150000002576 ketones Chemical group 0.000 claims description 5
- 150000002170 ethers Chemical class 0.000 claims description 3
- 150000001875 compounds Chemical class 0.000 abstract description 100
- 208000037265 diseases, disorders, signs and symptoms Diseases 0.000 abstract description 32
- 206010028980 Neoplasm Diseases 0.000 abstract description 18
- 238000011282 treatment Methods 0.000 abstract description 18
- 208000035143 Bacterial infection Diseases 0.000 abstract description 10
- 208000022362 bacterial infectious disease Diseases 0.000 abstract description 10
- 230000002265 prevention Effects 0.000 abstract description 3
- 125000005490 tosylate group Chemical class 0.000 abstract 2
- 239000000243 solution Substances 0.000 description 53
- 150000003522 tetracyclines Chemical class 0.000 description 29
- 239000000047 product Substances 0.000 description 28
- YMWUJEATGCHHMB-UHFFFAOYSA-N Dichloromethane Chemical compound ClCCl YMWUJEATGCHHMB-UHFFFAOYSA-N 0.000 description 27
- 239000003814 drug Substances 0.000 description 25
- 235000019441 ethanol Nutrition 0.000 description 24
- 239000012535 impurity Substances 0.000 description 23
- XLYOFNOQVPJJNP-UHFFFAOYSA-N water Substances O XLYOFNOQVPJJNP-UHFFFAOYSA-N 0.000 description 23
- MWUXSHHQAYIFBG-UHFFFAOYSA-N Nitric oxide Chemical compound O=[N] MWUXSHHQAYIFBG-UHFFFAOYSA-N 0.000 description 22
- 230000001154 acute effect Effects 0.000 description 21
- 208000035475 disorder Diseases 0.000 description 21
- AFVFQIVMOAPDHO-UHFFFAOYSA-N Methanesulfonic acid Chemical class CS(O)(=O)=O AFVFQIVMOAPDHO-UHFFFAOYSA-N 0.000 description 20
- 239000007787 solid Substances 0.000 description 20
- VEXZGXHMUGYJMC-UHFFFAOYSA-N Hydrochloric acid Chemical compound Cl VEXZGXHMUGYJMC-UHFFFAOYSA-N 0.000 description 19
- 229940079593 drug Drugs 0.000 description 19
- CSCPPACGZOOCGX-UHFFFAOYSA-N Acetone Chemical compound CC(C)=O CSCPPACGZOOCGX-UHFFFAOYSA-N 0.000 description 18
- 238000009472 formulation Methods 0.000 description 17
- 239000000126 substance Substances 0.000 description 16
- HEMHJVSKTPXQMS-UHFFFAOYSA-M Sodium hydroxide Chemical compound [OH-].[Na+] HEMHJVSKTPXQMS-UHFFFAOYSA-M 0.000 description 15
- IJGRMHOSHXDMSA-UHFFFAOYSA-N Atomic nitrogen Chemical compound N#N IJGRMHOSHXDMSA-UHFFFAOYSA-N 0.000 description 14
- 239000002253 acid Substances 0.000 description 14
- 239000000523 sample Substances 0.000 description 14
- PEDCQBHIVMGVHV-UHFFFAOYSA-N Glycerine Chemical compound OCC(O)CO PEDCQBHIVMGVHV-UHFFFAOYSA-N 0.000 description 13
- 239000000463 material Substances 0.000 description 13
- 210000001519 tissue Anatomy 0.000 description 13
- WEVYAHXRMPXWCK-UHFFFAOYSA-N Acetonitrile Chemical compound CC#N WEVYAHXRMPXWCK-UHFFFAOYSA-N 0.000 description 12
- XEKOWRVHYACXOJ-UHFFFAOYSA-N Ethyl acetate Chemical compound CCOC(C)=O XEKOWRVHYACXOJ-UHFFFAOYSA-N 0.000 description 12
- IMNFDUFMRHMDMM-UHFFFAOYSA-N N-Heptane Chemical compound CCCCCCC IMNFDUFMRHMDMM-UHFFFAOYSA-N 0.000 description 12
- 239000004480 active ingredient Substances 0.000 description 12
- 239000002585 base Substances 0.000 description 12
- 239000000843 powder Substances 0.000 description 12
- 210000000988 bone and bone Anatomy 0.000 description 11
- 230000001684 chronic effect Effects 0.000 description 11
- 239000002552 dosage form Substances 0.000 description 11
- 238000002360 preparation method Methods 0.000 description 11
- 238000004458 analytical method Methods 0.000 description 10
- DNIAPMSPPWPWGF-UHFFFAOYSA-N Propylene glycol Chemical compound CC(O)CO DNIAPMSPPWPWGF-UHFFFAOYSA-N 0.000 description 9
- 201000011510 cancer Diseases 0.000 description 9
- 238000006243 chemical reaction Methods 0.000 description 9
- 239000003795 chemical substances by application Substances 0.000 description 9
- 201000010099 disease Diseases 0.000 description 9
- 239000003826 tablet Substances 0.000 description 9
- 230000032683 aging Effects 0.000 description 8
- 239000003963 antioxidant agent Substances 0.000 description 8
- 235000006708 antioxidants Nutrition 0.000 description 8
- 239000007857 degradation product Substances 0.000 description 8
- 238000004128 high performance liquid chromatography Methods 0.000 description 8
- 230000004054 inflammatory process Effects 0.000 description 8
- 238000001953 recrystallisation Methods 0.000 description 8
- 230000001225 therapeutic effect Effects 0.000 description 8
- 102000002274 Matrix Metalloproteinases Human genes 0.000 description 7
- 108010000684 Matrix Metalloproteinases Proteins 0.000 description 7
- 239000007864 aqueous solution Substances 0.000 description 7
- 239000006227 byproduct Substances 0.000 description 7
- 229960004023 minocycline Drugs 0.000 description 7
- 230000007935 neutral effect Effects 0.000 description 7
- 229910052757 nitrogen Inorganic materials 0.000 description 7
- 229920001223 polyethylene glycol Polymers 0.000 description 7
- 239000006228 supernatant Substances 0.000 description 7
- 206010002329 Aneurysm Diseases 0.000 description 6
- 238000010521 absorption reaction Methods 0.000 description 6
- 230000000844 anti-bacterial effect Effects 0.000 description 6
- 230000015572 biosynthetic process Effects 0.000 description 6
- 238000007664 blowing Methods 0.000 description 6
- 239000000872 buffer Substances 0.000 description 6
- 206010012601 diabetes mellitus Diseases 0.000 description 6
- 238000004090 dissolution Methods 0.000 description 6
- 239000003937 drug carrier Substances 0.000 description 6
- 238000001914 filtration Methods 0.000 description 6
- 208000015181 infectious disease Diseases 0.000 description 6
- 208000027866 inflammatory disease Diseases 0.000 description 6
- 239000007924 injection Substances 0.000 description 6
- 238000002347 injection Methods 0.000 description 6
- 208000014674 injury Diseases 0.000 description 6
- 239000010410 layer Substances 0.000 description 6
- 239000007788 liquid Substances 0.000 description 6
- 239000012071 phase Substances 0.000 description 6
- 230000000704 physical effect Effects 0.000 description 6
- 238000000746 purification Methods 0.000 description 6
- GEHJYWRUCIMESM-UHFFFAOYSA-L sodium sulfite Chemical compound [Na+].[Na+].[O-]S([O-])=O GEHJYWRUCIMESM-UHFFFAOYSA-L 0.000 description 6
- 229940124597 therapeutic agent Drugs 0.000 description 6
- FFTVPQUHLQBXQZ-KVUCHLLUSA-N (4s,4as,5ar,12ar)-4,7-bis(dimethylamino)-1,10,11,12a-tetrahydroxy-3,12-dioxo-4a,5,5a,6-tetrahydro-4h-tetracene-2-carboxamide Chemical compound C1C2=C(N(C)C)C=CC(O)=C2C(O)=C2[C@@H]1C[C@H]1[C@H](N(C)C)C(=O)C(C(N)=O)=C(O)[C@@]1(O)C2=O FFTVPQUHLQBXQZ-KVUCHLLUSA-N 0.000 description 5
- GUBGYTABKSRVRQ-XLOQQCSPSA-N Alpha-Lactose Chemical compound O[C@@H]1[C@@H](O)[C@@H](O)[C@@H](CO)O[C@H]1O[C@@H]1[C@@H](CO)O[C@H](O)[C@H](O)[C@H]1O GUBGYTABKSRVRQ-XLOQQCSPSA-N 0.000 description 5
- 241000894006 Bacteria Species 0.000 description 5
- 206010006187 Breast cancer Diseases 0.000 description 5
- 208000026310 Breast neoplasm Diseases 0.000 description 5
- 206010010741 Conjunctivitis Diseases 0.000 description 5
- 108010010803 Gelatin Proteins 0.000 description 5
- GUBGYTABKSRVRQ-QKKXKWKRSA-N Lactose Natural products OC[C@H]1O[C@@H](O[C@H]2[C@H](O)[C@@H](O)C(O)O[C@@H]2CO)[C@H](O)[C@@H](O)[C@H]1O GUBGYTABKSRVRQ-QKKXKWKRSA-N 0.000 description 5
- 241000124008 Mammalia Species 0.000 description 5
- 239000002202 Polyethylene glycol Substances 0.000 description 5
- 229920002472 Starch Polymers 0.000 description 5
- CZMRCDWAGMRECN-UGDNZRGBSA-N Sucrose Chemical compound O[C@H]1[C@H](O)[C@@H](CO)O[C@@]1(CO)O[C@@H]1[C@H](O)[C@@H](O)[C@H](O)[C@@H](CO)O1 CZMRCDWAGMRECN-UGDNZRGBSA-N 0.000 description 5
- 229930006000 Sucrose Natural products 0.000 description 5
- 230000002378 acidificating effect Effects 0.000 description 5
- 239000002775 capsule Substances 0.000 description 5
- 239000000969 carrier Substances 0.000 description 5
- 230000008859 change Effects 0.000 description 5
- 230000006378 damage Effects 0.000 description 5
- 239000008273 gelatin Substances 0.000 description 5
- 229920000159 gelatin Polymers 0.000 description 5
- 235000019322 gelatine Nutrition 0.000 description 5
- 235000011852 gelatine desserts Nutrition 0.000 description 5
- 235000011187 glycerol Nutrition 0.000 description 5
- 239000008101 lactose Substances 0.000 description 5
- 231100000252 nontoxic Toxicity 0.000 description 5
- 230000003000 nontoxic effect Effects 0.000 description 5
- 239000003921 oil Substances 0.000 description 5
- 239000003755 preservative agent Substances 0.000 description 5
- 239000007790 solid phase Substances 0.000 description 5
- 239000012453 solvate Substances 0.000 description 5
- 239000007921 spray Substances 0.000 description 5
- 235000019698 starch Nutrition 0.000 description 5
- 239000005720 sucrose Substances 0.000 description 5
- 239000000725 suspension Substances 0.000 description 5
- 230000000699 topical effect Effects 0.000 description 5
- PFCHFHIRKBAQGU-UHFFFAOYSA-N 3-hexanone Chemical compound CCCC(=O)CC PFCHFHIRKBAQGU-UHFFFAOYSA-N 0.000 description 4
- 208000024827 Alzheimer disease Diseases 0.000 description 4
- 241000416162 Astragalus gummifer Species 0.000 description 4
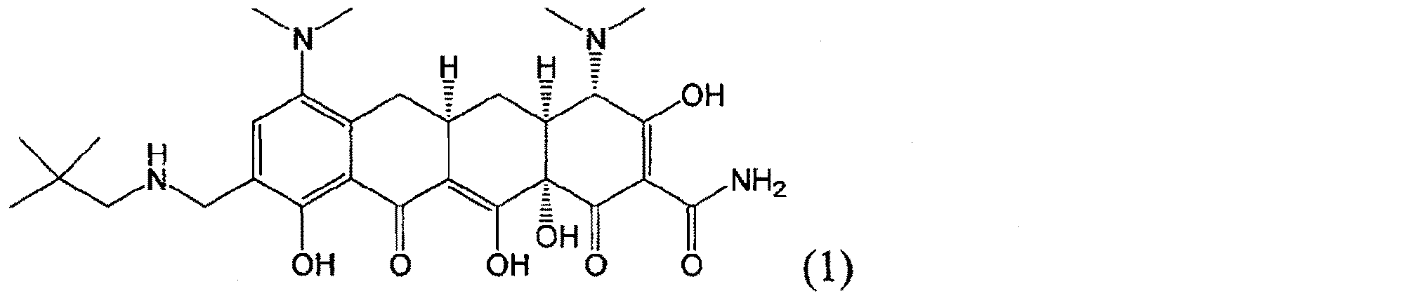
- ATAGMRFEHDYGMI-UHFFFAOYSA-N CC(C)(C)CNCC1=CC=C(CC(CC(C(C(O)=C(C(N)=O)C2=O)N(C)C)C22O)C(C3=O)=C2O)C3=C1O Chemical compound CC(C)(C)CNCC1=CC=C(CC(CC(C(C(O)=C(C(N)=O)C2=O)N(C)C)C22O)C(C3=O)=C2O)C3=C1O ATAGMRFEHDYGMI-UHFFFAOYSA-N 0.000 description 4
- 206010009944 Colon cancer Diseases 0.000 description 4
- 208000005577 Gastroenteritis Diseases 0.000 description 4
- BAVYZALUXZFZLV-UHFFFAOYSA-N Methylamine Chemical compound NC BAVYZALUXZFZLV-UHFFFAOYSA-N 0.000 description 4
- 206010060862 Prostate cancer Diseases 0.000 description 4
- 208000000236 Prostatic Neoplasms Diseases 0.000 description 4
- CDBYLPFSWZWCQE-UHFFFAOYSA-L Sodium Carbonate Chemical compound [Na+].[Na+].[O-]C([O-])=O CDBYLPFSWZWCQE-UHFFFAOYSA-L 0.000 description 4
- 208000006011 Stroke Diseases 0.000 description 4
- 229920001615 Tragacanth Polymers 0.000 description 4
- DTQVDTLACAAQTR-UHFFFAOYSA-N Trifluoroacetic acid Chemical compound OC(=O)C(F)(F)F DTQVDTLACAAQTR-UHFFFAOYSA-N 0.000 description 4
- 206010069351 acute lung injury Diseases 0.000 description 4
- 229910052782 aluminium Inorganic materials 0.000 description 4
- XAGFODPZIPBFFR-UHFFFAOYSA-N aluminium Chemical compound [Al] XAGFODPZIPBFFR-UHFFFAOYSA-N 0.000 description 4
- 239000003242 anti bacterial agent Substances 0.000 description 4
- 230000003115 biocidal effect Effects 0.000 description 4
- 206010006451 bronchitis Diseases 0.000 description 4
- 208000029742 colonic neoplasm Diseases 0.000 description 4
- 238000011161 development Methods 0.000 description 4
- 230000018109 developmental process Effects 0.000 description 4
- 230000000694 effects Effects 0.000 description 4
- 239000003995 emulsifying agent Substances 0.000 description 4
- 238000002474 experimental method Methods 0.000 description 4
- 239000000499 gel Substances 0.000 description 4
- 239000004615 ingredient Substances 0.000 description 4
- 230000005764 inhibitory process Effects 0.000 description 4
- HQKMJHAJHXVSDF-UHFFFAOYSA-L magnesium stearate Chemical compound [Mg+2].CCCCCCCCCCCCCCCCCC([O-])=O.CCCCCCCCCCCCCCCCCC([O-])=O HQKMJHAJHXVSDF-UHFFFAOYSA-L 0.000 description 4
- 235000019198 oils Nutrition 0.000 description 4
- 239000002674 ointment Substances 0.000 description 4
- 230000011164 ossification Effects 0.000 description 4
- 230000003647 oxidation Effects 0.000 description 4
- 238000007254 oxidation reaction Methods 0.000 description 4
- 238000010525 oxidative degradation reaction Methods 0.000 description 4
- 239000002245 particle Substances 0.000 description 4
- 239000006072 paste Substances 0.000 description 4
- 239000006187 pill Substances 0.000 description 4
- 229920000642 polymer Polymers 0.000 description 4
- 239000011541 reaction mixture Substances 0.000 description 4
- 239000007909 solid dosage form Substances 0.000 description 4
- 238000013112 stability test Methods 0.000 description 4
- 238000003860 storage Methods 0.000 description 4
- 239000000829 suppository Substances 0.000 description 4
- 239000000375 suspending agent Substances 0.000 description 4
- 239000000454 talc Substances 0.000 description 4
- 229910052623 talc Inorganic materials 0.000 description 4
- 235000012222 talc Nutrition 0.000 description 4
- 229940072172 tetracycline antibiotic Drugs 0.000 description 4
- 235000010487 tragacanth Nutrition 0.000 description 4
- 239000000196 tragacanth Substances 0.000 description 4
- 229940116362 tragacanth Drugs 0.000 description 4
- 230000008733 trauma Effects 0.000 description 4
- 239000001993 wax Substances 0.000 description 4
- 239000000080 wetting agent Substances 0.000 description 4
- ZWEHNKRNPOVVGH-UHFFFAOYSA-N 2-Butanone Chemical compound CCC(C)=O ZWEHNKRNPOVVGH-UHFFFAOYSA-N 0.000 description 3
- QTBSBXVTEAMEQO-UHFFFAOYSA-N Acetic acid Chemical compound CC(O)=O QTBSBXVTEAMEQO-UHFFFAOYSA-N 0.000 description 3
- 229920001817 Agar Polymers 0.000 description 3
- 201000009030 Carcinoma Diseases 0.000 description 3
- 239000004099 Chlortetracycline Substances 0.000 description 3
- FBPFZTCFMRRESA-FSIIMWSLSA-N D-Glucitol Natural products OC[C@H](O)[C@H](O)[C@@H](O)[C@H](O)CO FBPFZTCFMRRESA-FSIIMWSLSA-N 0.000 description 3
- FBPFZTCFMRRESA-JGWLITMVSA-N D-glucitol Chemical compound OC[C@H](O)[C@@H](O)[C@H](O)[C@H](O)CO FBPFZTCFMRRESA-JGWLITMVSA-N 0.000 description 3
- 240000007472 Leucaena leucocephala Species 0.000 description 3
- 235000010643 Leucaena leucocephala Nutrition 0.000 description 3
- 208000004852 Lung Injury Diseases 0.000 description 3
- 206010058467 Lung neoplasm malignant Diseases 0.000 description 3
- 241001465754 Metazoa Species 0.000 description 3
- 102000011779 Nitric Oxide Synthase Type II Human genes 0.000 description 3
- 108010076864 Nitric Oxide Synthase Type II Proteins 0.000 description 3
- 208000001132 Osteoporosis Diseases 0.000 description 3
- 206010033128 Ovarian cancer Diseases 0.000 description 3
- 206010061535 Ovarian neoplasm Diseases 0.000 description 3
- 239000004100 Oxytetracycline Substances 0.000 description 3
- FAPWRFPIFSIZLT-UHFFFAOYSA-M Sodium chloride Chemical compound [Na+].[Cl-] FAPWRFPIFSIZLT-UHFFFAOYSA-M 0.000 description 3
- YXFVVABEGXRONW-UHFFFAOYSA-N Toluene Chemical compound CC1=CC=CC=C1 YXFVVABEGXRONW-UHFFFAOYSA-N 0.000 description 3
- ZMANZCXQSJIPKH-UHFFFAOYSA-N Triethylamine Chemical compound CCN(CC)CC ZMANZCXQSJIPKH-UHFFFAOYSA-N 0.000 description 3
- 206010067584 Type 1 diabetes mellitus Diseases 0.000 description 3
- 208000027418 Wounds and injury Diseases 0.000 description 3
- 230000002159 abnormal effect Effects 0.000 description 3
- 150000007513 acids Chemical class 0.000 description 3
- 208000009956 adenocarcinoma Diseases 0.000 description 3
- 239000008272 agar Substances 0.000 description 3
- 235000010419 agar Nutrition 0.000 description 3
- 235000010443 alginic acid Nutrition 0.000 description 3
- 229920000615 alginic acid Polymers 0.000 description 3
- 229940088710 antibiotic agent Drugs 0.000 description 3
- 210000000709 aorta Anatomy 0.000 description 3
- 230000001580 bacterial effect Effects 0.000 description 3
- 239000000440 bentonite Substances 0.000 description 3
- 229910000278 bentonite Inorganic materials 0.000 description 3
- SVPXDRXYRYOSEX-UHFFFAOYSA-N bentoquatam Chemical compound O.O=[Si]=O.O=[Al]O[Al]=O SVPXDRXYRYOSEX-UHFFFAOYSA-N 0.000 description 3
- 239000001768 carboxy methyl cellulose Substances 0.000 description 3
- 210000004027 cell Anatomy 0.000 description 3
- CYDMQBQPVICBEU-UHFFFAOYSA-N chlorotetracycline Natural products C1=CC(Cl)=C2C(O)(C)C3CC4C(N(C)C)C(O)=C(C(N)=O)C(=O)C4(O)C(O)=C3C(=O)C2=C1O CYDMQBQPVICBEU-UHFFFAOYSA-N 0.000 description 3
- 229960004475 chlortetracycline Drugs 0.000 description 3
- CYDMQBQPVICBEU-XRNKAMNCSA-N chlortetracycline Chemical compound C1=CC(Cl)=C2[C@](O)(C)[C@H]3C[C@H]4[C@H](N(C)C)C(O)=C(C(N)=O)C(=O)[C@@]4(O)C(O)=C3C(=O)C2=C1O CYDMQBQPVICBEU-XRNKAMNCSA-N 0.000 description 3
- 235000019365 chlortetracycline Nutrition 0.000 description 3
- KRKNYBCHXYNGOX-UHFFFAOYSA-N citric acid Chemical compound OC(=O)CC(O)(C(O)=O)CC(O)=O KRKNYBCHXYNGOX-UHFFFAOYSA-N 0.000 description 3
- 238000000576 coating method Methods 0.000 description 3
- 235000005687 corn oil Nutrition 0.000 description 3
- 239000002285 corn oil Substances 0.000 description 3
- 239000006071 cream Substances 0.000 description 3
- 238000013480 data collection Methods 0.000 description 3
- 230000003111 delayed effect Effects 0.000 description 3
- 239000002270 dispersing agent Substances 0.000 description 3
- 239000000839 emulsion Substances 0.000 description 3
- 239000000706 filtrate Substances 0.000 description 3
- 230000006870 function Effects 0.000 description 3
- 239000008187 granular material Substances 0.000 description 3
- 238000011065 in-situ storage Methods 0.000 description 3
- 239000003701 inert diluent Substances 0.000 description 3
- 208000028867 ischemia Diseases 0.000 description 3
- 238000002955 isolation Methods 0.000 description 3
- 239000000314 lubricant Substances 0.000 description 3
- 201000005202 lung cancer Diseases 0.000 description 3
- 208000020816 lung neoplasm Diseases 0.000 description 3
- 244000005700 microbiome Species 0.000 description 3
- VLKZOEOYAKHREP-UHFFFAOYSA-N n-Hexane Chemical compound CCCCCC VLKZOEOYAKHREP-UHFFFAOYSA-N 0.000 description 3
- OFBQJSOFQDEBGM-UHFFFAOYSA-N n-pentane Natural products CCCCC OFBQJSOFQDEBGM-UHFFFAOYSA-N 0.000 description 3
- 239000012299 nitrogen atmosphere Substances 0.000 description 3
- 239000004006 olive oil Substances 0.000 description 3
- 235000008390 olive oil Nutrition 0.000 description 3
- 239000003960 organic solvent Substances 0.000 description 3
- 201000008482 osteoarthritis Diseases 0.000 description 3
- 229960000625 oxytetracycline Drugs 0.000 description 3
- IWVCMVBTMGNXQD-PXOLEDIWSA-N oxytetracycline Chemical compound C1=CC=C2[C@](O)(C)[C@H]3[C@H](O)[C@H]4[C@H](N(C)C)C(O)=C(C(N)=O)C(=O)[C@@]4(O)C(O)=C3C(=O)C2=C1O IWVCMVBTMGNXQD-PXOLEDIWSA-N 0.000 description 3
- 235000019366 oxytetracycline Nutrition 0.000 description 3
- 238000007911 parenteral administration Methods 0.000 description 3
- 239000003495 polar organic solvent Substances 0.000 description 3
- 230000002829 reductive effect Effects 0.000 description 3
- 230000004044 response Effects 0.000 description 3
- 206010039073 rheumatoid arthritis Diseases 0.000 description 3
- RMAQACBXLXPBSY-UHFFFAOYSA-N silicic acid Chemical compound O[Si](O)(O)O RMAQACBXLXPBSY-UHFFFAOYSA-N 0.000 description 3
- 235000012239 silicon dioxide Nutrition 0.000 description 3
- 235000010265 sodium sulphite Nutrition 0.000 description 3
- 239000000600 sorbitol Substances 0.000 description 3
- 235000010356 sorbitol Nutrition 0.000 description 3
- 239000008107 starch Substances 0.000 description 3
- 239000007858 starting material Substances 0.000 description 3
- 238000007920 subcutaneous administration Methods 0.000 description 3
- 208000024891 symptom Diseases 0.000 description 3
- IWVCMVBTMGNXQD-UHFFFAOYSA-N terramycin dehydrate Natural products C1=CC=C2C(O)(C)C3C(O)C4C(N(C)C)C(O)=C(C(N)=O)C(=O)C4(O)C(O)=C3C(=O)C2=C1O IWVCMVBTMGNXQD-UHFFFAOYSA-N 0.000 description 3
- 238000012360 testing method Methods 0.000 description 3
- 229940040944 tetracyclines Drugs 0.000 description 3
- 230000002792 vascular Effects 0.000 description 3
- 238000005406 washing Methods 0.000 description 3
- PUPZLCDOIYMWBV-UHFFFAOYSA-N (+/-)-1,3-Butanediol Chemical compound CC(O)CCO PUPZLCDOIYMWBV-UHFFFAOYSA-N 0.000 description 2
- JNYAEWCLZODPBN-JGWLITMVSA-N (2r,3r,4s)-2-[(1r)-1,2-dihydroxyethyl]oxolane-3,4-diol Chemical compound OC[C@@H](O)[C@H]1OC[C@H](O)[C@H]1O JNYAEWCLZODPBN-JGWLITMVSA-N 0.000 description 2
- XIYOPDCBBDCGOE-IWVLMIASSA-N (4s,4ar,5s,5ar,12ar)-4-(dimethylamino)-1,5,10,11,12a-pentahydroxy-6-methylidene-3,12-dioxo-4,4a,5,5a-tetrahydrotetracene-2-carboxamide Chemical compound C=C1C2=CC=CC(O)=C2C(O)=C2[C@@H]1[C@H](O)[C@H]1[C@H](N(C)C)C(=O)C(C(N)=O)=C(O)[C@@]1(O)C2=O XIYOPDCBBDCGOE-IWVLMIASSA-N 0.000 description 2
- SGKRLCUYIXIAHR-AKNGSSGZSA-N (4s,4ar,5s,5ar,6r,12ar)-4-(dimethylamino)-1,5,10,11,12a-pentahydroxy-6-methyl-3,12-dioxo-4a,5,5a,6-tetrahydro-4h-tetracene-2-carboxamide Chemical compound C1=CC=C2[C@H](C)[C@@H]([C@H](O)[C@@H]3[C@](C(O)=C(C(N)=O)C(=O)[C@H]3N(C)C)(O)C3=O)C3=C(O)C2=C1O SGKRLCUYIXIAHR-AKNGSSGZSA-N 0.000 description 2
- MTCQOMXDZUULRV-ADOAZJKMSA-N (4s,4as,5ar,12ar)-4-(dimethylamino)-1,10,11,12a-tetrahydroxy-3,12-dioxo-4a,5,5a,6-tetrahydro-4h-tetracene-2-carboxamide Chemical compound C1C2=CC=CC(O)=C2C(O)=C2[C@@H]1C[C@H]1[C@H](N(C)C)C(=O)C(C(N)=O)=C(O)[C@@]1(O)C2=O MTCQOMXDZUULRV-ADOAZJKMSA-N 0.000 description 2
- GUXHBMASAHGULD-SEYHBJAFSA-N (4s,4as,5as,6s,12ar)-7-chloro-4-(dimethylamino)-1,6,10,11,12a-pentahydroxy-3,12-dioxo-4a,5,5a,6-tetrahydro-4h-tetracene-2-carboxamide Chemical compound C1([C@H]2O)=C(Cl)C=CC(O)=C1C(O)=C1[C@@H]2C[C@H]2[C@H](N(C)C)C(=O)C(C(N)=O)=C(O)[C@@]2(O)C1=O GUXHBMASAHGULD-SEYHBJAFSA-N 0.000 description 2
- VBICKXHEKHSIBG-UHFFFAOYSA-N 1-monostearoylglycerol Chemical compound CCCCCCCCCCCCCCCCCC(=O)OCC(O)CO VBICKXHEKHSIBG-UHFFFAOYSA-N 0.000 description 2
- IIZPXYDJLKNOIY-JXPKJXOSSA-N 1-palmitoyl-2-arachidonoyl-sn-glycero-3-phosphocholine Chemical compound CCCCCCCCCCCCCCCC(=O)OC[C@H](COP([O-])(=O)OCC[N+](C)(C)C)OC(=O)CCC\C=C/C\C=C/C\C=C/C\C=C/CCCCC IIZPXYDJLKNOIY-JXPKJXOSSA-N 0.000 description 2
- FJJYHTVHBVXEEQ-UHFFFAOYSA-N 2,2-dimethylpropanal Chemical compound CC(C)(C)C=O FJJYHTVHBVXEEQ-UHFFFAOYSA-N 0.000 description 2
- HZAXFHJVJLSVMW-UHFFFAOYSA-N 2-Aminoethan-1-ol Chemical compound NCCO HZAXFHJVJLSVMW-UHFFFAOYSA-N 0.000 description 2
- QCQCHGYLTSGIGX-GHXANHINSA-N 4-[[(3ar,5ar,5br,7ar,9s,11ar,11br,13as)-5a,5b,8,8,11a-pentamethyl-3a-[(5-methylpyridine-3-carbonyl)amino]-2-oxo-1-propan-2-yl-4,5,6,7,7a,9,10,11,11b,12,13,13a-dodecahydro-3h-cyclopenta[a]chrysen-9-yl]oxy]-2,2-dimethyl-4-oxobutanoic acid Chemical compound N([C@@]12CC[C@@]3(C)[C@]4(C)CC[C@H]5C(C)(C)[C@@H](OC(=O)CC(C)(C)C(O)=O)CC[C@]5(C)[C@H]4CC[C@@H]3C1=C(C(C2)=O)C(C)C)C(=O)C1=CN=CC(C)=C1 QCQCHGYLTSGIGX-GHXANHINSA-N 0.000 description 2
- 206010001052 Acute respiratory distress syndrome Diseases 0.000 description 2
- QGZKDVFQNNGYKY-UHFFFAOYSA-N Ammonia Chemical compound N QGZKDVFQNNGYKY-UHFFFAOYSA-N 0.000 description 2
- 208000019901 Anxiety disease Diseases 0.000 description 2
- CIWBSHSKHKDKBQ-JLAZNSOCSA-N Ascorbic acid Chemical compound OC[C@H](O)[C@H]1OC(=O)C(O)=C1O CIWBSHSKHKDKBQ-JLAZNSOCSA-N 0.000 description 2
- 208000020084 Bone disease Diseases 0.000 description 2
- 206010006458 Bronchitis chronic Diseases 0.000 description 2
- 239000004322 Butylated hydroxytoluene Substances 0.000 description 2
- NLZUEZXRPGMBCV-UHFFFAOYSA-N Butylhydroxytoluene Chemical compound CC1=CC(C(C)(C)C)=C(O)C(C(C)(C)C)=C1 NLZUEZXRPGMBCV-UHFFFAOYSA-N 0.000 description 2
- VTYYLEPIZMXCLO-UHFFFAOYSA-L Calcium carbonate Chemical compound [Ca+2].[O-]C([O-])=O VTYYLEPIZMXCLO-UHFFFAOYSA-L 0.000 description 2
- BVKZGUZCCUSVTD-UHFFFAOYSA-L Carbonate Chemical compound [O-]C([O-])=O BVKZGUZCCUSVTD-UHFFFAOYSA-L 0.000 description 2
- 201000003883 Cystic fibrosis Diseases 0.000 description 2
- 206010063057 Cystitis noninfective Diseases 0.000 description 2
- FBPFZTCFMRRESA-KVTDHHQDSA-N D-Mannitol Chemical compound OC[C@@H](O)[C@@H](O)[C@H](O)[C@H](O)CO FBPFZTCFMRRESA-KVTDHHQDSA-N 0.000 description 2
- FMTDIUIBLCQGJB-UHFFFAOYSA-N Demethylchlortetracyclin Natural products C1C2C(O)C3=C(Cl)C=CC(O)=C3C(=O)C2=C(O)C2(O)C1C(N(C)C)C(O)=C(C(N)=O)C2=O FMTDIUIBLCQGJB-UHFFFAOYSA-N 0.000 description 2
- 201000004624 Dermatitis Diseases 0.000 description 2
- FEWJPZIEWOKRBE-JCYAYHJZSA-N Dextrotartaric acid Chemical compound OC(=O)[C@H](O)[C@@H](O)C(O)=O FEWJPZIEWOKRBE-JCYAYHJZSA-N 0.000 description 2
- KCXVZYZYPLLWCC-UHFFFAOYSA-N EDTA Chemical compound OC(=O)CN(CC(O)=O)CCN(CC(O)=O)CC(O)=O KCXVZYZYPLLWCC-UHFFFAOYSA-N 0.000 description 2
- LVGKNOAMLMIIKO-UHFFFAOYSA-N Elaidinsaeure-aethylester Natural products CCCCCCCCC=CCCCCCCCC(=O)OCC LVGKNOAMLMIIKO-UHFFFAOYSA-N 0.000 description 2
- 208000027534 Emotional disease Diseases 0.000 description 2
- 206010014561 Emphysema Diseases 0.000 description 2
- 241000588724 Escherichia coli Species 0.000 description 2
- QUSNBJAOOMFDIB-UHFFFAOYSA-N Ethylamine Chemical compound CCN QUSNBJAOOMFDIB-UHFFFAOYSA-N 0.000 description 2
- LYCAIKOWRPUZTN-UHFFFAOYSA-N Ethylene glycol Chemical compound OCCO LYCAIKOWRPUZTN-UHFFFAOYSA-N 0.000 description 2
- KRHYYFGTRYWZRS-UHFFFAOYSA-N Fluorane Chemical compound F KRHYYFGTRYWZRS-UHFFFAOYSA-N 0.000 description 2
- 206010017533 Fungal infection Diseases 0.000 description 2
- 241000233866 Fungi Species 0.000 description 2
- WQZGKKKJIJFFOK-GASJEMHNSA-N Glucose Natural products OC[C@H]1OC(O)[C@H](O)[C@@H](O)[C@@H]1O WQZGKKKJIJFFOK-GASJEMHNSA-N 0.000 description 2
- 241000606768 Haemophilus influenzae Species 0.000 description 2
- 241000282412 Homo Species 0.000 description 2
- 208000023105 Huntington disease Diseases 0.000 description 2
- UFHFLCQGNIYNRP-UHFFFAOYSA-N Hydrogen Chemical compound [H][H] UFHFLCQGNIYNRP-UHFFFAOYSA-N 0.000 description 2
- 238000004566 IR spectroscopy Methods 0.000 description 2
- DGAQECJNVWCQMB-PUAWFVPOSA-M Ilexoside XXIX Chemical compound C[C@@H]1CC[C@@]2(CC[C@@]3(C(=CC[C@H]4[C@]3(CC[C@@H]5[C@@]4(CC[C@@H](C5(C)C)OS(=O)(=O)[O-])C)C)[C@@H]2[C@]1(C)O)C)C(=O)O[C@H]6[C@@H]([C@H]([C@@H]([C@H](O6)CO)O)O)O.[Na+] DGAQECJNVWCQMB-PUAWFVPOSA-M 0.000 description 2
- 208000032382 Ischaemic stroke Diseases 0.000 description 2
- 208000019693 Lung disease Diseases 0.000 description 2
- 229930195725 Mannitol Natural products 0.000 description 2
- 208000026139 Memory disease Diseases 0.000 description 2
- 206010027476 Metastases Diseases 0.000 description 2
- 208000031888 Mycoses Diseases 0.000 description 2
- 206010028851 Necrosis Diseases 0.000 description 2
- 208000012902 Nervous system disease Diseases 0.000 description 2
- 208000025966 Neurological disease Diseases 0.000 description 2
- 229910019142 PO4 Inorganic materials 0.000 description 2
- 208000018737 Parkinson disease Diseases 0.000 description 2
- 235000019483 Peanut oil Nutrition 0.000 description 2
- 206010034498 Pericarditis uraemic Diseases 0.000 description 2
- 208000037581 Persistent Infection Diseases 0.000 description 2
- ISWSIDIOOBJBQZ-UHFFFAOYSA-N Phenol Chemical compound OC1=CC=CC=C1 ISWSIDIOOBJBQZ-UHFFFAOYSA-N 0.000 description 2
- GLUUGHFHXGJENI-UHFFFAOYSA-N Piperazine Chemical compound C1CNCCN1 GLUUGHFHXGJENI-UHFFFAOYSA-N 0.000 description 2
- ATUOYWHBWRKTHZ-UHFFFAOYSA-N Propane Chemical compound CCC ATUOYWHBWRKTHZ-UHFFFAOYSA-N 0.000 description 2
- ZTHYODDOHIVTJV-UHFFFAOYSA-N Propyl gallate Chemical compound CCCOC(=O)C1=CC(O)=C(O)C(O)=C1 ZTHYODDOHIVTJV-UHFFFAOYSA-N 0.000 description 2
- 208000013616 Respiratory Distress Syndrome Diseases 0.000 description 2
- 206010057190 Respiratory tract infections Diseases 0.000 description 2
- 241000607142 Salmonella Species 0.000 description 2
- 206010039491 Sarcoma Diseases 0.000 description 2
- 206010058556 Serositis Diseases 0.000 description 2
- XUIMIQQOPSSXEZ-UHFFFAOYSA-N Silicon Chemical compound [Si] XUIMIQQOPSSXEZ-UHFFFAOYSA-N 0.000 description 2
- 206010072170 Skin wound Diseases 0.000 description 2
- DBMJMQXJHONAFJ-UHFFFAOYSA-M Sodium laurylsulphate Chemical compound [Na+].CCCCCCCCCCCCOS([O-])(=O)=O DBMJMQXJHONAFJ-UHFFFAOYSA-M 0.000 description 2
- 206010042496 Sunburn Diseases 0.000 description 2
- 208000000491 Tendinopathy Diseases 0.000 description 2
- 206010043255 Tendonitis Diseases 0.000 description 2
- 208000024313 Testicular Neoplasms Diseases 0.000 description 2
- 206010057644 Testis cancer Diseases 0.000 description 2
- 206010046851 Uveitis Diseases 0.000 description 2
- 206010046914 Vaginal infection Diseases 0.000 description 2
- 201000008100 Vaginitis Diseases 0.000 description 2
- 206010052428 Wound Diseases 0.000 description 2
- 238000002441 X-ray diffraction Methods 0.000 description 2
- 201000004484 acute conjunctivitis Diseases 0.000 description 2
- 201000005661 acute cystitis Diseases 0.000 description 2
- 208000012873 acute gastroenteritis Diseases 0.000 description 2
- 239000002671 adjuvant Substances 0.000 description 2
- 208000011341 adult acute respiratory distress syndrome Diseases 0.000 description 2
- 201000000028 adult respiratory distress syndrome Diseases 0.000 description 2
- 239000000783 alginic acid Substances 0.000 description 2
- 229960001126 alginic acid Drugs 0.000 description 2
- 206010002026 amyotrophic lateral sclerosis Diseases 0.000 description 2
- 230000009286 beneficial effect Effects 0.000 description 2
- 230000008901 benefit Effects 0.000 description 2
- SESFRYSPDFLNCH-UHFFFAOYSA-N benzyl benzoate Chemical compound C=1C=CC=CC=1C(=O)OCC1=CC=CC=C1 SESFRYSPDFLNCH-UHFFFAOYSA-N 0.000 description 2
- WQZGKKKJIJFFOK-VFUOTHLCSA-N beta-D-glucose Chemical compound OC[C@H]1O[C@@H](O)[C@H](O)[C@@H](O)[C@@H]1O WQZGKKKJIJFFOK-VFUOTHLCSA-N 0.000 description 2
- 239000011230 binding agent Substances 0.000 description 2
- 229920002988 biodegradable polymer Polymers 0.000 description 2
- 239000004621 biodegradable polymer Substances 0.000 description 2
- 239000008280 blood Substances 0.000 description 2
- 210000004369 blood Anatomy 0.000 description 2
- 235000010354 butylated hydroxytoluene Nutrition 0.000 description 2
- 229940095259 butylated hydroxytoluene Drugs 0.000 description 2
- 229910052799 carbon Inorganic materials 0.000 description 2
- 230000015556 catabolic process Effects 0.000 description 2
- 239000003054 catalyst Substances 0.000 description 2
- 230000004663 cell proliferation Effects 0.000 description 2
- 235000010980 cellulose Nutrition 0.000 description 2
- 239000001913 cellulose Substances 0.000 description 2
- OSASVXMJTNOKOY-UHFFFAOYSA-N chlorobutanol Chemical compound CC(C)(O)C(Cl)(Cl)Cl OSASVXMJTNOKOY-UHFFFAOYSA-N 0.000 description 2
- 201000001352 cholecystitis Diseases 0.000 description 2
- 208000007451 chronic bronchitis Diseases 0.000 description 2
- 201000005547 chronic conjunctivitis Diseases 0.000 description 2
- 201000003139 chronic cystitis Diseases 0.000 description 2
- 239000011248 coating agent Substances 0.000 description 2
- 229940110456 cocoa butter Drugs 0.000 description 2
- 235000019868 cocoa butter Nutrition 0.000 description 2
- 206010009887 colitis Diseases 0.000 description 2
- 239000003086 colorant Substances 0.000 description 2
- 235000012343 cottonseed oil Nutrition 0.000 description 2
- 239000002385 cottonseed oil Substances 0.000 description 2
- 201000003146 cystitis Diseases 0.000 description 2
- 238000006731 degradation reaction Methods 0.000 description 2
- 229960002398 demeclocycline Drugs 0.000 description 2
- 239000007884 disintegrant Substances 0.000 description 2
- 239000006185 dispersion Substances 0.000 description 2
- 229960003722 doxycycline Drugs 0.000 description 2
- 239000008298 dragée Substances 0.000 description 2
- 238000007876 drug discovery Methods 0.000 description 2
- 230000002996 emotional effect Effects 0.000 description 2
- MMXKVMNBHPAILY-UHFFFAOYSA-N ethyl laurate Chemical compound CCCCCCCCCCCC(=O)OCC MMXKVMNBHPAILY-UHFFFAOYSA-N 0.000 description 2
- LVGKNOAMLMIIKO-QXMHVHEDSA-N ethyl oleate Chemical compound CCCCCCCC\C=C/CCCCCCCC(=O)OCC LVGKNOAMLMIIKO-QXMHVHEDSA-N 0.000 description 2
- 229940093471 ethyl oleate Drugs 0.000 description 2
- 239000000945 filler Substances 0.000 description 2
- 239000011888 foil Substances 0.000 description 2
- 239000003205 fragrance Substances 0.000 description 2
- 125000000524 functional group Chemical group 0.000 description 2
- 230000000762 glandular Effects 0.000 description 2
- 239000008103 glucose Substances 0.000 description 2
- 230000012010 growth Effects 0.000 description 2
- 230000035876 healing Effects 0.000 description 2
- 150000002430 hydrocarbons Chemical group 0.000 description 2
- 150000003840 hydrochlorides Chemical class 0.000 description 2
- 230000002209 hydrophobic effect Effects 0.000 description 2
- 125000002887 hydroxy group Chemical group [H]O* 0.000 description 2
- 239000001866 hydroxypropyl methyl cellulose Substances 0.000 description 2
- 235000010979 hydroxypropyl methyl cellulose Nutrition 0.000 description 2
- 229920003088 hydroxypropyl methyl cellulose Polymers 0.000 description 2
- UFVKGYZPFZQRLF-UHFFFAOYSA-N hydroxypropyl methyl cellulose Chemical compound OC1C(O)C(OC)OC(CO)C1OC1C(O)C(O)C(OC2C(C(O)C(OC3C(C(O)C(O)C(CO)O3)O)C(CO)O2)O)C(CO)O1 UFVKGYZPFZQRLF-UHFFFAOYSA-N 0.000 description 2
- 230000001976 improved effect Effects 0.000 description 2
- 238000000338 in vitro Methods 0.000 description 2
- 239000012442 inert solvent Substances 0.000 description 2
- 230000002757 inflammatory effect Effects 0.000 description 2
- 238000001802 infusion Methods 0.000 description 2
- NOESYZHRGYRDHS-UHFFFAOYSA-N insulin Chemical compound N1C(=O)C(NC(=O)C(CCC(N)=O)NC(=O)C(CCC(O)=O)NC(=O)C(C(C)C)NC(=O)C(NC(=O)CN)C(C)CC)CSSCC(C(NC(CO)C(=O)NC(CC(C)C)C(=O)NC(CC=2C=CC(O)=CC=2)C(=O)NC(CCC(N)=O)C(=O)NC(CC(C)C)C(=O)NC(CCC(O)=O)C(=O)NC(CC(N)=O)C(=O)NC(CC=2C=CC(O)=CC=2)C(=O)NC(CSSCC(NC(=O)C(C(C)C)NC(=O)C(CC(C)C)NC(=O)C(CC=2C=CC(O)=CC=2)NC(=O)C(CC(C)C)NC(=O)C(C)NC(=O)C(CCC(O)=O)NC(=O)C(C(C)C)NC(=O)C(CC(C)C)NC(=O)C(CC=2NC=NC=2)NC(=O)C(CO)NC(=O)CNC2=O)C(=O)NCC(=O)NC(CCC(O)=O)C(=O)NC(CCCNC(N)=N)C(=O)NCC(=O)NC(CC=3C=CC=CC=3)C(=O)NC(CC=3C=CC=CC=3)C(=O)NC(CC=3C=CC(O)=CC=3)C(=O)NC(C(C)O)C(=O)N3C(CCC3)C(=O)NC(CCCCN)C(=O)NC(C)C(O)=O)C(=O)NC(CC(N)=O)C(O)=O)=O)NC(=O)C(C(C)CC)NC(=O)C(CO)NC(=O)C(C(C)O)NC(=O)C1CSSCC2NC(=O)C(CC(C)C)NC(=O)C(NC(=O)C(CCC(N)=O)NC(=O)C(CC(N)=O)NC(=O)C(NC(=O)C(N)CC=1C=CC=CC=1)C(C)C)CC1=CN=CN1 NOESYZHRGYRDHS-UHFFFAOYSA-N 0.000 description 2
- 238000001990 intravenous administration Methods 0.000 description 2
- 239000000787 lecithin Substances 0.000 description 2
- 235000010445 lecithin Nutrition 0.000 description 2
- 229940067606 lecithin Drugs 0.000 description 2
- 231100000636 lethal dose Toxicity 0.000 description 2
- 230000000670 limiting effect Effects 0.000 description 2
- 239000002502 liposome Substances 0.000 description 2
- 239000008297 liquid dosage form Substances 0.000 description 2
- 239000006210 lotion Substances 0.000 description 2
- 210000004072 lung Anatomy 0.000 description 2
- 235000019359 magnesium stearate Nutrition 0.000 description 2
- 235000010355 mannitol Nutrition 0.000 description 2
- 239000000594 mannitol Substances 0.000 description 2
- 230000007246 mechanism Effects 0.000 description 2
- 201000001441 melanoma Diseases 0.000 description 2
- 238000002844 melting Methods 0.000 description 2
- 230000008018 melting Effects 0.000 description 2
- 229910052751 metal Inorganic materials 0.000 description 2
- 239000002184 metal Substances 0.000 description 2
- 230000009401 metastasis Effects 0.000 description 2
- 229940042016 methacycline Drugs 0.000 description 2
- 125000002496 methyl group Chemical group [H]C([H])([H])* 0.000 description 2
- 239000004530 micro-emulsion Substances 0.000 description 2
- 150000007522 mineralic acids Chemical class 0.000 description 2
- 238000012544 monitoring process Methods 0.000 description 2
- 238000000465 moulding Methods 0.000 description 2
- 201000006417 multiple sclerosis Diseases 0.000 description 2
- 230000017074 necrotic cell death Effects 0.000 description 2
- 208000015122 neurodegenerative disease Diseases 0.000 description 2
- 230000003287 optical effect Effects 0.000 description 2
- 210000000056 organ Anatomy 0.000 description 2
- 150000007524 organic acids Chemical class 0.000 description 2
- 239000012044 organic layer Substances 0.000 description 2
- 238000003921 particle size analysis Methods 0.000 description 2
- 239000000312 peanut oil Substances 0.000 description 2
- 208000008494 pericarditis Diseases 0.000 description 2
- 206010034674 peritonitis Diseases 0.000 description 2
- 239000010452 phosphate Substances 0.000 description 2
- NBIIXXVUZAFLBC-UHFFFAOYSA-K phosphate Chemical compound [O-]P([O-])([O-])=O NBIIXXVUZAFLBC-UHFFFAOYSA-K 0.000 description 2
- 208000008423 pleurisy Diseases 0.000 description 2
- 229920005862 polyol Polymers 0.000 description 2
- 150000003077 polyols Chemical class 0.000 description 2
- 238000012545 processing Methods 0.000 description 2
- 239000003380 propellant Substances 0.000 description 2
- 239000002516 radical scavenger Substances 0.000 description 2
- 230000001105 regulatory effect Effects 0.000 description 2
- 238000007634 remodeling Methods 0.000 description 2
- 230000008439 repair process Effects 0.000 description 2
- 230000000717 retained effect Effects 0.000 description 2
- 229950000614 sancycline Drugs 0.000 description 2
- 239000008159 sesame oil Substances 0.000 description 2
- 235000011803 sesame oil Nutrition 0.000 description 2
- 239000010703 silicon Substances 0.000 description 2
- 229910052710 silicon Inorganic materials 0.000 description 2
- 201000009890 sinusitis Diseases 0.000 description 2
- 229910052708 sodium Inorganic materials 0.000 description 2
- 229910000029 sodium carbonate Inorganic materials 0.000 description 2
- 235000019812 sodium carboxymethyl cellulose Nutrition 0.000 description 2
- 229920001027 sodium carboxymethylcellulose Polymers 0.000 description 2
- 235000019333 sodium laurylsulphate Nutrition 0.000 description 2
- 239000008247 solid mixture Substances 0.000 description 2
- 239000011877 solvent mixture Substances 0.000 description 2
- 238000001179 sorption measurement Methods 0.000 description 2
- 238000001228 spectrum Methods 0.000 description 2
- 235000000346 sugar Nutrition 0.000 description 2
- 150000008163 sugars Chemical class 0.000 description 2
- 239000004094 surface-active agent Substances 0.000 description 2
- 201000004595 synovitis Diseases 0.000 description 2
- 238000003786 synthesis reaction Methods 0.000 description 2
- 239000006188 syrup Substances 0.000 description 2
- 235000020357 syrup Nutrition 0.000 description 2
- 201000004415 tendinitis Diseases 0.000 description 2
- 201000003120 testicular cancer Diseases 0.000 description 2
- 239000002562 thickening agent Substances 0.000 description 2
- JOXIMZWYDAKGHI-UHFFFAOYSA-M toluene-4-sulfonate Chemical class CC1=CC=C(S([O-])(=O)=O)C=C1 JOXIMZWYDAKGHI-UHFFFAOYSA-M 0.000 description 2
- 231100000331 toxic Toxicity 0.000 description 2
- 230000002588 toxic effect Effects 0.000 description 2
- VZCYOOQTPOCHFL-UHFFFAOYSA-N trans-butenedioic acid Natural products OC(=O)C=CC(O)=O VZCYOOQTPOCHFL-UHFFFAOYSA-N 0.000 description 2
- ITMCEJHCFYSIIV-UHFFFAOYSA-N triflic acid Chemical compound OS(=O)(=O)C(F)(F)F ITMCEJHCFYSIIV-UHFFFAOYSA-N 0.000 description 2
- 208000000143 urethritis Diseases 0.000 description 2
- 239000003981 vehicle Substances 0.000 description 2
- 230000004580 weight loss Effects 0.000 description 2
- QIJRTFXNRTXDIP-UHFFFAOYSA-N (1-carboxy-2-sulfanylethyl)azanium;chloride;hydrate Chemical compound O.Cl.SCC(N)C(O)=O QIJRTFXNRTXDIP-UHFFFAOYSA-N 0.000 description 1
- XXYRJHQJYSUIJA-YABKDXSZSA-N (2s,5r,6r)-6-[[(2r)-2-[[[(4s,4as,5as,6s,12ar)-4-(dimethylamino)-1,6,10,11,12a-pentahydroxy-6-methyl-3,12-dioxo-4,4a,5,5a-tetrahydrotetracene-2-carbonyl]amino]methylamino]-2-phenylacetyl]amino]-3,3-dimethyl-7-oxo-4-thia-1-azabicyclo[3.2.0]heptane-2-carboxy Chemical compound C1([C@H](C(=O)N[C@@H]2C(N3[C@H](C(C)(C)S[C@@H]32)C(O)=O)=O)NCNC(=O)C2=C(O)[C@@]3(O)C(=O)C=4[C@@H]([C@](C5=CC=CC(O)=C5C=4O)(C)O)C[C@H]3[C@@H](C2=O)N(C)C)=CC=CC=C1 XXYRJHQJYSUIJA-YABKDXSZSA-N 0.000 description 1
- NWXMGUDVXFXRIG-WESIUVDSSA-N (4s,4as,5as,6s,12ar)-4-(dimethylamino)-1,6,10,11,12a-pentahydroxy-6-methyl-3,12-dioxo-4,4a,5,5a-tetrahydrotetracene-2-carboxamide Chemical compound C1=CC=C2[C@](O)(C)[C@H]3C[C@H]4[C@H](N(C)C)C(=O)C(C(N)=O)=C(O)[C@@]4(O)C(=O)C3=C(O)C2=C1O NWXMGUDVXFXRIG-WESIUVDSSA-N 0.000 description 1
- FAMUIRDLAWWMCQ-AQFAATAFSA-N (4s,4as,5as,6s,12ar)-n-[[4-[n-(diaminomethylidene)carbamimidoyl]piperazin-1-yl]methyl]-4-(dimethylamino)-1,6,10,11,12a-pentahydroxy-6-methyl-3,12-dioxo-4,4a,5,5a-tetrahydrotetracene-2-carboxamide Chemical compound OC([C@@]1(O)C(=O)C=2[C@@H]([C@](C3=CC=CC(O)=C3C=2O)(C)O)C[C@H]1[C@@H](C1=O)N(C)C)=C1C(=O)NCN1CCN(C(=N)N=C(N)N)CC1 FAMUIRDLAWWMCQ-AQFAATAFSA-N 0.000 description 1
- DNIAPMSPPWPWGF-GSVOUGTGSA-N (R)-(-)-Propylene glycol Chemical compound C[C@@H](O)CO DNIAPMSPPWPWGF-GSVOUGTGSA-N 0.000 description 1
- GVJHHUAWPYXKBD-IEOSBIPESA-N (R)-alpha-Tocopherol Natural products OC1=C(C)C(C)=C2O[C@@](CCC[C@H](C)CCC[C@H](C)CCCC(C)C)(C)CCC2=C1C GVJHHUAWPYXKBD-IEOSBIPESA-N 0.000 description 1
- 229940058015 1,3-butylene glycol Drugs 0.000 description 1
- AOSFMYBATFLTAQ-UHFFFAOYSA-N 1-amino-3-(benzimidazol-1-yl)propan-2-ol Chemical compound C1=CC=C2N(CC(O)CN)C=NC2=C1 AOSFMYBATFLTAQ-UHFFFAOYSA-N 0.000 description 1
- IBWOCMGLVDJIPM-UHFFFAOYSA-N 1-dodecylsulfonyldodecane Chemical compound CCCCCCCCCCCCS(=O)(=O)CCCCCCCCCCCC IBWOCMGLVDJIPM-UHFFFAOYSA-N 0.000 description 1
- WNWHHMBRJJOGFJ-UHFFFAOYSA-N 16-methylheptadecan-1-ol Chemical class CC(C)CCCCCCCCCCCCCCCO WNWHHMBRJJOGFJ-UHFFFAOYSA-N 0.000 description 1
- JNODDICFTDYODH-UHFFFAOYSA-N 2-hydroxytetrahydrofuran Chemical compound OC1CCCO1 JNODDICFTDYODH-UHFFFAOYSA-N 0.000 description 1
- WTJXVDPDEQKTCV-UHFFFAOYSA-N 4,7-bis(dimethylamino)-1,10,11,12a-tetrahydroxy-3,12-dioxo-4a,5,5a,6-tetrahydro-4h-tetracene-2-carboxamide;hydron;chloride Chemical compound Cl.C1C2=C(N(C)C)C=CC(O)=C2C(O)=C2C1CC1C(N(C)C)C(=O)C(C(N)=O)=C(O)C1(O)C2=O WTJXVDPDEQKTCV-UHFFFAOYSA-N 0.000 description 1
- FHVDTGUDJYJELY-UHFFFAOYSA-N 6-{[2-carboxy-4,5-dihydroxy-6-(phosphanyloxy)oxan-3-yl]oxy}-4,5-dihydroxy-3-phosphanyloxane-2-carboxylic acid Chemical compound O1C(C(O)=O)C(P)C(O)C(O)C1OC1C(C(O)=O)OC(OP)C(O)C1O FHVDTGUDJYJELY-UHFFFAOYSA-N 0.000 description 1
- QTBSBXVTEAMEQO-UHFFFAOYSA-M Acetate Chemical compound CC([O-])=O QTBSBXVTEAMEQO-UHFFFAOYSA-M 0.000 description 1
- 241000588626 Acinetobacter baumannii Species 0.000 description 1
- 239000005995 Aluminium silicate Substances 0.000 description 1
- USFZMSVCRYTOJT-UHFFFAOYSA-N Ammonium acetate Chemical compound N.CC(O)=O USFZMSVCRYTOJT-UHFFFAOYSA-N 0.000 description 1
- 239000005695 Ammonium acetate Substances 0.000 description 1
- 208000000044 Amnesia Diseases 0.000 description 1
- 208000031295 Animal disease Diseases 0.000 description 1
- 201000001320 Atherosclerosis Diseases 0.000 description 1
- 208000006096 Attention Deficit Disorder with Hyperactivity Diseases 0.000 description 1
- 208000036864 Attention deficit/hyperactivity disease Diseases 0.000 description 1
- 206010003840 Autonomic nervous system imbalance Diseases 0.000 description 1
- BVKZGUZCCUSVTD-UHFFFAOYSA-M Bicarbonate Chemical compound OC([O-])=O BVKZGUZCCUSVTD-UHFFFAOYSA-M 0.000 description 1
- 206010005003 Bladder cancer Diseases 0.000 description 1
- 102000004506 Blood Proteins Human genes 0.000 description 1
- 108010017384 Blood Proteins Proteins 0.000 description 1
- COVZYZSDYWQREU-UHFFFAOYSA-N Busulfan Chemical compound CS(=O)(=O)OCCCCOS(C)(=O)=O COVZYZSDYWQREU-UHFFFAOYSA-N 0.000 description 1
- BZUKDLNEDCDORL-ULRSWZSCSA-N C1=CC=C2[C@](O)(C)[C@H]3C[C@H]4[C@H](N(C)C)C(O)=C(C(=O)NCN(C)CCN(C)CNC(=O)C=5C([C@@]6(O)C(O)=C7[C@@H]([C@](C8=CC=CC(O)=C8C7=O)(C)O)C[C@H]6[C@@H](C=5O)N(C)C)=O)C(=O)[C@@]4(O)C(O)=C3C(=O)C2=C1O Chemical compound C1=CC=C2[C@](O)(C)[C@H]3C[C@H]4[C@H](N(C)C)C(O)=C(C(=O)NCN(C)CCN(C)CNC(=O)C=5C([C@@]6(O)C(O)=C7[C@@H]([C@](C8=CC=CC(O)=C8C7=O)(C)O)C[C@H]6[C@@H](C=5O)N(C)C)=O)C(=O)[C@@]4(O)C(O)=C3C(=O)C2=C1O BZUKDLNEDCDORL-ULRSWZSCSA-N 0.000 description 1
- REFZTKFFDFKWTE-HXYNVXCTSA-N CC(C)(C)CNCc1cc(N(C)C)c(C=C(C[C@@H]([C@@H](C(O)=C(C(NCC(C)(C)CNCc(cc(c(C[C@@H](C[C@@H]([C@H](C(O)=C(C(N)=O)C2=O)N(C)C)[C@@]22O)C3=C2O)c2C3=O)N(C)C)c2O)=O)C2=O)N(C)C)[C@@]22O)C(C3=O)=C2O)c3c1O Chemical compound CC(C)(C)CNCc1cc(N(C)C)c(C=C(C[C@@H]([C@@H](C(O)=C(C(NCC(C)(C)CNCc(cc(c(C[C@@H](C[C@@H]([C@H](C(O)=C(C(N)=O)C2=O)N(C)C)[C@@]22O)C3=C2O)c2C3=O)N(C)C)c2O)=O)C2=O)N(C)C)[C@@]22O)C(C3=O)=C2O)c3c1O REFZTKFFDFKWTE-HXYNVXCTSA-N 0.000 description 1
- HBEMANREUKZTIH-UEILGIRVSA-N CC(C)(C)CNCc1cc(N(C)C)c(C[C@@H](C[C@H]([C@]2(C(C(C(NCC(C)(C)CN(C)Cc(cc(c(C[C@H]3C[C@H]([C@]4(C(C(C(N)=O)=C5O)=O)O)C5=O)c5CC3=C4O)N(C)C)c5O)=O)=C3O)=O)O)[C@@]3(N(C)C)O)C(C3=O)=C2O)c3c1O Chemical compound CC(C)(C)CNCc1cc(N(C)C)c(C[C@@H](C[C@H]([C@]2(C(C(C(NCC(C)(C)CN(C)Cc(cc(c(C[C@H]3C[C@H]([C@]4(C(C(C(N)=O)=C5O)=O)O)C5=O)c5CC3=C4O)N(C)C)c5O)=O)=C3O)=O)O)[C@@]3(N(C)C)O)C(C3=O)=C2O)c3c1O HBEMANREUKZTIH-UEILGIRVSA-N 0.000 description 1
- OYPRJOBELJOOCE-UHFFFAOYSA-N Calcium Chemical compound [Ca] OYPRJOBELJOOCE-UHFFFAOYSA-N 0.000 description 1
- 206010006956 Calcium deficiency Diseases 0.000 description 1
- 241000282836 Camelus dromedarius Species 0.000 description 1
- 241000283707 Capra Species 0.000 description 1
- OKTJSMMVPCPJKN-UHFFFAOYSA-N Carbon Chemical compound [C] OKTJSMMVPCPJKN-UHFFFAOYSA-N 0.000 description 1
- 229920002134 Carboxymethyl cellulose Polymers 0.000 description 1
- KRKNYBCHXYNGOX-UHFFFAOYSA-K Citrate Chemical compound [O-]C(=O)CC(O)(CC([O-])=O)C([O-])=O KRKNYBCHXYNGOX-UHFFFAOYSA-K 0.000 description 1
- 206010009900 Colitis ulcerative Diseases 0.000 description 1
- 102000008186 Collagen Human genes 0.000 description 1
- 108010035532 Collagen Proteins 0.000 description 1
- 208000034656 Contusions Diseases 0.000 description 1
- 229920002261 Corn starch Polymers 0.000 description 1
- 208000020406 Creutzfeldt Jacob disease Diseases 0.000 description 1
- 208000003407 Creutzfeldt-Jakob Syndrome Diseases 0.000 description 1
- 208000010859 Creutzfeldt-Jakob disease Diseases 0.000 description 1
- 229920002785 Croscarmellose sodium Polymers 0.000 description 1
- 102000004127 Cytokines Human genes 0.000 description 1
- 108090000695 Cytokines Proteins 0.000 description 1
- 206010012289 Dementia Diseases 0.000 description 1
- 206010067889 Dementia with Lewy bodies Diseases 0.000 description 1
- 206010012335 Dependence Diseases 0.000 description 1
- 206010012735 Diarrhoea Diseases 0.000 description 1
- 235000019739 Dicalciumphosphate Nutrition 0.000 description 1
- 208000003556 Dry Eye Syndromes Diseases 0.000 description 1
- 206010013774 Dry eye Diseases 0.000 description 1
- 206010058314 Dysplasia Diseases 0.000 description 1
- 241000194032 Enterococcus faecalis Species 0.000 description 1
- 208000019359 Enterococcus faecalis infection Diseases 0.000 description 1
- 241000194031 Enterococcus faecium Species 0.000 description 1
- 241000194029 Enterococcus hirae Species 0.000 description 1
- 206010015150 Erythema Diseases 0.000 description 1
- 239000001856 Ethyl cellulose Substances 0.000 description 1
- ZZSNKZQZMQGXPY-UHFFFAOYSA-N Ethyl cellulose Chemical compound CCOCC1OC(OC)C(OCC)C(OCC)C1OC1C(O)C(O)C(OC)C(CO)O1 ZZSNKZQZMQGXPY-UHFFFAOYSA-N 0.000 description 1
- PIICEJLVQHRZGT-UHFFFAOYSA-N Ethylenediamine Chemical compound NCCN PIICEJLVQHRZGT-UHFFFAOYSA-N 0.000 description 1
- 241000282326 Felis catus Species 0.000 description 1
- 239000004606 Fillers/Extenders Substances 0.000 description 1
- 201000011240 Frontotemporal dementia Diseases 0.000 description 1
- VZCYOOQTPOCHFL-OWOJBTEDSA-N Fumaric acid Chemical compound OC(=O)\C=C\C(O)=O VZCYOOQTPOCHFL-OWOJBTEDSA-N 0.000 description 1
- 201000004311 Gilles de la Tourette syndrome Diseases 0.000 description 1
- 241000238631 Hexapoda Species 0.000 description 1
- 239000004705 High-molecular-weight polyethylene Substances 0.000 description 1
- 101000611183 Homo sapiens Tumor necrosis factor Proteins 0.000 description 1
- CPELXLSAUQHCOX-UHFFFAOYSA-N Hydrogen bromide Chemical compound Br CPELXLSAUQHCOX-UHFFFAOYSA-N 0.000 description 1
- 206010020707 Hyperparathyroidism primary Diseases 0.000 description 1
- 206010020772 Hypertension Diseases 0.000 description 1
- 208000029663 Hypophosphatemia Diseases 0.000 description 1
- 229910021617 Indium monochloride Inorganic materials 0.000 description 1
- 206010061216 Infarction Diseases 0.000 description 1
- 206010061218 Inflammation Diseases 0.000 description 1
- 208000006877 Insect Bites and Stings Diseases 0.000 description 1
- 102000004877 Insulin Human genes 0.000 description 1
- 108090001061 Insulin Proteins 0.000 description 1
- 102000015696 Interleukins Human genes 0.000 description 1
- 108010063738 Interleukins Proteins 0.000 description 1
- 208000008839 Kidney Neoplasms Diseases 0.000 description 1
- QAQJMLQRFWZOBN-LAUBAEHRSA-N L-ascorbyl-6-palmitate Chemical compound CCCCCCCCCCCCCCCC(=O)OC[C@H](O)[C@H]1OC(=O)C(O)=C1O QAQJMLQRFWZOBN-LAUBAEHRSA-N 0.000 description 1
- 239000011786 L-ascorbyl-6-palmitate Substances 0.000 description 1
- JVTAAEKCZFNVCJ-UHFFFAOYSA-M Lactate Chemical compound CC(O)C([O-])=O JVTAAEKCZFNVCJ-UHFFFAOYSA-M 0.000 description 1
- 208000009829 Lewy Body Disease Diseases 0.000 description 1
- WHXSMMKQMYFTQS-UHFFFAOYSA-N Lithium Chemical compound [Li] WHXSMMKQMYFTQS-UHFFFAOYSA-N 0.000 description 1
- 206010025323 Lymphomas Diseases 0.000 description 1
- FYYHWMGAXLPEAU-UHFFFAOYSA-N Magnesium Chemical compound [Mg] FYYHWMGAXLPEAU-UHFFFAOYSA-N 0.000 description 1
- 206010026749 Mania Diseases 0.000 description 1
- 240000003183 Manihot esculenta Species 0.000 description 1
- 235000016735 Manihot esculenta subsp esculenta Nutrition 0.000 description 1
- 229920000168 Microcrystalline cellulose Polymers 0.000 description 1
- 208000019695 Migraine disease Diseases 0.000 description 1
- 241000588655 Moraxella catarrhalis Species 0.000 description 1
- MNSGOOCAMMSKGI-UHFFFAOYSA-N N-(hydroxymethyl)phthalimide Chemical compound C1=CC=C2C(=O)N(CO)C(=O)C2=C1 MNSGOOCAMMSKGI-UHFFFAOYSA-N 0.000 description 1
- GXCLVBGFBYZDAG-UHFFFAOYSA-N N-[2-(1H-indol-3-yl)ethyl]-N-methylprop-2-en-1-amine Chemical compound CN(CCC1=CNC2=C1C=CC=C2)CC=C GXCLVBGFBYZDAG-UHFFFAOYSA-N 0.000 description 1
- 229910002651 NO3 Inorganic materials 0.000 description 1
- NHNBFGGVMKEFGY-UHFFFAOYSA-N Nitrate Chemical compound [O-][N+]([O-])=O NHNBFGGVMKEFGY-UHFFFAOYSA-N 0.000 description 1
- 208000008589 Obesity Diseases 0.000 description 1
- 208000021384 Obsessive-Compulsive disease Diseases 0.000 description 1
- 206010061876 Obstruction Diseases 0.000 description 1
- 208000010191 Osteitis Deformans Diseases 0.000 description 1
- 206010031252 Osteomyelitis Diseases 0.000 description 1
- 208000027868 Paget disease Diseases 0.000 description 1
- 208000002193 Pain Diseases 0.000 description 1
- 241001494479 Pecora Species 0.000 description 1
- 102000035195 Peptidases Human genes 0.000 description 1
- 108091005804 Peptidases Proteins 0.000 description 1
- 201000005702 Pertussis Diseases 0.000 description 1
- 206010034912 Phobia Diseases 0.000 description 1
- OAICVXFJPJFONN-UHFFFAOYSA-N Phosphorus Chemical compound [P] OAICVXFJPJFONN-UHFFFAOYSA-N 0.000 description 1
- 208000000609 Pick Disease of the Brain Diseases 0.000 description 1
- 206010035226 Plasma cell myeloma Diseases 0.000 description 1
- 229920003171 Poly (ethylene oxide) Polymers 0.000 description 1
- 239000004952 Polyamide Substances 0.000 description 1
- 229920001710 Polyorthoester Polymers 0.000 description 1
- ZLMJMSJWJFRBEC-UHFFFAOYSA-N Potassium Chemical compound [K] ZLMJMSJWJFRBEC-UHFFFAOYSA-N 0.000 description 1
- 201000000981 Primary Hyperparathyroidism Diseases 0.000 description 1
- 241000288906 Primates Species 0.000 description 1
- 239000004365 Protease Substances 0.000 description 1
- 241000287531 Psittacidae Species 0.000 description 1
- 206010037660 Pyrexia Diseases 0.000 description 1
- 238000001069 Raman spectroscopy Methods 0.000 description 1
- 208000035415 Reinfection Diseases 0.000 description 1
- 206010038389 Renal cancer Diseases 0.000 description 1
- 208000007660 Residual Neoplasm Diseases 0.000 description 1
- 241000606701 Rickettsia Species 0.000 description 1
- 235000019485 Safflower oil Nutrition 0.000 description 1
- 206010039966 Senile dementia Diseases 0.000 description 1
- VYPSYNLAJGMNEJ-UHFFFAOYSA-N Silicium dioxide Chemical compound O=[Si]=O VYPSYNLAJGMNEJ-UHFFFAOYSA-N 0.000 description 1
- 208000013738 Sleep Initiation and Maintenance disease Diseases 0.000 description 1
- 244000061456 Solanum tuberosum Species 0.000 description 1
- 235000002595 Solanum tuberosum Nutrition 0.000 description 1
- 206010041925 Staphylococcal infections Diseases 0.000 description 1
- 241000191967 Staphylococcus aureus Species 0.000 description 1
- QAOWNCQODCNURD-UHFFFAOYSA-L Sulfate Chemical compound [O-]S([O-])(=O)=O QAOWNCQODCNURD-UHFFFAOYSA-L 0.000 description 1
- LSNNMFCWUKXFEE-UHFFFAOYSA-N Sulfurous acid Chemical compound OS(O)=O LSNNMFCWUKXFEE-UHFFFAOYSA-N 0.000 description 1
- 206010042674 Swelling Diseases 0.000 description 1
- FEWJPZIEWOKRBE-UHFFFAOYSA-N Tartaric acid Natural products [H+].[H+].[O-]C(=O)C(O)C(O)C([O-])=O FEWJPZIEWOKRBE-UHFFFAOYSA-N 0.000 description 1
- 208000000323 Tourette Syndrome Diseases 0.000 description 1
- 208000016620 Tourette disease Diseases 0.000 description 1
- 239000007983 Tris buffer Substances 0.000 description 1
- 102100040247 Tumor necrosis factor Human genes 0.000 description 1
- 201000006704 Ulcerative Colitis Diseases 0.000 description 1
- 206010064996 Ulcerative keratitis Diseases 0.000 description 1
- 206010046306 Upper respiratory tract infection Diseases 0.000 description 1
- 208000007097 Urinary Bladder Neoplasms Diseases 0.000 description 1
- 208000036142 Viral infection Diseases 0.000 description 1
- 241000700605 Viruses Species 0.000 description 1
- 201000008485 Wernicke-Korsakoff syndrome Diseases 0.000 description 1
- 206010048038 Wound infection Diseases 0.000 description 1
- HCHKCACWOHOZIP-UHFFFAOYSA-N Zinc Chemical compound [Zn] HCHKCACWOHOZIP-UHFFFAOYSA-N 0.000 description 1
- 238000005299 abrasion Methods 0.000 description 1
- 239000002250 absorbent Substances 0.000 description 1
- 230000002745 absorbent Effects 0.000 description 1
- 239000003655 absorption accelerator Substances 0.000 description 1
- 238000009825 accumulation Methods 0.000 description 1
- 229940022663 acetate Drugs 0.000 description 1
- DPXJVFZANSGRMM-UHFFFAOYSA-N acetic acid;2,3,4,5,6-pentahydroxyhexanal;sodium Chemical compound [Na].CC(O)=O.OCC(O)C(O)C(O)C(O)C=O DPXJVFZANSGRMM-UHFFFAOYSA-N 0.000 description 1
- 230000009471 action Effects 0.000 description 1
- 208000038016 acute inflammation Diseases 0.000 description 1
- 230000006022 acute inflammation Effects 0.000 description 1
- 230000002411 adverse Effects 0.000 description 1
- 238000013019 agitation Methods 0.000 description 1
- 125000003158 alcohol group Chemical group 0.000 description 1
- 230000001476 alcoholic effect Effects 0.000 description 1
- 150000001298 alcohols Chemical class 0.000 description 1
- 150000001299 aldehydes Chemical class 0.000 description 1
- 229940072056 alginate Drugs 0.000 description 1
- 150000004781 alginic acids Chemical class 0.000 description 1
- 239000003513 alkali Substances 0.000 description 1
- 125000003282 alkyl amino group Chemical group 0.000 description 1
- 125000005907 alkyl ester group Chemical group 0.000 description 1
- 229940087168 alpha tocopherol Drugs 0.000 description 1
- VREFGVBLTWBCJP-UHFFFAOYSA-N alprazolam Chemical compound C12=CC(Cl)=CC=C2N2C(C)=NN=C2CN=C1C1=CC=CC=C1 VREFGVBLTWBCJP-UHFFFAOYSA-N 0.000 description 1
- AZDRQVAHHNSJOQ-UHFFFAOYSA-N alumane Chemical class [AlH3] AZDRQVAHHNSJOQ-UHFFFAOYSA-N 0.000 description 1
- WNROFYMDJYEPJX-UHFFFAOYSA-K aluminium hydroxide Chemical compound [OH-].[OH-].[OH-].[Al+3] WNROFYMDJYEPJX-UHFFFAOYSA-K 0.000 description 1
- 235000012211 aluminium silicate Nutrition 0.000 description 1
- 230000001668 ameliorated effect Effects 0.000 description 1
- 150000001408 amides Chemical class 0.000 description 1
- 150000001412 amines Chemical class 0.000 description 1
- 238000007098 aminolysis reaction Methods 0.000 description 1
- 125000004202 aminomethyl group Chemical group [H]N([H])C([H])([H])* 0.000 description 1
- 229910021529 ammonia Inorganic materials 0.000 description 1
- 235000019257 ammonium acetate Nutrition 0.000 description 1
- 229940043376 ammonium acetate Drugs 0.000 description 1
- 238000002266 amputation Methods 0.000 description 1
- 230000000202 analgesic effect Effects 0.000 description 1
- 239000003429 antifungal agent Substances 0.000 description 1
- 229940121375 antifungal agent Drugs 0.000 description 1
- 230000036506 anxiety Effects 0.000 description 1
- 210000000702 aorta abdominal Anatomy 0.000 description 1
- 208000007474 aortic aneurysm Diseases 0.000 description 1
- 239000008365 aqueous carrier Substances 0.000 description 1
- 239000008346 aqueous phase Substances 0.000 description 1
- 210000001367 artery Anatomy 0.000 description 1
- 206010003246 arthritis Diseases 0.000 description 1
- 235000010323 ascorbic acid Nutrition 0.000 description 1
- 229960005070 ascorbic acid Drugs 0.000 description 1
- 239000011668 ascorbic acid Substances 0.000 description 1
- 235000010385 ascorbyl palmitate Nutrition 0.000 description 1
- 238000003556 assay Methods 0.000 description 1
- 208000006673 asthma Diseases 0.000 description 1
- 208000015802 attention deficit-hyperactivity disease Diseases 0.000 description 1
- 239000000022 bacteriostatic agent Substances 0.000 description 1
- 230000003385 bacteriostatic effect Effects 0.000 description 1
- SRSXLGNVWSONIS-UHFFFAOYSA-N benzenesulfonic acid Chemical compound OS(=O)(=O)C1=CC=CC=C1 SRSXLGNVWSONIS-UHFFFAOYSA-N 0.000 description 1
- 229940092714 benzenesulfonic acid Drugs 0.000 description 1
- WPYMKLBDIGXBTP-UHFFFAOYSA-N benzoic acid Chemical compound OC(=O)C1=CC=CC=C1 WPYMKLBDIGXBTP-UHFFFAOYSA-N 0.000 description 1
- 229960002903 benzyl benzoate Drugs 0.000 description 1
- 230000004071 biological effect Effects 0.000 description 1
- 230000033228 biological regulation Effects 0.000 description 1
- 230000036765 blood level Effects 0.000 description 1
- 230000036760 body temperature Effects 0.000 description 1
- 230000037396 body weight Effects 0.000 description 1
- 230000037182 bone density Effects 0.000 description 1
- 230000037118 bone strength Effects 0.000 description 1
- 201000009267 bronchiectasis Diseases 0.000 description 1
- 238000002815 broth microdilution Methods 0.000 description 1
- 239000004067 bulking agent Substances 0.000 description 1
- 239000001273 butane Substances 0.000 description 1
- 235000019437 butane-1,3-diol Nutrition 0.000 description 1
- 235000019282 butylated hydroxyanisole Nutrition 0.000 description 1
- 239000011575 calcium Substances 0.000 description 1
- 229910052791 calcium Inorganic materials 0.000 description 1
- 229910000019 calcium carbonate Inorganic materials 0.000 description 1
- 235000010216 calcium carbonate Nutrition 0.000 description 1
- FATUQANACHZLRT-KMRXSBRUSA-L calcium glucoheptonate Chemical compound [Ca+2].OC[C@@H](O)[C@@H](O)[C@H](O)[C@@H](O)C(O)C([O-])=O.OC[C@@H](O)[C@@H](O)[C@H](O)[C@@H](O)C(O)C([O-])=O FATUQANACHZLRT-KMRXSBRUSA-L 0.000 description 1
- 239000001506 calcium phosphate Substances 0.000 description 1
- 235000012241 calcium silicate Nutrition 0.000 description 1
- CJZGTCYPCWQAJB-UHFFFAOYSA-L calcium stearate Chemical compound [Ca+2].CCCCCCCCCCCCCCCCCC([O-])=O.CCCCCCCCCCCCCCCCCC([O-])=O CJZGTCYPCWQAJB-UHFFFAOYSA-L 0.000 description 1
- 239000008116 calcium stearate Substances 0.000 description 1
- 235000013539 calcium stearate Nutrition 0.000 description 1
- 230000005907 cancer growth Effects 0.000 description 1
- 230000009400 cancer invasion Effects 0.000 description 1
- 125000001589 carboacyl group Chemical group 0.000 description 1
- 235000010948 carboxy methyl cellulose Nutrition 0.000 description 1
- 150000001735 carboxylic acids Chemical class 0.000 description 1
- 239000008112 carboxymethyl-cellulose Substances 0.000 description 1
- 239000012876 carrier material Substances 0.000 description 1
- 230000008355 cartilage degradation Effects 0.000 description 1
- 239000004359 castor oil Substances 0.000 description 1
- 235000019438 castor oil Nutrition 0.000 description 1
- 239000003518 caustics Substances 0.000 description 1
- 230000010261 cell growth Effects 0.000 description 1
- 229920002678 cellulose Polymers 0.000 description 1
- 229920002301 cellulose acetate Polymers 0.000 description 1
- 229920006184 cellulose methylcellulose Polymers 0.000 description 1
- 210000003169 central nervous system Anatomy 0.000 description 1
- 238000012512 characterization method Methods 0.000 description 1
- 239000002738 chelating agent Substances 0.000 description 1
- 239000013043 chemical agent Substances 0.000 description 1
- 239000003153 chemical reaction reagent Substances 0.000 description 1
- 238000002512 chemotherapy Methods 0.000 description 1
- 229960004926 chlorobutanol Drugs 0.000 description 1
- 150000005827 chlorofluoro hydrocarbons Chemical class 0.000 description 1
- 238000004587 chromatography analysis Methods 0.000 description 1
- 208000037976 chronic inflammation Diseases 0.000 description 1
- 230000006020 chronic inflammation Effects 0.000 description 1
- 230000003366 colagenolytic effect Effects 0.000 description 1
- 229920001436 collagen Polymers 0.000 description 1
- 238000004040 coloring Methods 0.000 description 1
- 238000004440 column chromatography Methods 0.000 description 1
- 229940125782 compound 2 Drugs 0.000 description 1
- 239000007891 compressed tablet Substances 0.000 description 1
- 238000007906 compression Methods 0.000 description 1
- 230000006835 compression Effects 0.000 description 1
- 210000002808 connective tissue Anatomy 0.000 description 1
- 239000013068 control sample Substances 0.000 description 1
- 238000013270 controlled release Methods 0.000 description 1
- 230000001276 controlling effect Effects 0.000 description 1
- 230000009519 contusion Effects 0.000 description 1
- 238000007796 conventional method Methods 0.000 description 1
- 238000001816 cooling Methods 0.000 description 1
- 239000008120 corn starch Substances 0.000 description 1
- 201000007717 corneal ulcer Diseases 0.000 description 1
- 229910052593 corundum Inorganic materials 0.000 description 1
- 239000010431 corundum Substances 0.000 description 1
- 239000001767 crosslinked sodium carboxy methyl cellulose Substances 0.000 description 1
- 235000010947 crosslinked sodium carboxy methyl cellulose Nutrition 0.000 description 1
- 239000012043 crude product Substances 0.000 description 1
- 238000002425 crystallisation Methods 0.000 description 1
- 230000008025 crystallization Effects 0.000 description 1
- 238000005520 cutting process Methods 0.000 description 1
- 229960001305 cysteine hydrochloride Drugs 0.000 description 1
- YKGMKSIHIVVYKY-UHFFFAOYSA-N dabrafenib mesylate Chemical compound CS(O)(=O)=O.S1C(C(C)(C)C)=NC(C=2C(=C(NS(=O)(=O)C=3C(=CC=CC=3F)F)C=CC=2)F)=C1C1=CC=NC(N)=N1 YKGMKSIHIVVYKY-UHFFFAOYSA-N 0.000 description 1
- 230000003247 decreasing effect Effects 0.000 description 1
- 230000007123 defense Effects 0.000 description 1
- 230000002939 deleterious effect Effects 0.000 description 1
- 238000004807 desolvation Methods 0.000 description 1
- 238000003795 desorption Methods 0.000 description 1
- 238000001514 detection method Methods 0.000 description 1
- NEFBYIFKOOEVPA-UHFFFAOYSA-K dicalcium phosphate Chemical compound [Ca+2].[Ca+2].[O-]P([O-])([O-])=O NEFBYIFKOOEVPA-UHFFFAOYSA-K 0.000 description 1
- 229940038472 dicalcium phosphate Drugs 0.000 description 1
- 229910000390 dicalcium phosphate Inorganic materials 0.000 description 1
- 235000014113 dietary fatty acids Nutrition 0.000 description 1
- ZBCBWPMODOFKDW-UHFFFAOYSA-N diethanolamine Chemical compound OCCNCCO ZBCBWPMODOFKDW-UHFFFAOYSA-N 0.000 description 1
- HPNMFZURTQLUMO-UHFFFAOYSA-N diethylamine Chemical compound CCNCC HPNMFZURTQLUMO-UHFFFAOYSA-N 0.000 description 1
- 238000000113 differential scanning calorimetry Methods 0.000 description 1
- 238000002050 diffraction method Methods 0.000 description 1
- 238000009792 diffusion process Methods 0.000 description 1
- UGMCXQCYOVCMTB-UHFFFAOYSA-K dihydroxy(stearato)aluminium Chemical compound CCCCCCCCCCCCCCCCCC(=O)O[Al](O)O UGMCXQCYOVCMTB-UHFFFAOYSA-K 0.000 description 1
- 206010013023 diphtheria Diseases 0.000 description 1
- 238000007922 dissolution test Methods 0.000 description 1
- 238000009826 distribution Methods 0.000 description 1
- POULHZVOKOAJMA-UHFFFAOYSA-N dodecanoic acid Chemical class CCCCCCCCCCCC(O)=O POULHZVOKOAJMA-UHFFFAOYSA-N 0.000 description 1
- 230000003828 downregulation Effects 0.000 description 1
- 239000006196 drop Substances 0.000 description 1
- 239000013583 drug formulation Substances 0.000 description 1
- 208000024732 dysthymic disease Diseases 0.000 description 1
- 230000005611 electricity Effects 0.000 description 1
- 238000002003 electron diffraction Methods 0.000 description 1
- 230000008030 elimination Effects 0.000 description 1
- 238000003379 elimination reaction Methods 0.000 description 1
- 230000001804 emulsifying effect Effects 0.000 description 1
- 239000003623 enhancer Substances 0.000 description 1
- 239000002702 enteric coating Substances 0.000 description 1
- 238000009505 enteric coating Methods 0.000 description 1
- 229940032049 enterococcus faecalis Drugs 0.000 description 1
- 230000007613 environmental effect Effects 0.000 description 1
- 206010015037 epilepsy Diseases 0.000 description 1
- 210000000981 epithelium Anatomy 0.000 description 1
- 238000011067 equilibration Methods 0.000 description 1
- 230000032050 esterification Effects 0.000 description 1
- 238000005886 esterification reaction Methods 0.000 description 1
- 229950004798 etamocycline Drugs 0.000 description 1
- BEFDCLMNVWHSGT-UHFFFAOYSA-N ethenylcyclopentane Chemical compound C=CC1CCCC1 BEFDCLMNVWHSGT-UHFFFAOYSA-N 0.000 description 1
- 229940093499 ethyl acetate Drugs 0.000 description 1
- 235000019325 ethyl cellulose Nutrition 0.000 description 1
- 229920001249 ethyl cellulose Polymers 0.000 description 1
- 125000001495 ethyl group Chemical group [H]C([H])([H])C([H])([H])* 0.000 description 1
- 238000001704 evaporation Methods 0.000 description 1
- 230000008020 evaporation Effects 0.000 description 1
- 230000029142 excretion Effects 0.000 description 1
- 238000000605 extraction Methods 0.000 description 1
- 208000030533 eye disease Diseases 0.000 description 1
- 239000003885 eye ointment Substances 0.000 description 1
- 230000001815 facial effect Effects 0.000 description 1
- 239000000194 fatty acid Substances 0.000 description 1
- 229930195729 fatty acid Natural products 0.000 description 1
- 230000002349 favourable effect Effects 0.000 description 1
- 230000003176 fibrotic effect Effects 0.000 description 1
- 239000012467 final product Substances 0.000 description 1
- 239000000796 flavoring agent Substances 0.000 description 1
- 235000019634 flavors Nutrition 0.000 description 1
- 230000004907 flux Effects 0.000 description 1
- 239000006260 foam Substances 0.000 description 1
- 235000003599 food sweetener Nutrition 0.000 description 1
- 238000004108 freeze drying Methods 0.000 description 1
- 230000004927 fusion Effects 0.000 description 1
- 210000001035 gastrointestinal tract Anatomy 0.000 description 1
- 230000000477 gelanolytic effect Effects 0.000 description 1
- 239000007903 gelatin capsule Substances 0.000 description 1
- 239000011521 glass Substances 0.000 description 1
- YQEMORVAKMFKLG-UHFFFAOYSA-N glycerine monostearate Natural products CCCCCCCCCCCCCCCCCC(=O)OC(CO)CO YQEMORVAKMFKLG-UHFFFAOYSA-N 0.000 description 1
- SVUQHVRAGMNPLW-UHFFFAOYSA-N glycerol monostearate Natural products CCCCCCCCCCCCCCCCC(=O)OCC(O)CO SVUQHVRAGMNPLW-UHFFFAOYSA-N 0.000 description 1
- ZEMPKEQAKRGZGQ-XOQCFJPHSA-N glycerol triricinoleate Natural products CCCCCC[C@@H](O)CC=CCCCCCCCC(=O)OC[C@@H](COC(=O)CCCCCCCC=CC[C@@H](O)CCCCCC)OC(=O)CCCCCCCC=CC[C@H](O)CCCCCC ZEMPKEQAKRGZGQ-XOQCFJPHSA-N 0.000 description 1
- 150000002334 glycols Chemical class 0.000 description 1
- 230000013595 glycosylation Effects 0.000 description 1
- 208000027096 gram-negative bacterial infections Diseases 0.000 description 1
- 208000027136 gram-positive bacterial infections Diseases 0.000 description 1
- 239000010439 graphite Substances 0.000 description 1
- 229910002804 graphite Inorganic materials 0.000 description 1
- 229950007488 guamecycline Drugs 0.000 description 1
- 229940047650 haemophilus influenzae Drugs 0.000 description 1
- 230000003862 health status Effects 0.000 description 1
- 208000019622 heart disease Diseases 0.000 description 1
- 238000010438 heat treatment Methods 0.000 description 1
- IPCSVZSSVZVIGE-UHFFFAOYSA-M hexadecanoate Chemical compound CCCCCCCCCCCCCCCC([O-])=O IPCSVZSSVZVIGE-UHFFFAOYSA-M 0.000 description 1
- 239000003906 humectant Substances 0.000 description 1
- 229930195733 hydrocarbon Natural products 0.000 description 1
- 239000001257 hydrogen Substances 0.000 description 1
- 229910052739 hydrogen Inorganic materials 0.000 description 1
- 238000005984 hydrogenation reaction Methods 0.000 description 1
- QAOWNCQODCNURD-UHFFFAOYSA-M hydrogensulfate Chemical compound OS([O-])(=O)=O QAOWNCQODCNURD-UHFFFAOYSA-M 0.000 description 1
- WGCNASOHLSPBMP-UHFFFAOYSA-N hydroxyacetaldehyde Natural products OCC=O WGCNASOHLSPBMP-UHFFFAOYSA-N 0.000 description 1
- 230000028993 immune response Effects 0.000 description 1
- 208000035231 inattentive type attention deficit hyperactivity disease Diseases 0.000 description 1
- 210000003000 inclusion body Anatomy 0.000 description 1
- APHGZSBLRQFRCA-UHFFFAOYSA-M indium(1+);chloride Chemical compound [In]Cl APHGZSBLRQFRCA-UHFFFAOYSA-M 0.000 description 1
- 230000007574 infarction Effects 0.000 description 1
- 239000003112 inhibitor Substances 0.000 description 1
- 239000007972 injectable composition Substances 0.000 description 1
- 229940102223 injectable solution Drugs 0.000 description 1
- 230000000266 injurious effect Effects 0.000 description 1
- 150000007529 inorganic bases Chemical class 0.000 description 1
- 229940125396 insulin Drugs 0.000 description 1
- 229940047122 interleukins Drugs 0.000 description 1
- 238000001361 intraarterial administration Methods 0.000 description 1
- 238000007918 intramuscular administration Methods 0.000 description 1
- 238000010255 intramuscular injection Methods 0.000 description 1
- 239000007927 intramuscular injection Substances 0.000 description 1
- 238000007912 intraperitoneal administration Methods 0.000 description 1
- 238000007913 intrathecal administration Methods 0.000 description 1
- 230000009545 invasion Effects 0.000 description 1
- 230000001788 irregular Effects 0.000 description 1
- 238000006317 isomerization reaction Methods 0.000 description 1
- 239000000644 isotonic solution Substances 0.000 description 1
- NLYAJNPCOHFWQQ-UHFFFAOYSA-N kaolin Chemical compound O.O.O=[Al]O[Si](=O)O[Si](=O)O[Al]=O NLYAJNPCOHFWQQ-UHFFFAOYSA-N 0.000 description 1
- 201000010982 kidney cancer Diseases 0.000 description 1
- 229940099584 lactobionate Drugs 0.000 description 1
- JYTUSYBCFIZPBE-AMTLMPIISA-N lactobionic acid Chemical compound OC(=O)[C@H](O)[C@@H](O)[C@@H]([C@H](O)CO)O[C@@H]1O[C@H](CO)[C@H](O)[C@H](O)[C@H]1O JYTUSYBCFIZPBE-AMTLMPIISA-N 0.000 description 1
- 230000028252 learning or memory Effects 0.000 description 1
- 231100000518 lethal Toxicity 0.000 description 1
- 230000001665 lethal effect Effects 0.000 description 1
- 230000037356 lipid metabolism Effects 0.000 description 1
- 235000020094 liqueur Nutrition 0.000 description 1
- 238000004811 liquid chromatography Methods 0.000 description 1
- 239000006194 liquid suspension Substances 0.000 description 1
- 229910052744 lithium Inorganic materials 0.000 description 1
- 239000007937 lozenge Substances 0.000 description 1
- 239000011777 magnesium Substances 0.000 description 1
- 229910052749 magnesium Inorganic materials 0.000 description 1
- VTHJTEIRLNZDEV-UHFFFAOYSA-L magnesium dihydroxide Chemical compound [OH-].[OH-].[Mg+2] VTHJTEIRLNZDEV-UHFFFAOYSA-L 0.000 description 1
- 239000000347 magnesium hydroxide Substances 0.000 description 1
- 229910001862 magnesium hydroxide Inorganic materials 0.000 description 1
- 230000014759 maintenance of location Effects 0.000 description 1
- 208000024714 major depressive disease Diseases 0.000 description 1
- 201000004792 malaria Diseases 0.000 description 1
- VZCYOOQTPOCHFL-UPHRSURJSA-N maleic acid Chemical compound OC(=O)\C=C/C(O)=O VZCYOOQTPOCHFL-UPHRSURJSA-N 0.000 description 1
- 208000027202 mammary Paget disease Diseases 0.000 description 1
- 208000004396 mastitis Diseases 0.000 description 1
- 239000011159 matrix material Substances 0.000 description 1
- 238000000048 melt cooling Methods 0.000 description 1
- 239000012528 membrane Substances 0.000 description 1
- 230000006984 memory degeneration Effects 0.000 description 1
- 208000023060 memory loss Diseases 0.000 description 1
- GXHMMDRXHUIUMN-UHFFFAOYSA-N methanesulfonic acid Chemical compound CS(O)(=O)=O.CS(O)(=O)=O GXHMMDRXHUIUMN-UHFFFAOYSA-N 0.000 description 1
- 229940098779 methanesulfonic acid Drugs 0.000 description 1
- OIXMUQLVDNPHNS-UHFFFAOYSA-N methanesulfonic acid;hydrate Chemical compound O.CS(O)(=O)=O OIXMUQLVDNPHNS-UHFFFAOYSA-N 0.000 description 1
- IZDROVVXIHRYMH-UHFFFAOYSA-N methanesulfonic anhydride Chemical compound CS(=O)(=O)OS(C)(=O)=O IZDROVVXIHRYMH-UHFFFAOYSA-N 0.000 description 1
- 230000000813 microbial effect Effects 0.000 description 1
- 229940016286 microcrystalline cellulose Drugs 0.000 description 1
- 235000019813 microcrystalline cellulose Nutrition 0.000 description 1
- 239000008108 microcrystalline cellulose Substances 0.000 description 1
- 238000000386 microscopy Methods 0.000 description 1
- 239000004005 microsphere Substances 0.000 description 1
- 206010027599 migraine Diseases 0.000 description 1
- 229960002421 minocycline hydrochloride Drugs 0.000 description 1
- 239000007932 molded tablet Substances 0.000 description 1
- CQDGTJPVBWZJAZ-UHFFFAOYSA-N monoethyl carbonate Chemical compound CCOC(O)=O CQDGTJPVBWZJAZ-UHFFFAOYSA-N 0.000 description 1
- 230000036651 mood Effects 0.000 description 1
- 210000000214 mouth Anatomy 0.000 description 1
- 239000002324 mouth wash Substances 0.000 description 1
- 229940051866 mouthwash Drugs 0.000 description 1
- 201000000050 myeloid neoplasm Diseases 0.000 description 1
- IJDNQMDRQITEOD-UHFFFAOYSA-N n-butane Chemical compound CCCC IJDNQMDRQITEOD-UHFFFAOYSA-N 0.000 description 1
- 201000009240 nasopharyngitis Diseases 0.000 description 1
- 201000001119 neuropathy Diseases 0.000 description 1
- 230000007823 neuropathy Effects 0.000 description 1
- 238000006386 neutralization reaction Methods 0.000 description 1
- 231100000344 non-irritating Toxicity 0.000 description 1
- 239000012457 nonaqueous media Substances 0.000 description 1
- 235000020824 obesity Nutrition 0.000 description 1
- QIQXTHQIDYTFRH-UHFFFAOYSA-N octadecanoic acid Chemical compound CCCCCCCCCCCCCCCCCC(O)=O QIQXTHQIDYTFRH-UHFFFAOYSA-N 0.000 description 1
- 229940049964 oleate Drugs 0.000 description 1
- ZQPPMHVWECSIRJ-KTKRTIGZSA-N oleic acid Chemical compound CCCCCCCC\C=C/CCCCCCCC(O)=O ZQPPMHVWECSIRJ-KTKRTIGZSA-N 0.000 description 1
- 238000011275 oncology therapy Methods 0.000 description 1
- 210000004789 organ system Anatomy 0.000 description 1
- 150000007530 organic bases Chemical class 0.000 description 1
- 150000002895 organic esters Chemical class 0.000 description 1
- 208000002865 osteopetrosis Diseases 0.000 description 1
- 201000008968 osteosarcoma Diseases 0.000 description 1
- 238000010979 pH adjustment Methods 0.000 description 1
- 235000011837 pasties Nutrition 0.000 description 1
- 230000001717 pathogenic effect Effects 0.000 description 1
- 229950005777 penimocycline Drugs 0.000 description 1
- 201000001245 periodontitis Diseases 0.000 description 1
- 230000002093 peripheral effect Effects 0.000 description 1
- 230000000144 pharmacologic effect Effects 0.000 description 1
- 229960003742 phenol Drugs 0.000 description 1
- WVDDGKGOMKODPV-ZQBYOMGUSA-N phenyl(114C)methanol Chemical compound O[14CH2]C1=CC=CC=C1 WVDDGKGOMKODPV-ZQBYOMGUSA-N 0.000 description 1
- 208000019899 phobic disease Diseases 0.000 description 1
- 239000008363 phosphate buffer Substances 0.000 description 1
- 229910052698 phosphorus Inorganic materials 0.000 description 1
- 239000011574 phosphorus Substances 0.000 description 1
- NAYYNDKKHOIIOD-UHFFFAOYSA-N phthalamide Chemical compound NC(=O)C1=CC=CC=C1C(N)=O NAYYNDKKHOIIOD-UHFFFAOYSA-N 0.000 description 1
- 230000004962 physiological condition Effects 0.000 description 1
- 239000002798 polar solvent Substances 0.000 description 1
- 229920002647 polyamide Polymers 0.000 description 1
- 239000001267 polyvinylpyrrolidone Substances 0.000 description 1
- 229920000036 polyvinylpyrrolidone Polymers 0.000 description 1
- 235000013855 polyvinylpyrrolidone Nutrition 0.000 description 1
- 239000011591 potassium Substances 0.000 description 1
- 229910052700 potassium Inorganic materials 0.000 description 1
- 229920001592 potato starch Polymers 0.000 description 1
- 239000002244 precipitate Substances 0.000 description 1
- 238000001556 precipitation Methods 0.000 description 1
- 230000002335 preservative effect Effects 0.000 description 1
- 150000003141 primary amines Chemical class 0.000 description 1
- 125000002924 primary amino group Chemical group [H]N([H])* 0.000 description 1
- 239000000651 prodrug Substances 0.000 description 1
- 229940002612 prodrug Drugs 0.000 description 1
- 201000002212 progressive supranuclear palsy Diseases 0.000 description 1
- 230000002035 prolonged effect Effects 0.000 description 1
- 239000001294 propane Substances 0.000 description 1
- 239000000473 propyl gallate Substances 0.000 description 1
- 235000010388 propyl gallate Nutrition 0.000 description 1
- 229940075579 propyl gallate Drugs 0.000 description 1
- 125000001436 propyl group Chemical group [H]C([*])([H])C([H])([H])C([H])([H])[H] 0.000 description 1
- 229960004063 propylene glycol Drugs 0.000 description 1
- 235000013772 propylene glycol Nutrition 0.000 description 1
- 230000002797 proteolythic effect Effects 0.000 description 1
- 208000020016 psychiatric disease Diseases 0.000 description 1
- 238000004445 quantitative analysis Methods 0.000 description 1
- 150000003856 quaternary ammonium compounds Chemical class 0.000 description 1
- 238000001959 radiotherapy Methods 0.000 description 1
- 230000000306 recurrent effect Effects 0.000 description 1
- 230000010410 reperfusion Effects 0.000 description 1
- 238000011160 research Methods 0.000 description 1
- 238000002271 resection Methods 0.000 description 1
- 239000013557 residual solvent Substances 0.000 description 1
- 208000020029 respiratory tract infectious disease Diseases 0.000 description 1
- 238000004007 reversed phase HPLC Methods 0.000 description 1
- 235000005713 safflower oil Nutrition 0.000 description 1
- 239000003813 safflower oil Substances 0.000 description 1
- 150000003873 salicylate salts Chemical class 0.000 description 1
- 239000012488 sample solution Substances 0.000 description 1
- 229920006395 saturated elastomer Polymers 0.000 description 1
- 201000000980 schizophrenia Diseases 0.000 description 1
- 230000000698 schizophrenic effect Effects 0.000 description 1
- 150000003335 secondary amines Chemical class 0.000 description 1
- 238000007493 shaping process Methods 0.000 description 1
- 150000004760 silicates Chemical class 0.000 description 1
- 208000017520 skin disease Diseases 0.000 description 1
- 208000019116 sleep disease Diseases 0.000 description 1
- 238000010583 slow cooling Methods 0.000 description 1
- 238000007613 slurry method Methods 0.000 description 1
- 239000011734 sodium Substances 0.000 description 1
- WBHQBSYUUJJSRZ-UHFFFAOYSA-M sodium bisulfate Chemical compound [Na+].OS([O-])(=O)=O WBHQBSYUUJJSRZ-UHFFFAOYSA-M 0.000 description 1
- 229910000342 sodium bisulfate Inorganic materials 0.000 description 1
- 229940100996 sodium bisulfate Drugs 0.000 description 1
- 239000011780 sodium chloride Substances 0.000 description 1
- 239000001509 sodium citrate Substances 0.000 description 1
- NLJMYIDDQXHKNR-UHFFFAOYSA-K sodium citrate Chemical group O.O.[Na+].[Na+].[Na+].[O-]C(=O)CC(O)(CC([O-])=O)C([O-])=O NLJMYIDDQXHKNR-UHFFFAOYSA-K 0.000 description 1
- CSMWJXBSXGUPGY-UHFFFAOYSA-L sodium dithionate Chemical compound [Na+].[Na+].[O-]S(=O)(=O)S([O-])(=O)=O CSMWJXBSXGUPGY-UHFFFAOYSA-L 0.000 description 1
- 239000002689 soil Substances 0.000 description 1
- 239000012265 solid product Substances 0.000 description 1
- 238000000371 solid-state nuclear magnetic resonance spectroscopy Methods 0.000 description 1
- 235000010199 sorbic acid Nutrition 0.000 description 1
- 239000004334 sorbic acid Substances 0.000 description 1
- 229940075582 sorbic acid Drugs 0.000 description 1
- 239000003549 soybean oil Substances 0.000 description 1
- 235000012424 soybean oil Nutrition 0.000 description 1
- 241000894007 species Species 0.000 description 1
- 238000012430 stability testing Methods 0.000 description 1
- 239000008223 sterile water Substances 0.000 description 1
- 239000003206 sterilizing agent Substances 0.000 description 1
- 238000010254 subcutaneous injection Methods 0.000 description 1
- 239000007929 subcutaneous injection Substances 0.000 description 1
- 238000000859 sublimation Methods 0.000 description 1
- 230000008022 sublimation Effects 0.000 description 1
- 208000011117 substance-related disease Diseases 0.000 description 1
- KDYFGRWQOYBRFD-UHFFFAOYSA-L succinate(2-) Chemical compound [O-]C(=O)CCC([O-])=O KDYFGRWQOYBRFD-UHFFFAOYSA-L 0.000 description 1
- 238000001356 surgical procedure Methods 0.000 description 1
- 239000003765 sweetening agent Substances 0.000 description 1
- 230000008961 swelling Effects 0.000 description 1
- 208000011580 syndromic disease Diseases 0.000 description 1
- 238000007910 systemic administration Methods 0.000 description 1
- 239000011975 tartaric acid Substances 0.000 description 1
- 235000002906 tartaric acid Nutrition 0.000 description 1
- 229940095064 tartrate Drugs 0.000 description 1
- 150000003512 tertiary amines Chemical class 0.000 description 1
- 230000004797 therapeutic response Effects 0.000 description 1
- 238000002076 thermal analysis method Methods 0.000 description 1
- AOBORMOPSGHCAX-DGHZZKTQSA-N tocofersolan Chemical compound OCCOC(=O)CCC(=O)OC1=C(C)C(C)=C2O[C@](CCC[C@H](C)CCC[C@H](C)CCCC(C)C)(C)CCC2=C1C AOBORMOPSGHCAX-DGHZZKTQSA-N 0.000 description 1
- 229960000984 tocofersolan Drugs 0.000 description 1
- 239000003440 toxic substance Substances 0.000 description 1
- 231100000419 toxicity Toxicity 0.000 description 1
- 230000001988 toxicity Effects 0.000 description 1
- 239000003053 toxin Substances 0.000 description 1
- 231100000765 toxin Toxicity 0.000 description 1
- 108700012359 toxins Proteins 0.000 description 1
- 230000007704 transition Effects 0.000 description 1
- 230000008736 traumatic injury Effects 0.000 description 1
- ITMCEJHCFYSIIV-UHFFFAOYSA-M triflate Chemical compound [O-]S(=O)(=O)C(F)(F)F ITMCEJHCFYSIIV-UHFFFAOYSA-M 0.000 description 1
- 210000004881 tumor cell Anatomy 0.000 description 1
- 230000005748 tumor development Effects 0.000 description 1
- 230000004614 tumor growth Effects 0.000 description 1
- 208000001072 type 2 diabetes mellitus Diseases 0.000 description 1
- 201000005112 urinary bladder cancer Diseases 0.000 description 1
- 208000019206 urinary tract infection Diseases 0.000 description 1
- 229940070710 valerate Drugs 0.000 description 1
- NQPDZGIKBAWPEJ-UHFFFAOYSA-N valeric acid Chemical compound CCCCC(O)=O NQPDZGIKBAWPEJ-UHFFFAOYSA-N 0.000 description 1
- 235000015112 vegetable and seed oil Nutrition 0.000 description 1
- 235000019871 vegetable fat Nutrition 0.000 description 1
- 239000008158 vegetable oil Substances 0.000 description 1
- 238000002460 vibrational spectroscopy Methods 0.000 description 1
- 238000001845 vibrational spectrum Methods 0.000 description 1
- 230000003612 virological effect Effects 0.000 description 1
- 230000003442 weekly effect Effects 0.000 description 1
- 230000004584 weight gain Effects 0.000 description 1
- 235000019786 weight gain Nutrition 0.000 description 1
- 239000011701 zinc Substances 0.000 description 1
- 229910052725 zinc Inorganic materials 0.000 description 1
- 239000002076 α-tocopherol Substances 0.000 description 1
- 235000004835 α-tocopherol Nutrition 0.000 description 1
Images
Classifications
-
- A—HUMAN NECESSITIES
- A61—MEDICAL OR VETERINARY SCIENCE; HYGIENE
- A61K—PREPARATIONS FOR MEDICAL, DENTAL OR TOILETRY PURPOSES
- A61K31/00—Medicinal preparations containing organic active ingredients
- A61K31/65—Tetracyclines
-
- C—CHEMISTRY; METALLURGY
- C07—ORGANIC CHEMISTRY
- C07C—ACYCLIC OR CARBOCYCLIC COMPOUNDS
- C07C231/00—Preparation of carboxylic acid amides
- C07C231/22—Separation; Purification; Stabilisation; Use of additives
- C07C231/24—Separation; Purification
-
- A—HUMAN NECESSITIES
- A61—MEDICAL OR VETERINARY SCIENCE; HYGIENE
- A61P—SPECIFIC THERAPEUTIC ACTIVITY OF CHEMICAL COMPOUNDS OR MEDICINAL PREPARATIONS
- A61P1/00—Drugs for disorders of the alimentary tract or the digestive system
- A61P1/12—Antidiarrhoeals
-
- A—HUMAN NECESSITIES
- A61—MEDICAL OR VETERINARY SCIENCE; HYGIENE
- A61P—SPECIFIC THERAPEUTIC ACTIVITY OF CHEMICAL COMPOUNDS OR MEDICINAL PREPARATIONS
- A61P17/00—Drugs for dermatological disorders
-
- A—HUMAN NECESSITIES
- A61—MEDICAL OR VETERINARY SCIENCE; HYGIENE
- A61P—SPECIFIC THERAPEUTIC ACTIVITY OF CHEMICAL COMPOUNDS OR MEDICINAL PREPARATIONS
- A61P19/00—Drugs for skeletal disorders
- A61P19/02—Drugs for skeletal disorders for joint disorders, e.g. arthritis, arthrosis
-
- A—HUMAN NECESSITIES
- A61—MEDICAL OR VETERINARY SCIENCE; HYGIENE
- A61P—SPECIFIC THERAPEUTIC ACTIVITY OF CHEMICAL COMPOUNDS OR MEDICINAL PREPARATIONS
- A61P19/00—Drugs for skeletal disorders
- A61P19/08—Drugs for skeletal disorders for bone diseases, e.g. rachitism, Paget's disease
- A61P19/10—Drugs for skeletal disorders for bone diseases, e.g. rachitism, Paget's disease for osteoporosis
-
- A—HUMAN NECESSITIES
- A61—MEDICAL OR VETERINARY SCIENCE; HYGIENE
- A61P—SPECIFIC THERAPEUTIC ACTIVITY OF CHEMICAL COMPOUNDS OR MEDICINAL PREPARATIONS
- A61P29/00—Non-central analgesic, antipyretic or antiinflammatory agents, e.g. antirheumatic agents; Non-steroidal antiinflammatory drugs [NSAID]
-
- A—HUMAN NECESSITIES
- A61—MEDICAL OR VETERINARY SCIENCE; HYGIENE
- A61P—SPECIFIC THERAPEUTIC ACTIVITY OF CHEMICAL COMPOUNDS OR MEDICINAL PREPARATIONS
- A61P3/00—Drugs for disorders of the metabolism
- A61P3/08—Drugs for disorders of the metabolism for glucose homeostasis
- A61P3/10—Drugs for disorders of the metabolism for glucose homeostasis for hyperglycaemia, e.g. antidiabetics
-
- A—HUMAN NECESSITIES
- A61—MEDICAL OR VETERINARY SCIENCE; HYGIENE
- A61P—SPECIFIC THERAPEUTIC ACTIVITY OF CHEMICAL COMPOUNDS OR MEDICINAL PREPARATIONS
- A61P31/00—Antiinfectives, i.e. antibiotics, antiseptics, chemotherapeutics
-
- A—HUMAN NECESSITIES
- A61—MEDICAL OR VETERINARY SCIENCE; HYGIENE
- A61P—SPECIFIC THERAPEUTIC ACTIVITY OF CHEMICAL COMPOUNDS OR MEDICINAL PREPARATIONS
- A61P31/00—Antiinfectives, i.e. antibiotics, antiseptics, chemotherapeutics
- A61P31/04—Antibacterial agents
-
- A—HUMAN NECESSITIES
- A61—MEDICAL OR VETERINARY SCIENCE; HYGIENE
- A61P—SPECIFIC THERAPEUTIC ACTIVITY OF CHEMICAL COMPOUNDS OR MEDICINAL PREPARATIONS
- A61P31/00—Antiinfectives, i.e. antibiotics, antiseptics, chemotherapeutics
- A61P31/10—Antimycotics
-
- A—HUMAN NECESSITIES
- A61—MEDICAL OR VETERINARY SCIENCE; HYGIENE
- A61P—SPECIFIC THERAPEUTIC ACTIVITY OF CHEMICAL COMPOUNDS OR MEDICINAL PREPARATIONS
- A61P31/00—Antiinfectives, i.e. antibiotics, antiseptics, chemotherapeutics
- A61P31/12—Antivirals
-
- A—HUMAN NECESSITIES
- A61—MEDICAL OR VETERINARY SCIENCE; HYGIENE
- A61P—SPECIFIC THERAPEUTIC ACTIVITY OF CHEMICAL COMPOUNDS OR MEDICINAL PREPARATIONS
- A61P35/00—Antineoplastic agents
-
- A—HUMAN NECESSITIES
- A61—MEDICAL OR VETERINARY SCIENCE; HYGIENE
- A61P—SPECIFIC THERAPEUTIC ACTIVITY OF CHEMICAL COMPOUNDS OR MEDICINAL PREPARATIONS
- A61P35/00—Antineoplastic agents
- A61P35/02—Antineoplastic agents specific for leukemia
-
- B—PERFORMING OPERATIONS; TRANSPORTING
- B82—NANOTECHNOLOGY
- B82Y—SPECIFIC USES OR APPLICATIONS OF NANOSTRUCTURES; MEASUREMENT OR ANALYSIS OF NANOSTRUCTURES; MANUFACTURE OR TREATMENT OF NANOSTRUCTURES
- B82Y20/00—Nanooptics, e.g. quantum optics or photonic crystals
-
- C—CHEMISTRY; METALLURGY
- C07—ORGANIC CHEMISTRY
- C07C—ACYCLIC OR CARBOCYCLIC COMPOUNDS
- C07C231/00—Preparation of carboxylic acid amides
- C07C231/12—Preparation of carboxylic acid amides by reactions not involving the formation of carboxamide groups
-
- C—CHEMISTRY; METALLURGY
- C07—ORGANIC CHEMISTRY
- C07C—ACYCLIC OR CARBOCYCLIC COMPOUNDS
- C07C237/00—Carboxylic acid amides, the carbon skeleton of the acid part being further substituted by amino groups
- C07C237/24—Carboxylic acid amides, the carbon skeleton of the acid part being further substituted by amino groups having the carbon atom of at least one of the carboxamide groups bound to a carbon atom of a ring other than a six-membered aromatic ring of the carbon skeleton
- C07C237/26—Carboxylic acid amides, the carbon skeleton of the acid part being further substituted by amino groups having the carbon atom of at least one of the carboxamide groups bound to a carbon atom of a ring other than a six-membered aromatic ring of the carbon skeleton of a ring being part of a condensed ring system formed by at least four rings, e.g. tetracycline
-
- C—CHEMISTRY; METALLURGY
- C07—ORGANIC CHEMISTRY
- C07C—ACYCLIC OR CARBOCYCLIC COMPOUNDS
- C07C303/00—Preparation of esters or amides of sulfuric acids; Preparation of sulfonic acids or of their esters, halides, anhydrides or amides
- C07C303/32—Preparation of esters or amides of sulfuric acids; Preparation of sulfonic acids or of their esters, halides, anhydrides or amides of salts of sulfonic acids
-
- C—CHEMISTRY; METALLURGY
- C07—ORGANIC CHEMISTRY
- C07C—ACYCLIC OR CARBOCYCLIC COMPOUNDS
- C07C309/00—Sulfonic acids; Halides, esters, or anhydrides thereof
- C07C309/01—Sulfonic acids
- C07C309/28—Sulfonic acids having sulfo groups bound to carbon atoms of six-membered aromatic rings of a carbon skeleton
- C07C309/29—Sulfonic acids having sulfo groups bound to carbon atoms of six-membered aromatic rings of a carbon skeleton of non-condensed six-membered aromatic rings
- C07C309/30—Sulfonic acids having sulfo groups bound to carbon atoms of six-membered aromatic rings of a carbon skeleton of non-condensed six-membered aromatic rings of six-membered aromatic rings substituted by alkyl groups
-
- G—PHYSICS
- G02—OPTICS
- G02B—OPTICAL ELEMENTS, SYSTEMS OR APPARATUS
- G02B6/00—Light guides; Structural details of arrangements comprising light guides and other optical elements, e.g. couplings
- G02B6/10—Light guides; Structural details of arrangements comprising light guides and other optical elements, e.g. couplings of the optical waveguide type
- G02B6/12—Light guides; Structural details of arrangements comprising light guides and other optical elements, e.g. couplings of the optical waveguide type of the integrated circuit kind
- G02B6/122—Basic optical elements, e.g. light-guiding paths
- G02B6/1223—Basic optical elements, e.g. light-guiding paths high refractive index type, i.e. high-contrast waveguides
-
- G—PHYSICS
- G02—OPTICS
- G02B—OPTICAL ELEMENTS, SYSTEMS OR APPARATUS
- G02B6/00—Light guides; Structural details of arrangements comprising light guides and other optical elements, e.g. couplings
- G02B6/10—Light guides; Structural details of arrangements comprising light guides and other optical elements, e.g. couplings of the optical waveguide type
- G02B6/12—Light guides; Structural details of arrangements comprising light guides and other optical elements, e.g. couplings of the optical waveguide type of the integrated circuit kind
- G02B6/13—Integrated optical circuits characterised by the manufacturing method
-
- C—CHEMISTRY; METALLURGY
- C07—ORGANIC CHEMISTRY
- C07B—GENERAL METHODS OF ORGANIC CHEMISTRY; APPARATUS THEREFOR
- C07B2200/00—Indexing scheme relating to specific properties of organic compounds
- C07B2200/13—Crystalline forms, e.g. polymorphs
-
- C—CHEMISTRY; METALLURGY
- C07—ORGANIC CHEMISTRY
- C07C—ACYCLIC OR CARBOCYCLIC COMPOUNDS
- C07C2603/00—Systems containing at least three condensed rings
- C07C2603/02—Ortho- or ortho- and peri-condensed systems
- C07C2603/40—Ortho- or ortho- and peri-condensed systems containing four condensed rings
- C07C2603/42—Ortho- or ortho- and peri-condensed systems containing four condensed rings containing only six-membered rings
- C07C2603/44—Naphthacenes; Hydrogenated naphthacenes
- C07C2603/46—1,4,4a,5,5a,6,11,12a- Octahydronaphthacenes, e.g. tetracyclines
-
- G—PHYSICS
- G02—OPTICS
- G02B—OPTICAL ELEMENTS, SYSTEMS OR APPARATUS
- G02B6/00—Light guides; Structural details of arrangements comprising light guides and other optical elements, e.g. couplings
- G02B6/10—Light guides; Structural details of arrangements comprising light guides and other optical elements, e.g. couplings of the optical waveguide type
- G02B6/12—Light guides; Structural details of arrangements comprising light guides and other optical elements, e.g. couplings of the optical waveguide type of the integrated circuit kind
- G02B2006/12035—Materials
- G02B2006/12038—Glass (SiO2 based materials)
-
- G—PHYSICS
- G02—OPTICS
- G02B—OPTICAL ELEMENTS, SYSTEMS OR APPARATUS
- G02B6/00—Light guides; Structural details of arrangements comprising light guides and other optical elements, e.g. couplings
- G02B6/10—Light guides; Structural details of arrangements comprising light guides and other optical elements, e.g. couplings of the optical waveguide type
- G02B6/12—Light guides; Structural details of arrangements comprising light guides and other optical elements, e.g. couplings of the optical waveguide type of the integrated circuit kind
- G02B2006/12083—Constructional arrangements
- G02B2006/12119—Bend
-
- G—PHYSICS
- G02—OPTICS
- G02B—OPTICAL ELEMENTS, SYSTEMS OR APPARATUS
- G02B6/00—Light guides; Structural details of arrangements comprising light guides and other optical elements, e.g. couplings
- G02B6/24—Coupling light guides
- G02B6/26—Optical coupling means
- G02B6/28—Optical coupling means having data bus means, i.e. plural waveguides interconnected and providing an inherently bidirectional system by mixing and splitting signals
- G02B6/2804—Optical coupling means having data bus means, i.e. plural waveguides interconnected and providing an inherently bidirectional system by mixing and splitting signals forming multipart couplers without wavelength selective elements, e.g. "T" couplers, star couplers
- G02B6/2861—Optical coupling means having data bus means, i.e. plural waveguides interconnected and providing an inherently bidirectional system by mixing and splitting signals forming multipart couplers without wavelength selective elements, e.g. "T" couplers, star couplers using fibre optic delay lines and optical elements associated with them, e.g. for use in signal processing, e.g. filtering
-
- Y—GENERAL TAGGING OF NEW TECHNOLOGICAL DEVELOPMENTS; GENERAL TAGGING OF CROSS-SECTIONAL TECHNOLOGIES SPANNING OVER SEVERAL SECTIONS OF THE IPC; TECHNICAL SUBJECTS COVERED BY FORMER USPC CROSS-REFERENCE ART COLLECTIONS [XRACs] AND DIGESTS
- Y02—TECHNOLOGIES OR APPLICATIONS FOR MITIGATION OR ADAPTATION AGAINST CLIMATE CHANGE
- Y02A—TECHNOLOGIES FOR ADAPTATION TO CLIMATE CHANGE
- Y02A50/00—TECHNOLOGIES FOR ADAPTATION TO CLIMATE CHANGE in human health protection, e.g. against extreme weather
- Y02A50/30—Against vector-borne diseases, e.g. mosquito-borne, fly-borne, tick-borne or waterborne diseases whose impact is exacerbated by climate change
Landscapes
- Chemical & Material Sciences (AREA)
- Health & Medical Sciences (AREA)
- Organic Chemistry (AREA)
- Life Sciences & Earth Sciences (AREA)
- Chemical Kinetics & Catalysis (AREA)
- Medicinal Chemistry (AREA)
- General Health & Medical Sciences (AREA)
- Animal Behavior & Ethology (AREA)
- Public Health (AREA)
- Pharmacology & Pharmacy (AREA)
- Veterinary Medicine (AREA)
- Engineering & Computer Science (AREA)
- Nuclear Medicine, Radiotherapy & Molecular Imaging (AREA)
- General Chemical & Material Sciences (AREA)
- Physics & Mathematics (AREA)
- Optics & Photonics (AREA)
- Bioinformatics & Cheminformatics (AREA)
- Oncology (AREA)
- Communicable Diseases (AREA)
- Physical Education & Sports Medicine (AREA)
- Nanotechnology (AREA)
- General Physics & Mathematics (AREA)
- Rheumatology (AREA)
- Microelectronics & Electronic Packaging (AREA)
- Diabetes (AREA)
- Orthopedic Medicine & Surgery (AREA)
- Epidemiology (AREA)
- Biophysics (AREA)
- Crystallography & Structural Chemistry (AREA)
- Hematology (AREA)
- Obesity (AREA)
- Emergency Medicine (AREA)
- Pain & Pain Management (AREA)
- Endocrinology (AREA)
- Immunology (AREA)
- Virology (AREA)
- Dermatology (AREA)
- Organic Low-Molecular-Weight Compounds And Preparation Thereof (AREA)
- Pharmaceuticals Containing Other Organic And Inorganic Compounds (AREA)
- Acyclic And Carbocyclic Compounds In Medicinal Compositions (AREA)
Abstract
Description
本出願は、35 U.S. C. 119(e)の下で、2008年5月23日に提出された同時係属中の米国特許仮出願第61/128,712号に対する優先権の恩典を主張し、その全内容は、参照により本明細書に組み入れられる。
テトラサイクリン抗生物質の開発は、殺菌および/または静菌組成物を産生することができる微生物の証拠を求めて、世界の多くの地域から収集された土壌標本を系統立ってスクリーニングした、直接の結果であった。これらの新規化合物の最初のものは、クロルテトラサイクリンの名称で1948年に紹介された。2年後、オキシテトラサイクリンが利用できるようになった。これらの化合物の化学構造の解明によりその類似性が確認され、1952年にこのグループの第3のメンバーであるテトラサイクリンを産生するための分析的基礎がもたらされた。初期のテトラサイクリンに存在した環付着メチル基を有しない新規テトラサイクリン化合物ファミリーが1957年に調製され、1967年に市販されるようになり;1972年にはミノサイクリンが用いられるようになった。
(4S,4AS,5AR,12AS)-4-7-ビス(ジメチルアミノ)-9{[(2,2-ジメチルプロピル)アミノ]メチル}-3,10,12,12A-テトラヒドロキシ-1,11-ジオキソ-1,4,4A,5,5A,6,11,12A-オクタヒドロテトラセン-2-カルボキサミド(9-(2,2-ジメチル-プロピル-アミノメチル)-ミノサイクリン)の、結晶形態などの安定な固体状形態に関する。
[本発明1001]
下記化合物1の結晶形態:
。
[本発明1002]
下記化合物1のトシレート塩:
。
[本発明1003]
本発明1002の塩の結晶形態。
[本発明1004]
図8に記載されるパターンと実質的に類似のX線粉末回折パターンを特徴とする、本発明1003の結晶形態の多型体。
[本発明1005]
Cu Kα線照射を用いた場合に約8.06、13.02、および18.83°2θでのピークを含むX線粉末回折パターンを特徴とする、本発明1004の多型体。
[本発明1006]
Cu Kα線照射を用いた場合に約8.06、11.41、13.02、18.83、20.54、および24.53°2θでのピークを含むX線粉末回折パターンを特徴とする、本発明1004の多型体。
[本発明1007]
Cu Kα線照射を用いた場合に約5.60、8.06、8.57、11.41、13.02、15.58、18.83、20.54、および24.53°2θでのピークを含むX線粉末回折パターンを特徴とする、本発明1004の多型体。
[本発明1008]
下記化合物1のトシレート塩をイソプロパノールから結晶化することによって得られる、本発明1004の多型体:
。
[本発明1009]
第一の溶媒または溶媒の混和物に化合物1の遊離塩基を溶解して、第一の溶液を形成する段階;
第二の溶媒または溶媒の混和物にp-トルエンスルホン酸を溶解して、第二の溶液を形成する段階;および
第一の溶液と第二の溶液とを混和して、第三の溶液を形成する段階
を含む、下記化合物1の安定な結晶トシレート塩を調製する方法:
。
[本発明1010]
第一の溶媒または溶媒混和物と第二の溶媒または溶媒混和物とが同一であるかまたは異なる、本発明1009の方法。
[本発明1011]
第一の溶媒混和物と第二の溶媒混和物が各々独立してアルコール溶媒の混和物である、本発明1009の方法。
[本発明1012]
各々の溶媒混和物が、独立して2種類のアルコール溶媒の混和物である、本発明1011の方法。
[本発明1013]
2種類のアルコール溶媒がエタノールおよびイソプロパノールである、本発明1012の方法。
[本発明1014]
エタノールおよびイソプロパノールの容積対容積比が2:1である、本発明1013の方法。
[本発明1015]
各々の溶媒混和物がアルコール溶媒およびアンチソルベントを含む、本発明1009の方法。
[本発明1016]
アルコール溶媒がメタノールである、本発明1015の方法。
[本発明1017]
アンチソルベントがケトン、エーテル、およびエステルから選択される、本発明1015の方法。
[本発明1018]
エーテルがメチル-t-ブチルエーテルである、本発明1017の方法。
[本発明1019]
各々の溶媒混和物がメタノールおよびメチル-t-ブチルエーテルを含む、本発明1009の方法。
[本発明1020]
メタノールおよびメチル-t-ブチルエーテルの容積対容積比が1:1.2である、本発明1019の方法。
[本発明1021]
p-トルエンスルホン酸が化合物1の量に対して25〜75重量%の量で提供される、本発明1009の方法。
[本発明1022]
p-トルエンスルホン酸がp-トルエンスルホン酸一水和物の形態で提供される、本発明1009の方法。
[本発明1023]
化合物1の1型多型体トシレート塩を第三の溶液に添加して第四の溶液を形成する段階をさらに含む、本発明1009の方法。
[本発明1024]
第四の溶液が攪拌時にスラリーを形成する、本発明1023の方法。
[本発明1025]
スラリーを乾燥させる段階をさらに含む、本発明1024の方法。
[本発明1026]
本発明1009の方法に従って得られる、下記化合物1のトシレート塩の多型体:
。
[本発明1027]
本発明1003の結晶塩と、薬学的に許容される希釈剤、賦形剤、または担体とを含む、薬学的組成物。
[本発明1028]
本発明1004の多型体と、薬学的に許容される希釈剤、賦形剤、または担体とを含む、薬学的組成物。
[本発明1029]
多型体が純粋な形態で存在する、本発明1028の薬学的組成物。
テトラサイクリン型抗生物質化合物は、固相の遊離塩基形態での安定性が限られていることが長い間知られている。そのような非結晶形態のテトラサイクリン類似体化合物の1つである(4S,4AS,5AR,12AS)-4-7-ビス(ジメチルアミノ)-9{[(2,2-ジメチルプロピル)アミノ]メチル}-3,10,12,12A-テトラヒドロキシ-1,11-ジオキソ-1,4,4A,5,5A,6,11,12A-オクタヒドロテトラセン-2-カルボキサミド(化合物1;MW=556.66、MF=C29H40N4O7)は、空気、光、および/または水分に曝露されると固相において安定性が限られる。
(4S,4AS,5AR,12AS)-4-7-ビス(ジメチルアミノ)-9{[(2,2-ジメチルプロピル)アミノ]メチル}-3,10,12,12A-テトラヒドロキシ-1,11-ジオキソ-1,4,4A,5,5A,6,11,12A-オクタヒドロテトラセン-2-カルボキサミド
化合物1はテトラサイクリン化合物である。「テトラサイクリン化合物」という用語には、テトラサイクリンと類似の環構造を有する多くの化合物が含まれる。テトラサイクリン化合物の例には次のものが含まれる:テトラサイクリン、クロルテトラサイクリン、オキシテトラサイクリン、デメクロサイクリン、メタサイクリン、サンサイクリン、ドキシサイクリン、およびミノサイクリン。
1つの局面において、本発明は、化合物1の特定の薬学的に許容される塩の結晶形態を提供する。本発明のこの局面は、化合物1の塩酸、メシレートおよびトシレート塩の結晶形態を提供する:
(4S,4AS,5AR,12AS)-4-7-ビス(ジメチルアミノ)-9{[(2,2-ジメチルプロピル)アミノ]メチル}-3,10,12,12A-テトラヒドロキシ-1,11-ジオキソ-1,4,4A,5,5A,6,11,12A-オクタヒドロテトラセン-2-カルボキサミド。
本発明はまた、化合物1の多型体も提供する。ある態様において、本発明の多型体は、化合物1のトシレート塩の多型体である。
9-(アミノメチル)-ミノサイクリン二塩酸塩(200 mg、1等量)、DMF、およびトリメチルアセトアルデヒド(45μL、1等量)を40 mLフラスコにおいて混和して撹拌した。次に、トリエチルアミン(150μL、3等量)を加えた。室温で数分間撹拌後、NaBH(OAc)3(175 mg、2等量)およびInCl3(9 mg、0.1等量)を加えた。1時間後、反応物は透明で赤色であった。液体クロマトグラフィーにより、反応の1つの産物が示された。反応をメタノールによって停止させて、溶媒を除去し、産物をカラムクロマトグラフィーを用いて精製した。
化合物の低pH水溶液を極性の有機溶媒勾配でHPLCに注入する段階、および化合物が精製されるように産物分画を混和する段階によって、化合物1をクロマトグラフィーによって精製した。適した酸性移動相を選択することによってプロセスの安定性および選択性が増強された。有機および無機の酸性移動相は、pH制御または酸の選択を通して、エピマー不純物が含まれる副産物および近くに溶出する副産物を分離するために有効であった。酸性移動相はまた、化合物の酸化的分解を防いだ。
本発明はまた、結晶化合物1の多型体形態を調製する方法にも関する。
さらなる態様において、本発明は、本発明のテトラサイクリン化合物(たとえば、本発明の方法によって合成または精製される)またはその薬学的に許容される塩、プロドラッグ、もしくはエステルを含む薬学的組成物に関する。薬学的組成物は、薬学的に許容される担体を含んでもよい。
本発明はまた、状態が処置されるように、本発明に従う化合物1またはその薬学的に許容される塩を含む組成物の有効量を対象に投与することによって、対象におけるテトラサイクリン応答状態を処置するための方法にも関する。
実施例1:9-アルキルアミノメチルミノサイクリンの合成
塩酸ミノサイクリン(化合物2)を、無水メチルスルホン酸またはトリフルオロメタンスルホン酸などの類似の水スカベンジャー酸と共にメチルスルホン酸またはフッ化水素酸に溶解した。N-ヒドロキシメチルフタルイミドを反応混合物に添加した。反応が完了するまで混合物を20〜35℃で撹拌した。酸溶液を氷/水混合物に加えると、トリフリン酸塩を容易に沈殿させて、濾過および収集することができる。固体をアセトンに再度溶解して、塩基によって中性pHにした。水を添加することによって産物を沈殿させた。トリフリン酸がスカベンジャーとして存在する場合、産物は中和しなくとも沈殿しうる。産物はビスおよびトリスアルキル化産物の混合物として単離された。この反応物の単離された材料を所望のビス比(90%)で濃縮した。
粗9-(2',2'-ジメチルプロピルアミノメチル)ミノサイクリンの遊離塩基(40 g)を緩衝液A(0.1%メタンスルホン酸水溶液−MSA)150 mLに溶解して、pHをMSAによって2〜3に調整した。
化合物1(13 g)をアセトン(300 mL)に溶解して、濾過し、濾紙をさらにアセトンによって洗浄した。合わせた濾液および洗浄液を5℃に冷却した。合わせた濾液および洗浄液に、濃HCl(3.9 mL)のアセトン溶液(79 mL)を激しく撹拌しながら徐々に添加した。得られたスラリーを氷浴中で15分間撹拌して濾過した。
25 mLの三頚フラスコに不活性な窒素雰囲気下でイソプロパノール(IPA)3 mLを充填した。化合物1の非晶質の遊離塩基225 mgをフラスコに添加することによってスラリーを調製した。スラリーを45℃の温度まで加温した。次に、メタンスルホン酸水和物(98.0 mg)をスラリーに添加した。スラリーを45℃で1時間撹拌した後、22℃に冷却すると、濃厚な結晶スラリーを産生した。スラリーを濾過してIPA(2×1 mL)によって洗浄した。一定の重量を達成するために、55℃で2時間より長く乾燥させることによって、過剰量のIPAを結晶ケークから除去した。化合物1の結晶メシレート(メタンスルホン酸)塩(180 mg)を単離した。結晶メシレート塩は5℃で不安定であることが決定された。
5 Lの三頚フラスコに不活性窒素雰囲気下でイソプロパノール(IPA)2.0 Lを充填した。化合物1の非晶質の遊離塩基289 gをフラスコに添加することによってスラリーを調製した。p-トルエンスルホン酸水和物(97.0 g)のIPA溶液(400 mL)をスラリーに添加した。水(9 mL)を添加することによってスラリー上清の水分含有量を0.6 g/Lに調整し、スラリーを20〜25℃で18時間撹拌して、濃厚な結晶スラリーを産生した。スラリーを濾過してIPA(2×500 mL)によって洗浄した。ケークの中に乾燥窒素を24時間吹き付けることによって過剰量のIPAを結晶ケークから除去した。3重量パーセント(重量%)のIPAを含有する固体に関して、ケークの中に湿潤窒素を相対湿度70〜75%で24時間吹き付けることによって、ケークをさらに乾燥させた。ケークは、0.9重量%IPAを保持したが、これはこの方法によってさらに低減されなかった。ケークの中に乾燥窒素を24時間吹き付けることによって過剰量の水をケークから除去した。化合物1のトシレート塩がオレンジ色の粉末(337 g)として単離された。化合物1の単離されたトシレート塩は、唯一の観察された形態を有する結晶であった:X線粉末回折(XPRD)および熱重量測定(TG)分析によって決定した場合に、非化学量論的な半水和物。
5 Lの三頚フラスコに不活性窒素雰囲気下で、メタノール1.7 Lおよびメチル-t-ブチルエーテル1.7 Lを充填した。p-トルエンスルホン酸一水和物(209 g)および化合物1の非晶質の遊離塩基(556 g)を撹拌しながらフラスコに添加することによって、透明な溶液を得た。化合物1のモノトシレート塩の種結晶量(3 g)を添加して結晶化を開始させて、さらなる量のメタノール(0.1 L)およびメチル-t-ブチルエーテル(0.5 L)を添加した。得られたスラリーを約20℃で22時間撹拌して濃厚な結晶スラリーを産生した。スラリーを濾過してメタノール1.1 Lとメチル-t-ブチルエーテル1.3 Lの混合物によって洗浄した後、メチル-t-ブチルエーテル(2×2.4 L)によって洗浄した。化合物1のトシレート塩がオレンジ色の粉末として単離された。ケークの中に乾燥窒素を24時間吹き付けることによって結晶ケークから過剰量の溶媒を除去した。次に、固体が約6重量パーセント(重量%)の溶媒を含有するまで、ケークを約30℃の真空下で乾燥させた。固体が3重量パーセント(重量%)未満の溶媒を含有するまで、約45℃の真空下でケークをさらに乾燥させた。化合物1の単離されたトシレート塩は、X線粉末回折(XPRD)によって決定した場合に観察された1型を有する結晶であった。
化合物1の単離されたトシレート塩のXRPDパターンは、5.6、8.0、8.6、11.4、13.0、15.5、18.8、20.4、および24.5°の2θ値を含んだ。
X線粉末回折パターンをCu Kα線照射(40 kV、40 mA)を用いて、θ-θゴニオメータ、発散V20および受光スリット、グラファイト二次モノクロメータおよびシンチレーションカウンターを用いてSiemens D5000回折計において収集した。認定されたCorundum標準(NIST 1976)を用いて、機器の性能をチェックした。データ収集のために用いたソフトウェアは、Diffrac Plus XRD Commander v2.3.1であり、データをDiffrac Plus EVA v 11,0.0.2またはv 13.0.0.2を用いて分析および表示した。
角度の範囲:2〜42°2θ
ステップサイズ:0.05°2θ
収集時間:4秒/ステップ
高分解能X線粉末回折パターンをCu Kα線照射(40 kV、40 mA)、自動XYZステージ、自動試料配置のためのレーザービデオ顕微鏡、およびHiStar 2次元領域検出器を用いて、Bruker AXS C2 GADDS回折計において収集した。X線光学系は、0.3 mmのピンホールコリメータに連結させた1つのGobel多層膜ミラーからなる。
様々な温度および/または湿度条件に曝露した場合の、各々の塩に関する高速液体クロマトグラフィー(HPLC)不純物プロフィールの変化をモニターすることによって、化合物1のトシレート塩およびメシレート塩について安定性試験を行った。各試料を密封容器に入れて、制御された次の3つの環境に曝露した:冷蔵(5℃)、20℃で60%相対湿度、および40℃で75%相対湿度。2週間後、結晶トシレート塩は、化合物1の最も安定な結晶形態であると決定された。結晶トシレート塩の安定性試験を継続した。
光安定性試験を化合物1のトシレート塩について行った。2つの試料を透明なガラスペトリ皿において調製した。1つの試料をアルミニウムホイルで覆って対照試料とした。双方の試料をES 2000 Enviromental Light 10チャンバーに入れて、12キロルクスのクールホワイト蛍光に全体で47時間曝露した。試料をHPLC不純物プロフィール法によって分析し、結果を表10に要約する。
当業者は、本明細書において記述される具体的態様および方法に対する多くの同等物を、ルーチンにすぎない実験を用いて認識または確認することができるであろう。そのような同等物は以下の特許請求の範囲に包含されることが意図される。
Claims (29)
- 請求項2記載の塩の結晶形態。
- 図8に記載されるパターンと実質的に類似のX線粉末回折パターンを特徴とする、請求項3記載の結晶形態の多型体。
- Cu Kα線照射を用いた場合に約8.06、13.02、および18.83°2θでのピークを含むX線粉末回折パターンを特徴とする、請求項4記載の多型体。
- Cu Kα線照射を用いた場合に約8.06、11.41、13.02、18.83、20.54、および24.53°2θでのピークを含むX線粉末回折パターンを特徴とする、請求項4記載の多型体。
- Cu Kα線照射を用いた場合に約5.60、8.06、8.57、11.41、13.02、15.58、18.83、20.54、および24.53°2θでのピークを含むX線粉末回折パターンを特徴とする、請求項4記載の多型体。
- 第一の溶媒または溶媒混和物と第二の溶媒または溶媒混和物とが同一であるかまたは異なる、請求項9記載の方法。
- 第一の溶媒混和物と第二の溶媒混和物が各々独立してアルコール溶媒の混和物である、請求項9記載の方法。
- 各々の溶媒混和物が、独立して2種類のアルコール溶媒の混和物である、請求項11記載の方法。
- 2種類のアルコール溶媒がエタノールおよびイソプロパノールである、請求項12記載の方法。
- エタノールおよびイソプロパノールの容積対容積比が2:1である、請求項13記載の方法。
- 各々の溶媒混和物がアルコール溶媒およびアンチソルベントを含む、請求項9記載の方法。
- アルコール溶媒がメタノールである、請求項15記載の方法。
- アンチソルベントがケトン、エーテル、およびエステルから選択される、請求項15記載の方法。
- エーテルがメチル-t-ブチルエーテルである、請求項17記載の方法。
- 各々の溶媒混和物がメタノールおよびメチル-t-ブチルエーテルを含む、請求項9記載の方法。
- メタノールおよびメチル-t-ブチルエーテルの容積対容積比が1:1.2である、請求項19記載の方法。
- p-トルエンスルホン酸が化合物1の量に対して25〜75重量%の量で提供される、請求項9記載の方法。
- p-トルエンスルホン酸がp-トルエンスルホン酸一水和物の形態で提供される、請求項9記載の方法。
- 化合物1の1型多型体トシレート塩を第三の溶液に添加して第四の溶液を形成する段階をさらに含む、請求項9記載の方法。
- 第四の溶液が攪拌時にスラリーを形成する、請求項23記載の方法。
- スラリーを乾燥させる段階をさらに含む、請求項24記載の方法。
- 請求項3記載の結晶塩と、薬学的に許容される希釈剤、賦形剤、または担体とを含む、薬学的組成物。
- 請求項4記載の多型体と、薬学的に許容される希釈剤、賦形剤、または担体とを含む、薬学的組成物。
- 多型体が純粋な形態で存在する、請求項28記載の薬学的組成物。
Applications Claiming Priority (2)
| Application Number | Priority Date | Filing Date | Title |
|---|---|---|---|
| US12871208P | 2008-05-19 | 2008-05-19 | |
| US61/128,712 | 2008-05-23 |
Related Parent Applications (1)
| Application Number | Title | Priority Date | Filing Date |
|---|---|---|---|
| JP2011510742A Division JP5727930B2 (ja) | 2008-05-19 | 2009-05-26 | テトラサイクリン化合物の塩および多型体 |
Related Child Applications (1)
| Application Number | Title | Priority Date | Filing Date |
|---|---|---|---|
| JP2017077920A Division JP2017149750A (ja) | 2008-05-19 | 2017-04-11 | テトラサイクリン化合物の塩および多型体 |
Publications (2)
| Publication Number | Publication Date |
|---|---|
| JP2015166350A true JP2015166350A (ja) | 2015-09-24 |
| JP6129235B2 JP6129235B2 (ja) | 2017-05-17 |
Family
ID=41340587
Family Applications (7)
| Application Number | Title | Priority Date | Filing Date |
|---|---|---|---|
| JP2011510742A Active JP5727930B2 (ja) | 2008-05-19 | 2009-05-26 | テトラサイクリン化合物の塩および多型体 |
| JP2015076659A Active JP6129235B2 (ja) | 2008-05-19 | 2015-04-03 | テトラサイクリン化合物の塩および多型体 |
| JP2017077920A Pending JP2017149750A (ja) | 2008-05-19 | 2017-04-11 | テトラサイクリン化合物の塩および多型体 |
| JP2018239471A Pending JP2019052184A (ja) | 2008-05-19 | 2018-12-21 | テトラサイクリン化合物の塩および多型体 |
| JP2020177908A Pending JP2021011498A (ja) | 2008-05-19 | 2020-10-23 | テトラサイクリン化合物の塩および多型体 |
| JP2022169225A Pending JP2022189916A (ja) | 2008-05-19 | 2022-10-21 | テトラサイクリン化合物の塩および多型体 |
| JP2024157101A Pending JP2024169444A (ja) | 2008-05-19 | 2024-09-11 | テトラサイクリン化合物の塩および多型体 |
Family Applications Before (1)
| Application Number | Title | Priority Date | Filing Date |
|---|---|---|---|
| JP2011510742A Active JP5727930B2 (ja) | 2008-05-19 | 2009-05-26 | テトラサイクリン化合物の塩および多型体 |
Family Applications After (5)
| Application Number | Title | Priority Date | Filing Date |
|---|---|---|---|
| JP2017077920A Pending JP2017149750A (ja) | 2008-05-19 | 2017-04-11 | テトラサイクリン化合物の塩および多型体 |
| JP2018239471A Pending JP2019052184A (ja) | 2008-05-19 | 2018-12-21 | テトラサイクリン化合物の塩および多型体 |
| JP2020177908A Pending JP2021011498A (ja) | 2008-05-19 | 2020-10-23 | テトラサイクリン化合物の塩および多型体 |
| JP2022169225A Pending JP2022189916A (ja) | 2008-05-19 | 2022-10-21 | テトラサイクリン化合物の塩および多型体 |
| JP2024157101A Pending JP2024169444A (ja) | 2008-05-19 | 2024-09-11 | テトラサイクリン化合物の塩および多型体 |
Country Status (30)
| Country | Link |
|---|---|
| US (4) | US8383610B2 (ja) |
| EP (3) | EP3827817A1 (ja) |
| JP (7) | JP5727930B2 (ja) |
| KR (1) | KR101679362B1 (ja) |
| CN (4) | CN104844472B (ja) |
| AR (1) | AR075447A1 (ja) |
| AU (2) | AU2009248795B2 (ja) |
| BR (1) | BRPI0913026B1 (ja) |
| CA (2) | CA2724897C (ja) |
| CO (1) | CO6300898A2 (ja) |
| CY (2) | CY1116436T1 (ja) |
| DK (2) | DK2807926T3 (ja) |
| EC (1) | ECSP10010704A (ja) |
| ES (2) | ES2538364T3 (ja) |
| HR (2) | HRP20150584T1 (ja) |
| HU (1) | HUE053038T2 (ja) |
| IL (1) | IL209414A0 (ja) |
| LT (1) | LT2807926T (ja) |
| MA (1) | MA32407B1 (ja) |
| MX (1) | MX2010012622A (ja) |
| MY (1) | MY156254A (ja) |
| NZ (2) | NZ589574A (ja) |
| PL (2) | PL2807926T3 (ja) |
| PT (2) | PT2296464E (ja) |
| RU (1) | RU2500665C2 (ja) |
| SI (2) | SI2296464T1 (ja) |
| TN (1) | TN2010000539A1 (ja) |
| TW (6) | TW202436282A (ja) |
| WO (1) | WO2009143509A1 (ja) |
| ZA (2) | ZA201008390B (ja) |
Families Citing this family (22)
| Publication number | Priority date | Publication date | Assignee | Title |
|---|---|---|---|---|
| EP2216323A3 (en) * | 2007-04-27 | 2010-12-29 | Paratek Pharmaceuticals, Inc. | Methods for synthesizing and purifying aminoalkyl tetracycline compounds |
| BRPI0908951A2 (pt) | 2008-03-05 | 2017-01-17 | Paratek Pharm Innc | compostos de minociclina e método de uso dos mesmos |
| TW202436282A (zh) * | 2008-05-19 | 2024-09-16 | 美商Prtk Spv2公司 | 四環素化合物之甲苯磺酸鹽及同素異形體 |
| EP2707003B1 (en) | 2011-05-12 | 2019-05-01 | Paratek Pharmaceuticals, Inc. | Crystalline salts of (4s,4as,5ar,12as)-4-dimethylamino-3,10,12,12a-tetrahydroxy-7-[(methoxy(methyl)amino)-methyl]-1,11-dioxo-1,4,4a,5,5a,6,11,12a-octahydro-naphthacene-2-carboxylic acid amide and methods of using the same |
| PT108223B (pt) | 2015-02-13 | 2018-05-08 | Hovione Farm S A | Novas formas polimórficas de minociclina base e processos para a sua preparação |
| ES2846882T3 (es) | 2015-03-23 | 2021-07-30 | Biopharmx Inc | Composición farmacéutica de tetraciclina para uso dermatológico |
| BR112018069303A2 (pt) * | 2016-03-24 | 2019-01-22 | Paratek Pharm Innc | método para tratamento de uma infecção |
| MX2018013271A (es) | 2016-05-02 | 2019-03-28 | Paratek Pharm Innc | Compuestos 9-aminometil minociclina y metodos para utilizarlos en el tratamiento de infeccion de vias urinarias (ivu). |
| RU2764723C2 (ru) * | 2016-06-22 | 2022-01-19 | Кбп Байосайенсиз Ко., Лтд. | Кристаллические формы 9-аминометил-замещенного соединения тетрациклина и способ их получения |
| TWI746610B (zh) * | 2016-08-03 | 2021-11-21 | 美商派瑞泰Spv2有限公司 | 9-胺甲基米諾四環素化合物及其用途 |
| CN110267661B (zh) * | 2016-10-03 | 2021-08-03 | 布利本迅药业(上海)有限公司 | 包括trh类似物和丙基辛酸的组合的组合物和丙基辛酸的药学上可接受的盐 |
| WO2018075767A1 (en) * | 2016-10-19 | 2018-04-26 | Tetraphase Pharmaceuticals, Inc. | Crystalline forms of eravacycline |
| CA3042514A1 (en) | 2016-11-01 | 2018-05-11 | Paratek Pharmaceuticals, Inc. | 9-aminomethyl minocycline compounds and use thereof in treating community-acquired bacterial pneumonia (cabp) |
| RU2632708C1 (ru) * | 2016-11-14 | 2017-10-09 | Лонг Шенг Фарма Лимитед | Способ получения комбинированного антибактериального препарата |
| WO2020051151A1 (en) | 2018-09-04 | 2020-03-12 | Paratek Pharmaceuticals, Inc. | Methods of treating mycobacterial infections using tetracycline compounds |
| CN111484424B (zh) * | 2020-04-14 | 2022-10-25 | 成都百特万合医药科技有限公司 | 一种合成奥马环素的方法 |
| US20230357135A1 (en) * | 2020-06-11 | 2023-11-09 | Paratek Pharmaceuticals, Inc. | Crystalline forms of omadacycline, methods of synthesis thereof and methods of use thereof |
| PT117254B (pt) | 2021-05-26 | 2024-04-18 | Hovione Farm S A | Método de síntese de compostos 9-aminometil tetraciclinas |
| CN113433249B (zh) * | 2021-07-21 | 2023-03-24 | 河北圣雪大成制药有限责任公司 | 一种高效液相色谱法检测米诺环素中间体有关物质的方法 |
| CN113929593B (zh) * | 2021-09-02 | 2024-05-31 | 河北圣雪大成唐山制药有限责任公司 | 一种土霉素-2,5-二羟基苯甲酸共晶及其制备方法 |
| WO2023047323A1 (en) * | 2021-09-24 | 2023-03-30 | Glenmark Life Sciences Limited | Process for the preparation of omadacycline tosylate |
| CN119751292A (zh) * | 2024-12-30 | 2025-04-04 | 重庆圣华曦药业股份有限公司 | 一种甲苯磺酸奥玛环素的精制方法 |
Citations (5)
| Publication number | Priority date | Publication date | Assignee | Title |
|---|---|---|---|---|
| JPS4969653A (ja) * | 1972-09-18 | 1974-07-05 | Farmaceutici Italia | |
| JP2004502752A (ja) * | 2000-07-07 | 2004-01-29 | トラスティーズ・オブ・タフツ・カレッジ | 9−置換ミノサイクリン化合物 |
| JP2004502753A (ja) * | 2000-07-07 | 2004-01-29 | トラスティーズ・オブ・タフツ・カレッジ | 7−置換テトラサイクリン化合物 |
| JP2005526754A (ja) * | 2002-03-08 | 2005-09-08 | パラテック ファーマシューティカルズ インコーポレイテッド | アミノメチル置換されたテトラサイクリン化合物 |
| JP5727930B2 (ja) * | 2008-05-19 | 2015-06-03 | パラテック ファーマシューティカルズ インコーポレイテッド | テトラサイクリン化合物の塩および多型体 |
Family Cites Families (65)
| Publication number | Priority date | Publication date | Assignee | Title |
|---|---|---|---|---|
| US2990331A (en) | 1956-11-23 | 1961-06-27 | Pfizer & Co C | Stable solutions of salts of tetracyclines for parenteral administration |
| US2980584A (en) | 1957-10-29 | 1961-04-18 | Pfizer & Co C | Parenteral magnesium oxytetracycline acetic or lactic acid carboxamide vehicle preparation |
| US3062717A (en) | 1958-12-11 | 1962-11-06 | Pfizer & Co C | Intramuscular calcium tetracycline acetic or lactic acid carboxamide vehicle preparation |
| US3019260A (en) | 1959-05-13 | 1962-01-30 | American Cyanamid Co | Process for the catalytic reduction of 6-hydroxy hydronaphthacenes |
| FR1430859A (ja) | 1960-05-23 | 1966-05-25 | ||
| US3165531A (en) | 1962-03-08 | 1965-01-12 | Pfizer & Co C | 13-substituted-6-deoxytetracyclines and process utilizing the same |
| DK122658B (da) * | 1963-06-17 | 1972-03-27 | Novo Terapeutisk Labor As | Fremgangsmåde til udfældning af tetracyclinbase i krystallinsk form. |
| US3454697A (en) | 1965-06-08 | 1969-07-08 | American Cyanamid Co | Tetracycline antibiotic compositions for oral use |
| US3304227A (en) | 1965-07-15 | 1967-02-14 | Loyal E Loveless | Antibiotic-containing animal feed |
| NL6607516A (ja) | 1966-05-31 | 1967-12-01 | ||
| DE1767891C3 (de) | 1968-06-28 | 1980-10-30 | Pfizer | Verfahren zur Herstellung von wäßrigen arzneilichen Lösungen für die parenterale, perorale und lokale Anwendung mit einem Gehalt an einem Tetracyclinderivat |
| US3957980A (en) | 1972-10-26 | 1976-05-18 | Pfizer Inc. | Doxycycline parenteral compositions |
| DE2442829A1 (de) | 1974-09-06 | 1976-03-18 | Merck Patent Gmbh | Tetracyclische verbindungen und verfahren zu ihrer herstellung |
| US4018889A (en) | 1976-01-02 | 1977-04-19 | Pfizer Inc. | Oxytetracycline compositions |
| US4126680A (en) | 1977-04-27 | 1978-11-21 | Pfizer Inc. | Tetracycline antibiotic compositions |
| US4925833A (en) | 1983-12-29 | 1990-05-15 | The Research Foundation Of State University Of New York | Use of tetracycline to enhance bone protein synthesis and/or treatment of osteoporosis |
| USRE34656E (en) | 1983-12-29 | 1994-07-05 | The Research Foundation Of State University Of New York | Use of tetracycline to enhance bone protein synthesis and/or treatment of bone deficiency |
| US4704383A (en) | 1983-12-29 | 1987-11-03 | The Research Foundation Of State University Of New York | Non-antibacterial tetracycline compositions possessing anti-collagenolytic properties and methods of preparing and using same |
| US4666897A (en) | 1983-12-29 | 1987-05-19 | Research Foundation Of State University | Inhibition of mammalian collagenolytic enzymes by tetracyclines |
| US4935412A (en) | 1983-12-29 | 1990-06-19 | The Research Foundation Of State University Of New York | Non-antibacterial tetracycline compositions possessing anti-collagenolytic properties and methods of preparing and using same |
| JP3016587B2 (ja) | 1989-12-04 | 2000-03-06 | ザ・リサーチ・ファンデーション・オブ・ステート・ユニバーシティ・オブ・ニューヨーク | 非ステロイド抗炎症剤及びテトラサイクリンの配合 |
| US5308839A (en) | 1989-12-04 | 1994-05-03 | The Research Foundation Of State University Of New York | Composition comprising non-steroidal anti-inflammatory agent tenidap and effectively non-antibacterial tetracycline |
| DE4042402C1 (ja) | 1990-10-03 | 1992-09-03 | Degussa Ag, 6000 Frankfurt, De | |
| US5770588A (en) | 1991-02-11 | 1998-06-23 | The Research Foundation Of State University Of New York | Non-antibacterial tetracycline compositions of the prevention and treatment of root caries |
| US5231017A (en) | 1991-05-17 | 1993-07-27 | Solvay Enzymes, Inc. | Process for producing ethanol |
| US5494903A (en) | 1991-10-04 | 1996-02-27 | American Cyanamid Company | 7-substituted-9-substituted amino-6-demethyl-6-deoxytetracyclines |
| DE69232302T4 (de) | 1991-10-04 | 2003-02-13 | American Cyanamid Co., Wayne | 7-Substituierte-9-substituierte Amino-6-Demethyl-6-Deoxy-Tetracycline |
| US5258371A (en) | 1992-05-29 | 1993-11-02 | Kuraray Co., Ltd. | Method to reduce connective tissue destruction |
| US6043225A (en) | 1992-06-12 | 2000-03-28 | Board Of Regents Of The University Of Washington | Diagnosis and treatment of arterial chlamydial granuloma |
| EP0599397B1 (en) | 1992-11-17 | 1996-08-28 | The Research Foundation Of State University Of New York | Tetracyclines including non-antimicrobial chemically-modified tetracyclines inhibit excessive collagen crosslinking during diabetes |
| US6043231A (en) | 1993-03-02 | 2000-03-28 | The Research Foundation Of State Univ. Of New York | Inhibition of excessive phospholipase A2 activity and/or production by non-antimicrobial tetracyclines |
| US5523297A (en) | 1993-03-02 | 1996-06-04 | The Research Foundation Of State University Of New York | Inhibition of excessive phospholipase A2 activity and/or production by non-antimicrobial tetracyclines |
| US5668122A (en) | 1993-07-28 | 1997-09-16 | Fife; Rose S. | Method to treat cancer with tetracyclines |
| AU1279095A (en) | 1994-02-17 | 1995-09-04 | Pfizer Inc. | 9-(substituted amino)-alpha-6-deoxy-5-oxy tetracycline derivatives, their preparation and their use as antibiotics |
| US5843925A (en) | 1994-12-13 | 1998-12-01 | American Cyanamid Company | Methods for inhibiting angiogenesis, proliferation of endothelial or tumor cells and tumor growth |
| US5834449A (en) | 1996-06-13 | 1998-11-10 | The Research Foundation Of State University Of New York | Treatment of aortic and vascular aneurysms with tetracycline compounds |
| US5827840A (en) | 1996-08-01 | 1998-10-27 | The Research Foundation Of State University Of New York | Promotion of wound healing by chemically-modified tetracyclines |
| US5789395A (en) | 1996-08-30 | 1998-08-04 | The Research Foundation Of State University Of New York | Method of using tetracycline compounds for inhibition of endogenous nitric oxide production |
| US5919774A (en) | 1996-12-10 | 1999-07-06 | Eli Lilly And Company | Pyrroles as sPLA2 inhibitors |
| US5837696A (en) | 1997-01-15 | 1998-11-17 | The Research Foundation Of State University Of New York | Method of inhibiting cancer growth |
| US5773430A (en) | 1997-03-13 | 1998-06-30 | Research Foundation Of State University Of New York | Serine proteinase inhibitory activity by hydrophobic tetracycline |
| US6277067B1 (en) | 1997-04-04 | 2001-08-21 | Kerry L. Blair | Method and portable colposcope useful in cervical cancer detection |
| US5929055A (en) | 1997-06-23 | 1999-07-27 | The Research Foundation Of State University Of New York | Therapeutic method for management of diabetes mellitus |
| US6277061B1 (en) * | 1998-03-31 | 2001-08-21 | The Research Foundation Of State University Of New York | Method of inhibiting membrane-type matrix metalloproteinase |
| US6015804A (en) | 1998-09-11 | 2000-01-18 | The Research Foundation Of State University Of New York | Method of using tetracycline compounds to enhance interleukin-10 production |
| US5977091A (en) | 1998-09-21 | 1999-11-02 | The Research Foundation Of State University Of New York | Method of preventing acute lung injury |
| US5998390A (en) | 1998-09-28 | 1999-12-07 | The Research Foundation Of State University Of New York | Combination of bisphosphonate and tetracycline |
| AU766200B2 (en) | 1998-11-18 | 2003-10-09 | Collagenex Pharmaceuticals, Inc. | Novel 4-dedimethy laminotetra cycline derivatives |
| DE19938198A1 (de) * | 1999-08-12 | 2001-03-01 | Deutsche Telekom Ag | Verfahren zum Etablieren eines gemeinsamen Schlüssels für eine Gruppe von mindestens drei Teilnehmern |
| US6231894B1 (en) | 1999-10-21 | 2001-05-15 | Duke University | Treatments based on discovery that nitric oxide synthase is a paraquat diaphorase |
| US7231517B1 (en) * | 2000-03-03 | 2007-06-12 | Novell, Inc. | Apparatus and method for automatically authenticating a network client |
| US7553828B2 (en) | 2001-03-13 | 2009-06-30 | Paratek Pharmaceuticals, Inc. | 9-aminomethyl substituted minocycline compounds |
| ATE404528T1 (de) | 2001-03-13 | 2008-08-15 | Paratek Pharm Innc | 7,9 substituierte tetracyclinverbindungen |
| WO2003004009A1 (en) * | 2001-07-02 | 2003-01-16 | Geneva Pharmaceuticals, Inc. | Pharmaceutical composition |
| JP4099039B2 (ja) * | 2002-11-15 | 2008-06-11 | 松下電器産業株式会社 | プログラム更新方法 |
| US20060287283A1 (en) * | 2003-07-09 | 2006-12-21 | Paratek Pharmaceuticals, Inc. | Prodrugs of 9-aminomethyl tetracycline compounds |
| JP4712325B2 (ja) * | 2003-09-12 | 2011-06-29 | 株式会社リコー | 通信装置、通信システム、通信方法及びプログラム |
| US8015399B2 (en) * | 2003-09-30 | 2011-09-06 | Ricoh Company, Ltd. | Communication apparatus, communication system, certificate transmission method and program |
| US7603557B2 (en) * | 2004-04-15 | 2009-10-13 | Panasonic Corporation | Communication device, communication system and authentication method |
| AR057649A1 (es) * | 2005-05-27 | 2007-12-12 | Wyeth Corp | Formas solidas cristalinas de tigeciclina y metodos para preparar las mismas |
| EP1991236A2 (en) * | 2006-01-24 | 2008-11-19 | Paratek Pharmaceuticals, Inc. | Methods of increasing oral bioavailability of tetracyclines |
| EP2426104A1 (en) * | 2006-04-24 | 2012-03-07 | Teva Pharmaceutical Industries Ltd. | Tigecycline crystalline form and process for preparation thereof |
| CN101134733A (zh) * | 2007-09-24 | 2008-03-05 | 合肥信风科技开发有限公司 | 一种替加环素的物质形态及其制备方法 |
| BRPI0908951A2 (pt) * | 2008-03-05 | 2017-01-17 | Paratek Pharm Innc | compostos de minociclina e método de uso dos mesmos |
| PT2271348T (pt) | 2008-03-28 | 2018-04-16 | Paratek Pharm Innc | Formulação de comprimido oral de composto de tetraciclina |
-
2009
- 2009-05-25 TW TW112144420A patent/TW202436282A/zh unknown
- 2009-05-25 TW TW106103523A patent/TWI680117B/zh active
- 2009-05-25 TW TW111139004A patent/TW202332671A/zh unknown
- 2009-05-25 TW TW098117308A patent/TWI585071B/zh active
- 2009-05-25 TW TW110123796A patent/TW202216656A/zh unknown
- 2009-05-25 TW TW108126026A patent/TW202021946A/zh unknown
- 2009-05-26 NZ NZ589574A patent/NZ589574A/en unknown
- 2009-05-26 CN CN201510265009.XA patent/CN104844472B/zh active Active
- 2009-05-26 CN CN200980129398.6A patent/CN102105058B/zh not_active Ceased
- 2009-05-26 PT PT97517379T patent/PT2296464E/pt unknown
- 2009-05-26 MY MYPI2010005445A patent/MY156254A/en unknown
- 2009-05-26 WO PCT/US2009/045143 patent/WO2009143509A1/en not_active Ceased
- 2009-05-26 DK DK14156670.3T patent/DK2807926T3/da active
- 2009-05-26 RU RU2010152758/04A patent/RU2500665C2/ru active
- 2009-05-26 SI SI200931200T patent/SI2296464T1/sl unknown
- 2009-05-26 AU AU2009248795A patent/AU2009248795B2/en active Active
- 2009-05-26 JP JP2011510742A patent/JP5727930B2/ja active Active
- 2009-05-26 PL PL14156670T patent/PL2807926T3/pl unknown
- 2009-05-26 US US12/471,758 patent/US8383610B2/en active Active
- 2009-05-26 SI SI200932103T patent/SI2807926T1/sl unknown
- 2009-05-26 HU HUE14156670A patent/HUE053038T2/hu unknown
- 2009-05-26 DK DK09751737.9T patent/DK2296464T3/en active
- 2009-05-26 CA CA2724897A patent/CA2724897C/en active Active
- 2009-05-26 PT PT141566703T patent/PT2807926T/pt unknown
- 2009-05-26 LT LTEP14156670.3T patent/LT2807926T/lt unknown
- 2009-05-26 CN CN201810151302.7A patent/CN108324722A/zh active Pending
- 2009-05-26 EP EP20200158.2A patent/EP3827817A1/en active Pending
- 2009-05-26 BR BRPI0913026-8A patent/BRPI0913026B1/pt active IP Right Grant
- 2009-05-26 CA CA2987354A patent/CA2987354A1/en not_active Abandoned
- 2009-05-26 NZ NZ598154A patent/NZ598154A/xx unknown
- 2009-05-26 AR ARP090101875A patent/AR075447A1/es not_active Application Discontinuation
- 2009-05-26 PL PL09751737T patent/PL2296464T3/pl unknown
- 2009-05-26 ES ES09751737.9T patent/ES2538364T3/es active Active
- 2009-05-26 ES ES14156670T patent/ES2842204T3/es active Active
- 2009-05-26 EP EP14156670.3A patent/EP2807926B1/en active Active
- 2009-05-26 MX MX2010012622A patent/MX2010012622A/es active IP Right Grant
- 2009-05-26 CN CN201510647227.XA patent/CN105348138A/zh active Pending
- 2009-05-26 KR KR1020107028820A patent/KR101679362B1/ko active Active
- 2009-05-26 EP EP09751737.9A patent/EP2296464B1/en active Active
- 2009-05-26 HR HRP20150584TT patent/HRP20150584T1/hr unknown
-
2010
- 2010-11-18 IL IL209414A patent/IL209414A0/en active IP Right Grant
- 2010-11-22 TN TNP2010000539A patent/TN2010000539A1/fr unknown
- 2010-11-23 ZA ZA2010/08390A patent/ZA201008390B/en unknown
- 2010-12-20 MA MA33447A patent/MA32407B1/fr unknown
- 2010-12-22 CO CO10160851A patent/CO6300898A2/es not_active Application Discontinuation
- 2010-12-22 EC EC2010010704A patent/ECSP10010704A/es unknown
-
2013
- 2013-01-24 US US13/749,101 patent/US9227921B2/en active Active
-
2014
- 2014-01-14 ZA ZA2014/00281A patent/ZA201400281B/en unknown
-
2015
- 2015-04-03 JP JP2015076659A patent/JP6129235B2/ja active Active
- 2015-06-04 CY CY20151100497T patent/CY1116436T1/el unknown
- 2015-12-08 US US14/962,326 patent/US20160324879A1/en not_active Abandoned
-
2016
- 2016-11-23 AU AU2016262682A patent/AU2016262682B2/en active Active
-
2017
- 2017-04-11 JP JP2017077920A patent/JP2017149750A/ja active Pending
- 2017-09-21 US US15/711,502 patent/US20180104262A1/en not_active Abandoned
-
2018
- 2018-12-21 JP JP2018239471A patent/JP2019052184A/ja active Pending
-
2020
- 2020-10-23 JP JP2020177908A patent/JP2021011498A/ja active Pending
- 2020-12-29 CY CY20201101224T patent/CY1123705T1/el unknown
- 2020-12-31 HR HRP20202081TT patent/HRP20202081T1/hr unknown
-
2022
- 2022-10-21 JP JP2022169225A patent/JP2022189916A/ja active Pending
-
2024
- 2024-09-11 JP JP2024157101A patent/JP2024169444A/ja active Pending
Patent Citations (5)
| Publication number | Priority date | Publication date | Assignee | Title |
|---|---|---|---|---|
| JPS4969653A (ja) * | 1972-09-18 | 1974-07-05 | Farmaceutici Italia | |
| JP2004502752A (ja) * | 2000-07-07 | 2004-01-29 | トラスティーズ・オブ・タフツ・カレッジ | 9−置換ミノサイクリン化合物 |
| JP2004502753A (ja) * | 2000-07-07 | 2004-01-29 | トラスティーズ・オブ・タフツ・カレッジ | 7−置換テトラサイクリン化合物 |
| JP2005526754A (ja) * | 2002-03-08 | 2005-09-08 | パラテック ファーマシューティカルズ インコーポレイテッド | アミノメチル置換されたテトラサイクリン化合物 |
| JP5727930B2 (ja) * | 2008-05-19 | 2015-06-03 | パラテック ファーマシューティカルズ インコーポレイテッド | テトラサイクリン化合物の塩および多型体 |
Also Published As
Similar Documents
| Publication | Publication Date | Title |
|---|---|---|
| JP6129235B2 (ja) | テトラサイクリン化合物の塩および多型体 | |
| HK1204526B (en) | Salts and plymorphs of a tetracycline compound | |
| TW202542107A (zh) | 四環素化合物之甲苯磺酸鹽及同素異形體 |
Legal Events
| Date | Code | Title | Description |
|---|---|---|---|
| A131 | Notification of reasons for refusal |
Free format text: JAPANESE INTERMEDIATE CODE: A131 Effective date: 20160420 |
|
| A601 | Written request for extension of time |
Free format text: JAPANESE INTERMEDIATE CODE: A601 Effective date: 20160719 |
|
| A521 | Request for written amendment filed |
Free format text: JAPANESE INTERMEDIATE CODE: A523 Effective date: 20161007 |
|
| TRDD | Decision of grant or rejection written | ||
| A01 | Written decision to grant a patent or to grant a registration (utility model) |
Free format text: JAPANESE INTERMEDIATE CODE: A01 Effective date: 20170313 |
|
| A61 | First payment of annual fees (during grant procedure) |
Free format text: JAPANESE INTERMEDIATE CODE: A61 Effective date: 20170411 |
|
| R150 | Certificate of patent or registration of utility model |
Ref document number: 6129235 Country of ref document: JP Free format text: JAPANESE INTERMEDIATE CODE: R150 |
|
| R250 | Receipt of annual fees |
Free format text: JAPANESE INTERMEDIATE CODE: R250 |
|
| R250 | Receipt of annual fees |
Free format text: JAPANESE INTERMEDIATE CODE: R250 |
|
| R250 | Receipt of annual fees |
Free format text: JAPANESE INTERMEDIATE CODE: R250 |
|
| R250 | Receipt of annual fees |
Free format text: JAPANESE INTERMEDIATE CODE: R250 |
|
| R250 | Receipt of annual fees |
Free format text: JAPANESE INTERMEDIATE CODE: R250 |
|
| R250 | Receipt of annual fees |
Free format text: JAPANESE INTERMEDIATE CODE: R250 |
